Repository: kakao/recoteam Branch: master Commit: 65fc78e25cd1 Files: 119 Total size: 5.0 MB Directory structure: gitextract_mz78veiu/ ├── README.md ├── docs/ │ └── arena/ │ ├── brunch.html │ ├── common.css │ ├── index.html │ ├── melon-en.html │ └── melon.html ├── onboarding/ │ └── README.md ├── paper_review/ │ ├── README.md │ ├── recsys/ │ │ └── recsys2021/ │ │ ├── "Serving Each User"- Supporting Different Eating Goals Through a Multi-List Recommender Interface.md │ │ ├── Accordion- a Trainable Simulator for Long-Term Interactive Systems.md │ │ ├── Burst-induced Multi-Armed Bandit for Learning Recommendation.md │ │ ├── Cold Start Similar Artists Ranking with Gravity-Inspired Graph Autoencoders.md │ │ ├── Debiased Explainable Pairwise Ranking from Implicit Feedback.md │ │ ├── Evaluating Off-Policy Evaluation- Sensitivity and Robustness.md │ │ ├── Follow the guides- disentangling human and algorithmic curation in online music consumption.md │ │ ├── I want to break free! Recommending friends from outside the echo chamber.md │ │ ├── Local Factor Models for Large-Scale Inductive Recommendation.md │ │ ├── Matrix Factorization for Collaborative Filtering Is Just Solving an Adjoint Latent Dirichlet Allocation Model After All.md │ │ ├── Mitigating Confounding Bias in Recommendation via Information Bottleneck.md │ │ ├── Negative Interactions for Improved Collaborative Filtering- Don’t go Deeper, go Higher.md │ │ ├── Next-item Recommendations in Short Sessions.md │ │ ├── ProtoCF- Prototypical Collaborative Filtering for Few-shot Item Recommendation.md │ │ ├── RecSys2021.md │ │ ├── Reverse Maximum Inner Product Search- How to efficiently find users who would like to buy my item?.md │ │ ├── Semi-Supervised Visual Representation Learning for Fashion Compatibility.md │ │ ├── Shared Neural Item Representation for Completely Cold Start Problem.md │ │ ├── Sparse Feature Factorization for Recommender Systems with Knowledge Graphs.md │ │ ├── The role of preference consistency, defaults and musical expertise in users’ exploration behavior in a genre exploration recommender.md │ │ ├── Together is Better- Hybrid Recommendations Combining Graph Embeddings and Contextualized Word Representations.md │ │ ├── Top-K Contextual Bandits with Equity of Exposure.md │ │ ├── Toward Unified Metrics for Accuracy and Diversity for Recommender Systems.md │ │ ├── Towards Source-Aligned Variational Models for Cross-Domain Recommendation.md │ │ ├── Transformers4Rec- Bridging the Gap between NLP and Sequential & Session-Based Recommendation.md │ │ └── Values of Exploration in Recommender Systems.md │ └── topics/ │ ├── Algorithmic Advances.md │ ├── Applications-Driven Advances.md │ ├── Bandits and Reinforcement Learning.md │ ├── Echo Chambers and Filter Bubbles.md │ ├── Interactive Recommendation.md │ ├── Language and Knowledge.md │ ├── Metrics and Evaluation.md │ ├── Practical Issues.md │ ├── Privacy, Fairness, Bias.md │ ├── Real-World Concerns.md │ ├── Scalable Performance.md │ ├── Theory and Practice.md │ └── Users in Focus.md ├── presentations/ │ └── README.md ├── programming_assignments/ │ ├── beale_ciphers/ │ │ ├── README.md │ │ ├── interview.md │ │ ├── solution/ │ │ │ ├── solve.cpp │ │ │ ├── solve.java │ │ │ └── solve.py │ │ └── testcase/ │ │ ├── README.md │ │ ├── large/ │ │ │ ├── test1.in │ │ │ ├── test1.out │ │ │ ├── test3.in │ │ │ ├── test3.out │ │ │ ├── test5.in │ │ │ ├── test5.out │ │ │ ├── test7.in │ │ │ ├── test7.out │ │ │ ├── test9.in │ │ │ └── test9.out │ │ └── small/ │ │ ├── sample.in │ │ ├── sample.out │ │ ├── test0.in │ │ ├── test0.out │ │ ├── test10.in │ │ ├── test10.out │ │ ├── test11.in │ │ ├── test11.out │ │ ├── test12.in │ │ ├── test12.out │ │ ├── test13.in │ │ ├── test13.out │ │ ├── test14.in │ │ ├── test14.out │ │ ├── test2.in │ │ ├── test2.out │ │ ├── test4.in │ │ ├── test4.out │ │ ├── test6.in │ │ ├── test6.out │ │ ├── test8.in │ │ └── test8.out │ ├── jukebox/ │ │ ├── .gitignore │ │ ├── README.md │ │ ├── listen_count.txt │ │ └── solution/ │ │ ├── 1. 데이터 전처리.ipynb │ │ ├── 2-1. Shallow AutoEncoder.ipynb │ │ ├── 2-2. EASE^R.ipynb │ │ ├── 3. (optional) Implicit을 이용한 Jukebox 풀이.ipynb │ │ ├── README.md │ │ └── code_using_ease/ │ │ ├── evaluate.py │ │ ├── evaluation/ │ │ │ ├── Evaluate.py │ │ │ ├── user_id.txt │ │ │ └── validation_data.txt │ │ ├── recommend_with_ease.py │ │ └── recommend_with_sgd.py │ └── mini_reco/ │ ├── README.md │ ├── evaluation.py │ ├── interview.md │ ├── solution/ │ │ └── solution.py │ └── testcase/ │ ├── input/ │ │ ├── input000.txt │ │ ├── input001.txt │ │ ├── input002.txt │ │ ├── input003.txt │ │ ├── input004.txt │ │ ├── input005.txt │ │ └── input006.txt │ └── output/ │ ├── output000.txt │ ├── output001.txt │ ├── output002.txt │ ├── output003.txt │ ├── output004.txt │ ├── output005.txt │ └── output006.txt └── publications/ └── sigir2023-update-period/ └── README.md ================================================ FILE CONTENTS ================================================ ================================================ FILE: README.md ================================================ # 카카오 추천팀 ## 소개 카카오 추천팀은 카카오의 다양한 서비스에 추천 기술을 제공하고 있습니다. 추천팀에서는 아래와 같은 업무를 하고 있습니다. - 추천 기술 고도화 (방향: 사용자의 장기적인 서비스 만족도 증가) - 추천/ML SaaS 플랫폼 개발 (방향: 높은 품질의 추천 기술을 쉽게 가져다 사용할 수 있는 플랫폼) - 대규모 추천 서비스를 지탱할 수 있는 안정적이고 효율적인 플랫폼 구축 저희에게 궁금한 점이나 하고 싶은 이야기가 있다면 [Discussions](https://github.com/kakao/recoteam/discussions)를 이용해주세요. ## 영입 지원 링크 (현재는 진행 중인 영입 공고가 없습니다.) ## 영입 기출 문제 추천팀 영입 과정에서 실제로 사용했던 기출 문제입니다. - [Mini Reco](programming_assignments/mini_reco) - [Jukebox](programming_assignments/jukebox) - [Beale Ciphers](programming_assignments/beale_ciphers) ## 오픈소스 추천팀에서 공개한 오픈소스 소프트웨어입니다. - [TOROS Buffalo](https://github.com/kakao/buffalo) - A fast and scalable production-ready open source project for recommender systems - [TOROS N2](https://github.com/kakao/n2) - lightweight approximate Nearest Neighbor library which runs fast even with large datasets - [python-ssdb](https://github.com/kakao/python-ssdb) - Python client for [SSDB](https://github.com/ideawu/ssdb) ## 지식 저장소 (논문 리뷰) 추천 관련 학회의 논문들을 읽고 정리한 것을 공개/공유하는 저장소입니다. - [카카오 추천팀 지식 저장소](paper_review/README.md) ## 발행 문서, 발표 영상 자료 모음 공개적으로 발행한 문서나, 발표 영상을 아래에 모아놓았습니다. ### 테크 블로그 / AI 리포트 #### 추천팀 소개 - `2022-06-17` [‘AI 추천 기술’을 선도하는 카카오 추천팀을 소개합니다.](https://tech.kakao.com/2022/06/16/data-recommendation-system/) - `2021-11-02` [charlie의 추천팀 인턴 생활기](https://tech.kakao.com/2021/11/02/charlie-internship/) - `2021-03-11` [카카오 AI 추천을 소개합니다.](https://tech.kakao.com/2021/03/11/kakao-ai/) - `2020-06-23` [데이터를 기반으로 새로운 경험을 선사하는 추천팀 이야기](https://tech.kakao.com/2020/06/23/recruit-algorithm-ml/) #### 추천 시스템 - `2023-03-02` [파이썬과 러스트](https://tech.kakao.com/2023/03/02/python-and-rust/) - `2022-12-12` [추천팀의 DDD 도입기](https://tech.kakao.com/2022/12/12/ddd-of-recommender-team/) - `2021-12-27` [카카오 AI추천 : 카카오의 콘텐츠 기반 필터링 (Content-based Filtering in Kakao)](https://tech.kakao.com/2021/12/27/content-based-filtering-in-kakao/) - `2021-10-18` [카카오 AI추천 : 협업 필터링 모델 선택 시의 기준에 대하여](https://tech.kakao.com/2021/10/18/collaborative-filtering/) - `2021-06-25` [카카오 AI추천 : 토픽 모델링과 MAB를 이용한 카카오 개인화 추천](https://tech.kakao.com/2021/06/25/kakao-ai-recommendation-01/) - `2021-05-20` [카카오 AI추천 : 카카오페이지와 멜론으로 살펴보는 카카오 연관 추천](https://tech.kakao.com/2021/05/20/kakao-ai-recommendation/) - `2018-01-31` [카카오내비 예측의 정확성 그리고 AI](https://brunch.co.kr/@kakao-it/193) - `2017-10-31` [카카오I 추천 엔진의 진화](https://brunch.co.kr/@kakao-it/136) - `2017-06-23` [내 손안의 AI 비서, 추천 알고리듬 - 카카오의 AI 추천 플랫폼, ‘토로스(TOROS)’](https://brunch.co.kr/@kakao-it/72) ### 논문 - [How Important is Periodic Model Update in Recommender Systems?](https://doi.org/10.1145/3539618.3591934) (SIGIR '23) - [Predicting Query-Item Relationship using Adversarial Training and Robust Modeling Techniques](https://amazonkddcup.github.io/papers/0620.pdf) (KDD Cup '22) - [Simple and Efficient Recommendation Strategy for Warm/Cold Sessions for RecSys Challenge 2022](https://dl.acm.org/doi/10.1145/3556702.3556851) (Recsys'22 Challenge) - [An Efficient Combinatorial Optimization Model Using Learning-to-Rank Distillation](https://www.aaai.org/AAAI22Papers/AAAI-4140.WooH.pdf) (AAAI '22) - [A Global DAG Task Scheduler Using Deep Reinforcement Learning and Graph Convolution Network](https://ieeexplore.ieee.org/abstract/document/9626004) (IEEE Access) - [Melon Playlist Dataset: a public dataset for audio-based playlist generation and music tagging](https://arxiv.org/abs/2102.00201) (ICASSP '21) - [How Low Can You Go? Reducing Frequency and Time Resolution in Current CNN Architectures for Music Auto-tagging](https://arxiv.org/abs/1911.04824) (EUSIPCO '20) - [FlexGraph: Flexible partitioning and storage for scalable graph mining](https://journals.plos.org/plosone/article/metrics?id=10.1371/journal.pone.0227032) (PLoS ONE) - [Artist and style exposure bias in collaborative filtering based music recommendations](https://arxiv.org/abs/1911.04827) (ISMIR '19 Workshop) - [Enhancing VAEs for Collaborative Filtering: Flexible Priors & Gating Mechanisms](https://arxiv.org/abs/1911.00936) (RecSys '19) - [Sequential and Diverse Recommendation with Long Tail](https://www.ijcai.org/proceedings/2019/380) (IJCAI '19) - [Automatic playlist continuation using a hybrid recommender system combining features from text and audio](https://arxiv.org/abs/1901.00450) (RecSys '18 Challenge) - [A study on intelligent personalized push notification with user history](https://ieeexplore.ieee.org/document/8258081) (BigData '17) ### if(kakao) #### if(kakao)25 > - `2025-09-23` [커뮤니티로 진화한 오픈채팅, AI로 슬기롭게 연결하다 (추천시스템 파트)](https://if.kakao.com/2025/session?sessionId=11) #### if(kakao)dev2022 > - `2022-12-08` [실험을 잘한다는 것은 무엇일까?](https://if.kakao.com/2022/session/4) - `2022-12-08` [Sequential Recommendation System 카카오 서비스 적용기](https://if.kakao.com/2022/session/8) - `2022-12-08` [Explainable Recommender System in 카카오웹툰](https://if.kakao.com/2022/session/9) #### if(kakao)2021 > - `2021-11-17` [ML로 기프트권 받을 유저 정하기](https://if.kakao.com/2021/session/26) - `2021-11-17` [BERT보다 10배 빠른 BERT 모델 구축](https://if.kakao.com/2021/session/27) - `2021-11-17` [TensorFlow Serving보다 10배 빠르게 서빙하기](https://if.kakao.com/2021/session/28) - `2021-11-17` [추천 시스템 airflow 2.0 도입기](https://if.kakao.com/2021/session/29) #### if(kakao)2020 > - `2020-11-18` [개인화 콘텐츠 푸시 고도화 후기](https://if.kakao.com/2020/session/93) - `2020-11-18` [추천 시스템, 써보지 않겠는가? 맥락과 취향 사이 줄타기](https://if.kakao.com/2020/session/125) #### if(kakao)dev2019 > - `2019-08-30` [둥꿍둥꿍 느낌 아는 음악 바텐더](https://if.kakao.com/2019/program?sessionId=1bfc0d56-3946-4e40-9ab1-523f16d8594a) - [발표 자료](https://mk.kakaocdn.net/dn/if-kakao/conf2019/%EB%B0%9C%ED%91%9C%EC%9E%90%EB%A3%8C_2019/T08-S01.pdf) / [발표 영상](https://mk-v1.kakaocdn.net/dn/if-kakao/conf2019/conf_video_2019/2_103_01_m1.mp4) - `2019-08-30` [Buffalo: Open Source Project for Recommender System](https://if.kakao.com/2019/program?sessionId=c59d4061-6914-4a65-8fb5-f0a0c6c65b93) - [발표 자료](https://mk.kakaocdn.net/dn/if-kakao/conf2019/%EB%B0%9C%ED%91%9C%EC%9E%90%EB%A3%8C_2019/T08-S02-Buffalo.pdf) / [발표 영상](https://mk-v1.kakaocdn.net/dn/if-kakao/conf2019/conf_video_2019/2_103_02_m1.mp4) - `2019-08-30` [상품 카탈로그 자동 생성 ML 모델 소개](https://if.kakao.com/2019/program?sessionId=dce0dd84-d054-4b80-8013-b3d58f61bbe8) - [발표 자료](https://mk.kakaocdn.net/dn/if-kakao/conf2019/%EB%B0%9C%ED%91%9C%EC%9E%90%EB%A3%8C_2019/T08-S04.pdf) / [발표 영상](https://mk-v1.kakaocdn.net/dn/if-kakao/conf2019/conf_video_2019/2_103_04_m1.mp4) #### if(kakao)dev2018 > - `2018-09-04` [눈으로 듣는 음악 추천 시스템](https://if.kakao.com/2018/program?sessionId=959a3047-0a08-4a42-99ce-35a9210ab49a) - [발표 자료](https://mk.kakaocdn.net/dn/if-kakao/conf2018/%E1%84%82%E1%85%AE%E1%86%AB%E1%84%8B%E1%85%B3%E1%84%85%E1%85%A9%20%E1%84%83%E1%85%B3%E1%86%AE%E1%84%82%E1%85%B3%E1%86%AB%20%E1%84%8B%E1%85%B3%E1%86%B7%E1%84%8B%E1%85%A1%E1%86%A8%20%E1%84%8E%E1%85%AE%E1%84%8E%E1%85%A5%E1%86%AB%20%E1%84%89%E1%85%B5%E1%84%89%E1%85%B3%E1%84%90%E1%85%A6%E1%86%B7.pdf) / [발표 영상](http://tv.kakao.com/v/391418802) - `2018-10-01` [눈으로 듣는 음악 추천 시스템](https://brunch.co.kr/@kakao-it/282) - `2018-09-04` [TOROS N2 - lightweight approximate Nearest Neighbor library](https://if.kakao.com/2018/program?sessionId=ad6ea793-70e6-495c-b154-c765e6339793) - [발표 자료](https://mk.kakaocdn.net/dn/if-kakao/conf2018/TOROS%20N2%20-%20lightweight%20approximate%20Nearest%20Neighbor%20library.pdf) / [발표 영상](http://tv.kakao.com/v/391419278) - `2018-11-21` [TOROS N2](https://brunch.co.kr/@kakao-it/300) ### 카카오 아레나 > [카카오 아레나 서비스 종료 및 데이터셋 다운로드 안내](https://github.com/kakao/recoteam/discussions/9) - `2018-12-31` [문제 해결을 위한 머신러닝 오픈 플랫폼, 카카오 아레나](https://brunch.co.kr/@kakao-it/321) #### 3회 대회 (Melon Playlist Continuation) - `2022-05-27` [카카오 AI추천 : 카카오 음악 추천을 경험해보고 싶다면? Melon Playlist Dataset (feats. Kakao Arena)](https://tech.kakao.com/2022/05/27/melon-playlist-dataset/) - `2020-04-28` [멜론 플레이리스트 데이터 탐색 - _카카오 아레나 3회 대회 (Part.2)_](https://brunch.co.kr/@kakao-it/343) - `2020-04-22` [멜론에서 음악 추천을 어떻게 할까? - _카카오 아레나 3회 대회 (Part.1)_](https://brunch.co.kr/@kakao-it/342) #### 2회 대회 (브런치 사용자를 위한 글 추천 대회) - `2019-07-04` [브런치 추천의 힘에 대한 6가지 기술(記述) - _카카오 아레나 2회 대회 (Part. 2)_](https://brunch.co.kr/@kakao-it/333) - `2019-06-24` [브런치 데이터의 탐색과 시각화 - _카카오 아레나 2회 대회 (Part.1)_](https://brunch.co.kr/@kakao-it/332) ### 외부 발표 - `2022-12-22` [Machine Learning Engineer 여행 가이드](/presentations/ksc2022/KSC2022_ML_Engineer_%EC%97%AC%ED%96%89%EA%B0%80%EC%9D%B4%EB%93%9C_%EC%B9%B4%EC%B9%B4%EC%98%A4_%EC%B6%94%EC%B2%9C%ED%8C%80_%EA%B9%80%EC%84%B1%EC%A7%84.pdf) @ KSC 2022 - `2021-12-15` [우리 생활 속 추천 시스템, 어떻게 발전해왔고 어떻게 발전해나가고 있는가?](https://www.youtube.com/watch?v=jJfXHo7nNe8) @ 데이터 그랜드 컨퍼런스 2021 - `2021-05-21` [추천 기술이 마주하고 있는 현실적인 문제들](https://www.youtube.com/watch?v=UUY8YEesIVY) - [발표 자료](/presentations/ai_frontier2021/AIFrontier2021_Recommender_system_in_real_world_nick.pdf) @ AI Frontiers Summit 2021 - `2020-11-25` [유저가 좋은 작품(웹툰)를 만났을 때 (유저의 탐색, 발견 그리고 만족도에 대하여 탐색적 분석하기)](https://deview.kr/2020/sessions/332) @ DEVIEW 2020 - `2019-08-18` [추천시스템, 이제는 돈이 되어야 한다.](https://archive.pycon.kr/2019/program/talk-detail/?id=136) @ PyCon Korea 2019 - `2018-08-19` [추천 시스템을 위한 어플리케이션 서버 개발 후기](https://archive.pycon.kr/2018/program/33) @ PyCon Korea 2018 - `2016-08-13` [TOROS: Python Framework for Recommender](https://archive.pycon.kr/2016apac/program/50) @ PyCon Korea 2016 ================================================ FILE: docs/arena/brunch.html ================================================ kakao dataset

브런치 데이터셋

브런치 데이터셋 다운로드 동의서

브런치 데이터셋 다운로드 및 이용에 따른 주의사항




본 데이터셋 다운로드 및 이용을 위해서는 반드시 아래 주의사항을 확인하여야 합니다.

  • 카카오는 데이터셋에 대한 소유자로 정당한 권리를 가지고 있습니다. 본 데이터셋은 비영리 연구 목적으로 공증된 관행에 합치되는 방법으로만 이용할 수 있습니다. 연구, 논문에 데이터를 이용/인용할 경우 ' Kakao (https://www.kakaocorp.com) ’와 같이 반드시 출처를 포함하여 표기하여야 하며 제공되는 데이터셋의 무단전재 및 재배포를 금지합니다.
  • 카카오는 데이터셋을 다른 목적으로 사용함에 따른 정확성, 적합성, 유효성을 보증하지 않습니다. 데이터셋 사용에 따른 책임은 전적으로 이용자에게 있으며, 카카오는 그 사용에 따른 책임으로 면책됩니다. 본 데이터셋 다운로드 및 이용에 따른 주의사항을 위반하거나 데이터셋의 다운로드 및 이용 과정에서 카카오에게 손해가 발생할 경우, 카카오에게 해당 손해를 배상할 책임이 있습니다.
  • 본 주의사항을 읽고 이에 동의를 한 경우에만 데이터셋 다운로드 및 이용이 가능합니다.



데이터셋 설명

이 데이터셋이 제공하는 정보는 2018년 10월 1일부터 2019년 3월 14일까지 브런치 서비스에서 수집된 정보의 일부분입니다.

  • read 디렉토리: 본 글 정보
    • read.tar은 2018년 10월 1일부터 2019년 3월 1일까지 일부 브런치 독자들이 본 글의 정보가 총 3,625개의 파일로 구성되어 있습니다.
    • 파일의 이름은 시작일_종료일 형태입니다. 예를 들어 2018110708_2018110709 파일은 2018년 11월 7일 오전 8시부터 2018년 11월 7일 오전 9시 전까지 본 글입니다.
    • 파일은 여러 줄로 이뤄져 있으며 하나의 줄은 브런치의 독자가 파일의 시간 동안 본 글을 시간 순으로 기록한 것입니다. 한 줄의 정보는 공백으로 구분되어 있으며 첫번 째가 독자의 암호화된 식별자이고 그 뒤로는 해당 독자가 본 글의 정보입니다.
    • 예를 들어 read/2019022823_2019030100 파일에 기록된 아래 정보는 #8a706ac921a11004bab941d22323efab 라는 독자가 2019년 2월 28일 23시에서 2019년 3월 1일 0시 사이에 @bakchacruz_34 @wo-motivator_133 @wo-motivator_133 를 순서대로 보았다는 뜻입니다. @wo-motivator_133 글이 두 번 나타난 것은 이 글을 보기 위해 두 번 방문했다는 뜻입니다.
      • #8a706ac921a11004bab941d22323efab @bakchacruz_34 @wo-motivator_133 @wo-motivator_133
    • 글을 보았다는 의미는 특정 글에 모바일, PC, 앱을 통해 접근했다는 뜻입니다. 머문 시간에 대한 정보가 제공되지 않기 때문에 실제로 글을 읽지 않고 이탈하는 등의 가능성도 있습니다.
  • metadata.json: 글의 메타데이터
    • 643,104 줄로 구성된 글의 메타데이터입니다.
    • 이 메타데이터에는 2018년 10월 1일부터 2019년 3월 14일까지 독자들이 본 글에 대한 정보입니다.
    • 작가가 비공개로 전환하였거나 삭제 등의 이유로 학습 데이터로 제공된 2018년 10월 1일부터 2019년 3월 1일 전까지의 본 글 정보에는 이 메타데이터에 없는 글이 있을 수 있습니다.
      • 개발 데이터와 평가 데이터에 포함된 글의 메타데이터도 포함되어 있습니다. 즉, 평가 대상자들이 2019년 3월 1일부터 2019년 3월 14일 사이에 본 모든 글에 대한 정보가 포함되어 있습니다.
    • 필드 설명
      • magazine_id: 이 글의 브런치 매거진 아이디 (없을 시는 0)
      • reg_ts: 이 글이 등록된 시간(유닉스 시간, 밀리초)
      • user_id: 작가 아이디
      • article_id: 글 번호
      • id: 글 식별자
      • title: 제목
      • sub_title: 부제목
      • display_url: 웹 주소
      • keyword_list: 작가가 부여한 글의 태그 정보
    • 메타데이터의 모든 정보는 작가의 비공개 여부 전환, 글 삭제, 수정 등으로 유효하지 않거나 변동될 수 있습니다.
  • contents 디렉토리: 글 본문 정보
    • 저작권을 보호하고자 본문에서 형태소 분석을 통해 추출된 정보를 암호화하여 제공합니다. 총 7개의 파일로 나뉘어있습니다.
    • 형태소 분석기는 카카오에서 공개한 khaiii 의 기본 옵션을 사용했습니다. 형태소 분석 결과의 어휘 정보는 임의의 숫자로 1:1 변환되었습니다. 동일 어휘의 경우, 품사와 관계없이 같은 숫자로 변환됩니다.
    • 형태소 분석에 대한 설명과 품사의 의미에 대해서는 별도 제공하지 않습니다.
    • 형태소 추출 전에 텍스트를 제외한 HTML과 같은 내용과 관계없는 정보는 제거 했으나 일부 정보가 남았을 수 있습니다.
    • 필드 설명
      • id: 글 식별자
      • morphs: 형태소 분석 결과
        • 리스트의 리스트로 구성되며, 리스트의 첫 번째 요소는 첫 어절의 분석 결과입니다.
        • 어휘와 품사는 / 구분자로 구분됩니다.
        • 예를 들어 "안녕하세요 브런치입니다"라는 문장은 khaiii 형태소분석기에서 "안녕/NNG + 하/XSA + 시/EP + 어요/EF", "브런치/NNP + 이/VCP + ㅂ니다/EC" 라고 분석되는데, 이 결과는 morphs에서 다음처럼 나타날 수 있습니다. [["8/NNG", "13/XSA", "81/EP", "888/EF"], ["0/NNP", "12913/VCP", "29/EC"]]
        • 여러 줄에 걸친 결과는 개행 구분 없이 리스트에 연속적으로 등장합니다. 예를 들어 "안녕하세요 브런치입니다\n안녕하세요"의 결과는 다음과 같습니다. [["8/NNG", "13/XSA", "81/EP", "888/EF"], ["0/NNP", "12913/VCP", "29/EC"], ["8/NNG", "13/XSA", "81/EP", "888/EF"]]
      • chars: 형태소 분석 결과
        • 형태소 분석 결과에서 어휘 부분을 문자 단위로 암호화환 결과입니다.
        • 한 어휘의 문자는 + 구분자로 결합합니다. 예를 들어 위 예의 "브런치입니다"는 chars 필드에서 다음처럼 나타날 수 있습니다. "0+1+2/NNP", "4/VCP", "9+29+33/EC"
    • metadata.json과 마찬가지로 개발 데이터와 평가 데이터의 글 본문도 포함되어 있습니다.
    • contents 정보는 본문이 없는 글의 경우 제공되지 않을 수 있습니다.
  • users.json: 사용자 정보
    • 가입한 사용자(작가 혹은 독자)의 정보입니다.
    • 필드 설명
      • keyword_list: 최근 며칠간 작가 글로 유입되었던 검색 키워드
      • following_list: 구독 중인 작가 리스트
      • id: 사용자 식별자
    • 총 310,758명의 정보가 있습니다. 탈퇴 등의 이유로 사용자 정보가 없을 수 있습니다.
  • magazine.json: 매거진 정보
    • 총 27,967개의 브런치 매거진 정보입니다.
    • 필드 설명
      • id: 매거진 식별자
      • magazine_tag_list: 작가가 부여한 매거진의 태그 정보
  • predict 디렉토리: 예측할 사용자 정보
    • dev.users: 개발 데이터입니다. 대회 기간에 예측한 성능을 평가하기 위해 제공한 사용자 3,000명 리스트입니다.
    • test.users: 평가 데이터입니다. 대회 종료 후 최종 순위를 결정하기 위해 제공한 사용자 5,000명의 리스트입니다.
    • 일부 사용자는 2018년 10월 1일부터 2019년 3월 1일까지 본 글이 없을 수도 있습니다.
  • 식별자에 대해서
    • 사용자 식별자와 콘텐츠 식별자는 식별자 값에 '_' 존재 여부로 나뉩니다.
================================================ FILE: docs/arena/common.css ================================================ @charset "utf-8"; /* 웹폰트 */ @import url('https://fonts.googleapis.com/css?family=Noto+Sans+KR:400,500&subset=korean'); @font-face { font-family: 'Noto Sans'; src:url(../font/NotoSansCJKkr-Regular.eot?#iefix) format('embedded-opentype'); font-weight: normal; font-style: normal; } @font-face { font-family: 'Noto Sans'; src:url(../font/NotoSansCJKkr-Medium.eot?#iefix) format('embedded-opentype'); font-weight: 500; font-style: normal; } @font-face { font-family: 'Noto Sans'; src:url(../font/NotoSansCJKkr-Bold.eot?#iefix) format('embedded-opentype'); font-weight: bold; font-style: normal; } /* reset */ body,div,dl,dt,dd,ul,ol,li,h1,h2,h3,h4,h5,h6,pre,code,form,fieldset,legend,textarea,p,blockquote,th,td,input,select,button{margin:0;padding:0} fieldset,img{border:0 none} dl,ul,ol,menu,li{list-style:none} blockquote, q{quotes:none} blockquote:before, blockquote:after,q:before, q:after{content:'';content:none} input,select,textarea,button{vertical-align:middle;font-size:100%} button{border:0 none;background-color:transparent;cursor:pointer} table{border-collapse:collapse;border-spacing:0} body{-webkit-text-size-adjust:none} input:checked[type='checkbox']{background-color:#666; -webkit-appearance:checkbox} input[type='text'],input[type='password'],input[type='submit'],input[type='search'],input[type='tel'],input[type='email'],html input[type='button'],input[type='reset']{-webkit-appearance:none;border-radius:0} input[type='search']::-webkit-search-cancel-button{-webkit-appearance:none} body{background:#fff} body,th,td,input,select,textarea,button{font-size:13px;line-height:1.5;font-family: 'Noto Sans CJK Kr', 'Noto Sans KR', 'Noto Sans', sans-serif;color:#222} a{color:#222;text-decoration:none} a:active, a:hover{text-decoration:none} address,caption,cite,code,dfn,em,var{font-style:normal;font-weight:normal} /* global */ #kakaoIndex{overflow:hidden;position:absolute;left:-9999px;width:0;height:1px;margin:0;padding:0} .ir_pm{display:block;overflow:hidden;font-size:1px;line-height:0;color:transparent} .ir_wa{display:block;overflow:hidden;position:relative;z-index:-1;width:100%;height:100%} .ir_caption{overflow:hidden;width:1px;font-size:1px;line-height:0;text-indent:-9999px} .screen_out{overflow:hidden;position:absolute;width:0;height:0;line-height:0;text-indent:-9999px} .show{display:block} .hide{display:none} .comm_layer{display:none;flex-direction:column;overflow:auto;position:fixed;top:0%;left:0%;z-index:1000;width:100%;height:100%;background:rgba(0,0,0,0.4);} .comm_layer .inner_layer{position:absolute;top:50%;left:50%;background-color:var(--color-white);border:1px solid #cecece;text-align:center;transform:translate(-50%,-50%);} .info_layer .inner_layer{top:139px;transform:translate(-50%, 0);width:498px;height:396px;box-sizing:border-box;} .info_layer .layer_head{display:flex;justify-content:center;align-items:center;height:80px;background-color:#fee500;} .info_layer .layer_head .tit_info{display: inline-block;font-size:21px;line-height:31px;letter-spacing:-1.05px;color:#1E1E1E;} .info_layer .layer_head .tit_info .logo_kakaoarena{display:inline-block;width:129px;} .info_layer .layer_body{padding:40px 60px 35px;background-color:#fff;} .info_layer .layer_body .txt_info{font-size:15px;line-height: 22px;color:#000000;} .info_layer .layer_body .txt_info .tit_item{display:block;margin-bottom:22px;font-size:16px;font-weight:bold;line-height:22px;} .info_layer .layer_body .link_detail{display:block;margin:30px auto 0;width:175px;height:50px;background-color:#fee500;font-size:15px;font-weight:500;line-height:50px;text-align:center;color:#1E1E1E;} .info_layer .layer_foot{display:flex;justify-content:space-between;} .info_layer .layer_foot .btn_alert{flex:1;width:50%;height:50px;background-color:#f5f5f5;border-top:1px solid #cecece;font-size:14px;font-weight:500;line-height:50px;text-align:center;color:#1E1E1E;} .info_layer .layer_foot .btn_alert ~ .btn_alert {border-left:1px solid #cecece;} .comm_layer.show{display:flex;} .notice_type{padding: 11px 0 80px;} .notice_type .doc-header .inner-header{max-width:1058px;margin:0 auto;} .notice_type .logo_kakaoarena{display:inline-block;width:148px;vertical-align:middle;} .notice_type .inner_main{max-width:1058px;margin:69px auto 0;} .notice_type .tit_notice{font-size:56px;font-weight:bold;line-height:83px;letter-spacing:-2.33px;color:#1E1E1E;} .notice_type .txt_notice{margin:28px 0 60px;font-size:18px;font-weight:500;line-height:32px;letter-spacing:-1px;color:#000000;} .notice_type .tbl_notice{margin-bottom:33px;border-top:1px solid #979797;border-bottom:1px solid #979797;} .notice_type .tbl_notice th,td{padding:0 42px 0;background-color:#fafafa;border-bottom:1px solid #dadbdc;font-size:14px;font-weight:normal;line-height:70px;color:#000000;text-align:left;vertical-align: middle;} .notice_type .tbl_notice .tit_item{font-size:15px;font-weight:500;} .notice_type .list_notice{margin-left:14px;} .notice_type .list_notice > li{position:relative;padding-left:10px;font-size:13px;line-height:25px;letter-spacing:-0.41px;color:#3C3C3C;} .notice_type .list_notice > li:before{content:'';position:absolute;top:50%;left:0;width:3px;height:3px;transform: translateY(-50%);background-color:#3C3C3C;border-radius: 100%;} .notice_type .link_notice{display:block;width:391px;height:70px;margin:60px auto 0;background-color: #FEE500;line-height:70px;font-size:18px;font-weight:500;color:#1E1E1E;text-align: center;} .tbl_comm{width:100%;border:0;border-spacing:0;table-layout:fixed;border-collapse:collapse;} ================================================ FILE: docs/arena/index.html ================================================ kakao arena

카카오 아레나가 종료되었습니다.

그동안 카카오 아레나 서비스를 이용해 주셔서 진심으로 감사드립니다. 아쉽게도 카카오 아레나 서비스가 2023년 7월 3일 종료되었음을 알려드립니다.
작성하신 게시글과 제출하신 자료에 대해 백업을 원하신다면 고객센터로 요청 바랍니다.
데이터 백업 기간이 종료되면 게시글과 자료는 모두 안전하게 파기될 예정입니다.

백업 기간, 백업 대상, 백업 방법으로 구성된 백업 정보
백업 기간 2023년 7월 3일(월) ~ 2023년 10월 4일(수)
백업 대상 본인이 작성한 글(글에 첨부된 이미지/파일), 대회 제출 소스 코드와 결과 파일
백업 방법 고객센터로 신청 시 이메일로 전달 (고객센터 로그인 필요)
유의사항
  • 백업 기간 이후에는 백업 신청 및 백업이 불가능합니다. 꼭 기간 내에 백업 신청을 완료해 주세요.
  • 고객센터 백업 신청은 로그인 후 신청이 가능합니다.
백업 신청 고객센터 바로가기
================================================ FILE: docs/arena/melon-en.html ================================================ kakao dataset

Melon Dataset

Melon Dataset Download Consent Form

Precautions Regarding the Download and Use of the Melon Dataset




Before proceeding with the download and utilization of this dataset, it is crucial to review and comply with the following precautions carefully

  • Kakao Entertainment is the lawful owner of the dataset and possesses all the necessary rights. The dataset is intended solely for non-profit research purposes and should be utilized in accordance with established industry practices. When utilizing or referencing the data for research or scholarly papers, it is mandatory to include the appropriate attribution as follows: "Kakao Entertainment, melon (www.melon.com)." Unauthorized reproduction or redistribution of the dataset is strictly prohibited.
  • Please be aware that Kakao Entertainment does not guarantee the accuracy, suitability, or validity of the dataset for purposes other than those specified. The user assumes full responsibility for the usage of the dataset, and Kakao Entertainment shall not be held accountable for any consequences or liabilities arising from its use. In case of any violation of the precautions regarding the download and use of this dataset, or if any damages occur to Kakao Entertainment during the process, the user shall be held responsible for compensating Kakao Entertainment for such damages.
  • By confirming your understanding and agreement to the above precautions, you may proceed with downloading and utilizing the dataset.



Dataset Description

Melon Playlist Dataset

This dataset contains 148,826 playlists composed of 649,091 unique songs and mel-spectrogram data for each song. The included playlists are the listed item in the Melon DJ Playlist service provided by Melon. In addition, Melon DJ Playlist consists of playlists both made by experts contracting with us in advance for quality assurance and filtered by the company’s quality standard among those submitted by Melon users who want to put on the Melon DJ Playlist. Each playlist contains songs and multiple sets of tags (included in the 30,652 unique tags) assigned by the playlist creator, along with its title.

Playlist Included

For setting contest questions, we will provide the entire playlist data separately as train.json composed of 115,071 playlists, val.json composed of 23,015 playlists, and test.json composed of 10,740 playlists. Unlike train.json, test.json and train.json have some of the songs and tags in their playlists masked for the submission of answers.

Field Description
  • id: Playlist ID
  • plylst_title: Playlist title
  • tags: tag list
  • songs: song list
  • like_cnt: like count
  • updt_date: update date
Mel-Spectrogram Included

Mel-spectrogram data are saved as a ‘{songID}.npy’ file name with the file extension npy. A number from 0 to 707988 is assigned as song ID, and each file is allocated to and stored in the {floor(ID / 1000)}/ directory. For example, the song with ID 415263 is saved as 415/415263.npy. The 2.1b.dev677 version of Essentia library was used to extract each mel-spectrogram. mel-spectrogram was calculated in the use of segments of a song’s 20~50 second-interval to reduce the 16Khz sample size rate, 512 frame size, 256 hop size, Hann window function, and data size and employed 48 mel-bands resolution so that Melon Playlist Dataset can contain about 240GB data.

Meta-Data Included

Melon Playlist Dataset provides song_meta.json, the song metadata saved in a separate json file format, and genre_gn_all.json, the mapping table for genre included in the song metadata. song_meta.json has metadata for a total of 707,989 songs, including all songs in train.json, val.json, and test.json. The field description included is as follows.

Field Description
  • _id: song ID
  • album_id: album ID
  • artist_id_basket: artist ID list
  • artist_name_basket: artist list
  • song_name: song title
  • song_gn_gnr_basket: song genre list
  • song_gn_dtl_gnr_basket: song detailed genre list
  • issue_date: issue date
* All information in the metadata may be invalid or subject to change due to the copyright holder’s privacy conversion, song deletion, metadata modification, and the like.

genre_gn_all.json contains a total of 254 genre codes, including genre information for 30 major category genre codes (included in song_gn_gnr_basket) and 224 detailed category genre codes (included in song_gn_gnr_basket).

================================================ FILE: docs/arena/melon.html ================================================ kakao dataset

멜론 데이터셋

멜론 데이터셋 다운로드 동의서

멜론 데이터셋 다운로드 및 이용에 따른 주의사항




본 데이터셋 다운로드 및 이용을 위해서는 반드시 아래 주의사항을 확인하여야 합니다.

  • 카카오 엔터테인먼트는 데이터셋에 대한 소유자로 정당한 권리를 가지고 있습니다. 본 데이터셋은 비영리 연구 목적으로 공증된 관행에 합치되는 방법으로만 이용할 수 있습니다. 연구, 논문에 데이터를 이용/인용할 경우 'Kakao Entertainment, melon (www.melon.com) ’와 같이 반드시 출처를 포함하여 표기하여야 하며 제공되는 데이터셋의 무단전재 및 재배포를 금지합니다.
  • 카카오 엔터테인먼트는 데이터셋을 다른 목적으로 사용함에 따른 정확성, 적합성, 유효성을 보증하지 않습니다. 데이터셋 사용에 따른 책임은 전적으로 이용자에게 있으며, 카카오 엔터테인먼트는 그 사용에 따른 책임으로 면책됩니다. 본 데이터셋 다운로드 및 이용에 따른 주의사항을 위반하거나 데이터셋의 다운로드 및 이용 과정에서 카카오 엔터테인먼트에게 손해가 발생할 경우, 카카오 엔터테인먼트에게 해당 손해를 배상할 책임이 있습니다.
  • 본 주의사항을 읽고 이에 동의를 한 경우에만 데이터셋 다운로드 및 이용이 가능합니다.



데이터셋 설명

이 데이터셋에는 649,091개의 고유 곡으로 구성된 148,826개의 플레이리스트와 각 곡에 대한 멜 스펙트로그램 데이터가 포함되어 있습니다. 포함된 플레이리스트는 멜론에서 제공하는 멜론 DJ 플레이리스트 서비스에 등재된 항목입니다. 또한, 멜론 DJ 플레이리스트는 당사와 사전 계약을 맺은 전문가가 품질 보증을 위해 만든 플레이리스트와 멜론 이용자가 멜론 DJ 플레이리스트에 올리고 싶은 플레이리스트 중 당사의 품질 기준에 의해 필터링된 플레이리스트로 구성됩니다. 각 재생목록에는 제목과 함께 재생목록 제작자가 지정한 노래와 여러 개의 태그(30,652개의 고유 태그에 포함)가 포함되어 있습니다.

  • song_meta.json: 곡 메타데이터
    • 총 707,989개의 곡에 대한 메타데이터가 수록되어 있습니다.
    • 개발 데이터와 평가 데이터에 수록된 모든 곡에 대한 메타데이터가 포함되어 있습니다.
    • 필드 설명
      • _id: 곡 ID
      • album_id: 앨범 ID
      • artist_id_basket: 아티스트 ID 리스트
      • artist_name_basket: 아티스트 리스트
      • song_name: 곡 제목
      • song_gn_gnr_basket: 곡 장르 리스트
      • song_gn_dtl_gnr_basket: 곡 세부 장르 리스트
      • issue_date: 발매일
    • 메타데이터의 모든 정보는 저작권자의 비공개 여부 전환, 곡 삭제, 메타데이터 수정 등으로 유효하지 않거나 변동될 수 있습니다.
  • genre_gn_all.json:
    • 곡 메타데이터에 수록된 장르에 대한 정보입니다. 위 song_meta.json 에서 song_gn_gnr_basket 과 song_gn_dtl_gnr_basket 에 들어가는 정보들에 대한 메타데이터입니다.
  • train.json:
    • 모델 학습용 파일로, 115,071개 플레이리스트의 원본 데이터가 수록되어 있습니다.
    • 필드 설명
      • id: 플레이리스트 ID
      • plylst_title: 플레이리스트 제목
      • tags: 태그 리스트
      • songs: 곡 리스트
      • like_cnt: 좋아요 개수
      • updt_date: 수정 날짜
  • val.json:
    • 공개 리더보드용 문제 파일로, 23,015개 플레이리스트에 대한 문제가 수록되어 있습니다. 모든 데이터가 수록되어있는 train 파일과는 다르게, 곡과 태그의 일부가 수록되어 있습니다.
    • 필드 설명
      • id: 플레이리스트 ID
      • plylst_title: 플레이리스트 제목
      • tags: 태그 리스트
      • songs: 곡 리스트
      • like_cnt: 좋아요 개수
      • updt_date: 수정 날짜
  • test.json:
    • 파이널 리더보드용 문제 파일로, 10,740개 플레이리스트에 대한 문제가 수록되어 있습니다. 모든 데이터가 수록되어있는 train 파일과는 다르게, 곡과 태그의 일부가 수록되어 있습니다.
    • 필드 설명
      • id: 플레이리스트 ID
      • plylst_title: 플레이리스트 제목
      • tags: 태그 리스트
      • songs: 곡 리스트
      • like_cnt: 좋아요 개수
      • updt_date: 수정 날짜
  • arena_mel_{0~39}.tar
    • 곡에 대한 mel-spectrogram 데이터를 담고있는 파일입니다. 위에 있는 파일들에서 등장하는 각 곡 ID마다 npy 파일 1개가 배정되어있습니다. numpy로 다음과 같이 로드할 수 있습니다.
      import numpy as np
      
      mel = np.load("0.npy")
    • 곡 ID는 0~707988 까지 배정되어 있으며, 곡ID.npy 의 파일 이름을 가지고 있습니다. 파일의 갯수가 많기 때문에, 각 npy 파일은 각각 {floor(ID / 1000)}/ 폴더 아래에 들어가있습니다. 예를 들어 곡 ID가 415263인 파일의 경우 415/415263.npy 로, 곡 ID가 53712인 경우 53/53712.npy 에 존재합니다.
================================================ FILE: onboarding/README.md ================================================ # 추천팀 온보딩 카카오 추천팀에 입사하기 전에 미리 보시면 좋을 내용들을 정리해놓은 문서입니다. ## 추천 기술 관련 자료 해당 내용에 링크된 자료는 방대하므로(특히 수학/ML 기초) 필요한 부분들 위주로 보시기 바랍니다. ### 수학/ML 기초 추천 시스템은 머신러닝의 응용 분야로서 머신러닝에 대한 기초지식을 탄탄히 다지는 것은 큰 도움이 됩니다. 기본적인 Linear Algebra, Statistical Inference, Convex Optimization에 대해 익숙하지 않다면 이에 대한 학습이 필요할 수 있습니다. 대표적인 ML 교재 최소 1개 이상을 정독해본 경험을 가지는 것을 추천해 드립니다. - [Introduction to Statistical Learning (ISLR)](https://www.statlearning.com/) - [Elements of Statistical Learning (ESL)](https://hastie.su.domains/Papers/ESLII.pdf) - [Machine Learning: A Probabilistic Perspective (Murphey 책)](https://probml.github.io/pml-book/) - [Pattern Recognition an Machine Learning (Bishop 책)](https://www.microsoft.com/en-us/research/uploads/prod/2006/01/Bishop-Pattern-Recognition-and-Machine-Learning-2006.pdf) - ... etc. 딥러닝 교재, 최신 추천시스템은 뉴럴넷을 활용하는 경우도 많고 자연어, 이미지 등의 데이터를 활용하는 경우도 있습니다. - [Deep Learning Book](https://www.deeplearningbook.org/) - ... etc. ### 추천 알고리즘 대표적인 올드 스쿨 알고리즘입니다. 해당 알고리즘들은 논문이 발표된지 오래되었지만, 아직도 대중적으로 많이 활용되고 있습니다. - iALS ([Collaborative Filtering for Implicit Feedback Datasets](http://yifanhu.net/PUB/cf.pdf)) - BPR ([BPR: Bayesian Personalized Ranking from Implicit Feedback](https://arxiv.org/pdf/1205.2618.pdf)) - LinUCB ([A Contextual-Bandit Approach to Personalized News Article Recommendation](https://arxiv.org/pdf/1003.0146.pdf)) 그 외, 벤치마크로 자주 등장하는 전통 알고리즘은 다음과 같습니다. - WARP ([Improving Pairwise Learning for Item Recommendation from Implicit Feedback](http://webia.lip6.fr/~gallinar/gallinari/uploads/Teaching/WSDM2014-rendle.pdf)) - SLIM ([SLIM: Sparse Linear Methods for Top-N Recommender Systems](https://ieeexplore.ieee.org/abstract/document/6137254)) 카카오 테크 블로그에 카카오 추천시스템에 대하여 주제별로 설명한 글들입니다. - [테크 블로그: 추천 시스템](/README.md/#%EC%B6%94%EC%B2%9C-%EC%8B%9C%EC%8A%A4%ED%85%9C) 추천 관련 최신 논문들을 서칭해보고 abstract와 related works를 읽어보면 최신 연구 방향과 그 기반이 되는 주요 논문들을 알 수 있습니다 - 추천 관련 대표 학회들: RecSys, WWW, SIGIR, KDD, WSDM, CIKM, AAAI, IJCAI, ICML, NeurIPS, ... etc. (좋은 논문인지와 별개로) 대표적으로 유명한 추천 알고리즘 논문들은 아래와 같습니다. - [BERT4Rec: Sequential Recommendation with Bidirectional Encoder Representations from Transformer, CIKM'19](https://arxiv.org/abs/1904.06690) - [Variational Autoencoders for Collaborative Filtering, WWW'18](https://dl.acm.org/doi/10.1145/3178876.3186150) - [Neural Collaborative Filtering, WWW'17](https://dl.acm.org/doi/10.1145/3038912.3052569) - [Recommending What Video to Watch Next: A Multitask Ranking System, RecSys'19](https://daiwk.github.io/assets/youtube-multitask.pdf) - [Collaborative Metric Learning, WWW'17](https://vision.cornell.edu/se3/wp-content/uploads/2017/03/WWW-fp0554-hsiehA.pdf) - [Convolutional Matrix Factorization for Document Context-Aware Recommendation, RecSys'16](http://uclab.khu.ac.kr/resources/publication/C_351.pdf) - ... etc. ### 그 외 #### 강화학습 실시간 추천시스템은 사용자와 상호작용하며 사용자들의 취향을 파악하고 추천해주는 시스템으로서 강화학습 framework이 잘 어울린다는 평가가 많습니다, 특히 Multi-Armed Bandit, Contextual-Bandit 등은 팀 내에서도 매우 많이 사용되고 있습니다 - [강화학습 대표 교재 (Reinforcement Learning: An Introduction)](http://incompleteideas.net/book/the-book.html) - [David Silver 강의](https://www.davidsilver.uk/teaching/) ## 머신러닝플랫폼 관련 자료 아래의 키워드는 모두 머신러닝플랫폼에서 중요한 것들이지만 업무에 필수는 아닙니다. 학습 비용이 만만치 않기 때문에 천천히 기반 다지는 것을 추천합니다. ### 방법론, 가이드 - [Domain Driven Design (DDD)](https://martinfowler.com/bliki/DomainDrivenDesign.html) - [Microservices (MSA)](https://learn.microsoft.com/en-us/azure/architecture/guide/architecture-styles/microservices) - [Event Driven Architecture (EDA)](https://learn.microsoft.com/en-us/azure/architecture/guide/architecture-styles/event-driven) - [Cloud Native](https://learn.microsoft.com/en-us/dotnet/architecture/cloud-native/definition) - [CI/CD](https://en.wikipedia.org/wiki/CI/CD) - [Test Driven Development (TDD)](https://martinfowler.com/bliki/TestDrivenDevelopment.html) ### 개발 자원 머신러닝플랫폼은 대부분 파이썬 3.10을 사용하고 있습니다. 아래는 개발할 때 많이 사용하는 라이브러리를 간추렸습니다. - [poetry](https://python-poetry.org/) - [pydantic](https://pydantic-docs.helpmanual.io/) - [pytest](https://pytest.org) - [mypy](https://mypy.readthedocs.io/) ## 팀 개발환경 및 플랫폼 ### 기본 개발환경 팀의 메인 개발언어는 Python, C++입니다. 코드 Editor로는 주로 Vim을 사용하고 있으나, 제약은 없으며 VSCode, PyCharm등 개발자 본인에게 가장 편한 editor를 사용할 수 있습니다. (단, 서버 내에서 작업하는 경우도 많기에, Vim에 대한 기본적인 사용법을 익혀두시면 유용합니다.) - [Vim](https://www.vim.org/) - [Vim adventures](https://vim-adventures.com/): Vim을 간단한 게임형태로 배워볼 수 있는 페이지입니다. 코드의 버전관리는 Git / GitHub를 사용하고 있습니다. - [git](https://git-scm.com/) - [Git/GitHub 안내서](https://subicura.com/git/guide/) 팀 내 대부분의 서비스는 docker 및 kubernetes를 기반으로 동작합니다. - [docker](https://www.docker.com/) - [초보를 위한 도커 안내서](https://subicura.com/2017/01/19/docker-guide-for-beginners-1.html) - [kubernetes](https://kubernetes.io/) - [쿠버네티스 안내서](https://subicura.com/k8s/guide/#%E1%84%80%E1%85%A1%E1%84%8B%E1%85%B5%E1%84%83%E1%85%B3) ### 플랫폼 #### Kafka 추천 시스템에서는 각 유저가 어떤 아이템을 소비했는지, 또 소비한 아이템에 대해 어떠한 반응을 보였는지에 대한 정보가 중요하게 사용됩니다. 이러한 정보는 서비스단에서 실시간으로 수집되어 [Kafka](https://kafka.apache.org/)를 통해 추천팀에서 받아볼 수 있는 형태로 전달되고 있습니다. 따라서 Kafka의 기본구조 및 동작 방식에 대해 미리 알아두시면 팀에서 실제 업무를 하실 때 많은 도움이 됩니다. - [Youtube강의-아파치 카프카](https://www.youtube.com/playlist?list=PL3Re5Ri5rZmkY46j6WcJXQYRlDRZSUQ1j) #### MongoDB [MongoDB](https://www.mongodb.com/)는 팀에서 가장 많이 사용하는 key-value storage 중 하나이며, 주 사용처는 다음과 같습니다. - 개별 유저에 대한 추천 결과 저장(캐시 용도) - Feature storage - 유저들의 아이템 소비 로그, 피드백 로그 저장 MongoDB 참고 자료 (팀 내에서 직접 관리를 하는 것은 아니기에 깊이 보실 필요는 없습니다. 아래에서는 3, 4, 5를 위주로 보셔도 괜찮습니다.) - [1편: 소개, 설치 및 데이터 모델링](https://velopert.com/436) - [2편: Database/Collection/Document 생성, 제거](https://velopert.com/457) - [3편: Document Query(조회) - find() 메소드](https://velopert.com/479) - [4편: find() 메소드 활용 - sort(), limit(), skip()](https://velopert.com/516) - [5편: Document 수정 - update() 메소드](https://velopert.com/545) - [pymongo docs](https://pymongo.readthedocs.io/en/stable/) - pymongo는 MongoDB의 python client로써, 팀에서 MongoDB를 다룰 때 주로 사용하고 있습니다. #### Hadoop [Hadoop](https://hadoop.apache.org/)을 구성하는 여러 가지 요소가 있지만, 팀에서는 주로 HDFS, Hive(Presto, Spark)를 많이 사용합니다. Hadoop의 개별 요소를 세세히 설명하기엔 양이 너무 방대하기에, 간단한 개념 위주로 링크를 정리했습니다. - HDFS: 유저 x 아이템 interaction 데이터 저장, 학습된 추천 모델 저장 등 - [hdfs 기본개념](https://kadensungbincho.tistory.com/30) - [hdfs 명령어 모음](https://blog.voidmainvoid.net/175) - Hive(Presto, Spark): 데이터 분석, 전처리 등에 사용 - [Hive, Presto, Spark 기본 설명](https://seoyoungh.github.io/data-science/distribute-system-1/) ================================================ FILE: paper_review/README.md ================================================


📝 카카오 추천팀 지식 저장소

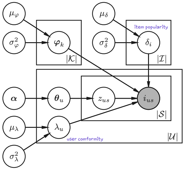
카카오 추천팀에서 추천 관련 학회의 논문들을 읽고 정리하는 저장소입니다. 정리는 크게 4가지 방식으로 구성되어 있습니다. - Summary : 3줄 내외로 논문 내용을 요약합니다. - Approach : 논문에서 쓰인 접근법들을 정리합니다. - Results : 실험 결과에 대한 내용을 정리합니다. - Conclusion : 논문에 대한 본인의 생각을 정리합니다. 발표 자료를 학회별, 주제별로 정리한 링크는 다음과 같습니다. ### Conferences - [RecSys2021](recsys/recsys2021/RecSys2021.md) ### Topics - [Algorithmic Advances](topics/Algorithmic%20Advances.md) - [Applications-Driven Advances](topics/Applications-Driven%20Advances.md) - [Bandits and Reinforcement Learning](topics/Bandits%20and%20Reinforcement%20Learning.md) - [Echo Chambers and Filter Bubbles](topics/Echo%20Chambers%20and%20Filter%20Bubbles.md) - [Interactive Recommendation](topics/Interactive%20Recommendation.md) - [Language and Knowledge](topics/Language%20and%20Knowledge.md) - [Metrics and Evaluation](topics/Metrics%20and%20Evaluation.md) - [Practical Issues](topics/Practical%20Issues.md) - [Privacy, Fairness, Bias](topics/Privacy,%20Fairness,%20Bias.md) - [Real-World Concerns](topics/Real-World%20Concerns.md) - [Scalable Performance](topics/Scalable%20Performance.md) - [Theory and Practice](topics/Theory%20and%20Practice.md) - [Users in Focus](topics/Users%20in%20Focus.md) ================================================ FILE: paper_review/recsys/recsys2021/"Serving Each User"- Supporting Different Eating Goals Through a Multi-List Recommender Interface.md ================================================ # "Serving Each User"- Supporting Different Eating Goals Through a Multi-List Recommender Interface - Paper : - Authors : Alain Starke, Edis Asotic, Christoph Trattner - Reviewer : bell.park, marv.20 - Topics - [#Users_in_Focus](../../topics/Users%20in%20Focus.md) - #Diversity - [#RecSys2021](RecSys2021.md) ## Summary - 음식 추천 시스템에서, 유저의 다양한 목적을 만족시키기 위해 어떻게 노출시키면 좋을지(인터페이스)에 대해서 연구한 논문입니다. - 추천 결과를 single-list와 multi-list 각각의 방법으로 노출했을 때 어떠한 차이가 있는지 유저 스터디로 비교 분석하였습니다. - 리스트 간의 순서를 정하는 모델이나 로직이 없다는 것은 아쉽지만, 현실적인 접근이라고 생각됩니다. ## Approach - 기본적으로 현재 보고있는 레시피와 유사한 레시피를 추천하는 연관 추천 환경입니다. - 저자들이 직접 레시피 데이터를 긁어와서 5가지 추천 리스트를 구성하였습니다. - Similar recipies - 레시피 이름 TF-IDF indexing후 top-5 similarity - Fewer Calories - top-40 similarity 후 칼로리 작은 순서대로 top-5 - Fewer Carbohydrates - top-40 similarity 후 탄수화물 작은 순서대로 top-5 - Less Fat - top-40 similarity 후 지방 작은 순서대로 top-5 - More Fiber - top-40 similarity 후 섬유질 큰 순서대로 top-5 - 366명의 실험 참가자를 모집해서 실험을 진행하였습니다. - 실험 참가자 마다 5번의 실험을 진행 - 참가자가 레시피를 검색해서 들어가면 아래 2가지 중 하나의 화면이 노출 - 미리 준비된 5개의 리스트 중 하나를 골라 노출 - 5개의 리스트를 전부 노출 - 설명은 붙이는 경우도 있고 안붙이는 경우(Similar recipies)도 있음 - 참가자는 레시피를 하나 고르고 레시피와 추천에 대해 만족도를 리포트 ## Results - 참가자의 피드백을 Structural Equation Modeling (SEM) 기법으로 분석하였습니다. - 주목할 만한 결론은 다음과 같습니다. - Multi-list로 노출하면 설명 여부와 상관 없이 참가자들이 더 다양하게 추천된다고 느낍니다. (higher **perceived** diversity) - 실제로 다양하게 노출하는 것과는 다르고, 참가자들이 그렇게 느꼈다는 부분이 중요하다고 합니다. - 참가자들이 다양하게 추천된다고 느끼면, 아래 두 가지 현상이 나타납니다. - 하나의 아이템을 고르는데는 어려움을 느낍니다. (higher level of diversity, higher level of choice difficulty) - 추천의 만족도가 증가합니다. (perceived diversity was also positively related to choice satisfaction) - 참가자들이 추천이 나온 이유를 이해하면, 추천이 더 다양하다고 느낍니다. - Single-list 노출 시에는 추천에 대한 설명을 붙여주었을 때 참가자 만족도가 올라가지만, Multi-list 노출 시에는 설명이 있을 때 만족도가 소폭 하락하였습니다. ================================================ FILE: paper_review/recsys/recsys2021/Accordion- a Trainable Simulator for Long-Term Interactive Systems.md ================================================ # Accordion- a Trainable Simulator for Long-Term Interactive Systems - Paper : - Authors : James McInerney, Ehtsham Elahi, Justin Basilico, Yves Raimond, Tony Jebara - Reviewer : hee.yoon - Topics - [#Metrics_and_Evaluation](../../topics/Metrics%20and%20Evaluation.md) - [#RecSys2021](RecSys2021.md) ## Summary - 유저와 인터렉션이 있는 시스템 기반의 트레인 가능한 시뮬레이터를 개발하였습니다. - 구성은 다음과 같습니다. - 유저가 visit 할지 여부를 결정하는 visit model - 유저에게 해당 시점에 어떤 아이템이 추천될지 결정하는 recommedation imitator - 유저가 추천된 아이템을 클릭할지 결정하는 user selection model - 컨트리뷰션 - 이 중에서 visit model 를 inhomogeneous Poisson process 로 구현한 부분이 중요한 컨트리뷰션이라고 볼 수 있습니다. - (비교 시뮬레이터가 Norm IPS인데) 왜 Norm IPS 에 비해, sim2real gap 을 더 줄일 수 있는가? - 추천 퀄리티에 따라 impression수 자체가 차이가 날 수 있는 부분을 시뮬레이션에 녹여 모델링함 - code: ## Approach - Simulator Data Generation Algorithm: - 구조도 - Visit Model - Global Intensity + State-based intensity + Recent Activity intensity using Hawkes - user_state, time 이 주어졌을 때 유저의 intensity를 리턴 - Recommender Imitator (= Impression Model?) - user_state 가 주어졌을 때, item 을 리턴 - 컨트롤 폴리시 목적으로는 imitator 를 학습하여 사용할 수도 있고, - 타겟 폴리시 목적으로는 실험하고자 하는 모델로 대체하여 사용할 수 있는 것으로 추정. (Non negative Matrix Factorization 으로 Hyperparameter Fitting 시뮬레이션 Section 4.2 참고) - User Selection Model - user_state, item 이 주어졌을때 reward 를 리턴 ### Visit Model - - - Inhomogeneous Poisson Process: - Hawkes Intensity: - 과거 추천 아이템에 유저가 긍정적으로 반응했을 경우 더 커짐 - ### Marking Distribution = Recommendation Imitator (Impression Model) * User Selection Model - Both the impression model and user selection model use as - input: a bag of words representation of previous user interactions with items - and map these though a dense network - output: to a multinomial distribution over items. ## Results AB 테스트 결과를 얼마나 재현 가능한가? 를 평가하였습니다. ================================================ FILE: paper_review/recsys/recsys2021/Burst-induced Multi-Armed Bandit for Learning Recommendation.md ================================================ # Burst-induced Multi-Armed Bandit for Learning Recommendation - Paper : - Authors : Rodrigo Alves, Antoine Ledent, Marius Kloft - Reviewer : charlie.cs - Topics - [#Algorithmic_Advances](../../topics/Algorithmic%20Advances.md) - [#Bandits_and_Reinforcement_Learning](../../topics/Bandits%20and%20Reinforcement%20Learning.md) - [#RecSys2021](RecSys2021.md) ## Summary - non-stationary & context-free MAB 상황에서 Cold-start recommendation (CSR) 을 위한 방법인 BMAB (Burst-induced MAB)을 제시하였습니다. - 기존 non-stationary MAB(EXP3, Discounted-UCB etc.)의 방식과 비교되는 특징은 다음과 같습니다. 1. context-free: feature vector가 필요하지 않습니다. 2. reward 분포의 변화를 확인하는 대신, 시스템의 temporal dynamics를 활용합니다. ## Approach ### Intuition - 추천 환경에는 크게 두가지 상태가 있다고 가정: loyal (stable) state 그리고 curious (unstable) state - 전체 time horizon은 일정 구간으로 나뉘어져서, 두 state 중 하나가 발생한다고 가정함 - loyal state는 구간에 상관없이, curious state는 구간마다 stationary payoff distribution를 가진다고 주장 - state 마다 MAB 모델을 세우고, 특정 state 상황에 해당하는 모델을 이용하여 추천을 진행 ### Burst-induced MAB (BMAB) - Algorithm 1. 두 state (loyal, curious)마다 각각 K개의 beta parameter를 두고, orcale이 timestamp마다 어떤 state인지 알려줌 2. state를 확인하면, 해당 state의 beta parameter를 통해 일반적인 Thompson Sampling 추천을 진행 3. 만약 curious (s = 1) 에서 loyal (s = 0) 상태로 넘어가는 경우, curious state에 해당하는 beta parameter를 decay ### State Detector - 매 timestamp 마다 어떤 state인지 파악하는 orcale을 구성하기 위해서는 homoheneous Poisson process에 대한 intensity (`lambda_L`)가 알려져 있다는 가정이 요구됨 - intensity (function)는 쉽게 말하면 특정 구간에서 발생한 이벤트의 rate - 이 가정의 존재 이유는 문제 초기 정의 시, time series 가 두가지 stochastic point process의 mixture에 의해 생성된다는 가정이 있었기 때문 - loyal: a homogeneous Possion process (HPP) with intensity `lambda_L` - curious: a piece-wise homogeneous Poisson process (PW-HPP) with intensity `lambda_C(t)` - 해당 intensity를 몰라도 쉽게 유추할 수 있다고 주장 - 예시 (HPP with `lambda_L=3`, PW-HPP with `lambda_C in (0.15, 15)`) ![image-20211123140547188](https://tva1.sinaimg.cn/large/008i3skNgy1gwp03l9ztij32wq0rawlv.jpg) - Algorithm - state를 추정할 timestep 구간을 사이즈가 `Delta` 인 window로 나누고, 해당 구간이 intensity 가 `lambda_L` 인 Possion process에서 생성되었는지 검증 - 즉, window 내 분포는 shape가 `Delta-1` 이고 scale이 `lambda_L` 인 Gamma distribution을 따르는지 확인 - 해당 분포를 따른다면 loyal (`0`) 그렇지 않다면 curious (`1`) image-20211115224032770 - `q` 는 Gamma 분포의 quantile function - quantile function의 shape값이 `lambda-1` 인 이유는 `t_{i-\Delta+1}` 부터 event counting이 진행되기 때문 - hypothesis testing의 목적은 burst period를 확인하기 위한 목적 (calm period는 loyal 에게 dominated) - 만약 `delta=0.95`라면 test는 다음과 같이 해석될 수 있음 : scale이 `lambda_L`인 event가 `Delta-1`번 발생할때까지 걸리는 time interval 분포 중, interval `Delta_i`가 분포의 quntaile 5% 내에 존재하는가? - 쉽게 말하면, 기존에 이벤트가 `N` 번 발생하는데 `X` 만큼 걸렸는데, `Y`는 그보다 더 짧은가? - 해당 intensity를 몰라도 쉽게 유추할 수 있다고 주장 - solve with EM - Burstiness scale: A parsimonious model for characterizing random series of events. In Proceedings of the 22nd ACM SIGKDD ## Results - 합성 데이터, 실제 데이터 모두를 사용해서 제안한 방법을 평가하였습니다. - 제안한 방법들: BMAB-O (oracle), BMAB-R (detector) - 실제 데이터의 경우, 전체 timeseries에서 일정 구간은 `lambda_L` 을 추정하는 구간으로 사용하고 나머지는 평가에 사용하였습니다. - metric: average of the observed reward (`R(T)/N`), and its standard deviation - the user liked (Behance, MovieLens), searched (Google trends) or clicked on (Outbrain) - baseline은 크게 세가지로 나뉩니다. - stationary: TS - non-stationary: EXP3 - piece-wise stationary: EXP3DD, DUCB, MUCB, WMD image-20211115222133822 - `K` : the number of arms, `N`: the number of events, `T`: the observed time - 제안한 BMAB-R이 모든 dataset에서 reward가 우세하였습니다. - MovieLens의 경우 제안한 방법이 TS과 거의 차이가 없었는데 이는 가장 인기있는 다섯개의 아이템이 stationary 하기 때문이라고 주장하였습니다. ================================================ FILE: paper_review/recsys/recsys2021/Cold Start Similar Artists Ranking with Gravity-Inspired Graph Autoencoders.md ================================================ # Cold Start Similar Artists Ranking with Gravity-Inspired Graph Autoencoders - Paper : - Authors : Guillaume Salha-Galvan, Romain Hennequin, Benjamin Chapus, Viet-Anh Tran, Michalis Vazirgiannis - Reviewer : tony.yoo - Topics - [#Real-World_Concerns](../../topics/Real-World%20Concerns.md) - #Cold_Start - #Graph - [#RecSys2021](RecSys2021.md) ## Summary - Directed graph로 정의된 item network에 대해 link prediction task을 수행한 논문입니다. - Directed 기반의 similarity를 구하기 위해 gravity 기반의 매커니즘을 도입하여 단 방향 선호도를 예측 가능하게 만들었습니다. - Cold item (노드 피쳐는 있으나 adjacent 정보가 isolated 된 상황)에 대해 masking과 VAE기반의 구조로 접근하여 성능 향상을 내었습니다. ## Approach ### Gravity-Inspired similiarity ![gravity-inspired-vae-overview](https://user-images.githubusercontent.com/38134957/165449090-f409022d-2da1-440d-87ab-b89a821e17ee.png) $$ \begin{aligned} \hat{A}_{ij} &= \sigma \left( \log \frac{Gm_j}{\Vert z_i - z_j \Vert_2^2} \right)\\ &= \sigma \left( \underbrace{\log Gm_j}_{\text{denoted}~\tilde{m}_j} - \log\Vert z_i - z_j \Vert_2^2 \right) \end{aligned} $$ 즉, VAE기반의 GNN를 태워 얻은 $\tilde{Z} = [Z; \tilde{M}], Z\in \mathbb{R}^{n \times d}, \tilde{M}\in \mathbb{R}^{n }$ 로 similiarity score $\hat{A}_{ij}$를 예측합니다. ### Loss - VAE 기반의 encoding 모델로 GNN을 사용하였습니다. $$ q(\tilde{Z} \vert A, X) = \Pi_{i=1}^n q(\tilde{z}_i\vert A, X) $$ $$ q(\tilde{z}_i \vert A, X) = \mathcal{N}\left( \tilde{z}_i \vert \mu_i, \text{diag}(\sigma_{i}^2)\right) $$ $$ \begin{cases} \mu = GNN_{\mu}(A, X) \\ \sigma = GNN_{\sigma}(A, X) \end{cases} $$ - $P(A)$ 를 최대화하려면 다음의 ELBO를 최대화 하면 됩니다. (jensen's inequality로 증명 가능). $$ \mathcal{L} = \underbrace{E_{q(Z |A,X)} \left[ \log p(A|Z) \right]}_{\text{Reconstruction Loss}} − \underbrace{D_{KL}(q(Z|A,X) \Vert p(Z))}_{\text{Regularization Loss}}, $$ - Reconstruction Loss - $q$ 에 대한 평균을 구하기 어렵기 때문에 $A$ 가 bernoulli distribution을 따른다는 가정 하에 몬테카를로 근사를 이용해서 cross entropy 를 계산합니다. $$ \mathcal{L}_{Reconstruction} = BCE(A, \hat{A}) $$ - Regularization Loss - 둘 사이의 KL divergence를 구해야하는데 $p(z)$ 를 normal distribution이라 가정하면 다음과 같이 계산됩니다. $$ \mathcal{L}_{Regularization} = \frac{1}{2} \sum_d\sum_i^k exp(\sigma_{ii, b}^2) + \mu_{i, b} - \sigma_{ii, b} - 1 $$ ### Cold Start Similiar Items Ranking warm item 수를 $n$, cold item 의 갯수를 $m$ 이라 하면, adjacent matrix $A \in \mathbb{R}^{(n + m) \times (n +m)}$ 에서 cold item의 row는 zero vector로 masking 됩니다. $A$ 를 GNN 기반의 VAE 모델을 통해 다음과 같이 예측할 수 있습니다. 여기서 $\lambda$ 는 influence 와 proxmity사이의 trade off를 튜닝하는 데 사용되며 이는 popularity bias를 control하는 걸 의미합니다. 이렇게 예측된 similairity로 부터 top $k$ 개를 추천하게 됩니다. $$ \hat{A}_{ij} = \sigma \left( \underbrace{\tilde{m}_j}_{\text{influence of j}} -\lambda \underbrace{\log \Vert z_i - z_j\Vert_2^2}_{\text{proximity of i and j}} \right) $$ ### Other Methods - [VGAE](https://arxiv.org/abs/1611.07308): - Undirected graph 에 대해 $\hat{A} = \sigma \left(z_i^{T}z_j\right)$ 를 통해 예측합니다. 다만, 이렇게 계산하면 symmetric 하다는 단점이 존재합니다. - Sour-Targ GVAE: - Directed graph 에 대해 $\hat{A} = \sigma\left( z_i^{(s)T}z_j^{(t)}\right)$, $z^{(s)} = z[:d/2]$, $z^{(t)}=z[d/2:]$. 단, $d$는 짝수이고, 이렇게 계산하면 non-symmetric이 됩니다. ## Results ### Dataset - [Deezer](https://www.deezer.com/soon) 의 24,270 수의 artist 들로 구성 된 directed graph입니다. - Node feature는 56 dimension을 가지며 다음 component들로 구성되어 있습니다. - Genre vector (32-dim) - Country vector (20-dim) - Mood vector (4-dim) - Train, valid, test 는 8:1:1 로 split. Valid와 test의 경우엔 cold 노드들로 구성되어 있기 때문에 neigbor edge는 masking 되어있습니다. ### Metric - Recall, MAP, NDCG를 사용하였습니다. ### Performance ![exp](https://user-images.githubusercontent.com/38134957/165449118-bc1e4374-4dfa-4f80-a779-c4a7175abe7f.png) - Gravity 매커니즘이 큰 폭으로 outperform하였습니다. - Source.-Targ. 버전이 최근 연구에 대해 약간 우위를 보입니다. Non-symmetric 성질을 띈다는 점에 주목할 수 있습니다. Symmetric인 GAE, GVAE는 더 낮은 걸 보았을때 Non-symmetric 방법이 우수함을 의미합니다. - Source.-Targ. 에서 VAE 가 AE보다 좋은 결과를 보였지만, Gravity 버전에서는 반대의 결과를 보였습니다. 상황에 따라 VAE vs AE의 성능이 달라지게 됩니다. #### Mass parameter - 정성적 분석: 왼쪽은 artist별 mass의 크기와 링크 사이를 visualization 한 결과입니다. 빨간색 노드들이 레게 아티스트들 이고, mass가 큰 것 중에 하나를 예로 들은게 레게의 유명한 아티스트 Bob Marley입니다. - 정량적 분석: 오른쪽은 mass (아티스트들) 사이의 여러 measure (popularity, in-degree, page rank) 로 상관관계 분석을 해보았습니다. 결과를 보았을 때, mass가 높다고 measure 값들이 꼭 높은 것은 아니지만 어느정도 상관관계가 있다는것을 보여주었습니다.
#### Impact of attributes - Node feature를 많이 쓸수록 성능이 향상되었습니다. #### Popularity-diversity trade off - $\lambda$ 를 높힐 수록 popular한 item의 rank 빈도가 많아지고, 줄이면 distance에 의한 계산만 하기 때문에 줄어들게 됩니다. ## Conclusion - 그래프 방법론을 이용하여 similar item 추천을 non-symetric한 상황에서 다루어 성능을 향상시킨 논문입니다. - Cold-start 상황에서 masking, VAE 방법론등의 이점을 적용하였습니다. ### Critical view of points - Cold 아이템의 경우 adjacent 정보를 masking (0으로 패딩)하면 모두 동일한 피쳐로 간주되게 됩니다. - Cold start 상황에 대해서만 평가를 진행해보았을 때의 우위 비교가 없어 아쉬웠습니다. - 실험에 사용된 benchmark 모델들은 비교적 최근 논문이 적어서(STAR-GCN, DEAL 빼곤 옛날 논문이라) 아쉬웠습니다. | Model 이름 | 학회 년도 | 인용수 | | ------------------------------------------------------------ | ---------- | ------ | | [DropoutNet](https://www.cs.toronto.edu/~mvolkovs/nips2017_deepcf.pdf) | NIPS 2017 | 104 | | [Graph VAE](https://arxiv.org/abs/1609.02907) | ICLR 2017 | 1,267 | | [STAR-GCN](https://arxiv.org/abs/1905.13129) | IJCAI 2019 | 72 | | [DEAL](https://arxiv.org/abs/2007.08053) | IJCAI 2020 | 11 | ================================================ FILE: paper_review/recsys/recsys2021/Debiased Explainable Pairwise Ranking from Implicit Feedback.md ================================================ # Debiased Explainable Pairwise Ranking from Implicit Feedback - Paper : - Authors : Khalil Damak, Sami Khenissi, Olfa Nasraoui - Reviewer : hee.yoon - Topics - [#Privacy_Fairness_Bias](../../topics/Privacy,%20Fairness,%20Bias.md) - #Matrix_Factorization - #Explainable_Recommendation - [#RecSys2021](RecSys2021.md) ## Summary - 기존 Bayesian Personalized Ranking(BPR) 대비하여 explainability를 늘리고 exposure bias를 잡은 논문입니다. - 기존 BPR 모델은 설명 불가능한 블랙박스 모델이었습니다. -> a novel explainable loss function and a corresponding Matrix Factorization-based model called Explainable Bayesian Personalized Ranking (EBPR) that generates recommendations along with item-based explanations. - 기존 BPR 모델은 Missing Not At Random (MNAR) 데이터 특성 때문에 exposure bias에 취약했었습니다. -> an unbiased estimator for the ideal EBPR loss. ## Approach ### BPR - objective function: ### Explainable BPR - objective function: - E_ui+ (1 - E_ui-) 부분은 (u, i+, i-) 인스턴스의 컨트리뷰션의 비중을 정하는 역할을 합니다. Positive 아이템의 설명력이 높을수록, negative 아이템의 설명력이 낮을수록 학습 기여도가 높습니다. 결과적으로 생성된 추천결과의 상위 아이템들은 더 높은 설명력을 가질 것이라고 기대할 수 있습니다. - For instance, in the extreme case where either the positive item is not explainable at all or the negative item is completely explainable, the update equation is zeroed out. Hence, no contribution will come from the corresponding instance to the learning. This is reasonable and desirable since the aforementioned case depicts a non explainable preference, where either the positive item is not explainable or the negative item is explainable. Either case undermines the explainability of the preference. (설명가능하지 않은 아이템을 소비한 것은 학습에 포함이 안됩니다. 아래 E_ui 정의를 참고하면, 유저가 소비한 아이템의 이웃 아이템을 유저가 소비한 이력이 없으면 학습에 포함이 안됩니다.) - explainability matrix: - E_ui = items the user interacted from the neighboring items / len(neighboring items) - 이웃한 아이템 중에서 해당 유저와의 인터랙션이 발생한 아이템의 비중입니다. - similarity의 계산: 별도의 데이터가 아닌, rating 메트릭스 기반으로 cosine similarity를 계산합니다. - for a specific item, the more neighboring items a given user has interacted with, the higher the explainability of that item will be to this user. - 학습 시작 전, 미리 계산하는 방식입니다. - - - neighborhood size - - 추천 결과 서빙시 explainability 기반으로 해석된 결과를 제공 가능합니다. (참조 논문에서 언급한 방식) - 참조 논문(Using Explainability for Constrained Matrix Factorization): - item 기반 explainability 사용시: - - user 기반 explainability 사용시: - ### Unbiased Explainable BPR (UEBPR) - objective function: - - 가정 - - Y_u,i: user 가 item 과 인터렉션을 했는지 여부 (예: 클릭 여부) = 노출이 되고, 관련성도 있다 - O_u,i: user 에게 item 이 노출됐는지 여부 - - R_u,i: user 에게 item 이 관련성이 있는지 여부 - - #### Unbiased BPR Loss (UBPR) - objective function: #### Ideal Explainable BPR - objective function: #### Partially Unbiased Explainable BPR (pUEBPR) - objective function: ## Results ================================================ FILE: paper_review/recsys/recsys2021/Evaluating Off-Policy Evaluation- Sensitivity and Robustness.md ================================================ # Evaluating Off-Policy Evaluation- Sensitivity and Robustness - Paper : - Authors : Yuta Saito, Takuma Udagawa, Haruka Kiyohara, Kazuki Mogi, Yusuke Narita, Kei Tateno - Reviewer : iggy.ll - Topics - [#Metrics_and_Evaluation](../../topics/Metrics%20and%20Evaluation.md) - [#RecSys2021](RecSys2021.md) ## Summary - 이 논문의 목표는 online에 올려보지 않고 모델을 평가하는 것입니다. ![image](https://user-images.githubusercontent.com/38134957/165455983-1bb220ad-6dfd-4a13-8289-acb2cd085277.png) - 모델: 유저가 페이지에 접속했을 때, 유저의 정보, 시간 정보 등을 활용해 A안/B안/C안 중 어떤게 나을 지 확률적으로 결정합니다. e.g., [0.4, 0.3, 0,3] ![image](https://user-images.githubusercontent.com/38134957/165455992-47c46f81-78d5-4adb-adde-5324939f8ed3.png) - context x: 유저가 접속한 시간, 유저 정보 등. - action: 보여준 페이지 레이아웃 - reward:유저가 클릭했거나 안 했거나, 우리가 보여준 레이아웃에 따른 유저의 행동 결과(숫자) 여기서 문제는 $p(r_i...)$를 알 수가 없다는 점과, 모델이 아이템을 선택해서 보여주어야 그에 대한 결과를 만들 수 있다는 점이 있습니다. ## Approach Off Policy Evaluation은 두 가지 분류로 나눌 수 있습니다. 1. Direct Method (DM): mean reward 자체를 estimate하는 방법 2. Inverse Propensity Weight (IPW), SNIPW: logging policy, or base policy의 log를 요구하는 방법 그리고 저 두 가지 방법을 함께 사용하는 방법들도 있습니다.: DR, SNDR, Switch-DR, DRos DM은 모델을 하나 더 만들어야 하기 때문에, 이 모델에 관한 하이퍼패러미터를 또 신경써주어야 합니다. ![image](https://user-images.githubusercontent.com/38134957/165455998-662b684f-72fb-4243-b7ad-dfa4b279b2b6.png) ## Conclusion - mean reward를 estimate하기 어렵기 때문에 계열의 방법은 사용하지 않는게 좋을 것 같습니다. - SNIPW가 일반적으로 가장 괜찮았습니다. (적절히 Calibration해줄 수 있다면 IPW를 써도 괜찮을 것 같습니다.) - 적절히 Calibration해줄 수 있다면 logging policy를 estimate한 값으로 (logging policy를 따라하도록 다른 모델을 학습해서) 사용해도 나쁘지 않아 보입니다. - 이건 조금 이상한게, logging policy를 이미 갖고 있으면 이를 사용하지 왜 다른 estimator를 더 만들어야 하는지는 잘 모르겠습니다. ![image](https://user-images.githubusercontent.com/38134957/165456009-7fd20f91-122e-43fd-b3a3-105809c1cfa4.png) ================================================ FILE: paper_review/recsys/recsys2021/Follow the guides- disentangling human and algorithmic curation in online music consumption.md ================================================ # Follow the guides- disentangling human and algorithmic curation in online music consumption - Paper : - Authors : Quentin Villermet, Jérémie Poiroux, Manuel Moussallam, Thomas Louail, Camille Roth - Reviewer : jinny.kk - Topics - [#Applications-Driven_Advances](../../topics/Applications-Driven%20Advances.md) - #Music_Recommendation - [#RecSys2021](RecSys2021.md) ## Summary - Contribution 1. algorithmic guidance에 대한 유저의 태도에 따라 유저군을 선분류하고 각 유저군별로 나눠서 콘텐츠 소비 방식을 분석하였습니다. - “추천”이라는 개입이 유저의 소비 컨텐츠 다양성에 어떤 영향을 끼치는가는 논란이 많은 뜨거운 감자였다. 기존 연구들의 대부분은 유저들을 뭉뚱그려서 혹은 binary category (성별, 나이)로 나누어서 결과를 분석했는데 이 논문의 저자들은 유저가 플랫폼을 사용하는 타입별로 그 영향이 다르게 나타나므로 유저들의 그룹을 access mode에 따라 구분해서 영향을 분석하였습니다. 2. platform recommendation을 algorithmic 과 editorial로 나눠서 살펴보았습니다. 3. platform recommendation과 offline radio recommendation 간의 관계를 살펴보았습니다. - Key Observations - 음악 플랫폼에서 유저들이 음악을 주로 소비하는 경로 access mode (organic, algorithmic, editorial)에 따라 네 가지 유저그룹으로 (a, e, o, o+) 나누고, 유저들이 소비하는 음악의 다양성 (두 가지 디멘션: dispersion & artist popularity)을 유저 그룹별로 복합적으로 분석한 논문입니다. (그래서 정리하면서 좀 헷갈림...) - 소비의 diversity를 두 가지 디멘션에서 보았는데, 유저가 총 소비한 곡들 중 unique 곡들의 비중 측면 (dispersion)과 유저가 소비하는 음악의 아티스트의 인기도 측면 (popularity)입니다. - dispersion 측면에선 - very organic users 보다 어떤 형태로든지 추천을 사용하는 유저들의 dispersion 값이 높았고, - 각각의 유저 클래스에서 각자의 main access mode를 통한 소비의 dispersion이 낮았습니다 (=그쪽에서 exploitation이 일어나는 것을 관찰하였습니다.) - (오프라인 vs 플랫폼) 라디오 프로그램들의 플레이리스트 dispersion < 온라인 플랫폼 내 대부분 유저들의 소비 dispersion - artist popularity 측면에선 - algorithmic user들은 인기 있는 곡을 under-consume했고 editorial user들은 인기 있는 곡을 over consume하는 모습을 보였으며, - 모든 유저 클래스에 대해서 공통적으로 대체로 algorithmic access mode를 통해서는 덜 인기있는 곡들이, editorial access mode를 통해서는 인기 있는 곡들이 소비되는 경향이 보였습니다. - (오프라인 vs 플랫폼) 라디오 플레이리스트나 온라인 플랫폼 유저들이나 곡들의 평균 popularity는 비슷비슷했습니다. - 그리고 dispersion과 artist popularity간에 mild correlation도 관찰되었습니다. ## Results ### Dataset - Deezer (프랑스 음악 스트리밍 플랫폼) 2019년 1년동안 8639명의 구독자들의 play history (총 51m 개) (어떤 유저가 어떤 가수의 어떤 노래를 몇 분간 들었는지) + 노래에 접근한 경로 (access mode) (직접 검색, 추천 등) - 동일 기간동안 프랑스의 라디오 방송국 39곳의 플레이리스트 히스토리를 사용하였습니다. ### User Practices #### Modes of access and user behavior classes - Three types of content access mode - organic (self-selected) - algorithmic (suggested by recommendation engine) - editorial (human curation) - 유저의 플레이 히스토리에서 각각의 access mode의 비율 (Pa (algorithmic), Pe (editorial), Po (organic))에 따라 유저 클래스를 4가지로 분류함. - `fig 1` 에 나타나듯 대부분의 유저가 organic mode 에 많이 의존하고 있긴 한데 - 그럼에도 불구하고 구분이 가능하긴 하고 k means를 통해 `user class`을 4가지로 나누었습니다. - a (989명), e (655명), o (1614명), o+ (5381명) - 각 유저 클래스별로 number of plays의 분포는 비슷했습니다 (= 모든 클래스에는 active한 유저 덜 active한 유저가 모두 있습니다. 평균 activity는 e 유저 클래스에서 다소 낮긴 했습니다) (`fig 1 - right`) #### Two dimensions of diversity - dispersion: (functional diversity - denoting the lack of redundancy in the listening history) - 정의 = S (number of unique songs) / P (number of plays) - `fig 2 - left` - 각 유저 클래스별로 linear model을 fit해서 경향성을 보았더니 모든 유저 클래스에서 activity (P) 와 dispersion은 inverse relationship을 보였습니다. - 하지만 동일 P에 대해선, o+ 인 유저들이 가장 낮은 dispersion을 보였습니다. 즉, algorithmic이든 editorial이든 어떤 형태로든 플랫폼의 추천 모드를 활용하는 유저군들에서 dispersion 값이 더 높게 나타났습니다. - o+ 유저들은 플랫폼을 “digital librarian”이 아니라 “digital library”로 사용하는 것이라고 표현하였습니다. - “even a moderate use of some form of recommendation is generally associated with a higher level of exploration.”라고 해석하였습니다. - `fig 3` - 각 유저 클래스에서 각 access mode 별로 dispersion 값들을 확인했는데 모든 유저 클래스에 대해 각 클래스가 중점적으로 사용하는 access mode에서의 dispersion 값이 낮았다. 예를 들어 algorithmic 유저 클래스에선 alogrithmic access mode에서 dispersion이 낮고 이랬다. - “Users tend to prioritize exploitation in their preferred mode of access, and favor exploration in the others, in terms of more dispersed plays.” - artist popularity (semantic diversity - denoting the tilt toward songs by more popular artists.) - 정의 = 그 아티스트의 곡들의 재생 횟수를 바탕으로 아티스트들을 4개의 인기도 구간으로 나눔 (각 인기도 구간의 재생 횟수 합이 비슷하게 되도록) - 인기도 구간: (높은 인기도) v1 - v2 - v3 - v4 (낮은 인기도) - `Table 2` - 곡들은 아티스트의 인기도에 상관없이 대부분 organic access mode를 통해 소비되는 비중이 가장 높았다. - algorithmic access mode는 중간 인기도의 곡들을 주로 소비하는 통로가 됨을 알 수 있고, editorial access mode는 높은 인기도의 곡들의 비중이 많음. organic은 제일 인기 있거나 제일 인기 낮은 곡들의 비중이 많음. - `fig 4 -left` - artist popularity와 dispersion이 서로 연관이 되어 있다. 인기도 낮은 아티스트 곡 소비하는 (x축 우측) 유저들의 dispersion 값이 더 높더라 (y축). #### User types and access mode biases - user type, access mode, diversity가 어떻게 상호 작용을 하는지 “disentangle”한 그래프가 `fig 5.` 그래프의 y축이 완전히 이해 가는 것은 아님. - 각 유저 타입별로 소비하는 곡들의 인기도 경향성이 어떻게 되는지를 보여준 건데, access mode에 따라 세분화한 게 밑에 있는 그림. - `fig 5 - top` : algorithmic users under-consume popular artists, editorial users over-consume popular artists, organic users favor less popular artists in monotonous manner, and very organic users 는 인기도 양 극단에서의 소비가 “약간 더” 많다. (그림에서 잘 보이지 않기는 하는 듯..) - `fig 5 - bottom` : 유저 타입 구분 없이 모두 전반적으로, algorithmic access로 덜 유명한 아티스트 곡 소비가 되고 editorial access는 인기 있는 아티스트 곡 소비로 치우치고 organic은 그 사이 어디쯤을 보여주는 것으로 해석함. ### The diversity of human-assisted guidance - 바로 위에서 관찰한 것 중에서, algorithm으로는 덜 유명한 곡 소비를, editor들은 유명한 곡 소비를 이끌어내는 경향성이 보인다는 점이 있는데, 이를 좀더 확인하기 위해 전통적인 오프라인의 editorial 추천이라고 볼 수 있는 라디오 프로그램 플레이리스트를 분석했다. - `fig 6 - left` - 대부분의 user type이 라디오 프로그램들보다 높은 dispersion을 보여줬다. 즉 라디오 프로그램은 보다 제한적인 카탈로그에서의 exploitation으로 기울어져 있다는 이야기. - 그리고 색깔 그라데이션 보면 알 수 있듯, dispersion과 popularity의 mild correlation도 볼 수 있다. - `fig 6 - right`: 대부분의 user type이 중간 부근에 있다. 즉 해석하면 “while online music listening practices seem to foster functional diversity (dispersion), in terms of semantic diversity (popularity) they seem, on average, to be neither significantly above nor significantly below the mass of the radios we focus on.” ### Concluding Remarks - future work로 언급하는 것들 - “the chronology of access modes to a song probably carries valuable information.” (특정 곡이 어떤 access mode를 통해 최초 발견되었는가.) - “user trajectories and transitions between classes” ## Conclusion - 우리의 경우도 비즈니스 로직이 항상 끼어 들어가서 human curation에 의한 것과 알고리즘에 의한 것이 복합적으로 섞여 있는 경우가 많은 것 같아서 공감이 되었다. 몇 가지 디테일들은 잘 이해 못 한 것도 있는데, 나름 흥미로운 논문이었다. - (diversity를 functional diversity (number of unique songs played / total number of plays) 와 semantic diversity (popularity) 로 나누고, semantic diversity를 보기 위해 왜 embedding space를 사용한 diversity가 아니라 인기도를 보았는지를 기술했는데, 그 이유가 잘 이해가 안 갔다.) - primary access mode 별로 유저들을 분류하고, 각 access mode 별로 소비하는 음악의 다양성이 어떻게 달라지는지 분석하고, 알고리즘이든 사람이든 큐레이션을 이용하는 유저집단이 좀더 다양한 소비를 한다는 분석 내용이 인상적이었다. - 기존의 filter bubble 효과를 주장한 논문들과는 달리 이 논문에선 오히려 추천 알고리즘을 이용하는 유저군에서 다양성 수치가 높게 나왔다는 점이 의외였고 추천 알고리즘에 의해 filter bubble에 갇힌다가 myth일 수도 있겠다는 생각이 들었다. 문제는 이 논문이 사용한 데이터셋인 Deezer 음악 플랫폼이 사용하는 추천 알고리즘이 무엇인지에 대한 설명이 없다는 점이다. 추천 알고리즘과 filter bubble에 대해 상반된 결론을 내리는 논문들을 다 모아놓고 리뷰해보면 어떨지. ================================================ FILE: paper_review/recsys/recsys2021/I want to break free! Recommending friends from outside the echo chamber.md ================================================ # I want to break free! Recommending friends from outside the echo chamber - Paper : - Authors : Antonela Tommasel, Juan Manuel Rodriguez, Daniela Godoy - Reviewer : iggy.ll - Topics - [#Echo_Chambers_and_Filter_Bubbles](../../topics/Echo%20Chambers%20and%20Filter%20Bubbles.md) - [#RecSys2021](RecSys2021.md) ## Summary - 논문에서 제안하는 GNN 모델에서는 사실 별로 특별히 느끼는 점이 없었습니다. - Echo chamber로 인해 나타날 것이라 생각이 드는 현상이나 가설을 실험으로 잘 재현한다음 풀어내는데, 이게 정말 잘 된 것 같아서 공유합니다. ## Approach ### 친구 추천 유저 집합 U, 아이템 집합 I가 존재한다고 가정하자. 기존의 추천이 다루는 것은 다음과 같습니다. 1. p(r_{ui}\vert u \in U, i \in I) (연관추천) 2. \text{sim}(i \in I, j \in I) (아이템추천) 친구 추천은 p(r_{uv}|u \in U, v \in U)을 푸는 것이 목표입니다. 기존의 데이터는 주로 - 유저-아이템 인터랙션 (u, i, c) where u \in U and i \in I, and c is context w.r.t. user-item relationship. 이런 형태의 데이터가 주어지는데, 친구 추천에서는 다음과 같은 데이터가 새롭게 주어집니다. - 유저-유저 인터랙션 (u, v, c) where u, v \in U, and c is context user-user relationship 그리고 기존의 (u, i, c)가 존재하지 않을 수도 있고, 추천 팀이 담당하는 서비스 중에서는 `mm에서의 친구 추천`이 친구 추천을 요구하는 영역 중 하나입니다. `친구 추천`을 다루는 추천 영역이 지금은 많지 않지만, 지금까지는 이런 문제에 그리 큰 관심이 없었던가, 기존 연관 추천/아이템 추천 문제로 캐스팅해서 풀고 있었던 것 같습니다. 친구 추천이 가진 특성을 활용해서, 연관/아이템 추천을 방법보다 더 좋은 성과를 낼 수 있다면 팀 내에서, 그리고 회사 내의 서비스에 적용할 만한 요소는 많을 것 같습니다. ### (가정) Relevancy보다 Diversity가 더 중요하다. 논문 내에서 암묵적으로 가정하고 있는 것들을 정리해보면 이렇습니다. 친구 관계 그래프에서는 일반적으로 유저들은 작은 그룹(클러스터)로 묶일 수 있고, 유저-유저 인터랙션은 대부분 이 클러스터 안에서 이뤄지고, 또한 한 클러스터 내의 유저들의 아이템 소비 패턴도 유사합니다. 이를 고려하지 않는 추천 시스템이 일반적으로 이 커뮤니티 내부에서만 추천을 만드는 경향이 있습니다. 이를테면, MF 모델을 사용한다면 (클러스터가 완벽히 분리된다고 가정한다면) 큰 interaction matrix M은 사실 다음과 같이 분해될 수 있습니다. $$ M \simeq \begin{bmatrix}M_1 & 0 & 0 \\0 & M_2& 0 \\ 0 & 0 & M_3 \end{bmatrix} $$ 이러한 matrix에 대해 MF 모델은 사실 많은 MF 모델 여러 개를 만드는 것과 유사한 효과를 만듭니다. 또한, 클러스터 밖의 추천/유사도 비교를 힘들게 만듭니다. 따라서, 모델은 클러스터 내부의 유저와 그 유저들이 소비하는 아이템 이외의 추천을 생성하지 않으며, 이 효과는 추천 시스템이 deploy될 수록 고착화된다고 볼 수 있고, 이는 서비스/지표에 해롭습니다. 따라서 Diversity나 Novelty를 고려한 평가가 이뤄져야 한다는 것이 이 논문의 주장인 것 같습니다. 이 가정이 설득력이 있다는 생각은 들긴 하는데, 논문에서 자세한 근거를 제시하지는 않았습니다. ================================================ FILE: paper_review/recsys/recsys2021/Local Factor Models for Large-Scale Inductive Recommendation.md ================================================ # Local Factor Models for Large-Scale Inductive Recommendation - Paper : - Authors : Longqi Yang, Tobias Schnabel, Paul N. Bennett, Susan Dumais - Reviewer : bell.park - Topics - [#Scalable_Performance](../../topics/Scalable%20Performance.md) - #Local_Model - [#RecSys2021](RecSys2021.md) ## Summary - User-Item co-clustering을 사용해서 Local Model의 개수를 늘릴 수 있도록 추천 모델을 디자인한 논문입니다. - User 기준 inductive 상황에서도 모델이 추천 결과를 계산할 수 있도록, item에 대해서만 embedding 을 학습하였습니다. - 추천 성능도 기존 local model, global model 모두에 대해서 개선이 되었습니다. - 그런데, 이걸 local model이라고 부를 수 있는 구조인지 의문이 들었습니다. ## Approach ### 문제 인식 - Local Model은 user subgroup에 대해서만 추천을 하는 모델을 여러개 만들어, subgroup 마다 다른 모델로 추천을 하는 방식입니다. - User subgroup마다 소비 취향이 다를 것이다라는 가정이 있고, 여러 선행 연구에서 괜찮은 접근임이 이미 검증되었습니다. - User subgroup마다 모델을 만들어야 해서, 모델이 무겁다면 subgroup 개수에 제한이 생깁니다. - 선행 연구에서는 대부분 40-50개 수준이고 100개 정도 쓰는 모델(rGLSVD)은 파라미터가 10억개나 됩니다. - Subgroup을 나누는 단계와 Subgroup의 추천을 계산하는 단계가 나뉘어 있고 이로 인해 inductive 상황에서 추천이 어렵습니다. - Subgroup을 나누는 것도 학습이 필요한데, 선행 연구 대부분이 이걸 inductive 상황에서 못하는 모델입니다. (factorization) ### 제안 모델 - 이 논문에서는 User representation을 소비한 item의 embedding으로 표현하였습니다. (Fig1에서 (b)) - item embedding을 N-head self-attention을 돌려서 N 차원 벡터로 표현하였습니다. - Differentiable Latent Co-Clustering에 User representation, Item representation을 넣어서 학습하였습니다. (Fig1에서 (c)) - 이름이 거창하긴 하지만 실제로는 ReLU activation 이후, Min-Sum pooling이 전부입니다. - ReLU 가 negative score를 제거, 클러스터 멤버십 기능을 하게 됩니다. - 학습은 선행 연구(VAE-CF) 따라서 Softmax loss로 학습하였습니다. - 클러스터 개수는 512개에서 2048개까지 늘려보았다고 합니다. ![image](https://user-images.githubusercontent.com/38134957/165453119-86f76cbe-a56d-4fb5-b5eb-548e35e49394.png) ## Results ![image](https://user-images.githubusercontent.com/38134957/165453125-67be3ed8-fe00-46dd-a645-b3ec4c7b52b2.png) - 기존 모델들 대비 성능이 소폭 좋긴한데, 큰 차이는 아닙니다. ![image](https://user-images.githubusercontent.com/38134957/165453135-058c39a8-67d8-4174-b41e-21aae392bc14.png) - 같은 성능을 더 적은 파라미터로 만들었다는데에 의의가 있습니다. ![image](https://user-images.githubusercontent.com/38134957/165453142-8e4006b4-1db4-4b96-b07d-5927f9ac7e62.png) - 클러스터 개수를 늘리면 당연하게도 성능이 추천 증가하게 됩니다. ================================================ FILE: paper_review/recsys/recsys2021/Matrix Factorization for Collaborative Filtering Is Just Solving an Adjoint Latent Dirichlet Allocation Model After All.md ================================================ # Matrix Factorization for Collaborative Filtering Is Just Solving an Adjoint Latent Dirichlet Allocation Model After All - Paper : - Authors : Florian Wilhelm - Reviewer : tony.yoo - Topics - [#Theory_and_Practice](../../topics/Theory%20and%20Practice.md) - #Matrix_Factorization - [#RecSys2021](RecSys2021.md) ## Summary - Matrix Factorization 문제를 Latent Dirichlet Allocation 으로 접근하여 interpretability를 향상시켰습니다. - 추천시트템에 맞게 Bias term을 추가(기존 단점 개선)한 LDA4Rec 을 제안하여 Classic LDA 대비 성능 향상이 있었습니다. - LDA4Rec의 rating 예측으로 MF, NMF(Non-negative MF), SNMF(Semi-NMP)의 personalized ranking 처럼 사용 할 수 있다는 걸 증명하였습니다. (증명 관점에서는 다루지 않겠습니다.) ## Approach ### Matrix Factorization User, item 에 대한 latent vector 에 item에 대한 bias 가 있는 MF를 벤치마킹하였습니다. $$ \hat{x} = < \mathbf{x}_u , \mathbf{h}_i > + b_i $$ ### LDA Approach 아래의 [Probabilistic Graph Model, PGM](https://en.wikipedia.org/wiki/Graphical_model) 을 보면, 관측되는 $i_{us}$ 를 이용하여 다른 변수들을 [EM algorithm](https://en.wikipedia.org/wiki/Expectation%E2%80%93maximization_algorithm) 을 통해 unsupervised 방법으로 학습해나가게 됩니다. (기존 모델은 [smoothed LDA](https://www.jmlr.org/papers/volume3/blei03a/blei03a.pdf)) | 기존 | 변형 | | ------------------------------------------------------------ | ------------------------------------------------------------ | | image-20220111110340092 | LDA4Rec | Notation: $\boldsymbol{\varphi}_k \in \mathbb{R}^{\vert \mathcal{I} \vert}$, $\boldsymbol{\theta}_u \in \mathbb{R}^{\mathcal{\vert K \vert}}$ (보충: $\mathbf{c} \in \mathbb{R}^{\vert \mathcal{I} \vert}$) $$ \begin{align} \delta_i &\sim LogNormal(\mu_\delta, \sigma_\delta) \\ z_{us} &\sim Categorical(\boldsymbol{\theta}_u) \\ i_{us} &\sim p(i_{us} \vert \boldsymbol{\varphi}_{z_{us}}, \delta_i, \lambda_i) \\ p(i_{us} &\vert \boldsymbol{\varphi}_{z_{us}}, \delta_i, \lambda_i) := Categorical(\Vert \mathbf{c} \Vert_1^{-1}\mathbf{c}) \\ \mathbf{c} &= \boldsymbol{\varphi}_{z_{us}} + \lambda_u \cdot \boldsymbol{\delta} \end{align} $$ ## Results ### Datasets - Split: train(90%), valid(5%), test(5%) - The explicit feedback of these datasets was treated as implicit. | Movielens-1M, MoiveLens-100K | Goodbooks | | - | - | | 1 million movie ratings across 6,040 users and 3,706 movies
100 thousand interactions across 610 users and 9,724 movies | 6 million interactions across 53,425 users and 10,001 books | **Note**: LDA4Rec의 evaluation 과정에서 rating 예측을 item 하나씩 해야하기 때문에 유저당 10000개씩만 샘플링 하여 측정하였습니다. > The bottleneck of LDA4Rec is the prediction of the personalized rankings for which we need a high number of samples per user to compute a stable ranking. Thus for each user 10,000 items were sampled. ### Performance - MoiveLens-100K 에서 성능 향상이 있었습니다. ex1 아쉽게도 Goodbooks에서 LDA4Rec 비교가 빠져 있지만, MF가 SNMF 보다 성능 면에서는 우수했습니다. ex2 ## Conclusion - Traditional LDA 를 the popularity of items 과 conformity of user를 통합하여 성능 향상을 이끌어 내었습니다. - MF의 personalized ranking과 NMF, SNMF, LDA4Rec의 personalized ranking으로 transformable하다는 걸 증명하였습니다. - (MF대비) accuracy의 큰 손실 없이 interpretability를 높혔습니다. ### Question & View - Q. Item에 대한 user의 bias로 접근하였는데, 굳이 종속적인 방법으로 할 필요가 있을까? - Evalutaion 이 느리다는 단점 때문에 실용면에서 떨어집니다. - Q. Latent representation의 most_similar 값으로 추천을 하면 성능이 어떨까? - Accuracy 손실이 적다고 했는데, 데이터 셋 향샹을 보인건 겨우 movielen-100K 뿐입니다. - Q. MRR과 recall은 높지만, precision이 좀 떨어지는 걸로 봐서 implicit nDCG 측정이 있었다면 어땠을까? ================================================ FILE: paper_review/recsys/recsys2021/Mitigating Confounding Bias in Recommendation via Information Bottleneck.md ================================================ # Mitigating Confounding Bias in Recommendation via Information Bottleneck - Paper : - Authors : Dugang Liu, Pengxiang Cheng, Hong Zhu, Zhenhua Dong, Xiuqiang He, Weike Pan, Zhong Ming - Reviewer : charlie.cs - Topics - [#Privacy_Fairness_Bias](../../topics/Privacy,%20Fairness,%20Bias.md) - #Bias - [#RecSys2021](RecSys2021.md) ## Summary - 추천 시스템에서 수집한 feedback 데이터의 bias를 효율적으로 완화(alleviate)할 수 있는 debiased information bottleneck (DIB) objective function을 제시하였습니다. - 제시된 DIB objective function은 intractable 한데, 이를 information theory에 기반하여 tractable 한 solution으로 derive할 수 있었습니다. - 기존 추천 시스템에서 debiased를 위한 대부분의 방법들은 bias generation process를 고려하지 않았기 때문에 특정 bias 가 발생하는 현상에서만 적용할 수 있는 문제가 있었습니다. - Related works: (1) heuristic-based (2) inverse propensity score-based (3) unbiased data augmentation (4) some theoretical tools-based - 해당 논문에서는 confounding bias 라는 포괄적 형태의 bias를 정의하고, 이 bias를 완화하는 것에 초점을 두었습니다. ## Approach ### Confounding Bias ![image](https://s2.loli.net/2022/01/11/wOSW7EnrHGF3CuR.png) - 일반적인 추천 시스템의 feedback event 생성 process는 Figure 1.(a)와 같습니다. - variable (the feature vector) `x`는 다음과 같은 세개의 변수로 구성되어 있다고 가정 - Instrumental variables `I`, Confounder variables `C`, Adjustment variables `A` - 세 변수 중 `I`와 `C`는 treatment `T` 를 결정하고, 이는 outcome `y`에 간접적으로 영향을 미침 - `T`는 시스템이 추천할 아이템을 선택하거나 아이템들을 rank 하는 과정을 의미하고, `y`는 추천 결과 (e.g. click) - 이 부분에서 position bias, popularity bias와 같은 다양한 bias가 feedback에 영향을 줌 - `C` 와 `A`는 직접적으로 `y` 에 영향을 미침 - unbiased feedback이 생성됨 - 세 변수에 대한 구체적인 정의는 없지만, site된 논문(*Learning disentangled representations for counterfactual regression, ICLR 2020*)에서 예시를 통해 어느정도 이해할 수 있었음 - 어떤 환자에 대한 context `x`를 기반으로 치료 방법 `T`를 정하고, 치료에 따른 결과 `y`가 있다고 가정 - `I`는 환자의 재정 상태를 나타낼 수 있음: 부자면 높은 수준의 치료를 받거나 가난하면 저렴한 치료를 받아야 한다. 다만, 이것이 직접적으로 치료 결과에 영향을 미치진 않음 - `C` 는 환자의 나이를 나타낼 수 있음: 나이에 따라 어떤 치료를 받는지도 결정되고, 나이가 치료 결과에 직접적인 영향을 미침 - `A`는 환자의 유전적 정보를 나타낼 수 있음: 유전적 정보를 가지고 어떤 치료를 받을지는 일반적으로 고려하진 않지만, 이것이 치료 결과에 직접적인 영향을 미침 - Confounding bias는 특정 bias들의 collection을 나타내며, 추천 시스템에서 간접적인 영향으로 인해 발생하는 the confusion of the observed feedback을 의미하게 됩니다. - 쉽게 말하면 Figure 1.(a) 와 1.(b)의 차이가 confounding bias - Figure 1.(b)는 `x`를 고려하지 않은 추천이므로, uniform random 추천을 생각할 수 있습니다. ### The proposed method: DIB objective function ![image](https://s2.loli.net/2022/01/11/AMLDoOWieNzfFnp.png) - 이 논문에서는 위에서 언급한 confounding bias가 embedding representation에 반영된다고 가정하고, embedding vector에 포함된 biased component `r`과 unbiased component `z`를 각각 학습 후, 실제 추천을 진행할 때는 `z`로만 구성된 feature vector로 treatment `T`를 선택하는 방향을 제시하였습니다. - `r`과 `z`를 제대로 학습하기 위해서는 다음과 같은 조건들을 만족해야 합니다. 1. biased된 변수의 영향을 줄이기 위해서 `z` 가 `x`에 대해 overfit 되면 안됩니다. 2. `z`는 label `y`를 정확하게 예측할 수 있도록 학습합니다. (direct effect 최대화) 3. `r`과 `z` 는 가능한 독립이어야 합니다. (to get a better distinction) 4. `r` 도 (`z` 정도 까지는 아니지만) `y` 를 예측할 수 있도록 학습합니다. (indirect effect) - 위와 같은 네 가지 조건을 만족하기 위해 다음과 같은 DIB objective function을 최소화 하는 방향으로 학습합니다. ![image](https://s2.loli.net/2022/01/11/t4miVPOTF3BjWwc.png) - `I(z;x)` 는 `x`와 `z`의 mutual information을 나타냅니다. - 이 함수는 최적화 하기에는 intractable 하므로, information theory에 기반하여 다음과 같이 conditional entropy 형태로 표현할 수 있습니다. ![image](https://s2.loli.net/2022/01/11/3HfXnKrsVFodJlw.png) - (a)는 `y`와 `y_z`간 cross entropy, (b)는 `y` 와 `y_r` 간 cross entropy, (c)는 `y`와 `y_{z,r}` 간 cross entropy - 여기서 `y_z`는 unbiased component `z`를 사용해서 생성된 label 이고, `y_r` 과 `y_{z,r}` 도 비슷한 맥락으로 생성된 label - (d)는 embedding representation의 robustness를 추가하기 위한 regularization term - variational approximation을 활용하여 `z`는 Gaussian 분포를 따른다고 가정했습니다. ### Complement optimization process of DIB ![image](https://s2.loli.net/2022/01/11/TiRa7SY62OHDKdX.png) ## Results - 기존의 추천 모델 Matrix Factorization (MF)과 neural collaborative filtering (NCF)에 DIB를 적용하여 학습했을 때, 상대적으로 어느정도의 성능 향상이 있는지 실험하였습니다. - 측정 metrics: AUC, precision (P@K), recall (R@K), 그리고 nDCG(@50) - 두 개의 dataset을 사용: Yahoo! R3, Product - Yahoo! R3: 15,400 명 사용자의 1,000개 곡에 대한 ratings - Product: 300,000 명 사용자의 122개 광고에 대한 click records - test를 위해 unbiased 데이터를 확보해야 하는데, 이를 위해 일정 유저 군에게 랜덤 추천을 진행했다고 합니다. - Baselines - MF, NCF (classic reco models) / IPS, SNIPS (IPS-based) / AT, Rel, CVIB (theoretical tools-based) ### MF ![image](https://s2.loli.net/2022/01/11/CD2OhbjpTRe3ukA.png) - 제안한 DIB-MF가 가장 높은 성능을 보였습니다. - dataset 사이즈가 커질수록 상대적으로 높은 성능을 보였습니다. ### NCF ![image](https://s2.loli.net/2022/01/11/LGXFpr7stONHVjd.png) - metric@K 가 높을수록 좋은 성능을 보였습니다. ================================================ FILE: paper_review/recsys/recsys2021/Negative Interactions for Improved Collaborative Filtering- Don’t go Deeper, go Higher.md ================================================ # Negative Interactions for Improved Collaborative Filtering- Don’t go Deeper, go Higher - Paper : - Authors : Harald Steck, Dawen Liang - Reviewer : marv.20 - Topics - [#Theory_and_Practice](../../topics/Theory%20and%20Practice.md) - #Netflix - #High-Order_Interactions - [#RecSys2021](RecSys2021.md) ## Summary - Collaborative Filtering 모델에서 higher-order interaction을 어떻게 할 것인지에 대한 방법론을 새롭게 제안하고 있습니다. - Linear full-rank model을 통해 higher-order interaction을 넣을 수 있게 하였고, 그 결과 큰 데이터셋에서 딥러닝 기반 방법론들보다 좋은 성능을 보였습니다. ## Approach 이 논문이 다루는 모델은 SLIM -> EASE(Embarrassingly Shallow AutoEncoder) -> Pair(this paper) 순으로 발전시켰습니다. EASE와 이 논문에서 제안한 Pair만 보면 다음과 같습니다. ### EASE - - hidden layer가 없는 autoencoder 모델입니다. 파라미터는 item-item weight matrix $B$입니다. objective는 다음과 같습니다. 이 때 X는 interaction matrix, F는 Frobenius norm을 의미합니다. ![image](https://user-images.githubusercontent.com/38134957/165149044-ef3a3166-7cf8-4f72-a7e4-a0f62376bd15.png) - solution은 다음과 같습니다. ![image](https://user-images.githubusercontent.com/38134957/165149050-9ad54dd4-a2e0-4f84-a84a-274f0beae18b.png) ### Pair (this paper) - Relation의 용어에 대한 설명은 다음과 같습니다. - pairwise($B_{ij}$ ) : 유저가 item i를 소비하였을 때, item j 의 선호 예측값을 의미합니다. 따라서 유저가 i랑 k를 소비 한다면, item j에 대한 선호도 예측값은 가 됩니다. - triplet : $(i, k, j)$는 위 정보를 바로 반영합니다. 유저가 i, k를 소비하였을 때 item j에 대한 선호도 예측값을 의미합 니다. - EASE 구조에 higher-order matrix를 추가한 간단한 extension입니다. EASE에서 학습하는 파라미터 은 각각의 의 미가 item i와 item j의 pairwise한 관계를 캡쳐한다고 볼수 있습니다. 따라서 유저가 i와 k 2개의 아이템을 볼 경우 이를 모델은 $B_{ij} + B_{kj}$를 통해 점수를 내게 됩니다. 이를 직접적으로 넣기 위해서, triplet relation (i, k, j)와 같은 higher order interaction을 뽑아서 넣어주었습니다. 이 때 넣을 수 있는 relation이 매우 커지는 데, 이는 등장 횟수로 잘라주었습니다. ![image](https://user-images.githubusercontent.com/38134957/165149170-88ca1444-63ad-4974-a35d-f5c3be75f5d8.png) - EASE 구조를 이해한다면, 옆에다가 간단한 triplet relation matrix만 추가되었다고 보시면 됩니다. ![image](https://user-images.githubusercontent.com/38134957/165149222-fde9d3a5-dbbb-42d4-9ceb-88150dc537f9.png) ## Results - triplet ralation을 추가함에 따라, VAE관련 모델들과 유사하거나 특정 데이터셋에서는 더 좋은 성능을 보여주었습니다. ![image](https://user-images.githubusercontent.com/38134957/165149511-222df3aa-d06f-4180-a1eb-46d4e49be98f.png) - 이 그림은 higher order interaction이 score에 어떤 역할을 하는지를 보여주는 겁니다. pairwise relation은 positive value에 치중되어 있고, triplet relation은 negative value에 치중되어 영향을 줍니다. ![image](https://user-images.githubusercontent.com/38134957/165149528-e60a1189-495b-4b1f-8345-fae5128c2e7f.png) ## Conclusion - 아직까지도 단순한 user-item interaction feature를 가지고도 발전할 여지가 많습니다. 위 구조는, 기존 EASE에다가 정 말 단순하게 많이 등장하는 triplet을 넣어서 학습한 구조이기 때문에 확장이 매우 쉽습니다. 그럼에도 기존 다양한 딥러닝 기반 방식들보다 성능이 비슷하거나 더 좋다는 것은, 온라인 실험상에서의 이점까지 고려할 때 좋은 모델인 것 같습니다. 식 이 쉬운것도 좋은 것 같습니다. - 다만 이 high-order interaction을 단순히 등장 횟수로만 자르는 건 cf의 약점인 cold-start item들에 대해 더 취약해질 것 같습니다. ================================================ FILE: paper_review/recsys/recsys2021/Next-item Recommendations in Short Sessions.md ================================================ # Next-item Recommendations in Short Sessions - Paper : - Authors : Wenzhuo Song, Shoujin Wang, Yan Wang, Shengsheng Wang - Reviewer : marv.20 - Topics - [#Algorithmic_Advances](../../topics/Algorithmic%20Advances.md) - #Sequential_Recommendation - #Cold_Start - #Few-Shot_Learning - [#RecSys2021](RecSys2021.md) ## Summary - 짧은 길이의 세션에 대해, 유사한 유저들의 세션을 가져온 다음(global module), 유저의 현재 세션과 결합(local module)한 뒤 Few-Shot Learning을 통해 추천(prediction module)하는 모델을 제안하였습니다. - Delicious, Reddit 데이터셋에서 기존 single / multi session 기반 모델들보다 좋은 성능을 보여주었습니다. 세션길이가 짧을 때 더 우수한 상대 지표를 보여주었습니다. ## Approach ### 1. 문제 정의 - 실제 환경에서의 세션 기반 추천에서 대부분은 매우 짧은 세션입니다. 짧은 세션에서는 문맥에 대한 정보가 매우 제한적이고, 유사한 유저의 정보를 효율적으로 사용하지 못하며, 관련 있는 세션들을 어떻게 결합할 지에 대한 연구도 잘 이뤄지지 못했습니다. - 이 논문에서는 현재 세션과 유사한 세션을 찾고, 이를 현재 세션의 정보와 결합하여 추천을 내보내는 INSERT 모델을 제안하였습니다. ### 2. 모델 구조 ![image](https://user-images.githubusercontent.com/38134957/165445878-9401f397-dd0f-4e7d-9d21-b07ed0e9c092.png) - Global Module : 유사한 유저들의 세션 정보를 활용하는 모듈입니다. - Candidate Similar Session Sets : 같은 아이템을 얼마나 interact하는 지의 여부로 판단됩니다. - Session Encoder : weighted sum of item embedding입니다. - SSRN : candidate에서 item embedding 각각에 대해 RNN을 구한 다음 similarity의 max pool을 취하게 됩니다. ![image](https://user-images.githubusercontent.com/38134957/165445889-6967f8e4-0a42-4055-9526-898bfd4d42ad.png) - Local Module : item sequence -> GRU - Prediction Module : MLP + softmax ## Results ![image](https://user-images.githubusercontent.com/38134957/165445895-50c7edb3-0f98-4e93-ba34-5f070497c0e3.png) ![image](https://user-images.githubusercontent.com/38134957/165445903-1bc7da8b-2913-491e-8ea5-e7a9a7e6a79f.png) - Delicious, Reddit에서 짧은 세션들을 뽑아 평가하였습니다. - 논문에서 제안된 모델이 기존 session-based 모델들보다 짧은 세션에서 더 좋은 성능을 보였습니다. ## Conclusion - FSL이라고 하지만 FSL의 장점인 in-context learning이 잘 발휘되어 보이지는 않았습니다. - 세션 기반 추천에서 유사 유저의 세션을 넣는 방법은 참고할 만한 부분인 것 같습니다. ================================================ FILE: paper_review/recsys/recsys2021/ProtoCF- Prototypical Collaborative Filtering for Few-shot Item Recommendation.md ================================================ # ProtoCF- Prototypical Collaborative Filtering for Few-shot Item Recommendation - Paper : - Authors : Aravind Sankar, Junting Wang, Adit Krishnan, Hari Sundaram - Reviewer : matthew.g - Topics - [#Language_and_Knowledge](../../topics/Language%20and%20Knowledge.md) - #Few-Shot_Learning - [#RecSys2021](RecSys2021.md) ## Summary - Long-tail item (interaction 갯수가 작은 대다수의 아이템) 에 대해서 성능을 떨어지는 문제를 개선하고자 한 논문입니다. - Item side information 없이 neural base recommender의 capability 만을 이용한 것이 특징입니다. ### Contribution - Few-shot Item Recommendation - 피드백이 풍부한 head item으로 base recommender를 학습한 뒤, 이를 기반으로 fine-tuning하는 컨셉입니다. - Tail item의 단점인 head item과의 distribution mismatch 를 극복하고자 하였습니다. - 피드백이 풍부한 head item 데이터를 Meta Learning set up (support set & query set) 으로 변경하였습니다. - Data-rich head item에 대한 interaction으로부터 데이터를 sub-sampling하여 tail item의 피드백과 비슷한 distribution을 모사하였습니다. - Discriminative Prototype Learning - Tail item이 sparse interaction을 가진다는 단점을 보완하고자 하였습니다. - 특정 그룹을 대표하는 벡터들을 이용하여 Base Recommender를 teacher로 삼고 Knowledge Distilation을 진행하였습니다. - Architecture-agnostic Knowledge Transfer - Base recommender로 아무 NN 모델 (CF, GNN, AE 등)이나 사용 가능하다는 장점이 있습니다. ## Approach ![image](https://user-images.githubusercontent.com/38134957/165454645-80f8cb0a-7010-4714-8733-47dc73cbfd42.png) - ProtoCF Framework - head item으로 Neural Recommender를 pre-train합니다. - tail item을 head item의 특징을 이용하여 분류할 수 있도록 Meta Learning (1) / Knowledge Distillation (2) 을 적용합니다. - (1) 과 (2)를 gate algorithm으로 섞어서 각 아이템을 나타내는 $e_i$를 구합니다. ### Preliminaries - user/item encoder의 자세한 구조는 이해하지 않아도 됩니다. ![image](https://user-images.githubusercontent.com/38134957/165454668-11019734-63a6-4d4e-b314-d60b0658cf3c.png) - user/item latent feature 간의 dot product와 실제 feedback으로 손실함수를 생성합니다. ![image](https://user-images.githubusercontent.com/38134957/165454676-8092178e-f18b-4f9f-b6a4-8ab5e05f7b97.png) - 아이템 간의 proximity (유사도) 를 구해내서 이를 knowledge distillation 단에서 사용합니다. ![image](https://user-images.githubusercontent.com/38134957/165454684-224a27fe-12fc-43ce-828c-3dcb8e4d40c8.png) ### Pre-trained Neural Based Recommender - head item 만을 이용하여 user/item encoder를 생성합니다. - 다양한 종류의 모델을 아무거나 사용할 수 있습니다. (논문에서는 BPR, VAE, CDAE를 사용함.) - 대신, NN 모델이여야 합니다. - tail item에 대해서도 embedding을 뽑아낼 수 있도록, 또한 이후에 knowledge distillation을 이용하여 학습시킬 수 있도록 위함입니다. ### Few-Shot Item Recommendation meta learning 방식으로 데이터 셋을 쪼개서 학습을 진행하였습니다. #### Task Formulation - head item 데이터를 sub-sampling하여 tail item 과 비슷한 상황을 가진 데이터 형태로 모사하였습니다. - 전체 head item 중 개의 아이템만 샘플링하였습니다. - head item i에 대해서 support set, query set으로 나누어서 meta learning방식으로 학습을 진행하였습니다. ![image](https://user-images.githubusercontent.com/38134957/165454705-d58d10d4-b8ac-4e5c-a0ec-cc7582317c51.png) #### Item Prototype & Knowledge Distillation - item 에 대한 representation을 mean vector of the embedded support user set S_i 로 표현하였습니다. - 논문에서는 아이템을 소비한 유저들을 중심으로 한 clustering의 결과로 해석하였습니다. ![image](https://user-images.githubusercontent.com/38134957/165454713-2f76743c-804d-4c58-9380-0352e323c8f4.png) - 그러나 해당 prototype만으로는 문제가 있는데, - 데이터가 매우 sparse해서 tail item에 대해서는 해당 값이 매우 noisy할 수 있습니다. - tail item에 대해서는 데이터의 분별력이 떨어지므로, 아이템 별로 거의 비슷한 값이 나올 수 있습니다. - 추가적으로 분별 가능한 inductive bias 역할을 하는 새로운 term이 필요합니다! #### Group Embedding - tail item을 좀 더 분별력 있게 설명하려면 head item과의 item - item proximity를 이용할 수 있습니다. - 그러나 아이템의 갯수가 많아지게 되면 pairwise proximity 를 직접 저장하고 불러오는 데에 한계가 생깁니다. - 따라서, Group Embedding 을 이용하여 item - item proximity를 저차원으로 묘사합니다. ![image](https://user-images.githubusercontent.com/38134957/165454723-e40ea681-8fdc-407e-b172-a5b3ff19ecc0.png) - 직관적으로 생각해서 의 각 벡터가 아이템의 특정한 정보 (국가, 카테고리, 장소, 업종) 등을 표현한다고 생각하면 됩니다. (MMoE랑 비슷한 느낌으로 이해하면 좋을 듯.) - Group enhanced prototype $g_i$-> $z_i$와 $p_i$를 learnable parameter를 이용하여 attention을 처리하였습니다. ![image](https://user-images.githubusercontent.com/38134957/165454757-cc599602-a7f7-40a6-8c95-32db9d4ca7bb.png) #### Knowledge Distillation - Base Recommender를 통해 구한 item-item proximity에 대한 정보를 $Z_M$에 심습니다. - $R_B$을 기준으로 i와 가장 비슷한 아이템 n=10개의 아이템에 대해서 - base recommender / group-enhanced prototype 간의 Cross Entropy를 최소화하고자 하는 것입니다. ![image](https://user-images.githubusercontent.com/38134957/165454773-0b40f9f1-ee4c-474b-864f-ac2c9dbcf80c.png) ### Final Item Embedding - $R_B$, $Z_M$로 구한 item embedding의 gated result로 최종 item embedding $e_i$를 구할 수 있습니다. ![image](https://user-images.githubusercontent.com/38134957/165454780-0f1df03f-fdce-44ce-b91e-61bad1458cd2.png) ### Few-shot Recommender Training - query set Q를 이용하여 query set에 속한 user와의 relevance score를 생성합니다. (by cosine similiarity) - 이 때 pair 는 값이 애초에 1이므로 Negative Cross Entropy를 최소화하는 방향으로 학습 진행하면 됩니다. ![image](https://user-images.githubusercontent.com/38134957/165454796-cdcfc957-e5fc-4286-9cfe-f978a026a337.png) - 이 때 p_F를 구하는 방법으로 두 가지 방식이 있습니다. - Multimodial Log-Likelihood ( 에 속하는 모든 아이템에 대한 softmax) - Logistic Log-Likelihood ## Results ### Overall - Epinions, Yelp, Weeplaces, Gowalla에서 실험을 진행하였습니다. - NCF Autoencoder > latent-factor models - ProtoCF는 SOTA를 overall item에서 앞서는 것을 확인할 수 있었습니다. ![image](https://user-images.githubusercontent.com/38134957/165454805-57c15ef4-2d29-4b67-9a8d-85a16e47cd5c.png) ### Few-shot Recommendation Result - interaction 갯수가 적은 구간일수록 ProtoCF >> baseline 경향이 강해졌습니다. - 아래 지표는 item들을 popularity 순서대로 그룹화한 것인데, interaction 갯수가 낮은 구간에서 성능 차이가 더 발생하는 것을 확인할 수 있었습니다. ![image](https://user-images.githubusercontent.com/38134957/165454818-c911170a-7571-49f8-aa3a-c54b2b347f98.png) ### Ablation Study - few-shot performance (long tail items with less than 20 interactions) 만을 기재하였습니다. - 모든 부분이 critical 하게 성능에 영향을 준 것은 아니나 (모델 자체가 와 의 앙상블이므로) 각 모듈이 성능 향상에 영향을 끼쳤습니다. ![image](https://user-images.githubusercontent.com/38134957/165454837-af5810a4-a248-4298-b710-371b86431932.png) ### Parameter Sensitivity - $\lambda=0.01$ 에서 제일 성능이 좋고, 이후에는 커질수록 성능이 하락하였습니다. - $N$(task에서의 sample size)는 클수록 성능이 좋아지는 것을 확인할 수 있었습니다. ================================================ FILE: paper_review/recsys/recsys2021/RecSys2021.md ================================================ # RecSys2021 - ["Serving Each User"- Supporting Different Eating Goals Through a Multi-List Recommender Interface]("Serving%20Each%20User"-%20Supporting%20Different%20Eating%20Goals%20Through%20a%20Multi-List%20Recommender%20Interface.md) - [Accordion- a Trainable Simulator for Long-Term Interactive Systems](Accordion-%20a%20Trainable%20Simulator%20for%20Long-Term%20Interactive%20Systems.md) - [Burst-induced Multi-Armed Bandit for Learning Recommendation](Burst-induced%20Multi-Armed%20Bandit%20for%20Learning%20Recommendation.md) - [Cold Start Similar Artists Ranking with Gravity-Inspired Graph Autoencoders](Cold%20Start%20Similar%20Artists%20Ranking%20with%20Gravity-Inspired%20Graph%20Autoencoders.md) - [Debiased Explainable Pairwise Ranking from Implicit Feedback](Debiased%20Explainable%20Pairwise%20Ranking%20from%20Implicit%20Feedback.md) - [Evaluating Off-Policy Evaluation- Sensitivity and Robustness](Evaluating%20Off-Policy%20Evaluation-%20Sensitivity%20and%20Robustness.md) - [Follow the guides- disentangling human and algorithmic curation in online music consumption](Follow%20the%20guides-%20disentangling%20human%20and%20algorithmic%20curation%20in%20online%20music%20consumption.md) - [I want to break free! Recommending friends from outside the echo chamber](I%20want%20to%20break%20free!%20Recommending%20friends%20from%20outside%20the%20echo%20chamber.md) - [Local Factor Models for Large-Scale Inductive Recommendation](Local%20Factor%20Models%20for%20Large-Scale%20Inductive%20Recommendation.md) - [Matrix Factorization for Collaborative Filtering Is Just Solving an Adjoint Latent Dirichlet Allocation Model After All](Matrix%20Factorization%20for%20Collaborative%20Filtering%20Is%20Just%20Solving%20an%20Adjoint%20Latent%20Dirichlet%20Allocation%20Model%20After%20All.md) - [Mitigating Confounding Bias in Recommendation via Information Bottleneck](Mitigating%20Confounding%20Bias%20in%20Recommendation%20via%20Information%20Bottleneck.md) - [Negative Interactions for Improved Collaborative Filtering- Don’t go Deeper, go Higher](Negative%20Interactions%20for%20Improved%20Collaborative%20Filtering-%20Don’t%20go%20Deeper,%20go%20Higher.md) - [Next-item Recommendations in Short Sessions](Next-item%20Recommendations%20in%20Short%20Sessions.md) - [ProtoCF- Prototypical Collaborative Filtering for Few-shot Item Recommendation](ProtoCF-%20Prototypical%20Collaborative%20Filtering%20for%20Few-shot%20Item%20Recommendation.md) - [Reverse Maximum Inner Product Search- How to efficiently find users who would like to buy my item?](Reverse%20Maximum%20Inner%20Product%20Search-%20How%20to%20efficiently%20find%20users%20who%20would%20like%20to%20buy%20my%20item%3F.md) - [Semi-Supervised Visual Representation Learning for Fashion Compatibility](Semi-Supervised%20Visual%20Representation%20Learning%20for%20Fashion%20Compatibility.md) - [Shared Neural Item Representation for Completely Cold Start Problem](Shared%20Neural%20Item%20Representation%20for%20Completely%20Cold%20Start%20Problem.md) - [Sparse Feature Factorization for Recommender Systems with Knowledge Graphs](Sparse%20Feature%20Factorization%20for%20Recommender%20Systems%20with%20Knowledge%20Graphs.md) - [The role of preference consistency, defaults and musical expertise in users’ exploration behavior in a genre exploration recommender](The%20role%20of%20preference%20consistency%2C%20defaults%20and%20musical%20expertise%20in%20users’%20exploration%20behavior%20in%20a%20genre%20exploration%20recommender.md) - [Together is Better- Hybrid Recommendations Combining Graph Embeddings and Contextualized Word Representations](Together%20is%20Better-%20Hybrid%20Recommendations%20Combining%20Graph%20Embeddings%20and%20Contextualized%20Word%20Representations.md) - [Top-K Contextual Bandits with Equity of Exposure](Top-K%20Contextual%20Bandits%20with%20Equity%20of%20Exposure.md) - [Towards Source-Aligned Variational Models for Cross-Domain Recommendation](Towards%20Source-Aligned%20Variational%20Models%20for%20Cross-Domain%20Recommendation.md) - [Toward Unified Metrics for Accuracy and Diversity for Recommender Systems](Toward%20Unified%20Metrics%20for%20Accuracy%20and%20Diversity%20for%20Recommender%20Systems.md) - [Transformers4Rec- Bridging the Gap between NLP and Sequential & Session-Based Recommendation](Transformers4Rec-%20Bridging%20the%20Gap%20between%20NLP%20and%20Sequential%20&%20Session-Based%20Recommendation.md) - [Values of Exploration in Recommender Systems](Values%20of%20Exploration%20in%20Recommender%20Systems.md) ================================================ FILE: paper_review/recsys/recsys2021/Reverse Maximum Inner Product Search- How to efficiently find users who would like to buy my item?.md ================================================ # Reverse Maximum Inner Product Search- How to efficiently find users who would like to buy my item? - Paper : - Authors : Daichi Amagata, Takahiro Hara - Reviewer : iggy.ll - Topics - [#Scalable_Performance](../../topics/Scalable%20Performance.md) - #Inner_Product_Search - [#RecSys2021](RecSys2021.md) ## Summary ## Approach ### Notations - u_i in Q (User vectors) - p_j in P (Item vectors) - : dot product between a and b. ### Maximum Inner Product Search (MIPS) Given a user u_i \in Q, Find \text{Topk}(u_i) = \text{argtopk}_{p_j \in P} ### Reverse Inner Product Search (R-MIPS) Given an item q \in P, Find a set of users u_i such that q \in \text{TopK}(u_i) ### Main claim with simple preprocessing, those three questions can be answered in constant time: 1. Given query item q is included in \text{Topk}(u_i) of the user u_i 2. Given query item q is not included in \text{Topk}(u_i) of the user u_i 3. Given query item q is not included in \text{Topk}(u_i) of all users u_i of some (not any) set of users u_i, or block B. #### Constructing Block B 1. Perform Descending Sort Q, P according to their L2 norm. i.e., \|\|u_i\|\| \geq \|\|u_j\|\| if i < j. 2. appropriately partition user vectors Q. e.g., Q = [u_1, u_2, ...,u_6], then B_1 = [u_1,u_2, u_3], and B_2 = [u_4, u_5, u_6] 3. define L_i (it is easier to write in python here) `L_i = np.array(sorted(dot(u_i, P[:50, :]), ascending=False))` `L(B) = np.min([L_i for u_i in B], axis=0)` L_i is sorted values of dot products between user u_i and item vectors with top-k norms. Claim 1. Given u_i, q, if \leq L_i[k], then q \notin \text{TopK}(u_i) proof: L_i[k] is dot product between u_i and item p such that p is in top-K ranking in norm. Thus p cannot be higher than rank k and dot product with q is lower than dot product with p. Thus q cannot be in \text{TopK}(u_i) Claim 2. Given u_i, q, if \geq \|\|u_i\|\| \|\| p_k\|\|, then q \in \text{TopK}(u_i) proof: Let p to be a true top-k item. \|\|u_i\|\| \|\| p\|\| \geq \|\|u_i\|\| \|\| p_k\|\| \geq holds. Thus q must be in top-k ranking Claim 3. Given q, a block B and u_i is a first vector in B, \|\|u_i\|\| \|\|q\|\| \leq L(B)[k], then q \notin \text{TopK}(u_i) for all u_i \in B proof: \max_{u_i \in B} \leq \|\|u_i\|\| \|\|q\|\| \leq L(B)[k]. Then by Claim 1, it holds ### Procedure ```text given item query vector q ret = {} for B in Blocks: if we can skip block B using Claim 3: continue; for u in B: if we can skip u using Claim 1: continue if u, q satisfy Claim 2: ret.add(u) else: let TopK(u) using exhaustie search; if q in TopK(u) ret.add(u) return ret ``` Note: - We can parallelize easily along with Blocks. - Worst Case bound is equal to Exhaustive Search - No theoretical bound is given ## Conclusion - 생각해보면 쓰이는 수학/프로그래밍 테크 기술이 난이도가 고등학교때 기하와 벡터 배웠을 때 딱 그 정도만 쓰는 것 같은데 아이디어가 진짜 좋은 것 같습니다. - 개선 여지가 많은 것 같다. 특히, Block Construction 부분에서, 블록 내부의 벡터들의 순서나, 블록 사이의 관계 측면에서 뭔가 개선할 여지가 있을 것 같은데 하는 생각이 듭니다. 아이디어를 일부로 약간만 풀고 세부적인 테크닉들은 공개 안 한 것 같습니다. ================================================ FILE: paper_review/recsys/recsys2021/Semi-Supervised Visual Representation Learning for Fashion Compatibility.md ================================================ # Semi-Supervised Visual Representation Learning for Fashion Compatibility - Paper : - Authors : Ambareesh Revanur, Vijay Kuma, Deepthi Sharma - Reviewer : matthew.g - Topics - [#Real-World_Concerns](../../topics/Real-World%20Concerns.md) - #Semi-Supervised_Learning - [#RecSys2021](RecSys2021.md) ## Summary - Semi-Supervised Learning을 사용한 다른 모델들과 다르게, conditional mask를 통해서 color와 pattern 같은 attribute를 학습하는 것이 아니라 color, shape를 직접적으로 변경해주는 self-supervised learning의 방법론을 적용하였습니다. - pseudo-labeling를 이용하여 unlabeled-image를 이용하여 학습을 진행하였습니다. - Polyvore, Polyvore-D, newly created Fashion outfit dataset에 대해서, 적은 수의 labeled data를 사용하였고, text 등과 같은 metadata 를 전혀 사용하지 않았음에도 supervised method에 준하는 결과를 만들었습니다. ## Introduction ### Fashion Compatibility - 이 논문의 main task. 한글로 번역하면 **잘 어울리는 룩 만들기** 정도?로 볼 수 있을 것 같습니다. > compose matching clothing items that are appealing and complement well. ### Problem & Contribution - 기존에는 handcraft labeling 을 했었으나 그걸 매번 진행하기에는 번거롭고 cost가 많이 듭니다. - 이를 해결하고자 **semi-supervised learning** 기법을 적용하였습니다. - 적은 양의 labeled data, 많은 양의 unlabeled data를 이용하여 supervised training에 준하는 학습 효과를 냄과 동시에, supervised learning의 단점인 overfitting을 해소하고, 일반화 성능을 끌어올리고자 하였습니다. - 다양한 기법 및 방법론이 존재하는데, 더 자세한 내용은 이 [포스팅](https://sanghyu.tistory.com/177)이 도움이 되었으니 읽어보시면 좋을 것 같습니다. - 이 논문에서는 다양한 기법 중에 아래와 같은 기법들을 도입하였습니다. - Proxy-label 기법 (labeled data로 학습한 뒤, unlabeled data를 labeling하고 그걸로 재학습.) - consistency regularization 기법 (기존 데이터에 대해서 일부 perturbated 된 데이터에 대해서도 예측의 결과는 일관성이 있어야 한다.) ### Main Assumption - 기존 모델들처럼 각각의 attrbute를 implicit하게 배우는 것이 아니라 (MMoE와 같은 형태로 K개로 표현된 FFN의 모음으로 모델 구성.), explicit하게 attribute를 설정 (color, shape) 하고 해당 부분에 대한 특징을 표현하는 Representation을 찾고자 하였습니다. ## Approach - 원하는 것은 `visual representation for the task of fashion compatibility`를 학습하는 것입니다. - Metric Learning을 적용한 목적함수를 설계하여 compatible한 아이템끼리의 embedding은 가깝게 하고자 하였습니다. - 이를 위해 (Anchor, pseudo-positive, negative) triplet을 만들어 학습을 진행하였습니다. ### Loss $$ \mathcal{L} = \mathcal{L_l} + \lambda_{ss}\mathcal{L_{ss}} + \lambda_{pseudo}\mathcal{L_{pseudo}}\\ \mathcal{L_l} = \max{(0, d(\phi_A, \phi_P) - d(\phi_A, \phi_N) + m)}\\ \mathcal{L_ss} = \max{(0, d(\hat{\phi_{u}}, \hat{\phi_{[s]}}) - d(\hat{\phi_{u}}, \hat{\phi_{[a]}}) + m)}\\ \mathcal{L_{pseudo}} = \max{(0, d(\hat{\phi_{A}}, \hat{\phi_{P}}) - d(\hat{\phi_{u}}, \hat{\phi_{N}}) + m)} $$ - Loss on Labeled item 기존에 존재하는 labeled data (A, P, N) 에 대해서는 A와 P는 가깝게, A와 N은 멀어지도록 학습을 진행하였습니다. 추가로 margin loss도 두었습니다. ### Loss on Consistency Regularization - Self-supervised learning에서 일반적으로 사용되는 접근을 차용하였습니다. - Consistency Regularization의 가설 중 `perturbation`에 해당하는 전처리 방법을 self-supervised learning 관련 논문에서 영감을 받아 적용하였습니다. - `fashion compatibility를 위해서는 fashion item을 구분하는 중요한 attribute (color, shape)에 대한 구분 능력이 필요하다`는 전제를 이용하여, 한 아이템에 대해서 color와 shape를 바꾼 negative sample과의 discrepancy를 늘리는 방향으로 학습을 진행하였습니다. - 이러한 방법론들이 이미지를 돌리거나, color jittering을 하거나, 이미지에 대한 직소 퍼즐 형태의 퀴즈를 풀거나 하는 self-supervised learning에서의 pretext task와 비슷한 경향이 있어서 논문에서 그렇게 언급한 것으로 보입니다. ### Data Augmentation on Pseudo-Labeled Data - (A, P, N) 에 대해서 embedding space에서의 nearest element (A', P', N')를 on-the-fly로 계산하고 이에 대한 margin loss를 계산하였습니다. - 계산 상의 속도를 높이고자 mini-batch 내에서만 nearest element를 찾는 방법을 취하였습니다. ### Model Structure - siamese network와 비슷한 구조를 가지고 있습니다. - ImageNet pretrained CNN (ResNet18) -> fully-connected layer per category ($W_c$) - 학습 파라미터는 다음과 같습니다. - 256 batch size for labeled data, 1024 batch size for unlabeled data - margin $m$ 을 0.4 for margin loss - $\lambda_{ss}=0.1\quad\lambda_{pseudo}=1$ - adam optimizer, lr 5e-5, 10 epochs ## Results - Polyvore (패션 커머스 서비스, ssense에 최근 합병됨) dataset, Polyvore-disjoint (Polyvore 중에서 train/valid/test에 중복된 이미지가 없도록 처리한 것), Fashion outfits (e-commerce platform에서 데이터를 크롤링하고 **같은 세션에서 산 아이템의 경우 compatible하다고 가정**)를 이용하여 학습을 진행하였습니다. - 5%의 labeled data만을 이용하여 supervised learning에 준하는 학습 결과를 얻을 수 있었으며 100%를 적용하면 supervised model들을 상회하는 성능을 보여주었습니다. ================================================ FILE: paper_review/recsys/recsys2021/Shared Neural Item Representation for Completely Cold Start Problem.md ================================================ # Shared Neural Item Representation for Completely Cold Start Problem - Paper : - Authors : Ramin Raziperchikolaei, Guannan Liang, Young-joo Chung - Reviewer : matthew.g - Topics - [#Practical_Issues](../../topics/Practical%20Issues.md) - #Cold_Start - #Representation_Learning - [#RecSys2021](RecSys2021.md) ## Summary - Complete item cold start 환경에서의 새로운 hybrid 모델을 제안하였습니다. - User Interaction vector가 단순 user one-hot encoding vector보다 학습 과정에서 더 좋은 성능을 낸다는 것을 증명하였습니다. ## Approach ### User Interaction Vector - User Interaction Vector를 표현하는 방식에는 두 가지가 있습니다. 1. User ID 1. User ID에 상응하는 임베딩을 뽑아냄. 2. embedding matrix $E^u \in \mathbb{R}^{d^u}$ 에서 $z^u_j = I^u_jE^u \in \mathbb{R}^{d^u}$를 뽑아냄. 2. Interaction Vector 1. $z^u_i = g^u(R_{j,:}) = \sigma(...\sigma(R_j, W^u_1)W^u_2)... W^u_L)$ - 이 중에서 (어찌보면 당연히,, ) 2번이 더 나은 결과가 나옵니다. - 이를 증명하는 방법으로 아래와 같은 방법들을 사용하였습니다. - training loss / recall이 가장 빠르고 높은 지점에서 수렴된다. - prob density at initialization 이 가장 normal distribution에 가깝다. - prob density at convergence 이 가장 normal distribution에 가깝다. - 이러한 점을 해석해보면 아래와 같이 정리가 가능합니다. - **$W^u_1 \in \mathbb{R^{n \cross p}}$ 으로부터의 output은 user가 interact했던 아이템들의 임베딩의 합이다.** ### Sharing neural Item rep with the hidden item embeddings - Item representations from the item model을 user model에서의 hidden item embedding으로 사용하였습니다. $$ \sum_{j,k\in S^+\bigcup{S^-}}{||(\vb{z}^u_j)^T\vb{z}^i_k - \vb{R}_{ij}||^2} s.t. \\ \vb{z}^u_j = g^u(\vb{R}_{j,:}) = \sigma(...\sigma(\sigma(\vb{R}_{j,:}\vb{W}^u_1)\vb{W}^u_2)...\vb{W}^u_L)\\ \vb{W}^u_1 = g^i(\vb{X}), \quad \vb{z}^i_k = g^i(\vb{X}_k,:) $$ ### Faster training with a simpler formulation - 각 미니 배치마다 모든 아이템에 대한 $W^u_1$을 계산하는 것은 비효율적이라고 지적하였습니다. - 그래서 한 번 구해놓은 $W^u_1$을 이용해서 각 유저가 소비한 아이템 ($p \in N_j$) 에 대해서만 $g_i$ 값을 구하는 식으로 처리하였습니다. $$ \vb{y}_j = \vb{R}_{j,:}\vb{W}^u_1 = R_{j,:}g^i(\vb{X}) = \Sigma_{p\in N_j}g^i(\vb{X}_{p,:}) $$ ### Attention mechanism in learning uesr representations - 유저가 소비한 **모든 아이템이 같은 가중치를 가질 필요는 없다**고 주장하였습니다. - user의 representation을 구할 때에 k-th item rep와 비슷한 아이템일수록 높은 attention을 주는 구조로 각 아이템 vector에 weight를 부여하였습니다. $$ \sum_{j,k\in S^+\bigcup{S^-}}{||(\vb{z}^u_j)^T\vb{z}^i_k - \vb{R}_{ij}||^2} s.t. \\ \vb{z}^u_j = g^u(\sigma(\vb{y_j})), \quad \vb{y}_j = \Sigma_{p \in N_j}\alpha_{pk}g^i(\vb{X}_{p, :}), \quad \vb{z}^i_k = g^i(\vb{X}_k,:) $$ - 이 때 가중치 $\alpha_{pk}$를 주는 방식을 여러 가지로 두고 이에 대한 실험을 진행하였습니다. - dot product similarity - cosine similarity - general (with weight matrix) - 그리고 나서 attention과 같이 softmax 처리하여 $\alpha_{pk}$를 구하고 이를 weight으로 정하였습니다. ## Results ### Dataset - CiteULike: 사용자가 인용을 저장하고 학술 논문에 공유 할 수있는 웹 서비스입니다. - Ichiba 1M, Ichiba 20M: *Rakuten Ichiba* (일본 온라인 전자 상거래 플랫폼) interaction 데이터. ### Result #### Shared Item Representation - Sharing item rep이 더 적은 iteration에서 더 나은 recall을 보여주었습니다. - parameter 수가 많아지는 대규모 데이터셋에서 더 좋은 성능을 보여주었습니다. #### Attention Mechanism - Attention mechanism이 성능 향상에 도움이 되었다고 합니다. - Attention의 경우에도 attention 계산 시에 아래와 같은 두 종류로 모델을 나누었습니다. - item $i_k$ 그대로 사용하는 경우 (attention) - $i_k$는 제외하는 경우 (attention_rm_item) - attention의 경우가 training set recall이 더 높았습니다. - 그러나 general과 dot similarity의 경우 overfitting에 취약했던 반면, cosine similarity의 경우 Ichiba1M 데이터셋에 대해 overfitting은 적으면서도 (normalization의 효과로 보임), 가장 높은 recall을 기록하였습니다. #### Shared Item Representation & dataset size Sharing item rep의 경우, 데이터셋의 크기가 작을 수록 더 모델 성능에 도움을 주는 것으로 확인되었습니다. (데이터셋의 크기가 작을 수록 nonshared와 성능 차이가 더 크다.) #### Comparison with other models Cold-start 상황 해결을 다룬 다른 모델 (DropoutNet-WMF, ACCM, DeepMusic, CDL) 대비 CiteULike 데이터셋에서 높은 test recall을 기록하였습니다. ================================================ FILE: paper_review/recsys/recsys2021/Sparse Feature Factorization for Recommender Systems with Knowledge Graphs.md ================================================ # Sparse Feature Factorization for Recommender Systems with Knowledge Graphs - Paper : - Authors : Vito Walter Anelli, Tommaso Di Noia, Eugenio Di Sciascio, Antonio Ferrara, Alberto Carlo Maria Mancino - Reviewer : bell.park - Topics - [#Language_and_Knowledge](../../topics/Language%20and%20Knowledge.md) - #Knowledge_Graphs - [#RecSys2021](RecSys2021.md) ## Summary - 지식그래프(Knowledge Graph)와 엔트로피 기반 feature selection을 결합해서 만든 추천 모델을 제안한 논문입니다. - 아이템 수에 따라 모델 복잡도(embedding)가 선형적으로 증가하는 기존 모델과 다르게 아이템 수가 늘어나도 모델 복잡도가 크게 증가하지 않습니다. - nDCG는 나쁘지만(MP보다도 나쁜 케이스도 있음), diversity 측면에서 좋은 부분이 있습니다. - 그러나 실험 신뢰도가 낮은 편입니다. MP > MF 케이스도 있는데 저는 결과를 납득하기 어려웠습니다. ## Approach ### 문제 인식 - 최근에 DL 기반 추천 모델들이 많이 사용되지만, 이 모델들은 아이템 수가 늘어나면 embedding 개수를 늘려야해서 모델 복잡도가 계속해서 증가하는 단점이 있습니다. - Content-based와 접목시켜 만든 하이브리드 모델들도 아이템마다 feature를 concatenate하는 전략이 일반적이라 모델이 무거워지게 됩니다. ### 제안 모델 - 이 논문에서는 각 아이템의 특성을 지식 그래프에서 가져오고, 아이템의 추천 점수를 특성의 추천 점수 weighted sum으로 계산하였습니다. - 예를 들어, 아래 그래프에서 `Rijksmuseum`의 추천 점수는 ``, ``의 추천 점수의 weighted sum이 됩니다. - 각 특성 점수의 weight는 유저별로 다르게 적용이 되고, 정확하게는 user-feature 조합의 information gain으로 계산하였습니다. - information gain은 유저가 positive interaction한 아이템의 feature set을 대상으로 특정 feature를 넣었을 때와 제외했을 때의 entropy 차이를 의미합니다. - 예를 들어, 아래 그래프에서 모든 아이템은 다 `` 특성이 있어서 information gain이 0이 됩니다. - 대신 Pink가 고른 아이템 중 2개가 ``를 가지고 있어서 이 경우는 information gain이 0보다 크게 됩니다. - 각 특성의 점수는 MF 스타일의 간단한 방식으로 계산 (user embedding dot feature embedding + user bias)하였습니다. ![image](https://user-images.githubusercontent.com/38134957/165144120-18389566-f60f-45ac-b64f-d0d089fec67f.png) ## Results ![image](https://user-images.githubusercontent.com/38134957/165144152-0fbeb043-11b6-4265-a6ca-f733787071e7.png) ![image](https://user-images.githubusercontent.com/38134957/165144170-2732047d-f6f9-4689-8298-568659352c4c.png) ![image](https://user-images.githubusercontent.com/38134957/165144161-ab065bdc-3a27-4058-b2aa-cad0883d66c6.png) - Movielens-1M, Facebook Books, Yahoo! Movies에서 평가하였습니다. - 저자들은 괜찮은 수준이라고 얘기하긴 하지만, nDCG 차이가 많이 나는 편입니다. Facebook Books의 경우 다른 메서드도 성능이 안좋긴하지만 MP보다도 결과가 안좋았습니다. nDCG가 추천 퀄리티를 담보하진 않지만 차이가 너무나는데 contribution이라고 보기 어렵다고 생각됩니다. ================================================ FILE: paper_review/recsys/recsys2021/The role of preference consistency, defaults and musical expertise in users’ exploration behavior in a genre exploration recommender.md ================================================ # The role of preference consistency, defaults and musical expertise in users’ exploration behavior in a genre exploration recommender - Paper : - Authors : Yu Liang, Martijn C. Willemsen - Reviewer : jinny.kk - Topics - [#Interactive_Recommendation](../../topics/Interactive%20Recommendation.md) - #Music_Recommendation - [#RecSys2021](RecSys2021.md) ## Summary - 유저의 preference가 시간이 지남에 따라 어떻게 발전하는지는 많이 연구되지 않았다는 문제의식에서 출발하여 음악 도메인에서 유저들의 short-term, long-term preference간의 관계를 이해해보고자 한 논문입니다. ## Approach ### 접근 방법 - 음악 도메인에서 유저들의 short-term, long-term preference간의 관계를 이해해보자. - 정의: short-term은 session 내에서의 소비, long-term은 whole history에서의 소비를 뜻한다. - 그걸 이해하면 시간에 따라 유저의 취향이 어떻게 발전하는지 이해할 수 있을 것이고, 유저가 새로운 취향을 탐색할 때 어떻게 행동하는지 이해할 수 있을 것이고, 탐색 툴에서 우리가 유저를 어떻게 서포팅해주면 좋을지도 생각해볼 수 있을 것이기 때문이다. - 왜냐? - 유저의 취향이 시간이 지남에 따라 어떻게 발전하는지 취향의 stability가 있는지, 그들간의 관계는 under-explored되었다. - 이전 연구들이 보인 것들은, 단기 취향 ≠ 장기 취향인 것 같더라, 그리고 음악 도메인에선 유저의 음악적 전문성에 따라 청취 행태 (다양성, 추천 시스템 사용 방식)가 다르더라 정도였다. - 논문의 도메인: 음악 ### Research Questions - RQ 1: 시간에 따라 유저 취향이 어떻게 변화하는지 이해해보자. (users's preference consistency) - 스터디 디자인: data는 (다른 스터디에서 수집한) 스포티파이에서 319명의 유저들의 청취 기록을 사용했다. short (최근 4주), medium (최근 6달), long-term (모든 기록) preference는 track-level, artist-level, tag-level로 측정했다. - 유저의 음악적 전문성이 높을수록 (높은 MSAE 점수) 시간에 따른 더 일관된 (consistent) 취향을 가지더라. - short-term 과 medium-term 취향의 일관성이나, medium-term과 long-term 취향의 일관성 > short-term과 long-term 취향의 일관성. (어찌 보면 당연하긴 한 듯하지만..) - RQ 2: 유저는 새로운 취향을 어떤 방식으로 탐색할까? - (유저의 음악적 전문성에 따라 새로운 음악 장르를 탐색하는 방식이 달라질까?) - 스터디 디자인: 저자들이 수행한 이전 연구가 이미 있고, 거기에 새로운 분석을 추가한 느낌이다. 어쨌든, 유저들에게 장르 목록을 주고 탐색할 장르를 선택하게 했다. - 유저들은 현재 취향에 가까운 장르를 탐색하는 경향을 보였다. - 유저의 음악적 전문성이 낮을수록 (낮은 MSAE 점수) 취향이 less stable 하더라. 그래서 탐색할 때 (well-developed된) long-term 취향의 장르에 가까운 장르를 탐색하더라. - 유저의 음악적 전문성이 높을수록 (높은 MSAE 점수) 취향이 stable 하더라. 그래서 short, medium, long-term 취향의 것을 비슷비슷한 수준으로 탐색하더라. - RQ 3: 그렇다면 유저가 현재 취향보다 좀더 멀리 떨어진 취향을 탐색하도록 넛지할 수 있을까? - 스터디 디자인: 저자들이 고안한 interaction tool을 유저들이 사용하게 하였고, 2 X 3의 default conditions에서 between-subjects로 실험을 진행했다. 설정이 유저가 더 기존 취향으로부터 더 멀리 탐색하도록 넛지할 수 있는지 등을 분석하였다. - 2 X 3 default conditions - genre presentation order: 유저 취향에서 가까운 순 - 유저 취향에서 멀리 있는 순 - 장르 내 플레이 리스트의 personalization-level을 컨트롤하는 slider position: fully personalized - middle - fully representative - RQ 3-1: 시스템의 Default order of genre presentation에 따라 유저가 현재 취향에서 좀더 먼 취향을 탐색하도록 넛지할 수 있을까? - 넛지할 수 있더라. 하지만 음악적 전문성이 높을수록 이에 영향 받는 정도가 적더라. - RQ 3-2: 시스템의 slider position의 default 세팅에 따라 유저들이 선택하는 추천의 개인화 정도가 달라질까? - 유저의 slider interaction 횟수에 따라 유저별로 경향성이 다르게 나타났다. Fig 6 참고. - low interaction group: final slider position은 default slider position에 강하게 영향 받았다. - medium interaction group: default slider position의 반대 방향으로 slider를 이동시켰다. - high interaction group: default에 덜 영향을 받았고, mixed position으로 slider를 이동시켰다. - 대체로 유저들이 선택한 slider position으로 미루어 볼 때, 최적은 personalization과 representativeness 사이 어딘가에서 형성되더라. - RQ 3-3: 유저들이 기꺼이 탐색하고자 하는 거리가 유저의 음악적 전문성에 따라 달리 나타날까? - path model을 구축해서 (Fig 7) default setting이 유저의 (현재 취향으로부터의) 탐색 거리에 영향을 끼칠 수 있다고 분석했다. ## Conclusion - `Strong Points?` - 음악적 전문성에 따라 시간에 따른 유저 취향의 일관성 정도가 다르다는 걸 분석했다는 점이 흥미로웠다. - 유저들이 컨트롤할 수 있는 어떠한 디폴트 세팅이 주어졌을 때 어떤 방식으로 새로운 장르를 탐색하는지 분석한 점이 흥미로웠다. - `Weak Points?` - 논문에서는 "취향"을 CB적으로 정의하였고, CF적으로 정의한 것은 아니다. - 분석 논문인 것 같고, 그래서 이를 추천 시스템이 어떻게 반영해야 하는지의 방향성을 제시하지는 않는 것 같다. - 음악 도메인이라 유저의 전문성이 하나의 factor가 되었는데, 다른 도메인에선 다른 것이 factor가 될 수 있을 것 같다. ================================================ FILE: paper_review/recsys/recsys2021/Together is Better- Hybrid Recommendations Combining Graph Embeddings and Contextualized Word Representations.md ================================================ # Together is Better- Hybrid Recommendations Combining Graph Embeddings and Contextualized Word Representations - Paper : - Authors : Marco Polignano, Cataldo Musto, Marco de Gemmis, Pasquale Lops, Giovanni Semeraro - Reviewer : tony.yoo - Topics - [#Language_and_Knowledge](../../topics/Language%20and%20Knowledge.md) - #Graph - #Sequence_Modeling - [#RecSys2021](RecSys2021.md) ## Summary Main author: [Marco Polignano](https://scholar.google.it/citations?user=sjQSYGQAAAAJ&hl=it) - BERT 기반의 감정 분석 연구를 많이 하신것 같습니다. - 두 가지 다른 정보(interaction feedback, text information)로 부터 user, item 임베딩을 얻는 hybrid 방법 제시하였습니다. - 정보를 융합하는 방법은 두 가지 concatenation 방법을 제시하였습니다. - 기본 architecture: Two-tower 모델과 같습니다. 양쪽 방향이 같은 구조를 띄무로 한쪽 방향에 대해서만 표현하였습니다. | Entity-based | Feature-based | |--|--| | | | |각 entity의 intrinsic charateristic 을 배움 | heterogenous 한 두 entity 사이의 relationship을 배움 | 다음의 두가지 모듈로 구성되있고, Sota 모델로 바꾸는게 쉽게 가능합니다. - Collaborative Filtering 모듈: graph embedding 방법을 사용합니다. - Content-based 모듈: contextual word representation 방법을 사용합니다. ## Approach ### Graph Embedding 다음 두개의 모델 사용. (이 외에도 TransR, TransD, ... 많은 모델 존재. [survey paper](https://www.mdpi.com/2073-8994/13/3/485/htm) 참고.) - [TransE, NIPS'13](https://papers.nips.cc/paper/2013/hash/1cecc7a77928ca8133fa24680a88d2f9-Abstract.html) - [TransH, AAAI'14](https://ojs.aaai.org/index.php/AAAI/article/view/8870) 이 모델은 본래 Knowledge graph 에서 entity(head)-relation-entity(tail)의 triple 정보를 임베딩에 반영하고자 한 방법. 추천시스템에서 유저, 아이템을 entity, 평점을 relation으로 생각 가능. 다음과 같은 관계로 임베딩. | - | TransE | TransH | | -------------- | ------------------------------------------------------------ | ------------------------------------------------------------ | | Architecture | | | | Score function | $\Vert \textbf{h} + \textbf{d}_r - \textbf{t} \Vert _{2}^2$ | $\Vert \textbf{h}_{\bot} + \textbf{d}*r - \textbf{t}_{\bot} \Vert _{2}^2$ | > TransE 에서 "동일 entity가 여러 relation에서 구분이 안된다"는 단점을 TransH에서 hyperplane을 도입시킴으로써 해결. ### Contextual Word Reprentation Text 정보를 임베딩. 둘다 Transformer 기반의 모델. (자세한 설명 생략) - [BERT, NAACL'19](https://arxiv.org/abs/1810.04805) - [USE, ICLR'19](https://arxiv.org/abs/1804.07461) ## Results ### Dataset 비교적 적은 데이터셋. 참고할 점은 train, test 셋을 나눌때, positive 비율을 train과 동일하게 나눔. ### Protocol [TestRating](https://dl.acm.org/doi/10.1145/2043932.2043996) strategy 사용. 각 유저별로 테스트 셋에 있는 rating만 예측. ranking을 구할때는 예측한 평점들을 sorting하여 구함. > **비평:** 이 방법을 사용하면 topk 보다 test 아이템의 수가 적으면 무조껀 ranking안에 포함되고, 순서 맞추기 싸움이 됨. 기본적으로 ndcg가 높음. > > ### Performance | error-based | ranking-based | | ------------------------------------------------------------ | ------------------------------------------------------------ | | ![image](https://user-images.githubusercontent.com/38134957/165453712-4c0144d4-9802-4c9b-8ac9-4bc9578647c4.png) | ![image](https://user-images.githubusercontent.com/38134957/165453719-41a29bbd-3260-446f-8d0d-df40f7293eaf.png) | | ![image](https://user-images.githubusercontent.com/38134957/165453712-4c0144d4-9802-4c9b-8ac9-4bc9578647c4.png) | ![image](https://user-images.githubusercontent.com/38134957/165454052-433ede9d-1b49-4a8f-bc79-51a69dfe878a.png) | - TransE 와 TransH의 우위는 domain 에 따라 다르다. - 논문 제목에서 강조하듯 Together is better. Collaborative 방법과 content방법의 시너지 효과. - concatenate 방법은 Feature based 방법이 더 효과적. [Open benchmark - Movielens 1M](https://paperswithcode.com/sota/collaborative-filtering-on-movielens-1m?metric=nDCG%4010) 위의 오픈 벤치 마킹 정보에 의한 nDCG@10 Score와는 다른 test evaluation 프로토콜을 사용하였기 때문에 참고 부탁드립니다. ## Conclusion - user, item 임베딩을 얻는 두가지 hybrid 방법(entity, feature-based)을 제시하였습니다. - 모델 architecture가 simple하여 sota 모델을 쉽게 적용 가능할 수 있고 성능도 우수합니다. ### Weak points - CF 기반 모델에서 interaction 정보만 사용할 거면 굳이 graph model을 쓸 필요는 없을 것 같습니다. CF Sota를 넣어도 될 것 같습니다. > 저자는 이후에 knowledge graph정보를 추가로 넣어 볼 예정이라고하였는데 baseline으로 사용할 big picture?... > > attention 매커니즘도 적용해 볼 것이라고 했는데, 왜 안해봤을까.. 분명해봤는데 성능이 안좋은것이었을까?.. 하는 의문이 있었습니다. - Test protocol로 TestRating 기법을 사용했는데, 이 방법은 ranking 비교에는 좀 맞지 않은 설정입니다. 차라리 leave-one-out 을 사용하는게 좋을것 같습니다. ================================================ FILE: paper_review/recsys/recsys2021/Top-K Contextual Bandits with Equity of Exposure.md ================================================ # Top-K Contextual Bandits with Equity of Exposure - Paper : - Authors : Olivier Jeunen, Bart Goethals - Reviewer : charlie.cs - Topics - [#Algorithmic_Advances](../../topics/Algorithmic%20Advances.md) - [#Bandits_and_Reinforcement_Learning](../../topics/Bandits%20and%20Reinforcement%20Learning.md) - [#RecSys2021](RecSys2021.md) ## Summary - "equity of exposure" principle 이 어떻게 추천을 위한 top-K contextual bandit의 문제에 적용될 수 있는지 조사(investigate)한 논문입니다. - equity of exposure: 동일한 relevance를 가진 아이템들은 동일한 노출이 있을 것을 기대하게 됩니다.(_items of equal relevance should receive equal exposure in expectation_) - 기존 추천 시스템의 사용자 중심 utility(click or relevance)에 대한 최적화 방식은 시스템 내 다른 관계자(stakeholders)들에겐 악영향을 끼칠 수 있습니다. - 예시) 음악 스트리밍, 음식 배달, e-commerce, 그리고 viewtab - top-K contextual bandits 추천에서 relevance-fairness trade-off 문제를 다룰 수 있는 EARS (Exposure-Aware aRm Selection) 알고리즘을 제시하였습니다. - model-agnostic algorithm이라 기존 bandit system에 적용이 가능합니다. ## Approach ### Intuition - 사용자마다 추천 결과에 적용된 diversify의 반응이 다르며, 랜덤한 추천에 대해서 얼마나 열려(openness)있는지의 정도 또한 다양하다는 것을 관찰한 연구가 있습니다. - _Investigating Listeners’ Responses to Divergent Recommendations. R. Mehrotra, et al. RecSys' 20_ - 이를 통해 단순히 모든 사용자에게 relevance-fairness의 trade-off 정도를 동일하게 적용하기 보다는 특정 유저 군에 한하여 적용하면 좋을 수 있습니다. - 예시) good choice for _diverse_ and _average_ users, but worse for _focused_ users. - ![image](https://s2.loli.net/2021/12/14/SAWGsy6zX3rC5aP.png) - x-axis: top-12 items for a given user. - y-axis: the probability of relevance over these items for that user. ### Exposure-Aware aRm Selection (EARS) - 아이템이 클릭될 확률 `P(C)` 는 사용자가 이 아이템이 연관 있다고 고려할 확률 `P(R)`과 그 사용자에게 노출될 확률 `P(E)` 로 factorize될 수 있습니다. - - 그리고 fairness of exposure을 목적하는 알고리즘은 다음과 같은 두 조건부 확률 분포 간 statistical divergence, 즉 disparity를 최소화하는 것으로 볼 수 있습니다.: `D(P(A|R); P(A|C))` - 본 논문에서는 f-divergences로 Hellinger distance를 사용합니다. - EARS algorithm Figure - - Default bandit 알고리즘으로 logistic regression thompson sampling을 사용합니다. - _An Empirical Evaluation of Thompson Sampling. L. Li, et al. NIPS' 11_ - EARS의 목적은 최대 ε 만큼의 expected clicks을 잃으면서 disparity를 최소화하는 것입니다. - Algorithm 4.(3)의 greedy policy에서 얻을 수 있는 추천 결과에 diversifying(shuffling)을 적용했을 경우(4.(4)의 equity policy), 최대 (1 - ε) * 100 % 만큼의 expected clicks 을 보존하는 선까지 disparity를 최소화합니다. - In experiments, `ε={0.01, 0.025, 0.05, 0.1}` - shuffle 방식은 random shuffling - 위에서 설명한 ε 조건을 만족할 수 있을 때까지 K값을 감소시키면서 shuffle을 진행합니다. - Why? 상위 추천 결과에서 shuffle을 진행해야 expected clicks 손해가 적고, 그에 따른 disparity 감소가 크기 때문입니다. ## Results ([github](https://github.com/olivierjeunen/EARS-recsys-2021)) - Real-world data from the Deezer music streaming platform - Relevance information between 862 playlists (items) and 974,960 users. - Users are represented by a dense 97d feature vector. - 추천 결과 수: top- `K`=12 - 매 round 마다 사용자를 20,000명 복원 추출하여 추천 결과 제공하고, batch로 parameter를 업데이트합니다. - EARS algorithm에서 tolerance parameter ε 값을 조절해가며 실험하였습니다.: `{0.01, 0.025, 0.05, 0.1}` - baseline은 greedy approach - Carousel-기반의 추천 환경 (_Personalization in Music Streaming Apps with Contextual Bandits. W.Bendada. et al. Recsys' 20_) - - 사용자가 추천 결과를 보다가 중간에 포기할 확률 abandonment parameter `γ(=0.9)` 을 포함합니다. - EARS에서 사용할 Expected clicks 값 계산 - Greedy approach - - Shuffling approach - greedy 와 동일하지만, 추천 결과를 K개까지 shuffling 한 모든 조합에 대해서 expected clicks을 일일이 구해야하므로 `O(K!)` 만큼의 비용이 소모됩니다. - 논문에서는 이를 효율적으로 계산하기 위한 방법을 제시했고, `O(K*2^(K-1)*(K-1))`까지 복잡도를 줄였다고 합니다. ### 실험 결과 ![image](https://s2.loli.net/2021/12/14/X9FnyGpm5DLSN7T.png) - Figure 4(a): EARS’ Impact on Expected Reward - `ε=0.01`일 때 greedy 보다 성능이 좋았는데, 이에 대한 이유를 두 가지로 설명합니다. - (1) EARS의 rank 방식을 통해 positional bias를 완화하여 모델이 `P(R)` 대신 `P(C)`를 학습하게 됩니다. - (2) top-K list를 랜덤으로 섞으면서 매 라운드마다 배치로 학습할 데이터가 더욱 diverse 해집니다. - Figure 4(b): EARS’ Impact on Exposure Disparity - greedy 방식이 가장 큰 disparity를 보였고, ε이 증가할수록 조금씩 감소합니다. - Figure 4(c): EARS’ Relevance-Fairness Trade-Off - Rounds 20부터 수렴까지 4(a)와 4(b)의 measurement를 plot - expected clicks과 expected disparity의 linear한 관계를 확인할 수 있었습니다. - `ε=0.01`의 경우 greedy 방식에 비교했을 때, expected reward 증가와 disparity 감소를 보입니다. ## Conclusion - 컨텐츠의 노출에 따라 수익이 발생하는 환경이면 이와 관련된 이슈가 있을 것 같다는 생각이 들었습니다. - 제안된 EARS 알고리즘은 cost가 높고, 단순 랜덤 셔플 방식이라 실제로 적용하기는 좋아보이지 않았습니다. (K 또한 낮았음) - 다만, 사용자에 따라 다양화가 적용되는 정도가 달라져야 한다는 insight를 얻을 수 있어서 좋았습니다. ================================================ FILE: paper_review/recsys/recsys2021/Toward Unified Metrics for Accuracy and Diversity for Recommender Systems.md ================================================ # Toward Unified Metrics for Accuracy and Diversity for Recommender Systems - Paper : - Authors : Javier Parapar, Filip Radlinski - Reviewer : iggy.ll - Topics - [#Metrics_and_Evaluation](../../topics/Metrics%20and%20Evaluation.md) - #Diversity - [#RecSys2021](RecSys2021.md) ## Summary ## Approach ### 왜 다양성이 중요한가 추천 시스템을 평가하는 방법은 대부분 Information Retrieval (IR)에서 가져왔다고 생각합니다. NDCG를 비롯한 랭킹 메트릭도 마찬가지인데, 추천 시스템에서 고민하던 요소는 대부분 IR에서 비슷하게 고민했던 것들이지만, 디테일한 부분에서 다른 점이 많이 발생합니다. ### Diversity에 대한 대한 요구 추천 시스템뿐만 아니라, IR에서도 다양성은 중요한 metric 중 하나인데, 이는 주로 Ambiguity 때문입니다. 검색 엔진이 "재규어"라는 입력을 받을 경우 자동차 브랜드와, 고양잇과 동물에 대한 문서를 모두 찾아주어야 하고, 이러한 Ambiguity가 추천 시스템에서는 유저의 취향에 대응됩니다. 유저는 대체로 여러 취향을 가지고, 추천의 결과가 한 가지 종류의 아이템으로만 이루어져 있다면 추천이 불완전하다고 생각할 것입니다. 유저가 로맨스 영화와 호러 영화를 둘 다 좋아한다고 했을 때, 로맨스 영화만 추천하는 추천 모델은 불완전한 모델입니다. ### Novelty에 대한 요구 추천은 대부분 list 형태로 주어지며, 유저는 list를 좌에서 우로, 혹은 위에서 아래로 탐색하는 경우가 일반적입니다. $N$개의 추천 아이템이 주어진 경우, $k \leq N$인 $k$을 유저가 클릭한 경우, 유저가 $1, \dots, k-1$까지 보지 않았던 이유가 분명히 존재할 것이며, 이는 rank가 $k$ 미만인 아이템이 유저가 relevant하지 않았다고 판단했기 때문일 가능성이 높으며, $i_1, i_2, \dots, i_{k-1}$는 서로 닮아 있을 가능성이 높습니다. 이를 대비해서, $k$번째 아이템은 이전의 아이템과 충분히 다른 아이템인 게 더 좋을 수도 있습니다. 즉, Novelty는 추천 시스템이 실패했을 때를 대비한 보험이라 생각할 수 있습니다. OTT 영화 추천을 예시로 들면, 유저가 로맨스를 좋아할 것이라 판단한 후에 로맨스 영화 5개를 추천했을 때, 추천이 성공적이었다 해도 유저는 랭크 상위의 영화 1-2개 정도밖에 보지 않을 것인데, 추천에 임의로 다른 영화를 한 두개 섞는다고 하면, 이 판단이 틀렸다고 하더라도 한 번의 기회를 더 얻을 수 있을 것입니다. ### Diversity와 Novelty를 고려한 Metric $\alpha\beta$-nDCG #### Notation - $\alpha_\phi$: 토픽(취향이나 선호도, 이하 토픽이라 칭함) - 유저는 topic의 집합을 선호도로 갖고 있으며 $p(\alpha_\phi \vert u)$는 유저가 그 토픽을 선호할 확률을 나타낸다. - 아이템 또한, topic의 집합을 갖고 있으며, 이 논문에서는 아이템의 토픽은 알려져 있다고 가정한다. 특정 유저 $u$가 rank $S \in \{1, 2, \dots, n\}$에 있는 item $i$를 선호할 확률은 $$ p(R=1 \vert u, i) = 1 - \prod_{\phi} [1 - p(\alpha_\phi \vert u, i) p(\alpha_\phi \vert u, S)] $$ 로 정의된다. #### Diversity Consideration $p(\alpha_\phi \vert u, i)$ (Diversity Term)는 Diversity를 고려한 식이다. 기존 ndcg에서 item 단위의 hit을 고려하는 것과는 별개로, topic 단위의 hit을 반영합니다. $p(\alpha_\phi \vert u, i)$는 그 유저가 유저의 선호도 $\alpha_\phi$를 만족하는 정도를 나타내는데, 이를 별도로 정의하는 이유는 같은 장르이더라도, 유저가 특정 아이템을 선호할 수 있고 선호하지 않을 수 있기 때문입니다. 예를 들어서, *밴드 오브 브라더스*는 좋아하지만 *오! 인천*은 그다지 좋아하지 않는 경우가 있습니다. $$ p(\alpha_\phi \vert u, i) = \begin{cases} 0 & \text{아이템의 장르가 다름} \\ \alpha & \text{유저가 그 장르를 좋아하는데, 유저가 클릭하지 않은 경우} \\ \beta & \text{유저가 그 장르를 좋아하고, 유저가 그 아이템을 클릭한 경우} \\ \end{cases} $$ Diversity Term은 유저가 그 아이템을 좋아하거나, 그 장르를 선호하거나에 따라 score에 대해 차등을 주는 식으로 모델링됩니다. 간단히 요약하자면, 기존 nDCG에서는 유저가 실제로 클릭한(relevant) 대해서만 추천을 준다고 가정하는 반면, 유저가 좋아하는 장르에 대한 추천에도 약간이나마 선호도를 부여합니다. $\alpha, \beta$에 대한 정의는 논문에서 자세히 되어있지 않지만, $p(\alpha \vert u), p(\alpha \vert i)$에 따라 적절히 정의될 수 있을 것 같습니다. ### Novelty Consideration $p(\alpha_\phi \vert u, S)$ (Novelty Term)는 유저가 특정 위치 $S\in \{1, 2, \dots, n\}$에 존재하는 추천에 대해 얼마나 만족하는지를 나타내는 지표입니다. 이를 별도로 모델링하는 이유는, 유저가 상위 랭크 $1, 2, \dots, S-1$에서 특정 토픽 $\alpha_\phi$를 봤다면, rank $S$에서 같은 토픽 $\alpha_\phi$인 아이템을 보더라도 만족도가 그리 높지 않을 것이라는 가정을 포함하고 있습니다. $$ p(\alpha_\phi \vert u, S) = p(\alpha_\phi \vert u) \prod_{j = 1}^S [1-p(\alpha_\phi \vert u, i_j)] $$ 유저가 이전에 본 항목에 같은 토픽의 아이템이 많이 들어있을 경우, Novelty Term은 감소한다. 새로운 토픽의 아이템이 추천될 경우, 이 값은 증가한다. 증가폭은 유저가 그 토픽을 선호할 확률 $p(\alpha_\phi \vert u)$에 비례합니다. ### Axioms for Diverse Ranking Evaluation 논문에서 추천 리스트와, 그 추천 리스트에 대한 평가 메트릭에 관한 공리를 정의해놨는데, 논문에서 8가지 공리가 정의되어 있지만, 거칠게 요약하자면 다음과 같습니다. 1. 두 아이템의 토픽이 완전히 같다고 가정하면, 유저는 relevancy가 더 높은 아이템이 추천되는 추천 리스트를 선호한다. 2. 유저가 좋아하는 아이템이 추천 리스트에 포함될 경우, 이 아이템이 더 상위 랭크에 있는 추천 리스트가 더 하위 랭크에 있는 추천 리스트보다 선호된다. 3. 한 추천 리스트에서 같은 토픽이 너무 자주 추천되는 경우, 이 토픽이 유저가 선호하는 토픽이라 할 지라도 유저가 좋아하지 않는 토픽의 아이템을 더 선호할 수 있다. 4. 유저는 본 적 없는 아이템을, 이미 싫어하는 아이템보다 더 선호한다. ## Conclusion - 구현 후, 오프라인 메트릭은 구현이 제대로 되어 있는 지만 확인 한 이후 온라인 평가가 실전이다 이런 느낌으로 온라인에 배포해던가, 혹은 IPS같은 방법으로 온라인 평가를 오프라인으로 가져오는 방법만 알고 있었는데, 유저 행동에 대한 합리적인 가정과 모델링을 통해 더 좋은 offline metric을 만드는 일도 좋은 방향일 수 있구나 하는 생각이 들었습니다. - Novelty가 중요하다는 얘기만 들었었는데, 그럴 듯 한 설명을 들은 것은 처음입니다. ================================================ FILE: paper_review/recsys/recsys2021/Towards Source-Aligned Variational Models for Cross-Domain Recommendation.md ================================================ # Towards Source-Aligned Variational Models for Cross-Domain Recommendation - Paper : - Authors : Aghiles Salah, Thanh Binh Tran, Hady Lauw - Reviewer : andrew.y - Topics - [#Language_and_Knowledge](../../topics/Language%20and%20Knowledge.md) - #Cross-Domain - [#RecSys2021](RecSys2021.md) ## Summary - Cross Domain 추천이란? - 기존 data sparsity로 힘든 콜드 유저의 추천을 위해 다른 서비스에서 해당 유저의 소비 이력을 쓰는 추천입니다. (예. 유저의 영화 소비 이력으로 유저한테 책 추천) - 기존에 있던 방법은 아래와 같습니다. - matrix factorization jointly factorizes rating matrices from various domains with a shared user-latent space - transfer learning: a mapping between the source and target models or infer user representations that are domain-invariant - 이 논문에서 제안하는 방법은 다음과 같습니다. - Variational AutoEncoder (VAE)를 사용하는 기법 - VAE를 source domain에서 학습 시켜서 target domain에 preference modeling을 한다. ## Approach ### VAE? - [참고 링크](https://towardsdatascience.com/understanding-variational-autoencoders-vaes-f70510919f73#:~:text=In%20a%20nutshell%2C%20a%20VAE,to%20generate%20some%20new%20data.) ![image](https://user-images.githubusercontent.com/38134957/165147766-409ac332-6425-456d-bb3c-c002d8ce3ba5.png) ![image](https://user-images.githubusercontent.com/38134957/165147773-912b06b2-8965-4a77-8409-c019279351cd.png) ![image](https://user-images.githubusercontent.com/38134957/165147781-c526bc79-2acb-4a98-97f4-bb862f654f36.png) ### Why VAE? - Matrix Factorization의 limitation인 linear nature가 아닌 non-linear recommendation 모델을 써보기 위해 VAE를 사용할 수 있습니다. - non-linear recommendation 모델은 sparse data에 overfitting 하기 쉬운 문제는 있습니다. - VAE가 다른 논문들에서 성능이 좋은 측면도 있습니다. ### Source Domain - VAE의 디코더랑 상응하는 부분 (theta 학습) - VAE의 인코더랑 상응하는 부분 (phi 학습) - Evidence Lower BOund (ELBO) -> maximize: - a given input x, we want to maximise the probability to have x̂ = x when we sample z from the distribution q*_x(z) and then sample x̂ from the distribution p(x|z) - KL divergence: staying close to the prior distribution ( ) ### Target Domain - Rigidly Aligned VAE (RA-VAE): - source domain data held fixed while training target domain data - Softly Aligned VAE (SA-VAE): ### 논문에서 쓰는 모델들 (baseline 포함) ![image](https://user-images.githubusercontent.com/38134957/165148112-f73f3f06-1b36-435c-b184-e7487a715429.png) ## Results - Amazon, Douban 데이터셋에서 실험하였습니다. - 오프라인 실험: 10%, 20%, 30% 랜덤하게 테스트 셋으로 ndcg, recall 계산 (target domain에서 콜드 유저로 인식) ![image](https://user-images.githubusercontent.com/38134957/165148128-b304551b-8736-48e7-a162-c3cba55b6e91.png) ![image](https://user-images.githubusercontent.com/38134957/165148172-dae9a356-7f06-48d5-a120-0d340e990e05.png) ![image](https://user-images.githubusercontent.com/38134957/165148184-f53e89ab-c1d1-48b2-84d9-7f01bda0904e.png) tldr; RA-VAE, SA-VAE가 베이스라인보다 더 성능이 좋음. baseline에서는 EMCDR이 제일 성능이 좋음. ### 모델의 성능이 유저 활동성에 따라 달라지나? (robustness of the model) 테스트 셋은 10%으로. ![image](https://user-images.githubusercontent.com/38134957/165148349-b9041eb3-ad24-4cf1-b6c3-496c4c10c397.png) tldr; 모든 그룹에 성능 좋아지고, 30회 이하 유저 그룹들에 베이스라인보다 더 성능이 좋아졌다 한다. ## Conclusion - VAE 기반 cross-domain 추천을 할때 모델을 어떻게 짜는지가 중요한걸 볼수 있다. (e.g. 모델 architecture에서 sparsity issue를 줄인다던지) - 기존에 쓰인 deterministic methods과 달리 VAE를 쓴 probabilistic approach도 cross-domain 추천에 잘 쓰일수 있다. ================================================ FILE: paper_review/recsys/recsys2021/Transformers4Rec- Bridging the Gap between NLP and Sequential & Session-Based Recommendation.md ================================================ # Transformers4Rec- Bridging the Gap between NLP and Sequential & Session-Based Recommendation - Paper : - Authors : Gabriel de Souza Pereira Moreira, Sara Rabhi, Jeong Min Lee, Ronay Ak, Even Oldridge - Reviewer : marv.20 - Topics - [#Language_and_Knowledge](../../topics/Language%20and%20Knowledge.md) - #Semi-Supervised_Learning - #Sequential_Recommendation - [#RecSys2021](RecSys2021.md) ## Summary - NLP와 sequential / session 기반 추천 방식이 유사한데, 최근 NLP의 수많은 모델 구조들을 바로 추천에 적용할 수 있게끔 huggingface transformers 라이브러리 기반의 transformer4rec 라이브러리를 공개하였습니다. Huggingface의 모델 구조를 적용, 튜닝하는 것으로 2개의 2021 이커머스 챌린지에서 우승할 수 있었습니다. - casual language modeling에서 자주 쓰였던 학습방법들인 masked LM, permutation LM, replacement token detection 방법론들을 비교하여 보았습니다. - 사이드 정보를 결합하여 추천해보았습니다. ## Approach ### NLP 모델들과 Sequential / Session 기반 추천의 관계 ![image](https://user-images.githubusercontent.com/38134957/165446726-6ebf29d3-91c8-4ddd-a968-8e2dfcb8ff36.png) ### LM 학습기법들 비교 (CLM, MLM, PLM, RTD) ![The possible transformation of MLM and PLM, where w i and p i represent token and position embeddings. [M ] is the special mask token used in MLM. The left side of MLM (a) can be seen as bidirectional AR streams (in blue and yellow, respectively) at the right side. For MLM (b) and PLM (c), the left sides are in original order, and the right sides are in permuted order, which are regarded as a unified view.](https://www.researchgate.net/profile/Rui-Wang-17/publication/341369190/figure/fig4/AS:890933465849856@1589426499052/The-possible-transformation-of-MLM-and-PLM-where-w-i-and-p-i-represent-token-and.png) - causal language model (CLM) : next token prediction - masked language model (MLM) : masked token prediction - permuation languagem model (PLM) : permutation + next token prediction ### Transformer4Rec 구조 ![image](https://user-images.githubusercontent.com/38134957/165446737-bfbd5f4a-619f-46f8-9753-ab0f1c925eb5.png) - 데이터 전처리, 피처 엔지니어링 : NVTabular - sequential reco를 위한 ops : grouping time-sorted interactions, truncating first/last N interactions - Meta architecture - feature processing module : sparse categorical, continuous -> normalized and combined - sequence masking module : CLM, MLM, PLM - prediction head module : tasks (item prediction, sequence-level prediction) ## Results - RQ1. 다양한 모델 아키텍쳐 실험 결과 - RQ2. 다양한 학습 방식 실험 결과 - RQ3. item embedding을 다양한 feature들의 결합으로 변형 ![image](https://user-images.githubusercontent.com/38134957/165446761-2f16c809-ea69-44a5-9169-e6570ba8c84d.png) ## Conclusion - sequential recommendation이 NLP의 발전을 따라가기만 하는 형태여서 비판적이었는데 이를 실용적으로 풀어낸 게 인상깊었습니다. - winning solution은 존재하지 않았습니다. 오히려 그렇기 때문에 데이터셋이나 환경에 따라 다양한 모델을 자유롭게 실험해볼 수 있어야 하고, 그런 의미에서 이 논문의 가치가 있다고 생각합니다. - 사이드 정보를 넣는 방식이 인상 깊었습니다. 상당히 간단해서 어느 구좌 / 메타이던지 사용해볼 수 있을 것 같습니다. ================================================ FILE: paper_review/recsys/recsys2021/Values of Exploration in Recommender Systems.md ================================================ # Values of Exploration in Recommender Systems - Paper : - Authors : Minmin Chen, Yuyan Wang, Can Xu, Ya Le, Mohit Sharma, Lee Richardson, Su-Lin Wu, Ed Chi - Reviewer : andrew.y - Topics - [#Metrics_and_Evaluation](../../topics/Metrics%20and%20Evaluation.md) - [#RecSys2021](RecSys2021.md) ## Summary - 강화학습 기반 추천 시스템에서 exploration이 어떤 영향을 미치는지 알아보고 user exploration을 추가하는 methodology를 소개한 논문입니다. - Accuracy, diversity, novelty, serendipity를 측정하고, 오프라인과 온라인 실험을 통해 exploration의 영향을 분석하였습니다. ## Approach ### 배경 논문은 REINFORCE 추천 시스템을 베이스로 사용합니다. ([참고 논문](https://arxiv.org/abs/1812.02353)) - 용어 정리 - 유저의 히스토리 up to time t, A_t = set of item recommended at time t, a = item user interacted with, r = reward - u_s_t = RNN_theta(H_t) → latent user state (s_t = user state) - v_a = embedding of item a - Softmax Policy over item corpus given the latent user state - 여기서 policy parameters θ가 밑의 수식을 (expected culumative reward) 최대화 하게 학습을 합니다. - 이 학습된 softmax policy를 사용해서 time t에 set of recommendation A_t생성해서 A_t를 유저한테 추천합니다. ### User Exploration 활성화 하는 방법 #### Entropy Regularization policy π_θ (·|s)를 entropy가 높은 output distribution으로 유도해서 유저 관심사 밖 콘텐츠를 추천하는걸 더 활성화 시킵니다. (user exploration 활성화) - entropy는 negative reverse KL divergence of the conditional distribution π_θ (·|s) to the uniform distribution. (uniform distribution과 얼마나 비슷한지) - entropy를 높이면 높일수록 학습된 policy는 uniform distribution이 된다. (선호도와 상관 없이 공평하게 추천된다) #### Intrinsic Motivation and Reward Shaping - 위 policy 수식의 r(s,a) reward function (유저 s에게 a를 추천하는 immediate value)에서 intrinsic reward를 추가합니다. - 유저가 소비한 아이템의 리스트가 있을때 유저가 막 소비한 아이템이 이전 아이템들이랑 많이 다르면 reward를 높게 합니다. - multiplication인 이유는 relevance를 유지하기 위해서 (R_t^e (s_t , a_t ) = 0는 계속 0)입니다. - 유저에게 더 좋은 user experience를 주는 surprising한 (과거 소비 아이템이랑 다른) 아이템에게 reward를 많이 줍니다. - unknown interest는 아이템의 클러스터가 유저가 이미 소비한 클러스터가 아닌 경우를 의미합니다. (i.e. different topic, different provider) #### Actionable Representation for Exploration - 유저가 surprising한 아이템을 소비해서 리워드를 높게 받은 상태면, 다음에는 다르게 interact할수있게 유저 피쳐에 반영을 해야합니다. - 따라서 유저 피쳐 (유저 히스토리)에 surprise랑 relevance를 추가합니다. , i_t = 1 if topic/provider cluster different, r_t (reward) > 0 (relevance) ### 측정 방법 #### Accuracy - mean average precision at K = 50 (밑의 수식에서는 j) ([참고 논문](https://www.cs.cornell.edu/people/tj/publications/yue_etal_07a.pdf)) #### Diversity - 직관적인 수식입니다. uniform에서는 sim(i,j)는 1이니까 diversity는 0, sim(i,j)가 낮으면 낮을수록 diversity가 올라가게 됩니다. #### Novelty - I(a)= − log (# users consumed item a) + const - globally 덜 popular 한 아이템 (모두가 좋아하지 않는 아이템)을 학습해서 추천하면 더 novel하다고 봅니다. #### Serendipity - 위에 언급한 surprise + relevance를 둘다 챙기면 1, 아니면 0로 둡니다. - 유저가 소비하는 주류 아이템이 아닌 관심있는 아이템이 있는지 quanitify 하는 metric입니다. #### Long Term User Experience - 결국엔 exploration이 long term user experience에는 도움이 될것인지 알려면 이거에 대한 측정 방법도 있어야 합니다. - 논문에서는 유저가 다시 서비스를 쓰는지, 그리고 활동량이 적은 유저들이 활동량이 많은 유저로 변하는지를 보고 long term user experience를 판단합니다. ## Results ### 오프라인 실험 결과 및 분석 ![image](https://user-images.githubusercontent.com/38134957/165145163-284be0f7-1b83-4371-9668-5c86004ab50a.png) - 무슨 데이터셋을 썼는지 정확히 언급은 하고 있지 않습니다. ("a billion user trajectories from a commercial recommendation platform") - item space = most popular 10 million items in the past 48 hours on the platform - 99% training, 1% validation #### Entropy Regularization - as α ↑, diversity ↑, novelty ↑ at cost of accuracy ↓ + serendipity ↓ (due to loss of relevance) #### Intrinsic Motivation - 위의 c를 조정 가능하지만 이 페이퍼에서는 | I_t | 를 조정하기로 하였습니다. - baseline 대비 diversity ↑ at cost of accuracy ↓, serendipity ↑, novelty - 의 성능을 보여주었습니다. - d = 1, 7, 365에서는 큰 차이 없었습니다. - In the datasets, the percentage is reduced from 36% → 19% → 12% when the window size is extended from 1 → 7 → 365 days. (서프라이징 한 state-action pair %) #### Actionable Representation - actionable representation만으로는 baseline과 비슷해서 intrinsic motivation이랑 같이 써야합니다. - intrinsic motivation 대비 serendipity ↑ - mean input gate activation value차이 → RNN이 surprising event때 더 큰 업데이트를 합니다. → 유의미한 차이가 있습니다. ### 온라인 실험 결과 및 분석 - 오프라인 실험과 데이터 크기는 비슷합니다. - "a industrial recommendation platform serving billions of users", "a corpus of 10 million" ![image](https://user-images.githubusercontent.com/38134957/165145338-547f5d84-66fc-4269-a0ee-f578160d2662.png) - entropy regularization (red: α = 0.1, blue: α = 0.5) - intrinsic motivation (d = 7, topic, c = 4) - user enjoyment improvement 어떻게 측정 했는지 안나와있습니다. - α = 0.1 → α = 0.5: lower user enjoyment improvement. 따라서 diversity ↑ novelty ↑은 better user experience를 가져오지 못한다고 볼 수 있습니다. - Figure 3b, 3c에서는 user enjoyment이 improve했고 (baseline 대비) 오프라인 분석과 합쳐서 분석하면 serendipity ↑ 이 user experience를 더 좋게 만든다고 볼 수 있습니다. - Returning 유저도 더 많아졌습니다. #### Long Term User Experience ![image](https://user-images.githubusercontent.com/38134957/165145476-f81882da-c0b4-4e45-b800-d63528785fbd.png) - 시간이 지날수록 exploration의 효과 (유저가 새로운 "interest"를 찾는거)가 있었습니다. ![image](https://user-images.githubusercontent.com/38134957/165145485-994383d3-1a05-4d21-973e-001397e57b2e.png) - 실험 시작하기 전과 후를 비교한 a user activity level transition matrix입니다. - 저 %가 어떻게 계산되는지는 불확실합니다. (개인적으로 이해 못함) - casual → core conversion이 많았다 주장하고 있습니다. ## Conclusion - serendipity가 long term user experience에 좋은 영향을 준다는 것을 밝혔습니다. 따라서 long term user experience를 높히기 위해서는 exploration을 해야하고, exploration이 serendipitous recommendation을 잘 해줘야 합니다. ================================================ FILE: paper_review/topics/Algorithmic Advances.md ================================================ # Algorithmic Advances - [Next-item Recommendations in Short Sessions](../recsys/recsys2021/Next-item%20Recommendations%20in%20Short%20Sessions.md) - [Burst-induced Multi-Armed Bandit for Learning Recommendation](../recsys/recsys2021/Burst-induced%20Multi-Armed%20Bandit%20for%20Learning%20Recommendation.md) - [Top-K Contextual Bandits with Equity of Exposure](../recsys/recsys2021/Top-K%20Contextual%20Bandits%20with%20Equity%20of%20Exposure.md) ================================================ FILE: paper_review/topics/Applications-Driven Advances.md ================================================ # Applications-Driven Advances - [Follow the guides- disentangling human and algorithmic curation in online music consumption](../recsys/recsys2021/Follow%20the%20guides-%20disentangling%20human%20and%20algorithmic%20curation%20in%20online%20music%20consumption.md) ================================================ FILE: paper_review/topics/Bandits and Reinforcement Learning.md ================================================ # Bandits and Reinforcement Learning - [Burst-induced Multi-Armed Bandit for Learning Recommendation](../recsys/recsys2021/Burst-induced%20Multi-Armed%20Bandit%20for%20Learning%20Recommendation.md) - [Top-K Contextual Bandits with Equity of Exposure](../recsys/recsys2021/Top-K%20Contextual%20Bandits%20with%20Equity%20of%20Exposure.md) ================================================ FILE: paper_review/topics/Echo Chambers and Filter Bubbles.md ================================================ # Echo Chambers and Filter Bubbles - [I want to break free! Recommending friends from outside the echo chamber](../recsys/recsys2021/I%20want%20to%20break%20free!%20Recommending%20friends%20from%20outside%20the%20echo%20chamber.md) ================================================ FILE: paper_review/topics/Interactive Recommendation.md ================================================ # Interactive Recommendation - [The role of preference consistency, defaults and musical expertise in users’ exploration behavior in a genre exploration recommender](../recsys/recsys2021/The%20role%20of%20preference%20consistency,%20defaults%20and%20musical%20expertise%20in%20users’%20exploration%20behavior%20in%20a%20genre%20exploration%20recommender.md) ================================================ FILE: paper_review/topics/Language and Knowledge.md ================================================ # Language and Knowledge - [Transformers4Rec- Bridging the Gap between NLP and Sequential & Session-Based Recommendation](../recsys/recsys2021/Transformers4Rec-%20Bridging%20the%20Gap%20between%20NLP%20and%20Sequential%20&%20Session-Based%20Recommendation.md) - [Sparse Feature Factorization for Recommender Systems with Knowledge Graphs](../recsys/recsys2021/Sparse%20Feature%20Factorization%20for%20Recommender%20Systems%20with%20Knowledge%20Graphs.md) - [ProtoCF- Prototypical Collaborative Filtering for Few-shot Item Recommendation](../recsys/recsys2021/ProtoCF-%20Prototypical%20Collaborative%20Filtering%20for%20Few-shot%20Item%20Recommendation.md) - [Towards Source-Aligned Variational Models for Cross-Domain Recommendation](../recsys/recsys2021/Towards%20Source-Aligned%20Variational%20Models%20for%20Cross-Domain%20Recommendation.md) - [Together is Better- Hybrid Recommendations Combining Graph Embeddings and Contextualized Word Representations](../recsys/recsys2021/Together%20is%20Better-%20Hybrid%20Recommendations%20Combining%20Graph%20Embeddings%20and%20Contextualized%20Word%20Representations.md) ================================================ FILE: paper_review/topics/Metrics and Evaluation.md ================================================ # Metrics and Evaluation - [Toward Unified Metrics for Accuracy and Diversity for Recommender Systems](../recsys/recsys2021/Toward%20Unified%20Metrics%20for%20Accuracy%20and%20Diversity%20for%20Recommender%20Systems.md) - [Values of Exploration in Recommender Systems](../recsys/recsys2021/Values%20of%20Exploration%20in%20Recommender%20Systems.md) - [Accordion- a Trainable Simulator for Long-Term Interactive Systems](../recsys/recsys2021/Accordion-%20a%20Trainable%20Simulator%20for%20Long-Term%20Interactive%20Systems.md) - [Evaluating Off-Policy Evaluation- Sensitivity and Robustness](../recsys/recsys2021/Evaluating%20Off-Policy%20Evaluation-%20Sensitivity%20and%20Robustness.md) ================================================ FILE: paper_review/topics/Practical Issues.md ================================================ # Practical Issues - [Shared Neural Item Representation for Completely Cold Start Problem](../recsys/recsys2021/Shared%20Neural%20Item%20Representation%20for%20Completely%20Cold%20Start%20Problem.md) ================================================ FILE: paper_review/topics/Privacy, Fairness, Bias.md ================================================ # Privacy, Fairness, Bias - [Debiased Explainable Pairwise Ranking from Implicit Feedback](../recsys/recsys2021/Debiased%20Explainable%20Pairwise%20Ranking%20from%20Implicit%20Feedback.md) - [Mitigating Confounding Bias in Recommendation via Information Bottleneck](../recsys/recsys2021/Mitigating%20Confounding%20Bias%20in%20Recommendation%20via%20Information%20Bottleneck.md) ================================================ FILE: paper_review/topics/Real-World Concerns.md ================================================ # Real-World Concerns - [Cold Start Similar Artists Ranking with Gravity-Inspired Graph Autoencoders](../recsys/recsys2021/Cold%20Start%20Similar%20Artists%20Ranking%20with%20Gravity-Inspired%20Graph%20Autoencoders.md) - [Semi-Supervised Visual Representation Learning for Fashion Compatibility](../recsys/recsys2021/Semi-Supervised%20Visual%20Representation%20Learning%20for%20Fashion%20Compatibility.md) ================================================ FILE: paper_review/topics/Scalable Performance.md ================================================ # Scalable Performance - [Local Factor Models for Large-Scale Inductive Recommendation](../recsys/recsys2021/Local%20Factor%20Models%20for%20Large-Scale%20Inductive%20Recommendation.md) - [Reverse Maximum Inner Product Search- How to efficiently find users who would like to buy my item?](../recsys/recsys2021/Reverse%20Maximum%20Inner%20Product%20Search-%20How%20to%20efficiently%20find%20users%20who%20would%20like%20to%20buy%20my%20item%3F.md) ================================================ FILE: paper_review/topics/Theory and Practice.md ================================================ # Theory and Practice - [Negative Interactions for Improved Collaborative Filtering- Don’t go Deeper, go Higher](../recsys/recsys2021/Negative%20Interactions%20for%20Improved%20Collaborative%20Filtering-%20Don’t%20go%20Deeper,%20go%20Higher.md) - [Matrix Factorization for Collaborative Filtering Is Just Solving an Adjoint Latent Dirichlet Allocation Model After All](../recsys/recsys2021/Matrix%20Factorization%20for%20Collaborative%20Filtering%20Is%20Just%20Solving%20an%20Adjoint%20Latent%20Dirichlet%20Allocation%20Model%20After%20All.md) ================================================ FILE: paper_review/topics/Users in Focus.md ================================================ # Users in Focus - ["Serving Each User"- Supporting Different Eating Goals Through a Multi-List Recommender Interface](../recsys/recsys2021/"Serving%20Each%20User"-%20Supporting%20Different%20Eating%20Goals%20Through%20a%20Multi-List%20Recommender%20Interface.md) ================================================ FILE: presentations/README.md ================================================ # 발표 자료 모음 ================================================ FILE: programming_assignments/beale_ciphers/README.md ================================================ # 빌 암호(Beale Ciphers) 해독 문제 출제 및 검수: 한상덕(leo.han) > 이 문제로 영입을 진행하며 지원자분에게 드렸던 인터뷰 질문은 [interview.md](interview.md)에 있습니다. 문제를 풀어보시고 이 문서도 확인해보세요. ## 문제 사건은 1885년 한 조그마난 팜플렛이 버지니아에서 발견되면서부터 시작된다. 이 팜플렛에는 빌이라는 이름의 한 남자의 이야기와 세 개의 암호 메세지가 담겨있었다. 이야기의 내용은 1820년 빌이라는 남자가 버지니아 베드포드 카운티 한 비밀의 장소에 보물로 가득 찬 수레 두 대를 묻었다는 것이다. 이 남자는 여관 주인에게 작은 열쇠 상자를 맡기고 마을을 떠난 뒤 다시는 나타나지 않았다. 수 년 뒤 여관 주인은 열쇠 상자를 열었고 세 개의 암호화된 메세지를 발견한다. 그는 평생 암호를 해독하지 못하고 1863년 죽기 전에 친구에게 암호를 준다. 그로부터 20년 후 이 이름 모를 친구는 세 개의 암호 중 첫 번째와 두 번째 암호를 해독하는데 성공한다. 해독된 메세지에는 빌이 묻은 금은보화들의 존재와 위치가 담겨있었다. 마지막 메세지에는 세부 위치와 그 보물들이 누구의 소유인지 밝혀져 있다고 한다. 수십 년간 많은 사람이 암호 해독을 시도해보았고 보물을 찾아 나섰지만 모두 실패했다. ![빌의 두번째 암호](https://user-images.githubusercontent.com/38134957/205591146-88a80e11-1dee-4d33-8305-40ef6f13d6f1.png) 빌의 두번째 암호 ![빌의 세번째 암호](https://user-images.githubusercontent.com/38134957/205591160-5b7a7fa5-964f-443b-a5bf-01d9dd093420.png) 빌의 세번째 암호 그러던 중 카카오 추천팀 레오는 빌의 다른 암호문 중에서 세 번째 암호를 해결하기 위한 단서가 첫 번째 암호와 두 번째 암호에 존재한다는 사실을 발견했다. 첫 번째 암호문을 행렬로 표현했을 때 k x k 크기의 정방 블록부분행렬들 중 한 블록부분행렬 X와 X와 같은 크기의 두 번째 암호의 블록부분행렬들 중 한 블록부분행렬 Y가 세 번째 암호를 해독하는데 중요한 역할을 한다는 사실을 발견한 것이다. 레오는 세 번째 암호문의 k x k 크기의 블록부분행렬 집합 Q의 원소 중 의미있는 원소의 집합 S를 다음과 같이 표현하였다. $$\large S = \\{ Z | XZ = Y, Z \in Q \\}$$ 레오는 집합 S의 크기가 클수록 암호를 해독할 가능성이 높아진다고 생각하였지만 모든 경우를 전부 해보는 것은 시간상 힘들기 때문에 X, Y 그리고 세 번째 암호문 n×m 행렬 R이 주어졌을 때 |S|를 구하는 프로그램을 구현하고자 한다. ## 조건 1. 입력제한 - C++, Java : 1 ≤ k ≤ 100, k ≤ n, m ≤ 150 - Python : 1 ≤ k ≤ 40, k ≤ n, m ≤ 60 2. k×k의 두 행렬의 곱 연산은 일반적인 방법으로 O(k^3)에 구현이 가능하고 가장 빠른 방법은 O(k^2.373)에 구하는 방법으로 알려져 있다. 하지만 위 두 가지 방법론으로 위 문제를 해결하기에는 적절하지 않기 때문에 다음 방법론을 이용하여 구현해야 한다. - 링크: 3. Standard Library만 사용해야 한다. (ex Python 2, Python 3 - numpy 모듈 허용하지 않음) 4. 제한시간 C++ 1.5초, Java 2.5초, Python 5초 5. 표준 입출력 사용 6. matrix 연산 과정은 int 범위 안에서 계산할 수 있습니다. ## 입력 첫 번째 줄에 테스트 케이스 T(1 ≤ T ≤ 10)가 입력으로 주어진다. 두 번째 줄부터 테스트케이스가 시작된다. 각 테스트 케이스의 첫 번째 줄에 공백을 기준으로 n, m, k가 주어진다. 그 다음줄부터 k개의 줄에는 X의 원소가 k개씩 주어진다. 이어서 k개의 줄에는 Y의 원소가 k개씩 주어지고 그 다음에 n개의 줄에 R의 원소가 m개씩 주어진다. ## 출력 각 테스트케이스마다 |S| 를 한 줄에 하나씩 출력한다. ## 예제 |입력 예제|출력 예제| |:---|:---| |2
1 4 1
2
6
3 4 3 3
3 4 2
1 0
0 1
1 1
0 1
1 1 1 1
0 1 0 1
1 3 1 -1|3
2











| ================================================ FILE: programming_assignments/beale_ciphers/interview.md ================================================ # 빌 암호(Beale Ciphers) 해독 인터뷰 질문 > [▶︎ 빌 암호(Beale Ciphers) 해독 문제로 돌아가기](README.md) 빌 암호(Beale Ciphers) 해독 문제로 영입을 진행하며 지원자분에게 드렸던 인터뷰 질문과 예시 답변을 모아놓았습니다. ## 질문 1 Freivalds 알고리즘의 목적 및 동작에 대해 설명해주세요.
예시 답변 - N x N 행렬 A, B, C에 대해서, AB = C 인지 여부를 빠르게 계산하기 위한 확률 기반 approximate 알고리즘
## 질문 2 빌 암호 해독 문제를 freivalds 알고리즘을 이용하여 해결 했을 경우 시간 복잡도는? 그리고 시간복잡도 그렇게 되는 이유(증명)를 설명할 수 있겠는가?
예시 답변 - O(kN^2), k는 frealids 알고리즘 반복 횟수 - 간혹 kN^2 이 아니라 반복횟수 k를 상수 취급해서 무시하는 경우가 있는데, 정확하게 집고 넘어가도록 하자. - 문제를 풀 때 증명을 읽지 않고 문제를 해결할 수 있기 때문에 증명 내용에 대해서는 추가 점수 정도로 조정
## 질문 3 Freivalds 알고리즘의 오답률은?
예시 답변 ≤ 1/(2^k)
## 질문 4 Freivalds 알고리즘 반복 횟수 k는 문제에서 몇 번 시도하였는가? 왜 그렇게 값을 정하였는가? 만약 K 값을 더 최적화해보라고 한다면, 어떻게 접근하겠는가? 필요한 가정은 직접 추가해도 무방하다.
예시 답변 - 시스템이 요구하는 정확도가 xx 라면 xx 를 초과하도록 k 를 정하겠다. - 시스템의 수행시간이 허용하는 한도 내에서 가장 높은 k 를 실험적으로 찾겠다. - 정확도와 수행시간 간에 트레이드오프임을 인지하는지 판단
================================================ FILE: programming_assignments/beale_ciphers/solution/solve.cpp ================================================ #include #include #include const int K = 102; const int N = 302; const int M = 302; int X[K][K], Y[K][K], Q[N][M], _C[K][K]; int v[K], t[K], q[K]; bool freivald(int X[][K], int Y[][K], int Q[][M], int x, int y, int n, int m, int k){ int T = 10; while(T--){ for(int i=0; i 0 ) { for(int i=0; i 10: break count = count + 1 return True def solve(): n, m, k = map(int, input().split()) X = [] Y = [] Q = [] v = [0 for i in range(k)] t = [0 for i in range(k)] q = [0 for i in range(k)] for i in range(k): X.append(map(int, input().split())) for i in range(k): Y.append(map(int, input().split())) for i in range(n): Q.append(map(int, input().split())) ans = 0 for i in range(n - k + 1): for j in range(m - k + 1): if freivald(X, Y, Q, i, j, n, m, k, v, t, q): ans = ans + 1 print(ans) def test(): T = map(int, input().split())[0] for i in range(T): solve() if __name__ == '__main__': test() ================================================ FILE: programming_assignments/beale_ciphers/testcase/README.md ================================================ # 테스트 케이스 - Python2, Python3의 경우 small test case까지만 채점 - C++, Java의 경우 small + large test case로 채점 ================================================ FILE: programming_assignments/beale_ciphers/testcase/large/test1.in ================================================ 1 150 150 100 1 0 0 0 0 0 0 0 0 0 0 0 0 0 0 0 0 0 0 0 0 0 0 0 0 0 0 0 0 0 0 0 0 0 0 0 0 0 0 0 0 0 0 0 0 0 0 0 0 0 0 0 0 0 0 0 0 0 0 0 0 0 0 0 0 0 0 0 0 0 0 0 0 0 0 0 0 0 0 0 0 0 0 0 0 0 0 0 0 0 0 0 0 0 0 0 0 0 0 0 0 1 0 0 0 0 0 0 0 0 0 0 0 0 0 0 0 0 0 0 0 0 0 0 0 0 0 0 0 0 0 0 0 0 0 0 0 0 0 0 0 0 0 0 0 0 0 0 0 0 0 0 0 0 0 0 0 0 0 0 0 0 0 0 0 0 0 0 0 0 0 0 0 0 0 0 0 0 0 0 0 0 0 0 0 0 0 0 0 0 0 0 0 0 0 0 0 0 0 0 0 0 1 0 0 0 0 0 0 0 0 0 0 0 0 0 0 0 0 0 0 0 0 0 0 0 0 0 0 0 0 0 0 0 0 0 0 0 0 0 0 0 0 0 0 0 0 0 0 0 0 0 0 0 0 0 0 0 0 0 0 0 0 0 0 0 0 0 0 0 0 0 0 0 0 0 0 0 0 0 0 0 0 0 0 0 0 0 0 0 0 0 0 0 0 0 0 0 0 0 0 0 0 1 0 0 0 0 0 0 0 0 0 0 0 0 0 0 0 0 0 0 0 0 0 0 0 0 0 0 0 0 0 0 0 0 0 0 0 0 0 0 0 0 0 0 0 0 0 0 0 0 0 0 0 0 0 0 0 0 0 0 0 0 0 0 0 0 0 0 0 0 0 0 0 0 0 0 0 0 0 0 0 0 0 0 0 0 0 0 0 0 0 0 0 0 0 0 0 0 0 0 0 0 1 0 0 0 0 0 0 0 0 0 0 0 0 0 0 0 0 0 0 0 0 0 0 0 0 0 0 0 0 0 0 0 0 0 0 0 0 0 0 0 0 0 0 0 0 0 0 0 0 0 0 0 0 0 0 0 0 0 0 0 0 0 0 0 0 0 0 0 0 0 0 0 0 0 0 0 0 0 0 0 0 0 0 0 0 0 0 0 0 0 0 0 0 0 0 0 0 0 0 0 0 1 0 0 0 0 0 0 0 0 0 0 0 0 0 0 0 0 0 0 0 0 0 0 0 0 0 0 0 0 0 0 0 0 0 0 0 0 0 0 0 0 0 0 0 0 0 0 0 0 0 0 0 0 0 0 0 0 0 0 0 0 0 0 0 0 0 0 0 0 0 0 0 0 0 0 0 0 0 0 0 0 0 0 0 0 0 0 0 0 0 0 0 0 0 0 0 0 0 0 0 0 1 0 0 0 0 0 0 0 0 0 0 0 0 0 0 0 0 0 0 0 0 0 0 0 0 0 0 0 0 0 0 0 0 0 0 0 0 0 0 0 0 0 0 0 0 0 0 0 0 0 0 0 0 0 0 0 0 0 0 0 0 0 0 0 0 0 0 0 0 0 0 0 0 0 0 0 0 0 0 0 0 0 0 0 0 0 0 0 0 0 0 0 0 0 0 0 0 0 0 0 0 1 0 0 0 0 0 0 0 0 0 0 0 0 0 0 0 0 0 0 0 0 0 0 0 0 0 0 0 0 0 0 0 0 0 0 0 0 0 0 0 0 0 0 0 0 0 0 0 0 0 0 0 0 0 0 0 0 0 0 0 0 0 0 0 0 0 0 0 0 0 0 0 0 0 0 0 0 0 0 0 0 0 0 0 0 0 0 0 0 0 0 0 0 0 0 0 0 0 0 0 0 1 0 0 0 0 0 0 0 0 0 0 0 0 0 0 0 0 0 0 0 0 0 0 0 0 0 0 0 0 0 0 0 0 0 0 0 0 0 0 0 0 0 0 0 0 0 0 0 0 0 0 0 0 0 0 0 0 0 0 0 0 0 0 0 0 0 0 0 0 0 0 0 0 0 0 0 0 0 0 0 0 0 0 0 0 0 0 0 0 0 0 0 0 0 0 0 0 0 0 0 0 1 0 0 0 0 0 0 0 0 0 0 0 0 0 0 0 0 0 0 0 0 0 0 0 0 0 0 0 0 0 0 0 0 0 0 0 0 0 0 0 0 0 0 0 0 0 0 0 0 0 0 0 0 0 0 0 0 0 0 0 0 0 0 0 0 0 0 0 0 0 0 0 0 0 0 0 0 0 0 0 0 0 0 0 0 0 0 0 0 0 0 0 0 0 0 0 0 0 0 0 0 1 0 0 0 0 0 0 0 0 0 0 0 0 0 0 0 0 0 0 0 0 0 0 0 0 0 0 0 0 0 0 0 0 0 0 0 0 0 0 0 0 0 0 0 0 0 0 0 0 0 0 0 0 0 0 0 0 0 0 0 0 0 0 0 0 0 0 0 0 0 0 0 0 0 0 0 0 0 0 0 0 0 0 0 0 0 0 0 0 0 0 0 0 0 0 0 0 0 0 0 0 1 0 0 0 0 0 0 0 0 0 0 0 0 0 0 0 0 0 0 0 0 0 0 0 0 0 0 0 0 0 0 0 0 0 0 0 0 0 0 0 0 0 0 0 0 0 0 0 0 0 0 0 0 0 0 0 0 0 0 0 0 0 0 0 0 0 0 0 0 0 0 0 0 0 0 0 0 0 0 0 0 0 0 0 0 0 0 0 0 0 0 0 0 0 0 0 0 0 0 0 0 1 0 0 0 0 0 0 0 0 0 0 0 0 0 0 0 0 0 0 0 0 0 0 0 0 0 0 0 0 0 0 0 0 0 0 0 0 0 0 0 0 0 0 0 0 0 0 0 0 0 0 0 0 0 0 0 0 0 0 0 0 0 0 0 0 0 0 0 0 0 0 0 0 0 0 0 0 0 0 0 0 0 0 0 0 0 0 0 0 0 0 0 0 0 0 0 0 0 0 0 0 1 0 0 0 0 0 0 0 0 0 0 0 0 0 0 0 0 0 0 0 0 0 0 0 0 0 0 0 0 0 0 0 0 0 0 0 0 0 0 0 0 0 0 0 0 0 0 0 0 0 0 0 0 0 0 0 0 0 0 0 0 0 0 0 0 0 0 0 0 0 0 0 0 0 0 0 0 0 0 0 0 0 0 0 0 0 0 0 0 0 0 0 0 0 0 0 0 0 0 0 0 1 0 0 0 0 0 0 0 0 0 0 0 0 0 0 0 0 0 0 0 0 0 0 0 0 0 0 0 0 0 0 0 0 0 0 0 0 0 0 0 0 0 0 0 0 0 0 0 0 0 0 0 0 0 0 0 0 0 0 0 0 0 0 0 0 0 0 0 0 0 0 0 0 0 0 0 0 0 0 0 0 0 0 0 0 0 0 0 0 0 0 0 0 0 0 0 0 0 0 0 0 1 0 0 0 0 0 0 0 0 0 0 0 0 0 0 0 0 0 0 0 0 0 0 0 0 0 0 0 0 0 0 0 0 0 0 0 0 0 0 0 0 0 0 0 0 0 0 0 0 0 0 0 0 0 0 0 0 0 0 0 0 0 0 0 0 0 0 0 0 0 0 0 0 0 0 0 0 0 0 0 0 0 0 0 0 0 0 0 0 0 0 0 0 0 0 0 0 0 0 0 0 1 0 0 0 0 0 0 0 0 0 0 0 0 0 0 0 0 0 0 0 0 0 0 0 0 0 0 0 0 0 0 0 0 0 0 0 0 0 0 0 0 0 0 0 0 0 0 0 0 0 0 0 0 0 0 0 0 0 0 0 0 0 0 0 0 0 0 0 0 0 0 0 0 0 0 0 0 0 0 0 0 0 0 0 0 0 0 0 0 0 0 0 0 0 0 0 0 0 0 0 0 1 0 0 0 0 0 0 0 0 0 0 0 0 0 0 0 0 0 0 0 0 0 0 0 0 0 0 0 0 0 0 0 0 0 0 0 0 0 0 0 0 0 0 0 0 0 0 0 0 0 0 0 0 0 0 0 0 0 0 0 0 0 0 0 0 0 0 0 0 0 0 0 0 0 0 0 0 0 0 0 0 0 0 0 0 0 0 0 0 0 0 0 0 0 0 0 0 0 0 0 0 1 0 0 0 0 0 0 0 0 0 0 0 0 0 0 0 0 0 0 0 0 0 0 0 0 0 0 0 0 0 0 0 0 0 0 0 0 0 0 0 0 0 0 0 0 0 0 0 0 0 0 0 0 0 0 0 0 0 0 0 0 0 0 0 0 0 0 0 0 0 0 0 0 0 0 0 0 0 0 0 0 0 0 0 0 0 0 0 0 0 0 0 0 0 0 0 0 0 0 0 0 1 0 0 0 0 0 0 0 0 0 0 0 0 0 0 0 0 0 0 0 0 0 0 0 0 0 0 0 0 0 0 0 0 0 0 0 0 0 0 0 0 0 0 0 0 0 0 0 0 0 0 0 0 0 0 0 0 0 0 0 0 0 0 0 0 0 0 0 0 0 0 0 0 0 0 0 0 0 0 0 0 0 0 0 0 0 0 0 0 0 0 0 0 0 0 0 0 0 0 0 0 1 0 0 0 0 0 0 0 0 0 0 0 0 0 0 0 0 0 0 0 0 0 0 0 0 0 0 0 0 0 0 0 0 0 0 0 0 0 0 0 0 0 0 0 0 0 0 0 0 0 0 0 0 0 0 0 0 0 0 0 0 0 0 0 0 0 0 0 0 0 0 0 0 0 0 0 0 0 0 0 0 0 0 0 0 0 0 0 0 0 0 0 0 0 0 0 0 0 0 0 0 1 0 0 0 0 0 0 0 0 0 0 0 0 0 0 0 0 0 0 0 0 0 0 0 0 0 0 0 0 0 0 0 0 0 0 0 0 0 0 0 0 0 0 0 0 0 0 0 0 0 0 0 0 0 0 0 0 0 0 0 0 0 0 0 0 0 0 0 0 0 0 0 0 0 0 0 0 0 0 0 0 0 0 0 0 0 0 0 0 0 0 0 0 0 0 0 0 0 0 0 0 1 0 0 0 0 0 0 0 0 0 0 0 0 0 0 0 0 0 0 0 0 0 0 0 0 0 0 0 0 0 0 0 0 0 0 0 0 0 0 0 0 0 0 0 0 0 0 0 0 0 0 0 0 0 0 0 0 0 0 0 0 0 0 0 0 0 0 0 0 0 0 0 0 0 0 0 0 0 0 0 0 0 0 0 0 0 0 0 0 0 0 0 0 0 0 0 0 0 0 0 0 1 0 0 0 0 0 0 0 0 0 0 0 0 0 0 0 0 0 0 0 0 0 0 0 0 0 0 0 0 0 0 0 0 0 0 0 0 0 0 0 0 0 0 0 0 0 0 0 0 0 0 0 0 0 0 0 0 0 0 0 0 0 0 0 0 0 0 0 0 0 0 0 0 0 0 0 0 0 0 0 0 0 0 0 0 0 0 0 0 0 0 0 0 0 0 0 0 0 0 0 0 1 0 0 0 0 0 0 0 0 0 0 0 0 0 0 0 0 0 0 0 0 0 0 0 0 0 0 0 0 0 0 0 0 0 0 0 0 0 0 0 0 0 0 0 0 0 0 0 0 0 0 0 0 0 0 0 0 0 0 0 0 0 0 0 0 0 0 0 0 0 0 0 0 0 0 0 0 0 0 0 0 0 0 0 0 0 0 0 0 0 0 0 0 0 0 0 0 0 0 0 0 1 0 0 0 0 0 0 0 0 0 0 0 0 0 0 0 0 0 0 0 0 0 0 0 0 0 0 0 0 0 0 0 0 0 0 0 0 0 0 0 0 0 0 0 0 0 0 0 0 0 0 0 0 0 0 0 0 0 0 0 0 0 0 0 0 0 0 0 0 0 0 0 0 0 0 0 0 0 0 0 0 0 0 0 0 0 0 0 0 0 0 0 0 0 0 0 0 0 0 0 0 1 0 0 0 0 0 0 0 0 0 0 0 0 0 0 0 0 0 0 0 0 0 0 0 0 0 0 0 0 0 0 0 0 0 0 0 0 0 0 0 0 0 0 0 0 0 0 0 0 0 0 0 0 0 0 0 0 0 0 0 0 0 0 0 0 0 0 0 0 0 0 0 0 0 0 0 0 0 0 0 0 0 0 0 0 0 0 0 0 0 0 0 0 0 0 0 0 0 0 0 0 1 0 0 0 0 0 0 0 0 0 0 0 0 0 0 0 0 0 0 0 0 0 0 0 0 0 0 0 0 0 0 0 0 0 0 0 0 0 0 0 0 0 0 0 0 0 0 0 0 0 0 0 0 0 0 0 0 0 0 0 0 0 0 0 0 0 0 0 0 0 0 0 0 0 0 0 0 0 0 0 0 0 0 0 0 0 0 0 0 0 0 0 0 0 0 0 0 0 0 0 0 1 0 0 0 0 0 0 0 0 0 0 0 0 0 0 0 0 0 0 0 0 0 0 0 0 0 0 0 0 0 0 0 0 0 0 0 0 0 0 0 0 0 0 0 0 0 0 0 0 0 0 0 0 0 0 0 0 0 0 0 0 0 0 0 0 0 0 0 0 0 0 0 0 0 0 0 0 0 0 0 0 0 0 0 0 0 0 0 0 0 0 0 0 0 0 0 0 0 0 0 0 1 0 0 0 0 0 0 0 0 0 0 0 0 0 0 0 0 0 0 0 0 0 0 0 0 0 0 0 0 0 0 0 0 0 0 0 0 0 0 0 0 0 0 0 0 0 0 0 0 0 0 0 0 0 0 0 0 0 0 0 0 0 0 0 0 0 0 0 0 0 0 0 0 0 0 0 0 0 0 0 0 0 0 0 0 0 0 0 0 0 0 0 0 0 0 0 0 0 0 0 0 1 0 0 0 0 0 0 0 0 0 0 0 0 0 0 0 0 0 0 0 0 0 0 0 0 0 0 0 0 0 0 0 0 0 0 0 0 0 0 0 0 0 0 0 0 0 0 0 0 0 0 0 0 0 0 0 0 0 0 0 0 0 0 0 0 0 0 0 0 0 0 0 0 0 0 0 0 0 0 0 0 0 0 0 0 0 0 0 0 0 0 0 0 0 0 0 0 0 0 0 0 1 0 0 0 0 0 0 0 0 0 0 0 0 0 0 0 0 0 0 0 0 0 0 0 0 0 0 0 0 0 0 0 0 0 0 0 0 0 0 0 0 0 0 0 0 0 0 0 0 0 0 0 0 0 0 0 0 0 0 0 0 0 0 0 0 0 0 0 0 0 0 0 0 0 0 0 0 0 0 0 0 0 0 0 0 0 0 0 0 0 0 0 0 0 0 0 0 0 0 0 0 1 0 0 0 0 0 0 0 0 0 0 0 0 0 0 0 0 0 0 0 0 0 0 0 0 0 0 0 0 0 0 0 0 0 0 0 0 0 0 0 0 0 0 0 0 0 0 0 0 0 0 0 0 0 0 0 0 0 0 0 0 0 0 0 0 0 0 0 0 0 0 0 0 0 0 0 0 0 0 0 0 0 0 0 0 0 0 0 0 0 0 0 0 0 0 0 0 0 0 0 0 1 0 0 0 0 0 0 0 0 0 0 0 0 0 0 0 0 0 0 0 0 0 0 0 0 0 0 0 0 0 0 0 0 0 0 0 0 0 0 0 0 0 0 0 0 0 0 0 0 0 0 0 0 0 0 0 0 0 0 0 0 0 0 0 0 0 0 0 0 0 0 0 0 0 0 0 0 0 0 0 0 0 0 0 0 0 0 0 0 0 0 0 0 0 0 0 0 0 0 0 0 1 0 0 0 0 0 0 0 0 0 0 0 0 0 0 0 0 0 0 0 0 0 0 0 0 0 0 0 0 0 0 0 0 0 0 0 0 0 0 0 0 0 0 0 0 0 0 0 0 0 0 0 0 0 0 0 0 0 0 0 0 0 0 0 0 0 0 0 0 0 0 0 0 0 0 0 0 0 0 0 0 0 0 0 0 0 0 0 0 0 0 0 0 0 0 0 0 0 0 0 0 1 0 0 0 0 0 0 0 0 0 0 0 0 0 0 0 0 0 0 0 0 0 0 0 0 0 0 0 0 0 0 0 0 0 0 0 0 0 0 0 0 0 0 0 0 0 0 0 0 0 0 0 0 0 0 0 0 0 0 0 0 0 0 0 0 0 0 0 0 0 0 0 0 0 0 0 0 0 0 0 0 0 0 0 0 0 0 0 0 0 0 0 0 0 0 0 0 0 0 0 0 1 0 0 0 0 0 0 0 0 0 0 0 0 0 0 0 0 0 0 0 0 0 0 0 0 0 0 0 0 0 0 0 0 0 0 0 0 0 0 0 0 0 0 0 0 0 0 0 0 0 0 0 0 0 0 0 0 0 0 0 0 0 0 0 0 0 0 0 0 0 0 0 0 0 0 0 0 0 0 0 0 0 0 0 0 0 0 0 0 0 0 0 0 0 0 0 0 0 0 0 0 1 0 0 0 0 0 0 0 0 0 0 0 0 0 0 0 0 0 0 0 0 0 0 0 0 0 0 0 0 0 0 0 0 0 0 0 0 0 0 0 0 0 0 0 0 0 0 0 0 0 0 0 0 0 0 0 0 0 0 0 0 0 0 0 0 0 0 0 0 0 0 0 0 0 0 0 0 0 0 0 0 0 0 0 0 0 0 0 0 0 0 0 0 0 0 0 0 0 0 0 0 1 0 0 0 0 0 0 0 0 0 0 0 0 0 0 0 0 0 0 0 0 0 0 0 0 0 0 0 0 0 0 0 0 0 0 0 0 0 0 0 0 0 0 0 0 0 0 0 0 0 0 0 0 0 0 0 0 0 0 0 0 0 0 0 0 0 0 0 0 0 0 0 0 0 0 0 0 0 0 0 0 0 0 0 0 0 0 0 0 0 0 0 0 0 0 0 0 0 0 0 0 1 0 0 0 0 0 0 0 0 0 0 0 0 0 0 0 0 0 0 0 0 0 0 0 0 0 0 0 0 0 0 0 0 0 0 0 0 0 0 0 0 0 0 0 0 0 0 0 0 0 0 0 0 0 0 0 0 0 0 0 0 0 0 0 0 0 0 0 0 0 0 0 0 0 0 0 0 0 0 0 0 0 0 0 0 0 0 0 0 0 0 0 0 0 0 0 0 0 0 0 0 1 0 0 0 0 0 0 0 0 0 0 0 0 0 0 0 0 0 0 0 0 0 0 0 0 0 0 0 0 0 0 0 0 0 0 0 0 0 0 0 0 0 0 0 0 0 0 0 0 0 0 0 0 0 0 0 0 0 0 0 0 0 0 0 0 0 0 0 0 0 0 0 0 0 0 0 0 0 0 0 0 0 0 0 0 0 0 0 0 0 0 0 0 0 0 0 0 0 0 0 0 1 0 0 0 0 0 0 0 0 0 0 0 0 0 0 0 0 0 0 0 0 0 0 0 0 0 0 0 0 0 0 0 0 0 0 0 0 0 0 0 0 0 0 0 0 0 0 0 0 0 0 0 0 0 0 0 0 0 0 0 0 0 0 0 0 0 0 0 0 0 0 0 0 0 0 0 0 0 0 0 0 0 0 0 0 0 0 0 0 0 0 0 0 0 0 0 0 0 0 0 0 1 0 0 0 0 0 0 0 0 0 0 0 0 0 0 0 0 0 0 0 0 0 0 0 0 0 0 0 0 0 0 0 0 0 0 0 0 0 0 0 0 0 0 0 0 0 0 0 0 0 0 0 0 0 0 0 0 0 0 0 0 0 0 0 0 0 0 0 0 0 0 0 0 0 0 0 0 0 0 0 0 0 0 0 0 0 0 0 0 0 0 0 0 0 0 0 0 0 0 0 0 1 0 0 0 0 0 0 0 0 0 0 0 0 0 0 0 0 0 0 0 0 0 0 0 0 0 0 0 0 0 0 0 0 0 0 0 0 0 0 0 0 0 0 0 0 0 0 0 0 0 0 0 0 0 0 0 0 0 0 0 0 0 0 0 0 0 0 0 0 0 0 0 0 0 0 0 0 0 0 0 0 0 0 0 0 0 0 0 0 0 0 0 0 0 0 0 0 0 0 0 0 1 0 0 0 0 0 0 0 0 0 0 0 0 0 0 0 0 0 0 0 0 0 0 0 0 0 0 0 0 0 0 0 0 0 0 0 0 0 0 0 0 0 0 0 0 0 0 0 0 0 0 0 0 0 0 0 0 0 0 0 0 0 0 0 0 0 0 0 0 0 0 0 0 0 0 0 0 0 0 0 0 0 0 0 0 0 0 0 0 0 0 0 0 0 0 0 0 0 0 0 0 1 0 0 0 0 0 0 0 0 0 0 0 0 0 0 0 0 0 0 0 0 0 0 0 0 0 0 0 0 0 0 0 0 0 0 0 0 0 0 0 0 0 0 0 0 0 0 0 0 0 0 0 0 0 0 0 0 0 0 0 0 0 0 0 0 0 0 0 0 0 0 0 0 0 0 0 0 0 0 0 0 0 0 0 0 0 0 0 0 0 0 0 0 0 0 0 0 0 0 0 0 1 0 0 0 0 0 0 0 0 0 0 0 0 0 0 0 0 0 0 0 0 0 0 0 0 0 0 0 0 0 0 0 0 0 0 0 0 0 0 0 0 0 0 0 0 0 0 0 0 0 0 0 0 0 0 0 0 0 0 0 0 0 0 0 0 0 0 0 0 0 0 0 0 0 0 0 0 0 0 0 0 0 0 0 0 0 0 0 0 0 0 0 0 0 0 0 0 0 0 0 0 1 0 0 0 0 0 0 0 0 0 0 0 0 0 0 0 0 0 0 0 0 0 0 0 0 0 0 0 0 0 0 0 0 0 0 0 0 0 0 0 0 0 0 0 0 0 0 0 0 0 0 0 0 0 0 0 0 0 0 0 0 0 0 0 0 0 0 0 0 0 0 0 0 0 0 0 0 0 0 0 0 0 0 0 0 0 0 0 0 0 0 0 0 0 0 0 0 0 0 0 0 1 0 0 0 0 0 0 0 0 0 0 0 0 0 0 0 0 0 0 0 0 0 0 0 0 0 0 0 0 0 0 0 0 0 0 0 0 0 0 0 0 0 0 0 0 0 0 0 0 0 0 0 0 0 0 0 0 0 0 0 0 0 0 0 0 0 0 0 0 0 0 0 0 0 0 0 0 0 0 0 0 0 0 0 0 0 0 0 0 0 0 0 0 0 0 0 0 0 0 0 0 1 0 0 0 0 0 0 0 0 0 0 0 0 0 0 0 0 0 0 0 0 0 0 0 0 0 0 0 0 0 0 0 0 0 0 0 0 0 0 0 0 0 0 0 0 0 0 0 0 0 0 0 0 0 0 0 0 0 0 0 0 0 0 0 0 0 0 0 0 0 0 0 0 0 0 0 0 0 0 0 0 0 0 0 0 0 0 0 0 0 0 0 0 0 0 0 0 0 0 0 0 1 0 0 0 0 0 0 0 0 0 0 0 0 0 0 0 0 0 0 0 0 0 0 0 0 0 0 0 0 0 0 0 0 0 0 0 0 0 0 0 0 0 0 0 0 0 0 0 0 0 0 0 0 0 0 0 0 0 0 0 0 0 0 0 0 0 0 0 0 0 0 0 0 0 0 0 0 0 0 0 0 0 0 0 0 0 0 0 0 0 0 0 0 0 0 0 0 0 0 0 0 1 0 0 0 0 0 0 0 0 0 0 0 0 0 0 0 0 0 0 0 0 0 0 0 0 0 0 0 0 0 0 0 0 0 0 0 0 0 0 0 0 0 0 0 0 0 0 0 0 0 0 0 0 0 0 0 0 0 0 0 0 0 0 0 0 0 0 0 0 0 0 0 0 0 0 0 0 0 0 0 0 0 0 0 0 0 0 0 0 0 0 0 0 0 0 0 0 0 0 0 0 1 0 0 0 0 0 0 0 0 0 0 0 0 0 0 0 0 0 0 0 0 0 0 0 0 0 0 0 0 0 0 0 0 0 0 0 0 0 0 0 0 0 0 0 0 0 0 0 0 0 0 0 0 0 0 0 0 0 0 0 0 0 0 0 0 0 0 0 0 0 0 0 0 0 0 0 0 0 0 0 0 0 0 0 0 0 0 0 0 0 0 0 0 0 0 0 0 0 0 0 0 1 0 0 0 0 0 0 0 0 0 0 0 0 0 0 0 0 0 0 0 0 0 0 0 0 0 0 0 0 0 0 0 0 0 0 0 0 0 0 0 0 0 0 0 0 0 0 0 0 0 0 0 0 0 0 0 0 0 0 0 0 0 0 0 0 0 0 0 0 0 0 0 0 0 0 0 0 0 0 0 0 0 0 0 0 0 0 0 0 0 0 0 0 0 0 0 0 0 0 0 0 1 0 0 0 0 0 0 0 0 0 0 0 0 0 0 0 0 0 0 0 0 0 0 0 0 0 0 0 0 0 0 0 0 0 0 0 0 0 0 0 0 0 0 0 0 0 0 0 0 0 0 0 0 0 0 0 0 0 0 0 0 0 0 0 0 0 0 0 0 0 0 0 0 0 0 0 0 0 0 0 0 0 0 0 0 0 0 0 0 0 0 0 0 0 0 0 0 0 0 0 0 1 0 0 0 0 0 0 0 0 0 0 0 0 0 0 0 0 0 0 0 0 0 0 0 0 0 0 0 0 0 0 0 0 0 0 0 0 0 0 0 0 0 0 0 0 0 0 0 0 0 0 0 0 0 0 0 0 0 0 0 0 0 0 0 0 0 0 0 0 0 0 0 0 0 0 0 0 0 0 0 0 0 0 0 0 0 0 0 0 0 0 0 0 0 0 0 0 0 0 0 0 1 0 0 0 0 0 0 0 0 0 0 0 0 0 0 0 0 0 0 0 0 0 0 0 0 0 0 0 0 0 0 0 0 0 0 0 0 0 0 0 0 0 0 0 0 0 0 0 0 0 0 0 0 0 0 0 0 0 0 0 0 0 0 0 0 0 0 0 0 0 0 0 0 0 0 0 0 0 0 0 0 0 0 0 0 0 0 0 0 0 0 0 0 0 0 0 0 0 0 0 0 1 0 0 0 0 0 0 0 0 0 0 0 0 0 0 0 0 0 0 0 0 0 0 0 0 0 0 0 0 0 0 0 0 0 0 0 0 0 0 0 0 0 0 0 0 0 0 0 0 0 0 0 0 0 0 0 0 0 0 0 0 0 0 0 0 0 0 0 0 0 0 0 0 0 0 0 0 0 0 0 0 0 0 0 0 0 0 0 0 0 0 0 0 0 0 0 0 0 0 0 0 1 0 0 0 0 0 0 0 0 0 0 0 0 0 0 0 0 0 0 0 0 0 0 0 0 0 0 0 0 0 0 0 0 0 0 0 0 0 0 0 0 0 0 0 0 0 0 0 0 0 0 0 0 0 0 0 0 0 0 0 0 0 0 0 0 0 0 0 0 0 0 0 0 0 0 0 0 0 0 0 0 0 0 0 0 0 0 0 0 0 0 0 0 0 0 0 0 0 0 0 0 1 0 0 0 0 0 0 0 0 0 0 0 0 0 0 0 0 0 0 0 0 0 0 0 0 0 0 0 0 0 0 0 0 0 0 0 0 0 0 0 0 0 0 0 0 0 0 0 0 0 0 0 0 0 0 0 0 0 0 0 0 0 0 0 0 0 0 0 0 0 0 0 0 0 0 0 0 0 0 0 0 0 0 0 0 0 0 0 0 0 0 0 0 0 0 0 0 0 0 0 0 1 0 0 0 0 0 0 0 0 0 0 0 0 0 0 0 0 0 0 0 0 0 0 0 0 0 0 0 0 0 0 0 0 0 0 0 0 0 0 0 0 0 0 0 0 0 0 0 0 0 0 0 0 0 0 0 0 0 0 0 0 0 0 0 0 0 0 0 0 0 0 0 0 0 0 0 0 0 0 0 0 0 0 0 0 0 0 0 0 0 0 0 0 0 0 0 0 0 0 0 0 1 0 0 0 0 0 0 0 0 0 0 0 0 0 0 0 0 0 0 0 0 0 0 0 0 0 0 0 0 0 0 0 0 0 0 0 0 0 0 0 0 0 0 0 0 0 0 0 0 0 0 0 0 0 0 0 0 0 0 0 0 0 0 0 0 0 0 0 0 0 0 0 0 0 0 0 0 0 0 0 0 0 0 0 0 0 0 0 0 0 0 0 0 0 0 0 0 0 0 0 0 1 0 0 0 0 0 0 0 0 0 0 0 0 0 0 0 0 0 0 0 0 0 0 0 0 0 0 0 0 0 0 0 0 0 0 0 0 0 0 0 0 0 0 0 0 0 0 0 0 0 0 0 0 0 0 0 0 0 0 0 0 0 0 0 0 0 0 0 0 0 0 0 0 0 0 0 0 0 0 0 0 0 0 0 0 0 0 0 0 0 0 0 0 0 0 0 0 0 0 0 0 1 0 0 0 0 0 0 0 0 0 0 0 0 0 0 0 0 0 0 0 0 0 0 0 0 0 0 0 0 0 0 0 0 0 0 0 0 0 0 0 0 0 0 0 0 0 0 0 0 0 0 0 0 0 0 0 0 0 0 0 0 0 0 0 0 0 0 0 0 0 0 0 0 0 0 0 0 0 0 0 0 0 0 0 0 0 0 0 0 0 0 0 0 0 0 0 0 0 0 0 0 1 0 0 0 0 0 0 0 0 0 0 0 0 0 0 0 0 0 0 0 0 0 0 0 0 0 0 0 0 0 0 0 0 0 0 0 0 0 0 0 0 0 0 0 0 0 0 0 0 0 0 0 0 0 0 0 0 0 0 0 0 0 0 0 0 0 0 0 0 0 0 0 0 0 0 0 0 0 0 0 0 0 0 0 0 0 0 0 0 0 0 0 0 0 0 0 0 0 0 0 0 1 0 0 0 0 0 0 0 0 0 0 0 0 0 0 0 0 0 0 0 0 0 0 0 0 0 0 0 0 0 0 0 0 0 0 0 0 0 0 0 0 0 0 0 0 0 0 0 0 0 0 0 0 0 0 0 0 0 0 0 0 0 0 0 0 0 0 0 0 0 0 0 0 0 0 0 0 0 0 0 0 0 0 0 0 0 0 0 0 0 0 0 0 0 0 0 0 0 0 0 0 1 0 0 0 0 0 0 0 0 0 0 0 0 0 0 0 0 0 0 0 0 0 0 0 0 0 0 0 0 0 0 0 0 0 0 0 0 0 0 0 0 0 0 0 0 0 0 0 0 0 0 0 0 0 0 0 0 0 0 0 0 0 0 0 0 0 0 0 0 0 0 0 0 0 0 0 0 0 0 0 0 0 0 0 0 0 0 0 0 0 0 0 0 0 0 0 0 0 0 0 0 1 0 0 0 0 0 0 0 0 0 0 0 0 0 0 0 0 0 0 0 0 0 0 0 0 0 0 0 0 0 0 0 0 0 0 0 0 0 0 0 0 0 0 0 0 0 0 0 0 0 0 0 0 0 0 0 0 0 0 0 0 0 0 0 0 0 0 0 0 0 0 0 0 0 0 0 0 0 0 0 0 0 0 0 0 0 0 0 0 0 0 0 0 0 0 0 0 0 0 0 0 1 0 0 0 0 0 0 0 0 0 0 0 0 0 0 0 0 0 0 0 0 0 0 0 0 0 0 0 0 0 0 0 0 0 0 0 0 0 0 0 0 0 0 0 0 0 0 0 0 0 0 0 0 0 0 0 0 0 0 0 0 0 0 0 0 0 0 0 0 0 0 0 0 0 0 0 0 0 0 0 0 0 0 0 0 0 0 0 0 0 0 0 0 0 0 0 0 0 0 0 0 1 0 0 0 0 0 0 0 0 0 0 0 0 0 0 0 0 0 0 0 0 0 0 0 0 0 0 0 0 0 0 0 0 0 0 0 0 0 0 0 0 0 0 0 0 0 0 0 0 0 0 0 0 0 0 0 0 0 0 0 0 0 0 0 0 0 0 0 0 0 0 0 0 0 0 0 0 0 0 0 0 0 0 0 0 0 0 0 0 0 0 0 0 0 0 0 0 0 0 0 0 1 0 0 0 0 0 0 0 0 0 0 0 0 0 0 0 0 0 0 0 0 0 0 0 0 0 0 0 0 0 0 0 0 0 0 0 0 0 0 0 0 0 0 0 0 0 0 0 0 0 0 0 0 0 0 0 0 0 0 0 0 0 0 0 0 0 0 0 0 0 0 0 0 0 0 0 0 0 0 0 0 0 0 0 0 0 0 0 0 0 0 0 0 0 0 0 0 0 0 0 0 1 0 0 0 0 0 0 0 0 0 0 0 0 0 0 0 0 0 0 0 0 0 0 0 0 0 0 0 0 0 0 0 0 0 0 0 0 0 0 0 0 0 0 0 0 0 0 0 0 0 0 0 0 0 0 0 0 0 0 0 0 0 0 0 0 0 0 0 0 0 0 0 0 0 0 0 0 0 0 0 0 0 0 0 0 0 0 0 0 0 0 0 0 0 0 0 0 0 0 0 0 1 0 0 0 0 0 0 0 0 0 0 0 0 0 0 0 0 0 0 0 0 0 0 0 0 0 0 0 0 0 0 0 0 0 0 0 0 0 0 0 0 0 0 0 0 0 0 0 0 0 0 0 0 0 0 0 0 0 0 0 0 0 0 0 0 0 0 0 0 0 0 0 0 0 0 0 0 0 0 0 0 0 0 0 0 0 0 0 0 0 0 0 0 0 0 0 0 0 0 0 0 1 0 0 0 0 0 0 0 0 0 0 0 0 0 0 0 0 0 0 0 0 0 0 0 0 0 0 0 0 0 0 0 0 0 0 0 0 0 0 0 0 0 0 0 0 0 0 0 0 0 0 0 0 0 0 0 0 0 0 0 0 0 0 0 0 0 0 0 0 0 0 0 0 0 0 0 0 0 0 0 0 0 0 0 0 0 0 0 0 0 0 0 0 0 0 0 0 0 0 0 0 1 0 0 0 0 0 0 0 0 0 0 0 0 0 0 0 0 0 0 0 0 0 0 0 0 0 0 0 0 0 0 0 0 0 0 0 0 0 0 0 0 0 0 0 0 0 0 0 0 0 0 0 0 0 0 0 0 0 0 0 0 0 0 0 0 0 0 0 0 0 0 0 0 0 0 0 0 0 0 0 0 0 0 0 0 0 0 0 0 0 0 0 0 0 0 0 0 0 0 0 0 1 0 0 0 0 0 0 0 0 0 0 0 0 0 0 0 0 0 0 0 0 0 0 0 0 0 0 0 0 0 0 0 0 0 0 0 0 0 0 0 0 0 0 0 0 0 0 0 0 0 0 0 0 0 0 0 0 0 0 0 0 0 0 0 0 0 0 0 0 0 0 0 0 0 0 0 0 0 0 0 0 0 0 0 0 0 0 0 0 0 0 0 0 0 0 0 0 0 0 0 0 1 0 0 0 0 0 0 0 0 0 0 0 0 0 0 0 0 0 0 0 0 0 0 0 0 0 0 0 0 0 0 0 0 0 0 0 0 0 0 0 0 0 0 0 0 0 0 0 0 0 0 0 0 0 0 0 0 0 0 0 0 0 0 0 0 0 0 0 0 0 0 0 0 0 0 0 0 0 0 0 0 0 0 0 0 0 0 0 0 0 0 0 0 0 0 0 0 0 0 0 0 1 0 0 0 0 0 0 0 0 0 0 0 0 0 0 0 0 0 0 0 0 0 0 0 0 0 0 0 0 0 0 0 0 0 0 0 0 0 0 0 0 0 0 0 0 0 0 0 0 0 0 0 0 0 0 0 0 0 0 0 0 0 0 0 0 0 0 0 0 0 0 0 0 0 0 0 0 0 0 0 0 0 0 0 0 0 0 0 0 0 0 0 0 0 0 0 0 0 0 0 0 1 0 0 0 0 0 0 0 0 0 0 0 0 0 0 0 0 0 0 0 0 0 0 0 0 0 0 0 0 0 0 0 0 0 0 0 0 0 0 0 0 0 0 0 0 0 0 0 0 0 0 0 0 0 0 0 0 0 0 0 0 0 0 0 0 0 0 0 0 0 0 0 0 0 0 0 0 0 0 0 0 0 0 0 0 0 0 0 0 0 0 0 0 0 0 0 0 0 0 0 0 1 0 0 0 0 0 0 0 0 0 0 0 0 0 0 0 0 0 0 0 0 0 0 0 0 0 0 0 0 0 0 0 0 0 0 0 0 0 0 0 0 0 0 0 0 0 0 0 0 0 0 0 0 0 0 0 0 0 0 0 0 0 0 0 0 0 0 0 0 0 0 0 0 0 0 0 0 0 0 0 0 0 0 0 0 0 0 0 0 0 0 0 0 0 0 0 0 0 0 0 0 1 0 0 0 0 0 0 0 0 0 0 0 0 0 0 0 0 0 0 0 0 0 0 0 0 0 0 0 0 0 0 0 0 0 0 0 0 0 0 0 0 0 0 0 0 0 0 0 0 0 0 0 0 0 0 0 0 0 0 0 0 0 0 0 0 0 0 0 0 0 0 0 0 0 0 0 0 0 0 0 0 0 0 0 0 0 0 0 0 0 0 0 0 0 0 0 0 0 0 0 0 1 0 0 0 0 0 0 0 0 0 0 0 0 0 0 0 0 0 0 0 0 0 0 0 0 0 0 0 0 0 0 0 0 0 0 0 0 0 0 0 0 0 0 0 0 0 0 0 0 0 0 0 0 0 0 0 0 0 0 0 0 0 0 0 0 0 0 0 0 0 0 0 0 0 0 0 0 0 0 0 0 0 0 0 0 0 0 0 0 0 0 0 0 0 0 0 0 0 0 0 0 1 0 0 0 0 0 0 0 0 0 0 0 0 0 0 0 0 0 0 0 0 0 0 0 0 0 0 0 0 0 0 0 0 0 0 0 0 0 0 0 0 0 0 0 0 0 0 0 0 0 0 0 0 0 0 0 0 0 0 0 0 0 0 0 0 0 0 0 0 0 0 0 0 0 0 0 0 0 0 0 0 0 0 0 0 0 0 0 0 0 0 0 0 0 0 0 0 0 0 0 0 1 0 0 0 0 0 0 0 0 0 0 0 0 0 0 0 0 0 0 0 0 0 0 0 0 0 0 0 0 0 0 0 0 0 0 0 0 0 0 0 0 0 0 0 0 0 0 0 0 0 0 0 0 0 0 0 0 0 0 0 0 0 0 0 0 0 0 0 0 0 0 0 0 0 0 0 0 0 0 0 0 0 0 0 0 0 0 0 0 0 0 0 0 0 0 0 0 0 0 0 0 1 0 0 0 0 0 0 0 0 0 0 0 0 0 0 0 0 0 0 0 0 0 0 0 0 0 0 0 0 0 0 0 0 0 0 0 0 0 0 0 0 0 0 0 0 0 0 0 0 0 0 0 0 0 0 0 0 0 0 0 0 0 0 0 0 0 0 0 0 0 0 0 0 0 0 0 0 0 0 0 0 0 0 0 0 0 0 0 0 0 0 0 0 0 0 0 0 0 0 0 0 1 0 0 0 0 0 0 0 0 0 0 0 0 0 0 0 0 0 0 0 0 0 0 0 0 0 0 0 0 0 0 0 0 0 0 0 0 0 0 0 0 0 0 0 0 0 0 0 0 0 0 0 0 0 0 0 0 0 0 0 0 0 0 0 0 0 0 0 0 0 0 0 0 0 0 0 0 0 0 0 0 0 0 0 0 0 0 0 0 0 0 0 0 0 0 0 0 0 0 0 0 1 0 0 0 0 0 0 0 0 0 0 0 0 0 0 0 0 0 0 0 0 0 0 0 0 0 0 0 0 0 0 0 0 0 0 0 0 0 0 0 0 0 0 0 0 0 0 0 0 0 0 0 0 0 0 0 0 0 0 0 0 0 0 0 0 0 0 0 0 0 0 0 0 0 0 0 0 0 0 0 0 0 0 0 0 0 0 0 0 0 0 0 0 0 0 0 0 0 0 0 0 1 0 0 0 0 0 0 0 0 0 0 0 0 0 0 0 0 0 0 0 0 0 0 0 0 0 0 0 0 0 0 0 0 0 0 0 0 0 0 0 0 0 0 0 0 0 0 0 0 0 0 0 0 0 0 0 0 0 0 0 0 0 0 0 0 0 0 0 0 0 0 0 0 0 0 0 0 0 0 0 0 0 0 0 0 0 0 0 0 0 0 0 0 0 0 0 0 0 0 0 0 1 0 0 0 0 0 0 0 0 0 0 0 0 0 0 0 0 0 0 0 0 0 0 0 0 0 0 0 0 0 0 0 0 0 0 0 0 0 0 0 0 0 0 0 0 0 0 0 0 0 0 0 0 0 0 0 0 0 0 0 0 0 0 0 0 0 0 0 0 0 0 0 0 0 0 0 0 0 0 0 0 0 0 0 0 0 0 0 0 0 0 0 0 0 0 0 0 0 0 0 0 1 0 0 0 0 0 0 0 0 0 0 0 0 0 0 0 0 0 0 0 0 0 0 0 0 0 0 0 0 0 0 0 0 0 0 0 0 0 0 0 0 0 0 0 0 0 0 0 0 0 0 0 0 0 0 0 0 0 0 0 0 0 0 0 0 0 0 0 0 0 0 0 0 0 0 0 0 0 0 0 0 0 0 0 0 0 0 0 0 0 0 0 0 0 0 0 0 0 0 0 0 1 0 0 0 0 0 0 0 0 0 0 0 0 0 0 0 0 0 0 0 0 0 0 0 0 0 0 0 0 0 0 0 0 0 0 0 0 0 0 0 0 0 0 0 0 0 0 0 0 0 0 0 0 0 0 0 0 0 0 0 0 0 0 0 0 0 0 0 0 0 0 0 0 0 0 0 0 0 0 0 0 0 0 0 0 0 0 0 0 0 0 0 0 0 0 0 0 0 0 0 0 1 0 0 0 0 0 0 0 0 0 0 0 0 0 0 0 0 0 0 0 0 0 0 0 0 0 0 0 0 0 0 0 0 0 0 0 0 0 0 0 0 0 0 0 0 0 0 0 0 0 0 0 0 0 0 0 0 0 0 0 0 0 0 0 0 0 0 0 0 0 0 0 0 0 0 0 0 0 0 0 0 0 0 0 0 0 0 0 0 0 0 0 0 0 0 0 0 0 0 0 0 1 0 0 0 0 0 0 0 0 0 0 0 0 0 0 0 0 0 0 0 0 0 0 0 0 0 0 0 0 0 0 0 0 0 0 0 0 0 0 0 0 0 0 0 0 0 0 0 0 0 0 0 0 0 0 0 0 0 0 0 0 0 0 0 0 0 0 0 0 0 0 0 0 0 0 0 0 0 0 0 0 0 0 0 0 0 0 0 0 0 0 0 0 0 0 0 0 0 0 0 0 1 0 0 0 0 0 0 0 0 0 0 0 0 0 0 0 0 0 0 0 0 0 0 0 0 0 0 0 0 0 0 0 0 0 0 0 0 0 0 0 0 0 0 0 0 0 0 0 0 0 0 0 0 0 0 0 0 0 0 0 0 0 0 0 0 0 0 0 0 0 0 0 0 0 0 0 0 0 0 0 0 0 0 0 0 0 0 0 0 0 0 0 0 0 0 0 0 0 0 0 0 1 0 0 0 0 0 0 0 0 0 0 0 0 0 0 0 0 0 0 0 0 0 0 0 0 0 0 0 0 0 0 0 0 0 0 0 0 0 0 0 0 0 0 0 0 0 0 0 0 0 0 0 0 0 0 0 0 0 0 0 0 0 0 0 0 0 0 0 0 0 0 0 0 0 0 0 0 0 0 0 0 0 0 0 0 0 0 0 0 0 0 0 0 0 0 0 0 0 0 0 0 1 0 0 0 0 0 0 0 0 0 0 0 0 0 0 0 0 0 0 0 0 0 0 0 0 0 0 0 0 0 0 0 0 0 0 0 0 0 0 0 0 0 0 0 0 0 0 0 0 0 0 0 0 0 0 0 0 0 0 0 0 0 0 0 0 0 0 0 0 0 0 0 0 0 0 0 0 0 0 0 0 0 0 0 0 0 0 0 0 0 0 0 0 0 0 0 0 0 0 0 0 1 0 0 0 0 0 0 0 0 0 0 0 0 0 0 0 0 0 0 0 0 0 0 0 0 0 0 0 0 0 0 0 0 0 0 0 0 0 0 0 0 0 0 0 0 0 0 0 0 0 0 0 0 0 0 0 0 0 0 0 0 0 0 0 0 0 0 0 0 0 0 0 0 0 0 0 0 0 0 0 0 0 0 0 0 0 0 0 0 0 0 0 0 0 0 0 0 0 0 0 0 1 0 0 0 0 0 0 0 0 0 0 0 0 0 0 0 0 0 0 0 0 0 0 0 0 0 0 0 0 0 0 0 0 0 0 0 0 0 0 0 0 0 0 0 0 0 0 0 0 0 0 0 0 0 0 0 0 0 0 0 0 0 0 0 0 0 0 0 0 0 0 0 0 0 0 0 0 0 0 0 0 0 0 0 0 0 0 0 0 0 0 0 0 0 0 0 0 0 0 0 0 1 0 0 0 0 0 0 0 0 0 0 0 0 0 0 0 0 0 0 0 0 0 0 0 0 0 0 0 0 0 0 0 0 0 0 0 0 0 0 0 0 0 0 0 0 0 0 0 0 0 0 0 0 0 0 0 0 0 0 0 0 0 0 0 0 0 0 0 0 0 0 0 0 0 0 0 0 0 0 0 0 0 0 0 0 0 0 0 0 0 0 0 0 0 0 0 0 0 0 0 0 1 1 1 1 1 1 1 1 1 1 1 1 1 1 1 1 1 1 1 1 1 1 1 1 1 1 1 1 1 1 1 1 1 1 1 1 1 1 1 1 1 1 1 1 1 1 1 1 1 1 1 1 1 1 1 1 1 1 1 1 1 1 1 1 1 1 1 1 1 1 1 1 1 1 1 1 1 1 1 1 1 1 1 1 1 1 1 1 1 1 1 1 1 1 1 1 1 1 1 1 1 1 1 1 1 1 1 1 1 1 1 1 1 1 1 1 1 1 1 1 1 1 1 1 1 1 1 1 1 1 1 1 1 1 1 1 1 1 1 1 1 1 1 1 1 1 1 1 1 1 1 1 1 1 1 1 1 1 1 1 1 1 1 1 1 1 1 1 1 1 1 1 1 1 1 1 1 1 1 1 1 1 1 1 1 1 1 1 1 1 1 1 1 1 1 1 1 1 1 1 1 1 1 1 1 1 1 1 1 1 1 1 1 1 1 1 1 1 1 1 1 1 1 1 1 1 1 1 1 1 1 1 1 1 1 1 1 1 1 1 1 1 1 1 1 1 1 1 1 1 1 1 1 1 1 1 1 1 1 1 1 1 1 1 1 1 1 1 1 1 1 1 1 1 1 1 1 1 1 1 1 1 1 1 1 1 1 1 1 1 1 1 1 1 1 1 1 1 1 1 1 1 1 1 1 1 1 1 1 1 1 1 1 1 1 1 1 1 1 1 1 1 1 1 1 1 1 1 1 1 1 1 1 1 1 1 1 1 1 1 1 1 1 1 1 1 1 1 1 1 1 1 1 1 1 1 1 1 1 1 1 1 1 1 1 1 1 1 1 1 1 1 1 1 1 1 1 1 1 1 1 1 1 1 1 1 1 1 1 1 1 1 1 1 1 1 1 1 1 1 1 1 1 1 1 1 1 1 1 1 1 1 1 1 1 1 1 1 1 1 1 1 1 1 1 1 1 1 1 1 1 1 1 1 1 1 1 1 1 1 1 1 1 1 1 1 1 1 1 1 1 1 1 1 1 1 1 1 1 1 1 1 1 1 1 1 1 1 1 1 1 1 1 1 1 1 1 1 1 1 1 1 1 1 1 1 1 1 1 1 1 1 1 1 1 1 1 1 1 1 1 1 1 1 1 1 1 1 1 1 1 1 1 1 1 1 1 1 1 1 1 1 1 1 1 1 1 1 1 1 1 1 1 1 1 1 1 1 1 1 1 1 1 1 1 1 1 1 1 1 1 1 1 1 1 1 1 1 1 1 1 1 1 1 1 1 1 1 1 1 1 1 1 1 1 1 1 1 1 1 1 1 1 1 1 1 1 1 1 1 1 1 1 1 1 1 1 1 1 1 1 1 1 1 1 1 1 1 1 1 1 1 1 1 1 1 1 1 1 1 1 1 1 1 1 1 1 1 1 1 1 1 1 1 1 1 1 1 1 1 1 1 1 1 1 1 1 1 1 1 1 1 1 1 1 1 1 1 1 1 1 1 1 1 1 1 1 1 1 1 1 1 1 1 1 1 1 1 1 1 1 1 1 1 1 1 1 1 1 1 1 1 1 1 1 1 1 1 1 1 1 1 1 1 1 1 1 1 1 1 1 1 1 1 1 1 1 1 1 1 1 1 1 1 1 1 1 1 1 1 1 1 1 1 1 1 1 1 1 1 1 1 1 1 1 1 1 1 1 1 1 1 1 1 1 1 1 1 1 1 1 1 1 1 1 1 1 1 1 1 1 1 1 1 1 1 1 1 1 1 1 1 1 1 1 1 1 1 1 1 1 1 1 1 1 1 1 1 1 1 1 1 1 1 1 1 1 1 1 1 1 1 1 1 1 1 1 1 1 1 1 1 1 1 1 1 1 1 1 1 1 1 1 1 1 1 1 1 1 1 1 1 1 1 1 1 1 1 1 1 1 1 1 1 1 1 1 1 1 1 1 1 1 1 1 1 1 1 1 1 1 1 1 1 1 1 1 1 1 1 1 1 1 1 1 1 1 1 1 1 1 1 1 1 1 1 1 1 1 1 1 1 1 1 1 1 1 1 1 1 1 1 1 1 1 1 1 1 1 1 1 1 1 1 1 1 1 1 1 1 1 1 1 1 1 1 1 1 1 1 1 1 1 1 1 1 1 1 1 1 1 1 1 1 1 1 1 1 1 1 1 1 1 1 1 1 1 1 1 1 1 1 1 1 1 1 1 1 1 1 1 1 1 1 1 1 1 1 1 1 1 1 1 1 1 1 1 1 1 1 1 1 1 1 1 1 1 1 1 1 1 1 1 1 1 1 1 1 1 1 1 1 1 1 1 1 1 1 1 1 1 1 1 1 1 1 1 1 1 1 1 1 1 1 1 1 1 1 1 1 1 1 1 1 1 1 1 1 1 1 1 1 1 1 1 1 1 1 1 1 1 1 1 1 1 1 1 1 1 1 1 1 1 1 1 1 1 1 1 1 1 1 1 1 1 1 1 1 1 1 1 1 1 1 1 1 1 1 1 1 1 1 1 1 1 1 1 1 1 1 1 1 1 1 1 1 1 1 1 1 1 1 1 1 1 1 1 1 1 1 1 1 1 1 1 1 1 1 1 1 1 1 1 1 1 1 1 1 1 1 1 1 1 1 1 1 1 1 1 1 1 1 1 1 1 1 1 1 1 1 1 1 1 1 1 1 1 1 1 1 1 1 1 1 1 1 1 1 1 1 1 1 1 1 1 1 1 1 1 1 1 1 1 1 1 1 1 1 1 1 1 1 1 1 1 1 1 1 1 1 1 1 1 1 1 1 1 1 1 1 1 1 1 1 1 1 1 1 1 1 1 1 1 1 1 1 1 1 1 1 1 1 1 1 1 1 1 1 1 1 1 1 1 1 1 1 1 1 1 1 1 1 1 1 1 1 1 1 1 1 1 1 1 1 1 1 1 1 1 1 1 1 1 1 1 1 1 1 1 1 1 1 1 1 1 1 1 1 1 1 1 1 1 1 1 1 1 1 1 1 1 1 1 1 1 1 1 1 1 1 1 1 1 1 1 1 1 1 1 1 1 1 1 1 1 1 1 1 1 1 1 1 1 1 1 1 1 1 1 1 1 1 1 1 1 1 1 1 1 1 1 1 1 1 1 1 1 1 1 1 1 1 1 1 1 1 1 1 1 1 1 1 1 1 1 1 1 1 1 1 1 1 1 1 1 1 1 1 1 1 1 1 1 1 1 1 1 1 1 1 1 1 1 1 1 1 1 1 1 1 1 1 1 1 1 1 1 1 1 1 1 1 1 1 1 1 1 1 1 1 1 1 1 1 1 1 1 1 1 1 1 1 1 1 1 1 1 1 1 1 1 1 1 1 1 1 1 1 1 1 1 1 1 1 1 1 1 1 1 1 1 1 1 1 1 1 1 1 1 1 1 1 1 1 1 1 1 1 1 1 1 1 1 1 1 1 1 1 1 1 1 1 1 1 1 1 1 1 1 1 1 1 1 1 1 1 1 1 1 1 1 1 1 1 1 1 1 1 1 1 1 1 1 1 1 1 1 1 1 1 1 1 1 1 1 1 1 1 1 1 1 1 1 1 1 1 1 1 1 1 1 1 1 1 1 1 1 1 1 1 1 1 1 1 1 1 1 1 1 1 1 1 1 1 1 1 1 1 1 1 1 1 1 1 1 1 1 1 1 1 1 1 1 1 1 1 1 1 1 1 1 1 1 1 1 1 1 1 1 1 1 1 1 1 1 1 1 1 1 1 1 1 1 1 1 1 1 1 1 1 1 1 1 1 1 1 1 1 1 1 1 1 1 1 1 1 1 1 1 1 1 1 1 1 1 1 1 1 1 1 1 1 1 1 1 1 1 1 1 1 1 1 1 1 1 1 1 1 1 1 1 1 1 1 1 1 1 1 1 1 1 1 1 1 1 1 1 1 1 1 1 1 1 1 1 1 1 1 1 1 1 1 1 1 1 1 1 1 1 1 1 1 1 1 1 1 1 1 1 1 1 1 1 1 1 1 1 1 1 1 1 1 1 1 1 1 1 1 1 1 1 1 1 1 1 1 1 1 1 1 1 1 1 1 1 1 1 1 1 1 1 1 1 1 1 1 1 1 1 1 1 1 1 1 1 1 1 1 1 1 1 1 1 1 1 1 1 1 1 1 1 1 1 1 1 1 1 1 1 1 1 1 1 1 1 1 1 1 1 1 1 1 1 1 1 1 1 1 1 1 1 1 1 1 1 1 1 1 1 1 1 1 1 1 1 1 1 1 1 1 1 1 1 1 1 1 1 1 1 1 1 1 1 1 1 1 1 1 1 1 1 1 1 1 1 1 1 1 1 1 1 1 1 1 1 1 1 1 1 1 1 1 1 1 1 1 1 1 1 1 1 1 1 1 1 1 1 1 1 1 1 1 1 1 1 1 1 1 1 1 1 1 1 1 1 1 1 1 1 1 1 1 1 1 1 1 1 1 1 1 1 1 1 1 1 1 1 1 1 1 1 1 1 1 1 1 1 1 1 1 1 1 1 1 1 1 1 1 1 1 1 1 1 1 1 1 1 1 1 1 1 1 1 1 1 1 1 1 1 1 1 1 1 1 1 1 1 1 1 1 1 1 1 1 1 1 1 1 1 1 1 1 1 1 1 1 1 1 1 1 1 1 1 1 1 1 1 1 1 1 1 1 1 1 1 1 1 1 1 1 1 1 1 1 1 1 1 1 1 1 1 1 1 1 1 1 1 1 1 1 1 1 1 1 1 1 1 1 1 1 1 1 1 1 1 1 1 1 1 1 1 1 1 1 1 1 1 1 1 1 1 1 1 1 1 1 1 1 1 1 1 1 1 1 1 1 1 1 1 1 1 1 1 1 1 1 1 1 1 1 1 1 1 1 1 1 1 1 1 1 1 1 1 1 1 1 1 1 1 1 1 1 1 1 1 1 1 1 1 1 1 1 1 1 1 1 1 1 1 1 1 1 1 1 1 1 1 1 1 1 1 1 1 1 1 1 1 1 1 1 1 1 1 1 1 1 1 1 1 1 1 1 1 1 1 1 1 1 1 1 1 1 1 1 1 1 1 1 1 1 1 1 1 1 1 1 1 1 1 1 1 1 1 1 1 1 1 1 1 1 1 1 1 1 1 1 1 1 1 1 1 1 1 1 1 1 1 1 1 1 1 1 1 1 1 1 1 1 1 1 1 1 1 1 1 1 1 1 1 1 1 1 1 1 1 1 1 1 1 1 1 1 1 1 1 1 1 1 1 1 1 1 1 1 1 1 1 1 1 1 1 1 1 1 1 1 1 1 1 1 1 1 1 1 1 1 1 1 1 1 1 1 1 1 1 1 1 1 1 1 1 1 1 1 1 1 1 1 1 1 1 1 1 1 1 1 1 1 1 1 1 1 1 1 1 1 1 1 1 1 1 1 1 1 1 1 1 1 1 1 1 1 1 1 1 1 1 1 1 1 1 1 1 1 1 1 1 1 1 1 1 1 1 1 1 1 1 1 1 1 1 1 1 1 1 1 1 1 1 1 1 1 1 1 1 1 1 1 1 1 1 1 1 1 1 1 1 1 1 1 1 1 1 1 1 1 1 1 1 1 1 1 1 1 1 1 1 1 1 1 1 1 1 1 1 1 1 1 1 1 1 1 1 1 1 1 1 1 1 1 1 1 1 1 1 1 1 1 1 1 1 1 1 1 1 1 1 1 1 1 1 1 1 1 1 1 1 1 1 1 1 1 1 1 1 1 1 1 1 1 1 1 1 1 1 1 1 1 1 1 1 1 1 1 1 1 1 1 1 1 1 1 1 1 1 1 1 1 1 1 1 1 1 1 1 1 1 1 1 1 1 1 1 1 1 1 1 1 1 1 1 1 1 1 1 1 1 1 1 1 1 1 1 1 1 1 1 1 1 1 1 1 1 1 1 1 1 1 1 1 1 1 1 1 1 1 1 1 1 1 1 1 1 1 1 1 1 1 1 1 1 1 1 1 1 1 1 1 1 1 1 1 1 1 1 1 1 1 1 1 1 1 1 1 1 1 1 1 1 1 1 1 1 1 1 1 1 1 1 1 1 1 1 1 1 1 1 1 1 1 1 1 1 1 1 1 1 1 1 1 1 1 1 1 1 1 1 1 1 1 1 1 1 1 1 1 1 1 1 1 1 1 1 1 1 1 1 1 1 1 1 1 1 1 1 1 1 1 1 1 1 1 1 1 1 1 1 1 1 1 1 1 1 1 1 1 1 1 1 1 1 1 1 1 1 1 1 1 1 1 1 1 1 1 1 1 1 1 1 1 1 1 1 1 1 1 1 1 1 1 1 1 1 1 1 1 1 1 1 1 1 1 1 1 1 1 1 1 1 1 1 1 1 1 1 1 1 1 1 1 1 1 1 1 1 1 1 1 1 1 1 1 1 1 1 1 1 1 1 1 1 1 1 1 1 1 1 1 1 1 1 1 1 1 1 1 1 1 1 1 1 1 1 1 1 1 1 1 1 1 1 1 1 1 1 1 1 1 1 1 1 1 1 1 1 1 1 1 1 1 1 1 1 1 1 1 1 1 1 1 1 1 1 1 1 1 1 1 1 1 1 1 1 1 1 1 1 1 1 1 1 1 1 1 1 1 1 1 1 1 1 1 1 1 1 1 1 1 1 1 1 1 1 1 1 1 1 1 1 1 1 1 1 1 1 1 1 1 1 1 1 1 1 1 1 1 1 1 1 1 1 1 1 1 1 1 1 1 1 1 1 1 1 1 1 1 1 1 1 1 1 1 1 1 1 1 1 1 1 1 1 1 1 1 1 1 1 1 1 1 1 1 1 1 1 1 1 1 1 1 1 1 1 1 1 1 1 1 1 1 1 1 1 1 1 1 1 1 1 1 1 1 1 1 1 1 1 1 1 1 1 1 1 1 1 1 1 1 1 1 1 1 1 1 1 1 1 1 1 1 1 1 1 1 1 1 1 1 1 1 1 1 1 1 1 1 1 1 1 1 1 1 1 1 1 1 1 1 1 1 1 1 1 1 1 1 1 1 1 1 1 1 1 1 1 1 1 1 1 1 1 1 1 1 1 1 1 1 1 1 1 1 1 1 1 1 1 1 1 1 1 1 1 1 1 1 1 1 1 1 1 1 1 1 1 1 1 1 1 1 1 1 1 1 1 1 1 1 1 1 1 1 1 1 1 1 1 1 1 1 1 1 1 1 1 1 1 1 1 1 1 1 1 1 1 1 1 1 1 1 1 1 1 1 1 1 1 1 1 1 1 1 1 1 1 1 1 1 1 1 1 1 1 1 1 1 1 1 1 1 1 1 1 1 1 1 1 1 1 1 1 1 1 1 1 1 1 1 1 1 1 1 1 1 1 1 1 1 1 1 1 1 1 1 1 1 1 1 1 1 1 1 1 1 1 1 1 1 1 1 1 1 1 1 1 1 1 1 1 1 1 1 1 1 1 1 1 1 1 1 1 1 1 1 1 1 1 1 1 1 1 1 1 1 1 1 1 1 1 1 1 1 1 1 1 1 1 1 1 1 1 1 1 1 1 1 1 1 1 1 1 1 1 1 1 1 1 1 1 1 1 1 1 1 1 1 1 1 1 1 1 1 1 1 1 1 1 1 1 1 1 1 1 1 1 1 1 1 1 1 1 1 1 1 1 1 1 1 1 1 1 1 1 1 1 1 1 1 1 1 1 1 1 1 1 1 1 1 1 1 1 1 1 1 1 1 1 1 1 1 1 1 1 1 1 1 1 1 1 1 1 1 1 1 1 1 1 1 1 1 1 1 1 1 1 1 1 1 1 1 1 1 1 1 1 1 1 1 1 1 1 1 1 1 1 1 1 1 1 1 1 1 1 1 1 1 1 1 1 1 1 1 1 1 1 1 1 1 1 1 1 1 1 1 1 1 1 1 1 1 1 1 1 1 1 1 1 1 1 1 1 1 1 1 1 1 1 1 1 1 1 1 1 1 1 1 1 1 1 1 1 1 1 1 1 1 1 1 1 1 1 1 1 1 1 1 1 1 1 1 1 1 1 1 1 1 1 1 1 1 1 1 1 1 1 1 1 1 1 1 1 1 1 1 1 1 1 1 1 1 1 1 1 1 1 1 1 1 1 1 1 1 1 1 1 1 1 1 1 1 1 1 1 1 1 1 1 1 1 1 1 1 1 1 1 1 1 1 1 1 1 1 1 1 1 1 1 1 1 1 1 1 1 1 1 1 1 1 1 1 1 1 1 1 1 1 1 1 1 1 1 1 1 1 1 1 1 1 1 1 1 1 1 1 1 1 1 1 1 1 1 1 1 1 1 1 1 1 1 1 1 1 1 1 1 1 1 1 1 1 1 1 1 1 1 1 1 1 1 1 1 1 1 1 1 1 1 1 1 1 1 1 1 1 1 1 1 1 1 1 1 1 1 1 1 1 1 1 1 1 1 1 1 1 1 1 1 1 1 1 1 1 1 1 1 1 1 1 1 1 1 1 1 1 1 1 1 1 1 1 1 1 1 1 1 1 1 1 1 1 1 1 1 1 1 1 1 1 1 1 1 1 1 1 1 1 1 1 1 1 1 1 1 1 1 1 1 1 1 1 1 1 1 1 1 1 1 1 1 1 1 1 1 1 1 1 1 1 1 1 1 1 1 1 1 1 1 1 1 1 1 1 1 1 1 1 1 1 1 1 1 1 1 1 1 1 1 1 1 1 1 1 1 1 1 1 1 1 1 1 1 1 1 1 1 1 1 1 1 1 1 1 1 1 1 1 1 1 1 1 1 1 1 1 1 1 1 1 1 1 1 1 1 1 1 1 1 1 1 1 1 1 1 1 1 1 1 1 1 1 1 1 1 1 1 1 1 1 1 1 1 1 1 1 1 1 1 1 1 1 1 1 1 1 1 1 1 1 1 1 1 1 1 1 1 1 1 1 1 1 1 1 1 1 1 1 1 1 1 1 1 1 1 1 1 1 1 1 1 1 1 1 1 1 1 1 1 1 1 1 1 1 1 1 1 1 1 1 1 1 1 1 1 1 1 1 1 1 1 1 1 1 1 1 1 1 1 1 1 1 1 1 1 1 1 1 1 1 1 1 1 1 1 1 1 1 1 1 1 1 1 1 1 1 1 1 1 1 1 1 1 1 1 1 1 1 1 1 1 1 1 1 1 1 1 1 1 1 1 1 1 1 1 1 1 1 1 1 1 1 1 1 1 1 1 1 1 1 1 1 1 1 1 1 1 1 1 1 1 1 1 1 1 1 1 1 1 1 1 1 1 1 1 1 1 1 1 1 1 1 1 1 1 1 1 1 1 1 1 1 1 1 1 1 1 1 1 1 1 1 1 1 1 1 1 1 1 1 1 1 1 1 1 1 1 1 1 1 1 1 1 1 1 1 1 1 1 1 1 1 1 1 1 1 1 1 1 1 1 1 1 1 1 1 1 1 1 1 1 1 1 1 1 1 1 1 1 1 1 1 1 1 1 1 1 1 1 1 1 1 1 1 1 1 1 1 1 1 1 1 1 1 1 1 1 1 1 1 1 1 1 1 1 1 1 1 1 1 1 1 1 1 1 1 1 1 1 1 1 1 1 1 1 1 1 1 1 1 1 1 1 1 1 1 1 1 1 1 1 1 1 1 1 1 1 1 1 1 1 1 1 1 1 1 1 1 1 1 1 1 1 1 1 1 1 1 1 1 1 1 1 1 1 1 1 1 1 1 1 1 1 1 1 1 1 1 1 1 1 1 1 1 1 1 1 1 1 1 1 1 1 1 1 1 1 1 1 1 1 1 1 1 1 1 1 1 1 1 1 1 1 1 1 1 1 1 1 1 1 1 1 1 1 1 1 1 1 1 1 1 1 1 1 1 1 1 1 1 1 1 1 1 1 1 1 1 1 1 1 1 1 1 1 1 1 1 1 1 1 1 1 1 1 1 1 1 1 1 1 1 1 1 1 1 1 1 1 1 1 1 1 1 1 1 1 1 1 1 1 1 1 1 1 1 1 1 1 1 1 1 1 1 1 1 1 1 1 1 1 1 1 1 1 1 1 1 1 1 1 1 1 1 1 1 1 1 1 1 1 1 1 1 1 1 1 1 1 1 1 1 1 1 1 1 1 1 1 1 1 1 1 1 1 1 1 1 1 1 1 1 1 1 1 1 1 1 1 1 1 1 1 1 1 1 1 1 1 1 1 1 1 1 1 1 1 1 1 1 1 1 1 1 1 1 1 1 1 1 1 1 1 1 1 1 1 1 1 1 1 1 1 1 1 1 1 1 1 1 1 1 1 1 1 1 1 1 1 1 1 1 1 1 1 1 1 1 1 1 1 1 1 1 1 1 1 1 1 1 1 1 1 1 1 1 1 1 1 1 1 1 1 1 1 1 1 1 1 1 1 1 1 1 1 1 1 1 1 1 1 1 1 1 1 1 1 1 1 1 1 1 1 1 1 1 1 1 1 1 1 1 1 1 1 1 1 1 1 1 1 1 1 1 1 1 1 1 1 1 1 1 1 1 1 1 1 1 1 1 1 1 1 1 1 1 1 1 1 1 1 1 1 1 1 1 1 1 1 1 1 1 1 1 1 1 1 1 1 1 1 1 1 1 1 1 1 1 1 1 1 1 1 1 1 1 1 1 1 1 1 1 1 1 1 1 1 1 1 1 1 1 1 1 1 1 1 1 1 1 1 1 1 1 1 1 1 1 1 1 1 1 1 1 1 1 1 1 1 1 1 1 1 1 1 1 1 1 1 1 1 1 1 1 1 1 1 1 1 1 1 1 1 1 1 1 1 1 1 1 1 1 1 1 1 1 1 1 1 1 1 1 1 1 1 1 1 1 1 1 1 1 1 1 1 1 1 1 1 1 1 1 1 1 1 1 1 1 1 1 1 1 1 1 1 1 1 1 1 1 1 1 1 1 1 1 1 1 1 1 1 1 1 1 1 1 1 1 1 1 1 1 1 1 1 1 1 1 1 1 1 1 1 1 1 1 1 1 1 1 1 1 1 1 1 1 1 1 1 1 1 1 1 1 1 1 1 1 1 1 1 1 1 1 1 1 1 1 1 1 1 1 1 1 1 1 1 1 1 1 1 1 1 1 1 1 1 1 1 1 1 1 1 1 1 1 1 1 1 1 1 1 1 1 1 1 1 1 1 1 1 1 1 1 1 1 1 1 1 1 1 1 1 1 1 1 1 1 1 1 1 1 1 1 1 1 1 1 1 1 1 1 1 1 1 1 1 1 1 1 1 1 1 1 1 1 1 1 1 1 1 1 1 1 1 1 1 1 1 1 1 1 1 1 1 1 1 1 1 1 1 1 1 1 1 1 1 1 1 1 1 1 1 1 1 1 1 1 1 1 1 1 1 1 1 1 1 1 1 1 1 1 1 1 1 1 1 1 1 1 1 1 1 1 1 1 1 1 1 1 1 1 1 1 1 1 1 1 1 1 1 1 1 1 1 1 1 1 1 1 1 1 1 1 1 1 1 1 1 1 1 1 1 1 1 1 1 1 1 1 1 1 1 1 1 1 1 1 1 1 1 1 1 1 1 1 1 1 1 1 1 1 1 1 1 1 1 1 1 1 1 1 1 1 1 1 1 1 1 1 1 1 1 1 1 1 1 1 1 1 1 1 1 1 1 1 1 1 1 1 1 1 1 1 1 1 1 1 1 1 1 1 1 1 1 1 1 1 1 1 1 1 1 1 1 1 1 1 1 1 1 1 1 1 1 1 1 1 1 1 1 1 1 1 1 1 1 1 1 1 1 1 1 1 1 1 1 1 1 1 1 1 1 1 1 1 1 1 1 1 1 1 1 1 1 1 1 1 1 1 1 1 1 1 1 1 1 1 1 1 1 1 1 1 1 1 1 1 1 1 1 1 1 1 1 1 1 1 1 1 1 1 1 1 1 1 1 1 1 1 1 1 1 1 1 1 1 1 1 1 1 1 1 1 1 1 1 1 1 1 1 1 1 1 1 1 1 1 1 1 1 1 1 1 1 1 1 1 1 1 1 1 1 1 1 1 1 1 1 1 1 1 1 1 1 1 1 1 1 1 1 1 1 1 1 1 1 1 1 1 1 1 1 1 1 1 1 1 1 1 1 1 1 1 1 1 1 1 1 1 1 1 1 1 1 1 1 1 1 1 1 1 1 1 1 1 1 1 1 1 1 1 1 1 1 1 1 1 1 1 1 1 1 1 1 1 1 1 1 1 1 1 1 1 1 1 1 1 1 1 1 1 1 1 1 1 1 1 1 1 1 1 1 1 1 1 1 1 1 1 1 1 1 1 1 1 1 1 1 1 1 1 1 1 1 1 1 1 1 1 1 1 1 1 1 1 1 1 1 1 1 1 1 1 1 1 1 1 1 1 1 1 1 1 1 1 1 1 1 1 1 1 1 1 1 1 1 1 1 1 1 1 1 1 1 1 1 1 1 1 1 1 1 1 1 1 1 1 1 1 1 1 1 1 1 1 1 1 1 1 1 1 1 1 1 1 1 1 1 1 1 1 1 1 1 1 1 1 1 1 1 1 1 1 1 1 1 1 1 1 1 1 1 1 1 1 1 1 1 1 1 1 1 1 1 1 1 1 1 1 1 1 1 1 1 1 1 1 1 1 1 1 1 1 1 1 1 1 1 1 1 1 1 1 1 1 1 1 1 1 1 1 1 1 1 1 1 1 1 1 1 1 1 1 1 1 1 1 1 1 1 1 1 1 1 1 1 1 1 1 1 1 1 1 1 1 1 1 1 1 1 1 1 1 1 1 1 1 1 1 1 1 1 1 1 1 1 1 1 1 1 1 1 1 1 1 1 1 1 1 1 1 1 1 1 1 1 1 1 1 1 1 1 1 1 1 1 1 1 1 1 1 1 1 1 1 1 1 1 1 1 1 1 1 1 1 1 1 1 1 1 1 1 1 1 1 1 1 1 1 1 1 1 1 1 1 1 1 1 1 1 1 1 1 1 1 1 1 1 1 1 1 1 1 1 1 1 1 1 1 1 1 1 1 1 1 1 1 1 1 1 1 1 1 1 1 1 1 1 1 1 1 1 1 1 1 1 1 1 1 1 1 1 1 1 1 1 1 1 1 1 1 1 1 1 1 1 1 1 1 1 1 1 1 1 1 1 1 1 1 1 1 1 1 1 1 1 1 1 1 1 1 1 1 1 1 1 1 1 1 1 1 1 1 1 1 1 1 1 1 1 1 1 1 1 1 1 1 1 1 1 1 1 1 1 1 1 1 1 1 1 1 1 1 1 1 1 1 1 1 1 1 1 1 1 1 1 1 1 1 1 1 1 1 1 1 1 1 1 1 1 1 1 1 1 1 1 1 1 1 1 1 1 1 1 1 1 1 1 1 1 1 1 1 1 1 1 1 1 1 1 1 1 1 1 1 1 1 1 1 1 1 1 1 1 1 1 1 1 1 1 1 1 1 1 1 1 1 1 1 1 1 1 1 1 1 1 1 1 1 1 1 1 1 1 1 1 1 1 1 1 1 1 1 1 1 1 1 1 1 1 1 1 1 1 1 1 1 1 1 1 1 1 1 1 1 1 1 1 1 1 1 1 1 1 1 1 1 1 1 1 1 1 1 1 1 1 1 1 1 1 1 1 1 1 1 1 1 1 1 1 1 1 1 1 1 1 1 1 1 1 1 1 1 1 1 1 1 1 1 1 1 1 1 1 1 1 1 1 1 1 1 1 1 1 1 1 1 1 1 1 1 1 1 1 1 1 1 1 1 1 1 1 1 1 1 1 1 1 1 1 1 1 1 1 1 1 1 1 1 1 1 1 1 1 1 1 1 1 1 1 1 1 1 1 1 1 1 1 1 1 1 1 1 1 1 1 1 1 1 1 1 1 1 1 1 1 1 1 1 1 1 1 1 1 1 1 1 1 1 1 1 1 1 1 1 1 1 1 1 1 1 1 1 1 1 1 1 1 1 1 1 1 1 1 1 1 1 1 1 1 1 1 1 1 1 1 1 1 1 1 1 1 1 1 1 1 1 1 1 1 1 1 1 1 1 1 1 1 1 1 1 1 1 1 1 1 1 1 1 1 1 1 1 1 1 1 1 1 1 1 1 1 1 1 1 1 1 1 1 1 1 1 1 1 1 1 1 1 1 1 1 1 1 1 1 1 1 1 1 1 1 1 1 1 1 1 1 1 1 1 1 1 1 1 1 1 1 1 1 1 1 1 1 1 1 1 1 1 1 1 1 1 1 1 1 1 1 1 1 1 1 1 1 1 1 1 1 1 1 1 1 1 1 1 1 1 1 1 1 1 1 1 1 1 1 1 1 1 1 1 1 1 1 1 1 1 1 1 1 1 1 1 1 1 1 1 1 1 1 1 1 1 1 1 1 1 1 1 1 1 1 1 1 1 1 1 1 1 1 1 1 1 1 1 1 1 1 1 1 1 1 1 1 1 1 1 1 1 1 1 1 1 1 1 1 1 1 1 1 1 1 1 1 1 1 1 1 1 1 1 1 1 1 1 1 1 1 1 1 1 1 1 1 1 1 1 1 1 1 1 1 1 1 1 1 1 1 1 1 1 1 1 1 1 1 1 1 1 1 1 1 1 1 1 1 1 1 1 1 1 1 1 1 1 1 1 1 1 1 1 1 1 1 1 1 1 1 1 1 1 1 1 1 1 1 1 1 1 1 1 1 1 1 1 1 1 1 1 1 1 1 1 1 1 1 1 1 1 1 1 1 1 1 1 1 1 1 1 1 1 1 1 1 1 1 1 1 1 1 1 1 1 1 1 1 1 1 1 1 1 1 1 1 1 1 1 1 1 1 1 1 1 1 1 1 1 1 1 1 1 1 1 1 1 1 1 1 1 1 1 1 1 1 1 1 1 1 1 1 1 1 1 1 1 1 1 1 1 1 1 1 1 1 1 1 1 1 1 1 1 1 1 1 1 1 1 1 1 1 1 1 1 1 1 1 1 1 1 1 1 1 1 1 1 1 1 1 1 1 1 1 1 1 1 1 1 1 1 1 1 1 1 1 1 1 1 1 1 1 1 1 1 1 1 1 1 1 1 1 1 1 1 1 1 1 1 1 1 1 1 1 1 1 1 1 1 1 1 1 1 1 1 1 1 1 1 1 1 1 1 1 1 1 1 1 1 1 1 1 1 1 1 1 1 1 1 1 1 1 1 1 1 1 1 1 1 1 1 1 1 1 1 1 1 1 1 1 1 1 1 1 1 1 1 1 1 1 1 1 1 1 1 1 1 1 1 1 1 1 1 1 1 1 1 1 1 1 1 1 1 1 1 1 1 1 1 1 1 1 1 1 1 1 1 1 1 1 1 1 1 1 1 1 1 1 1 1 1 1 1 1 1 1 1 1 1 1 1 1 1 1 1 1 1 1 1 1 1 1 1 1 1 1 1 1 1 1 1 1 1 1 1 1 1 1 1 1 1 1 1 1 1 1 1 1 1 1 1 1 1 1 1 1 1 1 1 1 1 1 1 1 1 1 1 1 1 1 1 1 1 1 1 1 1 1 1 1 1 1 1 1 1 1 1 1 1 1 1 1 1 1 1 1 1 1 1 1 1 1 1 1 1 1 1 1 1 1 1 1 1 1 1 1 1 1 1 1 1 1 1 1 1 1 1 1 1 1 1 1 1 1 1 1 1 1 1 1 1 1 1 1 1 1 1 1 1 1 1 1 1 1 1 1 1 1 1 1 1 1 1 1 1 1 1 1 1 1 1 1 1 1 1 1 1 1 1 1 1 1 1 1 1 1 1 1 1 1 1 1 1 1 1 1 1 1 1 1 1 1 1 1 1 1 1 1 1 1 1 1 1 1 1 1 1 1 1 1 1 1 1 1 1 1 1 1 1 1 1 1 1 1 1 1 1 1 1 1 1 1 1 1 1 1 1 1 1 1 1 1 1 1 1 1 1 1 1 1 1 1 1 1 1 1 1 1 1 1 1 1 1 1 1 1 1 1 1 1 1 1 1 1 1 1 1 1 1 1 1 1 1 1 1 1 1 1 1 1 1 1 1 1 1 1 1 1 1 1 1 1 1 1 1 1 1 1 1 1 1 1 1 1 1 1 1 1 1 1 1 1 1 1 1 1 1 1 1 1 1 1 1 1 1 1 1 1 1 1 1 1 1 1 1 1 1 1 1 1 1 1 1 1 1 1 1 1 1 1 1 1 1 1 1 1 1 1 1 1 1 1 1 1 1 1 1 1 1 1 1 1 1 1 1 1 1 1 1 1 1 1 1 1 1 1 1 1 1 1 1 1 1 1 1 1 1 1 1 1 1 1 1 1 1 1 1 1 1 1 1 1 1 1 1 1 1 1 1 1 1 1 1 1 1 1 1 1 1 1 1 1 1 1 1 1 1 1 1 1 1 1 1 1 1 1 1 1 1 1 1 1 1 1 1 1 1 1 1 1 1 1 1 1 1 1 1 1 1 1 1 1 1 1 1 1 1 1 1 1 1 1 1 1 1 1 1 1 1 1 1 1 1 1 1 1 1 1 1 1 1 1 1 1 1 1 1 1 1 1 1 1 1 1 1 1 1 1 1 1 1 1 1 1 1 1 1 1 1 1 1 1 1 1 1 1 1 1 1 1 1 1 1 1 1 1 1 1 1 1 1 1 1 1 1 1 1 1 1 1 1 1 1 1 1 1 1 1 1 1 1 1 1 1 1 1 1 1 1 1 1 1 1 1 1 1 1 1 1 1 1 1 1 1 1 1 1 1 1 1 1 1 1 1 1 1 1 1 1 1 1 1 1 1 1 1 1 1 1 1 1 1 1 1 1 1 1 1 1 1 1 1 1 1 1 1 1 1 1 1 1 1 1 1 1 1 1 1 1 1 1 1 1 1 1 1 1 1 1 1 1 1 1 1 1 1 1 1 1 1 1 1 1 1 1 1 1 1 1 1 1 1 1 1 1 1 1 1 1 1 1 1 1 1 1 1 1 1 1 1 1 1 1 1 1 1 1 1 1 1 1 1 1 1 1 1 1 1 1 1 1 1 1 1 1 1 1 1 1 1 1 1 1 1 1 1 1 1 1 1 1 1 1 1 1 1 1 1 1 1 1 1 1 1 1 1 1 1 1 1 1 1 1 1 1 1 1 1 1 1 1 1 1 1 1 1 1 1 1 1 1 1 1 1 1 1 1 1 1 1 1 1 1 1 1 1 1 1 1 1 1 1 1 1 1 1 1 1 1 1 1 1 1 1 1 1 1 1 1 1 1 1 1 1 1 1 1 1 1 1 1 1 1 1 1 1 1 1 1 1 1 1 1 1 1 1 1 1 1 1 1 1 1 1 1 1 1 1 1 1 1 1 1 1 1 1 1 1 1 1 1 1 1 1 1 1 1 1 1 1 1 1 1 1 1 1 1 1 1 1 1 1 1 1 1 1 1 1 1 1 1 1 1 1 1 1 1 1 1 1 1 1 1 1 1 1 1 1 1 1 1 1 1 1 1 1 1 1 1 1 1 1 1 1 1 1 1 1 1 1 1 1 1 1 1 1 1 1 1 1 1 1 1 1 1 1 1 1 1 1 1 1 1 1 1 1 1 1 1 1 1 1 1 1 1 1 1 1 1 1 1 1 1 1 1 1 1 1 1 1 1 1 1 1 1 1 1 1 1 1 1 1 1 1 1 1 1 1 1 1 1 1 1 1 1 1 1 1 1 1 1 1 1 1 1 1 1 1 1 1 1 1 1 1 1 1 1 1 1 1 1 1 1 1 1 1 1 1 1 1 1 1 1 1 1 1 1 1 1 1 1 1 1 1 1 1 1 1 1 1 1 1 1 1 1 1 1 1 1 1 1 1 1 1 1 1 1 1 1 1 1 1 1 1 1 1 1 1 1 1 1 1 1 1 1 1 1 1 1 1 1 1 1 1 1 1 1 1 1 1 1 1 1 1 1 1 1 1 1 1 1 1 1 1 1 1 1 1 1 1 1 1 1 1 1 1 1 1 1 1 1 1 1 1 1 1 1 1 1 1 1 1 1 1 1 1 1 1 1 1 1 1 1 1 1 1 1 1 1 1 1 1 1 1 1 1 1 1 1 1 1 1 1 1 1 1 1 1 1 1 1 1 1 1 1 1 1 1 1 1 1 1 1 1 1 1 1 1 1 1 1 1 1 1 1 1 1 1 1 1 1 1 1 1 1 1 1 1 1 1 1 1 1 1 1 1 1 1 1 1 1 1 1 1 1 1 1 1 1 1 1 1 1 1 1 1 1 1 1 1 1 1 1 1 1 1 1 1 1 1 1 1 1 1 1 1 1 1 1 1 1 1 1 1 1 1 1 1 1 1 1 1 1 1 1 1 1 1 1 1 1 1 1 1 1 1 1 1 1 1 1 1 1 1 1 1 1 1 1 1 1 1 1 1 1 1 1 1 1 1 1 1 1 1 1 1 1 1 1 1 1 1 1 1 1 1 1 1 1 1 1 1 1 1 1 1 1 1 1 1 1 1 1 1 1 1 1 1 1 1 1 1 1 1 1 1 1 1 1 1 1 1 1 1 1 1 1 1 1 1 1 1 1 1 1 1 1 1 1 1 1 1 1 1 1 1 1 1 1 1 1 1 1 1 1 1 1 1 1 1 1 1 1 1 1 1 1 1 1 1 1 1 1 1 1 1 1 1 1 1 1 1 1 1 1 1 1 1 1 1 1 1 1 1 1 1 1 1 1 1 1 1 1 1 1 1 1 1 1 1 1 1 1 1 1 1 1 1 1 1 1 1 1 1 1 1 1 1 1 1 1 1 1 1 1 1 1 1 1 1 1 1 1 1 1 1 1 1 1 1 1 1 1 1 1 1 1 1 1 1 1 1 1 1 1 1 1 1 1 1 1 1 1 1 1 1 1 1 1 1 1 1 1 1 1 1 1 1 1 1 1 1 1 1 1 1 1 1 1 1 1 1 1 1 1 1 1 1 1 1 1 1 1 1 1 1 1 1 1 1 1 1 1 1 1 1 1 1 1 1 1 1 1 1 1 1 1 1 1 1 1 1 1 1 1 1 1 1 1 1 1 1 1 1 1 1 1 1 1 1 1 1 1 1 1 1 1 1 1 1 1 1 1 1 1 1 1 1 1 1 1 1 1 1 1 1 1 1 1 1 1 1 1 1 1 1 1 1 1 1 1 1 1 1 1 1 1 1 1 1 1 1 1 1 1 1 1 1 1 1 1 1 1 1 1 1 1 1 1 1 1 1 1 1 1 1 1 1 1 1 1 1 1 1 1 1 1 1 1 1 1 1 1 1 1 1 1 1 1 1 1 1 1 1 1 1 1 1 1 1 1 1 1 1 1 1 1 1 1 1 1 1 1 1 1 1 1 1 1 1 1 1 1 1 1 1 1 1 1 1 1 1 1 1 1 1 1 1 1 1 1 1 1 1 1 1 1 1 1 1 1 1 1 1 1 1 1 1 1 1 1 1 1 1 1 1 1 1 1 1 1 1 1 1 1 1 1 1 1 1 1 1 1 1 1 1 1 1 1 1 1 1 1 1 1 1 1 1 1 1 1 1 1 1 1 1 1 1 1 1 1 1 1 1 1 1 1 1 1 1 1 1 1 1 1 1 1 1 1 1 1 1 1 1 1 1 1 1 1 1 1 1 1 1 1 1 1 1 1 1 1 1 1 1 1 1 1 1 1 1 1 1 1 1 1 1 1 1 1 1 1 1 1 1 1 1 1 1 1 1 1 1 1 1 1 1 1 1 1 1 1 1 1 1 1 1 1 1 1 1 1 1 1 1 1 1 1 1 1 1 1 1 1 1 1 1 1 1 1 1 1 1 1 1 1 1 1 1 1 1 1 1 1 1 1 1 1 1 1 1 1 1 1 1 1 1 1 1 1 1 1 1 1 1 1 1 1 1 1 1 1 1 1 1 1 1 1 1 1 1 1 1 1 1 1 1 1 1 1 1 1 1 1 1 1 1 1 1 1 1 1 1 1 1 1 1 1 1 1 1 1 1 1 1 1 1 1 1 1 1 1 1 1 1 1 1 1 1 1 1 1 1 1 1 1 1 1 1 1 1 1 1 1 1 1 1 1 1 1 1 1 1 1 1 1 1 1 1 1 1 1 1 1 1 1 1 1 1 1 1 1 1 1 1 1 1 1 1 1 1 1 1 1 1 1 1 1 1 1 1 1 1 1 1 1 1 1 1 1 1 1 1 1 1 1 1 1 1 1 1 1 1 1 1 1 1 1 1 1 1 1 1 1 1 1 1 1 1 1 1 1 1 1 1 1 1 1 1 1 1 1 1 1 1 1 1 1 1 1 1 1 1 1 1 1 1 1 1 1 1 1 1 1 1 1 1 1 1 1 1 1 1 1 1 1 1 1 1 1 1 1 1 1 1 1 1 1 1 1 1 1 1 1 1 1 1 1 1 1 1 1 1 1 1 1 1 1 1 1 1 1 1 1 1 1 1 1 1 1 1 1 1 1 1 1 1 1 1 1 1 1 1 1 1 1 1 1 1 1 1 1 1 1 1 1 1 1 1 1 1 1 1 1 1 1 1 1 1 1 1 1 1 1 1 1 1 1 1 1 1 1 1 1 1 1 1 1 1 1 1 1 1 1 1 1 1 1 1 1 1 1 1 1 1 1 1 1 1 1 1 1 1 1 1 1 1 1 1 1 1 1 1 1 1 1 1 1 1 1 1 1 1 1 1 1 1 1 1 1 1 1 1 1 1 1 1 1 1 1 1 1 1 1 1 1 1 1 1 1 1 1 1 1 1 1 1 1 1 1 1 1 1 1 1 1 1 1 1 1 1 1 1 1 1 1 1 1 1 1 1 1 1 1 1 1 1 1 1 1 1 1 1 1 1 1 1 1 1 1 1 1 1 1 1 1 1 1 1 1 1 1 1 1 1 1 1 1 1 1 1 1 1 1 1 1 1 1 1 1 1 1 1 1 1 1 1 1 1 1 1 1 1 1 1 1 1 1 1 1 1 1 1 1 1 1 1 1 1 1 1 1 1 1 1 1 1 1 1 1 1 1 1 1 1 1 1 1 1 1 1 1 1 1 1 1 1 1 1 1 1 1 1 1 1 1 1 1 1 1 1 1 1 1 1 1 1 1 1 1 1 1 1 1 1 1 1 1 1 1 1 1 1 1 1 1 1 1 1 1 1 1 1 1 1 1 1 1 1 1 1 1 1 1 1 1 1 1 1 1 1 1 1 1 1 1 1 1 1 1 1 1 1 1 1 1 1 1 1 1 1 1 1 1 1 1 1 1 1 1 1 1 1 1 1 1 1 1 1 1 1 1 1 1 1 1 1 1 1 1 1 1 1 1 1 1 1 1 1 1 1 1 1 1 1 1 1 1 1 1 1 1 1 1 1 1 1 1 1 1 1 1 1 1 1 1 1 1 1 1 1 1 1 1 1 1 1 1 1 1 1 1 1 1 1 1 1 1 1 1 1 1 1 1 1 1 1 1 1 1 1 1 1 1 1 1 1 1 1 1 1 1 1 1 1 1 1 1 1 1 1 1 1 1 1 1 1 1 1 1 1 1 1 1 1 1 1 1 1 1 1 1 1 1 1 1 1 1 1 1 1 1 1 1 1 1 1 1 1 1 1 1 1 1 1 1 1 1 1 1 1 1 1 1 1 1 1 1 1 1 1 1 1 1 1 1 1 1 1 1 1 1 1 1 1 1 1 1 1 1 1 1 1 1 1 1 1 1 1 1 1 1 1 1 1 1 1 1 1 1 1 1 1 1 1 1 1 1 1 1 1 1 1 1 1 1 1 1 1 1 1 1 1 1 1 1 1 1 1 1 1 1 1 1 1 1 1 1 1 1 1 1 1 1 1 1 1 1 1 1 1 1 1 1 1 1 1 1 1 1 1 1 1 1 1 1 1 1 1 1 1 1 1 1 1 1 1 1 1 1 1 1 1 1 1 1 1 1 1 1 1 1 1 1 1 1 1 1 1 1 1 1 1 1 1 1 1 1 1 1 1 1 1 1 1 1 1 1 1 1 1 1 1 1 1 1 1 1 1 1 1 1 1 1 1 1 1 1 1 1 1 1 1 1 1 1 1 1 1 1 1 1 1 1 1 1 1 1 1 1 1 1 1 1 1 1 1 1 1 1 1 1 1 1 1 1 1 1 1 1 1 1 1 1 1 1 1 1 1 1 1 1 1 1 1 1 1 1 1 1 1 1 1 1 1 1 1 1 1 1 1 1 1 1 1 1 1 1 1 1 1 1 1 1 1 1 1 1 1 1 1 1 1 1 1 1 1 1 1 1 1 1 1 1 1 1 1 1 1 1 1 1 1 1 1 1 1 1 1 1 1 1 1 1 1 1 1 1 1 1 1 1 1 1 1 1 1 1 1 1 1 1 1 1 1 1 1 1 1 1 1 1 1 1 1 1 1 1 1 1 1 1 1 1 1 1 1 1 1 1 1 1 1 1 1 1 1 1 1 1 1 1 1 1 1 1 1 1 1 1 1 1 1 1 1 1 1 1 1 1 1 1 1 1 1 1 1 1 1 1 1 1 1 1 1 1 1 1 1 1 1 1 1 1 1 1 1 1 1 1 1 1 1 1 1 1 1 1 1 1 1 1 1 1 1 1 1 1 1 1 1 1 1 1 1 1 1 1 1 1 1 1 1 1 1 1 1 1 1 1 1 1 1 1 1 1 1 1 1 1 1 1 1 1 1 1 1 1 1 1 1 1 1 1 1 1 1 1 1 1 1 1 1 1 1 1 1 1 1 1 1 1 1 1 1 1 1 1 1 1 1 1 1 1 1 1 1 1 1 1 1 1 1 1 1 1 1 1 1 1 1 1 1 1 1 1 1 1 1 1 1 1 1 1 1 1 1 1 1 1 1 1 1 1 1 1 1 1 1 1 1 1 1 1 1 1 1 1 1 1 1 1 1 1 1 1 1 1 1 1 1 1 1 1 1 1 1 1 1 1 1 1 1 1 1 1 1 1 1 1 1 1 1 1 1 1 1 1 1 1 1 1 1 1 1 1 1 1 1 1 1 1 1 1 1 1 1 1 1 1 1 1 1 1 1 1 1 1 1 1 1 1 1 1 1 1 1 1 1 1 1 1 1 1 1 1 1 1 1 1 1 1 1 1 1 1 1 1 1 1 1 1 1 1 1 1 1 1 1 1 1 1 1 1 1 1 1 1 1 1 1 1 1 1 1 1 1 1 1 1 1 1 1 1 1 1 1 1 1 1 1 1 1 1 1 1 1 1 1 1 1 1 1 1 1 1 1 1 1 1 1 1 1 1 1 1 1 1 1 1 1 1 1 1 1 1 1 1 1 1 1 1 1 1 1 1 1 1 1 1 1 1 1 1 1 1 1 1 1 1 1 1 1 1 1 1 1 1 1 1 1 1 1 1 1 1 1 1 1 1 1 1 1 1 1 1 1 1 1 1 1 1 1 1 1 1 1 1 1 1 1 1 1 1 1 1 1 1 1 1 1 1 1 1 1 1 1 1 1 1 1 1 1 1 1 1 1 1 1 1 1 1 1 1 1 1 1 1 1 1 1 1 1 1 1 1 1 1 1 1 1 1 1 1 1 1 1 1 1 1 1 1 1 1 1 1 1 1 1 1 1 1 1 1 1 1 1 1 1 1 1 1 1 1 1 1 1 1 1 1 1 1 1 1 1 1 1 1 1 1 1 1 1 1 1 1 1 1 1 1 1 1 1 1 1 1 1 1 1 1 1 1 1 1 1 1 1 1 1 1 1 1 1 1 1 1 1 1 1 1 1 1 1 1 1 1 1 1 1 1 1 1 1 1 1 1 1 1 1 1 1 1 1 1 1 1 1 1 1 1 1 1 1 1 1 1 1 1 1 1 1 1 1 1 1 1 1 1 1 1 1 1 1 1 1 1 1 1 1 1 1 1 1 1 1 1 1 1 1 1 1 1 1 1 1 1 1 1 1 1 1 1 1 1 1 1 1 1 1 1 1 1 1 1 1 1 1 1 1 1 1 1 1 1 1 1 1 1 1 1 1 1 1 1 1 1 1 1 1 1 1 1 1 1 1 1 1 1 1 1 1 1 1 1 1 1 1 1 1 1 1 1 1 1 1 1 1 1 1 1 1 1 1 1 1 1 1 1 1 1 1 1 1 1 1 1 1 1 1 1 1 1 1 1 1 1 1 1 1 1 1 1 1 1 1 1 1 1 1 1 1 1 1 1 1 1 1 1 1 1 1 1 1 1 1 1 1 1 1 1 1 1 1 1 1 1 1 1 1 1 1 1 1 1 1 1 1 1 1 1 1 1 1 1 1 1 1 1 1 1 1 1 1 1 1 1 1 1 1 1 1 1 1 1 1 1 1 1 1 1 1 1 1 1 1 1 1 1 1 1 1 1 1 1 1 1 1 1 1 1 1 1 1 1 1 1 1 1 1 1 1 1 1 1 1 1 1 1 1 1 1 1 1 1 1 1 1 1 1 1 1 1 1 1 1 1 1 1 1 1 1 1 1 1 1 1 1 1 1 1 1 1 1 1 1 1 1 1 1 1 1 1 1 1 1 1 1 1 1 1 1 1 1 1 1 1 1 1 1 1 1 1 1 1 1 1 1 1 1 1 1 1 1 1 1 1 1 1 1 1 1 1 1 1 1 1 1 1 1 1 1 1 1 1 1 1 1 1 1 1 1 1 1 1 1 1 1 1 1 1 1 1 1 1 1 1 1 1 1 1 1 1 1 1 1 1 1 1 1 1 1 1 1 1 1 1 1 1 1 1 1 1 1 1 1 1 1 1 1 1 1 1 1 1 1 1 1 1 1 1 1 1 1 1 1 1 1 1 1 1 1 1 1 1 1 1 1 1 1 1 1 1 1 1 1 1 1 1 1 1 1 1 1 1 1 1 1 1 1 1 1 1 1 1 1 1 1 1 1 1 1 1 1 1 1 1 1 1 1 1 1 1 1 1 1 1 1 1 1 1 1 1 1 1 1 1 1 1 1 1 1 1 1 1 1 1 1 1 1 1 1 1 1 1 1 1 1 1 1 1 1 1 1 1 1 1 1 1 1 1 1 1 1 1 1 1 1 1 1 1 1 1 1 1 1 1 1 1 1 1 1 1 1 1 1 1 1 1 1 1 1 1 1 1 1 1 1 1 1 1 1 1 1 1 1 1 1 1 1 1 1 1 1 1 1 1 1 1 1 1 1 1 1 1 1 1 1 1 1 1 1 1 1 1 1 1 1 1 1 1 1 1 1 1 1 1 1 1 1 1 1 1 1 1 1 1 1 1 1 1 1 1 1 1 1 1 1 1 1 1 1 1 1 1 1 1 1 1 1 1 1 1 1 1 1 1 1 1 1 1 1 1 1 1 1 1 1 1 1 1 1 1 1 1 1 1 1 1 1 1 1 1 1 1 1 1 1 1 1 1 1 1 1 1 1 1 1 1 1 1 1 1 1 1 1 1 1 1 1 1 1 1 1 1 1 1 1 1 1 1 1 1 1 1 1 1 1 1 1 1 1 1 1 1 1 1 1 1 1 1 1 1 1 1 1 1 1 1 1 1 1 1 1 1 1 1 1 1 1 1 1 1 1 1 1 1 1 1 1 1 1 1 1 1 1 1 1 1 1 1 1 1 1 1 1 1 1 1 1 1 1 1 1 1 1 1 1 1 1 1 1 1 1 1 1 1 1 1 1 1 1 1 1 1 1 1 1 1 1 1 1 1 1 1 1 1 1 1 1 1 1 1 1 1 1 1 1 1 1 1 1 1 1 1 1 1 1 1 1 1 1 1 1 1 1 1 1 1 1 1 1 1 1 1 1 1 1 1 1 1 1 1 1 1 1 1 1 1 1 1 1 1 1 1 1 1 1 1 1 1 1 1 1 1 1 1 1 1 1 1 1 1 1 1 1 1 1 1 1 1 1 1 1 1 1 1 1 1 1 1 1 1 1 1 1 1 1 1 1 1 1 1 1 1 1 1 1 1 1 1 1 1 1 1 1 1 1 1 1 1 1 1 1 1 1 1 1 1 1 1 1 1 1 1 1 1 1 1 1 1 1 1 1 1 1 1 1 1 1 1 1 1 1 1 1 1 1 1 1 1 1 1 1 1 1 1 1 1 1 1 1 1 1 1 1 1 1 1 1 1 1 1 1 1 1 1 1 1 1 1 1 1 1 1 1 1 1 1 1 1 1 1 1 1 1 1 1 1 1 1 1 1 1 1 1 1 1 1 1 1 1 1 1 1 1 1 1 1 1 1 1 1 1 1 1 1 1 1 1 1 1 1 1 1 1 1 1 1 1 1 1 1 1 1 1 1 1 1 1 1 1 1 1 1 1 1 1 1 1 1 1 1 1 1 1 1 1 1 1 1 1 1 1 1 1 1 1 1 1 1 1 1 1 1 1 1 1 1 1 1 1 1 1 1 1 1 1 1 1 1 1 1 1 1 1 1 1 1 1 1 1 1 1 1 1 1 1 1 1 1 1 1 1 1 1 1 1 1 1 1 1 1 1 1 1 1 1 1 1 1 1 1 1 1 1 1 1 1 1 1 1 1 1 1 1 1 1 1 1 1 1 1 1 1 1 1 1 1 1 1 1 1 1 1 1 1 1 1 1 1 1 1 1 1 1 1 1 1 1 1 1 1 1 1 1 1 1 1 1 1 1 1 1 1 1 1 1 1 1 1 1 1 1 1 1 1 1 1 1 1 1 1 1 1 1 1 1 1 1 1 1 1 1 1 1 1 1 1 1 1 1 1 1 1 1 1 1 1 1 1 1 1 1 1 1 1 1 1 1 1 1 1 1 1 1 1 1 1 1 1 1 1 1 1 1 1 1 1 1 1 1 1 1 1 1 1 1 1 1 1 1 1 1 1 1 1 1 1 1 1 1 1 1 1 1 1 1 1 1 1 1 1 1 1 1 1 1 1 1 1 1 1 1 1 1 1 1 1 1 1 1 1 1 1 1 1 1 1 1 1 1 1 1 1 1 1 1 1 1 1 1 1 1 1 1 1 1 1 1 1 1 1 1 1 1 1 1 1 1 1 1 1 1 1 1 1 1 1 1 1 1 1 1 1 1 1 1 1 1 1 1 1 1 1 1 1 1 1 1 1 1 1 1 1 1 1 1 1 1 1 1 1 1 1 1 1 1 1 1 1 1 1 1 1 1 1 1 1 1 1 1 1 1 1 1 1 1 1 1 1 1 1 1 1 1 1 1 1 1 1 1 1 1 1 1 1 1 1 1 1 1 1 1 1 1 1 1 1 1 1 1 1 1 1 1 1 1 1 1 1 1 1 1 1 1 1 1 1 1 1 1 1 1 1 1 1 1 1 1 1 1 1 1 1 1 1 1 1 1 1 1 1 1 1 1 1 1 1 1 1 1 1 1 1 1 1 1 1 1 1 1 1 1 1 1 1 1 1 1 1 1 1 1 1 1 1 1 1 1 1 1 1 1 1 1 1 1 1 1 1 1 1 1 1 1 1 1 1 1 1 1 1 1 1 1 1 1 1 1 1 1 1 1 1 1 1 1 1 1 1 1 1 1 1 1 1 1 1 1 1 1 1 1 1 1 1 1 1 1 1 1 1 1 1 1 1 1 1 1 1 1 1 1 1 1 1 1 1 1 1 1 1 1 1 1 1 1 1 1 1 1 1 1 1 1 1 1 1 1 1 1 1 1 1 1 1 1 1 1 1 1 1 1 1 1 1 1 1 1 1 1 1 1 1 1 1 1 1 1 1 1 1 1 1 1 1 1 1 1 1 1 1 1 1 1 1 1 1 1 1 1 1 1 1 1 1 1 1 1 1 1 1 1 1 1 1 1 1 1 1 1 1 1 1 1 1 1 1 1 1 1 1 1 1 1 1 1 1 1 1 1 1 1 1 1 1 1 1 1 1 1 1 1 1 1 1 1 1 1 1 1 1 1 1 1 1 1 1 1 1 1 1 1 1 1 1 1 1 1 1 1 1 1 1 1 1 1 1 1 1 1 1 1 1 1 1 1 1 1 1 1 1 1 1 1 1 1 1 1 1 1 1 1 1 1 1 1 1 1 1 1 1 1 1 1 1 1 1 1 1 1 1 1 1 1 1 1 1 1 1 1 1 1 1 1 1 1 1 1 1 1 1 1 1 1 1 1 1 1 1 1 1 1 1 1 1 1 1 1 1 1 1 1 1 1 1 1 1 1 1 1 1 1 1 1 1 1 1 1 1 1 1 1 1 1 1 1 1 1 1 1 1 1 1 1 1 1 1 1 1 1 1 1 1 1 1 1 1 1 1 1 1 1 1 1 1 1 1 1 1 1 1 1 1 1 1 1 1 1 1 1 1 1 1 1 1 1 1 1 1 1 1 1 1 1 1 1 1 1 1 1 1 1 1 1 1 1 1 1 1 1 1 1 1 1 1 1 1 1 1 1 1 1 1 1 1 1 1 1 1 1 1 1 1 1 1 1 1 1 1 1 1 1 1 1 1 1 1 1 1 1 1 1 1 1 1 1 1 1 1 1 1 1 1 1 1 1 1 1 1 1 1 1 1 1 1 1 1 1 1 1 1 1 1 1 1 1 1 1 1 1 1 1 1 1 1 1 1 1 1 1 1 1 1 1 1 1 1 1 1 1 1 1 1 1 1 1 1 1 1 1 1 1 1 1 1 1 1 1 1 1 1 1 1 1 1 1 1 1 1 1 1 1 1 1 1 1 1 1 1 1 1 1 1 1 1 1 1 1 1 1 1 1 1 1 1 1 1 1 1 1 1 1 1 1 1 1 1 1 1 1 1 1 1 1 1 1 1 1 1 1 1 1 1 1 1 1 1 1 1 1 1 1 1 1 1 1 1 1 1 1 1 1 1 1 1 1 1 1 1 1 1 1 1 1 1 1 1 1 1 1 1 1 1 1 1 1 1 1 1 1 1 1 1 1 1 1 1 1 1 1 1 1 1 1 1 1 1 1 1 1 1 1 1 1 1 1 1 1 1 1 1 1 1 1 1 1 1 1 1 1 1 1 1 1 1 1 1 1 1 1 1 1 1 1 1 1 1 1 1 1 1 1 1 1 1 1 1 1 1 1 1 1 1 1 1 1 1 1 1 1 1 1 1 1 1 1 1 1 1 1 1 1 1 1 1 1 1 1 1 1 1 1 1 1 1 1 1 1 1 1 1 1 1 1 1 1 1 1 1 1 1 1 1 1 1 1 1 1 1 1 1 1 1 1 1 1 1 1 1 1 1 1 1 1 1 1 1 1 1 1 1 1 1 1 1 1 1 1 1 1 1 1 1 1 1 1 1 1 1 1 1 1 1 1 1 1 1 1 1 1 1 1 1 1 1 1 1 1 1 1 1 1 1 1 1 1 1 1 1 1 1 1 1 1 1 1 1 1 1 1 1 1 1 1 1 1 1 1 1 1 1 1 1 1 1 1 1 1 1 1 1 1 1 1 1 1 1 1 1 1 1 1 1 1 1 1 1 1 1 1 1 1 1 1 1 1 1 1 1 1 1 1 1 1 1 1 1 1 1 1 1 1 1 1 1 1 1 1 1 1 1 1 1 1 1 1 1 1 1 1 1 1 1 1 1 1 1 1 1 1 1 1 1 1 1 1 1 1 1 1 1 1 1 1 1 1 1 1 1 1 1 1 1 1 1 1 1 1 1 1 1 1 1 1 1 1 1 1 1 1 1 1 1 1 1 1 1 1 1 1 1 1 1 1 1 1 1 1 1 1 1 1 1 1 1 1 1 1 1 1 1 1 1 1 1 1 1 1 1 1 1 1 1 1 1 1 1 1 1 1 1 1 1 1 1 1 1 1 1 1 1 1 1 1 1 1 1 1 1 1 1 1 1 1 1 1 1 1 1 1 1 1 1 1 1 1 1 1 1 1 1 1 1 1 1 1 1 1 1 1 1 1 1 1 1 1 1 1 1 1 1 1 1 1 1 1 1 1 1 1 1 1 1 1 1 1 1 1 1 1 1 1 1 1 1 1 1 1 1 1 1 1 1 1 1 1 1 1 1 1 1 1 1 1 1 1 1 1 1 1 1 1 1 1 1 1 1 1 1 1 1 1 1 1 1 1 1 1 1 1 1 1 1 1 1 1 1 1 1 1 1 1 1 1 1 1 1 1 1 1 1 1 1 1 1 1 1 1 1 1 1 1 1 1 1 1 1 1 1 1 1 1 1 1 1 1 1 1 1 1 1 1 1 1 1 1 1 1 1 1 1 1 1 1 1 1 1 1 1 1 1 1 1 1 1 1 1 1 1 1 1 1 1 1 1 1 1 1 1 1 1 1 1 1 1 1 1 1 1 1 1 1 1 1 1 1 1 1 1 1 1 1 1 1 1 1 1 1 1 1 1 1 1 1 1 1 1 1 1 1 1 1 1 1 1 1 1 1 1 1 1 1 1 1 1 1 1 1 1 1 1 1 1 1 1 1 1 1 1 1 1 1 1 1 1 1 1 1 1 1 1 1 1 1 1 1 1 1 1 1 1 1 1 1 1 1 1 1 1 1 1 1 1 1 1 1 1 1 1 1 1 1 1 1 1 1 1 1 1 1 1 1 1 1 1 1 1 1 1 1 1 1 1 1 1 1 1 1 1 1 1 1 1 1 1 1 1 1 1 1 1 1 1 1 1 1 1 1 1 1 1 1 1 1 1 1 1 1 1 1 1 1 1 1 1 1 1 1 1 1 1 1 1 1 1 1 1 1 1 1 1 1 1 1 1 1 1 1 1 1 1 1 1 1 1 1 1 1 1 1 1 1 1 1 1 1 1 1 1 1 1 1 1 1 1 1 1 1 1 1 1 1 1 1 1 1 1 1 1 1 1 1 1 1 1 1 1 1 1 1 1 1 1 1 1 1 1 1 1 1 1 1 1 1 1 1 1 1 1 1 1 1 1 1 1 1 1 1 1 1 1 1 1 1 1 1 1 1 1 1 1 1 1 1 1 1 1 1 1 1 1 1 1 1 1 1 1 1 1 1 1 1 1 1 1 1 1 1 1 1 1 1 1 1 1 1 1 1 1 1 1 1 1 1 1 1 1 1 1 1 1 1 1 1 1 1 1 1 1 1 1 1 1 1 1 1 1 1 1 1 1 1 1 1 1 1 1 1 1 1 1 1 1 1 1 1 1 1 1 1 1 1 1 1 1 1 1 1 1 1 1 1 1 1 1 1 1 1 1 1 1 1 1 1 1 1 1 1 1 1 1 1 1 1 1 1 1 1 1 1 1 1 1 1 1 1 1 1 1 1 1 1 1 1 1 1 1 1 1 1 1 1 1 1 1 1 1 1 1 1 1 1 1 1 1 1 1 1 1 1 1 1 1 1 1 1 1 1 1 1 1 1 1 1 1 1 1 1 1 1 1 1 1 1 1 1 1 1 1 1 1 1 1 1 1 1 1 1 1 1 1 1 1 1 1 1 1 1 1 1 1 1 1 1 1 1 1 1 1 1 1 1 1 1 1 1 1 1 1 1 1 1 1 1 1 1 1 1 1 1 1 1 1 1 1 1 1 1 1 1 1 1 1 1 1 1 1 1 1 1 1 1 1 1 1 1 1 1 1 1 1 1 1 1 1 1 1 1 1 1 1 1 1 1 1 1 1 1 1 1 1 1 1 1 1 1 1 1 1 1 1 1 1 1 1 1 1 1 1 1 1 1 1 1 1 1 1 1 1 1 1 1 1 1 1 1 1 1 1 1 1 1 1 1 1 1 1 1 1 1 1 1 1 1 1 1 1 1 1 1 1 1 1 1 1 1 1 1 1 1 1 1 1 1 1 1 1 1 1 1 1 1 1 1 1 1 1 1 1 1 1 1 1 1 1 1 1 1 1 1 1 1 1 1 1 1 1 1 1 1 1 1 1 1 1 1 1 1 1 1 1 1 1 1 1 1 1 1 1 1 1 1 1 1 1 1 1 1 1 1 1 1 1 1 1 1 1 1 1 1 1 1 1 1 1 1 1 1 1 1 1 1 1 1 1 1 1 1 1 1 1 1 1 1 1 1 1 1 1 1 1 1 1 1 1 1 1 1 1 1 1 1 1 1 1 1 1 1 1 1 1 1 1 1 1 1 1 1 1 1 1 1 1 1 1 1 1 1 1 1 1 1 1 1 1 1 1 1 1 1 1 1 1 1 1 1 1 1 1 1 1 1 1 1 1 1 1 1 1 1 1 1 1 1 1 1 1 1 1 1 1 1 1 1 1 1 1 1 1 1 1 1 1 1 1 1 1 1 1 1 1 1 1 1 1 1 1 1 1 1 1 1 1 1 1 1 1 1 1 1 1 1 1 1 1 1 1 1 1 1 1 1 1 1 1 1 1 1 1 1 1 1 1 1 1 1 1 1 1 1 1 1 1 1 1 1 1 1 1 1 1 1 1 1 1 1 1 1 1 1 1 1 1 1 1 1 1 1 1 1 1 1 1 1 1 1 1 1 1 1 1 1 1 1 1 1 1 1 1 1 1 1 1 1 1 1 1 1 1 1 1 1 1 1 1 1 1 1 1 1 1 1 1 1 1 1 1 1 1 1 1 1 1 1 1 1 1 1 1 1 1 1 1 1 1 1 1 1 1 1 1 1 1 1 1 1 1 1 1 1 1 1 1 1 1 1 1 1 1 1 1 1 1 1 1 1 1 1 1 1 1 1 1 1 1 1 1 1 1 1 1 1 1 1 1 1 1 1 1 1 1 1 1 1 1 1 1 1 1 1 1 1 1 1 1 1 1 1 1 1 1 1 1 1 1 1 1 1 1 1 1 1 1 1 1 1 1 1 1 1 1 1 1 1 1 1 1 1 1 1 1 1 1 1 1 1 1 1 1 1 1 1 1 1 1 1 1 1 1 1 1 1 1 1 1 1 1 1 1 1 1 1 1 1 1 1 1 1 1 1 1 1 1 1 1 1 1 1 1 1 1 1 1 1 1 1 1 1 1 1 1 1 1 1 1 1 1 1 1 1 1 1 1 1 1 1 1 1 1 1 1 1 1 1 1 1 1 1 1 1 1 1 1 1 1 1 1 1 1 1 1 1 1 1 1 1 1 1 1 1 1 1 1 1 1 1 1 1 1 1 1 1 1 1 1 1 1 1 1 1 1 1 1 1 1 1 1 1 1 1 1 1 1 1 1 1 1 1 1 1 1 1 1 1 1 1 1 1 1 1 1 1 1 1 1 1 1 1 1 1 1 1 1 1 1 1 1 1 1 1 1 1 1 1 1 1 1 1 1 1 1 1 1 1 1 1 1 1 1 1 1 1 1 1 1 1 1 1 1 1 1 1 1 1 1 1 1 1 1 1 1 1 1 1 1 1 1 1 1 1 1 1 1 1 1 1 1 1 1 1 1 1 1 1 1 1 1 1 1 1 1 1 1 1 1 1 1 1 1 1 1 1 1 1 1 1 1 1 1 1 1 1 1 1 1 1 1 1 1 1 1 1 1 1 1 1 1 1 1 1 1 1 1 1 1 1 1 1 1 1 1 1 1 1 1 1 1 1 1 1 1 1 1 1 1 1 1 1 1 1 1 1 1 1 1 1 1 1 1 1 1 1 1 1 1 1 1 1 1 1 1 1 1 1 1 1 1 1 1 1 1 1 1 1 1 1 1 1 1 1 1 1 1 1 1 1 1 1 1 1 1 1 1 1 1 1 1 1 1 1 1 1 1 1 1 1 1 1 1 1 1 1 1 1 1 1 1 1 1 1 1 1 1 1 1 1 1 1 1 1 1 1 1 1 1 1 1 1 1 1 1 1 1 1 1 1 1 1 1 1 1 1 1 1 1 1 1 1 1 1 1 1 1 1 1 1 1 1 1 1 1 1 1 1 1 1 1 1 1 1 1 1 1 1 1 1 1 1 1 1 1 1 1 1 1 1 1 1 1 1 1 1 1 1 1 1 1 1 1 1 1 1 1 1 1 1 1 1 1 1 1 1 1 1 1 1 1 1 1 1 1 1 1 1 1 1 1 1 1 1 1 1 1 1 1 1 1 1 1 1 1 1 1 1 1 1 1 1 1 1 1 1 1 1 1 1 1 1 1 1 1 1 1 1 1 1 1 1 1 1 1 1 1 1 1 1 1 1 1 1 1 1 1 1 1 1 1 1 1 1 1 1 1 1 1 1 1 1 1 1 1 1 1 1 1 1 1 1 1 1 1 1 1 1 1 1 1 1 1 1 1 1 1 1 1 1 1 1 1 1 1 1 1 1 1 1 1 1 1 1 1 1 1 1 1 1 1 1 1 1 1 1 1 1 1 1 1 1 1 1 1 1 1 1 1 1 1 1 1 1 1 1 1 1 1 1 1 1 1 1 1 1 1 1 1 1 1 1 1 1 1 1 1 1 1 1 1 1 1 1 1 1 1 1 1 1 1 1 1 1 1 1 1 1 1 1 1 1 1 1 1 1 1 1 1 1 1 1 1 1 1 1 1 1 1 1 1 1 1 1 1 1 1 1 1 1 1 1 1 1 1 1 1 1 1 1 1 1 1 1 1 1 1 1 1 1 1 1 1 1 1 1 1 1 1 1 1 1 1 1 1 1 1 1 1 1 1 1 1 1 1 1 1 1 1 1 1 1 1 1 1 1 1 1 1 1 1 1 1 1 1 1 1 1 1 1 1 1 1 1 1 1 1 1 1 1 1 1 1 1 1 1 1 1 1 1 1 1 1 1 1 1 1 1 1 1 1 1 1 1 1 1 1 1 1 1 1 1 1 1 1 1 1 1 1 1 1 1 1 1 1 1 1 1 1 1 1 1 1 1 1 1 1 1 1 1 1 1 1 1 1 1 1 1 1 1 1 1 1 1 1 1 1 1 1 1 1 1 1 1 1 1 1 1 1 1 1 1 1 1 1 1 1 1 1 1 1 1 1 1 1 1 1 1 1 1 1 1 1 1 1 1 1 1 1 1 1 1 1 1 1 1 1 1 1 1 1 1 1 1 1 1 1 1 1 1 1 1 1 1 1 1 1 1 1 1 1 1 1 1 1 1 1 1 1 1 1 1 1 1 1 1 1 1 1 1 1 1 1 1 1 1 1 1 1 1 1 1 1 1 1 1 1 1 1 1 1 1 1 1 1 1 1 1 1 1 1 1 1 1 1 1 1 1 1 1 1 1 1 1 1 1 1 1 1 1 1 1 1 1 1 1 1 1 1 1 1 1 1 1 1 1 1 1 1 1 1 1 1 1 1 1 1 1 1 1 1 1 1 1 1 1 1 1 1 1 1 1 1 1 1 1 1 1 1 1 1 1 1 1 1 1 1 1 1 1 1 1 1 1 1 1 1 1 1 1 1 1 1 1 1 1 1 1 1 1 1 1 1 1 1 1 1 1 1 1 1 1 1 1 1 1 1 1 1 1 1 1 1 1 1 1 1 1 1 1 1 1 1 1 1 1 1 1 1 1 1 1 1 1 1 1 1 1 1 1 1 1 1 1 1 1 1 1 1 1 1 1 1 1 1 1 1 1 1 1 1 1 1 1 1 1 1 1 1 1 1 1 1 1 1 1 1 1 1 1 1 1 1 1 1 1 1 1 1 1 1 1 1 1 1 1 1 1 1 1 1 1 1 1 1 1 1 1 1 1 1 1 1 1 1 1 1 1 1 1 1 1 1 1 1 1 1 1 1 1 1 1 1 1 1 1 1 1 1 1 1 1 1 1 1 1 1 1 1 1 1 1 1 1 1 1 1 1 1 1 1 1 1 1 1 1 1 1 1 1 1 1 1 1 1 1 1 1 1 1 1 1 1 1 1 1 1 1 1 1 1 1 1 1 1 1 1 1 1 1 1 1 1 1 1 1 1 1 1 1 1 1 1 1 1 1 1 1 1 1 1 1 1 1 1 1 1 1 1 1 1 1 1 1 1 1 1 1 1 1 1 1 1 1 1 1 1 1 1 1 1 1 1 1 1 1 1 1 1 1 1 1 1 1 1 1 1 1 1 1 1 1 1 1 1 1 1 1 1 1 1 1 1 1 1 1 1 1 1 1 1 1 1 1 1 1 1 1 1 1 1 1 1 1 1 1 1 1 1 1 1 1 1 1 1 1 1 1 1 1 1 1 1 1 1 1 1 1 1 1 1 1 1 1 1 1 1 1 1 1 1 1 1 1 1 1 1 1 1 1 1 1 1 1 1 1 1 1 1 1 1 1 1 1 1 1 1 1 1 1 1 1 1 1 1 1 1 1 1 1 1 1 1 1 1 1 1 1 1 1 1 1 1 1 1 1 1 1 1 1 1 1 1 1 1 1 1 1 1 1 1 1 1 1 1 1 1 1 1 1 1 1 1 1 1 1 1 1 1 1 1 1 1 1 1 1 1 1 1 1 1 1 1 1 1 1 1 1 1 1 1 1 1 1 1 1 1 1 1 1 1 1 1 1 1 1 1 1 1 1 1 1 1 1 1 1 1 1 1 1 1 1 1 1 1 1 1 1 1 1 1 1 1 1 1 1 1 1 1 1 1 1 1 1 1 1 1 1 1 1 1 1 1 1 1 1 1 1 1 1 1 1 1 1 1 1 1 1 1 1 1 1 1 1 1 1 1 1 1 1 1 1 1 1 1 1 1 1 1 1 1 1 1 1 1 1 1 1 1 1 1 1 1 1 1 1 1 1 1 1 1 1 1 1 1 1 1 1 1 1 1 1 1 1 1 1 1 1 1 1 1 1 1 1 1 1 1 1 1 1 1 1 1 1 1 1 1 1 1 1 1 1 1 1 1 1 1 1 1 1 1 1 1 1 1 1 1 1 1 1 1 1 1 1 1 1 1 1 1 1 1 1 1 1 1 1 1 1 1 1 1 1 1 1 1 1 1 1 1 1 1 1 1 1 1 1 1 1 1 1 1 1 1 1 1 1 1 1 1 1 1 1 1 1 1 1 1 1 1 1 1 1 1 1 1 1 1 1 1 1 1 1 1 1 1 1 1 1 1 1 1 1 1 1 1 1 1 1 1 1 1 1 1 1 1 1 1 1 1 1 1 1 1 1 1 1 1 1 1 1 1 1 1 1 1 1 1 1 1 1 1 1 1 1 1 1 1 1 1 1 1 1 1 1 1 1 1 1 1 1 1 1 1 1 1 1 1 1 1 1 1 1 1 1 1 1 1 1 1 1 1 1 1 1 1 1 1 1 1 1 1 1 1 1 1 1 1 1 1 1 1 1 1 1 1 1 1 1 1 1 1 1 1 1 1 1 1 1 1 1 1 1 1 1 1 1 1 1 1 1 1 1 1 1 1 1 1 1 1 1 1 1 1 1 1 1 1 1 1 1 1 1 1 1 1 1 1 1 1 1 1 1 1 1 1 1 1 1 1 1 1 1 1 1 1 1 1 1 1 1 1 1 1 1 1 1 1 1 1 1 1 1 1 1 1 1 1 1 1 1 1 1 1 1 1 1 1 1 1 1 1 1 1 1 1 1 1 1 1 1 1 1 1 1 1 1 1 1 1 1 1 1 1 1 1 1 1 1 1 1 1 1 1 1 1 1 1 1 1 1 1 1 1 1 1 1 1 1 1 1 1 1 1 1 1 1 1 1 1 1 1 1 1 1 1 1 1 1 1 1 1 1 1 1 1 1 1 1 1 1 1 1 1 1 1 1 1 1 1 1 1 1 1 1 1 1 1 1 1 1 1 1 1 1 1 1 1 1 1 1 1 1 1 1 1 1 1 1 1 1 1 1 1 1 1 1 1 1 1 1 1 1 1 1 1 1 1 1 1 1 1 1 1 1 1 1 1 1 1 1 1 1 1 1 1 1 1 1 1 1 1 1 1 1 1 1 1 1 1 1 1 1 1 1 1 1 1 1 1 1 1 1 1 1 1 1 1 1 1 1 1 1 1 1 1 1 1 1 1 1 1 1 1 1 1 1 1 1 1 1 1 1 1 1 1 1 1 1 1 1 1 1 1 1 1 1 1 1 1 1 1 1 1 1 1 1 1 1 1 1 1 1 1 1 1 1 1 1 1 1 1 1 1 1 1 1 1 1 1 1 1 1 1 1 1 1 1 1 1 1 1 1 1 1 1 1 1 1 1 1 1 1 1 1 1 1 1 1 1 1 1 1 1 1 1 1 1 1 1 1 1 1 1 1 1 1 1 1 1 1 1 1 1 1 1 1 1 1 1 1 1 1 1 1 1 1 1 1 1 1 1 1 1 1 1 1 1 1 1 1 1 1 1 1 1 1 1 1 1 1 1 1 1 1 1 1 1 1 1 1 1 1 1 1 1 1 1 1 1 1 1 1 1 1 1 1 1 1 1 1 1 1 1 1 1 1 1 1 1 1 1 1 1 1 1 1 1 1 1 1 1 1 1 1 1 1 1 1 1 1 1 1 1 1 1 1 1 1 1 1 1 1 1 1 1 1 1 1 1 1 1 1 1 1 1 1 1 1 1 1 1 1 1 1 1 1 1 1 1 1 1 1 1 1 1 1 1 1 1 1 1 1 1 1 1 1 1 1 1 1 1 1 1 1 1 1 1 1 1 1 1 1 1 1 1 1 1 1 1 1 1 1 1 1 1 1 1 1 1 1 1 1 1 1 1 1 1 1 1 1 1 1 1 1 1 1 1 1 1 1 1 1 1 1 1 1 1 1 1 1 1 1 1 1 1 1 1 1 1 1 1 1 1 1 1 1 1 1 1 1 1 1 1 1 1 1 1 1 1 1 1 1 1 1 1 1 1 1 1 1 1 1 1 1 1 1 1 1 1 1 1 1 1 1 1 1 1 1 1 1 1 1 1 1 1 1 1 1 1 1 1 1 1 1 1 1 1 1 1 1 1 1 1 1 1 1 1 1 1 1 1 1 1 1 1 1 1 1 1 1 1 1 1 1 1 1 1 1 1 1 1 1 1 1 1 1 1 1 1 1 1 1 1 1 1 1 1 1 1 1 1 1 1 1 1 1 1 1 1 1 1 1 1 1 1 1 1 1 1 1 1 1 1 1 1 1 1 1 1 1 1 1 1 1 1 1 1 1 1 1 1 1 1 1 1 1 1 1 1 1 1 1 1 1 1 1 1 1 1 1 1 1 1 1 1 1 1 1 1 1 1 1 1 1 1 1 1 1 1 1 1 1 1 1 1 1 1 1 1 1 1 1 1 1 1 1 1 1 1 1 1 1 1 1 1 1 1 1 1 1 1 1 1 1 1 1 1 1 1 1 1 1 1 1 1 1 1 1 1 1 1 1 1 1 1 1 1 1 1 1 1 1 1 1 1 1 1 1 1 1 1 1 1 1 1 1 1 1 1 1 1 1 1 1 1 1 1 1 1 1 1 1 1 1 1 1 1 1 1 1 1 1 1 1 1 1 1 1 1 1 1 1 1 1 1 1 1 1 1 1 1 1 1 1 1 1 1 1 1 1 1 1 1 1 1 1 1 1 1 1 1 1 1 1 1 1 1 1 1 1 1 1 1 1 1 1 1 1 1 1 1 1 1 1 1 1 1 1 1 1 1 1 1 1 1 1 1 1 1 1 1 1 1 1 1 1 1 1 1 1 1 1 1 1 1 1 1 1 1 1 1 1 1 1 1 1 1 1 1 1 1 1 1 1 1 1 1 1 1 1 1 1 1 1 1 1 1 1 1 1 1 1 1 1 1 1 1 1 1 1 1 1 1 1 1 1 1 1 1 1 1 1 1 1 1 1 1 1 1 1 1 1 1 1 1 1 1 1 1 1 1 1 1 1 1 1 1 1 1 1 1 1 1 1 1 1 1 1 1 1 1 1 1 1 1 1 1 1 1 1 1 1 1 1 1 1 1 1 1 1 1 1 1 1 1 1 1 1 1 1 1 1 1 1 1 1 1 1 1 1 1 1 1 1 1 1 1 1 1 1 1 1 1 1 1 1 1 1 1 1 1 1 1 1 1 1 1 1 1 1 1 1 1 1 1 1 1 1 1 1 1 1 1 1 1 1 1 1 1 1 1 1 1 1 1 1 1 1 1 1 1 1 1 1 1 1 1 1 1 1 1 1 1 1 1 1 1 1 1 1 1 1 1 1 1 1 1 1 1 1 1 1 1 1 1 1 1 1 1 1 1 1 1 1 1 1 1 1 1 1 1 1 1 1 1 1 1 1 1 1 1 1 1 1 1 1 1 1 1 1 1 1 1 1 1 1 1 1 1 1 1 1 1 1 1 1 1 1 1 1 1 1 1 1 1 1 1 1 1 1 1 1 1 1 1 1 1 1 1 1 1 1 1 1 1 1 1 1 1 1 1 1 1 1 1 1 1 1 1 1 1 1 1 1 1 1 1 1 1 1 1 1 1 1 1 1 1 1 1 1 1 1 1 1 1 1 1 1 1 1 1 1 1 1 1 1 1 1 1 1 1 1 1 1 1 1 1 1 1 1 1 1 1 1 1 1 1 1 1 1 1 1 1 1 1 1 1 1 1 1 1 1 1 1 1 1 1 1 1 1 1 1 1 1 1 1 1 1 1 1 1 1 1 1 1 1 1 1 1 1 1 1 1 1 1 1 1 1 1 1 1 1 1 1 1 1 1 1 1 1 1 1 1 1 1 1 1 1 1 1 1 1 1 1 1 1 1 1 1 1 1 1 1 1 1 1 1 1 1 1 1 1 1 1 1 1 1 1 1 1 1 1 1 1 1 1 1 1 1 1 1 1 1 1 1 1 1 1 1 1 1 1 1 1 1 1 1 1 1 1 1 1 1 1 1 1 1 1 1 1 1 1 1 1 1 1 1 1 1 1 1 1 1 1 1 1 1 1 1 1 1 1 1 1 1 1 1 1 1 1 1 1 1 1 1 1 1 1 1 1 1 1 1 1 1 1 1 1 1 1 1 1 1 1 1 1 1 1 1 1 1 1 1 1 1 1 1 1 1 1 1 1 1 1 1 1 1 1 1 1 1 1 1 1 1 1 1 1 1 1 1 1 1 1 1 1 1 1 1 1 1 1 1 1 1 1 1 1 1 1 1 1 1 1 1 1 1 1 1 1 1 1 1 1 1 1 1 1 1 1 1 1 1 1 1 1 1 1 1 1 1 1 1 1 1 1 1 1 1 1 1 1 1 1 1 1 1 1 1 1 1 1 1 1 1 1 1 1 1 1 1 1 1 1 1 1 1 1 1 1 1 1 1 1 1 1 1 1 1 1 1 1 1 1 1 1 1 1 1 1 1 1 1 1 1 1 1 1 1 1 1 1 1 1 1 1 1 1 1 1 1 1 1 1 1 1 1 1 1 1 1 1 1 1 1 1 1 1 1 1 1 1 1 1 1 1 1 1 1 1 1 1 1 1 1 1 1 1 1 1 1 1 1 1 1 1 1 1 1 1 1 1 1 1 1 1 1 1 1 1 1 1 1 1 1 1 1 1 1 1 1 1 1 1 1 1 1 1 1 1 1 1 1 1 1 1 1 1 1 1 1 1 1 1 1 1 1 1 1 1 1 1 1 1 1 1 1 1 1 1 1 1 1 1 1 1 1 1 1 1 1 1 1 1 1 1 1 1 1 1 1 1 1 1 1 1 1 1 1 1 1 1 1 1 1 1 1 1 1 1 1 1 1 1 1 1 1 1 1 1 1 1 1 1 1 1 1 1 1 1 1 1 1 1 1 1 1 1 1 1 1 1 1 1 1 1 1 1 1 1 1 1 1 1 1 1 1 1 1 1 1 1 1 1 1 1 1 1 1 1 1 1 1 1 1 1 1 1 1 1 1 1 1 1 1 1 1 1 1 1 1 1 1 1 1 1 1 1 1 1 1 1 1 1 1 1 1 1 1 1 1 1 1 1 1 1 1 1 1 1 1 1 1 1 1 1 1 1 1 1 1 1 1 1 1 1 1 1 1 1 1 1 1 1 1 1 1 1 1 1 1 1 1 1 1 1 1 1 1 1 1 1 1 1 1 1 1 1 1 1 1 1 1 1 1 1 1 1 1 1 1 1 1 1 1 1 1 1 1 1 1 1 1 1 1 1 1 1 1 1 1 1 1 1 1 1 1 1 1 1 1 1 1 1 1 1 1 1 1 1 1 1 1 1 1 1 1 1 1 1 1 1 1 1 1 1 1 1 1 1 1 1 1 1 1 1 1 1 1 1 1 1 1 1 1 1 1 1 1 1 1 1 1 1 1 1 1 1 1 1 1 1 1 1 1 1 1 1 1 1 1 1 1 1 1 1 1 1 1 1 1 1 1 1 1 1 1 1 1 1 1 1 1 1 1 1 1 1 1 1 1 1 1 1 1 1 1 1 1 1 1 1 1 1 1 1 1 1 1 1 1 1 1 1 1 1 1 1 1 1 1 1 1 1 1 1 1 1 1 1 1 1 1 1 1 1 1 1 1 1 1 1 1 1 1 1 1 1 1 1 1 1 1 1 1 1 1 1 1 1 1 1 1 1 1 1 1 1 1 1 1 1 1 1 1 1 1 1 1 1 1 1 1 1 1 1 1 1 1 1 1 1 1 1 1 1 1 1 1 1 1 1 1 1 1 1 1 1 1 1 1 1 1 1 1 1 1 1 1 1 1 1 1 1 1 1 1 1 1 1 1 1 1 1 1 1 1 1 1 1 1 1 1 1 1 1 1 1 1 1 1 1 1 1 1 1 1 1 1 1 1 1 1 1 1 1 1 1 1 1 1 1 1 1 1 1 1 1 1 1 1 1 1 1 1 1 1 1 1 1 1 1 1 1 1 1 1 1 1 1 1 1 1 1 1 1 1 1 1 1 1 1 1 1 1 1 1 1 1 1 1 1 1 1 1 1 1 1 1 1 1 1 1 1 1 1 1 1 1 1 1 1 1 1 1 1 1 1 1 1 1 1 1 1 1 1 1 1 1 1 1 1 1 1 1 1 1 1 1 1 1 1 1 1 1 1 1 1 1 1 1 1 1 1 1 1 1 1 1 1 1 1 1 1 1 1 1 1 1 1 1 1 1 1 1 1 1 1 1 1 1 1 1 1 1 1 1 1 1 1 1 1 1 1 1 1 1 1 1 1 1 1 1 1 1 1 1 1 1 1 1 1 1 1 1 1 1 1 1 1 1 1 1 1 1 1 1 1 1 1 1 1 1 1 1 1 1 1 1 1 1 1 1 1 1 1 1 1 1 1 1 1 1 1 1 1 1 1 1 1 1 1 1 1 1 1 1 1 1 1 1 1 1 1 1 1 1 1 1 1 1 1 1 1 1 1 1 1 1 1 1 1 1 1 1 1 1 1 1 1 1 1 1 1 1 1 1 1 1 1 1 1 1 1 1 1 1 1 1 1 1 1 1 1 1 1 1 1 1 1 1 1 1 1 1 1 1 1 1 1 1 1 1 1 1 1 1 1 1 1 1 1 1 1 1 1 1 1 1 1 1 1 1 1 1 1 1 1 1 1 1 1 1 1 1 1 1 1 1 1 1 1 1 1 1 1 1 1 1 1 1 1 1 1 1 1 1 1 1 1 1 1 1 1 1 1 1 1 1 1 1 1 1 1 1 1 1 1 1 1 1 1 1 1 1 1 1 1 1 1 1 1 1 1 1 1 1 1 1 1 1 1 1 1 1 1 1 1 1 1 1 1 1 1 1 1 1 1 1 1 1 1 1 1 1 1 1 1 1 1 1 1 1 1 1 1 1 1 1 1 1 1 1 1 1 1 1 1 1 1 1 1 1 1 1 1 1 1 1 1 1 1 1 1 1 1 1 1 1 1 1 1 1 1 1 1 1 1 1 1 1 1 1 1 1 1 1 1 1 1 1 1 1 1 1 1 1 1 1 1 1 1 1 1 1 1 1 1 1 1 1 1 1 1 1 1 1 1 1 1 1 1 1 1 1 1 1 1 1 1 1 1 1 1 1 1 1 1 1 1 1 1 1 1 1 1 1 1 1 1 1 1 1 1 1 1 1 1 1 1 1 1 1 1 1 1 1 1 1 1 1 1 1 1 1 1 1 1 1 1 1 1 1 1 1 1 1 1 1 1 1 1 1 1 1 1 1 1 1 1 1 1 1 1 1 1 1 1 1 1 1 1 1 1 1 1 1 1 1 1 1 1 1 1 1 1 1 1 1 1 1 1 1 1 1 1 1 1 1 1 1 1 1 1 1 1 1 1 1 1 1 1 1 1 1 1 1 1 1 1 1 1 1 1 1 1 1 1 1 1 1 1 1 1 1 1 1 1 1 1 1 1 1 1 1 1 1 1 1 1 1 1 1 1 1 1 1 1 1 1 1 1 1 1 1 1 1 1 1 1 1 1 1 1 1 1 1 1 1 1 1 1 1 1 1 1 1 1 1 1 1 1 1 1 1 1 1 1 1 1 1 1 1 1 1 1 1 1 1 1 1 1 1 1 1 1 1 1 1 1 1 1 1 1 1 1 1 1 1 1 1 1 1 1 1 1 1 1 1 1 1 1 1 1 1 1 1 1 1 1 1 1 1 1 1 1 1 1 1 1 1 1 1 1 1 1 1 1 1 1 1 1 1 1 1 1 1 1 1 1 1 1 1 1 1 1 1 1 1 1 1 1 1 1 1 1 1 1 1 1 1 1 1 1 1 1 1 1 1 1 1 1 1 1 1 1 1 1 1 1 1 1 1 1 1 1 1 1 1 1 1 1 1 1 1 1 1 1 1 1 1 1 1 1 1 1 1 1 1 1 1 1 1 1 1 1 1 1 1 1 1 1 1 1 1 1 1 1 1 1 1 1 1 1 1 1 1 1 1 1 1 1 1 1 1 1 1 1 1 1 1 1 1 1 1 1 1 1 1 1 1 1 1 1 1 1 1 1 1 1 1 1 1 1 1 1 1 1 1 1 1 1 1 1 1 1 1 1 1 1 1 1 1 1 1 1 1 1 1 1 1 1 1 1 1 1 1 1 1 1 1 1 1 1 1 1 1 1 1 1 1 1 1 1 1 1 1 1 1 1 1 1 1 1 1 1 1 1 1 1 1 1 1 1 1 1 1 1 1 1 1 1 1 1 1 1 1 1 1 1 1 1 1 1 1 1 1 1 1 1 1 1 1 1 1 1 1 1 1 1 1 1 1 1 1 1 1 1 1 1 1 1 1 1 1 1 1 1 1 1 1 1 1 1 1 1 1 1 1 1 1 1 1 1 1 1 1 1 1 1 1 1 1 1 1 1 1 1 1 1 1 1 1 1 1 1 1 1 1 1 1 1 1 1 1 1 1 1 1 1 1 1 1 1 1 1 1 1 1 1 1 1 1 1 1 1 1 1 1 1 1 1 1 1 1 1 1 1 1 1 1 1 1 1 1 1 1 1 1 1 1 1 1 1 1 1 1 1 1 1 1 1 1 1 1 1 1 1 1 1 1 1 1 1 1 1 1 1 1 1 1 1 1 1 1 1 1 1 1 1 1 1 1 1 1 1 1 1 1 1 1 1 1 1 1 1 1 1 1 1 1 1 1 1 1 1 1 1 1 1 1 1 1 1 1 1 1 1 1 1 1 1 1 1 1 1 1 1 1 1 1 1 1 1 1 1 1 1 1 1 1 1 1 1 1 1 1 1 1 1 1 1 1 1 1 1 1 1 1 1 1 1 1 1 1 1 1 1 1 1 1 1 1 1 1 1 1 1 1 1 1 1 1 1 1 1 1 1 1 1 1 1 1 1 1 1 1 1 1 1 1 1 1 1 1 1 1 1 1 1 1 1 1 1 1 1 1 1 1 1 1 1 1 1 1 1 1 1 1 1 1 1 1 1 1 1 1 1 1 1 1 1 1 1 1 1 1 1 1 1 1 1 1 1 1 1 1 1 1 1 1 1 1 1 1 1 1 1 1 1 1 1 1 1 1 1 1 1 1 1 1 1 1 1 1 1 1 1 1 1 1 1 1 1 1 1 1 1 1 1 1 1 1 1 1 1 1 1 1 1 1 1 1 1 1 1 1 1 1 1 1 1 1 1 1 1 1 1 1 1 1 1 1 1 1 1 1 1 1 1 1 1 1 1 1 1 1 1 1 1 1 1 1 1 1 1 1 1 1 1 1 1 1 1 1 1 1 1 1 1 1 1 1 1 1 1 1 1 1 1 1 1 1 1 1 1 1 1 1 1 1 1 1 1 1 1 1 1 1 1 1 1 1 1 1 1 1 1 1 1 1 1 1 1 1 1 1 1 1 1 1 1 1 1 1 1 1 1 1 1 1 1 1 1 1 1 1 1 1 1 1 1 1 1 1 1 1 1 1 1 1 1 1 1 1 1 1 1 1 1 1 1 1 1 1 1 1 1 1 1 1 1 1 1 1 1 1 1 1 1 1 1 1 1 1 1 1 1 1 1 1 1 1 1 1 1 1 1 1 1 1 1 1 1 1 1 1 1 1 1 1 1 1 1 1 1 1 1 1 1 1 1 1 1 1 1 1 1 1 1 1 1 1 1 1 1 1 1 1 1 1 1 1 1 1 1 1 1 1 1 1 1 1 1 1 1 1 1 1 1 1 1 1 1 1 1 1 1 1 1 1 1 1 1 1 1 1 1 1 1 1 1 1 1 1 1 1 1 1 1 1 1 1 1 1 1 1 1 1 1 1 1 1 1 1 1 1 1 1 1 1 1 1 1 1 1 1 1 1 1 1 1 1 1 1 1 1 1 1 1 1 1 1 1 1 1 1 1 1 1 1 1 1 1 1 1 1 1 1 1 1 1 1 1 1 1 1 1 1 1 1 1 1 1 1 1 1 1 1 1 1 1 1 1 1 1 1 1 1 1 1 1 1 1 1 1 1 1 1 1 1 1 1 1 1 1 1 1 1 1 1 1 1 1 1 1 1 1 1 1 1 1 1 1 1 1 1 1 1 1 1 1 1 1 1 1 1 1 1 1 1 1 1 1 1 1 1 1 1 1 1 1 1 1 1 1 1 1 1 1 1 1 1 1 1 1 1 1 1 1 1 1 1 1 1 1 1 1 1 1 1 1 1 1 1 1 1 1 1 1 1 1 1 1 1 1 1 1 1 1 1 1 1 1 1 1 1 1 1 1 1 1 1 1 1 1 1 1 1 1 1 1 1 1 1 1 1 1 1 1 1 1 1 1 1 1 1 1 1 1 1 1 1 1 1 1 1 1 1 1 1 1 1 1 1 1 1 1 1 1 1 1 1 1 1 1 1 1 1 1 1 1 1 1 1 1 1 1 1 1 1 1 1 1 1 1 1 1 1 1 1 1 1 1 1 1 1 1 1 1 1 1 1 1 1 1 1 1 1 1 1 1 1 1 1 1 1 1 1 1 1 1 1 1 1 1 1 1 1 1 1 1 1 1 1 1 1 1 1 1 1 1 1 1 1 1 1 1 1 1 1 1 1 1 1 1 1 1 1 1 1 1 1 1 1 1 1 1 1 1 1 1 1 1 1 1 1 1 1 1 1 1 1 1 1 1 1 1 1 1 1 1 1 1 1 1 1 1 1 1 1 1 1 1 1 1 1 1 1 1 1 1 1 1 1 1 1 1 1 1 1 1 1 1 1 1 1 1 1 1 1 1 1 1 1 1 1 1 1 1 1 1 1 1 1 1 1 1 1 1 1 1 1 1 1 1 1 1 1 1 1 1 1 1 1 1 1 1 1 1 1 1 1 1 1 1 1 1 1 1 1 1 1 1 1 1 1 1 1 1 1 1 1 1 1 1 1 1 1 1 1 1 1 1 1 1 1 1 1 1 1 1 1 1 1 1 1 1 1 1 1 1 1 1 1 1 1 1 1 1 1 1 1 1 1 1 1 1 1 1 1 1 1 1 1 1 1 1 1 1 1 1 1 1 1 1 1 1 1 1 1 1 1 1 1 1 1 1 1 1 1 1 1 1 1 1 1 1 1 1 1 1 1 1 1 1 1 1 1 1 1 1 1 1 1 1 1 1 1 1 1 1 1 1 1 1 1 1 1 1 1 1 1 1 1 1 1 1 1 1 1 1 1 1 1 1 1 1 1 1 1 1 1 1 1 1 1 1 1 1 1 1 1 1 1 1 1 1 1 1 1 1 1 1 1 1 1 1 1 1 1 1 1 1 1 1 1 1 1 1 1 1 1 1 1 1 1 1 1 1 1 1 1 1 1 1 1 1 1 1 1 1 1 1 1 1 1 1 1 1 1 1 1 1 1 1 1 1 1 1 1 1 1 1 1 1 1 1 1 1 1 1 1 1 1 1 1 1 1 1 1 1 1 1 1 1 1 1 1 1 1 1 1 1 1 1 1 1 1 1 1 1 1 1 1 1 1 1 1 1 1 1 1 1 1 1 1 1 1 1 1 1 1 1 1 1 1 1 1 1 1 1 1 1 1 1 1 1 1 1 1 1 1 1 1 1 1 1 1 1 1 1 1 1 1 1 1 1 1 1 1 1 1 1 1 1 1 1 1 1 1 1 1 1 1 1 1 1 1 1 1 1 1 1 1 1 1 1 1 1 1 1 1 1 1 1 1 1 1 1 1 1 1 1 1 1 1 1 1 1 1 1 1 1 1 1 1 1 1 1 1 1 1 1 1 1 1 1 1 1 1 1 1 1 1 1 1 1 1 1 1 1 1 1 1 1 1 1 1 1 1 1 1 1 1 1 1 1 1 1 1 1 1 1 1 1 1 1 1 1 1 1 1 1 1 1 1 1 1 1 1 1 1 1 1 1 1 1 1 1 1 1 1 1 1 1 1 1 1 1 1 1 1 1 1 1 1 1 1 1 1 1 1 1 1 1 1 1 1 1 1 1 1 1 1 1 1 1 1 1 1 1 1 1 1 1 1 1 1 1 1 1 1 1 1 1 1 1 1 1 1 1 1 1 1 1 1 1 1 1 1 1 1 1 1 1 1 1 1 1 1 1 1 1 1 1 1 1 1 1 1 1 1 1 1 1 1 1 1 1 1 1 1 1 1 1 1 1 1 1 1 1 1 1 1 1 1 1 1 1 1 1 1 1 1 1 1 1 1 1 1 1 1 1 1 1 1 1 1 1 1 1 1 1 1 1 1 1 1 1 1 1 1 1 1 1 1 1 1 1 1 1 1 1 1 1 1 1 1 1 1 1 1 1 1 1 1 1 1 1 1 1 1 1 1 1 1 1 1 1 1 1 1 1 1 1 1 1 1 1 1 1 1 1 1 1 1 1 1 1 1 1 1 1 1 1 1 1 1 1 1 1 1 1 1 1 1 1 1 1 1 1 1 1 1 1 1 1 1 1 1 1 1 1 1 1 1 1 1 1 1 1 1 1 1 1 1 1 1 1 1 1 1 1 1 1 1 1 1 1 1 1 1 1 1 1 1 1 1 1 1 1 1 1 1 1 1 1 1 1 1 1 1 1 1 1 1 1 1 1 1 1 1 1 1 1 1 1 1 1 1 1 1 1 1 1 1 1 1 1 1 1 1 1 1 1 1 1 1 1 1 1 1 1 1 1 1 1 1 1 1 1 1 1 1 1 1 1 1 1 1 1 1 1 1 1 1 1 1 1 1 1 1 1 1 1 1 1 1 1 1 1 1 1 1 1 1 1 1 1 1 1 1 1 1 1 1 1 1 1 1 1 1 1 1 1 1 1 1 1 1 1 1 1 1 1 1 1 1 1 1 1 1 1 1 1 1 1 1 1 1 1 1 1 1 1 1 1 1 1 1 1 1 1 1 1 1 1 1 1 1 1 1 1 1 1 1 1 1 1 1 1 1 1 1 1 1 1 1 1 1 1 1 1 1 1 1 1 1 1 1 1 1 1 1 1 1 1 1 1 1 1 1 1 1 1 1 1 1 1 1 1 1 1 1 1 1 1 1 1 1 1 1 1 1 1 1 1 1 1 1 1 1 1 1 1 1 1 1 1 1 1 1 1 1 1 1 1 1 1 1 1 1 1 1 1 1 1 1 1 1 1 1 1 1 1 1 1 1 1 1 1 1 1 1 1 1 1 1 1 1 1 1 1 1 1 1 1 1 1 1 1 1 1 1 1 1 1 1 1 1 1 1 1 1 1 1 1 1 1 1 1 1 1 1 1 1 1 1 1 1 1 1 1 1 1 1 1 1 1 1 1 1 1 1 1 1 1 1 1 1 1 1 1 1 1 1 1 1 1 1 1 1 1 1 1 1 1 1 1 1 1 1 1 1 1 1 1 1 1 1 1 1 1 1 1 1 1 1 1 1 1 1 1 1 1 1 1 1 1 1 1 1 1 1 1 1 1 1 1 1 1 1 1 1 1 1 1 1 1 1 1 1 1 1 1 1 1 1 1 1 1 1 1 1 1 1 1 1 1 1 1 1 1 1 1 1 1 1 1 1 1 1 1 1 1 1 1 1 1 1 1 1 1 1 1 1 1 1 1 1 1 1 1 1 1 1 1 1 1 1 1 1 1 1 1 1 1 1 1 1 1 1 1 1 1 1 1 1 1 1 1 1 1 1 1 1 1 1 1 1 1 1 1 1 1 1 1 1 1 1 1 1 1 1 1 1 1 1 1 1 1 1 1 1 1 1 1 1 1 1 1 1 1 1 1 1 1 1 1 1 1 1 1 1 1 1 1 1 1 1 1 1 1 1 1 1 1 1 1 1 1 1 1 1 1 1 1 1 1 1 1 1 1 1 1 1 1 1 1 1 1 1 1 1 1 1 1 1 1 1 1 1 1 1 1 1 1 1 1 1 1 1 1 1 1 1 1 1 1 1 1 1 1 1 1 1 1 1 1 1 1 1 1 1 1 1 1 1 1 1 1 1 1 1 1 1 1 1 1 1 1 1 1 1 1 1 1 1 1 1 1 1 1 1 1 1 1 1 1 1 1 1 1 1 1 1 1 1 1 1 1 1 1 1 1 1 1 1 1 1 1 1 1 1 1 1 1 1 1 1 1 1 1 1 1 1 1 1 1 1 1 1 1 1 1 1 1 1 1 1 1 1 1 1 1 1 1 1 1 1 1 1 1 1 1 1 1 1 1 1 1 1 1 1 1 1 1 1 1 1 1 1 1 1 1 1 1 1 1 1 1 1 1 1 1 1 1 1 1 1 1 1 1 1 1 1 1 1 1 1 1 1 1 1 1 1 1 1 1 1 1 1 1 1 1 1 1 1 1 1 1 1 1 1 1 1 1 1 1 1 1 1 1 1 1 1 1 1 1 1 1 1 1 1 1 1 1 1 1 1 1 1 1 1 1 1 1 1 1 1 1 1 1 1 1 1 1 1 1 1 1 1 1 1 1 1 1 1 1 1 1 1 1 1 1 1 1 1 1 1 1 1 1 1 1 1 1 1 1 1 1 1 1 1 1 1 1 1 1 1 1 1 1 1 1 1 1 1 1 1 1 1 1 1 1 1 1 1 1 1 1 1 1 1 1 1 1 1 1 1 1 1 1 1 1 1 1 1 1 1 1 1 1 1 1 1 1 1 1 1 1 1 1 1 1 1 1 1 1 1 1 1 1 1 1 1 1 1 1 1 1 1 1 1 1 1 1 1 1 1 1 1 1 1 1 1 1 1 1 1 1 1 1 1 1 1 1 1 1 1 1 1 1 1 1 1 1 1 1 1 1 1 1 1 1 1 1 1 1 1 1 1 1 1 1 1 1 1 1 1 1 1 1 1 1 1 1 1 1 1 1 1 1 1 1 1 1 1 1 1 1 1 1 1 1 1 1 1 1 1 1 1 1 1 1 1 1 1 1 1 1 1 1 1 1 1 1 1 1 1 1 1 1 1 1 1 1 1 1 1 1 1 1 1 1 1 1 1 1 1 1 1 1 1 1 1 1 1 1 1 1 1 1 1 1 1 1 1 1 1 1 1 1 1 1 1 1 1 1 1 1 1 1 1 1 1 1 1 1 1 1 1 1 1 1 1 1 1 1 1 1 1 1 1 1 1 1 1 1 1 1 1 1 1 1 1 1 1 1 1 1 1 1 1 1 1 1 1 1 1 1 1 1 1 1 1 1 1 1 1 1 1 1 1 1 1 1 1 1 1 1 1 1 1 1 1 1 1 1 1 1 1 1 1 1 1 1 1 1 1 1 1 1 1 1 1 1 1 1 1 1 1 1 1 1 1 1 1 1 1 1 1 1 1 1 1 1 1 1 1 1 1 1 1 1 1 1 1 1 1 1 1 1 1 1 1 1 1 1 1 1 1 1 1 1 1 1 1 1 1 1 1 1 1 1 1 1 1 1 1 1 1 1 1 1 1 1 1 1 1 1 1 1 1 1 1 1 1 1 1 1 1 1 1 1 1 1 1 1 1 1 1 1 1 1 1 1 1 1 1 1 1 1 1 1 1 1 1 1 1 1 1 1 1 1 1 1 1 1 1 1 1 1 1 1 1 1 1 1 1 1 1 1 1 1 1 1 1 1 1 1 1 1 1 1 1 1 1 1 1 1 1 1 1 1 1 1 1 1 1 1 1 1 1 1 1 1 1 1 1 1 1 1 1 1 1 1 1 1 1 1 1 1 1 1 1 1 1 1 1 1 1 1 1 1 1 1 1 1 1 1 1 1 1 1 1 1 1 1 1 1 1 1 1 1 1 1 1 1 1 1 1 1 1 1 1 1 1 1 1 1 1 1 1 1 1 1 1 1 1 1 1 1 1 1 1 1 1 1 1 1 1 1 1 1 1 1 1 1 1 1 1 1 1 1 1 1 1 1 1 1 1 1 1 1 1 1 1 1 1 1 1 1 1 1 1 1 1 1 1 1 1 1 1 1 1 1 1 1 1 1 1 1 1 1 1 1 1 1 1 1 1 1 1 1 1 1 1 1 1 1 1 1 1 1 1 1 1 1 1 1 1 1 1 1 1 1 1 1 1 1 1 1 1 1 1 1 1 1 1 1 1 1 1 1 1 1 1 1 1 1 1 1 1 1 1 1 1 1 1 1 1 1 1 1 1 1 1 1 1 1 1 1 1 1 1 1 1 1 1 1 1 1 1 1 1 1 1 1 1 1 1 1 1 1 1 1 1 1 1 1 1 1 1 1 1 1 1 1 1 1 1 1 1 1 1 1 1 1 1 1 1 1 1 1 1 1 1 1 1 1 1 1 1 1 1 1 1 1 1 1 1 1 1 1 1 1 1 1 1 1 1 1 1 1 1 1 1 1 1 1 1 1 1 1 1 1 1 1 1 1 1 1 1 1 1 1 1 1 1 1 1 1 1 1 1 1 1 1 1 1 1 1 1 1 1 1 1 1 1 1 1 1 1 1 1 1 1 1 1 1 1 1 1 1 1 1 1 1 1 1 1 1 1 1 1 1 1 1 1 1 1 1 1 1 1 1 1 1 1 1 1 1 1 1 1 1 1 1 1 1 1 1 1 1 1 1 1 1 1 1 1 1 1 1 1 1 1 1 1 1 1 1 1 1 1 1 1 1 1 1 1 1 1 1 1 1 1 1 1 1 1 1 1 1 1 1 1 1 1 1 1 1 1 1 1 1 1 1 1 1 1 1 1 1 1 1 1 1 1 1 1 1 1 1 1 1 1 1 1 1 1 1 1 1 1 1 1 1 1 1 1 1 1 1 1 1 1 1 1 1 1 1 1 1 1 1 1 1 1 1 1 1 1 1 1 1 1 1 1 1 1 1 1 1 1 1 1 1 1 1 1 1 1 1 1 1 1 1 1 1 1 1 1 1 1 1 1 1 1 1 1 1 1 1 1 1 1 1 1 1 1 1 1 1 1 1 1 1 1 1 1 1 1 1 1 1 1 1 1 1 1 1 1 1 1 1 1 1 1 1 1 1 1 1 1 1 1 1 1 1 1 1 1 1 1 1 1 1 1 1 1 1 1 1 1 1 1 1 1 1 1 1 1 1 1 1 1 1 1 1 1 1 1 1 1 1 1 1 1 1 1 1 1 1 1 1 1 1 1 1 1 1 1 1 1 1 1 1 1 1 1 1 1 1 1 1 1 1 1 1 1 1 1 1 1 1 1 1 1 1 1 1 1 1 1 1 1 1 1 1 1 1 1 1 1 1 1 1 1 1 1 1 1 1 1 1 1 1 1 1 1 1 1 1 1 1 1 1 1 1 1 1 1 1 1 1 1 1 1 1 1 1 1 1 1 1 1 1 1 1 1 1 1 1 1 1 1 1 1 1 1 1 1 1 1 1 1 1 1 1 1 1 1 1 1 1 1 1 1 1 1 1 1 1 1 1 1 1 1 1 1 1 1 1 1 1 1 1 1 1 1 1 1 1 1 1 1 1 1 1 1 1 1 1 1 1 1 1 1 1 1 1 1 1 1 1 1 1 1 1 1 1 1 1 1 1 1 1 1 1 1 1 1 1 1 1 1 1 1 1 1 1 1 1 1 1 1 1 1 1 1 1 1 1 1 1 1 1 1 1 1 1 1 1 1 1 1 1 1 1 1 1 1 1 1 1 1 1 1 1 1 1 1 1 1 1 1 1 1 1 1 1 1 1 1 1 1 1 1 1 1 1 1 1 1 1 1 1 1 1 1 1 1 1 1 1 1 1 1 1 1 1 1 1 1 1 1 1 1 1 1 1 1 1 1 1 1 1 1 1 1 1 1 1 1 1 1 1 1 1 1 1 1 1 1 1 1 1 1 1 1 1 1 1 1 1 1 1 1 1 1 1 1 1 1 1 1 1 1 1 1 1 1 1 1 1 1 1 1 1 1 1 1 1 1 1 1 1 1 1 1 1 1 1 1 1 1 1 1 1 1 1 1 1 1 1 1 1 1 1 1 1 1 1 1 1 1 1 1 1 1 1 1 1 1 1 1 1 1 1 1 1 1 1 1 1 1 1 1 1 1 1 1 1 1 1 1 1 1 1 1 1 1 1 1 1 1 1 1 1 1 1 1 1 1 1 1 1 1 1 1 1 1 1 1 1 1 1 1 1 1 1 1 1 1 1 1 1 1 1 1 1 1 1 1 1 1 1 1 1 1 1 1 1 1 1 1 1 1 1 1 1 1 1 1 1 1 1 1 1 1 1 1 1 1 1 1 1 1 1 1 1 1 1 1 1 1 1 1 1 1 1 1 1 1 1 1 1 1 1 1 1 1 1 1 1 1 1 1 1 1 1 1 1 1 1 1 1 1 1 1 1 1 1 1 1 1 1 1 1 1 1 1 1 1 1 1 1 1 1 1 1 1 1 1 1 1 1 1 1 1 1 1 1 1 1 1 1 1 1 1 1 1 1 1 1 1 1 1 1 1 1 1 1 1 1 1 1 1 1 1 1 1 1 1 1 1 1 1 1 1 1 1 1 1 1 1 1 1 1 1 1 1 1 1 1 1 1 1 1 1 1 1 1 1 1 1 1 1 1 1 1 1 1 1 1 1 1 1 1 1 1 1 1 1 1 1 1 1 1 1 1 1 1 1 1 1 1 1 1 1 1 1 1 1 1 1 1 1 1 1 1 1 1 1 1 1 1 1 1 1 1 1 1 1 1 1 1 1 1 1 1 1 1 1 1 1 1 1 1 1 1 1 1 1 1 1 1 1 1 1 1 1 1 1 1 1 1 1 1 1 1 1 1 1 1 1 1 1 1 1 1 1 1 1 1 1 1 1 1 1 1 1 1 1 1 1 1 1 1 1 1 1 1 1 1 1 1 1 1 1 1 1 1 1 1 1 1 1 1 1 1 1 1 1 1 1 1 1 1 1 1 1 1 1 1 1 1 1 1 1 1 1 1 1 1 1 1 1 1 1 1 1 1 1 1 1 1 1 1 1 1 1 1 1 1 1 1 1 1 1 1 1 1 1 1 1 1 1 1 1 1 1 1 1 1 1 1 1 1 1 1 1 1 1 1 1 1 1 1 1 1 1 1 1 1 1 1 1 1 1 1 1 1 1 1 1 1 1 1 1 1 1 1 1 1 1 1 1 1 1 1 1 1 1 1 1 1 1 1 1 1 1 1 1 1 1 1 1 1 1 1 1 1 1 1 1 1 1 1 1 1 1 1 1 1 1 1 1 1 1 1 1 1 1 1 1 1 1 1 1 1 1 1 1 1 1 1 1 1 1 1 1 1 1 1 1 1 1 1 1 1 1 1 1 1 1 1 1 1 1 1 1 1 1 1 1 1 1 1 1 1 1 1 1 1 1 1 1 1 1 1 1 1 1 1 1 1 1 1 1 1 1 1 1 1 1 1 1 1 1 1 1 1 1 1 1 1 1 1 1 1 1 1 1 1 1 1 1 1 1 1 1 1 1 1 1 1 1 1 1 1 1 1 1 1 1 1 1 1 1 1 1 1 1 1 1 1 1 1 1 1 1 1 1 1 1 1 1 1 1 1 1 1 1 1 1 1 1 1 1 1 1 1 1 1 1 1 1 1 1 1 1 1 1 1 1 1 1 1 1 1 1 1 1 1 1 1 1 1 1 1 1 1 1 1 1 1 1 1 1 1 1 1 1 1 1 1 1 1 1 1 1 1 1 1 1 1 1 1 1 1 1 1 1 1 1 1 1 1 1 1 1 1 1 1 1 1 1 1 1 1 1 1 1 1 1 1 1 1 1 1 1 1 1 1 1 1 1 1 1 1 1 1 1 1 1 1 1 1 1 1 1 1 1 1 1 1 1 1 1 1 1 1 1 1 1 1 1 1 1 1 1 1 1 1 1 1 1 1 1 1 1 1 1 1 1 1 1 1 1 1 1 1 1 1 1 1 1 1 1 1 1 1 1 1 1 1 1 1 1 1 1 1 1 1 1 1 1 1 1 1 1 1 1 1 1 1 1 1 1 1 1 1 1 1 1 1 1 1 1 1 1 1 1 1 1 1 1 1 1 1 1 1 1 1 1 1 1 1 1 1 1 1 1 1 1 1 1 1 1 1 1 1 1 1 1 1 1 1 1 1 1 1 1 1 1 1 1 1 1 1 1 1 1 1 1 1 1 1 1 1 1 1 1 1 1 1 1 1 1 1 1 1 1 1 1 1 1 1 1 1 1 1 1 1 1 1 1 1 1 1 1 1 1 1 1 1 1 1 1 1 1 1 1 1 1 1 1 1 1 1 1 1 1 1 1 1 1 1 1 1 1 1 1 1 1 1 1 1 1 1 1 1 1 1 1 1 1 1 1 1 1 1 1 1 1 1 1 1 1 1 1 1 1 1 1 1 1 1 1 1 1 1 1 1 1 1 1 1 1 1 1 1 1 1 1 1 1 1 1 1 1 1 1 1 1 1 1 1 1 1 1 1 1 1 1 1 1 1 1 1 1 1 1 1 1 1 1 1 1 1 1 1 1 1 1 1 1 1 1 1 1 1 1 1 1 1 1 1 1 1 1 1 1 1 1 1 1 1 1 1 1 1 1 1 1 1 1 1 1 1 1 1 1 1 1 1 1 1 1 1 1 1 1 1 1 1 1 1 1 1 1 1 1 1 1 1 1 1 1 1 1 1 1 1 1 1 1 1 1 1 1 1 1 1 1 1 1 1 1 1 1 1 1 1 1 1 1 1 1 1 1 1 1 1 1 1 1 1 1 1 1 1 1 1 1 1 1 1 1 1 1 1 1 1 1 1 1 1 1 1 1 1 1 1 1 1 1 1 1 1 1 1 1 1 1 1 1 1 1 1 1 1 1 1 1 1 1 1 1 1 1 1 1 1 1 1 1 1 1 1 1 1 1 1 1 1 1 1 1 1 1 1 1 1 1 1 1 1 1 1 1 1 1 1 1 1 1 1 1 1 1 1 1 1 1 1 1 1 1 1 1 1 1 1 1 1 1 1 1 1 1 1 1 1 1 1 1 1 1 1 1 1 1 1 1 1 1 1 1 1 1 1 1 1 1 1 1 1 1 1 1 1 1 1 1 1 1 1 1 1 1 1 1 1 1 1 1 1 1 1 1 1 1 1 1 1 1 1 1 1 1 1 1 1 1 1 1 1 1 1 1 1 1 1 1 1 1 1 1 1 1 1 1 1 1 1 1 1 1 1 1 1 1 1 1 1 1 1 1 1 1 1 1 1 1 1 1 1 1 1 1 1 1 1 1 1 1 1 1 1 1 1 1 1 1 1 1 1 1 1 1 1 1 1 1 1 1 1 1 1 1 1 1 1 1 1 1 1 1 1 1 1 1 1 1 1 1 1 1 1 1 1 1 1 1 1 1 1 1 1 1 1 1 1 1 1 1 1 1 1 1 1 1 1 1 1 1 1 1 1 1 1 1 1 1 1 1 1 1 1 1 1 1 1 1 1 1 1 1 1 1 1 1 1 1 1 1 1 1 1 1 1 1 1 1 1 1 1 1 1 1 1 1 1 1 1 1 1 1 1 1 1 1 1 1 1 1 1 1 1 1 1 1 1 1 1 1 1 1 1 1 1 1 1 1 1 1 1 1 1 1 1 1 1 1 1 1 1 1 1 1 1 1 1 1 1 1 1 1 1 1 1 1 1 1 1 1 1 1 1 1 1 1 1 1 1 1 1 1 1 1 1 1 1 1 1 1 1 1 1 1 1 1 1 1 1 1 1 1 1 1 1 1 1 1 1 1 1 1 1 1 1 1 1 1 1 1 1 1 1 1 1 1 1 1 1 1 1 1 1 1 1 1 1 1 1 1 1 1 1 1 1 1 1 1 1 1 1 1 1 1 1 1 1 1 1 1 1 1 1 1 1 1 1 1 1 1 1 1 1 1 1 1 1 1 1 1 1 1 1 1 1 1 1 1 1 1 1 1 1 1 1 1 1 1 1 1 1 1 1 1 1 1 1 1 1 1 1 1 1 1 1 1 1 1 1 1 1 1 1 1 1 1 1 1 1 1 1 1 1 1 1 1 1 1 1 1 1 1 1 1 1 1 1 1 1 1 1 1 1 1 1 1 1 1 1 1 1 1 1 1 1 1 1 1 1 1 1 1 1 1 1 1 1 1 1 1 1 1 1 1 1 1 1 1 1 1 1 1 1 1 1 1 1 1 1 1 1 1 1 1 1 1 1 1 1 1 1 1 1 1 1 1 1 1 1 1 1 1 1 1 1 1 1 1 1 1 1 1 1 1 1 1 1 1 1 1 1 1 1 1 1 1 1 1 1 1 1 1 1 1 1 1 1 1 1 1 1 1 1 1 1 1 1 1 1 1 1 1 1 1 1 1 1 1 1 1 1 1 1 1 1 1 1 1 1 1 1 1 1 1 1 1 1 1 1 1 1 1 1 1 1 1 1 1 1 1 1 1 1 1 1 1 1 1 1 1 1 1 1 1 1 1 1 1 1 1 1 1 1 1 1 1 1 1 1 1 1 1 1 1 1 1 1 1 1 1 1 1 1 1 1 1 1 1 1 1 1 1 1 1 1 1 1 1 1 1 1 1 1 1 1 1 1 1 1 1 1 1 1 1 1 1 1 1 1 1 1 1 1 1 1 1 1 1 1 1 1 1 1 1 1 1 1 1 1 1 1 1 1 1 1 1 1 1 1 1 1 1 1 1 1 1 1 1 1 1 1 1 1 1 1 1 1 1 1 1 1 1 1 1 1 1 1 1 1 1 1 1 1 1 1 1 1 1 1 1 1 1 1 1 1 1 1 1 1 1 1 1 1 1 1 1 1 1 1 1 1 1 1 1 1 1 1 1 1 1 1 1 1 1 1 1 1 1 1 1 1 1 1 1 1 1 1 1 1 1 1 1 1 1 1 1 1 1 1 1 1 1 1 1 1 1 1 1 1 1 1 1 1 1 1 1 1 1 1 1 1 1 1 1 1 1 1 1 1 1 1 1 1 1 1 1 1 1 1 1 1 1 1 1 1 1 1 1 1 1 1 1 1 1 1 1 1 1 1 1 1 1 1 1 1 1 1 1 1 1 1 1 1 1 1 1 1 1 1 1 1 1 1 1 1 1 1 1 1 1 1 1 1 1 1 1 1 1 1 1 1 1 1 1 1 1 1 1 1 1 1 1 1 1 1 1 1 1 1 1 1 1 1 1 1 1 1 1 1 1 1 1 1 1 1 1 1 1 1 1 1 1 1 1 1 1 1 1 1 1 1 1 1 1 1 1 1 1 1 1 1 1 1 1 1 1 1 1 1 1 1 1 1 1 1 1 1 1 1 1 1 1 1 1 1 1 1 1 1 1 1 1 1 1 1 1 1 1 1 1 1 1 1 1 1 1 1 1 1 1 1 1 1 1 1 1 1 1 1 1 1 1 1 1 1 1 1 1 1 1 1 1 1 1 1 1 1 1 1 1 1 1 1 1 1 1 1 1 1 1 1 1 1 1 1 1 1 1 1 1 1 1 1 1 1 1 1 1 1 1 1 1 1 1 1 1 1 1 1 1 1 1 1 1 1 1 1 1 1 1 1 1 1 1 1 1 1 1 1 1 1 1 1 1 1 1 1 1 1 1 1 1 1 1 1 1 1 1 1 1 1 1 1 1 1 1 1 1 1 1 1 1 1 1 1 1 1 1 1 1 1 1 1 1 1 1 1 1 1 1 1 1 1 1 1 1 1 1 1 1 1 1 1 1 1 1 1 1 1 1 1 1 1 1 1 1 1 1 1 1 1 1 1 1 1 1 1 1 1 1 1 1 1 1 1 1 1 1 1 1 1 1 1 1 1 1 1 1 1 1 1 1 1 1 1 1 1 1 1 1 1 1 1 1 1 1 1 1 1 1 1 1 1 1 1 1 1 1 1 1 1 1 1 1 1 1 1 1 1 1 1 1 1 1 1 1 1 1 1 1 1 1 1 1 1 1 1 1 1 1 1 1 1 1 1 1 1 1 1 1 1 1 1 1 1 1 1 1 1 1 1 1 1 1 1 1 1 1 1 1 1 1 1 1 1 1 1 1 1 1 1 1 1 1 1 1 1 1 1 1 1 1 1 1 1 1 1 1 1 1 1 1 1 1 1 1 1 1 1 1 1 1 1 1 1 1 1 1 1 1 1 1 1 1 1 1 1 1 1 1 1 1 1 1 1 1 1 1 1 1 1 1 1 1 1 1 1 1 1 1 1 1 1 1 1 1 1 1 1 1 1 1 1 1 1 1 1 1 1 1 1 1 1 1 1 1 1 1 1 1 1 1 1 1 1 1 1 1 1 1 1 1 1 1 1 1 1 1 1 1 1 1 1 1 1 1 1 1 1 1 1 1 1 1 1 1 1 1 1 1 1 1 1 1 1 1 1 1 1 1 1 1 1 1 1 1 1 1 1 1 1 1 1 1 1 1 1 1 1 1 1 1 1 1 1 1 1 1 1 1 1 1 1 1 1 1 1 1 1 1 1 1 1 1 1 1 1 1 1 1 1 1 1 1 1 1 1 1 1 1 1 1 1 1 1 1 1 1 1 1 1 1 1 1 1 1 1 1 1 1 1 1 1 1 1 1 1 1 1 1 1 1 1 1 1 1 1 1 1 1 1 1 1 1 1 1 1 1 1 1 1 1 1 1 1 1 1 1 1 1 1 1 1 1 1 1 1 1 1 1 1 1 1 1 1 1 1 1 1 1 1 1 1 1 1 1 1 1 1 1 1 1 1 1 1 1 1 1 1 1 1 1 1 1 1 1 1 1 1 1 1 1 1 1 1 1 1 1 1 1 1 1 1 1 1 1 1 1 1 1 1 1 1 1 1 1 1 1 1 1 1 1 1 1 1 1 1 1 1 1 1 1 1 1 1 1 1 1 1 1 1 1 1 1 1 1 1 1 1 1 1 1 1 1 1 1 1 1 1 1 1 1 1 1 1 1 1 1 1 1 1 1 1 1 1 1 1 1 1 1 1 1 1 1 1 1 1 1 1 1 1 1 1 1 1 1 1 1 1 1 1 1 1 1 1 1 1 1 1 1 1 1 1 1 1 1 1 1 1 1 1 1 1 1 1 1 1 1 1 1 1 1 1 1 1 1 1 1 1 1 1 1 1 1 1 1 1 1 1 1 1 1 1 1 1 1 1 1 1 1 1 1 1 1 1 1 1 1 1 1 1 1 1 1 1 1 1 1 1 1 1 1 1 1 1 1 1 1 1 1 1 1 1 1 1 1 1 1 1 1 1 1 1 1 1 1 1 1 1 1 1 1 1 1 1 1 1 1 1 1 1 1 1 1 1 1 1 1 1 1 1 1 1 1 1 1 1 1 1 1 1 1 1 1 1 1 1 1 1 1 1 1 1 1 1 1 1 1 1 1 1 1 1 1 1 1 1 1 1 1 1 1 1 1 1 1 1 1 1 1 1 1 1 1 1 1 1 1 1 1 1 1 1 1 1 1 1 1 1 1 1 1 1 1 1 1 1 1 1 1 1 1 1 1 1 1 1 1 1 1 1 1 1 1 1 1 1 1 1 1 1 1 1 1 1 1 1 1 1 1 1 1 1 1 1 1 1 1 1 1 1 1 1 1 1 1 1 1 1 1 1 1 1 1 1 1 1 1 1 1 1 1 1 1 1 1 1 1 1 1 1 1 1 1 1 1 1 1 1 1 1 1 1 1 1 1 1 1 1 1 1 1 1 1 1 1 1 1 1 1 1 1 1 1 1 1 1 1 1 1 1 1 1 1 1 1 1 1 1 1 1 1 1 1 1 1 1 1 1 1 1 1 1 1 1 1 1 1 1 1 1 1 1 1 1 1 1 1 1 1 1 1 1 1 1 1 1 1 1 1 1 1 1 1 1 1 1 1 1 1 1 1 1 1 1 1 1 1 1 1 1 1 1 1 1 1 1 1 1 1 1 1 1 1 1 1 1 1 1 1 1 1 1 1 1 1 1 1 1 1 1 1 1 1 1 1 1 1 1 1 1 1 1 1 1 1 1 1 1 1 1 1 1 1 1 1 1 1 1 1 1 1 1 1 1 1 1 1 1 1 1 1 1 1 1 1 1 1 1 1 1 1 1 1 1 1 1 1 1 1 1 1 1 1 1 1 1 1 1 1 1 1 1 1 1 1 1 1 1 1 1 1 1 1 1 1 1 1 1 1 1 1 1 1 1 1 1 1 1 1 1 1 1 1 1 1 1 1 1 1 1 1 1 1 1 1 1 1 1 1 1 1 1 1 1 1 1 1 1 1 1 1 1 1 1 1 1 1 1 1 1 1 1 1 1 1 1 1 1 1 1 1 1 1 1 1 1 1 1 1 1 1 1 1 1 1 1 1 1 1 1 1 1 1 1 1 1 1 1 1 1 1 1 1 1 1 1 1 1 1 1 1 1 1 1 1 1 1 1 1 1 1 1 1 1 1 1 1 1 1 1 1 1 1 1 1 1 1 1 1 1 1 1 1 1 1 1 1 1 1 1 1 1 1 1 1 1 1 1 1 1 1 1 1 1 1 1 1 1 1 1 1 1 1 1 1 1 1 1 1 1 1 1 1 1 1 1 1 1 1 1 1 1 1 1 1 1 1 1 1 1 1 1 1 1 1 1 1 1 1 1 1 1 1 1 1 1 1 1 1 1 1 1 1 1 1 1 1 1 1 1 1 1 1 1 1 1 1 1 1 1 1 1 1 1 1 1 1 1 1 1 1 1 1 1 1 1 1 1 1 1 1 1 1 1 1 1 1 1 1 1 1 1 1 1 1 1 1 1 1 1 1 1 1 1 1 1 1 1 1 1 1 1 1 1 1 1 1 1 1 1 1 1 1 1 1 1 1 1 1 1 1 1 1 1 1 1 1 1 1 1 1 1 1 1 1 1 1 1 1 1 1 1 1 1 1 1 1 1 1 1 1 1 1 1 1 1 1 1 1 1 1 1 1 1 1 1 1 1 1 1 1 1 1 1 1 1 1 1 1 1 1 1 1 1 1 1 1 1 1 1 1 1 1 1 1 1 1 1 1 1 1 1 1 1 1 1 1 1 1 1 1 1 1 1 1 1 1 1 1 1 1 1 1 1 1 1 1 1 1 1 1 1 1 1 1 1 1 1 1 1 1 1 1 1 1 1 1 1 1 1 1 1 1 1 1 1 1 1 1 1 1 1 1 1 1 1 1 1 1 1 1 1 1 1 1 1 1 1 1 1 1 1 1 1 1 1 1 1 1 1 1 1 1 1 1 1 1 1 1 1 1 1 1 1 1 1 1 1 1 1 1 1 1 1 1 1 1 1 1 1 1 1 1 1 1 1 1 1 1 1 1 1 1 1 1 1 1 1 1 1 1 1 1 1 1 1 1 1 1 1 1 1 1 1 1 1 1 1 1 1 1 1 1 1 1 1 1 1 1 1 1 1 1 1 1 1 1 1 1 1 1 1 1 1 1 1 1 1 1 1 1 1 1 1 1 1 1 1 1 1 1 1 1 1 1 1 1 1 1 1 1 1 1 1 1 1 1 1 1 1 1 1 1 1 1 1 1 1 1 1 1 1 1 1 1 1 1 1 1 1 1 1 1 1 1 1 1 1 1 1 1 1 1 1 1 1 1 1 1 1 1 1 1 1 1 1 1 1 1 1 1 1 1 1 1 1 1 1 1 1 1 1 1 1 1 1 1 1 1 1 1 1 1 1 1 1 1 1 1 1 1 1 1 1 1 1 1 1 1 1 1 1 1 1 1 1 1 1 1 1 1 1 1 1 1 1 1 1 1 1 1 1 1 1 1 1 1 1 1 1 1 1 1 1 1 1 1 1 1 1 1 1 1 1 1 1 1 1 1 1 1 1 1 1 1 1 1 1 1 1 1 1 1 1 1 1 1 1 1 1 1 1 1 1 1 1 1 1 1 1 1 1 1 1 1 1 1 1 1 1 1 1 1 1 1 1 1 1 1 1 1 1 1 1 1 1 1 1 1 1 1 1 1 1 1 1 1 1 1 1 1 1 1 1 1 1 1 1 1 1 1 1 1 1 1 1 1 1 1 1 1 1 1 1 1 1 1 1 1 1 1 1 1 1 1 1 1 1 1 1 1 1 1 1 1 1 1 1 1 1 1 1 1 1 1 1 1 1 1 1 1 1 1 1 1 1 1 1 1 1 1 1 1 1 1 1 1 1 1 1 1 1 1 1 1 1 1 1 1 1 1 1 1 1 1 1 1 1 1 1 1 1 1 1 1 1 1 1 1 1 1 1 1 1 1 1 1 1 1 1 1 1 1 1 1 1 1 1 1 1 1 1 1 1 1 1 1 1 1 1 1 1 1 1 1 1 1 1 1 1 1 1 1 1 1 1 1 1 1 1 1 1 1 1 1 1 1 1 1 1 1 1 1 1 1 1 1 1 1 1 1 1 1 1 1 1 1 1 1 1 1 1 1 1 1 1 1 1 1 1 1 1 1 1 1 1 1 1 1 1 1 1 1 1 1 1 1 1 1 1 1 1 1 1 1 1 1 1 1 1 1 1 1 1 1 1 1 1 1 1 1 1 1 1 1 1 1 1 1 1 1 1 1 1 1 1 1 1 1 1 1 1 1 1 1 1 1 1 1 1 1 1 1 1 1 1 1 1 1 1 1 1 1 1 1 1 1 1 1 1 1 1 1 1 1 1 1 1 1 1 1 1 1 1 1 1 1 1 1 1 1 1 1 1 1 1 1 1 1 1 1 1 1 1 1 1 1 1 1 1 1 1 1 1 1 1 1 1 1 1 1 1 1 1 1 1 1 1 1 1 1 1 1 1 1 1 1 1 1 1 1 1 1 1 1 1 1 1 1 1 1 1 1 1 1 1 1 1 1 1 1 1 1 1 1 1 1 1 1 1 1 1 1 1 1 1 1 1 1 1 1 1 1 1 1 1 1 1 1 1 1 1 1 1 1 1 1 1 1 1 1 1 1 1 1 1 1 1 1 1 1 1 1 1 1 1 1 1 1 1 1 1 1 1 1 1 1 1 1 1 1 1 1 1 1 1 1 1 1 1 1 1 1 1 1 1 1 1 1 1 1 1 1 1 1 1 1 1 1 1 1 1 1 1 1 1 1 1 1 1 1 1 1 1 1 1 1 1 1 1 1 1 1 1 1 1 1 1 1 1 1 1 1 1 1 1 1 1 1 1 1 1 1 1 1 1 1 1 1 1 1 1 1 1 1 1 1 1 1 1 1 1 1 1 1 1 1 1 1 1 1 1 1 1 1 1 1 1 1 1 1 1 1 1 1 1 1 1 1 1 1 1 1 1 1 1 1 1 1 1 1 1 1 1 1 1 1 1 1 1 1 1 1 1 1 1 1 1 1 1 1 1 1 1 1 1 1 1 1 1 1 1 1 1 1 1 1 1 1 1 1 1 1 1 1 1 1 1 1 1 1 1 1 1 1 1 1 1 1 1 1 1 1 1 1 1 1 1 1 1 1 1 1 1 1 1 1 1 1 1 1 1 1 1 1 1 1 1 1 1 1 1 1 1 1 1 1 1 1 1 1 1 1 1 1 1 1 1 1 1 1 1 1 1 1 1 1 1 1 1 1 1 1 1 1 1 1 1 1 1 1 1 1 1 1 1 1 1 1 1 1 1 1 1 1 1 1 1 1 1 1 1 1 1 1 1 1 1 1 1 1 1 1 1 1 1 1 1 1 1 1 1 1 1 1 1 1 1 1 1 1 1 1 1 1 1 1 1 1 1 1 1 1 1 1 1 1 1 1 1 1 1 1 1 1 1 1 1 1 1 1 1 1 1 1 1 1 1 1 1 1 1 1 1 1 1 1 1 1 1 1 1 1 1 1 1 1 1 1 1 1 1 1 1 1 1 1 1 1 1 1 1 1 1 1 1 1 1 1 1 1 1 1 1 1 1 1 1 1 1 1 1 1 1 1 1 1 1 1 1 1 1 1 1 1 1 1 1 1 1 1 1 1 1 1 1 1 1 1 1 1 1 1 1 1 1 1 1 1 1 1 1 1 1 1 1 1 1 1 1 1 1 1 1 1 1 1 1 1 1 1 1 1 1 1 1 1 1 1 1 1 1 1 1 1 1 1 1 1 1 1 1 1 1 1 1 1 1 1 1 1 1 1 1 1 1 1 1 1 1 1 1 1 1 1 1 1 1 1 1 1 1 1 1 1 1 1 1 1 1 1 1 1 1 1 1 1 1 1 1 1 1 1 1 1 1 1 1 1 1 1 1 1 1 1 1 1 1 1 1 1 1 1 1 1 1 1 1 1 1 1 1 1 1 1 1 1 1 1 1 1 1 1 1 1 1 1 1 1 1 1 1 1 1 1 1 1 1 1 1 1 1 1 1 1 1 1 1 1 1 1 1 1 1 1 1 1 1 1 1 1 1 1 1 1 1 1 1 1 1 1 1 1 1 1 1 1 1 1 1 1 1 1 1 1 1 1 1 1 1 1 1 1 1 1 1 1 1 1 1 1 1 1 1 1 1 1 1 1 1 1 1 1 1 1 1 1 1 1 1 1 1 1 1 1 1 1 1 1 1 1 1 1 1 1 1 1 1 1 1 1 1 1 1 1 1 1 1 1 1 1 1 1 1 1 1 1 1 1 1 1 1 1 1 1 1 1 1 1 1 1 1 1 1 1 1 1 1 1 1 1 1 1 1 1 1 1 1 1 1 1 1 1 1 1 1 1 1 1 1 1 1 1 1 1 1 1 1 1 1 1 1 1 1 1 1 1 1 1 1 1 1 1 1 1 1 1 1 1 1 1 1 1 1 1 1 1 1 1 1 1 1 1 1 1 1 1 1 1 1 1 1 1 1 1 1 1 1 1 1 1 1 1 1 1 1 1 1 1 1 1 1 1 1 1 1 1 1 1 1 1 1 1 1 1 1 1 1 1 1 1 1 1 1 1 1 1 1 1 1 1 1 1 1 1 1 1 1 1 1 1 1 1 1 1 1 1 1 1 1 1 1 1 1 1 1 1 1 1 1 1 1 1 1 1 1 1 1 1 1 1 1 1 1 1 1 1 1 1 1 1 1 1 1 1 1 1 1 1 1 1 1 1 1 1 1 1 1 1 1 1 1 1 1 1 1 1 1 1 1 1 1 1 1 1 1 1 1 1 1 1 1 1 1 1 1 1 1 1 1 1 1 1 1 1 1 1 1 1 1 1 1 1 1 1 1 1 1 1 1 1 1 1 1 1 1 1 1 1 1 1 1 1 1 1 1 1 1 1 1 1 1 1 1 1 1 1 1 1 1 1 1 1 1 1 1 1 1 1 1 1 1 1 1 1 1 1 1 1 1 1 1 1 1 1 1 1 1 1 1 1 1 1 1 1 1 1 1 1 1 1 1 1 1 1 1 1 1 1 1 1 1 1 1 1 1 1 1 1 1 1 1 1 1 1 1 1 1 1 1 1 1 1 1 1 1 1 1 1 1 1 1 1 1 1 1 1 1 1 1 1 1 1 1 1 1 1 1 1 1 1 1 1 1 1 1 1 1 1 1 1 1 1 1 1 1 1 1 1 1 1 1 1 1 1 1 1 1 1 1 1 1 1 1 1 1 1 1 1 1 1 1 1 1 1 1 1 1 1 1 1 1 1 1 1 1 1 1 1 1 1 1 1 1 1 1 1 1 1 1 1 1 1 1 1 1 1 1 1 1 1 1 1 1 1 1 1 1 1 1 1 1 1 1 1 1 1 1 1 1 1 1 1 1 1 1 1 1 1 1 1 1 1 1 1 1 1 1 1 1 1 1 1 1 1 1 1 1 1 1 1 1 1 1 1 1 1 1 1 1 1 1 1 1 1 1 1 1 1 1 1 1 1 1 1 1 1 1 1 1 1 1 1 1 1 1 1 1 1 1 1 1 1 1 1 1 1 1 1 1 1 1 1 1 1 1 1 1 1 1 1 1 1 1 1 1 1 1 1 1 1 1 1 1 1 1 1 1 1 1 1 1 1 1 1 1 1 1 1 1 1 1 1 1 1 1 1 1 1 1 1 1 1 1 1 1 1 1 1 1 1 1 1 1 1 1 1 1 1 1 1 1 1 1 1 1 1 1 1 1 1 1 1 1 1 1 1 1 1 1 1 1 1 1 1 1 1 1 1 1 1 1 1 1 1 1 1 1 1 1 1 1 1 1 1 1 1 1 1 1 1 1 1 1 1 1 1 1 1 1 1 1 1 1 1 1 1 1 1 1 1 1 1 1 1 1 1 1 1 1 1 1 1 1 1 1 1 1 1 1 1 1 1 1 1 1 1 1 1 1 1 1 1 1 1 1 1 1 1 1 1 1 1 1 1 1 1 1 1 1 1 1 1 1 1 1 1 1 1 1 1 1 1 1 1 1 1 1 1 1 1 1 1 1 1 1 1 1 1 1 1 1 1 1 1 1 1 1 1 1 1 1 1 1 1 1 1 1 1 1 1 1 1 1 1 1 1 1 1 1 1 1 1 1 1 1 1 1 1 1 1 1 1 1 1 1 1 1 1 1 1 1 1 1 1 1 1 1 1 1 1 1 1 1 1 1 1 1 1 1 1 1 1 1 1 1 1 1 1 1 1 1 1 1 1 1 1 1 1 1 1 1 1 1 1 1 1 1 1 1 1 1 1 1 1 1 1 1 1 1 1 1 1 1 1 1 1 1 1 1 1 1 1 1 1 1 1 1 1 1 1 1 1 1 1 1 1 1 1 1 1 1 1 1 1 1 1 1 1 1 1 1 1 1 1 1 1 1 1 1 1 1 1 1 1 1 1 1 1 1 1 1 1 1 1 1 1 1 1 1 1 1 1 1 1 1 1 1 1 1 1 1 1 1 1 1 1 1 1 1 1 1 1 1 1 1 1 1 1 1 1 1 1 1 1 1 1 1 1 1 1 1 1 1 1 1 1 1 1 1 1 1 1 1 1 1 1 1 1 1 1 1 1 1 1 1 1 1 1 1 1 1 1 1 1 1 1 1 1 1 1 1 1 1 1 1 1 1 1 1 1 1 1 1 1 1 1 1 1 1 1 1 1 1 1 1 1 1 1 1 1 1 1 1 1 1 1 1 1 1 1 1 1 1 1 1 1 1 1 1 1 1 1 1 1 1 1 1 1 1 1 1 1 1 1 1 1 1 1 1 1 1 1 1 1 1 1 1 1 1 1 1 1 1 1 1 1 1 1 1 1 1 1 1 1 1 1 1 1 1 1 1 1 1 1 1 1 1 1 1 1 1 1 1 1 1 1 1 1 1 1 1 1 1 1 1 1 1 1 1 1 1 1 1 1 1 1 1 1 1 1 1 1 1 1 1 1 1 1 1 1 1 1 1 1 1 1 1 1 1 1 1 1 1 1 1 1 1 1 1 1 1 1 1 1 1 1 1 1 1 1 1 1 1 1 1 1 1 1 1 1 1 1 1 1 1 1 1 1 1 1 1 1 1 1 1 1 1 1 1 1 1 1 1 1 1 1 1 1 1 1 1 1 1 1 1 1 1 1 1 1 1 1 1 1 1 1 1 1 1 1 1 1 1 1 1 1 1 1 1 1 1 1 1 1 1 1 1 1 1 1 1 1 1 1 1 1 1 1 1 1 1 1 1 1 1 1 1 1 1 1 1 1 1 1 1 1 1 1 1 1 1 1 1 1 1 1 1 1 1 1 1 1 1 1 1 1 1 1 1 1 1 1 1 1 1 1 1 1 1 1 1 1 1 1 1 1 1 1 1 1 1 1 1 1 1 1 1 1 1 1 1 1 1 1 1 1 1 1 1 1 1 1 1 1 1 1 1 1 1 1 1 1 1 1 1 1 1 1 1 1 1 1 1 1 1 1 1 1 1 1 1 1 1 1 1 1 1 1 1 1 1 1 1 1 1 1 1 1 1 1 1 1 1 1 1 1 1 1 1 1 1 1 1 1 1 1 1 1 1 1 1 1 1 1 1 1 1 1 1 1 1 1 1 1 1 1 1 1 1 1 1 1 1 1 1 1 1 1 1 1 1 1 1 1 1 1 1 1 1 1 1 1 1 1 1 1 1 1 1 1 1 1 1 1 1 1 1 1 1 1 1 1 1 1 1 1 1 1 1 1 1 1 1 1 1 1 1 1 1 1 1 1 1 1 1 1 1 1 1 1 1 1 1 1 1 1 1 1 1 1 1 1 1 1 1 1 1 1 1 1 1 1 1 1 1 1 1 1 1 1 1 1 1 1 1 1 1 1 1 1 1 1 1 1 1 1 1 1 1 1 1 1 1 1 1 1 1 1 1 1 1 1 1 1 1 1 1 1 1 1 1 1 1 1 1 1 1 1 1 1 1 1 1 1 1 1 1 1 1 1 1 1 1 1 1 1 1 1 1 1 1 1 1 1 1 1 1 1 1 1 1 1 1 1 1 1 1 1 1 1 1 1 1 1 1 1 1 1 1 1 1 1 1 1 1 1 1 1 1 1 1 1 1 1 1 1 1 1 1 1 1 1 1 1 1 1 1 1 1 1 1 1 1 1 1 1 1 1 1 1 1 1 1 1 1 1 1 1 1 1 1 1 1 1 1 1 1 1 1 1 1 1 1 1 1 1 1 1 1 1 1 1 1 1 1 1 1 1 1 1 1 1 1 1 1 1 1 1 1 1 1 1 1 1 1 1 1 1 1 1 1 1 1 1 1 1 1 1 1 1 1 1 1 1 1 1 1 1 1 1 1 1 1 1 1 1 1 1 1 1 1 1 1 1 1 1 1 1 1 1 1 1 1 1 1 1 1 1 1 1 1 1 1 1 1 1 1 1 1 1 1 1 1 1 1 1 1 1 1 1 1 1 1 1 1 1 1 1 1 1 1 1 1 1 1 1 1 1 1 1 1 1 1 1 1 1 1 1 1 1 1 1 1 1 1 1 1 1 1 1 1 1 1 1 1 1 1 1 1 1 1 1 1 1 1 1 1 1 1 1 1 1 1 1 1 1 1 1 1 1 1 1 1 1 1 1 1 1 1 1 1 1 1 1 1 1 1 1 1 1 1 1 1 1 1 1 1 1 1 1 1 1 1 1 1 1 1 1 1 1 1 1 1 1 1 1 1 1 1 1 1 1 1 1 1 1 1 1 1 1 1 1 1 1 1 1 1 1 1 1 1 1 1 1 1 1 1 1 1 1 1 1 1 1 1 1 1 1 1 1 1 1 1 1 1 1 1 1 1 1 1 1 1 1 1 1 1 1 1 1 1 1 1 1 1 1 1 1 1 1 1 1 1 1 1 1 1 1 1 1 1 1 1 1 1 1 1 1 1 1 1 1 1 1 1 1 1 1 1 1 1 1 1 1 1 1 1 1 1 1 1 1 1 1 1 1 1 1 1 1 1 1 1 1 1 1 1 1 1 1 1 1 1 1 1 1 1 1 1 1 1 1 1 1 1 1 1 1 1 1 1 1 1 1 1 1 1 1 1 1 1 1 1 1 1 1 1 1 1 1 1 1 1 1 1 1 1 1 1 1 1 1 1 1 1 1 1 1 1 1 1 1 1 1 1 1 1 1 1 1 1 1 1 1 1 1 1 1 1 1 1 1 1 1 1 1 1 1 1 1 1 1 1 1 1 1 1 1 1 1 1 1 1 1 1 1 1 1 1 1 1 1 1 1 1 1 1 1 1 1 1 1 1 1 1 1 1 1 1 1 1 1 1 1 1 1 1 1 1 1 1 1 1 1 1 1 1 1 1 1 1 1 1 1 1 1 1 1 1 1 1 1 1 1 1 1 1 1 1 1 1 1 1 1 1 1 1 1 1 1 1 1 1 1 1 1 1 1 1 1 1 1 1 1 1 1 1 1 1 1 1 1 1 1 1 1 1 1 1 1 1 1 1 1 1 1 1 1 1 1 1 1 1 1 1 1 1 1 1 1 1 1 1 1 1 1 1 1 1 1 1 1 1 1 1 1 1 1 1 1 1 1 1 1 1 1 1 1 1 1 1 1 1 1 1 1 1 1 1 1 1 1 1 1 1 1 1 1 1 1 1 1 1 1 1 1 1 1 1 1 1 1 1 1 1 1 1 1 1 1 1 1 1 1 1 1 1 1 1 1 1 1 1 1 1 1 1 1 1 1 1 1 1 1 1 1 1 1 1 1 1 1 1 1 1 1 1 1 1 1 1 1 1 1 1 1 1 1 1 1 1 1 1 1 1 1 1 1 1 1 1 1 1 1 1 1 1 1 1 1 1 1 1 1 1 1 1 1 1 1 1 1 1 1 1 1 1 1 1 1 1 1 1 1 1 1 1 1 1 1 1 1 1 1 1 1 1 1 1 1 1 1 1 1 1 1 1 1 1 1 1 1 1 1 1 1 1 1 1 1 1 1 1 1 1 1 1 1 1 1 1 1 1 1 1 1 1 1 1 1 1 1 1 1 1 1 1 1 1 1 1 1 1 1 1 1 1 1 1 1 1 1 1 1 1 1 1 1 1 1 1 1 1 1 1 1 1 1 1 1 1 1 1 1 1 1 1 1 1 1 1 1 1 1 1 1 1 1 1 1 1 1 1 1 1 1 1 1 1 1 1 1 1 1 1 1 1 1 1 1 1 1 1 1 1 1 1 1 1 1 1 1 1 1 1 1 ================================================ FILE: programming_assignments/beale_ciphers/testcase/large/test1.out ================================================ 2601 ================================================ FILE: programming_assignments/beale_ciphers/testcase/large/test3.in ================================================ 1 150 150 100 1 0 0 0 0 0 0 0 0 0 0 0 0 0 0 0 0 0 0 0 0 0 0 0 0 0 0 0 0 0 0 0 0 0 0 0 0 0 0 0 0 0 0 0 0 0 0 0 0 0 0 0 0 0 0 0 0 0 0 0 0 0 0 0 0 0 0 0 0 0 0 0 0 0 0 0 0 0 0 0 0 0 0 0 0 0 0 0 0 0 0 0 0 0 0 0 0 0 0 0 0 1 0 0 0 0 0 0 0 0 0 0 0 0 0 0 0 0 0 0 0 0 0 0 0 0 0 0 0 0 0 0 0 0 0 0 0 0 0 0 0 0 0 0 0 0 0 0 0 0 0 0 0 0 0 0 0 0 0 0 0 0 0 0 0 0 0 0 0 0 0 0 0 0 0 0 0 0 0 0 0 0 0 0 0 0 0 0 0 0 0 0 0 0 0 0 0 0 0 0 0 0 1 0 0 0 0 0 0 0 0 0 0 0 0 0 0 0 0 0 0 0 0 0 0 0 0 0 0 0 0 0 0 0 0 0 0 0 0 0 0 0 0 0 0 0 0 0 0 0 0 0 0 0 0 0 0 0 0 0 0 0 0 0 0 0 0 0 0 0 0 0 0 0 0 0 0 0 0 0 0 0 0 0 0 0 0 0 0 0 0 0 0 0 0 0 0 0 0 0 0 0 0 1 0 0 0 0 0 0 0 0 0 0 0 0 0 0 0 0 0 0 0 0 0 0 0 0 0 0 0 0 0 0 0 0 0 0 0 0 0 0 0 0 0 0 0 0 0 0 0 0 0 0 0 0 0 0 0 0 0 0 0 0 0 0 0 0 0 0 0 0 0 0 0 0 0 0 0 0 0 0 0 0 0 0 0 0 0 0 0 0 0 0 0 0 0 0 0 0 0 0 0 0 1 0 0 0 0 0 0 0 0 0 0 0 0 0 0 0 0 0 0 0 0 0 0 0 0 0 0 0 0 0 0 0 0 0 0 0 0 0 0 0 0 0 0 0 0 0 0 0 0 0 0 0 0 0 0 0 0 0 0 0 0 0 0 0 0 0 0 0 0 0 0 0 0 0 0 0 0 0 0 0 0 0 0 0 0 0 0 0 0 0 0 0 0 0 0 0 0 0 0 0 0 1 0 0 0 0 0 0 0 0 0 0 0 0 0 0 0 0 0 0 0 0 0 0 0 0 0 0 0 0 0 0 0 0 0 0 0 0 0 0 0 0 0 0 0 0 0 0 0 0 0 0 0 0 0 0 0 0 0 0 0 0 0 0 0 0 0 0 0 0 0 0 0 0 0 0 0 0 0 0 0 0 0 0 0 0 0 0 0 0 0 0 0 0 0 0 0 0 0 0 0 0 1 0 0 0 0 0 0 0 0 0 0 0 0 0 0 0 0 0 0 0 0 0 0 0 0 0 0 0 0 0 0 0 0 0 0 0 0 0 0 0 0 0 0 0 0 0 0 0 0 0 0 0 0 0 0 0 0 0 0 0 0 0 0 0 0 0 0 0 0 0 0 0 0 0 0 0 0 0 0 0 0 0 0 0 0 0 0 0 0 0 0 0 0 0 0 0 0 0 0 0 0 1 0 0 0 0 0 0 0 0 0 0 0 0 0 0 0 0 0 0 0 0 0 0 0 0 0 0 0 0 0 0 0 0 0 0 0 0 0 0 0 0 0 0 0 0 0 0 0 0 0 0 0 0 0 0 0 0 0 0 0 0 0 0 0 0 0 0 0 0 0 0 0 0 0 0 0 0 0 0 0 0 0 0 0 0 0 0 0 0 0 0 0 0 0 0 0 0 0 0 0 0 1 0 0 0 0 0 0 0 0 0 0 0 0 0 0 0 0 0 0 0 0 0 0 0 0 0 0 0 0 0 0 0 0 0 0 0 0 0 0 0 0 0 0 0 0 0 0 0 0 0 0 0 0 0 0 0 0 0 0 0 0 0 0 0 0 0 0 0 0 0 0 0 0 0 0 0 0 0 0 0 0 0 0 0 0 0 0 0 0 0 0 0 0 0 0 0 0 0 0 0 0 1 0 0 0 0 0 0 0 0 0 0 0 0 0 0 0 0 0 0 0 0 0 0 0 0 0 0 0 0 0 0 0 0 0 0 0 0 0 0 0 0 0 0 0 0 0 0 0 0 0 0 0 0 0 0 0 0 0 0 0 0 0 0 0 0 0 0 0 0 0 0 0 0 0 0 0 0 0 0 0 0 0 0 0 0 0 0 0 0 0 0 0 0 0 0 0 0 0 0 0 0 1 0 0 0 0 0 0 0 0 0 0 0 0 0 0 0 0 0 0 0 0 0 0 0 0 0 0 0 0 0 0 0 0 0 0 0 0 0 0 0 0 0 0 0 0 0 0 0 0 0 0 0 0 0 0 0 0 0 0 0 0 0 0 0 0 0 0 0 0 0 0 0 0 0 0 0 0 0 0 0 0 0 0 0 0 0 0 0 0 0 0 0 0 0 0 0 0 0 0 0 0 1 0 0 0 0 0 0 0 0 0 0 0 0 0 0 0 0 0 0 0 0 0 0 0 0 0 0 0 0 0 0 0 0 0 0 0 0 0 0 0 0 0 0 0 0 0 0 0 0 0 0 0 0 0 0 0 0 0 0 0 0 0 0 0 0 0 0 0 0 0 0 0 0 0 0 0 0 0 0 0 0 0 0 0 0 0 0 0 0 0 0 0 0 0 0 0 0 0 0 0 0 1 0 0 0 0 0 0 0 0 0 0 0 0 0 0 0 0 0 0 0 0 0 0 0 0 0 0 0 0 0 0 0 0 0 0 0 0 0 0 0 0 0 0 0 0 0 0 0 0 0 0 0 0 0 0 0 0 0 0 0 0 0 0 0 0 0 0 0 0 0 0 0 0 0 0 0 0 0 0 0 0 0 0 0 0 0 0 0 0 0 0 0 0 0 0 0 0 0 0 0 0 1 0 0 0 0 0 0 0 0 0 0 0 0 0 0 0 0 0 0 0 0 0 0 0 0 0 0 0 0 0 0 0 0 0 0 0 0 0 0 0 0 0 0 0 0 0 0 0 0 0 0 0 0 0 0 0 0 0 0 0 0 0 0 0 0 0 0 0 0 0 0 0 0 0 0 0 0 0 0 0 0 0 0 0 0 0 0 0 0 0 0 0 0 0 0 0 0 0 0 0 0 1 0 0 0 0 0 0 0 0 0 0 0 0 0 0 0 0 0 0 0 0 0 0 0 0 0 0 0 0 0 0 0 0 0 0 0 0 0 0 0 0 0 0 0 0 0 0 0 0 0 0 0 0 0 0 0 0 0 0 0 0 0 0 0 0 0 0 0 0 0 0 0 0 0 0 0 0 0 0 0 0 0 0 0 0 0 0 0 0 0 0 0 0 0 0 0 0 0 0 0 0 1 0 0 0 0 0 0 0 0 0 0 0 0 0 0 0 0 0 0 0 0 0 0 0 0 0 0 0 0 0 0 0 0 0 0 0 0 0 0 0 0 0 0 0 0 0 0 0 0 0 0 0 0 0 0 0 0 0 0 0 0 0 0 0 0 0 0 0 0 0 0 0 0 0 0 0 0 0 0 0 0 0 0 0 0 0 0 0 0 0 0 0 0 0 0 0 0 0 0 0 0 1 0 0 0 0 0 0 0 0 0 0 0 0 0 0 0 0 0 0 0 0 0 0 0 0 0 0 0 0 0 0 0 0 0 0 0 0 0 0 0 0 0 0 0 0 0 0 0 0 0 0 0 0 0 0 0 0 0 0 0 0 0 0 0 0 0 0 0 0 0 0 0 0 0 0 0 0 0 0 0 0 0 0 0 0 0 0 0 0 0 0 0 0 0 0 0 0 0 0 0 0 1 0 0 0 0 0 0 0 0 0 0 0 0 0 0 0 0 0 0 0 0 0 0 0 0 0 0 0 0 0 0 0 0 0 0 0 0 0 0 0 0 0 0 0 0 0 0 0 0 0 0 0 0 0 0 0 0 0 0 0 0 0 0 0 0 0 0 0 0 0 0 0 0 0 0 0 0 0 0 0 0 0 0 0 0 0 0 0 0 0 0 0 0 0 0 0 0 0 0 0 0 1 0 0 0 0 0 0 0 0 0 0 0 0 0 0 0 0 0 0 0 0 0 0 0 0 0 0 0 0 0 0 0 0 0 0 0 0 0 0 0 0 0 0 0 0 0 0 0 0 0 0 0 0 0 0 0 0 0 0 0 0 0 0 0 0 0 0 0 0 0 0 0 0 0 0 0 0 0 0 0 0 0 0 0 0 0 0 0 0 0 0 0 0 0 0 0 0 0 0 0 0 1 0 0 0 0 0 0 0 0 0 0 0 0 0 0 0 0 0 0 0 0 0 0 0 0 0 0 0 0 0 0 0 0 0 0 0 0 0 0 0 0 0 0 0 0 0 0 0 0 0 0 0 0 0 0 0 0 0 0 0 0 0 0 0 0 0 0 0 0 0 0 0 0 0 0 0 0 0 0 0 0 0 0 0 0 0 0 0 0 0 0 0 0 0 0 0 0 0 0 0 0 1 0 0 0 0 0 0 0 0 0 0 0 0 0 0 0 0 0 0 0 0 0 0 0 0 0 0 0 0 0 0 0 0 0 0 0 0 0 0 0 0 0 0 0 0 0 0 0 0 0 0 0 0 0 0 0 0 0 0 0 0 0 0 0 0 0 0 0 0 0 0 0 0 0 0 0 0 0 0 0 0 0 0 0 0 0 0 0 0 0 0 0 0 0 0 0 0 0 0 0 0 1 0 0 0 0 0 0 0 0 0 0 0 0 0 0 0 0 0 0 0 0 0 0 0 0 0 0 0 0 0 0 0 0 0 0 0 0 0 0 0 0 0 0 0 0 0 0 0 0 0 0 0 0 0 0 0 0 0 0 0 0 0 0 0 0 0 0 0 0 0 0 0 0 0 0 0 0 0 0 0 0 0 0 0 0 0 0 0 0 0 0 0 0 0 0 0 0 0 0 0 0 1 0 0 0 0 0 0 0 0 0 0 0 0 0 0 0 0 0 0 0 0 0 0 0 0 0 0 0 0 0 0 0 0 0 0 0 0 0 0 0 0 0 0 0 0 0 0 0 0 0 0 0 0 0 0 0 0 0 0 0 0 0 0 0 0 0 0 0 0 0 0 0 0 0 0 0 0 0 0 0 0 0 0 0 0 0 0 0 0 0 0 0 0 0 0 0 0 0 0 0 0 1 0 0 0 0 0 0 0 0 0 0 0 0 0 0 0 0 0 0 0 0 0 0 0 0 0 0 0 0 0 0 0 0 0 0 0 0 0 0 0 0 0 0 0 0 0 0 0 0 0 0 0 0 0 0 0 0 0 0 0 0 0 0 0 0 0 0 0 0 0 0 0 0 0 0 0 0 0 0 0 0 0 0 0 0 0 0 0 0 0 0 0 0 0 0 0 0 0 0 0 0 1 0 0 0 0 0 0 0 0 0 0 0 0 0 0 0 0 0 0 0 0 0 0 0 0 0 0 0 0 0 0 0 0 0 0 0 0 0 0 0 0 0 0 0 0 0 0 0 0 0 0 0 0 0 0 0 0 0 0 0 0 0 0 0 0 0 0 0 0 0 0 0 0 0 0 0 0 0 0 0 0 0 0 0 0 0 0 0 0 0 0 0 0 0 0 0 0 0 0 0 0 1 0 0 0 0 0 0 0 0 0 0 0 0 0 0 0 0 0 0 0 0 0 0 0 0 0 0 0 0 0 0 0 0 0 0 0 0 0 0 0 0 0 0 0 0 0 0 0 0 0 0 0 0 0 0 0 0 0 0 0 0 0 0 0 0 0 0 0 0 0 0 0 0 0 0 0 0 0 0 0 0 0 0 0 0 0 0 0 0 0 0 0 0 0 0 0 0 0 0 0 0 1 0 0 0 0 0 0 0 0 0 0 0 0 0 0 0 0 0 0 0 0 0 0 0 0 0 0 0 0 0 0 0 0 0 0 0 0 0 0 0 0 0 0 0 0 0 0 0 0 0 0 0 0 0 0 0 0 0 0 0 0 0 0 0 0 0 0 0 0 0 0 0 0 0 0 0 0 0 0 0 0 0 0 0 0 0 0 0 0 0 0 0 0 0 0 0 0 0 0 0 0 1 0 0 0 0 0 0 0 0 0 0 0 0 0 0 0 0 0 0 0 0 0 0 0 0 0 0 0 0 0 0 0 0 0 0 0 0 0 0 0 0 0 0 0 0 0 0 0 0 0 0 0 0 0 0 0 0 0 0 0 0 0 0 0 0 0 0 0 0 0 0 0 0 0 0 0 0 0 0 0 0 0 0 0 0 0 0 0 0 0 0 0 0 0 0 0 0 0 0 0 0 1 0 0 0 0 0 0 0 0 0 0 0 0 0 0 0 0 0 0 0 0 0 0 0 0 0 0 0 0 0 0 0 0 0 0 0 0 0 0 0 0 0 0 0 0 0 0 0 0 0 0 0 0 0 0 0 0 0 0 0 0 0 0 0 0 0 0 0 0 0 0 0 0 0 0 0 0 0 0 0 0 0 0 0 0 0 0 0 0 0 0 0 0 0 0 0 0 0 0 0 0 1 0 0 0 0 0 0 0 0 0 0 0 0 0 0 0 0 0 0 0 0 0 0 0 0 0 0 0 0 0 0 0 0 0 0 0 0 0 0 0 0 0 0 0 0 0 0 0 0 0 0 0 0 0 0 0 0 0 0 0 0 0 0 0 0 0 0 0 0 0 0 0 0 0 0 0 0 0 0 0 0 0 0 0 0 0 0 0 0 0 0 0 0 0 0 0 0 0 0 0 0 1 0 0 0 0 0 0 0 0 0 0 0 0 0 0 0 0 0 0 0 0 0 0 0 0 0 0 0 0 0 0 0 0 0 0 0 0 0 0 0 0 0 0 0 0 0 0 0 0 0 0 0 0 0 0 0 0 0 0 0 0 0 0 0 0 0 0 0 0 0 0 0 0 0 0 0 0 0 0 0 0 0 0 0 0 0 0 0 0 0 0 0 0 0 0 0 0 0 0 0 0 1 0 0 0 0 0 0 0 0 0 0 0 0 0 0 0 0 0 0 0 0 0 0 0 0 0 0 0 0 0 0 0 0 0 0 0 0 0 0 0 0 0 0 0 0 0 0 0 0 0 0 0 0 0 0 0 0 0 0 0 0 0 0 0 0 0 0 0 0 0 0 0 0 0 0 0 0 0 0 0 0 0 0 0 0 0 0 0 0 0 0 0 0 0 0 0 0 0 0 0 0 1 0 0 0 0 0 0 0 0 0 0 0 0 0 0 0 0 0 0 0 0 0 0 0 0 0 0 0 0 0 0 0 0 0 0 0 0 0 0 0 0 0 0 0 0 0 0 0 0 0 0 0 0 0 0 0 0 0 0 0 0 0 0 0 0 0 0 0 0 0 0 0 0 0 0 0 0 0 0 0 0 0 0 0 0 0 0 0 0 0 0 0 0 0 0 0 0 0 0 0 0 1 0 0 0 0 0 0 0 0 0 0 0 0 0 0 0 0 0 0 0 0 0 0 0 0 0 0 0 0 0 0 0 0 0 0 0 0 0 0 0 0 0 0 0 0 0 0 0 0 0 0 0 0 0 0 0 0 0 0 0 0 0 0 0 0 0 0 0 0 0 0 0 0 0 0 0 0 0 0 0 0 0 0 0 0 0 0 0 0 0 0 0 0 0 0 0 0 0 0 0 0 1 0 0 0 0 0 0 0 0 0 0 0 0 0 0 0 0 0 0 0 0 0 0 0 0 0 0 0 0 0 0 0 0 0 0 0 0 0 0 0 0 0 0 0 0 0 0 0 0 0 0 0 0 0 0 0 0 0 0 0 0 0 0 0 0 0 0 0 0 0 0 0 0 0 0 0 0 0 0 0 0 0 0 0 0 0 0 0 0 0 0 0 0 0 0 0 0 0 0 0 0 1 0 0 0 0 0 0 0 0 0 0 0 0 0 0 0 0 0 0 0 0 0 0 0 0 0 0 0 0 0 0 0 0 0 0 0 0 0 0 0 0 0 0 0 0 0 0 0 0 0 0 0 0 0 0 0 0 0 0 0 0 0 0 0 0 0 0 0 0 0 0 0 0 0 0 0 0 0 0 0 0 0 0 0 0 0 0 0 0 0 0 0 0 0 0 0 0 0 0 0 0 1 0 0 0 0 0 0 0 0 0 0 0 0 0 0 0 0 0 0 0 0 0 0 0 0 0 0 0 0 0 0 0 0 0 0 0 0 0 0 0 0 0 0 0 0 0 0 0 0 0 0 0 0 0 0 0 0 0 0 0 0 0 0 0 0 0 0 0 0 0 0 0 0 0 0 0 0 0 0 0 0 0 0 0 0 0 0 0 0 0 0 0 0 0 0 0 0 0 0 0 0 1 0 0 0 0 0 0 0 0 0 0 0 0 0 0 0 0 0 0 0 0 0 0 0 0 0 0 0 0 0 0 0 0 0 0 0 0 0 0 0 0 0 0 0 0 0 0 0 0 0 0 0 0 0 0 0 0 0 0 0 0 0 0 0 0 0 0 0 0 0 0 0 0 0 0 0 0 0 0 0 0 0 0 0 0 0 0 0 0 0 0 0 0 0 0 0 0 0 0 0 0 1 0 0 0 0 0 0 0 0 0 0 0 0 0 0 0 0 0 0 0 0 0 0 0 0 0 0 0 0 0 0 0 0 0 0 0 0 0 0 0 0 0 0 0 0 0 0 0 0 0 0 0 0 0 0 0 0 0 0 0 0 0 0 0 0 0 0 0 0 0 0 0 0 0 0 0 0 0 0 0 0 0 0 0 0 0 0 0 0 0 0 0 0 0 0 0 0 0 0 0 0 1 0 0 0 0 0 0 0 0 0 0 0 0 0 0 0 0 0 0 0 0 0 0 0 0 0 0 0 0 0 0 0 0 0 0 0 0 0 0 0 0 0 0 0 0 0 0 0 0 0 0 0 0 0 0 0 0 0 0 0 0 0 0 0 0 0 0 0 0 0 0 0 0 0 0 0 0 0 0 0 0 0 0 0 0 0 0 0 0 0 0 0 0 0 0 0 0 0 0 0 0 1 0 0 0 0 0 0 0 0 0 0 0 0 0 0 0 0 0 0 0 0 0 0 0 0 0 0 0 0 0 0 0 0 0 0 0 0 0 0 0 0 0 0 0 0 0 0 0 0 0 0 0 0 0 0 0 0 0 0 0 0 0 0 0 0 0 0 0 0 0 0 0 0 0 0 0 0 0 0 0 0 0 0 0 0 0 0 0 0 0 0 0 0 0 0 0 0 0 0 0 0 1 0 0 0 0 0 0 0 0 0 0 0 0 0 0 0 0 0 0 0 0 0 0 0 0 0 0 0 0 0 0 0 0 0 0 0 0 0 0 0 0 0 0 0 0 0 0 0 0 0 0 0 0 0 0 0 0 0 0 0 0 0 0 0 0 0 0 0 0 0 0 0 0 0 0 0 0 0 0 0 0 0 0 0 0 0 0 0 0 0 0 0 0 0 0 0 0 0 0 0 0 1 0 0 0 0 0 0 0 0 0 0 0 0 0 0 0 0 0 0 0 0 0 0 0 0 0 0 0 0 0 0 0 0 0 0 0 0 0 0 0 0 0 0 0 0 0 0 0 0 0 0 0 0 0 0 0 0 0 0 0 0 0 0 0 0 0 0 0 0 0 0 0 0 0 0 0 0 0 0 0 0 0 0 0 0 0 0 0 0 0 0 0 0 0 0 0 0 0 0 0 0 1 0 0 0 0 0 0 0 0 0 0 0 0 0 0 0 0 0 0 0 0 0 0 0 0 0 0 0 0 0 0 0 0 0 0 0 0 0 0 0 0 0 0 0 0 0 0 0 0 0 0 0 0 0 0 0 0 0 0 0 0 0 0 0 0 0 0 0 0 0 0 0 0 0 0 0 0 0 0 0 0 0 0 0 0 0 0 0 0 0 0 0 0 0 0 0 0 0 0 0 0 1 0 0 0 0 0 0 0 0 0 0 0 0 0 0 0 0 0 0 0 0 0 0 0 0 0 0 0 0 0 0 0 0 0 0 0 0 0 0 0 0 0 0 0 0 0 0 0 0 0 0 0 0 0 0 0 0 0 0 0 0 0 0 0 0 0 0 0 0 0 0 0 0 0 0 0 0 0 0 0 0 0 0 0 0 0 0 0 0 0 0 0 0 0 0 0 0 0 0 0 0 1 0 0 0 0 0 0 0 0 0 0 0 0 0 0 0 0 0 0 0 0 0 0 0 0 0 0 0 0 0 0 0 0 0 0 0 0 0 0 0 0 0 0 0 0 0 0 0 0 0 0 0 0 0 0 0 0 0 0 0 0 0 0 0 0 0 0 0 0 0 0 0 0 0 0 0 0 0 0 0 0 0 0 0 0 0 0 0 0 0 0 0 0 0 0 0 0 0 0 0 0 1 0 0 0 0 0 0 0 0 0 0 0 0 0 0 0 0 0 0 0 0 0 0 0 0 0 0 0 0 0 0 0 0 0 0 0 0 0 0 0 0 0 0 0 0 0 0 0 0 0 0 0 0 0 0 0 0 0 0 0 0 0 0 0 0 0 0 0 0 0 0 0 0 0 0 0 0 0 0 0 0 0 0 0 0 0 0 0 0 0 0 0 0 0 0 0 0 0 0 0 0 1 0 0 0 0 0 0 0 0 0 0 0 0 0 0 0 0 0 0 0 0 0 0 0 0 0 0 0 0 0 0 0 0 0 0 0 0 0 0 0 0 0 0 0 0 0 0 0 0 0 0 0 0 0 0 0 0 0 0 0 0 0 0 0 0 0 0 0 0 0 0 0 0 0 0 0 0 0 0 0 0 0 0 0 0 0 0 0 0 0 0 0 0 0 0 0 0 0 0 0 0 1 0 0 0 0 0 0 0 0 0 0 0 0 0 0 0 0 0 0 0 0 0 0 0 0 0 0 0 0 0 0 0 0 0 0 0 0 0 0 0 0 0 0 0 0 0 0 0 0 0 0 0 0 0 0 0 0 0 0 0 0 0 0 0 0 0 0 0 0 0 0 0 0 0 0 0 0 0 0 0 0 0 0 0 0 0 0 0 0 0 0 0 0 0 0 0 0 0 0 0 0 1 0 0 0 0 0 0 0 0 0 0 0 0 0 0 0 0 0 0 0 0 0 0 0 0 0 0 0 0 0 0 0 0 0 0 0 0 0 0 0 0 0 0 0 0 0 0 0 0 0 0 0 0 0 0 0 0 0 0 0 0 0 0 0 0 0 0 0 0 0 0 0 0 0 0 0 0 0 0 0 0 0 0 0 0 0 0 0 0 0 0 0 0 0 0 0 0 0 0 0 0 1 0 0 0 0 0 0 0 0 0 0 0 0 0 0 0 0 0 0 0 0 0 0 0 0 0 0 0 0 0 0 0 0 0 0 0 0 0 0 0 0 0 0 0 0 0 0 0 0 0 0 0 0 0 0 0 0 0 0 0 0 0 0 0 0 0 0 0 0 0 0 0 0 0 0 0 0 0 0 0 0 0 0 0 0 0 0 0 0 0 0 0 0 0 0 0 0 0 0 0 0 1 0 0 0 0 0 0 0 0 0 0 0 0 0 0 0 0 0 0 0 0 0 0 0 0 0 0 0 0 0 0 0 0 0 0 0 0 0 0 0 0 0 0 0 0 0 0 0 0 0 0 0 0 0 0 0 0 0 0 0 0 0 0 0 0 0 0 0 0 0 0 0 0 0 0 0 0 0 0 0 0 0 0 0 0 0 0 0 0 0 0 0 0 0 0 0 0 0 0 0 0 1 0 0 0 0 0 0 0 0 0 0 0 0 0 0 0 0 0 0 0 0 0 0 0 0 0 0 0 0 0 0 0 0 0 0 0 0 0 0 0 0 0 0 0 0 0 0 0 0 0 0 0 0 0 0 0 0 0 0 0 0 0 0 0 0 0 0 0 0 0 0 0 0 0 0 0 0 0 0 0 0 0 0 0 0 0 0 0 0 0 0 0 0 0 0 0 0 0 0 0 0 1 0 0 0 0 0 0 0 0 0 0 0 0 0 0 0 0 0 0 0 0 0 0 0 0 0 0 0 0 0 0 0 0 0 0 0 0 0 0 0 0 0 0 0 0 0 0 0 0 0 0 0 0 0 0 0 0 0 0 0 0 0 0 0 0 0 0 0 0 0 0 0 0 0 0 0 0 0 0 0 0 0 0 0 0 0 0 0 0 0 0 0 0 0 0 0 0 0 0 0 0 1 0 0 0 0 0 0 0 0 0 0 0 0 0 0 0 0 0 0 0 0 0 0 0 0 0 0 0 0 0 0 0 0 0 0 0 0 0 0 0 0 0 0 0 0 0 0 0 0 0 0 0 0 0 0 0 0 0 0 0 0 0 0 0 0 0 0 0 0 0 0 0 0 0 0 0 0 0 0 0 0 0 0 0 0 0 0 0 0 0 0 0 0 0 0 0 0 0 0 0 0 1 0 0 0 0 0 0 0 0 0 0 0 0 0 0 0 0 0 0 0 0 0 0 0 0 0 0 0 0 0 0 0 0 0 0 0 0 0 0 0 0 0 0 0 0 0 0 0 0 0 0 0 0 0 0 0 0 0 0 0 0 0 0 0 0 0 0 0 0 0 0 0 0 0 0 0 0 0 0 0 0 0 0 0 0 0 0 0 0 0 0 0 0 0 0 0 0 0 0 0 0 1 0 0 0 0 0 0 0 0 0 0 0 0 0 0 0 0 0 0 0 0 0 0 0 0 0 0 0 0 0 0 0 0 0 0 0 0 0 0 0 0 0 0 0 0 0 0 0 0 0 0 0 0 0 0 0 0 0 0 0 0 0 0 0 0 0 0 0 0 0 0 0 0 0 0 0 0 0 0 0 0 0 0 0 0 0 0 0 0 0 0 0 0 0 0 0 0 0 0 0 0 1 0 0 0 0 0 0 0 0 0 0 0 0 0 0 0 0 0 0 0 0 0 0 0 0 0 0 0 0 0 0 0 0 0 0 0 0 0 0 0 0 0 0 0 0 0 0 0 0 0 0 0 0 0 0 0 0 0 0 0 0 0 0 0 0 0 0 0 0 0 0 0 0 0 0 0 0 0 0 0 0 0 0 0 0 0 0 0 0 0 0 0 0 0 0 0 0 0 0 0 0 1 0 0 0 0 0 0 0 0 0 0 0 0 0 0 0 0 0 0 0 0 0 0 0 0 0 0 0 0 0 0 0 0 0 0 0 0 0 0 0 0 0 0 0 0 0 0 0 0 0 0 0 0 0 0 0 0 0 0 0 0 0 0 0 0 0 0 0 0 0 0 0 0 0 0 0 0 0 0 0 0 0 0 0 0 0 0 0 0 0 0 0 0 0 0 0 0 0 0 0 0 1 0 0 0 0 0 0 0 0 0 0 0 0 0 0 0 0 0 0 0 0 0 0 0 0 0 0 0 0 0 0 0 0 0 0 0 0 0 0 0 0 0 0 0 0 0 0 0 0 0 0 0 0 0 0 0 0 0 0 0 0 0 0 0 0 0 0 0 0 0 0 0 0 0 0 0 0 0 0 0 0 0 0 0 0 0 0 0 0 0 0 0 0 0 0 0 0 0 0 0 0 1 0 0 0 0 0 0 0 0 0 0 0 0 0 0 0 0 0 0 0 0 0 0 0 0 0 0 0 0 0 0 0 0 0 0 0 0 0 0 0 0 0 0 0 0 0 0 0 0 0 0 0 0 0 0 0 0 0 0 0 0 0 0 0 0 0 0 0 0 0 0 0 0 0 0 0 0 0 0 0 0 0 0 0 0 0 0 0 0 0 0 0 0 0 0 0 0 0 0 0 0 1 0 0 0 0 0 0 0 0 0 0 0 0 0 0 0 0 0 0 0 0 0 0 0 0 0 0 0 0 0 0 0 0 0 0 0 0 0 0 0 0 0 0 0 0 0 0 0 0 0 0 0 0 0 0 0 0 0 0 0 0 0 0 0 0 0 0 0 0 0 0 0 0 0 0 0 0 0 0 0 0 0 0 0 0 0 0 0 0 0 0 0 0 0 0 0 0 0 0 0 0 1 0 0 0 0 0 0 0 0 0 0 0 0 0 0 0 0 0 0 0 0 0 0 0 0 0 0 0 0 0 0 0 0 0 0 0 0 0 0 0 0 0 0 0 0 0 0 0 0 0 0 0 0 0 0 0 0 0 0 0 0 0 0 0 0 0 0 0 0 0 0 0 0 0 0 0 0 0 0 0 0 0 0 0 0 0 0 0 0 0 0 0 0 0 0 0 0 0 0 0 0 1 0 0 0 0 0 0 0 0 0 0 0 0 0 0 0 0 0 0 0 0 0 0 0 0 0 0 0 0 0 0 0 0 0 0 0 0 0 0 0 0 0 0 0 0 0 0 0 0 0 0 0 0 0 0 0 0 0 0 0 0 0 0 0 0 0 0 0 0 0 0 0 0 0 0 0 0 0 0 0 0 0 0 0 0 0 0 0 0 0 0 0 0 0 0 0 0 0 0 0 0 1 0 0 0 0 0 0 0 0 0 0 0 0 0 0 0 0 0 0 0 0 0 0 0 0 0 0 0 0 0 0 0 0 0 0 0 0 0 0 0 0 0 0 0 0 0 0 0 0 0 0 0 0 0 0 0 0 0 0 0 0 0 0 0 0 0 0 0 0 0 0 0 0 0 0 0 0 0 0 0 0 0 0 0 0 0 0 0 0 0 0 0 0 0 0 0 0 0 0 0 0 1 0 0 0 0 0 0 0 0 0 0 0 0 0 0 0 0 0 0 0 0 0 0 0 0 0 0 0 0 0 0 0 0 0 0 0 0 0 0 0 0 0 0 0 0 0 0 0 0 0 0 0 0 0 0 0 0 0 0 0 0 0 0 0 0 0 0 0 0 0 0 0 0 0 0 0 0 0 0 0 0 0 0 0 0 0 0 0 0 0 0 0 0 0 0 0 0 0 0 0 0 1 0 0 0 0 0 0 0 0 0 0 0 0 0 0 0 0 0 0 0 0 0 0 0 0 0 0 0 0 0 0 0 0 0 0 0 0 0 0 0 0 0 0 0 0 0 0 0 0 0 0 0 0 0 0 0 0 0 0 0 0 0 0 0 0 0 0 0 0 0 0 0 0 0 0 0 0 0 0 0 0 0 0 0 0 0 0 0 0 0 0 0 0 0 0 0 0 0 0 0 0 1 0 0 0 0 0 0 0 0 0 0 0 0 0 0 0 0 0 0 0 0 0 0 0 0 0 0 0 0 0 0 0 0 0 0 0 0 0 0 0 0 0 0 0 0 0 0 0 0 0 0 0 0 0 0 0 0 0 0 0 0 0 0 0 0 0 0 0 0 0 0 0 0 0 0 0 0 0 0 0 0 0 0 0 0 0 0 0 0 0 0 0 0 0 0 0 0 0 0 0 0 1 0 0 0 0 0 0 0 0 0 0 0 0 0 0 0 0 0 0 0 0 0 0 0 0 0 0 0 0 0 0 0 0 0 0 0 0 0 0 0 0 0 0 0 0 0 0 0 0 0 0 0 0 0 0 0 0 0 0 0 0 0 0 0 0 0 0 0 0 0 0 0 0 0 0 0 0 0 0 0 0 0 0 0 0 0 0 0 0 0 0 0 0 0 0 0 0 0 0 0 0 1 0 0 0 0 0 0 0 0 0 0 0 0 0 0 0 0 0 0 0 0 0 0 0 0 0 0 0 0 0 0 0 0 0 0 0 0 0 0 0 0 0 0 0 0 0 0 0 0 0 0 0 0 0 0 0 0 0 0 0 0 0 0 0 0 0 0 0 0 0 0 0 0 0 0 0 0 0 0 0 0 0 0 0 0 0 0 0 0 0 0 0 0 0 0 0 0 0 0 0 0 1 0 0 0 0 0 0 0 0 0 0 0 0 0 0 0 0 0 0 0 0 0 0 0 0 0 0 0 0 0 0 0 0 0 0 0 0 0 0 0 0 0 0 0 0 0 0 0 0 0 0 0 0 0 0 0 0 0 0 0 0 0 0 0 0 0 0 0 0 0 0 0 0 0 0 0 0 0 0 0 0 0 0 0 0 0 0 0 0 0 0 0 0 0 0 0 0 0 0 0 0 1 0 0 0 0 0 0 0 0 0 0 0 0 0 0 0 0 0 0 0 0 0 0 0 0 0 0 0 0 0 0 0 0 0 0 0 0 0 0 0 0 0 0 0 0 0 0 0 0 0 0 0 0 0 0 0 0 0 0 0 0 0 0 0 0 0 0 0 0 0 0 0 0 0 0 0 0 0 0 0 0 0 0 0 0 0 0 0 0 0 0 0 0 0 0 0 0 0 0 0 0 1 0 0 0 0 0 0 0 0 0 0 0 0 0 0 0 0 0 0 0 0 0 0 0 0 0 0 0 0 0 0 0 0 0 0 0 0 0 0 0 0 0 0 0 0 0 0 0 0 0 0 0 0 0 0 0 0 0 0 0 0 0 0 0 0 0 0 0 0 0 0 0 0 0 0 0 0 0 0 0 0 0 0 0 0 0 0 0 0 0 0 0 0 0 0 0 0 0 0 0 0 1 0 0 0 0 0 0 0 0 0 0 0 0 0 0 0 0 0 0 0 0 0 0 0 0 0 0 0 0 0 0 0 0 0 0 0 0 0 0 0 0 0 0 0 0 0 0 0 0 0 0 0 0 0 0 0 0 0 0 0 0 0 0 0 0 0 0 0 0 0 0 0 0 0 0 0 0 0 0 0 0 0 0 0 0 0 0 0 0 0 0 0 0 0 0 0 0 0 0 0 0 1 0 0 0 0 0 0 0 0 0 0 0 0 0 0 0 0 0 0 0 0 0 0 0 0 0 0 0 0 0 0 0 0 0 0 0 0 0 0 0 0 0 0 0 0 0 0 0 0 0 0 0 0 0 0 0 0 0 0 0 0 0 0 0 0 0 0 0 0 0 0 0 0 0 0 0 0 0 0 0 0 0 0 0 0 0 0 0 0 0 0 0 0 0 0 0 0 0 0 0 0 1 0 0 0 0 0 0 0 0 0 0 0 0 0 0 0 0 0 0 0 0 0 0 0 0 0 0 0 0 0 0 0 0 0 0 0 0 0 0 0 0 0 0 0 0 0 0 0 0 0 0 0 0 0 0 0 0 0 0 0 0 0 0 0 0 0 0 0 0 0 0 0 0 0 0 0 0 0 0 0 0 0 0 0 0 0 0 0 0 0 0 0 0 0 0 0 0 0 0 0 0 1 0 0 0 0 0 0 0 0 0 0 0 0 0 0 0 0 0 0 0 0 0 0 0 0 0 0 0 0 0 0 0 0 0 0 0 0 0 0 0 0 0 0 0 0 0 0 0 0 0 0 0 0 0 0 0 0 0 0 0 0 0 0 0 0 0 0 0 0 0 0 0 0 0 0 0 0 0 0 0 0 0 0 0 0 0 0 0 0 0 0 0 0 0 0 0 0 0 0 0 0 1 0 0 0 0 0 0 0 0 0 0 0 0 0 0 0 0 0 0 0 0 0 0 0 0 0 0 0 0 0 0 0 0 0 0 0 0 0 0 0 0 0 0 0 0 0 0 0 0 0 0 0 0 0 0 0 0 0 0 0 0 0 0 0 0 0 0 0 0 0 0 0 0 0 0 0 0 0 0 0 0 0 0 0 0 0 0 0 0 0 0 0 0 0 0 0 0 0 0 0 0 1 0 0 0 0 0 0 0 0 0 0 0 0 0 0 0 0 0 0 0 0 0 0 0 0 0 0 0 0 0 0 0 0 0 0 0 0 0 0 0 0 0 0 0 0 0 0 0 0 0 0 0 0 0 0 0 0 0 0 0 0 0 0 0 0 0 0 0 0 0 0 0 0 0 0 0 0 0 0 0 0 0 0 0 0 0 0 0 0 0 0 0 0 0 0 0 0 0 0 0 0 1 0 0 0 0 0 0 0 0 0 0 0 0 0 0 0 0 0 0 0 0 0 0 0 0 0 0 0 0 0 0 0 0 0 0 0 0 0 0 0 0 0 0 0 0 0 0 0 0 0 0 0 0 0 0 0 0 0 0 0 0 0 0 0 0 0 0 0 0 0 0 0 0 0 0 0 0 0 0 0 0 0 0 0 0 0 0 0 0 0 0 0 0 0 0 0 0 0 0 0 0 1 0 0 0 0 0 0 0 0 0 0 0 0 0 0 0 0 0 0 0 0 0 0 0 0 0 0 0 0 0 0 0 0 0 0 0 0 0 0 0 0 0 0 0 0 0 0 0 0 0 0 0 0 0 0 0 0 0 0 0 0 0 0 0 0 0 0 0 0 0 0 0 0 0 0 0 0 0 0 0 0 0 0 0 0 0 0 0 0 0 0 0 0 0 0 0 0 0 0 0 0 1 0 0 0 0 0 0 0 0 0 0 0 0 0 0 0 0 0 0 0 0 0 0 0 0 0 0 0 0 0 0 0 0 0 0 0 0 0 0 0 0 0 0 0 0 0 0 0 0 0 0 0 0 0 0 0 0 0 0 0 0 0 0 0 0 0 0 0 0 0 0 0 0 0 0 0 0 0 0 0 0 0 0 0 0 0 0 0 0 0 0 0 0 0 0 0 0 0 0 0 0 1 0 0 0 0 0 0 0 0 0 0 0 0 0 0 0 0 0 0 0 0 0 0 0 0 0 0 0 0 0 0 0 0 0 0 0 0 0 0 0 0 0 0 0 0 0 0 0 0 0 0 0 0 0 0 0 0 0 0 0 0 0 0 0 0 0 0 0 0 0 0 0 0 0 0 0 0 0 0 0 0 0 0 0 0 0 0 0 0 0 0 0 0 0 0 0 0 0 0 0 0 1 0 0 0 0 0 0 0 0 0 0 0 0 0 0 0 0 0 0 0 0 0 0 0 0 0 0 0 0 0 0 0 0 0 0 0 0 0 0 0 0 0 0 0 0 0 0 0 0 0 0 0 0 0 0 0 0 0 0 0 0 0 0 0 0 0 0 0 0 0 0 0 0 0 0 0 0 0 0 0 0 0 0 0 0 0 0 0 0 0 0 0 0 0 0 0 0 0 0 0 0 1 0 0 0 0 0 0 0 0 0 0 0 0 0 0 0 0 0 0 0 0 0 0 0 0 0 0 0 0 0 0 0 0 0 0 0 0 0 0 0 0 0 0 0 0 0 0 0 0 0 0 0 0 0 0 0 0 0 0 0 0 0 0 0 0 0 0 0 0 0 0 0 0 0 0 0 0 0 0 0 0 0 0 0 0 0 0 0 0 0 0 0 0 0 0 0 0 0 0 0 0 1 0 0 0 0 0 0 0 0 0 0 0 0 0 0 0 0 0 0 0 0 0 0 0 0 0 0 0 0 0 0 0 0 0 0 0 0 0 0 0 0 0 0 0 0 0 0 0 0 0 0 0 0 0 0 0 0 0 0 0 0 0 0 0 0 0 0 0 0 0 0 0 0 0 0 0 0 0 0 0 0 0 0 0 0 0 0 0 0 0 0 0 0 0 0 0 0 0 0 0 0 1 0 0 0 0 0 0 0 0 0 0 0 0 0 0 0 0 0 0 0 0 0 0 0 0 0 0 0 0 0 0 0 0 0 0 0 0 0 0 0 0 0 0 0 0 0 0 0 0 0 0 0 0 0 0 0 0 0 0 0 0 0 0 0 0 0 0 0 0 0 0 0 0 0 0 0 0 0 0 0 0 0 0 0 0 0 0 0 0 0 0 0 0 0 0 0 0 0 0 0 0 1 0 0 0 0 0 0 0 0 0 0 0 0 0 0 0 0 0 0 0 0 0 0 0 0 0 0 0 0 0 0 0 0 0 0 0 0 0 0 0 0 0 0 0 0 0 0 0 0 0 0 0 0 0 0 0 0 0 0 0 0 0 0 0 0 0 0 0 0 0 0 0 0 0 0 0 0 0 0 0 0 0 0 0 0 0 0 0 0 0 0 0 0 0 0 0 0 0 0 0 0 1 0 0 0 0 0 0 0 0 0 0 0 0 0 0 0 0 0 0 0 0 0 0 0 0 0 0 0 0 0 0 0 0 0 0 0 0 0 0 0 0 0 0 0 0 0 0 0 0 0 0 0 0 0 0 0 0 0 0 0 0 0 0 0 0 0 0 0 0 0 0 0 0 0 0 0 0 0 0 0 0 0 0 0 0 0 0 0 0 0 0 0 0 0 0 0 0 0 0 0 0 1 0 0 0 0 0 0 0 0 0 0 0 0 0 0 0 0 0 0 0 0 0 0 0 0 0 0 0 0 0 0 0 0 0 0 0 0 0 0 0 0 0 0 0 0 0 0 0 0 0 0 0 0 0 0 0 0 0 0 0 0 0 0 0 0 0 0 0 0 0 0 0 0 0 0 0 0 0 0 0 0 0 0 0 0 0 0 0 0 0 0 0 0 0 0 0 0 0 0 0 0 1 0 0 0 0 0 0 0 0 0 0 0 0 0 0 0 0 0 0 0 0 0 0 0 0 0 0 0 0 0 0 0 0 0 0 0 0 0 0 0 0 0 0 0 0 0 0 0 0 0 0 0 0 0 0 0 0 0 0 0 0 0 0 0 0 0 0 0 0 0 0 0 0 0 0 0 0 0 0 0 0 0 0 0 0 0 0 0 0 0 0 0 0 0 0 0 0 0 0 0 0 1 0 0 0 0 0 0 0 0 0 0 0 0 0 0 0 0 0 0 0 0 0 0 0 0 0 0 0 0 0 0 0 0 0 0 0 0 0 0 0 0 0 0 0 0 0 0 0 0 0 0 0 0 0 0 0 0 0 0 0 0 0 0 0 0 0 0 0 0 0 0 0 0 0 0 0 0 0 0 0 0 0 0 0 0 0 0 0 0 0 0 0 0 0 0 0 0 0 0 0 0 1 0 0 0 0 0 0 0 0 0 0 0 0 0 0 0 0 0 0 0 0 0 0 0 0 0 0 0 0 0 0 0 0 0 0 0 0 0 0 0 0 0 0 0 0 0 0 0 0 0 0 0 0 0 0 0 0 0 0 0 0 0 0 0 0 0 0 0 0 0 0 0 0 0 0 0 0 0 0 0 0 0 0 0 0 0 0 0 0 0 0 0 0 0 0 0 0 0 0 0 0 1 0 0 0 0 0 0 0 0 0 0 0 0 0 0 0 0 0 0 0 0 0 0 0 0 0 0 0 0 0 0 0 0 0 0 0 0 0 0 0 0 0 0 0 0 0 0 0 0 0 0 0 0 0 0 0 0 0 0 0 0 0 0 0 0 0 0 0 0 0 0 0 0 0 0 0 0 0 0 0 0 0 0 0 0 0 0 0 0 0 0 0 0 0 0 0 0 0 0 0 0 1 0 0 0 0 0 0 0 0 0 0 0 0 0 0 0 0 0 0 0 0 0 0 0 0 0 0 0 0 0 0 0 0 0 0 0 0 0 0 0 0 0 0 0 0 0 0 0 0 0 0 0 0 0 0 0 0 0 0 0 0 0 0 0 0 0 0 0 0 0 0 0 0 0 0 0 0 0 0 0 0 0 0 0 0 0 0 0 0 0 0 0 0 0 0 0 0 0 0 0 0 1 0 0 0 0 0 0 0 0 0 0 0 0 0 0 0 0 0 0 0 0 0 0 0 0 0 0 0 0 0 0 0 0 0 0 0 0 0 0 0 0 0 0 0 0 0 0 0 0 0 0 0 0 0 0 0 0 0 0 0 0 0 0 0 0 0 0 0 0 0 0 0 0 0 0 0 0 0 0 0 0 0 0 0 0 0 0 0 0 0 0 0 0 0 0 0 0 0 0 0 0 1 0 0 0 0 0 0 0 0 0 0 0 0 0 0 0 0 0 0 0 0 0 0 0 0 0 0 0 0 0 0 0 0 0 0 0 0 0 0 0 0 0 0 0 0 0 0 0 0 0 0 0 0 0 0 0 0 0 0 0 0 0 0 0 0 0 0 0 0 0 0 0 0 0 0 0 0 0 0 0 0 0 0 0 0 0 0 0 0 0 0 0 0 0 0 0 0 0 0 0 0 1 0 0 0 0 0 0 0 0 0 0 0 0 0 0 0 0 0 0 0 0 0 0 0 0 0 0 0 0 0 0 0 0 0 0 0 0 0 0 0 0 0 0 0 0 0 0 0 0 0 0 0 0 0 0 0 0 0 0 0 0 0 0 0 0 0 0 0 0 0 0 0 0 0 0 0 0 0 0 0 0 0 0 0 0 0 0 0 0 0 0 0 0 0 0 0 0 0 0 0 0 1 0 0 0 0 0 0 0 0 0 0 0 0 0 0 0 0 0 0 0 0 0 0 0 0 0 0 0 0 0 0 0 0 0 0 0 0 0 0 0 0 0 0 0 0 0 0 0 0 0 0 0 0 0 0 0 0 0 0 0 0 0 0 0 0 0 0 0 0 0 0 0 0 0 0 0 0 0 0 0 0 0 0 0 0 0 0 0 0 0 0 0 0 0 0 0 0 0 0 0 0 1 0 0 1 0 1 1 1 1 1 1 1 1 1 1 0 0 1 1 0 0 1 1 0 1 1 1 0 1 0 0 0 0 0 1 1 1 1 0 0 0 1 0 1 1 1 0 1 0 1 1 1 0 0 1 0 0 0 0 1 1 0 1 1 1 0 0 0 1 0 1 0 0 1 1 1 0 1 0 0 0 1 1 1 0 0 1 0 1 1 1 0 1 0 1 0 0 0 1 0 0 0 0 0 1 1 1 1 1 1 1 1 1 1 0 1 1 1 1 0 0 0 0 0 0 0 0 0 0 1 0 0 1 0 1 0 0 0 1 1 0 1 0 1 0 1 0 1 0 1 0 1 1 0 1 1 0 1 1 0 1 0 1 0 0 0 1 0 0 0 1 0 1 0 1 1 1 1 1 1 0 1 0 1 1 1 0 0 1 0 0 0 0 1 0 0 1 1 1 0 0 0 0 1 0 0 1 1 1 0 1 0 1 1 1 0 1 0 0 0 0 1 0 0 0 0 0 0 0 1 0 0 0 0 1 0 0 0 0 0 0 1 0 1 0 1 0 1 1 0 1 1 1 1 1 0 0 0 0 0 1 0 0 1 0 1 0 1 0 0 1 0 1 1 0 1 0 0 1 0 0 0 1 0 0 1 0 0 1 0 0 0 0 0 0 0 1 0 1 1 0 0 0 1 1 0 0 0 0 1 0 0 0 1 0 0 0 0 0 1 0 0 0 0 0 0 1 1 0 0 1 0 1 1 1 0 1 1 0 1 1 0 1 1 0 0 1 0 0 1 0 1 1 0 1 1 0 0 0 0 1 1 0 0 0 1 0 1 0 1 0 1 1 0 0 1 0 1 0 0 0 0 1 1 0 1 0 0 1 1 0 0 0 0 0 1 1 1 0 1 0 1 1 1 1 1 1 1 1 1 1 1 1 1 1 1 0 1 1 1 0 1 0 1 1 0 0 0 1 0 1 1 1 0 1 0 0 0 1 1 1 1 0 0 0 1 1 0 1 0 1 1 1 1 0 0 0 0 0 1 1 1 1 0 0 0 1 0 0 0 1 1 1 1 1 1 1 0 1 0 0 1 1 1 0 0 1 0 0 1 0 1 0 1 0 0 1 1 0 1 1 1 0 1 1 1 0 0 1 0 0 1 1 1 0 1 1 1 0 0 0 0 1 0 1 1 1 0 0 1 1 0 1 1 1 0 0 1 0 1 1 0 0 0 1 0 0 1 1 0 1 1 0 0 1 1 0 0 1 0 0 0 0 1 1 1 1 1 1 1 0 0 1 0 1 0 0 1 1 1 1 0 0 1 1 1 0 1 0 1 1 0 1 0 1 0 1 0 1 0 1 1 1 0 1 0 0 1 1 0 0 0 0 0 1 1 1 1 0 1 0 0 1 1 0 0 1 1 0 0 0 1 1 1 1 0 1 0 1 0 0 1 0 0 1 1 0 0 0 0 0 0 0 1 1 0 0 0 0 0 0 0 0 1 1 1 1 0 1 0 0 1 1 0 0 0 1 0 0 1 0 0 1 1 0 0 1 0 0 1 0 0 1 0 1 0 0 0 0 1 0 0 1 1 0 1 1 1 1 1 0 1 0 1 0 0 1 0 0 1 1 0 1 1 1 0 1 1 0 0 0 0 0 1 1 1 0 0 0 1 0 1 1 0 0 1 0 0 1 0 1 1 0 1 0 1 1 1 0 0 1 1 0 0 0 0 1 1 0 1 0 0 0 1 0 1 1 0 1 0 0 0 1 1 1 1 0 1 1 1 1 0 0 1 0 0 1 1 1 0 1 0 0 1 1 1 0 0 1 1 1 0 0 0 1 1 0 1 0 1 0 1 1 0 1 0 1 0 1 0 0 0 0 1 0 0 0 0 0 1 0 1 1 0 0 0 1 0 0 0 1 0 1 0 1 0 0 0 1 0 0 1 0 1 0 0 1 0 1 1 0 1 1 1 1 1 0 0 1 0 0 0 0 0 0 1 0 1 1 1 1 0 1 1 1 1 0 0 0 1 1 0 0 0 1 1 1 1 1 0 1 0 0 0 0 1 1 0 0 1 0 1 1 1 0 0 0 0 0 0 1 1 0 1 0 0 0 1 1 0 0 1 0 0 1 0 1 0 0 1 1 0 0 0 1 1 0 0 1 0 0 1 0 1 0 0 1 1 1 0 1 1 1 1 0 0 1 1 1 1 1 0 0 1 1 1 0 1 1 0 0 0 1 0 1 1 0 0 0 1 0 1 1 0 0 1 0 1 0 1 1 1 0 1 1 1 0 1 0 0 1 0 0 0 0 1 0 0 1 0 0 1 0 1 1 0 0 0 0 0 1 1 0 1 0 1 0 0 0 1 0 0 1 0 0 0 1 0 0 0 1 0 0 1 1 1 1 1 1 1 0 1 0 0 0 0 1 1 1 1 0 1 1 1 0 0 1 1 0 0 0 1 0 0 0 0 1 0 1 1 1 1 0 0 1 0 0 0 1 1 0 1 1 1 1 1 1 0 0 0 0 0 1 1 0 0 1 0 0 0 1 1 0 1 1 1 1 0 0 1 1 0 0 0 1 1 1 1 0 0 1 0 0 0 1 1 0 0 1 0 1 0 0 1 1 1 0 0 1 0 1 1 0 0 1 0 1 1 1 1 1 0 0 1 0 1 0 1 0 1 1 1 1 1 0 0 1 0 1 0 1 0 1 1 0 1 1 0 0 0 1 1 0 1 0 1 1 1 0 1 0 1 0 0 1 0 0 0 0 1 0 1 0 0 1 0 1 0 0 1 1 0 0 1 1 0 0 0 1 0 1 0 0 1 0 1 1 0 1 0 0 1 1 0 1 0 0 0 1 1 1 0 1 1 1 0 0 0 1 1 0 0 1 0 0 1 1 1 0 0 1 0 0 1 0 1 1 0 0 0 1 1 0 0 1 0 1 1 0 0 0 0 0 0 1 0 1 0 0 1 1 1 1 1 0 1 0 0 0 0 0 1 0 1 0 1 1 1 0 1 1 0 1 1 0 0 0 0 1 0 1 0 1 1 1 0 0 1 0 0 0 0 0 0 1 0 1 0 1 1 1 0 1 1 1 0 1 1 0 0 1 1 0 1 0 1 1 1 1 1 1 1 1 1 1 1 1 0 1 0 1 1 0 0 0 0 0 1 1 0 0 1 0 0 0 0 0 1 1 1 0 1 0 1 0 1 0 0 1 0 0 0 1 1 0 1 1 1 0 0 1 0 1 1 1 1 0 1 0 1 0 0 0 0 0 1 1 0 1 0 0 1 0 1 0 0 0 1 1 1 0 1 1 1 0 0 1 0 1 1 0 1 0 0 1 0 1 0 0 0 0 1 0 0 0 0 1 1 0 0 0 0 1 1 1 0 0 0 0 1 0 0 1 0 1 0 0 0 1 0 1 1 1 1 0 0 1 1 1 1 1 1 1 1 0 1 1 0 1 1 0 1 0 1 1 1 1 1 1 0 0 0 0 1 1 0 1 1 1 0 0 0 1 0 1 0 1 0 0 0 0 0 0 0 1 1 1 1 1 0 1 1 1 1 0 0 1 0 1 0 0 0 1 0 0 0 0 1 1 0 1 1 1 1 1 0 1 0 1 0 0 1 1 1 0 1 0 0 1 1 0 0 1 1 0 1 0 0 0 1 0 0 0 1 1 1 0 0 1 1 0 1 0 1 1 1 1 1 1 0 0 1 0 0 1 0 1 1 0 0 0 1 0 0 0 1 1 0 0 0 0 0 1 0 0 0 1 1 1 0 1 0 0 0 0 1 0 1 0 1 1 0 0 1 0 0 1 1 1 1 1 1 1 0 1 1 1 1 0 0 1 0 0 1 0 0 0 0 0 0 1 1 0 1 1 0 0 0 1 1 1 0 0 0 1 1 0 0 0 0 0 0 0 1 1 0 1 0 1 1 0 0 1 1 0 0 1 0 0 1 1 1 1 1 1 0 0 1 0 1 0 1 1 0 0 0 1 1 0 0 1 1 0 0 0 0 0 1 0 0 0 1 1 0 0 0 0 1 0 1 0 0 0 1 0 0 1 1 1 0 1 0 1 0 0 1 0 0 0 1 0 1 0 1 1 1 0 1 0 0 0 0 0 0 1 0 0 0 0 0 0 1 0 1 1 1 0 0 1 1 1 0 0 1 1 1 0 1 0 0 1 1 0 1 1 1 0 0 0 0 0 0 1 0 0 1 1 0 1 1 1 0 1 1 1 0 0 0 0 1 0 1 0 1 1 1 0 1 1 0 1 1 1 0 0 1 1 1 1 0 0 1 0 1 0 0 0 1 0 0 0 0 1 0 1 0 1 0 1 1 0 0 0 1 1 0 0 0 0 0 1 0 1 1 0 1 1 0 0 1 0 0 0 1 0 1 0 0 1 1 1 0 0 1 1 1 0 0 1 0 0 0 0 1 0 0 0 1 0 1 1 0 1 1 0 0 0 0 0 0 1 1 0 1 0 1 0 0 1 0 0 1 0 1 0 0 1 1 0 0 0 1 0 1 0 0 1 0 0 1 0 0 0 0 1 1 0 0 1 1 0 0 1 0 1 1 1 0 0 1 0 0 0 1 0 0 1 1 0 0 1 1 0 1 1 1 0 1 1 0 1 1 0 0 0 1 1 1 1 0 0 0 0 0 1 0 0 0 0 0 0 1 1 0 0 1 0 1 0 1 1 1 1 1 1 1 0 1 0 1 1 0 1 1 0 0 0 0 1 0 0 1 1 0 0 1 1 0 0 1 1 1 1 0 0 0 1 0 1 1 0 0 1 1 0 1 0 0 1 1 0 0 0 1 0 0 0 1 0 1 0 0 0 1 0 1 0 0 1 1 1 1 0 1 1 0 0 1 0 0 0 0 0 0 1 0 1 1 1 1 0 1 1 1 1 0 0 1 0 1 0 1 1 0 0 0 0 1 1 0 1 1 0 1 1 1 1 0 1 0 0 1 1 1 0 0 1 0 1 1 0 0 1 1 0 1 1 1 0 0 1 1 1 0 0 0 1 1 1 0 1 1 0 1 0 0 1 0 1 1 1 1 1 0 0 1 0 1 0 0 1 0 0 0 0 0 0 1 0 1 0 1 0 0 0 1 0 0 1 1 1 0 0 0 1 0 1 1 1 0 1 0 0 1 0 0 0 1 1 0 0 1 1 1 1 0 0 0 0 1 1 1 1 0 1 0 0 0 1 0 0 1 0 0 0 1 0 0 0 0 0 0 1 0 1 1 0 1 1 0 0 0 1 0 0 0 0 1 0 0 1 1 1 1 1 1 0 0 0 0 0 0 1 1 0 0 0 0 0 1 0 0 0 1 0 0 1 1 1 0 1 0 1 0 0 0 1 0 0 1 1 0 0 0 0 0 0 0 1 0 0 1 1 0 1 1 0 0 0 0 0 1 0 1 1 0 0 1 1 0 0 0 1 0 0 1 1 0 1 0 1 1 1 0 1 0 1 0 1 0 0 1 1 0 1 1 1 1 0 0 1 0 0 0 1 0 1 0 0 1 0 1 0 1 1 0 0 1 0 1 1 0 0 0 0 1 1 1 0 1 1 0 0 1 0 1 1 0 1 0 1 1 1 1 0 1 1 0 0 1 1 1 1 0 1 0 1 1 1 0 0 1 0 0 0 0 1 0 0 0 0 1 1 1 1 0 0 0 0 0 0 0 1 1 0 1 1 1 0 1 1 0 0 1 1 0 0 0 0 0 1 0 0 0 0 1 0 0 1 1 1 1 1 0 1 1 1 0 0 1 1 0 0 1 1 1 0 1 1 0 0 0 1 0 1 1 1 1 1 0 0 0 0 1 1 1 0 0 1 1 0 1 1 0 0 0 1 0 0 0 1 0 1 0 0 0 1 1 1 0 1 0 1 1 1 0 0 0 0 0 1 0 1 0 0 1 0 1 0 0 0 1 0 1 1 0 1 0 1 0 0 1 0 1 0 0 1 1 0 0 1 1 0 0 1 1 1 1 0 1 0 0 0 0 1 1 1 0 1 0 1 0 1 1 1 0 1 1 1 1 1 0 0 1 0 1 0 1 1 1 1 1 1 1 1 1 1 0 1 0 1 0 0 0 0 0 0 1 1 1 1 0 1 1 1 1 1 0 1 0 1 0 1 0 1 0 1 0 1 1 1 0 1 1 0 1 1 1 1 0 0 0 0 0 1 0 1 0 0 0 0 1 0 1 1 0 0 1 0 1 0 1 1 1 1 1 1 0 0 0 1 1 0 1 1 1 1 0 0 1 1 0 0 1 0 0 1 0 1 0 1 1 1 0 0 0 1 1 1 0 1 0 1 1 1 0 1 1 0 1 0 1 1 1 1 1 1 0 1 0 0 0 1 0 0 1 0 0 1 1 0 0 1 1 0 1 1 1 0 1 0 0 1 1 1 0 1 0 0 0 0 1 1 1 1 1 1 1 1 0 1 1 0 0 0 0 1 1 1 1 1 1 0 0 1 1 0 0 0 0 0 0 1 1 0 0 1 1 0 0 1 1 0 1 1 0 0 1 0 1 0 1 1 0 1 0 0 1 0 0 1 0 0 1 0 0 1 1 1 1 1 0 0 1 0 0 0 0 1 0 1 1 1 0 0 0 0 0 1 0 0 0 1 0 1 1 1 1 0 0 0 1 1 1 1 1 1 1 1 0 1 0 1 0 1 1 0 1 1 1 0 1 1 1 0 1 0 1 0 0 1 0 1 0 1 0 1 0 1 0 0 0 1 0 0 0 1 0 1 1 1 1 0 1 0 0 0 0 1 0 0 1 0 0 1 0 0 1 0 0 1 1 0 0 1 1 0 0 1 0 1 1 1 0 0 0 0 0 0 0 0 1 1 0 1 0 0 1 1 1 1 1 0 0 1 1 1 0 1 0 0 1 1 1 1 1 1 1 1 0 1 1 1 0 0 0 1 0 1 0 1 1 1 1 1 1 0 0 1 0 0 1 1 0 0 0 1 0 1 1 0 1 0 1 1 0 1 0 1 0 1 0 1 0 0 0 1 0 0 0 0 1 1 1 1 0 1 0 0 1 1 0 0 0 1 1 0 0 0 1 0 1 0 0 1 0 0 1 0 1 1 1 0 1 0 1 1 0 1 1 1 1 1 1 1 0 0 1 0 0 1 0 1 1 0 1 1 1 0 1 0 1 0 0 0 1 1 1 1 0 0 0 1 1 1 0 1 1 0 1 0 1 0 1 0 0 0 1 1 0 0 1 0 1 1 0 0 0 0 1 1 0 1 0 0 0 1 1 1 1 1 1 0 1 1 0 1 1 1 1 0 1 0 0 0 0 0 0 0 0 1 1 1 0 0 1 0 1 0 0 0 1 1 0 0 0 0 0 0 1 1 0 0 1 0 1 1 0 1 0 1 1 1 0 1 1 1 0 0 1 0 0 1 1 0 1 0 0 1 0 1 0 0 0 0 0 1 1 0 0 1 1 1 1 1 1 0 0 1 1 0 1 1 1 0 0 0 0 0 0 0 0 0 0 0 0 0 1 0 1 1 1 0 1 0 0 0 1 0 1 0 0 0 1 1 0 1 0 1 0 0 1 0 0 0 0 1 0 1 1 1 0 0 0 1 1 0 1 0 0 0 0 1 0 1 0 1 1 0 0 1 0 1 1 1 1 1 0 0 0 1 1 0 1 1 0 0 1 1 0 0 0 0 1 0 0 1 1 1 0 1 0 0 1 1 1 0 0 1 0 0 0 0 0 0 1 0 0 1 0 1 1 0 1 0 0 1 1 0 0 1 1 0 0 0 1 1 1 1 1 1 1 1 1 0 1 1 0 0 0 0 1 1 0 0 1 1 0 0 1 0 0 0 1 0 1 0 1 0 0 0 1 1 0 1 1 1 0 0 1 0 0 0 1 1 1 0 0 1 0 1 1 0 1 0 0 0 1 0 0 1 0 0 0 0 1 0 0 1 0 1 1 0 0 0 1 1 0 1 0 0 0 1 1 0 0 1 0 1 1 1 0 0 1 0 0 0 0 0 1 0 0 0 1 0 0 0 1 0 0 1 0 0 0 1 0 0 1 1 1 0 0 1 0 1 0 1 1 0 1 0 1 1 0 0 1 0 0 0 0 0 1 0 1 0 0 1 0 1 0 0 1 0 1 0 1 1 1 0 0 0 0 1 0 0 1 1 0 1 0 0 0 1 1 1 1 1 0 0 0 1 0 1 1 1 1 1 1 0 1 1 1 0 0 1 0 1 0 1 0 0 1 0 0 0 1 1 1 0 1 1 1 1 1 0 1 0 1 0 1 1 1 0 1 1 1 1 0 1 0 0 0 0 1 0 0 0 1 0 0 1 1 1 0 0 0 1 1 1 1 0 0 0 0 1 1 1 1 1 0 1 0 0 1 1 0 0 1 0 0 0 1 1 1 1 0 1 1 1 1 0 1 1 1 1 1 0 0 0 0 0 1 0 1 1 1 1 1 0 1 1 0 0 0 0 0 0 1 1 1 0 1 0 0 0 1 1 1 1 1 1 0 0 1 1 1 0 0 0 0 0 1 1 0 0 1 0 0 0 1 0 1 1 0 1 1 0 0 0 1 1 1 1 1 0 0 1 0 1 1 1 1 1 0 1 1 1 0 1 1 1 1 0 0 0 1 0 0 1 0 1 0 0 1 0 0 1 1 1 0 0 0 1 1 0 1 0 1 1 0 0 0 1 1 1 1 0 1 1 0 1 1 0 1 0 0 0 1 1 1 0 0 1 1 1 1 0 0 0 1 0 0 0 1 1 1 1 0 0 0 0 1 1 0 1 1 1 1 1 0 0 1 0 1 0 0 0 1 0 0 0 0 0 0 1 0 1 0 0 1 1 0 1 0 0 0 0 1 1 1 0 1 0 0 0 0 0 0 1 0 0 0 0 0 0 0 0 0 0 0 1 1 0 0 0 1 0 0 0 1 1 0 0 1 1 0 1 1 0 1 0 0 1 0 1 1 0 1 1 1 0 1 0 0 1 0 1 0 0 0 1 1 0 0 0 1 0 0 1 1 1 1 1 0 1 0 1 0 0 1 1 0 0 1 0 1 0 0 1 0 0 1 0 0 1 0 0 1 0 1 0 1 0 0 1 1 0 1 1 0 0 0 0 0 0 1 1 0 1 1 0 1 0 0 1 1 1 1 0 1 0 1 1 0 1 0 0 1 1 1 0 1 0 0 1 0 1 1 0 0 0 0 1 0 1 1 1 0 0 1 1 1 0 0 1 1 1 1 1 0 1 1 0 1 1 1 1 1 0 1 1 0 1 1 0 0 0 1 0 0 1 0 1 1 0 1 1 1 0 0 0 1 1 0 0 0 1 1 1 0 0 1 0 0 0 1 0 0 0 1 0 1 1 0 1 1 1 0 1 1 0 1 1 1 1 1 1 0 1 1 0 1 0 1 1 0 0 0 0 0 1 0 0 0 0 1 1 1 1 0 1 1 1 0 0 0 1 1 1 0 0 1 0 0 0 1 0 0 1 0 1 0 1 1 0 1 0 0 1 1 0 0 0 0 0 0 0 1 1 1 0 0 1 0 0 1 1 1 0 1 1 1 1 0 0 0 0 0 0 1 1 0 1 1 0 1 1 1 0 0 0 0 0 1 0 1 1 0 0 1 1 1 0 0 0 0 0 0 0 0 1 1 1 0 0 1 1 1 0 1 1 1 0 0 0 0 1 1 0 1 0 1 0 0 0 0 0 0 0 0 1 1 1 0 1 1 1 0 0 0 0 0 1 0 0 1 0 1 1 1 0 1 0 0 0 0 1 0 1 1 1 0 1 0 0 0 0 1 1 0 1 1 0 0 1 0 0 1 1 1 0 1 0 1 0 0 1 1 1 0 0 0 0 1 0 0 0 0 0 1 1 1 0 1 0 1 0 0 0 1 1 1 1 1 0 1 0 1 0 1 0 0 1 0 0 1 1 0 0 1 1 1 0 1 0 0 0 0 0 0 0 1 1 1 1 1 0 1 1 0 0 1 0 1 1 0 0 0 0 0 1 1 1 0 0 0 0 0 0 1 1 0 0 0 1 1 0 1 0 1 1 0 0 0 1 1 0 0 0 1 0 1 0 0 1 1 0 0 1 0 1 0 1 1 1 0 1 1 0 1 0 1 0 0 1 1 1 0 1 1 1 0 1 1 0 0 0 0 0 0 0 1 0 1 1 1 0 0 0 0 1 0 1 1 0 1 1 0 1 0 1 0 0 0 1 0 1 0 0 1 0 1 1 0 0 0 0 0 0 0 0 1 1 0 1 1 1 0 1 0 0 1 0 1 1 1 1 0 1 0 0 1 1 1 0 1 1 0 0 1 0 0 0 1 0 1 1 1 1 0 1 0 1 1 1 1 1 0 1 0 0 1 0 1 0 0 1 1 0 1 0 0 1 1 0 0 0 1 1 0 1 1 0 1 0 1 0 1 1 1 0 0 1 0 1 1 0 0 1 0 1 1 0 1 0 0 1 1 1 0 1 1 1 1 0 0 0 0 1 1 1 1 1 0 1 1 0 1 1 1 1 1 0 0 0 1 0 1 0 0 1 1 1 1 0 1 1 0 1 0 1 0 0 1 1 1 0 1 1 1 0 0 0 0 0 0 1 1 1 1 1 1 0 0 0 0 1 1 0 0 1 0 0 1 1 1 1 1 0 0 0 0 0 1 1 1 1 0 0 1 0 1 0 0 1 0 1 0 1 1 0 0 1 0 0 0 0 1 1 0 1 0 1 1 1 0 0 0 0 0 1 0 1 1 1 0 1 0 0 0 1 0 1 1 1 1 1 1 0 1 1 1 1 0 0 0 0 1 0 1 1 0 1 1 1 0 1 1 0 0 1 0 0 0 1 1 1 0 0 1 1 0 0 0 0 1 0 1 0 1 0 1 1 1 0 0 0 0 1 0 0 1 0 0 1 1 0 1 0 0 0 1 0 1 0 1 0 0 0 0 1 0 1 0 1 0 1 1 0 0 0 0 1 0 0 1 0 0 0 0 1 0 1 1 1 1 0 1 0 0 1 1 0 1 0 0 1 1 1 1 1 1 1 1 0 1 0 0 0 0 0 1 0 1 0 0 1 1 1 1 1 1 0 0 0 0 0 1 1 1 0 1 1 1 0 1 0 0 1 0 0 1 1 0 0 0 0 1 1 0 0 0 1 1 0 1 1 0 0 1 0 0 0 1 1 0 0 1 0 1 0 0 0 1 0 0 1 1 0 0 1 0 1 0 1 1 1 1 0 1 0 0 1 0 1 0 0 1 1 0 0 1 0 0 1 0 0 0 1 0 1 0 1 0 0 0 1 1 1 1 0 1 1 1 1 0 1 1 1 1 1 1 0 1 1 1 0 0 0 1 0 1 0 1 1 0 0 0 0 1 0 0 1 1 0 0 0 1 0 1 0 1 1 1 1 0 0 1 0 0 0 1 1 0 0 0 1 0 1 1 0 1 1 1 0 1 1 0 1 1 0 1 1 1 0 0 1 1 1 0 1 1 1 1 0 1 1 1 0 0 0 0 1 1 1 0 1 0 0 0 0 0 1 1 1 0 1 1 1 0 1 0 1 0 1 1 1 1 0 1 1 0 1 1 0 0 1 1 1 1 1 1 0 0 0 1 0 1 0 1 1 1 0 0 1 1 0 1 0 0 0 0 1 0 1 1 0 0 0 1 1 1 0 1 1 0 1 0 1 1 1 0 1 1 1 0 1 1 1 1 1 0 1 0 0 0 1 0 0 1 0 0 0 0 1 0 1 0 0 0 0 1 1 1 1 0 1 0 1 1 1 0 1 1 1 1 1 0 1 0 0 1 0 0 0 1 0 1 0 0 1 0 0 0 1 1 0 0 1 1 1 0 0 0 1 1 1 1 1 1 1 1 0 1 0 0 0 0 1 0 1 1 0 1 1 1 0 0 0 1 1 1 1 1 0 1 0 1 0 0 0 1 1 1 0 1 1 0 0 1 1 1 0 1 0 1 1 0 1 1 1 1 0 0 0 0 1 1 0 1 1 0 0 0 1 0 0 1 1 0 0 0 1 0 1 1 1 0 1 1 1 0 0 0 0 0 0 0 1 0 1 0 1 0 1 0 0 1 1 1 1 1 1 0 1 1 1 1 1 0 0 1 0 0 1 0 0 1 0 0 0 0 0 1 0 1 1 0 0 1 0 1 0 1 1 0 0 0 1 0 0 1 1 0 1 0 1 1 1 1 1 1 1 0 0 1 1 0 0 0 1 0 1 1 1 1 1 0 1 0 0 0 1 1 0 0 1 1 0 0 1 1 0 0 1 0 0 1 0 0 1 1 0 0 1 1 1 0 1 1 1 1 1 0 0 1 1 1 1 1 0 0 0 0 0 0 0 0 1 1 0 0 0 0 0 1 0 0 0 1 1 1 1 0 1 1 1 0 1 0 1 1 0 0 1 1 0 1 1 1 0 0 1 1 0 1 0 0 1 0 0 0 1 1 0 1 0 0 1 1 0 1 0 1 1 1 0 1 1 1 0 1 1 1 0 0 0 1 0 0 1 0 0 1 1 1 0 0 1 1 1 1 0 0 0 1 1 0 0 0 0 0 0 1 1 0 1 0 1 0 0 1 0 0 0 0 1 0 0 0 1 1 0 0 1 0 1 1 1 0 1 1 0 1 0 0 0 0 0 1 0 0 0 0 0 0 0 0 0 0 0 0 0 0 0 1 1 1 0 0 1 0 1 0 1 1 0 1 1 0 1 1 0 1 0 0 0 0 0 0 1 1 0 1 1 0 0 0 0 1 0 1 1 1 1 0 1 1 0 0 1 1 0 1 0 0 0 0 0 0 1 1 1 1 0 1 0 1 1 0 0 0 1 1 1 1 1 0 0 1 1 0 0 1 1 1 1 1 1 1 0 0 1 1 0 1 0 0 0 0 0 0 0 1 1 1 0 1 0 1 0 1 1 1 0 0 0 1 0 1 0 0 0 1 1 0 1 0 0 1 0 0 0 0 1 1 1 0 0 1 1 1 0 0 0 0 0 0 1 0 1 0 0 1 1 0 1 0 0 1 0 0 1 0 0 1 1 1 1 0 1 0 1 1 0 1 0 0 1 1 1 0 1 1 0 1 1 1 1 1 1 1 1 0 1 1 1 1 1 0 1 0 0 0 1 0 1 1 1 0 1 0 0 0 1 0 1 1 0 1 0 1 0 0 1 0 1 1 1 0 1 0 0 0 0 0 0 1 1 1 1 0 1 1 1 1 0 0 0 0 1 0 1 0 0 0 0 0 1 1 0 1 1 1 1 1 1 1 0 0 1 1 1 0 0 0 1 0 0 1 0 0 0 1 0 0 0 0 0 1 1 1 0 0 0 1 1 1 1 1 1 0 0 0 0 0 0 0 1 1 1 1 1 1 1 1 0 1 1 0 0 0 1 1 0 1 0 1 0 1 0 0 1 0 0 0 0 1 0 1 0 1 1 1 1 0 0 1 1 1 1 1 1 1 0 1 0 1 0 1 0 0 1 0 0 1 0 0 0 0 0 0 1 1 1 0 1 1 1 0 0 1 1 1 0 0 0 0 1 0 1 1 0 0 1 0 0 1 1 0 1 1 1 1 0 0 1 1 0 1 1 0 0 0 0 0 0 0 0 1 1 0 1 1 0 0 0 0 0 1 1 1 0 0 0 0 0 0 1 0 1 0 1 1 0 1 1 1 1 1 0 0 1 1 0 0 0 0 0 0 1 1 1 1 1 0 1 0 0 0 0 1 0 1 0 0 0 1 1 0 0 0 0 0 1 0 0 1 0 0 1 1 0 1 0 1 1 1 1 1 1 0 0 1 1 0 0 0 1 1 0 1 1 0 1 1 1 1 0 1 0 0 1 0 1 1 1 0 1 1 1 0 1 1 0 0 1 0 0 0 1 0 1 1 1 1 0 0 0 0 1 0 0 0 0 1 0 0 1 1 1 0 1 0 1 1 0 0 1 1 0 1 1 0 0 0 1 0 0 1 0 0 0 1 0 0 0 0 0 0 1 1 0 1 1 0 0 0 0 0 1 1 1 0 1 1 1 0 1 1 1 1 1 1 0 0 0 1 0 0 1 0 0 1 1 1 1 1 1 0 1 0 1 0 1 0 1 0 0 0 1 1 0 1 1 0 1 1 1 1 1 0 1 1 0 0 1 1 0 0 1 1 1 0 0 0 0 1 0 0 0 1 0 0 0 1 0 1 0 0 1 1 0 0 1 0 1 0 0 1 0 1 0 1 0 0 1 0 0 1 1 0 1 1 0 1 0 0 1 0 0 0 1 1 0 0 1 1 0 1 0 1 1 1 0 1 1 0 1 1 1 0 1 0 1 1 0 1 0 1 1 0 1 1 1 1 1 1 1 0 0 1 1 1 0 1 0 0 1 0 1 1 0 1 1 0 0 1 1 0 0 1 1 1 0 0 1 1 1 0 1 0 1 0 1 0 0 0 0 1 0 1 0 0 0 0 0 1 1 0 1 0 1 0 1 1 1 0 0 0 0 0 0 0 0 0 0 0 0 0 0 0 1 0 0 0 0 1 1 0 1 0 0 0 1 1 1 0 0 1 0 0 1 1 0 0 1 0 0 1 0 0 1 0 1 1 0 1 0 1 1 1 1 1 1 0 1 0 0 1 0 1 1 1 0 0 1 1 0 0 0 1 0 1 1 1 0 1 1 1 0 0 0 1 0 0 0 1 0 0 0 0 1 1 0 1 1 1 0 0 1 0 1 0 1 0 1 0 1 0 1 1 1 1 0 1 1 0 0 0 1 0 0 0 1 0 0 1 0 0 1 1 1 0 1 0 0 1 0 1 1 1 0 0 1 0 1 0 1 1 0 0 1 1 0 1 1 0 0 1 1 1 1 0 1 0 0 1 1 1 0 1 0 0 1 1 0 1 0 1 0 0 1 0 1 0 1 1 0 1 0 1 0 1 1 1 0 0 0 1 1 0 0 1 0 0 1 0 1 1 0 1 1 1 1 1 1 0 0 0 1 0 1 1 0 1 0 0 1 0 1 0 0 0 1 0 0 0 1 1 1 1 0 1 0 0 0 0 0 0 0 0 0 1 1 0 0 0 0 1 0 0 1 1 0 1 1 0 1 0 1 1 1 1 0 0 1 0 0 0 0 0 0 0 1 1 1 0 1 1 1 0 1 1 1 1 0 0 1 1 1 0 0 0 0 0 0 1 0 0 1 0 0 1 1 0 1 0 0 0 1 1 0 1 0 1 0 0 0 0 0 1 0 0 1 0 1 0 0 1 0 1 0 1 1 1 1 0 1 1 0 0 0 1 1 1 0 0 1 0 0 1 1 0 0 1 1 1 1 1 0 1 0 0 0 1 1 1 1 0 0 0 1 1 1 0 0 1 0 1 0 0 1 1 1 1 0 0 0 1 1 0 1 1 1 1 1 0 1 0 1 1 0 0 0 1 0 0 1 1 0 1 1 1 0 0 0 1 0 0 0 1 0 1 1 1 1 0 0 0 0 1 1 1 1 0 0 1 0 1 0 0 0 0 1 1 0 1 0 1 1 0 0 0 0 1 1 1 1 1 1 0 0 0 1 1 0 1 1 1 1 1 1 1 1 1 0 0 0 0 1 0 1 1 0 1 1 1 0 0 1 1 0 1 1 1 1 0 1 0 1 0 1 0 1 1 1 0 1 0 0 0 0 1 1 0 0 0 1 0 1 0 1 1 0 1 1 1 1 0 1 0 0 0 0 1 1 0 1 0 0 0 0 0 1 0 0 0 0 1 0 1 0 0 1 0 1 0 1 0 0 0 0 0 0 0 1 0 0 1 0 0 1 1 0 0 1 0 0 1 0 1 1 0 1 0 0 0 0 1 0 0 1 0 0 1 0 1 1 1 0 0 1 1 1 0 0 0 0 0 1 0 1 0 0 0 0 0 0 0 1 0 0 0 0 0 0 1 0 1 0 0 1 1 0 0 1 0 0 0 0 0 0 0 0 1 0 1 1 1 1 1 1 0 1 0 0 1 1 0 1 1 1 0 0 1 1 0 1 1 0 1 1 0 1 0 1 0 1 1 1 0 0 0 0 1 0 1 1 1 1 0 0 0 0 1 1 1 1 0 1 1 0 0 1 1 0 1 1 1 0 0 0 0 1 0 1 1 1 0 1 1 0 1 1 1 0 1 0 1 1 1 0 1 0 0 1 0 1 0 0 1 1 0 1 0 0 0 1 0 1 0 1 1 0 0 0 0 1 1 0 1 0 0 0 0 0 1 1 1 0 1 0 1 1 1 1 1 0 0 1 1 1 0 0 1 1 1 1 0 0 1 1 0 0 0 1 0 1 0 0 1 1 0 0 0 0 1 1 0 0 1 1 1 1 1 0 0 0 1 1 0 1 0 1 1 0 0 1 0 0 1 1 1 0 0 1 0 1 0 0 1 1 1 0 1 0 0 1 1 0 0 1 1 1 0 0 1 0 1 1 0 1 1 1 1 1 0 1 0 1 1 0 0 0 0 1 0 1 1 1 1 1 1 0 0 1 0 0 0 1 1 0 0 0 0 1 1 0 0 0 1 1 0 0 1 0 1 0 1 0 1 0 0 0 0 0 0 0 0 0 0 0 0 0 0 0 0 0 1 0 0 0 0 0 0 1 0 0 1 0 0 1 0 0 1 1 1 1 1 1 1 1 1 0 0 0 0 0 0 1 0 0 0 0 0 0 0 0 0 1 0 1 0 1 1 0 0 0 1 1 0 1 1 1 1 1 1 1 1 1 1 1 1 1 0 1 1 0 0 0 1 0 1 0 1 0 0 1 1 1 1 1 0 0 0 1 1 0 1 0 1 0 1 1 1 1 0 0 1 0 0 1 1 1 1 0 0 1 0 1 0 1 0 1 1 0 0 0 0 1 0 0 1 1 1 0 1 1 1 0 0 1 1 1 1 0 1 1 1 1 0 0 0 0 1 1 0 1 1 1 1 1 1 0 1 0 1 0 1 0 0 1 1 0 0 0 0 0 1 0 1 1 0 0 1 1 1 0 0 1 1 1 0 0 0 1 0 1 1 1 1 0 1 0 0 1 1 0 1 0 0 1 0 0 1 1 1 0 1 0 1 0 1 0 0 1 1 0 0 1 0 1 1 1 0 1 0 1 1 0 1 0 1 1 0 0 1 0 0 0 0 0 1 1 0 1 1 1 0 1 0 0 1 1 1 1 0 1 0 0 1 1 0 0 1 0 0 0 0 1 0 0 1 1 0 1 1 1 0 1 0 1 1 1 0 0 0 1 1 0 1 1 0 1 1 1 1 0 1 0 1 1 0 0 1 0 1 0 1 1 1 0 0 0 1 1 0 0 0 1 0 1 0 0 0 0 1 1 0 0 1 1 0 0 1 1 0 0 1 0 1 0 0 0 0 1 1 0 1 1 1 0 0 0 0 0 0 0 1 0 0 1 1 0 1 0 1 1 0 0 1 1 0 1 1 0 1 0 0 0 1 0 0 1 0 1 1 0 1 1 0 1 0 1 0 1 1 1 0 1 0 0 0 0 1 0 1 0 0 1 1 0 1 1 1 1 0 1 1 1 0 1 1 0 0 1 1 1 0 1 0 0 1 1 1 1 1 0 1 1 1 0 1 1 0 1 0 0 0 0 0 0 1 1 0 0 0 1 1 0 0 0 1 0 1 0 1 0 0 0 1 1 1 1 0 1 0 1 1 0 1 1 0 0 0 0 0 0 1 0 1 1 0 0 1 1 0 0 1 0 1 0 1 0 1 0 1 1 1 0 1 0 0 1 0 0 1 1 1 0 1 0 0 1 0 1 0 0 0 1 0 1 1 1 1 1 1 0 0 0 0 0 0 0 1 1 1 1 0 0 1 1 0 1 0 0 1 0 0 1 1 0 0 0 1 1 1 1 1 0 1 1 0 0 0 1 1 1 0 1 1 0 0 1 1 0 1 0 0 1 1 1 1 1 1 0 0 1 1 1 1 1 1 1 1 1 0 0 0 1 1 1 1 1 0 0 1 1 1 1 0 0 0 1 0 1 1 0 0 1 0 1 0 1 0 1 0 1 1 0 0 0 1 1 1 1 1 0 0 0 1 0 1 1 1 1 0 0 1 1 1 1 0 1 0 1 0 0 0 1 0 0 1 1 1 0 0 0 0 0 1 1 0 0 0 1 1 1 0 0 0 1 0 0 1 0 1 1 1 1 1 1 1 0 1 0 1 1 1 1 0 0 1 0 0 1 0 1 0 0 1 0 1 1 1 0 0 0 0 1 0 1 0 1 1 1 0 0 1 1 0 1 1 1 1 1 0 1 0 1 1 1 1 1 1 0 1 1 1 1 0 1 0 0 0 0 0 0 0 1 1 0 0 0 1 1 1 0 1 1 1 0 1 0 1 0 1 1 1 0 0 1 1 1 1 1 1 1 0 1 0 1 0 0 0 1 0 1 1 1 1 0 1 0 1 1 0 0 0 1 0 0 0 1 1 1 0 0 1 0 0 1 0 0 0 0 1 0 1 1 1 0 1 0 0 0 1 0 0 1 1 0 0 1 1 1 1 0 0 0 0 0 1 0 0 1 0 1 1 0 0 0 0 0 1 1 0 0 1 1 0 1 1 0 0 1 1 1 1 1 1 1 1 1 0 1 0 0 1 0 0 1 0 1 1 1 0 0 0 1 1 0 0 0 0 1 1 1 0 0 1 0 0 0 1 0 0 1 0 1 1 1 0 0 0 0 1 0 0 1 1 1 1 0 1 1 1 1 1 1 1 0 1 1 0 0 1 0 0 0 1 1 1 0 1 1 0 1 1 0 0 0 1 0 0 0 1 1 1 0 1 1 0 0 0 1 1 0 1 1 0 1 0 1 1 0 0 1 1 1 1 1 1 0 1 0 0 1 1 0 1 0 1 0 1 1 1 0 1 0 1 1 1 1 0 0 1 0 1 0 1 0 0 1 0 1 1 1 0 0 1 0 1 0 0 0 1 1 0 1 1 1 0 1 0 1 1 0 1 1 0 1 1 0 0 0 0 1 1 0 1 0 0 0 0 0 0 1 1 0 0 1 1 1 0 0 0 1 0 1 0 0 0 0 1 0 0 1 1 1 1 1 1 0 1 1 0 0 0 0 0 1 1 0 0 1 0 0 0 0 1 1 0 0 1 1 0 1 0 0 0 0 1 1 0 0 0 0 0 0 0 1 1 1 1 1 0 1 1 1 1 1 0 1 1 1 1 1 0 1 1 0 1 0 1 1 1 1 0 1 1 0 0 1 0 1 0 0 0 0 1 1 1 1 1 0 0 0 1 0 1 1 0 1 1 1 0 0 0 0 0 0 1 0 1 1 0 1 1 0 1 1 0 0 0 1 0 1 1 0 1 0 1 0 1 0 1 0 1 0 0 1 0 1 1 1 0 1 0 0 0 0 1 0 0 1 1 1 0 0 1 0 0 0 0 0 0 1 0 1 1 0 0 1 0 0 0 0 1 1 0 1 1 1 1 1 1 0 0 1 0 1 1 1 1 1 1 0 1 1 1 0 1 0 0 1 0 0 0 1 1 0 1 0 0 0 0 1 1 0 0 1 0 0 0 1 1 1 1 0 0 1 1 0 1 1 1 1 1 1 0 1 0 1 1 0 0 1 1 1 0 1 0 0 1 1 1 1 0 1 1 1 0 0 1 1 1 0 0 1 0 0 0 0 0 1 0 0 1 1 1 1 0 1 1 0 0 0 1 1 1 0 0 1 1 1 0 0 1 0 1 1 1 1 1 1 1 1 1 0 0 0 1 1 1 0 1 0 0 0 1 0 0 1 1 1 0 0 0 1 0 1 1 1 1 0 0 0 0 1 0 0 1 1 1 1 1 0 1 1 0 0 1 1 1 1 0 1 1 0 0 1 0 1 1 1 0 1 1 0 1 1 0 0 0 0 1 1 0 0 0 1 0 0 0 1 1 0 0 0 1 1 1 1 0 0 0 0 0 1 0 1 0 1 1 0 1 1 1 1 1 1 0 0 1 0 1 0 1 0 0 0 1 0 1 1 0 1 0 0 0 0 1 0 1 1 0 0 0 1 0 1 0 0 1 0 1 1 0 0 1 1 0 0 1 1 1 1 0 1 0 0 0 1 0 1 0 0 0 0 1 0 0 1 0 1 1 1 0 0 1 1 1 1 1 0 0 1 1 0 0 1 0 0 1 0 0 1 0 0 0 1 0 0 1 0 1 0 0 0 0 1 1 1 1 1 1 1 0 1 0 0 0 0 1 1 1 1 1 1 1 1 1 1 1 0 1 0 0 1 0 1 1 0 0 0 1 0 1 1 1 1 1 1 0 0 1 1 1 0 0 0 1 1 1 0 1 1 0 0 0 1 1 1 1 1 1 0 1 1 1 0 0 0 0 0 1 1 1 0 1 0 1 0 1 0 0 1 1 0 1 0 1 0 1 0 1 1 0 1 0 1 1 0 0 1 1 1 0 0 1 1 0 0 1 0 1 1 1 0 0 0 0 1 0 0 0 1 1 0 0 1 0 0 1 0 1 0 1 0 1 0 1 1 1 1 1 0 0 0 0 0 0 1 0 0 1 0 0 0 0 0 1 0 0 0 0 0 1 1 0 0 0 1 1 1 0 1 1 1 1 1 1 0 0 1 0 1 1 0 1 0 1 0 0 1 1 1 1 0 0 1 0 0 1 1 1 1 0 0 0 0 0 0 0 0 1 0 0 1 1 1 1 0 0 1 1 1 0 1 1 1 0 1 1 1 0 1 1 1 1 1 1 1 1 1 0 1 1 0 0 0 1 1 0 1 0 0 0 1 1 1 0 1 0 1 1 1 0 0 0 0 1 1 1 1 0 1 0 1 1 0 0 1 1 0 0 1 0 1 0 1 0 0 1 1 0 0 0 0 0 0 0 1 1 0 0 1 1 0 0 1 0 0 0 1 1 0 1 1 1 1 1 0 0 0 1 0 0 1 0 0 1 1 1 0 1 0 1 0 0 1 1 1 0 1 0 1 0 1 0 1 1 1 1 1 1 0 1 1 1 1 1 0 0 1 0 1 1 1 0 1 1 1 0 1 1 1 0 1 0 0 0 1 0 0 0 1 0 1 1 0 1 0 0 1 1 1 1 0 0 1 0 1 0 0 0 1 1 0 0 0 1 1 1 1 1 0 0 1 1 1 1 0 0 0 0 1 1 1 0 1 0 0 1 0 0 1 0 0 0 0 0 1 1 1 0 0 1 0 0 1 0 1 1 0 1 1 1 0 0 1 0 0 1 1 1 0 0 1 0 0 1 0 1 1 1 1 1 1 0 1 0 0 1 1 0 0 1 1 1 1 1 1 0 0 0 1 0 0 0 0 1 1 0 0 0 0 0 0 1 0 1 1 0 0 0 0 1 1 1 0 1 0 1 1 1 1 0 1 1 0 0 0 1 0 1 0 0 1 0 1 1 1 0 1 0 1 1 1 0 0 1 1 1 0 0 0 1 0 1 0 0 1 1 0 0 0 0 0 1 0 0 0 1 0 1 1 1 0 0 0 0 1 1 1 1 0 1 0 0 1 1 1 0 0 1 0 0 1 1 1 1 1 1 0 1 0 0 1 0 0 1 0 0 0 0 1 0 1 0 1 0 1 0 1 1 1 1 1 0 0 0 1 1 1 1 1 1 1 0 1 0 1 1 0 1 1 1 0 1 1 1 1 0 1 0 1 0 0 0 0 0 0 1 0 1 0 1 0 0 1 1 0 0 1 0 1 0 1 1 1 1 0 1 1 1 1 1 1 1 1 1 0 0 0 0 1 1 1 0 1 0 1 1 0 0 1 1 1 0 1 0 1 1 1 1 1 1 0 0 0 1 0 0 1 0 0 1 1 1 1 0 1 0 1 1 1 0 1 0 1 0 0 0 1 0 1 0 1 1 1 1 1 1 0 0 1 0 1 1 0 0 1 1 1 1 1 0 1 0 0 0 0 0 1 1 0 0 0 1 0 1 1 1 0 1 1 1 1 1 0 1 1 0 1 0 1 0 0 0 0 0 1 0 1 0 1 1 0 1 1 0 0 0 1 0 1 1 0 0 0 0 0 1 0 1 0 1 1 0 0 1 1 1 1 0 1 0 1 1 0 0 0 0 0 1 1 1 0 1 0 0 1 0 0 0 1 0 1 0 0 1 1 1 0 0 1 1 0 1 1 0 1 1 1 0 0 0 1 1 1 1 1 0 1 1 0 0 1 0 0 0 1 1 1 0 1 1 1 0 0 0 0 1 1 1 1 0 1 1 1 0 0 0 1 0 0 1 0 1 1 1 1 1 0 1 1 0 0 0 0 0 1 0 1 0 0 1 0 1 0 1 0 0 0 1 0 0 0 1 1 0 0 1 1 0 0 0 0 0 0 0 0 1 1 1 0 1 0 0 0 0 0 0 1 0 1 1 0 0 0 1 0 0 0 1 1 0 1 1 0 1 0 0 1 1 0 1 0 0 0 0 0 0 0 0 0 0 0 0 0 0 0 0 0 0 0 0 0 0 0 0 0 0 0 0 0 0 0 0 0 0 0 0 0 0 0 0 0 0 0 0 0 0 0 0 0 0 0 0 0 0 0 0 0 0 0 0 0 0 0 0 0 0 0 0 0 0 0 0 0 0 0 0 0 0 0 0 0 0 0 0 0 0 0 0 0 0 0 0 0 0 0 0 0 0 0 0 0 0 0 0 0 0 0 0 0 0 0 0 0 0 0 0 0 0 0 0 0 0 0 0 0 0 0 0 0 0 0 0 0 0 0 0 0 0 0 0 0 0 0 0 0 0 0 0 0 0 0 0 0 0 0 0 0 0 1 0 1 1 1 1 1 1 1 1 1 1 0 0 1 1 0 0 1 1 0 1 1 1 0 1 0 0 0 0 0 1 1 1 1 0 0 0 1 0 1 1 1 0 1 0 1 1 1 0 0 1 0 0 0 0 1 1 0 1 1 1 0 0 0 1 0 1 0 0 1 1 1 0 1 0 0 0 1 1 1 0 0 1 0 1 1 1 0 1 0 1 0 0 0 1 0 0 0 0 0 0 0 0 0 0 0 0 0 0 0 0 0 0 0 0 0 0 0 0 0 0 0 0 0 0 0 0 0 0 0 0 0 0 0 0 0 0 0 0 0 0 0 0 0 1 0 1 1 1 1 1 1 1 1 1 1 0 0 1 1 0 0 1 1 0 1 1 1 0 1 0 0 0 0 0 1 1 1 1 0 0 0 1 0 1 1 1 0 1 0 1 1 1 0 0 1 0 0 0 0 1 1 0 1 1 1 0 0 0 1 0 1 0 0 1 1 1 0 1 0 0 0 1 1 1 0 0 1 0 1 1 1 0 1 0 1 0 0 0 1 0 0 1 1 1 0 0 0 0 0 0 0 0 0 0 0 0 0 0 0 0 0 0 0 0 0 0 0 0 0 0 0 0 0 0 0 0 0 0 0 0 0 0 0 0 0 0 0 0 0 0 0 0 0 0 1 1 1 1 1 1 1 1 1 1 0 1 1 1 1 0 0 0 0 0 0 0 0 0 0 1 0 0 1 0 1 0 0 0 1 1 0 1 0 1 0 1 0 1 0 1 0 1 1 0 1 1 0 1 1 0 1 0 1 0 0 0 1 0 0 0 1 0 1 0 1 1 1 1 1 1 0 1 0 1 1 1 0 0 1 0 0 0 0 1 0 0 1 1 1 0 0 1 0 1 1 0 0 0 0 0 0 0 0 0 0 0 0 0 0 0 0 0 0 0 0 0 0 0 0 0 0 0 0 0 0 0 0 0 0 0 0 0 0 0 0 0 0 0 0 0 0 0 0 1 0 0 1 1 1 0 1 0 1 1 1 0 1 0 0 0 0 1 0 0 0 0 0 0 0 1 0 0 0 0 1 0 0 0 0 0 0 1 0 1 0 1 0 1 1 0 1 1 1 1 1 0 0 0 0 0 1 0 0 1 0 1 0 1 0 0 1 0 1 1 0 1 0 0 1 0 0 0 1 0 0 1 0 0 1 0 0 0 0 0 0 0 1 0 1 1 0 1 1 0 1 0 0 0 0 0 0 0 0 0 0 0 0 0 0 0 0 0 0 0 0 0 0 0 0 0 0 0 0 0 0 0 0 0 0 0 0 0 0 0 0 0 0 0 0 0 0 0 0 1 1 0 0 0 0 1 0 0 0 1 0 0 0 0 0 1 0 0 0 0 0 0 1 1 0 0 1 0 1 1 1 0 1 1 0 1 1 0 1 1 0 0 1 0 0 1 0 1 1 0 1 1 0 0 0 0 1 1 0 0 0 1 0 1 0 1 0 1 1 0 0 1 0 1 0 0 0 0 1 1 0 1 0 0 1 1 0 0 0 0 0 1 1 1 0 1 0 1 1 0 1 1 0 0 0 0 0 0 0 0 0 0 0 0 0 0 0 0 0 0 0 0 0 0 0 0 0 0 0 0 0 0 0 0 0 0 0 0 0 0 0 0 0 0 0 0 0 1 1 1 1 1 1 1 1 1 1 1 1 1 1 1 0 1 1 1 0 1 0 1 1 0 0 0 1 0 1 1 1 0 1 0 0 0 1 1 1 1 0 0 0 1 1 0 1 0 1 1 1 1 0 0 0 0 0 1 1 1 1 0 0 0 1 0 0 0 1 1 1 1 1 1 1 0 1 0 0 1 1 1 0 0 1 0 0 1 0 1 0 1 0 0 1 1 0 1 1 1 0 1 0 1 0 0 0 0 0 0 0 0 0 0 0 0 0 0 0 0 0 0 0 0 0 0 0 0 0 0 0 0 0 0 0 0 0 0 0 0 0 0 0 0 0 0 0 0 0 1 0 1 1 1 0 0 1 0 0 1 1 1 0 1 1 1 0 0 0 0 1 0 1 1 1 0 0 1 1 0 1 1 1 0 0 1 0 1 1 0 0 0 1 0 0 1 1 0 1 1 0 0 1 1 0 0 1 0 0 0 0 1 1 1 1 1 1 1 0 0 1 0 1 0 0 1 1 1 1 0 0 1 1 1 0 1 0 1 1 0 1 0 1 0 1 0 1 0 1 0 0 0 1 0 0 0 0 0 0 0 0 0 0 0 0 0 0 0 0 0 0 0 0 0 0 0 0 0 0 0 0 0 0 0 0 0 0 0 0 0 0 0 0 0 0 0 0 0 0 1 1 0 1 0 0 1 1 0 0 0 0 0 1 1 1 1 0 1 0 0 1 1 0 0 1 1 0 0 0 1 1 1 1 0 1 0 1 0 0 1 0 0 1 1 0 0 0 0 0 0 0 1 1 0 0 0 0 0 0 0 0 1 1 1 1 0 1 0 0 1 1 0 0 0 1 0 0 1 0 0 1 1 0 0 1 0 0 1 0 0 1 0 1 0 0 0 0 1 0 1 1 1 0 1 0 0 0 0 0 0 0 0 0 0 0 0 0 0 0 0 0 0 0 0 0 0 0 0 0 0 0 0 0 0 0 0 0 0 0 0 0 0 0 0 0 0 0 0 0 0 1 1 0 1 1 1 1 1 0 1 0 1 0 0 1 0 0 1 1 0 1 1 1 0 1 1 0 0 0 0 0 1 1 1 0 0 0 1 0 1 1 0 0 1 0 0 1 0 1 1 0 1 0 1 1 1 0 0 1 1 0 0 0 0 1 1 0 1 0 0 0 1 0 1 1 0 1 0 0 0 1 1 1 1 0 1 1 1 1 0 0 1 0 0 1 1 1 0 1 0 0 0 1 1 0 0 0 0 0 0 0 0 0 0 0 0 0 0 0 0 0 0 0 0 0 0 0 0 0 0 0 0 0 0 0 0 0 0 0 0 0 0 0 0 0 0 0 0 0 0 0 1 1 1 0 0 1 1 1 0 0 0 1 1 0 1 0 1 0 1 1 0 1 0 1 0 1 0 0 0 0 1 0 0 0 0 0 1 0 1 1 0 0 0 1 0 0 0 1 0 1 0 1 0 0 0 1 0 0 1 0 1 0 0 1 0 1 1 0 1 1 1 1 1 0 0 1 0 0 0 0 0 0 1 0 1 1 1 1 0 1 1 1 1 0 0 0 1 1 0 0 0 1 0 0 0 0 0 0 0 0 0 0 0 0 0 0 0 0 0 0 0 0 0 0 0 0 0 0 0 0 0 0 0 0 0 0 0 0 0 0 0 0 0 0 0 0 0 0 0 0 0 1 1 1 1 1 0 1 0 0 0 0 1 1 0 0 1 0 1 1 1 0 0 0 0 0 0 1 1 0 1 0 0 0 1 1 0 0 1 0 0 1 0 1 0 0 1 1 0 0 0 1 1 0 0 1 0 0 1 0 1 0 0 1 1 1 0 1 1 1 1 0 0 1 1 1 1 1 0 0 1 1 1 0 1 1 0 0 0 1 0 1 1 0 0 0 1 0 1 0 1 1 1 0 0 0 0 0 0 0 0 0 0 0 0 0 0 0 0 0 0 0 0 0 0 0 0 0 0 0 0 0 0 0 0 0 0 0 0 0 0 0 0 0 0 0 0 0 1 1 0 0 1 0 1 0 1 1 1 0 1 1 1 0 1 0 0 1 0 0 0 0 1 0 0 1 0 0 1 0 1 1 0 0 0 0 0 1 1 0 1 0 1 0 0 0 1 0 0 1 0 0 0 1 0 0 0 1 0 0 1 1 1 1 1 1 1 0 1 0 0 0 0 1 1 1 1 0 1 1 1 0 0 1 1 0 0 0 1 0 0 0 0 1 0 1 1 1 1 0 1 0 1 0 0 0 0 0 0 0 0 0 0 0 0 0 0 0 0 0 0 0 0 0 0 0 0 0 0 0 0 0 0 0 0 0 0 0 0 0 0 0 0 0 0 0 0 0 1 0 0 1 0 0 0 1 1 0 1 1 1 1 1 1 0 0 0 0 0 1 1 0 0 1 0 0 0 1 1 0 1 1 1 1 0 0 1 1 0 0 0 1 1 1 1 0 0 1 0 0 0 1 1 0 0 1 0 1 0 0 1 1 1 0 0 1 0 1 1 0 0 1 0 1 1 1 1 1 0 0 1 0 1 0 1 0 1 1 1 1 1 0 0 1 0 1 0 1 1 0 0 0 1 0 0 0 0 0 0 0 0 0 0 0 0 0 0 0 0 0 0 0 0 0 0 0 0 0 0 0 0 0 0 0 0 0 0 0 0 0 0 0 0 0 0 0 0 0 0 1 1 0 1 1 0 0 0 1 1 0 1 0 1 1 1 0 1 0 1 0 0 1 0 0 0 0 1 0 1 0 0 1 0 1 0 0 1 1 0 0 1 1 0 0 0 1 0 1 0 0 1 0 1 1 0 1 0 0 1 1 0 1 0 0 0 1 1 1 0 1 1 1 0 0 0 1 1 0 0 1 0 0 1 1 1 0 0 1 0 0 1 0 1 1 0 0 0 1 1 0 1 0 1 0 0 0 0 0 0 0 0 0 0 0 0 0 0 0 0 0 0 0 0 0 0 0 0 0 0 0 0 0 0 0 0 0 0 0 0 0 0 0 0 0 0 0 0 0 1 0 0 1 0 1 1 0 0 0 0 0 0 1 0 1 0 0 1 1 1 1 1 0 1 0 0 0 0 0 1 0 1 0 1 1 1 0 1 1 0 1 1 0 0 0 0 1 0 1 0 1 1 1 0 0 1 0 0 0 0 0 0 1 0 1 0 1 1 1 0 1 1 1 0 1 1 0 0 1 1 0 1 0 1 1 1 1 1 1 1 1 1 1 1 1 0 1 0 1 1 1 0 0 0 0 0 0 0 0 0 0 0 0 0 0 0 0 0 0 0 0 0 0 0 0 0 0 0 0 0 0 0 0 0 0 0 0 0 0 0 0 0 0 0 0 0 0 0 0 1 0 0 0 0 0 1 1 0 0 1 0 0 0 0 0 1 1 1 0 1 0 1 0 1 0 0 1 0 0 0 1 1 0 1 1 1 0 0 1 0 1 1 1 1 0 1 0 1 0 0 0 0 0 1 1 0 1 0 0 1 0 1 0 0 0 1 1 1 0 1 1 1 0 0 1 0 1 1 0 1 0 0 1 0 1 0 0 0 0 1 0 0 0 0 1 1 0 0 0 0 1 1 0 1 0 0 0 0 0 0 0 0 0 0 0 0 0 0 0 0 0 0 0 0 0 0 0 0 0 0 0 0 0 0 0 0 0 0 0 0 0 0 0 0 0 0 0 0 0 0 1 1 1 0 0 0 0 1 0 0 1 0 1 0 0 0 1 0 1 1 1 1 0 0 1 1 1 1 1 1 1 1 0 1 1 0 1 1 0 1 0 1 1 1 1 1 1 0 0 0 0 1 1 0 1 1 1 0 0 0 1 0 1 0 1 0 0 0 0 0 0 0 1 1 1 1 1 0 1 1 1 1 0 0 1 0 1 0 0 0 1 0 0 0 0 1 1 0 1 1 1 1 1 1 0 0 0 0 0 0 0 0 0 0 0 0 0 0 0 0 0 0 0 0 0 0 0 0 0 0 0 0 0 0 0 0 0 0 0 0 0 0 0 0 0 0 0 0 0 1 1 1 1 0 1 0 1 0 0 1 1 1 0 1 0 0 1 1 0 0 1 1 0 1 0 0 0 1 0 0 0 1 1 1 0 0 1 1 0 1 0 1 1 1 1 1 1 0 0 1 0 0 1 0 1 1 0 0 0 1 0 0 0 1 1 0 0 0 0 0 1 0 0 0 1 1 1 0 1 0 0 0 0 1 0 1 0 1 1 0 0 1 0 0 1 1 1 1 1 0 1 0 1 0 0 0 0 0 0 0 0 0 0 0 0 0 0 0 0 0 0 0 0 0 0 0 0 0 0 0 0 0 0 0 0 0 0 0 0 0 0 0 0 0 0 0 0 0 0 1 1 0 1 1 1 1 0 0 1 0 0 1 0 0 0 0 0 0 1 1 0 1 1 0 0 0 1 1 1 0 0 0 1 1 0 0 0 0 0 0 0 1 1 0 1 0 1 1 0 0 1 1 0 0 1 0 0 1 1 1 1 1 1 0 0 1 0 1 0 1 1 0 0 0 1 1 0 0 1 1 0 0 0 0 0 1 0 0 0 1 1 0 0 0 0 1 0 1 0 0 1 1 0 1 0 0 0 0 0 0 0 0 0 0 0 0 0 0 0 0 0 0 0 0 0 0 0 0 0 0 0 0 0 0 0 0 0 0 0 0 0 0 0 0 0 0 0 0 0 0 0 1 0 0 1 1 1 0 1 0 1 0 0 1 0 0 0 1 0 1 0 1 1 1 0 1 0 0 0 0 0 0 1 0 0 0 0 0 0 1 0 1 1 1 0 0 1 1 1 0 0 1 1 1 0 1 0 0 1 1 0 1 1 1 0 0 0 0 0 0 1 0 0 1 1 0 1 1 1 0 1 1 1 0 0 0 0 1 0 1 0 1 1 1 0 1 1 0 1 0 0 1 0 0 0 0 0 0 0 0 0 0 0 0 0 0 0 0 0 0 0 0 0 0 0 0 0 0 0 0 0 0 0 0 0 0 0 0 0 0 0 0 0 0 0 0 0 0 0 1 1 0 0 1 1 1 1 0 0 1 0 1 0 0 0 1 0 0 0 0 1 0 1 0 1 0 1 1 0 0 0 1 1 0 0 0 0 0 1 0 1 1 0 1 1 0 0 1 0 0 0 1 0 1 0 0 1 1 1 0 0 1 1 1 0 0 1 0 0 0 0 1 0 0 0 1 0 1 1 0 1 1 0 0 0 0 0 0 1 1 0 1 0 1 0 0 1 0 0 0 1 0 1 1 0 0 0 0 0 0 0 0 0 0 0 0 0 0 0 0 0 0 0 0 0 0 0 0 0 0 0 0 0 0 0 0 0 0 0 0 0 0 0 0 0 0 0 0 0 1 0 1 0 0 1 1 0 0 0 1 0 1 0 0 1 0 0 1 0 0 0 0 1 1 0 0 1 1 0 0 1 0 1 1 1 0 0 1 0 0 0 1 0 0 1 1 0 0 1 1 0 1 1 1 0 1 1 0 1 1 0 0 0 1 1 1 1 0 0 0 0 0 1 0 0 0 0 0 0 1 1 0 0 1 0 1 0 1 1 1 1 1 1 1 0 1 0 1 1 0 1 1 0 1 0 0 0 0 0 0 0 0 0 0 0 0 0 0 0 0 0 0 0 0 0 0 0 0 0 0 0 0 0 0 0 0 0 0 0 0 0 0 0 0 0 0 0 0 0 0 1 1 0 0 0 0 1 0 0 1 1 0 0 1 1 0 0 1 1 1 1 0 0 0 1 0 1 1 0 0 1 1 0 1 0 0 1 1 0 0 0 1 0 0 0 1 0 1 0 0 0 1 0 1 0 0 1 1 1 1 0 1 1 0 0 1 0 0 0 0 0 0 1 0 1 1 1 1 0 1 1 1 1 0 0 1 0 1 0 1 1 0 0 0 0 1 1 0 1 0 1 1 0 0 0 0 0 0 0 0 0 0 0 0 0 0 0 0 0 0 0 0 0 0 0 0 0 0 0 0 0 0 0 0 0 0 0 0 0 0 0 0 0 0 0 0 0 0 0 1 0 1 1 1 1 0 1 0 0 1 1 1 0 0 1 0 1 1 0 0 1 1 0 1 1 1 0 0 1 1 1 0 0 0 1 1 1 0 1 1 0 1 0 0 1 0 1 1 1 1 1 0 0 1 0 1 0 0 1 0 0 0 0 0 0 1 0 1 0 1 0 0 0 1 0 0 1 1 1 0 0 0 1 0 1 1 1 0 1 0 0 1 0 0 0 1 1 0 0 0 0 1 0 0 0 0 0 0 0 0 0 0 0 0 0 0 0 0 0 0 0 0 0 0 0 0 0 0 0 0 0 0 0 0 0 0 0 0 0 0 0 0 0 0 0 0 0 0 0 1 1 1 1 0 0 0 0 1 1 1 1 0 1 0 0 0 1 0 0 1 0 0 0 1 0 0 0 0 0 0 1 0 1 1 0 1 1 0 0 0 1 0 0 0 0 1 0 0 1 1 1 1 1 1 0 0 0 0 0 0 1 1 0 0 0 0 0 1 0 0 0 1 0 0 1 1 1 0 1 0 1 0 0 0 1 0 0 1 1 0 0 0 0 0 0 0 1 0 0 1 0 0 1 1 0 0 0 0 0 0 0 0 0 0 0 0 0 0 0 0 0 0 0 0 0 0 0 0 0 0 0 0 0 0 0 0 0 0 0 0 0 0 0 0 0 0 0 0 0 1 1 0 1 1 0 0 0 0 0 1 0 1 1 0 0 1 1 0 0 0 1 0 0 1 1 0 1 0 1 1 1 0 1 0 1 0 1 0 0 1 1 0 1 1 1 1 0 0 1 0 0 0 1 0 1 0 0 1 0 1 0 1 1 0 0 1 0 1 1 0 0 0 0 1 1 1 0 1 1 0 0 1 0 1 1 0 1 0 1 1 1 1 0 1 1 0 0 1 1 0 0 1 1 0 0 0 0 0 0 0 0 0 0 0 0 0 0 0 0 0 0 0 0 0 0 0 0 0 0 0 0 0 0 0 0 0 0 0 0 0 0 0 0 0 0 0 0 0 0 1 1 0 1 0 1 1 1 0 0 1 0 0 0 0 1 0 0 0 0 1 1 1 1 0 0 0 0 0 0 0 1 1 0 1 1 1 0 1 1 0 0 1 1 0 0 0 0 0 1 0 0 0 0 1 0 0 1 1 1 1 1 0 1 1 1 0 0 1 1 0 0 1 1 1 0 1 1 0 0 0 1 0 1 1 1 1 1 0 0 0 0 1 1 1 0 0 1 1 0 0 1 1 1 1 0 0 0 0 0 0 0 0 0 0 0 0 0 0 0 0 0 0 0 0 0 0 0 0 0 0 0 0 0 0 0 0 0 0 0 0 0 0 0 0 0 0 0 0 0 1 1 0 0 0 1 0 0 0 1 0 1 0 0 0 1 1 1 0 1 0 1 1 1 0 0 0 0 0 1 0 1 0 0 1 0 1 0 0 0 1 0 1 1 0 1 0 1 0 0 1 0 1 0 0 1 1 0 0 1 1 0 0 1 1 1 1 0 1 0 0 0 0 1 1 1 0 1 0 1 0 1 1 1 0 1 1 1 1 1 0 0 1 0 1 0 1 1 1 1 1 0 1 0 1 0 0 0 0 0 0 0 0 0 0 0 0 0 0 0 0 0 0 0 0 0 0 0 0 0 0 0 0 0 0 0 0 0 0 0 0 0 0 0 0 0 0 0 0 0 1 1 1 1 1 1 0 1 0 1 0 0 0 0 0 0 1 1 1 1 0 1 1 1 1 1 0 1 0 1 0 1 0 1 0 1 0 1 1 1 0 1 1 0 1 1 1 1 0 0 0 0 0 1 0 1 0 0 0 0 1 0 1 1 0 0 1 0 1 0 1 1 1 1 1 1 0 0 0 1 1 0 1 1 1 1 0 0 1 1 0 0 1 0 0 1 0 1 0 1 1 1 0 0 1 0 0 0 0 0 0 0 0 0 0 0 0 0 0 0 0 0 0 0 0 0 0 0 0 0 0 0 0 0 0 0 0 0 0 0 0 0 0 0 0 0 0 0 0 0 1 1 0 0 0 1 1 1 0 1 0 1 1 1 0 1 1 0 1 0 1 1 1 1 1 1 0 1 0 0 0 1 0 0 1 0 0 1 1 0 0 1 1 0 1 1 1 0 1 0 0 1 1 1 0 1 0 0 0 0 1 1 1 1 1 1 1 1 0 1 1 0 0 0 0 1 1 1 1 1 1 0 0 1 1 0 0 0 0 0 0 1 1 0 0 1 1 0 0 1 1 0 1 0 0 0 0 0 0 0 0 0 0 0 0 0 0 0 0 0 0 0 0 0 0 0 0 0 0 0 0 0 0 0 0 0 0 0 0 0 0 0 0 0 0 0 0 0 0 0 1 0 1 1 0 0 1 0 1 0 1 1 0 1 0 0 1 0 0 1 0 0 1 0 0 1 1 1 1 1 0 0 1 0 0 0 0 1 0 1 1 1 0 0 0 0 0 1 0 0 0 1 0 1 1 1 1 0 0 0 1 1 1 1 1 1 1 1 0 1 0 1 0 1 1 0 1 1 1 0 1 1 1 0 1 0 1 0 0 1 0 1 0 1 0 1 0 1 0 0 0 0 1 0 0 0 0 0 0 0 0 0 0 0 0 0 0 0 0 0 0 0 0 0 0 0 0 0 0 0 0 0 0 0 0 0 0 0 0 0 0 0 0 0 0 0 0 0 0 0 0 1 0 0 0 1 0 1 1 1 1 0 1 0 0 0 0 1 0 0 1 0 0 1 0 0 1 0 0 1 1 0 0 1 1 0 0 1 0 1 1 1 0 0 0 0 0 0 0 0 1 1 0 1 0 0 1 1 1 1 1 0 0 1 1 1 0 1 0 0 1 1 1 1 1 1 1 1 0 1 1 1 0 0 0 1 0 1 0 1 1 1 1 1 1 0 0 1 0 0 1 1 1 0 0 0 0 0 0 0 0 0 0 0 0 0 0 0 0 0 0 0 0 0 0 0 0 0 0 0 0 0 0 0 0 0 0 0 0 0 0 0 0 0 0 0 0 0 0 0 1 1 0 0 0 1 0 1 1 0 1 0 1 1 0 1 0 1 0 1 0 1 0 0 0 1 0 0 0 0 1 1 1 1 0 1 0 0 1 1 0 0 0 1 1 0 0 0 1 0 1 0 0 1 0 0 1 0 1 1 1 0 1 0 1 1 0 1 1 1 1 1 1 1 0 0 1 0 0 1 0 1 1 0 1 1 1 0 1 0 1 0 0 0 1 1 1 1 0 0 1 0 0 1 0 0 0 0 0 0 0 0 0 0 0 0 0 0 0 0 0 0 0 0 0 0 0 0 0 0 0 0 0 0 0 0 0 0 0 0 0 0 0 0 0 0 0 0 0 0 0 1 1 1 0 1 1 0 1 0 1 0 1 0 0 0 1 1 0 0 1 0 1 1 0 0 0 0 1 1 0 1 0 0 0 1 1 1 1 1 1 0 1 1 0 1 1 1 1 0 1 0 0 0 0 0 0 0 0 1 1 1 0 0 1 0 1 0 0 0 1 1 0 0 0 0 0 0 1 1 0 0 1 0 1 1 0 1 0 1 1 1 0 1 1 1 0 0 1 0 1 1 0 0 1 0 0 0 0 0 0 0 0 0 0 0 0 0 0 0 0 0 0 0 0 0 0 0 0 0 0 0 0 0 0 0 0 0 0 0 0 0 0 0 0 0 0 0 0 0 0 1 1 0 1 0 0 1 0 1 0 0 0 0 0 1 1 0 0 1 1 1 1 1 1 0 0 1 1 0 1 1 1 0 0 0 0 0 0 0 0 0 0 0 0 0 1 0 1 1 1 0 1 0 0 0 1 0 1 0 0 0 1 1 0 1 0 1 0 0 1 0 0 0 0 1 0 1 1 1 0 0 0 1 1 0 1 0 0 0 0 1 0 1 0 1 1 0 0 1 0 1 0 0 0 0 0 0 0 0 0 0 0 0 0 0 0 0 0 0 0 0 0 0 0 0 0 0 0 0 0 0 0 0 0 0 0 0 0 0 0 0 0 0 0 0 0 0 0 0 0 1 1 1 1 1 0 0 0 1 1 0 1 1 0 0 1 1 0 0 0 0 1 0 0 1 1 1 0 1 0 0 1 1 1 0 0 1 0 0 0 0 0 0 1 0 0 1 0 1 1 0 1 0 0 1 1 0 0 1 1 0 0 0 1 1 1 1 1 1 1 1 1 0 1 1 0 0 0 0 1 1 0 0 1 1 0 0 1 0 0 0 1 0 1 0 1 0 0 0 1 1 0 1 0 0 0 0 0 0 0 0 0 0 0 0 0 0 0 0 0 0 0 0 0 0 0 0 0 0 0 0 0 0 0 0 0 0 0 0 0 0 0 0 0 0 0 0 0 0 1 1 0 1 1 1 0 0 1 0 0 0 1 1 1 0 0 1 0 1 1 0 1 0 0 0 1 0 0 1 0 0 0 0 1 0 0 1 0 1 1 0 0 0 1 1 0 1 0 0 0 1 1 0 0 1 0 1 1 1 0 0 1 0 0 0 0 0 1 0 0 0 1 0 0 0 1 0 0 1 0 0 0 1 0 0 1 1 1 0 0 1 0 1 0 1 1 0 1 0 1 0 1 0 0 0 0 0 0 0 0 0 0 0 0 0 0 0 0 0 0 0 0 0 0 0 0 0 0 0 0 0 0 0 0 0 0 0 0 0 0 0 0 0 0 0 0 0 0 0 1 1 0 0 1 0 0 0 0 0 1 0 1 0 0 1 0 1 0 0 1 0 1 0 1 1 1 0 0 0 0 1 0 0 1 1 0 1 0 0 0 1 1 1 1 1 0 0 0 1 0 1 1 1 1 1 1 0 1 1 1 0 0 1 0 1 0 1 0 0 1 0 0 0 1 1 1 0 1 1 1 1 1 0 1 0 1 0 1 1 1 0 1 1 1 1 0 1 0 0 0 0 0 0 0 0 0 0 0 0 0 0 0 0 0 0 0 0 0 0 0 0 0 0 0 0 0 0 0 0 0 0 0 0 0 0 0 0 0 0 0 0 0 0 0 0 0 0 0 0 0 0 1 0 0 0 1 0 0 1 1 1 0 0 0 1 1 1 1 0 0 0 0 1 1 1 1 1 0 1 0 0 1 1 0 0 1 0 0 0 1 1 1 1 0 1 1 1 1 0 1 1 1 1 1 0 0 0 0 0 1 0 1 1 1 1 1 0 1 1 0 0 0 0 0 0 1 1 1 0 1 0 0 0 1 1 1 1 1 1 0 0 1 1 1 0 0 0 0 0 0 0 0 1 0 0 0 0 0 0 0 0 0 0 0 0 0 0 0 0 0 0 0 0 0 0 0 0 0 0 0 0 0 0 0 0 0 0 0 0 0 0 0 0 0 0 0 0 0 0 1 1 0 0 1 0 0 0 1 0 1 1 0 1 1 0 0 0 1 1 1 1 1 0 0 1 0 1 1 1 1 1 0 1 1 1 0 1 1 1 1 0 0 0 1 0 0 1 0 1 0 0 1 0 0 1 1 1 0 0 0 1 1 0 1 0 1 1 0 0 0 1 1 1 1 0 1 1 0 1 1 0 1 0 0 0 1 1 1 0 0 1 1 1 1 0 0 0 1 0 0 1 1 1 0 0 0 0 0 0 0 0 0 0 0 0 0 0 0 0 0 0 0 0 0 0 0 0 0 0 0 0 0 0 0 0 0 0 0 0 0 0 0 0 0 0 0 0 0 0 0 0 1 1 1 1 0 0 0 0 1 1 0 1 1 1 1 1 0 0 1 0 1 0 0 0 1 0 0 0 0 0 0 1 0 1 0 0 1 1 0 1 0 0 0 0 1 1 1 0 1 0 0 0 0 0 0 1 0 0 0 0 0 0 0 0 0 0 0 1 1 0 0 0 1 0 0 0 1 1 0 0 1 1 0 1 1 0 1 0 0 1 0 1 1 0 1 1 1 0 1 1 0 0 0 0 0 0 0 0 0 0 0 0 0 0 0 0 0 0 0 0 0 0 0 0 0 0 0 0 0 0 0 0 0 0 0 0 0 0 0 0 0 0 0 0 0 0 0 0 1 0 0 1 0 1 0 0 0 1 1 0 0 0 1 0 0 1 1 1 1 1 0 1 0 1 0 0 1 1 0 0 1 0 1 0 0 1 0 0 1 0 0 1 0 0 1 0 1 0 1 0 0 1 1 0 1 1 0 0 0 0 0 0 1 1 0 1 1 0 1 0 0 1 1 1 1 0 1 0 1 1 0 1 0 0 1 1 1 0 1 0 0 1 0 1 1 0 0 0 0 0 0 0 1 0 0 0 0 0 0 0 0 0 0 0 0 0 0 0 0 0 0 0 0 0 0 0 0 0 0 0 0 0 0 0 0 0 0 0 0 0 0 0 0 0 0 0 0 0 0 1 0 1 1 1 0 0 1 1 1 0 0 1 1 1 1 1 0 1 1 0 1 1 1 1 1 0 1 1 0 1 1 0 0 0 1 0 0 1 0 1 1 0 1 1 1 0 0 0 1 1 0 0 0 1 1 1 0 0 1 0 0 0 1 0 0 0 1 0 1 1 0 1 1 1 0 1 1 0 1 1 1 1 1 1 0 1 1 0 1 0 1 1 0 0 0 0 0 1 0 0 0 0 1 0 0 0 0 0 0 0 0 0 0 0 0 0 0 0 0 0 0 0 0 0 0 0 0 0 0 0 0 0 0 0 0 0 0 0 0 0 0 0 0 0 0 0 0 0 0 0 0 0 1 1 1 1 0 1 1 1 0 0 0 1 1 1 0 0 1 0 0 0 1 0 0 1 0 1 0 1 1 0 1 0 0 1 1 0 0 0 0 0 0 0 1 1 1 0 0 1 0 0 1 1 1 0 1 1 1 1 0 0 0 0 0 0 1 1 0 1 1 0 1 1 1 0 0 0 0 0 1 0 1 1 0 0 1 1 1 0 0 0 0 0 0 0 0 1 0 0 0 1 1 0 0 0 0 0 0 0 0 0 0 0 0 0 0 0 0 0 0 0 0 0 0 0 0 0 0 0 0 0 0 0 0 0 0 0 0 0 0 0 0 0 0 0 0 0 1 1 0 0 1 1 1 0 1 1 1 0 0 0 0 1 1 0 1 0 1 0 0 0 0 0 0 0 0 1 1 1 0 1 1 1 0 0 0 0 0 1 0 0 1 0 1 1 1 0 1 0 0 0 0 1 0 1 1 1 0 1 0 0 0 0 1 1 0 1 1 0 0 1 0 0 1 1 1 0 1 0 1 0 0 1 1 1 0 0 0 0 1 0 0 0 0 0 1 1 0 0 1 0 1 0 0 0 0 0 0 0 0 0 0 0 0 0 0 0 0 0 0 0 0 0 0 0 0 0 0 0 0 0 0 0 0 0 0 0 0 0 0 0 0 0 0 0 0 0 1 0 1 0 1 0 0 0 1 1 1 1 1 0 1 0 1 0 1 0 0 1 0 0 1 1 0 0 1 1 1 0 1 0 0 0 0 0 0 0 1 1 1 1 1 0 1 1 0 0 1 0 1 1 0 0 0 0 0 1 1 1 0 0 0 0 0 0 1 1 0 0 0 1 1 0 1 0 1 1 0 0 0 1 1 0 0 0 1 0 1 0 0 1 1 0 0 1 0 1 1 0 0 1 0 0 0 0 0 0 0 0 0 0 0 0 0 0 0 0 0 0 0 0 0 0 0 0 0 0 0 0 0 0 0 0 0 0 0 0 0 0 0 0 0 0 0 0 0 0 0 1 1 1 0 1 1 0 1 0 1 0 0 1 1 1 0 1 1 1 0 1 1 0 0 0 0 0 0 0 1 0 1 1 1 0 0 0 0 1 0 1 1 0 1 1 0 1 0 1 0 0 0 1 0 1 0 0 1 0 1 1 0 0 0 0 0 0 0 0 1 1 0 1 1 1 0 1 0 0 1 0 1 1 1 1 0 1 0 0 1 1 1 0 1 1 0 0 1 0 0 1 0 0 1 0 0 0 0 0 0 0 0 0 0 0 0 0 0 0 0 0 0 0 0 0 0 0 0 0 0 0 0 0 0 0 0 0 0 0 0 0 0 0 0 0 0 0 0 0 0 0 1 0 1 1 1 1 0 1 0 1 1 1 1 1 0 1 0 0 1 0 1 0 0 1 1 0 1 0 0 1 1 0 0 0 1 1 0 1 1 0 1 0 1 0 1 1 1 0 0 1 0 1 1 0 0 1 0 1 1 0 1 0 0 1 1 1 0 1 1 1 1 0 0 0 0 1 1 1 1 1 0 1 1 0 1 1 1 1 1 0 0 0 1 0 1 0 0 1 1 0 0 0 1 0 0 0 0 0 0 0 0 0 0 0 0 0 0 0 0 0 0 0 0 0 0 0 0 0 0 0 0 0 0 0 0 0 0 0 0 0 0 0 0 0 0 0 0 0 1 1 1 0 1 1 0 1 0 1 0 0 1 1 1 0 1 1 1 0 0 0 0 0 0 1 1 1 1 1 1 0 0 0 0 1 1 0 0 1 0 0 1 1 1 1 1 0 0 0 0 0 1 1 1 1 0 0 1 0 1 0 0 1 0 1 0 1 1 0 0 1 0 0 0 0 1 1 0 1 0 1 1 1 0 0 0 0 0 1 0 1 1 1 0 1 0 0 0 1 0 0 0 0 1 0 0 0 0 0 0 0 0 0 0 0 0 0 0 0 0 0 0 0 0 0 0 0 0 0 0 0 0 0 0 0 0 0 0 0 0 0 0 0 0 0 0 0 0 0 0 1 1 1 1 1 1 0 1 1 1 1 0 0 0 0 1 0 1 1 0 1 1 1 0 1 1 0 0 1 0 0 0 1 1 1 0 0 1 1 0 0 0 0 1 0 1 0 1 0 1 1 1 0 0 0 0 1 0 0 1 0 0 1 1 0 1 0 0 0 1 0 1 0 1 0 0 0 0 1 0 1 0 1 0 1 1 0 0 0 0 1 0 0 1 0 0 0 0 1 1 1 0 0 1 0 0 0 0 0 0 0 0 0 0 0 0 0 0 0 0 0 0 0 0 0 0 0 0 0 0 0 0 0 0 0 0 0 0 0 0 0 0 0 0 0 0 0 0 0 0 1 1 1 1 0 1 0 0 1 1 0 1 0 0 1 1 1 1 1 1 1 1 0 1 0 0 0 0 0 1 0 1 0 0 1 1 1 1 1 1 0 0 0 0 0 1 1 1 0 1 1 1 0 1 0 0 1 0 0 1 1 0 0 0 0 1 1 0 0 0 1 1 0 1 1 0 0 1 0 0 0 1 1 0 0 1 0 1 0 0 0 1 0 0 1 1 0 0 1 1 0 1 1 0 0 0 0 0 0 0 0 0 0 0 0 0 0 0 0 0 0 0 0 0 0 0 0 0 0 0 0 0 0 0 0 0 0 0 0 0 0 0 0 0 0 0 0 0 0 0 1 0 1 1 1 1 0 1 0 0 1 0 1 0 0 1 1 0 0 1 0 0 1 0 0 0 1 0 1 0 1 0 0 0 1 1 1 1 0 1 1 1 1 0 1 1 1 1 1 1 0 1 1 1 0 0 0 1 0 1 0 1 1 0 0 0 0 1 0 0 1 1 0 0 0 1 0 1 0 1 1 1 1 0 0 1 0 0 0 1 1 0 0 0 1 0 1 1 0 0 0 0 1 1 0 0 0 0 0 0 0 0 0 0 0 0 0 0 0 0 0 0 0 0 0 0 0 0 0 0 0 0 0 0 0 0 0 0 0 0 0 0 0 0 0 0 0 0 0 1 1 1 0 1 1 0 1 1 0 1 1 1 0 0 1 1 1 0 1 1 1 1 0 1 1 1 0 0 0 0 1 1 1 0 1 0 0 0 0 0 1 1 1 0 1 1 1 0 1 0 1 0 1 1 1 1 0 1 1 0 1 1 0 0 1 1 1 1 1 1 0 0 0 1 0 1 0 1 1 1 0 0 1 1 0 1 0 0 0 0 1 0 1 1 0 0 0 1 1 0 0 1 0 1 0 0 0 0 0 0 0 0 0 0 0 0 0 0 0 0 0 0 0 0 0 0 0 0 0 0 0 0 0 0 0 0 0 0 0 0 0 0 0 0 0 0 0 0 0 1 0 1 1 0 1 0 1 1 1 0 1 1 1 0 1 1 1 1 1 0 1 0 0 0 1 0 0 1 0 0 0 0 1 0 1 0 0 0 0 1 1 1 1 0 1 0 1 1 1 0 1 1 1 1 1 0 1 0 0 1 0 0 0 1 0 1 0 0 1 0 0 0 1 1 0 0 1 1 1 0 0 0 1 1 1 1 1 1 1 1 0 1 0 0 0 0 1 0 1 1 1 1 0 0 0 0 0 0 0 0 0 0 0 0 0 0 0 0 0 0 0 0 0 0 0 0 0 0 0 0 0 0 0 0 0 0 0 0 0 0 0 0 0 0 0 0 0 0 0 1 0 1 1 1 0 0 0 1 1 1 1 1 0 1 0 1 0 0 0 1 1 1 0 1 1 0 0 1 1 1 0 1 0 1 1 0 1 1 1 1 0 0 0 0 1 1 0 1 1 0 0 0 1 0 0 1 1 0 0 0 1 0 1 1 1 0 1 1 1 0 0 0 0 0 0 0 1 0 1 0 1 0 1 0 0 1 1 1 1 1 1 0 1 1 1 1 1 0 0 1 1 1 1 0 0 0 0 0 0 0 0 0 0 0 0 0 0 0 0 0 0 0 0 0 0 0 0 0 0 0 0 0 0 0 0 0 0 0 0 0 0 0 0 0 0 0 0 0 0 1 0 0 1 0 0 1 0 0 0 0 0 1 0 1 1 0 0 1 0 1 0 1 1 0 0 0 1 0 0 1 1 0 1 0 1 1 1 1 1 1 1 0 0 1 1 0 0 0 1 0 1 1 1 1 1 0 1 0 0 0 1 1 0 0 1 1 0 0 1 1 0 0 1 0 0 1 0 0 1 1 0 0 1 1 1 0 1 1 1 1 1 0 0 1 1 1 1 1 0 1 0 0 0 0 0 0 0 0 0 0 0 0 0 0 0 0 0 0 0 0 0 0 0 0 0 0 0 0 0 0 0 0 0 0 0 0 0 0 0 0 0 0 0 0 0 0 0 0 0 0 0 0 0 0 0 0 1 1 0 0 0 0 0 1 0 0 0 1 1 1 1 0 1 1 1 0 1 0 1 1 0 0 1 1 0 1 1 1 0 0 1 1 0 1 0 0 1 0 0 0 1 1 0 1 0 0 1 1 0 1 0 1 1 1 0 1 1 1 0 1 1 1 0 0 0 1 0 0 1 0 0 1 1 1 0 0 1 1 1 1 0 0 0 1 1 0 0 0 0 1 1 0 0 1 0 0 0 0 0 0 0 0 0 0 0 0 0 0 0 0 0 0 0 0 0 0 0 0 0 0 0 0 0 0 0 0 0 0 0 0 0 0 0 0 0 0 0 0 0 0 0 1 1 0 1 0 1 0 0 1 0 0 0 0 1 0 0 0 1 1 0 0 1 0 1 1 1 0 1 1 0 1 0 0 0 0 0 1 0 0 0 0 0 0 0 0 0 0 0 0 0 0 0 1 1 1 0 0 1 0 1 0 1 1 0 1 1 0 1 1 0 1 0 0 0 0 0 0 1 1 0 1 1 0 0 0 0 1 0 1 1 1 1 0 1 1 0 0 1 0 0 1 0 1 0 0 0 0 0 0 0 0 0 0 0 0 0 0 0 0 0 0 0 0 0 0 0 0 0 0 0 0 0 0 0 0 0 0 0 0 0 0 0 0 0 0 0 0 0 1 0 1 0 0 0 0 0 0 1 1 1 1 0 1 0 1 1 0 0 0 1 1 1 1 1 0 0 1 1 0 0 1 1 1 1 1 1 1 0 0 1 1 0 1 0 0 0 0 0 0 0 1 1 1 0 1 0 1 0 1 1 1 0 0 0 1 0 1 0 0 0 1 1 0 1 0 0 1 0 0 0 0 1 1 1 0 0 1 1 1 0 0 0 0 0 0 1 0 1 0 0 0 0 1 0 0 0 0 0 0 0 0 0 0 0 0 0 0 0 0 0 0 0 0 0 0 0 0 0 0 0 0 0 0 0 0 0 0 0 0 0 0 0 0 0 0 0 0 0 0 0 1 1 0 1 0 0 1 0 0 1 0 0 1 1 1 1 0 1 0 1 1 0 1 0 0 1 1 1 0 1 1 0 1 1 1 1 1 1 1 1 0 1 1 1 1 1 0 1 0 0 0 1 0 1 1 1 0 1 0 0 0 1 0 1 1 0 1 0 1 0 0 1 0 1 1 1 0 1 0 0 0 0 0 0 1 1 1 1 0 1 1 1 1 0 0 0 0 1 0 1 1 1 1 0 0 0 0 0 0 0 0 0 0 0 0 0 0 0 0 0 0 0 0 0 0 0 0 0 0 0 0 0 0 0 0 0 0 0 0 0 0 0 0 0 0 0 0 0 0 1 0 0 0 0 0 1 1 0 1 1 1 1 1 1 1 0 0 1 1 1 0 0 0 1 0 0 1 0 0 0 1 0 0 0 0 0 1 1 1 0 0 0 1 1 1 1 1 1 0 0 0 0 0 0 0 1 1 1 1 1 1 1 1 0 1 1 0 0 0 1 1 0 1 0 1 0 1 0 0 1 0 0 0 0 1 0 1 0 1 1 1 1 0 0 1 1 1 1 1 1 1 1 0 0 0 0 0 0 0 0 0 0 0 0 0 0 0 0 0 0 0 0 0 0 0 0 0 0 0 0 0 0 0 0 0 0 0 0 0 0 0 0 0 0 0 0 0 0 1 1 1 0 1 0 1 0 1 0 0 1 0 0 1 0 0 0 0 0 0 1 1 1 0 1 1 1 0 0 1 1 1 0 0 0 0 1 0 1 1 0 0 1 0 0 1 1 0 1 1 1 1 0 0 1 1 0 1 1 0 0 0 0 0 0 0 0 1 1 0 1 1 0 0 0 0 0 1 1 1 0 0 0 0 0 0 1 0 1 0 1 1 0 1 1 1 1 1 0 0 0 0 0 1 0 0 0 0 0 0 0 0 0 0 0 0 0 0 0 0 0 0 0 0 0 0 0 0 0 0 0 0 0 0 0 0 0 0 0 0 0 0 0 0 0 0 0 0 0 0 1 1 0 0 0 0 0 0 1 1 1 1 1 0 1 0 0 0 0 1 0 1 0 0 0 1 1 0 0 0 0 0 1 0 0 1 0 0 1 1 0 1 0 1 1 1 1 1 1 0 0 1 1 0 0 0 1 1 0 1 1 0 1 1 1 1 0 1 0 0 1 0 1 1 1 0 1 1 1 0 1 1 0 0 1 0 0 0 1 0 1 1 1 1 0 0 0 0 1 1 1 1 1 1 0 0 0 0 0 0 0 0 0 0 0 0 0 0 0 0 0 0 0 0 0 0 0 0 0 0 0 0 0 0 0 0 0 0 0 0 0 0 0 0 0 0 0 0 0 0 0 0 0 1 0 0 1 1 1 0 1 0 1 1 0 0 1 1 0 1 1 0 0 0 1 0 0 1 0 0 0 1 0 0 0 0 0 0 1 1 0 1 1 0 0 0 0 0 1 1 1 0 1 1 1 0 1 1 1 1 1 1 0 0 0 1 0 0 1 0 0 1 1 1 1 1 1 0 1 0 1 0 1 0 1 0 0 0 1 1 0 1 1 0 1 1 1 1 1 1 1 1 0 0 0 0 0 0 0 0 0 0 0 0 0 0 0 0 0 0 0 0 0 0 0 0 0 0 0 0 0 0 0 0 0 0 0 0 0 0 0 0 0 0 0 0 0 0 0 0 1 1 0 0 1 1 0 0 1 1 1 0 0 0 0 1 0 0 0 1 0 0 0 1 0 1 0 0 1 1 0 0 1 0 1 0 0 1 0 1 0 1 0 0 1 0 0 1 1 0 1 1 0 1 0 0 1 0 0 0 1 1 0 0 1 1 0 1 0 1 1 1 0 1 1 0 1 1 1 0 1 0 1 1 0 1 0 1 1 0 1 1 1 1 1 1 1 0 0 1 0 0 1 0 0 0 0 0 0 0 0 0 0 0 0 0 0 0 0 0 0 0 0 0 0 0 0 0 0 0 0 0 0 0 0 0 0 0 0 0 0 0 0 0 0 0 0 0 0 1 1 1 0 1 0 0 1 0 1 1 0 1 1 0 0 1 1 0 0 1 1 1 0 0 1 1 1 0 1 0 1 0 1 0 0 0 0 1 0 1 0 0 0 0 0 1 1 0 1 0 1 0 1 1 1 0 0 0 0 0 0 0 0 0 0 0 0 0 0 0 1 0 0 0 0 1 1 0 1 0 0 0 1 1 1 0 0 1 0 0 1 1 0 0 1 0 0 1 0 0 1 0 1 1 0 0 0 0 0 0 0 0 0 0 0 0 0 0 0 0 0 0 0 0 0 0 0 0 0 0 0 0 0 0 0 0 0 0 0 0 0 0 0 0 0 0 0 0 0 0 1 0 1 1 0 1 0 1 1 1 1 1 1 0 1 0 0 1 0 1 1 1 0 0 1 1 0 0 0 1 0 1 1 1 0 1 1 1 0 0 0 1 0 0 0 1 0 0 0 0 1 1 0 1 1 1 0 0 1 0 1 0 1 0 1 0 1 0 1 1 1 1 0 1 1 0 0 0 1 0 0 0 1 0 0 1 0 0 1 1 1 0 1 0 0 1 0 1 1 0 0 1 1 1 0 0 0 0 0 0 0 0 0 0 0 0 0 0 0 0 0 0 0 0 0 0 0 0 0 0 0 0 0 0 0 0 0 0 0 0 0 0 0 0 0 0 0 0 0 1 0 0 1 0 1 0 1 1 0 0 1 1 0 1 1 0 0 1 1 1 1 0 1 0 0 1 1 1 0 1 0 0 1 1 0 1 0 1 0 0 1 0 1 0 1 1 0 1 0 1 0 1 1 1 0 0 0 1 1 0 0 1 0 0 1 0 1 1 0 1 1 1 1 1 1 0 0 0 1 0 1 1 0 1 0 0 1 0 1 0 0 0 1 0 0 0 1 1 1 1 0 0 1 0 0 0 0 0 0 0 0 0 0 0 0 0 0 0 0 0 0 0 0 0 0 0 0 0 0 0 0 0 0 0 0 0 0 0 0 0 0 0 0 0 0 0 0 0 0 1 0 1 0 0 0 0 0 0 0 0 0 1 1 0 0 0 0 1 0 0 1 1 0 1 1 0 1 0 1 1 1 1 0 0 1 0 0 0 0 0 0 0 1 1 1 0 1 1 1 0 1 1 1 1 0 0 1 1 1 0 0 0 0 0 0 1 0 0 1 0 0 1 1 0 1 0 0 0 1 1 0 1 0 1 0 0 0 0 0 1 0 0 1 0 1 0 0 1 0 1 0 0 0 0 0 0 0 0 0 0 0 0 0 0 0 0 0 0 0 0 0 0 0 0 0 0 0 0 0 0 0 0 0 0 0 0 0 0 0 0 0 0 0 0 0 0 0 0 0 1 0 1 1 1 1 0 1 1 0 0 0 1 1 1 0 0 1 0 0 1 1 0 0 1 1 1 1 1 0 1 0 0 0 1 1 1 1 0 0 0 1 1 1 0 0 1 0 1 0 0 1 1 1 1 0 0 0 1 1 0 1 1 1 1 1 0 1 0 1 1 0 0 0 1 0 0 1 1 0 1 1 1 0 0 0 1 0 0 0 1 0 1 1 1 1 0 0 0 0 1 1 1 0 1 0 0 0 0 0 0 0 0 0 0 0 0 0 0 0 0 0 0 0 0 0 0 0 0 0 0 0 0 0 0 0 0 0 0 0 0 0 0 0 0 0 0 0 0 0 1 1 1 1 0 0 1 0 1 0 0 0 0 1 1 0 1 0 1 1 0 0 0 0 1 1 1 1 1 1 0 0 0 1 1 0 1 1 1 1 1 1 1 1 1 0 0 0 0 1 0 1 1 0 1 1 1 0 0 1 1 0 1 1 1 1 0 1 0 1 0 1 0 1 1 1 0 1 0 0 0 0 1 1 0 0 0 1 0 1 0 1 1 0 1 1 1 1 0 1 0 1 0 1 0 0 0 0 0 0 0 0 0 0 0 0 0 0 0 0 0 0 0 0 0 0 0 0 0 0 0 0 0 0 0 0 0 0 0 0 0 0 0 0 0 0 0 0 0 0 0 0 0 0 1 1 0 1 0 0 0 0 0 1 0 0 0 0 1 0 1 0 0 1 0 1 0 1 0 0 0 0 0 0 0 1 0 0 1 0 0 1 1 0 0 1 0 0 1 0 1 1 0 1 0 0 0 0 1 0 0 1 0 0 1 0 1 1 1 0 0 1 1 1 0 0 0 0 0 1 0 1 0 0 0 0 0 0 0 1 0 0 0 0 0 0 1 0 1 0 0 1 0 1 1 0 0 0 0 0 0 0 0 0 0 0 0 0 0 0 0 0 0 0 0 0 0 0 0 0 0 0 0 0 0 0 0 0 0 0 0 0 0 0 0 0 0 0 0 0 0 1 1 0 0 1 0 0 0 0 0 0 0 0 1 0 1 1 1 1 1 1 0 1 0 0 1 1 0 1 1 1 0 0 1 1 0 1 1 0 1 1 0 1 0 1 0 1 1 1 0 0 0 0 1 0 1 1 1 1 0 0 0 0 1 1 1 1 0 1 1 0 0 1 1 0 1 1 1 0 0 0 0 1 0 1 1 1 0 1 1 0 1 1 1 0 1 0 1 1 0 0 1 0 0 0 0 0 0 0 0 0 0 0 0 0 0 0 0 0 0 0 0 0 0 0 0 0 0 0 0 0 0 0 0 0 0 0 0 0 0 0 0 0 0 0 0 0 0 0 1 0 1 0 0 1 0 1 0 0 1 1 0 1 0 0 0 1 0 1 0 1 1 0 0 0 0 1 1 0 1 0 0 0 0 0 1 1 1 0 1 0 1 1 1 1 1 0 0 1 1 1 0 0 1 1 1 1 0 0 1 1 0 0 0 1 0 1 0 0 1 1 0 0 0 0 1 1 0 0 1 1 1 1 1 0 0 0 1 1 0 1 0 1 1 0 0 1 0 0 0 0 0 1 0 0 0 0 0 0 0 0 0 0 0 0 0 0 0 0 0 0 0 0 0 0 0 0 0 0 0 0 0 0 0 0 0 0 0 0 0 0 0 0 0 0 0 0 0 0 1 1 1 0 0 1 0 1 0 0 1 1 1 0 1 0 0 1 1 0 0 1 1 1 0 0 1 0 1 1 0 1 1 1 1 1 0 1 0 1 1 0 0 0 0 1 0 1 1 1 1 1 1 0 0 1 0 0 0 1 1 0 0 0 0 1 1 0 0 0 1 1 0 0 1 0 1 0 1 0 1 0 0 0 0 0 0 0 0 0 0 0 0 0 0 0 0 0 1 0 1 0 0 1 0 0 0 0 0 0 0 0 0 0 0 0 0 0 0 0 0 0 0 0 0 0 0 0 0 0 0 0 0 0 0 0 0 0 0 0 0 0 0 0 0 0 0 0 0 0 0 0 0 0 0 1 0 0 1 0 0 1 0 0 1 1 1 1 1 1 1 1 1 0 0 0 0 0 0 1 0 0 0 0 0 0 0 0 0 1 0 1 0 1 1 0 0 0 1 1 0 1 1 1 1 1 1 1 1 1 1 1 1 1 0 1 1 0 0 0 1 0 1 0 1 0 0 1 1 1 1 1 0 0 0 1 1 0 1 0 1 0 1 1 1 1 0 0 1 0 1 1 0 1 0 0 0 0 0 0 0 0 0 0 0 0 0 0 0 0 0 0 0 0 0 0 0 0 0 0 0 0 0 0 0 0 0 0 0 0 0 0 0 0 0 0 0 0 0 0 0 1 1 1 1 0 0 1 0 1 0 1 0 1 1 0 0 0 0 1 0 0 1 1 1 0 1 1 1 0 0 1 1 1 1 0 1 1 1 1 0 0 0 0 1 1 0 1 1 1 1 1 1 0 1 0 1 0 1 0 0 1 1 0 0 0 0 0 1 0 1 1 0 0 1 1 1 0 0 1 1 1 0 0 0 1 0 1 1 1 1 0 1 0 0 1 1 0 1 0 1 1 0 1 0 0 0 0 0 0 0 0 0 0 0 0 0 0 0 0 0 0 0 0 0 0 0 0 0 0 0 0 0 0 0 0 0 0 0 0 0 0 0 0 0 0 0 0 0 0 0 1 0 0 1 1 1 0 1 0 1 0 1 0 0 1 1 0 0 1 0 1 1 1 0 1 0 1 1 0 1 0 1 1 0 0 1 0 0 0 0 0 1 1 0 1 1 1 0 1 0 0 1 1 1 1 0 1 0 0 1 1 0 0 1 0 0 0 0 1 0 0 1 1 0 1 1 1 0 1 0 1 1 1 0 0 0 1 1 0 1 1 0 1 1 1 1 0 1 0 1 1 1 0 1 0 0 0 0 0 0 0 0 0 0 0 0 0 0 0 0 0 0 0 0 0 0 0 0 0 0 0 0 0 0 0 0 0 0 0 0 0 0 0 0 0 0 0 0 0 1 1 0 0 1 0 1 0 1 1 1 0 0 0 1 1 0 0 0 1 0 1 0 0 0 0 1 1 0 0 1 1 0 0 1 1 0 0 1 0 1 0 0 0 0 1 1 0 1 1 1 0 0 0 0 0 0 0 1 0 0 1 1 0 1 0 1 1 0 0 1 1 0 1 1 0 1 0 0 0 1 0 0 1 0 1 1 0 1 1 0 1 0 1 0 1 1 1 0 1 1 0 0 1 0 0 0 0 0 0 0 0 0 0 0 0 0 0 0 0 0 0 0 0 0 0 0 0 0 0 0 0 0 0 0 0 0 0 0 0 0 0 0 0 0 0 0 0 0 0 0 0 0 0 1 0 1 0 0 1 1 0 1 1 1 1 0 1 1 1 0 1 1 0 0 1 1 1 0 1 0 0 1 1 1 1 1 0 1 1 1 0 1 1 0 1 0 0 0 0 0 0 1 1 0 0 0 1 1 0 0 0 1 0 1 0 1 0 0 0 1 1 1 1 0 1 0 1 1 0 1 1 0 0 0 0 0 0 1 0 1 1 0 0 1 1 0 0 1 0 0 0 1 1 1 0 0 0 0 0 0 0 0 0 0 0 0 0 0 0 0 0 0 0 0 0 0 0 0 0 0 0 0 0 0 0 0 0 0 0 0 0 0 0 0 0 0 0 0 0 1 0 1 0 1 0 1 1 1 0 1 0 0 1 0 0 1 1 1 0 1 0 0 1 0 1 0 0 0 1 0 1 1 1 1 1 1 0 0 0 0 0 0 0 1 1 1 1 0 0 1 1 0 1 0 0 1 0 0 1 1 0 0 0 1 1 1 1 1 0 1 1 0 0 0 1 1 1 0 1 1 0 0 1 1 0 1 0 0 1 1 1 1 1 1 0 0 1 1 1 0 1 1 1 1 0 0 0 0 0 0 0 0 0 0 0 0 0 0 0 0 0 0 0 0 0 0 0 0 0 0 0 0 0 0 0 0 0 0 0 0 0 0 0 0 0 0 0 0 0 1 1 1 1 1 1 0 0 0 1 1 1 1 1 0 0 1 1 1 1 0 0 0 1 0 1 1 0 0 1 0 1 0 1 0 1 0 1 1 0 0 0 1 1 1 1 1 0 0 0 1 0 1 1 1 1 0 0 1 1 1 1 0 1 0 1 0 0 0 1 0 0 1 1 1 0 0 0 0 0 1 1 0 0 0 1 1 1 0 0 0 1 0 0 1 0 1 1 1 1 1 1 1 0 1 0 0 0 0 0 0 0 0 0 0 0 0 0 0 0 0 0 0 0 0 0 0 0 0 0 0 0 0 0 0 0 0 0 0 0 0 0 0 0 0 0 0 0 0 0 1 1 1 0 1 0 1 1 1 1 0 0 1 0 0 1 0 1 0 0 1 0 1 1 1 0 0 0 0 1 0 1 0 1 1 1 0 0 1 1 0 1 1 1 1 1 0 1 0 1 1 1 1 1 1 0 1 1 1 1 0 1 0 0 0 0 0 0 0 1 1 0 0 0 1 1 1 0 1 1 1 0 1 0 1 0 1 1 1 0 0 1 1 1 1 1 1 1 0 1 1 0 0 1 0 0 0 0 0 0 0 0 0 0 0 0 0 0 0 0 0 0 0 0 0 0 0 0 0 0 0 0 0 0 0 0 0 0 0 0 0 0 0 0 0 0 0 0 0 0 0 1 0 0 0 1 0 1 1 1 1 0 1 0 1 1 0 0 0 1 0 0 0 1 1 1 0 0 1 0 0 1 0 0 0 0 1 0 1 1 1 0 1 0 0 0 1 0 0 1 1 0 0 1 1 1 1 0 0 0 0 0 1 0 0 1 0 1 1 0 0 0 0 0 1 1 0 0 1 1 0 1 1 0 0 1 1 1 1 1 1 1 1 1 0 1 0 0 1 0 0 0 1 1 1 0 0 0 0 0 0 0 0 0 0 0 0 0 0 0 0 0 0 0 0 0 0 0 0 0 0 0 0 0 0 0 0 0 0 0 0 0 0 0 0 0 0 0 0 0 0 1 0 1 1 1 0 0 0 1 1 0 0 0 0 1 1 1 0 0 1 0 0 0 1 0 0 1 0 1 1 1 0 0 0 0 1 0 0 1 1 1 1 0 1 1 1 1 1 1 1 0 1 1 0 0 1 0 0 0 1 1 1 0 1 1 0 1 1 0 0 0 1 0 0 0 1 1 1 0 1 1 0 0 0 1 1 0 1 1 0 1 0 1 1 0 0 1 1 1 0 0 1 1 1 0 0 0 0 0 0 0 0 0 0 0 0 0 0 0 0 0 0 0 0 0 0 0 0 0 0 0 0 0 0 0 0 0 0 0 0 0 0 0 0 0 0 0 0 0 1 1 1 0 1 0 0 1 1 0 1 0 1 0 1 1 1 0 1 0 1 1 1 1 0 0 1 0 1 0 1 0 0 1 0 1 1 1 0 0 1 0 1 0 0 0 1 1 0 1 1 1 0 1 0 1 1 0 1 1 0 1 1 0 0 0 0 1 1 0 1 0 0 0 0 0 0 1 1 0 0 1 1 1 0 0 0 1 0 1 0 0 0 0 1 0 0 1 1 1 1 0 0 0 0 0 0 0 0 0 0 0 0 0 0 0 0 0 0 0 0 0 0 0 0 0 0 0 0 0 0 0 0 0 0 0 0 0 0 0 0 0 0 0 0 0 0 0 0 0 1 1 1 0 1 1 0 0 0 0 0 1 1 0 0 1 0 0 0 0 1 1 0 0 1 1 0 1 0 0 0 0 1 1 0 0 0 0 0 0 0 1 1 1 1 1 0 1 1 1 1 1 0 1 1 1 1 1 0 1 1 0 1 0 1 1 1 1 0 1 1 0 0 1 0 1 0 0 0 0 1 1 1 1 1 0 0 0 1 0 1 1 0 1 1 1 0 0 0 0 1 0 0 0 1 0 0 0 0 0 0 0 0 0 0 0 0 0 0 0 0 0 0 0 0 0 0 0 0 0 0 0 0 0 0 0 0 0 0 0 0 0 0 0 0 0 0 0 0 0 0 0 1 0 1 1 0 1 1 0 1 1 0 0 0 1 0 1 1 0 1 0 1 0 1 0 1 0 1 0 0 1 0 1 1 1 0 1 0 0 0 0 1 0 0 1 1 1 0 0 1 0 0 0 0 0 0 1 0 1 1 0 0 1 0 0 0 0 1 1 0 1 1 1 1 1 1 0 0 1 0 1 1 1 1 1 1 0 1 1 1 0 1 0 0 1 0 0 0 1 1 1 1 1 0 0 0 0 0 0 0 0 0 0 0 0 0 0 0 0 0 0 0 0 0 0 0 0 0 0 0 0 0 0 0 0 0 0 0 0 0 0 0 0 0 0 0 0 0 0 1 0 1 0 0 0 0 1 1 0 0 1 0 0 0 1 1 1 1 0 0 1 1 0 1 1 1 1 1 1 0 1 0 1 1 0 0 1 1 1 0 1 0 0 1 1 1 1 0 1 1 1 0 0 1 1 1 0 0 1 0 0 0 0 0 1 0 0 1 1 1 1 0 1 1 0 0 0 1 1 1 0 0 1 1 1 0 0 1 0 1 1 1 1 1 1 1 1 1 0 0 1 1 1 1 0 0 0 0 0 0 0 0 0 0 0 0 0 0 0 0 0 0 0 0 0 0 0 0 0 0 0 0 0 0 0 0 0 0 0 0 0 0 0 0 0 0 0 0 0 0 0 1 1 1 0 1 0 0 0 1 0 0 1 1 1 0 0 0 1 0 1 1 1 1 0 0 0 0 1 0 0 1 1 1 1 1 0 1 1 0 0 1 1 1 1 0 1 1 0 0 1 0 1 1 1 0 1 1 0 1 1 0 0 0 0 1 1 0 0 0 1 0 0 0 1 1 0 0 0 1 1 1 1 0 0 0 0 0 1 0 1 0 1 1 0 1 1 1 1 0 1 0 0 0 0 0 0 0 0 0 0 0 0 0 0 0 0 0 0 0 0 0 0 0 0 0 0 0 0 0 0 0 0 0 0 0 0 0 0 0 0 0 0 0 0 0 0 0 0 1 1 0 0 1 0 1 0 1 0 0 0 1 0 1 1 0 1 0 0 0 0 1 0 1 1 0 0 0 1 0 1 0 0 1 0 1 1 0 0 1 1 0 0 1 1 1 1 0 1 0 0 0 1 0 1 0 0 0 0 1 0 0 1 0 1 1 1 0 0 1 1 1 1 1 0 0 1 1 0 0 1 0 0 1 0 0 1 0 0 0 1 0 0 1 0 1 0 0 0 0 1 1 0 1 0 0 0 0 0 0 0 0 0 0 0 0 0 0 0 0 0 0 0 0 0 0 0 0 0 0 0 0 0 0 0 0 0 0 0 0 0 0 0 0 0 0 0 0 0 0 1 1 1 1 1 1 1 0 1 0 0 0 0 1 1 1 1 1 1 1 1 1 1 1 0 1 0 0 1 0 1 1 0 0 0 1 0 1 1 1 1 1 1 0 0 1 1 1 0 0 0 1 1 1 0 1 1 0 0 0 1 1 1 1 1 1 0 1 1 1 0 0 0 0 0 1 1 1 0 1 0 1 0 1 0 0 1 1 0 1 0 1 0 1 0 1 1 0 1 1 1 1 1 0 0 0 0 0 0 0 0 0 0 0 0 0 0 0 0 0 0 0 0 0 0 0 0 0 0 0 0 0 0 0 0 0 0 0 0 0 0 0 0 0 0 0 0 0 0 0 1 1 0 0 1 1 1 0 0 1 1 0 0 1 0 1 1 1 0 0 0 0 1 0 0 0 1 1 0 0 1 0 0 1 0 1 0 1 0 1 0 1 1 1 1 1 0 0 0 0 0 0 1 0 0 1 0 0 0 0 0 1 0 0 0 0 0 1 1 0 0 0 1 1 1 0 1 1 1 1 1 1 0 0 1 0 1 1 0 1 0 1 0 0 1 1 1 1 0 1 0 0 0 0 0 0 0 0 0 0 0 0 0 0 0 0 0 0 0 0 0 0 0 0 0 0 0 0 0 0 0 0 0 0 0 0 0 0 0 0 0 0 0 0 0 0 0 0 0 0 1 0 0 1 1 1 1 0 0 0 0 0 0 0 0 1 0 0 1 1 1 1 0 0 1 1 1 0 1 1 1 0 1 1 1 0 1 1 1 1 1 1 1 1 1 0 1 1 0 0 0 1 1 0 1 0 0 0 1 1 1 0 1 0 1 1 1 0 0 0 0 1 1 1 1 0 1 0 1 1 0 0 1 1 0 0 1 0 1 0 1 0 0 1 1 0 0 0 0 1 1 1 1 0 0 0 0 0 0 0 0 0 0 0 0 0 0 0 0 0 0 0 0 0 0 0 0 0 0 0 0 0 0 0 0 0 0 0 0 0 0 0 0 0 0 0 0 0 0 0 0 0 1 1 0 0 1 1 0 0 1 0 0 0 1 1 0 1 1 1 1 1 0 0 0 1 0 0 1 0 0 1 1 1 0 1 0 1 0 0 1 1 1 0 1 0 1 0 1 0 1 1 1 1 1 1 0 1 1 1 1 1 0 0 1 0 1 1 1 0 1 1 1 0 1 1 1 0 1 0 0 0 1 0 0 0 1 0 1 1 0 1 0 0 1 1 1 1 0 0 0 1 0 0 0 0 0 0 0 0 0 0 0 0 0 0 0 0 0 0 0 0 0 0 0 0 0 0 0 0 0 0 0 0 0 0 0 0 0 0 0 0 0 0 0 0 0 0 0 0 1 0 1 0 0 0 1 1 0 0 0 1 1 1 1 1 0 0 1 1 1 1 0 0 0 0 1 1 1 0 1 0 0 1 0 0 1 0 0 0 0 0 1 1 1 0 0 1 0 0 1 0 1 1 0 1 1 1 0 0 1 0 0 1 1 1 0 0 1 0 0 1 0 1 1 1 1 1 1 0 1 0 0 1 1 0 0 1 1 1 1 1 1 0 0 0 1 0 0 0 1 0 0 1 0 0 0 0 0 0 0 0 0 0 0 0 0 0 0 0 0 0 0 0 0 0 0 0 0 0 0 0 0 0 0 0 0 0 0 0 0 0 0 0 0 0 0 0 0 0 0 1 1 0 0 0 0 0 0 1 0 1 1 0 0 0 0 1 1 1 0 1 0 1 1 1 1 0 1 1 0 0 0 1 0 1 0 0 1 0 1 1 1 0 1 0 1 1 1 0 0 1 1 1 0 0 0 1 0 1 0 0 1 1 0 0 0 0 0 1 0 0 0 1 0 1 1 1 0 0 0 0 1 1 1 1 0 1 0 0 1 1 1 0 0 1 0 0 1 0 0 1 1 1 0 0 0 0 0 0 0 0 0 0 0 0 0 0 0 0 0 0 0 0 0 0 0 0 0 0 0 0 0 0 0 0 0 0 0 0 0 0 0 0 0 0 0 0 0 1 1 1 1 1 0 1 0 0 1 0 0 1 0 0 0 0 1 0 1 0 1 0 1 0 1 1 1 1 1 0 0 0 1 1 1 1 1 1 1 0 1 0 1 1 0 1 1 1 0 1 1 1 1 0 1 0 1 0 0 0 0 0 0 1 0 1 0 1 0 0 1 1 0 0 1 0 1 0 1 1 1 1 0 1 1 1 1 1 1 1 1 1 0 0 0 0 1 1 1 1 0 1 0 0 0 0 0 0 0 0 0 0 0 0 0 0 0 0 0 0 0 0 0 0 0 0 0 0 0 0 0 0 0 0 0 0 0 0 0 0 0 0 0 0 0 0 0 0 0 0 1 0 1 1 0 0 1 1 1 0 1 0 1 1 1 1 1 1 0 0 0 1 0 0 1 0 0 1 1 1 1 0 1 0 1 1 1 0 1 0 1 0 0 0 1 0 1 0 1 1 1 1 1 1 0 0 1 0 1 1 0 0 1 1 1 1 1 0 1 0 0 0 0 0 1 1 0 0 0 1 0 1 1 1 0 1 1 1 1 1 0 1 1 0 1 0 1 0 0 1 0 1 1 1 0 0 0 0 0 0 0 0 0 0 0 0 0 0 0 0 0 0 0 0 0 0 0 0 0 0 0 0 0 0 0 0 0 0 0 0 0 0 0 0 0 0 0 0 0 0 0 0 1 0 1 0 1 1 0 1 1 0 0 0 1 0 1 1 0 0 0 0 0 1 0 1 0 1 1 0 0 1 1 1 1 0 1 0 1 1 0 0 0 0 0 1 1 1 0 1 0 0 1 0 0 0 1 0 1 0 0 1 1 1 0 0 1 1 0 1 1 0 1 1 1 0 0 0 1 1 1 1 1 0 1 1 0 0 1 0 0 0 1 1 1 0 1 1 1 1 1 0 1 0 0 0 0 0 0 0 0 0 0 0 0 0 0 0 0 0 0 0 0 0 0 0 0 0 0 0 0 0 0 0 0 0 0 0 0 0 0 0 0 0 0 0 0 0 0 0 0 0 0 1 1 1 1 0 1 1 1 0 0 0 1 0 0 1 0 1 1 1 1 1 0 1 1 0 0 0 0 0 1 0 1 0 0 1 0 1 0 1 0 0 0 1 0 0 0 1 1 0 0 1 1 0 0 0 0 0 0 0 0 1 1 1 0 1 0 0 0 0 0 0 1 0 1 1 0 0 0 1 0 0 0 1 1 0 1 1 0 1 0 0 1 1 0 1 0 0 0 0 0 0 0 0 0 0 0 0 0 0 0 0 0 0 0 0 0 0 0 0 0 0 0 0 0 0 0 0 0 0 0 0 0 0 0 0 0 0 0 0 0 0 0 0 0 0 0 0 0 0 0 0 0 0 0 0 0 0 0 0 0 0 0 0 0 0 0 0 0 0 0 0 0 0 0 0 0 0 0 0 0 0 0 0 0 0 0 0 0 0 0 0 0 0 0 0 0 0 0 0 0 0 0 0 0 0 0 0 0 0 0 0 0 0 0 0 0 0 0 0 0 0 0 0 0 0 0 0 0 0 0 0 0 0 0 0 0 0 0 0 0 0 0 0 0 0 0 0 0 0 0 0 0 0 0 0 0 0 0 0 0 0 0 0 0 0 0 0 0 0 0 0 0 0 0 0 0 0 0 0 0 0 0 0 0 0 0 0 0 0 0 0 0 0 0 0 0 0 0 0 0 0 0 0 0 0 0 0 0 0 0 0 0 0 0 0 0 0 0 0 0 0 0 0 0 0 0 0 0 0 0 0 0 0 0 0 0 0 0 0 0 0 0 0 0 0 0 0 0 0 0 0 0 0 0 0 0 0 0 0 0 0 0 0 0 0 0 0 0 0 0 0 0 0 0 0 0 0 0 0 0 0 0 0 0 0 0 0 0 0 0 0 0 0 0 0 0 0 0 0 0 0 0 0 0 0 0 0 0 0 0 0 0 0 0 0 0 0 0 0 0 0 0 0 0 0 0 0 0 0 0 0 0 0 0 0 0 0 0 0 0 0 0 0 0 0 0 0 0 0 0 0 0 0 0 0 0 0 0 0 0 0 0 0 0 0 0 0 0 0 0 0 0 0 0 0 0 0 0 0 0 0 0 0 0 0 0 0 0 0 0 0 0 0 0 0 0 0 0 0 0 0 0 0 0 0 0 0 0 0 0 0 0 0 0 0 0 0 0 0 0 0 0 0 0 0 0 0 0 0 0 0 0 0 0 0 0 0 0 0 0 0 0 0 0 0 0 0 0 0 0 0 0 0 0 0 0 0 0 0 0 0 0 0 0 0 0 0 0 0 0 0 0 0 0 0 0 0 0 0 0 0 0 0 0 0 0 0 0 0 0 0 0 0 0 0 0 0 0 0 0 0 0 0 0 0 0 0 0 0 0 0 0 0 0 0 0 0 0 0 0 0 0 0 0 0 0 0 0 0 0 0 0 0 0 0 0 0 0 0 0 0 0 0 0 0 0 0 0 0 0 0 0 0 0 0 0 0 0 0 0 0 0 0 0 0 0 0 0 0 0 0 0 0 0 0 0 0 0 0 0 0 0 0 0 0 0 0 0 0 0 0 0 0 0 0 0 0 0 0 0 0 0 0 0 0 0 0 0 0 0 0 0 0 0 0 0 0 0 0 0 0 0 0 0 0 0 0 0 0 0 0 0 0 0 0 0 0 0 0 0 0 0 0 0 0 0 0 0 0 0 0 0 0 0 0 0 0 0 0 0 0 0 0 0 0 0 0 0 0 0 0 0 0 0 0 0 0 0 0 0 0 0 0 0 0 0 0 0 0 0 0 0 0 0 0 0 0 0 0 0 0 0 0 0 0 0 0 0 0 0 0 0 0 0 0 0 0 0 0 0 0 0 0 0 0 0 0 0 0 0 0 0 0 0 0 0 0 0 0 0 0 0 0 0 0 0 0 0 0 0 0 0 0 0 0 0 0 0 0 0 0 0 0 0 0 0 0 0 0 0 0 0 0 0 0 0 0 0 0 0 0 0 0 0 0 0 0 0 0 0 0 0 0 0 0 0 0 0 0 0 0 0 0 0 0 0 0 0 0 0 0 0 0 0 0 0 0 0 0 0 0 0 0 0 0 0 0 0 0 0 0 0 0 0 0 0 0 0 0 0 0 0 0 0 0 0 0 0 0 0 0 0 0 0 0 0 0 0 0 0 0 0 0 0 0 0 0 0 0 0 0 0 0 0 0 0 0 0 0 0 0 0 0 0 0 0 0 0 0 0 0 0 0 0 0 0 0 0 0 0 0 0 0 0 0 0 0 0 0 0 0 0 0 0 0 0 0 0 0 0 0 0 0 0 0 0 0 0 0 0 0 0 0 0 0 0 0 0 0 0 0 0 0 0 0 0 0 0 0 0 0 0 0 0 0 0 0 0 0 0 0 0 0 0 0 0 0 0 0 0 0 0 0 0 0 0 0 0 0 0 0 0 0 0 0 0 0 0 0 0 0 0 0 0 0 0 0 0 0 0 0 0 0 0 0 0 0 0 0 0 0 0 0 0 0 0 0 0 0 0 0 0 0 0 0 0 0 0 0 0 0 0 0 0 0 0 0 0 0 0 0 0 0 0 0 0 0 0 0 0 0 0 0 0 0 0 0 0 0 0 0 0 0 0 0 0 0 0 0 0 0 0 0 0 0 0 0 0 0 0 0 0 0 0 0 0 0 0 0 0 0 0 0 0 0 0 0 0 0 0 0 0 0 0 0 0 0 0 0 0 0 0 0 0 0 0 0 0 0 0 0 0 0 0 0 0 0 0 0 0 0 0 0 0 0 0 0 0 0 0 0 0 0 0 0 0 0 0 0 0 0 0 0 0 0 0 0 0 0 0 0 0 0 0 0 0 0 0 0 0 0 0 0 0 0 0 0 0 0 0 0 0 0 0 0 0 0 0 0 0 0 0 0 0 0 0 0 0 0 0 0 0 0 0 0 0 0 0 0 0 0 0 0 0 0 0 0 0 0 0 0 0 0 0 0 0 0 0 0 0 0 0 0 0 0 0 0 0 0 0 0 0 0 0 0 0 0 0 0 0 0 0 0 0 0 0 0 0 0 0 0 0 0 0 0 0 0 0 0 0 0 0 0 0 0 0 0 0 0 0 0 0 0 0 0 0 0 0 0 0 0 0 0 0 0 0 0 0 0 0 0 0 0 0 0 0 0 0 0 0 0 0 0 0 0 0 0 0 0 0 0 0 0 0 0 0 0 0 0 0 0 0 0 0 0 0 0 0 0 0 0 0 0 0 0 0 0 0 0 0 0 0 0 0 0 0 0 0 0 0 0 0 0 0 0 0 0 0 0 0 0 0 0 0 0 0 0 0 0 0 0 0 0 0 0 0 0 0 0 0 0 0 0 0 0 0 0 0 0 0 0 0 0 0 0 0 0 0 0 0 0 0 0 0 0 0 0 0 0 0 0 0 0 0 0 0 0 0 0 0 0 0 0 0 0 0 0 0 0 0 0 0 0 0 0 0 0 0 0 0 0 0 0 0 0 0 0 0 0 0 0 0 0 0 0 0 0 0 0 0 0 0 0 0 0 0 0 0 0 0 0 0 0 0 0 0 0 0 0 0 0 0 0 0 0 0 0 0 0 0 0 0 0 0 0 0 0 0 0 0 0 0 0 0 0 0 0 0 0 0 0 0 0 0 0 0 0 0 0 0 0 0 0 0 0 0 0 0 0 0 0 0 0 0 0 0 0 0 0 0 0 0 0 0 0 0 0 0 0 0 0 0 0 0 0 0 0 0 0 0 0 0 0 0 0 0 0 0 0 0 0 0 0 0 0 0 0 0 0 0 0 0 0 0 0 0 0 0 0 0 0 0 0 0 0 0 0 0 0 0 0 0 0 0 0 0 0 0 0 0 0 0 0 0 0 0 0 0 0 0 0 0 0 0 0 0 0 0 0 0 0 0 0 0 0 0 0 0 0 0 0 0 0 0 0 0 0 0 0 0 0 0 0 0 0 0 0 0 0 0 0 0 0 0 0 0 0 0 0 0 0 0 0 0 0 0 0 0 0 0 0 0 0 0 0 0 0 0 0 0 0 0 0 0 0 0 0 0 0 0 0 0 0 0 0 0 0 0 0 0 0 0 0 0 0 0 0 0 0 0 0 0 0 0 0 0 0 0 0 0 0 0 0 0 0 0 0 0 0 0 0 0 0 0 0 0 0 0 0 0 0 0 0 0 0 0 0 0 0 0 0 0 0 0 0 0 0 0 0 0 0 0 0 0 0 0 0 0 0 0 0 0 0 0 0 0 0 0 0 0 0 0 0 0 0 0 0 0 0 0 0 0 0 0 0 0 0 0 0 0 0 0 0 0 0 0 0 0 0 0 0 0 0 0 0 0 0 0 0 0 0 0 0 0 0 0 0 0 0 0 0 0 0 0 0 0 0 0 0 0 0 0 0 0 0 0 0 0 0 0 0 0 0 0 0 0 0 0 0 0 0 0 0 0 0 0 0 0 0 0 0 0 0 0 0 0 0 0 0 0 0 0 0 0 0 0 0 0 0 0 0 0 0 0 0 0 0 0 0 0 0 0 0 0 0 0 0 0 0 0 0 0 0 0 0 0 0 0 0 0 0 0 0 0 0 0 0 0 0 0 0 0 0 0 0 0 0 0 0 0 0 0 0 0 0 0 0 0 0 0 0 0 0 0 0 0 0 0 0 0 0 0 0 0 0 0 0 0 0 0 0 0 0 0 0 0 0 0 0 0 0 0 0 0 0 0 0 0 0 0 0 0 0 0 0 0 0 0 0 0 0 0 0 0 0 0 0 0 0 0 0 0 0 0 0 0 0 0 0 0 0 0 0 0 0 0 0 0 0 0 0 0 0 0 0 0 0 0 0 0 0 0 0 0 0 0 0 0 0 0 0 0 0 0 0 0 0 0 0 0 0 0 0 0 0 0 0 0 0 0 0 0 0 0 0 0 0 0 0 0 0 0 0 0 0 0 0 0 0 0 0 0 0 0 0 0 0 0 0 0 0 0 0 0 0 0 0 0 0 0 0 0 0 0 0 0 0 0 0 0 0 0 0 0 0 0 0 0 0 0 0 0 0 0 0 0 0 0 0 0 0 0 0 0 0 0 0 0 0 0 0 0 0 0 0 0 0 0 0 0 0 0 0 0 0 0 0 0 0 0 0 0 0 0 0 0 0 0 0 0 0 0 0 0 0 0 0 0 0 0 0 0 0 0 0 0 0 0 0 0 0 0 0 0 0 0 0 0 0 0 0 0 0 0 0 0 0 0 0 0 0 0 0 0 0 0 0 0 0 0 0 0 0 0 0 0 0 0 0 0 0 0 0 0 0 0 0 0 0 0 0 0 0 0 0 0 0 0 0 0 0 0 0 0 0 0 0 0 0 0 0 0 0 0 0 0 0 0 0 0 0 0 0 0 0 0 0 0 0 0 0 0 0 0 0 0 0 0 0 0 0 0 0 0 0 0 0 0 0 0 0 0 0 0 0 0 0 0 0 0 0 0 0 0 0 0 0 0 0 0 0 0 0 0 0 0 0 0 0 0 0 0 0 0 0 0 0 0 0 0 0 0 0 0 0 0 0 0 0 0 0 0 0 0 0 0 0 0 0 0 0 0 0 0 0 0 0 0 0 0 0 0 0 0 0 0 0 0 0 0 0 0 0 0 0 0 0 0 0 0 0 0 0 0 0 0 0 0 0 0 0 0 0 0 0 0 0 0 0 0 0 0 0 0 0 0 0 0 0 0 0 0 0 0 0 0 0 0 0 0 0 0 0 0 0 0 0 0 0 0 0 0 0 0 0 0 0 0 0 0 0 0 0 0 0 0 0 0 0 0 0 0 0 0 0 0 0 0 0 0 0 0 0 0 0 0 0 0 0 0 0 0 0 0 0 0 0 0 0 0 0 0 0 0 0 0 0 0 0 0 0 0 0 0 0 0 0 0 0 0 0 0 0 0 0 0 0 0 0 0 0 0 0 0 0 0 0 0 0 0 0 0 0 0 0 0 0 0 0 0 0 0 0 0 0 0 0 0 0 0 0 0 0 0 0 0 0 0 0 0 0 0 0 0 0 0 0 0 0 0 0 0 0 0 0 0 0 0 0 0 0 0 0 0 0 0 0 0 0 0 0 0 0 0 0 0 0 0 0 0 0 0 0 0 0 0 0 0 0 0 0 0 0 0 0 0 0 0 0 0 0 0 0 0 0 0 0 0 0 0 0 0 0 0 0 0 0 0 0 0 0 0 0 0 0 0 0 0 0 0 0 0 0 0 0 0 0 0 0 0 0 0 0 0 0 0 0 0 0 0 0 0 0 0 0 0 0 0 0 0 0 0 0 0 0 0 0 0 0 0 0 0 0 0 0 0 0 0 0 0 0 0 0 0 0 0 0 0 0 0 0 0 0 0 0 0 0 0 0 0 0 0 0 0 0 0 0 0 0 0 0 0 0 0 0 0 0 0 0 0 0 0 0 0 0 0 0 0 0 0 0 0 0 0 0 0 0 0 0 0 0 0 0 0 0 0 0 0 0 0 0 0 0 0 0 0 0 0 0 0 0 0 0 0 0 0 0 0 0 0 0 0 0 0 0 0 0 0 0 0 0 0 0 0 0 0 0 0 0 0 0 0 0 0 0 0 0 0 0 0 0 0 0 0 0 0 0 0 0 0 0 0 0 0 0 0 0 0 0 0 0 0 0 0 0 0 0 0 0 0 0 0 0 0 0 0 0 0 0 0 0 0 0 0 0 0 0 0 0 0 0 0 0 0 0 0 0 0 0 0 0 0 0 0 0 0 0 0 0 0 0 0 0 0 0 0 0 0 0 0 0 0 0 0 0 0 0 0 0 0 0 0 0 0 0 0 0 0 0 0 0 0 0 0 0 0 0 0 0 0 0 0 0 0 0 0 0 0 0 0 0 0 0 0 0 0 0 0 0 0 0 0 0 0 0 0 0 0 0 0 0 0 0 0 0 0 0 0 0 0 0 0 0 0 0 0 0 0 0 0 0 0 0 0 0 0 0 0 0 0 0 0 0 0 0 0 0 0 0 0 0 0 0 0 0 0 0 0 0 0 0 0 0 0 0 0 0 0 0 0 0 0 0 0 0 0 0 0 0 0 0 0 0 0 0 0 0 0 0 0 0 0 0 0 0 0 0 0 0 0 0 0 0 0 0 0 0 0 0 0 0 0 0 0 0 0 0 0 0 0 0 0 0 0 0 0 0 0 0 0 0 0 0 0 0 0 0 0 0 0 0 0 0 0 0 0 0 0 0 0 0 0 0 0 0 0 0 0 0 0 0 0 0 0 0 0 0 0 0 0 0 0 0 0 0 0 0 0 0 0 0 0 0 0 0 0 0 0 0 0 0 0 0 0 0 0 0 0 0 0 0 0 0 0 0 0 0 0 0 0 0 0 0 0 0 0 0 0 0 0 0 0 0 0 0 0 0 0 0 0 0 0 0 0 0 0 0 0 0 0 0 0 0 0 0 0 0 0 0 0 0 0 0 0 0 0 0 0 0 0 0 0 0 0 0 0 0 0 0 0 0 0 0 0 0 0 0 0 0 0 0 0 0 0 0 0 0 0 0 0 0 0 0 0 0 0 0 0 0 0 0 0 0 0 0 0 0 0 0 0 0 0 0 0 0 0 0 0 0 0 0 0 0 0 0 0 0 0 0 0 0 0 0 0 0 0 0 0 0 0 0 0 0 0 0 0 0 0 0 0 0 0 0 0 0 0 0 0 0 0 0 0 0 0 0 0 0 0 0 0 0 0 0 0 0 0 0 0 0 0 0 0 0 0 0 0 0 0 0 0 0 0 0 0 0 0 0 0 0 0 0 0 0 0 0 0 0 0 0 0 0 0 0 0 0 0 0 0 0 0 0 0 0 0 0 0 0 0 0 0 0 0 0 0 0 0 0 0 0 0 0 0 0 0 0 0 0 0 0 0 0 0 0 0 0 0 0 0 0 0 0 0 0 0 0 0 0 0 0 0 0 0 0 0 0 0 0 0 0 0 0 0 0 0 0 0 0 0 0 0 0 0 0 0 0 0 0 0 0 0 0 0 0 0 0 0 0 0 0 0 0 0 0 0 0 0 0 0 0 0 0 0 0 0 0 0 0 0 0 0 0 0 0 0 0 0 0 0 0 0 0 0 0 0 0 0 0 0 0 0 0 0 0 0 0 0 0 0 0 0 0 0 0 0 0 0 0 0 0 0 0 0 0 0 0 0 0 0 0 0 0 0 0 0 0 0 0 0 0 0 0 0 0 0 0 0 0 0 0 0 0 0 0 0 0 0 0 0 0 0 0 0 0 0 0 0 0 0 0 0 0 0 0 0 0 0 0 0 0 0 0 0 0 0 0 0 0 0 0 0 0 0 0 0 0 0 0 0 0 0 0 0 0 0 0 0 0 0 0 0 0 0 0 0 0 0 0 0 0 0 0 0 0 0 0 0 0 0 0 0 0 0 0 0 0 0 0 0 0 0 0 0 0 0 0 0 0 0 0 0 0 0 0 0 0 0 0 0 0 0 0 0 0 0 0 0 0 0 0 0 0 0 0 0 0 0 0 0 0 0 0 0 0 0 0 0 0 0 0 0 0 0 0 0 0 0 0 0 0 0 0 0 0 0 0 0 0 0 0 0 0 0 0 0 0 0 0 0 0 0 0 0 0 0 0 0 0 0 0 0 0 0 0 0 0 0 0 0 0 0 0 0 0 0 0 0 0 0 0 0 0 0 0 0 0 0 0 0 0 0 0 0 0 0 0 0 0 0 0 0 0 0 0 0 0 0 0 0 0 0 0 0 0 0 0 0 0 0 0 0 0 0 0 0 0 0 0 0 0 0 0 0 0 0 0 0 0 0 0 0 0 0 0 0 0 0 0 0 0 0 0 0 0 0 0 0 0 0 0 0 0 0 0 0 0 0 0 0 0 0 0 0 0 0 0 0 0 0 0 0 0 0 0 0 0 0 0 0 0 0 0 0 0 0 0 0 0 0 0 0 0 0 0 0 0 0 0 0 0 0 0 0 0 0 0 0 0 0 0 0 0 0 0 0 0 0 0 0 0 0 0 0 0 0 0 0 0 0 0 0 0 0 0 0 0 0 0 0 0 0 0 0 0 0 0 0 0 0 0 0 0 0 0 0 0 0 0 0 0 0 0 0 0 0 0 0 0 0 0 0 0 0 0 0 0 0 0 0 0 0 0 0 0 0 0 0 0 0 0 0 0 0 0 0 0 0 0 0 0 0 0 0 0 0 0 0 0 0 0 0 0 0 0 0 0 0 0 0 0 0 0 0 0 0 0 0 0 0 0 0 0 0 0 0 0 0 0 0 0 0 0 0 0 0 0 0 0 0 0 0 0 0 0 0 0 0 0 0 0 0 0 0 0 0 0 0 0 0 0 0 0 0 0 0 0 0 0 0 0 0 0 0 0 0 0 0 0 0 0 0 0 0 0 0 0 0 0 0 0 0 0 0 0 0 0 0 0 0 0 0 0 0 0 0 0 0 0 0 0 0 0 0 0 0 0 0 0 0 0 0 0 0 0 0 0 0 0 0 0 0 0 0 0 0 0 0 0 0 0 0 0 0 0 0 0 0 0 0 0 0 0 0 0 0 0 0 0 0 0 0 0 0 0 0 0 0 0 0 0 0 0 0 0 0 0 0 0 0 0 0 0 0 0 0 0 0 0 0 0 0 0 0 0 0 0 0 0 0 0 0 0 0 0 0 0 0 0 0 0 0 0 0 0 0 0 0 0 0 0 0 0 0 0 0 0 0 0 0 0 0 0 0 0 0 0 0 0 0 0 0 0 0 0 0 0 0 0 0 0 0 0 0 0 0 0 0 0 0 0 0 0 0 0 0 0 0 0 0 0 0 0 0 0 0 0 0 0 0 0 0 0 0 0 0 0 0 0 0 0 0 0 0 0 0 0 0 0 0 0 0 0 0 0 0 0 0 0 0 0 0 0 0 0 0 0 0 0 0 0 0 0 0 0 0 0 0 0 0 0 0 0 0 0 0 0 0 0 0 0 0 0 0 0 0 0 0 0 0 0 0 0 0 0 0 0 0 0 0 0 0 0 0 0 0 0 0 0 0 0 0 0 0 0 0 0 0 0 0 0 0 0 0 0 0 0 0 0 0 0 0 0 0 0 0 0 0 0 0 0 0 0 0 0 0 0 0 0 0 0 0 0 0 0 0 0 0 0 0 0 0 0 0 0 0 0 0 0 0 0 0 0 0 0 0 0 0 0 0 0 0 0 0 0 0 0 0 0 0 0 0 0 0 0 0 0 0 0 0 0 0 0 0 0 0 0 0 0 0 0 0 0 0 0 0 0 0 0 0 0 0 0 0 0 0 0 0 0 0 0 0 0 0 0 0 0 0 0 0 0 0 0 0 0 0 0 0 0 0 0 0 0 0 0 0 0 0 0 0 0 0 0 0 0 0 0 0 0 0 0 0 0 0 0 0 0 0 0 0 0 0 0 0 0 0 0 0 0 0 0 0 0 0 0 0 0 0 0 0 0 0 0 0 0 0 0 0 0 0 0 0 0 0 0 0 0 0 0 0 0 0 0 0 0 0 0 0 0 0 0 0 0 0 0 0 0 0 0 0 0 0 0 0 0 0 0 0 0 0 0 0 0 0 0 0 0 0 0 0 0 0 0 0 0 0 0 0 0 0 0 0 0 0 0 0 0 0 0 0 0 0 0 0 0 0 0 0 0 0 0 0 0 0 0 0 0 0 0 0 0 0 0 0 0 0 0 0 0 0 0 0 0 0 0 0 0 0 0 0 0 0 0 0 0 0 0 0 0 0 0 0 0 0 0 0 0 0 0 0 0 0 0 0 0 0 0 0 0 0 0 0 0 0 0 0 0 0 0 0 0 0 0 0 0 0 0 0 0 0 0 0 0 0 0 0 0 0 0 0 0 0 0 0 0 0 0 0 0 0 0 0 0 0 0 0 0 0 0 0 0 0 0 0 0 0 0 0 0 0 0 0 0 0 0 0 0 0 0 0 0 0 0 0 0 0 0 0 0 0 0 0 0 0 0 0 0 0 0 0 0 0 0 0 0 0 0 0 0 0 0 0 0 0 0 0 0 0 0 0 0 0 0 0 0 0 0 0 0 0 0 0 0 0 0 0 0 0 0 0 0 0 0 0 0 0 0 0 0 0 0 0 0 0 0 0 0 0 0 0 0 0 0 0 0 0 0 0 0 0 0 0 0 0 0 0 0 0 0 0 0 0 0 0 0 0 0 0 0 0 0 0 0 0 0 0 0 0 0 0 0 0 0 0 0 0 0 0 0 0 0 0 0 0 0 0 0 0 0 0 0 0 0 0 0 0 0 0 0 0 0 0 0 0 0 0 0 0 0 0 0 0 0 0 0 0 0 0 0 0 0 0 0 0 0 0 0 0 0 0 0 0 0 0 0 0 0 0 0 0 0 0 0 0 0 0 0 0 0 0 0 0 0 0 0 0 0 0 0 0 0 0 0 0 0 0 0 0 0 0 0 0 0 0 0 0 0 0 0 0 0 0 0 0 0 0 0 0 0 0 0 0 0 0 0 0 0 0 0 0 0 0 0 0 0 0 0 0 0 0 0 0 0 0 0 0 0 0 0 0 0 0 0 0 0 0 0 0 0 0 0 0 0 0 0 0 0 0 0 0 0 0 0 0 0 0 0 0 0 0 0 0 0 0 0 0 0 0 0 0 0 0 0 0 0 0 0 0 0 0 0 0 0 0 0 0 0 0 0 0 0 0 0 0 0 0 0 0 0 0 0 0 0 0 0 0 0 0 0 0 0 0 0 0 0 0 0 0 0 0 0 0 0 0 0 0 0 0 0 0 0 0 0 0 0 0 0 0 0 0 0 0 0 0 0 0 0 0 0 0 0 0 0 0 0 0 0 0 0 0 0 0 0 0 0 0 0 0 0 0 0 0 0 0 0 0 0 0 0 0 0 0 0 0 0 0 0 0 0 0 0 0 0 0 0 0 0 0 0 0 0 0 0 0 0 0 0 0 0 0 0 0 0 0 0 0 0 0 0 0 0 0 0 0 0 0 0 0 0 0 0 0 0 0 0 0 0 0 0 0 0 0 0 0 0 0 0 0 0 0 0 0 0 0 0 0 0 0 0 0 0 0 0 0 0 0 0 0 0 0 0 0 0 0 0 0 0 0 0 0 0 0 0 0 0 0 0 0 0 0 0 0 0 0 0 0 0 0 0 0 0 0 0 0 0 0 0 0 0 0 0 0 0 0 0 0 0 0 0 0 0 0 0 0 0 0 0 0 0 0 0 0 0 0 0 0 0 0 0 0 0 0 0 0 0 0 0 0 0 0 0 0 0 0 0 0 0 0 0 0 0 0 0 0 0 0 0 0 0 0 0 0 0 0 0 0 0 0 0 0 0 0 0 0 0 0 0 0 0 0 0 0 0 0 0 0 0 0 0 0 0 0 0 0 0 0 0 0 0 0 0 0 0 0 0 0 0 0 0 0 0 0 0 0 0 0 0 0 0 0 0 0 0 0 0 0 0 0 0 0 0 0 0 0 0 0 0 0 0 0 0 0 0 0 0 0 0 0 0 0 0 0 0 0 0 0 0 0 0 0 0 0 0 0 0 0 0 0 0 0 0 0 0 0 0 0 0 0 0 0 0 0 0 0 0 0 0 0 0 0 0 0 0 0 0 0 0 0 0 0 0 0 0 0 0 0 0 0 0 0 0 0 0 0 0 0 0 0 0 0 0 0 0 0 0 0 0 0 0 0 0 0 0 0 0 0 0 0 0 0 0 0 0 0 0 0 0 0 0 0 0 0 0 0 0 0 0 0 0 0 0 0 0 0 0 0 0 0 0 0 0 0 0 0 0 0 0 0 0 0 0 0 0 0 0 0 0 0 0 0 0 0 0 0 0 0 0 0 0 0 0 0 0 0 0 0 0 0 0 0 0 0 0 0 0 0 0 0 0 0 0 0 0 0 0 0 0 0 0 0 0 0 0 0 0 0 0 0 0 0 0 0 0 0 0 0 0 0 0 0 0 0 0 0 0 0 0 0 0 0 0 0 0 0 0 0 0 0 0 0 0 0 0 0 0 0 0 0 0 0 0 0 0 0 0 0 0 0 0 0 0 0 0 0 0 0 0 0 0 0 0 0 0 0 0 0 0 0 0 0 0 0 0 0 0 0 0 0 0 0 0 0 0 0 0 0 0 0 0 0 0 0 0 0 0 0 0 0 0 0 0 0 0 0 0 0 0 0 0 0 0 0 0 0 0 0 0 0 0 0 0 0 0 0 0 0 0 0 0 0 0 0 0 0 0 0 0 0 0 0 0 0 0 0 0 0 0 0 0 0 0 0 0 0 0 0 0 0 0 0 0 0 0 0 0 0 0 0 0 0 0 0 0 0 0 0 0 0 0 0 0 0 0 0 0 0 0 0 0 0 0 0 0 0 0 0 0 0 0 0 0 0 0 0 0 0 0 0 0 0 0 0 0 0 0 0 0 0 0 0 0 0 0 0 0 0 0 0 0 0 0 0 0 0 0 0 0 0 0 0 0 0 0 0 0 0 0 0 0 0 0 0 0 0 0 0 0 0 0 0 0 0 0 0 0 0 0 0 0 0 0 0 0 0 0 0 0 0 0 0 0 0 0 0 0 0 0 0 0 0 0 0 0 0 0 0 0 0 0 0 0 0 0 0 0 0 0 0 0 0 0 0 0 0 0 0 0 0 0 0 0 0 0 0 0 0 0 0 0 0 0 0 0 0 0 0 0 0 0 0 0 0 0 0 0 0 0 0 0 0 0 0 0 0 0 0 0 0 0 0 0 0 0 0 0 0 0 0 0 0 0 0 0 0 0 0 0 0 0 0 0 0 0 0 0 0 0 0 0 0 0 0 0 0 0 0 0 0 0 0 0 0 0 0 0 0 0 0 0 0 0 0 0 0 0 0 0 0 0 0 0 0 0 0 0 0 0 0 0 0 0 0 0 0 0 0 0 0 0 0 0 0 0 0 0 0 0 0 0 0 0 0 0 0 0 0 0 0 0 0 0 0 0 0 0 0 0 0 0 0 0 0 0 0 0 0 0 0 0 0 0 0 0 0 0 0 0 0 0 0 0 0 0 0 0 0 0 0 0 0 0 0 0 0 0 0 0 0 0 0 0 0 0 0 0 0 0 0 0 0 0 0 0 0 0 0 0 0 0 0 0 0 0 0 0 0 0 0 0 0 0 0 0 0 0 0 0 0 0 0 0 0 0 0 0 0 0 0 0 0 0 0 0 0 0 0 0 0 0 0 0 0 0 0 0 0 0 0 0 0 0 0 0 0 0 0 0 0 0 0 0 0 0 0 0 0 0 0 0 0 0 0 0 0 0 0 0 0 0 0 0 0 0 0 0 0 0 0 0 0 0 0 0 0 0 0 0 0 0 0 0 0 0 0 0 0 0 0 0 0 0 0 0 0 0 0 0 0 0 0 0 0 0 0 0 0 0 0 0 0 0 0 0 0 0 0 0 0 0 0 0 0 0 0 0 0 0 0 0 0 0 0 0 0 0 0 0 0 0 0 0 0 0 0 0 0 0 0 0 0 0 0 0 0 0 0 0 0 0 0 0 0 0 0 0 0 0 0 0 0 0 0 0 0 0 0 0 0 0 0 0 0 0 0 0 0 0 0 0 0 0 0 0 0 0 0 0 0 0 0 0 0 0 0 0 0 0 0 0 0 0 0 0 0 0 0 0 0 0 0 0 0 0 0 0 0 0 0 0 0 0 0 0 0 0 0 0 0 0 0 0 0 0 0 0 0 0 0 0 0 0 0 0 0 0 0 0 0 0 0 0 0 0 0 0 0 0 0 0 0 0 0 0 0 0 0 0 0 0 0 0 0 0 0 0 0 0 0 0 0 0 0 0 0 0 0 0 0 0 0 0 0 0 0 0 0 0 0 0 0 0 0 0 0 0 0 0 0 0 0 0 0 0 0 0 0 0 0 0 0 0 0 0 0 0 0 0 0 0 0 0 0 0 0 0 0 0 0 0 0 0 0 0 0 0 0 0 0 0 0 0 0 0 0 0 0 0 0 0 0 0 0 0 0 0 0 0 0 0 0 0 0 0 0 0 0 0 0 0 0 0 0 0 0 0 0 0 0 0 0 0 0 0 0 0 0 0 0 0 0 0 0 0 0 0 0 0 0 0 0 0 0 0 0 0 0 0 0 0 0 0 0 0 0 0 0 0 0 0 0 0 0 0 0 0 0 0 0 0 0 0 0 0 0 0 0 0 0 0 0 0 0 0 0 0 0 0 0 0 0 0 0 0 0 0 0 0 0 0 0 0 0 0 0 0 0 0 0 0 0 0 0 0 0 0 0 0 0 0 0 0 0 0 0 0 0 0 0 0 0 0 0 0 0 0 0 0 0 0 0 0 0 0 0 0 0 0 0 0 0 0 0 0 0 0 0 0 0 0 0 0 0 0 0 0 0 0 0 0 0 0 0 0 0 0 0 0 0 0 0 0 0 0 0 0 0 0 0 0 0 0 0 0 0 0 0 0 0 0 0 0 0 0 0 0 0 0 0 0 0 0 0 0 0 0 0 0 0 0 0 0 0 0 0 0 0 0 0 0 0 0 0 0 0 0 0 0 0 0 0 0 0 0 0 0 0 0 0 0 0 0 0 0 0 0 0 0 0 0 0 0 0 0 0 0 0 0 0 0 0 0 0 0 0 0 0 0 0 0 0 0 0 0 0 0 0 0 0 0 0 0 0 0 0 0 0 0 0 0 0 0 0 0 0 0 0 0 0 0 0 0 0 0 0 0 0 0 0 0 0 0 0 0 0 0 0 0 0 0 0 0 0 0 0 0 0 0 0 0 0 0 0 0 0 0 0 0 0 0 0 0 0 0 0 0 0 0 0 0 0 0 0 0 0 0 0 0 0 0 0 0 0 0 0 0 0 0 0 0 0 0 0 0 0 0 0 0 0 0 0 0 0 0 0 0 0 0 0 0 0 0 0 0 0 0 0 0 0 0 0 0 0 0 0 0 0 0 0 0 0 0 0 0 0 0 0 0 0 0 0 0 0 0 0 0 0 0 0 0 0 0 0 0 0 0 0 0 0 0 0 0 0 0 0 0 0 0 0 0 0 0 0 0 0 0 0 0 0 0 0 0 0 0 0 0 0 0 0 0 0 0 0 0 0 0 0 0 0 0 0 0 0 0 0 0 0 0 0 0 0 0 0 0 0 0 0 0 0 0 0 0 0 0 0 0 0 0 0 0 0 0 0 0 0 0 0 0 0 0 0 0 0 0 0 0 0 0 0 0 0 0 0 0 0 0 0 0 0 0 0 0 0 0 0 0 0 0 0 0 0 0 0 0 0 0 0 0 0 0 0 0 0 0 0 0 0 0 0 0 0 0 0 0 0 0 0 0 0 0 0 0 0 0 0 0 0 0 0 0 0 0 0 0 0 0 0 0 0 0 0 0 0 0 0 0 0 0 0 0 0 0 0 0 0 0 0 0 0 ================================================ FILE: programming_assignments/beale_ciphers/testcase/large/test3.out ================================================ 1 ================================================ FILE: programming_assignments/beale_ciphers/testcase/large/test5.in ================================================ 1 150 150 30 1 0 0 0 0 0 0 0 0 0 0 0 0 0 0 0 0 0 0 0 0 0 0 0 0 0 0 0 0 0 0 1 0 0 0 0 0 0 0 0 0 0 0 0 0 0 0 0 0 0 0 0 0 0 0 0 0 0 0 0 0 0 1 0 0 0 0 0 0 0 0 0 0 0 0 0 0 0 0 0 0 0 0 0 0 0 0 0 0 0 0 0 0 1 0 0 0 0 0 0 0 0 0 0 0 0 0 0 0 0 0 0 0 0 0 0 0 0 0 0 0 0 0 0 1 0 0 0 0 0 0 0 0 0 0 0 0 0 0 0 0 0 0 0 0 0 0 0 0 0 0 0 0 0 0 1 0 0 0 0 0 0 0 0 0 0 0 0 0 0 0 0 0 0 0 0 0 0 0 0 0 0 0 0 0 0 1 0 0 0 0 0 0 0 0 0 0 0 0 0 0 0 0 0 0 0 0 0 0 0 0 0 0 0 0 0 0 1 0 0 0 0 0 0 0 0 0 0 0 0 0 0 0 0 0 0 0 0 0 0 0 0 0 0 0 0 0 0 1 0 0 0 0 0 0 0 0 0 0 0 0 0 0 0 0 0 0 0 0 0 0 0 0 0 0 0 0 0 0 1 0 0 0 0 0 0 0 0 0 0 0 0 0 0 0 0 0 0 0 0 0 0 0 0 0 0 0 0 0 0 1 0 0 0 0 0 0 0 0 0 0 0 0 0 0 0 0 0 0 0 0 0 0 0 0 0 0 0 0 0 0 1 0 0 0 0 0 0 0 0 0 0 0 0 0 0 0 0 0 0 0 0 0 0 0 0 0 0 0 0 0 0 1 0 0 0 0 0 0 0 0 0 0 0 0 0 0 0 0 0 0 0 0 0 0 0 0 0 0 0 0 0 0 1 0 0 0 0 0 0 0 0 0 0 0 0 0 0 0 0 0 0 0 0 0 0 0 0 0 0 0 0 0 0 1 0 0 0 0 0 0 0 0 0 0 0 0 0 0 0 0 0 0 0 0 0 0 0 0 0 0 0 0 0 0 1 0 0 0 0 0 0 0 0 0 0 0 0 0 0 0 0 0 0 0 0 0 0 0 0 0 0 0 0 0 0 1 0 0 0 0 0 0 0 0 0 0 0 0 0 0 0 0 0 0 0 0 0 0 0 0 0 0 0 0 0 0 1 0 0 0 0 0 0 0 0 0 0 0 0 0 0 0 0 0 0 0 0 0 0 0 0 0 0 0 0 0 0 1 0 0 0 0 0 0 0 0 0 0 0 0 0 0 0 0 0 0 0 0 0 0 0 0 0 0 0 0 0 0 1 0 0 0 0 0 0 0 0 0 0 0 0 0 0 0 0 0 0 0 0 0 0 0 0 0 0 0 0 0 0 1 0 0 0 0 0 0 0 0 0 0 0 0 0 0 0 0 0 0 0 0 0 0 0 0 0 0 0 0 0 0 1 0 0 0 0 0 0 0 0 0 0 0 0 0 0 0 0 0 0 0 0 0 0 0 0 0 0 0 0 0 0 1 0 0 0 0 0 0 0 0 0 0 0 0 0 0 0 0 0 0 0 0 0 0 0 0 0 0 0 0 0 0 1 0 0 0 0 0 0 0 0 0 0 0 0 0 0 0 0 0 0 0 0 0 0 0 0 0 0 0 0 0 0 1 0 0 0 0 0 0 0 0 0 0 0 0 0 0 0 0 0 0 0 0 0 0 0 0 0 0 0 0 0 0 1 0 0 0 0 0 0 0 0 0 0 0 0 0 0 0 0 0 0 0 0 0 0 0 0 0 0 0 0 0 0 1 0 0 0 0 0 0 0 0 0 0 0 0 0 0 0 0 0 0 0 0 0 0 0 0 0 0 0 0 0 0 1 0 0 0 0 0 0 0 0 0 0 0 0 0 0 0 0 0 0 0 0 0 0 0 0 0 0 0 0 0 0 1 0 0 0 0 0 0 0 0 0 0 0 0 0 0 0 0 0 0 0 0 0 0 0 0 0 0 0 0 0 0 1 1 0 0 0 0 1 1 1 1 1 1 0 1 0 0 1 1 1 0 1 1 1 1 1 1 1 0 1 1 1 0 1 1 1 1 0 0 0 1 1 1 0 0 0 0 0 1 1 1 1 0 0 0 0 0 1 1 0 0 1 1 1 0 0 0 1 0 0 1 1 1 0 1 1 0 1 1 1 0 0 0 1 1 1 1 1 0 0 1 1 1 0 0 1 0 0 0 1 0 1 0 1 1 0 1 1 1 0 0 0 1 1 1 0 0 0 1 0 0 0 1 0 0 1 1 0 1 0 1 1 1 0 1 1 0 0 0 1 0 1 1 1 0 0 1 0 0 0 0 1 0 0 1 0 1 0 1 1 0 0 0 0 0 1 1 0 1 1 0 0 0 1 1 0 0 1 0 0 1 1 1 0 1 0 0 0 1 1 1 1 0 0 1 0 1 0 1 1 0 1 1 0 0 0 1 0 1 1 1 1 0 0 1 1 1 1 0 0 1 1 1 1 1 1 1 1 1 0 0 1 1 1 0 0 1 1 0 1 0 1 0 1 0 1 0 1 0 0 1 1 0 0 0 1 1 0 0 1 0 0 0 0 1 0 0 1 1 0 0 0 0 0 1 0 1 1 1 1 0 0 1 0 0 1 1 0 1 0 1 0 0 1 0 0 0 0 1 1 0 1 1 0 1 0 0 0 0 1 1 0 1 0 0 0 0 1 0 1 1 1 1 0 0 1 0 0 1 1 0 0 0 1 0 1 0 1 1 0 0 0 0 0 1 0 0 1 1 0 0 1 1 0 1 1 1 1 0 1 0 0 1 0 1 1 1 1 0 0 1 1 0 1 1 1 1 1 0 1 1 1 0 0 1 1 1 0 0 1 1 0 1 0 0 1 0 1 0 0 1 0 1 1 1 0 1 1 1 1 0 0 0 0 0 1 1 0 0 1 1 1 1 1 0 1 0 0 0 0 0 1 0 0 0 0 0 1 1 0 1 1 0 1 1 1 1 0 1 1 1 0 0 0 1 0 1 1 0 1 0 1 0 0 1 0 0 1 0 1 1 1 0 0 0 1 1 1 1 0 0 0 0 1 0 0 1 1 1 0 0 1 1 0 0 0 1 0 1 1 0 1 0 0 1 0 0 0 0 1 0 0 0 0 1 0 0 1 0 0 1 0 1 0 1 1 0 0 0 1 1 0 0 1 0 1 1 0 1 1 0 1 0 0 0 1 0 0 0 0 0 1 1 0 1 0 1 1 0 1 1 1 1 1 0 0 1 1 0 0 1 0 0 1 0 0 0 1 0 1 1 1 0 0 1 0 0 0 1 0 0 0 1 1 0 1 1 1 1 0 1 0 0 1 1 1 1 1 0 0 0 1 1 1 0 0 1 0 0 0 1 0 1 0 0 1 0 1 0 1 1 1 1 0 1 0 1 0 1 1 0 0 0 1 1 0 1 0 1 0 0 0 0 1 0 0 0 0 0 0 1 1 0 0 1 1 0 0 1 0 1 0 0 0 1 1 0 1 1 1 1 1 1 1 1 0 0 1 0 0 0 0 1 0 0 1 1 1 1 0 1 1 0 1 1 0 0 1 1 1 1 0 0 0 1 1 0 1 1 1 1 1 1 1 1 1 0 0 0 1 0 1 0 1 0 1 1 0 1 0 1 0 0 0 0 1 1 1 1 0 0 0 1 1 1 0 0 1 0 1 1 1 0 1 0 1 1 1 1 0 1 1 0 1 1 0 0 0 1 1 1 1 0 0 0 1 1 1 1 1 0 0 0 0 1 0 1 0 1 1 0 0 0 0 1 1 1 0 1 0 1 0 0 1 1 0 1 0 1 0 1 1 0 0 0 1 0 1 0 0 0 0 0 0 1 0 1 0 0 1 0 1 1 0 1 0 1 0 0 0 0 0 0 0 0 0 1 0 1 1 0 0 0 1 0 1 1 0 1 1 1 1 0 0 0 1 1 1 1 1 1 1 1 1 1 1 1 1 0 1 0 0 1 0 1 1 1 0 1 0 1 0 0 0 0 0 0 0 0 0 0 0 0 0 0 0 0 0 0 0 0 0 0 0 0 0 0 0 0 0 0 0 0 0 0 0 0 0 0 0 0 0 0 0 0 0 0 0 0 0 0 0 0 0 0 0 0 0 0 0 0 0 0 0 0 0 0 0 0 0 1 0 0 0 0 1 1 1 1 1 1 0 1 0 0 1 1 1 0 1 1 1 1 1 1 1 0 1 1 1 0 0 0 0 0 0 0 0 0 0 0 0 0 0 0 0 0 0 0 0 0 0 1 0 0 0 0 1 1 1 1 1 1 0 1 0 0 1 1 1 0 1 1 1 1 1 1 1 0 1 1 1 0 1 0 0 0 0 1 1 1 1 1 1 0 1 0 0 1 1 1 0 1 1 1 1 1 1 1 0 1 1 1 0 0 0 0 0 0 0 0 0 0 0 0 0 0 0 0 0 0 0 0 0 0 0 0 0 0 0 0 0 0 0 0 0 0 0 0 0 0 1 1 1 1 0 0 0 1 1 1 0 0 0 0 0 1 1 1 1 0 0 0 0 0 1 1 0 0 1 0 0 0 0 0 0 0 0 0 0 0 0 0 0 0 0 0 0 0 0 0 0 0 1 1 1 1 0 0 0 1 1 1 0 0 0 0 0 1 1 1 1 0 0 0 0 0 1 1 0 0 1 0 0 1 1 1 1 0 0 0 1 1 1 0 0 0 0 0 1 1 1 1 0 0 0 0 0 1 1 0 0 1 0 0 0 0 0 0 0 0 0 0 0 0 0 0 0 0 0 0 0 0 0 0 0 0 0 0 0 0 0 0 0 0 0 0 0 0 0 1 1 0 0 0 1 0 0 1 1 1 0 1 1 0 1 1 1 0 0 0 1 1 1 1 1 0 0 1 1 0 0 0 0 0 0 0 0 0 0 0 0 0 0 0 0 0 0 0 0 0 0 1 1 0 0 0 1 0 0 1 1 1 0 1 1 0 1 1 1 0 0 0 1 1 1 1 1 0 0 1 1 0 1 1 0 0 0 1 0 0 1 1 1 0 1 1 0 1 1 1 0 0 0 1 1 1 1 1 0 0 1 1 0 0 0 0 0 1 0 0 0 0 1 1 1 1 1 1 0 1 0 0 1 1 1 0 1 1 1 1 1 1 1 0 1 1 1 0 0 1 0 0 1 0 0 0 1 0 1 0 1 1 0 1 1 1 0 0 0 1 1 1 0 0 0 1 0 0 0 0 0 0 0 0 0 0 0 0 0 0 0 0 0 0 0 0 0 0 0 0 0 1 0 0 1 0 0 0 1 0 1 0 1 1 0 1 1 1 0 0 0 1 1 1 0 0 0 1 0 0 0 0 1 0 0 1 0 0 0 1 0 1 0 1 1 0 1 1 1 0 0 0 1 1 1 0 0 0 1 0 0 0 0 0 0 0 0 0 1 1 1 1 0 0 0 1 1 1 0 0 0 0 0 1 1 1 1 0 0 0 0 0 1 1 0 0 1 0 0 1 0 0 1 1 0 1 0 1 1 1 0 1 1 0 0 0 1 0 1 1 1 0 0 1 0 0 0 0 1 0 0 0 0 0 0 0 0 0 0 0 0 0 0 0 0 0 0 0 0 0 0 1 0 0 1 1 0 1 0 1 1 1 0 1 1 0 0 0 1 0 1 1 1 0 0 1 0 0 0 0 1 0 1 0 0 1 1 0 1 0 1 1 1 0 1 1 0 0 0 1 0 1 1 1 0 0 1 0 0 0 0 1 0 1 0 0 0 0 1 1 1 1 1 1 0 1 0 0 1 1 1 0 1 1 1 1 1 1 1 0 1 1 1 0 0 1 1 1 0 0 0 0 1 1 1 1 1 1 0 1 0 0 1 1 1 0 1 1 1 1 1 1 1 0 1 1 1 1 1 0 0 0 0 0 0 0 0 0 0 0 0 0 0 0 0 0 0 0 0 0 0 0 0 1 0 1 0 1 1 0 0 0 0 0 1 1 0 1 1 0 0 0 1 1 0 0 1 0 0 1 1 0 0 0 1 0 1 0 1 1 0 0 0 0 0 1 1 0 1 1 0 0 0 1 1 0 0 1 0 0 1 1 0 0 1 1 1 1 0 0 0 1 1 1 0 0 0 0 0 1 1 1 1 0 0 0 0 0 1 1 0 0 1 1 0 0 0 0 1 1 1 1 0 0 0 1 1 1 0 0 0 0 0 1 1 1 1 0 0 0 0 0 1 1 0 0 1 1 1 0 0 0 0 0 0 0 0 0 0 0 0 0 0 0 0 0 0 0 0 0 0 1 0 1 0 0 0 1 1 1 1 0 0 1 0 1 0 1 1 0 1 1 0 0 0 1 0 1 1 1 1 0 1 0 1 0 0 0 1 1 1 1 0 0 1 0 1 0 1 1 0 1 1 0 0 0 1 0 1 1 1 1 0 1 1 0 0 0 1 0 0 1 1 1 0 1 1 0 1 1 1 0 0 0 1 1 1 1 1 0 0 1 1 0 0 0 1 1 1 0 0 0 1 0 0 1 1 1 0 1 1 0 1 1 1 0 0 0 1 1 1 1 1 0 0 1 1 0 1 0 0 0 0 0 0 0 0 0 0 0 1 0 0 0 0 1 1 1 1 1 1 0 1 0 0 1 1 1 0 1 1 1 1 1 1 1 0 1 1 1 1 1 1 0 0 1 1 0 1 0 1 0 0 0 1 1 1 1 0 0 1 1 1 1 1 1 1 1 1 0 0 1 1 1 0 0 1 1 0 1 0 1 0 1 0 0 1 0 0 0 1 0 1 0 1 1 0 1 1 1 0 0 0 1 1 1 0 0 0 1 0 0 0 0 0 1 1 1 0 0 1 0 0 0 1 0 1 0 1 1 0 1 1 1 0 0 0 1 1 1 0 0 0 1 0 0 0 0 0 0 0 0 0 0 0 0 0 0 0 0 0 1 1 1 1 0 0 0 1 1 1 0 0 0 0 0 1 1 1 1 0 0 0 0 0 1 1 0 0 1 0 0 0 1 0 0 1 1 0 0 0 0 0 1 0 1 0 1 0 0 1 1 0 0 0 1 1 0 0 1 0 0 0 0 1 0 0 1 1 0 0 0 1 0 0 0 0 1 1 1 1 1 1 0 1 0 0 1 1 1 0 1 1 1 1 1 1 1 0 1 1 1 1 1 1 1 1 1 0 0 1 1 0 1 0 1 1 1 0 1 1 0 0 0 1 0 1 1 1 0 0 1 0 0 0 0 1 0 1 0 0 0 0 0 0 0 0 0 0 0 1 1 0 0 0 1 0 0 1 1 1 0 1 1 0 1 1 1 0 0 0 1 1 1 1 1 0 0 1 1 0 0 1 0 0 0 0 1 1 0 1 0 0 0 1 0 1 1 1 1 0 0 1 0 0 1 1 0 1 0 1 0 0 1 0 0 0 0 1 1 0 1 0 1 1 1 1 0 0 0 1 1 1 0 0 0 0 0 1 1 1 1 0 0 0 0 0 1 1 0 0 1 1 0 1 0 1 0 0 1 0 1 0 1 1 0 0 0 0 0 1 1 0 1 1 0 0 0 1 1 0 0 1 0 0 1 1 0 0 0 0 0 0 0 0 0 0 0 0 0 1 0 0 1 0 0 0 1 0 1 0 1 1 0 1 1 1 0 0 0 1 1 1 0 0 0 1 0 0 0 1 1 0 0 1 0 0 1 1 0 0 1 0 0 0 0 1 1 1 1 1 1 0 1 0 0 1 1 1 0 1 1 1 1 1 1 1 0 1 1 1 0 1 1 0 0 0 1 0 0 1 1 1 0 1 1 0 1 1 1 0 0 0 1 1 1 1 1 0 0 1 1 1 1 0 0 0 1 0 1 0 0 0 1 1 1 1 0 0 1 0 1 0 1 1 0 1 1 0 0 0 1 0 1 1 1 1 0 0 0 0 0 0 0 0 0 0 0 0 0 1 0 0 1 1 0 1 0 1 1 1 0 1 1 0 0 0 1 0 1 1 1 0 0 1 0 0 0 0 1 1 1 0 1 1 1 1 0 1 0 0 0 1 1 1 1 0 0 0 1 1 1 0 0 0 0 0 1 1 1 1 0 0 0 0 0 1 1 0 0 1 0 1 0 0 1 0 0 0 1 0 1 0 1 1 0 1 1 1 0 0 0 1 1 1 0 0 0 1 0 0 0 1 1 1 0 1 0 0 1 1 1 1 0 0 1 1 1 1 1 1 1 1 1 0 0 1 1 1 0 0 1 1 0 1 0 1 1 0 0 0 0 0 0 0 0 0 0 0 0 0 0 1 0 1 0 1 1 0 0 0 0 0 1 1 0 1 1 0 0 0 1 1 0 0 1 0 0 1 1 1 0 0 1 1 1 0 0 1 1 0 1 1 0 0 0 1 0 0 1 1 1 0 1 1 0 1 1 1 0 0 0 1 1 1 1 1 0 0 1 1 0 1 0 0 1 1 0 1 0 1 1 1 0 1 1 0 0 0 1 0 1 1 1 0 0 1 0 0 0 0 1 0 1 1 0 0 0 1 0 1 0 1 0 0 1 1 0 0 0 1 1 0 0 1 0 0 0 0 1 0 0 1 1 0 0 0 1 1 0 1 0 0 0 0 1 1 1 1 1 1 0 1 0 0 1 1 1 0 1 1 1 1 1 1 1 0 1 1 1 1 0 0 0 1 0 1 1 1 1 0 0 0 0 1 1 0 0 1 1 1 1 0 0 1 0 0 0 1 0 1 0 1 1 0 1 1 1 0 0 0 1 1 1 0 0 0 1 0 0 0 1 0 0 1 0 1 0 1 1 0 0 0 0 0 1 1 0 1 1 0 0 0 1 1 0 0 1 0 0 1 1 1 0 1 0 0 0 0 1 0 1 1 1 1 0 0 1 0 0 1 1 0 1 0 1 0 0 1 0 0 0 0 1 1 0 1 1 0 0 0 1 1 1 1 0 0 0 1 1 1 0 0 0 0 0 1 1 1 1 0 0 0 0 0 1 1 0 0 1 1 1 0 0 1 1 0 1 0 1 1 0 1 1 1 1 0 1 1 1 0 1 0 0 1 1 0 1 0 1 1 1 0 1 1 0 0 0 1 0 1 1 1 0 0 1 0 0 0 0 1 0 1 0 1 0 0 0 1 1 1 1 0 0 1 0 1 0 1 1 0 1 1 0 0 0 1 0 1 1 1 1 0 0 1 1 0 1 0 1 0 0 0 0 1 1 0 1 0 0 0 0 1 0 1 1 1 1 0 0 1 0 0 1 1 0 0 0 0 0 1 1 0 0 0 1 0 0 1 1 1 0 1 1 0 1 1 1 0 0 0 1 1 1 1 1 0 0 1 1 0 0 1 0 0 1 1 0 0 0 1 0 0 0 1 1 1 1 0 0 0 0 0 1 0 1 0 1 1 0 0 0 0 0 1 1 0 1 1 0 0 0 1 1 0 0 1 0 0 1 1 0 0 0 1 1 1 1 0 0 1 1 1 1 1 1 1 1 1 0 0 1 1 1 0 0 1 1 0 1 0 1 0 0 1 1 1 0 1 0 1 0 1 1 0 0 0 0 0 1 0 0 1 1 0 0 1 1 0 1 1 1 1 0 1 0 0 0 0 0 1 0 0 1 0 0 0 1 0 1 0 1 1 0 1 1 1 0 0 0 1 1 1 0 0 0 1 0 0 0 0 1 0 0 0 0 1 1 0 1 1 0 0 1 0 0 0 0 1 0 0 1 0 1 0 0 0 1 1 1 1 0 0 1 0 1 0 1 1 0 1 1 0 0 0 1 0 1 1 1 1 0 0 1 0 1 0 1 0 0 1 1 0 0 0 1 1 0 0 1 0 0 0 0 1 0 0 1 1 0 0 0 0 1 1 1 0 1 0 1 1 1 1 0 0 1 1 0 1 1 1 1 1 0 1 1 1 0 0 1 1 1 0 0 1 1 0 0 1 0 1 0 0 1 1 0 1 0 1 1 1 0 1 1 0 0 0 1 0 1 1 1 0 0 1 0 0 0 0 1 1 0 0 1 0 0 1 1 0 0 0 0 1 0 1 1 0 1 1 0 1 0 0 1 1 1 1 0 0 1 1 1 1 1 1 1 1 1 0 0 1 1 1 0 0 1 1 0 1 0 1 1 0 0 1 0 1 1 1 1 0 0 1 0 0 1 1 0 1 0 1 0 0 1 0 0 0 0 1 1 0 1 1 1 0 0 0 1 0 0 1 0 1 0 0 1 0 1 1 1 0 1 1 1 1 0 0 0 0 0 1 1 0 0 1 1 1 1 0 0 0 0 1 0 1 0 1 1 0 0 0 0 0 1 1 0 1 1 0 0 0 1 1 0 0 1 0 0 1 1 1 0 1 1 1 1 0 1 0 0 1 1 1 0 0 1 1 0 0 1 0 0 1 0 1 0 1 0 0 1 1 0 0 0 1 1 0 0 1 0 0 0 0 1 0 0 1 1 0 0 0 0 1 0 1 0 0 0 0 1 1 0 1 0 0 0 0 1 0 1 1 1 1 0 0 1 0 0 1 1 0 0 0 0 1 0 0 1 1 0 1 0 0 0 0 0 1 0 0 0 0 0 1 1 0 1 1 0 1 1 1 1 0 1 1 1 0 1 0 0 1 0 1 0 0 0 1 1 1 1 0 0 1 0 1 0 1 1 0 1 1 0 0 0 1 0 1 1 1 1 0 0 1 1 1 0 0 1 1 0 0 1 1 0 1 1 1 1 0 1 0 0 0 1 0 1 1 1 1 0 0 1 0 0 1 1 0 1 0 1 0 0 1 0 0 0 0 1 1 0 1 0 0 1 0 1 0 1 1 0 0 0 0 0 1 0 0 1 1 0 0 1 1 0 1 1 1 1 0 1 0 0 0 1 1 0 1 0 0 1 0 1 1 0 1 0 1 0 0 1 0 0 1 0 1 1 1 0 0 0 1 1 1 1 0 0 0 1 1 0 0 0 1 1 1 1 0 0 1 1 1 1 1 1 1 1 1 0 0 1 1 1 0 0 1 1 0 1 0 1 0 0 0 1 1 0 0 1 1 1 0 1 0 0 1 0 1 0 1 1 1 1 0 1 0 0 0 0 1 1 0 1 0 0 0 0 1 0 1 1 1 1 0 0 1 0 0 1 1 0 0 1 1 0 1 1 1 1 0 0 1 1 0 1 1 1 1 1 0 1 1 1 0 0 1 1 1 0 0 1 1 0 0 0 0 1 0 0 1 0 0 1 1 1 0 0 1 1 0 0 0 1 0 1 1 0 1 0 0 1 0 0 0 0 1 0 0 1 1 0 0 1 0 1 0 1 0 0 1 1 0 0 0 1 1 0 0 1 0 0 0 0 1 0 0 1 1 0 0 0 0 1 1 1 1 0 1 1 1 0 0 0 1 0 0 0 0 0 0 1 1 0 1 0 1 0 1 1 0 0 0 0 0 1 0 0 1 1 0 0 1 1 0 1 1 1 1 0 1 0 0 1 1 0 0 1 0 1 0 0 1 0 1 1 1 0 1 1 1 1 0 0 0 0 0 1 1 0 0 1 1 1 1 1 0 1 0 0 0 1 0 0 1 0 0 1 0 1 0 1 1 0 0 0 1 1 0 0 1 0 1 1 0 1 1 0 1 0 0 0 0 0 1 0 1 1 1 1 0 0 1 0 0 1 1 0 1 0 1 0 0 1 0 0 0 0 1 1 0 1 0 0 0 1 1 1 1 0 0 0 1 1 1 1 0 0 1 0 0 0 0 1 0 1 1 1 1 0 0 1 1 0 1 1 1 1 1 0 1 1 1 0 0 1 1 1 0 0 1 1 0 0 1 1 0 1 0 0 0 0 0 1 0 0 0 0 0 1 1 0 1 1 0 1 1 1 1 0 1 1 1 0 0 0 1 1 1 0 0 0 1 0 0 0 0 0 1 1 0 1 0 1 1 0 1 1 1 1 1 0 0 1 1 0 0 1 0 1 1 0 1 0 1 0 0 0 0 1 1 0 1 0 0 0 0 1 0 1 1 1 1 0 0 1 0 0 1 1 0 0 0 0 1 0 0 0 0 1 0 0 0 0 0 1 1 0 1 1 1 1 1 1 0 0 1 0 1 0 0 1 0 1 1 1 0 1 1 1 1 0 0 0 0 0 1 1 0 0 1 1 1 1 0 0 1 0 1 1 0 1 0 1 0 0 1 0 0 1 0 1 1 1 0 0 0 1 1 1 1 0 0 0 0 0 0 1 1 0 1 0 0 0 1 0 1 1 1 0 0 1 0 0 0 1 0 0 0 1 1 0 1 1 1 1 0 1 0 0 0 0 0 1 0 1 0 1 1 0 0 0 0 0 1 0 0 1 1 0 0 1 1 0 1 1 1 1 0 1 0 0 0 1 0 1 1 0 1 1 0 1 0 0 0 0 1 1 1 1 0 0 0 1 1 0 1 0 0 0 0 0 1 0 0 0 0 0 1 1 0 1 1 0 1 1 1 1 0 1 1 1 0 0 0 1 0 0 1 1 1 0 0 1 1 0 0 0 1 0 1 1 0 1 0 0 1 0 0 0 0 1 0 0 1 0 0 0 0 0 1 1 1 1 1 0 0 0 1 1 1 0 0 1 0 0 0 1 0 1 0 0 1 0 1 0 1 1 1 1 1 0 1 0 1 1 1 1 0 0 1 1 0 1 1 1 1 1 0 1 1 1 0 0 1 1 1 0 0 1 1 0 1 1 0 0 1 1 0 0 1 0 1 0 1 1 0 0 0 1 1 1 1 0 0 1 0 1 1 0 1 0 1 0 0 1 0 0 1 0 1 1 1 0 0 0 1 1 1 1 0 0 0 1 0 0 1 0 0 1 0 0 1 0 1 0 1 1 0 0 0 1 1 0 0 1 0 1 1 0 1 1 0 1 1 1 1 1 1 1 0 1 0 1 0 1 1 0 0 0 1 1 0 1 0 1 0 0 0 0 1 0 0 0 0 0 0 1 1 1 0 0 1 0 0 1 0 1 0 0 1 0 1 1 1 0 1 1 1 1 0 0 0 0 0 1 1 0 0 1 1 1 1 1 0 1 1 1 1 0 1 0 0 0 0 1 1 1 0 1 0 1 0 0 1 0 0 1 1 1 0 0 1 1 0 0 0 1 0 1 1 0 1 0 0 1 0 0 0 0 1 0 0 0 0 0 0 1 0 0 0 0 0 1 1 0 1 0 1 1 0 1 1 1 1 1 0 0 1 1 0 0 1 0 0 1 0 0 0 0 0 1 1 0 0 1 0 1 0 0 0 1 1 0 1 1 1 1 1 1 1 1 0 0 1 0 0 0 0 0 1 0 1 1 0 1 0 0 0 0 0 1 0 0 0 0 0 1 1 0 1 1 0 1 1 1 1 0 1 1 1 0 1 0 0 1 0 1 0 1 1 1 0 0 0 1 0 1 0 0 1 0 1 0 0 1 0 0 1 0 0 1 0 1 0 1 1 0 0 0 1 1 0 0 1 0 1 1 0 1 1 0 1 1 0 1 0 0 0 1 0 1 1 1 0 0 1 0 0 0 1 0 0 0 1 1 0 1 1 1 1 0 1 0 1 1 1 1 1 1 0 0 1 1 1 1 0 1 1 0 1 1 0 0 1 1 1 1 0 0 0 1 1 0 1 1 1 1 1 1 1 0 0 0 1 0 1 1 0 1 0 1 0 0 1 0 0 1 0 1 1 1 0 0 0 1 1 1 1 0 0 0 0 1 0 0 0 0 0 0 1 1 0 0 1 0 1 1 0 1 1 1 1 0 0 0 1 0 0 0 0 0 1 1 0 1 0 1 1 0 1 1 1 1 1 0 0 1 1 0 0 1 0 1 0 1 1 1 1 1 0 0 0 1 1 1 0 0 1 0 0 0 1 0 1 0 0 1 0 1 0 1 1 1 0 1 0 1 0 1 1 1 1 0 0 0 1 0 1 0 1 0 1 1 0 1 0 1 0 0 0 0 1 1 1 1 0 0 0 1 0 0 0 1 0 0 1 1 1 0 0 1 1 0 0 0 1 0 1 1 0 1 0 0 1 0 0 0 0 1 0 0 1 1 1 0 0 1 0 0 0 0 0 1 0 1 1 1 0 1 0 1 0 0 1 0 0 0 1 0 1 1 1 0 0 1 0 0 0 1 0 0 0 1 1 0 1 1 1 1 0 1 0 0 1 0 1 0 1 0 1 1 0 0 0 1 1 0 1 0 1 0 0 0 0 1 0 0 0 0 0 0 1 1 1 0 1 0 1 1 1 1 0 0 1 0 1 1 1 0 1 0 1 1 1 1 0 1 1 0 1 1 0 0 0 1 1 1 1 0 0 0 0 0 1 0 0 1 0 0 1 0 1 0 1 1 0 0 0 1 1 0 0 1 0 1 1 0 1 1 0 1 0 0 1 1 0 1 1 1 1 1 0 0 0 0 0 0 0 0 0 0 0 0 1 1 1 1 1 0 0 0 1 1 1 0 0 1 0 0 0 1 0 1 0 0 1 0 1 0 1 1 1 0 0 0 1 1 0 0 1 0 1 0 0 0 1 1 0 1 1 1 1 1 1 1 1 0 0 1 0 0 0 0 0 1 1 1 1 0 0 0 1 1 1 1 1 0 0 0 0 1 0 1 0 1 1 0 0 0 0 1 1 1 0 1 0 1 0 0 0 0 0 0 0 1 0 0 0 0 0 1 1 0 1 0 1 1 0 1 1 1 1 1 0 0 1 1 0 0 1 0 0 0 0 1 1 1 1 0 0 0 0 0 0 0 0 0 0 0 0 0 0 1 0 1 0 1 0 1 1 0 0 0 1 1 0 1 0 1 0 0 0 0 1 0 0 0 0 0 0 1 1 0 1 0 0 1 1 1 1 0 1 1 0 1 1 0 0 1 1 1 1 0 0 0 1 1 0 1 1 1 1 1 1 1 0 1 0 0 1 1 0 1 0 1 0 1 1 0 0 0 1 0 1 0 0 0 0 0 0 1 0 1 0 0 1 0 1 0 0 0 0 1 0 0 0 1 0 1 1 1 0 0 1 0 0 0 1 0 0 0 1 1 0 1 1 1 1 0 1 0 0 1 1 0 0 0 1 1 1 1 0 0 0 0 0 0 0 0 0 0 0 0 0 1 1 0 0 1 0 1 0 0 0 1 1 0 1 1 1 1 1 1 1 1 0 0 1 0 0 0 0 0 1 1 1 1 0 0 0 1 0 1 0 1 0 1 1 0 1 0 1 0 0 0 0 1 1 1 1 0 0 0 1 0 0 0 0 1 0 1 0 1 0 0 0 0 0 0 0 0 0 1 0 1 1 0 0 0 1 0 1 1 0 1 1 1 1 0 0 0 0 1 1 1 1 1 0 0 0 1 1 1 0 0 1 0 0 0 1 0 1 0 0 1 0 1 0 1 1 1 0 0 1 1 1 0 1 0 1 0 0 0 0 0 0 0 0 0 0 0 0 1 0 0 1 1 1 1 0 1 1 0 1 1 0 0 1 1 1 1 0 0 0 1 1 0 1 1 1 1 1 0 1 1 1 0 0 1 0 1 1 1 0 1 0 1 1 1 1 0 1 1 0 1 1 0 0 0 1 1 1 1 0 0 0 0 0 0 0 0 1 1 1 1 1 1 1 1 1 1 1 1 1 0 1 0 0 1 0 1 1 1 0 1 0 1 0 0 0 0 1 0 1 0 1 0 1 1 0 0 0 1 1 0 1 0 1 0 0 0 0 1 0 0 0 0 0 0 1 1 0 0 1 0 1 0 0 1 0 1 0 0 0 0 0 0 0 0 0 0 0 1 1 1 1 0 0 0 1 0 1 0 1 0 1 1 0 1 0 1 0 0 0 0 1 1 1 1 0 0 0 0 0 0 0 1 1 1 1 1 0 0 0 0 1 0 1 0 1 1 0 0 0 0 1 1 1 0 1 0 1 0 0 0 0 0 0 0 0 0 0 0 1 0 0 0 0 1 1 1 1 1 1 0 1 0 0 1 1 1 0 1 1 1 1 1 1 1 0 1 1 1 1 1 0 0 1 0 1 0 0 0 1 1 0 1 1 1 1 1 1 1 1 0 0 1 0 0 0 0 0 1 0 1 1 0 1 1 1 1 0 0 0 0 0 0 0 0 0 0 0 1 1 1 0 0 1 0 1 1 1 0 1 0 1 1 1 1 0 1 1 0 1 1 0 0 0 1 1 1 1 0 0 1 1 0 1 0 1 0 1 1 0 0 0 1 0 1 0 0 0 0 0 0 1 0 1 0 0 1 0 1 0 0 0 0 0 0 0 0 0 0 0 1 1 1 1 0 0 0 1 1 1 0 0 0 0 0 1 1 1 1 0 0 0 0 0 1 1 0 0 1 0 1 1 1 1 0 1 1 0 1 1 0 0 1 1 1 1 0 0 0 1 1 0 1 1 1 1 1 1 0 1 1 1 0 1 0 1 0 0 0 0 0 0 0 0 0 0 0 0 0 0 0 1 1 1 1 1 0 0 0 0 1 0 1 0 1 1 0 0 0 0 1 1 1 0 1 0 1 0 0 1 0 1 0 1 0 0 0 0 0 0 0 0 0 1 0 1 1 0 0 0 1 0 1 1 0 1 1 1 1 0 0 0 0 0 0 0 0 0 0 1 1 0 0 0 1 0 0 1 1 1 0 1 1 0 1 1 1 0 0 0 1 1 1 1 1 0 0 1 1 1 1 0 0 0 1 0 1 0 1 0 1 1 0 1 0 1 0 0 0 0 1 1 1 1 0 0 0 0 0 0 0 0 0 0 0 0 0 0 0 0 0 0 0 0 0 0 0 0 0 1 1 0 1 0 1 0 1 1 0 0 0 1 0 1 0 0 0 0 0 0 1 0 1 0 0 1 0 1 0 0 0 0 1 1 1 1 1 1 1 1 1 1 1 1 1 0 1 0 0 1 0 1 1 1 0 1 0 1 0 0 0 0 0 0 0 0 0 0 0 1 0 0 1 0 0 0 1 0 1 0 1 1 0 1 1 1 0 0 0 1 1 1 0 0 0 1 0 0 0 1 0 0 1 0 1 1 1 0 1 0 1 1 1 1 0 1 1 0 1 1 0 0 0 1 1 1 1 0 0 0 0 0 0 0 0 0 0 0 0 0 0 0 0 0 0 0 0 0 1 0 1 0 1 0 0 0 0 0 0 0 0 0 1 0 1 1 0 0 0 1 0 1 1 0 1 1 1 1 0 0 0 0 0 0 0 0 0 0 0 0 0 0 0 0 0 0 0 0 0 0 0 0 0 0 0 0 0 0 0 0 0 0 0 0 0 0 0 0 0 1 0 0 1 1 0 1 0 1 1 1 0 1 1 0 0 0 1 0 1 1 1 0 0 1 0 0 0 0 1 0 1 1 1 1 1 0 0 0 0 1 0 1 0 1 1 0 0 0 0 1 1 1 0 1 0 1 0 0 0 0 0 0 0 0 0 0 0 0 0 0 0 0 0 0 0 0 0 0 0 0 0 1 1 1 1 1 1 1 1 1 1 1 1 1 0 1 0 0 1 0 1 1 1 0 1 0 1 0 0 0 0 0 0 0 0 0 0 0 0 0 0 0 0 0 0 0 0 0 0 0 0 0 0 0 0 0 0 0 0 0 0 0 0 1 0 0 0 0 1 1 1 1 1 1 0 1 0 0 1 1 1 0 1 1 1 1 1 1 1 0 1 1 1 0 1 0 0 1 1 1 0 1 0 1 0 1 1 0 0 0 1 0 1 0 0 0 0 0 0 1 0 1 0 0 1 0 1 0 0 0 0 0 0 0 0 0 0 0 0 0 0 0 0 0 0 0 0 0 0 0 0 0 0 0 0 0 0 0 0 0 0 0 0 0 0 0 0 0 0 0 0 0 0 0 0 0 0 0 0 0 0 0 0 0 0 0 0 0 0 0 0 0 0 0 0 0 0 0 0 0 0 0 0 0 0 0 0 0 0 0 0 0 0 0 1 1 1 1 0 0 0 1 1 1 0 0 0 0 0 1 1 1 1 0 0 0 0 0 1 1 0 0 1 1 0 1 1 1 1 1 0 1 0 0 0 0 0 0 0 0 0 1 0 1 1 0 0 0 1 0 1 1 0 1 1 1 1 0 0 0 0 0 0 0 0 0 0 0 0 0 0 0 0 0 0 0 0 0 0 0 0 0 0 0 0 0 0 0 0 0 0 0 0 0 0 0 0 0 0 0 0 0 0 0 0 0 0 0 0 0 0 0 0 0 0 0 0 0 0 0 0 0 0 0 0 0 0 0 0 0 0 0 0 0 0 1 0 0 0 0 1 1 1 1 1 1 0 1 0 0 1 1 1 0 1 1 1 1 1 1 1 0 1 1 1 1 1 1 1 0 0 1 1 1 1 0 1 0 1 0 1 1 1 1 1 1 1 1 1 1 1 1 1 0 1 0 0 1 0 1 1 1 0 1 0 1 0 0 0 0 0 0 0 0 0 0 0 0 0 0 0 0 0 0 0 0 0 0 0 0 0 0 0 0 0 0 0 0 0 0 0 0 0 0 0 1 0 0 0 0 1 1 1 1 1 1 0 1 0 0 1 1 1 0 1 1 1 1 1 1 1 0 1 1 1 0 0 0 0 0 0 0 0 0 0 0 1 1 1 1 0 0 0 1 1 1 0 0 0 0 0 1 1 1 1 0 0 0 0 0 1 1 0 0 1 1 0 0 0 1 0 0 0 0 1 1 0 0 0 0 0 0 0 0 0 0 0 0 0 0 0 0 1 0 0 0 0 1 1 1 1 1 1 0 1 0 0 1 1 1 0 1 1 1 1 1 1 1 0 1 1 1 0 0 0 0 0 0 0 0 0 0 0 0 0 0 0 0 0 0 0 0 0 0 0 0 1 1 1 1 0 0 0 1 1 1 0 0 0 0 0 1 1 1 1 0 0 0 0 0 1 1 0 0 1 0 0 0 0 0 1 0 0 0 0 1 1 1 1 1 1 0 1 0 0 1 1 1 0 1 1 1 1 1 1 1 0 1 1 1 1 0 0 1 1 0 0 1 0 0 0 0 1 0 0 1 1 0 1 0 0 0 0 0 0 0 1 0 0 0 0 1 1 1 1 1 1 0 1 0 0 1 1 1 0 1 1 1 1 1 1 1 0 1 1 1 0 1 1 0 0 1 0 0 0 0 0 0 0 0 0 0 0 0 0 0 0 0 0 0 0 0 0 0 0 1 1 0 0 0 1 0 0 1 1 1 0 1 1 0 1 1 1 0 0 0 1 1 1 1 1 0 0 1 1 0 0 0 0 0 0 1 1 1 1 0 0 0 1 1 1 0 0 0 0 0 1 1 1 1 0 0 0 0 0 1 1 0 0 1 0 1 0 0 0 1 0 0 1 0 0 1 1 0 0 1 1 0 0 0 0 0 0 0 0 0 0 1 1 1 1 0 0 0 1 1 1 0 0 0 0 0 1 1 1 1 0 0 0 0 0 1 1 0 0 1 1 1 0 0 1 1 0 0 0 0 0 0 0 0 0 0 0 0 0 0 0 0 0 0 0 0 0 0 0 1 0 0 1 0 0 0 1 0 1 0 1 1 0 1 1 1 0 0 0 1 1 1 0 0 0 1 0 0 0 0 0 0 0 0 1 1 0 0 0 1 0 0 1 1 1 0 1 1 0 1 1 1 0 0 0 1 1 1 1 1 0 0 1 1 0 0 0 0 1 0 0 1 0 1 1 1 1 1 1 0 1 0 0 0 0 0 0 0 0 0 1 1 0 0 0 1 0 0 1 1 1 0 1 1 0 1 1 1 0 0 0 1 1 1 1 1 0 0 1 1 0 0 1 0 0 0 0 0 0 0 0 0 0 0 0 0 0 0 0 0 0 0 0 0 0 0 0 0 0 1 0 0 1 1 0 1 0 1 1 1 0 1 1 0 0 0 1 0 1 1 1 0 0 1 0 0 0 0 1 0 0 0 0 0 1 0 0 1 0 0 0 1 0 1 0 1 1 0 1 1 1 0 0 0 1 1 1 0 0 0 1 0 0 0 1 0 0 1 1 0 0 1 1 0 1 0 1 1 0 0 1 1 0 0 1 0 0 0 0 1 1 1 1 1 1 0 1 0 0 1 1 1 0 1 1 1 1 1 1 1 0 1 1 1 0 0 1 0 0 0 1 0 0 0 0 1 0 0 0 0 0 0 0 0 0 0 0 0 0 0 0 0 0 0 0 0 0 0 0 0 0 1 0 1 0 1 1 0 0 0 0 0 1 1 0 1 1 0 0 0 1 1 0 0 1 0 0 1 1 1 0 0 0 0 1 1 1 1 1 1 0 1 0 0 1 1 1 0 1 1 1 1 1 1 1 0 1 1 1 0 0 0 0 1 0 1 1 1 1 1 0 0 1 1 0 0 0 1 0 0 1 1 1 0 0 1 1 1 1 0 0 0 1 1 1 0 0 0 0 0 1 1 1 1 0 0 0 0 0 1 1 0 0 1 1 0 0 0 0 1 0 1 0 0 1 1 0 0 0 0 0 0 0 0 0 0 0 0 0 0 0 0 0 0 0 0 0 0 0 1 0 1 0 0 0 1 1 1 1 0 0 1 0 1 0 1 1 0 1 1 0 0 0 1 0 1 1 1 1 0 1 1 1 1 0 0 0 1 1 1 0 0 0 0 0 1 1 1 1 0 0 0 0 0 1 1 0 0 1 1 0 0 1 1 1 0 1 0 1 0 0 0 0 1 1 0 1 1 0 1 1 1 0 0 1 1 0 0 0 1 0 0 1 1 1 0 1 1 0 1 1 1 0 0 0 1 1 1 1 1 0 0 1 1 0 1 0 0 1 1 1 0 1 1 1 1 0 0 0 0 0 0 0 0 0 0 0 0 0 0 0 0 0 0 0 0 0 0 0 0 0 1 1 1 1 0 0 1 1 1 1 1 1 1 1 1 0 0 1 1 1 0 0 1 1 0 1 0 1 1 1 0 0 0 1 0 0 1 1 1 0 1 1 0 1 1 1 0 0 0 1 1 1 1 1 0 0 1 1 0 1 1 1 1 1 1 0 0 0 0 1 0 0 1 1 0 0 1 1 1 0 0 0 0 1 0 0 1 0 0 0 1 0 1 0 1 1 0 1 1 1 0 0 0 1 1 1 0 0 0 1 0 0 0 1 0 1 1 1 1 1 1 0 1 0 1 0 0 0 0 0 0 0 0 0 0 0 0 0 0 0 0 0 0 0 0 0 0 0 0 1 0 1 0 1 0 0 1 1 0 0 0 1 1 0 0 1 0 0 0 0 1 0 0 1 1 0 0 0 1 0 0 1 0 0 0 1 0 1 0 1 1 0 1 1 1 0 0 0 1 1 1 0 0 0 1 0 0 0 1 0 1 0 1 0 1 1 0 1 1 1 1 1 0 1 0 0 0 0 0 1 0 0 0 1 0 0 1 1 0 1 0 1 1 1 0 1 1 0 0 0 1 0 1 1 1 0 0 1 0 0 0 0 1 1 1 0 1 0 1 0 1 1 0 0 0 0 0 0 0 0 0 0 0 0 0 0 0 0 0 0 0 0 0 0 0 0 0 0 0 0 1 0 1 1 1 1 0 0 1 0 0 1 1 0 1 0 1 0 0 1 0 0 0 0 1 1 0 1 1 0 0 1 1 0 1 0 1 1 1 0 1 1 0 0 0 1 0 1 1 1 0 0 1 0 0 0 0 1 1 1 0 0 0 0 1 1 0 0 1 1 1 0 0 1 1 0 1 0 1 1 0 1 0 0 0 1 0 1 0 1 1 0 0 0 0 0 1 1 0 1 1 0 0 0 1 1 0 0 1 0 0 1 1 0 1 1 0 0 0 0 0 1 1 0 1 0 0 0 0 0 0 0 0 0 0 0 0 0 1 0 0 0 0 1 1 1 1 1 1 0 1 0 0 1 1 1 0 1 1 1 1 1 1 1 0 1 1 1 1 0 0 1 0 0 1 1 0 0 0 0 1 0 1 0 1 1 0 0 0 0 0 1 1 0 1 1 0 0 0 1 1 0 0 1 0 0 1 1 0 1 1 0 1 1 0 1 0 0 0 1 1 0 0 1 1 1 1 1 0 0 1 0 0 1 0 1 0 0 0 1 1 1 1 0 0 1 0 1 0 1 1 0 1 1 0 0 0 1 0 1 1 1 1 0 0 1 1 0 1 0 0 1 1 0 0 0 0 0 0 0 0 0 0 0 0 0 0 0 0 1 1 1 1 0 0 0 1 1 1 0 0 0 0 0 1 1 1 1 0 0 0 0 0 1 1 0 0 1 1 0 1 1 1 1 0 1 0 0 1 0 1 0 0 0 1 1 1 1 0 0 1 0 1 0 1 1 0 1 1 0 0 0 1 0 1 1 1 1 0 1 1 0 0 0 0 1 1 0 1 1 1 0 1 1 1 0 1 1 1 0 1 0 0 0 0 1 1 1 1 0 0 1 1 1 1 1 1 1 1 1 0 0 1 1 1 0 0 1 1 0 1 0 1 0 0 1 1 0 0 1 1 0 1 0 0 0 0 0 0 0 0 0 0 0 0 0 0 0 1 1 0 0 0 1 0 0 1 1 1 0 1 1 0 1 1 1 0 0 0 1 1 1 1 1 0 0 1 1 0 0 1 1 1 0 0 1 1 0 0 0 1 1 1 1 0 0 1 1 1 1 1 1 1 1 1 0 0 1 1 1 0 0 1 1 0 1 0 1 1 0 1 0 0 0 0 1 1 1 0 1 1 1 1 0 0 0 0 1 0 1 1 1 0 0 1 0 1 0 1 0 0 1 1 0 0 0 1 1 0 0 1 0 0 0 0 1 0 0 1 1 0 0 0 1 1 0 1 0 0 1 0 0 1 1 0 0 0 0 0 0 0 0 0 0 0 0 0 0 1 0 0 1 0 0 0 1 0 1 0 1 1 0 1 1 1 0 0 0 1 1 1 0 0 0 1 0 0 0 0 0 0 1 1 0 0 1 1 1 0 1 0 1 0 1 0 0 1 1 0 0 0 1 1 0 0 1 0 0 0 0 1 0 0 1 1 0 0 0 0 0 1 1 0 0 1 1 1 0 1 0 0 0 0 1 0 0 0 0 0 0 1 1 0 0 0 1 0 1 1 1 1 0 0 1 0 0 1 1 0 1 0 1 0 0 1 0 0 0 0 1 1 0 1 1 0 0 1 1 0 1 0 0 1 1 1 0 0 0 0 0 0 0 0 0 0 0 0 0 1 0 0 1 1 0 1 0 1 1 1 0 1 1 0 0 0 1 0 1 1 1 0 0 1 0 0 0 0 1 0 1 1 1 1 0 1 1 1 0 0 0 1 0 1 1 1 1 0 0 1 0 0 1 1 0 1 0 1 0 0 1 0 0 0 0 1 1 0 1 0 0 1 1 1 1 1 0 0 0 0 1 1 0 1 1 0 1 0 1 0 0 0 0 0 1 0 1 0 0 0 0 1 1 0 1 0 0 0 0 1 0 1 1 1 1 0 0 1 0 0 1 1 0 0 1 0 0 1 1 1 1 0 1 1 1 0 0 0 0 0 0 0 0 1 0 0 0 0 1 1 1 1 1 1 0 1 0 0 1 1 1 0 1 1 1 1 1 1 1 0 1 1 1 0 1 0 0 1 1 0 0 0 1 1 1 1 0 0 0 1 0 1 0 0 0 0 1 1 0 1 0 0 0 0 1 0 1 1 1 1 0 0 1 0 0 1 1 0 0 0 1 1 1 0 0 0 1 0 0 0 0 1 1 0 0 1 0 0 1 1 1 1 1 0 0 1 0 1 0 1 1 0 0 0 0 0 1 0 0 1 1 0 0 1 1 0 1 1 1 1 0 1 0 0 1 0 1 1 1 0 1 1 1 0 0 0 0 0 0 0 0 0 0 0 1 1 1 1 0 0 0 1 1 1 0 0 0 0 0 1 1 1 1 0 0 0 0 0 1 1 0 0 1 1 0 1 1 1 1 0 0 1 0 0 0 0 1 0 0 0 1 0 1 0 1 1 0 0 0 0 0 1 0 0 1 1 0 0 1 1 0 1 1 1 1 0 1 0 0 1 1 0 0 0 0 1 1 0 1 0 1 1 1 1 0 1 0 1 1 1 0 0 0 0 1 0 1 1 1 1 0 0 1 1 0 1 1 1 1 1 0 1 1 1 0 0 1 1 1 0 0 1 1 0 1 1 1 0 0 0 0 0 0 1 0 0 0 0 0 0 0 0 0 1 1 0 0 0 1 0 0 1 1 1 0 1 1 0 1 1 1 0 0 0 1 1 1 1 1 0 0 1 1 1 1 0 1 0 1 0 1 0 1 1 0 1 1 0 1 1 0 1 1 1 1 0 0 1 1 0 1 1 1 1 1 0 1 1 1 0 0 1 1 1 0 0 1 1 0 0 0 1 0 0 1 0 0 1 0 0 1 0 1 0 1 1 1 0 0 1 1 1 1 0 1 0 0 1 0 1 0 0 1 0 1 1 1 0 1 1 1 1 0 0 0 0 0 1 1 0 0 1 1 1 0 0 0 1 0 0 1 0 1 1 0 1 0 0 0 0 0 0 0 1 0 0 1 0 0 0 1 0 1 0 1 1 0 1 1 1 0 0 0 1 1 1 0 0 0 1 0 0 0 0 1 1 0 0 0 1 1 0 0 1 1 0 0 1 0 1 0 0 1 0 1 0 0 1 0 1 1 1 0 1 1 1 1 0 0 0 0 0 1 1 0 0 1 1 1 0 1 1 0 1 1 1 0 1 0 0 0 0 0 0 0 1 1 1 0 1 0 1 0 0 1 1 0 1 0 0 0 0 0 1 0 0 0 0 0 1 1 0 1 1 0 1 1 1 1 0 1 1 1 0 1 0 1 1 0 1 1 1 0 0 1 0 0 0 0 0 0 0 0 1 0 0 1 1 0 1 0 1 1 1 0 1 1 0 0 0 1 0 1 1 1 0 0 1 0 0 0 0 1 0 0 1 1 0 1 1 1 0 1 1 1 1 0 1 0 1 1 0 1 0 0 0 0 0 1 0 0 0 0 0 1 1 0 1 1 0 1 1 1 1 0 1 1 1 0 1 0 0 1 0 1 0 1 1 1 1 0 0 1 0 0 0 0 1 0 0 1 0 1 0 0 0 1 0 1 1 0 1 0 1 0 0 1 0 0 1 0 1 1 1 0 0 0 1 1 1 1 0 0 0 1 1 0 0 1 0 1 1 1 0 1 0 0 0 0 0 0 0 0 0 0 1 0 1 0 1 1 0 0 0 0 0 1 1 0 1 1 0 0 0 1 1 0 0 1 0 0 1 1 0 0 1 1 0 0 1 0 0 1 0 1 0 1 1 1 0 0 1 0 1 1 0 1 0 1 0 0 1 0 0 1 0 1 1 1 0 0 0 1 1 1 1 0 0 0 1 1 0 1 0 0 0 0 1 1 1 1 0 1 1 1 1 1 1 0 1 1 1 1 0 0 1 0 0 1 1 1 0 0 1 1 0 0 0 1 0 1 1 0 1 0 0 1 0 0 0 0 1 0 0 1 1 1 0 1 0 0 1 0 1 1 1 0 0 0 0 0 0 0 1 0 1 0 0 0 1 1 1 1 0 0 1 0 1 0 1 1 0 1 1 0 0 0 1 0 1 1 1 1 1 1 0 1 0 0 0 1 0 0 0 0 0 0 1 1 0 1 0 0 1 1 1 0 0 1 1 0 0 0 1 0 1 1 0 1 0 0 1 0 0 0 0 1 0 0 1 0 1 1 1 1 0 0 0 0 0 1 1 1 1 0 0 0 1 0 1 0 1 0 0 0 0 1 0 0 1 0 0 1 0 1 0 1 1 0 0 0 1 1 0 0 1 0 1 1 0 1 1 0 1 0 1 0 1 1 1 0 0 0 0 1 1 0 0 0 0 0 0 0 0 0 1 1 1 1 0 0 1 1 1 1 1 1 1 1 1 0 0 1 1 1 0 0 1 1 0 1 0 1 1 0 0 1 1 0 1 1 1 0 0 1 0 0 0 0 0 0 1 0 0 1 0 0 1 0 1 0 1 1 0 0 0 1 1 0 0 1 0 1 1 0 1 1 0 1 0 0 0 1 1 1 1 1 1 1 1 0 0 0 1 1 1 1 0 0 0 0 0 0 0 0 0 0 1 0 0 0 0 0 1 1 0 1 0 1 1 0 1 1 1 1 1 0 0 1 1 0 0 1 0 0 0 0 0 1 1 0 1 0 0 0 0 0 0 0 0 0 0 0 0 1 0 1 0 1 0 0 1 1 0 0 0 1 1 0 0 1 0 0 0 0 1 0 0 1 1 0 0 0 1 0 0 1 1 1 0 0 1 1 0 1 1 1 1 1 0 0 0 1 0 0 0 0 0 1 1 0 1 0 1 1 0 1 1 1 1 1 0 0 1 1 0 0 1 0 1 0 0 0 0 1 1 0 0 0 1 1 1 0 1 0 1 0 0 0 0 0 0 0 0 0 1 0 0 0 1 0 1 1 1 0 0 1 0 0 0 1 0 0 0 1 1 0 1 1 1 1 0 1 0 0 1 0 0 0 0 0 1 1 1 1 1 0 0 0 0 0 0 0 0 0 1 0 1 1 1 1 0 0 1 0 0 1 1 0 1 0 1 0 0 1 0 0 0 0 1 1 0 1 1 0 1 1 1 0 0 0 0 1 1 1 1 0 0 0 0 1 0 0 0 1 0 1 1 1 0 0 1 0 0 0 1 0 0 0 1 1 0 1 1 1 1 0 1 0 1 1 1 1 1 0 1 1 1 1 1 0 1 0 0 1 0 1 0 0 0 0 0 0 0 0 1 1 1 1 1 0 0 0 1 1 1 0 0 1 0 0 0 1 0 1 0 0 1 0 1 0 1 1 1 0 1 1 1 1 1 1 1 1 0 0 0 0 0 0 0 0 0 0 1 0 1 0 0 0 0 1 1 0 1 0 0 0 0 1 0 1 1 1 1 0 0 1 0 0 1 1 0 0 1 1 1 0 0 0 0 1 1 0 0 0 1 1 1 1 0 1 1 1 1 1 0 0 0 1 1 1 0 0 1 0 0 0 1 0 1 0 0 1 0 1 0 1 1 1 1 1 0 0 0 0 1 0 1 0 0 1 1 0 1 1 1 1 0 0 0 0 0 0 0 1 0 1 0 1 0 1 1 0 0 0 1 1 0 1 0 1 0 0 0 0 1 0 0 0 0 0 0 1 1 1 1 1 0 0 0 0 0 1 1 1 1 0 0 0 0 0 0 0 0 1 0 1 0 1 1 0 0 0 0 0 1 0 0 1 1 0 0 1 1 0 1 1 1 1 0 1 0 0 0 0 0 1 0 0 0 0 1 1 1 0 1 0 1 0 1 0 1 0 1 0 1 1 0 0 0 1 1 0 1 0 1 0 0 0 0 1 0 0 0 0 0 0 1 1 0 1 1 1 1 0 0 1 0 1 1 1 1 0 1 0 1 0 0 0 0 0 0 0 0 0 0 1 1 0 0 1 0 1 0 0 0 1 1 0 1 1 1 1 1 1 1 1 0 0 1 0 0 0 0 0 0 1 1 1 1 1 0 1 0 1 0 0 0 0 0 0 0 0 1 0 1 1 1 1 0 0 1 1 0 1 1 1 1 1 0 1 1 1 0 0 1 1 1 0 0 1 1 0 1 0 1 1 0 1 0 0 1 0 1 0 0 1 0 1 0 0 1 1 0 0 1 0 1 0 0 0 1 1 0 1 1 1 1 1 1 1 1 0 0 1 0 0 0 0 0 1 0 1 0 0 1 1 1 1 1 0 0 0 0 1 1 1 1 1 1 0 1 0 0 1 1 1 0 1 1 1 1 1 1 1 0 1 1 1 1 1 1 1 0 0 0 1 1 0 1 1 1 1 1 1 0 1 0 1 0 1 0 0 1 0 1 0 0 0 0 0 0 0 1 0 0 1 0 1 0 0 1 0 1 1 1 0 1 1 1 1 0 0 0 0 0 1 1 0 0 1 1 1 1 1 0 0 1 0 0 1 0 1 1 0 1 1 1 1 1 0 0 1 1 1 1 0 1 1 0 1 1 0 0 1 1 1 1 0 0 0 1 1 0 1 1 1 1 1 0 0 1 0 1 0 1 0 1 0 0 1 1 1 1 0 0 0 1 1 1 0 0 0 0 0 1 1 1 1 0 0 0 0 0 1 1 0 0 1 0 1 0 1 0 0 0 0 1 1 1 1 0 0 0 1 0 0 1 0 1 1 0 1 1 1 1 0 0 0 0 0 0 0 1 1 0 1 0 0 0 0 0 1 0 0 0 0 0 1 1 0 1 1 0 1 1 1 1 0 1 1 1 0 1 1 1 0 1 0 1 0 1 1 1 0 1 0 1 0 1 1 1 1 0 0 0 1 0 1 0 1 0 1 1 0 1 0 1 0 0 0 0 1 1 1 1 0 0 0 0 1 1 1 1 0 0 0 0 0 1 1 0 0 0 1 0 0 1 1 1 0 1 1 0 1 1 1 0 0 0 1 1 1 1 1 0 0 1 1 1 1 0 1 1 0 1 1 0 0 0 1 1 1 1 1 0 1 1 1 1 1 0 1 0 1 0 0 0 0 0 0 0 0 0 0 1 0 1 1 0 1 0 1 0 0 1 0 0 1 0 1 1 1 0 0 0 1 1 1 1 0 0 0 0 1 0 1 1 1 0 0 0 0 0 0 0 0 0 0 1 1 1 0 0 1 0 1 1 1 0 1 0 1 1 1 1 0 1 1 0 1 1 0 0 0 1 1 1 1 0 1 0 1 0 0 0 0 0 0 1 0 0 1 0 0 0 1 0 1 0 1 1 0 1 1 1 0 0 0 1 1 1 0 0 0 1 0 0 0 0 1 1 0 0 0 0 1 1 1 0 1 0 1 0 1 0 1 0 1 0 0 0 0 0 0 0 0 0 0 0 0 0 0 0 1 0 0 1 1 1 0 0 1 1 0 0 0 1 0 1 1 0 1 0 0 1 0 0 0 0 1 0 0 0 0 0 0 1 1 0 0 0 0 0 0 0 0 0 0 0 0 0 1 1 1 1 1 0 0 0 0 1 0 1 0 1 1 0 0 0 0 1 1 1 0 1 0 1 0 0 0 0 0 0 0 0 0 0 0 1 0 0 1 1 0 1 0 1 1 1 0 1 1 0 0 0 1 0 1 1 1 0 0 1 0 0 0 0 1 1 0 0 0 0 0 0 1 0 1 0 0 1 0 1 0 0 0 0 0 0 0 0 0 0 0 0 0 0 0 0 0 0 0 0 0 1 0 0 1 0 0 1 0 1 0 1 1 0 0 0 1 1 0 0 1 0 1 1 0 1 1 0 1 0 1 0 0 0 0 0 0 0 0 0 0 0 0 0 0 0 1 1 0 1 0 1 0 1 1 0 0 0 1 0 1 0 0 0 0 0 0 1 0 1 0 0 1 0 1 0 0 0 0 0 0 0 0 0 0 0 0 1 0 1 0 1 1 0 0 0 0 0 1 1 0 1 1 0 0 0 1 1 0 0 1 0 0 1 1 0 1 1 0 0 0 1 0 1 1 0 1 1 1 1 0 0 0 0 0 0 0 0 0 0 0 0 0 0 0 0 0 0 0 0 0 0 1 0 0 0 0 0 1 1 0 1 0 1 1 0 1 1 1 1 1 0 0 1 1 0 0 1 0 0 1 1 1 1 1 0 0 0 0 0 0 0 0 0 0 1 0 1 0 1 0 0 0 0 0 0 0 0 0 1 0 1 1 0 0 0 1 0 1 1 0 1 1 1 1 0 0 0 0 0 0 0 0 0 0 1 0 1 0 0 0 1 1 1 1 0 0 1 0 1 0 1 1 0 1 1 0 0 0 1 0 1 1 1 1 1 0 1 0 0 1 0 1 1 1 0 1 0 1 0 0 0 0 0 0 0 0 0 0 0 0 0 0 0 0 0 0 0 0 0 1 0 0 0 1 0 1 1 1 0 0 1 0 0 0 1 0 0 0 1 1 0 1 1 1 1 0 1 0 1 1 1 0 0 0 0 0 0 0 0 0 0 0 0 0 0 0 0 1 1 1 1 1 1 1 1 1 1 1 1 1 0 1 0 0 1 0 1 1 1 0 1 0 1 0 0 0 0 0 0 0 0 0 0 0 0 0 1 1 1 1 0 0 1 1 1 1 1 1 1 1 1 0 0 1 1 1 0 0 1 1 0 1 0 1 0 0 0 0 0 0 0 0 0 0 0 0 0 0 0 0 0 0 0 0 0 0 0 0 0 0 0 0 0 0 0 0 0 0 0 1 1 1 1 1 0 0 0 1 1 1 0 0 1 0 0 0 1 0 1 0 0 1 0 1 0 1 1 1 0 0 1 1 1 1 0 0 0 0 0 0 0 0 0 0 0 0 0 0 0 0 0 0 0 0 0 0 0 0 0 0 0 0 0 0 0 0 0 0 0 0 0 0 0 0 0 0 0 0 0 0 0 0 0 0 0 1 0 1 0 1 0 0 1 1 0 0 0 1 1 0 0 1 0 0 0 0 1 0 0 1 1 0 0 0 0 0 0 0 0 0 0 0 0 0 0 0 0 0 0 0 0 0 0 0 0 0 0 0 0 0 0 0 0 0 0 0 0 0 1 0 1 0 1 0 1 1 0 0 0 1 1 0 1 0 1 0 0 0 0 1 0 0 0 0 0 0 1 1 1 0 1 0 1 0 0 0 0 0 0 0 0 0 0 0 0 0 0 0 0 0 0 0 0 0 0 0 0 0 0 0 0 0 0 0 0 0 0 0 0 0 0 0 0 0 0 0 0 0 0 0 0 0 0 0 0 0 1 0 1 1 1 1 0 0 1 0 0 1 1 0 1 0 1 0 0 1 0 0 0 0 1 1 0 1 0 0 0 0 0 0 0 0 0 0 0 0 0 0 0 0 0 0 0 0 0 0 0 0 0 0 0 0 0 0 0 0 0 0 0 0 1 1 0 0 1 0 1 0 0 0 1 1 0 1 1 1 1 1 1 1 1 0 0 1 0 0 0 0 1 0 0 1 0 1 0 0 0 0 0 0 0 0 0 0 0 0 0 0 0 0 0 0 0 0 0 0 0 0 0 0 0 0 0 0 0 0 0 0 0 0 0 0 0 0 0 0 0 0 0 0 0 0 0 0 1 0 1 0 0 0 0 1 1 0 1 0 0 0 0 1 0 1 1 1 1 0 0 1 0 0 1 1 0 0 0 0 0 0 0 0 0 0 0 0 0 0 0 0 0 0 0 0 0 0 0 0 0 0 0 0 0 0 0 0 0 0 0 0 1 0 0 1 1 1 1 0 1 1 0 1 1 0 0 1 1 1 1 0 0 0 1 1 0 1 1 1 1 1 1 0 1 1 1 1 0 0 0 0 0 0 0 0 0 0 0 0 0 0 0 0 0 0 0 0 0 0 0 0 0 0 0 0 0 0 0 0 0 0 0 0 0 0 0 0 0 0 0 0 0 0 0 0 0 0 0 1 0 1 0 1 1 0 0 0 0 0 1 0 0 1 1 0 0 1 1 0 1 1 1 1 0 1 0 0 0 0 0 0 0 0 0 0 0 0 0 0 0 0 0 0 0 0 0 0 0 0 0 0 0 0 0 0 0 0 0 0 0 0 1 1 1 1 0 0 0 1 0 1 0 1 0 1 1 0 1 0 1 0 0 0 0 1 1 1 1 0 0 0 1 0 1 0 1 0 0 0 0 0 0 0 0 0 0 0 0 0 0 0 0 0 0 0 0 0 0 0 0 0 0 0 0 0 0 0 0 0 0 0 0 0 0 0 0 0 0 0 0 0 0 0 0 0 0 0 1 0 1 1 1 1 0 0 1 1 0 1 1 1 1 1 0 1 1 1 0 0 1 1 1 0 0 1 1 0 0 0 0 0 0 0 0 0 0 0 0 0 0 0 0 0 0 0 0 0 0 0 0 0 0 0 0 0 0 0 0 0 0 0 1 1 1 0 0 1 0 1 1 1 0 1 0 1 1 1 1 0 1 1 0 1 1 0 0 0 1 1 1 1 0 0 0 0 0 0 0 0 0 0 0 0 0 0 0 0 0 0 0 0 0 0 0 0 0 0 0 0 0 0 0 0 0 0 0 0 0 0 0 0 0 0 0 0 0 0 0 0 0 0 0 0 0 0 0 0 1 0 0 1 0 1 0 0 1 0 1 1 1 0 1 1 1 1 0 0 0 0 0 1 1 0 0 1 1 1 0 0 0 0 0 0 0 0 0 0 0 0 0 0 0 0 0 0 0 0 0 0 0 0 0 0 0 0 0 0 0 0 0 0 0 0 0 1 1 1 1 1 0 0 0 0 1 0 1 0 1 1 0 0 0 0 1 1 1 0 1 0 1 0 0 0 0 0 0 0 1 0 0 0 0 1 1 1 1 1 1 0 1 0 0 1 1 1 0 1 1 1 1 1 1 1 0 1 1 1 0 0 0 0 0 0 0 0 0 0 0 0 0 0 0 0 0 0 0 0 1 1 0 1 0 0 0 0 0 1 0 0 0 0 0 1 1 0 1 1 0 1 1 1 1 0 1 1 1 0 0 0 0 0 0 0 0 0 0 0 0 0 0 0 0 0 0 0 0 0 0 0 0 0 0 0 0 0 0 0 0 0 0 0 0 1 1 0 1 0 1 0 1 1 0 0 0 1 0 1 0 0 0 0 0 0 1 0 1 0 0 1 0 1 0 0 0 0 0 0 0 1 1 1 1 0 0 0 1 1 1 0 0 0 0 0 1 1 1 1 0 0 0 0 0 1 1 0 0 1 0 0 0 0 0 0 0 0 0 0 0 0 0 0 0 0 0 0 0 0 0 0 1 0 1 1 0 1 0 1 0 0 1 0 0 1 0 1 1 1 0 0 0 1 1 1 1 0 0 0 0 0 0 0 0 0 0 0 0 0 0 0 0 0 0 0 0 0 0 0 0 0 0 0 0 0 0 0 0 0 0 0 0 0 1 0 1 0 1 0 0 0 0 0 0 0 0 0 1 0 1 1 0 0 0 1 0 1 1 0 1 1 1 1 0 0 0 0 0 0 1 1 0 0 0 1 0 0 1 1 1 0 1 1 0 1 1 1 0 0 0 1 1 1 1 1 0 0 1 1 0 0 0 0 0 0 0 0 0 0 0 0 0 0 0 0 0 0 0 0 0 1 0 0 1 1 1 0 0 1 1 0 0 0 1 0 1 1 0 1 0 0 1 0 0 0 0 1 0 0 0 0 0 0 0 0 0 0 0 0 0 0 0 0 0 0 0 0 0 0 0 0 0 0 0 0 0 0 0 0 0 0 0 0 0 0 0 1 1 1 1 1 1 1 1 1 1 1 1 1 0 1 0 0 1 0 1 1 1 0 1 0 1 0 1 0 0 0 0 1 1 1 1 1 1 0 1 0 0 1 1 1 0 1 1 1 1 1 1 1 0 1 1 1 0 0 1 0 0 0 0 0 0 0 0 0 0 0 0 0 0 0 0 0 0 0 0 0 0 0 0 0 1 0 0 1 0 0 1 0 1 0 1 1 0 0 0 1 1 0 0 1 0 1 1 0 1 1 0 1 0 0 0 0 0 0 0 0 0 0 0 0 0 0 0 0 0 0 0 0 0 0 0 0 0 0 0 0 0 0 0 0 0 0 0 0 0 0 0 0 0 0 0 0 0 0 0 0 0 0 0 0 0 0 0 0 0 0 0 0 0 0 0 0 0 1 1 1 1 0 0 0 1 1 1 0 0 0 0 0 1 1 1 1 0 0 0 0 0 1 1 0 0 1 1 0 0 0 0 1 0 0 0 1 0 0 0 0 1 1 1 1 1 1 0 1 0 0 1 1 1 0 1 1 1 1 1 1 1 0 1 1 1 0 1 1 0 1 1 1 1 1 0 0 1 1 0 0 1 0 0 0 0 0 0 0 0 0 0 0 0 0 0 0 0 0 0 0 0 0 0 0 0 0 0 0 0 0 0 0 0 0 0 0 0 0 1 0 0 0 0 1 1 1 1 1 1 0 1 0 0 1 1 1 0 1 1 1 1 1 1 1 0 1 1 1 0 0 0 1 0 0 1 1 1 0 1 1 0 1 1 1 0 0 0 1 1 1 1 1 0 0 1 1 0 1 0 0 1 1 0 0 0 0 1 1 1 1 0 0 0 1 1 1 0 0 0 0 0 1 1 1 1 0 0 0 0 0 1 1 0 0 1 0 0 0 1 0 0 0 1 1 0 1 1 1 1 0 1 0 0 0 0 0 0 0 0 0 0 0 0 0 0 0 0 0 0 0 0 0 0 0 0 0 0 0 0 0 0 0 0 0 0 0 0 0 0 1 1 1 1 0 0 0 1 1 1 0 0 0 0 0 1 1 1 1 0 0 0 0 0 1 1 0 0 1 0 1 0 0 0 1 0 1 0 1 1 0 1 1 1 0 0 0 1 1 1 0 0 0 1 0 0 0 1 0 1 1 1 1 0 0 0 1 1 0 0 0 1 0 0 1 1 1 0 1 1 0 1 1 1 0 0 0 1 1 1 1 1 0 0 1 1 0 1 0 0 0 1 0 1 0 0 1 0 1 0 1 1 1 0 0 0 0 0 0 0 0 0 0 0 0 0 0 0 0 0 0 0 0 0 0 0 0 0 0 0 0 0 0 0 0 0 0 0 0 1 1 0 0 0 1 0 0 1 1 1 0 1 1 0 1 1 1 0 0 0 1 1 1 1 1 0 0 1 1 0 1 1 0 1 0 1 1 1 0 1 1 0 0 0 1 0 1 1 1 0 0 1 0 0 0 0 1 1 1 0 1 0 1 0 0 0 1 0 0 1 0 0 0 1 0 1 0 1 1 0 1 1 1 0 0 0 1 1 1 0 0 0 1 0 0 0 0 1 0 1 0 0 0 0 1 0 0 0 0 0 0 1 1 0 0 0 0 0 0 0 0 0 0 0 0 0 0 0 0 0 0 0 0 0 0 0 0 0 0 0 0 0 0 0 0 0 0 0 0 1 0 0 1 0 0 0 1 0 1 0 1 1 0 1 1 1 0 0 0 1 1 1 0 0 0 1 0 0 0 1 0 1 0 1 1 0 0 0 0 0 1 1 0 1 1 0 0 0 1 1 0 0 1 0 0 1 1 0 1 1 0 0 0 0 0 0 1 0 0 1 1 0 1 0 1 1 1 0 1 1 0 0 0 1 0 1 1 1 0 0 1 0 0 0 0 1 1 0 1 1 1 1 1 1 1 1 0 0 1 0 0 0 0 0 0 0 0 0 0 0 0 0 0 0 0 0 0 0 0 0 0 0 0 0 0 0 0 0 0 0 0 0 0 0 0 0 0 0 0 1 0 0 1 1 0 1 0 1 1 1 0 1 1 0 0 0 1 0 1 1 1 0 0 1 0 0 0 0 1 1 0 0 0 1 1 1 1 0 0 1 0 1 0 1 1 0 1 1 0 0 0 1 0 1 1 1 1 0 0 1 1 0 1 0 0 0 0 0 1 0 1 0 1 1 0 0 0 0 0 1 1 0 1 1 0 0 0 1 1 0 0 1 0 0 1 1 0 0 1 1 1 1 0 0 0 1 1 0 1 1 1 1 1 0 0 0 0 0 0 0 0 0 0 0 0 0 0 0 0 0 0 0 0 0 0 0 0 0 0 0 0 0 0 0 0 0 0 0 0 0 0 1 0 1 0 1 1 0 0 0 0 0 1 1 0 1 1 0 0 0 1 1 0 0 1 0 0 1 1 1 1 1 1 0 0 1 1 1 1 1 1 1 1 1 0 0 1 1 1 0 0 1 1 0 1 0 1 0 0 1 1 0 0 0 0 0 1 0 1 0 0 0 1 1 1 1 0 0 1 0 1 0 1 1 0 1 1 0 0 0 1 0 1 1 1 1 1 1 0 1 0 1 0 0 0 0 1 1 1 1 0 0 0 0 0 0 0 0 0 0 0 0 0 0 0 0 0 0 0 0 0 0 0 0 0 0 0 0 0 0 0 0 0 0 0 0 0 0 0 1 0 1 0 0 0 1 1 1 1 0 0 1 0 1 0 1 1 0 1 1 0 0 0 1 0 1 1 1 1 0 1 0 1 0 0 1 1 0 0 0 1 1 0 0 1 0 0 0 0 1 0 0 1 1 0 0 0 1 1 0 1 0 0 0 0 0 0 0 1 1 1 1 0 0 1 1 1 1 1 1 1 1 1 0 0 1 1 1 0 0 1 1 0 1 0 1 1 1 1 1 0 1 1 0 1 1 0 0 0 1 1 1 1 0 0 0 0 0 0 0 0 0 0 0 0 0 0 0 0 0 0 0 0 0 0 0 0 0 0 0 0 0 0 0 0 0 0 0 0 0 0 1 1 1 1 0 0 1 1 1 1 1 1 1 1 1 0 0 1 1 1 0 0 1 1 0 1 0 1 1 0 1 1 1 1 0 0 1 0 0 1 1 0 1 0 1 0 0 1 0 0 0 0 1 1 0 1 1 0 0 1 1 0 0 0 0 0 1 0 1 0 1 0 0 1 1 0 0 0 1 1 0 0 1 0 0 0 0 1 0 0 1 1 0 0 0 0 1 0 1 1 0 0 0 0 1 1 1 0 1 0 1 0 0 0 0 0 0 0 0 0 0 0 0 0 0 0 0 0 0 0 0 0 0 0 0 0 0 0 0 0 0 0 0 0 0 0 0 0 0 1 0 1 0 1 0 0 1 1 0 0 0 1 1 0 0 1 0 0 0 0 1 0 0 1 1 0 0 0 1 0 0 0 0 1 1 0 1 0 0 0 0 1 0 1 1 1 1 0 0 1 0 0 1 1 0 0 1 0 0 1 1 1 0 0 0 0 0 1 0 1 1 1 1 0 0 1 0 0 1 1 0 1 0 1 0 0 1 0 0 0 0 1 1 0 1 1 0 1 0 0 0 0 0 0 1 0 1 0 0 1 0 1 0 0 0 0 0 0 0 0 0 0 0 0 0 0 0 0 0 0 0 0 0 0 0 0 0 0 0 0 0 0 0 0 0 0 0 0 0 0 1 0 1 1 1 1 0 0 1 0 0 1 1 0 1 0 1 0 0 1 0 0 0 0 1 1 0 1 0 1 0 1 1 0 0 0 0 0 1 0 0 1 1 0 0 1 1 0 1 1 1 1 0 1 0 0 1 0 1 1 1 0 0 0 0 1 0 1 0 0 0 0 1 1 0 1 0 0 0 0 1 0 1 1 1 1 0 0 1 0 0 1 1 0 0 0 1 0 1 1 0 0 0 1 0 1 1 0 1 1 1 1 0 0 0 0 0 0 0 0 0 0 0 0 0 0 0 0 0 0 0 0 0 0 0 0 0 0 0 0 0 0 0 0 0 0 0 0 1 0 1 0 0 0 0 1 1 0 1 0 0 0 0 1 0 1 1 1 1 0 0 1 0 0 1 1 0 0 1 1 1 1 0 0 1 1 0 1 1 1 1 1 0 1 1 1 0 0 1 1 1 0 0 1 1 0 1 1 1 0 0 0 0 0 0 0 1 0 1 0 1 1 0 0 0 0 0 1 0 0 1 1 0 0 1 1 0 1 1 1 1 0 1 0 0 1 1 1 0 1 0 0 1 0 1 1 1 0 1 0 1 0 0 0 0 0 0 0 0 0 0 0 0 0 0 0 0 0 0 0 0 0 0 0 0 0 0 0 0 0 0 0 0 0 0 0 0 0 0 1 0 1 0 1 1 0 0 0 0 0 1 0 0 1 1 0 0 1 1 0 1 1 1 1 0 1 0 0 0 1 0 1 0 0 1 0 1 1 1 0 1 1 1 1 0 0 0 0 0 1 1 0 0 1 1 1 0 0 0 1 0 0 0 0 0 1 0 1 1 1 1 0 0 1 1 0 1 1 1 1 1 0 1 1 1 0 0 1 1 1 0 0 1 1 0 0 0 0 0 0 1 0 0 0 0 1 1 1 1 1 1 0 1 0 0 1 1 1 0 1 1 1 1 1 1 1 0 1 1 1 0 0 0 0 0 0 0 0 0 0 0 0 0 0 0 0 0 0 1 0 1 1 1 1 0 0 1 1 0 1 1 1 1 1 0 1 1 1 0 0 1 1 1 0 0 1 1 0 0 1 0 0 0 0 0 1 0 0 0 0 0 1 1 0 1 1 0 1 1 1 1 0 1 1 1 0 1 0 1 1 0 1 0 0 0 1 0 0 1 0 1 0 0 1 0 1 1 1 0 1 1 1 1 0 0 0 0 0 1 1 0 0 1 1 1 0 0 0 0 0 0 1 1 1 1 0 0 0 1 1 1 0 0 0 0 0 1 1 1 1 0 0 0 0 0 1 1 0 0 1 0 0 0 0 0 0 0 0 0 0 0 0 0 0 0 0 0 0 1 0 0 1 0 1 0 0 1 0 1 1 1 0 1 1 1 1 0 0 0 0 0 1 1 0 0 1 1 1 1 0 1 1 0 1 0 1 0 0 1 0 0 1 0 1 1 1 0 0 0 1 1 1 1 0 0 0 1 1 0 0 1 0 0 0 0 1 1 0 1 0 0 0 0 0 1 0 0 0 0 0 1 1 0 1 1 0 1 1 1 1 0 1 1 1 0 1 0 0 0 0 1 1 1 1 1 1 0 1 0 0 1 1 1 0 1 1 1 1 1 1 1 0 1 1 1 1 0 0 1 1 0 0 0 0 0 0 0 0 0 0 0 0 0 0 0 0 0 0 1 1 0 1 0 0 0 0 0 1 0 0 0 0 0 1 1 0 1 1 0 1 1 1 1 0 1 1 1 0 0 0 1 1 1 0 0 1 1 0 0 0 1 0 1 1 0 1 0 0 1 0 0 0 0 1 0 0 1 1 1 0 1 0 0 0 0 0 0 1 0 1 1 0 1 0 1 0 0 1 0 0 1 0 1 1 1 0 0 0 1 1 1 1 0 0 0 0 1 1 1 1 0 0 0 1 1 1 0 0 0 0 0 1 1 1 1 0 0 0 0 0 1 1 0 0 1 0 1 0 0 0 0 0 0 0 0 0 0 0 0 0 0 0 0 0 0 0 0 0 0 0 1 0 1 1 0 1 0 1 0 0 1 0 0 1 0 1 1 1 0 0 0 1 1 1 1 0 0 0 1 0 0 1 0 0 1 0 1 0 1 1 0 0 0 1 1 0 0 1 0 1 1 0 1 1 0 1 0 1 0 1 1 1 0 0 0 0 1 0 0 1 1 1 0 0 1 1 0 0 0 1 0 1 1 0 1 0 0 1 0 0 0 0 1 0 0 1 1 0 0 0 1 0 0 1 1 1 0 1 1 0 1 1 1 0 0 0 1 1 1 1 1 0 0 1 1 0 0 0 0 1 0 0 0 0 0 0 0 0 0 0 0 0 0 0 0 0 0 0 0 1 0 0 1 1 1 0 0 1 1 0 0 0 1 0 1 1 0 1 0 0 1 0 0 0 0 1 0 0 0 1 0 0 0 0 0 1 1 0 1 0 1 1 0 1 1 1 1 1 0 0 1 1 0 0 1 0 0 0 0 0 1 1 0 0 0 0 0 1 0 0 1 0 0 1 0 1 0 1 1 0 0 0 1 1 0 0 1 0 1 1 0 1 1 0 1 1 0 0 1 0 0 0 1 0 1 0 1 1 0 1 1 1 0 0 0 1 1 1 0 0 0 1 0 0 0 1 0 0 1 1 0 0 0 0 0 0 0 0 0 0 0 0 0 0 0 0 0 0 0 0 1 0 0 1 0 0 1 0 1 0 1 1 0 0 0 1 1 0 0 1 0 1 1 0 1 1 0 1 0 0 0 1 0 1 1 1 0 0 1 0 0 0 1 0 0 0 1 1 0 1 1 1 1 0 1 0 0 1 0 0 0 0 0 0 0 0 0 0 1 0 0 0 0 0 1 1 0 1 0 1 1 0 1 1 1 1 1 0 0 1 1 0 0 1 0 1 0 0 1 1 0 1 0 1 1 1 0 1 1 0 0 0 1 0 1 1 1 0 0 1 0 0 0 0 1 0 1 1 1 1 0 0 0 0 0 0 0 0 0 0 0 0 0 0 0 1 0 0 0 0 1 1 1 1 1 1 0 1 0 0 1 1 1 0 1 1 1 1 1 1 1 0 1 1 1 0 1 0 1 1 1 1 0 0 0 1 1 1 0 0 1 0 0 0 1 0 1 0 0 1 0 1 0 1 1 1 0 1 1 1 1 1 0 0 0 0 1 0 0 0 1 0 1 1 1 0 0 1 0 0 0 1 0 0 0 1 1 0 1 1 1 1 0 1 0 0 0 1 0 1 0 1 1 0 0 0 0 0 1 1 0 1 1 0 0 0 1 1 0 0 1 0 0 1 1 1 0 1 0 1 0 0 0 0 0 0 0 0 0 0 0 0 0 0 0 0 1 1 1 1 0 0 0 1 1 1 0 0 0 0 0 1 1 1 1 0 0 0 0 0 1 1 0 0 1 0 1 0 1 0 1 0 1 1 0 0 0 1 1 0 1 0 1 0 0 0 0 1 0 0 0 0 0 0 1 1 1 1 1 0 0 0 0 0 0 0 1 1 1 1 1 0 0 0 1 1 1 0 0 1 0 0 0 1 0 1 0 0 1 0 1 0 1 1 1 1 0 1 0 0 0 1 1 1 1 0 0 1 0 1 0 1 1 0 1 1 0 0 0 1 0 1 1 1 1 1 1 0 0 0 0 0 0 0 0 0 0 0 0 0 0 0 0 0 0 1 1 0 0 0 1 0 0 1 1 1 0 1 1 0 1 1 1 0 0 0 1 1 1 1 1 0 0 1 1 1 1 1 1 1 0 0 1 0 1 0 0 0 1 1 0 1 1 1 1 1 1 1 1 0 0 1 0 0 0 0 0 0 1 1 1 1 1 0 0 0 0 1 1 1 1 1 1 0 1 0 0 1 1 1 0 1 1 1 1 1 1 1 0 1 1 1 0 1 1 0 0 1 1 1 1 0 0 1 1 1 1 1 1 1 1 1 0 0 1 1 1 0 0 1 1 0 1 0 1 0 1 1 0 1 0 0 0 0 0 0 0 0 0 0 0 0 0 0 0 1 0 0 1 0 0 0 1 0 1 0 1 1 0 1 1 1 0 0 0 1 1 1 0 0 0 1 0 0 0 0 1 1 0 1 1 1 1 0 1 1 0 1 1 0 0 1 1 1 1 0 0 0 1 1 0 1 1 1 1 1 1 0 1 0 1 0 0 1 1 1 1 0 0 0 1 1 1 0 0 0 0 0 1 1 1 1 0 0 0 0 0 1 1 0 0 1 0 0 0 0 1 0 1 0 1 0 0 1 1 0 0 0 1 1 0 0 1 0 0 0 0 1 0 0 1 1 0 0 0 0 1 1 0 0 0 0 0 0 0 0 0 0 0 0 0 0 0 0 0 1 0 0 1 1 0 1 0 1 1 1 0 1 1 0 0 0 1 0 1 1 1 0 0 1 0 0 0 0 1 0 0 0 1 1 0 0 0 1 0 1 0 1 0 1 1 0 1 0 1 0 0 0 0 1 1 1 1 0 0 0 1 0 0 1 0 1 1 1 0 0 0 1 0 0 1 1 1 0 1 1 0 1 1 1 0 0 0 1 1 1 1 1 0 0 1 1 1 1 1 0 0 1 0 1 1 1 1 0 0 1 0 0 1 1 0 1 0 1 0 0 1 0 0 0 0 1 1 0 1 1 0 1 0 0 0 0 0 0 0 0 0 0 0 0 0 0 0 0 0 0 0 1 0 1 0 1 1 0 0 0 0 0 1 1 0 1 1 0 0 0 1 1 0 0 1 0 0 1 1 1 1 1 1 0 0 1 0 1 1 1 0 1 0 1 1 1 1 0 1 1 0 1 1 0 0 0 1 1 1 1 1 0 1 1 1 1 1 0 0 1 0 0 0 1 0 1 0 1 1 0 1 1 1 0 0 0 1 1 1 0 0 0 1 0 0 0 0 0 0 1 0 1 0 0 0 0 1 1 0 1 0 0 0 0 1 0 1 1 1 1 0 0 1 0 0 1 1 0 0 0 0 1 1 0 0 0 0 0 0 0 0 0 0 0 0 0 0 0 0 1 0 1 0 0 0 1 1 1 1 0 0 1 0 1 0 1 1 0 1 1 0 0 0 1 0 1 1 1 1 0 0 0 0 1 1 1 1 1 0 0 0 0 1 0 1 0 1 1 0 0 0 0 1 1 1 0 1 0 1 0 1 0 1 0 1 0 1 0 0 1 1 0 1 0 1 1 1 0 1 1 0 0 0 1 0 1 1 1 0 0 1 0 0 0 0 1 1 1 1 0 1 0 1 0 1 1 0 0 0 0 0 1 0 0 1 1 0 0 1 1 0 1 1 1 1 0 1 0 0 0 0 1 1 1 0 0 0 0 0 0 0 0 0 0 0 0 0 0 0 0 0 1 1 1 1 0 0 1 1 1 1 1 1 1 1 1 0 0 1 1 1 0 0 1 1 0 1 0 1 1 1 1 1 0 1 0 1 0 1 1 0 0 0 1 0 1 0 0 0 0 0 0 1 0 1 0 0 1 0 1 0 0 0 0 0 0 0 0 1 0 1 0 1 1 0 0 0 0 0 1 1 0 1 1 0 0 0 1 1 0 0 1 0 0 1 1 0 1 0 1 0 1 1 1 1 0 0 1 1 0 1 1 1 1 1 0 1 1 1 0 0 1 1 1 0 0 1 1 0 0 1 1 1 0 0 0 0 0 0 0 0 0 0 0 0 0 0 0 0 0 1 0 1 0 1 0 0 1 1 0 0 0 1 1 0 0 1 0 0 0 0 1 0 0 1 1 0 0 0 0 1 0 1 0 1 0 0 0 0 0 0 0 0 0 1 0 1 1 0 0 0 1 0 1 1 0 1 1 1 1 1 0 0 0 0 1 1 1 1 1 1 0 1 0 0 1 1 1 0 1 1 1 1 1 1 1 0 1 1 1 1 0 1 1 1 1 1 0 1 1 0 0 1 0 1 0 0 1 0 1 1 1 0 1 1 1 1 0 0 0 0 0 1 1 0 0 1 1 1 1 1 0 0 0 0 0 0 0 0 0 0 0 0 0 0 0 0 0 0 0 0 1 0 1 1 1 1 0 0 1 0 0 1 1 0 1 0 1 0 0 1 0 0 0 0 1 1 0 1 1 0 1 0 1 1 1 1 1 1 1 1 1 1 1 1 1 0 1 0 0 1 0 1 1 1 0 1 0 1 0 0 1 1 1 1 0 0 0 1 1 1 0 0 0 0 0 1 1 1 1 0 0 0 0 0 1 1 0 0 1 1 1 0 1 0 1 1 1 1 1 1 0 1 0 0 0 0 0 1 0 0 0 0 0 1 1 0 1 1 0 1 1 1 1 0 1 1 1 0 0 0 1 0 0 0 0 0 0 0 0 0 0 0 0 0 0 0 0 0 1 0 1 0 0 0 0 1 1 0 1 0 0 0 0 1 0 1 1 1 1 0 0 1 0 0 1 1 0 0 1 1 1 0 0 0 0 0 0 0 0 0 0 0 0 0 0 0 0 0 0 0 0 0 0 0 0 0 0 0 0 1 1 0 0 0 1 0 0 1 1 1 0 1 1 0 1 1 1 0 0 0 1 1 1 1 1 0 0 1 1 0 1 1 0 0 0 0 1 0 0 0 1 0 1 1 0 1 0 1 0 0 1 0 0 1 0 1 1 1 0 0 0 1 1 1 1 0 0 0 0 1 1 0 1 0 0 0 0 0 0 0 0 0 0 0 0 0 0 0 0 1 0 1 0 1 1 0 0 0 0 0 1 0 0 1 1 0 0 1 1 0 1 1 1 1 0 1 0 0 0 1 0 0 0 0 0 0 0 0 0 0 0 0 0 0 0 0 0 0 0 0 0 0 0 0 0 0 0 0 0 1 0 0 1 0 0 0 1 0 1 0 1 1 0 1 1 1 0 0 0 1 1 1 0 0 0 1 0 0 0 0 0 1 1 0 1 0 0 0 0 1 0 0 1 1 1 0 0 1 1 0 0 0 1 0 1 1 0 1 0 0 1 0 0 0 0 1 0 0 1 0 0 1 0 0 0 0 0 0 0 0 0 0 0 0 0 0 0 0 1 0 1 1 1 1 0 0 1 1 0 1 1 1 1 1 0 1 1 1 0 0 1 1 1 0 0 1 1 0 0 0 0 0 0 0 0 0 1 0 0 0 0 1 1 1 1 1 1 0 1 0 0 1 1 1 0 1 1 1 1 1 1 1 0 1 1 1 0 1 1 1 0 1 1 0 0 0 1 0 1 1 1 0 0 1 0 0 0 0 1 0 0 1 1 0 0 0 0 0 0 0 1 0 0 1 0 0 1 0 1 0 1 1 0 0 0 1 1 0 0 1 0 1 1 0 1 1 0 1 1 1 0 1 0 0 0 0 0 0 0 0 0 0 0 0 0 0 0 0 1 0 0 1 0 1 0 0 1 0 1 1 1 0 1 1 1 1 0 0 0 0 0 1 1 0 0 1 1 1 0 0 0 0 0 0 0 0 0 1 1 1 1 0 0 0 1 1 1 0 0 0 0 0 1 1 1 1 0 0 0 0 0 1 1 0 0 1 1 0 0 0 0 0 1 1 0 1 1 0 0 0 1 1 0 0 1 0 0 1 1 1 1 0 1 0 0 0 0 0 0 0 0 1 0 0 0 0 0 1 1 0 1 0 1 1 0 1 1 1 1 1 0 0 1 1 0 0 1 0 1 0 1 1 1 0 0 0 0 0 0 0 0 0 0 0 0 0 0 0 1 1 0 1 0 0 0 0 0 1 0 0 0 0 0 1 1 0 1 1 0 1 1 1 1 0 1 1 1 0 0 0 0 0 0 0 0 0 1 1 0 0 0 1 0 0 1 1 1 0 1 1 0 1 1 1 0 0 0 1 1 1 1 1 0 0 1 1 1 1 1 0 0 1 0 1 0 1 1 0 1 1 0 0 0 1 0 1 1 1 1 1 0 0 1 1 0 0 0 0 0 1 0 0 0 1 0 1 1 1 0 0 1 0 0 0 1 0 0 0 1 1 0 1 1 1 1 0 1 0 0 0 0 1 1 0 0 0 0 0 0 0 0 0 0 0 0 0 0 0 0 0 1 0 1 1 0 1 0 1 0 0 1 0 0 1 0 1 1 1 0 0 0 1 1 1 1 0 0 0 0 0 0 0 0 0 0 0 1 0 0 1 0 0 0 1 0 1 0 1 1 0 1 1 1 0 0 0 1 1 1 0 0 0 1 0 0 0 0 1 1 1 1 1 1 1 1 1 0 0 1 1 1 0 0 1 1 0 1 0 1 1 0 0 1 1 1 0 0 0 0 1 1 1 1 1 0 0 0 1 1 1 0 0 1 0 0 0 1 0 1 0 0 1 0 1 0 1 1 1 1 0 0 0 0 0 0 0 0 0 0 0 0 0 0 0 0 0 0 0 0 1 0 0 1 1 1 0 0 1 1 0 0 0 1 0 1 1 0 1 0 0 1 0 0 0 0 1 0 0 0 0 0 0 0 0 0 0 1 0 0 1 1 0 1 0 1 1 1 0 1 1 0 0 0 1 0 1 1 1 0 0 1 0 0 0 0 1 0 1 1 0 0 0 1 1 0 0 1 0 0 0 0 1 0 0 1 1 0 0 0 1 0 1 1 1 0 0 0 0 1 0 1 0 1 0 1 1 0 0 0 1 1 0 1 0 1 0 0 0 0 1 0 0 0 0 0 0 1 1 1 1 1 1 1 0 0 0 0 0 0 0 0 0 0 0 0 0 0 0 0 0 1 0 0 1 0 0 1 0 1 0 1 1 0 0 0 1 1 0 0 1 0 1 1 0 1 1 0 1 0 0 0 0 0 0 0 0 0 0 1 0 1 0 1 1 0 0 0 0 0 1 1 0 1 1 0 0 0 1 1 0 0 1 0 0 1 1 1 0 0 1 0 0 1 1 0 1 0 1 0 0 1 0 0 0 0 1 1 0 1 1 1 1 0 0 0 0 0 0 0 0 1 1 0 0 1 0 1 0 0 0 1 1 0 1 1 1 1 1 1 1 1 0 0 1 0 0 0 0 1 1 0 0 0 0 0 0 0 0 0 0 0 0 0 0 0 0 0 0 0 0 0 1 0 0 0 0 0 1 1 0 1 0 1 1 0 1 1 1 1 1 0 0 1 1 0 0 1 0 0 0 0 0 0 0 0 0 1 0 1 0 0 0 1 1 1 1 0 0 1 0 1 0 1 1 0 1 1 0 0 0 1 0 1 1 1 1 1 1 0 1 0 0 0 0 1 0 1 1 1 1 0 0 1 0 0 1 1 0 0 0 0 0 1 0 0 0 0 0 1 0 0 1 1 1 1 0 1 1 0 1 1 0 0 1 1 1 1 0 0 0 1 1 0 1 1 1 1 1 0 1 1 1 1 0 0 0 0 0 0 0 0 0 0 0 0 0 0 0 0 1 0 0 0 1 0 1 1 1 0 0 1 0 0 0 1 0 0 0 1 1 0 1 1 1 1 0 1 0 0 0 0 0 0 0 0 0 0 0 1 1 1 1 0 0 1 1 1 1 1 1 1 1 1 0 0 1 1 1 0 0 1 1 0 1 0 1 0 0 0 0 0 1 0 0 1 1 0 0 1 1 0 1 1 1 1 0 1 0 0 1 0 1 1 0 1 0 0 0 1 1 1 1 0 0 0 1 0 1 0 1 0 1 1 0 1 0 1 0 0 0 0 1 1 1 1 0 0 0 0 1 0 1 0 0 0 0 0 0 0 0 0 0 0 0 0 0 0 0 0 1 1 1 1 1 0 0 0 1 1 1 0 0 1 0 0 0 1 0 1 0 0 1 0 1 0 1 1 1 0 0 0 0 0 0 0 0 0 1 0 1 0 1 0 0 1 1 0 0 0 1 1 0 0 1 0 0 0 0 1 0 0 1 1 0 0 0 0 1 1 0 1 1 1 1 1 0 1 1 1 0 0 1 1 1 0 0 1 1 0 1 1 0 0 1 0 0 0 0 1 1 1 0 0 1 0 1 1 1 0 1 0 1 1 1 1 0 1 1 0 1 1 0 0 0 1 1 1 1 0 0 1 0 1 0 0 0 0 0 0 0 0 0 0 0 0 0 0 0 1 0 1 0 1 0 1 1 0 0 0 1 1 0 1 0 1 0 0 0 0 1 0 0 0 0 0 0 1 1 0 0 0 0 0 0 0 0 0 0 1 0 1 1 1 1 0 0 1 0 0 1 1 0 1 0 1 0 0 1 0 0 0 0 1 1 0 1 0 1 0 1 1 1 0 1 1 1 1 0 0 0 0 0 1 1 0 0 1 1 1 1 1 1 0 1 0 0 0 0 0 0 0 1 1 1 1 1 0 0 0 0 1 0 1 0 1 1 0 0 0 0 1 1 1 0 1 0 1 0 0 1 1 1 1 0 0 0 0 0 0 0 0 0 0 0 0 0 0 0 0 0 1 1 0 0 1 0 1 0 0 0 1 1 0 1 1 1 1 1 1 1 1 0 0 1 0 0 0 0 0 0 0 0 0 0 0 0 1 0 1 0 0 0 0 1 1 0 1 0 0 0 0 1 0 1 1 1 1 0 0 1 0 0 1 1 0 0 0 0 1 0 0 0 0 0 1 1 0 1 1 0 1 1 1 1 0 1 1 1 0 0 1 0 1 1 1 0 0 0 0 1 1 0 1 0 1 0 1 1 0 0 0 1 0 1 0 0 0 0 0 0 1 0 1 0 0 1 0 1 0 1 0 1 0 0 0 0 0 0 0 0 0 0 0 0 0 0 0 0 1 0 0 1 1 1 1 0 1 1 0 1 1 0 0 1 1 1 1 0 0 0 1 1 0 1 1 1 1 1 0 0 0 0 0 0 0 0 0 1 0 1 0 1 1 0 0 0 0 0 1 0 0 1 1 0 0 1 1 0 1 1 1 1 0 1 0 0 1 0 1 0 0 1 0 0 1 0 1 1 1 0 0 0 1 1 1 1 0 0 0 0 0 0 0 1 1 0 0 0 1 0 1 0 1 0 0 0 0 0 0 0 0 0 1 0 1 1 0 0 0 1 0 1 1 0 1 1 1 1 0 0 0 0 0 0 0 0 0 0 0 0 0 0 0 0 0 0 0 0 1 1 1 1 0 0 0 1 0 1 0 1 0 1 1 0 1 0 1 0 0 0 0 1 1 1 1 0 0 0 0 0 0 0 0 0 0 0 1 0 1 1 1 1 0 0 1 1 0 1 1 1 1 1 0 1 1 1 0 0 1 1 1 0 0 1 1 0 0 0 1 1 0 0 0 1 0 1 1 0 1 0 0 1 0 0 0 0 1 0 0 0 1 0 0 0 0 0 0 0 0 0 0 1 1 1 1 1 1 1 1 1 1 1 1 1 0 1 0 0 1 0 1 1 1 0 1 0 1 0 0 0 0 0 0 0 0 0 0 0 0 0 0 0 0 0 0 0 0 0 1 1 1 0 0 1 0 1 1 1 0 1 0 1 1 1 1 0 1 1 0 1 1 0 0 0 1 1 1 1 0 0 0 0 0 0 0 0 1 0 0 1 0 1 0 0 1 0 1 1 1 0 1 1 1 1 0 0 0 0 0 1 1 0 0 1 1 1 0 1 0 1 0 1 1 0 0 0 1 1 0 0 1 0 1 1 0 1 1 0 1 0 1 1 1 1 1 0 0 0 0 0 0 0 0 0 0 0 0 0 0 0 0 0 0 0 0 0 0 0 0 0 0 0 0 0 0 0 0 0 0 0 0 0 0 0 0 0 0 0 0 0 0 0 0 0 0 0 0 0 0 0 0 1 1 1 1 1 0 0 0 0 1 0 1 0 1 1 0 0 0 0 1 1 1 0 1 0 1 0 0 0 0 0 0 0 0 0 1 1 0 1 0 0 0 0 0 1 0 0 0 0 0 1 1 0 1 1 0 1 1 1 1 0 1 1 1 0 0 0 1 1 0 1 0 1 1 0 1 1 1 1 1 0 0 1 1 0 0 1 0 1 1 1 0 0 0 0 0 0 0 0 0 0 0 0 0 0 0 0 0 0 0 0 0 0 0 0 0 0 0 0 0 0 0 0 0 0 0 0 0 0 0 0 0 0 0 0 0 0 0 0 0 0 0 0 0 0 0 0 0 1 1 0 1 0 1 0 1 1 0 0 0 1 0 1 0 0 0 0 0 0 1 0 1 0 0 1 0 1 0 0 0 0 0 0 0 0 0 0 1 0 1 1 0 1 0 1 0 0 1 0 0 1 0 1 1 1 0 0 0 1 1 1 1 0 0 0 1 1 1 0 0 1 0 0 0 1 0 0 0 1 1 0 1 1 1 1 0 1 0 0 0 1 1 1 1 0 0 0 0 0 0 0 0 0 0 0 0 0 0 0 0 0 0 0 0 0 0 0 0 0 0 0 0 0 0 0 0 0 0 0 0 0 0 0 0 0 0 0 0 0 0 0 0 0 0 0 0 0 1 0 1 0 1 0 0 0 0 0 0 0 0 0 1 0 1 1 0 0 0 1 0 1 1 0 1 1 1 1 0 0 0 0 0 0 0 0 0 1 0 0 1 1 1 0 0 1 1 0 0 0 1 0 1 1 0 1 0 0 1 0 0 0 0 1 0 0 0 0 1 1 1 0 0 1 0 0 0 1 0 1 0 0 1 0 1 0 1 1 1 1 0 1 0 1 0 0 0 0 0 0 0 0 0 0 0 0 0 0 0 0 0 0 0 0 0 0 0 0 0 0 0 0 0 0 0 0 0 0 0 0 0 0 0 0 0 0 0 0 0 0 0 0 0 0 0 0 0 0 0 0 0 1 1 1 1 1 1 1 1 1 1 1 1 1 0 1 0 0 1 0 1 1 1 0 1 0 1 0 0 0 0 0 0 0 0 0 0 0 1 0 0 1 0 0 1 0 1 0 1 1 0 0 0 1 1 0 0 1 0 1 1 0 1 1 0 1 1 0 0 0 1 1 0 1 0 1 0 0 0 0 1 0 0 0 0 0 0 1 1 1 0 0 1 0 1 0 0 0 0 0 0 0 0 0 0 0 0 0 0 0 0 0 0 0 0 0 0 0 0 0 0 0 0 0 0 0 0 0 0 0 0 0 0 0 0 0 0 0 0 0 0 0 0 0 0 0 0 0 0 0 0 0 0 0 0 0 0 0 0 0 0 0 0 0 0 0 0 0 0 0 0 0 0 0 0 0 0 0 0 0 0 0 0 0 0 0 0 0 0 1 0 0 0 0 0 1 1 0 1 0 1 1 0 1 1 1 1 1 0 0 1 1 0 0 1 0 0 1 0 0 0 1 1 0 1 1 1 1 1 1 1 1 0 0 1 0 0 0 0 1 0 1 1 1 1 0 0 0 0 0 0 0 0 0 0 0 0 0 0 0 0 0 0 0 0 0 0 0 0 0 0 0 0 0 0 0 0 0 0 0 0 0 0 0 0 0 0 0 0 0 0 0 0 0 0 0 0 0 0 0 0 0 0 0 0 0 0 0 0 0 0 0 0 0 0 0 0 0 0 0 0 0 0 0 0 0 0 0 0 0 0 0 0 0 0 0 0 1 0 0 0 1 0 1 1 1 0 0 1 0 0 0 1 0 0 0 1 1 0 1 1 1 1 0 1 0 0 1 1 0 1 1 0 0 1 1 1 1 0 0 0 1 1 0 1 1 1 1 1 1 0 1 0 1 0 0 0 0 0 0 0 0 0 0 0 0 0 0 0 0 0 0 0 0 0 0 0 0 0 0 0 0 0 0 0 0 0 0 0 0 0 0 0 0 0 0 0 0 0 0 0 0 0 0 0 0 0 0 0 0 0 0 0 0 0 0 0 0 0 0 0 0 0 0 0 0 0 0 0 0 0 0 0 0 0 0 0 0 0 0 0 0 0 0 0 0 0 1 1 1 1 1 0 0 0 1 1 1 0 0 1 0 0 0 1 0 1 0 0 1 0 1 0 1 1 1 1 0 1 0 1 0 1 1 0 1 0 1 0 0 0 0 1 1 1 1 0 0 0 0 0 0 0 0 0 0 0 0 0 0 0 0 0 0 0 0 0 0 0 0 0 0 0 0 0 0 0 0 0 0 0 0 0 0 0 0 0 0 0 0 0 0 0 0 0 0 0 0 0 0 0 0 0 0 0 0 0 0 0 0 0 0 0 0 0 0 0 0 0 0 0 0 0 0 0 0 0 0 0 0 0 0 0 0 0 0 0 0 0 0 0 0 0 0 0 0 1 0 1 0 1 0 1 1 0 0 0 1 1 0 1 0 1 0 0 0 0 1 0 0 0 0 0 0 1 1 1 1 1 0 1 0 1 1 1 1 0 1 1 0 1 1 0 0 0 1 1 1 1 0 0 0 0 0 0 0 0 0 0 0 0 0 0 0 0 0 0 0 0 0 0 0 0 0 0 0 0 0 0 0 0 0 0 0 0 0 0 0 0 0 0 0 0 0 0 0 0 0 0 0 0 0 0 0 0 0 0 0 0 0 0 0 0 0 0 0 0 0 0 0 0 0 0 0 0 0 0 0 0 0 0 0 0 0 0 0 0 0 0 0 0 0 0 0 0 0 0 0 1 1 0 0 1 0 1 0 0 0 1 1 0 1 1 1 1 1 1 1 1 0 0 1 0 0 0 0 1 0 0 0 0 1 0 1 0 1 1 0 0 0 0 1 1 1 0 1 0 1 0 0 0 0 0 0 0 0 0 0 0 0 0 0 0 0 0 0 0 0 0 0 0 0 0 0 0 0 0 0 0 0 0 0 0 0 0 0 0 0 0 0 0 0 0 0 0 0 0 0 0 0 0 0 0 0 0 0 0 0 0 0 0 0 0 0 0 0 0 0 0 0 0 0 0 0 0 0 0 0 0 0 0 0 0 0 0 0 0 0 0 0 0 0 0 0 0 0 1 0 0 1 1 1 1 0 1 1 0 1 1 0 0 1 1 1 1 0 0 0 1 1 0 1 1 1 1 1 0 1 1 0 0 0 1 0 1 0 0 0 0 0 0 1 0 1 0 0 1 0 1 0 0 0 0 0 0 0 0 0 0 0 0 0 0 0 0 0 0 0 0 0 0 0 0 0 0 0 0 0 0 0 0 0 0 0 0 0 0 0 0 0 0 0 0 0 0 0 0 0 0 0 0 0 0 0 0 0 0 0 0 0 0 0 0 0 0 0 0 0 0 0 0 0 0 0 0 0 0 0 0 0 0 0 0 0 0 0 0 0 0 0 0 0 0 0 0 0 1 1 1 1 0 0 0 1 0 1 0 1 0 1 1 0 1 0 1 0 0 0 0 1 1 1 1 0 0 0 0 0 0 0 0 0 0 1 0 1 1 0 0 0 1 0 1 1 0 1 1 1 1 0 0 0 0 0 0 0 0 0 0 0 0 0 0 0 0 0 0 0 0 0 0 0 0 0 0 0 0 0 0 0 0 0 0 0 0 0 0 0 0 0 0 0 0 0 0 0 0 0 0 0 0 0 0 0 0 0 0 0 0 0 0 0 0 0 0 0 0 0 0 0 0 0 0 0 0 0 0 0 0 0 0 0 0 0 0 0 0 0 0 0 0 0 0 0 0 0 1 1 1 0 0 1 0 1 1 1 0 1 0 1 1 1 1 0 1 1 0 1 1 0 0 0 1 1 1 1 1 1 1 1 1 1 1 1 1 0 1 0 0 1 0 1 1 1 0 1 0 1 0 0 0 0 0 0 0 0 0 0 0 0 0 0 0 0 0 0 0 0 0 0 0 0 0 0 0 0 0 0 0 0 0 0 0 0 0 0 0 0 0 0 0 0 0 0 0 0 0 0 0 0 0 0 0 0 0 0 0 0 0 0 0 0 0 0 0 0 0 0 0 0 0 0 0 0 0 0 0 0 0 0 0 0 0 0 0 0 0 0 0 0 0 0 0 0 0 0 0 0 0 1 1 1 1 1 0 0 0 0 1 0 1 0 1 1 0 0 0 0 1 1 1 0 1 0 1 0 0 0 0 0 0 0 0 0 0 0 0 0 0 0 0 0 0 0 0 0 0 0 0 0 0 0 0 0 0 0 0 0 0 0 0 0 0 0 0 0 0 0 0 0 0 0 0 0 0 0 0 0 0 0 0 0 0 0 0 0 0 0 0 0 0 0 0 0 0 0 0 0 0 0 0 0 0 0 0 0 0 0 0 0 0 0 0 0 0 0 0 0 0 0 0 0 0 0 0 0 0 0 0 0 0 0 0 0 0 0 0 0 0 0 0 0 0 0 0 0 0 1 1 0 1 0 1 0 1 1 0 0 0 1 0 1 0 0 0 0 0 0 1 0 1 0 0 1 0 1 0 0 0 0 0 0 0 0 0 0 0 0 0 0 0 0 0 0 0 0 0 0 0 0 0 0 0 0 0 0 0 0 0 0 0 0 0 0 0 0 0 0 0 0 0 0 0 0 0 0 0 0 0 0 0 0 0 0 0 0 0 0 0 0 0 0 0 0 0 0 0 0 0 0 0 0 0 0 0 0 0 0 0 0 0 0 0 0 0 0 0 0 0 0 0 0 0 0 0 0 0 0 0 0 0 0 0 0 0 0 0 0 0 0 0 0 0 0 0 0 1 0 1 0 1 0 0 0 0 0 0 0 0 0 1 0 1 1 0 0 0 1 0 1 1 0 1 1 1 1 0 0 0 0 0 0 0 0 0 0 0 0 0 0 0 0 0 0 0 0 0 0 0 0 0 0 0 0 0 0 0 0 0 0 0 0 0 0 0 0 0 0 0 0 0 0 0 0 0 0 0 0 0 0 0 0 0 0 0 0 0 0 0 0 0 0 0 0 0 0 0 0 0 0 0 0 0 0 0 0 0 0 0 0 0 0 0 0 0 0 0 0 0 0 0 0 0 0 0 0 0 0 0 0 0 0 0 0 0 0 0 0 0 0 0 0 0 0 0 0 0 0 0 1 1 1 1 1 1 1 1 1 1 1 1 1 0 1 0 0 1 0 1 1 1 0 1 0 1 0 0 0 0 0 0 0 0 0 0 0 0 0 0 0 0 0 0 0 0 0 0 0 0 0 0 0 0 0 0 0 0 0 0 0 0 0 0 0 0 0 0 0 0 0 0 0 0 0 0 0 0 0 0 0 0 0 0 0 0 0 0 0 0 0 0 0 0 0 0 0 0 0 0 0 0 0 0 0 0 0 0 0 0 0 0 0 0 0 0 0 0 0 0 0 0 0 0 0 0 0 0 0 0 0 0 0 0 0 0 0 0 0 0 0 0 0 0 0 0 0 0 0 0 0 0 0 0 0 0 0 0 0 0 0 0 0 0 0 0 0 0 0 0 0 0 0 0 0 0 0 0 0 0 0 0 0 0 0 0 0 0 0 0 0 0 0 0 0 0 0 0 0 0 0 0 0 0 0 0 0 0 0 0 0 0 0 0 0 0 0 0 0 0 0 0 0 0 0 0 0 0 0 0 0 0 0 0 0 0 0 0 0 0 0 0 0 0 0 0 0 0 0 0 0 0 0 0 0 0 0 0 0 ================================================ FILE: programming_assignments/beale_ciphers/testcase/large/test5.out ================================================ 8 ================================================ FILE: programming_assignments/beale_ciphers/testcase/large/test7.in ================================================ 1 100 100 100 -8 -4 -9 -1 -9 -6 5 -10 -3 -4 -5 2 4 0 0 -4 -9 -4 -4 7 -1 4 1 4 -4 4 -1 -7 -1 -10 6 -7 -3 -1 2 -10 -5 9 2 -5 -4 -1 7 -10 -10 -3 8 3 -5 -6 0 4 9 3 -10 7 -3 -9 2 -2 -8 -2 1 -9 0 6 -9 -3 5 -4 2 -9 5 -1 4 5 -2 2 -10 3 7 -8 -10 -2 5 2 -5 -7 4 7 -7 6 7 5 -1 9 1 0 -3 -4 -2 1 -10 -6 -9 4 1 -9 -4 2 -3 5 4 9 -7 0 1 -10 -5 -5 7 -2 -9 -3 -7 -8 -4 -4 -5 -5 3 3 7 -5 7 0 9 -1 -7 7 -9 0 3 -3 -1 -2 7 -9 -9 4 8 0 -7 2 7 8 4 6 -5 9 3 0 3 -8 5 0 2 -4 1 -2 -7 -6 8 -2 2 -10 -1 -9 3 0 6 1 -10 1 -7 8 -1 8 -4 -4 7 9 6 -8 -8 -7 -5 -4 -1 6 4 -5 3 3 3 -5 -5 -8 8 8 -6 4 -1 -5 7 -5 5 -3 5 -9 3 2 -10 -8 -3 4 -5 2 -9 -3 -10 -3 2 3 2 7 0 7 2 -9 -3 6 5 7 -9 -5 4 6 2 -1 -1 7 3 0 1 -10 6 7 -6 -1 6 -5 7 -10 0 -1 7 3 9 -1 4 -4 8 -9 5 9 -4 -1 -2 8 8 7 -2 2 9 9 -6 6 -2 -1 7 -6 -4 4 -6 6 6 4 -1 5 5 -7 -9 3 -5 -1 3 -7 8 3 -8 -1 0 -8 3 -8 -9 7 8 0 8 5 -4 -6 -8 1 -9 8 7 -8 -5 2 8 8 -4 -7 -3 1 -4 8 -6 -10 -3 -4 -8 -10 -2 6 -1 8 -4 -2 -4 -6 2 -2 -3 -5 8 -6 -2 5 7 -4 3 5 -9 3 -4 9 1 -8 2 8 -10 -4 0 -1 -8 9 -3 -10 -3 -5 -5 2 -5 2 7 -7 -1 -5 8 -4 -7 -6 3 -6 7 1 6 -2 3 -2 8 3 4 -2 4 7 -3 4 -1 -3 9 4 9 -5 9 -2 -10 -2 4 1 -4 -1 5 9 -4 2 -8 -8 -10 -3 0 8 -10 -6 8 -3 3 -5 -9 -7 -6 2 -1 5 -1 -10 -6 0 -2 0 -9 -4 9 6 7 -5 -2 9 -3 -10 -4 -1 0 9 -4 -2 8 1 -5 1 -4 0 -7 6 7 3 -2 -9 5 7 -7 6 5 -7 -6 3 -10 -6 -6 -10 6 -7 -1 -4 -8 -3 4 2 9 1 -7 -5 -9 -4 3 1 1 -8 2 -4 1 -2 4 -4 1 8 1 -7 4 -2 5 0 1 7 6 -5 -6 -8 7 -7 4 -10 -9 -3 8 4 8 -8 -2 -7 -2 9 1 5 8 4 3 -1 7 -2 7 -5 8 -10 -8 -3 -5 -4 -1 4 -8 -7 -4 5 1 -5 -1 -9 -3 8 -6 -3 -1 5 -8 -3 -9 -2 7 9 -2 -4 -6 8 9 8 -5 -6 -6 -3 1 8 0 7 3 3 4 5 -3 3 -5 1 -9 4 9 5 -8 -10 5 1 1 -7 -1 -3 4 -2 -5 9 -5 -8 -4 6 2 -1 3 8 4 -10 3 -9 3 8 -5 -4 -6 -6 4 -4 6 -1 -1 -10 -5 9 9 9 -3 -5 0 -6 9 -1 -10 1 8 -4 -1 -6 -4 4 -4 9 -6 1 -4 -1 -3 2 -3 5 -9 7 5 8 -2 -3 7 -3 2 -2 2 -7 -1 2 -4 -3 8 -2 1 -6 -8 -1 6 -3 2 4 -2 1 -4 5 -3 -3 2 4 -4 2 -9 5 -10 -5 5 2 -2 -6 -6 -3 -7 5 5 -3 1 -1 6 -3 -2 -9 3 6 2 9 2 9 9 6 -4 7 -9 -3 2 -9 -5 -10 3 -5 6 -1 2 -10 -6 9 9 -2 -1 5 5 7 -2 -9 -4 -9 -10 8 2 9 -4 8 -2 -3 8 3 -10 -7 3 3 -2 -1 5 3 -9 9 2 -10 9 3 -2 -3 1 6 -2 7 7 -2 -3 0 -10 -5 -10 -2 -5 8 -9 -5 3 -4 1 4 6 -4 -3 -1 7 1 0 7 -5 8 -6 -2 4 -6 7 -6 2 6 4 -6 -9 4 3 8 -5 -4 6 8 -5 -3 2 3 -5 1 -8 4 -7 2 1 -2 0 -3 -2 7 1 -5 -9 6 -9 -3 -10 4 -9 -5 3 8 -6 -9 -1 -1 -10 -9 -8 -5 -5 -6 9 -2 -1 -7 -2 9 -8 6 -2 -4 -9 -1 4 4 6 4 -2 0 2 3 -2 -2 4 7 -1 4 1 1 1 6 -3 1 6 6 -4 -6 -2 -2 2 6 -4 3 -4 -10 -3 4 -3 5 -6 1 -9 -5 9 5 -8 -2 0 -5 1 -9 3 8 -6 -1 -3 -8 3 -3 -7 -5 -7 -1 0 -9 -8 -1 -2 -1 7 2 2 8 7 1 3 2 1 5 -1 -8 -1 -7 2 3 2 1 6 8 8 1 -7 4 -10 -4 -3 -8 5 5 -7 2 -10 5 -8 7 8 6 -9 -1 -7 1 -7 2 4 -2 8 8 1 -4 6 -8 7 -10 6 7 8 5 2 3 -7 5 8 -7 -7 -10 2 -9 -2 4 -7 2 7 -4 -6 -7 -4 4 -9 8 -10 8 -10 7 0 -2 -3 -2 -7 1 3 -4 -4 1 -1 -9 -6 4 -7 2 -2 -4 6 7 -6 3 -10 -7 -3 -9 -9 -10 9 3 7 -1 -9 6 7 6 -3 -7 5 -4 4 6 -3 0 0 -8 5 8 -10 1 5 7 6 -3 -10 -6 -1 -9 -6 -2 4 3 0 -3 -8 9 -7 -9 -8 8 -3 -1 5 -3 9 -5 -9 -4 6 4 8 -7 1 -4 1 -7 0 -10 6 -4 -10 -8 2 -8 -1 4 -8 -6 5 6 -7 5 -5 0 4 7 -3 -3 -7 5 -9 3 9 -6 -10 -8 -3 -8 4 -7 -1 -4 -5 3 -1 -4 9 1 1 -4 -3 -4 -9 -5 -2 -3 -8 5 5 7 1 6 -7 -8 3 -7 -6 -10 7 0 6 8 6 3 1 -5 -10 0 -2 -7 7 -2 -1 0 -5 7 0 -3 -6 -5 6 5 3 9 -1 -4 4 -5 9 2 5 5 0 2 -10 4 -1 -10 6 0 5 -5 0 6 6 5 3 8 4 0 -7 0 -5 -2 -8 -3 -3 6 2 -4 -10 -2 3 -7 2 3 7 3 -4 3 5 -9 9 -5 8 -3 -10 -7 -5 4 3 -10 7 1 -10 9 0 -3 -3 -8 3 -2 -8 8 1 -4 -6 -10 -10 0 3 5 -7 -6 -9 3 -7 3 -1 -10 -2 4 -10 -5 -5 -9 -6 -3 -2 1 0 4 1 -6 -6 4 1 -2 4 -7 8 -10 0 4 -6 1 -3 -10 7 6 -10 -5 -7 3 -8 -2 4 8 -2 4 -9 8 -10 3 -8 7 -3 -5 -5 4 -2 6 4 9 0 0 -8 -1 0 9 8 1 6 -9 6 0 -9 -8 -2 -1 -2 -8 9 -9 5 4 8 4 9 -7 -2 -10 1 4 9 3 -5 3 -7 -3 -5 3 8 -9 -4 -4 2 -3 -2 2 -1 7 4 -10 8 -9 4 6 -2 -4 1 6 -4 -7 -7 7 6 -2 0 1 5 5 6 -4 -1 -8 2 3 -8 3 -5 -7 0 2 -7 -10 3 8 -2 -9 -6 9 0 -8 4 3 9 -7 3 -9 4 -10 7 1 -4 8 -5 1 1 -3 6 6 0 -4 -2 -4 8 4 -6 -4 5 -10 7 7 4 2 0 3 5 5 -4 -9 6 -7 -6 4 -9 0 -5 -6 -1 -9 3 2 9 -9 8 -1 -3 -8 5 -7 4 3 -10 -2 7 -7 3 2 8 9 3 -4 5 0 -9 -2 -10 8 3 -1 2 -4 -9 -7 9 9 3 -3 3 -2 -8 9 3 4 9 0 -1 2 4 -10 -6 -2 -4 1 0 9 9 0 8 -6 1 0 0 -5 3 -8 6 8 -1 0 -3 -7 -9 2 7 -9 -7 9 -5 7 9 -9 7 -5 2 -3 -5 2 -1 5 6 -9 7 9 8 -8 -9 4 -9 -8 6 -10 -5 8 2 4 1 5 3 6 -5 -6 8 4 0 0 -8 -3 4 -7 4 -7 6 1 -8 4 3 5 -1 4 7 -5 4 4 5 9 -10 -4 -4 4 5 1 8 3 -4 -10 5 -10 9 -8 5 3 -5 2 6 9 -4 0 4 5 6 -7 3 -7 -1 -2 -8 -1 -3 -2 5 -8 2 4 -3 0 -4 -8 -8 8 -6 7 -7 -9 -1 -10 -10 6 -8 4 -7 8 -1 6 3 8 7 5 -2 6 6 -7 8 -2 -1 -5 8 -2 9 -10 8 6 7 -9 7 -3 3 8 5 5 -6 8 -4 -4 5 9 -6 -6 5 -6 -10 1 -10 0 1 -9 5 -1 -9 -4 -9 9 -8 0 -9 -10 -1 4 0 -6 -8 4 -7 -2 2 0 -3 7 -4 4 3 -4 7 3 6 -2 -3 -7 -1 -2 -1 0 -2 2 3 -9 -6 -8 5 4 -3 -1 -10 -8 7 3 2 7 -8 0 1 5 6 -1 -9 -6 7 -2 -3 -3 6 6 -1 -6 -10 -8 -5 -6 7 3 0 6 -8 1 8 2 -6 -8 -1 8 2 -10 3 -2 -9 4 -6 9 -8 1 8 9 9 9 5 2 -8 3 -2 1 8 9 -3 2 0 -5 6 -4 -3 -5 -6 1 8 -1 1 9 -6 5 0 8 8 -2 -1 -1 -2 -5 -9 -8 0 0 3 -10 -1 -10 -6 1 7 -9 -1 6 8 -5 -3 6 4 0 -2 0 -5 8 -1 5 9 8 -6 -3 5 -4 -9 7 6 -4 7 7 8 -8 -10 5 5 -1 -7 3 -4 0 0 2 2 8 -7 7 -2 2 -6 -3 -8 -2 -4 8 4 -3 5 -8 -5 -5 1 -7 9 1 8 4 2 3 -3 0 5 -1 -7 -3 9 -4 6 -2 0 -10 -3 2 -1 4 -8 5 3 8 8 9 5 -9 -8 4 3 3 -2 7 -4 -3 -2 4 7 1 -9 -2 -1 8 6 9 8 6 -7 9 0 -4 5 5 -6 3 4 1 -4 -1 -5 9 4 -5 -1 2 2 -1 -4 -9 2 -10 0 -9 8 8 2 -2 4 5 -2 -6 -9 -7 -10 7 -2 -4 -2 4 -3 -5 -4 3 0 5 -4 -7 -6 -6 -6 6 -6 -4 -1 4 -5 -9 -7 9 6 1 -6 0 4 6 9 4 4 -2 -2 4 3 4 -3 6 -9 -5 9 7 -8 5 -5 -4 -8 4 3 -3 5 6 -4 -6 9 -8 -4 -5 0 -5 9 7 3 -3 1 9 4 0 5 5 -2 -4 -5 0 3 0 -2 5 -5 -9 4 2 7 3 -2 6 -3 4 -9 8 -10 2 -3 -5 -10 0 -6 -4 -10 1 3 -2 -1 8 0 -7 -1 9 0 -4 -10 -5 8 0 0 -3 8 7 -9 2 -3 3 -6 4 9 6 6 5 4 7 -3 -2 7 -2 -4 -2 1 -3 9 -8 3 1 9 2 -9 -1 1 2 8 2 6 -4 -4 -10 2 7 -1 -1 2 -7 8 1 -7 5 -10 -8 5 -7 -1 -4 7 -7 8 6 -3 9 7 8 -7 6 -8 9 4 -10 2 8 7 3 -3 0 -2 -5 3 2 3 -5 4 -10 -1 -7 -3 8 8 -5 -3 -5 6 -6 -7 2 2 -4 1 8 -4 -7 7 6 6 -6 8 -5 -8 1 -1 -3 -1 -7 9 8 8 -4 -2 7 -7 5 4 2 2 0 -6 -6 6 5 5 4 1 2 -8 9 -2 -10 6 -8 -6 -5 -9 3 -10 -9 -7 9 9 1 -2 -7 -3 -8 -3 9 2 1 5 -10 8 0 -3 -9 4 -1 -9 5 0 7 7 4 -7 9 9 -7 -10 -8 4 1 3 4 4 2 7 -9 -7 -9 -6 9 4 -7 -9 3 6 -2 -8 7 -7 -6 5 2 0 0 -7 -1 -5 5 -7 2 -3 -1 -4 3 -9 5 -3 -5 -1 1 6 -7 -4 -1 -2 -7 7 0 2 2 -3 -3 7 -1 -1 -10 1 -3 6 4 9 5 -7 -5 -2 7 3 5 -8 -8 9 0 7 -5 9 -5 -10 -1 -3 3 -9 4 2 0 6 -8 1 -3 -9 9 3 -10 4 -1 7 4 -4 0 0 -10 -6 -1 0 -9 -4 -9 -4 -3 0 4 -10 -6 -10 2 4 6 -4 7 5 -3 -2 -1 9 -8 8 -1 -1 -6 1 9 6 6 -10 -4 7 -4 9 6 3 -8 0 -5 8 0 8 2 9 6 -8 4 6 0 -7 5 -5 3 6 4 7 -10 -5 -5 6 -5 -7 -5 -7 -7 -9 -1 -5 -7 4 -7 4 -6 -3 -5 3 -9 9 -1 2 5 6 -1 -2 3 5 8 -5 -10 -7 -9 7 -3 8 -10 -8 -10 -9 9 -7 -2 -8 -1 2 -9 -4 7 -7 -4 -4 -3 3 -7 -2 3 -2 -7 1 3 5 -3 -4 2 -4 -6 -6 -2 6 -4 9 2 -4 -9 3 8 4 -10 -2 -1 8 4 6 1 -1 -6 -6 -1 9 -2 4 4 -3 -10 -4 3 7 -7 3 -5 -9 2 7 -3 -5 1 7 9 -7 -5 -1 -9 -10 7 2 -9 4 -2 1 3 6 -5 -2 -7 8 -4 -2 -3 -9 3 2 -8 7 -8 -9 4 -5 9 -4 -2 6 -3 -1 -2 -6 3 0 0 -9 3 -6 0 8 -6 -5 -2 -8 4 -3 6 9 -10 8 7 4 2 1 9 -7 7 9 9 -6 -10 -2 -9 3 0 1 -4 -7 -3 6 3 -7 -8 4 8 -2 -9 4 -3 3 -6 6 -3 6 -10 8 9 -1 7 1 -4 7 1 9 -8 -9 -8 -1 6 0 7 -9 -5 9 5 -7 9 -1 7 9 -8 4 -3 0 0 -3 -10 -8 -1 8 -5 -3 -3 6 -4 -8 -1 -2 -7 7 0 -10 8 -2 2 -4 1 1 -3 -9 0 -1 5 8 1 7 7 2 1 8 -8 6 -5 -9 -6 -7 5 3 -6 8 -8 4 9 3 -8 1 9 -4 4 8 -3 -5 -3 4 5 1 -7 -6 5 5 -7 -1 1 -10 -8 6 -6 8 -9 -2 -2 -6 4 9 7 -1 -8 -2 -3 7 -4 -4 4 -5 -10 -1 -2 -7 -5 -7 0 -2 -6 -8 -9 -3 0 -5 7 1 -5 -5 5 1 7 -6 2 9 2 9 6 0 -5 0 6 7 1 -6 3 7 -10 -7 7 6 7 8 -7 -3 5 2 1 2 0 8 -6 -3 -7 6 -4 -3 -2 -7 0 -5 -5 -4 -7 7 -8 -2 -4 4 -7 5 1 -9 -4 -4 -10 -9 9 1 -4 -9 -8 0 -2 -5 8 -4 -6 -4 -1 4 2 -3 2 -3 6 -3 -3 4 -9 0 -1 -6 -7 -3 1 -6 -9 -8 -3 -3 -7 -1 7 -7 -4 -3 -1 1 4 1 7 8 0 0 -5 -4 -1 2 -10 0 4 -9 -3 8 -1 8 -8 0 2 -9 7 -3 1 -4 0 -1 3 1 2 9 4 0 7 -6 2 4 0 -9 8 -8 -7 -5 -6 0 -7 -5 -10 7 5 -6 8 -6 1 -9 0 3 1 5 -5 -7 -3 1 -5 -6 6 7 1 -4 0 -9 -9 -4 -4 -5 6 -9 -8 -1 8 7 3 -1 3 7 0 -7 0 3 0 -3 -1 7 9 -4 4 5 6 7 3 -4 8 -4 2 7 -7 -9 0 -5 -8 -1 4 -3 0 -3 -6 2 -8 -3 8 3 4 -3 0 -5 3 6 2 -9 3 8 -2 -6 -6 2 3 -2 -5 -7 3 -3 -6 -10 5 4 -3 1 9 0 8 7 -7 -5 6 -5 0 -9 -8 5 -7 5 3 -7 1 -1 5 -6 7 3 -2 -7 -10 -6 -7 -3 1 -8 9 0 2 7 -3 -3 -8 5 3 -5 6 -3 -10 9 4 3 4 -4 -8 0 0 2 5 0 -3 5 5 -8 5 -4 -6 4 -2 7 1 5 -6 -4 -8 -1 1 8 6 1 0 -7 6 -6 -1 0 -4 1 4 -9 -8 -9 -1 -1 -7 -6 -3 -10 8 5 7 -9 -8 3 9 -6 5 0 4 -7 3 -6 -4 -9 -9 5 -6 9 -3 8 -9 -9 2 -8 -8 -3 8 -9 -3 -2 -2 6 -1 0 -8 -1 -4 7 1 2 -10 7 -1 -3 8 0 4 -8 -9 3 3 4 -4 -5 6 -10 2 4 -9 2 -8 -1 -2 -6 1 0 -5 -1 9 -2 -8 2 -5 1 9 6 3 -5 0 4 9 -7 -9 7 -10 7 8 -5 -6 9 7 8 -1 7 -8 2 -10 9 -8 9 -2 -6 1 -5 -3 -8 -9 2 -2 -6 8 9 9 9 6 -10 -1 -4 7 3 -4 4 -7 -3 -7 8 9 -7 7 3 -7 7 -1 4 -7 -2 -1 6 -10 -1 2 1 -2 2 -8 6 -6 1 -7 -9 6 -9 -3 -10 -10 0 8 9 4 -3 -5 7 -5 4 -7 -10 -7 -6 -2 5 3 -9 -4 -9 3 -1 0 7 2 -5 0 -1 -4 7 -9 -4 -3 1 7 -9 8 -8 0 5 -1 -4 -3 2 0 6 9 -6 7 -4 7 -8 -3 -3 9 9 2 -1 -10 0 8 -9 6 -5 -6 -4 9 5 -2 -1 0 -1 -3 8 -9 8 -4 -9 4 -7 9 1 -5 -4 1 6 7 -7 7 8 4 5 9 -8 -10 -6 -2 1 9 -1 3 -9 8 -10 1 2 0 7 3 -6 2 -6 6 7 -8 9 -5 9 -8 -8 7 -2 -1 7 1 -8 3 1 3 -6 -10 -4 -5 9 9 -1 -7 -1 -4 -2 -4 9 2 4 -2 4 3 -4 3 5 -2 1 6 8 -10 -3 2 -5 0 -5 -1 1 -6 -4 -8 -7 -3 7 2 4 -5 8 -5 7 2 -5 -7 -5 1 6 3 2 9 -1 -8 1 -2 4 6 0 1 7 -9 5 6 5 8 -7 2 -7 -1 -1 3 4 -4 8 2 -9 5 5 8 -2 9 -1 -1 -9 -9 -1 -3 -1 -10 9 9 3 4 5 -9 -5 8 -5 -2 -2 5 3 4 3 1 8 5 -3 4 -5 -3 3 4 -1 -3 -3 8 -4 -1 0 -5 -2 -6 2 5 -5 7 3 -8 7 3 7 -8 -10 1 4 8 8 3 -6 -7 2 0 -1 -9 -1 -1 2 5 0 -8 3 8 8 -5 3 5 4 8 8 -7 -6 5 -5 -6 8 9 4 6 -6 1 1 7 -9 3 0 0 -8 -8 7 2 7 0 -8 5 -3 -3 1 -9 7 -1 6 -9 6 -8 7 -3 3 2 5 0 -7 9 -3 6 2 -1 8 4 -6 -3 8 -9 8 -10 -2 -5 -3 1 9 -6 2 -3 8 -1 -1 5 -2 5 9 5 -5 4 4 -6 -8 -4 3 -10 2 7 -2 0 0 8 0 9 5 -1 0 -4 -4 -7 4 -6 -6 -7 1 -6 8 -7 9 5 7 4 9 -10 2 3 2 -5 -8 2 5 3 0 8 -6 -4 -3 4 2 -5 -1 8 -9 -5 -8 3 -1 2 -2 -9 -10 7 5 9 7 9 -6 -8 -6 -3 4 -10 -10 7 8 6 5 7 0 9 -7 2 8 6 -1 2 -9 1 -6 -1 2 -6 -3 9 6 6 8 -10 8 -7 -3 -5 5 9 -8 3 5 -1 -8 8 -2 -5 -8 -4 -8 1 0 -7 -8 -3 -5 -4 -7 2 -5 9 -2 -6 -10 9 9 9 6 4 1 0 9 8 9 -9 -2 9 9 0 -4 3 4 -2 -2 -2 5 3 5 9 -5 2 8 -4 -2 0 7 -3 -8 3 3 3 -7 2 -7 4 4 -6 3 3 4 1 -4 -10 -10 4 -9 5 -10 -2 4 7 -10 -5 -7 -1 5 2 -2 -1 -5 -8 4 -10 4 8 4 -10 -8 -2 -5 -2 9 1 -9 9 8 -8 5 8 0 -9 -3 -8 -4 1 1 4 -7 2 5 -9 4 0 -9 -10 -10 6 3 -8 6 8 -8 5 -8 5 -3 2 -1 4 0 9 5 7 4 4 -10 7 -10 6 -1 5 -1 5 -5 -8 -2 -5 8 -9 9 -4 9 4 -8 3 -1 -1 -5 9 5 -3 0 0 7 6 6 7 4 6 -5 -7 -6 -4 1 -1 -1 9 -3 9 2 8 -4 -7 -6 -10 7 -4 -9 -8 -5 6 0 -3 -4 -3 -6 5 6 0 1 4 3 5 -10 6 7 -1 5 6 -1 -3 -4 5 1 1 5 -2 7 -2 -8 4 -6 2 3 -8 1 -1 7 -2 9 -9 -8 -5 6 4 -9 -5 -6 7 3 3 6 -10 -10 9 -7 -3 9 -10 5 -8 -4 9 -4 9 -9 8 -9 9 -4 -10 2 -10 -5 -10 4 9 -4 0 6 1 -7 -6 -7 5 6 -4 -8 5 8 -1 -1 6 -2 6 6 -8 4 7 3 2 -1 -5 -6 -3 -5 0 -4 -7 -9 4 5 6 8 8 2 -4 7 -4 -8 -3 6 1 -6 -6 9 -10 8 3 -1 1 7 0 -2 3 7 4 -6 -7 7 -5 -1 -6 3 -10 5 -5 -4 2 2 -2 9 -10 2 -7 6 1 5 5 7 6 8 4 9 -3 -10 6 3 -6 2 -8 -9 -9 -3 4 -9 4 2 -10 8 6 -2 -1 6 2 -5 2 -6 2 9 -9 -1 0 -3 -2 7 -3 6 -8 -7 -10 -6 6 -8 -7 1 5 7 5 5 -3 1 6 7 9 -2 -8 1 -6 4 -7 7 5 3 -5 5 -8 -6 -6 -6 -10 -6 -2 6 8 -6 9 4 -9 4 -9 -9 7 7 8 6 8 2 -10 -8 -4 -7 -10 4 -2 7 -9 0 3 -5 4 3 0 4 -8 -10 0 -9 -4 2 -2 -2 -5 -5 7 -7 -8 5 5 -8 0 3 7 -8 9 -5 9 -9 5 -6 8 -9 8 -10 -3 2 -9 8 3 -3 -8 3 -3 -3 9 -5 0 -9 2 7 5 4 -8 2 6 -8 7 -3 5 -6 2 3 7 -8 -4 -6 4 -3 -8 9 -4 6 3 4 -7 2 9 -5 3 -7 4 -10 8 7 2 4 1 -1 -8 -4 -5 4 1 -8 -2 7 -4 -8 6 -9 -9 -7 7 4 7 3 8 -2 0 -7 1 -5 -7 -1 4 5 6 -5 6 0 -7 -9 6 4 -7 -6 -6 -8 -4 -10 -7 9 5 2 -4 2 -5 -6 2 6 -2 -6 3 1 -5 -3 9 -9 2 5 1 5 -1 -3 -9 2 -7 7 -4 -1 0 -1 -9 -5 4 -3 0 1 1 -8 -3 1 -4 2 -7 -6 9 4 -5 1 -1 -1 8 8 -2 2 -7 2 -1 -1 3 9 1 4 -5 7 3 5 -2 -5 -1 -2 -2 -2 -10 1 2 -10 7 -1 -7 -3 8 4 7 9 -4 2 -7 5 4 -2 5 7 5 2 4 -2 9 -8 -5 -2 0 4 6 -7 7 -10 5 5 0 8 -8 -10 2 1 9 0 -6 -8 -4 0 -7 3 -3 8 7 -9 -4 6 5 2 6 -4 -4 -5 -9 -7 -5 6 8 -3 -4 2 -2 1 6 9 -9 2 4 9 -8 7 -6 -1 5 -9 -8 -9 -1 7 -5 -4 5 1 -7 6 -3 -2 2 7 -2 1 -8 6 -8 0 5 -7 -8 -1 5 6 -4 9 7 3 -9 9 5 0 6 2 -2 2 -6 1 -10 -7 -10 -5 2 -2 6 4 6 8 -6 -7 3 8 3 -2 4 1 -2 1 7 -9 0 2 1 9 -6 -10 -7 -10 1 -7 5 -7 -2 -2 -7 -6 4 1 4 1 5 -2 -9 -10 6 6 1 6 9 -10 7 -8 -6 -1 -9 -1 -9 -6 -9 -6 9 -1 -10 -2 -1 -7 -6 5 5 9 -4 0 -3 -2 -8 5 6 -5 2 -3 -4 -1 -1 0 0 -8 1 -7 8 -5 -10 8 4 -10 8 -7 -7 -8 0 0 -9 7 2 -10 7 4 6 -5 -10 -10 2 -4 -9 4 6 -6 6 -2 -3 5 3 -3 -5 9 -3 -7 4 -7 -5 -6 -5 9 3 8 9 -8 -6 -3 -3 -6 -3 2 -8 -1 -4 1 3 -8 1 2 -1 6 2 4 5 1 7 -9 -4 5 -5 2 -4 1 0 -5 3 -4 -5 3 1 2 -5 -5 3 -7 6 8 -5 -3 1 5 -7 5 -9 0 -4 1 1 3 -4 -1 -5 2 -10 -3 -1 -5 3 4 8 6 9 5 -8 2 8 8 -7 6 -4 4 -7 -9 -1 -6 2 -3 5 -7 -10 3 2 7 7 -6 -6 9 0 0 -5 -10 -4 -6 -2 -10 -1 -4 9 -6 4 7 8 7 0 9 -8 -8 -4 -1 8 9 5 -8 6 -6 -3 3 -7 -1 -7 -1 -1 -9 -5 7 -8 -4 6 3 0 0 -8 -10 -2 2 9 -8 5 8 -7 -5 7 0 -3 3 5 4 -4 8 -7 -9 9 -5 5 -5 4 7 -7 0 -8 4 3 -6 -4 3 -2 -4 5 5 6 0 -10 3 -9 -2 8 6 4 7 -4 8 0 -4 5 -5 1 -9 4 -4 -6 6 2 7 2 9 0 -9 7 7 -2 3 9 -1 8 -10 7 6 -2 1 -5 5 -9 6 -9 -2 3 -6 0 -2 0 4 6 -7 1 -9 -8 3 4 1 -8 -8 -6 -9 1 -8 -8 -10 0 -8 -6 6 7 7 -6 0 -4 7 4 -2 7 7 -8 4 2 -5 5 -4 0 -1 7 2 -7 -9 3 5 5 -3 -3 -5 0 1 3 -3 -1 -1 0 -3 -3 -6 5 -6 3 7 0 -5 4 7 -7 -6 8 -10 -2 -8 3 -9 7 -2 -1 6 -4 1 -2 1 0 -1 -9 -10 6 -10 7 1 6 0 -10 -3 -2 -4 6 1 -8 5 2 0 7 7 1 -4 8 2 -8 6 -7 0 -3 4 1 -10 4 -3 -10 1 0 -1 4 0 -2 -8 6 -6 3 8 9 7 -10 -2 5 2 4 -5 6 -1 -9 -10 1 -10 -4 -7 -9 2 0 3 6 -9 -8 0 -7 -8 2 2 -3 7 -8 8 -3 -7 -3 4 -3 3 9 -7 -8 -10 5 4 -10 -9 7 3 4 9 -3 0 2 -9 -10 -2 -6 -6 -10 1 3 4 -9 -10 7 -10 4 6 4 3 -10 -2 -5 5 -8 -4 -1 1 9 -7 -7 8 -5 5 -10 7 -7 -6 3 5 5 -4 0 -2 -3 9 -1 -9 -2 5 5 -2 -7 2 5 8 8 -6 -9 0 9 -6 -2 6 2 -2 3 -3 2 -4 -7 9 3 -5 -2 2 6 -1 3 -6 -6 -10 2 9 3 -10 7 -7 6 1 3 6 5 4 2 -3 -8 8 -3 -3 -6 0 -4 -1 -3 -4 -9 -7 -3 -3 -2 -7 9 2 -7 2 2 2 -2 -1 -7 3 7 1 -3 -1 0 0 -3 7 -1 -6 -3 -3 -5 4 4 9 8 3 -4 8 7 -5 0 2 0 -7 -6 8 -6 -10 1 -9 1 9 -8 -9 -9 -8 9 0 -4 8 7 -7 3 -7 -8 -7 -1 -2 -9 -4 -4 -7 8 6 -4 4 -4 -8 4 -1 -7 -5 -10 8 9 3 -10 8 5 -4 6 -5 -9 -9 -10 -6 -6 -1 -6 7 5 0 -9 -5 8 9 2 6 -8 -4 -4 7 -6 8 5 -7 2 5 -9 -3 3 -1 -6 -3 1 -5 1 -3 4 5 -5 -8 8 8 9 6 7 1 -5 1 0 1 -9 4 -9 -2 7 3 6 0 3 -9 9 7 -2 -8 4 9 0 -1 -3 5 -7 -5 -5 4 3 4 -4 8 -4 6 -9 9 -8 -7 9 1 6 5 -9 -9 7 2 1 -5 -3 -5 7 7 -4 -6 -6 -9 -9 -1 6 4 -7 4 3 -9 -8 4 2 -6 7 2 5 -4 -3 -2 9 6 2 -8 4 9 -2 -7 -2 -4 9 2 -2 -10 3 6 -4 -1 0 9 -8 2 -4 -3 -2 5 9 -7 3 8 -7 -5 -3 -3 -3 -9 -3 5 6 -3 4 5 2 4 -3 -5 0 3 -4 2 -5 -9 6 -7 -2 -6 8 -3 9 -6 7 -8 -1 -6 -1 6 7 -2 -6 -5 6 8 -10 -2 -6 9 -5 -4 3 2 8 0 3 -4 3 3 0 -7 -10 -1 -3 -1 1 6 -4 2 3 5 -9 -1 -9 -1 -3 3 -1 -7 3 4 -1 8 8 9 -2 -7 -5 -9 6 5 -6 -2 6 -6 8 9 -10 6 1 -5 1 -6 4 2 3 3 8 4 6 1 -1 -5 -9 9 6 -1 -7 -9 -8 9 -2 8 -10 6 -8 8 5 5 4 -3 -10 7 -7 5 -8 -1 -10 -10 -7 7 1 -6 4 2 -6 1 3 -3 -6 -3 8 -5 -5 8 -9 -10 -2 7 5 4 6 -3 2 1 4 4 -10 5 4 6 2 7 -10 8 -9 -6 -9 -4 -7 -4 3 -8 -7 0 2 -6 0 -9 3 7 5 -9 -5 9 3 9 3 -5 4 9 -9 8 -2 -8 7 -1 8 8 -3 4 6 -10 6 9 1 -10 6 3 -9 -1 1 -1 -7 6 -2 6 -3 -8 -9 -8 3 5 2 -8 -1 -9 -7 -3 2 -7 -9 -2 -7 -1 -10 -4 0 -2 -10 -7 -1 -7 2 2 9 3 -2 -4 -3 -8 -10 -10 7 -5 4 -4 -4 0 -5 8 3 9 9 6 -2 1 5 0 9 -3 -4 -2 0 0 -9 -1 -7 -9 -3 0 5 -10 1 -6 -5 7 -8 1 -3 -2 -8 -10 -3 -9 -1 -3 -6 -6 0 -7 1 -2 1 -9 8 -6 -8 -8 8 -9 -6 3 -9 5 0 -4 -5 2 0 2 -10 -6 3 9 7 -8 9 -9 8 -1 -6 -1 -1 -3 -8 -3 -6 6 -9 4 7 -4 9 9 -9 -1 7 8 -8 9 1 4 -7 6 4 -10 0 -5 3 -2 -4 7 -1 5 7 1 -8 3 -3 -6 -3 6 0 -4 -3 -7 6 7 -8 0 6 -5 -6 2 -9 0 -6 1 5 8 1 -9 -3 -10 6 6 -7 1 -1 0 -3 -2 8 7 5 -4 2 -7 -7 4 -5 1 1 -9 -7 -6 2 -2 5 9 8 8 3 -5 8 -9 -8 -9 2 -7 -7 9 2 4 -2 9 -10 -9 -8 5 -3 -3 -4 9 -10 0 -7 2 0 1 -6 -10 -1 7 -5 -10 8 9 3 -7 5 -1 4 -3 -7 -7 -4 -7 -6 -10 0 -7 9 6 -8 9 8 8 2 -2 -9 -2 -10 0 -5 -4 -8 5 7 6 8 2 7 3 9 -10 6 7 5 2 7 -5 5 -2 -9 0 -2 2 -2 2 -10 -9 -10 -9 1 7 9 -4 2 -2 4 1 -9 1 6 2 -7 -6 -8 8 -2 1 5 -7 -10 -2 -5 -2 -10 -5 2 3 -4 2 -4 0 -1 7 6 -9 -5 0 -6 8 3 2 1 6 6 -5 -4 -6 6 -9 -10 6 -1 -5 6 0 -7 -2 5 -1 2 -9 9 -9 8 -3 5 -7 -1 1 -8 -8 -6 -5 0 2 -8 6 7 8 7 -1 -3 9 4 5 -9 -1 -6 6 9 6 -1 0 0 -3 0 -5 -8 9 -2 6 4 2 -9 -6 7 5 -9 4 4 0 -7 3 -9 -1 -2 -8 9 2 0 0 -9 9 2 1 8 -8 -2 -9 -8 -2 7 6 3 1 2 0 -4 3 -6 2 6 9 -5 7 -10 4 2 1 8 4 -9 1 -4 4 4 -6 -2 4 -5 0 -7 5 8 6 -4 1 -4 2 6 -8 -5 2 3 -8 -8 -5 -2 -4 7 -3 -10 0 0 8 6 -5 -7 -5 9 -10 -3 4 5 -4 0 -9 -1 -2 -4 -5 -8 -7 0 5 7 -6 3 -4 -8 0 3 4 -10 -7 3 -1 -10 6 4 -10 6 -9 4 2 9 7 -5 -2 -5 -7 -4 -10 8 -2 -3 6 2 -10 -8 4 0 -3 -2 -7 -8 3 2 -7 -1 8 5 8 9 -1 -8 1 8 -3 9 6 -7 7 6 -9 -5 -7 7 -1 -6 9 -7 -4 -4 -6 -9 -1 7 3 -6 9 1 9 7 -7 -10 9 -4 9 8 -5 5 -9 5 -7 5 -10 8 2 0 4 -6 -5 -9 -8 -9 4 1 1 -2 -3 0 1 -4 9 -4 -3 0 2 8 -10 0 -5 -8 -5 -2 -1 7 -4 -9 9 3 -5 -5 -4 -10 8 -10 1 -1 -10 1 1 -6 7 -8 0 -6 2 5 4 3 -5 9 -3 -8 -3 6 9 -4 -1 9 9 -3 6 7 -3 4 7 0 6 8 -9 -3 -8 9 0 -6 5 4 9 0 9 -6 -1 8 8 -1 4 0 -3 6 -9 -4 -7 7 5 0 -7 2 2 9 -8 4 9 -6 -5 -9 -9 2 -3 -10 -8 -3 7 -6 -5 5 -5 2 -5 2 -10 -4 0 -7 5 -5 -5 1 7 7 -8 2 -7 3 6 -2 4 7 3 4 0 -3 -9 -3 1 8 4 -2 -8 2 -10 -8 0 -8 7 -4 -3 4 -1 7 2 1 -1 -3 -5 7 -2 1 -3 -9 -5 7 -2 -4 6 2 7 0 2 1 -8 3 4 3 -3 -7 1 5 8 -10 -6 -8 -7 -5 -1 -2 4 -1 -10 -9 0 7 0 1 6 -4 5 3 -1 -3 -6 -7 2 0 -2 -10 -4 9 -3 -6 1 -7 8 -3 -2 -3 5 -8 -1 -3 6 1 -5 -4 -8 -9 -5 -1 -4 -4 -1 -8 -1 -9 -5 8 3 1 -1 2 -3 3 5 -5 -10 -7 -6 -3 8 3 -3 4 -5 -6 2 9 -5 7 -9 -7 -7 0 -5 -5 1 -8 5 7 3 6 -1 2 -9 -5 7 -9 -10 4 -9 8 -3 -10 2 -6 -6 -5 6 -9 4 7 -6 0 -3 -9 5 0 -6 -8 9 7 8 -1 0 -10 -4 9 3 -4 3 -4 -5 3 -4 -1 7 0 -4 -5 1 -9 4 -3 1 -9 -1 8 -6 3 -10 5 -8 0 -6 2 -8 -8 -6 -2 -1 7 4 -4 0 3 5 -10 -7 -8 -5 -3 5 -10 4 -4 3 5 6 -1 -2 -2 -5 1 8 -9 5 3 6 9 -9 -5 -1 -3 -7 9 -10 8 1 6 2 -1 5 -3 -1 -9 -5 4 7 -9 6 -5 -1 3 -2 -10 -4 -6 -5 -8 5 -4 -3 -6 -5 0 6 -4 -9 -3 4 -5 6 -1 3 7 0 8 2 9 2 -10 -5 3 3 -5 -5 9 -9 0 -8 7 6 -9 3 -8 -6 -1 -10 -5 7 4 0 -5 5 5 -7 7 -4 -3 7 8 -3 4 -7 -10 9 -1 1 -9 9 3 0 -2 5 -7 -8 9 3 4 6 -8 -2 8 -3 5 4 -8 2 -10 -1 -1 0 6 -7 -5 -2 5 4 -10 -2 -4 -5 8 -4 -10 3 -10 1 8 4 9 -10 4 8 -10 -1 2 -8 3 -6 -6 -7 -4 2 8 1 -9 -5 8 3 3 6 8 1 4 9 -5 4 -8 -7 -10 -8 6 4 2 -2 5 6 0 -2 -10 -4 -7 8 9 -8 -9 2 -3 9 -5 -9 -3 -7 -6 -9 4 -9 -3 7 -5 -3 1 3 -9 -7 -9 -2 9 -7 7 1 0 -10 -1 -9 4 0 3 4 -8 8 -3 -9 -9 1 5 -2 3 -8 -5 0 0 -2 5 -7 -7 6 2 -8 9 -1 -5 -9 -9 4 -8 -2 6 5 -8 0 -5 -1 2 9 2 -3 -3 7 -9 -6 9 -7 2 4 -3 5 0 1 -1 -8 2 4 -7 3 -2 8 -9 6 -5 5 9 1 6 1 0 -1 0 7 8 -7 -9 8 -3 -5 2 -4 -10 5 7 -9 -1 -1 5 2 4 5 -8 -2 1 -2 -7 -8 9 2 -5 -1 -9 5 8 9 1 9 -1 8 6 -8 -6 6 -1 3 7 8 -8 -6 -8 -2 9 -5 6 -8 -5 2 -5 -6 -6 0 -5 7 8 5 -2 -1 -4 8 9 -8 2 -7 0 -9 6 9 9 0 -7 3 0 4 8 -3 6 -7 1 3 9 -3 -6 6 6 4 1 -6 5 7 -8 4 9 4 -1 -1 -3 7 -2 8 -3 -7 2 7 7 -8 6 4 -4 9 9 7 8 5 4 4 -1 7 1 -6 5 -5 0 -4 2 9 -2 9 6 -2 8 5 2 -8 -5 -1 -6 -9 5 0 3 5 -10 1 -8 -4 8 2 -7 -9 -2 0 -4 9 7 8 8 -5 0 -3 3 -10 -8 7 -8 -3 9 -4 -9 4 -1 4 -9 -1 7 -6 -3 -3 -2 0 -2 6 -9 5 5 0 -5 -4 5 5 3 -10 5 -3 8 -1 5 7 6 6 -7 -5 -8 7 -4 9 3 3 9 -9 5 -3 -1 6 4 7 8 -10 -7 3 -3 -2 -4 -7 5 6 2 -8 -5 -10 0 -10 -5 2 7 -7 -6 0 6 -7 -7 2 0 3 -10 -5 0 9 7 -5 -6 -6 -5 -8 9 2 8 2 5 5 -6 -5 6 0 0 3 -5 4 6 -8 7 1 -4 9 -6 -4 6 -4 7 3 -7 -8 8 -10 -6 7 3 5 -9 -10 0 -4 7 -4 -2 -3 2 3 -9 -10 -3 0 1 3 -8 -2 2 8 -4 -1 -6 0 -7 4 -8 -10 1 -3 5 -5 -3 -5 -7 -5 -6 -7 2 6 6 -4 -2 6 -2 9 -1 0 -3 3 -9 4 5 -5 6 0 9 0 0 -8 8 7 9 -5 5 4 0 9 7 5 -3 4 3 5 -8 -9 -4 1 2 4 7 3 -10 2 0 -2 4 -9 0 -5 5 -2 -8 -3 4 7 -9 6 -2 9 -7 5 -5 6 -8 -3 8 -1 0 -8 5 9 5 -3 -7 7 -3 8 0 7 -7 -5 -4 7 -6 2 5 -4 -10 5 7 -6 -7 -8 2 7 -9 0 8 1 2 -5 -7 9 2 -4 -2 1 -6 8 -9 -3 6 9 7 -10 -7 -6 -4 -7 9 -7 9 -8 7 2 -10 8 -8 0 -8 -3 6 -5 -4 -10 -7 5 2 -2 -5 -5 -3 -9 -6 -6 -8 -3 -2 -10 0 -10 6 -8 4 3 4 -4 -6 -2 7 8 5 3 5 4 3 8 -9 7 -4 -4 -8 -4 -10 -4 0 -8 -5 1 -8 -2 -7 0 0 7 6 -6 -6 -10 -6 3 0 -10 -4 -5 -4 1 5 9 -1 4 -5 -7 -10 -5 -8 -8 9 -3 -5 4 5 -2 -6 7 8 -10 3 4 2 8 -3 -8 0 -5 9 6 6 5 5 7 -9 2 -9 -9 0 -7 5 -1 0 -9 5 8 -9 2 -3 9 -6 -9 3 7 9 2 1 -1 7 -7 -5 -4 0 2 -7 1 -6 6 2 4 9 9 6 -8 -10 -7 2 4 5 9 3 -10 -10 9 -1 9 -7 2 -10 3 5 -5 9 -5 -1 4 -2 4 -7 2 -10 -8 2 -2 6 -6 2 -2 8 9 -10 2 1 -10 -7 -10 2 -4 3 2 1 -10 0 -8 8 9 7 -4 -5 2 9 8 4 -7 -4 -7 -3 8 -7 -4 0 -7 0 -9 6 3 -8 -2 1 -3 2 -7 9 -8 7 7 4 4 6 9 8 -3 7 3 0 6 -2 7 -4 1 -7 6 -3 -5 8 -7 8 2 1 -8 1 5 7 0 8 4 -10 -6 -9 6 5 9 -7 -5 -6 3 -9 -6 -8 -3 6 8 6 -7 -7 4 8 4 8 -1 -2 -1 6 -5 1 -4 1 1 0 -6 9 -4 6 4 -7 2 9 -6 7 -8 -7 3 -10 1 -2 5 7 -4 -1 5 -3 7 6 -7 4 -2 0 8 1 2 -8 1 0 8 -5 3 1 -5 -1 -2 9 -5 3 1 6 3 -4 4 1 6 -1 8 3 8 3 -10 -4 5 8 -1 -2 -10 -10 8 1 8 -6 4 5 3 4 4 0 9 -5 -3 2 1 -9 -7 9 -8 3 -5 2 -4 -5 8 4 -7 -10 -8 5 -10 2 8 0 -2 2 -5 4 8 9 -6 7 6 -7 -9 -2 -6 6 -3 9 -1 2 1 -2 -1 -8 4 -6 4 6 -10 4 -10 0 7 -1 -7 -8 5 3 4 9 1 0 -7 -6 0 9 -9 0 0 -8 4 4 -8 -6 -2 6 -2 -8 -6 -10 -2 7 1 -5 8 -4 -10 3 9 4 -6 -8 6 -3 9 9 9 2 -1 -1 4 5 -7 -1 1 -7 7 -10 -5 4 2 4 1 -7 1 -1 -9 1 4 3 -5 8 5 4 8 4 3 7 -4 4 8 3 -9 4 4 3 7 1 -5 -7 -5 7 -1 -2 3 -10 -1 4 2 -7 -3 -1 -8 5 -7 -10 -9 -2 -1 -10 -8 -3 -5 -6 -9 9 7 9 -8 4 4 -2 1 -7 6 6 5 8 -7 -3 -9 0 7 5 7 2 -3 1 -9 6 1 -7 6 6 9 7 -3 -2 -2 -1 -8 4 -1 -4 -1 8 -8 -5 6 -5 -6 7 -2 3 3 -5 -4 -10 6 9 -1 9 4 -5 -3 4 4 4 4 5 -6 7 -1 -5 -7 9 -7 7 6 9 -7 2 7 1 -4 -8 -2 -6 4 7 -7 -7 6 7 -10 6 -7 5 0 8 0 -4 5 9 2 0 0 -3 -3 8 -3 -8 1 6 -5 -1 8 4 3 -6 -7 -2 -2 1 -5 -2 -3 -1 5 0 9 -5 -2 4 7 2 6 9 -10 5 8 9 8 -9 5 -7 0 -5 -1 5 -1 -6 -7 -1 6 -2 0 -7 -1 -5 -5 -2 -7 4 4 -10 8 0 9 8 8 -1 7 -2 0 -6 -7 2 -1 3 -3 9 7 0 -10 -5 1 0 -1 2 -2 -4 -9 1 2 5 -7 1 8 -8 -1 -2 -6 9 6 -4 -7 9 1 3 -6 8 -6 -8 -9 6 -3 -6 -3 -2 6 -3 -3 7 8 9 -5 -9 0 5 5 2 -7 1 1 9 8 4 0 -1 9 5 9 5 -1 -10 -6 -2 6 -7 -1 3 0 6 0 -2 5 -3 -9 8 -8 6 0 7 -2 -9 -2 8 -3 9 9 9 -4 8 -4 5 1 0 5 -3 3 -6 -10 5 2 -7 5 -2 -8 6 -4 7 -5 6 4 -5 -1 -7 5 6 4 4 -3 -10 2 4 -3 5 -6 4 -7 0 9 5 -5 1 0 3 1 -5 -1 -1 -8 -4 7 6 -7 8 1 8 5 7 -6 4 -1 -1 -2 -2 -6 -5 -7 9 -3 -8 -3 -6 -5 -1 7 -1 4 9 8 6 -5 -2 -5 -9 -4 6 9 3 -4 6 -2 5 -5 6 -6 -1 3 9 -1 -10 -9 -2 -5 8 7 -8 -3 2 -9 8 -2 9 -4 -5 -10 -6 4 1 8 -10 -3 8 -3 2 4 -7 4 -10 -8 5 -10 5 -7 -5 4 -10 -2 3 -6 -9 1 -5 -10 -1 0 2 -4 -6 -6 -6 6 -7 -8 -6 -2 -2 -3 -8 -2 0 -1 -1 7 2 -4 1 -6 -4 -5 -1 -2 -2 4 -10 0 6 3 6 -9 -1 2 7 -6 4 3 2 4 -9 -4 5 -7 5 6 -10 9 -8 -6 -6 -1 -9 -5 -1 -1 1 -1 9 -3 4 -3 -10 -7 9 0 -10 -5 -7 2 2 -6 1 -3 9 -4 -7 2 -4 7 6 -8 8 7 -3 9 8 8 -9 0 7 5 7 8 1 7 -2 1 4 -7 5 -4 -10 -4 3 9 3 -2 1 1 8 -3 3 6 6 -10 -2 5 0 -1 -5 -3 -6 -8 7 5 1 -5 8 -4 -9 4 2 -9 2 8 -10 -5 8 -6 6 6 -7 -9 -5 -10 -9 3 5 -7 -8 -10 1 8 4 -2 -4 -4 -4 -6 -6 -3 0 6 -2 -7 -4 -10 -10 -5 -6 -1 -9 -2 0 -4 -2 -6 1 5 -3 3 -3 0 2 -9 1 0 -3 7 4 1 6 7 -10 6 -10 -4 -2 -10 1 -5 -9 -5 3 2 -7 3 6 5 -10 5 -10 -3 -4 -6 -2 -1 4 -2 8 -9 1 4 8 1 -8 0 0 0 0 3 5 2 0 -10 6 4 -5 -6 -1 -5 9 -9 2 7 -4 3 -4 -10 -9 -6 -9 2 0 1 6 2 -9 8 5 -6 1 -8 6 4 5 -6 -2 -10 -2 -1 8 9 0 -8 7 -2 5 5 -1 -2 -10 -8 3 0 -4 -9 5 -3 9 -8 1 -8 -6 9 6 1 -7 -6 -6 -7 -5 -8 -7 6 6 -10 -6 -6 -3 -5 2 -3 -10 7 0 -4 8 7 3 7 9 7 2 5 6 -2 -3 2 -5 1 5 -8 -5 8 8 -9 0 5 -5 8 2 0 7 2 -3 9 0 -4 6 -6 5 5 -9 -3 -7 -1 -2 -8 -9 -5 3 -1 -3 0 -3 8 1 0 -5 -1 -10 7 9 -1 -8 -4 -1 2 2 -5 -2 -10 3 -9 9 6 1 -3 0 -6 -6 5 3 -6 -5 3 -8 -2 5 9 7 5 6 6 6 0 -7 -5 5 -3 -7 -7 -3 6 -5 -3 -6 -2 -4 4 -6 -7 -9 8 -3 -4 -7 -9 4 8 -10 2 -5 -2 -10 -9 9 -7 -3 4 -7 -8 7 -8 8 4 -9 4 4 -10 -10 9 -7 -9 7 0 -3 -10 1 3 0 -7 7 5 1 8 6 0 3 5 6 -2 -1 -4 1 -3 2 2 3 -3 -6 3 -4 -3 -4 5 -1 -5 -3 2 9 7 5 6 -6 -3 -4 2 -1 2 -10 -4 -10 -1 2 1 -1 6 6 -8 -7 -10 -2 -9 -10 4 -2 -1 -10 5 -8 1 -6 7 9 -10 6 -4 3 -4 8 -5 -6 8 4 -2 -8 -7 -6 0 8 -10 0 -4 -9 0 2 0 -10 -6 7 4 5 4 -7 5 4 -10 3 9 8 -7 -6 4 3 1 -8 5 4 8 -5 -6 8 -2 0 -10 8 5 -8 0 9 1 6 5 -5 -10 -8 2 2 -3 -7 -8 0 -2 6 5 9 0 1 -5 -10 -2 0 9 -2 2 1 9 9 3 -9 9 -6 8 -4 -8 0 -10 4 -8 -3 -1 -6 -1 7 2 -6 -2 -8 -3 -4 -8 -2 -2 3 6 -10 -6 5 -10 -1 7 1 -4 -3 7 -10 7 -1 -4 9 6 5 5 -5 3 -3 -9 3 -9 -1 1 5 7 9 -1 3 2 -5 -9 2 -3 0 5 -5 7 -6 -5 4 3 1 -5 -9 -4 2 8 1 9 9 7 2 -2 -2 -3 -5 -2 -2 1 -10 -4 -6 -6 3 4 9 8 -7 5 5 -1 -2 -4 4 -1 -6 -4 -3 -2 7 8 -5 -1 -3 -5 -2 -6 3 -1 -3 -5 5 1 -1 -2 7 -10 8 -10 -3 3 -1 5 1 5 6 -3 3 5 5 -8 4 2 -7 3 8 2 7 -7 -9 -5 -1 6 -2 0 6 -4 -7 -4 8 0 1 -2 8 4 5 4 -9 -1 -8 -1 1 6 3 5 -1 -7 9 8 -3 -10 5 -2 -2 -6 0 6 -8 3 -8 -10 6 3 -10 -4 -3 6 2 -10 -5 4 -9 -2 -8 5 5 -7 8 4 -8 7 -4 7 -5 -4 3 6 -8 -3 -9 6 -2 -1 -9 -2 5 -10 -6 -2 -9 -9 4 -8 -8 7 -1 7 2 -2 -6 4 7 -8 -6 -7 -1 -1 1 -7 7 -6 -10 -5 4 -9 -5 -9 -8 0 -9 5 -7 6 -1 -5 -5 9 5 7 9 9 -6 6 -9 -2 1 -8 -1 -8 -4 -4 9 -4 -7 3 9 -1 -4 -9 1 -2 -2 4 6 8 2 3 -1 -3 -8 -2 -4 -4 6 9 -4 -10 -8 6 4 -2 4 3 -4 8 8 -5 -3 -5 9 0 -5 -3 -6 3 -5 6 -4 4 5 -2 4 3 -3 -7 3 3 -7 5 -9 7 5 6 1 -9 -4 -1 8 -5 -4 7 5 -7 -5 1 6 -8 -10 -8 -1 5 -7 -7 -1 0 -4 -8 5 -9 -1 -1 9 6 7 -8 -1 -7 1 -3 -10 0 7 5 3 4 -4 -8 6 -4 6 -5 4 9 -9 -7 -9 9 7 -1 -9 -4 8 2 4 -3 4 -7 0 7 -8 0 -3 9 7 3 3 5 5 0 4 1 -3 -2 -7 -10 1 6 -10 -10 -5 3 8 5 -5 2 -8 9 5 -6 6 7 -4 6 -1 -7 -1 -8 1 6 -6 -5 9 2 -5 -8 2 -2 9 -6 -2 6 7 -4 -6 4 8 -4 -5 -5 -7 -8 -8 -1 0 1 -5 1 -4 6 -3 0 -9 -4 -8 8 -9 -3 -4 2 -7 4 -2 3 -10 2 -3 0 1 3 5 4 -3 -1 -7 7 3 -2 -10 9 6 -3 -1 -1 -5 -6 -3 8 -7 3 0 -4 -3 9 9 9 -7 9 -1 4 -6 -6 -2 1 -4 -6 -10 9 2 -10 0 -9 9 1 0 6 5 8 5 0 1 -5 -1 1 6 -10 0 -10 9 2 4 -7 -2 5 -4 4 9 8 3 -7 8 5 -6 -1 -3 5 -4 4 3 3 -5 6 8 4 -3 -3 4 0 -3 -4 -8 3 -9 0 -10 -10 -5 9 8 0 5 -1 -4 1 0 -5 8 6 9 -7 -9 -6 -10 2 0 9 9 7 -1 8 5 1 1 6 4 2 -2 9 -7 -3 -9 0 -2 9 4 8 -6 2 -3 -6 -2 -2 -10 -2 -10 -7 9 1 -10 -1 -1 5 2 -9 -7 -4 -5 2 7 -10 1 9 -7 9 0 7 7 -3 -9 -6 -7 -1 -5 -7 -1 7 -4 -1 -1 8 8 8 3 -8 1 -1 -1 -2 -9 -4 -9 -6 7 -6 -7 -2 -9 2 5 -8 -1 0 2 4 -5 -9 -7 2 -8 2 -8 2 -7 6 5 -4 7 -6 5 0 0 6 4 -10 2 -1 -2 3 -9 5 -3 -8 -5 1 -2 0 3 2 4 -3 6 7 -10 9 -5 5 8 -8 1 3 -6 -9 -9 8 -9 3 -3 -9 8 -10 -2 -5 -7 3 7 -7 6 -8 5 -8 -1 -6 1 -9 -7 6 6 -9 0 -3 -4 4 -9 9 -6 4 -6 1 -2 -8 -6 6 -2 9 -8 7 -8 0 9 0 2 -10 4 -6 -8 -1 2 0 -7 -7 0 -9 -1 1 -9 4 7 -5 7 -5 -2 3 4 -2 2 6 -5 -3 -4 6 7 0 -2 -7 4 -8 2 9 3 -3 4 5 -1 -7 8 0 -1 5 -3 9 3 -3 2 -3 5 7 5 2 6 3 -10 -5 -7 -9 -2 0 -7 2 -1 -2 2 -7 -7 -9 8 3 -7 -10 -1 0 9 4 0 -7 3 -5 2 -2 0 -2 3 -8 3 -2 -7 3 0 -3 -4 9 -3 8 4 -7 1 -5 6 4 -5 7 6 6 1 -4 9 6 -6 -6 6 4 2 -1 6 8 8 2 1 -2 9 -1 -10 8 9 -4 -9 0 1 0 6 -2 9 3 -6 1 1 -6 9 5 -10 6 -9 2 -5 0 0 5 -8 4 6 3 -7 -2 -7 -7 4 7 3 8 -3 0 -4 -4 5 1 -1 8 -3 -1 4 -3 -5 -3 1 -8 -1 4 0 1 -2 -4 6 1 4 -10 4 -10 7 -10 8 6 -8 7 4 7 -2 -6 5 -3 -5 -9 4 -8 -9 7 -6 0 1 -4 4 9 -6 -8 1 8 -8 7 1 1 -1 -9 9 1 8 4 -10 -4 8 -2 -5 5 -9 9 7 -8 7 3 -5 -260 167 -9 163 646 -817 515 115 29 -167 378 98 12 -195 187 -640 -340 -18 -282 -148 153 -659 245 134 211 71 -231 -484 118 -209 533 233 352 74 792 -267 -134 -115 -114 205 486 196 -158 332 -188 -148 672 -53 218 314 177 600 816 682 37 -125 756 852 384 124 673 -139 118 200 442 52 -150 239 155 98 10 296 559 636 -655 167 -26 31 -236 -273 217 260 473 -142 33 -290 -69 307 -51 379 -88 155 71 720 -266 395 -180 373 137 -68 -133 328 -66 104 -302 588 206 14 -112 -113 -195 270 89 799 369 -103 98 145 260 506 112 390 -75 112 432 352 8 252 90 628 -141 176 0 417 -127 846 297 -11 -153 -39 71 -110 147 387 482 333 11 258 322 509 349 -149 222 276 -422 -192 445 260 -275 -504 -7 -355 -417 -315 -211 28 160 651 508 -120 612 513 276 175 653 -324 -41 -193 430 -219 240 -76 -5 -266 175 62 210 -126 191 -145 95 -475 294 234 231 -25 -245 142 389 427 -503 -254 -883 -534 -661 -50 23 44 -93 67 -45 -225 252 573 -1 101 384 -50 -646 -466 65 11 450 159 -225 -167 122 -838 190 -696 -101 476 -331 -373 324 -120 203 -122 250 68 625 344 51 -12 -221 -391 -31 47 53 99 156 -149 69 387 -419 215 54 -391 131 9 -323 133 78 -119 -228 389 374 -464 84 -299 1 -55 -218 412 316 -616 -346 23 -784 45 334 35 81 -79 174 -241 544 -384 104 -18 -233 -340 395 -84 -268 -205 331 224 -55 71 190 190 398 239 12 140 94 97 -333 -320 604 -390 -21 377 320 -317 -518 371 798 -203 -36 -586 -143 550 -71 225 97 318 264 553 555 198 -550 317 495 270 -75 156 -425 251 732 410 524 194 -336 368 -282 73 -102 298 285 -722 607 322 180 -601 -25 426 229 80 87 -10 662 -201 241 -88 -217 465 -606 397 -241 137 32 297 -526 -126 160 -208 -796 -33 441 167 -530 86 90 113 207 394 106 213 -129 93 320 589 -150 415 163 -342 383 79 270 -223 -432 147 191 -130 -686 80 -31 336 812 -372 320 -166 -531 407 326 196 -132 -923 -42 336 615 327 -158 81 225 -172 -72 -318 -424 102 -32 -421 147 -178 71 159 392 540 824 -38 48 -153 -198 151 -115 310 -91 48 -312 269 -39 399 -91 616 275 -242 -444 795 -34 -100 31 -24 276 158 431 -61 -183 159 -71 82 126 248 -426 -381 314 446 -247 -970 -279 -175 628 373 179 449 -785 -617 -133 -6 -839 385 -278 -67 -218 530 711 -419 159 -86 492 -264 134 -31 -52 -631 90 241 -253 262 571 -53 146 191 216 102 -259 30 -68 237 -173 -133 -312 173 -449 -217 -27 60 -57 237 533 153 130 8 79 -370 -211 -73 56 -206 -315 578 -231 -10 -240 -82 -401 533 273 111 189 -44 79 202 431 15 -37 -449 141 -112 -4 -286 96 329 215 -378 -54 208 252 -647 -387 -77 185 270 -423 432 670 -514 -345 235 98 89 95 -573 -291 316 396 -268 -565 -356 3 408 -137 -184 -55 305 58 -382 -338 -165 102 -128 -56 68 143 -32 208 -221 -423 114 464 -236 50 568 -210 -199 -436 176 35 203 -376 -574 131 523 -296 -296 -278 -28 106 408 152 -446 -501 -124 67 112 107 -653 -262 -3 549 240 192 231 -417 -72 -387 -308 120 -330 -143 -246 -127 138 25 -133 64 -501 197 -315 -7 151 94 113 -398 -110 -130 1 6 481 114 191 92 214 -37 -339 133 500 -695 327 196 416 -433 247 156 380 101 -129 -82 -101 363 165 332 309 -325 -123 -133 -618 124 -467 17 215 -291 -251 -104 -440 474 163 -8 -342 -144 -78 -310 323 -131 -204 -435 -156 604 240 196 0 463 205 85 -42 -11 209 -411 -140 -265 -94 -455 -73 -550 309 -164 -443 83 748 679 -180 302 355 -145 -18 200 -116 -559 188 213 -536 -50 -148 -255 -119 277 68 -341 -708 -145 307 111 -36 -118 340 282 -13 -668 449 364 -154 -81 208 342 -262 -51 -286 -497 -175 202 39 67 165 269 342 92 325 605 -219 -392 -183 -185 -53 -79 101 -28 300 234 -9 260 369 -50 183 55 -232 -16 768 164 297 119 435 -125 -355 479 -215 -467 -37 393 214 296 -25 -144 242 61 -75 13 271 216 -80 -175 106 -490 -383 28 871 -384 25 546 -491 0 380 352 195 -51 196 125 -49 -565 20 484 63 -349 -144 410 -591 226 510 203 -678 531 -360 165 143 267 73 92 139 -140 452 -287 -67 149 442 253 -85 -29 -169 64 146 -261 235 27 188 46 343 561 406 -252 123 -101 324 60 -133 -24 -250 375 213 -838 120 19 325 -324 -130 235 348 158 -238 538 -132 543 185 159 -271 432 -449 -134 308 -195 -296 -15 -157 91 -688 -346 760 90 -218 109 -50 -202 166 -225 -317 396 2 -471 -331 -354 58 285 198 79 172 342 -39 -89 241 -387 367 321 30 -81 479 559 -424 194 -204 -460 -32 -225 -195 378 35 171 -198 -53 -56 -79 -301 23 -49 -55 72 -348 -469 192 101 -487 206 -24 9 -333 154 399 58 721 225 -686 567 -60 -337 -261 196 -189 -188 196 -164 144 82 -419 168 -198 -178 -427 -313 11 165 216 -299 195 29 210 46 186 58 136 -122 293 -172 216 604 331 -425 90 374 1299 133 223 -853 -945 -483 393 90 -515 489 678 34 190 399 626 615 -60 -148 712 -455 -69 -214 0 54 -379 -504 -226 331 290 268 44 -281 -201 -146 139 -50 87 56 182 150 386 -111 186 -172 -53 -121 -108 102 -423 -96 -330 212 306 -666 246 194 344 132 123 7 -289 -328 -186 -1 -365 221 -215 -266 402 -100 365 -200 206 257 202 275 287 461 376 123 225 310 -214 -405 -287 -370 14 573 596 123 -354 32 -57 181 87 404 -536 266 55 79 503 259 176 37 732 -46 96 638 486 -9 129 206 -442 471 4 550 590 681 -216 -18 -45 -389 54 -86 264 -283 205 560 -107 388 -110 203 -121 200 306 -554 470 252 366 -349 -418 519 -340 499 -34 127 -125 -147 -260 -213 -70 695 -151 -69 243 641 497 -312 -288 -259 -237 -290 53 -13 555 190 788 -313 -186 81 199 -183 -101 -30 922 503 550 8 -80 53 25 -34 -308 527 -148 -231 -158 -109 396 506 108 453 47 75 362 -286 56 -130 -124 251 377 84 216 -33 73 354 -1 -278 187 332 48 -22 4 116 545 457 -235 -157 -160 214 -568 217 -261 -70 -174 -19 -321 80 299 -162 -171 547 59 -406 468 -2 -338 173 441 12 680 29 93 -275 231 73 277 389 607 -24 454 44 -62 -435 -272 -34 -441 54 -158 264 331 -564 -105 -526 -460 -108 -339 236 -348 -178 345 90 630 -345 -178 653 -46 214 566 -348 35 315 168 435 46 106 80 315 -19 294 -69 -12 -160 -379 220 504 146 456 -167 159 165 -350 24 -162 -14 -93 -150 68 -102 429 197 -223 206 168 516 896 -466 375 266 120 25 266 -103 -140 187 89 -328 17 224 405 -38 -248 317 -99 -267 291 -330 81 -100 403 401 -402 293 -683 201 508 -68 59 521 -899 190 -437 -396 -945 465 -240 430 -264 382 609 99 -251 -366 -40 -541 565 -93 -171 -227 -165 -156 402 243 253 163 81 804 386 -74 -437 182 91 -613 -214 143 -417 364 -271 -629 -431 69 -303 38 -8 599 240 -253 416 99 -15 -456 18 18 -93 171 268 -83 90 -382 297 -477 325 -196 402 -146 -855 -65 627 -9 810 449 165 -243 -368 191 249 -266 -487 -596 -407 -423 -200 167 110 -646 824 166 248 -296 105 29 -20 -4 -30 123 349 355 101 -415 -485 347 141 159 404 126 -267 39 146 564 220 -560 61 -280 285 180 447 668 207 378 239 333 156 -3 235 -175 -241 89 -793 58 -434 -382 -51 148 383 -128 -769 32 -295 140 -456 -117 -10 79 -160 15 -735 246 306 -521 -88 288 -363 -234 -314 360 -242 -406 158 191 -217 -638 121 -150 -191 88 254 132 149 -50 35 328 445 -322 252 453 -419 -16 -111 -235 70 -499 -447 89 116 -461 -276 -17 -156 -371 38 -122 -101 343 46 -204 -17 301 -32 -30 -367 -337 189 -726 -47 -386 137 -750 -286 -99 -16 277 -207 93 331 -240 -312 -348 -689 -317 109 727 -495 311 -157 215 322 -239 -494 -157 855 60 155 679 260 -471 -107 103 146 148 -241 -185 358 -53 293 -603 429 -385 -397 92 -62 -769 417 -203 73 117 -1 230 59 284 -569 -185 118 247 -255 -1014 -121 -275 -161 -660 -464 -166 -20 336 -297 44 -403 -96 -611 243 527 -515 -396 130 -25 212 -279 -253 183 295 -123 -454 -328 263 -33 -183 62 10 -353 290 738 -316 112 494 714 -345 -251 -630 -55 -412 236 23 -35 -236 343 430 342 459 -352 109 -249 4 46 -233 48 -11 417 -530 -269 426 460 -15 -162 468 255 238 268 244 177 539 67 -51 -104 7 709 200 359 -324 -310 83 297 11 470 -512 -40 -380 -126 83 -118 -514 254 829 885 -495 125 366 298 191 460 290 -12 21 573 324 -668 -597 250 -180 -50 -240 398 -9 -156 151 -362 -15 -461 -113 470 -491 162 12 517 189 723 631 243 48 -300 -888 123 122 611 -383 -171 426 313 -92 92 311 143 -13 196 -256 472 -60 103 123 -429 -183 -411 88 -567 148 -55 160 -68 -653 -956 520 -10 -420 -226 443 -43 -345 -223 121 260 -73 -290 -41 -41 206 -586 -248 477 -126 415 -111 -86 -303 9 -334 46 69 -502 -413 92 452 -17 -557 227 -63 -235 -353 356 -210 -88 -25 -839 -312 -40 -182 -111 110 -175 -119 -718 173 27 -576 274 231 662 -671 -597 -325 -73 31 -156 -444 -266 -329 -173 813 -73 126 -313 -59 -34 -628 42 157 -267 -40 -288 -568 -517 -720 410 -182 556 -763 198 716 296 91 -595 19 -454 349 -81 -213 -78 125 172 64 -291 633 92 -484 311 -271 -336 -198 -54 419 -582 -62 198 229 204 141 -5 70 46 -165 24 -231 -187 -300 -311 -152 -339 251 -155 -248 -919 -336 -196 -44 -360 162 -588 113 273 -594 152 -121 8 -413 236 -115 106 321 86 -157 -405 -418 569 447 204 225 -187 -31 -382 -454 19 -532 176 -123 -294 -220 -87 -253 -446 -472 36 407 489 -167 210 98 -609 37 -258 -342 -117 -409 -243 -324 -202 304 -78 -258 737 -879 82 -206 -171 567 372 -462 -267 -366 6 -80 -253 -20 -190 120 277 208 257 -178 56 -40 -457 354 353 4 -863 -474 543 195 605 -605 490 -210 214 -296 219 -84 -146 155 -387 -143 -551 -280 57 294 609 235 135 -182 230 303 100 552 8 306 351 41 -129 215 -645 -38 67 69 57 -178 -317 -127 -261 -153 336 23 -116 -412 81 118 -299 833 39 -63 372 -440 140 24 -428 -653 -281 -285 -478 -44 -518 654 -610 146 -61 -472 -7 230 40 387 515 -54 -559 -275 -156 -175 139 -455 120 524 656 725 -26 53 -179 599 7 483 -728 -69 120 -684 195 526 227 152 -239 -580 216 146 -369 -542 -350 -494 139 -270 -287 197 37 -240 -263 292 -76 387 242 236 -77 -183 -202 -321 -51 -89 -62 634 -386 407 -416 -671 437 470 -155 -471 38 611 -686 -593 -159 -175 120 -81 870 555 -205 18 -548 10 -185 -315 -89 -841 -454 -288 -242 -421 215 -137 -345 720 405 188 68 -847 315 -8 -591 -5 118 -21 272 250 -412 -131 -515 -61 63 -321 739 -510 -42 718 -381 -53 182 -277 -53 478 -709 -145 -27 598 327 220 512 -120 177 -167 324 -308 -344 -624 -174 317 296 -622 335 275 736 456 304 -193 -244 -122 -173 -142 -274 -255 -444 195 -79 324 259 204 338 -501 -185 -273 134 579 -133 175 -123 540 -125 -130 -317 222 -38 -244 303 241 -115 -116 -66 -155 46 -234 338 40 -64 436 235 -154 229 139 255 194 25 371 241 390 12 -246 485 -851 442 -416 289 55 -822 60 305 186 120 -478 -4 -24 -397 -506 28 -175 -463 -8 -593 336 -205 -276 112 -359 193 -175 -280 -267 154 -31 92 5 -412 -122 10 539 -93 97 141 -519 -114 398 -323 270 -43 236 107 -392 165 147 653 -95 535 174 -58 -140 263 -221 -367 -98 176 44 -278 -486 68 4 -15 -311 169 -55 -227 11 100 209 -380 -536 222 1 -149 129 613 -114 -5 183 -53 -383 139 366 -405 -557 4 179 -145 -461 21 -298 224 424 -18 184 -426 105 160 -670 311 389 -51 -466 566 187 -213 -11 110 230 -61 196 -119 -217 213 -642 3 80 -286 -604 220 138 -556 65 -58 201 -123 -223 143 38 269 218 -332 -177 -34 113 -160 304 289 38 209 176 100 78 160 -433 -242 124 269 8 -15 -347 -387 -114 306 -134 92 446 218 -373 186 227 384 -64 -88 -198 -101 367 -811 767 278 100 535 -12 -82 -718 91 505 -183 295 153 -415 227 832 -14 -339 -289 137 -735 92 212 -70 -28 9 -7 -173 305 103 69 100 -28 -102 -29 99 47 -23 99 -60 -4 -20 819 347 108 136 58 -319 -104 -8 313 21 -283 234 -17 636 210 484 140 -139 160 -502 -96 688 51 220 -143 327 -417 479 287 192 898 -54 504 -125 83 326 585 584 -216 -291 299 -155 -263 146 -13 85 31 188 38 -202 -71 -551 356 -28 195 115 168 355 93 240 442 885 793 -214 149 -136 71 73 88 268 942 571 414 134 -45 -505 -363 84 -429 426 -79 207 -262 407 394 481 -150 -459 -786 342 -277 -301 -491 493 -62 405 567 25 -78 349 58 -516 257 428 -462 120 -768 486 -404 -57 -392 -269 -90 -363 488 -411 -193 162 -150 -405 -537 455 121 -301 -385 -374 435 13 -615 717 152 204 58 -794 279 -258 282 -331 -493 -26 315 -218 -363 229 -346 171 161 481 -748 -318 -131 -409 2 184 261 330 164 -303 301 159 309 -273 766 -144 298 -273 -102 175 -817 -156 67 132 -117 -296 322 121 -236 414 -59 323 43 -297 -135 145 -350 54 -138 46 -575 -83 -524 273 -613 103 7 -401 -714 -247 51 571 -210 -41 377 237 319 -6 -147 -162 -272 130 -185 -149 -808 -66 -322 613 -208 -484 251 45 -440 288 -373 550 100 -572 205 902 695 -136 545 57 267 -711 -90 450 471 -395 -103 -589 326 439 45 595 387 -505 351 -37 514 -610 -514 151 105 799 721 -62 -92 306 76 -290 -124 101 314 684 -370 99 1 -231 157 266 435 480 362 224 -170 99 -187 435 57 -131 -194 53 -73 3 161 461 -61 126 67 154 269 364 -85 352 183 -396 633 208 -137 341 328 370 428 -311 182 139 -7 -213 237 -582 583 -43 -389 19 -352 447 -110 -348 157 -27 -120 -290 53 316 555 -600 317 -413 -242 237 -56 39 -254 -335 -284 471 551 -97 -182 122 213 133 415 196 -172 -9 -598 104 -189 163 185 133 294 341 436 -84 194 342 751 -225 330 293 -624 518 -492 364 -157 36 140 87 290 -70 -339 -341 397 -208 -129 280 350 566 -684 44 -26 -297 -377 -234 85 -385 -202 -24 1 178 214 -39 -38 -423 77 209 12 -47 -166 -100 -169 -168 639 612 -210 -281 344 44 198 184 177 -309 -309 -168 276 -156 -59 203 -205 -187 -23 -129 -220 24 -29 471 -179 -9 -94 206 235 473 -7 -402 -49 5 -277 128 -15 -324 246 68 -74 380 257 -192 -565 -321 269 193 -94 303 305 208 218 98 17 -84 -109 -179 -222 267 297 47 -121 -363 325 189 52 185 -544 289 107 98 -26 82 -341 42 -28 -584 337 317 -405 -213 186 -364 -311 -78 -302 -302 -53 -114 -309 -286 129 -72 140 -253 448 147 -104 -151 311 324 87 -646 -85 -153 193 465 611 -167 -88 -254 164 -94 -180 553 179 -17 -302 -229 -291 -8 267 -12 120 552 40 -138 -398 -129 -589 -133 167 -48 -411 -143 187 211 202 236 -394 310 -70 85 -335 -106 664 206 -169 -761 84 -318 92 276 574 300 346 36 -254 -292 -226 233 -201 20 264 -209 201 -199 -583 297 216 -148 466 793 104 66 -80 144 331 -262 -179 -78 59 131 -220 -369 -652 -177 -649 -433 12 -76 -43 91 -73 511 128 -238 75 -426 177 -254 480 -110 363 226 -98 -227 189 -308 -137 135 187 184 355 -195 660 -276 115 149 145 239 -472 442 66 194 -330 -75 349 507 96 -528 453 497 371 -244 -266 -54 29 -62 -143 -182 270 267 -32 -178 208 29 14 -385 -497 -690 -482 311 97 152 -189 -40 -344 -275 -91 -130 -202 195 279 101 631 428 141 84 439 -383 224 206 125 128 165 -12 19 169 136 64 -73 -314 615 339 -529 -155 714 238 -292 365 -420 445 -365 -411 42 -123 -673 -120 -135 -1 -167 377 65 -746 405 381 -7 164 251 -124 243 91 -130 -550 -559 166 -366 511 -73 -88 70 -125 190 224 -18 203 295 236 -192 558 -282 91 -350 194 -377 -697 -46 -235 291 -233 338 12 -233 325 -109 514 143 259 -67 573 298 263 -344 23 542 469 581 -380 -463 951 212 -279 75 310 274 -321 7 288 -38 -362 -742 -674 -273 -301 323 282 -361 611 222 -487 -120 -122 -235 539 -470 -364 38 341 331 380 933 320 -267 -218 179 -426 295 373 215 1145 -444 338 183 86 -127 536 465 -426 463 181 1 -57 2 11 -127 445 -29 38 161 262 -488 -252 -211 479 266 35 225 -701 31 176 -183 71 -519 610 -92 -107 -31 6 269 452 279 70 -101 -90 703 82 -259 -507 452 595 493 147 -222 110 -391 433 -162 66 459 372 340 -384 -167 -457 564 -262 1058 435 393 85 362 373 -556 -140 40 -494 -48 -296 258 326 993 -340 -390 101 -407 123 171 -304 792 -389 -178 -608 547 434 72 264 48 -228 -197 6 -386 237 607 285 33 181 38 -151 12 36 32 212 32 -606 109 -549 461 172 -79 -447 264 -557 55 -280 -75 154 202 183 289 -198 102 262 418 4 -348 -215 367 -480 66 428 -320 -11 66 -64 74 99 -80 62 -617 46 23 -259 -300 225 -249 -494 249 -26 -135 -639 41 -19 234 653 -557 -119 349 -265 12 -508 233 35 -140 -3 -339 288 160 -146 -292 185 66 346 163 -230 225 330 -132 -399 -572 74 -488 -515 183 -210 292 -425 -154 -348 -24 271 -358 -182 -287 135 -533 -201 -430 177 170 -440 -457 129 179 -94 -458 -117 309 96 -90 -483 469 -279 -338 636 -570 -334 17 -203 323 -507 272 158 -308 -57 -83 -47 -459 302 20 17 30 61 308 -488 359 439 1 526 -258 254 -355 375 182 -331 -237 -33 281 523 -104 -342 -134 -784 110 -644 409 -116 -124 -249 -327 -631 -123 -384 -643 196 -28 -353 -54 45 289 94 -2 180 324 332 746 -384 -378 -207 -91 146 -76 1 40 -234 -513 586 -330 202 1 -253 -295 -41 -73 -210 -79 41 363 37 324 271 71 -500 -610 223 -89 738 -35 31 -71 5 -251 45 66 -741 -15 58 -49 -324 -150 213 282 -88 -589 -287 60 -129 78 276 433 -158 -45 298 -288 -340 -106 -48 -77 -80 -276 337 -72 137 649 312 262 147 384 229 284 -47 72 763 7 -269 260 -707 -419 -768 150 111 -540 -24 -28 50 667 856 -197 173 141 -160 -783 246 585 499 164 298 -283 177 -105 160 -30 77 47 -160 247 -409 -86 369 354 72 52 -488 -155 439 -387 -147 -241 -559 -118 -61 598 196 159 -71 -130 -127 -618 -49 -221 -162 164 235 446 3 -116 343 226 24 -264 113 -725 -5 468 -145 -382 -213 6 376 -99 -9 45 -15 19 -106 -647 68 -108 324 403 -746 -444 -524 60 62 89 316 77 -31 271 -340 271 -152 -461 293 297 -58 -23 134 183 -394 246 -21 165 76 -33 -316 -67 198 193 -193 -672 -54 269 -316 -248 682 -433 246 -289 -241 -859 303 -60 -152 -280 -298 186 167 -261 303 86 -99 162 -180 327 231 527 -34 -688 -150 149 443 -432 -113 126 102 -122 232 -89 61 -636 -157 -184 166 -597 -419 169 552 -392 -387 488 -82 238 186 -312 -138 241 -309 182 331 400 107 -234 196 -238 74 -27 125 20 248 -352 458 541 -187 31 245 118 -333 401 553 -94 -268 -28 135 96 150 -216 121 690 155 -141 -627 526 284 -34 -428 -88 450 379 -70 176 -864 478 312 -340 -26 120 -203 595 -96 218 366 -150 298 46 -6 -232 409 348 -111 -132 -108 -189 71 108 287 107 156 565 387 211 -28 -329 240 -196 724 -493 -423 -147 362 361 -300 -29 83 643 93 129 161 37 488 -624 92 -601 -135 -679 -626 191 -227 -129 -79 151 -92 32 246 -284 -16 737 478 830 185 43 451 -154 125 -620 541 -214 -53 252 286 -163 -86 -264 4 -256 62 366 54 165 -106 -92 344 -5 143 638 410 -454 467 -426 -215 -669 183 200 -34 -11 19 -209 717 -428 419 -290 -219 -347 -50 -286 -505 239 245 -151 6 222 336 260 -261 32 189 69 -158 483 -153 166 -359 -34 219 493 82 346 250 73 9 77 336 -323 494 28 -103 -283 -273 357 492 90 554 -1253 321 -227 163 -167 435 -195 -151 164 -67 -324 -273 -5 341 -78 105 -107 515 -75 274 163 173 257 363 -674 -429 -531 459 153 478 68 -679 352 -584 -46 526 621 -371 13 529 348 -446 -29 645 -443 3 239 -575 375 272 89 -127 -624 -148 -153 103 18 -231 -82 290 380 579 -183 195 -110 -211 189 -101 305 264 123 -569 382 -81 353 453 206 236 12 -272 -27 -434 -127 -1 416 -345 743 646 -162 264 249 459 345 61 215 58 150 19 505 272 -1098 -46 328 266 66 696 -170 68 -366 216 -371 139 322 -509 -185 -231 187 -567 -96 412 396 -6 451 -332 -235 -228 387 -79 223 -63 494 -216 494 441 -444 451 -237 374 -336 -52 76 119 -122 -375 554 -293 162 -84 198 -120 81 521 -339 -453 -154 265 108 -215 417 -25 13 222 276 684 945 226 311 261 132 -213 269 136 -239 29 69 -182 -103 930 -122 -309 -336 660 -220 147 -273 101 90 103 -373 -131 551 -138 -332 -478 -278 -331 -626 440 248 27 -290 274 197 -55 800 501 510 -234 229 -362 391 -574 -104 228 407 -46 386 260 -6 406 47 206 -44 208 -472 -23 317 343 -781 80 -671 530 -3 101 198 354 564 481 -124 267 453 333 -390 81 66 109 112 -57 393 -596 -40 -262 -74 -115 199 273 -394 196 -88 139 605 232 358 135 180 -352 341 -82 1 -183 -383 37 244 70 -183 79 134 131 -639 494 116 109 67 -278 756 23 203 339 191 -94 -534 307 -624 -109 136 31 65 5 245 251 515 -16 117 -95 -106 59 539 -300 2 234 6 -498 -96 507 136 88 37 19 15 -354 -8 20 286 135 299 610 241 -514 71 70 -326 -135 458 80 168 151 -96 -708 -215 213 -88 316 200 404 30 101 284 91 287 -122 306 51 658 434 488 492 -357 464 -78 748 60 322 -64 38 267 -188 322 -16 -158 -345 -27 11 -473 28 66 292 -643 -301 -126 428 369 48 -186 -274 -186 453 -233 981 -414 -256 87 -453 -122 177 447 914 30 211 -79 -444 -30 426 -145 -308 -220 173 180 248 214 -371 -396 70 -101 306 -494 468 254 -90 414 210 193 158 481 210 -506 78 20 405 166 374 211 -331 377 -460 -86 128 7 -216 -4 90 669 412 -182 -490 711 -195 -49 -309 -310 -490 207 603 354 -146 -160 9 -129 -204 569 81 -250 -77 183 -141 -175 281 -95 97 -79 170 534 -481 938 -154 -159 -20 -291 151 -17 -162 103 40 696 -436 232 273 295 267 -251 -519 -23 -176 -93 -210 595 -87 -707 -345 452 -249 197 456 299 8 -131 -297 380 -646 348 274 -76 160 -652 69 336 -415 -494 2 326 -170 346 -281 -81 557 -527 -443 -50 354 521 246 511 519 -175 -73 299 445 621 420 39 777 220 197 -422 41 161 278 116 -248 42 -66 -413 -225 -406 -68 499 -148 204 -300 -82 103 -334 180 -238 176 322 164 -124 546 -155 176 544 -223 -350 -46 -422 -675 352 478 318 160 253 -46 203 5 -73 -184 678 120 534 95 555 -459 93 -174 -217 364 526 -58 327 174 159 -297 41 62 153 -101 403 603 526 -65 -117 439 130 -133 9 59 -265 -331 245 -335 -606 399 -312 -595 -154 226 170 -91 -128 347 430 -283 73 530 -307 268 -500 -137 -158 -290 294 -217 -218 234 456 528 229 -19 81 358 -91 -168 253 -810 -209 -17 -412 -436 224 105 160 624 597 189 -111 -144 36 215 170 897 -300 228 -160 327 210 162 76 -3 57 -560 185 -196 -86 164 227 308 -76 -280 518 779 -185 213 312 22 -21 -728 -149 -93 366 134 -57 -22 84 235 -111 517 409 -710 -350 53 98 -148 78 286 -164 262 141 187 -322 257 71 -748 689 183 -675 557 -499 6 22 -347 344 299 -72 37 -104 286 11 -289 -39 81 -527 -235 64 442 -20 -309 120 -554 284 131 -20 326 8 143 161 538 186 -343 77 -50 379 -422 -230 -603 490 50 -207 -240 -115 -137 156 313 253 -271 -445 25 -58 227 -499 302 209 39 5 98 -49 -329 38 -117 -171 -673 -495 372 296 -509 -131 -41 354 -460 127 148 -291 -77 -772 73 -405 328 235 120 347 329 735 531 59 150 -342 -24 -370 250 -360 649 297 334 -521 -437 -158 6 171 -166 -278 512 223 208 -62 -63 549 -595 -471 -183 48 481 -391 48 251 228 167 84 79 343 -217 117 647 370 550 141 -97 53 452 276 -45 106 -10 316 83 427 -267 41 -356 416 376 64 -181 -41 -50 452 -61 -129 588 -19 787 105 108 473 305 209 349 262 -111 62 127 187 250 -535 57 134 383 22 -120 -8 -230 -52 451 640 465 410 -119 -80 66 -60 -61 -199 356 -78 -558 -285 648 -469 147 -82 396 98 -193 -110 -485 -102 -539 20 -231 -162 410 248 110 99 -266 -20 154 761 44 -31 124 589 93 126 -138 158 -453 458 -191 93 511 -47 -283 -497 -8 -206 14 -209 -399 -407 -314 -146 167 -137 -29 -190 230 -484 472 159 426 -30 45 53 2 194 212 -301 337 404 60 5 -137 492 658 -164 655 205 -99 143 351 -91 648 -59 283 305 -52 442 313 -164 162 124 360 -243 23 -660 -508 -313 75 -80 51 134 703 -406 227 107 342 355 212 -197 -236 542 196 -47 123 585 431 235 -613 -391 -140 -16 400 201 459 66 -297 -23 -725 -213 237 262 -413 199 223 -173 -182 408 -239 -412 61 442 456 247 552 -304 501 196 -186 152 50 195 -95 17 303 726 75 -138 365 145 -437 264 22 314 301 92 149 -76 -659 178 -2 -461 70 15 31 21 34 -494 -396 105 -254 -257 443 -164 14 -250 -79 70 7 -37 231 -448 119 80 325 258 254 79 -288 238 159 -50 45 -245 -119 -77 171 -180 -21 -82 39 -20 667 -22 -724 383 348 469 552 -312 -132 95 -74 -436 45 39 182 -146 -451 416 76 -142 -396 439 -26 -234 -169 -25 705 738 -273 50 362 -606 395 -43 -325 46 -464 -420 -321 -177 -138 -55 175 347 16 -647 -47 411 -394 14 128 -191 -180 -618 -241 110 170 256 -150 55 -398 460 5 23 31 -209 357 -85 103 -265 519 -286 5 93 -75 -268 456 -175 275 79 627 88 74 13 328 -116 298 -321 152 -125 194 61 -119 148 -149 333 -6 -104 253 94 -194 1069 123 2 313 -179 270 -277 -300 186 -123 238 344 654 158 -156 151 515 -239 -133 -544 -215 341 146 -199 335 -488 43 237 -134 190 267 326 -75 215 515 -51 -29 -366 -203 346 65 427 -440 815 -116 648 186 -86 174 -74 212 -336 8 301 78 114 -188 -6 338 293 -628 -583 -81 -201 317 -297 384 507 -274 196 124 453 -387 325 681 163 74 222 74 -39 -170 32 -186 89 172 -706 1118 -548 425 -39 142 -47 -19 -149 405 666 250 -451 -136 357 -41 504 254 -36 -171 311 431 169 -531 560 465 65 -184 -5 -229 453 -115 -229 -288 -288 -150 -431 298 259 575 -381 560 -668 -471 134 251 22 556 228 428 37 -370 119 -731 -44 -581 383 -128 58 2 77 293 209 -95 -87 142 -337 101 207 490 346 -210 -157 -106 11 549 -466 225 247 380 488 403 -34 36 231 39 423 -341 377 -79 68 -142 59 549 -230 -280 133 294 -132 505 -181 -289 -79 -533 243 -78 -151 -326 -88 755 690 231 -234 71 7 -118 -68 -51 -91 -354 1005 181 -432 -591 317 180 480 932 439 693 278 185 -448 -645 -385 -42 -389 -104 6 97 39 161 823 -474 -21 597 38 -118 -294 660 254 233 489 30 -687 473 -403 -436 152 679 457 323 -420 273 248 -110 -89 119 63 -561 -515 -172 560 -231 156 -33 -434 614 -684 -361 -920 276 109 217 629 329 -132 184 232 82 104 -374 370 413 552 -508 340 -162 252 -10 165 422 776 343 146 298 -325 -42 379 -375 509 615 211 872 -218 562 -474 -106 571 -66 386 314 -26 -34 255 357 196 -553 219 -365 -219 -748 104 381 225 114 -124 113 86 427 365 508 -64 -121 503 -477 417 270 -394 -288 149 -97 592 -880 225 441 382 81 -163 170 711 -54 330 232 302 -2 -144 -128 289 571 57 -227 335 -430 23 414 -56 385 -529 -473 -276 337 579 -315 336 -33 195 120 424 159 -546 -305 -463 146 375 -442 510 -26 -153 204 174 -28 110 214 257 -148 138 416 166 -26 263 -275 -86 -73 268 -175 -123 317 -172 650 -113 323 -102 224 267 145 -473 -100 544 -356 628 54 -737 -167 -141 388 -64 641 -38 94 21 516 -307 -689 -728 582 -390 194 725 579 -334 -284 11 115 211 -555 39 641 180 253 175 408 -30 -7 334 -29 192 674 -372 -509 -41 -165 605 -427 2 382 166 45 -67 34 -75 -514 123 -85 436 -398 625 -49 10 -174 674 297 318 -164 470 18 24 66 -60 66 -32 112 472 -422 755 119 170 182 -114 126 -34 178 247 400 128 195 -286 404 626 209 -176 -53 -200 -170 -73 374 92 102 94 71 369 -38 104 383 -793 -628 -160 -208 -691 576 -612 437 1176 194 283 242 -497 -266 456 80 -21 -149 353 -133 -52 71 433 420 -256 -239 93 45 587 7 -490 -845 202 75 441 808 448 84 -39 -454 -366 734 60 295 580 156 145 14 -266 94 489 -179 240 -491 174 -334 484 -144 133 303 -267 28 254 151 -447 141 -143 403 -136 -426 -60 -208 -331 -531 16 -64 54 133 154 353 -186 192 -67 179 216 -88 512 -345 2 -359 385 -7 476 675 418 463 259 -617 -760 -353 610 -1 52 -329 95 -351 233 233 625 -486 -172 343 -24 63 452 547 -54 232 204 267 -254 -303 -199 -333 103 -391 620 -516 219 -288 -156 0 464 252 -67 -191 268 284 -299 -19 88 96 -324 62 -389 316 -326 546 -228 554 284 465 7 -279 361 -228 -195 639 -310 339 46 -139 333 -269 215 243 187 -709 801 278 -147 -329 351 -369 620 528 783 -307 544 93 36 -66 -780 349 33 -113 694 309 -10 -120 -392 34 805 748 952 529 364 83 -165 202 310 941 -507 312 -111 467 349 578 65 -450 68 -18 -111 114 30 625 -519 -224 455 589 -716 564 -411 -696 -98 224 119 -459 202 -149 160 217 19 -329 90 332 212 255 -648 -76 -53 800 -468 562 -343 -193 3 600 -813 384 -251 -347 205 265 73 -561 -195 337 17 433 -78 184 542 -62 257 156 318 173 574 468 23 -464 123 -385 800 -332 102 540 605 191 -303 292 -174 -21 10 197 213 -228 232 586 -633 -260 187 -599 365 -318 632 -359 -529 161 -144 -65 -122 784 -239 -108 249 222 -17 -198 38 239 482 314 -388 -54 -508 137 312 -429 -573 -78 -101 610 590 -727 -25 458 104 181 162 -47 105 413 379 262 118 307 41 -216 -50 -104 -484 157 556 436 396 38 419 -145 -98 30 -560 -79 -107 9 -131 409 149 31 -126 526 265 104 340 -133 262 521 -1073 492 310 250 232 557 105 -28 657 153 71 140 84 -93 168 -365 -345 201 221 599 -356 341 176 118 374 -177 -565 -272 394 258 -636 -384 -94 398 -754 -184 -202 -367 -18 92 389 -227 -217 121 180 -436 -198 -350 387 -31 189 -17 86 216 400 -140 384 -139 74 -21 515 436 -164 -128 -171 -212 -159 -53 -470 862 -260 27 182 188 371 -171 -237 -247 -337 461 -187 277 746 -599 276 464 -24 381 102 -126 462 -307 156 196 100 -130 292 -383 591 556 619 -223 -234 232 -31 -125 -15 422 -531 40 -79 82 397 -243 -504 318 -71 -383 -142 161 256 27 -272 -311 -106 -403 -71 -107 -228 217 587 286 -164 -159 184 329 238 -237 85 -287 -493 285 328 87 488 -99 -357 -367 476 12 -811 -672 53 -420 627 -116 266 112 872 391 282 291 101 -776 -152 -175 222 365 201 -70 205 271 331 70 -90 127 -146 -165 -140 495 -674 -88 421 386 634 151 362 0 792 97 -262 -17 102 181 416 -620 -213 -285 -298 450 190 -253 -95 100 281 415 410 -250 298 -69 592 -95 -124 302 -168 378 85 -384 259 -146 219 -479 269 -293 311 -85 324 95 52 -355 655 267 -551 407 416 -872 19 -270 219 126 321 -534 -23 -252 -128 397 159 184 599 -154 205 -577 -211 141 -45 26 234 49 -263 52 214 -587 169 108 220 -627 21 348 226 419 -153 -224 28 227 -55 536 -231 -136 94 -212 -6 109 160 -437 81 116 -54 -26 216 289 -55 -96 -465 -151 508 26 513 411 -82 335 -482 331 112 -411 -631 43 509 -242 18 554 472 509 232 460 -652 -291 154 47 40 195 -236 585 -518 -19 207 -256 200 -108 0 -93 -373 -113 654 170 -27 238 -243 186 664 779 -242 -269 562 -199 790 960 -406 192 -627 51 -239 -259 -263 549 -232 -342 757 -667 209 139 491 466 -110 118 -165 95 305 348 -261 62 -772 -114 -87 -387 359 -136 185 -40 16 630 -475 -162 179 -45 65 18 -126 281 -106 32 722 55 -228 353 454 -61 -17 -545 236 92 -15 844 -209 -274 163 258 511 243 350 34 120 857 -20 293 313 583 331 -403 363 -197 409 258 -351 157 233 202 -304 -30 266 399 -40 345 -396 411 223 502 -83 259 220 -38 114 -612 573 303 295 -16 250 418 477 347 27 -303 -45 -85 627 -512 -183 -181 -43 -372 -241 -338 414 308 -200 13 21 291 -12 258 -147 -361 80 -305 547 -56 -299 221 143 -113 124 308 293 -211 -395 261 -171 315 189 294 -26 535 78 52 -659 -400 -157 609 487 -34 160 535 -144 -48 -263 529 515 18 -26 -101 246 271 -141 307 -5 377 -26 341 -405 -12 208 285 -344 315 572 -89 258 109 -69 -686 -736 -342 51 -1 178 183 -238 742 505 312 -558 149 204 15 277 182 13 -152 -342 194 408 333 -173 -12 65 197 -189 -281 259 -114 -547 499 -295 310 290 11 -220 -390 -486 314 -41 22 498 -781 32 -889 -459 364 -30 -646 47 176 -100 534 -133 -300 -177 -387 -339 90 286 -383 -391 -195 41 122 511 -136 255 283 610 -187 187 59 316 145 87 -254 -367 -129 256 -89 -425 -607 -555 663 757 -171 -433 -779 517 -12 -529 -12 396 -145 -115 -38 158 -40 224 -92 -498 -42 62 -126 -563 -285 528 240 46 342 -193 298 -219 -437 -262 -108 -579 -205 -488 -353 -557 -460 -409 290 -414 18 -144 -10 718 -456 4 71 292 244 -278 -197 -570 180 58 -285 248 -228 -33 -570 -156 -449 143 -268 613 509 205 90 27 431 60 62 -484 -33 -370 -218 -291 -17 -185 120 51 577 -131 12 -178 477 275 -852 -32 -59 -218 310 -490 -54 -599 311 189 22 679 365 -191 94 -429 -26 -237 366 183 72 143 -157 125 297 -67 28 -542 267 321 106 -198 43 -165 -52 -213 -293 -246 -430 -381 230 -514 209 -12 136 -244 -324 -273 456 -386 -136 202 6 -488 295 37 217 -696 -106 344 -242 -251 23 51 59 -479 -464 295 -125 193 -324 -100 -442 -229 -180 214 -172 -80 26 90 497 177 221 -507 -361 6 -77 2 -41 -125 -592 -367 -33 418 152 -424 -11 650 106 278 474 -168 -23 258 219 -654 -422 545 66 77 285 500 -277 -539 -403 -346 -191 -48 -9 -58 18 15 360 -42 -188 -107 231 497 147 338 -269 416 -219 -466 -331 -184 -526 -317 -528 -178 -280 -697 -164 -56 -144 -417 -409 -174 297 -303 -143 259 329 -354 -84 19 -494 19 -639 -405 193 217 -223 302 446 -409 -215 -89 -661 -220 330 -247 -170 -321 -192 -15 -79 -187 -65 62 -289 -165 306 -601 152 -173 -355 -26 213 72 -342 -243 156 5 8 -285 -24 -230 56 -54 -115 67 10 -13 431 -381 46 -441 -646 -184 168 -303 -1159 -634 407 194 109 -583 238 -58 -75 -877 -333 -125 124 -147 -141 -152 -417 8 -89 58 -136 220 -550 -81 -373 -382 -2 375 40 -279 193 -411 -253 -574 -413 127 -180 -382 -115 87 308 -21 -205 657 -407 -73 -262 -917 -237 467 -566 166 -63 49 -95 -304 -168 102 -94 -282 -413 -168 412 -70 391 -738 687 4 468 271 -202 -297 -292 345 270 -520 161 -84 -176 664 -145 -183 553 -324 161 383 272 -189 234 70 -462 15 315 426 294 464 67 81 181 -207 0 -51 -9 39 -104 156 69 388 28 649 -59 -154 395 -320 138 476 172 -256 46 -63 -73 46 457 101 -416 186 -168 370 281 -194 137 -379 76 -59 -25 204 -327 73 180 425 -405 502 -89 -874 -216 -701 115 924 574 -325 88 -183 -19 273 246 -233 215 -254 -17 213 624 -433 417 -531 -546 237 -97 -215 -312 -60 -49 77 -86 -58 295 469 -188 87 -37 -403 684 152 -60 -45 -2 -475 123 138 -30 93 118 -330 -127 -29 54 -228 365 33 400 112 249 62 311 -433 324 -64 40 -30 728 -322 4 -78 -109 739 264 -51 55 178 -858 414 545 328 -152 -588 574 -102 690 -47 -225 -32 -520 198 -243 -311 -225 88 733 453 64 327 -248 54 692 -39 774 -526 197 298 80 455 -339 302 -186 112 687 -190 -183 -16 383 127 304 -81 47 -536 -199 305 -437 -270 -513 74 55 231 200 577 -309 232 273 -142 -259 -10 -133 320 -53 522 267 -18 52 -134 -165 -64 -122 -4 18 2 809 493 -158 -30 -48 369 653 188 433 370 13 -439 -25 213 379 -44 -118 501 295 -335 -181 -141 1 -163 -13 231 2 599 231 -191 312 285 441 -702 -50 305 58 200 -375 -20 -582 301 -109 162 316 -282 754 216 -59 39 -425 196 609 -2 252 291 250 29 303 -184 306 -85 -451 443 -176 744 -27 -9 359 -81 -4 -188 343 733 -203 190 61 -44 107 -51 347 140 -172 -202 -117 485 114 388 -6 138 -13 62 575 -342 238 -159 170 -244 -263 -300 -67 159 38 256 30 -480 139 -23 -334 -240 -181 329 407 -323 711 -210 486 -555 748 486 130 -311 -155 70 -93 -68 -361 -473 -252 92 -355 15 617 375 -718 -599 -485 7 -90 -348 162 -161 670 -278 142 492 -43 -243 -348 99 -274 -241 -471 -103 59 -301 -1 -10 56 1192 -294 -266 259 -253 257 -238 -21 -85 239 -33 -45 449 155 -299 -91 167 852 125 -113 159 555 -201 -41 298 -185 338 85 -253 120 -494 70 -791 196 -59 -136 -27 82 759 369 715 -241 92 -377 -97 -59 -401 -720 2 560 171 57 48 -14 213 259 -179 -207 194 404 304 98 87 81 -51 52 196 168 -182 -67 -61 -142 281 -73 -352 271 321 231 -520 103 -146 138 144 -4 463 247 513 -633 315 -26 -57 600 -265 -724 -347 756 139 372 -111 -405 291 -110 118 -109 66 454 197 306 221 414 -361 85 188 855 -463 87 128 399 -477 -110 220 151 -55 -580 107 -299 -324 69 -52 -563 -181 -679 -87 -70 -57 493 119 -83 60 -36 392 -54 380 211 343 -321 512 149 -426 -186 142 522 231 -212 -210 -322 -65 191 -246 468 -448 336 321 400 107 -320 -54 -235 103 102 -590 -476 122 571 116 -355 137 -236 491 -276 27 -253 278 533 -44 231 -270 338 409 -485 431 -147 215 -738 76 -32 516 77 -59 -560 15 545 420 515 -190 179 257 -340 -57 781 -581 -171 184 -107 112 -408 90 -87 279 428 -463 178 -463 110 597 -498 -237 -54 168 -689 382 -291 233 -300 693 84 273 29 357 93 449 325 -206 -151 -77 -187 -516 -334 34 -103 112 288 -14 215 -32 761 -559 25 -444 334 -436 463 500 101 -118 51 -318 -553 -100 -46 -601 -31 38 593 -329 -121 -25 -263 159 -466 411 -149 808 168 298 363 228 -102 726 -366 -283 -155 -176 218 -130 439 -448 184 479 -394 121 -28 10 229 -623 260 75 91 478 -46 217 -96 181 -729 -47 156 -512 -13 -328 -91 -116 -120 245 351 41 357 -104 347 -36 -121 -513 146 44 -249 -28 -80 283 -126 -366 147 1088 -167 -157 274 129 57 -477 -892 -14 -98 -115 -415 -209 352 -90 -95 -178 400 18 -470 -27 283 -79 -114 187 -594 -430 553 -170 13 -555 -135 -163 -37 -221 104 167 -477 -471 -57 17 -340 82 -276 723 93 143 -411 -126 -532 306 30 72 -461 -105 -278 820 -178 57 -641 -296 382 -52 373 -316 -178 302 -514 138 518 178 -392 122 281 -291 303 56 8 11 77 -597 -376 455 -148 -110 298 -305 -132 514 216 -189 486 102 -546 381 -288 280 681 -534 274 492 232 -622 332 -433 -132 -308 55 16 8 41 -325 162 -218 128 755 -36 -456 144 452 -104 191 436 207 -628 -45 -552 -304 484 365 -197 -238 242 726 56 -495 -196 289 235 -507 232 -14 88 -83 158 276 141 -573 -340 -276 -79 -494 -10 9 -675 -129 -39 503 752 -160 110 -471 120 350 325 225 -434 272 -339 -147 -204 -215 100 387 -277 457 -270 -7 -190 -281 5 -363 284 116 239 -43 -669 -151 -384 163 -711 31 -54 -136 -212 -335 -84 -104 15 -231 9 -64 -363 233 -34 102 122 -246 249 -214 -332 -27 37 -330 33 -100 -34 -382 183 509 -326 -741 124 -163 178 22 233 -160 7 -36 130 255 -329 79 186 -82 -155 74 -688 -129 103 229 326 -292 25 136 -220 -445 -477 -254 206 366 -381 90 -133 16 -607 95 468 -625 122 -9 243 461 452 -401 -896 40 -396 160 1 -597 -274 -31 -564 235 -221 -170 514 -305 -553 495 -511 -251 -124 356 -570 120 -145 165 -244 452 -450 -529 104 -148 602 -11 -485 -60 599 -374 -274 100 -71 -33 356 252 7 79 -66 121 127 -614 -150 275 59 -254 118 11 -44 279 560 -409 -126 -47 -125 -353 342 -399 112 53 196 -16 6 270 -120 661 -34 162 255 -396 -52 -373 612 -565 -209 -195 233 -505 -185 420 148 -594 -9 76 252 268 419 -108 305 -184 301 199 -436 328 -78 -179 226 163 -91 -93 199 -137 -99 -213 -276 -55 -401 193 -159 31 -127 386 255 215 -267 46 514 -478 -12 -208 -220 -466 389 -74 372 -237 41 69 129 -91 34 177 -63 334 -200 -266 390 -711 171 247 -327 190 -277 493 -162 431 -379 -137 -45 29 138 173 -505 -85 -668 310 -137 287 -688 237 624 47 386 -41 -75 -280 218 -569 -131 388 176 46 179 413 -475 207 325 427 -237 88 605 -351 -30 -320 -99 528 -840 -238 313 578 316 -418 -47 442 272 483 -64 191 189 -833 604 658 374 -123 -51 -109 59 63 9 22 60 206 373 -165 562 645 387 220 417 -745 -119 394 702 136 -328 505 84 232 -38 22 -473 674 261 162 -265 -132 138 265 56 314 -319 271 45 1 186 -177 448 -288 -151 -521 -354 880 -180 153 -222 761 -519 545 65 60 317 -166 738 -531 515 225 526 30 202 343 71 415 186 33 177 -175 -224 101 202 -283 -104 -184 203 473 191 -861 277 317 -238 480 -287 -168 26 -286 599 -121 -198 -246 -278 -69 -519 20 468 -106 98 57 -287 18 408 163 254 405 40 -217 335 238 -407 82 -134 -354 928 123 124 334 -226 508 -150 339 318 453 541 453 -275 -38 -443 234 -237 -317 -235 550 23 119 -496 917 292 280 268 97 160 363 -93 -19 585 -193 734 -874 116 118 226 -285 -682 108 457 415 -203 -212 78 114 102 121 797 112 1 -162 -368 197 303 -92 129 -108 263 -223 270 21 416 769 -383 184 144 338 126 -429 44 426 -336 27 -233 465 -126 170 -112 955 357 -111 159 145 68 17 -604 468 226 371 -378 -215 263 640 719 112 -3 -158 -175 187 -22 -258 -542 398 480 35 429 79 428 335 -155 238 -236 211 -30 -133 286 -240 368 39 -649 113 105 131 -132 235 287 38 -497 454 -235 -5 -344 584 -502 -159 170 133 -97 82 -191 -380 -154 -315 105 -15 -382 -163 426 608 -474 157 470 152 81 79 554 -79 993 431 -381 -358 -595 314 1063 -254 514 120 399 -613 285 389 176 138 462 50 -662 -221 342 73 -111 28 41 -243 271 -152 34 398 -139 200 25 27 -45 270 -184 870 -592 -481 -328 -44 -321 -694 327 -109 -399 -32 8 294 -580 -573 274 -350 575 441 339 808 227 438 -393 -33 9 -400 -17 -151 -449 -57 15 233 176 -76 -301 -523 449 375 -271 -145 -33 304 -16 257 448 240 -272 86 444 405 -214 -191 -17 475 258 54 -127 -41 -449 282 -500 282 -241 38 592 560 -309 -403 -23 30 491 -89 172 80 302 67 418 180 338 446 57 -272 421 578 357 -367 105 482 265 -10 255 -327 239 36 747 23 213 243 401 346 91 -499 270 5 -145 -4 -387 -210 -115 67 -178 575 -105 -93 -112 165 -525 -394 -144 199 60 617 40 313 225 491 152 371 380 181 430 285 -580 120 304 386 -294 160 -135 466 -163 109 370 263 232 -386 249 213 181 -235 -230 29 -102 274 167 464 119 315 190 164 180 83 -10 -190 225 -19 130 -471 -42 694 124 -41 -438 87 496 -234 17 222 232 294 -99 279 118 524 -177 -24 559 404 211 -106 808 451 -26 -138 -65 -351 -25 419 -515 -119 -42 202 154 673 -96 108 -155 -102 561 141 207 -312 207 -233 266 138 -417 -251 -599 -10 310 432 405 -36 609 -8 241 579 -276 516 54 2 106 521 278 -537 563 211 -125 7 -26 217 -411 239 220 -92 -194 149 -421 313 215 123 159 631 -168 508 122 195 -65 -232 -462 255 -227 117 -41 350 243 478 436 1030 479 -196 -761 -220 -183 114 6 664 -164 -554 421 -132 -211 64 -109 -27 161 28 -51 -364 -42 232 282 -360 -239 318 220 160 -598 397 55 -258 -207 335 231 72 -5 509 -408 -583 -250 554 -22 138 -119 221 588 -633 -599 251 -64 178 -78 41 485 -340 185 -354 143 331 562 -430 -193 349 -174 -768 516 23 408 -428 -4 17 259 19 318 -95 219 -65 -91 -59 -76 -9 583 -470 -203 -570 -400 99 166 328 -9 -283 435 -27 58 -231 67 -232 219 -676 499 603 33 -205 394 208 362 -525 -365 450 170 291 -327 9 53 -97 -146 489 422 -46 -224 292 -475 501 -505 162 -567 145 430 277 272 -344 -103 36 -385 8 -240 -129 -343 163 248 -55 -205 -104 144 159 -470 -39 -414 -95 170 626 65 124 145 207 486 -246 -512 446 81 254 195 38 420 24 74 60 423 -622 -220 -209 -245 369 -46 800 -812 468 -421 207 34 -55 306 371 10 352 66 341 338 734 115 506 155 352 336 62 -834 604 341 -67 288 289 562 206 341 325 -710 646 -235 150 119 75 830 264 -2 500 255 -249 390 -447 55 318 305 170 472 -405 -230 0 270 101 -22 171 395 291 324 -478 630 733 200 -484 529 212 -365 -405 387 -339 392 275 -336 507 -338 87 -75 -342 314 -486 19 286 216 244 -92 -495 -194 -260 -465 258 -259 -136 -420 -660 309 -259 -94 85 -72 -54 7 -444 174 -206 -183 -174 407 536 53 -423 -134 -71 14 -296 91 318 -667 127 52 -38 -393 332 315 195 158 -791 209 -66 187 -121 -298 586 -408 -338 -423 120 -2 539 -99 7 10 -22 -162 -71 339 752 741 -499 -88 -56 17 398 -59 182 -173 60 -85 208 -326 399 -18 21 -319 -131 -232 -196 395 -127 -21 15 449 -320 314 186 89 434 440 -50 -85 81 -324 -80 -423 252 -75 622 -278 -159 270 -105 -49 477 342 -212 -117 491 175 -145 98 -178 26 -561 -142 -217 -327 -214 418 208 113 102 -65 -867 125 -498 -447 -143 -214 -39 -314 168 -508 314 -282 209 168 -721 164 845 80 -51 -556 230 74 33 334 230 443 -57 -474 111 -333 144 39 138 -209 -535 270 338 426 211 32 580 -657 -125 -528 244 76 159 -272 -271 250 640 1 223 257 -472 -319 -105 -217 -40 476 -589 -35 -224 -269 -710 150 251 -462 -127 -442 343 415 513 -8 -391 -207 -4 -159 -280 -409 -33 92 200 -27 -249 -214 20 -157 -206 518 -638 -441 -224 297 -464 -165 -46 76 322 -123 564 221 363 81 -135 121 458 -46 -46 430 532 141 35 454 1 239 -584 404 -90 208 272 -80 65 -73 -1000 341 -102 143 -341 115 -200 424 -510 66 -302 5 496 -82 143 -43 368 152 132 223 219 -543 565 826 333 -318 286 494 -543 -165 -155 114 304 182 -208 -592 164 311 263 -76 -291 -258 115 633 333 -204 178 508 -512 356 -166 -82 522 -147 -376 -128 683 -447 -155 751 1032 153 119 -87 -598 -97 434 8 -155 -69 -250 21 -212 -54 141 128 701 -136 358 -122 -117 -168 -186 86 -326 90 62 -343 -9 -267 -84 484 -203 119 553 519 318 -374 -163 -278 186 245 533 532 -268 -20 371 70 222 -80 326 495 235 182 -58 416 192 350 -446 243 -232 323 -274 -444 185 -224 414 461 -190 -156 -590 543 -61 299 -346 -568 -285 20 112 -443 129 218 -17 54 -24 -140 415 -178 568 59 -154 63 -73 -185 415 -428 211 -434 -20 271 -118 187 -264 -191 206 -261 -438 -517 -164 -607 359 486 163 -53 308 -334 568 48 260 -214 -689 -12 -264 174 526 40 175 -374 125 168 -43 -1 7 493 117 -397 52 -88 -72 -14 59 -290 477 292 -24 206 979 314 -261 -301 -35 -179 -185 350 -25 229 -356 360 -614 -142 -633 256 179 56 -361 370 -54 249 -291 -845 -196 -228 -37 45 -84 52 -10 506 46 -225 103 -244 537 -432 47 -123 -229 143 -357 199 -266 188 165 -400 -322 508 239 -312 216 467 -212 -495 46 26 -285 64 -2 201 -23 -249 206 -115 595 -141 -140 178 407 411 -684 -244 177 -529 175 -402 988 352 894 61 25 368 249 -713 240 106 -268 385 -287 -1 428 -826 -647 154 208 328 -66 -729 230 202 -220 -79 617 -179 -406 542 -143 -34 -168 -354 -349 479 -1035 -106 609 354 79 361 196 60 53 -481 112 59 -626 239 -408 -335 105 363 367 146 105 -54 -173 -456 386 118 403 513 190 -91 -259 20 302 -37 -240 278 351 -511 -177 316 -51 533 230 127 -619 218 -281 385 -26 -140 85 167 824 402 -30 -39 -414 -189 -16 -870 -453 476 290 -273 -586 -420 -135 175 -417 538 475 23 25 -302 -219 344 -381 -179 428 164 -765 52 -108 -544 -106 -254 -73 -482 -71 -330 -479 -160 199 -179 273 -433 582 549 -295 -70 -246 -497 -251 -118 -382 -50 -245 23 219 -358 165 -528 184 -312 545 -105 21 832 -403 -123 -16 -192 863 -562 1 -331 -495 -204 -552 -289 359 80 56 -67 -178 336 811 176 -64 -122 -155 -304 313 -91 336 -263 43 52 -238 594 -41 -537 171 209 173 130 -463 73 103 121 156 -82 175 176 -164 -66 315 82 38 -50 257 -371 371 64 75 -10 111 -33 -378 404 44 -17 122 -159 738 -267 37 -412 112 33 -35 84 -314 202 -20 -20 -410 -59 -606 -27 78 -661 31 226 203 -46 -125 -10 -480 240 -376 404 70 -660 354 396 -298 133 -6 -23 -232 183 -341 98 110 -477 -672 -2 -51 -506 27 701 316 -44 297 263 57 207 -278 -199 -20 317 1 -772 -371 -120 -38 433 -145 277 609 -430 -9 701 28 505 -10 -10 1 -10 -6 3 -7 5 -2 -10 8 9 -8 9 1 3 8 -5 4 6 5 -8 -8 0 5 3 9 8 -8 -6 5 -7 6 -4 5 3 9 8 -10 -3 0 8 9 2 7 0 -4 -3 5 2 6 -8 -4 0 -6 -9 -7 -7 1 8 -3 -4 3 -6 2 -2 7 2 -4 7 1 -2 -3 0 -9 6 2 9 -6 9 1 2 -9 -1 -8 -5 0 7 -10 4 5 -10 -10 -2 6 3 6 -5 7 4 4 -2 -7 -9 1 -6 7 -7 5 3 5 8 -5 6 -3 9 4 -1 7 -4 -7 2 -4 -6 -9 -8 -1 -1 -3 -4 -6 -9 -4 9 -8 7 5 2 3 0 7 -2 -2 -7 6 5 -8 -8 6 9 -1 -10 -6 -3 6 7 0 7 -4 -1 -7 -8 1 -9 -9 -5 1 -2 -1 -6 8 -3 -6 -4 -8 2 3 6 5 0 -2 6 -8 2 -7 0 -1 3 -3 -3 -7 -8 -8 -4 -7 5 -7 4 -6 -5 0 -8 2 4 -9 4 9 -4 -8 4 -2 0 0 0 -8 3 2 -7 9 9 -7 4 -9 -5 2 7 -10 5 -7 -6 -10 4 9 -6 -10 -10 0 9 8 3 -5 -3 -7 5 -1 8 -9 -8 3 -10 -9 6 -4 5 -9 8 -6 -8 -5 -3 8 8 3 7 -8 4 -1 -5 -5 -10 8 1 -3 3 8 6 1 9 8 7 1 2 3 7 9 5 -3 -7 -1 3 0 9 1 -6 -1 -5 0 0 0 -3 0 -10 0 7 -4 -1 -4 7 -10 6 -4 -6 -10 -10 3 9 -3 -9 -8 6 -4 -5 -3 -1 -9 6 -4 1 9 -1 0 -1 -1 -9 9 5 -8 -5 -5 -8 3 1 8 4 -7 2 -5 0 -5 -2 8 -7 -5 -4 2 -4 4 0 -1 3 9 1 5 -9 2 4 -2 4 1 -5 -1 -6 -1 -3 8 2 1 6 -7 6 -6 3 1 -9 1 -7 9 -4 4 -10 1 -5 1 -4 -4 6 2 -3 0 -7 2 1 -10 -9 1 0 -4 -8 -4 -1 1 -8 4 -8 -7 -4 8 4 -6 -6 4 5 -1 8 4 -2 4 -4 5 6 -8 -3 -10 -8 -9 1 -6 -3 3 1 -2 -6 3 -8 9 -1 -2 7 -7 2 -9 0 -10 0 -10 4 8 -4 2 3 -8 -4 3 4 -10 4 -5 -5 -9 9 6 -1 5 -9 1 4 0 2 1 -4 -6 2 -2 6 5 -2 -8 3 4 5 9 -2 3 2 -7 4 -4 -10 9 -3 9 -3 6 -3 -2 9 -9 1 1 3 7 -2 7 7 -6 2 7 -3 8 1 4 7 1 -3 -1 -4 -9 -3 -3 2 -4 8 9 -8 -5 -10 3 -3 1 -5 2 -10 -5 -1 7 -9 4 4 -2 2 7 4 -9 -10 4 -8 9 -3 -1 -4 -10 5 -6 1 -1 -8 1 4 -1 -8 1 3 4 6 4 1 8 -2 7 8 2 -4 -5 3 9 9 -3 8 -4 6 6 -4 -7 2 8 -6 4 -1 9 5 -6 0 -2 8 -3 5 -8 7 5 1 5 -2 0 -10 3 -1 1 -9 9 8 -1 5 6 -5 9 4 -1 4 6 -10 -9 2 1 -8 -8 0 7 -6 -3 2 -2 4 2 8 -3 8 9 8 1 0 -2 2 -5 -5 7 6 9 9 -8 -3 9 -6 1 -8 -4 4 2 5 0 1 9 0 -4 2 -2 -5 0 9 5 -9 -1 -6 3 -4 -1 -7 -7 -10 4 -5 -10 3 -9 1 6 9 7 -10 4 -2 2 4 8 0 8 9 -3 -2 0 -8 -9 -10 -4 -4 8 5 -9 3 -2 5 1 -2 -9 2 1 7 -6 -1 -1 8 7 -9 -6 -3 -7 -8 -4 0 -8 7 3 5 -1 1 4 9 9 5 3 -3 -7 6 -3 -6 -2 8 3 -6 -3 -8 -7 -6 6 9 -6 1 4 -8 -8 -2 1 -3 -6 -10 8 0 2 -1 7 -5 6 -10 3 -7 -6 -9 -8 -1 8 -1 -6 3 -4 -10 2 -8 -7 -4 -6 -5 -3 6 -6 1 -2 5 3 -10 -6 0 7 -9 1 0 6 -3 -6 8 -1 -8 -10 3 5 8 -5 9 -10 -2 8 -6 -4 -5 2 0 -2 -9 -5 -9 3 -8 1 -7 -7 4 -5 1 -8 -1 -8 1 -7 -8 6 0 2 -9 -8 -6 -1 -10 -10 5 7 3 8 -5 -4 5 -4 1 7 -1 4 -10 -6 -10 -6 -4 -9 -4 -1 7 -2 -5 -3 2 8 -9 6 -3 -9 6 5 8 -9 3 5 -3 -2 -9 9 -4 1 -5 8 -3 -5 -8 -5 -3 -2 4 6 -2 1 -7 2 -9 -5 -2 -2 8 7 5 -1 8 -10 -6 -4 -1 8 7 -3 -9 -8 7 -2 -10 2 3 9 2 9 5 3 -8 0 -5 -7 -3 4 -7 8 1 9 -3 -9 9 -7 9 -10 -9 6 9 -8 1 -1 0 1 -9 5 -8 3 4 7 -4 -2 9 -6 1 -3 8 -3 -5 -9 -4 -6 -8 7 -3 4 0 -1 0 -9 -7 3 0 -4 6 -7 -9 8 -1 -2 5 5 6 -3 9 -10 4 -1 -3 1 -8 3 5 7 -8 -8 1 -6 1 3 -4 5 -3 -2 -9 -7 2 4 4 -9 -8 -9 -2 9 -2 -10 9 -8 -9 8 3 -6 -7 -2 -9 -5 1 -6 -8 4 7 -10 -9 6 -2 4 -10 -10 -1 4 3 1 5 -8 -8 -6 4 3 8 5 1 -6 9 4 2 2 2 5 6 -4 -8 -4 -4 -7 -8 4 0 4 -3 9 -10 -10 -8 -2 4 7 -6 -2 -8 -8 -6 -4 -4 5 2 1 -10 -6 8 -2 0 2 4 -2 6 -1 -7 8 -7 -8 7 6 -8 1 -6 -1 -2 -2 7 1 -8 3 7 -9 -9 -1 -6 -9 -4 -8 -1 -2 5 6 7 -7 7 2 -9 -10 4 0 6 -2 -9 2 7 0 -10 -3 3 5 2 -8 6 3 -7 -10 -4 -1 4 -2 0 -1 6 9 -6 3 1 7 -5 7 -3 4 -5 -9 -4 -7 -7 9 -8 6 4 4 0 -8 -10 3 -8 -4 5 -2 -4 -5 8 -8 -6 4 5 -3 -6 -9 -6 1 -3 -1 -6 3 -6 -3 2 8 -7 8 3 -5 -10 -5 9 4 -7 4 -7 0 9 3 2 5 -3 -10 -8 1 3 8 5 -10 9 9 3 6 9 8 4 4 6 9 -10 -1 -6 9 -7 -2 3 8 0 -6 1 4 9 1 4 3 4 9 1 -9 9 -8 -9 -5 8 2 -7 -5 -4 1 -6 -4 2 -9 -5 -2 -9 0 -4 1 4 8 -5 3 -1 2 8 5 1 -9 7 1 -6 0 -2 4 -8 1 9 -2 4 -6 5 9 7 -10 -3 8 1 3 -1 7 1 -4 1 2 8 -9 -2 -8 -7 -5 -5 9 5 3 3 7 6 3 7 -8 -1 2 -9 -4 -5 -2 -6 -2 -8 -5 -5 -5 -7 -2 0 4 0 8 6 -5 5 -9 -6 -8 -4 -1 1 -8 -8 -2 -6 -7 3 -4 -1 8 4 -5 8 -2 -8 5 4 -4 -6 -6 -10 -4 4 -2 1 -9 -9 -3 5 -3 6 8 -1 1 -4 -5 4 1 1 6 -9 8 3 9 -4 -2 5 2 4 1 -2 -4 7 -8 -4 -10 5 -3 9 0 4 5 -2 5 -4 -3 2 3 8 6 -9 -10 4 4 1 2 -8 8 7 -2 -1 -5 -4 8 -10 2 8 5 9 7 -4 -5 -5 -4 2 -7 -5 7 6 -6 3 -1 6 9 -6 9 -7 8 8 -10 9 -3 -4 -5 8 -4 0 -2 3 -9 8 1 9 -7 8 -7 8 -7 -10 5 9 -5 6 -3 -6 2 -3 -10 1 7 -10 -8 6 8 -3 4 6 -1 -7 0 1 -9 -9 0 6 1 3 4 -3 4 -9 -4 9 8 -4 6 0 -5 6 3 -8 -2 5 8 9 5 3 5 -6 -2 7 5 -9 1 7 7 -8 1 1 -1 7 3 -2 -2 -7 -4 6 3 1 2 -3 3 3 4 1 2 -1 6 9 -4 6 7 -9 7 -10 9 4 -8 -8 8 -6 9 1 -6 9 -4 0 6 9 3 -10 8 -4 3 3 -1 7 4 8 -1 -10 4 8 4 -6 8 -5 8 2 -3 -2 -2 8 1 -6 -1 7 -4 -5 7 9 -4 5 -5 1 -10 -3 -9 5 -5 0 -3 1 -10 -9 5 8 -4 -4 -8 -5 -4 1 5 8 5 -5 5 -8 0 -6 -9 -2 -10 9 2 2 8 3 9 -7 5 -3 -4 5 -2 4 -5 -3 2 -3 2 8 8 -10 6 -4 -5 -6 -10 -3 -2 3 6 -10 -6 -2 3 -8 3 2 -5 -10 1 -6 5 -10 8 2 9 -8 9 -7 -10 0 -7 -1 6 -2 3 -2 6 3 -9 -6 4 -4 -6 9 -2 -1 -7 -4 -1 5 -8 6 -3 2 -2 -4 4 -3 -1 -4 7 3 -3 -5 3 2 -5 -9 -4 -3 7 -10 -5 -9 1 -5 0 4 -7 9 -1 -5 5 6 -1 5 4 -7 -7 -6 -8 2 -1 -1 0 4 4 5 6 -10 4 3 2 1 -3 -7 7 7 7 2 -1 -3 8 6 5 -3 2 0 -7 -3 -4 7 9 5 -4 -9 -9 -10 -1 7 2 -7 -7 -6 -3 -8 9 6 1 7 -2 -10 6 8 -1 1 8 3 -9 3 -10 -3 0 1 4 -2 3 6 -1 4 -5 3 -1 -10 8 6 -8 7 2 -4 -4 -9 8 -8 1 -3 -4 -1 -10 9 -8 2 9 2 -6 -5 -9 -1 -9 -8 -7 9 -3 -6 9 -5 -9 4 5 3 -10 3 -4 8 -2 0 8 4 9 0 -5 4 -7 -6 8 9 0 1 -10 -7 3 5 -8 -9 9 4 8 -10 -10 -5 -4 -10 1 -6 0 9 4 -2 -5 -4 9 0 -10 4 5 0 -5 -5 -8 -5 -10 -3 2 -7 -10 1 -1 1 -6 -1 -2 -8 -9 9 -4 1 8 3 2 -7 1 -7 -4 -7 7 -9 3 4 8 5 1 8 5 -7 3 5 -4 -8 -4 0 -7 5 -6 -6 -4 -7 6 7 6 -2 2 -3 1 8 -8 -10 9 5 -4 -1 -7 7 -10 8 -10 -5 -5 -4 -2 -6 -1 1 1 3 6 7 -2 -6 4 -6 -6 -3 -7 -3 -5 -5 -3 7 3 3 8 6 0 8 -4 -8 -6 1 -10 -6 5 -1 -3 8 5 5 6 -7 9 -8 -10 -7 -1 5 0 -3 -9 -1 6 -4 4 -4 -8 6 7 -10 0 -9 1 1 7 9 -10 6 7 -3 2 3 -7 -7 6 -7 -3 7 8 -1 6 1 1 2 7 7 1 1 -4 -2 1 6 -9 -7 -3 8 4 -10 4 1 9 8 7 -8 -8 -5 -5 -9 4 6 -8 1 -3 3 5 -5 -7 -4 -2 -1 4 -10 -5 5 5 3 -5 -1 -5 2 2 -6 0 -9 -3 -6 -4 -6 -5 3 -10 -2 6 -2 3 1 -5 6 0 -5 -5 6 -5 1 -6 -10 6 -9 -9 -9 3 4 7 6 5 -6 -10 4 -9 -4 -3 -9 -4 -7 -9 9 -4 8 6 -2 -6 -9 7 -1 -6 -9 -8 -10 4 -7 3 -10 -1 1 6 -5 -3 -2 9 -10 -4 8 -8 2 -9 5 -6 -3 4 -10 -2 0 3 -5 1 8 8 3 0 2 -1 -6 2 8 -3 -10 -7 -4 -1 4 9 -3 2 -9 -10 -5 -2 6 -5 -8 6 3 2 -1 8 -6 9 6 -1 0 -10 8 -4 3 7 -5 3 2 -7 4 9 -8 -8 -7 5 4 -1 -6 0 4 -4 -4 9 1 -3 -1 -3 9 7 -2 -1 7 -3 -3 0 6 2 6 -10 -3 0 9 0 2 5 -5 8 -6 -1 -2 0 -2 -4 -9 1 -4 0 0 -5 -3 8 -4 -6 -5 3 5 3 7 -7 -4 -6 3 7 4 8 2 2 6 6 3 7 8 -9 -7 9 -6 -1 -9 4 -4 -2 3 2 3 0 7 -10 -6 4 5 0 1 -2 -3 7 8 2 -1 5 -10 5 -6 9 6 -3 0 -9 -1 2 -3 -3 2 -10 -10 7 1 -1 -1 -3 6 -6 -1 -3 3 -2 6 -7 2 -4 8 3 -9 4 2 -1 -8 4 -8 -7 8 0 0 1 -8 -8 -2 -5 2 0 -6 -2 4 -5 -3 9 -4 -7 -7 8 -9 3 1 4 -2 5 6 -8 0 8 -5 -10 -10 -3 1 5 0 2 -10 4 -8 7 4 -2 -8 -9 -2 -10 6 -7 9 8 6 0 -6 -6 8 -10 8 -10 9 -7 -10 1 -7 -6 -4 -5 -2 9 9 -8 -2 -5 0 -8 8 0 -7 4 3 -8 -6 0 -6 -1 -4 4 -1 -5 4 -10 -10 5 2 -7 1 0 -10 9 -9 1 -9 -1 6 -7 -6 4 4 -3 -9 -3 -9 7 -1 7 -4 -2 2 -2 -5 -4 -2 7 3 2 -9 -6 5 3 5 -2 -5 -2 0 -9 2 4 -2 8 -9 -1 7 4 -4 9 1 -5 -3 -7 3 2 0 3 -1 5 8 -8 -10 -5 -2 -3 3 3 6 -7 4 -10 -1 4 8 -8 -7 5 6 -8 4 -2 9 3 1 2 7 3 7 9 -1 -3 -9 -9 2 -1 -2 -4 4 6 -9 -1 6 1 -7 4 3 9 -8 -8 3 -2 0 2 4 3 6 1 -3 3 0 6 3 -6 -1 -5 -5 7 -7 -10 4 7 -9 -8 -10 6 -1 -5 5 1 -3 -10 1 -1 2 -5 -7 -2 -1 -8 4 9 0 -3 5 9 -6 -9 6 -10 3 -8 7 4 -5 7 0 4 4 8 7 -8 0 -10 1 -7 8 -4 -7 -3 -2 -1 -4 8 -2 -8 7 -5 5 -4 -5 -2 -10 -8 -8 -5 1 -6 1 -5 4 -10 9 -5 -9 -7 -10 1 -1 -7 8 0 -5 6 -2 3 8 8 8 -5 -6 -7 3 -6 7 -3 -8 -10 2 -5 8 8 8 7 -7 1 2 -7 -8 -8 9 -10 2 -6 6 2 7 -3 0 -2 2 4 -7 8 1 -9 -5 -5 -9 -1 -8 9 -2 -10 -1 1 1 -9 -3 -5 5 8 -5 -3 -8 4 -10 1 -9 -8 9 3 -1 -7 1 -10 6 -1 7 7 8 1 -1 -4 2 8 0 5 1 -1 -9 -3 -3 8 -4 -1 2 8 -10 3 -9 2 9 0 -3 -8 -8 -7 1 9 2 -8 0 3 -2 4 -7 0 -8 5 9 -7 -8 -4 -9 -2 5 -4 -3 -2 9 -10 2 0 0 9 3 2 4 6 -7 8 8 -5 2 9 2 5 -1 4 0 -1 -1 -6 5 -8 -5 -7 -2 2 1 -2 -6 5 8 4 -4 -7 8 -10 -10 3 8 0 8 -8 -1 -8 8 9 6 -2 -2 -5 -5 -7 -10 0 8 -2 4 -9 -2 8 6 -3 2 -8 -8 -8 4 4 5 -5 -5 -5 -3 4 -2 -5 3 6 -4 3 4 1 -1 4 -9 -3 -8 -3 -1 1 -5 -5 0 -1 -10 2 1 -4 -3 8 1 -6 -7 1 8 -7 -2 -6 -10 -4 7 -4 -1 -4 -10 0 4 4 -1 5 7 4 -10 -3 -7 2 2 -4 9 1 -6 -8 5 -10 3 -5 5 4 -1 5 -10 9 3 0 -5 3 2 1 -10 -8 -4 7 -2 9 7 2 1 -9 0 -8 -6 -3 -5 1 -3 0 6 -8 6 8 0 -1 7 5 9 4 -1 -7 8 -9 7 6 0 -4 5 -3 0 9 -10 -10 3 -6 -3 0 5 -4 3 -6 -9 -1 -8 -7 8 1 8 -1 7 9 3 5 -10 -8 -6 1 -2 1 0 0 0 1 1 6 -3 0 -4 -7 -1 9 9 0 -9 -9 -5 9 -6 -7 -9 3 5 -4 -1 5 -2 -5 8 -1 6 -9 9 9 2 -8 5 9 3 3 4 4 3 3 -6 -4 -4 -9 -5 -8 -6 8 6 9 -6 7 -3 -5 -8 7 4 8 8 3 -1 -8 6 -6 4 -9 8 -2 5 -7 4 1 -1 2 2 -4 5 -2 -5 1 -2 -9 -10 -3 -4 -8 -6 -10 2 5 -4 -8 7 -8 8 -7 5 -2 2 0 1 8 -9 2 0 3 9 7 -9 6 -10 -9 7 -10 -10 6 4 7 6 -3 2 -8 -9 -9 6 9 -5 1 -2 -1 3 1 9 4 -6 -1 9 5 9 3 1 9 -4 -10 2 -3 6 -4 6 3 -5 -2 -3 -4 -9 6 8 -4 9 8 5 3 -1 -4 -3 -5 -2 9 -10 -3 -6 -7 8 0 -6 0 -1 2 -1 -5 7 4 -5 -5 3 -3 3 1 -5 2 -9 3 -5 0 9 -5 -2 -3 -6 -10 4 -2 6 3 0 2 5 -10 -6 6 7 -8 1 -7 9 -6 -8 2 -3 -3 -6 -2 -10 0 0 -10 5 0 -3 1 1 4 1 9 -3 -9 1 4 3 5 1 -7 7 4 -4 6 0 -10 -10 7 -3 -5 -5 -2 -3 -3 -10 4 8 -3 -5 -9 -9 6 -10 -10 -1 1 -3 5 8 8 8 6 -6 -6 -6 4 -6 -5 1 -7 -8 -2 -7 -1 -3 -7 5 -5 1 2 8 -6 -2 8 -5 -1 -9 2 -6 -10 -8 -8 -2 8 8 -6 2 4 -1 5 8 -7 5 -9 -6 -8 7 9 -10 -2 1 0 -6 1 -1 -1 3 -8 3 7 -8 -3 2 -8 -5 0 -3 -1 7 -2 -6 -3 2 1 -2 -2 -4 -5 -2 -4 -5 1 6 0 5 7 1 -2 2 7 -5 -4 -6 -1 -1 -8 -10 -2 -7 -1 6 -10 6 -10 1 6 -1 7 4 -1 5 9 -10 -6 -9 5 3 -5 5 -5 -8 -9 -6 8 -8 3 2 4 -9 6 -7 -1 6 9 0 9 6 9 -1 0 -2 -6 -9 -10 -10 5 -2 4 -10 -7 1 4 6 5 2 9 -10 7 3 3 3 7 5 -9 -2 -5 2 -6 6 -9 -4 6 8 -10 6 8 -3 6 -6 9 -10 6 3 6 -7 -5 -3 6 4 -9 -9 -3 0 6 -10 8 -9 3 5 -1 4 -9 -5 2 3 4 -7 -10 0 -3 9 -8 5 -6 9 1 -8 8 -3 6 9 -10 -6 -1 7 6 -10 0 -1 5 -10 6 -2 7 -10 -8 1 5 4 4 -7 -4 6 0 0 -3 -9 2 -4 -10 -9 7 -9 7 9 8 3 9 -10 5 4 -10 -7 -8 0 -7 6 3 9 -7 -3 4 -1 6 -6 1 -7 -4 6 -9 8 7 1 9 4 0 7 -3 -1 8 4 5 0 7 7 -10 3 -4 4 -6 -1 3 8 0 -1 4 -9 -5 2 7 8 1 -4 -1 0 -10 9 -10 -10 -10 0 4 5 2 2 -5 -5 -5 1 9 -1 2 -6 9 -8 -4 3 5 1 -4 3 -1 7 1 1 9 2 -8 9 2 -7 -9 -4 0 4 8 -3 9 5 0 0 -6 -8 4 -7 6 2 7 2 -7 5 7 -5 -6 -2 -2 -7 -10 0 5 2 -5 -2 1 6 -8 -9 5 3 7 -4 -7 -9 -2 0 7 -5 -8 4 -1 8 -9 -4 5 -5 4 -7 -10 5 3 5 9 9 6 -8 -3 8 -6 -8 2 -9 -2 -3 4 -1 -1 1 -4 2 -5 5 -8 8 -9 7 -7 -3 -10 -6 4 -5 1 4 -6 -3 -2 -7 8 2 8 -8 -5 8 -1 -10 -3 9 1 -5 -7 -1 -10 -5 -3 3 -8 1 -9 4 -3 5 9 0 -9 6 0 0 1 -2 4 -1 -8 -10 -2 1 -10 -3 -8 -7 3 -5 2 -5 -8 -10 9 6 -7 2 0 -8 -3 -8 2 -9 8 4 1 -1 4 7 1 6 -1 9 -2 -1 8 -8 -5 1 -2 7 7 -8 -1 -2 9 -6 -10 -9 -4 9 -7 1 -10 3 -5 -7 -7 -10 3 -4 -2 -8 -5 -2 2 -7 1 -1 -3 1 -4 6 3 -2 6 2 2 -2 4 9 -3 -1 0 -10 -7 -3 -7 8 9 6 -6 -2 1 -9 6 5 6 9 -6 5 0 0 1 -6 0 9 -2 -7 -3 4 -8 5 -6 -6 -3 9 -7 -8 7 5 1 3 -7 -8 4 1 7 -8 -7 -9 8 3 -7 -1 -1 4 -9 8 7 -2 -6 1 5 -2 -3 -8 -3 0 7 6 -5 -2 -1 -10 0 5 -6 9 8 -3 -10 6 2 5 7 -8 -1 8 2 8 9 6 -9 4 -5 -2 -1 -6 1 -4 3 -2 4 4 -9 6 0 7 5 -10 6 -3 -2 -2 -8 7 0 2 -2 4 -8 -3 1 -6 3 -2 -6 4 -6 -3 -10 7 6 -4 -6 -1 -8 -4 -4 -1 -4 -8 6 -4 0 9 -7 3 -7 -7 9 -5 -8 0 -9 6 0 8 0 5 -5 -7 -6 3 -1 -2 -8 -6 4 -10 3 2 -8 -8 8 -5 -9 4 0 6 7 -1 3 -10 2 5 -2 -8 -5 8 7 0 -9 4 -6 -7 -8 8 -3 -1 9 2 -9 3 4 2 0 -3 -4 2 5 5 4 -1 5 8 6 -7 -10 -9 4 0 1 -3 -6 -3 -8 8 8 -1 -3 -1 4 -1 4 -10 -9 -5 -10 9 -1 5 4 5 6 -8 3 2 7 -4 3 1 6 7 1 2 6 3 -8 4 5 0 5 -1 1 0 -9 -6 -3 -9 5 6 7 -1 2 -5 1 7 8 -1 -7 -7 2 1 2 5 5 -1 -1 8 5 -6 -10 1 -5 -7 -9 -4 -3 -2 -2 -8 6 7 -7 -10 -8 -3 8 2 6 3 6 -10 -5 -2 6 -10 -1 7 0 -5 -9 0 -2 8 -5 -1 -6 2 -1 -6 -4 -5 3 0 -4 -2 7 6 2 -5 -1 -2 7 4 -1 -5 -3 0 -8 -1 -3 5 2 5 3 7 -6 0 0 -5 -4 -2 1 2 0 -1 -10 9 -5 -6 -6 -4 3 4 3 4 9 -10 6 -8 -1 -6 7 -9 9 -7 9 6 3 -9 -9 1 -9 -6 -7 2 3 5 1 0 -10 -2 7 -5 -8 0 1 3 -8 -3 5 -7 -7 -5 7 5 -10 -2 1 3 -9 -6 6 -8 -1 -10 4 4 -3 8 -5 9 -4 4 -6 -10 6 -3 3 0 -3 -9 3 0 8 -8 -5 8 0 -2 -7 -7 3 9 -4 4 1 2 -2 1 0 -5 0 -2 1 -3 -10 -3 4 -4 -1 3 9 5 -6 7 7 -9 5 -10 0 0 -7 5 -1 -1 -1 3 4 -1 -6 6 5 -4 7 -4 3 7 -4 -10 5 -3 3 4 -8 -1 1 -10 -7 8 2 -5 -2 5 -10 0 7 -9 5 1 0 9 -3 7 7 -6 6 1 -8 -8 -7 7 -9 -2 -6 -6 0 5 6 3 -4 -2 8 -4 -7 0 6 -10 1 -7 -7 3 -8 1 1 2 5 -3 -7 -1 -9 8 9 -8 -4 5 8 -2 0 4 -9 -2 4 1 5 0 3 -7 -8 6 -3 -4 0 -9 7 3 3 -6 -10 -2 -4 3 -4 7 5 -5 2 -4 3 4 -10 -3 5 -3 0 0 7 -6 -5 9 2 2 -5 4 -4 4 -3 9 1 9 -10 -1 2 8 8 -10 5 -8 -4 -1 -2 8 -2 -7 -5 8 -5 -8 4 -7 -8 9 -3 9 3 3 -4 -9 -5 -1 -10 -5 0 3 5 -2 -5 1 -8 1 2 0 -1 -10 -4 5 0 -7 -1 7 -4 -7 6 4 -7 -1 -3 -9 -8 -6 0 -7 -9 2 -2 7 -10 -5 -2 -8 6 -10 -6 -5 2 0 2 -8 4 -8 1 -10 -5 -3 -4 -10 -1 4 -9 1 8 -7 -4 -10 5 -4 -1 -3 1 7 -9 -3 -1 -4 -5 3 -2 7 -3 -8 1 9 5 7 8 -9 7 -3 -3 1 1 8 4 -1 0 -8 6 9 -9 9 -2 -7 9 -1 -1 6 -8 7 -5 -1 2 7 -2 9 4 9 2 -7 -4 2 4 -1 0 -9 9 2 5 -3 -7 6 -4 1 9 7 -10 -10 3 4 0 9 -7 4 6 -6 -5 -8 -7 7 -5 -9 -9 2 1 1 -5 -8 5 -10 -1 8 -2 -3 -1 -10 -5 -9 -10 0 5 -8 -1 1 6 7 5 3 1 0 1 -1 1 2 -9 4 6 8 6 -7 8 -5 -8 -4 3 -7 -4 0 7 9 -10 2 3 -8 5 0 9 0 5 1 -10 -4 -10 -6 1 3 8 9 1 5 -8 -9 -10 6 9 -5 -10 8 5 7 7 -2 -9 -8 0 -1 -6 -1 9 -10 2 2 -4 -6 -2 -1 -1 -4 -2 -10 -9 -7 3 4 9 3 1 1 1 9 -10 -10 -3 4 -8 7 -7 -3 8 -8 -3 -7 -4 -5 -3 4 -3 7 -9 -3 -1 4 0 -7 -10 -8 -2 -6 3 1 -7 4 1 -8 -10 -5 1 -7 -6 -9 7 1 -6 -6 -1 -6 0 6 3 -7 5 4 8 -4 -1 0 -10 7 4 3 -2 -1 9 1 -7 9 7 4 -8 3 6 -10 7 2 6 -4 6 -4 4 -9 0 -1 6 -10 -3 -5 -8 -3 5 -1 3 5 0 -6 -3 4 -6 6 -2 8 -1 6 0 -4 -1 8 -6 7 -5 8 9 -3 -10 -3 9 9 2 -9 -3 9 -8 2 5 3 6 -8 -3 2 0 -3 -7 9 -6 3 8 -5 -6 -8 4 -1 3 3 -2 3 2 -3 2 -5 -10 1 -6 5 -7 9 -2 2 3 5 -6 -7 4 9 5 0 -5 3 5 -1 5 -8 0 -2 -3 8 3 -10 7 8 -5 -1 -1 -9 -6 -5 3 -6 -1 8 1 -5 -8 -4 -5 -1 6 0 -8 -6 9 7 -4 -1 8 3 9 1 3 -2 -9 0 7 -7 -6 4 -10 -1 8 -1 -3 0 4 -9 -2 9 0 -6 -1 2 -10 -2 -8 8 -1 2 2 -10 5 7 -2 7 -10 8 -10 6 2 -10 -5 -8 -9 -6 2 5 8 -10 -3 -2 7 6 3 -1 7 -3 -2 8 1 -10 9 -4 -1 -3 5 -9 -5 -3 -1 -1 9 -4 2 -10 1 6 6 -1 -1 -7 -1 -4 1 4 5 -10 -9 -7 9 2 5 8 1 7 7 -4 0 -7 4 -10 2 3 -4 6 -4 -1 3 4 8 -8 -1 -10 -10 -10 4 5 3 -2 1 2 2 8 -8 5 -3 9 -8 8 4 -2 8 9 3 -6 5 9 -4 -2 -5 -6 -8 4 6 -8 -3 1 0 -10 1 -9 2 5 1 -4 1 9 -5 -5 -1 2 3 -3 1 8 -7 -4 0 -1 -3 5 -4 -1 -8 -8 -6 -1 -5 4 -9 -2 -3 3 -6 0 1 -3 -1 6 2 8 -2 7 7 1 5 -9 8 7 -8 7 -5 -10 8 -3 -7 -8 -2 -10 -2 -1 -1 5 4 -5 -4 -5 2 -3 3 -6 8 4 3 5 -5 -10 -2 5 8 -7 2 5 -7 -7 4 8 7 -8 9 -4 -7 -10 -9 7 -5 9 4 -1 9 -3 -5 7 3 8 -6 9 8 3 -4 -2 6 9 -7 1 4 7 0 1 9 -1 7 4 -9 1 -7 8 -8 7 -3 -9 7 -6 0 0 -8 5 -9 2 -2 -2 -9 6 9 -6 -3 3 -8 -1 -6 3 8 4 -10 1 7 -7 -1 9 -9 -2 3 0 2 -7 2 -4 8 4 9 8 4 -10 4 3 6 4 8 8 -7 4 -6 4 -2 -6 -5 -5 -3 -3 7 -10 -3 0 0 2 3 5 8 2 -1 7 0 -7 -1 7 -2 -4 -7 -4 6 -4 -10 -10 2 -1 6 0 -4 6 -1 -7 -2 6 -5 1 -2 9 -4 -3 -7 -3 6 3 0 -4 -8 8 2 -5 -6 -10 -6 6 3 6 7 -1 -4 -6 7 5 9 -4 -6 -5 -1 2 6 5 1 9 -8 -2 -6 -6 -4 9 -8 0 -6 8 0 -2 -4 -7 7 -6 -5 5 -10 -8 -7 9 -10 -3 6 -1 1 -6 6 -7 -7 8 -7 -10 -8 -1 9 6 1 -7 -4 -9 -6 3 7 3 -1 4 -2 -1 6 1 -10 -1 0 -1 8 -8 3 -3 7 -1 -5 -10 -1 -10 -9 -2 -2 2 -7 5 -5 9 -10 4 2 -9 -2 3 0 7 -6 -8 -4 -3 1 6 -1 7 -7 -4 -4 -9 8 -3 -9 9 5 -1 -7 0 6 -10 -8 -2 5 4 -9 5 -3 -7 2 -6 -4 0 1 -1 -3 2 -4 -8 0 -6 -7 -10 1 6 1 8 8 4 -9 -4 -4 -7 5 3 7 -2 -1 7 2 -9 3 8 2 6 9 1 -2 8 3 0 4 -1 0 -4 -5 3 6 -7 9 7 0 -5 -10 7 9 0 -5 -2 -3 7 -9 2 -3 -5 -2 9 6 -2 7 -8 8 -7 1 -10 -1 6 3 8 -10 2 5 -8 7 -2 9 -2 8 6 -2 7 -4 0 -1 3 5 7 -6 -6 -5 3 -4 5 7 -1 5 8 -5 -10 6 7 -6 2 9 3 -10 0 -8 0 -3 0 -3 3 2 6 8 -10 -5 5 -6 -8 -2 -8 7 -5 1 -6 -6 6 6 -10 -4 -10 -6 -5 3 6 -2 -3 -4 5 8 3 -10 0 -9 0 -8 8 -5 -4 -10 4 -10 -1 1 1 -5 5 -10 -9 -2 8 3 2 5 -3 -1 -7 4 -3 8 -6 3 0 -3 -4 -9 -1 -5 -4 -2 7 2 -2 9 -6 2 -6 1 -6 8 9 -8 -7 -6 7 0 -5 -9 7 2 1 3 -5 4 -10 -6 5 -8 -1 3 0 8 -4 0 7 -8 4 4 3 8 -6 -5 2 -3 -1 -8 0 4 5 9 8 -4 2 6 2 -5 -10 -3 -3 -9 3 -1 9 1 9 -1 3 4 5 8 -6 1 -7 7 0 2 9 -10 8 -4 1 -1 2 6 -5 7 -9 7 -6 -10 8 -1 -9 -1 -10 -10 0 -5 -4 7 -6 -7 -2 -3 2 9 2 -7 1 -8 -1 5 1 3 1 6 0 -6 3 -3 -6 -7 6 -5 3 -1 7 5 4 6 3 0 1 -9 0 -7 2 -8 8 6 -6 -3 1 6 -10 4 -6 -7 8 8 0 4 3 -4 1 -4 5 -10 4 -8 6 -3 2 9 -10 -8 -8 -5 6 2 -9 3 9 -6 -1 2 8 -5 5 6 5 -5 -8 -1 -7 3 -3 1 3 -9 3 -8 -2 7 -9 -9 2 6 -4 -2 -2 9 -9 -2 -7 -8 2 3 -2 -3 -9 -7 2 -7 2 5 6 2 8 -1 3 1 -7 4 -9 -5 5 3 -9 3 -9 -1 2 5 -1 -3 7 -9 -10 7 -2 -9 -9 2 6 -5 -10 2 -1 8 3 -7 -8 7 -1 -7 4 6 -2 -3 -1 -9 6 3 6 8 -10 -4 1 2 5 2 -5 -2 6 -9 -4 6 -5 5 -3 0 8 -9 -3 -3 6 3 -7 -6 -10 -6 -5 -1 7 4 9 -1 2 0 -9 -3 -8 -4 6 1 -3 -8 9 -6 7 -4 5 -2 -3 4 -3 5 -2 1 9 -2 -3 -5 -1 7 1 -2 -4 -7 9 -2 0 3 -4 8 6 -4 -10 6 0 0 -8 -5 8 -8 -10 -5 7 -10 -2 -1 -10 6 -4 0 -5 7 8 1 -10 -1 1 -8 5 8 -9 1 6 3 9 -4 5 -8 -6 3 6 6 1 -5 6 9 4 6 -3 2 -4 2 -1 7 6 -9 8 -3 6 -5 7 7 -1 3 -8 -2 2 8 -8 -2 -7 8 -6 4 6 -10 -4 -8 -2 3 5 5 8 -6 -6 4 8 4 3 4 -10 1 -7 -1 6 -5 7 -10 5 -10 -2 9 0 -6 -5 -4 6 1 -9 -5 7 6 2 -3 -10 6 3 8 0 -4 -6 0 -1 -3 1 8 3 -9 0 -10 -9 1 1 -7 5 7 -8 2 -10 -7 7 -1 9 -1 6 1 7 -9 -8 -3 -2 -4 0 -1 4 3 -3 9 4 8 9 -3 -1 1 -7 6 -10 -5 -2 2 -2 7 -8 9 -4 0 0 5 2 -6 5 2 1 7 -9 7 0 -9 6 7 1 -3 -6 2 0 -3 -2 -8 -6 -1 5 -6 -4 -1 -7 -5 1 -4 2 5 -8 -3 9 -5 -6 3 -8 5 4 0 -6 7 8 -2 -1 -10 -2 -1 -7 2 0 0 -1 -1 9 2 -4 -8 0 8 8 3 -4 7 8 -8 -8 3 -1 6 -7 3 -5 3 -8 4 4 -8 6 7 -4 -4 -3 5 -3 8 -10 3 -10 -8 2 0 -3 0 -10 -4 2 -8 1 -8 1 4 5 6 -2 -1 -7 4 1 1 1 0 7 0 -5 -5 -10 7 0 -10 -10 -8 -7 -3 2 5 -5 -5 7 6 -3 -10 -7 4 -1 1 -6 2 -5 5 -7 -2 7 2 0 -7 -1 0 2 -10 -8 2 4 -5 2 -3 2 -1 -6 -8 -4 -7 -8 -1 7 1 2 -9 5 -1 -1 0 -1 -4 -7 9 -9 -6 -1 4 6 1 8 1 -1 0 0 -9 -10 4 -7 8 7 -4 9 4 -1 -7 -2 -5 2 7 -3 -9 -7 0 2 -5 -3 -9 1 5 -6 -1 -4 3 2 6 -3 -6 -8 0 -8 1 -2 -9 8 0 6 -4 -3 -2 5 4 -9 8 7 3 5 6 -4 8 1 -8 -2 8 -2 2 -4 5 6 -9 7 0 2 8 -7 -8 -2 9 -2 -3 -3 -7 -9 -10 4 0 -5 -9 -4 -7 2 8 -5 -10 -2 3 -6 -4 -10 -10 -3 8 0 2 -2 3 -4 6 2 5 5 1 0 -2 -7 6 9 -2 0 7 -7 -8 -3 -2 4 5 4 8 -8 4 0 -9 2 2 -5 -10 7 2 -2 -9 9 5 2 -9 -6 -3 0 5 -3 -10 2 0 4 -10 8 -2 5 2 8 -1 9 -10 -7 -7 2 -10 6 -1 -6 -6 0 -7 2 4 -5 6 -9 -3 1 -2 -3 -7 0 3 5 -2 -9 -7 3 1 -6 2 1 9 -3 5 -10 -7 6 -6 -10 -4 -2 2 2 -5 -2 -5 2 1 -5 1 -4 5 -6 -8 5 7 -5 -2 -10 -1 2 -7 -1 -10 8 -9 -7 4 -5 -7 2 -5 -3 -6 -8 5 -1 -4 8 4 -1 -5 -9 3 -3 6 -8 -6 -5 -8 -5 -1 -5 -4 -9 5 -3 -5 -1 -5 -10 3 0 -10 7 -5 -3 8 -7 -4 -6 3 1 -5 8 0 -8 -9 -4 9 5 1 -10 3 8 -8 -2 7 9 0 -8 1 -7 -5 1 3 -8 9 1 -5 -5 -2 8 -2 3 7 0 -3 0 6 8 -5 9 9 0 -1 -9 9 -3 2 -9 -9 -7 -6 8 5 -1 -10 -4 3 -4 1 -9 6 1 -4 -5 3 4 5 -1 -6 3 -10 -7 -7 0 6 -8 -1 -2 5 -8 2 -10 -9 9 -9 3 -5 4 1 -2 5 -2 1 -8 3 -6 -2 -9 3 2 4 -5 -2 7 5 -6 2 6 -5 -3 1 7 9 2 -2 -9 7 3 5 -1 3 -7 -1 -6 7 4 -2 7 5 3 -9 -1 8 -1 -3 -4 -4 1 4 1 8 -5 -10 8 -1 -2 1 -3 3 -4 6 8 -9 -5 -8 8 9 -8 5 -3 5 -1 6 -5 8 5 -7 -6 -4 8 -3 7 5 -3 5 -5 -3 -4 2 2 -6 -10 -8 -4 7 -6 6 -2 8 -6 5 -5 3 -6 -7 1 9 -4 -2 8 6 -3 5 2 5 0 -1 4 -2 3 9 2 3 -9 0 -8 8 -3 0 6 -7 8 4 6 -8 7 9 -9 -7 9 1 2 -3 -4 -6 4 -2 -5 -2 -2 8 9 3 -7 -9 -7 -5 9 -8 -3 -3 -5 -5 -9 3 -3 8 3 -9 4 -6 2 -4 1 1 -8 -5 9 -3 -4 -10 7 -5 3 -10 8 6 7 7 1 -6 7 -2 0 0 4 -1 -1 -3 0 5 -7 5 -9 5 -4 5 -10 7 4 -4 7 1 -6 0 -7 -8 9 -10 2 -8 -6 -1 0 -4 1 -6 6 2 -7 8 -3 -3 3 -10 -8 1 5 4 -1 -1 3 8 2 7 -9 5 1 -10 5 -7 -8 2 -6 -6 0 6 -1 -4 -2 -6 7 -2 1 0 -2 -5 4 -6 2 5 -5 -5 3 8 4 -4 3 -5 -4 -9 -9 -10 -5 -5 7 5 3 -4 -8 -8 -8 1 0 -4 -9 0 -7 -3 4 5 -8 2 2 -2 -8 -4 4 -3 -6 3 -2 -5 -5 3 -8 -8 -1 6 -10 -7 8 -7 4 -10 -9 -3 0 -6 -3 7 -10 -1 -9 2 -1 -7 1 6 0 5 -1 9 -10 4 -6 -8 -1 -5 0 -1 -10 -2 -6 -4 -10 -5 -4 -7 0 3 -10 -8 4 -9 4 -6 -6 7 -10 -4 2 -9 7 -6 -3 -8 9 6 9 -1 8 -10 0 -8 8 0 -10 -6 -5 0 -1 -5 -6 -6 8 8 -10 4 6 2 -9 -10 3 8 -5 2 2 6 -1 2 -5 -3 -6 -3 -9 -8 0 -9 9 5 -7 -2 3 -3 -6 1 8 -6 -4 -4 -2 9 -4 3 7 -7 -4 -8 1 5 4 7 4 0 6 5 -6 -4 -1 -7 4 2 -6 -3 2 -2 8 0 -5 6 6 3 5 4 -3 -5 0 3 -3 -9 -10 -9 0 -4 -7 -3 -9 -3 -5 -8 1 9 5 -3 -4 9 5 7 -1 2 3 7 -4 -1 -7 -5 4 3 0 3 5 -8 -4 7 -2 -1 -6 -9 6 -8 -6 9 -9 1 -4 -10 0 4 7 9 -4 0 -2 -6 1 1 -1 7 -5 1 0 2 3 6 -1 -9 -5 -4 -7 4 -10 -3 -5 -9 0 2 3 -10 -4 0 1 -6 3 9 -1 -6 -8 0 4 -3 -8 -6 1 -3 3 3 -1 0 1 -6 -6 1 -7 -8 -6 3 4 8 -5 2 -10 6 6 3 -3 -5 0 -1 -2 -6 -1 0 -2 -10 7 3 -5 8 -6 6 -8 -10 9 7 -8 -6 0 -2 4 5 -10 4 1 -1 -10 0 4 0 -10 -8 4 -1 -6 4 -9 4 -2 -3 2 -6 5 -3 -6 5 -6 9 1 -3 -3 -5 -8 -10 1 -4 -1 1 6 5 -9 -2 0 -3 7 4 -8 9 -2 0 8 3 4 3 2 0 -2 6 -1 1 -7 -1 -2 8 -1 -10 6 8 -7 -6 3 7 3 5 -6 0 0 -4 -9 0 6 1 5 -8 -5 -3 -5 -5 6 4 7 1 5 -5 -1 -6 7 7 4 -9 -8 -10 8 5 5 -8 7 -5 -1 1 -2 7 -8 -7 2 9 -7 7 -5 9 -7 4 -8 9 9 2 -7 7 -9 0 0 -7 0 -2 0 -5 -8 -10 -7 -7 -7 -7 3 -5 8 -5 7 -9 4 -8 2 7 6 5 6 -3 9 2 6 -10 4 -4 6 -6 -4 8 -9 -1 8 6 -6 -9 9 7 9 8 -8 -2 1 6 0 -6 -4 8 9 4 7 0 8 4 0 2 2 -4 -2 9 -5 0 -10 5 8 -6 -1 8 -8 -10 -2 6 -2 1 -5 0 5 1 -2 -4 7 -5 6 6 1 -3 -2 -6 -5 -1 -7 -8 9 5 0 -1 1 9 9 3 1 9 -8 9 1 -3 -9 -4 0 -9 -5 -3 -4 -9 -7 0 -10 -6 4 8 3 -1 2 -6 6 -8 3 -3 3 -5 -9 -6 -6 5 5 5 -8 6 4 -6 7 9 1 6 -10 -3 8 3 -7 2 1 6 3 -7 2 -1 8 7 6 1 -8 -1 -2 -3 -6 5 -8 8 -6 6 -8 -9 -3 -4 -1 -2 3 -3 3 6 1 -6 -6 -6 9 -2 -5 -1 -5 -8 -9 -2 -7 -9 -3 -2 6 -9 8 -10 8 -9 4 -5 -3 5 -5 2 -7 8 -10 -4 4 6 1 -4 -6 -2 5 -9 0 -2 -1 -4 -1 -2 4 8 0 -6 0 -10 -5 -6 7 -6 2 5 -2 5 3 -10 3 -10 6 -6 8 2 -5 3 4 5 4 5 -9 -7 -6 -3 3 4 2 -6 -4 -1 -10 -7 -4 2 8 4 9 -6 5 3 6 -7 -1 4 6 4 -3 -8 -8 3 7 5 7 3 5 -8 9 9 8 -5 -2 9 -1 4 -7 9 -9 5 -7 -2 -10 9 -7 -9 -5 1 6 3 3 0 8 -7 7 5 6 2 0 6 1 -2 3 2 9 4 8 -7 4 9 0 -1 9 0 -1 -7 1 4 4 9 9 -10 -9 8 -7 9 -5 1 1 -3 9 5 6 3 -3 5 -3 -5 0 -9 7 -10 -7 -2 0 2 1 4 8 8 3 0 0 5 -10 3 4 7 6 7 -5 6 -6 -9 -1 -7 -2 -2 -9 9 -8 8 1 -5 -4 4 -1 0 -2 -3 -10 -9 -1 0 -2 -9 5 4 9 1 -6 -6 -3 -2 7 -2 -6 7 7 -5 -2 9 5 -10 6 3 4 -5 -7 -8 -6 -7 5 4 -5 6 -3 -10 0 -4 2 -4 -8 9 5 1 -2 9 -1 7 6 7 -2 1 -1 -6 -6 -7 -1 -2 7 3 -7 -5 9 -9 -9 9 -9 -7 -5 3 0 -10 -5 7 -7 -5 6 2 -8 2 -8 -8 5 1 -4 9 -3 -3 9 -6 -10 5 -1 2 6 -8 1 7 -4 -2 -7 6 -10 -2 3 -6 -5 -9 6 9 -5 0 -9 -10 4 -3 9 -9 4 1 -5 -4 -4 -3 0 -8 -1 3 1 -3 4 4 -7 4 4 -2 8 9 -9 -3 0 -4 7 1 8 1 0 8 -6 -6 -9 -8 -7 -3 -1 -5 -9 0 9 2 0 3 9 -5 9 -5 4 8 7 5 -5 -3 4 4 9 2 8 -1 -8 -8 -4 -7 -6 -9 0 -5 -4 -7 -2 7 -2 8 -8 -3 5 -8 2 -1 -10 -9 7 7 -1 1 -7 -2 -7 3 -1 8 6 5 -9 2 -2 -6 0 5 -3 8 -6 5 -2 -3 4 -7 -1 9 -5 -9 -10 4 0 -1 -5 -5 -1 -10 9 9 8 5 -4 2 9 5 6 -1 -8 5 9 -4 1 9 3 -5 -7 4 6 -10 -3 7 4 -1 -4 1 5 6 1 4 -3 -8 -9 3 4 -10 -10 -8 0 -8 7 -9 -1 -10 -9 4 8 6 -9 4 6 -2 1 -8 8 0 3 3 -4 6 9 -5 8 -10 8 -6 -10 9 8 -8 3 6 -6 -8 6 -5 -1 4 -9 0 -9 -1 0 2 1 -10 -8 -6 -5 -10 2 -6 -5 1 -6 6 -3 7 -3 -4 9 -10 4 5 5 -8 -10 -6 -1 3 -4 0 4 -2 -8 -5 -1 7 -9 -4 7 4 1 5 7 -3 1 6 -6 8 4 6 0 -2 1 -5 1 -6 -9 -10 -1 -3 -8 -6 6 -6 -9 7 -9 -7 -7 1 -1 -4 -4 8 -4 -1 4 -8 9 -1 8 -1 -1 -8 -3 2 8 -2 -6 -3 -2 -4 -7 -6 1 -5 3 -6 -10 -2 5 -1 5 3 9 3 4 3 5 -5 4 -4 -3 -6 -10 4 6 8 -8 -9 -5 0 -3 -1 -4 0 -4 1 5 -4 -10 -8 -3 -3 -2 -4 -10 4 9 -3 -10 -4 3 -3 0 3 -9 8 -7 5 9 -1 8 9 0 -6 -9 6 -2 6 -8 -2 1 -1 -3 1 -3 -3 -5 8 -4 -5 -6 2 -6 -4 -5 7 -5 -9 3 6 0 1 5 2 -3 7 -2 -3 -5 -8 5 -2 -7 -8 9 0 -9 7 -2 -10 -8 3 2 9 9 -1 6 6 0 -1 3 2 2 -10 -6 2 7 2 9 5 4 -3 5 7 -9 5 9 5 2 -2 5 -4 -9 -3 7 2 -2 4 -1 9 5 4 1 -2 4 6 2 -6 -10 -7 9 -3 0 4 6 -6 -9 6 9 -5 -6 -4 -6 7 3 -9 -9 3 -3 0 2 -7 -6 6 -7 1 -6 5 5 -6 0 -4 1 -9 2 -2 7 -4 6 6 1 -10 -8 -3 7 -3 -9 0 -10 -2 -9 -5 1 7 3 4 -10 7 -9 5 -9 2 -9 -5 -5 4 -5 -8 -10 -9 0 -7 3 2 -7 -8 1 -6 2 -7 2 -5 -10 -6 5 3 0 5 0 -6 1 -6 6 -6 -1 3 0 -4 5 -8 9 -5 8 2 -1 -9 4 2 -5 -4 -3 7 -6 -2 3 9 -9 6 4 -6 -10 7 -2 -2 -8 -1 -9 2 -3 -2 -3 -4 -5 -5 0 -4 -4 -6 8 -7 -8 -5 -10 8 -5 -4 7 -3 4 2 -7 4 -1 1 4 -7 2 5 -2 9 5 5 7 -10 2 -3 -4 8 -7 -6 -9 7 -9 3 6 -3 1 3 -4 -5 7 -1 1 -3 2 -5 -8 6 2 0 -3 -3 7 -6 -3 -1 1 3 9 -4 -1 2 -7 -7 -4 9 0 -1 3 -2 5 0 -1 -4 -1 3 -6 -6 -1 6 4 6 -6 -6 2 -7 3 5 -1 -5 -9 8 7 -6 -9 5 -6 -7 -5 -1 -7 2 9 2 0 -9 7 4 -5 8 -7 1 4 9 5 8 -8 -9 3 1 -4 4 -8 5 9 5 1 5 1 -2 -6 4 2 5 9 -8 6 6 -1 3 5 2 7 -9 -7 2 -10 -5 -5 3 -1 -7 -10 1 9 1 8 -8 -4 -1 -8 0 -6 4 -5 5 6 4 1 7 9 8 -1 6 -10 2 -9 2 0 -4 7 1 -8 7 4 -9 -10 2 5 -4 -8 7 6 8 1 4 3 9 -10 6 7 1 5 8 -2 -3 -7 -9 9 -5 -3 -2 6 -9 8 0 -8 8 4 -1 -5 -2 -4 3 -4 -1 9 1 -9 1 -2 8 -7 -7 6 -7 -8 1 -6 3 6 -7 -9 2 -5 1 4 9 0 -1 -1 -3 7 -3 2 6 -1 -6 -3 0 5 5 -10 8 0 -2 -9 2 -10 7 -5 6 -9 9 -9 -4 0 5 -5 2 6 -4 9 -4 -4 -6 -8 5 -2 -9 -5 -7 7 7 4 9 -5 -3 2 -5 -5 -1 4 8 -2 5 -6 1 -8 -9 -7 1 -10 5 7 -4 9 1 -9 -3 2 8 -8 -9 5 6 -9 -10 6 -5 8 -9 4 2 1 5 9 5 -4 3 -2 -9 -6 -10 6 3 -4 -3 -6 9 4 7 7 -1 8 -6 7 1 7 3 6 -3 -4 -7 9 7 0 0 -6 -2 -7 -5 -1 -10 -5 8 3 2 -5 8 1 2 -3 -9 -9 -5 7 0 -1 4 -6 -5 -9 -8 -10 2 -10 0 4 6 0 0 -9 -10 0 -3 0 5 1 5 3 4 -3 -10 -3 -10 8 -5 1 -3 1 -3 -6 -5 -1 7 -1 -9 -3 -6 8 0 -4 1 0 6 8 -10 -7 -9 -3 7 6 -3 -1 5 -3 9 -10 0 8 -6 7 5 -9 9 2 0 -10 1 -4 0 -9 2 -8 -7 -10 2 5 -6 4 -7 3 -8 0 4 7 -1 -4 0 -10 -6 -4 7 9 -3 6 1 7 -1 5 6 9 6 -10 3 -10 -9 -4 5 7 2 8 -8 -4 -10 -2 5 0 4 7 0 9 -7 9 0 0 -2 4 -10 7 -1 -2 -2 -5 -2 4 7 -9 2 3 0 6 1 2 -8 -6 -9 -1 4 -3 -3 -6 8 -8 5 -1 -5 -7 5 7 2 6 -5 -9 3 -5 5 1 -3 9 -6 7 5 -3 -8 7 1 5 8 -5 4 -5 -9 3 -10 7 4 -5 -10 -1 -8 3 7 9 -4 0 -6 3 -9 -7 2 -5 3 -3 3 -3 6 6 -8 4 -8 6 2 5 -9 2 2 5 -1 -5 6 -7 8 3 -8 6 -6 8 -1 7 -8 -9 -7 -3 -10 -2 4 6 6 -2 0 0 6 4 -4 8 -4 8 -5 -3 -7 -8 0 3 -3 -6 -1 -7 -7 8 -9 7 1 6 6 1 6 0 -3 2 8 0 -7 4 -6 -9 -6 -7 9 0 0 5 -6 -9 -2 1 7 0 -3 2 -2 -10 -1 -10 -2 -5 -7 6 -3 1 -2 -5 3 -7 2 7 6 6 2 6 8 -7 -7 -8 6 -7 -4 3 3 -5 -4 4 -5 -3 -4 -5 -5 -1 -9 2 2 -9 0 -5 7 4 5 3 0 -3 -9 -9 -8 -6 -7 8 -10 -9 -6 3 -4 -8 -3 -7 -9 3 -2 -4 5 -1 1 -3 -7 3 -5 -10 -3 -10 3 -1 9 5 0 -8 1 -4 2 1 9 -2 -5 8 -8 -6 -9 -6 0 -8 -8 -5 -7 -5 -6 -4 8 -1 -4 7 -9 2 9 -9 -3 -9 5 0 9 9 -8 9 -2 9 -1 0 5 -8 -4 -5 -6 -1 -8 -10 -4 -3 -4 -5 -2 -5 4 0 7 3 -7 6 -3 8 8 -4 -1 2 -5 -1 1 -4 2 9 -1 8 6 3 9 9 3 -4 8 2 -7 -4 7 7 -2 -4 -7 1 4 0 -9 2 6 -7 -5 4 2 -2 -10 -6 9 -1 -7 6 5 4 5 -10 -10 -5 2 -7 -7 -9 3 2 9 6 5 3 8 7 8 4 -10 5 -10 -6 -7 3 -1 -7 -8 -6 1 -1 8 -4 0 9 -7 -8 4 -4 6 -3 8 5 5 4 -9 3 -7 9 -10 5 4 2 9 -1 -5 -10 -6 -10 -6 5 -1 5 3 9 4 6 4 -10 5 0 -10 -5 -5 5 9 -4 -9 4 7 3 -9 -7 -5 3 3 -7 3 -1 -7 0 7 2 -5 0 -6 1 9 8 1 4 -2 1 9 -5 9 1 2 2 7 -9 -5 9 -5 -8 2 0 -5 -5 9 -10 5 6 -5 2 9 -1 -7 8 9 5 -6 -3 8 5 2 -1 8 6 -9 6 8 -4 -3 -7 -9 9 3 8 6 -6 9 -6 3 -6 6 2 -5 -10 -8 -6 -3 8 -7 -5 3 5 5 2 -6 -2 -10 -8 5 -3 7 -2 -4 -8 -4 4 -4 -5 8 1 -9 -3 -7 -4 9 7 -8 -4 5 -5 -7 -1 3 0 3 7 9 -5 1 -4 2 -2 4 0 -8 2 6 -10 8 5 2 1 4 -3 8 3 -5 -10 1 -10 8 4 -9 1 7 -4 -10 -2 1 1 4 -7 1 -10 -5 3 2 -8 3 -8 -1 7 4 -7 -5 -6 -2 0 6 9 -8 4 -5 -6 7 -8 0 7 0 4 -2 6 -1 9 6 5 -6 -9 -1 8 5 8 -3 -1 3 2 3 -9 -8 -8 2 7 6 7 -9 4 2 -7 -7 4 7 2 1 -3 -7 9 4 -2 2 -7 -4 -2 -9 -5 -1 -4 8 -7 9 2 7 1 -1 -5 -10 -8 1 2 -4 5 9 5 -3 0 -8 0 -9 -2 8 4 1 6 -8 -6 -8 1 0 2 -4 -1 -6 5 2 -4 -9 3 -2 2 7 4 -3 6 0 4 8 -6 7 -10 3 -3 -4 6 6 -10 -9 0 -7 -7 -8 -8 -5 8 7 7 -6 8 -8 3 -7 2 9 0 -10 -9 7 9 -4 -4 1 1 3 -1 -3 -1 -9 -10 1 -6 -6 3 8 -9 2 6 8 6 -4 3 -9 -1 7 -9 2 7 -8 -1 -2 -10 5 1 1 -10 -10 1 -8 3 1 3 8 -3 9 -2 -2 1 6 9 9 -7 -6 -9 -6 -9 4 -2 8 6 -1 9 7 6 0 -10 7 -7 -7 1 6 -3 -6 -4 4 -7 ================================================ FILE: programming_assignments/beale_ciphers/testcase/large/test7.out ================================================ 1 ================================================ FILE: programming_assignments/beale_ciphers/testcase/large/test9.in ================================================ 1 100 100 100 -8 -4 -9 -1 -9 -6 5 -10 -3 -4 -5 2 4 0 0 -4 -9 -4 -4 7 -1 4 1 4 -4 4 -1 -7 -1 -10 6 -7 -3 -1 2 -10 -5 9 2 -5 -4 -1 7 -10 -10 -3 8 3 -5 -6 0 4 9 3 -10 7 -3 -9 2 -2 -8 -2 1 -9 0 6 -9 -3 5 -4 2 -9 5 -1 4 5 -2 2 -10 3 7 -8 -10 -2 5 2 -5 -7 4 7 -7 6 7 5 -1 9 1 0 -3 -4 -2 1 -10 -6 -9 4 1 -9 -4 2 -3 5 4 9 -7 0 1 -10 -5 -5 7 -2 -9 -3 -7 -8 -4 -4 -5 -5 3 3 7 -5 7 0 9 -1 -7 7 -9 0 3 -3 -1 -2 7 -9 -9 4 8 0 -7 2 7 8 4 6 -5 9 3 0 3 -8 5 0 2 -4 1 -2 -7 -6 8 -2 2 -10 -1 -9 3 0 6 1 -10 1 -7 8 -1 8 -4 -4 7 9 6 -8 -8 -7 -5 -4 -1 6 4 -5 3 3 3 -5 -5 -8 8 8 -6 4 -1 -5 7 -5 5 -3 5 -9 3 2 -10 -8 -3 4 -5 2 -9 -3 -10 -3 2 3 2 7 0 7 2 -9 -3 6 5 7 -9 -5 4 6 2 -1 -1 7 3 0 1 -10 6 7 -6 -1 6 -5 7 -10 0 -1 7 3 9 -1 4 -4 8 -9 5 9 -4 -1 -2 8 8 7 -2 2 9 9 -6 6 -2 -1 7 -6 -4 4 -6 6 6 4 -1 5 5 -7 -9 3 -5 -1 3 -7 8 3 -8 -1 0 -8 3 -8 -9 7 8 0 8 5 -4 -6 -8 1 -9 8 7 -8 -5 2 8 8 -4 -7 -3 1 -4 8 -6 -10 -3 -4 -8 -10 -2 6 -1 8 -4 -2 -4 -6 2 -2 -3 -5 8 -6 -2 5 7 -4 3 5 -9 3 -4 9 1 -8 2 8 -10 -4 0 -1 -8 9 -3 -10 -3 -5 -5 2 -5 2 7 -7 -1 -5 8 -4 -7 -6 3 -6 7 1 6 -2 3 -2 8 3 4 -2 4 7 -3 4 -1 -3 9 4 9 -5 9 -2 -10 -2 4 1 -4 -1 5 9 -4 2 -8 -8 -10 -3 0 8 -10 -6 8 -3 3 -5 -9 -7 -6 2 -1 5 -1 -10 -6 0 -2 0 -9 -4 9 6 7 -5 -2 9 -3 -10 -4 -1 0 9 -4 -2 8 1 -5 1 -4 0 -7 6 7 3 -2 -9 5 7 -7 6 5 -7 -6 3 -10 -6 -6 -10 6 -7 -1 -4 -8 -3 4 2 9 1 -7 -5 -9 -4 3 1 1 -8 2 -4 1 -2 4 -4 1 8 1 -7 4 -2 5 0 1 7 6 -5 -6 -8 7 -7 4 -10 -9 -3 8 4 8 -8 -2 -7 -2 9 1 5 8 4 3 -1 7 -2 7 -5 8 -10 -8 -3 -5 -4 -1 4 -8 -7 -4 5 1 -5 -1 -9 -3 8 -6 -3 -1 5 -8 -3 -9 -2 7 9 -2 -4 -6 8 9 8 -5 -6 -6 -3 1 8 0 7 3 3 4 5 -3 3 -5 1 -9 4 9 5 -8 -10 5 1 1 -7 -1 -3 4 -2 -5 9 -5 -8 -4 6 2 -1 3 8 4 -10 3 -9 3 8 -5 -4 -6 -6 4 -4 6 -1 -1 -10 -5 9 9 9 -3 -5 0 -6 9 -1 -10 1 8 -4 -1 -6 -4 4 -4 9 -6 1 -4 -1 -3 2 -3 5 -9 7 5 8 -2 -3 7 -3 2 -2 2 -7 -1 2 -4 -3 8 -2 1 -6 -8 -1 6 -3 2 4 -2 1 -4 5 -3 -3 2 4 -4 2 -9 5 -10 -5 5 2 -2 -6 -6 -3 -7 5 5 -3 1 -1 6 -3 -2 -9 3 6 2 9 2 9 9 6 -4 7 -9 -3 2 -9 -5 -10 3 -5 6 -1 2 -10 -6 9 9 -2 -1 5 5 7 -2 -9 -4 -9 -10 8 2 9 -4 8 -2 -3 8 3 -10 -7 3 3 -2 -1 5 3 -9 9 2 -10 9 3 -2 -3 1 6 -2 7 7 -2 -3 0 -10 -5 -10 -2 -5 8 -9 -5 3 -4 1 4 6 -4 -3 -1 7 1 0 7 -5 8 -6 -2 4 -6 7 -6 2 6 4 -6 -9 4 3 8 -5 -4 6 8 -5 -3 2 3 -5 1 -8 4 -7 2 1 -2 0 -3 -2 7 1 -5 -9 6 -9 -3 -10 4 -9 -5 3 8 -6 -9 -1 -1 -10 -9 -8 -5 -5 -6 9 -2 -1 -7 -2 9 -8 6 -2 -4 -9 -1 4 4 6 4 -2 0 2 3 -2 -2 4 7 -1 4 1 1 1 6 -3 1 6 6 -4 -6 -2 -2 2 6 -4 3 -4 -10 -3 4 -3 5 -6 1 -9 -5 9 5 -8 -2 0 -5 1 -9 3 8 -6 -1 -3 -8 3 -3 -7 -5 -7 -1 0 -9 -8 -1 -2 -1 7 2 2 8 7 1 3 2 1 5 -1 -8 -1 -7 2 3 2 1 6 8 8 1 -7 4 -10 -4 -3 -8 5 5 -7 2 -10 5 -8 7 8 6 -9 -1 -7 1 -7 2 4 -2 8 8 1 -4 6 -8 7 -10 6 7 8 5 2 3 -7 5 8 -7 -7 -10 2 -9 -2 4 -7 2 7 -4 -6 -7 -4 4 -9 8 -10 8 -10 7 0 -2 -3 -2 -7 1 3 -4 -4 1 -1 -9 -6 4 -7 2 -2 -4 6 7 -6 3 -10 -7 -3 -9 -9 -10 9 3 7 -1 -9 6 7 6 -3 -7 5 -4 4 6 -3 0 0 -8 5 8 -10 1 5 7 6 -3 -10 -6 -1 -9 -6 -2 4 3 0 -3 -8 9 -7 -9 -8 8 -3 -1 5 -3 9 -5 -9 -4 6 4 8 -7 1 -4 1 -7 0 -10 6 -4 -10 -8 2 -8 -1 4 -8 -6 5 6 -7 5 -5 0 4 7 -3 -3 -7 5 -9 3 9 -6 -10 -8 -3 -8 4 -7 -1 -4 -5 3 -1 -4 9 1 1 -4 -3 -4 -9 -5 -2 -3 -8 5 5 7 1 6 -7 -8 3 -7 -6 -10 7 0 6 8 6 3 1 -5 -10 0 -2 -7 7 -2 -1 0 -5 7 0 -3 -6 -5 6 5 3 9 -1 -4 4 -5 9 2 5 5 0 2 -10 4 -1 -10 6 0 5 -5 0 6 6 5 3 8 4 0 -7 0 -5 -2 -8 -3 -3 6 2 -4 -10 -2 3 -7 2 3 7 3 -4 3 5 -9 9 -5 8 -3 -10 -7 -5 4 3 -10 7 1 -10 9 0 -3 -3 -8 3 -2 -8 8 1 -4 -6 -10 -10 0 3 5 -7 -6 -9 3 -7 3 -1 -10 -2 4 -10 -5 -5 -9 -6 -3 -2 1 0 4 1 -6 -6 4 1 -2 4 -7 8 -10 0 4 -6 1 -3 -10 7 6 -10 -5 -7 3 -8 -2 4 8 -2 4 -9 8 -10 3 -8 7 -3 -5 -5 4 -2 6 4 9 0 0 -8 -1 0 9 8 1 6 -9 6 0 -9 -8 -2 -1 -2 -8 9 -9 5 4 8 4 9 -7 -2 -10 1 4 9 3 -5 3 -7 -3 -5 3 8 -9 -4 -4 2 -3 -2 2 -1 7 4 -10 8 -9 4 6 -2 -4 1 6 -4 -7 -7 7 6 -2 0 1 5 5 6 -4 -1 -8 2 3 -8 3 -5 -7 0 2 -7 -10 3 8 -2 -9 -6 9 0 -8 4 3 9 -7 3 -9 4 -10 7 1 -4 8 -5 1 1 -3 6 6 0 -4 -2 -4 8 4 -6 -4 5 -10 7 7 4 2 0 3 5 5 -4 -9 6 -7 -6 4 -9 0 -5 -6 -1 -9 3 2 9 -9 8 -1 -3 -8 5 -7 4 3 -10 -2 7 -7 3 2 8 9 3 -4 5 0 -9 -2 -10 8 3 -1 2 -4 -9 -7 9 9 3 -3 3 -2 -8 9 3 4 9 0 -1 2 4 -10 -6 -2 -4 1 0 9 9 0 8 -6 1 0 0 -5 3 -8 6 8 -1 0 -3 -7 -9 2 7 -9 -7 9 -5 7 9 -9 7 -5 2 -3 -5 2 -1 5 6 -9 7 9 8 -8 -9 4 -9 -8 6 -10 -5 8 2 4 1 5 3 6 -5 -6 8 4 0 0 -8 -3 4 -7 4 -7 6 1 -8 4 3 5 -1 4 7 -5 4 4 5 9 -10 -4 -4 4 5 1 8 3 -4 -10 5 -10 9 -8 5 3 -5 2 6 9 -4 0 4 5 6 -7 3 -7 -1 -2 -8 -1 -3 -2 5 -8 2 4 -3 0 -4 -8 -8 8 -6 7 -7 -9 -1 -10 -10 6 -8 4 -7 8 -1 6 3 8 7 5 -2 6 6 -7 8 -2 -1 -5 8 -2 9 -10 8 6 7 -9 7 -3 3 8 5 5 -6 8 -4 -4 5 9 -6 -6 5 -6 -10 1 -10 0 1 -9 5 -1 -9 -4 -9 9 -8 0 -9 -10 -1 4 0 -6 -8 4 -7 -2 2 0 -3 7 -4 4 3 -4 7 3 6 -2 -3 -7 -1 -2 -1 0 -2 2 3 -9 -6 -8 5 4 -3 -1 -10 -8 7 3 2 7 -8 0 1 5 6 -1 -9 -6 7 -2 -3 -3 6 6 -1 -6 -10 -8 -5 -6 7 3 0 6 -8 1 8 2 -6 -8 -1 8 2 -10 3 -2 -9 4 -6 9 -8 1 8 9 9 9 5 2 -8 3 -2 1 8 9 -3 2 0 -5 6 -4 -3 -5 -6 1 8 -1 1 9 -6 5 0 8 8 -2 -1 -1 -2 -5 -9 -8 0 0 3 -10 -1 -10 -6 1 7 -9 -1 6 8 -5 -3 6 4 0 -2 0 -5 8 -1 5 9 8 -6 -3 5 -4 -9 7 6 -4 7 7 8 -8 -10 5 5 -1 -7 3 -4 0 0 2 2 8 -7 7 -2 2 -6 -3 -8 -2 -4 8 4 -3 5 -8 -5 -5 1 -7 9 1 8 4 2 3 -3 0 5 -1 -7 -3 9 -4 6 -2 0 -10 -3 2 -1 4 -8 5 3 8 8 9 5 -9 -8 4 3 3 -2 7 -4 -3 -2 4 7 1 -9 -2 -1 8 6 9 8 6 -7 9 0 -4 5 5 -6 3 4 1 -4 -1 -5 9 4 -5 -1 2 2 -1 -4 -9 2 -10 0 -9 8 8 2 -2 4 5 -2 -6 -9 -7 -10 7 -2 -4 -2 4 -3 -5 -4 3 0 5 -4 -7 -6 -6 -6 6 -6 -4 -1 4 -5 -9 -7 9 6 1 -6 0 4 6 9 4 4 -2 -2 4 3 4 -3 6 -9 -5 9 7 -8 5 -5 -4 -8 4 3 -3 5 6 -4 -6 9 -8 -4 -5 0 -5 9 7 3 -3 1 9 4 0 5 5 -2 -4 -5 0 3 0 -2 5 -5 -9 4 2 7 3 -2 6 -3 4 -9 8 -10 2 -3 -5 -10 0 -6 -4 -10 1 3 -2 -1 8 0 -7 -1 9 0 -4 -10 -5 8 0 0 -3 8 7 -9 2 -3 3 -6 4 9 6 6 5 4 7 -3 -2 7 -2 -4 -2 1 -3 9 -8 3 1 9 2 -9 -1 1 2 8 2 6 -4 -4 -10 2 7 -1 -1 2 -7 8 1 -7 5 -10 -8 5 -7 -1 -4 7 -7 8 6 -3 9 7 8 -7 6 -8 9 4 -10 2 8 7 3 -3 0 -2 -5 3 2 3 -5 4 -10 -1 -7 -3 8 8 -5 -3 -5 6 -6 -7 2 2 -4 1 8 -4 -7 7 6 6 -6 8 -5 -8 1 -1 -3 -1 -7 9 8 8 -4 -2 7 -7 5 4 2 2 0 -6 -6 6 5 5 4 1 2 -8 9 -2 -10 6 -8 -6 -5 -9 3 -10 -9 -7 9 9 1 -2 -7 -3 -8 -3 9 2 1 5 -10 8 0 -3 -9 4 -1 -9 5 0 7 7 4 -7 9 9 -7 -10 -8 4 1 3 4 4 2 7 -9 -7 -9 -6 9 4 -7 -9 3 6 -2 -8 7 -7 -6 5 2 0 0 -7 -1 -5 5 -7 2 -3 -1 -4 3 -9 5 -3 -5 -1 1 6 -7 -4 -1 -2 -7 7 0 2 2 -3 -3 7 -1 -1 -10 1 -3 6 4 9 5 -7 -5 -2 7 3 5 -8 -8 9 0 7 -5 9 -5 -10 -1 -3 3 -9 4 2 0 6 -8 1 -3 -9 9 3 -10 4 -1 7 4 -4 0 0 -10 -6 -1 0 -9 -4 -9 -4 -3 0 4 -10 -6 -10 2 4 6 -4 7 5 -3 -2 -1 9 -8 8 -1 -1 -6 1 9 6 6 -10 -4 7 -4 9 6 3 -8 0 -5 8 0 8 2 9 6 -8 4 6 0 -7 5 -5 3 6 4 7 -10 -5 -5 6 -5 -7 -5 -7 -7 -9 -1 -5 -7 4 -7 4 -6 -3 -5 3 -9 9 -1 2 5 6 -1 -2 3 5 8 -5 -10 -7 -9 7 -3 8 -10 -8 -10 -9 9 -7 -2 -8 -1 2 -9 -4 7 -7 -4 -4 -3 3 -7 -2 3 -2 -7 1 3 5 -3 -4 2 -4 -6 -6 -2 6 -4 9 2 -4 -9 3 8 4 -10 -2 -1 8 4 6 1 -1 -6 -6 -1 9 -2 4 4 -3 -10 -4 3 7 -7 3 -5 -9 2 7 -3 -5 1 7 9 -7 -5 -1 -9 -10 7 2 -9 4 -2 1 3 6 -5 -2 -7 8 -4 -2 -3 -9 3 2 -8 7 -8 -9 4 -5 9 -4 -2 6 -3 -1 -2 -6 3 0 0 -9 3 -6 0 8 -6 -5 -2 -8 4 -3 6 9 -10 8 7 4 2 1 9 -7 7 9 9 -6 -10 -2 -9 3 0 1 -4 -7 -3 6 3 -7 -8 4 8 -2 -9 4 -3 3 -6 6 -3 6 -10 8 9 -1 7 1 -4 7 1 9 -8 -9 -8 -1 6 0 7 -9 -5 9 5 -7 9 -1 7 9 -8 4 -3 0 0 -3 -10 -8 -1 8 -5 -3 -3 6 -4 -8 -1 -2 -7 7 0 -10 8 -2 2 -4 1 1 -3 -9 0 -1 5 8 1 7 7 2 1 8 -8 6 -5 -9 -6 -7 5 3 -6 8 -8 4 9 3 -8 1 9 -4 4 8 -3 -5 -3 4 5 1 -7 -6 5 5 -7 -1 1 -10 -8 6 -6 8 -9 -2 -2 -6 4 9 7 -1 -8 -2 -3 7 -4 -4 4 -5 -10 -1 -2 -7 -5 -7 0 -2 -6 -8 -9 -3 0 -5 7 1 -5 -5 5 1 7 -6 2 9 2 9 6 0 -5 0 6 7 1 -6 3 7 -10 -7 7 6 7 8 -7 -3 5 2 1 2 0 8 -6 -3 -7 6 -4 -3 -2 -7 0 -5 -5 -4 -7 7 -8 -2 -4 4 -7 5 1 -9 -4 -4 -10 -9 9 1 -4 -9 -8 0 -2 -5 8 -4 -6 -4 -1 4 2 -3 2 -3 6 -3 -3 4 -9 0 -1 -6 -7 -3 1 -6 -9 -8 -3 -3 -7 -1 7 -7 -4 -3 -1 1 4 1 7 8 0 0 -5 -4 -1 2 -10 0 4 -9 -3 8 -1 8 -8 0 2 -9 7 -3 1 -4 0 -1 3 1 2 9 4 0 7 -6 2 4 0 -9 8 -8 -7 -5 -6 0 -7 -5 -10 7 5 -6 8 -6 1 -9 0 3 1 5 -5 -7 -3 1 -5 -6 6 7 1 -4 0 -9 -9 -4 -4 -5 6 -9 -8 -1 8 7 3 -1 3 7 0 -7 0 3 0 -3 -1 7 9 -4 4 5 6 7 3 -4 8 -4 2 7 -7 -9 0 -5 -8 -1 4 -3 0 -3 -6 2 -8 -3 8 3 4 -3 0 -5 3 6 2 -9 3 8 -2 -6 -6 2 3 -2 -5 -7 3 -3 -6 -10 5 4 -3 1 9 0 8 7 -7 -5 6 -5 0 -9 -8 5 -7 5 3 -7 1 -1 5 -6 7 3 -2 -7 -10 -6 -7 -3 1 -8 9 0 2 7 -3 -3 -8 5 3 -5 6 -3 -10 9 4 3 4 -4 -8 0 0 2 5 0 -3 5 5 -8 5 -4 -6 4 -2 7 1 5 -6 -4 -8 -1 1 8 6 1 0 -7 6 -6 -1 0 -4 1 4 -9 -8 -9 -1 -1 -7 -6 -3 -10 8 5 7 -9 -8 3 9 -6 5 0 4 -7 3 -6 -4 -9 -9 5 -6 9 -3 8 -9 -9 2 -8 -8 -3 8 -9 -3 -2 -2 6 -1 0 -8 -1 -4 7 1 2 -10 7 -1 -3 8 0 4 -8 -9 3 3 4 -4 -5 6 -10 2 4 -9 2 -8 -1 -2 -6 1 0 -5 -1 9 -2 -8 2 -5 1 9 6 3 -5 0 4 9 -7 -9 7 -10 7 8 -5 -6 9 7 8 -1 7 -8 2 -10 9 -8 9 -2 -6 1 -5 -3 -8 -9 2 -2 -6 8 9 9 9 6 -10 -1 -4 7 3 -4 4 -7 -3 -7 8 9 -7 7 3 -7 7 -1 4 -7 -2 -1 6 -10 -1 2 1 -2 2 -8 6 -6 1 -7 -9 6 -9 -3 -10 -10 0 8 9 4 -3 -5 7 -5 4 -7 -10 -7 -6 -2 5 3 -9 -4 -9 3 -1 0 7 2 -5 0 -1 -4 7 -9 -4 -3 1 7 -9 8 -8 0 5 -1 -4 -3 2 0 6 9 -6 7 -4 7 -8 -3 -3 9 9 2 -1 -10 0 8 -9 6 -5 -6 -4 9 5 -2 -1 0 -1 -3 8 -9 8 -4 -9 4 -7 9 1 -5 -4 1 6 7 -7 7 8 4 5 9 -8 -10 -6 -2 1 9 -1 3 -9 8 -10 1 2 0 7 3 -6 2 -6 6 7 -8 9 -5 9 -8 -8 7 -2 -1 7 1 -8 3 1 3 -6 -10 -4 -5 9 9 -1 -7 -1 -4 -2 -4 9 2 4 -2 4 3 -4 3 5 -2 1 6 8 -10 -3 2 -5 0 -5 -1 1 -6 -4 -8 -7 -3 7 2 4 -5 8 -5 7 2 -5 -7 -5 1 6 3 2 9 -1 -8 1 -2 4 6 0 1 7 -9 5 6 5 8 -7 2 -7 -1 -1 3 4 -4 8 2 -9 5 5 8 -2 9 -1 -1 -9 -9 -1 -3 -1 -10 9 9 3 4 5 -9 -5 8 -5 -2 -2 5 3 4 3 1 8 5 -3 4 -5 -3 3 4 -1 -3 -3 8 -4 -1 0 -5 -2 -6 2 5 -5 7 3 -8 7 3 7 -8 -10 1 4 8 8 3 -6 -7 2 0 -1 -9 -1 -1 2 5 0 -8 3 8 8 -5 3 5 4 8 8 -7 -6 5 -5 -6 8 9 4 6 -6 1 1 7 -9 3 0 0 -8 -8 7 2 7 0 -8 5 -3 -3 1 -9 7 -1 6 -9 6 -8 7 -3 3 2 5 0 -7 9 -3 6 2 -1 8 4 -6 -3 8 -9 8 -10 -2 -5 -3 1 9 -6 2 -3 8 -1 -1 5 -2 5 9 5 -5 4 4 -6 -8 -4 3 -10 2 7 -2 0 0 8 0 9 5 -1 0 -4 -4 -7 4 -6 -6 -7 1 -6 8 -7 9 5 7 4 9 -10 2 3 2 -5 -8 2 5 3 0 8 -6 -4 -3 4 2 -5 -1 8 -9 -5 -8 3 -1 2 -2 -9 -10 7 5 9 7 9 -6 -8 -6 -3 4 -10 -10 7 8 6 5 7 0 9 -7 2 8 6 -1 2 -9 1 -6 -1 2 -6 -3 9 6 6 8 -10 8 -7 -3 -5 5 9 -8 3 5 -1 -8 8 -2 -5 -8 -4 -8 1 0 -7 -8 -3 -5 -4 -7 2 -5 9 -2 -6 -10 9 9 9 6 4 1 0 9 8 9 -9 -2 9 9 0 -4 3 4 -2 -2 -2 5 3 5 9 -5 2 8 -4 -2 0 7 -3 -8 3 3 3 -7 2 -7 4 4 -6 3 3 4 1 -4 -10 -10 4 -9 5 -10 -2 4 7 -10 -5 -7 -1 5 2 -2 -1 -5 -8 4 -10 4 8 4 -10 -8 -2 -5 -2 9 1 -9 9 8 -8 5 8 0 -9 -3 -8 -4 1 1 4 -7 2 5 -9 4 0 -9 -10 -10 6 3 -8 6 8 -8 5 -8 5 -3 2 -1 4 0 9 5 7 4 4 -10 7 -10 6 -1 5 -1 5 -5 -8 -2 -5 8 -9 9 -4 9 4 -8 3 -1 -1 -5 9 5 -3 0 0 7 6 6 7 4 6 -5 -7 -6 -4 1 -1 -1 9 -3 9 2 8 -4 -7 -6 -10 7 -4 -9 -8 -5 6 0 -3 -4 -3 -6 5 6 0 1 4 3 5 -10 6 7 -1 5 6 -1 -3 -4 5 1 1 5 -2 7 -2 -8 4 -6 2 3 -8 1 -1 7 -2 9 -9 -8 -5 6 4 -9 -5 -6 7 3 3 6 -10 -10 9 -7 -3 9 -10 5 -8 -4 9 -4 9 -9 8 -9 9 -4 -10 2 -10 -5 -10 4 9 -4 0 6 1 -7 -6 -7 5 6 -4 -8 5 8 -1 -1 6 -2 6 6 -8 4 7 3 2 -1 -5 -6 -3 -5 0 -4 -7 -9 4 5 6 8 8 2 -4 7 -4 -8 -3 6 1 -6 -6 9 -10 8 3 -1 1 7 0 -2 3 7 4 -6 -7 7 -5 -1 -6 3 -10 5 -5 -4 2 2 -2 9 -10 2 -7 6 1 5 5 7 6 8 4 9 -3 -10 6 3 -6 2 -8 -9 -9 -3 4 -9 4 2 -10 8 6 -2 -1 6 2 -5 2 -6 2 9 -9 -1 0 -3 -2 7 -3 6 -8 -7 -10 -6 6 -8 -7 1 5 7 5 5 -3 1 6 7 9 -2 -8 1 -6 4 -7 7 5 3 -5 5 -8 -6 -6 -6 -10 -6 -2 6 8 -6 9 4 -9 4 -9 -9 7 7 8 6 8 2 -10 -8 -4 -7 -10 4 -2 7 -9 0 3 -5 4 3 0 4 -8 -10 0 -9 -4 2 -2 -2 -5 -5 7 -7 -8 5 5 -8 0 3 7 -8 9 -5 9 -9 5 -6 8 -9 8 -10 -3 2 -9 8 3 -3 -8 3 -3 -3 9 -5 0 -9 2 7 5 4 -8 2 6 -8 7 -3 5 -6 2 3 7 -8 -4 -6 4 -3 -8 9 -4 6 3 4 -7 2 9 -5 3 -7 4 -10 8 7 2 4 1 -1 -8 -4 -5 4 1 -8 -2 7 -4 -8 6 -9 -9 -7 7 4 7 3 8 -2 0 -7 1 -5 -7 -1 4 5 6 -5 6 0 -7 -9 6 4 -7 -6 -6 -8 -4 -10 -7 9 5 2 -4 2 -5 -6 2 6 -2 -6 3 1 -5 -3 9 -9 2 5 1 5 -1 -3 -9 2 -7 7 -4 -1 0 -1 -9 -5 4 -3 0 1 1 -8 -3 1 -4 2 -7 -6 9 4 -5 1 -1 -1 8 8 -2 2 -7 2 -1 -1 3 9 1 4 -5 7 3 5 -2 -5 -1 -2 -2 -2 -10 1 2 -10 7 -1 -7 -3 8 4 7 9 -4 2 -7 5 4 -2 5 7 5 2 4 -2 9 -8 -5 -2 0 4 6 -7 7 -10 5 5 0 8 -8 -10 2 1 9 0 -6 -8 -4 0 -7 3 -3 8 7 -9 -4 6 5 2 6 -4 -4 -5 -9 -7 -5 6 8 -3 -4 2 -2 1 6 9 -9 2 4 9 -8 7 -6 -1 5 -9 -8 -9 -1 7 -5 -4 5 1 -7 6 -3 -2 2 7 -2 1 -8 6 -8 0 5 -7 -8 -1 5 6 -4 9 7 3 -9 9 5 0 6 2 -2 2 -6 1 -10 -7 -10 -5 2 -2 6 4 6 8 -6 -7 3 8 3 -2 4 1 -2 1 7 -9 0 2 1 9 -6 -10 -7 -10 1 -7 5 -7 -2 -2 -7 -6 4 1 4 1 5 -2 -9 -10 6 6 1 6 9 -10 7 -8 -6 -1 -9 -1 -9 -6 -9 -6 9 -1 -10 -2 -1 -7 -6 5 5 9 -4 0 -3 -2 -8 5 6 -5 2 -3 -4 -1 -1 0 0 -8 1 -7 8 -5 -10 8 4 -10 8 -7 -7 -8 0 0 -9 7 2 -10 7 4 6 -5 -10 -10 2 -4 -9 4 6 -6 6 -2 -3 5 3 -3 -5 9 -3 -7 4 -7 -5 -6 -5 9 3 8 9 -8 -6 -3 -3 -6 -3 2 -8 -1 -4 1 3 -8 1 2 -1 6 2 4 5 1 7 -9 -4 5 -5 2 -4 1 0 -5 3 -4 -5 3 1 2 -5 -5 3 -7 6 8 -5 -3 1 5 -7 5 -9 0 -4 1 1 3 -4 -1 -5 2 -10 -3 -1 -5 3 4 8 6 9 5 -8 2 8 8 -7 6 -4 4 -7 -9 -1 -6 2 -3 5 -7 -10 3 2 7 7 -6 -6 9 0 0 -5 -10 -4 -6 -2 -10 -1 -4 9 -6 4 7 8 7 0 9 -8 -8 -4 -1 8 9 5 -8 6 -6 -3 3 -7 -1 -7 -1 -1 -9 -5 7 -8 -4 6 3 0 0 -8 -10 -2 2 9 -8 5 8 -7 -5 7 0 -3 3 5 4 -4 8 -7 -9 9 -5 5 -5 4 7 -7 0 -8 4 3 -6 -4 3 -2 -4 5 5 6 0 -10 3 -9 -2 8 6 4 7 -4 8 0 -4 5 -5 1 -9 4 -4 -6 6 2 7 2 9 0 -9 7 7 -2 3 9 -1 8 -10 7 6 -2 1 -5 5 -9 6 -9 -2 3 -6 0 -2 0 4 6 -7 1 -9 -8 3 4 1 -8 -8 -6 -9 1 -8 -8 -10 0 -8 -6 6 7 7 -6 0 -4 7 4 -2 7 7 -8 4 2 -5 5 -4 0 -1 7 2 -7 -9 3 5 5 -3 -3 -5 0 1 3 -3 -1 -1 0 -3 -3 -6 5 -6 3 7 0 -5 4 7 -7 -6 8 -10 -2 -8 3 -9 7 -2 -1 6 -4 1 -2 1 0 -1 -9 -10 6 -10 7 1 6 0 -10 -3 -2 -4 6 1 -8 5 2 0 7 7 1 -4 8 2 -8 6 -7 0 -3 4 1 -10 4 -3 -10 1 0 -1 4 0 -2 -8 6 -6 3 8 9 7 -10 -2 5 2 4 -5 6 -1 -9 -10 1 -10 -4 -7 -9 2 0 3 6 -9 -8 0 -7 -8 2 2 -3 7 -8 8 -3 -7 -3 4 -3 3 9 -7 -8 -10 5 4 -10 -9 7 3 4 9 -3 0 2 -9 -10 -2 -6 -6 -10 1 3 4 -9 -10 7 -10 4 6 4 3 -10 -2 -5 5 -8 -4 -1 1 9 -7 -7 8 -5 5 -10 7 -7 -6 3 5 5 -4 0 -2 -3 9 -1 -9 -2 5 5 -2 -7 2 5 8 8 -6 -9 0 9 -6 -2 6 2 -2 3 -3 2 -4 -7 9 3 -5 -2 2 6 -1 3 -6 -6 -10 2 9 3 -10 7 -7 6 1 3 6 5 4 2 -3 -8 8 -3 -3 -6 0 -4 -1 -3 -4 -9 -7 -3 -3 -2 -7 9 2 -7 2 2 2 -2 -1 -7 3 7 1 -3 -1 0 0 -3 7 -1 -6 -3 -3 -5 4 4 9 8 3 -4 8 7 -5 0 2 0 -7 -6 8 -6 -10 1 -9 1 9 -8 -9 -9 -8 9 0 -4 8 7 -7 3 -7 -8 -7 -1 -2 -9 -4 -4 -7 8 6 -4 4 -4 -8 4 -1 -7 -5 -10 8 9 3 -10 8 5 -4 6 -5 -9 -9 -10 -6 -6 -1 -6 7 5 0 -9 -5 8 9 2 6 -8 -4 -4 7 -6 8 5 -7 2 5 -9 -3 3 -1 -6 -3 1 -5 1 -3 4 5 -5 -8 8 8 9 6 7 1 -5 1 0 1 -9 4 -9 -2 7 3 6 0 3 -9 9 7 -2 -8 4 9 0 -1 -3 5 -7 -5 -5 4 3 4 -4 8 -4 6 -9 9 -8 -7 9 1 6 5 -9 -9 7 2 1 -5 -3 -5 7 7 -4 -6 -6 -9 -9 -1 6 4 -7 4 3 -9 -8 4 2 -6 7 2 5 -4 -3 -2 9 6 2 -8 4 9 -2 -7 -2 -4 9 2 -2 -10 3 6 -4 -1 0 9 -8 2 -4 -3 -2 5 9 -7 3 8 -7 -5 -3 -3 -3 -9 -3 5 6 -3 4 5 2 4 -3 -5 0 3 -4 2 -5 -9 6 -7 -2 -6 8 -3 9 -6 7 -8 -1 -6 -1 6 7 -2 -6 -5 6 8 -10 -2 -6 9 -5 -4 3 2 8 0 3 -4 3 3 0 -7 -10 -1 -3 -1 1 6 -4 2 3 5 -9 -1 -9 -1 -3 3 -1 -7 3 4 -1 8 8 9 -2 -7 -5 -9 6 5 -6 -2 6 -6 8 9 -10 6 1 -5 1 -6 4 2 3 3 8 4 6 1 -1 -5 -9 9 6 -1 -7 -9 -8 9 -2 8 -10 6 -8 8 5 5 4 -3 -10 7 -7 5 -8 -1 -10 -10 -7 7 1 -6 4 2 -6 1 3 -3 -6 -3 8 -5 -5 8 -9 -10 -2 7 5 4 6 -3 2 1 4 4 -10 5 4 6 2 7 -10 8 -9 -6 -9 -4 -7 -4 3 -8 -7 0 2 -6 0 -9 3 7 5 -9 -5 9 3 9 3 -5 4 9 -9 8 -2 -8 7 -1 8 8 -3 4 6 -10 6 9 1 -10 6 3 -9 -1 1 -1 -7 6 -2 6 -3 -8 -9 -8 3 5 2 -8 -1 -9 -7 -3 2 -7 -9 -2 -7 -1 -10 -4 0 -2 -10 -7 -1 -7 2 2 9 3 -2 -4 -3 -8 -10 -10 7 -5 4 -4 -4 0 -5 8 3 9 9 6 -2 1 5 0 9 -3 -4 -2 0 0 -9 -1 -7 -9 -3 0 5 -10 1 -6 -5 7 -8 1 -3 -2 -8 -10 -3 -9 -1 -3 -6 -6 0 -7 1 -2 1 -9 8 -6 -8 -8 8 -9 -6 3 -9 5 0 -4 -5 2 0 2 -10 -6 3 9 7 -8 9 -9 8 -1 -6 -1 -1 -3 -8 -3 -6 6 -9 4 7 -4 9 9 -9 -1 7 8 -8 9 1 4 -7 6 4 -10 0 -5 3 -2 -4 7 -1 5 7 1 -8 3 -3 -6 -3 6 0 -4 -3 -7 6 7 -8 0 6 -5 -6 2 -9 0 -6 1 5 8 1 -9 -3 -10 6 6 -7 1 -1 0 -3 -2 8 7 5 -4 2 -7 -7 4 -5 1 1 -9 -7 -6 2 -2 5 9 8 8 3 -5 8 -9 -8 -9 2 -7 -7 9 2 4 -2 9 -10 -9 -8 5 -3 -3 -4 9 -10 0 -7 2 0 1 -6 -10 -1 7 -5 -10 8 9 3 -7 5 -1 4 -3 -7 -7 -4 -7 -6 -10 0 -7 9 6 -8 9 8 8 2 -2 -9 -2 -10 0 -5 -4 -8 5 7 6 8 2 7 3 9 -10 6 7 5 2 7 -5 5 -2 -9 0 -2 2 -2 2 -10 -9 -10 -9 1 7 9 -4 2 -2 4 1 -9 1 6 2 -7 -6 -8 8 -2 1 5 -7 -10 -2 -5 -2 -10 -5 2 3 -4 2 -4 0 -1 7 6 -9 -5 0 -6 8 3 2 1 6 6 -5 -4 -6 6 -9 -10 6 -1 -5 6 0 -7 -2 5 -1 2 -9 9 -9 8 -3 5 -7 -1 1 -8 -8 -6 -5 0 2 -8 6 7 8 7 -1 -3 9 4 5 -9 -1 -6 6 9 6 -1 0 0 -3 0 -5 -8 9 -2 6 4 2 -9 -6 7 5 -9 4 4 0 -7 3 -9 -1 -2 -8 9 2 0 0 -9 9 2 1 8 -8 -2 -9 -8 -2 7 6 3 1 2 0 -4 3 -6 2 6 9 -5 7 -10 4 2 1 8 4 -9 1 -4 4 4 -6 -2 4 -5 0 -7 5 8 6 -4 1 -4 2 6 -8 -5 2 3 -8 -8 -5 -2 -4 7 -3 -10 0 0 8 6 -5 -7 -5 9 -10 -3 4 5 -4 0 -9 -1 -2 -4 -5 -8 -7 0 5 7 -6 3 -4 -8 0 3 4 -10 -7 3 -1 -10 6 4 -10 6 -9 4 2 9 7 -5 -2 -5 -7 -4 -10 8 -2 -3 6 2 -10 -8 4 0 -3 -2 -7 -8 3 2 -7 -1 8 5 8 9 -1 -8 1 8 -3 9 6 -7 7 6 -9 -5 -7 7 -1 -6 9 -7 -4 -4 -6 -9 -1 7 3 -6 9 1 9 7 -7 -10 9 -4 9 8 -5 5 -9 5 -7 5 -10 8 2 0 4 -6 -5 -9 -8 -9 4 1 1 -2 -3 0 1 -4 9 -4 -3 0 2 8 -10 0 -5 -8 -5 -2 -1 7 -4 -9 9 3 -5 -5 -4 -10 8 -10 1 -1 -10 1 1 -6 7 -8 0 -6 2 5 4 3 -5 9 -3 -8 -3 6 9 -4 -1 9 9 -3 6 7 -3 4 7 0 6 8 -9 -3 -8 9 0 -6 5 4 9 0 9 -6 -1 8 8 -1 4 0 -3 6 -9 -4 -7 7 5 0 -7 2 2 9 -8 4 9 -6 -5 -9 -9 2 -3 -10 -8 -3 7 -6 -5 5 -5 2 -5 2 -10 -4 0 -7 5 -5 -5 1 7 7 -8 2 -7 3 6 -2 4 7 3 4 0 -3 -9 -3 1 8 4 -2 -8 2 -10 -8 0 -8 7 -4 -3 4 -1 7 2 1 -1 -3 -5 7 -2 1 -3 -9 -5 7 -2 -4 6 2 7 0 2 1 -8 3 4 3 -3 -7 1 5 8 -10 -6 -8 -7 -5 -1 -2 4 -1 -10 -9 0 7 0 1 6 -4 5 3 -1 -3 -6 -7 2 0 -2 -10 -4 9 -3 -6 1 -7 8 -3 -2 -3 5 -8 -1 -3 6 1 -5 -4 -8 -9 -5 -1 -4 -4 -1 -8 -1 -9 -5 8 3 1 -1 2 -3 3 5 -5 -10 -7 -6 -3 8 3 -3 4 -5 -6 2 9 -5 7 -9 -7 -7 0 -5 -5 1 -8 5 7 3 6 -1 2 -9 -5 7 -9 -10 4 -9 8 -3 -10 2 -6 -6 -5 6 -9 4 7 -6 0 -3 -9 5 0 -6 -8 9 7 8 -1 0 -10 -4 9 3 -4 3 -4 -5 3 -4 -1 7 0 -4 -5 1 -9 4 -3 1 -9 -1 8 -6 3 -10 5 -8 0 -6 2 -8 -8 -6 -2 -1 7 4 -4 0 3 5 -10 -7 -8 -5 -3 5 -10 4 -4 3 5 6 -1 -2 -2 -5 1 8 -9 5 3 6 9 -9 -5 -1 -3 -7 9 -10 8 1 6 2 -1 5 -3 -1 -9 -5 4 7 -9 6 -5 -1 3 -2 -10 -4 -6 -5 -8 5 -4 -3 -6 -5 0 6 -4 -9 -3 4 -5 6 -1 3 7 0 8 2 9 2 -10 -5 3 3 -5 -5 9 -9 0 -8 7 6 -9 3 -8 -6 -1 -10 -5 7 4 0 -5 5 5 -7 7 -4 -3 7 8 -3 4 -7 -10 9 -1 1 -9 9 3 0 -2 5 -7 -8 9 3 4 6 -8 -2 8 -3 5 4 -8 2 -10 -1 -1 0 6 -7 -5 -2 5 4 -10 -2 -4 -5 8 -4 -10 3 -10 1 8 4 9 -10 4 8 -10 -1 2 -8 3 -6 -6 -7 -4 2 8 1 -9 -5 8 3 3 6 8 1 4 9 -5 4 -8 -7 -10 -8 6 4 2 -2 5 6 0 -2 -10 -4 -7 8 9 -8 -9 2 -3 9 -5 -9 -3 -7 -6 -9 4 -9 -3 7 -5 -3 1 3 -9 -7 -9 -2 9 -7 7 1 0 -10 -1 -9 4 0 3 4 -8 8 -3 -9 -9 1 5 -2 3 -8 -5 0 0 -2 5 -7 -7 6 2 -8 9 -1 -5 -9 -9 4 -8 -2 6 5 -8 0 -5 -1 2 9 2 -3 -3 7 -9 -6 9 -7 2 4 -3 5 0 1 -1 -8 2 4 -7 3 -2 8 -9 6 -5 5 9 1 6 1 0 -1 0 7 8 -7 -9 8 -3 -5 2 -4 -10 5 7 -9 -1 -1 5 2 4 5 -8 -2 1 -2 -7 -8 9 2 -5 -1 -9 5 8 9 1 9 -1 8 6 -8 -6 6 -1 3 7 8 -8 -6 -8 -2 9 -5 6 -8 -5 2 -5 -6 -6 0 -5 7 8 5 -2 -1 -4 8 9 -8 2 -7 0 -9 6 9 9 0 -7 3 0 4 8 -3 6 -7 1 3 9 -3 -6 6 6 4 1 -6 5 7 -8 4 9 4 -1 -1 -3 7 -2 8 -3 -7 2 7 7 -8 6 4 -4 9 9 7 8 5 4 4 -1 7 1 -6 5 -5 0 -4 2 9 -2 9 6 -2 8 5 2 -8 -5 -1 -6 -9 5 0 3 5 -10 1 -8 -4 8 2 -7 -9 -2 0 -4 9 7 8 8 -5 0 -3 3 -10 -8 7 -8 -3 9 -4 -9 4 -1 4 -9 -1 7 -6 -3 -3 -2 0 -2 6 -9 5 5 0 -5 -4 5 5 3 -10 5 -3 8 -1 5 7 6 6 -7 -5 -8 7 -4 9 3 3 9 -9 5 -3 -1 6 4 7 8 -10 -7 3 -3 -2 -4 -7 5 6 2 -8 -5 -10 0 -10 -5 2 7 -7 -6 0 6 -7 -7 2 0 3 -10 -5 0 9 7 -5 -6 -6 -5 -8 9 2 8 2 5 5 -6 -5 6 0 0 3 -5 4 6 -8 7 1 -4 9 -6 -4 6 -4 7 3 -7 -8 8 -10 -6 7 3 5 -9 -10 0 -4 7 -4 -2 -3 2 3 -9 -10 -3 0 1 3 -8 -2 2 8 -4 -1 -6 0 -7 4 -8 -10 1 -3 5 -5 -3 -5 -7 -5 -6 -7 2 6 6 -4 -2 6 -2 9 -1 0 -3 3 -9 4 5 -5 6 0 9 0 0 -8 8 7 9 -5 5 4 0 9 7 5 -3 4 3 5 -8 -9 -4 1 2 4 7 3 -10 2 0 -2 4 -9 0 -5 5 -2 -8 -3 4 7 -9 6 -2 9 -7 5 -5 6 -8 -3 8 -1 0 -8 5 9 5 -3 -7 7 -3 8 0 7 -7 -5 -4 7 -6 2 5 -4 -10 5 7 -6 -7 -8 2 7 -9 0 8 1 2 -5 -7 9 2 -4 -2 1 -6 8 -9 -3 6 9 7 -10 -7 -6 -4 -7 9 -7 9 -8 7 2 -10 8 -8 0 -8 -3 6 -5 -4 -10 -7 5 2 -2 -5 -5 -3 -9 -6 -6 -8 -3 -2 -10 0 -10 6 -8 4 3 4 -4 -6 -2 7 8 5 3 5 4 3 8 -9 7 -4 -4 -8 -4 -10 -4 0 -8 -5 1 -8 -2 -7 0 0 7 6 -6 -6 -10 -6 3 0 -10 -4 -5 -4 1 5 9 -1 4 -5 -7 -10 -5 -8 -8 9 -3 -5 4 5 -2 -6 7 8 -10 3 4 2 8 -3 -8 0 -5 9 6 6 5 5 7 -9 2 -9 -9 0 -7 5 -1 0 -9 5 8 -9 2 -3 9 -6 -9 3 7 9 2 1 -1 7 -7 -5 -4 0 2 -7 1 -6 6 2 4 9 9 6 -8 -10 -7 2 4 5 9 3 -10 -10 9 -1 9 -7 2 -10 3 5 -5 9 -5 -1 4 -2 4 -7 2 -10 -8 2 -2 6 -6 2 -2 8 9 -10 2 1 -10 -7 -10 2 -4 3 2 1 -10 0 -8 8 9 7 -4 -5 2 9 8 4 -7 -4 -7 -3 8 -7 -4 0 -7 0 -9 6 3 -8 -2 1 -3 2 -7 9 -8 7 7 4 4 6 9 8 -3 7 3 0 6 -2 7 -4 1 -7 6 -3 -5 8 -7 8 2 1 -8 1 5 7 0 8 4 -10 -6 -9 6 5 9 -7 -5 -6 3 -9 -6 -8 -3 6 8 6 -7 -7 4 8 4 8 -1 -2 -1 6 -5 1 -4 1 1 0 -6 9 -4 6 4 -7 2 9 -6 7 -8 -7 3 -10 1 -2 5 7 -4 -1 5 -3 7 6 -7 4 -2 0 8 1 2 -8 1 0 8 -5 3 1 -5 -1 -2 9 -5 3 1 6 3 -4 4 1 6 -1 8 3 8 3 -10 -4 5 8 -1 -2 -10 -10 8 1 8 -6 4 5 3 4 4 0 9 -5 -3 2 1 -9 -7 9 -8 3 -5 2 -4 -5 8 4 -7 -10 -8 5 -10 2 8 0 -2 2 -5 4 8 9 -6 7 6 -7 -9 -2 -6 6 -3 9 -1 2 1 -2 -1 -8 4 -6 4 6 -10 4 -10 0 7 -1 -7 -8 5 3 4 9 1 0 -7 -6 0 9 -9 0 0 -8 4 4 -8 -6 -2 6 -2 -8 -6 -10 -2 7 1 -5 8 -4 -10 3 9 4 -6 -8 6 -3 9 9 9 2 -1 -1 4 5 -7 -1 1 -7 7 -10 -5 4 2 4 1 -7 1 -1 -9 1 4 3 -5 8 5 4 8 4 3 7 -4 4 8 3 -9 4 4 3 7 1 -5 -7 -5 7 -1 -2 3 -10 -1 4 2 -7 -3 -1 -8 5 -7 -10 -9 -2 -1 -10 -8 -3 -5 -6 -9 9 7 9 -8 4 4 -2 1 -7 6 6 5 8 -7 -3 -9 0 7 5 7 2 -3 1 -9 6 1 -7 6 6 9 7 -3 -2 -2 -1 -8 4 -1 -4 -1 8 -8 -5 6 -5 -6 7 -2 3 3 -5 -4 -10 6 9 -1 9 4 -5 -3 4 4 4 4 5 -6 7 -1 -5 -7 9 -7 7 6 9 -7 2 7 1 -4 -8 -2 -6 4 7 -7 -7 6 7 -10 6 -7 5 0 8 0 -4 5 9 2 0 0 -3 -3 8 -3 -8 1 6 -5 -1 8 4 3 -6 -7 -2 -2 1 -5 -2 -3 -1 5 0 9 -5 -2 4 7 2 6 9 -10 5 8 9 8 -9 5 -7 0 -5 -1 5 -1 -6 -7 -1 6 -2 0 -7 -1 -5 -5 -2 -7 4 4 -10 8 0 9 8 8 -1 7 -2 0 -6 -7 2 -1 3 -3 9 7 0 -10 -5 1 0 -1 2 -2 -4 -9 1 2 5 -7 1 8 -8 -1 -2 -6 9 6 -4 -7 9 1 3 -6 8 -6 -8 -9 6 -3 -6 -3 -2 6 -3 -3 7 8 9 -5 -9 0 5 5 2 -7 1 1 9 8 4 0 -1 9 5 9 5 -1 -10 -6 -2 6 -7 -1 3 0 6 0 -2 5 -3 -9 8 -8 6 0 7 -2 -9 -2 8 -3 9 9 9 -4 8 -4 5 1 0 5 -3 3 -6 -10 5 2 -7 5 -2 -8 6 -4 7 -5 6 4 -5 -1 -7 5 6 4 4 -3 -10 2 4 -3 5 -6 4 -7 0 9 5 -5 1 0 3 1 -5 -1 -1 -8 -4 7 6 -7 8 1 8 5 7 -6 4 -1 -1 -2 -2 -6 -5 -7 9 -3 -8 -3 -6 -5 -1 7 -1 4 9 8 6 -5 -2 -5 -9 -4 6 9 3 -4 6 -2 5 -5 6 -6 -1 3 9 -1 -10 -9 -2 -5 8 7 -8 -3 2 -9 8 -2 9 -4 -5 -10 -6 4 1 8 -10 -3 8 -3 2 4 -7 4 -10 -8 5 -10 5 -7 -5 4 -10 -2 3 -6 -9 1 -5 -10 -1 0 2 -4 -6 -6 -6 6 -7 -8 -6 -2 -2 -3 -8 -2 0 -1 -1 7 2 -4 1 -6 -4 -5 -1 -2 -2 4 -10 0 6 3 6 -9 -1 2 7 -6 4 3 2 4 -9 -4 5 -7 5 6 -10 9 -8 -6 -6 -1 -9 -5 -1 -1 1 -1 9 -3 4 -3 -10 -7 9 0 -10 -5 -7 2 2 -6 1 -3 9 -4 -7 2 -4 7 6 -8 8 7 -3 9 8 8 -9 0 7 5 7 8 1 7 -2 1 4 -7 5 -4 -10 -4 3 9 3 -2 1 1 8 -3 3 6 6 -10 -2 5 0 -1 -5 -3 -6 -8 7 5 1 -5 8 -4 -9 4 2 -9 2 8 -10 -5 8 -6 6 6 -7 -9 -5 -10 -9 3 5 -7 -8 -10 1 8 4 -2 -4 -4 -4 -6 -6 -3 0 6 -2 -7 -4 -10 -10 -5 -6 -1 -9 -2 0 -4 -2 -6 1 5 -3 3 -3 0 2 -9 1 0 -3 7 4 1 6 7 -10 6 -10 -4 -2 -10 1 -5 -9 -5 3 2 -7 3 6 5 -10 5 -10 -3 -4 -6 -2 -1 4 -2 8 -9 1 4 8 1 -8 0 0 0 0 3 5 2 0 -10 6 4 -5 -6 -1 -5 9 -9 2 7 -4 3 -4 -10 -9 -6 -9 2 0 1 6 2 -9 8 5 -6 1 -8 6 4 5 -6 -2 -10 -2 -1 8 9 0 -8 7 -2 5 5 -1 -2 -10 -8 3 0 -4 -9 5 -3 9 -8 1 -8 -6 9 6 1 -7 -6 -6 -7 -5 -8 -7 6 6 -10 -6 -6 -3 -5 2 -3 -10 7 0 -4 8 7 3 7 9 7 2 5 6 -2 -3 2 -5 1 5 -8 -5 8 8 -9 0 5 -5 8 2 0 7 2 -3 9 0 -4 6 -6 5 5 -9 -3 -7 -1 -2 -8 -9 -5 3 -1 -3 0 -3 8 1 0 -5 -1 -10 7 9 -1 -8 -4 -1 2 2 -5 -2 -10 3 -9 9 6 1 -3 0 -6 -6 5 3 -6 -5 3 -8 -2 5 9 7 5 6 6 6 0 -7 -5 5 -3 -7 -7 -3 6 -5 -3 -6 -2 -4 4 -6 -7 -9 8 -3 -4 -7 -9 4 8 -10 2 -5 -2 -10 -9 9 -7 -3 4 -7 -8 7 -8 8 4 -9 4 4 -10 -10 9 -7 -9 7 0 -3 -10 1 3 0 -7 7 5 1 8 6 0 3 5 6 -2 -1 -4 1 -3 2 2 3 -3 -6 3 -4 -3 -4 5 -1 -5 -3 2 9 7 5 6 -6 -3 -4 2 -1 2 -10 -4 -10 -1 2 1 -1 6 6 -8 -7 -10 -2 -9 -10 4 -2 -1 -10 5 -8 1 -6 7 9 -10 6 -4 3 -4 8 -5 -6 8 4 -2 -8 -7 -6 0 8 -10 0 -4 -9 0 2 0 -10 -6 7 4 5 4 -7 5 4 -10 3 9 8 -7 -6 4 3 1 -8 5 4 8 -5 -6 8 -2 0 -10 8 5 -8 0 9 1 6 5 -5 -10 -8 2 2 -3 -7 -8 0 -2 6 5 9 0 1 -5 -10 -2 0 9 -2 2 1 9 9 3 -9 9 -6 8 -4 -8 0 -10 4 -8 -3 -1 -6 -1 7 2 -6 -2 -8 -3 -4 -8 -2 -2 3 6 -10 -6 5 -10 -1 7 1 -4 -3 7 -10 7 -1 -4 9 6 5 5 -5 3 -3 -9 3 -9 -1 1 5 7 9 -1 3 2 -5 -9 2 -3 0 5 -5 7 -6 -5 4 3 1 -5 -9 -4 2 8 1 9 9 7 2 -2 -2 -3 -5 -2 -2 1 -10 -4 -6 -6 3 4 9 8 -7 5 5 -1 -2 -4 4 -1 -6 -4 -3 -2 7 8 -5 -1 -3 -5 -2 -6 3 -1 -3 -5 5 1 -1 -2 7 -10 8 -10 -3 3 -1 5 1 5 6 -3 3 5 5 -8 4 2 -7 3 8 2 7 -7 -9 -5 -1 6 -2 0 6 -4 -7 -4 8 0 1 -2 8 4 5 4 -9 -1 -8 -1 1 6 3 5 -1 -7 9 8 -3 -10 5 -2 -2 -6 0 6 -8 3 -8 -10 6 3 -10 -4 -3 6 2 -10 -5 4 -9 -2 -8 5 5 -7 8 4 -8 7 -4 7 -5 -4 3 6 -8 -3 -9 6 -2 -1 -9 -2 5 -10 -6 -2 -9 -9 4 -8 -8 7 -1 7 2 -2 -6 4 7 -8 -6 -7 -1 -1 1 -7 7 -6 -10 -5 4 -9 -5 -9 -8 0 -9 5 -7 6 -1 -5 -5 9 5 7 9 9 -6 6 -9 -2 1 -8 -1 -8 -4 -4 9 -4 -7 3 9 -1 -4 -9 1 -2 -2 4 6 8 2 3 -1 -3 -8 -2 -4 -4 6 9 -4 -10 -8 6 4 -2 4 3 -4 8 8 -5 -3 -5 9 0 -5 -3 -6 3 -5 6 -4 4 5 -2 4 3 -3 -7 3 3 -7 5 -9 7 5 6 1 -9 -4 -1 8 -5 -4 7 5 -7 -5 1 6 -8 -10 -8 -1 5 -7 -7 -1 0 -4 -8 5 -9 -1 -1 9 6 7 -8 -1 -7 1 -3 -10 0 7 5 3 4 -4 -8 6 -4 6 -5 4 9 -9 -7 -9 9 7 -1 -9 -4 8 2 4 -3 4 -7 0 7 -8 0 -3 9 7 3 3 5 5 0 4 1 -3 -2 -7 -10 1 6 -10 -10 -5 3 8 5 -5 2 -8 9 5 -6 6 7 -4 6 -1 -7 -1 -8 1 6 -6 -5 9 2 -5 -8 2 -2 9 -6 -2 6 7 -4 -6 4 8 -4 -5 -5 -7 -8 -8 -1 0 1 -5 1 -4 6 -3 0 -9 -4 -8 8 -9 -3 -4 2 -7 4 -2 3 -10 2 -3 0 1 3 5 4 -3 -1 -7 7 3 -2 -10 9 6 -3 -1 -1 -5 -6 -3 8 -7 3 0 -4 -3 9 9 9 -7 9 -1 4 -6 -6 -2 1 -4 -6 -10 9 2 -10 0 -9 9 1 0 6 5 8 5 0 1 -5 -1 1 6 -10 0 -10 9 2 4 -7 -2 5 -4 4 9 8 3 -7 8 5 -6 -1 -3 5 -4 4 3 3 -5 6 8 4 -3 -3 4 0 -3 -4 -8 3 -9 0 -10 -10 -5 9 8 0 5 -1 -4 1 0 -5 8 6 9 -7 -9 -6 -10 2 0 9 9 7 -1 8 5 1 1 6 4 2 -2 9 -7 -3 -9 0 -2 9 4 8 -6 2 -3 -6 -2 -2 -10 -2 -10 -7 9 1 -10 -1 -1 5 2 -9 -7 -4 -5 2 7 -10 1 9 -7 9 0 7 7 -3 -9 -6 -7 -1 -5 -7 -1 7 -4 -1 -1 8 8 8 3 -8 1 -1 -1 -2 -9 -4 -9 -6 7 -6 -7 -2 -9 2 5 -8 -1 0 2 4 -5 -9 -7 2 -8 2 -8 2 -7 6 5 -4 7 -6 5 0 0 6 4 -10 2 -1 -2 3 -9 5 -3 -8 -5 1 -2 0 3 2 4 -3 6 7 -10 9 -5 5 8 -8 1 3 -6 -9 -9 8 -9 3 -3 -9 8 -10 -2 -5 -7 3 7 -7 6 -8 5 -8 -1 -6 1 -9 -7 6 6 -9 0 -3 -4 4 -9 9 -6 4 -6 1 -2 -8 -6 6 -2 9 -8 7 -8 0 9 0 2 -10 4 -6 -8 -1 2 0 -7 -7 0 -9 -1 1 -9 4 7 -5 7 -5 -2 3 4 -2 2 6 -5 -3 -4 6 7 0 -2 -7 4 -8 2 9 3 -3 4 5 -1 -7 8 0 -1 5 -3 9 3 -3 2 -3 5 7 5 2 6 3 -10 -5 -7 -9 -2 0 -7 2 -1 -2 2 -7 -7 -9 8 3 -7 -10 -1 0 9 4 0 -7 3 -5 2 -2 0 -2 3 -8 3 -2 -7 3 0 -3 -4 9 -3 8 4 -7 1 -5 6 4 -5 7 6 6 1 -4 9 6 -6 -6 6 4 2 -1 6 8 8 2 1 -2 9 -1 -10 8 9 -4 -9 0 1 0 6 -2 9 3 -6 1 1 -6 9 5 -10 6 -9 2 -5 0 0 5 -8 4 6 3 -7 -2 -7 -7 4 7 3 8 -3 0 -4 -4 5 1 -1 8 -3 -1 4 -3 -5 -3 1 -8 -1 4 0 1 -2 -4 6 1 4 -10 4 -10 7 -10 8 6 -8 7 4 7 -2 -6 5 -3 -5 -9 4 -8 -9 7 -6 0 1 -4 4 9 -6 -8 1 8 -8 7 1 1 -1 -9 9 1 8 4 -10 -4 8 -2 -5 5 -9 9 7 -8 7 3 -5 -260 167 -9 163 646 -817 515 115 29 -167 378 98 12 -195 187 -640 -340 -18 -282 -148 153 -659 245 134 211 71 -231 -484 118 -209 533 233 352 74 792 -267 -134 -115 -114 205 486 196 -158 332 -188 -148 672 -53 218 314 177 600 816 682 37 -125 756 852 384 124 673 -139 118 200 442 52 -150 239 155 98 10 296 559 636 -655 167 -26 31 -236 -273 217 260 473 -142 33 -290 -69 307 -51 379 -88 155 71 720 -266 395 -180 373 137 -68 -133 328 -66 104 -302 588 206 14 -112 -113 -195 270 89 799 369 -103 98 145 260 506 112 390 -75 112 432 352 8 252 90 628 -141 176 0 417 -127 846 297 -11 -153 -39 71 -110 147 387 482 333 11 258 322 509 349 -149 222 276 -422 -192 445 260 -275 -504 -7 -355 -417 -315 -211 28 160 651 508 -120 612 513 276 175 653 -324 -41 -193 430 -219 240 -76 -5 -266 175 62 210 -126 191 -145 95 -475 294 234 231 -25 -245 142 389 427 -503 -254 -883 -534 -661 -50 23 44 -93 67 -45 -225 252 573 -1 101 384 -50 -646 -466 65 11 450 159 -225 -167 122 -838 190 -696 -101 476 -331 -373 324 -120 203 -122 250 68 625 344 51 -12 -221 -391 -31 47 53 99 156 -149 69 387 -419 215 54 -391 131 9 -323 133 78 -119 -228 389 374 -464 84 -299 1 -55 -218 412 316 -616 -346 23 -784 45 334 35 81 -79 174 -241 544 -384 104 -18 -233 -340 395 -84 -268 -205 331 224 -55 71 190 190 398 239 12 140 94 97 -333 -320 604 -390 -21 377 320 -317 -518 371 798 -203 -36 -586 -143 550 -71 225 97 318 264 553 555 198 -550 317 495 270 -75 156 -425 251 732 410 524 194 -336 368 -282 73 -102 298 285 -722 607 322 180 -601 -25 426 229 80 87 -10 662 -201 241 -88 -217 465 -606 397 -241 137 32 297 -526 -126 160 -208 -796 -33 441 167 -530 86 90 113 207 394 106 213 -129 93 320 589 -150 415 163 -342 383 79 270 -223 -432 147 191 -130 -686 80 -31 336 812 -372 320 -166 -531 407 326 196 -132 -923 -42 336 615 327 -158 81 225 -172 -72 -318 -424 102 -32 -421 147 -178 71 159 392 540 824 -38 48 -153 -198 151 -115 310 -91 48 -312 269 -39 399 -91 616 275 -242 -444 795 -34 -100 31 -24 276 158 431 -61 -183 159 -71 82 126 248 -426 -381 314 446 -247 -970 -279 -175 628 373 179 449 -785 -617 -133 -6 -839 385 -278 -67 -218 530 711 -419 159 -86 492 -264 134 -31 -52 -631 90 241 -253 262 571 -53 146 191 216 102 -259 30 -68 237 -173 -133 -312 173 -449 -217 -27 60 -57 237 533 153 130 8 79 -370 -211 -73 56 -206 -315 578 -231 -10 -240 -82 -401 533 273 111 189 -44 79 202 431 15 -37 -449 141 -112 -4 -286 96 329 215 -378 -54 208 252 -647 -387 -77 185 270 -423 432 670 -514 -345 235 98 89 95 -573 -291 316 396 -268 -565 -356 3 408 -137 -184 -55 305 58 -382 -338 -165 102 -128 -56 68 143 -32 208 -221 -423 114 464 -236 50 568 -210 -199 -436 176 35 203 -376 -574 131 523 -296 -296 -278 -28 106 408 152 -446 -501 -124 67 112 107 -653 -262 -3 549 240 192 231 -417 -72 -387 -308 120 -330 -143 -246 -127 138 25 -133 64 -501 197 -315 -7 151 94 113 -398 -110 -130 1 6 481 114 191 92 214 -37 -339 133 500 -695 327 196 416 -433 247 156 380 101 -129 -82 -101 363 165 332 309 -325 -123 -133 -618 124 -467 17 215 -291 -251 -104 -440 474 163 -8 -342 -144 -78 -310 323 -131 -204 -435 -156 604 240 196 0 463 205 85 -42 -11 209 -411 -140 -265 -94 -455 -73 -550 309 -164 -443 83 748 679 -180 302 355 -145 -18 200 -116 -559 188 213 -536 -50 -148 -255 -119 277 68 -341 -708 -145 307 111 -36 -118 340 282 -13 -668 449 364 -154 -81 208 342 -262 -51 -286 -497 -175 202 39 67 165 269 342 92 325 605 -219 -392 -183 -185 -53 -79 101 -28 300 234 -9 260 369 -50 183 55 -232 -16 768 164 297 119 435 -125 -355 479 -215 -467 -37 393 214 296 -25 -144 242 61 -75 13 271 216 -80 -175 106 -490 -383 28 871 -384 25 546 -491 0 380 352 195 -51 196 125 -49 -565 20 484 63 -349 -144 410 -591 226 510 203 -678 531 -360 165 143 267 73 92 139 -140 452 -287 -67 149 442 253 -85 -29 -169 64 146 -261 235 27 188 46 343 561 406 -252 123 -101 324 60 -133 -24 -250 375 213 -838 120 19 325 -324 -130 235 348 158 -238 538 -132 543 185 159 -271 432 -449 -134 308 -195 -296 -15 -157 91 -688 -346 760 90 -218 109 -50 -202 166 -225 -317 396 2 -471 -331 -354 58 285 198 79 172 342 -39 -89 241 -387 367 321 30 -81 479 559 -424 194 -204 -460 -32 -225 -195 378 35 171 -198 -53 -56 -79 -301 23 -49 -55 72 -348 -469 192 101 -487 206 -24 9 -333 154 399 58 721 225 -686 567 -60 -337 -261 196 -189 -188 196 -164 144 82 -419 168 -198 -178 -427 -313 11 165 216 -299 195 29 210 46 186 58 136 -122 293 -172 216 604 331 -425 90 374 1299 133 223 -853 -945 -483 393 90 -515 489 678 34 190 399 626 615 -60 -148 712 -455 -69 -214 0 54 -379 -504 -226 331 290 268 44 -281 -201 -146 139 -50 87 56 182 150 386 -111 186 -172 -53 -121 -108 102 -423 -96 -330 212 306 -666 246 194 344 132 123 7 -289 -328 -186 -1 -365 221 -215 -266 402 -100 365 -200 206 257 202 275 287 461 376 123 225 310 -214 -405 -287 -370 14 573 596 123 -354 32 -57 181 87 404 -536 266 55 79 503 259 176 37 732 -46 96 638 486 -9 129 206 -442 471 4 550 590 681 -216 -18 -45 -389 54 -86 264 -283 205 560 -107 388 -110 203 -121 200 306 -554 470 252 366 -349 -418 519 -340 499 -34 127 -125 -147 -260 -213 -70 695 -151 -69 243 641 497 -312 -288 -259 -237 -290 53 -13 555 190 788 -313 -186 81 199 -183 -101 -30 922 503 550 8 -80 53 25 -34 -308 527 -148 -231 -158 -109 396 506 108 453 47 75 362 -286 56 -130 -124 251 377 84 216 -33 73 354 -1 -278 187 332 48 -22 4 116 545 457 -235 -157 -160 214 -568 217 -261 -70 -174 -19 -321 80 299 -162 -171 547 59 -406 468 -2 -338 173 441 12 680 29 93 -275 231 73 277 389 607 -24 454 44 -62 -435 -272 -34 -441 54 -158 264 331 -564 -105 -526 -460 -108 -339 236 -348 -178 345 90 630 -345 -178 653 -46 214 566 -348 35 315 168 435 46 106 80 315 -19 294 -69 -12 -160 -379 220 504 146 456 -167 159 165 -350 24 -162 -14 -93 -150 68 -102 429 197 -223 206 168 516 896 -466 375 266 120 25 266 -103 -140 187 89 -328 17 224 405 -38 -248 317 -99 -267 291 -330 81 -100 403 401 -402 293 -683 201 508 -68 59 521 -899 190 -437 -396 -945 465 -240 430 -264 382 609 99 -251 -366 -40 -541 565 -93 -171 -227 -165 -156 402 243 253 163 81 804 386 -74 -437 182 91 -613 -214 143 -417 364 -271 -629 -431 69 -303 38 -8 599 240 -253 416 99 -15 -456 18 18 -93 171 268 -83 90 -382 297 -477 325 -196 402 -146 -855 -65 627 -9 810 449 165 -243 -368 191 249 -266 -487 -596 -407 -423 -200 167 110 -646 824 166 248 -296 105 29 -20 -4 -30 123 349 355 101 -415 -485 347 141 159 404 126 -267 39 146 564 220 -560 61 -280 285 180 447 668 207 378 239 333 156 -3 235 -175 -241 89 -793 58 -434 -382 -51 148 383 -128 -769 32 -295 140 -456 -117 -10 79 -160 15 -735 246 306 -521 -88 288 -363 -234 -314 360 -242 -406 158 191 -217 -638 121 -150 -191 88 254 132 149 -50 35 328 445 -322 252 453 -419 -16 -111 -235 70 -499 -447 89 116 -461 -276 -17 -156 -371 38 -122 -101 343 46 -204 -17 301 -32 -30 -367 -337 189 -726 -47 -386 137 -750 -286 -99 -16 277 -207 93 331 -240 -312 -348 -689 -317 109 727 -495 311 -157 215 322 -239 -494 -157 855 60 155 679 260 -471 -107 103 146 148 -241 -185 358 -53 293 -603 429 -385 -397 92 -62 -769 417 -203 73 117 -1 230 59 284 -569 -185 118 247 -255 -1014 -121 -275 -161 -660 -464 -166 -20 336 -297 44 -403 -96 -611 243 527 -515 -396 130 -25 212 -279 -253 183 295 -123 -454 -328 263 -33 -183 62 10 -353 290 738 -316 112 494 714 -345 -251 -630 -55 -412 236 23 -35 -236 343 430 342 459 -352 109 -249 4 46 -233 48 -11 417 -530 -269 426 460 -15 -162 468 255 238 268 244 177 539 67 -51 -104 7 709 200 359 -324 -310 83 297 11 470 -512 -40 -380 -126 83 -118 -514 254 829 885 -495 125 366 298 191 460 290 -12 21 573 324 -668 -597 250 -180 -50 -240 398 -9 -156 151 -362 -15 -461 -113 470 -491 162 12 517 189 723 631 243 48 -300 -888 123 122 611 -383 -171 426 313 -92 92 311 143 -13 196 -256 472 -60 103 123 -429 -183 -411 88 -567 148 -55 160 -68 -653 -956 520 -10 -420 -226 443 -43 -345 -223 121 260 -73 -290 -41 -41 206 -586 -248 477 -126 415 -111 -86 -303 9 -334 46 69 -502 -413 92 452 -17 -557 227 -63 -235 -353 356 -210 -88 -25 -839 -312 -40 -182 -111 110 -175 -119 -718 173 27 -576 274 231 662 -671 -597 -325 -73 31 -156 -444 -266 -329 -173 813 -73 126 -313 -59 -34 -628 42 157 -267 -40 -288 -568 -517 -720 410 -182 556 -763 198 716 296 91 -595 19 -454 349 -81 -213 -78 125 172 64 -291 633 92 -484 311 -271 -336 -198 -54 419 -582 -62 198 229 204 141 -5 70 46 -165 24 -231 -187 -300 -311 -152 -339 251 -155 -248 -919 -336 -196 -44 -360 162 -588 113 273 -594 152 -121 8 -413 236 -115 106 321 86 -157 -405 -418 569 447 204 225 -187 -31 -382 -454 19 -532 176 -123 -294 -220 -87 -253 -446 -472 36 407 489 -167 210 98 -609 37 -258 -342 -117 -409 -243 -324 -202 304 -78 -258 737 -879 82 -206 -171 567 372 -462 -267 -366 6 -80 -253 -20 -190 120 277 208 257 -178 56 -40 -457 354 353 4 -863 -474 543 195 605 -605 490 -210 214 -296 219 -84 -146 155 -387 -143 -551 -280 57 294 609 235 135 -182 230 303 100 552 8 306 351 41 -129 215 -645 -38 67 69 57 -178 -317 -127 -261 -153 336 23 -116 -412 81 118 -299 833 39 -63 372 -440 140 24 -428 -653 -281 -285 -478 -44 -518 654 -610 146 -61 -472 -7 230 40 387 515 -54 -559 -275 -156 -175 139 -455 120 524 656 725 -26 53 -179 599 7 483 -728 -69 120 -684 195 526 227 152 -239 -580 216 146 -369 -542 -350 -494 139 -270 -287 197 37 -240 -263 292 -76 387 242 236 -77 -183 -202 -321 -51 -89 -62 634 -386 407 -416 -671 437 470 -155 -471 38 611 -686 -593 -159 -175 120 -81 870 555 -205 18 -548 10 -185 -315 -89 -841 -454 -288 -242 -421 215 -137 -345 720 405 188 68 -847 315 -8 -591 -5 118 -21 272 250 -412 -131 -515 -61 63 -321 739 -510 -42 718 -381 -53 182 -277 -53 478 -709 -145 -27 598 327 220 512 -120 177 -167 324 -308 -344 -624 -174 317 296 -622 335 275 736 456 304 -193 -244 -122 -173 -142 -274 -255 -444 195 -79 324 259 204 338 -501 -185 -273 134 579 -133 175 -123 540 -125 -130 -317 222 -38 -244 303 241 -115 -116 -66 -155 46 -234 338 40 -64 436 235 -154 229 139 255 194 25 371 241 390 12 -246 485 -851 442 -416 289 55 -822 60 305 186 120 -478 -4 -24 -397 -506 28 -175 -463 -8 -593 336 -205 -276 112 -359 193 -175 -280 -267 154 -31 92 5 -412 -122 10 539 -93 97 141 -519 -114 398 -323 270 -43 236 107 -392 165 147 653 -95 535 174 -58 -140 263 -221 -367 -98 176 44 -278 -486 68 4 -15 -311 169 -55 -227 11 100 209 -380 -536 222 1 -149 129 613 -114 -5 183 -53 -383 139 366 -405 -557 4 179 -145 -461 21 -298 224 424 -18 184 -426 105 160 -670 311 389 -51 -466 566 187 -213 -11 110 230 -61 196 -119 -217 213 -642 3 80 -286 -604 220 138 -556 65 -58 201 -123 -223 143 38 269 218 -332 -177 -34 113 -160 304 289 38 209 176 100 78 160 -433 -242 124 269 8 -15 -347 -387 -114 306 -134 92 446 218 -373 186 227 384 -64 -88 -198 -101 367 -811 767 278 100 535 -12 -82 -718 91 505 -183 295 153 -415 227 832 -14 -339 -289 137 -735 92 212 -70 -28 9 -7 -173 305 103 69 100 -28 -102 -29 99 47 -23 99 -60 -4 -20 819 347 108 136 58 -319 -104 -8 313 21 -283 234 -17 636 210 484 140 -139 160 -502 -96 688 51 220 -143 327 -417 479 287 192 898 -54 504 -125 83 326 585 584 -216 -291 299 -155 -263 146 -13 85 31 188 38 -202 -71 -551 356 -28 195 115 168 355 93 240 442 885 793 -214 149 -136 71 73 88 268 942 571 414 134 -45 -505 -363 84 -429 426 -79 207 -262 407 394 481 -150 -459 -786 342 -277 -301 -491 493 -62 405 567 25 -78 349 58 -516 257 428 -462 120 -768 486 -404 -57 -392 -269 -90 -363 488 -411 -193 162 -150 -405 -537 455 121 -301 -385 -374 435 13 -615 717 152 204 58 -794 279 -258 282 -331 -493 -26 315 -218 -363 229 -346 171 161 481 -748 -318 -131 -409 2 184 261 330 164 -303 301 159 309 -273 766 -144 298 -273 -102 175 -817 -156 67 132 -117 -296 322 121 -236 414 -59 323 43 -297 -135 145 -350 54 -138 46 -575 -83 -524 273 -613 103 7 -401 -714 -247 51 571 -210 -41 377 237 319 -6 -147 -162 -272 130 -185 -149 -808 -66 -322 613 -208 -484 251 45 -440 288 -373 550 100 -572 205 902 695 -136 545 57 267 -711 -90 450 471 -395 -103 -589 326 439 45 595 387 -505 351 -37 514 -610 -514 151 105 799 721 -62 -92 306 76 -290 -124 101 314 684 -370 99 1 -231 157 266 435 480 362 224 -170 99 -187 435 57 -131 -194 53 -73 3 161 461 -61 126 67 154 269 364 -85 352 183 -396 633 208 -137 341 328 370 428 -311 182 139 -7 -213 237 -582 583 -43 -389 19 -352 447 -110 -348 157 -27 -120 -290 53 316 555 -600 317 -413 -242 237 -56 39 -254 -335 -284 471 551 -97 -182 122 213 133 415 196 -172 -9 -598 104 -189 163 185 133 294 341 436 -84 194 342 751 -225 330 293 -624 518 -492 364 -157 36 140 87 290 -70 -339 -341 397 -208 -129 280 350 566 -684 44 -26 -297 -377 -234 85 -385 -202 -24 1 178 214 -39 -38 -423 77 209 12 -47 -166 -100 -169 -168 639 612 -210 -281 344 44 198 184 177 -309 -309 -168 276 -156 -59 203 -205 -187 -23 -129 -220 24 -29 471 -179 -9 -94 206 235 473 -7 -402 -49 5 -277 128 -15 -324 246 68 -74 380 257 -192 -565 -321 269 193 -94 303 305 208 218 98 17 -84 -109 -179 -222 267 297 47 -121 -363 325 189 52 185 -544 289 107 98 -26 82 -341 42 -28 -584 337 317 -405 -213 186 -364 -311 -78 -302 -302 -53 -114 -309 -286 129 -72 140 -253 448 147 -104 -151 311 324 87 -646 -85 -153 193 465 611 -167 -88 -254 164 -94 -180 553 179 -17 -302 -229 -291 -8 267 -12 120 552 40 -138 -398 -129 -589 -133 167 -48 -411 -143 187 211 202 236 -394 310 -70 85 -335 -106 664 206 -169 -761 84 -318 92 276 574 300 346 36 -254 -292 -226 233 -201 20 264 -209 201 -199 -583 297 216 -148 466 793 104 66 -80 144 331 -262 -179 -78 59 131 -220 -369 -652 -177 -649 -433 12 -76 -43 91 -73 511 128 -238 75 -426 177 -254 480 -110 363 226 -98 -227 189 -308 -137 135 187 184 355 -195 660 -276 115 149 145 239 -472 442 66 194 -330 -75 349 507 96 -528 453 497 371 -244 -266 -54 29 -62 -143 -182 270 267 -32 -178 208 29 14 -385 -497 -690 -482 311 97 152 -189 -40 -344 -275 -91 -130 -202 195 279 101 631 428 141 84 439 -383 224 206 125 128 165 -12 19 169 136 64 -73 -314 615 339 -529 -155 714 238 -292 365 -420 445 -365 -411 42 -123 -673 -120 -135 -1 -167 377 65 -746 405 381 -7 164 251 -124 243 91 -130 -550 -559 166 -366 511 -73 -88 70 -125 190 224 -18 203 295 236 -192 558 -282 91 -350 194 -377 -697 -46 -235 291 -233 338 12 -233 325 -109 514 143 259 -67 573 298 263 -344 23 542 469 581 -380 -463 951 212 -279 75 310 274 -321 7 288 -38 -362 -742 -674 -273 -301 323 282 -361 611 222 -487 -120 -122 -235 539 -470 -364 38 341 331 380 933 320 -267 -218 179 -426 295 373 215 1145 -444 338 183 86 -127 536 465 -426 463 181 1 -57 2 11 -127 445 -29 38 161 262 -488 -252 -211 479 266 35 225 -701 31 176 -183 71 -519 610 -92 -107 -31 6 269 452 279 70 -101 -90 703 82 -259 -507 452 595 493 147 -222 110 -391 433 -162 66 459 372 340 -384 -167 -457 564 -262 1058 435 393 85 362 373 -556 -140 40 -494 -48 -296 258 326 993 -340 -390 101 -407 123 171 -304 792 -389 -178 -608 547 434 72 264 48 -228 -197 6 -386 237 607 285 33 181 38 -151 12 36 32 212 32 -606 109 -549 461 172 -79 -447 264 -557 55 -280 -75 154 202 183 289 -198 102 262 418 4 -348 -215 367 -480 66 428 -320 -11 66 -64 74 99 -80 62 -617 46 23 -259 -300 225 -249 -494 249 -26 -135 -639 41 -19 234 653 -557 -119 349 -265 12 -508 233 35 -140 -3 -339 288 160 -146 -292 185 66 346 163 -230 225 330 -132 -399 -572 74 -488 -515 183 -210 292 -425 -154 -348 -24 271 -358 -182 -287 135 -533 -201 -430 177 170 -440 -457 129 179 -94 -458 -117 309 96 -90 -483 469 -279 -338 636 -570 -334 17 -203 323 -507 272 158 -308 -57 -83 -47 -459 302 20 17 30 61 308 -488 359 439 1 526 -258 254 -355 375 182 -331 -237 -33 281 523 -104 -342 -134 -784 110 -644 409 -116 -124 -249 -327 -631 -123 -384 -643 196 -28 -353 -54 45 289 94 -2 180 324 332 746 -384 -378 -207 -91 146 -76 1 40 -234 -513 586 -330 202 1 -253 -295 -41 -73 -210 -79 41 363 37 324 271 71 -500 -610 223 -89 738 -35 31 -71 5 -251 45 66 -741 -15 58 -49 -324 -150 213 282 -88 -589 -287 60 -129 78 276 433 -158 -45 298 -288 -340 -106 -48 -77 -80 -276 337 -72 137 649 312 262 147 384 229 284 -47 72 763 7 -269 260 -707 -419 -768 150 111 -540 -24 -28 50 667 856 -197 173 141 -160 -783 246 585 499 164 298 -283 177 -105 160 -30 77 47 -160 247 -409 -86 369 354 72 52 -488 -155 439 -387 -147 -241 -559 -118 -61 598 196 159 -71 -130 -127 -618 -49 -221 -162 164 235 446 3 -116 343 226 24 -264 113 -725 -5 468 -145 -382 -213 6 376 -99 -9 45 -15 19 -106 -647 68 -108 324 403 -746 -444 -524 60 62 89 316 77 -31 271 -340 271 -152 -461 293 297 -58 -23 134 183 -394 246 -21 165 76 -33 -316 -67 198 193 -193 -672 -54 269 -316 -248 682 -433 246 -289 -241 -859 303 -60 -152 -280 -298 186 167 -261 303 86 -99 162 -180 327 231 527 -34 -688 -150 149 443 -432 -113 126 102 -122 232 -89 61 -636 -157 -184 166 -597 -419 169 552 -392 -387 488 -82 238 186 -312 -138 241 -309 182 331 400 107 -234 196 -238 74 -27 125 20 248 -352 458 541 -187 31 245 118 -333 401 553 -94 -268 -28 135 96 150 -216 121 690 155 -141 -627 526 284 -34 -428 -88 450 379 -70 176 -864 478 312 -340 -26 120 -203 595 -96 218 366 -150 298 46 -6 -232 409 348 -111 -132 -108 -189 71 108 287 107 156 565 387 211 -28 -329 240 -196 724 -493 -423 -147 362 361 -300 -29 83 643 93 129 161 37 488 -624 92 -601 -135 -679 -626 191 -227 -129 -79 151 -92 32 246 -284 -16 737 478 830 185 43 451 -154 125 -620 541 -214 -53 252 286 -163 -86 -264 4 -256 62 366 54 165 -106 -92 344 -5 143 638 410 -454 467 -426 -215 -669 183 200 -34 -11 19 -209 717 -428 419 -290 -219 -347 -50 -286 -505 239 245 -151 6 222 336 260 -261 32 189 69 -158 483 -153 166 -359 -34 219 493 82 346 250 73 9 77 336 -323 494 28 -103 -283 -273 357 492 90 554 -1253 321 -227 163 -167 435 -195 -151 164 -67 -324 -273 -5 341 -78 105 -107 515 -75 274 163 173 257 363 -674 -429 -531 459 153 478 68 -679 352 -584 -46 526 621 -371 13 529 348 -446 -29 645 -443 3 239 -575 375 272 89 -127 -624 -148 -153 103 18 -231 -82 290 380 579 -183 195 -110 -211 189 -101 305 264 123 -569 382 -81 353 453 205 236 12 -272 -27 -434 -127 -1 416 -345 743 646 -162 264 249 459 345 61 215 58 150 19 505 272 -1098 -46 328 266 66 696 -170 68 -366 216 -371 139 322 -509 -185 -231 187 -567 -96 412 396 -6 451 -332 -235 -228 387 -79 223 -63 494 -216 494 441 -444 451 -237 374 -336 -52 76 119 -122 -375 554 -293 162 -84 198 -120 81 521 -339 -453 -154 265 108 -215 417 -25 13 222 276 684 945 226 311 261 132 -213 269 136 -239 29 69 -182 -103 930 -122 -309 -336 660 -220 147 -273 101 90 103 -373 -131 551 -138 -332 -478 -278 -331 -626 440 248 27 -290 274 197 -55 800 501 510 -234 229 -362 391 -574 -104 228 407 -46 386 260 -6 406 47 206 -44 208 -472 -23 317 343 -781 80 -671 530 -3 101 198 354 564 481 -124 267 453 333 -390 81 66 109 112 -57 393 -596 -40 -262 -74 -115 199 273 -394 196 -88 139 605 232 358 135 180 -352 341 -82 1 -183 -383 37 244 70 -183 79 134 131 -639 494 116 109 67 -278 756 23 203 339 191 -94 -534 307 -624 -109 136 31 65 5 245 251 515 -16 117 -95 -106 59 539 -300 2 234 6 -498 -96 507 136 88 37 19 15 -354 -8 20 286 135 299 610 241 -514 71 70 -326 -135 458 80 168 151 -96 -708 -215 213 -88 316 200 404 30 101 284 91 287 -122 306 51 658 434 488 492 -357 464 -78 748 60 322 -64 38 267 -188 322 -16 -158 -345 -27 11 -473 28 66 292 -643 -301 -126 428 369 48 -186 -274 -186 453 -233 981 -414 -256 87 -453 -122 177 447 914 30 211 -79 -444 -30 426 -145 -308 -220 173 180 248 214 -371 -396 70 -101 306 -494 468 254 -90 414 210 193 158 481 210 -506 78 20 405 166 374 211 -331 377 -460 -86 128 7 -216 -4 90 669 412 -182 -490 711 -195 -49 -309 -310 -490 207 603 354 -146 -160 9 -129 -204 569 81 -250 -77 183 -141 -175 281 -95 97 -79 170 534 -481 938 -154 -159 -20 -291 151 -17 -162 103 40 696 -436 232 273 295 267 -251 -519 -23 -176 -93 -210 595 -87 -707 -345 452 -249 197 456 299 8 -131 -297 380 -646 348 274 -76 160 -652 69 336 -415 -494 2 326 -170 346 -281 -81 557 -527 -443 -50 354 521 246 511 519 -175 -73 299 445 621 420 39 777 220 197 -422 41 161 278 116 -248 42 -66 -413 -225 -406 -68 499 -148 204 -300 -82 103 -334 180 -238 176 322 164 -124 546 -155 176 544 -223 -350 -46 -422 -675 352 478 318 160 253 -46 203 5 -73 -184 678 120 534 95 555 -459 93 -174 -217 364 526 -58 327 174 159 -297 41 62 153 -101 403 603 526 -65 -117 439 130 -133 9 59 -265 -331 245 -335 -606 399 -312 -595 -154 226 170 -91 -128 347 430 -283 73 530 -307 268 -500 -137 -158 -290 294 -217 -218 234 456 528 229 -19 81 358 -91 -168 253 -810 -209 -17 -412 -436 224 105 160 624 597 189 -111 -144 36 215 170 897 -300 228 -160 327 210 162 76 -3 57 -560 185 -196 -86 164 227 308 -76 -280 518 779 -185 213 312 22 -21 -728 -149 -93 366 134 -57 -22 84 235 -111 517 409 -710 -350 53 98 -148 78 286 -164 262 141 187 -322 257 71 -748 689 183 -675 557 -499 6 22 -347 344 299 -72 37 -104 286 11 -289 -39 81 -527 -235 64 442 -20 -309 120 -554 284 131 -20 326 8 143 161 538 186 -343 77 -50 379 -422 -230 -603 490 50 -207 -240 -115 -137 156 313 253 -271 -445 25 -58 227 -499 302 209 39 5 98 -49 -329 38 -117 -171 -673 -495 372 296 -509 -131 -41 354 -460 127 148 -291 -77 -772 73 -405 328 235 120 347 329 735 531 59 150 -342 -24 -370 250 -360 649 297 334 -521 -437 -158 6 171 -166 -278 512 223 208 -62 -63 549 -595 -471 -183 48 481 -391 48 251 228 167 84 79 343 -217 117 647 370 550 141 -97 53 452 276 -45 106 -10 316 83 427 -267 41 -356 416 376 64 -181 -41 -50 452 -61 -129 588 -19 787 105 108 473 305 209 349 262 -111 62 127 187 250 -535 57 134 383 22 -120 -8 -230 -52 451 640 465 410 -119 -80 66 -60 -61 -199 356 -78 -558 -285 648 -469 147 -82 396 98 -193 -110 -485 -102 -539 20 -231 -162 410 248 110 99 -266 -20 154 761 44 -31 124 589 93 126 -138 158 -453 458 -191 93 511 -47 -283 -497 -8 -206 14 -209 -399 -407 -314 -146 167 -137 -29 -190 230 -484 472 159 426 -30 45 53 2 194 212 -301 337 404 60 5 -137 492 658 -164 655 205 -99 143 351 -91 648 -59 283 305 -52 442 313 -164 162 124 360 -243 23 -660 -508 -313 75 -80 51 134 703 -406 227 107 342 355 212 -197 -236 542 196 -47 123 585 431 235 -613 -391 -140 -16 400 201 459 66 -297 -23 -725 -213 237 262 -413 199 223 -173 -182 408 -239 -412 61 442 456 247 552 -304 501 196 -186 152 50 195 -95 17 303 726 75 -138 365 145 -437 264 22 314 301 92 149 -76 -659 178 -2 -461 70 15 31 21 34 -494 -396 105 -254 -257 443 -164 14 -250 -79 70 7 -37 231 -448 119 80 325 258 254 79 -288 238 159 -50 45 -245 -119 -77 171 -180 -21 -82 39 -20 667 -22 -724 383 348 469 552 -312 -132 95 -74 -436 45 39 182 -146 -451 416 76 -142 -396 439 -26 -234 -169 -25 705 738 -273 50 362 -606 395 -43 -325 46 -464 -420 -321 -177 -138 -55 175 347 16 -647 -47 411 -394 14 128 -191 -180 -618 -241 110 170 256 -150 55 -398 460 5 23 31 -209 357 -85 103 -265 519 -286 5 93 -75 -268 456 -175 275 79 627 88 74 13 328 -116 298 -321 152 -125 194 61 -119 148 -149 333 -6 -104 253 94 -194 1069 123 2 313 -179 270 -277 -300 186 -123 238 344 654 158 -156 151 515 -239 -133 -544 -215 341 146 -199 335 -488 43 237 -134 190 267 326 -75 215 515 -51 -29 -366 -203 346 65 427 -440 815 -116 648 186 -86 174 -74 212 -336 8 301 78 114 -188 -6 338 293 -628 -583 -81 -201 317 -297 384 507 -274 196 124 453 -387 325 681 163 74 222 74 -39 -170 32 -186 89 172 -706 1118 -548 425 -39 142 -47 -19 -149 405 666 250 -451 -136 357 -41 504 254 -36 -171 311 431 169 -531 560 465 65 -184 -5 -229 453 -115 -229 -288 -288 -150 -431 298 259 575 -381 560 -668 -471 134 251 22 556 228 428 37 -370 119 -731 -44 -581 383 -128 58 2 77 293 209 -95 -87 142 -337 101 207 490 346 -210 -157 -106 11 549 -466 225 247 380 488 403 -34 36 231 39 423 -341 377 -79 68 -142 59 549 -230 -280 133 294 -132 505 -181 -289 -79 -533 243 -78 -151 -326 -88 755 690 231 -234 71 7 -118 -68 -51 -91 -354 1005 181 -432 -591 317 180 480 932 439 693 278 185 -448 -645 -385 -42 -389 -104 6 97 39 161 823 -474 -21 597 38 -118 -294 660 254 233 489 30 -687 473 -403 -436 152 679 457 323 -420 273 248 -110 -89 119 63 -561 -515 -172 560 -231 156 -33 -434 614 -684 -361 -920 276 109 217 629 329 -132 184 232 82 104 -374 370 413 552 -508 340 -162 252 -10 165 422 776 343 146 298 -325 -42 379 -375 509 615 211 872 -218 562 -474 -106 571 -66 386 314 -26 -34 255 357 196 -553 219 -365 -219 -748 104 381 225 114 -124 113 86 427 365 508 -64 -121 503 -477 417 270 -394 -288 149 -97 592 -880 225 441 382 81 -163 170 711 -54 330 232 302 -2 -144 -128 289 571 57 -227 335 -430 23 414 -56 385 -529 -473 -276 337 579 -315 336 -33 195 120 424 159 -546 -305 -463 146 375 -442 510 -26 -153 204 174 -28 110 214 257 -148 138 416 166 -26 263 -275 -86 -73 268 -175 -123 317 -172 650 -113 323 -102 224 267 145 -473 -100 544 -356 628 54 -737 -167 -141 388 -64 641 -38 94 21 516 -307 -689 -728 582 -390 194 725 579 -334 -284 11 115 211 -555 39 641 180 253 175 408 -30 -7 334 -29 192 674 -372 -509 -41 -165 605 -427 2 382 166 45 -67 34 -75 -514 123 -85 436 -398 625 -49 10 -174 674 297 318 -164 470 18 24 66 -60 66 -32 112 472 -422 755 119 170 182 -114 126 -34 178 247 400 128 195 -286 404 626 209 -176 -53 -200 -170 -73 374 92 102 94 71 369 -38 104 383 -793 -628 -160 -208 -691 576 -612 437 1176 194 283 242 -497 -266 456 80 -21 -149 353 -133 -52 71 433 420 -256 -239 93 45 587 7 -490 -845 202 75 441 808 448 84 -39 -454 -366 734 60 295 580 156 145 14 -266 94 489 -179 240 -491 174 -334 484 -144 133 303 -267 28 254 151 -447 141 -143 403 -136 -426 -60 -208 -331 -531 16 -64 54 133 154 353 -186 192 -67 179 216 -88 512 -345 2 -359 385 -7 476 675 418 463 259 -617 -760 -353 610 -1 52 -329 95 -351 233 233 625 -486 -172 343 -24 63 452 547 -54 232 204 267 -254 -303 -199 -333 103 -391 620 -516 219 -288 -156 0 464 252 -67 -191 268 284 -299 -19 88 96 -324 62 -389 316 -326 546 -228 554 284 465 7 -279 361 -228 -195 639 -310 339 46 -139 333 -269 215 243 187 -709 801 278 -147 -329 351 -369 620 528 783 -307 544 93 36 -66 -780 349 33 -113 694 309 -10 -120 -392 34 805 748 952 529 364 83 -165 202 310 941 -507 312 -111 467 349 578 65 -450 68 -18 -111 114 30 625 -519 -224 455 589 -716 564 -411 -696 -98 224 119 -459 202 -149 160 217 19 -329 90 332 212 255 -648 -76 -53 800 -468 562 -343 -193 3 600 -813 384 -251 -347 205 265 73 -561 -195 337 17 433 -78 184 542 -62 257 156 318 173 574 468 23 -464 123 -385 800 -332 102 540 605 191 -303 292 -174 -21 10 197 213 -228 232 586 -633 -260 187 -599 365 -318 632 -359 -529 161 -144 -65 -122 784 -239 -108 249 222 -17 -198 38 239 482 314 -388 -54 -508 137 312 -429 -573 -78 -101 610 590 -727 -25 458 104 181 162 -47 105 413 379 262 118 307 41 -216 -50 -104 -484 157 556 436 396 38 419 -145 -98 30 -560 -79 -107 9 -131 409 149 31 -126 526 265 104 340 -133 262 521 -1073 492 310 250 232 557 105 -28 657 153 71 140 84 -93 168 -365 -345 201 221 599 -356 341 176 118 374 -177 -565 -272 394 258 -636 -384 -94 398 -754 -184 -202 -367 -18 92 389 -227 -217 121 180 -436 -198 -350 387 -31 189 -17 86 216 400 -140 384 -139 74 -21 515 436 -164 -128 -171 -212 -159 -53 -470 862 -260 27 182 188 371 -171 -237 -247 -337 461 -187 277 746 -599 276 464 -24 381 102 -126 462 -307 156 196 100 -130 292 -383 591 556 619 -223 -234 232 -31 -125 -15 422 -531 40 -79 82 397 -243 -504 318 -71 -383 -142 161 256 27 -272 -311 -106 -403 -71 -107 -228 217 587 286 -164 -159 184 329 238 -237 85 -287 -493 285 328 87 488 -99 -357 -367 476 12 -811 -672 53 -420 627 -116 266 112 872 391 282 291 101 -776 -152 -175 222 365 201 -70 205 271 331 70 -90 127 -146 -165 -140 495 -674 -88 421 386 634 151 362 0 792 97 -262 -17 102 181 416 -620 -213 -285 -298 450 190 -253 -95 100 281 415 410 -250 298 -69 592 -95 -124 302 -168 378 85 -384 259 -146 219 -479 269 -293 311 -85 324 95 52 -355 655 267 -551 407 416 -872 19 -270 219 126 321 -534 -23 -252 -128 397 159 184 599 -154 205 -577 -211 141 -45 26 234 49 -263 52 214 -587 169 108 220 -627 21 348 226 419 -153 -224 28 227 -55 536 -231 -136 94 -212 -6 109 160 -437 81 116 -54 -26 216 289 -55 -96 -465 -151 508 26 513 411 -82 335 -482 331 112 -411 -631 43 509 -242 18 554 472 509 232 460 -652 -291 154 47 40 195 -236 585 -518 -19 207 -256 200 -108 0 -93 -373 -113 654 170 -27 238 -243 186 664 779 -242 -269 562 -199 790 960 -406 192 -627 51 -239 -259 -263 549 -232 -342 757 -667 209 139 491 466 -110 118 -165 95 305 348 -261 62 -772 -114 -87 -387 359 -136 185 -40 16 630 -475 -162 179 -45 65 18 -126 281 -106 32 722 55 -228 353 454 -61 -17 -545 236 92 -15 844 -209 -274 163 258 511 243 350 34 120 857 -20 293 313 583 331 -403 363 -197 409 258 -351 157 233 202 -304 -30 266 399 -40 345 -396 411 223 502 -83 259 220 -38 114 -612 573 303 295 -16 250 418 477 347 27 -303 -45 -85 627 -512 -183 -181 -43 -372 -241 -338 414 308 -200 13 21 291 -12 258 -147 -361 80 -305 547 -56 -299 221 143 -113 124 308 293 -211 -395 261 -171 315 189 294 -26 535 78 52 -659 -400 -157 609 487 -34 160 535 -144 -48 -263 529 515 18 -26 -101 246 271 -141 307 -5 377 -26 341 -405 -12 208 285 -344 315 572 -89 258 109 -69 -686 -736 -342 51 -1 178 183 -238 742 505 312 -558 149 204 15 277 182 13 -152 -342 194 408 333 -173 -12 65 197 -189 -281 259 -114 -547 499 -295 310 290 11 -220 -390 -486 314 -41 22 498 -781 32 -889 -459 364 -30 -646 47 176 -100 534 -133 -300 -177 -387 -339 90 286 -383 -391 -195 41 122 511 -136 255 283 610 -187 187 59 316 145 87 -254 -367 -129 256 -89 -425 -607 -555 663 757 -171 -433 -779 517 -12 -529 -12 396 -145 -115 -38 158 -40 224 -92 -498 -42 62 -126 -563 -285 528 240 46 342 -193 298 -219 -437 -262 -108 -579 -205 -488 -353 -557 -460 -409 290 -414 18 -144 -10 718 -456 4 71 292 244 -278 -197 -570 180 58 -285 248 -228 -33 -570 -156 -449 143 -268 613 509 205 90 27 431 60 62 -484 -33 -370 -218 -291 -17 -185 120 51 577 -131 12 -178 477 275 -852 -32 -59 -218 310 -490 -54 -599 311 189 22 679 365 -191 94 -429 -26 -237 366 183 72 143 -157 125 297 -67 28 -542 267 321 106 -198 43 -165 -52 -213 -293 -246 -430 -381 230 -514 209 -12 136 -244 -324 -273 456 -386 -136 202 6 -488 295 37 217 -696 -106 344 -242 -251 23 51 59 -479 -464 295 -125 193 -324 -100 -442 -229 -180 214 -172 -80 26 90 497 177 221 -507 -361 6 -77 2 -41 -125 -592 -367 -33 418 152 -424 -11 650 106 278 474 -168 -23 258 219 -654 -422 545 66 77 285 500 -277 -539 -403 -346 -191 -48 -9 -58 18 15 360 -42 -188 -107 231 497 147 338 -269 416 -219 -466 -331 -184 -526 -317 -528 -178 -280 -697 -164 -56 -144 -417 -409 -174 297 -303 -143 259 329 -354 -84 19 -494 19 -639 -405 193 217 -223 302 446 -409 -215 -89 -661 -220 330 -247 -170 -321 -192 -15 -79 -187 -65 62 -289 -165 306 -601 152 -173 -355 -26 213 72 -342 -243 156 5 8 -285 -24 -230 56 -54 -115 67 10 -13 431 -381 46 -441 -646 -184 168 -303 -1159 -634 407 194 109 -583 238 -58 -75 -877 -333 -125 124 -147 -141 -152 -417 8 -89 58 -136 220 -550 -81 -373 -382 -2 375 40 -279 193 -411 -253 -574 -413 127 -180 -382 -115 87 308 -21 -205 657 -407 -73 -262 -917 -237 467 -566 166 -63 49 -95 -304 -168 102 -94 -282 -413 -168 412 -70 391 -738 687 4 468 271 -202 -297 -292 345 270 -520 161 -84 -176 664 -145 -183 553 -324 161 383 272 -189 234 70 -462 15 315 426 294 464 67 81 181 -207 0 -51 -9 39 -104 156 69 388 28 649 -59 -154 395 -320 138 476 172 -256 46 -63 -73 46 457 101 -416 186 -168 370 281 -194 137 -379 76 -59 -25 204 -327 73 180 425 -405 502 -89 -874 -216 -701 115 924 574 -325 88 -183 -19 273 246 -233 215 -254 -17 213 624 -433 417 -531 -546 237 -97 -215 -312 -60 -49 77 -86 -58 295 469 -188 87 -37 -403 684 152 -60 -45 -2 -475 123 138 -30 93 118 -330 -127 -29 54 -228 365 33 400 112 249 62 311 -433 324 -64 40 -30 728 -322 4 -78 -109 739 264 -51 55 178 -858 414 545 328 -152 -588 574 -102 690 -47 -225 -32 -520 198 -243 -311 -225 88 733 453 64 327 -248 54 692 -39 774 -526 197 298 80 455 -339 302 -186 112 687 -190 -183 -16 383 127 304 -81 47 -536 -199 305 -437 -270 -513 74 55 231 200 577 -309 232 273 -142 -259 -10 -133 320 -53 522 267 -18 52 -134 -165 -64 -122 -4 18 2 809 493 -158 -30 -48 369 653 188 433 370 13 -439 -25 213 379 -44 -118 501 295 -335 -181 -141 1 -163 -13 231 2 599 231 -191 312 285 441 -702 -50 305 58 200 -375 -20 -582 301 -109 162 316 -282 754 216 -59 39 -425 196 609 -2 252 291 250 29 303 -184 306 -85 -451 443 -176 744 -27 -9 359 -81 -4 -188 343 733 -203 190 61 -44 107 -51 347 140 -172 -202 -117 485 114 388 -6 138 -13 62 575 -342 238 -159 170 -244 -263 -300 -67 159 38 256 30 -480 139 -23 -334 -240 -181 329 407 -323 711 -210 486 -555 748 486 130 -311 -155 70 -93 -68 -361 -473 -252 92 -355 15 617 375 -718 -599 -485 7 -90 -348 162 -161 670 -278 142 492 -43 -243 -348 99 -274 -241 -471 -103 59 -301 -1 -10 56 1192 -294 -266 259 -253 257 -238 -21 -85 239 -33 -45 449 155 -299 -91 167 852 125 -113 159 555 -201 -41 298 -185 338 85 -253 120 -494 70 -791 196 -59 -136 -27 82 759 369 715 -241 92 -377 -97 -59 -401 -720 2 560 171 57 48 -14 213 259 -179 -207 194 404 304 98 87 81 -51 52 196 168 -182 -67 -61 -142 281 -73 -352 271 321 231 -520 103 -146 138 144 -4 463 247 513 -633 315 -26 -57 600 -265 -724 -347 756 139 372 -111 -405 291 -110 118 -109 66 454 197 306 221 414 -361 85 188 855 -463 87 128 399 -477 -110 220 151 -55 -580 107 -299 -324 69 -52 -563 -181 -679 -87 -70 -57 493 119 -83 60 -36 392 -54 380 211 343 -321 512 149 -426 -186 142 522 231 -212 -210 -322 -65 191 -246 468 -448 336 321 400 107 -320 -54 -235 103 102 -590 -476 122 571 116 -355 137 -236 491 -276 27 -253 278 533 -44 231 -270 338 409 -485 431 -147 215 -738 76 -32 516 77 -59 -560 15 545 420 515 -190 179 257 -340 -57 781 -581 -171 184 -107 112 -408 90 -87 279 428 -463 178 -463 110 597 -498 -237 -54 168 -689 382 -291 233 -300 693 84 273 29 357 93 449 325 -206 -151 -77 -187 -516 -334 34 -103 112 288 -14 215 -32 761 -559 25 -444 334 -436 463 500 101 -118 51 -318 -553 -100 -46 -601 -31 38 593 -329 -121 -25 -263 159 -466 411 -149 808 168 298 363 228 -102 726 -366 -283 -155 -176 218 -130 439 -448 184 479 -394 121 -28 10 229 -623 260 75 91 478 -46 217 -96 181 -729 -47 156 -512 -13 -328 -91 -116 -120 245 351 41 357 -104 347 -36 -121 -513 146 44 -249 -28 -80 283 -126 -366 147 1088 -167 -157 274 129 57 -477 -892 -14 -98 -115 -415 -209 352 -90 -95 -178 400 18 -470 -27 283 -79 -114 187 -594 -430 553 -170 13 -555 -135 -163 -37 -221 104 167 -477 -471 -57 17 -340 82 -276 723 93 143 -411 -126 -532 306 30 72 -461 -105 -278 820 -178 57 -641 -296 382 -52 373 -316 -178 302 -514 138 518 178 -392 122 281 -291 303 56 8 11 77 -597 -376 455 -148 -110 298 -305 -132 514 216 -189 486 102 -546 381 -288 280 681 -534 274 492 232 -622 332 -433 -132 -308 55 16 8 41 -325 162 -218 128 755 -36 -456 144 452 -104 191 436 207 -628 -45 -552 -304 484 365 -197 -238 242 726 56 -495 -196 289 235 -507 232 -14 88 -83 158 276 141 -573 -340 -276 -79 -494 -10 9 -675 -129 -39 503 752 -160 110 -471 120 350 325 225 -434 272 -339 -147 -204 -215 100 387 -277 457 -270 -7 -190 -281 5 -363 284 116 239 -43 -669 -151 -384 163 -711 31 -54 -136 -212 -335 -84 -104 15 -231 9 -64 -363 233 -34 102 122 -246 249 -214 -332 -27 37 -330 33 -100 -34 -382 183 509 -326 -741 124 -163 178 22 233 -160 7 -36 130 255 -329 79 186 -82 -155 74 -688 -129 103 229 326 -292 25 136 -220 -445 -477 -254 206 366 -381 90 -133 16 -607 95 468 -625 122 -9 243 461 452 -401 -896 40 -396 160 1 -597 -274 -31 -564 235 -221 -170 514 -305 -553 495 -511 -251 -124 356 -570 120 -145 165 -244 452 -450 -529 104 -148 602 -11 -485 -60 599 -374 -274 100 -71 -33 356 252 7 79 -66 121 127 -614 -150 275 59 -254 118 11 -44 279 560 -409 -126 -47 -125 -353 342 -399 112 53 196 -16 6 270 -120 661 -34 162 255 -396 -52 -373 612 -565 -209 -195 233 -505 -185 420 148 -594 -9 76 252 268 419 -108 305 -184 301 199 -436 328 -78 -179 226 163 -91 -93 199 -137 -99 -213 -276 -55 -401 193 -159 31 -127 386 255 215 -267 46 514 -478 -12 -208 -220 -466 389 -74 372 -237 41 69 129 -91 34 177 -63 334 -200 -266 390 -711 171 247 -327 190 -277 493 -162 431 -379 -137 -45 29 138 173 -505 -85 -668 310 -137 287 -688 237 624 47 386 -41 -75 -280 218 -569 -131 388 176 46 179 413 -475 207 325 427 -237 88 605 -351 -30 -320 -99 528 -840 -238 313 578 316 -418 -47 442 272 483 -64 191 189 -833 604 658 374 -123 -51 -109 59 63 9 22 60 206 373 -165 562 645 387 220 417 -745 -119 394 702 136 -328 505 84 232 -38 22 -473 674 261 162 -265 -132 138 265 56 314 -319 271 45 1 186 -177 448 -288 -151 -521 -354 880 -180 153 -222 761 -519 545 65 60 317 -166 738 -531 515 225 526 30 202 343 71 415 186 33 177 -175 -224 101 202 -283 -104 -184 203 473 191 -861 277 317 -238 480 -287 -168 26 -286 599 -121 -198 -246 -278 -69 -519 20 468 -106 98 57 -287 18 408 163 254 405 40 -217 335 238 -407 82 -134 -354 928 123 124 334 -226 508 -150 339 318 453 541 453 -275 -38 -443 234 -237 -317 -235 550 23 119 -496 917 292 280 268 97 160 363 -93 -19 585 -193 734 -874 116 118 226 -285 -682 108 457 415 -203 -212 78 114 102 121 797 112 1 -162 -368 197 303 -92 129 -108 263 -223 270 21 416 769 -383 184 144 338 126 -429 44 426 -336 27 -233 465 -126 170 -112 955 357 -111 159 145 68 17 -604 468 226 371 -378 -215 263 640 719 112 -3 -158 -175 187 -22 -258 -542 398 480 35 429 79 428 335 -155 238 -236 211 -30 -133 286 -240 368 39 -649 113 105 131 -132 235 287 38 -497 454 -235 -5 -344 584 -502 -159 170 133 -97 82 -191 -380 -154 -315 105 -15 -382 -163 426 608 -474 157 470 152 81 79 554 -79 993 431 -381 -358 -595 314 1063 -254 514 120 399 -613 285 389 176 138 462 50 -662 -221 342 73 -111 28 41 -243 271 -152 34 398 -139 200 25 27 -45 270 -184 870 -592 -481 -328 -44 -321 -694 327 -109 -399 -32 8 294 -580 -573 274 -350 575 441 339 808 227 438 -393 -33 9 -400 -17 -151 -449 -57 15 233 176 -76 -301 -523 449 375 -271 -145 -33 304 -16 257 448 240 -272 86 444 405 -214 -191 -17 475 258 54 -127 -41 -449 282 -500 282 -241 38 592 560 -309 -403 -23 30 491 -89 172 80 302 67 418 180 338 446 57 -272 421 578 357 -367 105 482 265 -10 255 -327 239 36 747 23 213 243 401 346 91 -499 270 5 -145 -4 -387 -210 -115 67 -178 575 -105 -93 -112 165 -525 -394 -144 199 60 617 40 313 225 491 152 371 380 181 430 285 -580 120 304 386 -294 160 -135 466 -163 109 370 263 232 -386 249 213 181 -235 -230 29 -102 274 167 464 119 315 190 164 180 83 -10 -190 225 -19 130 -471 -42 694 124 -41 -438 87 496 -234 17 222 232 294 -99 279 118 524 -177 -24 559 404 211 -106 808 451 -26 -138 -65 -351 -25 419 -515 -119 -42 202 154 673 -96 108 -155 -102 561 141 207 -312 207 -233 266 138 -417 -251 -599 -10 310 432 405 -36 609 -8 241 579 -276 516 54 2 106 521 278 -537 563 211 -125 7 -26 217 -411 239 220 -92 -194 149 -421 313 215 123 159 631 -168 508 122 195 -65 -232 -462 255 -227 117 -41 350 243 478 436 1030 479 -196 -761 -220 -183 114 6 664 -164 -554 421 -132 -211 64 -109 -27 161 28 -51 -364 -42 232 282 -360 -239 318 220 160 -598 397 55 -258 -207 335 231 72 -5 509 -408 -583 -250 554 -22 138 -119 221 588 -633 -599 251 -64 178 -78 41 485 -340 185 -354 143 331 562 -430 -193 349 -174 -768 516 23 408 -428 -4 17 259 19 318 -95 219 -65 -91 -59 -76 -9 583 -470 -203 -570 -400 99 166 328 -9 -283 435 -27 58 -231 67 -232 219 -676 499 603 33 -205 394 208 362 -525 -365 450 170 291 -327 9 53 -97 -146 489 422 -46 -224 292 -475 501 -505 162 -567 145 430 277 272 -344 -103 36 -385 8 -240 -129 -343 163 248 -55 -205 -104 144 159 -470 -39 -414 -95 170 626 65 124 145 207 486 -246 -512 446 81 254 195 38 420 24 74 60 423 -622 -220 -209 -245 369 -46 800 -812 468 -421 207 34 -55 306 371 10 352 66 341 338 734 115 506 155 352 336 62 -834 604 341 -67 288 289 562 206 341 325 -710 646 -235 150 119 75 830 264 -2 500 255 -249 390 -447 55 318 305 170 472 -405 -230 0 270 101 -22 171 395 291 324 -478 630 733 200 -484 529 212 -365 -405 387 -339 392 275 -336 507 -338 87 -75 -342 314 -486 19 286 216 244 -92 -495 -194 -260 -465 258 -259 -136 -420 -660 309 -259 -94 85 -72 -54 7 -444 174 -206 -183 -174 407 536 53 -423 -134 -71 14 -296 91 318 -667 127 52 -38 -393 332 315 195 158 -791 209 -66 187 -121 -298 586 -408 -338 -423 120 -2 539 -99 7 10 -22 -162 -71 339 752 741 -499 -88 -56 17 398 -59 182 -173 60 -85 208 -326 399 -18 21 -319 -131 -232 -196 395 -127 -21 15 449 -320 314 186 89 434 440 -50 -85 81 -324 -80 -423 252 -75 622 -278 -159 270 -105 -49 477 342 -212 -117 491 175 -145 98 -178 26 -561 -142 -217 -327 -214 418 208 113 102 -65 -867 125 -498 -447 -143 -214 -39 -314 168 -508 314 -282 209 168 -721 164 845 80 -51 -556 230 74 33 334 230 443 -57 -474 111 -333 144 39 138 -209 -535 270 338 426 211 32 580 -657 -125 -528 244 76 159 -272 -271 250 640 1 223 257 -472 -319 -105 -217 -40 476 -589 -35 -224 -269 -710 150 251 -462 -127 -442 343 415 513 -8 -391 -207 -4 -159 -280 -409 -33 92 200 -27 -249 -214 20 -157 -206 518 -638 -441 -224 297 -464 -165 -46 76 322 -123 564 221 363 81 -135 121 458 -46 -46 430 532 141 35 454 1 239 -584 404 -90 208 272 -80 65 -73 -1000 341 -102 143 -341 115 -200 424 -510 66 -302 5 496 -82 143 -43 368 152 132 223 219 -543 565 826 333 -318 286 494 -543 -165 -155 114 304 182 -208 -592 164 311 263 -76 -291 -258 115 633 333 -204 178 508 -512 356 -166 -82 522 -147 -376 -128 683 -447 -155 751 1032 153 119 -87 -598 -97 434 8 -155 -69 -250 21 -212 -54 141 128 701 -136 358 -122 -117 -168 -186 86 -326 90 62 -343 -9 -267 -84 484 -203 119 553 519 318 -374 -163 -278 186 245 533 532 -268 -20 371 70 222 -80 326 495 235 182 -58 416 192 350 -446 243 -232 323 -274 -444 185 -224 414 461 -190 -156 -590 543 -61 299 -346 -568 -285 20 112 -443 129 218 -17 54 -24 -140 415 -178 568 59 -154 63 -73 -185 415 -428 211 -434 -20 271 -118 187 -264 -191 206 -261 -438 -517 -164 -607 359 486 163 -53 308 -334 568 48 260 -214 -689 -12 -264 174 526 40 175 -374 125 168 -43 -1 7 493 117 -397 52 -88 -72 -14 59 -290 477 292 -24 206 979 314 -261 -301 -35 -179 -185 350 -25 229 -356 360 -614 -142 -633 256 179 56 -361 370 -54 249 -291 -845 -196 -228 -37 45 -84 52 -10 506 46 -225 103 -244 537 -432 47 -123 -229 143 -357 199 -266 188 165 -400 -322 508 239 -312 216 467 -212 -495 46 26 -285 64 -2 201 -23 -249 206 -115 595 -141 -140 178 407 411 -684 -244 177 -529 175 -402 988 352 894 61 25 368 249 -713 240 106 -268 385 -287 -1 428 -826 -647 154 208 328 -66 -729 230 202 -220 -79 617 -179 -406 542 -143 -34 -168 -354 -349 479 -1035 -106 609 354 79 361 196 60 53 -481 112 59 -626 239 -408 -335 105 363 367 146 105 -54 -173 -456 386 118 403 513 190 -91 -259 20 302 -37 -240 278 351 -511 -177 316 -51 533 230 127 -619 218 -281 385 -26 -140 85 167 824 402 -30 -39 -414 -189 -16 -870 -453 476 290 -273 -586 -420 -135 175 -417 538 475 23 25 -302 -219 344 -381 -179 428 164 -765 52 -108 -544 -106 -254 -73 -482 -71 -330 -479 -160 199 -179 273 -433 582 549 -295 -70 -246 -497 -251 -118 -382 -50 -245 23 219 -358 165 -528 184 -312 545 -105 21 832 -403 -123 -16 -192 863 -562 1 -331 -495 -204 -552 -289 359 80 56 -67 -178 336 811 176 -64 -122 -155 -304 313 -91 336 -263 43 52 -238 594 -41 -537 171 209 173 130 -463 73 103 121 156 -82 175 176 -164 -66 315 82 38 -50 257 -371 371 64 75 -10 111 -33 -378 404 44 -17 122 -159 738 -267 37 -412 112 33 -35 84 -314 202 -20 -20 -410 -59 -606 -27 78 -661 31 226 203 -46 -125 -10 -480 240 -376 404 70 -660 354 396 -298 133 -6 -23 -232 183 -341 98 110 -477 -672 -2 -51 -506 27 701 316 -44 297 263 57 207 -278 -199 -20 317 1 -772 -371 -120 -38 433 -145 277 609 -430 -9 701 28 505 -10 -10 1 -10 -6 3 -7 5 -2 -10 8 9 -8 9 1 3 8 -5 4 6 5 -8 -8 0 5 3 9 8 -8 -6 5 -7 6 -4 5 3 9 8 -10 -3 0 8 9 2 7 0 -4 -3 5 2 6 -8 -4 0 -6 -9 -7 -7 1 8 -3 -4 3 -6 2 -2 7 2 -4 7 1 -2 -3 0 -9 6 2 9 -6 9 1 2 -9 -1 -8 -5 0 7 -10 4 5 -10 -10 -2 6 3 6 -5 7 4 4 -2 -7 -9 1 -6 7 -7 5 3 5 8 -5 6 -3 9 4 -1 7 -4 -7 2 -4 -6 -9 -8 -1 -1 -3 -4 -6 -9 -4 9 -8 7 5 2 3 0 7 -2 -2 -7 6 5 -8 -8 6 9 -1 -10 -6 -3 6 7 0 7 -4 -1 -7 -8 1 -9 -9 -5 1 -2 -1 -6 8 -3 -6 -4 -8 2 3 6 5 0 -2 6 -8 2 -7 0 -1 3 -3 -3 -7 -8 -8 -4 -7 5 -7 4 -6 -5 0 -8 2 4 -9 4 9 -4 -8 4 -2 0 0 0 -8 3 2 -7 9 9 -7 4 -9 -5 2 7 -10 5 -7 -6 -10 4 9 -6 -10 -10 0 9 8 3 -5 -3 -7 5 -1 8 -9 -8 3 -10 -9 6 -4 5 -9 8 -6 -8 -5 -3 8 8 3 7 -8 4 -1 -5 -5 -10 8 1 -3 3 8 6 1 9 8 7 1 2 3 7 9 5 -3 -7 -1 3 0 9 1 -6 -1 -5 0 0 0 -3 0 -10 0 7 -4 -1 -4 7 -10 6 -4 -6 -10 -10 3 9 -3 -9 -8 6 -4 -5 -3 -1 -9 6 -4 1 9 -1 0 -1 -1 -9 9 5 -8 -5 -5 -8 3 1 8 4 -7 2 -5 0 -5 -2 8 -7 -5 -4 2 -4 4 0 -1 3 9 1 5 -9 2 4 -2 4 1 -5 -1 -6 -1 -3 8 2 1 6 -7 6 -6 3 1 -9 1 -7 9 -4 4 -10 1 -5 1 -4 -4 6 2 -3 0 -7 2 1 -10 -9 1 0 -4 -8 -4 -1 1 -8 4 -8 -7 -4 8 4 -6 -6 4 5 -1 8 4 -2 4 -4 5 6 -8 -3 -10 -8 -9 1 -6 -3 3 1 -2 -6 3 -8 9 -1 -2 7 -7 2 -9 0 -10 0 -10 4 8 -4 2 3 -8 -4 3 4 -10 4 -5 -5 -9 9 6 -1 5 -9 1 4 0 2 1 -4 -6 2 -2 6 5 -2 -8 3 4 5 9 -2 3 2 -7 4 -4 -10 9 -3 9 -3 6 -3 -2 9 -9 1 1 3 7 -2 7 7 -6 2 7 -3 8 1 4 7 1 -3 -1 -4 -9 -3 -3 2 -4 8 9 -8 -5 -10 3 -3 1 -5 2 -10 -5 -1 7 -9 4 4 -2 2 7 4 -9 -10 4 -8 9 -3 -1 -4 -10 5 -6 1 -1 -8 1 4 -1 -8 1 3 4 6 4 1 8 -2 7 8 2 -4 -5 3 9 9 -3 8 -4 6 6 -4 -7 2 8 -6 4 -1 9 5 -6 0 -2 8 -3 5 -8 7 5 1 5 -2 0 -10 3 -1 1 -9 9 8 -1 5 6 -5 9 4 -1 4 6 -10 -9 2 1 -8 -8 0 7 -6 -3 2 -2 4 2 8 -3 8 9 8 1 0 -2 2 -5 -5 7 6 9 9 -8 -3 9 -6 1 -8 -4 4 2 5 0 1 9 0 -4 2 -2 -5 0 9 5 -9 -1 -6 3 -4 -1 -7 -7 -10 4 -5 -10 3 -9 1 6 9 7 -10 4 -2 2 4 8 0 8 9 -3 -2 0 -8 -9 -10 -4 -4 8 5 -9 3 -2 5 1 -2 -9 2 1 7 -6 -1 -1 8 7 -9 -6 -3 -7 -8 -4 0 -8 7 3 5 -1 1 4 9 9 5 3 -3 -7 6 -3 -6 -2 8 3 -6 -3 -8 -7 -6 6 9 -6 1 4 -8 -8 -2 1 -3 -6 -10 8 0 2 -1 7 -5 6 -10 3 -7 -6 -9 -8 -1 8 -1 -6 3 -4 -10 2 -8 -7 -4 -6 -5 -3 6 -6 1 -2 5 3 -10 -6 0 7 -9 1 0 6 -3 -6 8 -1 -8 -10 3 5 8 -5 9 -10 -2 8 -6 -4 -5 2 0 -2 -9 -5 -9 3 -8 1 -7 -7 4 -5 1 -8 -1 -8 1 -7 -8 6 0 2 -9 -8 -6 -1 -10 -10 5 7 3 8 -5 -4 5 -4 1 7 -1 4 -10 -6 -10 -6 -4 -9 -4 -1 7 -2 -5 -3 2 8 -9 6 -3 -9 6 5 8 -9 3 5 -3 -2 -9 9 -4 1 -5 8 -3 -5 -8 -5 -3 -2 4 6 -2 1 -7 2 -9 -5 -2 -2 8 7 5 -1 8 -10 -6 -4 -1 8 7 -3 -9 -8 7 -2 -10 2 3 9 2 9 5 3 -8 0 -5 -7 -3 4 -7 8 1 9 -3 -9 9 -7 9 -10 -9 6 9 -8 1 -1 0 1 -9 5 -8 3 4 7 -4 -2 9 -6 1 -3 8 -3 -5 -9 -4 -6 -8 7 -3 4 0 -1 0 -9 -7 3 0 -4 6 -7 -9 8 -1 -2 5 5 6 -3 9 -10 4 -1 -3 1 -8 3 5 7 -8 -8 1 -6 1 3 -4 5 -3 -2 -9 -7 2 4 4 -9 -8 -9 -2 9 -2 -10 9 -8 -9 8 3 -6 -7 -2 -9 -5 1 -6 -8 4 7 -10 -9 6 -2 4 -10 -10 -1 4 3 1 5 -8 -8 -6 4 3 8 5 1 -6 9 4 2 2 2 5 6 -4 -8 -4 -4 -7 -8 4 0 4 -3 9 -10 -10 -8 -2 4 7 -6 -2 -8 -8 -6 -4 -4 5 2 1 -10 -6 8 -2 0 2 4 -2 6 -1 -7 8 -7 -8 7 6 -8 1 -6 -1 -2 -2 7 1 -8 3 7 -9 -9 -1 -6 -9 -4 -8 -1 -2 5 6 7 -7 7 2 -9 -10 4 0 6 -2 -9 2 7 0 -10 -3 3 5 2 -8 6 3 -7 -10 -4 -1 4 -2 0 -1 6 9 -6 3 1 7 -5 7 -3 4 -5 -9 -4 -7 -7 9 -8 6 4 4 0 -8 -10 3 -8 -4 5 -2 -4 -5 8 -8 -6 4 5 -3 -6 -9 -6 1 -3 -1 -6 3 -6 -3 2 8 -7 8 3 -5 -10 -5 9 4 -7 4 -7 0 9 3 2 5 -3 -10 -8 1 3 8 5 -10 9 9 3 6 9 8 4 4 6 9 -10 -1 -6 9 -7 -2 3 8 0 -6 1 4 9 1 4 3 4 9 1 -9 9 -8 -9 -5 8 2 -7 -5 -4 1 -6 -4 2 -9 -5 -2 -9 0 -4 1 4 8 -5 3 -1 2 8 5 1 -9 7 1 -6 0 -2 4 -8 1 9 -2 4 -6 5 9 7 -10 -3 8 1 3 -1 7 1 -4 1 2 8 -9 -2 -8 -7 -5 -5 9 5 3 3 7 6 3 7 -8 -1 2 -9 -4 -5 -2 -6 -2 -8 -5 -5 -5 -7 -2 0 4 0 8 6 -5 5 -9 -6 -8 -4 -1 1 -8 -8 -2 -6 -7 3 -4 -1 8 4 -5 8 -2 -8 5 4 -4 -6 -6 -10 -4 4 -2 1 -9 -9 -3 5 -3 6 8 -1 1 -4 -5 4 1 1 6 -9 8 3 9 -4 -2 5 2 4 1 -2 -4 7 -8 -4 -10 5 -3 9 0 4 5 -2 5 -4 -3 2 3 8 6 -9 -10 4 4 1 2 -8 8 7 -2 -1 -5 -4 8 -10 2 8 5 9 7 -4 -5 -5 -4 2 -7 -5 7 6 -6 3 -1 6 9 -6 9 -7 8 8 -10 9 -3 -4 -5 8 -4 0 -2 3 -9 8 1 9 -7 8 -7 8 -7 -10 5 9 -5 6 -3 -6 2 -3 -10 1 7 -10 -8 6 8 -3 4 6 -1 -7 0 1 -9 -9 0 6 1 3 4 -3 4 -9 -4 9 8 -4 6 0 -5 6 3 -8 -2 5 8 9 5 3 5 -6 -2 7 5 -9 1 7 7 -8 1 1 -1 7 3 -2 -2 -7 -4 6 3 1 2 -3 3 3 4 1 2 -1 6 9 -4 6 7 -9 7 -10 9 4 -8 -8 8 -6 9 1 -6 9 -4 0 6 9 3 -10 8 -4 3 3 -1 7 4 8 -1 -10 4 8 4 -6 8 -5 8 2 -3 -2 -2 8 1 -6 -1 7 -4 -5 7 9 -4 5 -5 1 -10 -3 -9 5 -5 0 -3 1 -10 -9 5 8 -4 -4 -8 -5 -4 1 5 8 5 -5 5 -8 0 -6 -9 -2 -10 9 2 2 8 3 9 -7 5 -3 -4 5 -2 4 -5 -3 2 -3 2 8 8 -10 6 -4 -5 -6 -10 -3 -2 3 6 -10 -6 -2 3 -8 3 2 -5 -10 1 -6 5 -10 8 2 9 -8 9 -7 -10 0 -7 -1 6 -2 3 -2 6 3 -9 -6 4 -4 -6 9 -2 -1 -7 -4 -1 5 -8 6 -3 2 -2 -4 4 -3 -1 -4 7 3 -3 -5 3 2 -5 -9 -4 -3 7 -10 -5 -9 1 -5 0 4 -7 9 -1 -5 5 6 -1 5 4 -7 -7 -6 -8 2 -1 -1 0 4 4 5 6 -10 4 3 2 1 -3 -7 7 7 7 2 -1 -3 8 6 5 -3 2 0 -7 -3 -4 7 9 5 -4 -9 -9 -10 -1 7 2 -7 -7 -6 -3 -8 9 6 1 7 -2 -10 6 8 -1 1 8 3 -9 3 -10 -3 0 1 4 -2 3 6 -1 4 -5 3 -1 -10 8 6 -8 7 2 -4 -4 -9 8 -8 1 -3 -4 -1 -10 9 -8 2 9 2 -6 -5 -9 -1 -9 -8 -7 9 -3 -6 9 -5 -9 4 5 3 -10 3 -4 8 -2 0 8 4 9 0 -5 4 -7 -6 8 9 0 1 -10 -7 3 5 -8 -9 9 4 8 -10 -10 -5 -4 -10 1 -6 0 9 4 -2 -5 -4 9 0 -10 4 5 0 -5 -5 -8 -5 -10 -3 2 -7 -10 1 -1 1 -6 -1 -2 -8 -9 9 -4 1 8 3 2 -7 1 -7 -4 -7 7 -9 3 4 8 5 1 8 5 -7 3 5 -4 -8 -4 0 -7 5 -6 -6 -4 -7 6 7 6 -2 2 -3 1 8 -8 -10 9 5 -4 -1 -7 7 -10 8 -10 -5 -5 -4 -2 -6 -1 1 1 3 6 7 -2 -6 4 -6 -6 -3 -7 -3 -5 -5 -3 7 3 3 8 6 0 8 -4 -8 -6 1 -10 -6 5 -1 -3 8 5 5 6 -7 9 -8 -10 -7 -1 5 0 -3 -9 -1 6 -4 4 -4 -8 6 7 -10 0 -9 1 1 7 9 -10 6 7 -3 2 3 -7 -7 6 -7 -3 7 8 -1 6 1 1 2 7 7 1 1 -4 -2 1 6 -9 -7 -3 8 4 -10 4 1 9 8 7 -8 -8 -5 -5 -9 4 6 -8 1 -3 3 5 -5 -7 -4 -2 -1 4 -10 -5 5 5 3 -5 -1 -5 2 2 -6 0 -9 -3 -6 -4 -6 -5 3 -10 -2 6 -2 3 1 -5 6 0 -5 -5 6 -5 1 -6 -10 6 -9 -9 -9 3 4 7 6 5 -6 -10 4 -9 -4 -3 -9 -4 -7 -9 9 -4 8 6 -2 -6 -9 7 -1 -6 -9 -8 -10 4 -7 3 -10 -1 1 6 -5 -3 -2 9 -10 -4 8 -8 2 -9 5 -6 -3 4 -10 -2 0 3 -5 1 8 8 3 0 2 -1 -6 2 8 -3 -10 -7 -4 -1 4 9 -3 2 -9 -10 -5 -2 6 -5 -8 6 3 2 -1 8 -6 9 6 -1 0 -10 8 -4 3 7 -5 3 2 -7 4 9 -8 -8 -7 5 4 -1 -6 0 4 -4 -4 9 1 -3 -1 -3 9 7 -2 -1 7 -3 -3 0 6 2 6 -10 -3 0 9 0 2 5 -5 8 -6 -1 -2 0 -2 -4 -9 1 -4 0 0 -5 -3 8 -4 -6 -5 3 5 3 7 -7 -4 -6 3 7 4 8 2 2 6 6 3 7 8 -9 -7 9 -6 -1 -9 4 -4 -2 3 2 3 0 7 -10 -6 4 5 0 1 -2 -3 7 8 2 -1 5 -10 5 -6 9 6 -3 0 -9 -1 2 -3 -3 2 -10 -10 7 1 -1 -1 -3 6 -6 -1 -3 3 -2 6 -7 2 -4 8 3 -9 4 2 -1 -8 4 -8 -7 8 0 0 1 -8 -8 -2 -5 2 0 -6 -2 4 -5 -3 9 -4 -7 -7 8 -9 3 1 4 -2 5 6 -8 0 8 -5 -10 -10 -3 1 5 0 2 -10 4 -8 7 4 -2 -8 -9 -2 -10 6 -7 9 8 6 0 -6 -6 8 -10 8 -10 9 -7 -10 1 -7 -6 -4 -5 -2 9 9 -8 -2 -5 0 -8 8 0 -7 4 3 -8 -6 0 -6 -1 -4 4 -1 -5 4 -10 -10 5 2 -7 1 0 -10 9 -9 1 -9 -1 6 -7 -6 4 4 -3 -9 -3 -9 7 -1 7 -4 -2 2 -2 -5 -4 -2 7 3 2 -9 -6 5 3 5 -2 -5 -2 0 -9 2 4 -2 8 -9 -1 7 4 -4 9 1 -5 -3 -7 3 2 0 3 -1 5 8 -8 -10 -5 -2 -3 3 3 6 -7 4 -10 -1 4 8 -8 -7 5 6 -8 4 -2 9 3 1 2 7 3 7 9 -1 -3 -9 -9 2 -1 -2 -4 4 6 -9 -1 6 1 -7 4 3 9 -8 -8 3 -2 0 2 4 3 6 1 -3 3 0 6 3 -6 -1 -5 -5 7 -7 -10 4 7 -9 -8 -10 6 -1 -5 5 1 -3 -10 1 -1 2 -5 -7 -2 -1 -8 4 9 0 -3 5 9 -6 -9 6 -10 3 -8 7 4 -5 7 0 4 4 8 7 -8 0 -10 1 -7 8 -4 -7 -3 -2 -1 -4 8 -2 -8 7 -5 5 -4 -5 -2 -10 -8 -8 -5 1 -6 1 -5 4 -10 9 -5 -9 -7 -10 1 -1 -7 8 0 -5 6 -2 3 8 8 8 -5 -6 -7 3 -6 7 -3 -8 -10 2 -5 8 8 8 7 -7 1 2 -7 -8 -8 9 -10 2 -6 6 2 7 -3 0 -2 2 4 -7 8 1 -9 -5 -5 -9 -1 -8 9 -2 -10 -1 1 1 -9 -3 -5 5 8 -5 -3 -8 4 -10 1 -9 -8 9 3 -1 -7 1 -10 6 -1 7 7 8 1 -1 -4 2 8 0 5 1 -1 -9 -3 -3 8 -4 -1 2 8 -10 3 -9 2 9 0 -3 -8 -8 -7 1 9 2 -8 0 3 -2 4 -7 0 -8 5 9 -7 -8 -4 -9 -2 5 -4 -3 -2 9 -10 2 0 0 9 3 2 4 6 -7 8 8 -5 2 9 2 5 -1 4 0 -1 -1 -6 5 -8 -5 -7 -2 2 1 -2 -6 5 8 4 -4 -7 8 -10 -10 3 8 0 8 -8 -1 -8 8 9 6 -2 -2 -5 -5 -7 -10 0 8 -2 4 -9 -2 8 6 -3 2 -8 -8 -8 4 4 5 -5 -5 -5 -3 4 -2 -5 3 6 -4 3 4 1 -1 4 -9 -3 -8 -3 -1 1 -5 -5 0 -1 -10 2 1 -4 -3 8 1 -6 -7 1 8 -7 -2 -6 -10 -4 7 -4 -1 -4 -10 0 4 4 -1 5 7 4 -10 -3 -7 2 2 -4 9 1 -6 -8 5 -10 3 -5 5 4 -1 5 -10 9 3 0 -5 3 2 1 -10 -8 -4 7 -2 9 7 2 1 -9 0 -8 -6 -3 -5 1 -3 0 6 -8 6 8 0 -1 7 5 9 4 -1 -7 8 -9 7 6 0 -4 5 -3 0 9 -10 -10 3 -6 -3 0 5 -4 3 -6 -9 -1 -8 -7 8 1 8 -1 7 9 3 5 -10 -8 -6 1 -2 1 0 0 0 1 1 6 -3 0 -4 -7 -1 9 9 0 -9 -9 -5 9 -6 -7 -9 3 5 -4 -1 5 -2 -5 8 -1 6 -9 9 9 2 -8 5 9 3 3 4 4 3 3 -6 -4 -4 -9 -5 -8 -6 8 6 9 -6 7 -3 -5 -8 7 4 8 8 3 -1 -8 6 -6 4 -9 8 -2 5 -7 4 1 -1 2 2 -4 5 -2 -5 1 -2 -9 -10 -3 -4 -8 -6 -10 2 5 -4 -8 7 -8 8 -7 5 -2 2 0 1 8 -9 2 0 3 9 7 -9 6 -10 -9 7 -10 -10 6 4 7 6 -3 2 -8 -9 -9 6 9 -5 1 -2 -1 3 1 9 4 -6 -1 9 5 9 3 1 9 -4 -10 2 -3 6 -4 6 3 -5 -2 -3 -4 -9 6 8 -4 9 8 5 3 -1 -4 -3 -5 -2 9 -10 -3 -6 -7 8 0 -6 0 -1 2 -1 -5 7 4 -5 -5 3 -3 3 1 -5 2 -9 3 -5 0 9 -5 -2 -3 -6 -10 4 -2 6 3 0 2 5 -10 -6 6 7 -8 1 -7 9 -6 -8 2 -3 -3 -6 -2 -10 0 0 -10 5 0 -3 1 1 4 1 9 -3 -9 1 4 3 5 1 -7 7 4 -4 6 0 -10 -10 7 -3 -5 -5 -2 -3 -3 -10 4 8 -3 -5 -9 -9 6 -10 -10 -1 1 -3 5 8 8 8 6 -6 -6 -6 4 -6 -5 1 -7 -8 -2 -7 -1 -3 -7 5 -5 1 2 8 -6 -2 8 -5 -1 -9 2 -6 -10 -8 -8 -2 8 8 -6 2 4 -1 5 8 -7 5 -9 -6 -8 7 9 -10 -2 1 0 -6 1 -1 -1 3 -8 3 7 -8 -3 2 -8 -5 0 -3 -1 7 -2 -6 -3 2 1 -2 -2 -4 -5 -2 -4 -5 1 6 0 5 7 1 -2 2 7 -5 -4 -6 -1 -1 -8 -10 -2 -7 -1 6 -10 6 -10 1 6 -1 7 4 -1 5 9 -10 -6 -9 5 3 -5 5 -5 -8 -9 -6 8 -8 3 2 4 -9 6 -7 -1 6 9 0 9 6 9 -1 0 -2 -6 -9 -10 -10 5 -2 4 -10 -7 1 4 6 5 2 9 -10 7 3 3 3 7 5 -9 -2 -5 2 -6 6 -9 -4 6 8 -10 6 8 -3 6 -6 9 -10 6 3 6 -7 -5 -3 6 4 -9 -9 -3 0 6 -10 8 -9 3 5 -1 4 -9 -5 2 3 4 -7 -10 0 -3 9 -8 5 -6 9 1 -8 8 -3 6 9 -10 -6 -1 7 6 -10 0 -1 5 -10 6 -2 7 -10 -8 1 5 4 4 -7 -4 6 0 0 -3 -9 2 -4 -10 -9 7 -9 7 9 8 3 9 -10 5 4 -10 -7 -8 0 -7 6 3 9 -7 -3 4 -1 6 -6 1 -7 -4 6 -9 8 7 1 9 4 0 7 -3 -1 8 4 5 0 7 7 -10 3 -4 4 -6 -1 3 8 0 -1 4 -9 -5 2 7 8 1 -4 -1 0 -10 9 -10 -10 -10 0 4 5 2 2 -5 -5 -5 1 9 -1 2 -6 9 -8 -4 3 5 1 -4 3 -1 7 1 1 9 2 -8 9 2 -7 -9 -4 0 4 8 -3 9 5 0 0 -6 -8 4 -7 6 2 7 2 -7 5 7 -5 -6 -2 -2 -7 -10 0 5 2 -5 -2 1 6 -8 -9 5 3 7 -4 -7 -9 -2 0 7 -5 -8 4 -1 8 -9 -4 5 -5 4 -7 -10 5 3 5 9 9 6 -8 -3 8 -6 -8 2 -9 -2 -3 4 -1 -1 1 -4 2 -5 5 -8 8 -9 7 -7 -3 -10 -6 4 -5 1 4 -6 -3 -2 -7 8 2 8 -8 -5 8 -1 -10 -3 9 1 -5 -7 -1 -10 -5 -3 3 -8 1 -9 4 -3 5 9 0 -9 6 0 0 1 -2 4 -1 -8 -10 -2 1 -10 -3 -8 -7 3 -5 2 -5 -8 -10 9 6 -7 2 0 -8 -3 -8 2 -9 8 4 1 -1 4 7 1 6 -1 9 -2 -1 8 -8 -5 1 -2 7 7 -8 -1 -2 9 -6 -10 -9 -4 9 -7 1 -10 3 -5 -7 -7 -10 3 -4 -2 -8 -5 -2 2 -7 1 -1 -3 1 -4 6 3 -2 6 2 2 -2 4 9 -3 -1 0 -10 -7 -3 -7 8 9 6 -6 -2 1 -9 6 5 6 9 -6 5 0 0 1 -6 0 9 -2 -7 -3 4 -8 5 -6 -6 -3 9 -7 -8 7 5 1 3 -7 -8 4 1 7 -8 -7 -9 8 3 -7 -1 -1 4 -9 8 7 -2 -6 1 5 -2 -3 -8 -3 0 7 6 -5 -2 -1 -10 0 5 -6 9 8 -3 -10 6 2 5 7 -8 -1 8 2 8 9 6 -9 4 -5 -2 -1 -6 1 -4 3 -2 4 4 -9 6 0 7 5 -10 6 -3 -2 -2 -8 7 0 2 -2 4 -8 -3 1 -6 3 -2 -6 4 -6 -3 -10 7 6 -4 -6 -1 -8 -4 -4 -1 -4 -8 6 -4 0 9 -7 3 -7 -7 9 -5 -8 0 -9 6 0 8 0 5 -5 -7 -6 3 -1 -2 -8 -6 4 -10 3 2 -8 -8 8 -5 -9 4 0 6 7 -1 3 -10 2 5 -2 -8 -5 8 7 0 -9 4 -6 -7 -8 8 -3 -1 9 2 -9 3 4 2 0 -3 -4 2 5 5 4 -1 5 8 6 -7 -10 -9 4 0 1 -3 -6 -3 -8 8 8 -1 -3 -1 4 -1 4 -10 -9 -5 -10 9 -1 5 4 5 6 -8 3 2 7 -4 3 1 6 7 1 2 6 3 -8 4 5 0 5 -1 1 0 -9 -6 -3 -9 5 6 7 -1 2 -5 1 7 8 -1 -7 -7 2 1 2 5 5 -1 -1 8 5 -6 -10 1 -5 -7 -9 -4 -3 -2 -2 -8 6 7 -7 -10 -8 -3 8 2 6 3 6 -10 -5 -2 6 -10 -1 7 0 -5 -9 0 -2 8 -5 -1 -6 2 -1 -6 -4 -5 3 0 -4 -2 7 6 2 -5 -1 -2 7 4 -1 -5 -3 0 -8 -1 -3 5 2 5 3 7 -6 0 0 -5 -4 -2 1 2 0 -1 -10 9 -5 -6 -6 -4 3 4 3 4 9 -10 6 -8 -1 -6 7 -9 9 -7 9 6 3 -9 -9 1 -9 -6 -7 2 3 5 1 0 -10 -2 7 -5 -8 0 1 3 -8 -3 5 -7 -7 -5 7 5 -10 -2 1 3 -9 -6 6 -8 -1 -10 4 4 -3 8 -5 9 -4 4 -6 -10 6 -3 3 0 -3 -9 3 0 8 -8 -5 8 0 -2 -7 -7 3 9 -4 4 1 2 -2 1 0 -5 0 -2 1 -3 -10 -3 4 -4 -1 3 9 5 -6 7 7 -9 5 -10 0 0 -7 5 -1 -1 -1 3 4 -1 -6 6 5 -4 7 -4 3 7 -4 -10 5 -3 3 4 -8 -1 1 -10 -7 8 2 -5 -2 5 -10 0 7 -9 5 1 0 9 -3 7 7 -6 6 1 -8 -8 -7 7 -9 -2 -6 -6 0 5 6 3 -4 -2 8 -4 -7 0 6 -10 1 -7 -7 3 -8 1 1 2 5 -3 -7 -1 -9 8 9 -8 -4 5 8 -2 0 4 -9 -2 4 1 5 0 3 -7 -8 6 -3 -4 0 -9 7 3 3 -6 -10 -2 -4 3 -4 7 5 -5 2 -4 3 4 -10 -3 5 -3 0 0 7 -6 -5 9 2 2 -5 4 -4 4 -3 9 1 9 -10 -1 2 8 8 -10 5 -8 -4 -1 -2 8 -2 -7 -5 8 -5 -8 4 -7 -8 9 -3 9 3 3 -4 -9 -5 -1 -10 -5 0 3 5 -2 -5 1 -8 1 2 0 -1 -10 -4 5 0 -7 -1 7 -4 -7 6 4 -7 -1 -3 -9 -8 -6 0 -7 -9 2 -2 7 -10 -5 -2 -8 6 -10 -6 -5 2 0 2 -8 4 -8 1 -10 -5 -3 -4 -10 -1 4 -9 1 8 -7 -4 -10 5 -4 -1 -3 1 7 -9 -3 -1 -4 -5 3 -2 7 -3 -8 1 9 5 7 8 -9 7 -3 -3 1 1 8 4 -1 0 -8 6 9 -9 9 -2 -7 9 -1 -1 6 -8 7 -5 -1 2 7 -2 9 4 9 2 -7 -4 2 4 -1 0 -9 9 2 5 -3 -7 6 -4 1 9 7 -10 -10 3 4 0 9 -7 4 6 -6 -5 -8 -7 7 -5 -9 -9 2 1 1 -5 -8 5 -10 -1 8 -2 -3 -1 -10 -5 -9 -10 0 5 -8 -1 1 6 7 5 3 1 0 1 -1 1 2 -9 4 6 8 6 -7 8 -5 -8 -4 3 -7 -4 0 7 9 -10 2 3 -8 5 0 9 0 5 1 -10 -4 -10 -6 1 3 8 9 1 5 -8 -9 -10 6 9 -5 -10 8 5 7 7 -2 -9 -8 0 -1 -6 -1 9 -10 2 2 -4 -6 -2 -1 -1 -4 -2 -10 -9 -7 3 4 9 3 1 1 1 9 -10 -10 -3 4 -8 7 -7 -3 8 -8 -3 -7 -4 -5 -3 4 -3 7 -9 -3 -1 4 0 -7 -10 -8 -2 -6 3 1 -7 4 1 -8 -10 -5 1 -7 -6 -9 7 1 -6 -6 -1 -6 0 6 3 -7 5 4 8 -4 -1 0 -10 7 4 3 -2 -1 9 1 -7 9 7 4 -8 3 6 -10 7 2 6 -4 6 -4 4 -9 0 -1 6 -10 -3 -5 -8 -3 5 -1 3 5 0 -6 -3 4 -6 6 -2 8 -1 6 0 -4 -1 8 -6 7 -5 8 9 -3 -10 -3 9 9 2 -9 -3 9 -8 2 5 3 6 -8 -3 2 0 -3 -7 9 -6 3 8 -5 -6 -8 4 -1 3 3 -2 3 2 -3 2 -5 -10 1 -6 5 -7 9 -2 2 3 5 -6 -7 4 9 5 0 -5 3 5 -1 5 -8 0 -2 -3 8 3 -10 7 8 -5 -1 -1 -9 -6 -5 3 -6 -1 8 1 -5 -8 -4 -5 -1 6 0 -8 -6 9 7 -4 -1 8 3 9 1 3 -2 -9 0 7 -7 -6 4 -10 -1 8 -1 -3 0 4 -9 -2 9 0 -6 -1 2 -10 -2 -8 8 -1 2 2 -10 5 7 -2 7 -10 8 -10 6 2 -10 -5 -8 -9 -6 2 5 8 -10 -3 -2 7 6 3 -1 7 -3 -2 8 1 -10 9 -4 -1 -3 5 -9 -5 -3 -1 -1 9 -4 2 -10 1 6 6 -1 -1 -7 -1 -4 1 4 5 -10 -9 -7 9 2 5 8 1 7 7 -4 0 -7 4 -10 2 3 -4 6 -4 -1 3 4 8 -8 -1 -10 -10 -10 4 5 3 -2 1 2 2 8 -8 5 -3 9 -8 8 4 -2 8 9 3 -6 5 9 -4 -2 -5 -6 -8 4 6 -8 -3 1 0 -10 1 -9 2 5 1 -4 1 9 -5 -5 -1 2 3 -3 1 8 -7 -4 0 -1 -3 5 -4 -1 -8 -8 -6 -1 -5 4 -9 -2 -3 3 -6 0 1 -3 -1 6 2 8 -2 7 7 1 5 -9 8 7 -8 7 -5 -10 8 -3 -7 -8 -2 -10 -2 -1 -1 5 4 -5 -4 -5 2 -3 3 -6 8 4 3 5 -5 -10 -2 5 8 -7 2 5 -7 -7 4 8 7 -8 9 -4 -7 -10 -9 7 -5 9 4 -1 9 -3 -5 7 3 8 -6 9 8 3 -4 -2 6 9 -7 1 4 7 0 1 9 -1 7 4 -9 1 -7 8 -8 7 -3 -9 7 -6 0 0 -8 5 -9 2 -2 -2 -9 6 9 -6 -3 3 -8 -1 -6 3 8 4 -10 1 7 -7 -1 9 -9 -2 3 0 2 -7 2 -4 8 4 9 8 4 -10 4 3 6 4 8 8 -7 4 -6 4 -2 -6 -5 -5 -3 -3 7 -10 -3 0 0 2 3 5 8 2 -1 7 0 -7 -1 7 -2 -4 -7 -4 6 -4 -10 -10 2 -1 6 0 -4 6 -1 -7 -2 6 -5 1 -2 9 -4 -3 -7 -3 6 3 0 -4 -8 8 2 -5 -6 -10 -6 6 3 6 7 -1 -4 -6 7 5 9 -4 -6 -5 -1 2 6 5 1 9 -8 -2 -6 -6 -4 9 -8 0 -6 8 0 -2 -4 -7 7 -6 -5 5 -10 -8 -7 9 -10 -3 6 -1 1 -6 6 -7 -7 8 -7 -10 -8 -1 9 6 1 -7 -4 -9 -6 3 7 3 -1 4 -2 -1 6 1 -10 -1 0 -1 8 -8 3 -3 7 -1 -5 -10 -1 -10 -9 -2 -2 2 -7 5 -5 9 -10 4 2 -9 -2 3 0 7 -6 -8 -4 -3 1 6 -1 7 -7 -4 -4 -9 8 -3 -9 9 5 -1 -7 0 6 -10 -8 -2 5 4 -9 5 -3 -7 2 -6 -4 0 1 -1 -3 2 -4 -8 0 -6 -7 -10 1 6 1 8 8 4 -9 -4 -4 -7 5 3 7 -2 -1 7 2 -9 3 8 2 6 9 1 -2 8 3 0 4 -1 0 -4 -5 3 6 -7 9 7 0 -5 -10 7 9 0 -5 -2 -3 7 -9 2 -3 -5 -2 9 6 -2 7 -8 8 -7 1 -10 -1 6 3 8 -10 2 5 -8 7 -2 9 -2 8 6 -2 7 -4 0 -1 3 5 7 -6 -6 -5 3 -4 5 7 -1 5 8 -5 -10 6 7 -6 2 9 3 -10 0 -8 0 -3 0 -3 3 2 6 8 -10 -5 5 -6 -8 -2 -8 7 -5 1 -6 -6 6 6 -10 -4 -10 -6 -5 3 6 -2 -3 -4 5 8 3 -10 0 -9 0 -8 8 -5 -4 -10 4 -10 -1 1 1 -5 5 -10 -9 -2 8 3 2 5 -3 -1 -7 4 -3 8 -6 3 0 -3 -4 -9 -1 -5 -4 -2 7 2 -2 9 -6 2 -6 1 -6 8 9 -8 -7 -6 7 0 -5 -9 7 2 1 3 -5 4 -10 -6 5 -8 -1 3 0 8 -4 0 7 -8 4 4 3 8 -6 -5 2 -3 -1 -8 0 4 5 9 8 -4 2 6 2 -5 -10 -3 -3 -9 3 -1 9 1 9 -1 3 4 5 8 -6 1 -7 7 0 2 9 -10 8 -4 1 -1 2 6 -5 7 -9 7 -6 -10 8 -1 -9 -1 -10 -10 0 -5 -4 7 -6 -7 -2 -3 2 9 2 -7 1 -8 -1 5 1 3 1 6 0 -6 3 -3 -6 -7 6 -5 3 -1 7 5 4 6 3 0 1 -9 0 -7 2 -8 8 6 -6 -3 1 6 -10 4 -6 -7 8 8 0 4 3 -4 1 -4 5 -10 4 -8 6 -3 2 9 -10 -8 -8 -5 6 2 -9 3 9 -6 -1 2 8 -5 5 6 5 -5 -8 -1 -7 3 -3 1 3 -9 3 -8 -2 7 -9 -9 2 6 -4 -2 -2 9 -9 -2 -7 -8 2 3 -2 -3 -9 -7 2 -7 2 5 6 2 8 -1 3 1 -7 4 -9 -5 5 3 -9 3 -9 -1 2 5 -1 -3 7 -9 -10 7 -2 -9 -9 2 6 -5 -10 2 -1 8 3 -7 -8 7 -1 -7 4 6 -2 -3 -1 -9 6 3 6 8 -10 -4 1 2 5 2 -5 -2 6 -9 -4 6 -5 5 -3 0 8 -9 -3 -3 6 3 -7 -6 -10 -6 -5 -1 7 4 9 -1 2 0 -9 -3 -8 -4 6 1 -3 -8 9 -6 7 -4 5 -2 -3 4 -3 5 -2 1 9 -2 -3 -5 -1 7 1 -2 -4 -7 9 -2 0 3 -4 8 6 -4 -10 6 0 0 -8 -5 8 -8 -10 -5 7 -10 -2 -1 -10 6 -4 0 -5 7 8 1 -10 -1 1 -8 5 8 -9 1 6 3 9 -4 5 -8 -6 3 6 6 1 -5 6 9 4 6 -3 2 -4 2 -1 7 6 -9 8 -3 6 -5 7 7 -1 3 -8 -2 2 8 -8 -2 -7 8 -6 4 6 -10 -4 -8 -2 3 5 5 8 -6 -6 4 8 4 3 4 -10 1 -7 -1 6 -5 7 -10 5 -10 -2 9 0 -6 -5 -4 6 1 -9 -5 7 6 2 -3 -10 6 3 8 0 -4 -6 0 -1 -3 1 8 3 -9 0 -10 -9 1 1 -7 5 7 -8 2 -10 -7 7 -1 9 -1 6 1 7 -9 -8 -3 -2 -4 0 -1 4 3 -3 9 4 8 9 -3 -1 1 -7 6 -10 -5 -2 2 -2 7 -8 9 -4 0 0 5 2 -6 5 2 1 7 -9 7 0 -9 6 7 1 -3 -6 2 0 -3 -2 -8 -6 -1 5 -6 -4 -1 -7 -5 1 -4 2 5 -8 -3 9 -5 -6 3 -8 5 4 0 -6 7 8 -2 -1 -10 -2 -1 -7 2 0 0 -1 -1 9 2 -4 -8 0 8 8 3 -4 7 8 -8 -8 3 -1 6 -7 3 -5 3 -8 4 4 -8 6 7 -4 -4 -3 5 -3 8 -10 3 -10 -8 2 0 -3 0 -10 -4 2 -8 1 -8 1 4 5 6 -2 -1 -7 4 1 1 1 0 7 0 -5 -5 -10 7 0 -10 -10 -8 -7 -3 2 5 -5 -5 7 6 -3 -10 -7 4 -1 1 -6 2 -5 5 -7 -2 7 2 0 -7 -1 0 2 -10 -8 2 4 -5 2 -3 2 -1 -6 -8 -4 -7 -8 -1 7 1 2 -9 5 -1 -1 0 -1 -4 -7 9 -9 -6 -1 4 6 1 8 1 -1 0 0 -9 -10 4 -7 8 7 -4 9 4 -1 -7 -2 -5 2 7 -3 -9 -7 0 2 -5 -3 -9 1 5 -6 -1 -4 3 2 6 -3 -6 -8 0 -8 1 -2 -9 8 0 6 -4 -3 -2 5 4 -9 8 7 3 5 6 -4 8 1 -8 -2 8 -2 2 -4 5 6 -9 7 0 2 8 -7 -8 -2 9 -2 -3 -3 -7 -9 -10 4 0 -5 -9 -4 -7 2 8 -5 -10 -2 3 -6 -4 -10 -10 -3 8 0 2 -2 3 -4 6 2 5 5 1 0 -2 -7 6 9 -2 0 7 -7 -8 -3 -2 4 5 4 8 -8 4 0 -9 2 2 -5 -10 7 2 -2 -9 9 5 2 -9 -6 -3 0 5 -3 -10 2 0 4 -10 8 -2 5 2 8 -1 9 -10 -7 -7 2 -10 6 -1 -6 -6 0 -7 2 4 -5 6 -9 -3 1 -2 -3 -7 0 3 5 -2 -9 -7 3 1 -6 2 1 9 -3 5 -10 -7 6 -6 -10 -4 -2 2 2 -5 -2 -5 2 1 -5 1 -4 5 -6 -8 5 7 -5 -2 -10 -1 2 -7 -1 -10 8 -9 -7 4 -5 -7 2 -5 -3 -6 -8 5 -1 -4 8 4 -1 -5 -9 3 -3 6 -8 -6 -5 -8 -5 -1 -5 -4 -9 5 -3 -5 -1 -5 -10 3 0 -10 7 -5 -3 8 -7 -4 -6 3 1 -5 8 0 -8 -9 -4 9 5 1 -10 3 8 -8 -2 7 9 0 -8 1 -7 -5 1 3 -8 9 1 -5 -5 -2 8 -2 3 7 0 -3 0 6 8 -5 9 9 0 -1 -9 9 -3 2 -9 -9 -7 -6 8 5 -1 -10 -4 3 -4 1 -9 6 1 -4 -5 3 4 5 -1 -6 3 -10 -7 -7 0 6 -8 -1 -2 5 -8 2 -10 -9 9 -9 3 -5 4 1 -2 5 -2 1 -8 3 -6 -2 -9 3 2 4 -5 -2 7 5 -6 2 6 -5 -3 1 7 9 2 -2 -9 7 3 5 -1 3 -7 -1 -6 7 4 -2 7 5 3 -9 -1 8 -1 -3 -4 -4 1 4 1 8 -5 -10 8 -1 -2 1 -3 3 -4 6 8 -9 -5 -8 8 9 -8 5 -3 5 -1 6 -5 8 5 -7 -6 -4 8 -3 7 5 -3 5 -5 -3 -4 2 2 -6 -10 -8 -4 7 -6 6 -2 8 -6 5 -5 3 -6 -7 1 9 -4 -2 8 6 -3 5 2 5 0 -1 4 -2 3 9 2 3 -9 0 -8 8 -3 0 6 -7 8 4 6 -8 7 9 -9 -7 9 1 2 -3 -4 -6 4 -2 -5 -2 -2 8 9 3 -7 -9 -7 -5 9 -8 -3 -3 -5 -5 -9 3 -3 8 3 -9 4 -6 2 -4 1 1 -8 -5 9 -3 -4 -10 7 -5 3 -10 8 6 7 7 1 -6 7 -2 0 0 4 -1 -1 -3 0 5 -7 5 -9 5 -4 5 -10 7 4 -4 7 1 -6 0 -7 -8 9 -10 2 -8 -6 -1 0 -4 1 -6 6 2 -7 8 -3 -3 3 -10 -8 1 5 4 -1 -1 3 8 2 7 -9 5 1 -10 5 -7 -8 2 -6 -6 0 6 -1 -4 -2 -6 7 -2 1 0 -2 -5 4 -6 2 5 -5 -5 3 8 4 -4 3 -5 -4 -9 -9 -10 -5 -5 7 5 3 -4 -8 -8 -8 1 0 -4 -9 0 -7 -3 4 5 -8 2 2 -2 -8 -4 4 -3 -6 3 -2 -5 -5 3 -8 -8 -1 6 -10 -7 8 -7 4 -10 -9 -3 0 -6 -3 7 -10 -1 -9 2 -1 -7 1 6 0 5 -1 9 -10 4 -6 -8 -1 -5 0 -1 -10 -2 -6 -4 -10 -5 -4 -7 0 3 -10 -8 4 -9 4 -6 -6 7 -10 -4 2 -9 7 -6 -3 -8 9 6 9 -1 8 -10 0 -8 8 0 -10 -6 -5 0 -1 -5 -6 -6 8 8 -10 4 6 2 -9 -10 3 8 -5 2 2 6 -1 2 -5 -3 -6 -3 -9 -8 0 -9 9 5 -7 -2 3 -3 -6 1 8 -6 -4 -4 -2 9 -4 3 7 -7 -4 -8 1 5 4 7 4 0 6 5 -6 -4 -1 -7 4 2 -6 -3 2 -2 8 0 -5 6 6 3 5 4 -3 -5 0 3 -3 -9 -10 -9 0 -4 -7 -3 -9 -3 -5 -8 1 9 5 -3 -4 9 5 7 -1 2 3 7 -4 -1 -7 -5 4 3 0 3 5 -8 -4 7 -2 -1 -6 -9 6 -8 -6 9 -9 1 -4 -10 0 4 7 9 -4 0 -2 -6 1 1 -1 7 -5 1 0 2 3 6 -1 -9 -5 -4 -7 4 -10 -3 -5 -9 0 2 3 -10 -4 0 1 -6 3 9 -1 -6 -8 0 4 -3 -8 -6 1 -3 3 3 -1 0 1 -6 -6 1 -7 -8 -6 3 4 8 -5 2 -10 6 6 3 -3 -5 0 -1 -2 -6 -1 0 -2 -10 7 3 -5 8 -6 6 -8 -10 9 7 -8 -6 0 -2 4 5 -10 4 1 -1 -10 0 4 0 -10 -8 4 -1 -6 4 -9 4 -2 -3 2 -6 5 -3 -6 5 -6 9 1 -3 -3 -5 -8 -10 1 -4 -1 1 6 5 -9 -2 0 -3 7 4 -8 9 -2 0 8 3 4 3 2 0 -2 6 -1 1 -7 -1 -2 8 -1 -10 6 8 -7 -6 3 7 3 5 -6 0 0 -4 -9 0 6 1 5 -8 -5 -3 -5 -5 6 4 7 1 5 -5 -1 -6 7 7 4 -9 -8 -10 8 5 5 -8 7 -5 -1 1 -2 7 -8 -7 2 9 -7 7 -5 9 -7 4 -8 9 9 2 -7 7 -9 0 0 -7 0 -2 0 -5 -8 -10 -7 -7 -7 -7 3 -5 8 -5 7 -9 4 -8 2 7 6 5 6 -3 9 2 6 -10 4 -4 6 -6 -4 8 -9 -1 8 6 -6 -9 9 7 9 8 -8 -2 1 6 0 -6 -4 8 9 4 7 0 8 4 0 2 2 -4 -2 9 -5 0 -10 5 8 -6 -1 8 -8 -10 -2 6 -2 1 -5 0 5 1 -2 -4 7 -5 6 6 1 -3 -2 -6 -5 -1 -7 -8 9 5 0 -1 1 9 9 3 1 9 -8 9 1 -3 -9 -4 0 -9 -5 -3 -4 -9 -7 0 -10 -6 4 8 3 -1 2 -6 6 -8 3 -3 3 -5 -9 -6 -6 5 5 5 -8 6 4 -6 7 9 1 6 -10 -3 8 3 -7 2 1 6 3 -7 2 -1 8 7 6 1 -8 -1 -2 -3 -6 5 -8 8 -6 6 -8 -9 -3 -4 -1 -2 3 -3 3 6 1 -6 -6 -6 9 -2 -5 -1 -5 -8 -9 -2 -7 -9 -3 -2 6 -9 8 -10 8 -9 4 -5 -3 5 -5 2 -7 8 -10 -4 4 6 1 -4 -6 -2 5 -9 0 -2 -1 -4 -1 -2 4 8 0 -6 0 -10 -5 -6 7 -6 2 5 -2 5 3 -10 3 -10 6 -6 8 2 -5 3 4 5 4 5 -9 -7 -6 -3 3 4 2 -6 -4 -1 -10 -7 -4 2 8 4 9 -6 5 3 6 -7 -1 4 6 4 -3 -8 -8 3 7 5 7 3 5 -8 9 9 8 -5 -2 9 -1 4 -7 9 -9 5 -7 -2 -10 9 -7 -9 -5 1 6 3 3 0 8 -7 7 5 6 2 0 6 1 -2 3 2 9 4 8 -7 4 9 0 -1 9 0 -1 -7 1 4 4 9 9 -10 -9 8 -7 9 -5 1 1 -3 9 5 6 3 -3 5 -3 -5 0 -9 7 -10 -7 -2 0 2 1 4 8 8 3 0 0 5 -10 3 4 7 6 7 -5 6 -6 -9 -1 -7 -2 -2 -9 9 -8 8 1 -5 -4 4 -1 0 -2 -3 -10 -9 -1 0 -2 -9 5 4 9 1 -6 -6 -3 -2 7 -2 -6 7 7 -5 -2 9 5 -10 6 3 4 -5 -7 -8 -6 -7 5 4 -5 6 -3 -10 0 -4 2 -4 -8 9 5 1 -2 9 -1 7 6 7 -2 1 -1 -6 -6 -7 -1 -2 7 3 -7 -5 9 -9 -9 9 -9 -7 -5 3 0 -10 -5 7 -7 -5 6 2 -8 2 -8 -8 5 1 -4 9 -3 -3 9 -6 -10 5 -1 2 6 -8 1 7 -4 -2 -7 6 -10 -2 3 -6 -5 -9 6 9 -5 0 -9 -10 4 -3 9 -9 4 1 -5 -4 -4 -3 0 -8 -1 3 1 -3 4 4 -7 4 4 -2 8 9 -9 -3 0 -4 7 1 8 1 0 8 -6 -6 -9 -8 -7 -3 -1 -5 -9 0 9 2 0 3 9 -5 9 -5 4 8 7 5 -5 -3 4 4 9 2 8 -1 -8 -8 -4 -7 -6 -9 0 -5 -4 -7 -2 7 -2 8 -8 -3 5 -8 2 -1 -10 -9 7 7 -1 1 -7 -2 -7 3 -1 8 6 5 -9 2 -2 -6 0 5 -3 8 -6 5 -2 -3 4 -7 -1 9 -5 -9 -10 4 0 -1 -5 -5 -1 -10 9 9 8 5 -4 2 9 5 6 -1 -8 5 9 -4 1 9 3 -5 -7 4 6 -10 -3 7 4 -1 -4 1 5 6 1 4 -3 -8 -9 3 4 -10 -10 -8 0 -8 7 -9 -1 -10 -9 4 8 6 -9 4 6 -2 1 -8 8 0 3 3 -4 6 9 -5 8 -10 8 -6 -10 9 8 -8 3 6 -6 -8 6 -5 -1 4 -9 0 -9 -1 0 2 1 -10 -8 -6 -5 -10 2 -6 -5 1 -6 6 -3 7 -3 -4 9 -10 4 5 5 -8 -10 -6 -1 3 -4 0 4 -2 -8 -5 -1 7 -9 -4 7 4 1 5 7 -3 1 6 -6 8 4 6 0 -2 1 -5 1 -6 -9 -10 -1 -3 -8 -6 6 -6 -9 7 -9 -7 -7 1 -1 -4 -4 8 -4 -1 4 -8 9 -1 8 -1 -1 -8 -3 2 8 -2 -6 -3 -2 -4 -7 -6 1 -5 3 -6 -10 -2 5 -1 5 3 9 3 4 3 5 -5 4 -4 -3 -6 -10 4 6 8 -8 -9 -5 0 -3 -1 -4 0 -4 1 5 -4 -10 -8 -3 -3 -2 -4 -10 4 9 -3 -10 -4 3 -3 0 3 -9 8 -7 5 9 -1 8 9 0 -6 -9 6 -2 6 -8 -2 1 -1 -3 1 -3 -3 -5 8 -4 -5 -6 2 -6 -4 -5 7 -5 -9 3 6 0 1 5 2 -3 7 -2 -3 -5 -8 5 -2 -7 -8 9 0 -9 7 -2 -10 -8 3 2 9 9 -1 6 6 0 -1 3 2 2 -10 -6 2 7 2 9 5 4 -3 5 7 -9 5 9 5 2 -2 5 -4 -9 -3 7 2 -2 4 -1 9 5 4 1 -2 4 6 2 -6 -10 -7 9 -3 0 4 6 -6 -9 6 9 -5 -6 -4 -6 7 3 -9 -9 3 -3 0 2 -7 -6 6 -7 1 -6 5 5 -6 0 -4 1 -9 2 -2 7 -4 6 6 1 -10 -8 -3 7 -3 -9 0 -10 -2 -9 -5 1 7 3 4 -10 7 -9 5 -9 2 -9 -5 -5 4 -5 -8 -10 -9 0 -7 3 2 -7 -8 1 -6 2 -7 2 -5 -10 -6 5 3 0 5 0 -6 1 -6 6 -6 -1 3 0 -4 5 -8 9 -5 8 2 -1 -9 4 2 -5 -4 -3 7 -6 -2 3 9 -9 6 4 -6 -10 7 -2 -2 -8 -1 -9 2 -3 -2 -3 -4 -5 -5 0 -4 -4 -6 8 -7 -8 -5 -10 8 -5 -4 7 -3 4 2 -7 4 -1 1 4 -7 2 5 -2 9 5 5 7 -10 2 -3 -4 8 -7 -6 -9 7 -9 3 6 -3 1 3 -4 -5 7 -1 1 -3 2 -5 -8 6 2 0 -3 -3 7 -6 -3 -1 1 3 9 -4 -1 2 -7 -7 -4 9 0 -1 3 -2 5 0 -1 -4 -1 3 -6 -6 -1 6 4 6 -6 -6 2 -7 3 5 -1 -5 -9 8 7 -6 -9 5 -6 -7 -5 -1 -7 2 9 2 0 -9 7 4 -5 8 -7 1 4 9 5 8 -8 -9 3 1 -4 4 -8 5 9 5 1 5 1 -2 -6 4 2 5 9 -8 6 6 -1 3 5 2 7 -9 -7 2 -10 -5 -5 3 -1 -7 -10 1 9 1 8 -8 -4 -1 -8 0 -6 4 -5 5 6 4 1 7 9 8 -1 6 -10 2 -9 2 0 -4 7 1 -8 7 4 -9 -10 2 5 -4 -8 7 6 8 1 4 3 9 -10 6 7 1 5 8 -2 -3 -7 -9 9 -5 -3 -2 6 -9 8 0 -8 8 4 -1 -5 -2 -4 3 -4 -1 9 1 -9 1 -2 8 -7 -7 6 -7 -8 1 -6 3 6 -7 -9 2 -5 1 4 9 0 -1 -1 -3 7 -3 2 6 -1 -6 -3 0 5 5 -10 8 0 -2 -9 2 -10 7 -5 6 -9 9 -9 -4 0 5 -5 2 6 -4 9 -4 -4 -6 -8 5 -2 -9 -5 -7 7 7 4 9 -5 -3 2 -5 -5 -1 4 8 -2 5 -6 1 -8 -9 -7 1 -10 5 7 -4 9 1 -9 -3 2 8 -8 -9 5 6 -9 -10 6 -5 8 -9 4 2 1 5 9 5 -4 3 -2 -9 -6 -10 6 3 -4 -3 -6 9 4 7 7 -1 8 -6 7 1 7 3 6 -3 -4 -7 9 7 0 0 -6 -2 -7 -5 -1 -10 -5 8 3 2 -5 8 1 2 -3 -9 -9 -5 7 0 -1 4 -6 -5 -9 -8 -10 2 -10 0 4 6 0 0 -9 -10 0 -3 0 5 1 5 3 4 -3 -10 -3 -10 8 -5 1 -3 1 -3 -6 -5 -1 7 -1 -9 -3 -6 8 0 -4 1 0 6 8 -10 -7 -9 -3 7 6 -3 -1 5 -3 9 -10 0 8 -6 7 5 -9 9 2 0 -10 1 -4 0 -9 2 -8 -7 -10 2 5 -6 4 -7 3 -8 0 4 7 -1 -4 0 -10 -6 -4 7 9 -3 6 1 7 -1 5 6 9 6 -10 3 -10 -9 -4 5 7 2 8 -8 -4 -10 -2 5 0 4 7 0 9 -7 9 0 0 -2 4 -10 7 -1 -2 -2 -5 -2 4 7 -9 2 3 0 6 1 2 -8 -6 -9 -1 4 -3 -3 -6 8 -8 5 -1 -5 -7 5 7 2 6 -5 -9 3 -5 5 1 -3 9 -6 7 5 -3 -8 7 1 5 8 -5 4 -5 -9 3 -10 7 4 -5 -10 -1 -8 3 7 9 -4 0 -6 3 -9 -7 2 -5 3 -3 3 -3 6 6 -8 4 -8 6 2 5 -9 2 2 5 -1 -5 6 -7 8 3 -8 6 -6 8 -1 7 -8 -9 -7 -3 -10 -2 4 6 6 -2 0 0 6 4 -4 8 -4 8 -5 -3 -7 -8 0 3 -3 -6 -1 -7 -7 8 -9 7 1 6 6 1 6 0 -3 2 8 0 -7 4 -6 -9 -6 -7 9 0 0 5 -6 -9 -2 1 7 0 -3 2 -2 -10 -1 -10 -2 -5 -7 6 -3 1 -2 -5 3 -7 2 7 6 6 2 6 8 -7 -7 -8 6 -7 -4 3 3 -5 -4 4 -5 -3 -4 -5 -5 -1 -9 2 2 -9 0 -5 7 4 5 3 0 -3 -9 -9 -8 -6 -7 8 -10 -9 -6 3 -4 -8 -3 -7 -9 3 -2 -4 5 -1 1 -3 -7 3 -5 -10 -3 -10 3 -1 9 5 0 -8 1 -4 2 1 9 -2 -5 8 -8 -6 -9 -6 0 -8 -8 -5 -7 -5 -6 -4 8 -1 -4 7 -9 2 9 -9 -3 -9 5 0 9 9 -8 9 -2 9 -1 0 5 -8 -4 -5 -6 -1 -8 -10 -4 -3 -4 -5 -2 -5 4 0 7 3 -7 6 -3 8 8 -4 -1 2 -5 -1 1 -4 2 9 -1 8 6 3 9 9 3 -4 8 2 -7 -4 7 7 -2 -4 -7 1 4 0 -9 2 6 -7 -5 4 2 -2 -10 -6 9 -1 -7 6 5 4 5 -10 -10 -5 2 -7 -7 -9 3 2 9 6 5 3 8 7 8 4 -10 5 -10 -6 -7 3 -1 -7 -8 -6 1 -1 8 -4 0 9 -7 -8 4 -4 6 -3 8 5 5 4 -9 3 -7 9 -10 5 4 2 9 -1 -5 -10 -6 -10 -6 5 -1 5 3 9 4 6 4 -10 5 0 -10 -5 -5 5 9 -4 -9 4 7 3 -9 -7 -5 3 3 -7 3 -1 -7 0 7 2 -5 0 -6 1 9 8 1 4 -2 1 9 -5 9 1 2 2 7 -9 -5 9 -5 -8 2 0 -5 -5 9 -10 5 6 -5 2 9 -1 -7 8 9 5 -6 -3 8 5 2 -1 8 6 -9 6 8 -4 -3 -7 -9 9 3 8 6 -6 9 -6 3 -6 6 2 -5 -10 -8 -6 -3 8 -7 -5 3 5 5 2 -6 -2 -10 -8 5 -3 7 -2 -4 -8 -4 4 -4 -5 8 1 -9 -3 -7 -4 9 7 -8 -4 5 -5 -7 -1 3 0 3 7 9 -5 1 -4 2 -2 4 0 -8 2 6 -10 8 5 2 1 4 -3 8 3 -5 -10 1 -10 8 4 -9 1 7 -4 -10 -2 1 1 4 -7 1 -10 -5 3 2 -8 3 -8 -1 7 4 -7 -5 -6 -2 0 6 9 -8 4 -5 -6 7 -8 0 7 0 4 -2 6 -1 9 6 5 -6 -9 -1 8 5 8 -3 -1 3 2 3 -9 -8 -8 2 7 6 7 -9 4 2 -7 -7 4 7 2 1 -3 -7 9 4 -2 2 -7 -4 -2 -9 -5 -1 -4 8 -7 9 2 7 1 -1 -5 -10 -8 1 2 -4 5 9 5 -3 0 -8 0 -9 -2 8 4 1 6 -8 -6 -8 1 0 2 -4 -1 -6 5 2 -4 -9 3 -2 2 7 4 -3 6 0 4 8 -6 7 -10 3 -3 -4 6 6 -10 -9 0 -7 -7 -8 -8 -5 8 7 7 -6 8 -8 3 -7 2 9 0 -10 -9 7 9 -4 -4 1 1 3 -1 -3 -1 -9 -10 1 -6 -6 3 8 -9 2 6 8 6 -4 3 -9 -1 7 -9 2 7 -8 -1 -2 -10 5 1 1 -10 -10 1 -8 3 1 3 8 -3 9 -2 -2 1 6 9 9 -7 -6 -9 -6 -9 4 -2 8 6 -1 9 7 6 0 -10 7 -7 -7 1 6 -3 -6 -4 4 -7 ================================================ FILE: programming_assignments/beale_ciphers/testcase/large/test9.out ================================================ 0 ================================================ FILE: programming_assignments/beale_ciphers/testcase/small/sample.in ================================================ 2 1 4 1 2 6 3 4 3 3 3 4 2 1 0 0 1 1 1 0 1 1 1 1 1 0 1 0 1 1 3 1 -1 ================================================ FILE: programming_assignments/beale_ciphers/testcase/small/sample.out ================================================ 3 2 ================================================ FILE: programming_assignments/beale_ciphers/testcase/small/test0.in ================================================ 10 3 3 3 1 0 0 0 0 0 0 0 1 -100 -100 -100 -100 -100 -100 -100 -100 -100 -100 -100 -100 -100 -100 -100 -100 -100 -100 4 4 4 1 0 0 1 -1 0 0 1 0 0 1 0 1 0 0 0 -100 -100 -99 -100 100 100 101 300 -201 200 50 0 -100 -100 -100 -200 -100 -100 -100 -200 200 257 -102 -102 -201 200 50 0 0 0 1 100 3 3 3 1 0 0 0 1 0 0 0 1 2 0 1 0 0 1 1 0 1 1 1 1 0 1 1 0 0 1 3 3 3 1 0 0 0 1 0 0 0 1 1 1 1 0 0 2 1 0 1 1 1 1 0 1 1 1 0 1 3 3 3 1 0 0 0 1 0 0 0 1 1 1 1 0 1 1 2 0 0 1 1 1 0 1 1 1 0 1 1 21 1 2 -10 1 2 3 4 5 6 7 8 9 10 0 -1 -2 -3 -4 -5 -6 -7 -8 -9 -10 1 1 1 1 1 1 1 1 1 500 -500 -1 2 2 2 0 1 1 0 1 0 0 1 0 1 1 1 2 2 2 0 1 1 0 1 0 0 1 0 1 1 0 ================================================ FILE: programming_assignments/beale_ciphers/testcase/small/test0.out ================================================ 0 1 0 0 0 1 1 1 0 1 ================================================ FILE: programming_assignments/beale_ciphers/testcase/small/test10.in ================================================ 1 40 40 40 -7 -4 -9 8 -7 -6 2 -10 3 -2 -2 -9 6 -3 -1 -4 7 -6 1 9 -3 2 2 0 -2 -2 -2 5 -10 8 0 -7 -6 1 3 -3 5 7 9 -9 8 -3 4 4 -4 -6 -10 5 -2 -7 4 -3 5 9 7 6 9 7 1 9 5 -8 4 9 -5 9 9 3 -1 0 -4 -3 0 -10 3 6 -6 -5 -6 -6 -2 0 1 -6 -1 -10 2 -2 8 -7 9 3 7 -5 -5 -7 7 6 -2 8 -4 4 -5 6 4 8 -5 1 5 -1 5 -7 1 9 9 -9 9 1 -9 7 -3 3 1 -6 0 -2 9 9 -6 -3 7 0 3 4 9 -10 -6 -6 1 9 -5 8 -7 6 7 4 -1 7 -4 -7 4 -5 -2 7 -9 8 -5 -9 8 -9 -10 5 -6 -4 -8 -7 -4 -4 9 7 -4 6 -3 -9 -6 -5 5 4 -8 3 -1 -2 8 7 8 -10 5 5 3 -5 7 3 3 -9 9 5 6 7 -9 -3 -4 9 -7 4 -10 -3 9 6 3 3 -1 -8 -9 -10 1 9 -10 9 5 -5 -6 -6 8 -1 7 0 6 3 9 8 -10 -4 -1 5 -10 0 -8 9 8 -2 2 9 0 -5 9 4 7 1 3 -6 6 7 -2 -3 9 -5 -1 5 0 -2 -5 -8 4 5 7 4 -5 1 -5 5 9 -1 4 -8 5 4 6 2 7 -9 6 4 8 6 3 -1 -9 -8 -5 -7 -8 0 -5 -1 7 4 -7 -8 -5 -9 -1 7 0 -6 1 7 0 9 -1 -3 -10 7 3 0 -5 8 -10 -4 -10 7 -9 5 -3 -4 -6 -5 -10 -3 9 8 -10 -1 -3 1 -5 0 -2 5 -1 0 4 -9 9 -10 1 -5 8 -7 -7 1 -10 -5 -4 -10 -7 0 7 6 -1 6 -4 0 7 3 3 4 5 3 -9 -6 5 -2 -5 5 -2 -2 2 8 -6 -3 -1 -6 2 5 -6 -2 -5 3 -6 -3 -8 -8 7 1 5 -8 -4 -8 5 -3 -4 1 5 -7 8 5 -7 -8 4 -3 -1 -7 2 4 1 -2 -8 6 4 8 5 6 -10 2 -3 -3 -4 3 -1 -8 3 5 -5 -10 0 5 6 3 7 -8 3 -4 -5 7 -10 6 -5 4 -5 9 2 -10 -3 2 -5 5 9 1 -10 -2 -5 3 5 -8 -4 -5 7 -8 1 -4 -6 6 3 -9 3 -5 0 0 2 -3 0 -6 9 -1 -1 -6 -6 -2 -2 7 -1 3 0 -6 -2 -2 -8 -5 0 -5 2 -4 -9 7 -10 4 4 -8 -6 -4 -1 -4 -7 -2 6 2 -5 2 2 -5 -1 -9 0 2 8 8 -10 2 -6 -7 -1 -2 -9 0 -5 -9 6 1 5 2 0 -6 9 3 -5 -3 7 0 1 -9 5 3 -7 7 -5 3 6 7 7 -10 -10 -4 -2 -8 6 -5 5 -6 6 1 6 -4 -3 -3 1 2 -4 -2 4 0 0 -9 -7 -5 9 -2 0 5 -5 -3 -3 8 3 5 2 -9 2 -3 7 -2 0 3 -3 0 3 8 -8 1 9 -1 -9 -9 -8 -6 -4 -9 -6 -2 -2 -8 5 5 -10 -10 -8 2 3 4 1 0 5 4 5 -8 -6 -10 2 8 2 1 9 3 -6 -8 0 0 5 4 0 -6 6 7 9 -2 7 -8 2 0 -2 6 2 5 0 -2 7 -4 -2 -8 6 2 -5 -2 8 0 0 -2 2 -5 4 -7 -1 1 -10 -9 1 0 5 -6 2 -7 2 -5 9 4 -5 -2 -10 -5 -8 -2 8 -2 6 6 8 8 6 -8 -6 0 -5 -5 3 8 -4 -5 -10 -9 -9 2 7 3 7 -2 -3 -8 -2 9 -10 1 9 8 1 6 -4 -1 -4 -8 -7 0 2 -9 6 -4 9 4 -7 9 -2 -6 -7 7 -1 -9 -5 -2 5 3 -3 -3 6 8 -5 -3 4 -7 -2 -9 -5 2 -7 8 -5 1 6 6 8 9 5 -4 -7 0 -7 -6 -7 -10 2 9 -5 9 -4 -8 7 -6 -1 -6 -3 0 7 -5 4 2 -7 9 -6 1 5 4 0 -8 -10 -5 2 5 -1 6 5 -9 -3 -10 2 -5 -8 -9 -9 -6 7 -1 -4 -4 -4 -10 9 -9 9 5 2 -4 -1 -8 -2 -9 9 -10 6 -2 -2 1 -9 5 1 -5 3 -4 8 4 -8 6 5 -2 4 -9 -10 3 -8 9 -10 4 -5 -9 -2 -5 -8 9 -5 8 9 -4 -9 -10 3 3 7 -4 1 6 -9 3 -6 -2 3 8 0 3 -6 -6 -6 -6 1 -9 -4 9 -4 -10 1 -7 9 0 -1 -10 -7 -7 -5 -10 -9 -2 -2 -8 3 2 1 -4 -7 3 1 -3 7 5 -7 -2 -2 -9 -10 4 -8 1 0 3 -9 1 -5 6 4 1 7 6 1 7 0 -5 -8 3 1 -5 -4 5 -6 6 0 9 6 1 -9 6 -5 5 9 5 -2 3 -3 3 -1 3 6 -4 -9 -10 -6 -6 -5 8 7 -2 -7 6 -7 9 2 -4 8 -10 7 1 7 -8 -4 6 0 -4 -1 -1 2 1 4 -10 7 -2 -10 3 2 -5 1 -9 4 -4 -1 7 -5 3 -7 6 4 -10 -3 1 5 -4 9 7 2 -9 8 -6 2 2 -5 -9 2 7 -3 6 -7 0 8 7 7 -3 -4 4 -9 -8 -8 -3 4 0 8 -9 -2 -1 8 -10 -8 -2 7 4 3 4 -2 -5 1 5 -8 4 7 2 -7 4 9 -8 -9 2 -6 -7 9 8 -5 -1 2 3 1 0 -4 3 9 -7 -10 -6 7 -2 -1 -2 5 -7 5 2 5 8 9 -3 -10 2 9 6 5 1 -3 3 2 9 8 5 -9 -6 -1 -10 -3 -9 6 6 -9 -4 7 6 -1 2 -10 7 -8 1 -6 5 -7 5 1 1 8 0 -6 1 -1 -8 8 1 9 -3 -7 -4 -10 -10 5 -9 8 2 -1 9 -6 -8 6 8 3 -10 3 7 -2 7 -10 -4 -3 6 -1 7 0 -2 -10 -1 -3 -7 -2 -2 -7 -7 -1 -9 5 9 -9 1 -9 7 -1 -4 0 5 5 8 2 5 -6 1 1 -4 -10 4 4 -10 -7 -9 -6 1 -9 9 4 1 -9 -9 -8 4 2 5 -7 -8 -9 -5 7 7 -7 -9 2 -10 -6 6 8 -5 0 2 -5 -5 -5 -1 7 -3 -1 -7 0 -8 -5 2 -2 7 -3 1 1 -2 7 -2 7 2 -9 -8 -6 -4 8 -8 1 -10 -4 -2 -5 2 8 4 9 9 8 -9 3 -7 3 -9 2 -10 -6 -6 -10 3 2 8 -4 -4 2 -8 2 0 -5 5 -8 1 -7 9 5 3 4 -4 -6 2 -3 7 -3 -10 0 9 2 -3 -7 -5 -10 -2 5 8 -4 -3 -9 0 -1 8 -5 1 -9 -10 0 7 4 6 -7 8 -2 -7 -2 -3 -7 0 9 -2 7 -8 3 0 -8 -2 -2 -2 5 -9 8 -6 9 5 -3 3 6 -1 0 0 -4 -5 -10 4 -10 -10 4 -6 -7 3 -6 -10 -3 -1 -8 0 7 1 0 -6 2 -9 -10 -6 6 -3 7 -6 6 9 -4 -8 6 -3 -1 7 9 5 3 -8 -2 7 5 5 -4 7 7 5 -10 -10 1 -5 -9 1 -1 -1 0 8 4 8 -1 -10 3 -5 9 4 4 1 -1 -3 3 -1 6 -10 6 4 0 4 -9 0 -4 2 5 9 5 6 -2 7 -4 4 6 5 -3 -9 3 -4 5 -3 -1 -6 5 5 3 -7 5 -1 8 7 5 9 -2 3 -6 5 2 9 2 3 7 0 -3 -5 -4 -4 -4 9 -5 -9 8 4 7 -5 -1 -8 -1 -5 1 -3 -8 9 8 -8 2 -8 8 7 -8 -8 0 1 2 -1 -2 0 6 4 -9 -9 -3 -10 5 -6 7 7 -4 -4 4 -1 -5 -2 -10 -6 1 -5 -4 -9 -8 -10 5 2 -7 9 3 1 -8 -9 -5 -7 -8 2 5 0 -2 3 -3 4 1 3 6 7 -9 6 -9 2 -9 -3 -5 5 -10 -10 -3 -7 2 3 5 4 4 -10 7 -1 -5 -5 1 3 0 0 378 -65 -239 -133 -128 300 -484 -34 36 175 -187 -95 296 7 58 -93 -198 116 43 -268 -96 -87 -259 35 -369 17 -134 72 49 -157 -296 -301 -570 4 -29 -80 2 536 -62 71 234 -6 -230 105 187 -238 -241 96 108 64 -243 226 38 433 -167 -6 -210 205 144 66 170 -154 105 -335 -185 -253 -63 -364 214 -275 61 246 -253 -213 -132 -56 -258 -424 -103 -149 -29 -119 -47 -401 -481 292 -407 -119 -35 -140 17 59 338 -288 -41 205 -62 266 -235 -147 271 -378 -183 -75 -2 50 99 304 113 -432 -146 -150 39 -96 208 -21 -478 14 68 -141 -348 -389 327 -125 172 39 40 -272 43 -400 -96 -249 21 -197 117 -178 374 -263 -17 -417 236 -144 -35 144 -106 -33 -190 -191 -254 514 392 -141 117 -53 -17 196 350 -396 -261 44 548 11 13 -372 -141 565 -207 71 -199 -215 47 468 -124 17 -222 295 -183 482 127 -134 70 30 -311 65 362 320 119 319 132 -362 -282 -236 -229 -97 77 -187 -278 30 -197 -240 123 109 -482 -56 -47 327 -277 44 -94 -201 -92 -17 -302 165 -124 -134 114 -137 119 -260 213 434 -51 75 204 135 -187 -143 -296 322 -342 -530 -297 -224 -333 13 -330 390 -137 121 -20 -402 298 -284 123 -251 -24 -170 -173 91 -249 23 -205 87 -183 187 192 216 161 -109 -68 -108 -98 -74 -239 224 132 -229 -190 -150 63 -223 297 85 212 -165 200 -140 -678 90 -338 1 135 304 488 -152 217 26 44 165 254 42 -119 130 308 1 13 60 54 486 -41 264 416 200 -22 290 -317 -220 117 312 -14 -21 146 53 -530 164 377 -55 261 -22 597 564 -352 189 -140 474 49 -177 182 100 -16 233 -173 424 107 140 -155 168 239 -158 9 27 95 238 194 -11 -182 -194 -46 -105 -133 110 -200 -53 -203 -24 -184 301 127 283 66 -179 30 -103 343 69 176 -207 -373 195 -350 -197 -98 -192 -106 199 56 -198 133 -60 36 -97 329 -105 -49 -282 162 -21 -150 -114 396 -127 222 -12 452 -80 -63 -345 289 -165 199 69 286 5 -10 -124 386 -21 -303 -112 42 -94 -81 28 -139 243 226 552 181 -341 195 -471 -139 -22 -64 -74 154 -125 39 23 393 217 -2 287 -308 277 114 -152 -225 -78 12 363 -81 -70 276 71 -117 76 159 130 -45 -31 -11 106 -283 -142 -234 -337 126 163 -274 94 141 -284 89 -294 -104 95 -141 -167 68 183 68 207 96 -289 -146 -36 389 109 314 203 165 439 30 94 15 -36 -143 238 195 360 8 171 -118 175 -194 281 190 -45 -133 -42 -215 4 75 470 138 101 274 209 114 361 -102 -56 -53 180 -197 190 16 133 343 -122 -144 -19 74 275 126 -260 -116 -62 -105 257 -316 -264 -186 -186 148 207 -58 -57 -177 247 90 405 36 126 43 100 -414 -233 235 -78 -150 384 72 68 -5 5 -393 -170 56 -8 90 144 -404 14 159 -161 -510 -197 0 -68 189 -416 72 313 88 -59 -37 -275 107 -133 -152 314 158 325 -11 -83 -181 99 59 -225 -147 198 301 102 -26 186 -98 -45 372 367 47 -291 -84 -32 190 361 -72 396 225 -2 -320 -79 289 72 70 287 311 14 -527 161 -122 132 120 -90 -123 270 107 -14 9 191 248 414 -268 119 189 83 -270 188 -340 -208 -36 -277 2 -36 -167 -235 2 -118 -400 -487 -36 93 111 -216 53 -259 -283 -130 -203 -91 -34 -235 -178 -401 68 215 -189 -324 218 -86 226 -177 181 -41 24 79 -67 200 14 -228 191 237 39 13 -232 -171 44 -221 108 -41 159 -33 -2 188 -268 -221 -45 -18 -115 -311 160 -242 501 -359 42 135 99 -140 86 70 6 -204 40 -454 156 95 37 480 -198 -112 137 310 387 51 12 19 196 -37 160 -43 -129 -121 -36 72 -77 -134 -83 223 143 -10 112 62 33 104 -460 -184 136 170 -64 -75 257 -173 -56 -31 261 -235 -49 299 -54 -217 -535 -24 -114 13 193 70 -364 629 -224 48 -76 312 492 140 28 153 224 -220 -43 292 29 52 -463 -35 -224 -279 67 -238 -209 285 -258 -197 65 -33 -26 347 339 -25 423 -68 29 -42 529 -269 -141 179 10 173 -174 158 -417 309 277 -89 -207 -135 6 302 -647 96 -102 -170 -378 -29 -151 318 176 55 -24 291 -66 -129 86 -292 -87 290 271 -171 -146 -249 -102 730 189 -131 387 -530 -45 -238 244 92 174 -53 93 345 -265 58 -90 -131 417 -177 -259 93 93 536 43 -335 -21 317 240 470 115 351 234 385 -102 93 -158 -336 -167 300 342 162 361 382 269 -160 94 255 -225 -181 -510 167 295 -149 223 35 -83 50 -185 166 316 364 -10 -236 -515 -95 -197 387 303 355 207 23 -311 130 -9 -52 395 366 14 83 -38 -113 323 224 -128 215 54 -110 486 7 -85 -179 -257 -240 282 -196 289 174 186 -185 291 -47 119 -159 -115 -199 -239 -16 -133 -147 -58 -90 -322 -218 41 -345 219 86 -258 -241 122 -280 433 -118 -319 332 -19 349 0 14 -66 -18 45 -169 -88 -213 57 85 -242 282 141 -16 -234 -118 46 362 234 246 -108 -162 416 32 -12 -268 733 67 -1 261 -264 218 -464 -120 63 -73 59 -293 -33 236 -216 -382 -6 -175 54 -401 263 32 150 -94 111 19 142 -118 109 -134 -55 -323 -444 -332 199 -93 101 82 33 51 -153 39 274 150 306 -14 66 55 50 -187 179 39 -271 88 289 -10 -23 -436 40 46 133 -202 -152 86 -599 180 -113 168 -118 426 -138 -9 141 154 87 55 -231 2 55 -168 375 34 -229 -79 -95 343 -65 64 -35 -116 185 -73 -169 -71 -169 -127 -158 -136 -50 -79 15 -115 41 -6 19 387 303 392 282 -18 -129 -238 -223 128 465 -403 166 205 -180 279 459 106 -282 5 196 -202 -175 118 180 20 -274 39 -278 152 241 504 259 481 -121 602 -289 150 365 -451 170 -452 -172 -379 80 99 -30 117 373 -208 72 373 -200 -161 -267 -415 -8 469 315 256 70 452 124 503 324 -275 31 112 182 64 187 -56 295 371 -234 -56 -106 -100 11 171 419 -210 138 -347 198 -314 244 -190 101 339 214 -12 -44 26 -442 -51 11 58 342 319 195 70 289 -31 1071 -23 167 -8 -26 393 -205 -313 85 45 -175 -401 250 -313 48 -114 5 -126 108 157 -54 -231 -53 48 -274 176 427 -309 70 65 -79 59 200 113 193 270 213 230 119 -30 30 212 20 -326 -222 8 -133 -157 -84 37 178 252 138 46 99 -286 34 -8 326 247 278 -51 -154 -117 -112 -110 286 -111 178 184 130 -8 -50 -201 94 181 393 -402 -248 62 128 -294 41 50 -50 200 232 230 -99 -97 -110 151 61 335 94 71 55 -199 -262 -406 7 277 12 -63 -46 -190 -360 -169 -128 34 -150 -330 -186 222 -295 150 95 140 155 -14 187 2 -216 82 67 145 239 383 8 398 -191 473 -481 99 331 -146 60 -162 169 -331 219 92 114 351 284 -232 -44 382 413 -52 47 -189 -123 91 197 16 181 -154 289 196 179 -72 454 -9 -489 224 111 -91 188 -380 48 250 249 66 292 -230 -76 -360 -319 -178 298 -109 382 -46 -13 228 285 182 157 -2 335 -209 57 -164 84 321 -482 -70 -223 -4 -533 -72 135 -21 -238 -23 -43 -506 231 -430 221 91 -17 -252 -348 -75 166 48 -141 -152 -317 70 179 201 -65 144 -150 -159 48 -30 386 193 -38 -50 470 -189 -135 -16 181 -305 -291 -11 46 7 -127 13 60 186 -172 3 -356 88 279 124 -33 -273 285 -358 14 -149 -111 56 67 133 -122 -361 -131 161 39 -124 -1 -72 -305 -182 176 -91 20 111 89 -117 110 148 -265 -384 111 134 -112 -39 284 -166 -246 339 239 -238 -168 -94 174 59 94 280 68 24 -59 230 10 199 288 -320 -30 63 64 -57 136 137 185 240 494 76 -376 38 155 394 184 -490 -80 -193 -126 52 -141 189 185 -91 -232 -84 -110 -48 -140 89 -208 24 96 239 216 126 -311 42 110 214 -124 305 147 24 -351 319 -21 -352 3 80 -153 104 -67 64 73 219 -303 89 -46 -237 -169 93 -43 -37 -180 -68 90 154 58 41 149 -82 146 -167 -58 -1 -87 124 201 170 -70 84 43 -54 88 275 265 166 -10 -9 -7 6 8 -6 -6 1 7 8 9 4 3 1 5 3 4 -3 -4 -1 3 2 -8 -8 -9 -3 -3 2 2 -1 -8 2 1 -5 -10 -9 0 7 3 9 5 -6 3 -10 5 -10 3 -1 9 1 1 2 -6 3 5 7 2 4 0 -6 -6 2 -1 -3 0 -1 -10 2 8 3 1 3 7 -6 -4 -6 7 1 -4 6 -7 7 -1 9 0 6 6 -8 0 -4 -4 -4 1 -3 3 3 7 4 -5 -3 9 -2 3 -1 -6 9 3 -9 0 9 8 -5 6 -3 -6 8 -7 -9 2 -5 9 1 2 -8 8 -5 -3 5 1 2 -7 1 -10 6 -10 -5 -3 -5 -4 7 -5 6 5 3 -7 9 -6 8 2 6 -6 -6 -3 6 -4 -4 3 4 3 -5 8 -2 -2 1 6 -10 6 -7 -5 4 3 -8 1 -2 -2 -4 9 2 -5 2 -2 -9 6 6 -1 4 4 -8 -10 -3 9 9 -2 9 0 -6 9 8 -10 7 -6 3 9 -3 3 -3 4 2 1 1 -6 -10 -6 2 -2 3 -3 -8 -3 9 -9 9 8 -1 0 -10 4 0 0 4 9 -3 9 8 4 2 8 -10 -6 -1 -7 -9 -1 -3 3 -1 2 2 1 -10 2 -5 1 -8 4 -9 5 -10 -7 -5 -4 -8 -6 -5 -9 1 7 1 1 4 -10 -3 5 -8 4 -10 1 -3 3 5 9 7 2 -8 9 -4 -7 4 9 -3 2 -5 -1 6 1 -8 9 -10 3 1 -4 -4 0 3 -2 -6 4 1 -7 9 8 4 6 0 6 5 -1 -10 -8 -2 9 4 3 -10 -8 6 -7 4 -1 -2 -5 5 4 5 -1 4 1 5 -4 -3 4 -6 -9 0 -3 0 7 6 0 9 -6 -9 -5 -1 -9 -2 -4 6 -8 5 -5 9 -8 9 -4 1 4 -1 8 2 6 2 6 0 -8 5 -10 -10 1 -8 9 5 -7 -5 7 6 -5 -7 3 9 0 8 0 2 -1 -2 6 5 -1 4 -3 -4 9 6 -2 -9 1 -2 3 -7 -8 -5 0 -5 -8 -3 -9 -3 -8 -4 8 2 -6 -10 7 -4 -2 -5 -9 7 1 -9 5 0 7 -7 -6 -2 -7 7 -7 -5 4 -4 -8 6 3 6 -7 6 -8 3 -10 9 3 -1 -5 3 -4 8 -7 8 9 8 -10 6 4 6 7 -1 -4 2 5 -10 8 7 7 -6 3 2 -10 -2 -4 2 -3 1 -8 -6 7 -2 -8 -10 8 4 0 1 -8 6 -3 9 -4 -5 -6 -9 -4 -8 0 -7 8 6 5 8 -6 3 -7 1 7 7 -3 4 -5 -1 4 6 5 -6 9 8 3 -4 -1 9 2 3 -10 0 -2 -8 3 -4 8 -10 7 -8 -4 -10 -5 -7 7 2 7 4 4 -7 -8 -9 9 -9 9 2 -10 -1 1 2 4 -7 4 -8 -4 -3 -9 -6 9 8 9 -5 0 -6 -2 -3 -1 7 3 5 -10 6 6 -10 -1 6 2 -1 7 6 3 1 9 -3 -4 -5 -4 -3 0 8 -5 -9 -7 5 -5 -6 4 -4 3 9 3 4 -3 0 -4 7 8 0 8 -3 -4 2 8 -4 1 6 -7 8 -7 -5 6 -2 -4 1 5 -6 -3 -1 -8 -9 -9 6 -3 -2 8 3 -5 -2 5 -6 5 -8 -2 -5 -10 9 -8 5 -1 -5 -9 -5 -4 -3 -1 -9 -7 6 -7 -4 7 -6 -8 -6 2 -10 -1 0 -10 -5 -4 5 9 -4 -10 1 -5 4 -4 5 -10 9 2 8 9 -9 9 -8 0 -8 -2 -3 8 -8 -6 -7 4 3 3 4 0 1 -9 -9 7 -8 2 4 -2 1 -9 -10 0 4 8 -1 -3 8 -6 7 2 -6 7 1 -3 -9 4 3 -4 9 -2 -1 -8 -1 0 1 -7 5 -5 2 -4 9 -6 6 -5 -7 8 2 -9 -8 -8 -5 -4 1 -2 -5 2 -8 9 0 3 -3 9 -3 -2 -8 8 -6 7 6 -2 -7 5 2 1 -10 5 -9 -6 -2 5 8 4 -8 -1 4 9 3 -1 8 -6 -8 7 5 0 -4 -1 -10 -8 -4 6 0 -9 1 -8 -5 -7 0 -4 -10 0 -8 8 6 6 -2 1 5 3 -10 4 -1 4 -7 -5 -6 -9 4 7 -7 3 3 -5 4 7 -2 1 -10 0 8 2 -10 2 1 -1 -10 1 -10 5 -6 -10 -9 4 4 -5 1 1 8 7 -2 -8 0 3 -3 7 0 -3 -2 -7 -1 8 5 -8 -8 8 1 -8 -1 1 0 -4 -7 1 2 -1 -2 5 2 9 2 2 -9 5 -4 -10 -6 -2 -10 2 1 -1 -7 9 1 -5 7 4 -10 9 -5 0 7 -10 3 -1 -8 4 6 4 3 -10 9 -4 5 7 -4 9 -5 -4 -6 7 -2 9 6 9 -6 -5 4 -6 -6 1 -4 -9 -6 -10 -8 -4 4 8 2 -3 9 -7 -5 -4 -10 1 -4 -4 0 -8 5 8 -9 -7 -1 7 -2 5 4 3 9 -10 -4 -7 2 -1 -9 -4 -3 -5 -5 -4 -1 0 -5 -9 4 1 -3 -6 -5 -8 4 8 7 5 5 -4 1 -9 1 -8 4 7 7 -4 -4 8 -5 -4 5 -8 -6 6 -5 -1 8 9 2 -5 5 7 -10 -9 5 7 6 -7 5 -3 6 -4 -1 0 -6 -4 7 -8 6 4 -2 -6 6 3 -10 -9 4 0 2 -3 6 -3 -6 -2 -2 2 7 -5 -3 -5 -6 -7 1 -4 4 -3 -6 -7 0 3 7 0 7 -5 5 -1 -3 0 -10 9 7 -2 9 3 -2 9 7 -5 6 -6 0 -9 -10 4 9 -4 -9 -7 -1 -7 6 8 -4 -5 -7 -9 5 -8 -7 -3 4 2 5 -5 -4 -7 -6 -7 -10 -9 -10 1 4 -10 7 3 8 0 -2 9 -4 -5 7 2 -8 2 -5 -1 -3 -9 6 -9 3 1 -4 1 4 -8 5 -3 -7 -3 8 7 9 -3 -8 7 7 1 -2 -7 -2 7 -3 0 -1 -5 -10 -2 -4 -2 -9 1 -10 -3 -7 -4 -8 0 3 -5 7 -7 5 -2 -8 7 -5 -10 -10 3 5 -2 0 5 9 1 -10 1 2 8 9 3 -1 1 3 -6 0 5 4 5 2 1 1 -3 1 3 7 6 -5 7 -9 -9 -4 -7 -2 7 -3 -2 -10 9 8 1 -6 9 5 7 -6 -5 2 0 2 7 4 -7 -6 -5 -1 3 4 4 1 5 -3 -1 1 5 8 0 5 8 -9 -5 -1 -5 -5 -6 -7 -9 -9 -3 1 -4 -6 -5 -1 -9 1 0 4 -5 -5 7 2 2 8 5 -10 6 -5 5 4 -4 -9 6 -6 8 2 9 1 4 -4 -8 -10 -7 -10 -9 6 -7 2 0 -10 -1 -10 2 3 8 -10 3 5 -5 -9 -9 -6 4 7 -2 2 0 9 5 6 -5 7 6 -10 -1 -1 6 2 3 9 2 -8 9 7 6 -1 7 -9 -6 4 -8 8 0 6 5 0 -10 7 -1 5 3 -3 -5 -9 -3 -4 -7 6 9 6 5 -7 9 -4 2 -3 5 -1 -2 2 6 -7 0 -4 1 7 7 -6 5 -4 9 -10 3 6 -8 3 -7 -5 -1 4 3 6 7 2 -8 -8 1 7 1 -10 -9 9 5 -7 -4 -4 -9 5 0 -2 -9 -8 -2 -3 0 0 2 3 -3 -9 9 -9 -1 -1 -5 1 1 7 -10 4 -1 -8 4 -6 -5 2 -8 8 -3 3 -4 -10 -3 5 9 7 7 1 -7 7 -6 -8 8 3 -7 5 -6 4 -6 7 -1 -5 9 5 -1 6 -3 -6 -3 4 -1 3 -4 6 -2 -4 -5 8 7 -2 5 4 -7 -5 -3 -4 -10 -6 3 7 -9 4 -8 2 -1 -6 -10 6 -2 -3 -8 7 -9 -10 -5 -9 -4 0 9 6 9 -4 0 4 1 -1 -10 -6 3 -5 -9 4 9 -7 -4 -2 -3 9 6 -3 -4 0 -6 9 1 -1 -9 -1 2 2 7 1 9 -3 7 -8 7 -1 8 0 5 9 7 4 5 5 5 -8 4 -7 0 3 -4 -4 2 -1 -2 3 0 -10 8 -2 ================================================ FILE: programming_assignments/beale_ciphers/testcase/small/test10.out ================================================ 0 ================================================ FILE: programming_assignments/beale_ciphers/testcase/small/test11.in ================================================ 1 50 50 40 1 0 0 0 0 0 0 0 0 0 0 0 0 0 0 0 0 0 0 0 0 0 0 0 0 0 0 0 0 0 0 0 0 0 0 0 0 0 0 0 0 1 0 0 0 0 0 0 0 0 0 0 0 0 0 0 0 0 0 0 0 0 0 0 0 0 0 0 0 0 0 0 0 0 0 0 0 0 0 0 0 0 1 0 0 0 0 0 0 0 0 0 0 0 0 0 0 0 0 0 0 0 0 0 0 0 0 0 0 0 0 0 0 0 0 0 0 0 0 0 0 0 0 1 0 0 0 0 0 0 0 0 0 0 0 0 0 0 0 0 0 0 0 0 0 0 0 0 0 0 0 0 0 0 0 0 0 0 0 0 0 0 0 0 1 0 0 0 0 0 0 0 0 0 0 0 0 0 0 0 0 0 0 0 0 0 0 0 0 0 0 0 0 0 0 0 0 0 0 0 0 0 0 0 0 1 0 0 0 0 0 0 0 0 0 0 0 0 0 0 0 0 0 0 0 0 0 0 0 0 0 0 0 0 0 0 0 0 0 0 0 0 0 0 0 0 1 0 0 0 0 0 0 0 0 0 0 0 0 0 0 0 0 0 0 0 0 0 0 0 0 0 0 0 0 0 0 0 0 0 0 0 0 0 0 0 0 1 0 0 0 0 0 0 0 0 0 0 0 0 0 0 0 0 0 0 0 0 0 0 0 0 0 0 0 0 0 0 0 0 0 0 0 0 0 0 0 0 1 0 0 0 0 0 0 0 0 0 0 0 0 0 0 0 0 0 0 0 0 0 0 0 0 0 0 0 0 0 0 0 0 0 0 0 0 0 0 0 0 1 0 0 0 0 0 0 0 0 0 0 0 0 0 0 0 0 0 0 0 0 0 0 0 0 0 0 0 0 0 0 0 0 0 0 0 0 0 0 0 0 1 0 0 0 0 0 0 0 0 0 0 0 0 0 0 0 0 0 0 0 0 0 0 0 0 0 0 0 0 0 0 0 0 0 0 0 0 0 0 0 0 1 0 0 0 0 0 0 0 0 0 0 0 0 0 0 0 0 0 0 0 0 0 0 0 0 0 0 0 0 0 0 0 0 0 0 0 0 0 0 0 0 1 0 0 0 0 0 0 0 0 0 0 0 0 0 0 0 0 0 0 0 0 0 0 0 0 0 0 0 0 0 0 0 0 0 0 0 0 0 0 0 0 1 0 0 0 0 0 0 0 0 0 0 0 0 0 0 0 0 0 0 0 0 0 0 0 0 0 0 0 0 0 0 0 0 0 0 0 0 0 0 0 0 1 0 0 0 0 0 0 0 0 0 0 0 0 0 0 0 0 0 0 0 0 0 0 0 0 0 0 0 0 0 0 0 0 0 0 0 0 0 0 0 0 1 0 0 0 0 0 0 0 0 0 0 0 0 0 0 0 0 0 0 0 0 0 0 0 0 0 0 0 0 0 0 0 0 0 0 0 0 0 0 0 0 1 0 0 0 0 0 0 0 0 0 0 0 0 0 0 0 0 0 0 0 0 0 0 0 0 0 0 0 0 0 0 0 0 0 0 0 0 0 0 0 0 1 0 0 0 0 0 0 0 0 0 0 0 0 0 0 0 0 0 0 0 0 0 0 0 0 0 0 0 0 0 0 0 0 0 0 0 0 0 0 0 0 1 0 0 0 0 0 0 0 0 0 0 0 0 0 0 0 0 0 0 0 0 0 0 0 0 0 0 0 0 0 0 0 0 0 0 0 0 0 0 0 0 1 0 0 0 0 0 0 0 0 0 0 0 0 0 0 0 0 0 0 0 0 0 0 0 0 0 0 0 0 0 0 0 0 0 0 0 0 0 0 0 0 1 0 0 0 0 0 0 0 0 0 0 0 0 0 0 0 0 0 0 0 0 0 0 0 0 0 0 0 0 0 0 0 0 0 0 0 0 0 0 0 0 1 0 0 0 0 0 0 0 0 0 0 0 0 0 0 0 0 0 0 0 0 0 0 0 0 0 0 0 0 0 0 0 0 0 0 0 0 0 0 0 0 1 0 0 0 0 0 0 0 0 0 0 0 0 0 0 0 0 0 0 0 0 0 0 0 0 0 0 0 0 0 0 0 0 0 0 0 0 0 0 0 0 1 0 0 0 0 0 0 0 0 0 0 0 0 0 0 0 0 0 0 0 0 0 0 0 0 0 0 0 0 0 0 0 0 0 0 0 0 0 0 0 0 1 0 0 0 0 0 0 0 0 0 0 0 0 0 0 0 0 0 0 0 0 0 0 0 0 0 0 0 0 0 0 0 0 0 0 0 0 0 0 0 0 1 0 0 0 0 0 0 0 0 0 0 0 0 0 0 0 0 0 0 0 0 0 0 0 0 0 0 0 0 0 0 0 0 0 0 0 0 0 0 0 0 1 0 0 0 0 0 0 0 0 0 0 0 0 0 0 0 0 0 0 0 0 0 0 0 0 0 0 0 0 0 0 0 0 0 0 0 0 0 0 0 0 1 0 0 0 0 0 0 0 0 0 0 0 0 0 0 0 0 0 0 0 0 0 0 0 0 0 0 0 0 0 0 0 0 0 0 0 0 0 0 0 0 1 0 0 0 0 0 0 0 0 0 0 0 0 0 0 0 0 0 0 0 0 0 0 0 0 0 0 0 0 0 0 0 0 0 0 0 0 0 0 0 0 1 0 0 0 0 0 0 0 0 0 0 0 0 0 0 0 0 0 0 0 0 0 0 0 0 0 0 0 0 0 0 0 0 0 0 0 0 0 0 0 0 1 0 0 0 0 0 0 0 0 0 0 0 0 0 0 0 0 0 0 0 0 0 0 0 0 0 0 0 0 0 0 0 0 0 0 0 0 0 0 0 0 1 0 0 0 0 0 0 0 0 0 0 0 0 0 0 0 0 0 0 0 0 0 0 0 0 0 0 0 0 0 0 0 0 0 0 0 0 0 0 0 0 1 0 0 0 0 0 0 0 0 0 0 0 0 0 0 0 0 0 0 0 0 0 0 0 0 0 0 0 0 0 0 0 0 0 0 0 0 0 0 0 0 1 0 0 0 0 0 0 0 0 0 0 0 0 0 0 0 0 0 0 0 0 0 0 0 0 0 0 0 0 0 0 0 0 0 0 0 0 0 0 0 0 1 0 0 0 0 0 0 0 0 0 0 0 0 0 0 0 0 0 0 0 0 0 0 0 0 0 0 0 0 0 0 0 0 0 0 0 0 0 0 0 0 1 0 0 0 0 0 0 0 0 0 0 0 0 0 0 0 0 0 0 0 0 0 0 0 0 0 0 0 0 0 0 0 0 0 0 0 0 0 0 0 0 1 0 0 0 0 0 0 0 0 0 0 0 0 0 0 0 0 0 0 0 0 0 0 0 0 0 0 0 0 0 0 0 0 0 0 0 0 0 0 0 0 1 0 0 0 0 0 0 0 0 0 0 0 0 0 0 0 0 0 0 0 0 0 0 0 0 0 0 0 0 0 0 0 0 0 0 0 0 0 0 0 0 1 0 0 0 0 0 0 0 0 0 0 0 0 0 0 0 0 0 0 0 0 0 0 0 0 0 0 0 0 0 0 0 0 0 0 0 0 0 0 0 0 1 1 1 1 1 1 1 1 1 1 1 1 1 1 1 1 1 1 1 1 1 1 1 1 1 1 1 1 1 1 1 1 1 1 1 1 1 1 1 1 1 1 1 1 1 1 1 1 1 1 1 1 1 1 1 1 1 1 1 1 1 1 1 1 1 1 1 1 1 1 1 1 1 1 1 1 1 1 1 1 1 1 1 1 1 1 1 1 1 1 1 1 1 1 1 1 1 1 1 1 1 1 1 1 1 1 1 1 1 1 1 1 1 1 1 1 1 1 1 1 1 1 1 1 1 1 1 1 1 1 1 1 1 1 1 1 1 1 1 1 1 1 1 1 1 1 1 1 1 1 1 1 1 1 1 1 1 1 1 1 1 1 1 1 1 1 1 1 1 1 1 1 1 1 1 1 1 1 1 1 1 1 1 1 1 1 1 1 1 1 1 1 1 1 1 1 1 1 1 1 1 1 1 1 1 1 1 1 1 1 1 1 1 1 1 1 1 1 1 1 1 1 1 1 1 1 1 1 1 1 1 1 1 1 1 1 1 1 1 1 1 1 1 1 1 1 1 1 1 1 1 1 1 1 1 1 1 1 1 1 1 1 1 1 1 1 1 1 1 1 1 1 1 1 1 1 1 1 1 1 1 1 1 1 1 1 1 1 1 1 1 1 1 1 1 1 1 1 1 1 1 1 1 1 1 1 1 1 1 1 1 1 1 1 1 1 1 1 1 1 1 1 1 1 1 1 1 1 1 1 1 1 1 1 1 1 1 1 1 1 1 1 1 1 1 1 1 1 1 1 1 1 1 1 1 1 1 1 1 1 1 1 1 1 1 1 1 1 1 1 1 1 1 1 1 1 1 1 1 1 1 1 1 1 1 1 1 1 1 1 1 1 1 1 1 1 1 1 1 1 1 1 1 1 1 1 1 1 1 1 1 1 1 1 1 1 1 1 1 1 1 1 1 1 1 1 1 1 1 1 1 1 1 1 1 1 1 1 1 1 1 1 1 1 1 1 1 1 1 1 1 1 1 1 1 1 1 1 1 1 1 1 1 1 1 1 1 1 1 1 1 1 1 1 1 1 1 1 1 1 1 1 1 1 1 1 1 1 1 1 1 1 1 1 1 1 1 1 1 1 1 1 1 1 1 1 1 1 1 1 1 1 1 1 1 1 1 1 1 1 1 1 1 1 1 1 1 1 1 1 1 1 1 1 1 1 1 1 1 1 1 1 1 1 1 1 1 1 1 1 1 1 1 1 1 1 1 1 1 1 1 1 1 1 1 1 1 1 1 1 1 1 1 1 1 1 1 1 1 1 1 1 1 1 1 1 1 1 1 1 1 1 1 1 1 1 1 1 1 1 1 1 1 1 1 1 1 1 1 1 1 1 1 1 1 1 1 1 1 1 1 1 1 1 1 1 1 1 1 1 1 1 1 1 1 1 1 1 1 1 1 1 1 1 1 1 1 1 1 1 1 1 1 1 1 1 1 1 1 1 1 1 1 1 1 1 1 1 1 1 1 1 1 1 1 1 1 1 1 1 1 1 1 1 1 1 1 1 1 1 1 1 1 1 1 1 1 1 1 1 1 1 1 1 1 1 1 1 1 1 1 1 1 1 1 1 1 1 1 1 1 1 1 1 1 1 1 1 1 1 1 1 1 1 1 1 1 1 1 1 1 1 1 1 1 1 1 1 1 1 1 1 1 1 1 1 1 1 1 1 1 1 1 1 1 1 1 1 1 1 1 1 1 1 1 1 1 1 1 1 1 1 1 1 1 1 1 1 1 1 1 1 1 1 1 1 1 1 1 1 1 1 1 1 1 1 1 1 1 1 1 1 1 1 1 1 1 1 1 1 1 1 1 1 1 1 1 1 1 1 1 1 1 1 1 1 1 1 1 1 1 1 1 1 1 1 1 1 1 1 1 1 1 1 1 1 1 1 1 1 1 1 1 1 1 1 1 1 1 1 1 1 1 1 1 1 1 1 1 1 1 1 1 1 1 1 1 1 1 1 1 1 1 1 1 1 1 1 1 1 1 1 1 1 1 1 1 1 1 1 1 1 1 1 1 1 1 1 1 1 1 1 1 1 1 1 1 1 1 1 1 1 1 1 1 1 1 1 1 1 1 1 1 1 1 1 1 1 1 1 1 1 1 1 1 1 1 1 1 1 1 1 1 1 1 1 1 1 1 1 1 1 1 1 1 1 1 1 1 1 1 1 1 1 1 1 1 1 1 1 1 1 1 1 1 1 1 1 1 1 1 1 1 1 1 1 1 1 1 1 1 1 1 1 1 1 1 1 1 1 1 1 1 1 1 1 1 1 1 1 1 1 1 1 1 1 1 1 1 1 1 1 1 1 1 1 1 1 1 1 1 1 1 1 1 1 1 1 1 1 1 1 1 1 1 1 1 1 1 1 1 1 1 1 1 1 1 1 1 1 1 1 1 1 1 1 1 1 1 1 1 1 1 1 1 1 1 1 1 1 1 1 1 1 1 1 1 1 1 1 1 1 1 1 1 1 1 1 1 1 1 1 1 1 1 1 1 1 1 1 1 1 1 1 1 1 1 1 1 1 1 1 1 1 1 1 1 1 1 1 1 1 1 1 1 1 1 1 1 1 1 1 1 1 1 1 1 1 1 1 1 1 1 1 1 1 1 1 1 1 1 1 1 1 1 1 1 1 1 1 1 1 1 1 1 1 1 1 1 1 1 1 1 1 1 1 1 1 1 1 1 1 1 1 1 1 1 1 1 1 1 1 1 1 1 1 1 1 1 1 1 1 1 1 1 1 1 1 1 1 1 1 1 1 1 1 1 1 1 1 1 1 1 1 1 1 1 1 1 1 1 1 1 1 1 1 1 1 1 1 1 1 1 1 1 1 1 1 1 1 1 1 1 1 1 1 1 1 1 1 1 1 1 1 1 1 1 1 1 1 1 1 1 1 1 1 1 1 1 1 1 1 1 1 1 1 1 1 1 1 1 1 1 1 1 1 1 1 1 1 1 1 1 1 1 1 1 1 1 1 1 1 1 1 1 1 1 1 1 1 1 1 1 1 1 1 1 1 1 1 1 1 1 1 1 1 1 1 1 1 1 1 1 1 1 1 1 1 1 1 1 1 1 1 1 1 1 1 1 1 1 1 1 1 1 1 1 1 1 1 1 1 1 1 1 1 1 1 1 1 1 1 1 1 1 1 1 1 1 1 1 1 1 1 1 1 1 1 1 1 1 1 1 1 1 1 1 1 1 1 1 1 1 1 1 1 1 1 1 1 1 1 1 1 1 1 1 1 1 1 1 1 1 1 1 1 1 1 1 1 1 1 1 1 1 1 1 1 1 1 1 1 1 1 1 1 1 1 1 1 1 1 1 1 1 1 1 1 1 1 1 1 1 1 1 1 1 1 1 1 1 1 1 1 1 1 1 1 1 1 1 1 1 1 1 1 1 1 1 1 1 1 1 1 1 1 1 1 1 1 1 1 1 1 1 1 1 1 1 1 1 1 1 1 1 1 1 1 1 1 1 1 1 1 1 1 1 1 1 1 1 1 1 1 1 1 1 1 1 1 1 1 1 1 1 1 1 1 1 1 1 1 1 1 1 1 1 1 1 1 1 1 1 1 1 1 1 1 1 1 1 1 1 1 1 1 1 1 1 1 1 1 1 1 1 1 1 1 1 1 1 1 1 1 1 1 1 1 1 1 1 1 1 1 1 1 1 1 1 1 1 1 1 1 1 1 1 1 1 1 1 1 1 1 1 1 1 1 1 1 1 1 1 1 1 1 1 1 1 1 1 1 1 1 1 1 1 1 1 1 1 1 1 1 1 1 1 1 1 1 1 1 1 1 1 1 1 1 1 1 1 1 1 1 1 1 1 1 1 1 1 1 1 1 1 1 1 1 1 1 1 1 1 1 1 1 1 1 1 1 1 1 1 1 1 1 1 1 1 1 1 1 1 1 1 1 1 1 1 1 1 1 1 1 1 1 1 1 1 1 1 1 1 1 1 1 1 1 1 1 1 1 1 1 1 1 1 1 1 1 1 1 1 1 1 1 1 1 1 1 1 1 1 1 1 1 1 1 1 1 1 1 1 1 1 1 1 1 1 1 1 1 1 1 1 1 1 1 1 1 1 1 1 1 1 1 1 1 1 1 1 1 1 1 1 1 1 1 1 1 1 1 1 1 1 1 1 1 1 1 1 1 1 1 1 1 1 1 1 1 1 1 1 1 1 1 1 1 1 1 1 1 1 1 1 1 1 1 1 1 1 1 1 1 1 1 1 1 1 1 1 1 1 1 1 1 1 1 1 1 1 1 1 1 1 1 1 1 1 1 1 1 1 1 1 1 1 1 1 1 1 1 1 1 1 1 1 1 1 1 1 1 1 1 1 1 1 1 1 1 1 1 1 1 1 1 1 1 1 1 1 1 1 1 1 1 1 1 1 1 1 1 1 1 1 1 1 1 1 1 1 1 1 1 1 1 1 1 1 1 1 1 1 1 1 1 1 1 1 1 1 1 1 1 1 1 1 1 1 1 1 1 1 1 1 1 1 1 1 1 1 1 1 1 1 1 1 1 1 1 1 1 1 1 1 1 1 1 1 1 1 1 1 1 1 1 1 1 1 1 1 1 1 1 1 1 1 1 1 1 1 1 1 1 1 1 1 1 1 1 1 1 1 1 1 1 1 1 1 1 1 1 1 1 1 1 1 1 1 1 1 1 1 1 1 1 1 1 1 1 1 1 1 1 1 1 1 1 1 1 1 1 1 1 1 1 1 1 1 1 1 1 1 1 1 1 1 1 1 1 1 1 1 1 1 1 1 1 1 1 1 1 1 1 1 1 1 1 1 1 1 1 1 1 1 1 1 1 1 1 1 1 1 1 1 1 1 1 1 1 1 1 1 1 1 1 1 1 1 1 1 1 1 1 1 1 1 1 1 1 1 1 1 1 1 1 1 1 1 1 1 1 1 1 1 1 1 1 1 1 1 1 1 1 1 1 1 1 1 1 1 1 1 1 1 1 1 1 1 1 1 1 1 1 1 1 1 1 1 1 1 1 1 1 1 1 1 1 1 1 1 1 1 1 1 1 1 1 1 1 1 1 1 1 1 1 1 1 1 1 1 1 1 1 1 1 1 1 1 1 1 1 1 1 1 1 1 1 1 1 1 1 1 1 1 1 1 1 1 1 1 1 1 1 1 1 1 1 1 1 1 1 1 1 1 1 1 1 1 1 1 1 1 1 1 1 1 1 1 1 1 1 1 1 1 1 1 1 1 1 1 1 1 1 1 1 1 1 1 1 1 1 1 1 1 1 1 1 1 1 1 1 1 1 1 1 1 1 1 1 1 1 1 1 1 1 1 1 1 1 1 1 1 1 1 1 1 1 1 1 1 1 1 1 1 1 1 1 1 1 1 1 1 1 1 1 1 1 1 1 1 1 1 1 1 1 1 1 1 1 1 1 1 1 1 1 1 1 1 1 1 1 1 1 1 1 1 1 1 1 1 1 1 1 1 1 1 1 1 1 1 1 1 1 1 1 1 1 1 1 1 1 1 1 1 1 1 1 1 1 1 1 1 1 1 1 1 1 1 1 1 1 1 1 1 1 1 1 1 1 1 1 1 1 1 1 1 1 1 1 1 1 1 1 1 1 1 1 1 1 1 1 1 1 1 1 1 1 1 1 1 1 1 1 1 1 1 1 1 1 1 1 1 1 1 1 1 1 1 1 1 1 1 1 1 1 1 1 1 1 1 1 1 1 1 1 1 1 1 1 1 1 1 1 1 1 1 1 1 1 1 1 1 1 1 1 1 1 1 1 1 1 1 1 1 1 1 1 1 1 1 1 1 1 1 1 1 1 1 1 1 1 1 1 1 1 1 1 1 1 1 1 1 1 1 1 1 1 1 1 1 1 1 1 1 1 1 1 1 1 1 1 1 1 1 1 1 1 1 1 1 1 1 1 1 1 1 1 1 1 1 1 1 1 1 1 1 1 1 1 1 1 1 1 1 1 1 1 1 1 1 1 1 1 1 1 1 1 1 1 1 1 1 1 1 1 1 1 1 1 1 1 1 1 1 1 1 1 1 1 1 1 1 1 1 1 1 1 1 1 1 1 1 1 1 1 1 1 1 1 1 1 1 1 1 1 1 1 1 1 1 1 1 1 1 1 1 1 1 1 1 1 1 1 1 1 1 1 1 1 1 1 1 1 1 1 1 1 1 1 1 1 1 1 1 1 1 1 1 1 1 1 1 1 1 1 1 1 1 1 1 1 1 1 1 1 1 1 1 1 1 1 1 1 1 1 1 1 1 1 1 1 1 1 1 1 1 1 1 1 1 1 1 1 1 1 1 1 1 1 1 1 1 1 1 1 1 1 1 1 1 1 1 1 1 1 1 1 1 1 1 1 1 1 1 1 1 1 1 1 1 1 1 1 1 1 1 1 1 1 1 1 1 1 1 1 1 1 1 1 1 1 1 1 1 1 1 1 1 1 1 1 1 1 1 1 1 1 1 1 1 1 1 1 1 1 1 1 1 1 1 1 1 1 1 1 1 1 1 1 1 1 1 1 1 1 1 1 1 1 1 1 1 1 1 1 1 1 1 1 1 1 1 1 1 1 1 1 1 1 1 1 1 1 1 1 1 1 1 1 1 1 1 1 1 1 1 1 1 1 1 1 1 1 1 1 1 1 1 1 1 1 1 1 1 1 1 1 1 1 1 1 1 1 1 1 1 1 1 1 1 1 1 1 1 1 1 1 1 1 1 1 1 1 1 1 1 1 1 1 1 1 1 1 1 1 1 1 1 1 1 1 1 1 1 1 1 1 1 1 1 1 1 1 1 1 1 1 1 1 1 1 1 1 1 1 1 1 1 1 1 1 1 1 1 1 1 1 1 1 1 1 1 1 1 1 1 1 1 1 1 1 1 1 1 1 1 1 1 1 1 1 1 1 1 1 1 1 1 1 1 1 1 1 1 1 1 1 1 1 1 1 1 1 1 1 1 1 1 1 1 1 1 1 1 1 1 1 1 1 1 1 1 1 1 1 1 1 1 1 1 1 1 1 1 1 1 1 1 1 1 1 1 1 1 1 1 1 1 1 1 1 1 1 1 1 1 1 1 1 1 1 1 1 1 1 1 1 1 1 1 1 1 1 1 1 1 1 1 1 1 1 1 1 1 1 1 1 1 1 1 1 1 1 1 1 1 1 1 1 1 1 1 1 1 1 1 1 1 1 1 1 1 1 1 1 1 1 1 1 1 1 1 1 1 1 1 1 1 1 1 1 1 1 1 1 1 1 1 1 1 1 1 1 1 1 1 1 1 1 1 1 1 1 1 1 1 1 1 1 1 1 1 1 1 1 1 1 1 1 1 1 1 1 1 1 1 1 1 1 1 1 1 1 1 1 1 1 1 1 1 1 1 1 1 1 1 1 1 1 1 1 1 1 1 1 1 1 1 1 1 1 1 1 1 1 1 1 1 1 1 1 1 1 1 1 1 1 1 1 1 1 1 1 1 1 1 1 1 1 1 1 1 1 1 1 1 1 1 1 1 1 1 1 1 1 1 1 1 1 1 1 1 1 1 1 1 1 1 1 1 1 1 1 1 1 1 1 1 1 1 1 1 1 1 1 1 1 1 1 1 1 1 1 1 1 1 1 1 1 1 1 1 1 1 1 1 1 1 1 1 1 1 1 1 1 1 1 1 1 1 1 1 1 1 1 1 1 1 1 1 1 1 1 1 1 1 1 1 1 1 1 1 1 1 1 1 1 1 1 1 1 1 1 1 1 1 1 1 1 1 1 1 1 1 1 1 1 1 1 1 1 1 1 1 1 1 1 1 1 1 1 1 1 1 1 1 1 1 1 1 1 1 1 1 1 1 1 1 1 1 1 1 1 1 1 1 1 1 1 1 1 1 1 1 1 1 1 1 1 1 1 1 1 1 1 1 1 1 1 1 1 1 1 1 1 1 1 1 1 1 1 1 1 1 1 1 1 1 1 1 1 1 1 1 1 1 1 1 1 1 1 1 1 1 1 1 1 1 1 1 1 1 1 1 1 1 1 1 1 1 1 1 1 1 1 1 1 1 1 1 1 1 1 1 1 1 1 1 1 1 1 1 1 1 1 1 1 1 1 1 1 1 1 1 1 1 1 1 1 1 1 1 1 1 1 1 1 1 1 1 1 1 1 1 1 1 1 1 1 1 1 1 1 1 1 1 1 1 1 1 1 1 1 1 1 1 1 1 1 1 1 1 1 1 1 1 1 1 1 1 1 1 1 1 1 1 1 1 1 1 1 1 1 1 1 1 1 1 1 1 1 1 1 1 1 1 1 1 1 1 1 1 1 1 1 1 1 1 1 1 1 1 1 1 1 1 1 1 1 1 1 1 1 1 1 1 1 1 1 1 1 1 1 1 1 1 1 1 1 1 1 1 1 1 1 1 1 1 1 1 1 1 1 1 1 1 1 1 1 1 1 1 1 1 1 1 1 1 1 1 1 1 1 1 1 1 1 1 1 1 1 1 1 1 1 1 1 1 1 1 1 1 1 1 1 1 1 1 1 1 1 1 1 1 1 1 1 1 1 1 1 1 1 1 1 1 1 1 1 1 1 1 1 1 1 1 1 1 1 1 1 1 1 1 1 1 1 1 1 1 1 1 1 1 1 1 1 1 1 1 1 1 1 1 1 1 1 1 1 1 1 1 1 1 1 1 1 1 1 1 1 1 1 1 1 1 1 1 1 1 1 1 1 1 1 1 1 1 1 1 1 1 1 1 1 1 1 1 1 1 1 1 1 1 1 1 1 1 1 1 1 1 1 1 1 1 1 1 1 1 1 1 1 1 1 1 1 1 1 1 1 1 1 1 1 1 1 1 1 1 1 1 1 1 1 1 1 1 1 1 1 1 1 1 1 1 1 1 1 1 1 1 1 1 1 1 1 1 1 1 1 1 1 1 1 1 1 1 1 1 1 1 1 1 1 1 1 1 1 1 1 1 1 1 1 1 1 1 1 1 1 1 1 1 1 1 1 1 1 1 1 1 1 1 1 1 1 1 1 1 1 1 1 1 1 1 1 1 1 1 1 1 1 1 1 1 1 1 1 1 1 1 1 1 1 1 1 1 1 1 1 1 1 1 1 1 1 1 1 1 1 1 1 1 1 1 1 1 1 1 1 1 1 1 1 1 1 1 1 1 1 1 1 1 1 1 1 1 1 1 1 1 1 1 1 1 1 1 1 1 ================================================ FILE: programming_assignments/beale_ciphers/testcase/small/test11.out ================================================ 121 ================================================ FILE: programming_assignments/beale_ciphers/testcase/small/test12.in ================================================ 1 60 60 10 1 0 0 0 0 0 0 0 0 0 0 1 0 0 0 0 0 0 0 0 0 0 1 0 0 0 0 0 0 0 0 0 0 1 0 0 0 0 0 0 0 0 0 0 1 0 0 0 0 0 0 0 0 0 0 1 0 0 0 0 0 0 0 0 0 0 1 0 0 0 0 0 0 0 0 0 0 1 0 0 0 0 0 0 0 0 0 0 1 0 0 0 0 0 0 0 0 0 0 1 0 0 1 0 0 1 0 1 1 1 1 1 0 1 1 0 1 0 0 0 1 1 1 0 1 0 0 1 1 0 0 0 0 1 0 0 0 0 1 1 1 0 1 1 1 0 1 1 0 1 1 1 0 0 0 1 0 0 0 1 0 0 1 0 1 1 0 0 0 1 1 1 1 0 1 1 0 0 0 0 0 1 0 0 1 0 0 1 0 0 0 1 1 0 1 0 1 0 0 1 0 0 0 0 0 0 0 0 0 0 0 0 0 0 0 0 0 0 0 0 0 0 0 0 0 0 0 0 0 0 0 0 0 0 0 0 0 0 0 0 0 0 0 0 0 0 0 0 0 0 0 0 0 0 0 0 0 0 0 0 0 0 0 0 0 0 0 0 0 0 0 0 0 0 0 0 0 0 0 0 0 0 0 0 0 0 0 0 0 0 0 0 0 1 0 0 1 0 1 1 1 0 0 0 0 0 0 0 0 0 0 0 0 0 0 0 0 0 0 0 0 0 0 0 0 0 0 0 0 0 0 0 0 0 0 0 0 0 0 0 0 0 0 0 0 0 0 0 0 0 0 1 1 0 1 1 0 1 0 0 0 0 0 0 0 0 0 0 0 0 0 0 0 0 0 0 0 0 0 0 0 0 0 0 0 0 0 0 0 0 0 0 0 0 0 0 0 0 0 0 0 0 0 0 0 0 0 0 0 0 0 1 1 1 0 1 0 0 1 1 0 0 0 0 0 0 0 0 0 0 0 0 0 0 0 0 0 0 0 0 0 0 0 0 0 0 0 0 0 0 0 0 0 0 0 0 0 0 0 0 0 0 0 0 0 0 0 0 0 0 0 0 0 0 1 0 0 0 0 1 1 0 0 0 0 0 0 0 0 0 0 0 0 0 0 0 0 0 0 0 0 0 0 0 0 0 0 0 0 0 0 0 0 0 0 0 0 0 0 0 0 0 0 0 0 0 0 0 0 0 0 1 0 1 1 1 0 1 1 0 1 0 0 0 0 0 0 0 0 0 0 0 0 0 0 0 0 0 0 0 0 0 0 0 0 0 0 0 0 0 0 0 0 0 0 0 0 0 0 0 0 0 0 0 0 0 0 0 0 0 0 1 1 0 0 0 1 0 0 0 1 0 0 0 0 0 0 0 0 0 0 0 0 0 0 0 0 0 0 0 0 0 0 0 0 0 0 0 0 0 0 0 0 0 0 0 0 0 0 0 0 0 0 0 0 0 0 0 0 0 0 1 0 0 1 0 1 1 1 0 1 0 0 0 0 0 0 0 0 0 0 0 0 0 0 0 0 0 0 0 0 0 0 0 0 0 0 0 0 0 0 0 0 0 0 0 0 0 0 0 0 0 0 0 0 0 0 0 0 1 1 0 1 1 0 1 0 0 0 0 0 0 0 0 0 0 0 0 0 0 0 0 0 0 0 0 0 0 0 0 0 0 0 0 0 0 0 0 0 0 0 0 0 0 1 0 0 1 0 1 1 1 0 0 0 0 0 0 0 1 1 1 0 1 0 0 1 1 0 0 0 0 0 0 0 0 0 0 0 0 0 0 0 0 0 0 0 0 0 0 0 0 0 0 0 0 0 0 0 0 0 0 1 1 0 1 1 0 1 0 0 0 0 0 0 0 1 0 0 1 0 1 1 1 0 0 0 1 1 0 1 0 0 0 0 0 0 0 0 0 0 0 0 0 0 0 0 0 0 0 0 0 0 0 0 0 0 0 0 0 0 0 1 1 1 0 1 0 0 1 1 0 0 0 1 1 0 1 1 0 1 0 0 0 0 1 1 0 1 0 0 0 0 0 0 0 0 0 0 0 0 0 0 0 0 0 0 0 0 0 0 0 0 0 0 0 0 0 0 0 0 0 0 0 0 1 0 0 0 0 1 1 0 0 1 1 1 0 1 0 0 1 1 0 1 0 0 0 1 0 0 0 0 0 0 0 0 0 0 0 0 0 0 0 0 0 0 0 0 0 0 0 0 0 0 0 0 0 0 0 0 0 1 0 1 1 1 0 1 1 0 1 0 0 0 0 0 1 0 0 0 0 1 1 1 0 0 0 1 0 0 0 0 0 0 0 0 0 0 0 0 0 0 0 0 0 0 0 0 0 0 0 0 0 0 0 0 0 0 0 0 0 1 1 0 0 0 1 0 0 0 1 0 0 1 0 1 1 1 0 1 1 0 1 1 0 0 0 0 0 0 0 0 0 1 0 0 1 0 1 1 1 0 0 0 0 0 0 0 0 0 0 0 0 0 0 0 0 0 0 0 0 0 0 1 0 1 1 0 0 0 1 0 0 1 1 0 0 0 1 0 0 0 1 0 0 1 0 0 0 0 0 1 1 0 1 1 0 1 0 0 0 0 0 0 0 0 0 0 0 0 0 0 0 0 0 0 0 0 0 0 0 1 1 1 0 1 1 0 0 0 0 0 0 0 0 1 0 1 1 0 0 0 1 0 1 0 0 1 0 0 0 1 1 1 0 1 0 0 1 1 0 0 0 0 0 0 0 0 0 0 0 0 0 0 0 0 0 0 0 0 0 0 1 0 0 1 0 0 1 0 0 0 0 1 1 1 0 1 1 0 0 0 0 0 0 0 0 0 0 0 0 0 1 0 0 1 0 1 1 1 1 0 0 0 0 0 0 0 0 0 0 0 0 0 0 0 0 0 0 0 0 0 1 1 0 1 0 1 0 0 1 0 0 0 1 0 0 1 0 0 1 0 0 0 0 0 0 0 0 0 1 1 0 1 1 0 1 0 0 0 1 0 0 0 0 0 0 0 0 0 0 0 0 0 0 0 0 0 0 0 0 0 0 0 0 0 0 0 0 0 0 0 0 0 1 1 0 1 0 1 0 0 1 0 0 0 0 0 0 0 1 1 1 0 1 0 0 1 1 0 1 0 0 0 0 0 0 0 0 0 0 0 0 0 0 0 0 0 0 0 0 0 0 0 0 0 0 0 0 0 0 0 0 0 0 0 0 0 1 0 0 1 0 1 1 1 0 0 0 0 0 0 0 1 0 0 0 0 1 1 1 0 0 0 0 0 0 0 0 0 0 0 1 0 0 1 0 1 1 1 0 0 0 0 0 0 0 0 0 0 0 0 0 0 0 0 1 1 0 1 1 0 1 0 0 0 0 0 0 0 1 0 1 1 1 0 1 1 0 1 0 0 0 0 0 0 0 0 0 0 1 1 0 1 1 0 1 0 0 0 0 0 1 0 0 1 0 1 1 1 0 0 0 0 0 0 1 1 1 0 1 0 0 1 1 0 0 0 0 0 1 1 0 0 0 1 0 0 0 1 0 0 0 0 0 0 0 0 0 0 1 1 1 0 1 0 0 1 1 0 1 1 0 1 1 0 1 0 0 0 0 0 0 0 0 0 0 0 0 1 0 0 0 0 1 1 0 0 0 0 0 0 1 0 1 1 0 0 0 1 1 0 0 0 0 0 0 0 0 0 0 0 0 1 0 0 0 0 1 1 1 1 1 0 1 0 0 1 1 0 0 0 0 0 0 0 1 0 1 1 1 0 1 1 0 1 0 0 0 0 1 1 1 0 1 1 0 0 0 0 0 0 0 0 0 0 0 0 0 0 1 0 1 1 1 0 1 1 0 1 0 0 0 1 0 0 0 0 1 1 0 0 0 0 0 0 1 1 0 0 0 1 0 0 0 1 0 0 0 0 0 1 0 0 1 0 0 1 0 0 0 0 0 0 0 0 0 0 0 0 1 1 0 0 0 1 0 0 0 1 1 0 1 1 1 0 1 1 0 1 0 0 0 0 0 0 0 0 1 0 1 1 0 0 0 1 0 0 0 0 0 1 1 0 1 0 1 0 0 1 0 0 0 0 0 0 0 0 0 0 0 0 1 0 1 1 0 0 0 1 1 1 0 0 0 1 0 0 0 1 0 0 0 0 0 0 1 1 1 0 1 1 0 0 0 0 0 0 0 0 0 0 0 0 0 0 0 0 0 0 0 0 0 0 0 0 0 0 0 0 1 1 1 0 1 1 0 0 0 0 0 0 1 0 1 1 0 0 0 1 0 0 0 0 1 0 0 1 0 1 1 1 0 1 0 0 0 0 0 0 0 0 0 0 0 0 0 0 0 0 0 0 0 0 0 0 0 0 0 0 0 1 0 0 1 0 0 1 0 0 1 1 1 0 1 1 0 0 0 0 0 0 1 1 0 1 1 0 1 0 0 0 1 0 0 1 0 0 0 0 0 0 0 0 0 0 0 1 0 0 1 0 1 1 1 0 0 0 0 0 0 1 1 0 1 0 1 0 0 1 0 1 0 0 1 0 0 1 0 0 0 0 1 1 1 0 1 0 0 1 1 0 0 0 0 0 0 0 0 0 0 0 0 0 0 1 1 0 1 1 0 1 0 0 0 0 0 0 0 0 0 0 0 0 0 0 0 0 0 0 0 1 1 0 1 0 1 0 0 1 0 0 0 0 0 1 0 0 0 0 1 1 0 0 0 0 0 0 0 0 0 0 0 0 0 1 1 1 0 1 0 0 1 1 0 0 0 0 0 0 0 0 0 0 0 0 0 0 0 0 0 0 0 0 0 0 0 0 0 0 0 0 1 0 1 1 1 0 1 1 0 1 0 0 0 0 0 0 0 0 0 0 0 0 0 0 0 0 1 0 0 0 0 1 1 0 0 0 0 0 0 0 0 0 0 0 0 0 0 0 0 0 0 0 0 0 0 0 0 0 0 0 1 1 0 0 0 1 0 0 0 1 0 0 0 0 0 0 0 0 0 0 0 0 0 1 0 1 1 1 0 1 1 0 1 0 0 0 0 0 0 0 0 0 0 0 0 0 0 0 0 0 0 0 0 0 0 0 0 0 0 0 0 0 1 0 1 1 0 0 0 1 0 0 0 0 0 0 0 0 0 0 0 0 0 1 1 0 0 0 1 0 0 0 1 0 0 0 0 0 0 0 0 1 0 0 1 0 1 1 1 0 0 0 0 0 0 0 0 0 0 0 1 1 1 0 1 1 0 0 0 0 0 0 0 0 0 0 0 0 0 0 0 0 0 0 0 1 0 1 1 0 0 0 1 0 0 0 0 0 0 1 1 0 1 1 0 1 0 0 0 0 0 0 0 0 0 0 0 0 0 0 0 1 0 0 1 0 0 1 0 0 0 0 1 0 0 1 0 1 1 1 0 0 0 1 1 1 0 1 1 0 0 0 0 0 0 0 0 0 0 1 1 1 0 1 0 0 1 1 0 0 0 0 0 0 0 0 0 0 0 0 0 1 1 0 1 0 1 0 0 1 1 1 0 1 1 0 1 0 0 0 0 0 0 1 0 0 1 0 1 1 1 0 0 0 0 0 0 0 0 0 0 0 1 0 0 0 0 1 1 0 0 0 0 0 0 0 0 0 0 0 0 0 0 0 0 0 0 0 0 0 1 1 1 0 1 0 0 1 1 0 0 1 1 0 1 1 0 1 0 0 0 0 1 0 0 0 0 0 0 1 0 1 1 1 0 1 1 0 1 0 0 0 0 0 0 0 0 0 0 0 0 0 0 0 0 0 0 0 0 0 0 0 0 1 0 0 0 0 1 1 0 1 1 1 0 1 0 0 1 1 0 0 0 0 0 0 0 0 0 1 1 0 0 0 1 0 0 0 1 0 0 0 0 0 0 0 1 0 0 1 0 1 1 1 0 0 0 0 0 0 1 0 1 1 1 0 1 1 0 1 0 0 0 0 1 0 0 0 0 1 1 0 0 0 0 0 0 0 0 0 0 1 0 1 1 0 0 0 1 0 0 0 0 0 1 1 0 1 1 0 1 0 0 0 0 0 0 0 0 0 1 1 0 0 0 1 0 0 0 1 0 1 0 1 1 1 0 1 1 0 1 0 0 0 0 0 0 0 0 1 1 1 0 1 1 0 0 0 0 0 0 0 0 0 1 1 1 0 1 0 0 1 1 0 0 0 0 0 0 0 0 0 1 0 1 1 0 0 0 1 0 1 1 0 0 0 1 0 0 0 1 0 0 0 0 0 0 0 0 0 1 0 0 1 0 0 1 0 0 0 0 0 0 0 0 0 0 1 0 0 0 0 1 1 0 0 0 0 0 0 1 1 1 0 1 1 0 0 0 0 0 0 0 1 0 1 1 0 0 0 1 0 0 0 0 0 0 0 0 0 1 1 0 1 0 1 0 0 1 0 0 0 0 0 1 0 1 1 1 0 1 1 0 1 0 0 0 0 0 0 0 1 0 0 1 0 0 1 0 0 0 1 1 1 0 1 1 0 0 0 0 0 0 0 0 0 0 0 0 0 0 0 0 0 0 0 0 0 0 0 0 0 0 0 1 1 0 0 0 1 0 0 0 1 0 0 0 0 0 0 0 1 1 0 1 0 1 0 0 1 0 0 1 0 0 1 0 0 1 0 0 0 0 0 0 0 0 0 0 0 0 0 0 0 0 1 0 0 1 0 1 1 1 0 0 0 1 0 1 1 0 0 0 1 0 0 0 0 0 0 0 0 0 0 0 0 0 0 0 0 0 0 1 1 0 1 0 1 0 0 1 0 0 0 0 0 0 0 0 0 0 0 0 1 1 0 1 1 0 1 0 0 0 0 1 1 1 0 1 1 0 0 0 0 0 0 0 0 0 0 0 0 0 0 0 0 0 0 0 0 0 0 0 0 0 0 0 0 0 0 0 0 0 0 0 0 0 0 0 0 0 0 0 1 1 1 0 1 0 0 1 1 0 0 0 1 0 0 1 0 0 1 0 0 0 0 0 0 0 0 0 0 0 0 0 0 0 0 0 0 0 0 0 0 0 0 0 0 0 0 0 0 0 0 0 0 0 0 0 0 0 0 0 0 0 0 1 0 0 0 0 1 1 0 0 1 1 0 1 0 1 0 0 1 0 0 0 0 0 0 0 0 0 0 0 0 0 0 0 0 0 0 0 0 0 0 0 0 0 0 0 0 0 0 0 0 0 0 0 0 0 0 0 1 0 1 1 1 0 1 1 0 1 0 0 0 0 0 0 0 0 0 0 0 0 0 0 0 0 0 0 0 0 0 0 0 0 0 0 0 0 0 0 0 0 0 0 0 0 0 0 0 0 0 0 0 0 0 0 0 0 0 0 1 1 0 0 0 1 0 0 0 1 0 0 0 0 0 0 0 0 0 0 0 0 0 0 0 0 0 0 0 0 0 0 0 0 0 0 0 0 0 0 0 0 0 0 0 0 0 0 0 0 0 0 0 0 0 0 0 0 0 0 0 0 1 0 1 1 0 0 0 1 0 0 0 0 0 0 0 0 0 0 0 0 0 0 0 0 0 0 0 0 0 0 0 0 0 0 0 0 0 0 0 0 0 0 0 0 0 0 0 0 0 0 0 0 0 0 0 0 0 0 1 1 1 0 1 1 0 0 0 0 0 0 0 0 0 0 0 0 0 0 0 0 0 0 0 0 0 0 0 0 0 0 0 0 0 0 0 0 0 0 0 0 0 0 0 0 0 0 0 0 0 0 0 0 0 0 0 0 0 0 0 1 0 0 1 0 0 1 0 0 0 0 0 0 0 0 0 0 0 0 0 0 0 0 0 0 0 0 0 0 0 0 0 0 0 0 0 0 0 0 0 0 0 0 0 0 0 0 0 0 0 0 0 0 0 0 0 0 0 0 0 1 1 0 1 0 1 0 0 1 0 0 0 0 0 0 0 0 0 0 0 0 0 0 0 0 0 0 0 0 0 0 0 0 0 0 0 0 0 0 0 0 0 0 0 0 0 0 0 0 0 0 0 0 0 0 0 0 0 0 0 0 0 0 0 0 0 0 0 0 0 0 0 0 0 0 0 0 0 0 0 0 0 0 0 0 0 0 0 0 0 0 0 0 0 0 0 0 0 0 0 0 0 0 0 0 0 0 0 0 0 0 0 0 0 0 0 0 0 0 0 0 0 0 0 0 0 0 0 0 0 0 0 0 0 0 0 0 0 0 0 0 0 0 0 0 0 0 0 0 0 0 0 0 0 0 0 0 0 0 0 0 0 0 0 0 0 0 0 0 0 0 0 0 0 0 0 0 0 0 0 0 0 0 0 0 0 0 0 0 0 0 0 0 0 0 0 0 0 0 0 0 0 0 0 0 0 0 0 0 0 0 0 0 0 0 0 0 0 0 0 0 0 0 0 0 0 0 0 0 0 0 0 0 0 0 0 0 0 0 0 0 0 0 0 0 0 0 0 0 0 0 0 0 0 0 0 0 0 0 0 0 0 0 0 0 0 0 0 0 0 0 0 0 0 0 0 0 0 0 0 0 0 0 0 0 0 0 0 0 0 0 0 0 ================================================ FILE: programming_assignments/beale_ciphers/testcase/small/test12.out ================================================ 11 ================================================ FILE: programming_assignments/beale_ciphers/testcase/small/test13.in ================================================ 1 40 40 40 -6 9 -3 1 -1 2 -3 -8 -7 9 -5 -2 -6 2 5 9 4 7 -10 -2 -4 -6 -4 -8 -6 -1 -5 9 -7 9 8 -2 8 -5 1 9 7 8 3 2 -1 1 -9 -4 5 -2 7 0 7 -1 0 -6 3 -2 8 7 7 6 6 -9 5 4 -9 -4 1 2 7 -10 -7 1 2 2 4 -5 0 -1 -5 -3 9 -7 6 -9 9 -1 0 -1 8 -3 -5 -4 -10 3 2 -9 9 5 4 -2 5 7 1 -10 -9 -5 7 -6 5 -7 1 -4 8 -10 -10 -1 -9 0 0 -10 -1 6 8 0 -1 1 -7 -10 8 7 -2 4 -4 -10 -4 -10 7 -7 -6 -6 8 -3 -7 6 -3 -7 7 -1 -5 -2 -9 4 6 9 6 7 -8 -10 -1 -9 -1 7 -3 -2 -1 3 -2 -3 6 -6 -7 5 -7 -4 -7 -7 -1 3 2 4 -9 -5 -9 -1 6 -1 -4 9 -1 5 2 1 -6 9 9 4 2 9 3 -10 5 6 -3 8 5 -7 -9 -6 6 -5 1 -1 0 -6 8 -3 3 -6 8 -7 1 0 -4 5 -9 -5 -9 -5 6 -4 -5 -7 5 -5 -9 0 -2 5 4 6 2 7 -5 5 -9 -7 -8 5 9 2 0 0 4 6 -5 5 3 -3 2 -9 3 7 -6 -2 4 7 8 4 2 -5 0 -5 4 5 -10 6 8 4 -7 7 8 3 9 2 -9 -5 9 -4 -6 1 -3 7 -10 -7 8 5 -10 -2 -1 3 -5 2 0 -10 -3 -8 6 8 6 9 -3 -4 -6 -3 8 7 2 -1 -7 6 -10 0 -5 2 -5 5 9 -5 -6 -9 0 -1 3 -10 -9 -10 -8 7 0 0 -2 8 6 -6 7 -4 -9 -1 5 -6 7 -3 -4 4 2 1 0 1 -1 -4 2 9 -3 -5 -10 -1 8 4 8 -2 7 9 8 -5 -7 5 2 7 6 9 -9 -5 9 -10 -10 1 -7 -8 -8 2 -10 5 2 -3 2 -6 -2 0 0 -3 9 -3 -4 7 -5 -9 3 7 8 -1 -2 2 -3 -3 2 -3 8 5 -9 3 -10 -9 -2 2 -10 2 -2 -1 -7 8 6 4 8 4 1 -7 5 6 2 -4 8 2 8 -5 -10 -8 -6 0 -1 -5 -7 -1 8 -7 3 8 6 -9 -3 1 -10 -7 -5 0 -1 -2 -5 7 7 7 -7 5 -9 3 2 -9 5 6 -6 6 3 9 -4 1 5 9 -9 -7 3 -1 4 -5 -6 1 5 4 9 -10 1 6 -1 -4 -7 0 9 5 -6 -4 -7 -10 -8 -2 9 -2 1 -4 -10 3 -1 3 -8 5 8 8 -4 -5 -6 -4 7 5 4 -4 3 8 -2 2 3 -6 8 -1 -6 -9 7 6 -9 -1 4 -9 -8 -6 -4 6 1 6 4 8 3 1 6 0 -4 -8 -2 -10 -10 -1 -6 -4 3 5 5 0 6 -6 8 -1 3 2 -7 -3 -2 -9 5 -10 8 -8 0 -7 3 8 4 1 -10 4 -7 -9 -7 -2 -3 -1 5 4 9 -7 8 7 2 -6 -9 5 -7 0 7 9 -8 -3 3 2 0 -4 0 6 -1 -8 1 3 -7 -4 3 -8 5 -2 -2 -4 1 9 5 -7 5 -1 1 8 9 -10 -1 -9 9 4 -5 -9 -10 -3 8 -8 -1 -9 5 -5 -3 -10 9 5 -2 -2 3 1 9 -9 -4 4 0 7 -6 -9 -1 4 -8 -2 -2 -3 0 -9 -4 -10 5 5 -9 0 -10 -10 0 2 -3 0 2 3 -9 1 4 -3 -5 6 7 -9 7 -4 5 9 -3 6 8 7 -1 -6 7 -6 1 0 -4 -6 0 -2 6 8 0 -2 -7 1 9 7 0 6 -5 -3 7 -8 -4 -5 3 3 3 1 -8 4 -3 1 0 0 -9 -2 4 1 6 0 -9 -4 8 -6 -1 -1 3 9 7 8 9 5 -10 7 2 3 -8 -5 6 -6 1 5 5 -9 -4 6 -1 -10 9 7 -7 -9 5 3 7 -6 -7 1 5 -10 -9 -4 -3 -8 -7 9 -3 -5 6 6 -9 9 1 6 -10 -1 -6 -9 -8 -6 0 -5 7 -5 8 4 -1 3 7 7 -4 9 -7 -5 3 9 7 -10 -6 3 -2 8 3 2 4 -5 -9 1 9 -7 5 -1 -10 -6 5 9 0 6 -6 -2 3 0 9 -1 6 2 -2 3 -6 -6 8 -5 -8 -7 7 -1 -9 8 -10 -10 4 -3 -1 4 1 -6 -5 3 -9 0 -9 -4 2 2 5 -10 6 -7 -5 3 -2 6 8 -8 9 5 1 -10 -5 -7 -10 1 0 0 8 3 -4 -7 -3 -3 -5 -10 4 0 -5 -1 0 -9 -5 -2 4 -5 -6 -6 9 5 9 1 6 7 -4 -2 -2 -1 0 -4 -8 7 -8 -9 6 9 4 -8 -1 9 -6 2 2 -1 -10 -3 -4 6 1 -5 1 -7 -2 9 2 5 -2 -10 -6 0 9 8 -3 3 -10 6 2 -4 8 4 -5 -8 -4 7 1 8 6 -1 4 -10 5 7 5 -7 7 -3 8 -5 9 4 5 0 3 5 -7 -5 1 -2 1 -1 -8 -2 2 -10 7 5 0 -4 -5 6 -4 -10 3 3 5 0 -10 -4 -3 1 -10 5 -8 3 0 -5 0 3 3 -9 4 -3 -1 8 9 9 4 -1 -5 1 -5 -7 -7 9 6 8 -1 -2 6 7 9 7 -6 -9 -8 4 9 3 9 -6 -4 3 2 -2 -6 1 -3 8 3 2 -9 8 5 -6 -1 1 4 9 1 1 -2 0 -10 2 -6 4 8 -7 -3 -1 -3 -4 4 1 4 8 5 3 -2 -2 -5 -1 8 2 -5 -2 5 2 9 -4 5 9 6 5 -7 2 -9 -9 -3 -9 -8 -3 -3 6 8 3 5 -5 -4 5 -5 1 -5 6 5 -8 -6 0 4 5 6 -9 4 -6 -2 7 7 0 0 -6 1 2 1 8 -2 -8 -7 5 9 -1 1 -5 2 -2 -9 -3 -8 7 7 7 2 -5 0 8 -1 9 5 8 -9 -5 5 2 -1 8 -8 -1 -10 -5 -5 2 -4 -2 -1 8 -2 -8 -5 0 9 4 9 -7 9 0 -9 -2 -9 -2 9 -8 3 4 4 4 2 -2 -7 -5 -5 -2 7 1 -2 -4 -9 6 -10 -4 -3 9 2 -4 4 1 -2 5 1 -1 5 0 1 -10 -6 7 4 -1 7 7 4 -8 8 -7 -5 8 -9 -4 5 -9 -6 4 2 6 -10 -4 9 -1 3 1 8 -2 -9 -8 -2 8 9 4 -3 7 1 3 1 -9 6 7 -10 -1 5 5 0 -10 -1 4 -2 -9 -10 -2 -8 -5 1 3 3 -6 5 3 -8 -4 -3 -9 5 0 -4 -3 -6 4 6 -6 -7 1 1 -5 -7 2 9 -6 3 9 2 -2 6 5 -9 -1 9 -2 4 4 4 3 -3 -8 -6 4 -1 -2 -2 -5 -6 2 -2 5 -1 2 -3 -1 6 2 -10 -10 2 7 -3 -5 8 -4 3 3 2 -10 -4 -10 -8 -8 4 -7 -8 -8 -10 -4 -4 -10 3 6 -6 2 7 -10 -5 -1 2 -1 -4 9 5 -5 8 -2 0 0 -10 -2 0 4 1 6 -1 -5 1 -1 2 -1 0 -5 7 4 8 4 -3 5 -6 1 -6 -8 -7 1 -3 -9 2 -1 -7 2 8 -4 9 -1 -8 -2 4 3 8 8 -7 -10 6 -10 4 -4 -3 3 3 1 -5 -1 3 -2 -9 3 -9 3 -8 -6 7 -10 0 6 -9 -5 -5 -2 0 5 8 3 5 4 -4 -9 2 3 -3 -5 6 2 5 -9 2 -2 4 -5 -9 -1 -9 0 -9 -6 -3 -7 -1 -6 -7 9 9 -9 -5 -4 -2 1 9 -10 6 8 8 -6 0 -5 -5 4 3 2 9 -4 -9 3 6 4 7 -7 7 -4 9 -10 -5 0 4 0 6 -8 3 -2 -8 -9 -4 -10 -5 -1 -5 1 5 0 5 -3 6 -2 -10 3 -8 7 -2 2 5 -2 -6 -10 8 8 -7 -3 -10 -2 -3 5 0 -5 -3 -3 -4 -5 0 -8 5 -5 -1 -6 3 -9 7 -2 8 7 -10 3 7 -6 123 -434 25 195 261 -97 181 -63 -236 -188 -402 -57 18 92 -398 146 -34 -116 -94 -356 163 115 -20 429 357 -16 330 6 38 144 -52 -47 24 -189 -181 29 183 -297 -215 -248 21 124 97 -142 37 -15 119 65 63 -458 -99 -91 -39 288 -89 11 449 96 41 244 201 -295 143 149 -15 -1 78 -26 -150 -65 91 -76 553 153 -452 106 -172 -255 48 -248 -196 184 159 -81 348 -79 121 -34 -90 206 318 95 130 175 101 -163 25 -3 464 142 -179 130 -167 59 -79 -498 -642 200 -322 -342 66 -212 -316 68 43 362 -255 72 196 279 224 312 -262 -22 -67 606 -81 341 -215 94 269 -206 144 293 -65 -124 130 188 207 300 -119 -167 -96 220 278 -268 -667 -322 13 23 139 -307 -24 210 -114 -246 -170 153 122 -81 367 73 260 137 -54 216 129 -152 -317 473 -350 -219 45 -261 -131 -10 212 -128 108 -305 102 -21 49 296 162 17 35 -414 159 109 130 450 43 -157 -367 -234 48 -10 -277 -294 -171 169 -52 -407 45 19 -156 -170 -105 -25 88 193 13 187 -93 23 -229 332 57 376 -69 226 209 275 71 -372 19 584 62 -280 228 100 -159 276 -323 -204 -290 -212 20 -115 48 -132 173 -164 -186 -250 217 -389 288 236 105 320 284 113 148 236 147 -190 -32 -26 63 480 -82 -169 -21 -371 403 -10 83 -252 382 188 -2 108 32 -244 -88 11 254 245 26 105 95 -7 -152 -207 31 6 181 -146 92 220 -169 263 -284 126 105 307 -94 40 -97 -164 -32 26 -108 95 -121 -48 520 399 -43 -114 -47 -56 310 267 -41 -91 41 126 109 -128 199 -76 -248 165 -92 -408 -191 -52 -366 -172 102 -240 108 191 89 -416 -53 -182 318 -213 145 304 -115 106 -21 -282 397 -89 114 297 242 -247 -89 -303 -164 2 -324 -177 225 -386 21 232 251 -164 73 -164 121 -637 -270 177 89 52 -589 143 527 -325 26 -221 302 -157 -7 272 153 145 -6 38 197 388 -230 -262 508 230 -311 269 382 -163 -318 -299 32 -260 268 70 6 -104 -38 73 236 -28 -346 -106 124 125 -97 -67 52 14 -136 -82 -8 -48 -84 20 369 -147 274 387 -111 165 -244 -214 166 193 -104 107 208 41 -165 -442 51 23 -193 -85 54 -45 191 -125 143 -307 -123 -73 226 130 -262 231 -34 -3 -107 239 547 -58 313 287 171 177 439 105 -118 421 104 5 370 260 -25 -131 -247 -272 -189 -138 184 -127 -76 -159 334 -91 498 38 -168 -85 79 -367 76 -34 120 -153 -278 94 172 55 -55 -30 -206 205 -167 -64 -149 220 -109 -329 347 26 -207 163 -235 57 -447 -33 -30 229 -62 90 -32 -144 205 125 -104 -35 113 -113 242 244 -33 98 -247 32 81 331 200 116 -132 -79 -87 -120 274 -385 22 154 -24 48 94 -121 116 186 -8 83 333 106 -55 -38 -85 -213 8 156 -231 -135 -20 -292 279 -600 118 -373 198 258 -29 -136 -144 -80 34 390 126 39 99 -145 -235 100 254 -6 29 224 -139 -71 368 191 -49 145 -460 -75 -225 -14 -190 90 -318 -31 66 142 -81 -223 -168 203 343 87 -296 -99 -74 -33 -76 -493 89 -314 246 319 84 72 -43 1 -289 -335 -68 -29 166 12 -298 -48 358 124 -51 -179 101 59 -263 201 -236 -58 -135 395 -21 392 468 -106 318 16 321 38 166 267 138 -339 48 205 -102 -167 159 -135 96 186 -409 -308 -67 -8 -623 -672 21 -353 247 154 112 111 281 70 -38 -244 49 344 285 47 -110 112 -29 -5 -69 -101 94 -160 137 -45 -118 -170 121 -151 72 -288 47 -60 -304 188 74 -553 53 -267 -244 16 -15 -331 -61 -129 -176 17 -25 448 34 10 123 -184 1 3 -189 213 -320 131 112 300 76 170 -129 -488 -312 -37 380 -99 -259 92 -318 -260 -119 -437 -159 221 -38 -11 80 36 -185 449 184 -51 -13 33 204 -146 73 72 -364 -216 158 179 -10 107 -75 -231 233 140 475 451 -173 -360 -110 581 -209 8 -211 -282 140 -105 293 219 77 151 -560 388 -243 -237 -23 27 -45 260 -167 -525 346 348 0 418 -118 -442 -119 -29 -136 -26 -63 634 198 -238 23 -93 -32 360 -446 320 -109 230 -417 -166 -29 178 -69 -147 -318 163 72 -172 -46 72 -398 19 338 -104 49 127 -361 -347 69 92 11 102 218 -109 173 -6 -46 -21 125 53 -359 -150 -287 -302 -200 -187 559 228 168 308 -248 110 -35 -20 -135 -207 -334 260 271 105 -293 115 -145 76 -203 -38 -35 59 -88 35 103 -332 -192 -314 146 -38 58 22 136 33 314 272 -287 375 293 276 98 317 192 29 282 140 -222 71 316 454 -326 -244 363 200 230 277 -176 159 -100 -395 17 -43 148 -181 301 22 -30 -291 68 -298 347 45 63 112 70 -246 -179 -136 29 -269 70 96 -37 323 -208 -141 45 -291 34 199 -49 34 179 -6 -482 67 -315 -148 197 302 -140 233 47 -32 -150 -379 -71 100 -83 87 -73 36 37 169 -184 -93 -254 -330 -127 -166 -84 -104 116 -98 262 76 -144 -152 297 -254 -60 -282 238 78 -125 -258 2 -128 -25 -269 86 29 233 153 26 36 43 51 12 23 4 -474 -33 -377 187 -99 -151 -153 94 201 -143 -23 105 -255 -265 265 212 220 78 -27 -49 340 -96 -192 153 205 -100 127 56 -100 -243 -408 60 186 149 39 330 -329 283 -114 -380 398 337 39 -111 207 222 -132 -30 179 86 -68 -319 265 -349 -117 75 -237 -290 253 139 -377 384 147 -273 -76 414 -8 -126 -179 91 302 116 -97 -174 59 163 -62 111 78 -60 159 31 -33 305 -214 19 70 -41 114 52 -231 93 34 -134 -8 65 -223 -128 16 -182 -99 159 -142 -145 18 231 223 -81 275 174 41 -42 113 -44 -506 91 -189 15 -172 77 183 107 -169 -36 185 -71 3 -476 187 46 -34 30 -127 -15 336 -204 -56 170 27 -278 -234 186 25 -419 165 55 56 20 -362 12 52 208 378 332 -358 -98 141 140 61 -292 9 -255 191 479 11 83 -280 72 109 -50 -18 -182 53 -18 24 5 -307 -18 167 -58 125 -68 280 165 18 -139 -110 176 365 -227 14 84 -35 132 -503 -196 48 -223 -271 232 -206 -193 467 259 32 -137 -10 -180 -75 53 244 -39 290 220 -236 -9 -265 29 328 210 -54 -113 158 196 109 -88 -236 102 321 -50 127 -227 184 -140 242 41 83 -40 459 72 193 283 -94 -302 -118 -142 147 -184 188 427 346 -165 96 -21 -374 142 -93 -222 23 -254 -76 -43 -161 250 -141 209 103 462 147 -80 -407 -127 -51 -132 29 -110 148 -392 -127 -255 151 170 101 276 22 -136 40 -71 175 -97 40 127 493 107 -90 265 -125 -41 588 -310 -110 281 8 -279 138 -7 -67 157 -45 -134 -147 233 23 17 125 338 8 271 -246 5 -351 -101 50 390 5 207 -148 121 4 -291 -101 2 16 8 218 117 111 285 -36 178 56 -65 -93 89 -49 -170 78 -330 -222 -40 270 -47 -108 -137 269 285 318 -151 -114 -156 -288 113 -170 102 61 -55 -184 -35 126 86 299 190 -43 87 18 257 -4 19 102 186 -4 183 -80 308 290 -26 -99 -511 -112 -252 -59 -165 -81 -114 -73 -55 208 -47 32 -226 -84 289 -180 -17 -281 362 -17 93 -168 4 -212 238 -129 388 -58 -354 109 232 -206 -255 19 -39 50 -26 112 -70 59 -126 71 165 -128 107 208 63 -252 155 -4 -41 -205 -3 -395 -123 100 409 -16 -269 -177 -2 32 -224 57 -69 -100 -19 -131 104 -296 -247 468 322 117 -96 -185 220 412 83 272 -221 155 -275 -331 -157 -189 -151 -294 -500 344 -504 70 392 -310 172 375 234 159 -402 -13 -168 -101 -271 74 177 -91 395 -266 23 352 381 319 121 132 -112 -340 18 151 217 269 231 -380 31 -207 -29 -136 -82 257 218 178 117 -137 -141 25 277 100 345 -141 129 171 72 0 342 -256 15 7 107 -246 -159 -69 65 -187 150 -245 172 -165 56 27 -82 331 -96 -228 377 -210 137 -411 255 -109 -46 -126 197 -345 185 61 -162 24 99 214 -307 209 390 -198 -48 -283 28 -321 -69 -26 17 32 421 -187 -220 160 -77 220 323 -28 -215 -3 139 -391 -126 -111 -5 6 -7 -10 5 5 -9 4 0 -7 9 8 0 -4 -7 -9 -2 0 8 -1 4 -6 0 -7 2 -10 -9 2 -5 8 -2 -8 -4 1 5 3 9 6 -3 -1 9 -3 9 -9 -5 4 -8 -5 -5 3 4 1 7 6 5 -9 -2 6 -5 -5 -4 3 -3 -5 7 -8 8 6 8 -4 7 -1 -5 -1 1 -8 5 -5 -3 -10 0 3 -6 9 -1 9 -10 -1 -3 7 4 3 -7 -9 8 -10 6 -1 -2 -4 -3 7 6 -6 8 9 -4 4 -6 3 -4 5 -4 0 -4 -3 -1 -3 6 6 6 -8 -8 9 5 2 1 1 -9 9 8 -10 -1 -4 -6 -3 -5 0 3 -9 -7 -10 -2 -9 0 5 -10 -10 4 -2 -2 0 0 -8 0 -4 5 -9 -1 -2 3 -3 -1 4 -5 -5 3 0 6 -3 -6 1 -3 -6 3 7 9 -5 -1 -5 4 0 6 -6 2 8 -8 9 9 2 -2 -6 9 -1 8 7 4 2 9 -8 1 -7 4 8 -2 9 -3 9 -6 7 -5 8 9 3 5 1 1 7 1 -8 -1 1 -3 -9 2 7 8 8 -9 7 -9 2 3 -3 0 3 8 0 2 -8 9 -1 3 8 4 -10 -1 -5 7 2 -10 9 5 -3 -10 -3 6 0 8 0 -3 9 -8 -10 8 -5 -5 6 5 8 0 4 9 5 -6 4 5 3 1 3 8 1 2 3 0 -6 3 -3 4 1 -1 3 -8 1 -4 -10 -2 1 -2 5 -9 8 -9 -9 4 -5 -3 -1 1 8 4 -1 -8 8 4 2 -8 9 1 -2 0 -10 4 -6 -6 2 -6 2 5 -6 -2 7 -7 -1 0 -1 -3 -1 8 8 9 -5 9 -9 -7 3 4 8 3 -5 8 5 8 2 -10 -8 6 6 -4 2 -9 -4 -1 6 -2 1 -5 5 -10 5 3 9 -10 2 3 -6 7 -3 4 -8 -6 2 0 4 -5 0 6 -9 8 5 -5 1 -9 -4 -3 -1 7 -6 6 -1 2 -1 -9 2 3 4 -2 -7 3 -8 -5 7 5 5 2 2 7 -10 -5 -2 5 1 9 -1 7 9 8 -3 5 5 -2 -3 6 -1 -10 -8 5 -10 -5 -2 -7 -8 8 0 8 -8 4 -3 -8 9 5 0 -8 5 9 2 -4 -1 9 -9 6 9 -1 -5 -9 -9 9 6 -9 -6 7 6 -4 5 8 6 7 2 6 1 -6 1 3 8 8 -6 0 6 4 -9 8 -8 -9 9 9 -8 -10 8 0 3 -8 -3 -8 -9 -8 2 -1 9 7 -5 -7 -9 -1 6 1 9 -9 -8 6 -3 5 4 -9 6 3 -9 0 -5 9 -9 0 4 -2 -6 -3 1 7 6 -8 4 4 7 -3 5 4 8 4 5 2 0 4 -2 6 5 6 -1 6 -3 -4 6 -2 -1 -8 -2 3 -1 9 0 7 4 6 -7 1 5 8 7 -4 -5 2 8 5 8 8 2 4 5 3 0 -8 -10 8 -8 -1 2 0 4 -9 -8 7 1 -2 3 4 9 -1 -5 7 -3 0 -9 -5 -5 -10 -6 -1 -4 1 -7 -2 -5 5 9 -3 6 1 -1 0 -5 -7 9 -2 1 3 -8 -7 4 9 2 -9 -9 3 8 -3 -5 4 -2 1 -5 -7 2 0 8 1 -1 -4 4 1 -1 9 4 -2 9 8 3 -8 -9 -3 3 3 -10 5 8 1 4 -6 -5 -8 -3 1 -4 9 3 6 -8 5 -7 7 -4 -6 -2 -10 2 -2 8 -4 -8 1 -5 -3 -6 -4 -8 -7 7 -2 9 4 1 -4 7 -1 8 1 7 2 8 2 -9 -6 6 -8 6 -9 0 -3 -3 -6 8 -6 1 5 0 -4 8 9 4 7 -4 7 5 -7 8 -5 -4 -2 0 -6 -10 1 -10 -1 3 7 0 5 -6 -1 1 4 3 5 -1 6 3 9 -3 -3 -2 3 7 -6 7 -3 -9 5 5 -7 -10 -2 5 2 -1 -10 -1 1 -2 -5 2 9 -10 7 -4 -9 3 9 -9 3 9 -1 8 -2 -5 -3 5 9 -7 -7 -8 5 -7 -1 -3 2 0 7 5 0 4 -3 -1 -4 -6 -2 -2 0 -3 -1 -7 8 0 -9 -4 6 -1 4 5 -6 7 -1 9 2 9 -4 -6 -1 5 1 9 0 8 -10 -2 -8 -10 6 2 -10 7 -3 8 -2 -9 7 6 0 1 1 4 -10 2 -5 2 1 1 -2 -10 9 9 1 -9 7 -6 -1 1 -6 -4 6 -6 5 -7 -7 -7 6 -10 9 -4 -7 -8 2 -7 5 7 -3 -4 -9 5 9 -10 -4 0 3 5 -4 -8 -4 1 -10 4 5 6 0 8 1 -4 0 -7 3 3 7 7 6 -6 -3 -7 1 -2 0 -8 -10 -2 -6 3 -7 1 -3 -8 -8 -2 6 -1 -6 -4 -10 -3 3 0 0 8 -6 -2 5 2 2 4 -2 5 4 0 7 4 9 4 9 4 7 -3 6 1 -3 3 -10 -7 1 -10 0 -6 1 -9 4 -3 -1 -8 1 -9 6 1 -1 1 4 8 7 3 2 -1 9 -1 6 6 -10 5 -9 3 8 2 3 -2 -1 6 -1 -7 5 0 7 -3 2 4 0 -9 7 -6 9 4 -1 -6 -7 -1 -5 1 7 8 -4 8 1 -6 -8 -6 -5 -7 3 4 -3 -2 -5 6 -3 -1 0 8 -8 9 4 3 4 6 -1 -1 7 5 -9 4 3 9 -6 -6 -6 -4 -10 -9 0 3 5 -1 -8 2 -5 -9 -9 -2 9 5 -3 -4 -1 3 -8 8 -7 1 -5 6 -5 8 5 -1 4 1 -3 5 2 7 -10 -2 -4 4 2 -6 6 4 -6 -3 -9 1 3 -8 -5 -3 -9 -2 8 8 -6 5 -1 1 6 -7 -7 -6 0 5 -9 1 5 -10 -5 -2 6 3 4 -10 -9 5 1 -4 8 -2 -4 1 -2 6 -1 -6 2 8 6 -2 4 9 2 -6 -4 -4 -3 4 -4 -5 -8 -8 8 -2 4 1 -7 -5 8 3 -4 -6 -6 4 -10 -4 9 -6 6 -3 3 0 8 7 -3 -6 -7 -4 8 -9 1 2 5 -8 -10 -1 3 6 -3 1 -1 3 -3 -4 -3 -2 -6 8 2 -10 -5 7 -7 -7 -3 -8 -10 0 -10 0 -6 2 5 9 -4 5 -1 9 -7 6 -7 -5 -9 0 1 -10 0 -3 9 5 9 6 -6 4 2 1 -2 2 4 -1 4 8 3 -1 7 9 7 8 0 -10 -4 3 -5 -3 6 -2 -2 8 5 9 -5 5 5 0 -9 -3 -9 0 1 5 9 -4 -5 2 5 -7 1 2 3 3 3 -10 9 0 -3 -3 9 -3 -5 -4 -4 1 -9 -8 3 5 -1 -4 -5 3 4 -6 9 9 6 4 -8 9 -3 6 2 2 -2 -7 -8 5 0 3 5 6 -10 -9 9 3 -7 2 -2 -5 0 3 8 -6 7 7 -6 -5 -7 8 -6 -8 -4 -1 4 4 2 7 -8 -7 -8 7 1 -8 8 -8 6 4 -4 -6 1 6 8 -9 -9 5 8 7 3 3 5 -1 6 -8 8 0 -2 -7 9 0 8 -8 9 -9 6 8 -7 2 -6 -9 7 5 7 -3 6 0 -8 -4 -3 -3 9 -7 7 -3 7 -3 0 7 0 -9 -10 -10 5 9 -9 2 -1 6 -6 3 7 3 -10 5 -10 -2 -5 5 4 -5 -8 -4 -10 9 -5 -1 -3 5 -4 -1 7 -4 0 2 8 -7 6 -3 -10 -9 3 7 4 3 -6 -3 -8 -8 -8 -2 -3 -6 4 -3 6 -10 -2 5 -3 4 -6 6 -9 -4 -9 1 0 7 8 -8 0 1 9 7 7 6 -6 1 8 -4 9 7 -8 -4 6 8 8 -6 3 -5 0 8 -8 -7 6 -7 4 -4 2 3 -2 -7 6 -10 -10 -5 6 -6 6 -4 0 -2 5 -6 4 -7 -7 -6 9 6 -1 -1 -4 -7 3 -7 8 -3 -1 1 2 0 4 -9 -8 4 -4 0 0 5 6 2 -7 -7 6 -1 8 9 3 7 -2 -8 -4 4 8 1 7 6 9 9 9 -7 -9 3 -6 -7 ================================================ FILE: programming_assignments/beale_ciphers/testcase/small/test13.out ================================================ 1 ================================================ FILE: programming_assignments/beale_ciphers/testcase/small/test14.in ================================================ 1 40 40 40 8 -1 -3 9 0 -4 -3 8 -5 -5 -1 0 6 9 -9 -4 -10 7 -2 0 -3 5 1 4 3 -7 2 8 9 -2 -9 7 8 -9 -1 -2 -3 -2 8 3 -4 -3 -7 -8 8 6 -10 0 3 -1 -9 3 6 -6 9 -9 -3 -6 -10 8 2 3 -2 -8 4 -1 -7 -8 7 -9 -3 5 -9 -8 8 9 9 8 0 -6 9 -7 -1 -3 -3 -1 -1 -4 3 -9 -6 7 4 -6 -10 -1 3 5 -7 -7 6 0 8 7 2 -2 -1 -7 9 9 -10 8 4 -1 -4 -9 8 -3 -3 -7 -2 -7 3 -8 -10 -5 -7 3 -10 -4 -2 6 -2 -3 -4 -9 5 5 6 4 -4 6 -5 -10 -4 1 3 6 8 -10 2 8 5 -5 2 5 0 6 -9 0 4 -1 8 5 6 -6 -2 -6 1 -6 8 -1 -9 -7 -1 9 -4 -8 -3 6 4 9 4 -8 6 -3 7 -4 5 8 -2 -9 -10 -3 6 6 -7 6 2 5 -9 1 -6 4 -4 -4 -5 -5 -10 2 -9 -3 2 -2 -1 -2 -3 -4 -3 -8 7 5 5 7 4 -6 -5 8 -10 0 -5 -9 -9 -1 -3 9 -3 2 6 -10 -5 8 -3 -1 8 6 7 -5 4 -6 9 -7 2 4 2 -4 8 0 -6 1 -10 -1 2 3 1 2 -6 0 -6 -9 0 -9 9 -1 0 -1 -5 -10 4 2 -6 3 -3 -2 -3 -10 5 8 -8 1 -1 -8 3 3 5 6 -5 1 -4 -8 2 7 -7 -7 -4 -4 2 -6 -4 -4 -2 -8 9 -3 1 9 -3 8 7 -9 -1 8 -7 4 1 0 0 -1 -8 7 -7 -4 -4 8 0 2 -6 -8 -2 0 -1 -2 -5 -10 6 6 9 5 -4 -2 7 5 -4 2 0 0 5 -10 1 -1 -1 4 5 5 2 -5 -10 7 -2 -10 9 7 -1 -6 7 -5 2 -1 2 8 7 -1 -4 -6 4 -2 -4 -1 -10 7 8 0 1 3 7 5 1 7 2 9 8 -6 -2 9 -10 7 6 3 8 -2 -7 6 0 -1 2 -6 -1 8 -5 0 5 -7 -10 8 -2 7 3 1 -3 8 -8 7 4 0 6 4 -10 2 9 8 2 -7 -4 -8 -6 8 8 4 -2 -7 6 5 8 -2 -5 9 -5 9 -8 -6 -1 -5 -9 -7 -3 -1 7 -3 -9 -1 8 -4 2 6 -10 -2 -3 9 4 5 4 0 -7 -5 8 -2 -6 6 9 -4 2 -2 -7 4 1 1 -7 -9 0 7 0 -10 5 4 7 5 -8 -6 -4 -1 1 -9 1 4 -4 0 5 -8 8 4 -10 0 -7 -6 6 -4 -3 -10 -3 7 -1 -1 8 -6 -7 -3 9 8 1 -4 -3 4 9 0 -9 7 -10 6 9 0 -8 1 3 -5 -3 -1 -6 4 -1 -7 -6 0 3 -8 4 -2 -1 -4 -4 2 -6 -5 8 -7 6 9 -10 -2 5 1 1 8 4 -6 5 -8 3 9 -2 5 5 2 -5 -2 -4 2 -2 -3 8 5 1 -8 2 0 -5 -10 -1 7 -1 7 -10 -10 -3 4 -6 -8 -2 -1 4 -1 -6 -9 -9 0 -1 -10 -8 -1 9 2 -6 1 4 -1 3 1 -1 -8 -10 0 1 -10 -8 8 -4 -4 3 5 -2 9 -6 2 -10 7 4 -9 -1 6 0 -1 -2 -3 2 4 6 -5 7 7 9 7 -2 1 7 0 -9 6 -1 4 1 7 3 -3 -1 -5 -6 6 -4 4 2 7 5 3 -6 -3 9 -10 -6 7 7 5 -4 7 -4 6 -10 -10 2 -1 -4 -7 8 -10 0 9 -5 -4 5 -6 2 -10 -9 9 3 -5 8 -6 7 -8 3 -4 8 -10 6 6 6 6 6 -2 -5 -7 -7 -7 5 -5 -8 2 -7 0 6 6 0 -1 5 5 4 4 9 -7 -2 3 -8 8 -5 8 5 -9 4 -7 -9 9 8 6 4 -5 -9 -2 0 -6 8 8 2 -2 -2 -10 -7 4 -4 5 8 4 -2 -10 3 3 8 -10 -4 -6 -7 -3 -7 4 5 -1 1 6 -1 -9 2 -2 -10 7 -2 -2 7 -6 -8 -7 9 2 7 9 -6 -8 2 -8 -8 0 -4 8 -1 -9 -6 -6 -8 5 2 2 7 -6 2 -1 -9 -10 -1 8 6 -7 3 5 6 1 4 -10 -5 8 5 -2 -10 3 8 -1 5 -8 3 -1 7 7 -9 -4 -8 -5 5 5 8 -6 -4 4 -2 9 -8 6 -8 6 6 -2 -3 -7 6 9 7 4 -1 -6 6 4 3 -5 2 -3 2 -4 2 9 -9 -8 6 -3 7 6 9 9 2 -9 -3 -10 -1 -4 -6 7 -4 3 1 -3 7 9 3 -8 7 7 -1 -1 -7 4 -10 7 6 6 6 -5 -6 5 -6 6 7 -6 -1 8 0 -5 6 -2 8 9 5 -3 1 -9 -1 -2 8 1 -1 -8 7 -1 1 3 8 -3 1 -8 -7 5 1 2 1 2 0 -8 7 8 0 -3 8 8 4 -9 9 5 -1 -1 -4 0 1 -7 1 -8 -1 -9 -8 -10 -6 -5 -3 -3 -1 9 1 1 3 -10 0 5 -3 -10 3 3 -9 -6 -2 -8 4 -3 2 7 -8 5 2 1 7 -4 -7 3 1 1 -10 2 -8 -7 -7 5 -7 3 0 -8 3 6 5 -4 -10 5 -2 -4 4 2 6 7 -2 -10 -2 -5 -4 -6 8 -1 5 0 3 7 3 6 -6 6 -8 4 8 -3 0 -5 4 -7 2 4 -9 -3 -3 7 -6 5 -1 -6 2 -3 -2 0 -2 5 -10 -9 -6 -5 8 -2 3 2 -7 -7 9 -5 -2 3 -2 2 -10 0 9 -3 9 -7 4 -9 -10 -4 -2 -2 -2 7 6 -10 0 -10 -5 -2 -1 8 -10 -6 3 2 -1 3 7 0 -5 7 -10 -5 -6 1 -10 8 2 -10 6 3 -9 -6 -8 7 -6 2 7 -1 3 8 9 -5 4 2 7 6 -5 5 -4 -7 2 8 -2 -1 -1 -10 -3 4 -9 -6 -3 4 -10 -9 1 -5 3 -10 4 8 1 -4 -6 -5 0 3 3 -2 -2 9 1 3 7 9 -8 9 1 -9 -5 -6 7 -6 8 8 -5 -1 -7 0 -8 -1 -1 3 5 3 0 -4 -4 -6 -4 -3 5 7 -10 3 -2 -8 -6 9 -7 -1 -6 -9 3 -8 9 0 -6 4 -10 -4 -7 -1 9 1 4 -9 -1 3 -5 5 -10 -9 2 2 -4 -10 4 -8 1 -1 -7 5 -8 6 0 3 8 4 -3 8 -10 -7 -10 1 -4 4 -6 5 9 0 -8 9 -7 -4 1 -9 -4 7 -7 -1 9 -4 7 -9 4 -3 -3 2 3 -4 -8 -5 -1 -8 6 5 -1 2 -8 -2 4 -6 -10 7 0 -7 0 -2 -9 3 0 -10 1 -3 3 -5 4 -10 -1 -3 -3 -6 -6 -2 8 2 6 -3 -6 0 -2 9 -3 -10 -2 7 -7 9 8 6 2 -2 -2 -6 -3 4 -9 3 -4 -7 2 3 -3 6 4 -5 -2 -8 -5 2 2 -5 1 9 -5 -10 -1 -10 1 9 -1 -7 9 7 9 -4 1 -9 9 8 6 -7 -7 -7 9 -1 -2 -3 1 -5 1 6 0 5 5 -3 -3 6 -2 8 5 7 3 4 -4 3 2 0 -4 1 -10 -8 4 5 -5 -5 -5 -5 -6 -2 1 6 -6 -9 -7 2 -9 0 -2 -1 -10 -6 8 3 0 6 -4 -7 -4 -6 -4 8 -4 3 4 -7 8 1 -1 -7 9 2 1 6 -5 4 -2 -4 6 6 -3 6 2 -5 -1 -7 4 -2 -4 -10 2 2 1 1 7 -5 4 6 6 5 1 -3 -3 4 -7 -5 -2 1 1 6 -10 9 -6 -6 6 -5 9 0 3 7 -7 -4 0 4 -1 9 1 -7 5 9 9 -4 -4 8 2 0 5 2 3 -3 -2 -5 8 2 0 -4 0 -1 -1 -7 -3 2 -9 -1 8 0 -2 -9 -4 6 -10 7 4 8 5 -3 -2 1 9 4 0 -10 9 -10 2 -9 -4 -8 -7 5 8 -8 9 9 -7 -1 -8 1 0 -2 9 -8 -5 4 -356 10 -204 -158 157 22 -525 167 42 528 -306 175 180 289 145 -50 -59 -18 206 114 -41 -141 -125 -31 10 -177 69 166 -246 -45 -64 -123 -83 19 -286 -31 -367 -43 399 68 68 -365 -120 -156 52 -225 -283 348 -504 82 -54 -38 220 -326 155 77 -231 106 -268 -380 194 288 506 302 245 278 -521 -128 -32 -235 -73 83 28 65 310 -5 -8 30 -72 205 -197 -305 -217 -13 188 0 60 364 -344 273 48 80 98 149 -157 -27 -347 63 325 -38 -32 -354 -150 82 -61 34 378 86 173 -171 223 171 80 1 -157 -120 36 290 246 309 251 309 -179 122 -25 168 7 -354 -88 425 344 344 396 -477 126 -326 95 87 -243 288 185 505 382 -222 8 246 -52 -290 -152 306 -105 168 -15 99 441 134 346 -352 50 216 154 -275 90 129 -186 292 -92 -112 -413 425 28 -335 -36 -75 25 3 275 -317 -149 362 -8 -495 314 149 143 -179 -418 -80 486 181 -219 -279 401 -541 -87 -131 -57 219 -367 60 366 -53 111 244 -228 110 328 47 -325 -303 164 56 84 444 45 503 305 -226 -151 58 144 -63 -122 438 35 226 418 -51 88 -169 257 -194 -36 24 -138 -24 228 446 -322 -125 -22 94 -46 242 -373 -343 12 -207 338 -389 -502 -32 -132 209 -84 -104 81 18 -246 -188 -64 -48 -140 -51 -1 -305 -13 338 -80 142 189 -229 -176 226 128 9 -262 69 342 197 327 61 176 95 -299 -163 -216 -91 191 27 -341 267 -419 85 61 158 155 -35 -51 495 367 375 171 100 -9 322 56 -284 -24 -360 -116 143 1 -83 137 -195 147 145 -410 61 -59 100 -127 118 -70 -150 -313 182 50 -75 -90 -210 -55 -124 56 246 81 -287 139 -79 -360 -41 -340 -40 340 226 -182 140 63 -392 42 -93 -10 184 -290 3 -118 98 -164 -443 285 -171 -61 -355 202 297 -281 -196 -211 -44 79 -336 47 -408 14 -33 66 176 -256 -170 149 59 111 140 276 142 -457 96 -28 46 -288 -70 -94 -172 94 -290 80 -471 139 13 -80 -258 3 -346 480 -116 -294 129 26 174 108 -128 85 14 -178 -101 -114 -328 314 1 64 -203 63 -91 -76 168 -342 -303 -429 -189 364 239 -336 127 -339 19 -429 -51 351 196 211 385 285 -131 -8 -117 125 -361 379 15 100 263 -364 -45 -398 -190 209 -227 -292 330 462 -17 -211 -158 -129 292 300 82 87 82 -182 120 2 -146 117 86 25 5 -298 237 61 -134 -347 16 -124 36 -88 261 198 -245 -209 -38 -518 -55 173 116 -111 38 -37 -175 -211 -119 115 120 113 -109 -106 594 342 -172 -80 -308 200 -93 -123 70 267 -78 37 -38 130 177 -81 390 -62 130 293 156 -144 -116 1 66 53 165 96 29 -34 -37 -298 114 17 334 -155 37 115 -30 222 -61 -226 237 427 48 11 269 131 107 49 240 285 428 185 127 341 -167 -135 27 -59 -61 -153 -301 -97 122 25 6 -122 -83 222 -162 -267 130 -120 -55 -127 59 149 325 282 14 139 87 -269 -87 189 48 95 190 -58 52 -262 -117 24 205 -7 -107 26 -43 -75 83 455 -6 -108 445 329 252 42 52 -199 3 253 -108 280 150 266 -3 -151 20 295 111 205 -120 -40 106 67 121 449 -161 137 -35 154 -111 104 165 -162 104 82 24 -233 67 294 -11 -23 -23 14 224 -88 -20 -182 -129 311 228 -90 -328 -114 -29 18 56 -100 -52 -425 -250 -87 221 -320 95 -124 22 -2 82 -93 -110 148 443 504 -241 -444 170 396 81 454 41 206 464 -307 290 58 -391 -99 577 91 -121 168 54 31 -85 -2 12 412 -58 -39 353 -78 60 -165 -164 328 174 334 -218 -98 61 183 -224 15 280 -201 -266 -111 162 160 -510 -689 -251 -90 138 27 123 -137 -18 -58 -240 -189 139 -523 154 3 -59 -23 202 293 -93 -151 -6 175 4 436 -112 -327 -20 121 139 -240 172 -102 327 -46 427 53 22 263 282 -31 -318 -34 83 185 -82 -76 30 -91 9 -48 326 -459 -131 784 -356 37 162 -49 259 521 -132 64 67 -79 -177 77 60 332 9 275 -144 564 -5 -138 81 154 38 -130 91 -70 -31 41 -135 125 -9 -7 -78 -101 173 291 -134 230 163 -46 342 129 -43 126 -131 -59 162 44 -402 105 194 189 179 -291 57 -97 172 -142 112 -127 -351 500 -333 106 127 389 -34 -185 -95 -223 205 83 -349 -89 -77 17 -81 -272 -290 315 -127 38 59 3 179 490 52 -105 133 -261 166 -66 -182 -166 -31 -481 -37 147 -53 334 -86 -25 -82 233 14 -15 -180 114 -5 -319 -30 -216 263 242 -325 41 111 -325 -103 97 -219 -144 -108 -210 223 209 -24 118 79 -66 124 -58 376 274 -512 -152 325 -94 332 -361 -183 437 -332 283 -298 194 303 140 -11 136 -152 -320 42 341 -167 -505 -381 -128 -457 -56 -436 501 117 62 495 85 27 -186 212 27 -16 6 216 44 -302 -109 -191 -142 193 -277 -110 -160 389 -175 168 -273 -70 -257 124 192 -160 -227 -232 251 -38 -292 -515 101 -340 -26 -97 75 64 429 -279 -184 -60 110 -25 -70 6 -170 207 -225 7 172 289 -268 210 -249 146 -71 35 86 -339 -121 -77 -92 399 13 35 182 -181 -488 -123 264 66 0 -117 -40 75 223 216 298 -131 -109 -64 127 242 327 -30 -29 19 -163 226 372 -200 1 149 112 -274 -247 61 56 -452 -171 -198 -93 -149 -307 144 -363 -33 153 3 -396 -265 -173 -11 131 50 -9 7 -25 -183 -184 162 81 107 99 -163 -128 187 -213 -116 234 -167 -11 8 25 -84 -111 598 -91 -225 -169 -26 -240 461 16 334 -37 218 -52 162 101 -215 25 295 -35 393 -89 -29 290 -470 -242 54 179 29 146 -435 234 222 -172 342 83 -26 -300 3 115 37 -77 151 156 315 -49 508 -56 78 -71 -72 57 -329 5 188 138 371 553 -99 -408 77 -100 103 299 -101 -142 41 346 187 -226 511 -107 -226 128 -9 -213 120 270 292 -287 -66 568 -435 413 -130 154 236 273 -75 95 73 -16 39 -352 -158 412 208 -24 -424 -360 -111 132 113 -267 310 219 107 163 22 249 106 -209 149 -51 -115 -291 66 279 -245 369 -218 313 -413 20 153 237 184 352 -480 -17 -160 -117 234 -6 -115 74 188 305 -60 -188 -158 -131 -66 -396 335 333 382 -211 -126 -89 175 204 -193 182 20 38 14 -74 248 174 395 260 -10 306 571 196 114 89 203 259 -47 -37 -317 -33 382 602 182 220 75 -139 -213 113 190 283 69 85 -261 36 -302 89 297 244 -21 167 140 -284 -30 331 -18 57 274 62 186 61 106 -64 -134 -74 192 -26 -92 -318 -286 147 -176 486 22 -71 -72 427 -133 177 -283 169 271 106 -135 64 -56 328 -94 41 288 -145 -154 -140 386 94 8 -58 88 112 -122 25 157 288 43 -394 -16 85 490 405 139 -84 366 281 219 54 205 -181 358 -27 -93 75 -509 -18 -98 123 -207 -85 -420 474 159 -287 60 103 -283 22 240 -153 -124 -145 107 6 247 -307 -229 40 -181 -57 151 -186 -534 -37 160 118 -530 -172 53 309 -144 -514 123 -223 -6 270 34 -107 -119 -291 23 -100 437 299 62 22 249 -34 135 -119 315 68 -4 -128 62 -21 -33 119 12 45 -546 184 -558 -226 -114 107 -213 -210 -405 62 28 1 -37 -137 302 146 -246 -47 282 84 140 -337 220 375 320 293 339 48 -19 -231 71 70 -304 344 351 71 417 -65 -315 -50 -203 -32 54 149 291 97 136 -39 4 -9 137 373 278 274 24 -47 455 -189 -59 -8 514 519 -316 46 -46 -125 44 -146 -88 -4 74 50 -224 -411 -167 -157 -103 132 -31 238 -100 48 -274 -282 -38 356 50 232 -61 20 -358 191 -11 -243 130 -5 -218 -132 64 -12 -56 -136 -90 82 72 -287 -242 -113 -37 351 171 161 21 -252 35 116 -143 -15 -115 -172 -91 -361 29 49 -163 89 -126 319 11 248 -175 -111 -163 69 222 108 85 25 -17 -47 -299 294 138 -79 107 22 -379 260 -127 348 -334 20 416 44 222 -185 -134 84 -54 92 109 -482 -283 469 -242 188 6 -31 -148 -21 154 -204 -187 267 -114 -169 -1 167 -269 119 139 60 -258 -139 -301 -9 2 3 -9 5 2 -3 7 2 9 7 7 -10 6 1 5 1 -1 7 -7 -9 -10 2 5 -6 5 -7 5 -1 -10 -1 -8 -6 -8 -6 -10 -3 -7 -1 9 -8 -3 6 -7 5 -10 0 -4 -1 -2 -9 -8 -10 -4 7 6 3 2 2 -8 -6 3 -5 -1 6 -9 -9 5 -6 0 4 -3 -1 -7 -8 -6 -7 -6 1 -6 -6 -6 9 -5 0 6 3 -7 -9 -5 -4 -5 9 -7 4 -3 6 5 -8 2 8 -2 9 -3 -7 3 2 -4 8 5 -7 4 9 -8 9 -8 0 -5 -5 1 -8 -7 -1 3 8 5 -10 4 1 4 -3 -9 5 8 -2 8 -6 2 7 4 -3 -10 -2 9 4 -10 -9 -6 -5 -4 -2 -3 -8 -1 -9 -10 -6 3 5 -3 -10 4 -2 5 -6 7 -5 -2 -1 -8 -8 -1 4 -7 -2 -2 -7 -1 -5 -10 -3 -5 -3 -1 4 -10 0 8 -4 7 -4 -4 1 4 3 -3 -7 8 6 -5 -9 0 4 -3 3 -8 6 -2 -7 3 -2 0 8 -2 2 -6 -10 -8 4 -4 9 -10 2 -8 -3 -5 -1 -8 -6 7 -3 7 -10 3 -6 3 -3 2 4 0 -5 4 3 5 -8 -5 1 -7 9 -4 -1 0 -4 4 -6 -5 9 3 -2 5 -7 -3 -6 -7 -9 -1 -2 -2 -9 -8 1 9 -1 6 -4 1 -9 8 -4 2 -6 -2 -8 -8 4 -4 -10 -5 1 -2 -9 4 -3 -5 -1 -2 -4 8 -1 -2 2 2 9 -9 -2 -5 -5 -1 -7 1 -9 9 1 5 -8 -5 3 -8 1 -6 -8 -6 1 -1 -1 -10 0 -2 8 1 -2 1 -7 -3 2 1 -6 7 2 -2 -9 -5 9 -6 -10 -9 0 3 5 3 -1 -1 7 -10 1 8 -9 -9 -4 1 -6 4 4 -3 3 -3 8 8 6 -8 8 -1 -3 7 4 9 1 6 2 -4 -1 3 -2 -4 4 9 -6 -3 -10 -7 8 6 -1 3 -7 -7 2 3 -9 -10 5 1 0 4 -2 6 3 1 2 7 0 -9 0 8 9 -6 7 5 -7 -1 8 4 -5 -10 -3 -2 -7 1 3 6 -7 -10 9 -5 4 -3 -9 -3 1 3 -6 -9 -4 4 9 7 1 -2 3 4 7 -7 -2 -8 -7 -3 -8 8 0 -3 -4 4 -3 -5 9 3 -5 3 -10 6 8 6 7 -5 -8 -2 4 3 -2 -3 -10 -5 1 -10 9 -4 -10 3 -5 -8 -10 1 6 9 -1 -2 2 4 -9 -6 0 9 -10 9 6 4 9 1 -10 -3 0 -10 -6 3 2 -7 -10 -6 6 7 -3 -2 -10 5 -3 -1 -7 9 5 6 -7 -5 -2 5 6 6 -1 -3 9 -1 -4 0 -9 0 -7 -4 3 5 0 -9 -6 -1 -1 -5 -5 6 -4 -2 -3 -8 7 -8 9 -5 7 -2 -9 9 5 -9 -10 -8 -7 4 -6 -4 -10 0 4 -8 1 8 2 3 5 7 -9 -8 -5 -9 -6 4 -7 5 9 3 -7 -9 -6 1 4 -6 -5 7 8 -1 5 0 1 -1 3 5 -10 -5 -2 5 -8 -9 7 9 -8 3 4 -4 -1 -5 1 -6 8 5 -3 2 9 2 -9 0 4 7 -10 -5 8 -5 -10 8 0 -10 4 -6 -8 -7 6 -6 7 -8 -8 8 -3 3 4 -4 -10 -8 0 2 -4 -6 -8 -10 -9 4 8 1 -10 8 0 -8 9 6 9 3 9 5 7 -2 -1 2 8 6 7 -5 4 8 -3 7 0 -5 -9 -6 -4 4 0 -6 -5 -8 4 -3 7 3 -7 6 -4 5 -7 6 5 2 -10 -4 -2 7 1 5 5 0 2 7 5 -5 3 3 9 6 7 -6 8 -6 -6 5 7 9 -7 6 4 -4 -6 -8 8 -6 -10 9 -9 -7 -4 -1 3 8 8 -10 5 -6 4 4 -10 -7 0 8 -3 4 -4 7 4 -1 -5 -10 6 -9 4 4 -5 4 -5 8 7 1 9 -8 -9 0 -7 6 4 -1 0 4 -6 3 2 -6 9 8 -9 -5 -10 8 -4 6 9 2 -8 6 9 -2 -4 -2 9 8 1 -9 -2 -4 7 -8 -3 -10 6 1 3 -10 5 -6 1 -2 0 1 -4 -2 9 7 -10 -9 3 1 -1 2 -10 -1 0 1 -8 8 -1 9 2 6 1 -10 9 6 2 5 -9 -7 5 1 -4 4 1 -5 1 1 -3 7 -7 -2 -9 5 -1 1 -4 1 -9 -3 -7 3 -7 4 3 4 -7 -5 -1 -6 -9 7 -3 9 1 8 -5 4 -9 -6 -7 6 2 -6 1 4 -3 -1 -5 -2 6 -2 -9 1 5 -4 -4 0 -6 -3 -4 -5 6 3 6 -3 -7 -9 4 6 7 7 3 -8 4 6 6 -9 -4 3 0 4 -8 -7 8 -1 -8 6 9 -4 -7 7 -7 2 0 9 9 -5 3 -5 -9 0 5 -4 -6 -1 -7 -10 0 -9 4 2 5 -2 -2 -5 -1 0 -9 -10 6 -5 7 1 -1 9 0 -10 -6 -7 -4 7 -4 -9 -6 0 -8 -3 1 -6 -10 7 7 5 -5 7 -9 -4 -3 -8 -4 -7 9 -7 4 -10 -8 6 -9 8 2 -3 5 8 -10 1 -2 -8 8 1 -4 8 -10 5 -4 -5 2 9 -7 1 3 -1 -4 -5 -6 -10 -5 8 -1 -4 6 -9 -5 -6 1 -5 5 9 -3 -4 -7 -4 6 -7 3 -8 -9 8 3 -6 -1 -3 -4 6 -6 0 -2 -9 -1 7 -2 7 0 3 3 -9 1 -1 3 0 5 -2 6 1 1 -8 -4 -6 -10 1 -9 -9 0 -3 7 4 -1 8 6 0 -3 6 -2 8 -9 -9 1 2 -8 -6 -7 7 2 1 -9 6 -5 9 -10 -5 0 3 9 -9 -10 -2 5 0 -4 -7 2 -4 9 -10 -6 -9 4 5 -5 -2 2 -2 8 -6 2 9 2 7 8 -5 5 -10 8 4 -9 9 -8 -1 -9 -9 2 3 -3 -6 -4 -7 7 2 0 -8 -10 4 1 8 1 5 -1 -7 2 9 -2 -3 -10 -3 -9 3 8 6 -8 9 -1 -3 -6 6 -7 -8 1 -10 4 3 -8 -3 -2 -5 7 9 -10 -3 -8 -5 -4 1 2 8 0 4 2 -2 -8 -4 -3 1 3 -7 9 6 -4 0 -2 2 -7 -7 9 1 -10 7 -8 3 6 -5 8 -8 -2 0 3 8 6 -5 -4 8 1 -5 -9 7 -10 -10 -5 -4 -8 4 9 8 -1 0 -9 -1 9 -6 -8 5 -9 2 0 -1 -7 -7 9 1 -10 7 -8 -7 4 -7 -10 4 6 8 3 8 2 -6 6 3 4 0 -8 -4 4 7 -9 5 -1 -7 6 -6 8 5 6 8 -6 0 -8 8 3 4 2 -9 2 -5 -10 6 -1 -2 -1 6 8 -6 -8 -6 -9 5 9 -8 9 -3 9 7 -8 -3 -2 -4 7 -8 6 -8 -2 -1 -6 -9 -4 -6 -1 -2 -6 1 -6 5 5 -4 9 -2 3 1 -8 2 8 -9 -8 3 -2 0 9 -5 -6 -2 -2 2 7 2 -5 5 -2 -3 -7 -6 8 -3 9 -5 -5 9 -5 1 0 -3 -7 -10 -1 7 3 -1 9 3 5 -7 -9 5 -2 0 9 3 -5 9 -10 -9 -7 0 -10 -7 5 -4 4 -10 -1 6 -10 2 6 -9 0 0 0 -9 5 7 -5 -2 2 3 8 -7 8 5 -8 9 6 -4 -9 -1 -9 7 -3 5 -1 6 1 -9 -2 9 -8 0 -1 3 2 -6 0 -1 2 5 4 -8 8 2 0 -9 -7 8 9 -5 -3 -10 4 4 5 5 0 8 7 9 7 9 -9 -3 -6 -5 -7 -3 -4 6 -8 -10 0 2 3 -10 -5 6 9 -6 3 -4 -6 -3 -9 9 -7 1 -1 -10 -8 -3 1 6 4 6 3 7 -7 -10 -5 7 2 6 -9 -5 -2 -3 4 -3 1 -3 -4 -2 5 9 9 8 0 -1 0 -5 6 -9 3 -8 7 -4 1 2 8 -1 -9 1 7 -7 -2 -5 0 -8 -5 3 0 1 -9 7 0 3 -3 2 -8 -1 -1 8 0 -8 2 -10 ================================================ FILE: programming_assignments/beale_ciphers/testcase/small/test14.out ================================================ 0 ================================================ FILE: programming_assignments/beale_ciphers/testcase/small/test2.in ================================================ 1 60 60 40 1 0 0 0 0 0 0 0 0 0 0 0 0 0 0 0 0 0 0 0 0 0 0 0 0 0 0 0 0 0 0 0 0 0 0 0 0 0 0 0 0 1 0 0 0 0 0 0 0 0 0 0 0 0 0 0 0 0 0 0 0 0 0 0 0 0 0 0 0 0 0 0 0 0 0 0 0 0 0 0 0 0 1 0 0 0 0 0 0 0 0 0 0 0 0 0 0 0 0 0 0 0 0 0 0 0 0 0 0 0 0 0 0 0 0 0 0 0 0 0 0 0 0 1 0 0 0 0 0 0 0 0 0 0 0 0 0 0 0 0 0 0 0 0 0 0 0 0 0 0 0 0 0 0 0 0 0 0 0 0 0 0 0 0 1 0 0 0 0 0 0 0 0 0 0 0 0 0 0 0 0 0 0 0 0 0 0 0 0 0 0 0 0 0 0 0 0 0 0 0 0 0 0 0 0 1 0 0 0 0 0 0 0 0 0 0 0 0 0 0 0 0 0 0 0 0 0 0 0 0 0 0 0 0 0 0 0 0 0 0 0 0 0 0 0 0 1 0 0 0 0 0 0 0 0 0 0 0 0 0 0 0 0 0 0 0 0 0 0 0 0 0 0 0 0 0 0 0 0 0 0 0 0 0 0 0 0 1 0 0 0 0 0 0 0 0 0 0 0 0 0 0 0 0 0 0 0 0 0 0 0 0 0 0 0 0 0 0 0 0 0 0 0 0 0 0 0 0 1 0 0 0 0 0 0 0 0 0 0 0 0 0 0 0 0 0 0 0 0 0 0 0 0 0 0 0 0 0 0 0 0 0 0 0 0 0 0 0 0 1 0 0 0 0 0 0 0 0 0 0 0 0 0 0 0 0 0 0 0 0 0 0 0 0 0 0 0 0 0 0 0 0 0 0 0 0 0 0 0 0 1 0 0 0 0 0 0 0 0 0 0 0 0 0 0 0 0 0 0 0 0 0 0 0 0 0 0 0 0 0 0 0 0 0 0 0 0 0 0 0 0 1 0 0 0 0 0 0 0 0 0 0 0 0 0 0 0 0 0 0 0 0 0 0 0 0 0 0 0 0 0 0 0 0 0 0 0 0 0 0 0 0 1 0 0 0 0 0 0 0 0 0 0 0 0 0 0 0 0 0 0 0 0 0 0 0 0 0 0 0 0 0 0 0 0 0 0 0 0 0 0 0 0 1 0 0 0 0 0 0 0 0 0 0 0 0 0 0 0 0 0 0 0 0 0 0 0 0 0 0 0 0 0 0 0 0 0 0 0 0 0 0 0 0 1 0 0 0 0 0 0 0 0 0 0 0 0 0 0 0 0 0 0 0 0 0 0 0 0 0 0 0 0 0 0 0 0 0 0 0 0 0 0 0 0 1 0 0 0 0 0 0 0 0 0 0 0 0 0 0 0 0 0 0 0 0 0 0 0 0 0 0 0 0 0 0 0 0 0 0 0 0 0 0 0 0 1 0 0 0 0 0 0 0 0 0 0 0 0 0 0 0 0 0 0 0 0 0 0 0 0 0 0 0 0 0 0 0 0 0 0 0 0 0 0 0 0 1 0 0 0 0 0 0 0 0 0 0 0 0 0 0 0 0 0 0 0 0 0 0 0 0 0 0 0 0 0 0 0 0 0 0 0 0 0 0 0 0 1 0 0 0 0 0 0 0 0 0 0 0 0 0 0 0 0 0 0 0 0 0 0 0 0 0 0 0 0 0 0 0 0 0 0 0 0 0 0 0 0 1 0 0 0 0 0 0 0 0 0 0 0 0 0 0 0 0 0 0 0 0 0 0 0 0 0 0 0 0 0 0 0 0 0 0 0 0 0 0 0 0 1 0 0 0 0 0 0 0 0 0 0 0 0 0 0 0 0 0 0 0 0 0 0 0 0 0 0 0 0 0 0 0 0 0 0 0 0 0 0 0 0 1 0 0 0 0 0 0 0 0 0 0 0 0 0 0 0 0 0 0 0 0 0 0 0 0 0 0 0 0 0 0 0 0 0 0 0 0 0 0 0 0 1 0 0 0 0 0 0 0 0 0 0 0 0 0 0 0 0 0 0 0 0 0 0 0 0 0 0 0 0 0 0 0 0 0 0 0 0 0 0 0 0 1 0 0 0 0 0 0 0 0 0 0 0 0 0 0 0 0 0 0 0 0 0 0 0 0 0 0 0 0 0 0 0 0 0 0 0 0 0 0 0 0 1 0 0 0 0 0 0 0 0 0 0 0 0 0 0 0 0 0 0 0 0 0 0 0 0 0 0 0 0 0 0 0 0 0 0 0 0 0 0 0 0 1 0 0 0 0 0 0 0 0 0 0 0 0 0 0 0 0 0 0 0 0 0 0 0 0 0 0 0 0 0 0 0 0 0 0 0 0 0 0 0 0 1 0 0 0 0 0 0 0 0 0 0 0 0 0 0 0 0 0 0 0 0 0 0 0 0 0 0 0 0 0 0 0 0 0 0 0 0 0 0 0 0 1 0 0 0 0 0 0 0 0 0 0 0 0 0 0 0 0 0 0 0 0 0 0 0 0 0 0 0 0 0 0 0 0 0 0 0 0 0 0 0 0 1 0 0 0 0 0 0 0 0 0 0 0 0 0 0 0 0 0 0 0 0 0 0 0 0 0 0 0 0 0 0 0 0 0 0 0 0 0 0 0 0 1 0 0 0 0 0 0 0 0 0 0 0 0 0 0 0 0 0 0 0 0 0 0 0 0 0 0 0 0 0 0 0 0 0 0 0 0 0 0 0 0 1 0 0 0 0 0 0 0 0 0 0 0 0 0 0 0 0 0 0 0 0 0 0 0 0 0 0 0 0 0 0 0 0 0 0 0 0 0 0 0 0 1 0 0 0 0 0 0 0 0 0 0 0 0 0 0 0 0 0 0 0 0 0 0 0 0 0 0 0 0 0 0 0 0 0 0 0 0 0 0 0 0 1 0 0 0 0 0 0 0 0 0 0 0 0 0 0 0 0 0 0 0 0 0 0 0 0 0 0 0 0 0 0 0 0 0 0 0 0 0 0 0 0 1 0 0 0 0 0 0 0 0 0 0 0 0 0 0 0 0 0 0 0 0 0 0 0 0 0 0 0 0 0 0 0 0 0 0 0 0 0 0 0 0 1 0 0 0 0 0 0 0 0 0 0 0 0 0 0 0 0 0 0 0 0 0 0 0 0 0 0 0 0 0 0 0 0 0 0 0 0 0 0 0 0 1 0 0 0 0 0 0 0 0 0 0 0 0 0 0 0 0 0 0 0 0 0 0 0 0 0 0 0 0 0 0 0 0 0 0 0 0 0 0 0 0 1 0 0 0 0 0 0 0 0 0 0 0 0 0 0 0 0 0 0 0 0 0 0 0 0 0 0 0 0 0 0 0 0 0 0 0 0 0 0 0 0 1 0 0 0 0 0 0 0 0 0 0 0 0 0 0 0 0 0 0 0 0 0 0 0 0 0 0 0 0 0 0 0 0 0 0 0 0 0 0 0 0 1 0 0 0 0 0 0 0 0 0 0 0 0 0 0 0 0 0 0 0 0 0 0 0 0 0 0 0 0 0 0 0 0 0 0 0 0 0 0 0 0 1 1 1 1 1 1 1 1 1 1 1 1 1 1 1 1 1 1 1 1 1 1 1 1 1 1 1 1 1 1 1 1 1 1 1 1 1 1 1 1 1 1 1 1 1 1 1 1 1 1 1 1 1 1 1 1 1 1 1 1 1 1 1 1 1 1 1 1 1 1 1 1 1 1 1 1 1 1 1 1 1 1 1 1 1 1 1 1 1 1 1 1 1 1 1 1 1 1 1 1 1 1 1 1 1 1 1 1 1 1 1 1 1 1 1 1 1 1 1 1 1 1 1 1 1 1 1 1 1 1 1 1 1 1 1 1 1 1 1 1 1 1 1 1 1 1 1 1 1 1 1 1 1 1 1 1 1 1 1 1 1 1 1 1 1 1 1 1 1 1 1 1 1 1 1 1 1 1 1 1 1 1 1 1 1 1 1 1 1 1 1 1 1 1 1 1 1 1 1 1 1 1 1 1 1 1 1 1 1 1 1 1 1 1 1 1 1 1 1 1 1 1 1 1 1 1 1 1 1 1 1 1 1 1 1 1 1 1 1 1 1 1 1 1 1 1 1 1 1 1 1 1 1 1 1 1 1 1 1 1 1 1 1 1 1 1 1 1 1 1 1 1 1 1 1 1 1 1 1 1 1 1 1 1 1 1 1 1 1 1 1 1 1 1 1 1 1 1 1 1 1 1 1 1 1 1 1 1 1 1 1 1 1 1 1 1 1 1 1 1 1 1 1 1 1 1 1 1 1 1 1 1 1 1 1 1 1 1 1 1 1 1 1 1 1 1 1 1 1 1 1 1 1 1 1 1 1 1 1 1 1 1 1 1 1 1 1 1 1 1 1 1 1 1 1 1 1 1 1 1 1 1 1 1 1 1 1 1 1 1 1 1 1 1 1 1 1 1 1 1 1 1 1 1 1 1 1 1 1 1 1 1 1 1 1 1 1 1 1 1 1 1 1 1 1 1 1 1 1 1 1 1 1 1 1 1 1 1 1 1 1 1 1 1 1 1 1 1 1 1 1 1 1 1 1 1 1 1 1 1 1 1 1 1 1 1 1 1 1 1 1 1 1 1 1 1 1 1 1 1 1 1 1 1 1 1 1 1 1 1 1 1 1 1 1 1 1 1 1 1 1 1 1 1 1 1 1 1 1 1 1 1 1 1 1 1 1 1 1 1 1 1 1 1 1 1 1 1 1 1 1 1 1 1 1 1 1 1 1 1 1 1 1 1 1 1 1 1 1 1 1 1 1 1 1 1 1 1 1 1 1 1 1 1 1 1 1 1 1 1 1 1 1 1 1 1 1 1 1 1 1 1 1 1 1 1 1 1 1 1 1 1 1 1 1 1 1 1 1 1 1 1 1 1 1 1 1 1 1 1 1 1 1 1 1 1 1 1 1 1 1 1 1 1 1 1 1 1 1 1 1 1 1 1 1 1 1 1 1 1 1 1 1 1 1 1 1 1 1 1 1 1 1 1 1 1 1 1 1 1 1 1 1 1 1 1 1 1 1 1 1 1 1 1 1 1 1 1 1 1 1 1 1 1 1 1 1 1 1 1 1 1 1 1 1 1 1 1 1 1 1 1 1 1 1 1 1 1 1 1 1 1 1 1 1 1 1 1 1 1 1 1 1 1 1 1 1 1 1 1 1 1 1 1 1 1 1 1 1 1 1 1 1 1 1 1 1 1 1 1 1 1 1 1 1 1 1 1 1 1 1 1 1 1 1 1 1 1 1 1 1 1 1 1 1 1 1 1 1 1 1 1 1 1 1 1 1 1 1 1 1 1 1 1 1 1 1 1 1 1 1 1 1 1 1 1 1 1 1 1 1 1 1 1 1 1 1 1 1 1 1 1 1 1 1 1 1 1 1 1 1 1 1 1 1 1 1 1 1 1 1 1 1 1 1 1 1 1 1 1 1 1 1 1 1 1 1 1 1 1 1 1 1 1 1 1 1 1 1 1 1 1 1 1 1 1 1 1 1 1 1 1 1 1 1 1 1 1 1 1 1 1 1 1 1 1 1 1 1 1 1 1 1 1 1 1 1 1 1 1 1 1 1 1 1 1 1 1 1 1 1 1 1 1 1 1 1 1 1 1 1 1 1 1 1 1 1 1 1 1 1 1 1 1 1 1 1 1 1 1 1 1 1 1 1 1 1 1 1 1 1 1 1 1 1 1 1 1 1 1 1 1 1 1 1 1 1 1 1 1 1 1 1 1 1 1 1 1 1 1 1 1 1 1 1 1 1 1 1 1 1 1 1 1 1 1 1 1 1 1 1 1 1 1 1 1 1 1 1 1 1 1 1 1 1 1 1 1 1 1 1 1 1 1 1 1 1 1 1 1 1 1 1 1 1 1 1 1 1 1 1 1 1 1 1 1 1 1 1 1 1 1 1 1 1 1 1 1 1 1 1 1 1 1 1 1 1 1 1 1 1 1 1 1 1 1 1 1 1 1 1 1 1 1 1 1 1 1 1 1 1 1 1 1 1 1 1 1 1 1 1 1 1 1 1 1 1 1 1 1 1 1 1 1 1 1 1 1 1 1 1 1 1 1 1 1 1 1 1 1 1 1 1 1 1 1 1 1 1 1 1 1 1 1 1 1 1 1 1 1 1 1 1 1 1 1 1 1 1 1 1 1 1 1 1 1 1 1 1 1 1 1 1 1 1 1 1 1 1 1 1 1 1 1 1 1 1 1 1 1 1 1 1 1 1 1 1 1 1 1 1 1 1 1 1 1 1 1 1 1 1 1 1 1 1 1 1 1 1 1 1 1 1 1 1 1 1 1 1 1 1 1 1 1 1 1 1 1 1 1 1 1 1 1 1 1 1 1 1 1 1 1 1 1 1 1 1 1 1 1 1 1 1 1 1 1 1 1 1 1 1 1 1 1 1 1 1 1 1 1 1 1 1 1 1 1 1 1 1 1 1 1 1 1 1 1 1 1 1 1 1 1 1 1 1 1 1 1 1 1 1 1 1 1 1 1 1 1 1 1 1 1 1 1 1 1 1 1 1 1 1 1 1 1 1 1 1 1 1 1 1 1 1 1 1 1 1 1 1 1 1 1 1 1 1 1 1 1 1 1 1 1 1 1 1 1 1 1 1 1 1 1 1 1 1 1 1 1 1 1 1 1 1 1 1 1 1 1 1 1 1 1 1 1 1 1 1 1 1 1 1 1 1 1 1 1 1 1 1 1 1 1 1 1 1 1 1 1 1 1 1 1 1 1 1 1 1 1 1 1 1 1 1 1 1 1 1 1 1 1 1 1 1 1 1 1 1 1 1 1 1 1 1 1 1 1 1 1 1 1 1 1 1 1 1 1 1 1 1 1 1 1 1 1 1 1 1 1 1 1 1 1 1 1 1 1 1 1 1 1 1 1 1 1 1 1 1 1 1 1 1 1 1 1 1 1 1 1 1 1 1 1 1 1 1 1 1 1 1 1 1 1 1 1 1 1 1 1 1 1 1 1 1 1 1 1 1 1 1 1 1 1 1 1 1 1 1 1 1 1 1 1 1 1 1 1 1 1 1 1 1 1 1 1 1 1 1 1 1 1 1 1 1 1 1 1 1 1 1 1 1 1 1 1 1 1 1 1 1 1 1 1 1 1 1 1 1 1 1 1 1 1 1 1 1 1 1 1 1 1 1 1 1 1 1 1 1 1 1 1 1 1 1 1 1 1 1 1 1 1 1 1 1 1 1 1 1 1 1 1 1 1 1 1 1 1 1 1 1 1 1 1 1 1 1 1 1 1 1 1 1 1 1 1 1 1 1 1 1 1 1 1 1 1 1 1 1 1 1 1 1 1 1 1 1 1 1 1 1 1 1 1 1 1 1 1 1 1 1 1 1 1 1 1 1 1 1 1 1 1 1 1 1 1 1 1 1 1 1 1 1 1 1 1 1 1 1 1 1 1 1 1 1 1 1 1 1 1 1 1 1 1 1 1 1 1 1 1 1 1 1 1 1 1 1 1 1 1 1 1 1 1 1 1 1 1 1 1 1 1 1 1 1 1 1 1 1 1 1 1 1 1 1 1 1 1 1 1 1 1 1 1 1 1 1 1 1 1 1 1 1 1 1 1 1 1 1 1 1 1 1 1 1 1 1 1 1 1 1 1 1 1 1 1 1 1 1 1 1 1 1 1 1 1 1 1 1 1 1 1 1 1 1 1 1 1 1 1 1 1 1 1 1 1 1 1 1 1 1 1 1 1 1 1 1 1 1 1 1 1 1 1 1 1 1 1 1 1 1 1 1 1 1 1 1 1 1 1 1 1 1 1 1 1 1 1 1 1 1 1 1 1 1 1 1 1 1 1 1 1 1 1 1 1 1 1 1 1 1 1 1 1 1 1 1 1 1 1 1 1 1 1 1 1 1 1 1 1 1 1 1 1 1 1 1 1 1 1 1 1 1 1 1 1 1 1 1 1 1 1 1 1 1 1 1 1 1 1 1 1 1 1 1 1 1 1 1 1 1 1 1 1 1 1 1 1 1 1 1 1 1 1 1 1 1 1 1 1 1 1 1 1 1 1 1 1 1 1 1 1 1 1 1 1 1 1 1 1 1 1 1 1 1 1 1 1 1 1 1 1 1 1 1 1 1 1 1 1 1 1 1 1 1 1 1 1 1 1 1 1 1 1 1 1 1 1 1 1 1 1 1 1 1 1 1 1 1 1 1 1 1 1 1 1 1 1 1 1 1 1 1 1 1 1 1 1 1 1 1 1 1 1 1 1 1 1 1 1 1 1 1 1 1 1 1 1 1 1 1 1 1 1 1 1 1 1 1 1 1 1 1 1 1 1 1 1 1 1 1 1 1 1 1 1 1 1 1 1 1 1 1 1 1 1 1 1 1 1 1 1 1 1 1 1 1 1 1 1 1 1 1 1 1 1 1 1 1 1 1 1 1 1 1 1 1 1 1 1 1 1 1 1 1 1 1 1 1 1 1 1 1 1 1 1 1 1 1 1 1 1 1 1 1 1 1 1 1 1 1 1 1 1 1 1 1 1 1 1 1 1 1 1 1 1 1 1 1 1 1 1 1 1 1 1 1 1 1 1 1 1 1 1 1 1 1 1 1 1 1 1 1 1 1 1 1 1 1 1 1 1 1 1 1 1 1 1 1 1 1 1 1 1 1 1 1 1 1 1 1 1 1 1 1 1 1 1 1 1 1 1 1 1 1 1 1 1 1 1 1 1 1 1 1 1 1 1 1 1 1 1 1 1 1 1 1 1 1 1 1 1 1 1 1 1 1 1 1 1 1 1 1 1 1 1 1 1 1 1 1 1 1 1 1 1 1 1 1 1 1 1 1 1 1 1 1 1 1 1 1 1 1 1 1 1 1 1 1 1 1 1 1 1 1 1 1 1 1 1 1 1 1 1 1 1 1 1 1 1 1 1 1 1 1 1 1 1 1 1 1 1 1 1 1 1 1 1 1 1 1 1 1 1 1 1 1 1 1 1 1 1 1 1 1 1 1 1 1 1 1 1 1 1 1 1 1 1 1 1 1 1 1 1 1 1 1 1 1 1 1 1 1 1 1 1 1 1 1 1 1 1 1 1 1 1 1 1 1 1 1 1 1 1 1 1 1 1 1 1 1 1 1 1 1 1 1 1 1 1 1 1 1 1 1 1 1 1 1 1 1 1 1 1 1 1 1 1 1 1 1 1 1 1 1 1 1 1 1 1 1 1 1 1 1 1 1 1 1 1 1 1 1 1 1 1 1 1 1 1 1 1 1 1 1 1 1 1 1 1 1 1 1 1 1 1 1 1 1 1 1 1 1 1 1 1 1 1 1 1 1 1 1 1 1 1 1 1 1 1 1 1 1 1 1 1 1 1 1 1 1 1 1 1 1 1 1 1 1 1 1 1 1 1 1 1 1 1 1 1 1 1 1 1 1 1 1 1 1 1 1 1 1 1 1 1 1 1 1 1 1 1 1 1 1 1 1 1 1 1 1 1 1 1 1 1 1 1 1 1 1 1 1 1 1 1 1 1 1 1 1 1 1 1 1 1 1 1 1 1 1 1 1 1 1 1 1 1 1 1 1 1 1 1 1 1 1 1 1 1 1 1 1 1 1 1 1 1 1 1 1 1 1 1 1 1 1 1 1 1 1 1 1 1 1 1 1 1 1 1 1 1 1 1 1 1 1 1 1 1 1 1 1 1 1 1 1 1 1 1 1 1 1 1 1 1 1 1 1 1 1 1 1 1 1 1 1 1 1 1 1 1 1 1 1 1 1 1 1 1 1 1 1 1 1 1 1 1 1 1 1 1 1 1 1 1 1 1 1 1 1 1 1 1 1 1 1 1 1 1 1 1 1 1 1 1 1 1 1 1 1 1 1 1 1 1 1 1 1 1 1 1 1 1 1 1 1 1 1 1 1 1 1 1 1 1 1 1 1 1 1 1 1 1 1 1 1 1 1 1 1 1 1 1 1 1 1 1 1 1 1 1 1 1 1 1 1 1 1 1 1 1 1 1 1 1 1 1 1 1 1 1 1 1 1 1 1 1 1 1 1 1 1 1 1 1 1 1 1 1 1 1 1 1 1 1 1 1 1 1 1 1 1 1 1 1 1 1 1 1 1 1 1 1 1 1 1 1 1 1 1 1 1 1 1 1 1 1 1 1 1 1 1 1 1 1 1 1 1 1 1 1 1 1 1 1 1 1 1 1 1 1 1 1 1 1 1 1 1 1 1 1 1 1 1 1 1 1 1 1 1 1 1 1 1 1 1 1 1 1 1 1 1 1 1 1 1 1 1 1 1 1 1 1 1 1 1 1 1 1 1 1 1 1 1 1 1 1 1 1 1 1 1 1 1 1 1 1 1 1 1 1 1 1 1 1 1 1 1 1 1 1 1 1 1 1 1 1 1 1 1 1 1 1 1 1 1 1 1 1 1 1 1 1 1 1 1 1 1 1 1 1 1 1 1 1 1 1 1 1 1 1 1 1 1 1 1 1 1 1 1 1 1 1 1 1 1 1 1 1 1 1 1 1 1 1 1 1 1 1 1 1 1 1 1 1 1 1 1 1 1 1 1 1 1 1 1 1 1 1 1 1 1 1 1 1 1 1 1 1 1 1 1 1 1 1 1 1 1 1 1 1 1 1 1 1 1 1 1 1 1 1 1 1 1 1 1 1 1 1 1 1 1 1 1 1 1 1 1 1 1 1 1 1 1 1 1 1 1 1 1 1 1 1 1 1 1 1 1 1 1 1 1 1 1 1 1 1 1 1 1 1 1 1 1 1 1 1 1 1 1 1 1 1 1 1 1 1 1 1 1 1 1 1 1 1 1 1 1 1 1 1 1 1 1 1 1 1 1 1 1 1 1 1 1 1 1 1 1 1 1 1 1 1 1 1 1 1 1 1 1 1 1 1 1 1 1 1 1 1 1 1 1 1 1 1 1 1 1 1 1 1 1 1 1 1 1 1 1 1 1 1 1 1 1 1 1 1 1 1 1 1 1 1 1 1 1 1 1 1 1 1 1 1 1 1 1 1 1 1 1 1 1 1 1 1 1 1 1 1 1 1 1 1 1 1 1 1 1 1 1 1 1 1 1 1 1 1 1 1 1 1 1 1 1 1 1 1 1 1 1 1 1 1 1 1 1 1 1 1 1 1 1 1 1 1 1 1 1 1 1 1 1 1 1 1 1 1 1 1 1 1 1 1 1 1 1 1 1 1 1 1 1 1 1 1 1 1 1 1 1 1 1 1 1 1 1 1 1 1 1 1 1 1 1 1 1 1 1 1 1 1 1 1 1 1 1 1 1 1 1 1 1 1 1 1 1 1 1 1 1 1 1 1 1 1 1 1 1 1 1 1 1 1 1 1 1 1 1 1 1 1 1 1 1 1 1 1 1 1 1 1 1 1 1 1 1 1 1 1 1 1 1 1 1 1 1 1 1 1 1 1 1 1 1 1 1 1 1 1 1 1 1 1 1 1 1 1 1 1 1 1 1 1 1 1 1 1 1 1 1 1 1 1 1 1 1 1 1 1 1 1 1 1 1 1 1 1 1 1 1 1 1 1 1 1 1 1 1 1 1 1 1 1 1 1 1 1 1 1 1 1 1 1 1 1 1 1 1 1 1 1 1 1 1 1 1 1 1 1 1 1 1 1 1 1 1 1 1 1 1 1 1 1 1 1 1 1 1 1 1 1 1 1 1 1 1 1 1 1 1 1 1 1 1 1 1 1 1 1 1 1 1 1 1 1 1 1 1 1 1 1 1 1 1 1 1 1 1 1 1 1 1 1 1 1 1 1 1 1 1 1 1 1 1 1 1 1 1 1 1 1 1 1 1 1 1 1 1 1 1 1 1 1 1 1 1 1 1 1 1 1 1 1 1 1 1 1 1 1 1 1 1 1 1 1 1 1 1 1 1 1 1 1 1 1 1 1 1 1 1 1 1 1 1 1 1 1 1 1 1 1 1 1 1 1 1 1 1 1 1 1 1 1 1 1 1 1 1 1 1 1 1 1 1 1 1 1 1 1 1 1 1 1 1 1 1 1 1 1 1 1 1 1 1 1 1 1 1 1 1 1 1 1 1 1 1 1 1 1 1 1 1 1 1 1 1 1 1 1 1 1 1 1 1 1 1 1 1 1 1 1 1 1 1 1 1 1 1 1 1 1 1 1 1 1 1 1 1 1 1 1 1 1 1 1 1 1 1 1 1 1 1 1 1 1 1 1 1 1 1 1 1 1 1 1 1 1 1 1 1 1 1 1 1 1 1 1 1 1 1 1 1 1 1 1 1 1 1 1 1 1 1 1 1 1 1 1 1 1 1 1 1 1 1 1 1 1 1 1 1 1 1 1 1 1 1 1 1 1 1 1 1 1 1 1 1 1 1 1 1 1 1 1 1 1 1 1 1 1 1 1 1 1 1 1 1 1 1 1 1 1 1 1 1 1 1 1 1 1 1 1 1 1 1 1 1 1 1 1 1 1 1 1 1 1 1 1 1 1 1 1 1 1 1 1 1 1 1 1 1 1 1 1 1 1 1 1 1 1 1 1 1 1 1 1 1 1 1 1 1 1 1 1 1 1 1 1 1 1 1 1 1 1 1 1 1 1 1 1 1 1 1 1 1 1 1 1 1 1 1 1 1 1 1 1 1 1 1 1 1 1 1 1 1 1 1 1 1 1 1 1 1 1 1 1 1 1 1 1 1 1 1 1 1 1 1 1 1 1 1 1 1 1 1 1 1 1 1 1 1 1 1 1 1 1 1 1 1 1 1 1 1 1 1 1 1 1 1 1 1 1 1 1 1 1 1 1 1 1 1 1 1 1 1 1 1 1 1 1 1 1 1 1 1 1 1 1 1 1 1 1 1 1 1 1 1 1 1 1 1 1 1 1 1 1 1 1 1 1 1 1 1 1 1 1 1 1 1 1 1 1 1 1 1 1 1 1 1 1 1 1 1 1 1 1 1 1 1 1 1 1 1 1 1 1 1 1 1 1 1 1 1 1 1 1 1 1 1 1 1 1 1 1 1 1 1 1 1 1 1 1 1 1 1 1 1 1 1 1 1 1 1 1 1 1 1 1 1 1 1 1 1 1 1 1 1 1 1 1 1 1 1 1 1 1 1 1 1 1 1 1 1 1 1 1 1 1 1 1 1 1 1 1 1 1 1 1 1 1 1 1 1 1 1 1 1 1 1 1 1 1 1 1 1 1 1 1 1 1 1 1 1 1 1 1 1 1 1 1 1 1 1 1 1 1 1 1 1 1 1 1 1 1 1 1 1 1 1 1 1 1 1 1 1 1 1 1 1 1 1 1 1 1 1 1 1 1 1 1 1 1 1 1 1 1 1 1 1 1 1 1 1 1 1 1 1 1 1 1 1 1 1 1 1 1 1 1 1 1 1 1 1 1 1 1 1 1 1 1 1 1 1 1 1 1 1 1 1 1 1 1 1 1 1 1 1 1 1 1 1 1 1 1 1 1 1 1 1 1 1 1 1 1 1 1 1 1 1 1 1 1 1 1 1 1 1 1 1 1 1 1 1 1 1 1 1 1 1 1 1 1 1 1 1 1 1 1 1 1 1 1 1 1 1 1 1 1 1 1 1 1 1 1 1 1 1 1 1 1 1 1 1 1 1 1 1 1 1 1 1 1 1 1 1 1 1 1 1 1 1 1 1 1 1 1 1 1 1 1 1 1 1 1 1 1 1 1 1 1 1 1 1 1 1 1 1 1 1 1 1 1 1 1 1 1 1 1 1 1 1 1 1 1 1 1 1 1 1 1 1 1 1 1 1 1 1 1 1 1 1 1 1 1 1 1 1 1 1 1 1 1 1 1 1 1 1 1 1 1 1 1 1 1 1 1 1 1 1 1 1 1 1 1 1 1 1 1 1 1 1 1 1 1 1 1 1 1 1 1 1 1 1 1 1 1 1 1 1 1 1 1 1 1 1 1 1 1 1 1 1 1 1 1 1 1 1 1 1 1 1 1 1 1 1 1 1 1 1 1 1 1 1 1 1 1 1 1 1 1 1 1 1 1 1 1 1 1 1 1 1 1 1 1 1 1 1 1 1 1 1 1 1 1 1 1 1 1 1 1 1 1 1 1 1 1 1 1 1 1 1 1 1 1 1 1 1 1 1 1 1 1 1 1 1 1 1 1 1 1 1 1 1 1 1 1 1 1 1 1 1 1 1 1 1 1 1 1 1 1 1 1 1 1 1 1 1 1 1 1 1 1 1 1 1 1 1 1 1 1 1 1 1 1 1 1 1 1 1 1 1 1 1 1 1 1 1 1 1 1 1 1 1 1 1 1 1 1 1 1 1 1 1 1 1 1 1 1 1 1 1 1 1 1 1 1 1 1 1 1 1 1 1 1 1 1 1 1 1 1 1 1 1 1 1 1 1 1 1 1 1 1 1 1 1 1 1 1 1 1 1 1 1 1 1 1 1 1 1 1 1 1 1 1 1 1 1 1 1 1 1 1 1 1 1 1 1 1 1 1 1 1 1 1 1 1 1 1 1 1 1 1 1 1 1 1 1 1 1 1 1 1 1 1 1 1 1 1 1 1 1 1 1 1 1 1 1 1 1 1 1 1 1 1 1 1 1 1 1 1 1 1 1 1 1 1 1 1 1 1 1 1 1 1 1 1 1 1 1 1 1 1 1 1 1 1 1 1 1 1 1 1 1 1 1 1 1 1 1 1 1 1 1 1 1 1 1 1 1 1 1 1 1 1 1 1 1 1 1 1 1 1 1 1 1 1 1 1 1 1 1 1 1 1 1 1 1 1 1 1 1 1 1 1 1 1 1 1 1 1 1 1 1 1 1 1 1 1 1 1 1 1 1 1 1 1 1 1 1 1 1 1 1 1 1 1 1 1 1 1 1 1 1 1 1 1 1 1 1 1 1 1 1 1 1 1 1 1 1 1 1 1 1 1 1 1 1 1 1 1 1 1 1 1 1 1 1 1 1 1 1 1 1 1 1 1 1 1 1 1 1 1 1 1 1 1 1 1 1 1 1 1 1 1 1 1 1 1 1 1 1 1 1 1 1 1 1 1 1 1 1 1 1 1 1 1 1 1 1 1 1 1 1 1 1 1 1 1 1 1 1 1 1 1 1 1 1 1 1 1 1 1 1 1 1 1 1 1 1 1 1 1 1 1 1 1 1 1 1 1 1 1 1 1 1 1 1 1 1 1 1 1 1 1 1 1 1 1 1 1 1 1 1 ================================================ FILE: programming_assignments/beale_ciphers/testcase/small/test2.out ================================================ 441 ================================================ FILE: programming_assignments/beale_ciphers/testcase/small/test4.in ================================================ 1 60 60 40 1 0 0 0 0 0 0 0 0 0 0 0 0 0 0 0 0 0 0 0 0 0 0 0 0 0 0 0 0 0 0 0 0 0 0 0 0 0 0 0 0 1 0 0 0 0 0 0 0 0 0 0 0 0 0 0 0 0 0 0 0 0 0 0 0 0 0 0 0 0 0 0 0 0 0 0 0 0 0 0 0 0 1 0 0 0 0 0 0 0 0 0 0 0 0 0 0 0 0 0 0 0 0 0 0 0 0 0 0 0 0 0 0 0 0 0 0 0 0 0 0 0 0 1 0 0 0 0 0 0 0 0 0 0 0 0 0 0 0 0 0 0 0 0 0 0 0 0 0 0 0 0 0 0 0 0 0 0 0 0 0 0 0 0 1 0 0 0 0 0 0 0 0 0 0 0 0 0 0 0 0 0 0 0 0 0 0 0 0 0 0 0 0 0 0 0 0 0 0 0 0 0 0 0 0 1 0 0 0 0 0 0 0 0 0 0 0 0 0 0 0 0 0 0 0 0 0 0 0 0 0 0 0 0 0 0 0 0 0 0 0 0 0 0 0 0 1 0 0 0 0 0 0 0 0 0 0 0 0 0 0 0 0 0 0 0 0 0 0 0 0 0 0 0 0 0 0 0 0 0 0 0 0 0 0 0 0 1 0 0 0 0 0 0 0 0 0 0 0 0 0 0 0 0 0 0 0 0 0 0 0 0 0 0 0 0 0 0 0 0 0 0 0 0 0 0 0 0 1 0 0 0 0 0 0 0 0 0 0 0 0 0 0 0 0 0 0 0 0 0 0 0 0 0 0 0 0 0 0 0 0 0 0 0 0 0 0 0 0 1 0 0 0 0 0 0 0 0 0 0 0 0 0 0 0 0 0 0 0 0 0 0 0 0 0 0 0 0 0 0 0 0 0 0 0 0 0 0 0 0 1 0 0 0 0 0 0 0 0 0 0 0 0 0 0 0 0 0 0 0 0 0 0 0 0 0 0 0 0 0 0 0 0 0 0 0 0 0 0 0 0 1 0 0 0 0 0 0 0 0 0 0 0 0 0 0 0 0 0 0 0 0 0 0 0 0 0 0 0 0 0 0 0 0 0 0 0 0 0 0 0 0 1 0 0 0 0 0 0 0 0 0 0 0 0 0 0 0 0 0 0 0 0 0 0 0 0 0 0 0 0 0 0 0 0 0 0 0 0 0 0 0 0 1 0 0 0 0 0 0 0 0 0 0 0 0 0 0 0 0 0 0 0 0 0 0 0 0 0 0 0 0 0 0 0 0 0 0 0 0 0 0 0 0 1 0 0 0 0 0 0 0 0 0 0 0 0 0 0 0 0 0 0 0 0 0 0 0 0 0 0 0 0 0 0 0 0 0 0 0 0 0 0 0 0 1 0 0 0 0 0 0 0 0 0 0 0 0 0 0 0 0 0 0 0 0 0 0 0 0 0 0 0 0 0 0 0 0 0 0 0 0 0 0 0 0 1 0 0 0 0 0 0 0 0 0 0 0 0 0 0 0 0 0 0 0 0 0 0 0 0 0 0 0 0 0 0 0 0 0 0 0 0 0 0 0 0 1 0 0 0 0 0 0 0 0 0 0 0 0 0 0 0 0 0 0 0 0 0 0 0 0 0 0 0 0 0 0 0 0 0 0 0 0 0 0 0 0 1 0 0 0 0 0 0 0 0 0 0 0 0 0 0 0 0 0 0 0 0 0 0 0 0 0 0 0 0 0 0 0 0 0 0 0 0 0 0 0 0 1 0 0 0 0 0 0 0 0 0 0 0 0 0 0 0 0 0 0 0 0 0 0 0 0 0 0 0 0 0 0 0 0 0 0 0 0 0 0 0 0 1 0 0 0 0 0 0 0 0 0 0 0 0 0 0 0 0 0 0 0 0 0 0 0 0 0 0 0 0 0 0 0 0 0 0 0 0 0 0 0 0 1 0 0 0 0 0 0 0 0 0 0 0 0 0 0 0 0 0 0 0 0 0 0 0 0 0 0 0 0 0 0 0 0 0 0 0 0 0 0 0 0 1 0 0 0 0 0 0 0 0 0 0 0 0 0 0 0 0 0 0 0 0 0 0 0 0 0 0 0 0 0 0 0 0 0 0 0 0 0 0 0 0 1 0 0 0 0 0 0 0 0 0 0 0 0 0 0 0 0 0 0 0 0 0 0 0 0 0 0 0 0 0 0 0 0 0 0 0 0 0 0 0 0 1 0 0 0 0 0 0 0 0 0 0 0 0 0 0 0 0 0 0 0 0 0 0 0 0 0 0 0 0 0 0 0 0 0 0 0 0 0 0 0 0 1 0 0 0 0 0 0 0 0 0 0 0 0 0 0 0 0 0 0 0 0 0 0 0 0 0 0 0 0 0 0 0 0 0 0 0 0 0 0 0 0 1 0 0 0 0 0 0 0 0 0 0 0 0 0 0 0 0 0 0 0 0 0 0 0 0 0 0 0 0 0 0 0 0 0 0 0 0 0 0 0 0 1 0 0 0 0 0 0 0 0 0 0 0 0 0 0 0 0 0 0 0 0 0 0 0 0 0 0 0 0 0 0 0 0 0 0 0 0 0 0 0 0 1 0 0 0 0 0 0 0 0 0 0 0 0 0 0 0 0 0 0 0 0 0 0 0 0 0 0 0 0 0 0 0 0 0 0 0 0 0 0 0 0 1 0 0 0 0 0 0 0 0 0 0 0 0 0 0 0 0 0 0 0 0 0 0 0 0 0 0 0 0 0 0 0 0 0 0 0 0 0 0 0 0 1 0 0 0 0 0 0 0 0 0 0 0 0 0 0 0 0 0 0 0 0 0 0 0 0 0 0 0 0 0 0 0 0 0 0 0 0 0 0 0 0 1 0 0 0 0 0 0 0 0 0 0 0 0 0 0 0 0 0 0 0 0 0 0 0 0 0 0 0 0 0 0 0 0 0 0 0 0 0 0 0 0 1 0 0 0 0 0 0 0 0 0 0 0 0 0 0 0 0 0 0 0 0 0 0 0 0 0 0 0 0 0 0 0 0 0 0 0 0 0 0 0 0 1 0 0 0 0 0 0 0 0 0 0 0 0 0 0 0 0 0 0 0 0 0 0 0 0 0 0 0 0 0 0 0 0 0 0 0 0 0 0 0 0 1 0 0 0 0 0 0 0 0 0 0 0 0 0 0 0 0 0 0 0 0 0 0 0 0 0 0 0 0 0 0 0 0 0 0 0 0 0 0 0 0 1 0 0 0 0 0 0 0 0 0 0 0 0 0 0 0 0 0 0 0 0 0 0 0 0 0 0 0 0 0 0 0 0 0 0 0 0 0 0 0 0 1 0 0 0 0 0 0 0 0 0 0 0 0 0 0 0 0 0 0 0 0 0 0 0 0 0 0 0 0 0 0 0 0 0 0 0 0 0 0 0 0 1 0 0 0 0 0 0 0 0 0 0 0 0 0 0 0 0 0 0 0 0 0 0 0 0 0 0 0 0 0 0 0 0 0 0 0 0 0 0 0 0 1 0 0 0 0 0 0 0 0 0 0 0 0 0 0 0 0 0 0 0 0 0 0 0 0 0 0 0 0 0 0 0 0 0 0 0 0 0 0 0 0 1 1 1 0 0 1 1 1 1 0 0 0 1 0 0 1 0 1 0 0 0 0 1 1 1 0 1 0 0 0 1 0 1 0 0 1 0 1 1 1 1 1 1 0 1 0 0 0 1 0 0 1 0 0 0 1 0 0 0 0 0 1 1 1 1 1 0 1 1 1 0 0 1 0 1 0 0 1 0 1 1 1 0 1 1 1 0 1 1 0 0 1 1 1 0 1 0 0 0 1 0 1 0 1 1 1 1 1 0 0 0 1 1 0 0 0 1 0 1 0 1 1 1 0 0 1 1 1 0 0 0 0 1 0 1 0 1 0 1 1 0 1 0 1 1 0 1 1 1 1 1 0 0 1 0 1 0 0 0 0 0 0 0 1 1 1 1 0 0 0 0 0 1 0 0 0 1 1 1 0 0 1 0 1 0 0 0 0 0 0 1 0 0 1 1 1 1 0 0 1 0 0 1 1 0 1 0 1 1 1 1 1 0 1 0 0 0 0 1 0 0 0 1 1 1 0 0 0 1 0 1 1 0 1 1 1 0 1 0 1 0 0 1 1 1 1 1 1 0 0 0 0 0 1 1 0 1 0 0 0 0 0 0 1 1 1 0 1 0 0 1 0 0 0 1 0 1 1 1 1 1 1 0 0 0 1 0 0 1 0 0 0 0 0 1 1 1 1 1 1 1 0 0 0 0 1 0 1 0 1 1 0 1 1 0 1 0 0 1 0 0 0 0 1 0 1 0 0 0 1 1 1 1 1 1 1 1 1 1 1 1 0 1 0 1 1 1 1 1 1 1 0 1 1 1 1 0 1 1 0 1 1 0 0 0 1 0 1 1 1 1 0 1 0 0 0 0 1 1 1 0 1 1 1 0 0 1 1 0 0 1 1 1 1 1 0 1 1 1 0 0 0 0 1 1 0 1 1 1 1 0 0 0 0 1 0 0 0 1 0 1 1 1 0 0 1 0 1 0 0 1 1 0 1 0 1 1 0 0 1 1 1 1 1 1 0 1 1 1 1 0 0 0 1 0 0 0 1 0 1 1 1 0 1 1 0 1 0 0 1 1 1 0 0 0 1 1 0 1 0 1 1 0 1 0 0 1 1 1 1 0 0 1 0 0 0 0 1 0 1 0 0 0 1 0 1 0 1 1 1 1 0 0 1 1 1 0 0 0 1 0 0 0 1 0 0 1 0 1 1 1 1 1 0 0 0 1 1 1 0 0 1 0 1 0 1 0 0 1 0 0 1 0 0 0 0 0 1 0 1 1 0 0 0 0 1 0 1 0 0 1 0 1 1 1 1 0 1 0 1 1 0 1 1 0 1 1 0 1 0 1 0 0 1 0 0 0 1 1 0 1 0 1 0 1 0 1 1 0 1 0 1 1 1 1 1 1 0 1 0 0 0 0 0 0 0 0 0 1 1 1 0 1 0 0 0 0 0 1 0 1 0 0 1 1 1 0 0 1 0 0 0 0 0 0 0 1 1 1 0 0 0 1 0 0 1 0 0 1 0 1 1 0 1 0 1 0 0 0 1 0 0 1 1 1 0 1 0 1 0 0 1 0 1 1 0 1 0 1 0 0 0 1 0 1 1 1 1 0 1 0 0 0 0 1 1 0 1 1 1 1 1 0 0 1 0 0 0 0 1 0 0 1 0 0 0 1 1 1 1 1 0 0 1 0 1 0 0 0 1 1 0 0 1 0 1 1 0 1 1 0 0 1 1 0 1 0 1 1 1 1 0 1 1 1 1 0 1 1 1 0 0 1 0 0 1 0 1 1 1 1 1 1 0 1 1 0 1 1 1 0 0 1 0 1 0 1 1 1 1 0 1 1 1 1 1 0 1 1 0 1 0 1 0 0 0 0 0 1 1 1 0 1 0 0 0 0 1 1 1 0 0 0 0 1 0 1 0 1 0 0 0 0 1 1 1 0 1 1 1 0 1 1 1 1 1 1 0 1 0 1 1 0 0 1 0 0 1 0 1 1 0 0 0 1 1 1 1 0 0 1 0 1 0 1 1 0 0 1 1 0 0 0 1 0 0 1 0 1 1 0 0 1 0 0 0 1 1 0 1 0 1 1 1 1 0 0 1 0 1 0 0 0 1 1 0 1 0 1 0 1 1 0 0 1 1 1 0 0 1 1 0 0 0 0 1 0 0 1 0 0 1 0 0 0 0 0 1 0 1 1 0 0 0 0 1 1 1 1 1 0 0 0 0 0 0 0 0 0 1 0 0 0 1 0 1 1 1 0 1 0 0 1 1 0 0 0 1 1 0 0 0 0 0 0 1 0 0 1 1 1 0 1 0 1 0 1 0 1 1 1 1 1 1 0 1 1 1 0 0 1 1 0 1 1 1 0 0 1 0 1 1 0 0 1 1 0 0 1 1 1 0 1 1 1 1 0 0 0 1 1 1 0 1 1 1 0 1 1 0 1 0 1 1 1 0 0 1 0 1 1 1 0 0 0 1 1 1 0 0 0 1 1 0 0 0 1 1 0 1 1 1 1 0 1 0 0 1 0 0 1 1 1 1 1 0 0 0 1 0 0 1 1 0 1 0 0 0 1 0 1 0 0 1 0 1 1 0 0 1 0 1 0 1 0 1 1 1 0 0 1 0 1 1 0 0 1 1 1 0 1 0 0 1 1 0 0 1 0 1 0 0 0 1 1 1 0 1 0 0 1 1 1 1 0 1 1 1 0 0 1 0 1 1 1 0 1 0 1 1 1 0 1 1 1 1 0 1 0 0 0 1 0 1 0 0 0 0 0 1 0 1 1 1 1 0 0 0 0 1 0 1 1 1 1 0 0 1 0 0 0 0 0 0 1 0 0 1 0 0 0 1 0 1 0 1 0 0 1 0 0 1 0 1 1 1 0 1 0 0 0 0 0 0 0 1 0 1 0 1 1 1 0 1 0 0 0 0 1 0 1 1 1 1 0 0 0 0 0 0 0 0 1 0 0 1 1 0 0 0 1 0 1 1 1 1 0 0 0 1 0 1 0 1 0 0 0 0 1 0 0 1 0 1 0 0 1 1 0 1 1 0 1 0 1 1 0 1 1 0 0 1 1 0 0 1 1 0 1 0 0 1 1 0 1 1 0 0 1 1 1 0 1 1 1 0 0 1 0 1 1 0 0 0 1 0 1 0 1 0 0 1 1 1 0 0 1 0 0 0 1 0 0 0 1 1 1 1 0 1 0 1 1 0 1 0 0 0 0 1 0 0 1 0 0 1 0 1 1 1 1 1 1 1 1 0 1 0 1 1 1 1 1 1 1 0 1 1 1 0 1 1 0 0 1 0 1 0 1 0 1 0 1 0 0 1 0 1 1 1 0 1 0 1 0 1 0 1 0 1 1 1 0 0 1 0 0 0 0 0 1 1 0 0 1 0 1 1 1 1 0 0 0 0 1 0 1 1 1 1 0 1 1 1 1 0 1 1 1 1 1 0 0 0 0 1 0 0 0 0 1 0 0 1 0 1 1 1 1 0 0 1 1 1 0 0 0 1 0 1 0 1 1 0 1 1 1 0 1 1 0 0 1 0 1 1 1 0 0 0 1 1 0 0 0 0 1 0 0 1 1 0 0 0 1 0 0 0 0 1 0 0 0 0 0 0 0 0 0 0 0 0 0 0 0 0 0 0 0 0 0 0 0 0 0 0 0 0 0 0 0 0 0 0 0 0 0 0 0 0 0 0 0 0 0 0 0 0 0 0 0 0 0 0 0 0 0 0 0 0 0 0 0 0 0 0 0 0 0 0 0 0 0 0 0 0 0 0 0 0 0 0 0 0 0 0 0 0 0 0 0 0 0 0 0 0 0 0 0 0 0 0 0 0 0 0 0 0 0 0 0 0 0 0 0 0 0 0 0 0 0 0 0 0 0 0 0 0 0 0 0 0 0 0 0 0 0 0 0 0 0 0 0 0 0 0 0 0 0 0 0 0 0 0 0 0 0 0 0 0 0 0 0 0 0 0 0 0 0 0 0 0 0 0 0 0 0 0 0 0 0 0 0 0 0 0 0 0 0 0 0 0 0 0 0 0 0 0 0 0 0 0 0 0 0 0 0 0 0 0 0 0 0 0 0 0 0 0 0 0 0 0 0 0 0 0 0 0 0 0 0 0 0 0 0 0 0 0 0 0 0 0 0 0 0 0 0 0 0 0 0 0 0 0 0 0 0 0 0 0 0 0 0 0 0 0 0 0 0 0 0 0 0 0 0 0 0 0 0 0 0 0 0 0 0 0 0 0 0 0 0 0 0 0 0 0 0 0 0 0 0 0 0 0 0 0 0 0 0 0 0 0 0 0 0 0 0 0 0 0 0 0 0 0 0 0 0 0 0 0 0 0 0 0 0 0 0 0 0 0 0 0 0 0 0 0 0 0 0 0 0 0 0 0 0 0 0 0 0 0 0 0 0 0 0 0 0 0 0 0 0 0 0 0 0 0 0 0 1 1 0 0 1 1 1 1 0 0 0 1 0 0 1 0 1 0 0 0 0 1 1 1 0 1 0 0 0 1 0 1 0 0 1 0 1 1 1 1 0 0 0 0 0 0 0 0 0 0 0 0 0 0 0 0 0 0 0 0 1 1 0 1 0 0 0 1 0 0 1 0 0 0 1 0 0 0 0 0 1 1 1 1 1 0 1 1 1 0 0 1 0 1 0 0 1 0 1 1 0 0 0 0 0 0 0 0 0 1 1 0 0 1 1 1 1 0 0 0 1 0 0 1 0 1 0 0 0 0 1 1 1 0 1 0 0 0 1 0 1 0 0 1 0 1 1 1 1 0 1 1 0 0 0 1 0 1 0 1 0 0 0 0 0 0 0 0 0 1 1 0 1 0 0 0 1 0 0 1 0 0 0 1 0 0 0 0 0 1 1 1 1 1 0 1 1 1 0 0 1 0 1 0 0 1 0 1 1 1 0 0 1 0 1 0 0 0 0 0 0 0 0 0 0 0 0 0 0 1 0 1 1 1 0 1 1 0 0 1 1 1 0 1 0 0 0 1 0 1 0 1 1 1 1 1 0 0 0 1 1 0 0 0 1 0 1 0 1 1 0 0 1 1 1 1 0 0 1 0 0 0 0 0 0 0 0 0 0 1 1 0 0 1 1 1 0 0 0 0 1 0 1 0 1 0 1 1 0 1 0 1 1 0 1 1 1 1 1 0 0 1 0 1 0 0 0 0 0 1 1 0 1 1 1 0 1 0 1 0 0 0 0 0 0 0 0 0 0 0 0 1 1 1 1 0 0 0 0 0 1 0 0 0 1 1 1 0 0 1 0 1 0 0 0 0 0 0 1 0 0 1 1 1 1 0 0 1 0 1 0 0 0 1 0 1 1 1 1 1 0 0 0 0 0 0 0 0 0 0 1 1 0 1 0 1 1 1 1 1 0 1 0 0 0 0 1 0 0 0 1 1 1 0 0 0 1 0 1 1 0 1 1 1 0 1 0 1 0 1 0 1 1 0 1 0 0 1 0 0 0 0 0 0 0 0 0 0 0 0 1 1 1 1 1 1 0 0 0 0 0 1 1 0 1 0 0 0 0 0 0 1 1 1 0 1 0 0 1 0 0 0 1 0 1 1 1 1 1 1 0 1 1 1 1 0 1 1 0 1 0 0 0 0 0 0 0 0 0 1 0 0 0 1 0 0 1 0 0 0 0 0 1 1 1 1 1 1 1 0 0 0 0 1 0 1 0 1 1 0 1 1 0 1 0 0 1 0 0 1 1 1 1 1 0 1 1 1 0 0 0 0 0 0 0 0 0 0 0 0 0 1 0 1 0 0 0 1 1 1 1 1 1 1 1 1 1 1 1 0 1 0 1 1 1 1 1 1 1 0 1 1 1 1 0 1 1 0 1 1 1 0 1 0 1 1 0 0 1 1 0 0 0 0 0 0 0 0 0 1 0 0 0 1 0 1 1 1 1 0 1 0 0 0 0 1 1 1 0 1 1 1 0 0 1 1 0 0 1 1 1 1 1 0 1 1 1 0 0 1 1 0 0 0 1 1 0 1 0 1 0 0 0 0 0 1 1 0 0 1 1 1 1 0 0 0 1 0 0 1 0 1 0 0 0 0 1 1 1 0 1 0 0 0 1 0 1 0 0 1 0 1 1 1 1 0 0 1 1 1 0 0 1 1 1 0 0 0 1 0 0 0 0 0 0 1 1 0 1 0 0 0 1 0 0 1 0 0 0 1 0 0 0 0 0 1 1 1 1 1 0 1 1 1 0 0 1 0 1 0 0 1 0 1 1 0 1 0 1 0 1 0 0 0 0 0 1 0 1 1 0 0 0 0 0 1 0 1 1 1 0 1 1 0 0 1 1 1 0 1 0 0 0 1 0 1 0 1 1 1 1 1 0 0 0 1 1 0 0 0 1 0 1 0 1 0 0 1 0 1 0 0 1 0 0 0 1 1 0 1 0 0 0 0 0 1 1 0 0 1 1 1 0 0 0 0 1 0 1 0 1 0 1 1 0 1 0 1 1 0 1 1 1 1 1 0 0 1 0 1 0 0 0 0 0 1 0 1 1 1 0 1 0 0 0 0 0 1 0 1 0 0 0 0 0 0 0 1 1 1 1 0 0 0 0 0 1 0 0 0 1 1 1 0 0 1 0 1 0 0 0 0 0 0 1 0 0 1 1 1 1 0 0 1 0 1 1 0 1 1 1 0 1 0 1 0 0 0 1 0 0 0 0 0 0 0 1 1 0 1 0 1 1 1 1 1 0 1 0 0 0 0 1 0 0 0 1 1 1 0 0 0 1 0 1 1 0 1 1 1 0 1 0 1 0 0 1 0 1 0 0 0 0 1 1 0 1 1 1 1 0 0 0 0 0 0 1 1 1 1 1 1 0 0 0 0 0 1 1 0 1 0 0 0 0 0 0 1 1 1 0 1 0 0 1 0 0 0 1 0 1 1 1 1 1 0 0 1 0 1 0 0 1 0 1 1 0 1 1 0 0 0 0 0 0 1 0 0 0 1 0 0 1 0 0 0 0 0 1 1 1 1 1 1 1 0 0 0 0 1 0 1 0 1 1 0 1 1 0 1 0 0 1 0 0 1 1 1 1 1 1 1 0 1 1 0 1 1 1 0 0 0 0 0 0 0 0 1 0 1 0 0 0 1 1 1 1 1 1 1 1 1 1 1 1 0 1 0 1 1 1 1 1 1 1 0 1 1 1 1 0 1 1 0 1 0 1 1 0 1 0 1 0 0 0 0 1 1 1 0 0 0 0 0 0 1 0 0 0 1 0 1 1 1 1 0 1 0 0 0 0 1 1 1 0 1 1 1 0 0 1 1 0 0 1 1 1 1 1 0 1 1 1 0 0 1 1 1 0 1 1 0 0 1 0 0 1 0 1 1 0 0 0 0 0 0 0 1 1 0 1 1 1 1 0 0 0 0 1 0 0 0 1 0 1 1 1 0 0 1 0 1 0 0 1 1 0 1 0 1 1 0 0 1 1 1 1 1 0 0 0 1 0 0 0 1 1 0 1 0 0 0 0 0 0 1 1 1 1 0 1 1 1 1 0 0 0 1 0 0 0 1 0 1 1 1 0 1 1 0 1 0 0 1 1 1 0 0 0 1 1 0 1 0 1 1 0 1 1 1 0 0 0 0 1 0 0 1 0 0 0 0 0 0 0 1 0 1 0 0 1 1 1 1 0 0 1 0 0 0 0 1 0 1 0 0 0 1 0 1 0 1 1 1 1 0 0 1 1 1 0 0 0 1 0 1 0 1 0 0 0 0 1 0 1 1 1 0 1 0 0 0 0 0 0 0 0 1 0 0 1 0 1 1 1 1 1 0 0 0 1 1 1 0 0 1 0 1 0 1 0 0 1 0 0 1 0 0 0 0 0 1 0 1 1 0 1 0 0 1 1 1 1 0 1 1 1 0 0 1 0 0 0 0 0 0 0 0 0 1 0 1 0 0 1 0 1 1 1 1 0 1 0 1 1 0 1 1 0 1 1 0 1 0 1 0 0 1 0 0 0 1 1 0 1 1 0 1 0 1 1 0 1 1 1 0 1 1 0 1 0 0 0 0 0 0 1 0 1 0 1 1 0 1 0 1 1 1 1 1 1 0 1 0 0 0 0 0 0 0 0 0 1 1 1 0 1 0 0 0 0 0 1 0 1 1 0 0 1 1 1 1 0 1 0 0 1 0 0 1 0 0 0 0 0 0 0 1 1 1 0 0 1 0 0 0 0 0 0 0 1 1 1 0 0 0 1 0 0 1 0 0 1 0 1 1 0 1 0 1 0 0 0 1 0 1 1 0 1 0 1 0 1 0 1 1 1 0 0 1 0 0 0 0 0 0 1 1 1 0 1 0 1 0 0 1 0 1 1 0 1 0 1 0 0 0 1 0 1 1 1 1 0 1 0 0 0 0 1 1 0 1 1 1 1 1 0 0 1 1 1 1 1 0 1 1 1 0 0 1 0 0 0 0 0 1 0 0 1 0 0 0 0 1 0 0 1 0 0 0 1 1 1 1 1 0 0 1 0 1 0 0 0 1 1 0 0 1 0 1 1 0 1 1 0 1 0 0 1 0 1 1 1 1 0 0 0 0 1 0 0 0 0 0 0 0 1 1 0 1 0 1 1 1 1 0 1 1 1 1 0 1 1 1 0 0 1 0 0 1 0 1 1 1 1 1 1 0 1 1 0 1 1 1 0 1 0 0 1 0 1 0 1 1 1 0 1 0 0 0 0 0 0 0 0 0 1 0 1 0 1 1 1 1 0 1 1 1 1 1 0 1 1 0 1 0 1 0 0 0 0 0 1 1 1 0 1 0 0 0 0 1 1 1 0 0 0 1 0 0 0 1 0 0 1 1 0 0 0 1 0 0 0 0 0 0 0 0 1 0 1 0 1 0 0 0 0 1 1 1 0 1 1 1 0 1 1 1 1 1 1 0 1 0 1 1 0 0 1 0 0 1 0 1 1 1 0 0 0 1 0 1 0 1 1 0 1 1 0 0 0 0 0 0 0 0 0 0 1 1 1 1 0 0 1 0 1 0 1 1 0 0 1 1 0 0 0 1 0 0 1 0 1 1 0 0 1 0 0 0 1 1 0 1 0 0 0 0 1 1 0 0 0 1 0 1 0 1 0 0 0 0 0 0 0 1 1 1 1 0 0 1 0 1 0 0 0 1 1 0 1 0 1 0 1 1 0 0 1 1 1 0 0 1 1 0 0 0 0 1 0 0 1 0 0 1 1 0 0 0 0 1 0 0 1 0 1 1 1 1 0 0 0 0 0 1 0 0 0 0 0 1 0 1 1 0 0 0 0 1 1 1 1 1 0 0 0 0 0 0 0 0 0 1 0 0 0 1 0 1 1 1 0 1 0 0 1 0 0 1 0 1 0 0 1 0 1 1 1 0 0 0 0 0 0 0 1 1 0 0 0 1 1 0 0 0 0 0 0 1 0 0 1 1 1 0 1 0 1 0 1 0 1 1 1 1 1 1 0 1 1 1 0 0 1 1 1 1 1 0 0 0 0 1 0 1 1 1 1 0 0 0 0 0 0 1 0 1 1 1 0 0 1 0 1 1 0 0 1 1 0 0 1 1 1 0 1 1 1 1 0 0 0 1 1 1 0 1 1 1 0 1 1 0 1 1 1 1 0 0 1 1 1 0 0 0 1 0 1 0 0 0 0 0 0 0 1 1 1 0 0 1 0 1 1 1 0 0 0 1 1 1 0 0 0 1 1 0 0 0 1 1 0 1 1 1 1 0 1 0 0 1 0 0 1 1 1 1 0 1 0 0 0 1 0 0 0 0 1 0 0 0 0 0 0 1 1 1 1 0 0 0 1 0 0 1 1 0 1 0 0 0 1 0 1 0 0 1 0 1 1 0 0 1 0 1 0 1 0 1 1 1 0 0 1 1 0 1 0 0 0 0 0 0 0 0 0 0 0 0 0 0 0 0 0 0 1 1 0 0 1 1 1 0 1 0 0 1 1 0 0 1 0 1 0 0 0 1 1 1 0 1 0 0 1 1 1 1 0 1 1 1 0 0 1 0 0 1 0 0 0 0 0 0 0 0 0 0 0 0 0 0 0 0 0 0 1 1 1 0 1 0 1 1 1 0 1 1 1 1 0 1 0 0 0 1 0 1 0 0 0 0 0 1 0 1 1 1 1 0 0 0 0 1 0 0 0 0 0 0 0 0 0 0 0 0 0 0 0 0 0 0 0 0 0 1 1 1 1 0 0 1 0 0 0 0 0 0 1 0 0 1 0 0 0 1 0 1 0 1 0 0 1 0 0 1 0 1 1 1 0 1 0 0 0 0 0 0 0 0 0 0 0 0 0 0 0 0 0 0 0 0 0 0 0 0 0 0 0 1 0 1 0 1 1 1 0 1 0 0 0 0 1 0 1 1 1 1 0 0 0 0 0 0 0 0 1 0 0 1 1 0 0 0 1 0 0 0 0 0 0 0 0 0 0 0 0 0 0 0 0 0 0 0 0 0 1 1 1 1 0 0 0 1 0 1 0 1 0 0 0 0 1 0 0 1 0 1 0 0 1 1 0 1 1 0 1 0 1 1 0 1 1 0 0 0 0 0 0 0 0 0 0 0 0 0 0 0 0 0 0 0 0 0 0 1 1 0 0 1 1 0 1 0 0 1 1 0 1 1 0 0 1 1 1 0 1 1 1 0 0 1 0 1 1 0 0 0 1 0 1 0 1 0 0 0 0 0 0 0 0 0 0 0 0 0 0 0 0 0 0 0 0 0 0 1 1 1 0 0 1 0 0 0 1 0 0 0 1 1 1 1 0 1 0 1 1 0 1 0 0 0 0 1 0 0 1 0 0 1 0 1 1 1 1 0 0 0 0 0 0 0 0 0 0 0 0 0 0 0 0 0 0 0 0 1 1 1 1 0 1 0 1 1 1 1 1 1 1 0 1 1 1 0 1 1 0 0 1 0 1 0 1 0 1 0 1 0 0 1 0 1 1 1 0 0 0 0 0 0 0 0 0 0 0 0 0 0 0 0 0 0 0 0 0 1 0 1 0 1 0 1 0 1 1 1 0 0 1 0 0 0 0 0 1 1 0 0 1 0 1 1 1 1 0 0 0 0 1 0 1 1 1 1 0 0 0 0 0 0 0 0 0 0 0 0 0 0 0 0 0 0 0 0 0 1 1 1 1 0 1 1 1 1 1 0 0 0 0 1 0 0 0 0 1 0 0 1 0 1 1 1 1 0 0 1 1 1 0 0 0 1 0 1 0 0 0 0 0 0 0 0 0 0 0 0 0 0 0 0 0 0 0 0 0 1 1 0 1 1 1 0 1 1 0 0 1 0 1 1 1 0 0 0 1 1 0 0 0 0 1 0 0 1 1 0 0 0 1 0 0 0 0 1 0 0 0 0 0 0 0 0 0 0 0 0 0 0 0 0 0 0 0 0 0 0 0 0 0 0 0 0 0 0 0 0 0 0 0 0 0 0 0 0 0 0 0 0 0 0 0 0 0 0 0 0 0 0 0 0 0 0 0 0 0 0 0 0 0 0 0 0 0 0 0 0 0 0 0 0 0 0 0 0 0 0 0 0 0 0 0 0 0 0 0 0 0 0 0 0 0 0 0 0 0 0 0 0 0 0 0 0 0 0 0 0 0 0 0 0 0 0 0 0 0 0 0 0 0 0 0 0 0 0 0 0 0 0 0 0 0 0 0 ================================================ FILE: programming_assignments/beale_ciphers/testcase/small/test4.out ================================================ 1 ================================================ FILE: programming_assignments/beale_ciphers/testcase/small/test6.in ================================================ 1 60 60 10 1 0 0 0 0 0 0 0 0 0 0 1 0 0 0 0 0 0 0 0 0 0 1 0 0 0 0 0 0 0 0 0 0 1 0 0 0 0 0 0 0 0 0 0 1 0 0 0 0 0 0 0 0 0 0 1 0 0 0 0 0 0 0 0 0 0 1 0 0 0 0 0 0 0 0 0 0 1 0 0 0 0 0 0 0 0 0 0 1 0 0 0 0 0 0 0 0 0 0 1 0 0 0 1 0 0 0 1 1 0 0 0 0 0 1 1 1 1 0 1 1 0 0 0 0 0 0 1 0 1 1 0 1 1 1 1 1 0 0 0 0 0 1 1 1 0 0 0 1 0 1 0 0 1 0 1 0 0 0 0 1 1 0 0 1 0 0 0 0 0 1 0 1 0 1 0 0 1 0 1 1 1 1 0 1 1 1 1 0 1 1 1 0 1 0 1 1 0 0 1 0 0 0 0 0 0 0 0 0 0 0 0 0 0 0 0 0 0 0 0 0 0 0 0 0 0 0 0 0 0 0 0 0 0 0 0 0 0 0 0 0 0 0 0 0 0 0 0 0 0 0 0 0 0 0 0 0 0 0 0 0 0 0 0 0 0 0 0 0 0 0 0 0 0 0 0 0 0 0 0 0 0 0 0 0 0 0 0 0 0 0 0 0 0 0 0 0 0 0 0 0 0 0 1 0 0 0 1 1 0 0 0 0 0 0 0 0 0 0 0 0 0 0 0 0 0 0 0 0 0 0 0 0 0 0 0 0 0 0 0 0 0 0 0 0 0 0 0 0 0 0 1 0 0 0 1 1 0 0 0 0 0 0 0 1 1 1 1 0 1 0 0 0 0 0 0 0 0 0 0 0 0 0 0 0 0 0 0 0 0 0 0 0 0 0 0 0 0 0 0 0 0 0 0 0 0 0 0 0 0 0 0 1 1 1 1 0 1 0 0 1 0 0 0 0 0 0 1 0 1 0 0 0 0 0 0 0 0 0 0 0 0 0 0 0 0 0 0 0 1 0 0 0 1 1 0 0 0 0 0 0 0 0 0 0 0 0 0 1 0 0 0 0 0 0 1 0 1 0 0 1 0 1 1 1 1 1 0 0 0 0 0 0 0 0 0 0 0 0 0 0 0 0 0 0 0 0 0 0 0 1 1 1 1 0 1 0 0 0 0 0 0 0 0 0 0 0 0 1 0 1 1 1 1 1 0 0 0 0 0 0 0 1 1 1 0 0 0 1 0 0 0 0 0 0 0 0 0 0 0 0 0 0 1 0 0 0 1 1 0 0 0 0 1 0 1 0 0 0 0 0 0 0 0 0 0 0 0 0 0 1 1 1 0 0 0 1 0 0 0 1 0 0 1 0 1 0 0 0 0 0 0 0 0 0 0 0 0 0 0 0 0 0 0 1 1 1 1 0 1 1 1 1 0 0 0 0 0 0 0 0 0 0 0 0 0 0 0 1 0 0 1 0 1 0 0 0 0 0 0 0 1 0 0 0 1 1 0 0 0 0 0 0 0 0 0 0 0 0 0 1 0 0 0 0 0 0 1 0 1 1 0 0 0 1 0 0 0 0 0 1 0 0 0 1 1 0 0 1 1 0 0 1 0 0 0 0 0 0 0 0 0 1 1 1 1 0 1 0 1 0 0 0 0 0 0 0 0 0 0 1 0 1 1 1 1 1 0 0 0 0 1 0 0 0 0 0 0 0 0 0 1 1 1 1 0 1 0 1 0 1 0 1 0 0 1 0 1 1 0 0 0 0 0 0 1 0 1 0 1 0 0 0 0 0 0 0 0 0 0 0 0 1 1 1 0 0 0 1 0 1 0 0 0 0 0 0 1 0 0 0 0 0 0 1 0 1 0 1 1 1 0 1 1 1 1 0 1 1 0 1 1 1 1 1 0 0 0 0 1 0 0 0 0 0 0 0 0 0 0 1 0 0 1 0 1 0 0 0 0 1 0 0 1 0 1 0 1 0 1 1 1 1 1 0 0 0 0 1 1 0 1 0 1 1 0 0 1 0 0 1 1 1 0 0 0 1 0 0 0 0 0 0 0 0 0 0 0 0 0 1 1 0 0 1 0 0 0 0 0 1 1 1 1 0 1 0 0 0 1 1 1 0 0 0 1 0 0 0 0 0 0 0 0 0 0 1 0 0 0 1 1 0 1 0 0 0 0 0 0 0 0 0 0 0 0 0 0 0 0 1 0 1 0 1 0 0 1 0 1 0 1 1 0 0 1 0 1 0 0 1 0 1 0 0 0 0 0 0 0 0 0 0 0 0 0 0 1 1 1 1 0 1 0 0 0 0 0 0 0 0 0 1 0 0 0 1 1 0 0 1 1 1 0 1 1 1 1 0 1 0 0 0 0 0 0 0 1 1 0 0 1 0 0 0 0 0 0 0 0 0 0 0 1 0 0 0 0 0 0 1 0 1 0 0 1 0 1 0 0 0 0 0 1 1 1 1 0 1 0 1 1 0 1 0 1 1 0 0 1 0 0 0 0 0 0 0 1 0 1 0 1 0 0 1 0 1 0 0 0 0 0 0 1 0 1 1 1 1 1 0 0 0 1 1 1 0 1 0 1 0 0 0 0 0 0 1 0 1 0 0 0 0 0 0 0 0 0 0 0 0 0 0 0 0 0 1 0 0 0 1 1 0 1 1 0 1 0 0 0 0 0 0 0 0 1 1 1 0 0 0 1 0 1 1 0 0 1 0 1 0 1 1 1 1 1 0 0 0 0 0 0 0 0 0 0 0 0 0 0 0 0 0 0 0 0 0 1 1 1 1 0 1 1 0 0 1 0 0 0 0 0 0 1 0 0 1 0 1 0 0 0 0 0 0 0 0 0 0 0 0 1 1 1 0 0 0 1 0 0 0 0 0 0 0 0 0 0 0 0 0 0 0 1 0 0 0 0 0 0 1 0 1 0 0 0 0 0 0 0 0 0 0 1 1 0 0 1 0 0 0 0 0 0 0 0 0 0 0 1 0 0 1 0 1 0 0 0 0 0 0 0 0 0 0 0 0 0 0 0 0 0 0 1 0 1 1 1 1 1 0 0 0 0 0 0 0 0 0 0 0 0 0 1 0 1 0 1 0 0 1 0 1 0 0 0 0 0 0 1 1 0 0 1 0 0 0 0 0 0 0 0 0 0 0 0 0 0 0 0 0 0 0 1 0 0 0 1 1 0 0 1 0 0 0 0 0 0 0 0 0 0 0 1 1 1 0 1 1 1 1 0 1 0 0 0 0 0 0 1 0 1 0 1 0 0 1 0 1 0 0 0 0 0 0 0 0 0 0 0 0 0 0 0 1 1 1 1 0 1 0 0 0 0 0 0 0 0 0 0 0 0 0 1 1 0 1 0 1 1 0 0 1 0 0 0 0 0 0 1 1 1 0 1 1 1 1 0 1 0 0 0 0 0 0 0 0 0 0 0 1 0 0 0 0 0 0 1 0 1 0 0 0 0 0 0 0 0 0 0 0 0 0 0 0 0 0 0 0 0 0 0 0 0 0 0 0 0 0 1 1 0 1 0 1 1 0 0 1 0 0 0 0 0 1 0 0 0 1 1 0 0 1 1 1 1 1 0 0 0 1 0 1 0 0 0 0 0 0 0 0 0 0 0 0 0 0 0 0 0 0 0 0 0 0 0 0 0 0 0 0 0 0 1 0 0 0 1 1 0 0 0 0 0 0 1 1 1 1 0 1 0 1 1 1 0 0 0 1 0 1 0 1 0 0 0 0 0 0 0 0 0 0 0 0 0 1 0 0 0 1 1 0 0 0 0 0 0 0 0 0 0 0 0 1 1 1 1 0 1 0 1 0 0 0 0 0 0 1 0 1 0 0 1 0 1 0 0 0 0 0 0 1 0 0 0 1 0 0 0 1 1 0 0 0 0 0 1 1 1 1 0 1 0 0 0 0 0 0 0 1 0 0 0 0 0 0 1 0 1 0 1 0 1 1 1 1 1 0 0 0 1 0 0 1 0 0 0 0 0 0 0 0 0 0 0 0 1 1 1 1 0 1 1 0 0 0 0 0 0 1 0 1 0 0 0 0 0 0 0 1 0 1 1 1 1 1 0 0 0 0 0 0 1 1 1 0 0 0 1 0 0 1 0 1 0 0 1 0 1 0 0 0 1 0 0 0 1 1 0 1 0 1 1 0 1 1 1 1 1 0 0 0 0 0 0 0 0 0 0 0 0 1 1 1 0 0 0 1 0 0 1 0 0 1 0 1 0 0 0 0 1 1 0 1 1 1 1 0 1 0 0 0 0 1 1 1 1 0 1 0 0 0 0 0 1 1 1 0 0 0 1 0 0 0 0 1 0 0 0 1 1 0 1 0 1 0 0 0 0 0 1 1 0 0 1 0 0 0 0 0 1 0 1 0 1 1 0 0 1 1 0 0 0 0 0 0 1 0 1 0 1 0 1 0 0 1 0 1 0 0 0 0 0 0 0 0 1 1 1 1 0 1 0 1 0 0 0 0 0 0 1 0 1 0 1 0 0 1 0 1 0 0 0 0 0 0 0 0 0 1 0 1 1 1 1 1 0 0 0 0 0 0 1 1 0 0 1 0 0 0 0 0 1 0 0 0 0 0 0 1 0 1 0 1 0 0 1 0 1 0 1 1 1 0 1 1 1 1 0 1 0 0 0 0 0 1 0 0 0 1 1 0 1 1 0 0 0 1 0 0 0 0 1 0 1 0 1 0 0 1 0 1 1 0 1 1 1 1 1 0 0 0 0 1 1 1 1 0 1 0 1 1 0 1 0 1 1 0 0 1 0 0 0 0 0 0 1 1 1 1 0 1 1 0 1 0 0 0 0 1 0 1 1 1 1 0 1 1 1 1 0 1 0 0 1 1 1 0 0 0 1 0 1 0 1 1 0 0 1 0 0 0 0 0 0 0 0 0 0 0 0 0 1 0 0 0 0 0 0 1 0 1 0 1 0 0 0 0 0 1 0 1 1 1 0 1 0 1 1 0 0 1 1 0 0 1 0 1 0 0 0 0 0 0 0 0 0 0 0 0 0 0 0 0 0 0 0 0 0 0 0 0 1 0 1 1 1 1 1 0 0 0 0 1 0 0 1 0 1 0 0 1 0 0 0 0 0 0 0 0 0 0 1 1 0 0 1 0 0 0 0 0 0 0 0 0 0 0 0 0 0 0 0 0 0 0 0 0 0 0 0 0 0 0 1 1 1 0 0 0 1 0 0 1 1 1 1 0 1 0 0 0 0 0 0 0 0 0 0 0 0 0 1 0 1 0 1 0 0 1 0 1 0 0 0 0 0 0 0 0 0 0 0 0 0 0 0 0 0 0 0 0 1 0 0 1 0 1 0 0 0 0 1 0 1 1 0 0 1 0 0 0 0 0 0 0 1 0 0 0 1 1 0 1 1 0 1 1 1 1 0 1 0 0 0 0 0 0 0 0 0 0 0 0 0 0 0 0 0 0 0 0 1 1 0 0 1 0 0 0 0 0 0 0 0 0 0 0 0 0 0 0 0 0 0 0 0 1 1 1 1 0 1 1 0 1 0 1 1 0 0 1 0 0 0 0 0 0 0 0 0 0 0 0 0 0 0 0 0 0 0 0 1 0 1 0 1 0 0 1 0 1 0 0 0 0 0 0 0 0 0 0 0 1 0 0 0 0 0 0 1 0 1 0 0 0 0 0 0 0 0 0 0 0 0 0 0 0 0 0 0 0 0 0 0 0 0 0 0 0 0 0 1 1 1 0 1 1 1 1 0 1 0 0 0 0 0 0 0 0 0 0 0 1 0 1 1 1 1 1 0 0 0 0 0 0 0 0 0 0 0 0 0 0 0 0 0 0 0 0 0 0 0 0 0 0 0 1 0 0 0 1 1 0 0 1 0 1 1 0 0 1 0 0 0 0 0 0 0 0 0 0 0 0 0 1 1 1 0 0 0 1 0 0 0 0 0 0 1 0 0 0 1 1 0 0 0 0 0 0 0 0 0 0 0 0 0 0 1 1 1 1 0 1 0 0 0 0 0 0 0 0 0 0 0 0 0 0 0 0 0 0 0 1 0 0 1 0 1 0 0 0 0 0 0 0 0 0 0 1 1 1 1 0 1 0 0 0 0 0 0 0 0 0 1 0 0 0 0 0 0 1 0 1 0 0 0 0 0 0 0 0 0 0 0 0 0 0 0 0 0 0 0 1 1 0 0 1 0 0 0 0 0 0 0 1 0 0 0 0 0 0 1 0 1 0 0 0 0 0 0 0 0 0 1 0 0 0 1 1 0 0 0 0 0 0 0 0 0 1 0 0 0 1 1 0 0 0 0 0 0 0 0 1 0 1 0 1 0 0 1 0 1 0 0 1 0 1 1 1 1 1 0 0 0 0 0 0 0 0 0 0 0 0 0 1 1 1 1 0 1 0 1 0 0 0 0 0 0 0 1 1 1 1 0 1 0 0 0 0 0 0 0 1 1 1 0 1 1 1 1 0 1 0 0 0 0 1 0 0 0 1 1 0 0 0 0 0 0 0 0 1 0 0 0 0 0 0 1 0 1 0 0 0 0 0 1 0 0 0 0 0 0 1 0 1 0 0 0 0 0 0 0 1 1 0 1 0 1 1 0 0 1 0 0 0 0 0 1 1 1 1 0 1 0 0 0 0 0 0 0 1 0 1 1 1 1 1 0 0 0 0 0 0 0 0 1 0 1 1 1 1 1 0 0 0 0 0 0 0 0 0 0 0 0 0 0 0 0 0 0 0 0 0 1 0 0 0 0 0 0 1 0 1 0 0 0 0 0 0 0 0 0 1 1 1 0 0 0 1 0 1 0 1 0 0 0 0 1 1 1 0 0 0 1 0 0 0 0 0 0 0 0 0 0 0 0 0 0 0 0 0 0 0 1 0 1 1 1 1 1 0 0 0 1 0 0 0 0 0 0 1 0 0 1 0 1 0 0 0 0 1 0 1 0 0 1 0 0 1 0 1 0 0 0 0 0 0 0 0 0 0 0 0 0 0 0 0 0 0 1 0 0 0 1 1 0 1 1 0 0 0 1 0 1 0 0 0 0 0 0 1 1 0 0 1 0 0 0 0 0 0 0 1 0 0 1 1 0 0 1 0 0 0 0 0 0 0 0 0 0 0 0 0 0 0 0 0 0 0 0 1 1 1 1 0 1 1 0 1 0 0 0 0 1 0 0 0 0 0 0 1 0 1 0 1 0 0 1 0 1 0 0 0 0 0 1 0 1 0 1 0 0 1 0 1 0 0 0 0 0 0 0 0 0 0 0 1 0 0 0 0 0 0 1 0 1 0 1 0 0 0 0 0 0 0 0 0 0 0 0 1 1 1 0 1 1 1 1 0 1 0 0 0 0 0 1 1 1 0 1 1 1 1 0 1 0 0 0 0 0 0 0 0 0 0 0 1 0 1 1 1 1 1 0 0 0 0 1 0 0 1 0 1 0 0 0 0 0 0 0 1 1 0 1 0 1 1 0 0 1 0 0 0 0 0 1 1 0 1 0 1 1 0 0 1 0 0 0 0 0 0 0 0 0 0 0 0 0 1 1 1 0 0 0 1 0 0 1 1 1 1 0 1 0 0 0 0 0 0 0 0 0 0 0 0 0 0 0 0 0 0 0 0 0 0 0 0 0 0 0 0 0 0 0 0 0 0 0 0 0 0 0 0 0 0 0 1 0 0 1 0 1 0 0 0 0 1 0 1 1 0 0 1 0 0 0 0 0 0 0 0 0 0 0 0 0 0 0 0 0 0 0 0 0 0 0 0 0 0 0 0 0 0 0 0 0 0 0 0 0 0 0 0 0 0 0 1 1 0 0 1 0 0 0 0 0 0 0 0 0 0 0 0 0 0 0 0 0 0 0 0 0 0 0 0 0 0 0 0 0 0 0 0 0 0 0 0 0 0 0 0 0 0 0 0 0 0 0 0 0 0 0 0 0 0 0 1 0 1 0 1 0 0 1 0 1 0 0 0 0 0 0 0 0 0 0 0 0 0 0 0 0 0 0 0 0 0 0 0 0 0 0 0 0 0 0 0 0 0 0 0 0 0 0 0 0 0 0 0 0 0 0 0 0 0 0 1 1 1 0 1 1 1 1 0 1 0 0 0 0 0 0 0 0 0 0 0 0 0 0 0 0 0 0 0 0 0 0 0 0 0 0 0 0 0 0 0 0 0 0 0 0 0 0 0 0 0 0 0 0 0 0 0 0 0 0 1 1 0 1 0 1 1 0 0 1 0 0 0 0 0 0 0 0 0 0 0 0 0 0 0 0 0 0 0 0 0 0 0 0 0 0 0 0 0 0 0 0 0 0 0 0 0 0 0 0 0 0 0 0 0 0 0 0 0 0 0 0 0 0 0 0 0 0 0 0 0 0 0 0 0 0 0 0 0 0 0 0 0 0 0 0 0 0 0 0 0 0 0 0 0 0 0 0 0 0 0 0 0 0 0 0 0 0 0 0 0 0 0 0 0 0 0 0 0 0 0 0 0 0 0 0 0 0 0 0 0 0 0 0 0 0 0 0 0 0 0 0 ================================================ FILE: programming_assignments/beale_ciphers/testcase/small/test6.out ================================================ 10 ================================================ FILE: programming_assignments/beale_ciphers/testcase/small/test8.in ================================================ 1 40 40 40 -7 -4 -9 8 -7 -6 2 -10 3 -2 -2 -9 6 -3 -1 -4 7 -6 1 9 -3 2 2 0 -2 -2 -2 5 -10 8 0 -7 -6 1 3 -3 5 7 9 -9 8 -3 4 4 -4 -6 -10 5 -2 -7 4 -3 5 9 7 6 9 7 1 9 5 -8 4 9 -5 9 9 3 -1 0 -4 -3 0 -10 3 6 -6 -5 -6 -6 -2 0 1 -6 -1 -10 2 -2 8 -7 9 3 7 -5 -5 -7 7 6 -2 8 -4 4 -5 6 4 8 -5 1 5 -1 5 -7 1 9 9 -9 9 1 -9 7 -3 3 1 -6 0 -2 9 9 -6 -3 7 0 3 4 9 -10 -6 -6 1 9 -5 8 -7 6 7 4 -1 7 -4 -7 4 -5 -2 7 -9 8 -5 -9 8 -9 -10 5 -6 -4 -8 -7 -4 -4 9 7 -4 6 -3 -9 -6 -5 5 4 -8 3 -1 -2 8 7 8 -10 5 5 3 -5 7 3 3 -9 9 5 6 7 -9 -3 -4 9 -7 4 -10 -3 9 6 3 3 -1 -8 -9 -10 1 9 -10 9 5 -5 -6 -6 8 -1 7 0 6 3 9 8 -10 -4 -1 5 -10 0 -8 9 8 -2 2 9 0 -5 9 4 7 1 3 -6 6 7 -2 -3 9 -5 -1 5 0 -2 -5 -8 4 5 7 4 -5 1 -5 5 9 -1 4 -8 5 4 6 2 7 -9 6 4 8 6 3 -1 -9 -8 -5 -7 -8 0 -5 -1 7 4 -7 -8 -5 -9 -1 7 0 -6 1 7 0 9 -1 -3 -10 7 3 0 -5 8 -10 -4 -10 7 -9 5 -3 -4 -6 -5 -10 -3 9 8 -10 -1 -3 1 -5 0 -2 5 -1 0 4 -9 9 -10 1 -5 8 -7 -7 1 -10 -5 -4 -10 -7 0 7 6 -1 6 -4 0 7 3 3 4 5 3 -9 -6 5 -2 -5 5 -2 -2 2 8 -6 -3 -1 -6 2 5 -6 -2 -5 3 -6 -3 -8 -8 7 1 5 -8 -4 -8 5 -3 -4 1 5 -7 8 5 -7 -8 4 -3 -1 -7 2 4 1 -2 -8 6 4 8 5 6 -10 2 -3 -3 -4 3 -1 -8 3 5 -5 -10 0 5 6 3 7 -8 3 -4 -5 7 -10 6 -5 4 -5 9 2 -10 -3 2 -5 5 9 1 -10 -2 -5 3 5 -8 -4 -5 7 -8 1 -4 -6 6 3 -9 3 -5 0 0 2 -3 0 -6 9 -1 -1 -6 -6 -2 -2 7 -1 3 0 -6 -2 -2 -8 -5 0 -5 2 -4 -9 7 -10 4 4 -8 -6 -4 -1 -4 -7 -2 6 2 -5 2 2 -5 -1 -9 0 2 8 8 -10 2 -6 -7 -1 -2 -9 0 -5 -9 6 1 5 2 0 -6 9 3 -5 -3 7 0 1 -9 5 3 -7 7 -5 3 6 7 7 -10 -10 -4 -2 -8 6 -5 5 -6 6 1 6 -4 -3 -3 1 2 -4 -2 4 0 0 -9 -7 -5 9 -2 0 5 -5 -3 -3 8 3 5 2 -9 2 -3 7 -2 0 3 -3 0 3 8 -8 1 9 -1 -9 -9 -8 -6 -4 -9 -6 -2 -2 -8 5 5 -10 -10 -8 2 3 4 1 0 5 4 5 -8 -6 -10 2 8 2 1 9 3 -6 -8 0 0 5 4 0 -6 6 7 9 -2 7 -8 2 0 -2 6 2 5 0 -2 7 -4 -2 -8 6 2 -5 -2 8 0 0 -2 2 -5 4 -7 -1 1 -10 -9 1 0 5 -6 2 -7 2 -5 9 4 -5 -2 -10 -5 -8 -2 8 -2 6 6 8 8 6 -8 -6 0 -5 -5 3 8 -4 -5 -10 -9 -9 2 7 3 7 -2 -3 -8 -2 9 -10 1 9 8 1 6 -4 -1 -4 -8 -7 0 2 -9 6 -4 9 4 -7 9 -2 -6 -7 7 -1 -9 -5 -2 5 3 -3 -3 6 8 -5 -3 4 -7 -2 -9 -5 2 -7 8 -5 1 6 6 8 9 5 -4 -7 0 -7 -6 -7 -10 2 9 -5 9 -4 -8 7 -6 -1 -6 -3 0 7 -5 4 2 -7 9 -6 1 5 4 0 -8 -10 -5 2 5 -1 6 5 -9 -3 -10 2 -5 -8 -9 -9 -6 7 -1 -4 -4 -4 -10 9 -9 9 5 2 -4 -1 -8 -2 -9 9 -10 6 -2 -2 1 -9 5 1 -5 3 -4 8 4 -8 6 5 -2 4 -9 -10 3 -8 9 -10 4 -5 -9 -2 -5 -8 9 -5 8 9 -4 -9 -10 3 3 7 -4 1 6 -9 3 -6 -2 3 8 0 3 -6 -6 -6 -6 1 -9 -4 9 -4 -10 1 -7 9 0 -1 -10 -7 -7 -5 -10 -9 -2 -2 -8 3 2 1 -4 -7 3 1 -3 7 5 -7 -2 -2 -9 -10 4 -8 1 0 3 -9 1 -5 6 4 1 7 6 1 7 0 -5 -8 3 1 -5 -4 5 -6 6 0 9 6 1 -9 6 -5 5 9 5 -2 3 -3 3 -1 3 6 -4 -9 -10 -6 -6 -5 8 7 -2 -7 6 -7 9 2 -4 8 -10 7 1 7 -8 -4 6 0 -4 -1 -1 2 1 4 -10 7 -2 -10 3 2 -5 1 -9 4 -4 -1 7 -5 3 -7 6 4 -10 -3 1 5 -4 9 7 2 -9 8 -6 2 2 -5 -9 2 7 -3 6 -7 0 8 7 7 -3 -4 4 -9 -8 -8 -3 4 0 8 -9 -2 -1 8 -10 -8 -2 7 4 3 4 -2 -5 1 5 -8 4 7 2 -7 4 9 -8 -9 2 -6 -7 9 8 -5 -1 2 3 1 0 -4 3 9 -7 -10 -6 7 -2 -1 -2 5 -7 5 2 5 8 9 -3 -10 2 9 6 5 1 -3 3 2 9 8 5 -9 -6 -1 -10 -3 -9 6 6 -9 -4 7 6 -1 2 -10 7 -8 1 -6 5 -7 5 1 1 8 0 -6 1 -1 -8 8 1 9 -3 -7 -4 -10 -10 5 -9 8 2 -1 9 -6 -8 6 8 3 -10 3 7 -2 7 -10 -4 -3 6 -1 7 0 -2 -10 -1 -3 -7 -2 -2 -7 -7 -1 -9 5 9 -9 1 -9 7 -1 -4 0 5 5 8 2 5 -6 1 1 -4 -10 4 4 -10 -7 -9 -6 1 -9 9 4 1 -9 -9 -8 4 2 5 -7 -8 -9 -5 7 7 -7 -9 2 -10 -6 6 8 -5 0 2 -5 -5 -5 -1 7 -3 -1 -7 0 -8 -5 2 -2 7 -3 1 1 -2 7 -2 7 2 -9 -8 -6 -4 8 -8 1 -10 -4 -2 -5 2 8 4 9 9 8 -9 3 -7 3 -9 2 -10 -6 -6 -10 3 2 8 -4 -4 2 -8 2 0 -5 5 -8 1 -7 9 5 3 4 -4 -6 2 -3 7 -3 -10 0 9 2 -3 -7 -5 -10 -2 5 8 -4 -3 -9 0 -1 8 -5 1 -9 -10 0 7 4 6 -7 8 -2 -7 -2 -3 -7 0 9 -2 7 -8 3 0 -8 -2 -2 -2 5 -9 8 -6 9 5 -3 3 6 -1 0 0 -4 -5 -10 4 -10 -10 4 -6 -7 3 -6 -10 -3 -1 -8 0 7 1 0 -6 2 -9 -10 -6 6 -3 7 -6 6 9 -4 -8 6 -3 -1 7 9 5 3 -8 -2 7 5 5 -4 7 7 5 -10 -10 1 -5 -9 1 -1 -1 0 8 4 8 -1 -10 3 -5 9 4 4 1 -1 -3 3 -1 6 -10 6 4 0 4 -9 0 -4 2 5 9 5 6 -2 7 -4 4 6 5 -3 -9 3 -4 5 -3 -1 -6 5 5 3 -7 5 -1 8 7 5 9 -2 3 -6 5 2 9 2 3 7 0 -3 -5 -4 -4 -4 9 -5 -9 8 4 7 -5 -1 -8 -1 -5 1 -3 -8 9 8 -8 2 -8 8 7 -8 -8 0 1 2 -1 -2 0 6 4 -9 -9 -3 -10 5 -6 7 7 -4 -4 4 -1 -5 -2 -10 -6 1 -5 -4 -9 -8 -10 5 2 -7 9 3 1 -8 -9 -5 -7 -8 2 5 0 -2 3 -3 4 1 3 6 7 -9 6 -9 2 -9 -3 -5 5 -10 -10 -3 -7 2 3 5 4 4 -10 7 -1 -5 -5 1 3 0 0 378 -65 -239 -133 -128 300 -484 -34 36 175 -187 -95 296 7 58 -93 -198 116 43 -268 -96 -87 -259 35 -369 17 -134 72 49 -157 -296 -301 -570 4 -29 -80 2 536 -62 71 234 -6 -230 105 187 -238 -241 96 108 64 -243 226 38 433 -167 -6 -210 205 144 66 170 -154 105 -335 -185 -253 -63 -364 214 -275 61 246 -253 -213 -132 -56 -258 -424 -103 -149 -29 -119 -47 -401 -481 292 -407 -119 -35 -140 17 59 338 -288 -41 205 -62 266 -235 -147 271 -378 -183 -75 -2 50 99 304 113 -432 -146 -150 39 -96 208 -21 -478 14 68 -141 -348 -389 327 -125 172 39 40 -272 43 -400 -96 -249 21 -197 117 -178 374 -263 -17 -417 236 -144 -35 144 -106 -33 -190 -191 -254 514 392 -141 117 -53 -17 196 350 -396 -261 44 548 11 13 -372 -141 565 -207 71 -199 -215 47 468 -124 17 -222 295 -183 482 127 -134 70 30 -311 65 362 320 119 319 132 -362 -282 -236 -229 -97 77 -187 -278 30 -197 -240 123 109 -482 -56 -47 327 -277 44 -94 -201 -92 -17 -302 165 -124 -134 114 -137 119 -260 213 434 -51 75 204 135 -187 -143 -296 322 -342 -530 -297 -224 -333 13 -330 390 -137 121 -20 -402 298 -284 123 -251 -24 -170 -173 91 -249 23 -205 87 -183 187 192 216 161 -109 -68 -108 -98 -74 -239 224 132 -229 -190 -150 63 -223 297 85 212 -165 200 -140 -678 90 -338 1 135 304 488 -152 217 26 44 165 254 42 -119 130 308 1 13 60 54 486 -41 264 416 200 -22 290 -317 -220 117 312 -14 -21 146 53 -530 164 377 -55 261 -22 597 564 -352 189 -140 474 49 -177 182 100 -16 233 -173 424 107 140 -155 168 239 -158 9 27 95 238 194 -11 -182 -194 -46 -105 -133 110 -200 -53 -203 -24 -184 301 127 283 66 -179 30 -103 343 69 176 -207 -373 195 -350 -197 -98 -192 -106 199 56 -198 133 -60 36 -97 329 -105 -49 -282 162 -21 -150 -114 396 -127 222 -12 452 -80 -63 -345 289 -165 199 69 286 5 -10 -124 386 -21 -303 -112 42 -94 -81 28 -139 243 226 552 181 -341 195 -471 -139 -22 -64 -74 154 -125 39 23 393 217 -2 287 -308 277 114 -152 -225 -78 12 363 -81 -70 276 71 -117 76 159 130 -45 -31 -11 106 -283 -142 -234 -337 126 163 -274 94 141 -284 89 -294 -104 95 -141 -167 68 183 68 207 96 -289 -146 -36 389 109 314 203 165 439 30 94 15 -36 -143 238 195 360 8 171 -118 175 -194 281 190 -45 -133 -42 -215 4 75 470 138 101 274 209 114 361 -102 -56 -53 180 -197 190 16 133 343 -122 -144 -19 74 275 126 -260 -116 -62 -105 257 -316 -264 -186 -186 148 207 -58 -57 -177 247 90 405 36 126 43 100 -414 -233 235 -78 -150 384 72 68 -5 5 -393 -170 56 -8 90 144 -404 14 159 -161 -510 -197 0 -68 189 -416 72 313 88 -59 -37 -275 107 -133 -152 314 158 325 -11 -83 -181 99 59 -225 -147 198 301 102 -26 186 -98 -45 372 367 47 -291 -84 -32 190 361 -72 396 225 -2 -320 -79 289 72 70 287 311 14 -527 161 -122 132 120 -90 -123 270 107 -14 9 191 248 414 -268 119 189 83 -270 188 -340 -208 -36 -277 2 -36 -167 -235 2 -118 -400 -487 -36 93 111 -216 53 -259 -283 -130 -203 -91 -34 -235 -178 -401 68 215 -189 -324 218 -86 226 -177 181 -41 24 79 -67 200 14 -228 191 237 39 13 -232 -171 44 -221 108 -41 159 -33 -2 188 -268 -221 -45 -18 -115 -311 160 -242 501 -359 42 135 99 -140 86 70 6 -204 40 -454 156 95 37 480 -198 -112 137 310 387 51 12 19 196 -37 160 -43 -129 -121 -36 72 -77 -134 -83 223 143 -10 112 62 33 104 -460 -184 136 170 -64 -75 257 -173 -56 -31 261 -235 -49 299 -54 -217 -535 -24 -114 13 193 70 -364 629 -224 48 -76 312 492 140 28 153 224 -220 -43 292 29 52 -463 -35 -224 -279 67 -238 -209 285 -258 -197 65 -33 -26 347 339 -25 423 -68 29 -42 529 -269 -141 179 10 173 -174 158 -417 309 277 -89 -207 -135 6 302 -647 96 -102 -170 -378 -29 -151 318 176 55 -24 291 -66 -129 86 -292 -87 290 271 -171 -146 -249 -102 730 189 -131 387 -530 -45 -238 244 92 174 -53 93 345 -265 58 -90 -131 418 -177 -259 93 93 536 43 -335 -21 317 240 470 115 351 234 385 -102 93 -158 -336 -167 300 342 162 361 382 269 -160 94 255 -225 -181 -510 167 295 -149 223 35 -83 50 -185 166 316 364 -10 -236 -515 -95 -197 387 303 355 207 23 -311 130 -9 -52 395 366 14 83 -38 -113 323 224 -128 215 54 -110 486 7 -85 -179 -257 -240 282 -196 289 174 186 -185 291 -47 119 -159 -115 -199 -239 -16 -133 -147 -58 -90 -322 -218 41 -345 219 86 -258 -241 122 -280 433 -118 -319 332 -19 349 0 14 -66 -18 45 -169 -88 -213 57 85 -242 282 141 -16 -234 -118 46 362 234 246 -108 -162 416 32 -12 -268 733 67 -1 261 -264 218 -464 -120 63 -73 59 -293 -33 236 -216 -382 -6 -175 54 -401 263 32 150 -94 111 19 142 -118 109 -134 -55 -323 -444 -332 199 -93 101 82 33 51 -153 39 274 150 306 -14 66 55 50 -187 179 39 -271 88 289 -10 -23 -436 40 46 133 -202 -152 86 -599 180 -113 168 -118 426 -138 -9 141 154 87 55 -231 2 55 -168 375 34 -229 -79 -95 343 -65 64 -35 -116 185 -73 -169 -71 -169 -127 -158 -136 -50 -79 15 -115 41 -6 19 387 303 392 282 -18 -129 -238 -223 128 465 -403 166 205 -180 279 459 106 -282 5 196 -202 -175 118 180 20 -274 39 -278 152 241 504 259 481 -121 602 -289 150 365 -451 170 -452 -172 -379 80 99 -30 117 373 -208 72 373 -200 -161 -267 -415 -8 469 315 256 70 452 124 503 324 -275 31 112 182 64 187 -56 295 371 -234 -56 -106 -100 11 171 419 -210 138 -347 198 -314 244 -190 101 339 214 -12 -44 26 -442 -51 11 58 342 319 195 70 289 -31 1071 -23 167 -8 -26 393 -205 -313 85 45 -175 -401 250 -313 48 -114 5 -126 108 157 -54 -231 -53 48 -274 176 427 -309 70 65 -79 59 200 113 193 270 213 230 119 -30 30 212 20 -326 -222 8 -133 -157 -84 37 178 252 138 46 99 -286 34 -8 326 247 278 -51 -154 -117 -112 -110 286 -111 178 184 130 -8 -50 -201 94 181 393 -402 -248 62 128 -294 41 50 -50 200 232 230 -99 -97 -110 151 61 335 94 71 55 -199 -262 -406 7 277 12 -63 -46 -190 -360 -169 -128 34 -150 -330 -186 222 -295 150 95 140 155 -14 187 2 -216 82 67 145 239 383 8 398 -191 473 -481 99 331 -146 60 -162 169 -331 219 92 114 351 284 -232 -44 382 413 -52 47 -189 -123 91 197 16 181 -154 289 196 179 -72 454 -9 -489 224 111 -91 188 -380 48 250 249 66 292 -230 -76 -360 -319 -178 298 -109 382 -46 -13 228 285 182 157 -2 335 -209 57 -164 84 321 -482 -70 -223 -4 -533 -72 135 -21 -238 -23 -43 -506 231 -430 221 91 -17 -252 -348 -75 166 48 -141 -152 -317 70 179 201 -65 144 -150 -159 48 -30 386 193 -38 -50 470 -189 -135 -16 181 -305 -291 -11 46 7 -127 13 60 186 -172 3 -356 88 279 124 -33 -273 285 -358 14 -149 -111 56 67 133 -122 -361 -131 161 39 -124 -1 -72 -305 -182 176 -91 20 111 89 -117 110 148 -265 -384 111 134 -112 -39 284 -166 -246 339 239 -238 -168 -94 174 59 94 280 68 24 -59 230 10 199 288 -320 -30 63 64 -57 136 137 185 240 494 76 -376 38 155 394 184 -490 -80 -193 -126 52 -141 189 185 -91 -232 -84 -110 -48 -140 89 -208 24 96 239 216 126 -311 42 110 214 -124 305 147 24 -351 319 -21 -352 3 80 -153 104 -67 64 73 219 -303 89 -46 -237 -169 93 -43 -37 -180 -68 90 154 58 41 149 -82 146 -167 -58 -1 -87 124 201 170 -70 84 43 -54 88 275 265 166 -10 -9 -7 6 8 -6 -6 1 7 8 9 4 3 1 5 3 4 -3 -4 -1 3 2 -8 -8 -9 -3 -3 2 2 -1 -8 2 1 -5 -10 -9 0 7 3 9 5 -6 3 -10 5 -10 3 -1 9 1 1 2 -6 3 5 7 2 4 0 -6 -6 2 -1 -3 0 -1 -10 2 8 3 1 3 7 -6 -4 -6 7 1 -4 6 -7 7 -1 9 0 6 6 -8 0 -4 -4 -4 1 -3 3 3 7 4 -5 -3 9 -2 3 -1 -6 9 3 -9 0 9 8 -5 6 -3 -6 8 -7 -9 2 -5 9 1 2 -8 8 -5 -3 5 1 2 -7 1 -10 6 -10 -5 -3 -5 -4 7 -5 6 5 3 -7 9 -6 8 2 6 -6 -6 -3 6 -4 -4 3 4 3 -5 8 -2 -2 1 6 -10 6 -7 -5 4 3 -8 1 -2 -2 -4 9 2 -5 2 -2 -9 6 6 -1 4 4 -8 -10 -3 9 9 -2 9 0 -6 9 8 -10 7 -6 3 9 -3 3 -3 4 2 1 1 -6 -10 -6 2 -2 3 -3 -8 -3 9 -9 9 8 -1 0 -10 4 0 0 4 9 -3 9 8 4 2 8 -10 -6 -1 -7 -9 -1 -3 3 -1 2 2 1 -10 2 -5 1 -8 4 -9 5 -10 -7 -5 -4 -8 -6 -5 -9 1 7 1 1 4 -10 -3 5 -8 4 -10 1 -3 3 5 9 7 2 -8 9 -4 -7 4 9 -3 2 -5 -1 6 1 -8 9 -10 3 1 -4 -4 0 3 -2 -6 4 1 -7 9 8 4 6 0 6 5 -1 -10 -8 -2 9 4 3 -10 -8 6 -7 4 -1 -2 -5 5 4 5 -1 4 1 5 -4 -3 4 -6 -9 0 -3 0 7 6 0 9 -6 -9 -5 -1 -9 -2 -4 6 -8 5 -5 9 -8 9 -4 1 4 -1 8 2 6 2 6 0 -8 5 -10 -10 1 -8 9 5 -7 -5 7 6 -5 -7 3 9 0 8 0 2 -1 -2 6 5 -1 4 -3 -4 9 6 -2 -9 1 -2 3 -7 -8 -5 0 -5 -8 -3 -9 -3 -8 -4 8 2 -6 -10 7 -4 -2 -5 -9 7 1 -9 5 0 7 -7 -6 -2 -7 7 -7 -5 4 -4 -8 6 3 6 -7 6 -8 3 -10 9 3 -1 -5 3 -4 8 -7 8 9 8 -10 6 4 6 7 -1 -4 2 5 -10 8 7 7 -6 3 2 -10 -2 -4 2 -3 1 -8 -6 7 -2 -8 -10 8 4 0 1 -8 6 -3 9 -4 -5 -6 -9 -4 -8 0 -7 8 6 5 8 -6 3 -7 1 7 7 -3 4 -5 -1 4 6 5 -6 9 8 3 -4 -1 9 2 3 -10 0 -2 -8 3 -4 8 -10 7 -8 -4 -10 -5 -7 7 2 7 4 4 -7 -8 -9 9 -9 9 2 -10 -1 1 2 4 -7 4 -8 -4 -3 -9 -6 9 8 9 -5 0 -6 -2 -3 -1 7 3 5 -10 6 6 -10 -1 6 2 -1 7 6 3 1 9 -3 -4 -5 -4 -3 0 8 -5 -9 -7 5 -5 -6 4 -4 3 9 3 4 -3 0 -4 7 8 0 8 -3 -4 2 8 -4 1 6 -7 8 -7 -5 6 -2 -4 1 5 -6 -3 -1 -8 -9 -9 6 -3 -2 8 3 -5 -2 5 -6 5 -8 -2 -5 -10 9 -8 5 -1 -5 -9 -5 -4 -3 -1 -9 -7 6 -7 -4 7 -6 -8 -6 2 -10 -1 0 -10 -5 -4 5 9 -4 -10 1 -5 4 -4 5 -10 9 2 8 9 -9 9 -8 0 -8 -2 -3 8 -8 -6 -7 4 3 3 4 0 1 -9 -9 7 -8 2 4 -2 1 -9 -10 0 4 8 -1 -3 8 -6 7 2 -6 7 1 -3 -9 4 3 -4 9 -2 -1 -8 -1 0 1 -7 5 -5 2 -4 9 -6 6 -5 -7 8 2 -9 -8 -8 -5 -4 1 -2 -5 2 -8 9 0 3 -3 9 -3 -2 -8 8 -6 7 6 -2 -7 5 2 1 -10 5 -9 -6 -2 5 8 4 -8 -1 4 9 3 -1 8 -6 -8 7 5 0 -4 -1 -10 -8 -4 6 0 -9 1 -8 -5 -7 0 -4 -10 0 -8 8 6 6 -2 1 5 3 -10 4 -1 4 -7 -5 -6 -9 4 7 -7 3 3 -5 4 7 -2 1 -10 0 8 2 -10 2 1 -1 -10 1 -10 5 -6 -10 -9 4 4 -5 1 1 8 7 -2 -8 0 3 -3 7 0 -3 -2 -7 -1 8 5 -8 -8 8 1 -8 -1 1 0 -4 -7 1 2 -1 -2 5 2 9 2 2 -9 5 -4 -10 -6 -2 -10 2 1 -1 -7 9 1 -5 7 4 -10 9 -5 0 7 -10 3 -1 -8 4 6 4 3 -10 9 -4 5 7 -4 9 -5 -4 -6 7 -2 9 6 9 -6 -5 4 -6 -6 1 -4 -9 -6 -10 -8 -4 4 8 2 -3 9 -7 -5 -4 -10 1 -4 -4 0 -8 5 8 -9 -7 -1 7 -2 5 4 3 9 -10 -4 -7 2 -1 -9 -4 -3 -5 -5 -4 -1 0 -5 -9 4 1 -3 -6 -5 -8 4 8 7 5 5 -4 1 -9 1 -8 4 7 7 -4 -4 8 -5 -4 5 -8 -6 6 -5 -1 8 9 2 -5 5 7 -10 -9 5 7 6 -7 5 -3 6 -4 -1 0 -6 -4 7 -8 6 4 -2 -6 6 3 -10 -9 4 0 2 -3 6 -3 -6 -2 -2 2 7 -5 -3 -5 -6 -7 1 -4 4 -3 -6 -7 0 3 7 0 7 -5 5 -1 -3 0 -10 9 7 -2 9 3 -2 9 7 -5 6 -6 0 -9 -10 4 9 -4 -9 -7 -1 -7 6 8 -4 -5 -7 -9 5 -8 -7 -3 4 2 5 -5 -4 -7 -6 -7 -10 -9 -10 1 4 -10 7 3 8 0 -2 9 -4 -5 7 2 -8 2 -5 -1 -3 -9 6 -9 3 1 -4 1 4 -8 5 -3 -7 -3 8 7 9 -3 -8 7 7 1 -2 -7 -2 7 -3 0 -1 -5 -10 -2 -4 -2 -9 1 -10 -3 -7 -4 -8 0 3 -5 7 -7 5 -2 -8 7 -5 -10 -10 3 5 -2 0 5 9 1 -10 1 2 8 9 3 -1 1 3 -6 0 5 4 5 2 1 1 -3 1 3 7 6 -5 7 -9 -9 -4 -7 -2 7 -3 -2 -10 9 8 1 -6 9 5 7 -6 -5 2 0 2 7 4 -7 -6 -5 -1 3 4 4 1 5 -3 -1 1 5 8 0 5 8 -9 -5 -1 -5 -5 -6 -7 -9 -9 -3 1 -4 -6 -5 -1 -9 1 0 4 -5 -5 7 2 2 8 5 -10 6 -5 5 4 -4 -9 6 -6 8 2 9 1 4 -4 -8 -10 -7 -10 -9 6 -7 2 0 -10 -1 -10 2 3 8 -10 3 5 -5 -9 -9 -6 4 7 -2 2 0 9 5 6 -5 7 6 -10 -1 -1 6 2 3 9 2 -8 9 7 6 -1 7 -9 -6 4 -8 8 0 6 5 0 -10 7 -1 5 3 -3 -5 -9 -3 -4 -7 6 9 6 5 -7 9 -4 2 -3 5 -1 -2 2 6 -7 0 -4 1 7 7 -6 5 -4 9 -10 3 6 -8 3 -7 -5 -1 4 3 6 7 2 -8 -8 1 7 1 -10 -9 9 5 -7 -4 -4 -9 5 0 -2 -9 -8 -2 -3 0 0 2 3 -3 -9 9 -9 -1 -1 -5 1 1 7 -10 4 -1 -8 4 -6 -5 2 -8 8 -3 3 -4 -10 -3 5 9 7 7 1 -7 7 -6 -8 8 3 -7 5 -6 4 -6 7 -1 -5 9 5 -1 6 -3 -6 -3 4 -1 3 -4 6 -2 -4 -5 8 7 -2 5 4 -7 -5 -3 -4 -10 -6 3 7 -9 4 -8 2 -1 -6 -10 6 -2 -3 -8 7 -9 -10 -5 -9 -4 0 9 6 9 -4 0 4 1 -1 -10 -6 3 -5 -9 4 9 -7 -4 -2 -3 9 6 -3 -4 0 -6 9 1 -1 -9 -1 2 2 7 1 9 -3 7 -8 7 -1 8 0 5 9 7 4 5 5 5 -8 4 -7 0 3 -4 -4 2 -1 -2 3 0 -10 8 -2 ================================================ FILE: programming_assignments/beale_ciphers/testcase/small/test8.out ================================================ 1 ================================================ FILE: programming_assignments/jukebox/.gitignore ================================================ *.bundle.* lib/ node_modules/ *.egg-info/ .ipynb_checkpoints *.tsbuildinfo jupyterlab_git/labextension src/version.ts # Integration tests ui-tests/test-results/ ui-tests/playwright-report/ # Created by https://www.gitignore.io/api/python # Edit at https://www.gitignore.io/?templates=python ### Python ### # Byte-compiled / optimized / DLL files __pycache__/ *.py[cod] *$py.class # C extensions *.so # Distribution / packaging .Python build/ develop-eggs/ dist/ downloads/ eggs/ .eggs/ lib/ lib64/ parts/ sdist/ var/ wheels/ pip-wheel-metadata/ share/python-wheels/ .installed.cfg *.egg MANIFEST # PyInstaller # Usually these files are written by a python script from a template # before PyInstaller builds the exe, so as to inject date/other infos into it. *.manifest *.spec # Installer logs pip-log.txt pip-delete-this-directory.txt # Unit test / coverage reports htmlcov/ .tox/ .nox/ .coverage .coverage.* .cache nosetests.xml coverage.xml *.cover .hypothesis/ .pytest_cache/ # Translations *.mo *.pot # Scrapy stuff: .scrapy # Sphinx documentation docs/_build/ # PyBuilder target/ # Jupyter Notebook .ipynb_checkpoints # pyenv .python-version # celery beat schedule file celerybeat-schedule # SageMath parsed files *.sage.py # dotenv .env # virtualenv .venv venv/ ENV/ # Spyder project settings .spyderproject .spyproject # Rope project settings .ropeproject # Mr Developer .mr.developer.cfg .project .pydevproject # mkdocs documentation /site # mypy .mypy_cache/ .dmypy.json dmypy.json # Pyre type checker .pyre/ # End of https://www.gitignore.io/api/python # OSX files .DS_Store # jetbrains ide stuff *.iml .idea/ # vscode ide stuff *.code-workspace .history .vscode # vim stuff *.swp ================================================ FILE: programming_assignments/jukebox/README.md ================================================ # Jukebox - 문제 출제 및 검수: lucas.ii - 해설 작성자: iggy.ll > 이 문서에는 Jukebox 문제의 요약과 간단한 설명이 덧붙여져 있습니다. **문제 원문은 [jukebox.pdf](jukebox.pdf) 문서에 있습니다.** > 문제에 대한 해설과 풀이는 [solution](solution/) 디렉토리를 참고해주세요. ## 1. 문제 설명 사용자의 성향을 고려해 각 사용자가 좋아할 음악을 추천하는 추천 시스템을 만들고자 합니다. 각 사용자가 들었던 음악과 그 음악을 들은 횟수가 입력으로 주어집니다. 임의의 Collaborative Filtering 알고리즘을 구현해, 추천 시스템을 구현하고 이를 오프라인으로 평가하는 것입니다. ## 2. 실험에 필요한 데이터 ### `listen_count.txt` 각 유저가 어떤 음악을 몇 번 들었는가를 표현하는 데이터입니다. ``, ``, ``가 공백을 기준으로 구분되어 있습니다. 예시: ```text 18091 6716 3 15772 1251 1 ... ``` ### `test_data.txt` 평가 데이터는 미리 주어지지 않습니다. 제출하기 이전에, 이 데이터를 임의로 학습 데이터, 테스트 데이터로 나눈 뒤, validation을 수행하기를 권장합니다. 평가 데이터의 형식은 다음과 같습니다. 평가 데이터에서, 각 유저마다 유저가 실제로 들은 아이템의 수는 다를 수 있습니다. ```text $ cat test_data.txt 15772 3663 2151 3759 2554 1151 3399 ... ``` ### 3. 추천 성능 평가 추천 성능의 평가 기준은 NDCG@100입니다. 주어진 데이터에서 가장 청취 회수가 많은 곡 100개를 유저에게 추천했을 때의 NDCG@100는 0.1입니다. 제출한 결과물은 평가 데이터에서 평가했을 때, NDCG@100이 0.2보다 크기를 기대합니다. ### 4. 수행 과정 #### `train` - 주어진 데이터(listen_count.txt)를 이용해 추천 모델을 생성합니다. - 모델을 생성하지 않는 경우, 이 과정을 생락하셔도 좋습니다. 실행 방법: `./train ` e.g., `./train listen_count.txt my_model` #### `recommend` `train`에서 학습한 아웃풋 모델을 이용해, 유저 아이디가 주어졌을 때의 추천을 K개 생성합니다.`train` 과정을 생략한 경우, ``을 여기서 사용해도 좋습니다. 입력에 쓰이는 `user_id.txt`는 각 라인마다 유저 아이디를 담고 있는 파일입니다. user_id.txt의 예시: ```text 15722 2716 3759 ``` 실행 방법: `./recommend user_id.txt ` e.g., `./recommend my_model user_id.txt 100` e.g., `./recommend listen_count.txt user_id.txt 100` ```text $ ./recommend my_model user_id .txt 5 15772 201 200 1819 215 203 2716 514 184 1235 1184 1752 3759 514 534 1249 6341 4623 ``` 결과 형식은: 각 줄의 첫 번째 단어는 유저의 아이디, 이후 K개 단어는 각각 유저에게 추천되는 K개의 아이템 아이디입니다. `15772 201 200 1819 215 203` 이 라인은, 유저 15772가 201 200 1819 215 203를 순서대로 좋아할 것라는 의미입니다. #### `evaluate` `recommend`에서 생성한 추천과, test data를 비교해 추천의 NDCG@100 성능을 평가합니다. test data는 다음과 같은 형태입니다. 각 줄의 첫 번째 단어는 유저의 아이디이며, 각 줄의 나머지 단어는 유저가 실제로 들은 아이템의 리스트입니다. 평가 데이터에서, 각 유저마다 유저가 실제로 들은 아이템의 수는 다를 수 있습니다. ```text $ cat test_data.txt 15772 3663 2151 3759 2554 1151 3399 ... ``` ### 5. 제약 조건 - 8core, 8GB 머신에서 전체 수행 시간 20분 이내에 추천을 생성할 수 있어야 합니다. - 채점의 용이성을 위해 C, C++, Python, C#, Java, Scala 중 하나의 언어를 사용하기를 권장하지만 다른 언어 사용을 원하는 경우 사전에 협의 가능합니다. - 오픈소스로 추천 라이브러리, 혹은 머신 러닝 라이브러리를 사용할 수 있습니다. ### 6. 제출 파일 1. 구현 코드 1. 구현한 방법에 대한 간단한 설명과 실험 결과 리포트 1. 구현 코드를 실행하는 방법에 대한 설명 1. 실험에 사용한 학습/평가 데이터와, 모델을 생성했다면 생성한 모델 ### 7. 평가 기준 - 제약 조건 이내에 컴파일 후 추천을 생성할 수 있는지 - 생성된 추천의 NDCG@100 - 사용한 알고리즘과 그 알고리즘에 대한 이해도 - 코드를 효율적이고 이쁘게 구현하였는지. ### Note - NDCG@100 점수가 유일한 평가 기준은 아닙니다. 어떤 모델을 사용하기로 선택했는지에 따라 NDCG@100이 크게 달라질 수 있기 때문입니다. 추천 시스템에 대한 경험이 많으면 우수한 모델을 쉽게 선택하고, 좋은 오픈 소스 구현체들을 손쉽게 가져올 수 있기도 합니다. - 직접 모델을 구현하는 경우, 추천 알고리즘을 제한 시간 이내에 올바르게 생성하는 코드를 효율적으로 구현하는 것이 오픈 소스를 사용하는 경우 모델 선택을 한 방법과 이유, 그리고 실험 설계와 평가를 얼마나 논리적으로 수행했는가가 채점에서 중요한 요소가 됩니다. ================================================ FILE: programming_assignments/jukebox/listen_count.txt ================================================ 18091 6716 3 15722 1251 1 2716 4394 1 3759 7857 4 11755 5000 1 15712 1776 1 10826 3374 1 5074 4635 1 4068 1755 1 16290 2588 15 7025 3230 1 4902 2668 1 5060 1580 1 5002 4176 1 11882 1768 1 6058 2698 2 10865 3661 1 12947 235 1 10325 755 1 8251 1710 2 9941 7527 1 12499 1251 1 13465 685 1 16914 6031 1 127 915 1 7560 3602 1 13464 8238 1 16384 4967 1 8088 809 3 2156 4472 1 12702 3564 1 16831 1116 1 19989 7085 1 15599 3555 1 7910 6099 1 16645 2689 1 2480 1234 3 16274 5051 8 2204 874 1 13600 3438 1 9954 628 1 778 1356 1 6740 4500 1 5860 23 2 12706 1305 22 8720 1772 1 16359 2352 6 387 1116 1 8737 4944 3 16916 4121 2 6657 1946 2 10736 1388 1 717 496 1 17912 95 4 1847 5302 1 4265 5036 1 1214 6640 1 56 2688 1 13372 698 1 18940 214 4 1148 3206 1 12595 4949 1 5402 2097 5 7387 6180 1 5005 175 4 11533 8148 1 15576 2399 1 17514 219 2 10325 708 1 10533 7487 4 11122 4543 1 18250 1714 1 6895 3820 1 11876 1755 1 1474 1730 8 5637 2736 3 8471 6220 2 17586 1342 1 3572 1284 19 5696 524 2 8393 1275 2 11516 1766 1 11612 1249 16 9386 1816 1 2625 6229 4 15230 229 17 3781 508 1 6048 506 12 2209 3400 3 9787 1975 2 19079 5653 1 13870 543 3 8927 541 1 18244 1267 1 1754 3233 2 17486 2008 1 16493 5737 1 8768 3316 2 6894 910 5 899 5243 1 14253 2522 1 2797 1775 4 5140 7013 1 10688 663 1 4541 7381 1 14074 1164 4 10399 1710 4 11230 2428 1 3340 276 2 3516 1561 2 13652 2836 1 16715 3510 4 4120 3480 1 16022 763 2 473 23 1 12870 537 1 11271 1717 1 10852 929 5 4057 670 1 8313 934 1 1625 364 1 19872 5565 1 8105 692 1 11406 1359 1 17926 1037 2 8532 1236 1 4841 1755 1 9402 1081 4 19693 2662 1 7227 7936 1 9624 1788 3 14470 5105 1 19141 4995 1 5608 753 1 9457 2404 2 3700 1027 1 11519 1788 1 4546 201 4 18698 2691 4 15047 203 26 19034 1118 1 11793 3973 1 6259 206 2 2803 5294 3 4617 7204 8 7482 1779 7 2905 5441 1 9322 6564 1 12892 6361 1 822 3834 1 2135 1707 1 8528 1275 1 14790 1687 1 9805 4182 3 15107 207 5 18681 7809 1 14752 6200 1 16250 201 2 9329 8127 2 19243 2438 1 11880 3580 2 1552 7604 1 10137 34 5 2584 2493 1 13462 4022 3 1966 1548 4 15314 6758 1 5495 3699 2 18027 6926 1 16253 303 1 6926 1208 2 9097 2953 35 9488 1779 1 10711 201 1 6269 7229 5 1092 7798 1 16238 2686 1 17313 622 1 8810 7466 1 8343 215 6 19612 6768 5 2691 827 2 8438 199 4 12706 5018 5 6871 2671 1 11060 3701 1 3189 4207 2 630 6575 1 15107 631 1 8989 3283 1 7994 874 2 14700 827 1 2792 23 1 17388 186 1 15061 484 1 1566 1785 1 4925 3540 8 14828 3917 1 10287 6495 13 10927 5432 2 3986 200 3 10592 3065 1 19319 1036 1 208 1247 1 3048 252 2 8448 6481 2 1217 203 16 10852 3596 2 11556 184 1 1143 23 2 1863 2363 2 616 7256 1 6185 2478 6 9398 1350 3 8824 533 7 15714 3804 1 17328 6623 1 3739 2402 1 14412 219 1 14865 2632 1 380 1741 4 153 7096 3 899 960 1 2293 4386 3 8383 1707 1 6265 8026 1 19094 2892 1 8198 3173 6 5875 1474 1 10234 1250 17 5816 7182 2 4110 207 1 13 958 1 7498 7045 1 5974 1464 1 14087 2027 5 15122 2016 1 11238 2691 1 16178 1311 1 9836 4023 4 3253 2474 2 1217 4720 5 17205 2626 1 6341 1314 1 16916 6949 1 17124 2622 1 5631 840 5 4539 1235 18 12303 1248 1 18116 1781 2 13841 295 4 10413 4620 1 12755 1770 1 18391 3526 1 8539 2488 2 3119 2656 2 15220 318 1 17475 545 1 7432 4555 2 10064 1724 6 16178 1658 1 2319 2915 1 19271 1733 3 5684 2087 2 18413 2262 6 3796 222 1 8129 746 1 11890 128 3 3548 1710 3 19966 3552 2 16916 4404 1 4184 5016 1 5798 4882 1 20090 7750 1 12982 173 1 3048 4200 1 4960 5294 3 10413 5037 1 130 5920 2 13084 13 1 15668 222 50 10267 1781 1 11696 1244 2 2731 867 2 4181 8200 1 12377 7636 1 2985 656 1 9743 1768 2 184 200 14 13097 2949 1 18315 2287 2 2059 1395 1 12817 7674 1 236 1694 5 10730 200 1 5573 399 1 124 5552 1 19002 4589 1 1499 5621 1 6928 1751 2 2591 506 1 391 6142 2 4386 6484 1 17184 765 1 1398 1244 1 2483 6482 8 808 2653 1 1028 2118 1 1088 7683 2 15471 3798 9 6183 201 8 19608 4653 1 8018 6161 1 8108 1018 3 19873 533 1 16870 23 1 6769 860 1 13114 1247 1 5261 533 1 6228 790 1 9369 3287 1 4688 951 1 1618 1747 8 6265 1922 1 2330 229 2 12294 196 11 14579 6680 2 8790 4702 1 1718 1946 1 504 3834 1 19826 2114 1 16569 5468 4 16661 775 1 2206 3617 1 14671 308 1 18122 8161 4 4242 2068 1 7394 2876 1 18420 8183 1 19322 3799 2 10060 1781 2 5911 6179 1 13 599 3 8110 2722 1 10146 6588 1 16231 3866 9 12633 2559 1 9462 2132 2 14233 7249 3 18140 3278 33 11387 976 1 16061 2971 1 14060 232 2 16886 1374 2 7686 7643 5 14235 6152 1 4632 3794 1 13758 418 1 13965 330 1 13343 5674 1 16089 411 1 13997 799 1 16815 3715 4 19161 4965 3 5176 1747 1 11271 2721 1 3093 246 1 10236 8072 4 11527 1432 1 11271 447 1 4900 302 2 15774 1416 1 875 532 1 13060 292 1 17492 1819 1 1986 81 1 9548 2019 2 12985 2216 1 1832 4819 1 1686 4284 2 13058 2206 1 9952 1356 1 1551 214 1 7105 1247 4 1397 1546 1 6749 709 2 1752 1333 1 10351 1060 15 4979 8191 1 20123 23 1 18015 7221 1 9762 1688 1 9117 910 2 11010 2571 1 9930 502 1 11784 623 1 170 7605 2 883 867 2 5118 5093 1 15383 2077 1 18346 6252 2 525 1745 1 4923 6892 6 2194 411 15 5677 962 3 13501 1374 1 10775 6620 4 12174 1250 1 9007 2428 2 17767 6545 1 135 6191 16 8138 777 1 14093 2991 1 19771 2730 1 18175 1277 1 11301 199 1 4106 3540 1 12378 156 1 5879 1756 14 7916 1703 1 7135 1768 1 10926 2949 94 3499 1781 2 10498 1272 1 16791 1834 2 12967 3180 1 18199 2722 5 48 2380 4 11156 6018 8 4890 800 1 9353 4623 1 15778 891 1 6463 2014 2 20159 4101 1 6124 1757 43 11786 2025 3 16831 1019 4 5018 197 1 10382 452 1 4287 6065 2 8760 2175 2 5550 1749 2 11726 4672 1 7857 173 1 18508 5565 1 19326 1742 1 13482 4992 1 8391 934 1 7065 5879 1 114 5114 1 9423 252 1 13994 126 1 5086 6632 2 4453 1644 1 5428 2542 5 11849 717 1 19094 3850 1 2674 4924 4 712 1825 2 17618 519 1 4199 867 2 8275 4386 2 16462 8117 1 8860 4011 1 19426 4342 2 863 3634 1 4875 3026 1 4081 1781 3 2512 8145 5 10426 5245 1 18014 1331 1 12045 4590 5 4698 4202 1 5286 2364 1 14924 494 1 13148 1295 1 91 2499 1 3675 498 1 7750 207 3 13830 5336 1 15553 1146 1 15978 1237 6 4036 1691 1 3661 682 1 17152 221 3 81 1007 1 16689 1688 2 6893 375 2 8937 1760 2 11131 3635 1 12167 3304 1 11145 3909 1 10579 7944 3 2058 207 2 6435 1007 1 15506 5031 2 7162 4976 6 9975 207 1 12262 6644 3 4519 4107 1 5185 6527 1 6556 5472 1 12397 1012 1 12577 967 1 18964 4245 1 864 2508 2 5215 4805 1 10693 5074 1 11622 718 5 19072 2789 1 19759 3338 7 4898 7597 11 11148 844 2 14043 4622 1 2284 8175 1 9946 6719 4 14721 1036 1 19030 3219 2 11566 6169 2 517 219 5 13579 1726 1 3158 229 2 11597 5551 1 7829 1825 1 17027 595 4 952 1247 1 18970 6334 1 6152 4336 1 6188 723 1 14642 7421 1 10355 1571 1 12146 194 1 19872 470 1 10826 655 1 6244 4204 45 3734 41 3 170 1450 3 1712 1689 1 7995 5324 1 12118 1275 1 1353 3853 1 6501 2316 2 1712 4841 1 3889 1760 2 9063 220 1 7968 2853 1 9745 4263 4 7179 2534 1 7762 10 1 11390 5255 2 4231 5389 1 195 252 1 733 1379 1 8490 1726 3 1376 2169 2 13632 3899 1 6397 6288 1 236 945 2 10293 215 1 19290 3671 7 14692 232 1 11882 3278 1 20000 151 1 15599 1342 1 6781 5023 1 17188 6343 1 17748 665 1 4758 1748 7 11938 232 2 13740 6751 2 4663 725 1 15683 442 2 7358 3971 1 1706 1302 2 12361 46 10 6463 3710 2 19871 4739 3 2748 5767 1 12838 4591 1 15896 2729 1 2583 3024 1 3947 2620 1 174 8118 1 3573 2983 1 9000 1357 3 92 4129 2 15509 23 7 18869 213 3 9466 1816 4 788 5730 1 14010 7045 6 787 1363 1 3806 3113 2 8868 2032 1 11832 2897 1 10056 1986 1 301 498 1 12 504 1 11372 10 4 19822 3578 2 18303 7395 1 9930 4996 1 8406 7850 1 9169 7497 4 4397 221 1 16974 34 1 14114 385 1 314 1561 1 15567 1610 3 7931 3596 3 124 5477 1 7817 5243 17 12853 3534 1 1997 203 4 5136 184 1 6540 7220 2 1322 1710 2 15011 756 2 7956 23 5 18767 3558 1 2643 1380 1 6294 783 3 1801 6884 3 12081 2219 3 5161 1305 1 8408 917 1 15374 2024 1 1058 3399 4 17324 874 2 16645 5018 1 11938 6481 2 14616 229 1 16779 1698 2 9921 4020 2 2172 1453 1 16313 5607 1 3112 1991 7 19184 524 5 18786 7101 16 10828 353 4 787 2383 1 7176 1778 3 9824 850 1 6333 2677 15 6954 1738 3 13451 4010 13 17336 259 1 14948 2366 18 2691 631 3 5457 6510 1 9784 225 1 2377 232 1 12175 5477 35 6266 6023 1 2135 5416 1 133 6047 1 9610 4963 1 2716 1649 1 8366 3511 5 1973 651 1 2795 156 1 5036 233 1 12656 6892 1 1844 1239 1 9416 7407 1 14698 1613 1 19675 1236 15 3698 3670 4 7097 225 1 7670 3491 6 14930 2555 6 3484 2432 4 18303 1967 2 18286 1990 1 18091 1086 1 16049 2899 3 1743 4501 3 1907 6064 1 4625 1423 1 13387 4138 2 5249 1770 9 13093 3391 6 1143 960 1 13989 197 2 14692 411 13 13543 769 1 15249 6777 2 1454 5254 2 18508 1053 1 13461 1357 5 11612 156 3 15722 1752 1 10674 71 1 9519 8091 1 19570 1744 1 5542 201 5 15184 5379 10 14921 1247 2 669 2678 1 13821 221 3 4898 500 1 2962 762 1 16671 1987 4 1275 1719 1 11586 1150 1 15708 4435 5 7685 451 1 17805 952 1 11293 663 1 7943 1737 1 17199 7424 1 12424 745 5 12731 2617 1 37 2017 1 6727 753 2 13202 1916 1 10613 1726 1 2116 6341 1 9535 6801 1 6327 207 1 911 624 1 10064 5074 1 11605 5487 11 5306 2488 1 8571 1305 3 6708 1235 1 7168 6053 2 15397 2355 18 4107 2799 1 745 561 2 10607 6021 19 14519 1664 1 7836 6435 1 5905 5137 1 8334 1 1 16341 3477 13 11502 898 1 19107 365 2 171 7680 1 10601 7740 1 5725 5255 2 5292 6414 1 19776 4315 1 10610 231 1 14218 7008 4 1718 5557 1 10473 360 1 100 679 1 7070 6355 1 12740 2632 2 1772 1146 3 17719 5064 1 10730 1423 1 7445 206 2 16366 1681 6 3755 200 11 7933 73 1 6170 1779 1 18729 1771 1 13507 1374 1 17175 6091 1 1265 889 1 4507 6561 1 5738 6758 1 12212 4670 1 6697 4949 1 10521 225 11 6463 493 2 9941 5000 1 15160 7857 1 10584 1728 17 6644 1718 1 4437 4998 6 5738 2139 1 18748 3511 6 8489 2431 1 10419 165 22 17191 6527 1 9680 422 2 18635 905 1 1337 3074 3 3227 1730 1 7910 6192 2 11270 2495 2 12189 3026 1 6927 962 1 13541 1991 1 1812 197 12 9511 2964 2 13248 3227 2 14014 1255 1 7859 1721 5 7746 7216 1 4064 3911 19 15446 2003 1 6617 470 35 5671 6470 1 5775 7229 1 9250 609 1 18665 1825 2 17961 4944 4 20219 745 1 16048 1548 1 14778 1729 2 11733 4373 2 13358 1829 1 10377 1363 2 13312 1866 1 16501 550 2 1204 1190 1 14005 4620 1 4660 2356 2 16924 911 4 11702 3534 1 12301 4498 1 15419 411 1 8022 2319 1 16184 4562 1 1737 4951 1 2938 341 1 8978 1703 1 7941 860 46 6231 844 1 5515 8194 4 745 891 1 12071 220 1 14312 5551 1 13807 1747 1 9314 1761 2 12542 201 6 10313 4392 1 824 7189 2 11614 2088 1 15708 6534 1 10806 713 1 388 28 1 19262 470 1 5571 910 3 12544 1819 4 18119 6064 1 11434 23 2 12619 1184 1 14968 5425 2 5794 3021 2 17033 1685 3 457 257 1 13829 46 1 460 1363 2 1524 1376 11 18563 173 5 7440 197 1 13000 652 9 3118 2772 5 15527 1784 1 17237 1775 7 16272 3892 10 9264 136 1 2169 3911 5 9488 8066 1 2725 1737 1 10413 6670 2 2935 115 4 10695 5002 1 2140 220 4 13705 1743 5 10022 2675 2 9122 1752 1 6913 2096 4 17609 525 6 12071 7413 1 18275 7245 1 12618 370 1 4195 2675 1 612 2673 1 18243 5145 7 15497 23 3 5185 1721 8 9444 1772 1 6681 2653 2 15374 2276 1 2217 796 1 17369 3423 1 5428 581 1 1743 6779 4 2663 200 1 12809 3697 1 2022 1756 1 17010 6457 2 3317 175 1 15834 452 1 14932 3693 2 5826 7020 2 10386 6342 5 5917 162 1 14239 4620 1 19704 4069 1 1542 1275 1 16768 4459 2 1291 5119 1 15535 7121 1 16130 1147 5 7790 5294 1 417 1184 4 17642 347 2 15248 2373 1 616 11 1 5241 411 1 626 7471 2 2139 6713 3 4153 1109 7 515 1778 1 5749 7863 8 14020 6572 1 11349 6150 1 4688 243 4 10724 2885 1 14505 203 1 19810 1244 1 8044 4288 1 10899 4245 1 18628 8060 1 3633 3227 11 12070 3233 1 5214 1889 1 812 501 1 2213 2710 1 4870 2831 2 18157 6481 3 1196 4086 1 6389 5324 1 4303 3511 1 12970 219 6 19982 8178 5 13649 4467 1 13640 1728 6 5816 7573 1 16408 4653 1 14415 148 1 2405 1247 3 17662 2727 3 4376 1146 6 18954 1715 2 3694 2894 3 4492 6200 1 11585 1146 9 10543 3356 9 176 8148 1 10290 1781 1 16438 5420 1 7189 3512 13 787 528 1 2886 3830 1 4859 7229 2 11375 1751 1 8294 2510 6 1480 207 5 14708 1245 1 5477 1825 18 5972 1359 1 9141 4613 1 7751 1342 1 7874 221 1 18968 2508 1 5911 1456 1 13234 849 1 15831 809 1 5422 2361 1 17995 23 2 14289 1296 1 4449 1248 3 13192 981 5 13563 3516 2 6184 6640 2 20248 1743 1 18368 287 1 18836 3024 1 8196 3647 1 2021 6406 1 20060 7710 10 18635 903 2 14745 219 1 15521 4803 1 19920 826 1 8464 3877 2 10916 5327 1 8283 537 5 2424 5583 2 7404 644 1 3936 1819 27 35 206 5 18383 8158 7 14699 1736 1 10906 6150 13 2860 1776 3 2458 2131 1 7208 398 1 1013 100 5 2445 3191 2 17696 2626 1 13195 3892 56 11086 1720 1 11238 7481 1 3972 5530 1 11216 1788 1 11820 6603 1 94 4308 1 18202 335 1 19608 7964 1 14284 3418 1 5198 23 1 19781 2003 1 10725 3928 1 1801 1238 3 11467 899 1 18534 7644 1 18898 1686 1 9743 82 1 17208 499 2 6415 1731 1 7442 4897 1 9647 5182 1 781 4967 1 8050 232 2 12023 1718 4 6496 2071 1 3450 6245 4 316 498 1 7564 206 2 12982 73 1 14818 200 5 9058 5023 5 384 1747 1 10699 23 2 12925 2139 2 14296 156 1 12378 7337 1 10502 6622 1 17460 3885 1 6592 809 18 18430 1758 6 11533 885 1 5023 1664 1 5884 3333 3 3822 359 1 14114 95 1 10142 187 3 162 7384 1 15548 3954 1 7743 4959 1 18102 1825 1 10539 4274 1 14196 7896 1 14009 6674 1 4572 5256 2 5514 5036 5 8470 6235 2 5749 4392 1 6556 1990 5 12230 7477 2 4850 4648 2 13097 73 5 4426 1728 16 17258 214 1 18414 2653 2 6665 1711 20 19707 489 1 1114 4998 1 10988 444 1 20262 1751 3 2911 292 2 7334 3220 1 4979 3492 1 12757 4988 1 10035 6231 2 3539 4363 1 18289 2127 1 13266 237 1 14233 3877 1 12014 3872 1 20107 314 1 18056 274 1 12619 888 2 17191 5486 1 15238 507 1 1982 7539 1 11122 7914 1 14173 4085 1 13680 535 7 4490 2056 1 10028 67 1 7828 1814 1 17555 1298 5 2267 4616 1 3812 3338 1 717 1729 1 11192 713 1 15289 1184 1 19965 4963 3 15943 291 1 5591 3177 3 80 3607 2 17988 950 1 16723 411 3 1624 2287 11 11282 219 5 15329 881 1 19219 471 1 11769 175 7 7425 1727 2 83 1187 1 10787 244 1 16185 422 24 7938 1781 1 31 1253 2 12991 525 2 100 4529 2 16925 438 1 16458 1751 2 460 233 3 1886 430 2 8269 911 2 12817 423 1 19762 3228 2 1443 220 2 11581 2649 1 18079 5612 3 8597 2353 1 325 215 1 6539 2981 1 185 5389 4 12291 3262 1 11388 1482 2 14335 1593 1 1712 7657 1 1705 243 3 857 1898 1 16860 4543 1 7251 1748 6 16590 2514 2 4419 1675 24 4287 1728 3 15096 2076 1 16178 1777 1 15192 4995 1 525 949 1 2442 1827 1 16449 3298 1 13957 207 1 13938 2107 1 14758 505 4 3647 4260 1 3133 292 3 13916 4175 1 2509 6280 4 11947 7719 2 6387 7104 1 4539 23 1 14906 3556 2 11525 1369 1 11773 6899 4 6258 3526 3 6371 355 1 1201 200 31 5785 3556 1 17779 1465 1 19268 849 1 16048 3970 1 4419 1731 5 6712 917 1 16374 7410 1 12378 3508 1 6729 942 1 13883 1819 1 11783 3669 2 16638 6471 1 3175 1464 1 17088 206 8 3543 6139 1 32 1805 4 17912 46 1 2011 510 2 15627 7342 2 16063 2737 1 1718 1826 8 6028 501 3 13361 200 1 6724 243 1 10225 3431 7 2488 327 2 11905 3393 2 14566 6058 3 8198 447 10 19011 470 1 15853 23 2 12753 7243 1 1002 4435 3 11354 1482 3 16283 4120 1 2886 626 1 5866 5399 1 25 1507 5 6524 1715 2 6533 4226 1 19201 1439 1 16792 1715 1 12459 3333 1 17305 903 18 19649 1482 1 9392 1827 5 12764 7128 3 3799 3872 2 8556 500 1 16861 4156 6 16681 7895 1 10915 3694 2 4314 3959 4 8754 6560 2 5593 1685 1 8821 1037 1 12032 2407 2 10399 867 1 11205 518 1 8576 8072 1 16925 5312 2 2350 2500 14 16151 3388 1 19331 1784 1 19727 867 7 4283 1193 3 15676 223 1 11678 2495 2 4121 1139 4 9061 6059 3 17485 1663 2 5818 6623 1 9008 1566 1 3877 2691 1 19823 6897 1 16884 1247 1 16674 5951 1 18597 545 1 6669 3137 1 2674 6011 1 5148 164 3 17113 1296 1 16726 5138 1 18451 2729 1 14232 4960 1 20172 2645 1 10187 3511 1 1911 3416 1 1462 1146 3 6281 1252 3 7823 221 2 9199 840 6 2960 2555 1 16016 3213 1 14532 6544 4 18924 23 7 17384 1772 2 9701 554 1 18080 1251 1 8210 7320 1 13592 5673 1 5463 5195 6 16997 4022 3 4524 2262 1 17522 234 17 11502 627 1 10706 498 22 3817 6777 1 11766 6490 1 16779 2686 2 16829 1718 1 11860 23 1 2298 1710 1 326 5513 1 14797 6011 7 9394 1399 2 13212 875 1 5230 3606 1 156 7151 1 16471 723 1 16338 7878 1 2743 201 6 14300 6122 1 3891 5453 1 9804 5421 1 3552 2027 1 3872 5577 5 6835 3803 1 17985 1706 2 9793 1720 2 494 223 2 259 2081 12 3630 2118 1 9660 5737 2 14492 8170 1 10004 4411 2 9709 203 15 10623 1761 5 15151 5991 1 10832 353 1 12883 2885 7 18237 219 2 5922 2935 4 3774 1729 1 18030 6341 2 8558 5018 2 19290 8175 6 8462 506 1 4417 1727 1 19246 2980 6 5863 3104 1 2261 1717 1 19784 3685 2 9319 7474 3 18656 946 1 14017 366 1 5433 8102 1 11574 1247 3 130 5887 1 12345 3045 2 10840 7655 6 12104 3239 1 5863 429 3 2508 884 1 7435 1241 13 6658 508 6 822 304 1 6089 5561 6 2656 1829 2 11616 7554 3 92 4142 1 8789 2542 1 12311 545 2 18149 502 1 6160 205 2 1967 1658 1 5916 1367 10 12911 2683 1 8250 534 1 8419 1665 1 3640 1076 3 5064 592 1 18588 4648 1 15059 3670 4 17180 6537 1 9835 7153 5 74 3464 1 9891 1703 2 490 253 1 8646 3108 1 861 907 3 1635 3227 5 2461 7222 3 756 6705 31 12513 883 1 6589 6713 1 5453 1251 13 9374 5297 1 12679 3311 4 12142 1238 2 14900 1727 1 10676 1436 1 18147 660 2 1371 1253 5 13373 5312 1 5378 1703 1 7498 3512 1 17578 982 8 6481 2468 4 5769 6723 2 6889 7726 1 7184 2357 1 8311 1771 1 1435 545 1 3894 5905 1 5617 420 1 8129 3351 5 12971 3449 1 17127 6342 11 7882 1321 3 5906 2447 1 5863 2588 1 19313 4351 6 10947 520 1 16171 2699 2 14668 2382 1 2460 1241 3 2748 6657 1 7815 1147 1 7856 746 1 13411 184 3 20060 5336 1 2748 6562 1 19134 3140 1 10999 6342 1 4880 1072 1 4262 5309 2 14156 132 1 3427 3619 1 10692 3557 1 10135 1710 1 14428 1728 1 6028 2693 1 11343 2423 1 16290 2370 10 4505 215 3 2112 1769 1 11082 5400 1 9457 481 1 17162 2678 5 7554 1720 1 6183 520 4 15409 891 1 5477 2248 1 16561 234 5 9138 200 1 12378 4631 1 7938 1625 1 4337 3271 1 19536 874 1 6541 3511 1 12818 341 2 16016 5318 1 10297 1482 1 7183 7848 2 1935 3576 1 10817 6211 1 380 4013 20 16574 372 1 7528 1664 1 14059 5257 1 17389 2789 7 8423 207 1 7398 225 2 6907 1131 2 4309 5531 1 7902 5054 1 3846 318 2 13590 805 1 16368 4006 2 4706 1468 3 19724 4623 1 7991 6640 2 18100 5664 1 15153 7725 1 18132 4077 1 2459 1248 1 8532 1819 2 124 5389 2 9660 1776 2 8965 23 1 6228 193 1 9857 5349 2 9670 2343 1 8439 1715 1 1986 6687 1 13743 2424 1 18610 948 1 4822 411 1 16674 2118 1 19494 976 1 10179 401 3 6009 1771 1 3396 3012 2 17680 1770 1 1590 853 7 4993 5425 1 7671 6406 1 19002 500 13 16270 934 1 11075 1363 3 133 6019 1 18035 4622 1 11766 7534 6 14559 4268 1 6265 1183 2 14599 557 4 1969 1761 2 17607 3032 2 514 3847 1 6519 757 1 3902 6037 1 11464 7395 2 2429 501 6 14696 880 1 1120 673 1 20278 422 6 8775 6107 1 9188 1901 2 5185 4606 3 996 804 1 15318 3878 4 781 5324 1 710 403 1 12675 535 1 1816 492 1 13778 6242 1 10182 4102 1 15364 4545 1 9103 7462 1 14767 1748 2 18981 7406 2 18380 1907 17 3219 867 10 18074 201 1 13619 6552 192 4147 568 1 5424 5448 1 18637 7491 6 19316 5309 3 17202 3540 2 19267 925 1 8034 1724 1 6412 2555 12 19034 201 4 12266 1819 1 11959 4074 1 3335 2673 3 19628 6038 2 1861 3058 2 15025 2663 1 10103 5036 5 7701 1739 1 17288 203 5 15740 1312 5 16970 5315 2 2449 4314 3 6457 4794 3 8623 6481 6 19053 841 1 11809 2327 1 17664 1850 1 16308 6504 1 18654 4156 1 9877 7884 8 3121 201 82 18014 2010 1 10601 2680 1 19286 604 1 8665 1819 14 8554 5325 1 592 452 1 13770 2990 1 623 215 14 2905 368 1 12919 461 1 252 5516 6 3485 3333 2 13342 1308 1 13812 4340 1 2071 4120 1 1893 800 2 4806 665 1 11533 8036 1 10856 1727 3 14292 7607 1 1863 7519 2 1719 3408 1 17174 4460 1 5505 4029 23 17368 4248 2 98 4428 1 18317 6151 4 565 5391 1 4307 1169 2 6452 669 1 3397 200 1 5796 2675 1 18035 1000 4 1704 4789 2 9809 1731 2 6511 532 4 6064 7540 1 10030 84 1 19434 3113 1 5378 1103 1 14256 5234 1 18633 2385 3 15687 205 5 9264 728 1 10923 431 1 20181 2026 5 7994 365 1 11930 2603 1 19494 3464 1 18792 229 8 20009 3161 2 936 200 37 15192 591 1 19628 1395 1 16704 60 15 3981 2584 5 12316 4245 1 3059 3389 1 18510 196 3 1660 401 1 12821 203 24 4250 4164 1 17726 779 1 11769 861 1 8528 4029 4 12511 203 19 5582 5319 21 10856 3533 2 2985 2893 1 15542 2118 1 19318 8043 4 6031 951 1 17917 4123 3 12505 1383 1 6035 23 1 13383 5715 1 20 220 1 14549 2057 3 13665 252 1 12623 7948 1 10361 6645 1 9017 2675 1 5617 385 1 12817 6288 1 11786 6780 1 18696 1778 2 20238 2697 3 12537 6237 1 5013 220 53 2131 4476 2 4602 3491 5 16081 1927 1 14010 6892 1 6256 1000 6 10446 6435 2 9474 215 4 7633 194 1 14615 4796 1 10531 1751 1 1034 7234 1 10517 7359 1 5381 6192 3 6364 1249 1 13662 6884 1 9781 4014 1 16643 665 5 10916 710 1 17371 6286 6 11346 1257 1 8600 891 2 15903 6591 1 9700 638 12 6524 4963 1 7184 1237 1 5625 236 1 8083 4105 1 5769 2260 1 2772 3361 5 95 4348 1 8910 1241 1 388 2329 1 5789 2525 1 15821 397 1 8046 1884 1 8757 6155 1 3843 532 1 17165 2980 25 4073 3511 1 8169 1338 2 16574 2424 1 12766 652 1 723 436 1 5129 3510 1 133 6053 1 12136 3258 5 7509 1703 4 15689 3904 1 15629 682 2 13508 4328 10 14376 3220 1 4304 1241 1 164 7468 3 1866 1729 1 5634 1789 3 11074 252 2 19246 4672 1 1395 214 1 4778 5922 5 19720 197 8 17638 2842 2 745 6406 21 4766 2764 1 7882 4870 1 1945 6414 3 12642 5363 15 7868 407 1 4397 4511 2 877 1751 4 19653 4974 1 17578 2635 1 12514 244 2 11336 7151 1 11428 2675 1 8632 383 1 5025 221 1 17298 2262 3 19490 4976 1 16356 2881 2 7921 3204 1 5312 381 1 4443 533 1 18841 1729 1 6332 869 6 11952 7117 1 19951 4494 1 10617 2135 6 6574 518 6 9855 3425 3 3728 1007 1 916 1303 1 12064 1721 2 15385 3135 1 4300 5036 5 19434 1734 1 7681 1063 10 16626 1695 1 14253 1164 1 887 82 1 1781 8041 2 19366 675 1 10905 4635 1 3907 220 1 7523 6132 19 1852 1936 2 1795 3019 6 19358 6242 7 42 2247 1 11508 1705 1 435 1010 11 12361 2915 1 8230 5451 1 8933 167 4 14255 2760 1 14091 4060 8 5209 5104 1 11082 1665 1 14683 2104 4 17545 2356 4 3467 7883 1 3146 5266 1 5914 7701 1 18968 3024 1 11938 524 8 8166 1246 2 940 1871 5 9919 630 1 3337 6872 1 17416 3596 1 17091 3167 1 2030 219 5 6039 2682 1 12457 231 2 9079 7599 1 16881 1698 1 5117 606 1 5602 7410 2 20121 4708 1 11710 1732 1 1868 502 14 15409 1748 1 8606 1561 1 1712 1245 1 7750 173 1 7060 1946 2 16494 2144 1 6054 1245 57 9264 578 1 19944 2522 1 10783 1418 1 2405 196 56 5453 4298 14 6907 638 2 17947 207 1 3874 5540 1 15471 3547 15 7251 1770 1 19346 5559 1 9345 1399 2 8868 5619 2 13918 453 1 5401 5903 2 11948 8091 3 17171 7957 1 9945 1921 1 20 1282 1 3246 6662 1 17585 7200 2 1858 232 11 4415 3012 1 12412 5747 1 1339 6677 2 17601 3445 7 1612 221 1 8195 2671 1 3406 3971 1 2892 203 5 12783 537 6 18334 6542 5 17645 8057 6 1625 6986 1 18628 3216 1 1687 356 1 5066 1464 1 11239 755 2 13312 6107 1 17884 215 1 3461 7689 3 7780 2505 1 4551 207 5 10698 235 2 631 3881 1 5738 769 1 12603 7830 13 5667 1726 1 10592 2423 5 6229 3431 1 8505 165 1 1466 2262 5 17977 4998 1 7780 4107 1 11449 2362 1 124 5392 1 8830 220 2 7203 541 3 14722 6473 19 12988 1343 1 11050 1243 2 11195 220 4 1263 2698 1 14155 194 1 3431 2555 3 17328 2450 8 2889 2525 1 11122 4276 2 182 1242 5 12789 2490 1 19127 4403 1 8283 3900 5 3847 4202 26 19649 3230 5 107 4775 2 18852 5234 3 8086 5673 4 4802 1464 1 592 404 1 9660 2403 1 5435 8000 4 130 5776 1 7986 5253 2 2226 7120 1 7596 1729 1 18115 1771 4 3228 2665 1 3924 6892 1 5827 1238 1 1276 4623 1 13987 1275 2 8451 2862 3 802 2009 1 14862 514 1 19641 5086 3 1221 215 3 8015 5557 1 13 882 1 12030 2626 2 18858 470 2 4460 253 3 6158 3666 2 8510 728 3 16651 7719 2 6154 1244 1 5785 214 1 8237 2443 1 10518 165 1 11551 6091 1 12268 657 1 14967 6192 2 6876 1722 2 10237 23 4 5738 7098 2 7789 6721 1 11296 6140 1 18481 6990 2 10553 6027 1 10573 1593 36 6507 1245 2 7774 8141 7 14415 4467 1 18071 3971 1 108 4852 1 19962 4296 2 422 833 1 7908 7410 1 9061 2581 1 5542 452 3 6382 1146 2 11344 1529 9 8965 1779 1 6989 591 1 11284 2881 1 8208 7708 3 12 518 9 15634 525 1 12007 23 2 11381 2633 22 17014 7485 4 1783 205 2 9456 5511 14 16137 4266 1 9935 525 3 14292 6534 11 6607 2261 2 13559 1430 1 10337 7890 2 6950 156 2 7828 524 1 8443 7937 1 3427 4128 1 11849 6585 2 309 3239 1 4095 2969 1 8394 2009 3 2922 3540 1 18626 6482 2 2191 3602 1 9886 2019 3 9996 5156 2 9521 236 1 19872 5018 2 11399 1211 1 6881 7083 1 86 3965 2 12104 2020 1 4711 3316 1 10841 6159 1 1528 1748 1 70 3294 2 16072 903 1 10527 3191 1 3673 1705 1 38 2023 3 9224 574 1 6327 3113 2 27 1581 5 3031 222 2 11061 7946 2 15975 532 1 7099 5730 1 9868 4282 1 15410 1235 5 11738 1062 4 1706 2378 3 17917 7964 8 7838 6069 3 343 3759 2 3153 525 1 14425 190 8 7315 1769 1 7046 4623 24 7473 2671 1 17835 1458 1 11451 198 1 16024 6025 1 11687 3485 4 16570 390 1 8950 3119 2 19414 1732 1 6051 4513 2 3432 2708 4 19282 1042 1 6907 911 3 12685 4489 2 4410 3909 8 6682 184 1 16222 1717 2 7310 6059 11 10837 7085 2 9527 512 4 19731 1363 1 20002 219 7 15396 3155 3 15957 6053 1 2462 3848 1 9801 3540 1 8307 541 1 2418 2450 15 17764 232 1 9884 2980 5 15419 7051 1 9297 3786 2 10615 533 5 121 917 1 4625 1440 1 8423 1695 1 645 470 1 18039 2893 1 7882 1756 2 18154 2392 3 11182 4500 1 7787 1190 3 19136 7235 1 19017 1762 1 16968 1509 1 20201 232 3 12820 881 1 4492 411 1 15400 1888 5 8746 1378 1 5561 3077 3 4195 215 2 146 6699 1 10065 4303 1 2345 6056 1 15375 2613 1 1171 1719 1 14660 1244 11 5321 4411 1 12261 1770 1 6796 552 2 17680 5252 1 5436 533 14 17045 4987 2 15169 4761 1 1969 292 1 10444 1498 1 6752 4258 1 13829 7850 3 12870 1307 1 7481 244 1 13705 6705 7 13353 365 1 7826 7423 5 14947 687 1 10015 4517 1 13417 7021 1 13748 2938 1 12895 215 2 19470 5550 1 4283 2097 5 14465 510 1 17079 5256 1 7176 2355 1 8498 3537 1 1535 534 2 2531 3175 1 73 3410 1 11358 1672 5 676 2065 1 13880 659 2 3405 1909 2 9279 2727 2 15595 1705 1 6749 7116 1 8474 5162 9 14791 1827 37 83 3802 1 2135 252 1 7221 6216 6 1509 1439 1 8378 5313 1 11941 4856 1 7039 3113 4 3581 1729 2 6441 4591 2 6059 350 1 17125 5036 9 7823 1129 1 4268 3361 3 12082 200 2 17135 2698 1 3382 5255 17 19993 173 1 17312 1760 1 1025 4929 16 7555 3186 1 19381 1573 1 16144 505 1 2389 5314 1 18193 2831 1 2677 4635 1 10897 7005 5 4796 5325 1 6482 6137 1 56 2686 1 174 8080 1 1864 8060 2 5965 2889 1 4902 1237 1 9983 302 11 5677 5888 2 14281 4441 1 1321 2958 1 13570 2492 1 11490 207 2 11914 5018 3 9120 4626 1 16786 188 3 9244 196 1 6191 2626 3 19233 1243 7 18737 221 9 6983 937 1 13178 3434 1 9990 1761 1 9816 2511 1 3992 7621 1 10542 7210 2 7816 7299 3 3806 4375 1 17246 4967 1 18080 4403 1 635 4589 1 18610 4392 1 19790 4226 1 19296 4618 1 7745 4903 1 3362 7216 2 4403 6758 16 15101 1539 1 19692 7809 5 11877 5559 1 8198 232 9 17340 2480 8 1698 5788 1 10692 778 1 20119 4351 1 5105 2671 10 11881 1416 10 18115 605 2 3603 1748 1 7490 5486 1 20278 425 8 6762 1631 1 2526 6288 2 15957 232 3 1331 6992 1 48 2457 1 5476 410 1 7173 1695 4 9388 2361 2 10456 23 4 10079 5086 2 15389 6471 1 8585 4274 1 3734 3109 5 8780 3813 1 18842 385 6 7896 4435 2 19044 3180 2 6158 5446 5 5141 232 1 7158 6697 2 3455 697 2 388 489 2 1133 35 3 18229 2675 35 11418 394 1 11013 525 5 6121 4435 2 15236 207 5 342 7719 5 6689 5820 1 1772 3146 1 376 1747 1 7133 4373 2 16178 1334 1 19843 225 13 16033 7512 1 19738 201 1 1514 2657 1 18883 5258 1 10313 1172 1 18014 534 2 6834 1731 7 9754 2423 6 3686 2331 4 18672 463 1 19147 1740 1 19601 734 1 5653 1505 3 3852 4451 5 4984 206 3 2168 2399 2 19283 524 10 3337 4864 2 9663 6684 3 10402 3971 1 153 6953 2 19990 5018 2 6926 2089 1 14633 4372 2 874 3298 2 16222 4794 1 16980 1259 1 18792 849 1 11036 304 1 6989 629 1 9874 5758 1 2625 1648 1 10268 2534 1 14532 3087 2 10440 1078 4 12353 958 3 18942 4623 1 5459 545 8 12141 186 2 16016 2931 2 3432 719 2 9138 219 4 12972 7466 1 9275 4562 1 12244 4299 1 4600 7395 1 9628 177 1 969 2568 1 10082 2369 1 12807 5272 1 9417 6102 2 15936 4041 2 3898 223 2 7868 4000 22 18207 220 1 5806 2964 1 14612 203 1 14174 308 1 18416 5306 3 8580 1903 3 557 1249 1 13278 4834 1 1 11 1 716 6711 2 6644 7692 1 1396 3896 2 14644 1154 1 10244 1827 14 16270 841 1 988 1352 1 6658 156 11 7754 6510 1 9275 814 1 2803 422 1 19881 3666 1 10633 1730 1 10060 5432 3 9063 1751 1 2525 5595 6 17687 1756 4 1379 2493 1 20022 3556 1 20090 3710 2 12252 6380 1 6712 661 2 19319 2263 2 18476 6785 1 13993 1779 1 19223 1783 1 7587 233 1 15932 4728 1 15943 6943 1 16574 466 1 16869 5123 1 6057 498 37 12433 5737 2 18540 43 1 899 46 30 3247 1760 6 11818 3266 1 8330 1895 1 17369 6536 1 17233 220 9 18808 4349 1 10787 1751 4 1009 1825 10 12962 4029 1 3001 223 7 14375 1819 1 2377 231 1 16057 5129 1 18919 5618 7 3536 8026 3 1599 2747 1 665 579 1 6891 2675 6 14259 1791 7 723 2821 1 2803 5305 1 18012 3596 3 5589 2626 1 6645 1248 1 787 2104 10 14474 203 1 8183 602 1 10422 5817 2 14971 1819 1 1276 87 1 12424 670 1 10222 5686 2 18600 1814 5 15281 4992 2 3358 554 1 20211 203 5 11299 1235 1 3673 1211 5 7917 3724 5 8396 221 1 83 3870 1 5675 495 2 13913 7087 3 8585 2711 1 11195 1772 1 7853 2786 2 14985 197 1 6733 3478 1 8947 411 1 18787 2009 1 8960 6183 2 9346 510 1 19201 2023 1 16073 728 1 8720 1736 2 151 6783 1 6137 184 1 12361 621 10 15471 2146 2 10580 4356 3 700 7176 14 4875 2964 1 15202 2787 3 16916 3556 1 997 7752 1 11530 497 6 8423 1748 1 19302 1814 1 14388 7261 1 6390 2760 1 12481 23 6 8391 587 1 19747 4635 3 17760 5979 6 18526 1734 1 8798 2869 1 18885 1245 3 1563 589 3 13667 2646 5 14755 5328 5 314 229 4 6666 1667 1 8291 3287 2 14826 7701 1 5774 718 1 4883 1595 1 4124 5472 4 14952 947 7 1191 184 2 12937 1783 1 8174 210 11 20148 5888 1 16016 609 5 572 227 1 16674 4203 3 12217 1518 11 7823 390 7 14196 261 1 16481 372 1 11363 164 1 14369 156 1 12313 552 1 15258 1380 1 17022 7413 1 4541 759 1 6606 1979 1 4896 4266 1 9906 10 2 19604 1996 11 16394 3239 11 11277 4009 1 7952 453 1 11935 577 3 1379 1208 1 14306 631 4 3358 3742 1 6781 1466 1 13743 6588 2 7853 1740 1 19142 81 2 12895 6031 1 15214 177 1 18902 7600 1 10051 409 3 11033 1672 1 13636 1942 2 7065 3710 1 17373 201 3 2962 3747 1 8614 5443 2 2367 1296 1 9714 1587 1 16809 221 1 312 2550 1 8763 1369 5 4889 4982 1 14022 5018 1 4060 4328 1 443 7223 1 16112 5157 1 13462 95 3 14578 7911 2 9639 7097 2 11411 1184 1 14753 3748 6 7943 2443 2 3501 3222 1 18440 1363 1 18688 5130 5 14077 198 1 3973 568 1 18202 6421 1 2245 1717 1 9313 6320 1 11391 4803 8 10401 5018 1 5938 1819 1 14968 1248 1 10494 5319 1 8320 4460 1 10246 3911 1 13640 1334 1 8388 1814 6 135 1490 3 14114 2369 1 6052 3625 1 10874 6139 2 9881 2146 6 2352 7251 35 5185 484 5 1568 206 5 19872 3573 1 15932 1773 1 1196 6031 1 15853 470 2 694 7475 1 14578 7915 1 105 4694 2 19170 203 11 15896 196 2 20048 6663 2 10000 370 1 696 4992 2 4449 184 9 11479 46 5 18530 524 1 8789 2897 5 20171 1184 3 7242 4567 1 6091 232 5 13957 1719 2 18391 7101 7 6913 995 7 13337 385 1 11786 232 6 18872 4203 1 2653 2626 12 5241 3511 1 10263 6362 1 6239 705 5 12574 74 1 929 533 4 13601 5558 2 83 3723 1 15104 863 1 963 4293 2 13997 5294 1 14209 8183 1 7463 863 3 8356 220 2 18332 1466 1 9061 84 4 14522 1248 2 18543 6262 1 2071 201 1 8979 1184 17 2442 1727 1 11786 4691 1 13513 4022 4 745 6198 1 2181 6481 1 4583 823 1 15641 2415 1 17092 232 1 13508 3823 1 1 25 1 16674 1235 5 17133 4425 1 10281 223 1 12103 1235 3 8367 7573 3 8614 4983 5 12957 2980 2 2345 706 1 13305 4436 1 10670 215 2 1705 948 2 16190 867 5 17578 3389 2 6979 3071 5 452 8099 1 2070 6152 3 455 6590 1 12839 6135 1 4960 867 9 18397 3697 1 5010 410 1 14605 2969 1 701 2254 1 17765 223 82 9562 3590 1 17446 505 1 10916 599 1 8278 8013 2 18214 6035 2 1378 7958 1 11158 2506 1 17809 1244 3 9329 7980 7 7832 2881 1 8404 1399 1 12831 1705 2 9250 766 1 1466 201 6 11145 508 8 17827 6133 1 6819 4811 2 11689 1768 1 17 1096 1 9108 196 1 19315 5597 1 10236 3775 4 17089 7427 1 18818 6022 2 18350 4610 1 11097 2980 3 14946 4196 36 9586 6144 3 766 215 1 2994 3916 1 16238 1235 1 17340 3167 1 2782 7807 1 14463 7592 2 9029 804 1 1218 4977 2 19667 2489 1 2271 1103 1 1435 3255 2 8071 4038 5 19022 3057 9 11296 1991 1 10677 1593 4 818 688 5 16452 4021 1 17977 3511 22 3924 3712 2 8024 491 1 14266 4603 2 15456 1245 1 18033 6633 8 14114 4298 1 20114 2737 1 12300 3138 2 16292 2591 11 7569 3615 1 701 1531 1 17295 308 1 14266 3476 1 2045 3333 2 850 1720 13 3710 1663 12 16481 2832 1 3012 813 10 916 2906 1 6538 7655 1 12585 5905 1 15970 4266 1 3299 3477 1 4371 2869 1 7966 1610 1 3947 1768 1 4472 534 1 2032 1758 1 17697 1286 4 16472 6440 1 8298 1761 1 11670 3478 1 16479 4303 3 19626 1244 7 15807 3433 2 1670 4653 4 3240 470 1 2420 2894 6 13262 1043 1 17171 2146 5 12271 1206 1 11078 526 1 4263 505 7 11809 1271 2 15542 3407 1 17846 1184 1 15361 4147 1 4756 303 3 14131 3600 1 18169 7231 1 5652 8141 1 9165 3119 1 15084 5420 6 13909 5427 1 7145 2138 3 1606 3460 1 3036 1724 3 7924 849 1 16184 571 1 16440 4144 2 13280 5326 1 1062 2021 1 1646 8022 13 3594 2555 1 10147 1249 1 13328 5421 1 7251 4952 6 17633 1474 3 1028 868 2 6740 1209 1 12806 6632 1 6881 4459 1 11 434 1 7751 7410 6 16578 3787 1 15998 4435 11 2938 709 1 10029 187 1 16192 221 3 20257 205 1 2629 1250 3 11071 3909 4 17680 529 1 15057 6665 2 484 1732 2 6642 4992 1 17002 1727 2 17778 1369 2 10203 1658 6 13615 4267 1 10991 201 1 12034 220 7 18887 1827 1 18615 3228 14 14172 1445 3 11297 223 3 14862 23 3 11606 474 1 1031 1819 2 1511 518 1 20090 1273 1 8930 518 3 17549 1721 1 6008 3815 1 13686 1747 4 16468 8026 1 4914 2879 1 17390 4979 1 15429 7522 1 16474 4382 1 10272 2341 2 10493 1731 1 15307 57 1 18665 221 1 717 8141 1 19899 1395 1 19470 5526 1 9141 1726 1 7726 4013 1 15948 200 96 7464 6826 4 1586 214 4 3547 1729 1 6533 757 2 14817 1819 5 4767 3895 16 14527 571 2 15405 4099 1 8495 2254 14 19135 1395 2 5100 471 4 5804 1757 10 496 3367 1 7252 1732 1 19812 4521 1 8656 4261 1 14612 4621 1 4345 8238 2 4147 1610 1 10813 579 2 10734 6225 7 2674 805 1 19596 1423 5 8489 2448 4 6503 4317 2 489 6207 1 20123 5436 1 16908 2327 1 14517 1305 1 10821 896 1 8082 620 1 19316 23 1 9984 3956 5 17088 1740 1 14784 3511 12 14051 4343 1 11485 11 1 4442 4202 5 5877 6091 1 17953 2729 11 6654 827 1 939 1707 1 16994 3147 6 1296 3070 7 18543 2707 1 9301 6435 3 14369 10 1 124 5545 1 18316 2584 24 19286 206 1 6465 353 1 6718 1407 2 11336 4986 3 8547 4668 2 9936 1714 1 16130 7538 3 3043 222 1 2430 28 3 1929 1748 8 18184 5719 4 7179 581 1 7738 1722 1 2430 81 1 11726 1685 5 18116 4698 1 19126 2508 1 3676 5851 1 841 2250 5 17017 7677 1 1954 1126 1 13608 1303 1 12935 203 23 13743 229 2 18893 716 1 1090 2815 5 9669 3334 1 13097 1908 10 3342 6207 2 9284 4014 5 1798 3285 2 10330 205 3 11180 5132 3 4492 6552 1 10518 2372 15 12096 4998 5 3570 7422 17 10404 712 2 13412 532 12 12817 1756 1 117 5226 1 2420 541 1 143 6610 7 3075 887 1 2321 4664 1 7184 74 2 18545 2675 5 381 3591 1 14546 4987 1 15376 2555 2 18732 1344 1 11808 5004 2 7545 2671 2 1481 3475 2 10873 6047 3 11131 4869 1 18441 1153 1 3355 220 1 8751 1358 1 11364 5468 1 171 7821 1 16108 4764 1 13111 203 23 15343 1242 9 17662 519 5 320 219 1 3133 6259 1 14416 5435 1 542 1827 2 10946 1235 1 15160 6107 1 8567 23 1 1859 6460 1 4751 6759 1 10365 6490 3 7148 1245 1 9445 1 1 5337 1707 1 11533 5286 1 10859 2028 1 9546 822 1 4609 6408 1 8947 3463 1 10449 2539 5 17010 496 2 13436 5935 1 6894 218 3 7076 1341 1 11072 2071 2 18070 205 4 8377 1332 4 11674 2686 1 16471 2056 1 2560 6435 2 17391 222 1 12814 1724 1 10585 1390 5 18821 890 1 11401 3904 1 10393 203 4 4049 4183 2 15272 1238 1 2428 397 1 12548 1469 1 494 7815 2 14341 6914 5 4895 518 2 13490 4911 1 9895 4345 1 5057 517 1 1336 3556 1 13107 1629 1 8225 1722 2 17134 203 5 9281 3546 2 18405 3516 1 7237 5858 2 8636 2701 1 10062 6132 19 3195 4582 1 6668 604 3 19971 624 3 11687 525 6 17338 634 1 5902 3316 1 15376 46 1 5088 1234 1 7683 1250 1 20139 4065 1 11846 447 1 14220 8102 1 17174 386 1 10579 7901 1 16566 962 1 135 6227 2 15771 200 1 8143 382 1 1143 6680 20 994 1707 1 9317 1729 1 3581 4022 1 11155 10 5 4496 1717 1 11798 5278 1 96 215 1 14612 3228 6 15468 3492 3 10316 4312 2 3077 1294 1 11238 6537 3 12957 4029 1 16881 3608 1 12208 913 1 11489 3511 1 14028 1776 1 9597 1753 5 13928 589 2 7965 5325 11 9110 6917 1 16647 1704 1 3871 203 5 10103 1780 1 8372 1482 1 8826 3021 1 12618 3556 1 13373 2514 1 7427 4657 2 18769 3430 1 10146 5418 1 19180 3572 1 2803 2004 2 2263 3262 1 10719 2662 1 14519 1383 1 13750 3155 1 18235 1736 1 7865 203 3 3138 4807 7 787 5389 8 19675 7244 1 16700 597 1 12694 2517 2 322 1946 2 6085 4142 2 195 1396 1 3189 6015 1 4498 2019 7 13537 3840 1 7966 4363 2 12283 200 17 548 520 1 468 1991 1 16751 3127 1 2109 4764 2 6376 23 1 18210 1832 1 1542 214 1 17664 1748 1 17899 7690 1 15960 197 2 6091 235 6 8909 6345 1 12378 1769 1 6544 214 2 13743 2683 1 10907 4262 9 1886 1286 3 10661 8184 3 10267 3511 1 14193 519 1 6410 1036 1 13733 7857 1 4791 6125 5 13023 1245 1 10714 641 1 10999 489 2 15405 4233 1 13591 2495 1 16492 7538 1 15618 5468 5 6965 6164 6 19924 220 11 3231 8141 1 3181 756 2 7166 6007 2 52 2536 4 20015 3896 1 14714 222 12 15016 3593 1 1010 203 7 9554 7466 4 11187 1363 1 13845 6259 2 6493 1242 13 15856 2632 1 3715 3685 6 16357 1720 2 9809 2150 1 3397 7347 1 8735 1235 1 4932 2184 3 18568 8083 8 14745 1203 1 4685 3947 1 9319 33 3 11827 1342 4 8451 467 1 13445 4275 1 14292 372 1 19915 308 5 8924 541 1 13023 3878 2 4072 4299 1 9180 3684 3 17289 206 1 103 4646 2 1037 7719 19 13897 517 12 5960 2481 1 10042 214 1 6154 1464 1 13078 3911 5 3573 5083 2 14612 4245 2 8619 3600 1 4716 1760 1 4963 7824 1 13259 5506 2 16838 5306 1 7745 200 2 15811 3230 6 2173 532 2 1937 5436 1 18312 6053 3 11093 510 1 1019 1927 1 6001 201 2 9275 420 1 6683 645 3 19450 1094 1 14305 2088 1 15427 5712 3 14527 1119 17 2164 336 1 16664 510 2 4055 812 2 3650 2663 1 8061 1747 2 14485 1819 1 11985 863 2 13185 1342 2 1551 1249 1 18137 6914 1 12688 233 1 10521 1727 15 4210 2269 1 14881 589 1 16941 3016 2 8845 1705 1 17403 5305 1 9477 215 3 16373 6687 1 17505 202 2 13810 3146 1 10374 8224 1 8202 5251 4 1774 1731 1 15629 4284 3 17023 6640 1 11014 532 2 4739 952 1 3500 1909 2 15618 4460 3 11842 1956 1 5428 6255 1 94 4287 6 15296 1357 15 11179 3276 1 16825 637 4 2995 1719 1 16546 956 1 1706 814 1 171 7648 1 19184 4996 1 4273 1250 2 7046 6269 1 2312 1726 4 1947 961 4 7147 3293 1 10187 207 1 2002 233 3 19649 1756 2 1608 2356 10 18812 1334 1 16858 1374 34 16583 7534 1 13279 23 1 7636 506 3 9655 5104 1 11325 532 2 15143 3110 1 15411 1296 2 1215 7869 1 6865 74 1 8730 581 1 4601 8108 2 11554 1718 1 2234 262 1 6396 6077 2 12540 689 1 673 1249 2 4880 416 1 5748 7948 1 787 576 1 8394 442 1 13219 6201 22 156 7180 4 9155 4016 1 873 2746 3 14786 156 1 15065 1445 6 15323 1245 3 18014 736 1 7780 2981 1 2374 1726 1 11165 219 5 9981 2966 2 7780 221 1 10692 692 3 19583 165 1 8946 348 2 16090 7210 1 13039 6108 15 16548 913 1 8443 4707 3 7635 222 1 15618 7929 1 17 1043 1 16019 1332 4 16272 1758 1 7317 684 1 6452 2918 2 11158 4373 3 17809 206 5 9754 4427 3 13090 2699 2 19142 4204 2 12353 1037 2 8260 1739 1 5363 766 1 17500 7538 1 4147 1555 1 17019 1772 2 18585 4609 1 18821 6933 6 857 1819 2 17606 2675 9 83 3799 9 19486 3536 1 3182 220 1 18910 173 1 17296 1535 13 16802 411 1 16378 3333 1 16018 2522 1 14522 7229 1 15629 329 1 16057 253 1 9219 7915 8 861 331 5 4620 2363 4 4524 1150 1 6096 4404 1 10542 2248 2 20158 291 1 388 5278 3 2154 3693 1 3432 5820 1 13452 379 1 1786 1721 2 2992 3945 1 1790 197 2 6091 496 1 4614 5000 1 508 1482 2 9245 1991 5 2710 1757 1 6897 206 1 18082 3651 1 15558 7477 1 10951 2969 6 2803 2501 1 17868 203 25 8128 2698 1 6183 190 3 12807 5397 7 14298 1247 4 7916 3855 1 3696 3697 1 10575 691 1 5476 374 1 9628 744 1 8384 1235 1 1718 1816 2 2871 1783 1 121 5312 2 14658 196 1 4979 506 1 3258 3582 6 11665 536 3 899 859 2 3393 197 1 11935 4403 3 15382 1296 2 11798 880 3 4426 203 3 14127 7098 1 6399 4342 1 17098 196 1 4955 5018 1 1612 2969 1 11687 510 3 19671 5436 1 15726 1751 14 16427 1025 1 15383 1056 17 17887 2138 3 181 8209 1 15460 1713 2 5818 2727 1 11353 2273 1 17246 6252 1 1801 1099 1 18574 1698 2 14532 1927 7 10313 2009 2 11035 1921 15 7530 308 2 16547 2653 5 11723 4640 1 16946 6331 3 1852 1914 3 10376 5736 1 10391 581 1 1271 5758 7 7407 604 1 9345 1758 1 18354 997 1 7270 6346 1 873 3770 6 124 5391 1 6538 7686 3 19401 3177 1 16663 6758 5 10387 1248 1 9432 4320 2 11857 1747 1 1822 34 3 16678 8171 1 3936 5020 1 6611 1382 2 7651 7997 5 56 1720 1 5188 2827 1 3785 6716 2 14828 3569 1 7182 7545 1 7261 215 16 8340 1752 6 13084 867 5 12901 7267 2 18057 498 1 2508 1909 1 1489 1745 2 12802 1251 1 1816 2503 1 14970 7900 2 18541 7829 6 13231 7424 6 5158 808 1 3048 5715 1 12180 1003 22 2784 1396 1 14583 816 1 17477 4622 12 4097 196 8 7896 207 6 19641 1738 2 5959 1770 2 991 2662 2 9110 169 1 15509 223 43 19698 3138 2 65 3124 18 6509 7956 2 430 6747 1 13278 1663 1 11744 1460 1 5659 6986 4 16266 252 3 14522 1788 1 13891 6545 2 2885 3899 1 9557 3676 1 19731 213 1 13227 5294 1 10920 2407 4 10187 7229 1 16041 1721 1 6720 7509 1 14147 7850 1 9559 4661 1 17184 557 1 15349 4979 6 8906 5255 1 11151 1238 1 10948 6541 1 8751 418 1 1606 721 1 298 1770 1 16730 594 7 3415 4614 1 17779 3653 1 7619 6009 3 2526 8122 1 3642 2806 1 59 841 1 9281 7531 1 5287 1984 1 7793 5636 2 16562 887 1 1873 3595 1 2448 3058 1 1691 864 1 1399 660 1 10847 817 1 3229 541 2 830 4998 7 714 2670 1 13778 411 4 11787 201 2 7769 1276 1 14276 2346 2 12663 508 1 8637 5670 6 14516 379 2 10043 173 1 723 1277 1 18859 716 1 14758 2016 1 6170 8197 1 42 2237 7 114 3599 2 14859 5245 1 11601 1342 5 9973 766 1 3485 1732 3 12577 7124 15 122 5349 1 17125 3236 1 16287 6361 1 4484 7259 2 7455 5814 1 2135 1703 1 11852 7112 2 13124 2626 3 8636 1184 3 18524 477 1 15790 4242 1 5849 512 2 9586 526 2 13132 441 1 14677 5421 1 15576 4403 1 4884 2557 1 13793 1363 8 7310 4022 19 12748 7507 7 15940 642 1 12697 339 1 18193 514 1 18538 874 1 13943 206 1 17408 5398 1 14970 2372 1 6838 7776 1 18089 431 1 6244 7639 1 13951 3050 2 12331 6665 2 4146 1658 2 1345 1698 1 14890 2993 1 14778 1245 1 3629 942 1 7574 6414 5 11702 438 1 13806 2489 1 5977 1234 1 4805 222 5 11072 1717 3 17406 200 22 8090 1739 6 14132 220 1 16308 6009 1 5515 2240 5 19781 386 1 10393 207 52 6692 3511 3 18920 232 1 5433 715 1 18124 1249 1 694 4810 1 17672 532 1 17443 1573 2 16471 8141 1 13076 223 1 2009 1404 1 18101 2438 1 5365 1464 3 6433 789 2 17771 223 12 12821 1383 1 314 235 3 18883 3110 1 12949 533 21 10462 1705 1 14604 545 1 695 1189 3 16963 7107 1 4425 1312 1 8468 8029 1 18813 1133 1 18509 7237 2 16914 4794 1 3553 6501 4 2917 8066 1 15576 1612 2 5515 2297 6 14696 234 1 9347 3518 7 15059 236 2 6589 6090 7 18993 790 1 15289 3236 1 8811 4512 4 15429 5266 2 12067 2891 1 10610 4521 6 18667 215 1 6507 2736 1 7957 214 1 16490 2356 2 16689 5324 1 2131 6534 2 20080 1396 1 4286 3167 2 17065 6268 1 7552 631 18 8358 6540 3 62 2776 1 17647 422 1 12545 470 2 8343 173 2 11533 4572 1 15469 8178 1 7507 2352 2 17095 6457 1 14522 606 2 2315 3519 3 11947 4304 4 1660 4231 10 16090 7312 1 9936 4022 1 16497 792 2 4265 1282 1 4147 2938 17 5451 2864 1 14117 1967 1 6538 1342 1 916 3836 6 4880 3603 1 3512 4665 1 15682 6945 1 5576 2699 1 1618 2353 11 3567 2799 1 12241 2569 1 11270 545 1 5470 214 1 968 203 2 10080 1315 1 3310 484 1 18169 34 1 988 3370 1 2110 1497 1 18599 5808 2 17003 2955 1 14522 4245 4 17143 5674 1 2772 869 6 18797 203 18 5088 214 1 7444 224 2 13217 5445 1 1695 848 2 18623 910 2 10293 1747 8 19849 5296 5 10951 7229 1 19125 1739 2 14824 5440 2 3642 3357 2 5744 1718 1 16018 2722 1 19065 3152 1 13503 5252 1 6371 576 5 11178 733 1 2213 1368 2 1711 661 1 17549 3669 1 14360 1833 3 8739 2656 2 11374 6590 1 1498 329 1 10621 745 1 4694 1882 1 9432 3619 1 12910 5723 2 9726 1072 7 17737 2338 1 2072 3956 19 9503 2356 1 15471 2493 1 12686 743 1 12566 6368 1 8649 2555 1 19272 4325 8 6163 1996 1 5043 2970 1 18916 1062 2 7044 385 1 668 2495 1 18741 6541 11 9675 6546 1 5445 6135 1 12603 1357 3 14196 1893 2 18679 6588 1 4964 3485 1 19238 659 5 11188 6341 1 17416 718 5 1796 1832 1 6397 5341 1 12777 845 1 14759 2424 1 745 534 1 12125 2489 1 4880 5193 1 14939 201 4 5281 1334 1 20089 6683 1 11428 470 14 17422 690 1 11591 6252 3 5672 888 6 19220 1819 3 9250 5336 1 18705 2353 1 1358 2881 2 3749 2118 1 8586 1727 1 1451 507 2 12148 6641 1 17753 1761 2 19931 2268 1 10549 3070 6 14031 1819 2 5038 6091 1 3765 5329 5 18201 4796 4 16665 1698 4 15920 3333 1 9543 1231 1 10 310 2 4815 2693 2 4249 4604 6 10248 1641 1 1002 173 1 2287 5245 5 19136 7117 1 18639 8099 1 5059 219 1 1824 4582 1 17515 4727 7 10843 3069 1 13343 1611 1 2274 1996 1 13743 203 1 6570 1249 5 17864 8194 4 19324 203 4 11100 3129 6 11295 1112 1 18734 6980 1 18115 2510 1 19087 412 1 19409 4240 1 4444 816 1 3395 1277 2 5596 367 1 11693 2673 2 18014 447 1 14496 46 2 1560 2431 1 6987 3496 1 2378 3084 1 121 5329 1 174 7942 1 3376 196 21 2221 3253 3 15454 4314 1 3000 3872 1 2461 5162 5 13968 1760 1 19932 1736 8 13023 1214 3 16548 817 16 7505 1762 2 15676 7357 1 6140 2959 1 12592 1739 1 13369 244 2 18807 5674 1 4522 1672 2 10579 2415 1 17369 1772 1 5989 2577 3 5877 340 14 18671 2727 2 12846 505 5 9993 5488 5 19624 7183 10 9759 1736 3 15785 612 1 35 1979 4 12252 205 1 19154 2268 2 4602 5594 4 11726 4680 1 13328 5415 1 13058 4361 2 13669 3693 3 1150 6133 2 4544 5023 1 6697 235 1 806 2343 1 10579 3399 1 14253 3146 2 11363 3155 1 284 1983 6 7923 2180 1 17740 7432 1 17807 2708 2 14059 2953 1 20126 5971 1 5973 1507 4 1031 207 2 10912 2144 2 15356 3911 1 9553 2478 3 1401 7098 3 13491 1819 15 13488 765 5 13995 7980 10 16546 768 1 18968 2641 1 16665 1237 2 12070 7586 1 18205 7191 3 19412 7638 24 1698 6201 2 1040 3998 1 3426 3511 2 18110 1769 1 10670 8091 1 6332 762 1 19287 1571 16 15427 3263 1 2000 4427 1 18887 200 18 16457 1234 1 8845 3612 1 3959 6779 1 124 5429 1 6023 5051 2 98 4423 1 8591 221 2 12320 6144 3 17913 6777 3 18014 1251 1 17713 3510 1 18769 1416 5 14082 207 1 16831 1784 2 11982 224 8 18355 3427 1 17682 1275 1 19975 2399 1 9848 6091 2 764 3138 3 5588 196 2 7996 1990 2 4784 532 3 6670 1784 3 10999 433 1 9188 283 1 19069 3186 1 14767 883 1 18711 6288 1 12817 506 1 9374 1760 2 10238 915 12 6854 523 1 8728 846 1 2860 3391 2 7532 201 2 1928 347 1 11885 313 3 2643 6052 1 15579 470 18 9753 602 1 2341 1775 1 4400 3508 1 17436 655 5 5337 1250 1 8751 5031 3 10911 641 5 3720 1363 2 143 6664 1 5216 4090 1 12281 1235 1 16490 7735 2 232 4724 34 15964 3635 2 8226 2075 1 7498 7901 1 2098 1250 2 3548 1255 52 15775 778 1 809 3974 1 13540 10 2 16704 1 14 3442 5657 1 8934 1508 1 10948 2789 1 11938 7597 2 1054 7511 4 18231 6231 17 10692 947 4 19645 8013 2 7608 4922 1 15608 578 1 12071 214 1 6183 411 7 14418 3629 2 9885 6341 1 6776 1635 5 9623 542 1 10593 1829 6 9141 3511 1 2509 5266 2 18089 952 1 1727 4245 2 15726 3230 5 7610 877 1 8768 1720 1 16636 3741 5 13185 1537 1 7217 6343 1 17966 6084 1 10265 5543 1 5928 5101 6 5372 1304 3 16094 7719 2 19707 741 1 8950 7514 1 13 667 2 16860 6013 1 10408 637 1 18618 844 1 4080 2103 1 4796 505 1 12057 1146 4 9432 904 1 1534 175 1 14897 6106 2 1969 7719 3 4082 1395 2 4901 1507 1 11346 2635 2 4000 8137 1 5827 890 1 6561 3667 1 4872 520 17 1482 3685 1 19326 1698 1 5424 1208 1 18960 779 3 11230 1101 5 19518 1734 1 1005 7925 1 13414 1729 1 7359 7850 2 4806 1249 1 17555 5768 3 11122 1942 1 16396 1833 1 13837 7509 1 3916 5522 2 9947 1156 2 9238 3980 4 12013 7663 1 16857 203 9 13277 3313 6 13384 2817 1 15886 7800 1 7225 1379 1 4811 382 3 2234 929 1 13866 501 7 16684 1717 12 5596 1342 4 6661 4126 1 17257 5897 1 9875 519 19 10422 3378 1 9644 1726 1 11402 7060 2 8788 1770 1 4583 1266 1 19568 442 1 188 1246 2 4061 4955 1 19051 3884 2 11746 1745 1 6690 692 1 13534 654 1 12855 206 2 5436 8184 5 18421 502 1 8090 534 8 12277 1559 2 3499 7229 21 16914 7948 2 16018 6585 4 7068 215 3 14447 3728 2 18136 4010 2 9667 1825 15 8462 201 5 7701 8067 1 2939 2781 1 3812 1658 4 15810 1450 21 4305 5844 4 7849 4940 11 12267 7231 2 5877 4998 3 9250 656 2 11633 6021 2 18006 4951 1 12815 7013 11 2980 5969 1 9845 1753 1 5451 136 4 6230 7237 2 39 2045 1 8615 6052 2 7719 2276 1 15303 1768 1 10856 2378 3 14591 5341 25 14894 1082 9 13093 325 13 11804 2881 1 16338 2821 1 18293 436 1 3354 5167 2 14529 533 1 1551 1745 2 4898 7466 1 19850 233 1 1677 94 2 1759 499 2 11086 173 1 3331 821 2 1698 6103 2 3483 6259 1 10575 665 2 15934 6252 1 19286 445 1 11957 6263 6 6712 605 1 15579 23 7 16754 6649 1 6630 6690 1 10000 417 1 11713 6167 5 1826 8174 2 17020 4081 3 4147 1657 3 4701 765 1 17136 196 1 15794 7699 1 19344 8109 1 15463 1536 7 5408 3462 2 4165 5289 3 2998 1424 1 19321 6421 1 11238 6875 1 12413 1131 2 4692 1960 3 9774 864 1 5773 957 1 5076 1150 1 17819 23 2 188 184 1 15468 214 8 11706 6957 2 12262 1739 2 13437 578 1 1744 848 1 2459 201 1 6259 6278 2 13244 1571 1 19727 1775 1 15530 206 1 18149 232 12 16894 6845 3 7652 8013 1 3806 545 2 14543 8127 1 3797 3075 1 9851 5016 1 6997 1072 5 2704 3540 1 14522 519 7 2716 6925 1 11094 619 1 2823 3255 7 18091 1756 1 4679 1721 2 3988 4549 1 2629 910 1 16827 2990 1 17872 6183 1 13400 4955 2 5830 4518 1 835 1474 2 1586 1779 1 11394 2507 1 6170 6207 2 9039 6059 2 8471 262 4 16202 5104 7 13638 5419 1 8110 4343 1 2571 3822 5 4667 6903 8 14580 1825 1 5381 1250 1 14825 1054 1 4811 6991 1 9093 1334 3 847 1305 1 17500 3427 2 1730 6769 1 14546 6334 2 15419 1736 1 4044 7980 1 12378 4761 1 3822 6554 1 14896 23 3 2297 3163 1 11907 5758 1 4147 2632 2 9604 524 2 7245 1825 1 1028 1277 1 1962 2842 4 18408 6937 1 1530 5391 1 17123 3672 1 16645 828 1 9660 3532 1 13870 1985 45 5158 5221 2 6775 5774 5 18992 127 1 14359 5282 2 14836 1756 1 17917 8172 5 6228 7466 1 16063 3916 10 19776 4239 1 14233 1721 2 14763 2617 1 6265 2155 1 16137 6082 1 130 5979 1 153 7092 1 3854 200 1 10774 496 1 20009 4351 20 6749 7036 1 13743 5490 2 14572 1677 4 873 3827 1 9756 323 1 873 2831 2 4186 3172 2 2327 3070 4 13635 4196 1 3076 4623 2 15214 838 1 188 1245 1 15782 2604 1 7455 4392 1 14748 1779 3 3570 3138 1 15501 6062 1 114 5123 3 455 7089 1 15929 1032 1 19913 220 4 8082 8026 1 15272 219 1 16117 6435 3 15689 6655 1 6256 2329 6 7385 8183 1 7780 510 2 15456 2727 1 13111 1244 3 4583 3706 1 5863 1307 4 13358 496 2 20 1357 1 19265 1721 2 2072 3710 2 593 512 1 16140 477 2 17767 792 1 569 2675 27 10997 2877 1 14048 6245 1 19729 3276 1 12322 2534 2 18229 8143 3 13857 3558 3 10806 727 1 18049 221 1 74 3422 4 10414 1737 8 7285 331 1 440 7511 1 3432 3378 1 12766 565 1 19720 219 1 19822 411 1 13829 156 2 18162 4998 10 5128 219 1 18706 244 1 18705 1342 1 3075 203 5 11235 2614 1 12286 2356 1 2181 4563 1 13779 2280 3 3688 203 5 11196 1431 10 6748 4308 1 16589 5488 10 7917 3795 5 16218 6009 9 14037 3400 2 2995 828 1 8878 743 1 20244 4156 1 1125 463 1 1352 2357 1 20257 1991 4 3074 4739 1 15430 8071 1 7034 3518 2 7148 3881 5 3126 1734 3 16437 4389 9 4064 525 2 19060 223 12 13370 500 1 12168 7487 1 2509 2709 1 7681 1756 3 15231 7286 20 14038 1779 1 13384 422 1 1275 1769 1 10853 4827 1 12279 964 4 991 203 1 19869 2559 1 881 5673 1 10549 7668 8 5261 3346 1 18529 3070 7 1207 7857 1 4539 229 16 18115 296 1 10110 5723 1 9648 3649 1 12291 206 1 10380 728 1 1465 1638 1 6206 1734 1 6193 648 1 31 534 3 20235 1286 2 5929 199 1 15091 73 1 9759 1715 1 1625 2019 1 5519 6632 2 18883 3176 3 16857 4303 1 4437 1246 14 6530 203 46 17382 1374 2 4967 2743 1 12878 1250 10 13984 4275 14 812 2009 20 5205 2595 2 4484 3175 4 13767 1629 1 8464 2771 1 9321 7237 1 15161 7477 1 16864 2487 1 12316 1147 1 10593 3338 1 18222 2258 2 7034 2750 3 17870 10 1 20021 6457 2 19957 4543 1 3406 6643 2 17789 982 1 15651 3192 1 19865 2344 1 15818 200 33 12387 532 3 10386 1825 6 16932 3333 1 16090 6913 1 886 1277 9 8931 3904 3 11155 190 3 15588 3477 4 11925 3721 2 3033 1638 3 10554 2415 1 16484 7372 1 9003 7857 2 8149 2683 6 7454 8141 1 12484 1936 1 19530 1037 1 20076 3334 1 13922 156 1 9729 1247 2 10441 1726 1 6907 6953 1 18614 3271 1 20072 3420 1 10103 3511 1 17252 5906 2 4743 1466 1 14612 4403 1 6341 2722 1 14758 3570 4 647 6428 20 16327 6039 6 14413 4792 6 113 5097 2 5039 5011 14 2198 1695 2 8690 2373 1 19486 3417 1 18546 1276 1 11723 2167 1 2803 4328 1 18587 3509 1 18369 148 1 327 2367 1 4756 167 2 17340 8173 1 3815 1287 1 1614 7419 1 16833 5322 2 7702 3287 1 17343 1819 2 6524 207 1 14084 1752 8 5371 7193 1 3696 3748 1 6929 1356 1 2167 6139 1 11585 1686 9 13482 3081 3 17811 5905 1 16833 3694 2 15821 1727 1 3491 1724 1 6332 4026 1 12283 1730 1 11304 6510 3 9650 1762 2 13842 4135 1 20049 3969 1 2450 737 1 15368 4489 1 20148 3349 1 9269 7541 1 685 1015 4 9864 441 1 9848 3057 1 9416 303 1 6213 7642 1 15367 3926 1 16984 778 1 16683 223 1 2349 200 15 1495 1146 1 2689 3621 1 13787 2561 2 5624 1286 4 3112 340 12 2028 2355 6 18803 1691 1 8505 4357 1 14777 6549 1 2085 534 1 1545 4447 1 15834 7512 1 18876 943 1 812 2691 2 18847 3040 1 2266 1012 1 12888 2863 1 8793 790 2 3793 320 2 3319 6716 1 14728 3889 5 13557 6600 2 29 1673 1 12023 1776 1 6193 837 1 4382 184 2 8934 7752 1 3434 2076 1 8128 4969 5 20021 2653 5 6801 3557 8 5229 5963 1 4824 3022 3 13961 834 1 6402 1913 3 9061 3013 3 6130 5294 3 8751 7750 16 572 712 2 9358 6640 2 19326 1241 1 1908 214 1 1007 7097 1 14552 253 13 13009 1814 56 10791 199 1 15098 1747 15 2925 728 1 15236 203 6 11228 4796 6 14187 4427 9 8519 6091 1 12973 4660 1 413 1464 1 19071 5187 1 1577 2663 1 3697 1244 1 16192 2134 3 12450 5262 1 1885 3878 1 13430 4411 13 1081 1695 10 4299 2698 1 12470 1313 11 5465 5030 2 19545 1367 3 788 5082 1 6527 744 1 18905 3980 2 3407 5758 10 19725 1995 10 5972 5504 1 2935 1364 4 17092 1705 1 5913 225 3 12987 1734 6 4018 1019 1 17734 765 1 16798 7747 7 135 6145 3 2652 2617 2 19898 7868 1 7699 7293 1 13636 7768 5 9567 7320 1 873 7825 2 18755 2256 1 7750 5018 2 1251 1741 3 4299 5031 1 4735 3298 3 9715 5002 2 3521 4413 1 11786 4540 1 2368 902 1 4634 4868 2 4092 3148 1 2776 445 1 4885 7816 1 14416 491 2 12911 1743 3 20256 773 1 8532 1246 2 7040 5272 1 17532 4016 1 18260 184 1 2442 5559 1 16266 244 1 8118 6627 3 13266 2674 1 5982 4245 21 10874 2646 2 1893 7313 1 3397 674 4 6228 578 1 16989 225 1 3882 1573 1 8156 1748 4 13655 244 1 19279 6430 1 2583 5054 1 17801 1357 2 12375 3464 1 4633 6341 2 7738 1738 3 5248 1573 6 1739 1730 6 2886 690 2 18040 8072 10 11296 1658 1 4875 386 1 11118 1772 2 6556 4967 1 10319 6435 1 18546 6150 2 10617 7831 2 785 6957 1 130 5812 1 9370 411 1 5411 6697 1 1674 341 6 256 5758 5 11882 228 1 12764 3132 1 367 1267 2 12136 7967 3 12502 541 1 19872 186 1 8907 5105 5 11305 34 1 7306 714 1 16583 2061 1 16538 3371 10 15367 5339 2 8394 444 1 10065 252 1 8966 1778 2 17478 8058 1 7686 3155 2 10080 5123 1 17210 819 1 9085 1819 1 17549 235 1 46 1760 1 14887 23 1 11181 7604 1 13105 355 1 4019 2885 1 4905 270 1 14896 8192 1 11213 5031 1 6715 1237 1 13427 2683 6 13442 516 2 10404 2936 15 18157 7719 1 19396 2662 1 15935 1304 1 12725 2133 2 18768 5089 12 17996 5737 2 121 642 2 1946 1404 5 988 4877 23 15493 274 1 18577 6152 5 15578 3057 3 2499 1784 7 8984 1261 1 6178 5291 2 16483 1705 1 1483 3971 1 9865 1743 9 14010 6473 6 2447 1694 2 1401 1357 3 7868 4258 1 6652 5348 1 9462 3540 1 10883 244 2 20034 1395 1 9055 5258 1 15749 303 7 17420 203 3 18105 3621 1 10692 721 1 20204 5523 16 40 2114 2 929 3721 1 9327 1751 6 11155 6242 8 15345 411 2 8833 5368 3 19718 244 1 19034 5905 1 13250 409 1 11099 4460 1 4279 2132 3 7105 1539 1 13714 4219 1 16129 855 1 12970 1740 12 16270 4454 1 170 517 1 16089 1734 1 11467 3349 1 15510 1342 2 17120 1734 2 13881 2722 16 657 6761 2 486 4245 3 13207 1748 1 4132 6545 1 3484 1752 30 8250 5351 1 9578 1909 1 7270 235 1 6772 4395 1 2884 1244 1 15904 1827 1 2079 3374 1 19826 3714 2 125 207 1 135 1666 3 4937 1726 3 19833 482 2 20182 540 1 13461 1453 1 12152 1434 1 7991 197 2 18752 222 1 6662 6278 5 6509 1122 3 14261 184 1 12856 4600 1 6332 700 3 16994 6150 1 10156 5903 2 20191 646 1 5738 3223 14 5174 38 7 12252 6423 1 15970 743 1 382 233 1 19069 508 3 7820 6332 1 124 861 1 12933 2225 1 1553 1241 1 9501 1743 5 11993 235 1 15288 874 1 277 8141 1 3175 1277 1 18353 2649 1 13225 1956 1 7039 496 11 16726 8010 1 18144 2109 1 17108 5418 1 3006 6343 2 18199 7027 4 9198 1470 1 20040 6100 1 11556 1729 1 12179 1182 5 13373 823 1 6776 2691 4 10404 419 1 18115 1333 11 1059 3970 2 6477 1727 3 20193 7018 2 13827 1728 2 5045 2584 1 9713 1245 1 5326 229 1 3296 3349 1 5566 2003 2 16351 6591 1 7941 2702 1 5675 4589 3 2429 3525 2 3478 1356 1 3442 5703 1 932 5570 1 1899 220 6 7653 6442 1 79 3558 1 12638 470 3 3666 5172 2 8580 6957 8 11786 7668 4 5408 723 1 11756 5279 1 4334 1235 1 9676 4427 25 9891 1717 3 8942 1374 1 1882 3913 1 2917 6645 2 9166 528 1 7017 4486 2 20016 7599 3 939 1238 1 2716 3081 8 12913 6442 1 18538 7719 6 755 525 1 16348 6192 1 17550 3840 2 13117 3810 8 1568 542 1 3889 1250 6 3748 5991 1 15224 2666 1 3131 534 1 16388 2356 3 19729 2675 1 4449 7529 1 5263 6633 3 454 1054 2 12894 1235 1 6857 52 2 16421 7201 1 17988 726 2 16984 886 1 13628 7673 3 16931 512 2 3002 765 1 10738 7255 4 10542 2836 1 5540 6278 1 2262 3992 1 4061 1721 1 6712 1090 3 14908 7419 5 5215 4803 9 16130 929 3 6502 3056 3 8517 1143 12 6867 1248 2 20107 639 1 10852 270 4 19696 3593 1 14239 541 3 12591 2557 1 7731 7413 1 8865 3679 1 13916 4163 5 7467 631 3 12545 1721 1 11786 1907 1 7117 5879 2 10986 3343 1 3826 846 1 20052 2552 1 6881 2827 10 11504 1482 1 6692 214 1 17246 1748 3 12723 776 1 6687 3808 1 17932 6142 3 1420 1721 1 4665 6058 1 14326 3954 1 9986 1076 6 6418 6260 1 6075 3903 1 15206 3855 1 1489 1789 1 8842 6640 1 3982 5905 1 10287 1296 3 8419 2254 17 17778 1656 1 9939 411 1 8687 219 2 19689 5328 1 20260 8141 15 20265 1734 1 1174 200 1 1610 1295 1 18418 1114 1 13489 1661 3 1384 1252 1 3794 1078 1 16636 2114 4 17127 3512 5 2784 4762 2 11999 4123 2 14301 4845 2 11890 525 4 5778 205 2 12913 46 1 14566 1238 1 18572 2662 1 16856 1200 4 15484 201 3 17327 203 71 9257 221 1 2647 23 2 16323 1607 10 12919 7088 1 5886 3 4 10693 7606 2 11925 3892 4 12988 1657 1 16808 2744 1 130 5792 1 8832 623 1 19293 222 2 2036 6899 2 745 919 2 14344 4590 10 3469 7857 3 13601 3684 3 12922 1184 1 12148 6644 1 17388 3984 1 16118 1613 1 20258 4312 3 2935 10 7 19331 510 2 17134 200 6 107 4765 3 1551 205 2 17803 3605 1 2435 203 1 15692 6710 47 6105 2635 5 19872 4297 5 4195 512 2 11102 3607 1 11820 859 1 14087 5847 3 18885 235 2 19073 947 1 11728 6150 2 7001 6150 4 12184 6064 15 6437 7643 1 9753 929 1 19609 1781 1 7802 7231 14 7872 3180 1 1687 4459 2 11361 203 35 19306 4787 3 5025 1703 3 13062 5319 1 11820 1548 1 19967 6407 1 13097 1344 7 13997 730 1 10313 2118 2 15055 821 1 15895 2327 2 18534 7638 1 16421 3540 1 5354 3575 2 19271 1995 6 12935 1954 1 11562 6435 1 14738 949 1 13130 525 3 13087 201 1 6333 6609 2 11174 7201 5 886 2089 15 8438 4199 3 10355 2851 1 1704 1621 5 3663 492 1 17073 23 3 460 4635 2 3000 5804 3 6687 425 1 1507 223 5 17404 4274 12 15970 4137 2 3762 196 1 9513 6471 1 8918 203 2 14940 3556 3 18921 5225 2 314 470 1 5653 507 1 15825 4435 1 5934 1692 1 8192 514 2 16570 2370 1 153 6914 1 1864 244 3 7165 1113 1 6697 6084 1 17109 6568 1 2947 5156 1 11313 552 1 13842 5610 1 20145 13 2 15313 6278 5 7648 2269 3 6815 3619 2 3878 1282 1 10782 374 2 15167 5425 1 10309 5978 1 3972 5568 1 3309 1909 13 7916 496 2 11737 1249 1 13202 1954 1 15471 877 1 2648 201 1 669 498 5 6140 7403 2 14197 3906 1 11471 1726 2 16835 2553 3 15082 1573 2 10553 3400 1 3988 4277 1 11616 3373 1 17382 441 1 7160 2725 1 8087 5897 3 13623 23 1 11508 3085 1 19521 5325 3 862 6288 4 19927 4179 1 2853 5708 1 10553 2841 3 2450 597 1 20218 1246 1 2201 2675 1 18202 7549 1 15180 519 1 18460 153 6 1132 38 1 3424 3569 1 19993 7511 1 3418 3840 5 19094 1249 1 1683 7906 1 10399 2555 5 7991 6751 5 19680 4619 1 7688 6368 8 19384 148 1 179 8189 2 17324 746 1 2813 488 1 13499 3206 1 9635 6481 1 12633 1146 1 9224 872 1 11111 184 1 6769 2114 1 3038 4446 1 14758 1322 1 16337 6477 1 4213 3866 1 1878 5481 1 1519 1738 9 2803 2489 2 1228 1825 1 3812 7021 1 6556 4038 6 17084 2646 11 604 3534 4 1461 233 1 7012 2355 6 18508 4827 1 13 893 5 67 3233 6 15608 1783 1 6028 6219 4 2306 638 1 15785 557 1 3235 5577 27 6628 3813 2 10951 1825 1 937 7606 2 1664 6031 1 15743 3632 6 20236 5271 1 10766 4698 1 7573 4963 6 6275 2353 1 3855 1147 1 1171 1724 1 17257 712 1 45 2322 1 11882 379 1 18027 3867 1 8281 7419 7 7064 1686 1 17392 4293 2 4621 4598 1 11798 4563 4 13775 502 1 5739 46 1 812 23 6 9126 3512 1 8761 910 1 5738 558 9 7705 1369 1 2694 3181 1 10740 1399 1 6357 874 1 9587 7216 1 17996 1236 2 8358 1741 3 7274 1987 2 16308 3405 1 5303 57 1 15392 7979 1 16547 206 2 18106 1714 7 11663 2742 3 2104 997 17 13744 4232 4 7361 53 2 1028 3729 1 12410 1184 3 7358 3590 1 15314 7411 9 17935 3634 10 617 3655 1 17736 436 1 17088 7599 3 16734 1302 3 18814 2969 1 4879 5266 1 8639 7679 1 7392 365 1 18252 498 1 2928 225 1 17477 4615 2 6748 2605 4 3017 188 3 14464 716 5 4950 2290 1 12940 7004 1 17885 2677 1 15610 690 1 3399 1247 3 9403 2736 6 4032 367 1 7270 4967 2 18283 1731 2 20029 3323 1 9797 2305 1 2694 215 3 15100 900 1 944 1721 2 6342 197 1 13925 6268 14 1043 5122 1 4436 23 2 15874 2747 1 4576 175 1 10973 206 9 153 1312 1 18054 7583 1 18526 525 5 745 692 2 252 1729 1 12688 663 1 19420 3556 2 11336 397 4 10390 215 31 16500 74 1 6152 5391 1 19651 3684 5 10525 1721 4 4873 7980 5 452 3333 1 4311 3895 12 7986 3816 6 13548 8168 5 19692 723 1 17403 2003 1 4386 4403 1 17038 8141 5 19332 2645 3 12783 5324 1 745 229 3 5832 2876 5 12312 1909 10 12929 6488 1 104 4667 1 7769 689 1 11702 880 1 18462 864 1 7530 207 1 17935 6551 1 11766 1450 5 4782 2256 1 9141 5036 1 10947 190 1 18705 184 2 14666 2789 8 19220 2636 2 3806 304 1 18118 7045 1 5356 458 1 1214 292 1 1698 2650 1 19945 4435 1 2944 34 1 2100 5179 2 10080 927 1 13857 2495 1 1542 225 2 2813 2369 2 544 303 1 10264 419 1 13659 214 3 11024 3949 11 17664 1737 2 18747 223 1 16242 7259 6 6733 2131 1 16350 867 4 6767 219 25 6387 2011 1 2405 1244 16 1705 843 1 100 789 1 20145 1686 1 13031 1251 4 2419 4367 6 14756 1244 5 16578 4333 4 16266 1752 2 1003 4963 1 31 1184 3 10736 6102 3 6332 1344 1 1539 3211 1 7214 1732 2 11297 533 1 12209 1737 1 6769 8171 1 17416 1954 1 13307 1801 1 4049 3336 2 17709 206 8 9868 1172 1 11111 1703 16 6269 3056 7 16916 863 2 5028 2246 1 6926 1239 1 7970 2747 1 8663 6355 4 5147 1453 4 6381 575 6 350 162 1 17902 533 2 10730 7596 1 15467 509 2 5854 5961 1 3027 1788 2 16837 1372 1 15211 461 1 16306 3230 1 7994 907 1 6423 233 1 2525 6338 6 165 7542 5 7030 6571 1 2477 1518 1 18628 766 2 15561 715 1 14900 184 1 19802 496 1 1958 8194 3 15011 1121 1 9282 2246 1 2267 1184 5 15061 611 2 269 2675 14 6595 214 2 17457 4105 3 8528 3669 1 416 496 7 10234 502 1 19669 3135 1 4144 3591 1 14666 1371 5 9566 1441 4 17401 7008 1 2345 497 16 3703 206 4 604 4307 2 15028 1304 7 10307 3892 5 19342 1150 1 12640 4250 2 18968 371 1 18557 2708 1 9283 200 5 15849 222 1 19872 500 1 1108 1946 2 2116 1757 1 13706 510 1 14484 1921 1 14218 2646 1 10570 6152 10 5301 214 2 5815 3901 1 1438 1739 4 747 7599 3 16670 5559 4 16063 5523 2 8212 2869 1 7819 1718 1 3447 1247 1 7339 995 10 828 7419 6 84 3880 1 1711 4623 1 10846 8171 1 2886 629 3 15454 5879 7 15140 103 2 16468 7105 1 10049 6756 2 16340 6493 1 14060 173 2 16036 1750 2 8892 215 1 7528 1770 1 9399 5022 1 20114 4013 2 11458 2386 2 10396 1732 2 11897 2760 1 16050 5018 1 322 3645 2 10852 310 1 2620 7606 1 20126 4963 1 8594 698 2 1443 1396 1 20262 1284 3 10554 5398 1 15395 3138 3 1530 7600 1 684 1695 1 17953 4599 7 11762 3649 1 5769 7936 1 8000 1743 1 11081 4435 32 1561 4155 1 12344 3067 2 5624 705 1 7070 6185 2 14516 4251 1 12663 175 1 19400 2675 2 1886 4321 1 11868 4322 2 4232 7554 1 5214 413 1 6272 3345 1 8153 4418 9 16137 6047 1 6116 1275 55 16487 5325 1 10071 1518 1 16367 5119 2 2195 5691 1 6564 2468 1 17062 947 1 13187 5349 1 9393 842 2 18106 4792 1 15493 3525 1 8620 1012 1 7646 3412 1 13551 1727 1 5877 1707 9 3651 8057 2 17014 6058 4 14005 7614 1 16428 1957 1 15874 6875 1 11881 2675 36 9603 4635 1 2776 3669 2 1440 3210 3 8438 6776 1 6314 3735 1 16372 2683 8 15843 4436 5 10760 184 1 1495 6059 1 8405 2605 1 10180 1736 2 15468 1342 1 18637 412 3 17746 526 4 19240 1764 2 6992 7254 5 15791 809 1 13405 412 2 7359 206 6 10457 258 1 12378 5806 1 18149 1184 8 393 3710 1 11 443 1 4092 5000 1 3445 3331 1 1189 7512 1 10426 7473 6 12006 1907 1 14226 5292 1 11396 421 1 13048 3872 1 10283 805 2 19237 2488 1 10950 4206 3 4492 186 1 18495 3884 1 10893 2035 5 7856 4357 1 18690 1775 1 18836 327 1 15649 4761 5 18886 5445 1 5993 1508 2 6526 3305 1 16546 2083 1 13046 197 1 6350 1250 3 17674 222 2 11212 4963 2 17302 5115 1 7320 2998 2 809 1253 3 12300 7259 1 3954 4204 2 10716 5903 1 59 2705 1 8108 904 1 8913 6663 2 2447 1739 2 18116 541 1 15572 1782 3 4043 6435 2 10183 1734 4 15471 3661 2 15468 3669 35 18923 3412 1 16524 8139 2 18879 4312 1 10303 5762 6 7853 2104 1 272 514 1 17191 199 1 8013 5826 2 7817 743 2 10442 1751 1 10406 652 1 515 3684 1 2483 1973 1 4708 7229 1 11202 7843 1 14080 4599 1 1882 1756 5 16827 2653 3 11336 5767 1 5837 1245 2 7267 1660 1 13839 789 3 9093 1734 1 11971 1762 3 6516 849 2 15102 6152 3 9767 6059 1 4106 1373 1 2599 3206 1 17682 2686 1 11165 220 3 2100 5217 1 4954 4325 1 15759 3855 1 3650 2674 1 9978 479 1 6325 4397 2 19422 6564 1 14322 533 1 12054 7027 3 14728 4245 1 3351 821 1 12680 3027 1 12952 1249 3 16674 2718 1 10565 358 2 13 605 11 8328 153 1 6624 258 1 5825 1237 2 2010 4621 1 9834 7808 3 3175 5945 1 2980 423 1 11906 5885 4 6360 411 48 8013 3757 1 11938 1251 2 337 194 5 14326 4249 1 14336 175 36 18481 3432 1 18311 215 2 14150 5518 1 7295 783 3 17950 1248 2 18226 236 1 17746 3808 1 18154 6087 1 4307 184 1 13604 1819 1 19346 1304 1 10818 1374 2 4589 5538 4 12304 2109 2 13804 6342 11 14011 3507 1 5049 4274 1 16774 1548 1 12537 176 2 15893 2679 1 13614 6723 1 7660 4405 1 572 367 1 16153 743 1 2632 5341 3 8003 95 3 20 1300 1 15915 1379 2 6099 5310 1 8760 419 2 14154 2640 1 15180 6793 1 19112 4561 1 19438 1825 1 9910 201 10 20068 2488 1 15497 2114 1 12325 3387 1 4722 1535 2 4812 1239 1 77 3513 1 3059 629 3 7756 2252 1 19112 6047 1 11882 1891 1 6853 383 1 19289 1150 1 1296 4196 9 18759 6914 5 7017 3471 1 5185 366 7 20009 1917 1 4547 1236 1 8369 5942 3 456 6204 6 9713 5575 3 19037 4077 1 6120 207 2 11752 1447 1 1853 1383 1 15159 3206 2 10098 206 1 7991 1776 1 13374 398 1 11165 1249 1 3037 514 1 9537 1663 1 10014 4060 2 7644 3845 1 15104 1779 6 10931 215 2 7140 10 1 11418 1019 1 19201 1768 1 17041 3020 1 6221 7716 4 17676 203 2 12064 207 9 2151 1946 22 13377 3919 1 1644 222 1 7649 4014 5 3111 2881 1 15928 7425 1 7769 1741 1 6348 812 1 3947 2534 1 13737 367 1 8375 8224 1 9595 937 21 17652 220 8 14921 827 1 4947 7105 1 11588 6535 1 3160 2172 1 4779 1331 1 8597 3070 2 3521 540 1 94 4226 13 533 8187 2 9566 6342 1 10361 214 3 6434 2935 1 4265 2541 2 7385 3511 1 13903 3606 1 3695 6669 5 4857 3911 1 6332 900 2 5318 6334 4 7334 2327 1 16583 4233 1 8597 1184 11 8133 1207 2 6115 2370 1 3715 5837 3 4060 1632 1 12576 219 3 547 1783 7 1828 196 1 17463 2789 1 8826 4597 4 19426 6120 1 15651 2981 1 8831 3405 2 19781 3851 1 8903 8022 3 9708 7768 2 164 7473 2 14109 394 3 14400 1781 1 9864 8022 1 11164 1474 3 10696 2626 1 11509 2561 1 13711 6167 1 15449 2710 2 2980 441 1 12677 5425 1 1773 1717 1 2811 758 1 17247 1369 1 2860 753 1 62 200 1 17766 1643 6 8614 5552 1 2151 6051 4 18208 2980 1 46 1730 1 3313 5413 1 14626 2445 1 11445 1909 5 18129 2097 7 3282 531 3 6984 1824 1 8448 3817 3 14527 5018 5 12821 236 1 18255 4234 1 469 234 12 17910 3488 1 17954 827 1 4993 4597 2 7129 3083 16 9072 4967 1 17903 215 10 11931 7878 1 20225 967 1 11795 131 1 10839 2097 2 11014 1747 3 17892 892 13 10619 6754 2 18122 1703 1 153 7045 1 16319 2678 3 12950 7542 1 305 236 2 1519 1342 1 15621 1960 1 756 3883 1 3293 282 1 9250 935 1 6018 2786 10 17470 1685 5 17550 3669 1 1576 1827 4 7228 3798 2 8673 203 31 7203 1242 1 4352 5432 1 4833 1250 1 6295 221 1 9898 1238 1 14753 4623 1 6835 3404 1 4055 2068 1 10313 2507 4 3406 6513 1 2935 7216 6 13478 429 1 14256 2542 1 10916 846 1 17474 2636 1 14817 3613 1 17030 3974 1 6444 7779 1 10900 3584 1 1783 201 6 16310 650 1 7135 1722 1 4985 842 1 9082 910 9 416 1745 3 777 215 3 16441 1352 1 6379 7595 1 11417 7857 7 11172 4671 2 8969 1235 1 3721 4986 2 20163 4649 1 18988 2675 22 15182 869 1 19787 943 1 14505 397 4 14411 3893 2 3667 4582 1 9304 3526 1 13466 1721 2 12227 2989 2 13217 3008 1 15774 5513 1 2772 5749 4 7577 2737 1 11082 6440 1 2855 5526 1 11014 4992 10 1547 1717 2 218 232 3 7956 7898 1 7203 7672 1 16938 1761 2 14746 3233 1 13898 1757 1 2392 153 1 11968 5566 1 13604 201 1 15683 6084 2 15599 6620 1 15989 496 2 18471 2056 3 5765 6701 1 17935 1242 33 4048 203 8 10553 3584 1 18993 1564 1 6564 4243 1 15960 1146 4 4011 2955 1 10152 6588 1 14772 7404 3 16090 4343 1 19865 463 1 18231 4000 1 4207 490 1 15617 4799 2 14929 2875 1 19282 903 1 9909 7518 3 1820 5513 1 6630 2023 1 8629 7871 2 4121 4780 2 3973 7105 1 10252 1307 2 6495 1779 3 19243 1116 1 1422 5132 2 13103 6618 2 16039 5018 1 14917 6396 1 9094 3230 3 17742 600 1 6068 219 5 8792 2646 33 9270 6875 2 14644 38 1 10095 235 1 3164 3167 1 7445 397 1 9061 679 5 12594 1258 1 8053 567 1 12319 310 2 46 1399 1 9119 5324 2 17548 896 1 4709 3619 1 15645 963 1 13412 3114 34 18765 5758 22 2205 2367 3 1870 2749 1 19537 7184 1 7823 3389 12 4055 4528 2 17340 330 3 19160 1728 1 5700 6009 1 153 6907 2 13710 200 1 14416 1764 1 17007 935 1 12817 1277 8 6855 5909 1 3718 1885 7 12489 1898 3 12695 1464 1 7214 6120 1 14298 4067 1 1363 1718 15 4995 5097 1 14328 3520 59 4648 499 1 20072 221 2 4574 6267 10 6197 5026 10 4284 7086 1 5181 6744 1 11678 3637 4 3988 2513 1 8532 4992 2 4596 4615 1 16474 1703 3 19958 3168 3 1132 8108 3 6236 3441 1 16106 203 2 15622 2228 12 7617 3895 5 7785 3666 43 143 6529 2 1638 6567 1 13461 1253 3 18720 3942 3 10297 1416 1 3890 3021 6 4963 3721 1 15596 6811 12 7194 2895 5 1998 461 5 1106 200 22 7469 5550 1 10554 5749 1 18876 3488 1 13925 7709 5 19972 5294 2 13623 5534 1 17710 1150 1 14470 2953 2 982 207 17 1903 1550 1 10416 214 2 6003 532 3 12972 7327 1 4364 1246 1 3259 6154 1 17133 219 1 5064 656 1 3031 6627 1 6801 5879 8 10557 2661 1 4369 235 8 4923 6876 5 17555 3065 4 11179 339 10 4267 3135 2 13622 1726 7 926 81 1 8117 947 1 14540 5108 1 1169 5082 1 16196 3494 1 6439 411 5 16857 2076 1 19313 7021 1 19833 2489 1 14669 6876 1 1948 502 4 10179 1147 1 16887 2294 2 11207 438 1 17960 910 5 12638 1183 7 8211 221 1 6490 534 3 13384 2721 1 12457 201 1 4469 1698 1 15024 2021 1 1059 1531 7 14733 6283 4 16857 6801 1 9269 853 1 18080 8071 2 8471 497 1 17302 5737 1 13078 7229 3 6064 442 1 11672 728 1 17585 6993 3 12685 4543 1 6208 2254 3 2346 1783 1 13699 1694 3 10286 1776 1 5596 201 8 17947 2488 15 10973 1374 2 14711 3895 1 14734 3526 1 3730 7537 1 10311 634 2 2390 2774 5 13797 6231 1 7317 804 1 6183 883 6 1263 291 1 19118 222 3 6697 2363 1 4050 4476 1 17120 5326 1 16394 7217 32 7883 6560 1 13645 1757 1 15282 203 34 4259 2969 1 13302 222 1 14729 8141 12 174 8104 1 15098 1250 6 20086 7833 1 14906 196 4 13940 2858 1 7932 4196 3 98 4440 1 3561 3827 1 7017 2079 2 3221 8195 1 8541 215 4 2116 200 9 83 3872 1 19649 2354 1 18762 219 16 8883 4724 1 15339 518 1 16860 1191 1 13059 7606 1 18404 6538 1 15870 6283 2 18391 689 25 3150 3008 1 26 1560 2 6769 4397 2 19286 356 1 12772 537 2 10786 545 1 10088 7737 1 10436 201 1 16039 203 2 14762 1453 1 17678 2557 4 17120 1132 1 5388 3128 5 15781 5560 1 4342 2810 5 16907 7592 1 5748 3234 1 7231 220 1 7634 509 3 10774 2361 4 14590 6609 1 8965 1686 1 12619 2257 2 15885 4501 2 12329 1703 2 6570 3840 5 5255 2560 4 6883 6713 1 2217 5945 1 17305 3480 2 5501 1023 4 4885 6575 1 15429 177 1 11024 8033 1 13605 7565 2 3436 344 2 18244 3155 1 16817 1740 2 11548 206 1 2925 745 5 5995 7477 1 14458 6783 3 5603 47 6 7498 344 10 17159 1813 1 19675 6252 7 1543 8096 6 1499 1708 1 13020 523 6 2321 4643 5 2538 225 1 11999 1595 4 19957 493 6 1322 3074 1 17331 2678 5 13017 1184 12 19760 1357 1 8394 448 1 8678 4059 1 608 1248 3 10549 1710 2 3933 136 3 16847 5515 1 9357 5700 1 7440 5011 7 14005 6680 1 14376 1147 1 4140 7342 4 18819 2675 23 10916 385 1 17120 1736 2 9857 3388 1 19145 1252 1 3218 3421 1 6976 252 1 13673 3227 5 4663 869 1 2525 4196 5 7672 2103 1 14917 230 1 7706 1722 24 19382 6697 2 3426 156 1 14147 3747 4 5696 2356 6 14800 3542 2 6762 156 5 17781 2989 3 15574 74 1 4930 222 1 7910 3182 2 166 4019 1 16864 2831 1 19486 545 1 17664 3262 2 11028 7235 1 3815 726 1 3178 3474 1 11554 471 1 14778 1747 1 9152 244 2 2135 2504 1 13570 2029 1 718 5306 2 13173 1726 6 8826 1757 1 8492 7189 1 18722 125 1 19578 2419 1 10886 196 5 9106 7857 1 48 2411 3 2293 863 3 18700 2297 3 12517 409 2 12206 2355 1 10983 5974 4 1592 874 5 17180 5465 1 8709 4229 3 16109 1738 4 9412 4555 4 14184 3298 4 6969 7255 1 6314 5251 9 13055 6637 1 17327 1753 7 13952 2578 1 534 4531 1 15466 201 2 6783 6231 4 4330 541 1 15839 1720 1 4857 4998 1 16924 2372 1 11903 2675 2 12378 4591 1 15935 4233 1 11000 1025 2 18104 2720 1 11498 7848 1 279 3563 1 5358 4494 2 16018 2735 1 11266 4405 1 18042 428 1 5312 200 6 17742 234 9 12753 1779 2 18992 690 1 7812 1239 3 9978 1072 5 18615 1194 1 19649 252 1 1443 4435 7 19705 5506 1 14986 1613 2 12951 214 4 11350 8184 1 11 478 1 13806 764 1 11987 215 9 1147 4098 1 12897 2114 4 14645 1695 1 15083 401 1 6449 4380 4 4847 1745 1 5365 5018 3 10941 6226 1 15674 1789 2 10135 2636 1 6048 1417 11 4267 3784 1 19246 3239 5 4492 1236 3 13899 215 2 7181 195 1 10733 386 5 5909 547 1 4137 1727 3 12823 504 3 1864 6486 1 6510 3797 2 18187 8054 1 10396 6522 1 7019 1827 4 19399 7791 1 10519 2675 10 4634 391 1 18650 2351 2 17331 10 1 15641 1863 1 8946 857 1 2980 1320 1 11354 3637 1 17011 232 5 1772 7474 4 1682 1150 1 11270 1042 2 14827 1710 4 10692 737 1 10344 7313 1 7386 3464 1 18792 3399 1 5982 2698 1 13961 100 1 17727 4029 2 3430 2256 2 7152 1847 2 1794 1258 1 13636 1369 1 2784 7427 2 4173 3512 2 19000 3552 1 2886 1819 2 15727 7506 1 5200 7401 1 17112 525 1 7363 3691 5 9328 4312 5 10931 227 1 2181 1888 1 6198 5878 3 7186 169 3 10285 1762 1 13868 1762 1 9224 558 1 14066 7182 1 238 5774 23 16113 4622 1 18298 207 5 15386 4482 1 5952 4653 5 5738 8036 1 15074 5254 4 14607 1658 1 17331 5817 1 19217 344 11 10123 5382 1 13743 6665 1 3189 6058 1 6570 1322 1 19444 3492 1 18635 5897 2 19511 499 1 6371 343 6 7886 167 1 5638 1352 1 19415 1820 98 2271 1760 1 13075 6288 6 127 2929 1 18056 6912 1 11968 1995 2 15634 7471 3 6762 5294 5 11959 2665 18 4168 204 9 2570 2290 1 7841 2478 1 15233 581 1 10849 5874 1 12578 378 1 6752 5255 1 7575 514 1 7991 682 1 5647 2646 2 5801 1663 1 17775 1274 1 3404 2301 1 2973 1234 3 11984 6855 1 10758 3787 5 9787 2868 2 530 1453 1 6991 385 2 684 215 8 3936 1464 4 12147 224 1 7483 7701 2 9688 4992 2 13574 758 1 643 2885 3 18014 751 1 8538 1025 10 14717 7422 6 10245 6899 1 14011 3242 3 6813 3018 1 19957 1402 5 5145 1357 2 10192 567 10 10579 2517 1 15960 200 2 679 644 1 4005 7596 15 7653 2418 1 624 199 19 5626 4623 5 5075 2698 1 15750 823 1 802 3167 1 5099 3911 26 4629 6540 2 10125 3946 1 13027 4402 1 1393 925 1 3705 4448 1 12117 408 1 17143 721 1 9704 2127 2 15100 943 1 1255 2656 3 12752 220 6 9477 3391 1 17494 2626 2 19362 8141 1 10856 1732 1 6990 6271 3 9276 222 1 13239 4635 1 2985 2946 1 1472 336 4 9079 1245 1 6892 575 2 8599 4996 1 19799 200 2 19104 3552 1 6183 505 3 11056 5187 1 11344 8083 3 12783 186 1 15202 737 1 16005 6256 1 17918 5945 1 12343 219 1 5204 678 1 14932 3489 2 12988 4383 1 11402 6164 1 6801 5986 6 6189 659 1 19760 5137 3 15376 1829 1 12014 545 2 3812 1282 2 1138 5737 1 1435 1721 2 405 6150 1 6950 910 1 6463 458 2 11428 1312 4 11151 1698 2 13084 1482 2 5826 467 3 11145 3337 14 18408 397 2 121 5339 1 9699 4299 1 1670 1734 3 16816 5820 1 11428 2818 4 17660 1341 5 13699 2493 1 10856 7096 3 17088 6689 1 12837 1453 2 18481 3928 1 19326 3081 1 8615 4095 1 5337 1751 1 18037 6363 1 12749 2617 1 14911 5395 1 17165 7742 2 6288 5575 1 747 1247 4 1517 865 1 13087 2548 1 16491 3367 2 15103 4351 16 1663 1721 8 18171 1342 5 13573 5018 1 13205 2735 1 9589 7275 1 10675 5758 1 153 2721 1 6821 518 4 12452 2854 5 12064 411 13 7872 2138 2 19424 7076 1 9891 534 1 7507 184 1 12279 3669 3 5076 544 1 7839 523 1 4841 219 1 13640 1253 1 14964 1792 2 14753 3351 1 18193 2683 4 6202 4164 1 655 3155 1 1513 428 1 10955 1638 3 8970 23 2 11768 1745 6 10036 4811 2 4283 1007 2 14206 2724 3 181 8221 1 711 1342 4 11326 214 1 15522 2016 1 19131 687 1 14639 6132 1 98 4418 4 5847 411 1 18644 1770 2 10875 4435 10 12190 1324 1 3189 2580 1 11388 4938 3 13280 1955 5 10783 1344 2 18672 2493 1 12058 534 2 4368 3648 3 15314 1237 4 8735 1251 2 15192 753 2 2813 2494 1 9745 1288 1 11077 4299 2 2213 5325 1 13919 8251 1 17384 910 11 15619 3698 2 14085 7593 1 2965 3592 3 2183 1244 1 16500 1717 3 17963 225 1 10694 1771 1 11880 2535 1 413 6489 1 12897 4199 1 8558 2686 1 3799 3059 1 7295 946 3 94 4244 1 12701 4499 2 3479 1241 2 9354 4589 1 16020 532 1 12448 498 1 15167 875 1 3765 2366 4 11028 5586 1 5947 1734 3 11736 954 3 7718 2363 1 15778 1248 7 3309 752 1 16345 6132 1 17385 5018 32 10078 6192 2 2271 394 1 1499 1646 1 1546 1818 1 16430 3612 9 2865 335 4 6506 3995 14 20219 2727 1 745 1669 1 6433 52 1 9224 715 3 8751 3453 1 8775 6027 1 20055 6473 1 14620 1245 1 8821 1092 2 13448 1965 7 1089 1235 1 4639 2990 4 14988 3366 9 16137 1328 1 6642 5007 1 7526 223 6 16844 4401 4 14968 4653 1 11026 3621 1 15743 5018 1 4756 6435 13 7933 6749 1 11755 6645 1 19322 3072 1 16089 4293 7 6414 1755 1 13561 205 1 11820 667 1 4982 1814 1 12815 481 12 5668 7538 1 3571 7407 36 11202 7871 2 12534 1610 6 879 1995 1 18591 1342 1 18543 6165 1 11502 134 1 16820 6250 1 6089 222 15 8369 2028 1 1999 575 11 6446 6083 2 2395 225 1 5277 4236 5 11 436 1 9421 3477 1 16157 1257 12 12355 5768 1 11263 3427 1 10999 2964 1 18450 824 1 8585 4599 3 7916 2671 5 5216 1729 1 6191 836 1 15943 6342 1 2866 200 13 13925 8022 2 20117 314 1 19853 4977 1 7745 1338 1 7251 1982 1 16665 2356 6 6612 215 7 15726 534 13 11509 7533 2 7392 3670 1 7820 8069 1 7434 2671 29 8237 512 6 14719 2675 1 20013 2915 6 2292 532 1 18382 1239 2 625 4367 9 5980 498 1 2961 207 1 4488 7853 3 10084 236 3 19302 200 1 10584 8183 3 5763 201 7 11545 369 5 8237 4670 5 16171 6683 5 5023 4980 1 85 3888 5 15600 4022 1 15100 850 1 15595 2058 10 15030 3135 2 9652 521 1 3182 536 1 7823 1184 21 6014 1799 5 16790 1761 1 8931 3663 2 15437 23 2 20162 1035 2 4572 1250 4 20085 3106 2 3115 1685 1 20097 292 20 3397 6564 1 5770 2968 1 3921 7531 20 12760 2089 1 1499 5635 1 7817 229 4 1445 7308 2 9432 742 2 17372 3732 1 15618 572 1 19090 823 1 1601 3144 3 11658 2892 5 17778 891 1 7363 4623 1 891 7112 1 17903 1716 3 17345 792 1 17141 5594 1 6560 4020 1 14522 1768 4 2713 1758 1 2617 4120 2 3048 660 1 8043 506 1 17408 1369 1 4573 2442 6 12270 2675 8 18353 295 1 10546 2969 2 15272 190 1 17831 7414 9 10017 2662 6 154 7128 3 1255 5496 1 554 1781 1 18021 883 1 10245 7611 1 14760 6073 3 19757 1502 1 13652 3206 36 19322 6793 1 10554 756 1 10222 1416 1 2862 201 1 16339 523 1 7705 962 1 3426 1728 2 18381 5319 8 4180 5219 1 3734 3012 1 3673 5877 7 5738 452 13 9168 1363 4 17947 2507 1 242 6334 1 12860 337 1 3568 499 1 18547 6152 2 12164 3462 1 104 4671 1 17962 1703 4 8867 1730 3 13613 348 1 15599 3533 2 6989 244 1 6261 2626 1 8332 7220 4 3712 4431 1 3743 2027 1 122 5356 1 14492 5321 1 3515 6064 1 7331 1388 11 7306 661 1 9094 470 1 1361 4600 1 11192 837 1 5500 2268 1 3463 1757 2 9857 3374 2 6371 621 7 7794 2668 2 15641 4369 1 17331 215 2 9519 4803 1 566 926 2 18633 2413 3 4492 510 2 8425 8184 40 20180 2068 2 13916 4160 2 13829 1814 13 15405 3029 1 7927 4296 1 18524 52 1 4994 5356 1 1397 4599 1 19385 3485 3 4963 6527 1 2329 3570 1 6589 6252 1 12882 1779 1 13706 222 2 2284 2729 1 5632 2721 1 6348 7820 5 17518 235 1 15608 817 1 11832 6231 3 1026 1193 1 14759 3293 1 17790 2675 1 5318 1704 1 6679 3766 1 3258 1739 1 4857 1814 1 11663 596 19 12988 3693 1 12688 1395 1 17751 2542 4 1028 4554 1 13574 2104 1 6969 5130 10 6635 1023 3 8356 498 1 14888 1296 1 4629 6661 1 18892 4979 1 1338 786 1 6806 200 32 11461 221 2 6752 842 1 8753 1775 1 8620 514 1 13636 7105 1 6367 840 1 16570 1280 8 2073 8190 3 7952 4882 1 11305 3998 3 8265 7423 2 15885 5912 2 10554 2519 1 10730 1739 7 10821 5737 1 8709 1691 1 15750 454 1 309 779 3 13409 6309 1 14086 1548 1 11678 318 1 43 252 1 6691 207 6 6595 225 2 6862 5133 1 27 1602 1 16109 1705 1 12490 7614 1 16003 597 1 19400 2661 3 7239 4956 1 20244 7337 1 15318 8194 1 10270 2356 1 10168 8171 4 1141 2350 2 19286 1342 11 106 4751 1 2091 4467 1 2567 2239 1 9945 3011 1 4092 2747 1 13986 5603 30 8982 360 1 8788 1946 1 11072 1193 1 7875 6496 1 10078 4274 1 17421 164 1 3090 6065 1 10233 3061 2 6660 5105 1 16674 4667 1 11622 136 1 553 2580 5 1631 203 15 5843 4200 2 1958 215 3 13666 2747 1 19151 1063 10 10499 6220 1 1444 5346 1 9310 1744 1 14289 7570 1 6314 682 2 8500 2424 2 4492 1250 2 10026 8062 1 14562 303 1 91 2494 1 20040 1819 1 756 3894 1 14470 6363 2 515 1726 2 5831 156 9 3633 1119 1 18508 454 1 19766 3920 2 16832 223 1 4779 2849 5 12406 8194 1 18431 2649 1 2525 5584 6 7838 6912 1 17855 5104 1 5233 7570 1 4606 4373 15 15957 7190 4 81 3681 1 5390 561 2 11458 5636 1 16967 23 5 7182 840 1 13466 197 1 18614 1695 1 5696 1315 5 7574 1361 1 19056 2131 1 6513 200 7 7823 6943 1 1733 200 7 15572 1779 3 10786 2721 2 15204 214 2 3416 7834 2 14021 3578 3 18460 5712 4 14753 3729 2 1304 6496 1 12897 5830 1 9374 1710 2 15192 260 1 9399 5020 1 340 7535 1 2943 5105 1 17078 2534 5 17094 3654 2 9157 6341 1 4779 528 1 6540 1211 3 12717 1296 1 5053 5971 1 1014 1304 1 5336 3454 4 11768 3669 1 9771 505 3 17257 967 1 15286 2981 1 17257 682 1 9027 220 1 4492 6557 1 7180 95 22 10844 207 1 16197 222 1 15429 3219 1 12145 3355 5 17991 23 1 17404 6368 1 12429 2983 1 6936 397 10 2652 1241 1 3121 6946 4 12058 23 3 19217 274 1 1839 47 1 7750 2675 1 10916 5670 1 16133 3304 2 5645 1723 1 9546 726 1 18655 2671 15 48 2435 3 4547 1734 2 15757 5390 1 2770 910 1 17384 896 1 18152 2173 4 9595 3410 5 8930 1235 7 12406 502 1 10080 931 3 10703 1657 5 14665 4618 1 2395 4370 1 16416 4949 1 74 3475 1 9513 7413 1 11533 746 1 17257 962 1 15869 1645 1 13242 6217 1 6752 604 1 7620 4304 1 4696 7466 3 5117 566 1 1779 2617 5 4626 1312 1 3521 792 1 8051 1267 1 9280 4944 5 2424 5612 1 17799 339 9 15100 141 1 19493 505 3 6338 1244 2 745 2636 10 3044 202 1 904 4383 1 12392 1395 1 13241 2097 5 8938 1778 6 12006 1982 1 5354 7859 1 1231 3263 12 9379 506 3 6278 891 1 2348 7860 1 7117 4203 1 1520 1266 3 9188 929 2 7248 3467 5 7374 3685 1 15281 3230 1 9714 759 1 2835 2534 3 10988 5327 1 4976 336 1 5401 821 1 252 1282 1 6452 7367 1 6215 3908 5 10498 4322 1 11388 232 6 12457 471 2 18107 23 3 15776 1788 1 5952 214 1 16090 8224 1 10608 4613 12 12988 519 7 7943 3484 3 9836 4459 10 18755 3081 1 547 541 1 2192 6484 14 1864 891 1 5952 6027 2 5730 223 5 7726 1692 11 11254 502 5 14047 4811 1 10549 203 36 18520 5686 1 7359 1731 1 7114 3486 1 18386 5294 1 2801 118 1 15041 206 3 10243 1272 1 20256 5866 2 4239 8184 1 12406 1756 1 1641 6435 1 3730 3021 15 17932 5319 2 116 623 1 8522 1737 1 12757 1745 1 1376 3798 1 20114 532 1 14504 3511 10 2175 525 3 917 5522 1 8255 3494 1 9700 292 1 719 629 5 3058 4959 1 12337 910 5 23 1446 1 15992 868 6 13461 1740 3 8641 1242 2 9921 3909 1 7455 1474 1 1743 3399 1 13537 5255 2 20046 1440 44 5116 1238 1 2204 355 1 3258 173 2 619 3056 6 18637 4026 2 7817 1663 2 10542 4306 1 13013 1105 3 4550 1644 6 10498 410 2 4627 3177 1 14757 5750 5 4828 2795 1 9962 4614 2 9628 765 1 19602 3477 1 17224 2930 2 13995 3657 2 16201 1287 1 9104 156 1 6450 3666 10 11850 1775 8 12988 5418 1 15075 1600 2 4583 911 1 19739 203 2 17120 4929 1 19370 8203 3 11806 1731 1 12970 225 3 14578 1280 1 13911 2699 3 10883 768 2 2973 1729 1 8322 89 1 13648 3518 1 4382 514 2 18115 2515 2 18218 3685 1 6292 460 5 7089 6545 1 2064 5373 4 13770 6339 2 19387 1936 5 4113 2521 5 15749 2633 1 17027 6534 1 3867 3621 1 1160 235 3 18915 1721 1 4305 5322 2 1415 5325 1 18526 1717 2 572 4394 1 12078 2949 14 16992 4995 5 11533 720 1 4843 865 1 18237 1768 3 7278 220 3 17927 3405 3 16676 1464 3 15730 3453 1 2589 156 18 15648 1761 1 11412 1734 2 8901 523 1 19504 2552 1 9315 186 8 11874 7576 2 8391 733 1 6256 1313 6 8888 1070 5 1551 1743 2 9302 2636 1 9372 6368 1 4428 7515 1 5677 712 1 17429 1755 4 7597 7223 1 8620 3036 1 12739 1975 1 10465 2675 6 6475 1760 3 13894 891 2 19029 1691 7 16470 1256 3 7588 95 2 6769 194 11 7231 496 1 18046 4619 1 4305 3352 2 14642 863 5 2782 554 1 18054 4632 3 7745 6252 1 9972 7433 1 9335 5486 1 9609 4107 2 13829 1722 2 16665 6152 1 988 6473 2 12883 1019 2 12064 1243 1 4861 3604 1 16817 237 1 787 1686 1 10449 681 2 10844 6091 1 11562 6867 1 14970 1721 1 6740 903 1 9726 6445 13 16817 1250 3 17338 1252 1 18655 1730 3 12576 470 1 1834 6662 1 3668 6179 2 1725 3531 1 8269 567 1 17076 4085 1 4055 646 3 18214 4093 1 1666 5389 12 8620 413 1 12014 1244 1 163 1244 4 2542 523 2 3695 5014 1 9401 532 10 19923 3168 4 16231 5285 1 7991 91 2 3733 805 1 17662 214 8 8888 5826 4 6631 3073 1 12949 3233 2 3021 2677 4 13134 6587 1 12817 1357 1 17747 3491 1 18887 823 1 13024 3389 2 17775 1298 1 16354 4415 1 4405 2955 1 6052 1275 1 2842 5202 5 18866 235 3 17340 1250 1 10862 3012 1 3484 3563 19 1991 3273 1 16994 23 1 13601 5413 1 17382 545 2 12879 1819 4 13800 3448 1 16768 2721 1 5159 855 1 6451 4123 1 94 4227 1 7516 4803 23 9935 2662 1 7822 5714 1 6534 1041 2 14688 7317 1 7228 5253 1 7640 8050 2 14604 2575 9 11769 1661 4 8147 1364 1 2094 184 7 18056 8047 1 19941 3581 2 1812 1710 12 11 461 5 3532 2495 1 13735 200 17 18007 1749 1 16090 1474 1 11024 3929 1 8174 1244 2 6045 1816 7 592 438 1 12322 864 3 3666 1352 3 12128 5305 1 4307 5018 2 2631 1825 1 3189 422 1 12384 207 1 6611 3011 2 17431 2392 1 13974 2276 2 3579 883 1 2348 1710 1 347 6245 18 16929 233 1 10459 5860 1 7986 1649 5 18058 1246 6 8757 2588 1 4773 4282 1 2980 844 1 11425 624 1 6588 8040 1 20123 2786 1 6064 390 1 3217 4591 1 11255 6035 5 12952 719 3 15230 1775 4 11166 4609 1 20006 2368 1 8677 4290 2 5372 3634 6 6228 6957 1 506 2831 1 19193 156 1 3680 1346 1 17440 2898 1 16428 1686 1 1445 3251 1 4055 1076 1 1132 2662 2 4265 2640 1 17331 225 1 10555 1314 2 18421 200 5 1223 5390 1 11937 7953 2 17463 1907 1 5589 1776 1 15800 4293 1 12269 3225 1 14908 3298 2 8832 2511 1 17927 3349 4 19901 3113 7 3613 1775 3 2939 3840 6 2813 383 1 789 200 1 15530 7716 1 18960 644 4 2285 7963 2 7996 297 2 1548 4312 7 153 7114 2 19627 6368 1 19003 203 1 15826 252 2 16260 7636 6 8167 1250 1 12459 222 17 11459 207 1 16965 3744 3 12948 244 1 16524 519 1 3060 2555 1 12209 6011 2 13140 5845 1 2929 2103 3 19737 3491 4 7750 1729 1 19520 614 1 16895 4905 4 10698 225 1 17999 207 1 35 1948 1 20114 206 1 1723 4945 1 11705 543 1 18976 1819 6 8946 243 3 8654 3689 3 12126 1761 1 1472 2357 7 15454 1153 5 16589 2761 1 12040 1466 3 4092 223 8 20129 2534 2 15106 2296 1 3226 793 1 4375 229 1 1429 502 13 11425 575 1 5543 7883 1 15368 4199 1 19994 1474 1 11912 15 1 11866 6187 3 16551 4090 6 6325 4621 2 13328 640 1 15128 229 1 18792 6464 1 9340 545 1 1128 229 2 10585 1062 13 9132 200 1 8793 937 1 14162 3110 1 6322 1237 1 8663 6402 7 954 792 1 54 2634 1 11060 6761 1 14494 7726 1 92 4158 1 11219 1483 1 3106 498 1 4493 1721 1 3008 1454 2 7219 4014 1 20145 23 1 13038 496 5 3358 911 1 6746 2708 1 15629 652 1 8832 4041 1 4985 1731 1 10633 221 1 4462 975 8 8546 3170 1 13752 3493 1 18152 207 2 17656 5730 1 12208 6481 5 8779 2449 1 10165 605 2 15398 559 1 4327 1825 1 19872 790 1 5401 645 1 19276 2673 1 1322 1312 2 19355 825 11 6142 1745 1 19047 1757 1 10353 347 1 3484 2379 6 18144 508 1 10677 214 2 13392 2419 1 7498 6899 1 12799 3798 13 10237 3669 3 10249 673 1 14062 1154 3 18157 1383 1 1542 1703 2 3070 4967 1 11416 6192 6 14805 5559 2 18431 221 1 17681 5730 1 11122 755 2 7421 3020 1 18144 1703 4 1895 3494 3 4914 2857 1 10543 2019 4 6889 4951 1 2045 6334 5 10103 1951 1 5792 336 1 20064 2993 1 107 4789 1 12409 1769 2 8514 2918 1 6183 1312 1 3937 4716 1 1701 3899 7 16283 3942 4 4694 1879 4 19197 3671 1 14798 2948 2 6686 7275 1 15614 514 1 12988 1695 6 15750 1032 1 17719 3558 3 11122 4554 1 18029 8109 1 11026 4774 1 11367 203 8 4821 6170 1 10442 1241 1 11533 5266 1 6755 6533 1 6123 5559 1 12888 2296 7 20156 23 6 3056 3452 1 16635 234 2 16920 4245 1 20 1313 1 18040 1705 2 17136 2534 3 11485 6064 4 18546 3263 1 17137 7853 1 35 1970 1 14722 6801 1 7630 3536 1 9026 244 3 8831 4286 3 2405 1772 19 11059 498 1 2985 553 2 4064 502 5 4963 4394 3 12501 1235 1 100 4481 1 17081 4267 2 10233 891 1 17159 3230 1 6966 1887 5 8681 1781 2 16730 1994 5 1519 484 1 10033 6897 10 2473 557 1 3010 200 1 18637 214 9 322 1275 3 9097 696 20 1466 1237 1 7739 4022 1 18500 4446 1 1002 4623 2 13069 316 1 15307 892 1 14412 1825 1 8665 5997 2 11249 8145 1 15849 221 1 11250 303 5 5304 673 1 7779 6228 30 9270 1728 9 17992 7815 2 3488 6473 9 4183 1819 2 3338 3333 11 5624 1742 1 4412 2671 3 13786 2404 4 3484 2435 6 10 331 3 3607 8031 1 13963 1819 1 7312 1748 2 3419 1705 1 1780 1492 1 3320 1359 1 10585 1819 2 9996 1272 1 19763 6791 2 13430 6761 2 4342 5686 1 10471 3193 2 7599 6152 1 11766 1342 3 13787 498 4 4282 6576 1 11665 3466 2 16354 6204 1 8690 2410 2 17019 1739 2 19319 173 1 10653 4877 5 15978 7512 6 17416 1245 5 11295 2367 1 18862 4618 2 11206 4807 1 11472 1775 1 17249 6286 1 12054 7089 1 745 6402 5 17083 718 2 1027 496 1 4057 2946 1 5540 1146 1 4386 1367 1 16494 420 2 6711 2626 2 1597 2146 1 19675 536 14 1986 2686 1 8606 1245 1 20154 2636 1 18282 2248 1 11562 4202 1 9941 8072 1 12817 1695 1 3012 207 15 12821 1235 1 18440 5499 3 855 1825 3 12121 200 1 1623 2931 1 18907 3909 16 38 2026 3 3939 6237 2 7910 1418 1 12236 1089 1 6235 4226 2 822 367 1 10520 1645 1 7203 3435 10 6292 1131 2 9915 2936 1 11489 222 1 2905 1372 1 12236 2091 3 15187 206 3 5026 1434 1 16702 5354 3 19090 407 1 8689 2649 4 8369 1437 1 6533 2958 1 1246 8139 2 3892 1779 1 19270 926 6 17122 6783 5 1628 206 12 4055 714 1 13587 2508 2 7286 502 8 10294 215 11 16238 524 14 6383 5989 1 1954 7461 2 15691 2680 1 1720 995 1 11354 1745 3 2160 252 2 10772 504 1 1520 1253 2 8439 1253 1 10576 222 1 9655 516 1 4216 6697 2 11577 1250 4 10342 6751 1 19746 3509 1 6440 510 1 14297 1146 3 669 220 1 9155 2656 1 17083 200 3 14998 4230 2 16714 1104 7 6535 7250 1 6064 614 1 1412 1576 1 5179 2633 13 14115 7542 1 10948 2571 3 18466 7614 5 14269 4702 1 979 220 4 19360 3065 2 174 7945 1 3140 7530 8 11872 3851 2 16802 215 1 10820 1707 2 10078 1914 1 10422 1063 6 2776 223 9 5444 2686 2 16700 931 1 14629 3796 2 3889 221 2 6064 8047 4 16619 4413 6 8330 4858 1 12376 3909 9 2072 890 6 5786 1775 1 12574 203 1 17242 3316 5 5636 1492 1 5863 4804 1 17539 7719 4 13131 225 2 55 2651 1 19822 7455 1 10340 200 1 15407 2678 1 5407 3979 10 8244 339 1 5318 3516 1 4101 6341 1 15159 411 2 14566 806 1 1983 3911 15 9168 1747 1 2666 5506 2 12892 391 2 15270 6781 1 15192 642 1 19331 173 1 16378 4998 5 16546 5804 1 14778 1464 1 15364 1160 4 2985 796 1 9052 220 1 7824 5281 1 1389 4976 1 9363 308 1 11385 6640 1 11585 3081 6 10037 2403 1 20058 3045 1 14481 507 1 2023 1356 9 20052 1399 6 10725 277 1 18151 724 1 19123 2686 1 13627 3556 1 13126 431 1 7039 1729 7 128 2721 1 18508 398 1 4778 1781 1 14124 3516 2 16215 4435 10 16589 3655 1 5463 512 2 9462 4299 1 6748 907 2 4498 2608 7 8730 798 3 607 5071 6 6815 765 1 15364 2646 2 7686 8171 2 15109 2328 2 12305 6629 1 19101 1478 1 7418 2649 1 7526 2367 1 1040 3666 1 126 5639 2 11898 4780 4 12075 2068 1 5738 7425 3 13461 2662 2 16743 215 3 9836 1729 1 6063 3378 1 18666 3135 1 9220 200 2 8451 690 1 19295 5774 1 19769 1819 1 18230 4613 2 5005 1748 4 5571 4653 5 14310 2852 1 18608 7427 1 3280 219 10 10017 1455 2 6603 4293 9 14908 3578 1 16338 4302 1 6463 489 3 7916 23 6 2435 831 1 7692 2461 5 15289 2016 1 16090 1762 1 12468 196 1 7943 7414 1 12570 3287 1 14616 5098 3 6340 3327 1 3918 3058 3 1028 4500 2 14154 1685 1 19273 3802 1 1824 7411 1 2990 5502 1 6834 4261 6 4716 1246 2 16427 1819 3 16406 7201 1 2523 3882 1 18608 2829 1 2537 1746 1 12231 671 1 3328 5903 1 6238 173 2 3735 5325 3 19406 5538 5 16859 2572 3 7530 1518 1 4707 502 1 5931 4615 2 3494 495 4 16124 8167 6 1783 1990 1 20184 8026 2 11546 1991 1 2935 1731 6 14357 252 2 16138 4252 1 12693 8175 1 19504 3518 17 7849 1342 3 2507 2131 1 2161 6252 2 15850 753 1 10862 536 3 14908 4333 1 9428 6219 1 6853 2517 2 10772 1751 2 16378 1742 3 12292 1482 1 7741 3511 14 16583 2595 1 10346 200 1 3944 1714 2 2180 834 2 6225 6224 1 1792 7424 3 6183 5272 1 16570 1208 5 6614 6035 1 6035 300 1 12457 834 2 11533 5604 1 6407 7215 2 17210 235 1 6943 3126 3 19378 3685 1 15884 5832 1 6714 6207 1 5994 1705 2 20117 1236 1 3630 1137 1 4298 1871 1 9424 3697 1 2710 541 1 8889 4000 2 11336 1344 1 12531 1241 11 16184 857 1 8391 814 1 7536 2357 1 10355 3306 1 13890 6485 4 16530 6481 1 4386 6482 1 1472 207 2 11406 882 1 2929 1296 4 9959 1063 2 7691 2591 4 16665 8221 2 15685 7240 1 13835 3813 1 9556 6394 1 58 1761 1 15753 6701 1 10655 7291 1 18524 1700 2 130 5938 1 1333 440 6 2412 1464 7 11637 917 2 16258 4761 3 6812 3012 5 6540 1686 11 8735 477 1 8078 3175 1 18797 235 1 15753 34 1 1171 910 1 13551 545 3 4979 8192 1 13529 3476 2 12397 514 1 257 3334 1 15883 1728 1 9084 6588 1 6016 6555 1 14928 532 1 9558 1243 2 4679 2883 5 16680 6983 8 6667 8095 3 7390 869 1 12695 2675 1 7956 1334 1 19871 2508 2 10064 7229 1 1064 1730 7 17388 4950 1 19353 171 1 13757 995 40 3681 225 1 20130 7859 1 14027 1109 2 10641 7602 1 18503 759 1 8005 203 7 7440 229 2 6611 214 1 14162 3143 1 10361 1747 1 8659 2534 2 16820 1015 1 4050 1814 1 13132 777 1 6213 5419 1 13743 5460 1 4397 825 2 18737 3684 1 6437 5486 1 7181 1734 1 3314 23 3 3207 6435 8 18224 6343 5 19165 769 1 11987 11 2 6396 203 2 4309 10 1 4561 7695 2 1850 6053 2 19428 2017 1 12469 6568 1 7148 8002 7 18986 1582 1 6208 1761 2 1622 1247 1 19455 1760 2 17507 1610 1 18249 3578 1 4898 1252 1 12279 4635 3 16805 5275 1 812 8084 7 6708 7599 1 18998 1717 1 2186 745 3 5936 3698 9 19144 6342 5 19279 1705 1 15865 7395 1 745 519 1 13168 3358 1 3337 625 1 14321 219 1 4193 498 1 10887 4077 3 11678 478 1 2026 5138 1 4092 5420 3 6837 2103 1 19061 23 3 12909 1853 1 19511 876 1 6622 505 1 11668 1718 1 5195 23 6 8676 484 1 17165 3554 1 19515 8027 3 11832 1464 1 2011 1275 2 873 2785 1 3323 1990 2 10815 398 2 5078 203 2 19836 244 2 6854 1761 6 17331 3774 1 18148 4716 1 5631 5312 1 7527 7404 1 9766 7408 5 15948 4724 1 8946 877 1 12669 3686 18 12934 2341 1 7085 2003 1 3037 1771 1 439 3333 1 11551 205 11 10000 2003 1 14769 108 1 5449 898 1 7709 1781 2 9112 82 2 6076 3554 2 8083 126 2 5565 6776 2 4397 4489 1 15140 3065 3 108 4916 1 6198 6606 1 4300 200 32 18849 221 1 17648 2182 2 9077 1062 1 16860 644 1 10667 5451 1 19569 1726 18 17816 2698 1 4539 4459 1 283 5318 1 14778 1748 1 1568 3562 1 18865 2307 1 5576 3860 1 13928 644 1 1452 524 15 16484 6557 6 8843 1307 2 8629 1242 1 16784 3949 9 1129 1713 11 4691 6132 1 15909 328 2 8388 6259 5 19511 6502 1 14043 4287 1 1977 5988 4 2204 5257 1 15419 2534 3 16401 1995 12 12851 5425 1 2829 1644 1 18944 2989 31 5036 7495 1 12766 656 4 8361 1832 1 1546 1238 1 5630 6414 2 16844 1253 2 11490 4929 1 14836 3081 1 7107 4306 3 6144 5888 1 4327 2353 3 9508 3625 1 18887 1170 1 17331 6341 1 13841 6192 2 143 6521 3 16792 13 1 4851 470 2 8361 3911 2 4898 1505 2 16137 4585 1 17496 925 1 1904 1747 1 16488 225 1 3358 4139 1 15016 1997 11 12369 203 10 4065 1464 3 10999 2747 1 4516 1667 18 18608 6207 1 7179 933 1 13445 1705 1 1167 2209 11 3533 508 1 3432 2675 2 5161 5048 1 1908 205 1 6750 2971 1 2128 3741 2 12279 229 6 6990 2016 2 3480 6288 1 13203 229 1 6432 4792 2 2139 3697 1 13328 7395 9 19486 4252 5 19163 776 10 6969 6983 5 17014 1825 10 16670 3921 7 13916 4159 1 326 3430 1 11388 4929 6 5883 6268 2 788 1772 6 12339 220 1 18356 4343 1 1780 4435 1 10923 229 11 153 2509 1 11867 221 2 15683 5897 1 279 2675 1 7099 1702 1 4678 3910 22 5041 5328 4 12682 6252 1 6683 827 1 3860 6363 3 14021 2327 1 2994 6906 1 14149 1342 2 11614 7948 1 13961 723 1 12845 1687 5 16295 5775 1 6045 205 3 12817 214 3 11890 347 5 18637 514 5 5444 304 2 375 495 1 18789 1858 3 3600 1727 19 7099 6342 1 1451 201 3 17905 1752 6 128 2743 1 11420 506 4 3504 6585 2 19461 448 1 3118 3389 1 4072 7622 4 4049 4185 3 14915 316 5 17738 235 2 40 2097 1 9164 7475 1 10717 5899 1 6510 3399 2 10221 1967 38 12988 1450 4 17450 3592 1 2478 1782 14 6164 2419 2 11626 5265 1 11458 2385 1 18847 2488 2 17902 73 4 15429 928 1 7135 1236 1 7886 1501 4 12136 237 1 16611 1146 1 1028 809 6 11164 1464 4 201 176 7 12704 222 1 8055 5083 2 1 59 1 1634 6484 1 10938 7601 1 17176 4325 1 11687 215 4 15608 627 3 5596 1768 1 8015 3046 1 6533 4318 1 10693 3148 2 4170 1237 2 10835 1698 3 2388 4937 1 9074 630 1 1693 4093 1 157 2396 1 1872 1727 1 16860 2494 3 6144 1190 1 17276 3999 1 16185 4696 1 16295 7511 1 4130 1407 5 18737 2550 9 16921 2251 1 8778 6053 11 13092 3460 1 10785 205 1 8052 23 9 16866 7426 1 4004 4006 1 17506 1591 1 17434 871 2 15763 2891 6 5782 221 1 6117 2591 5 8939 4985 1 11026 2338 1 10146 4022 1 16020 221 12 781 2138 1 8965 1743 1 18687 219 15 11325 1727 1 7203 5336 1 6433 3584 3 6682 1738 2 12063 3519 14 12819 7215 1 9969 2671 1 14526 4964 4 4115 225 3 17901 2089 1 7278 215 3 5440 1781 1 7765 220 1 12632 3849 2 17947 6713 1 10052 1403 2 8083 1492 5 16530 4065 1 6833 3518 12 801 184 4 6809 1736 10 11093 1235 1 15832 1717 1 10732 470 2 16346 7027 2 13715 2682 1 413 6900 1 6783 6120 3 17279 2979 13 12327 6906 3 10585 8109 1 17079 3366 1 5823 229 2 6420 2626 4 4913 8049 2 19661 5502 1 10152 3408 3 6055 5332 1 10289 1236 1 6406 452 1 5712 6152 1 171 7783 1 7473 5561 2 9930 1250 19 14059 453 2 4385 4060 1 10853 5879 1 12066 6226 1 14906 1748 1 13 648 1 20263 180 1 1904 867 11 17084 5324 1 18176 1399 1 3863 4245 1 12361 341 2 10786 237 1 4121 848 1 9871 3072 2 124 5535 1 19842 2176 1 15427 541 1 17076 3592 1 4713 4344 2 19645 1766 1 10213 5980 2 16665 1727 2 1089 4156 1 14522 536 1 8383 5187 1 4858 3693 10 1844 7529 1 5078 219 1 13066 2584 2 3485 514 2 7823 3913 20 4970 6897 2 2461 1781 2 10361 506 2 4267 4473 1 20134 1728 2 9906 1721 2 14894 6627 2 6439 3909 1 4303 7614 5 11215 2893 1 12121 6537 1 1359 506 1 17799 3267 3 19863 7531 1 3392 6086 79 20177 1656 1 11509 7536 1 15214 780 1 16442 7466 1 7134 1304 1 14935 3956 2 4303 1819 2 15351 505 3 18450 5690 2 5246 234 1 10404 1181 9 8466 6268 1 565 5420 1 5690 3980 3 2404 545 1 5775 215 2 4305 367 1 3905 499 5 3048 355 1 18981 3571 13 19085 203 1 13235 220 2 1902 3625 5 5429 2447 1 7315 7840 1 17404 7407 6 8979 1890 3 20207 6469 1 20180 912 1 13827 236 1 4207 203 2 1507 883 5 6910 219 5 1720 49 7 7179 689 1 13743 2743 1 9670 3790 4 4098 1916 1 1121 2027 5 15979 6231 2 8959 4363 4 7226 6025 1 17610 1796 1 2712 234 1 11377 5427 1 17878 8184 2 15830 5806 4 13705 7559 2 3504 5945 2 17719 83 3 17153 7689 1 3249 2109 2 9998 7959 1 18968 519 1 15263 214 2 3189 6984 2 20036 1357 2 5977 1789 1 11786 552 1 11499 204 1 12499 1662 1 17903 518 4 4496 1768 1 7585 461 1 3907 6957 1 100 4536 1 17652 4026 1 9146 5830 11 17388 303 1 18381 2645 2 3765 2889 2 8969 2626 1 143 4620 2 12024 512 2 14572 3637 27 6535 5263 1 19957 2349 1 10733 2964 2 7017 4097 1 16835 3083 1 20191 3006 1 19486 1035 1 8285 883 4 572 3540 1 3014 1245 1 17263 658 1 13065 173 2 15523 5018 4 80 3597 3 19501 1395 1 6684 1711 6 5227 2257 3 18231 6192 1 16409 891 1 8965 4589 2 15929 2511 1 16784 1242 3 15530 4455 3 8050 2705 1 13627 1700 1 11964 465 1 17111 1466 11 12040 209 20 7612 3074 1 10728 1740 1 12143 4012 2 18711 4403 1 8866 187 1 85 3900 15 13356 8194 1 16812 2021 1 9406 23 2 14063 1146 5 7143 2727 25 4634 4902 2 12445 5351 1 14770 637 1 20219 23 1 7528 4069 1 1582 5922 1 3892 883 1 5610 804 1 6964 3885 4 5624 1076 2 11786 6556 1 7425 7911 1 19942 6793 1 11098 3476 2 14994 4156 6 15936 1825 3 18346 3605 2 13825 200 5 2910 4595 2 14998 2641 1 13333 207 5 12652 2352 1 7112 200 2 174 8074 1 17214 2552 1 5492 370 1 7208 5814 1 17404 3464 1 18952 5995 1 17099 6013 1 18740 2256 1 6388 1244 1 2860 6031 1 18987 8194 1 3811 2661 1 1452 207 1 15307 316 1 3189 6024 2 5659 3980 1 5972 1702 1 13840 521 4 2985 790 1 8748 1739 1 12466 394 1 1119 6268 2 11652 3669 6 15211 220 1 16636 5349 8 9176 8141 2 5982 1827 6 11181 2386 2 11336 5082 1 3407 5008 3 13490 1055 1 8410 3625 1 9431 367 1 12634 10 1 17104 1076 1 16425 6568 1 19131 365 1 2007 6334 1 14612 2568 2 8674 505 12 14051 2260 6 17672 1703 1 18665 719 1 3765 3027 1 13619 3036 1 869 1677 1 18257 2398 1 8816 3502 1 5440 1244 1 9837 7702 1 15548 1845 1 6043 3230 1 5515 2386 1 12559 6539 1 19525 2667 1 5738 813 6 13758 5319 2 14117 8034 1 16842 6152 3 673 365 1 5830 2410 2 12022 2800 1 3211 4653 2 6936 7466 2 143 6662 3 3322 642 1 19630 1507 3 14728 303 1 10859 7008 1 18201 5048 3 8405 3649 1 19019 3883 5 5775 201 3 14722 512 1 10498 3518 1 16965 5346 5 8522 5698 1 19688 325 2 12154 867 1 7586 2342 1 15054 175 1 17985 536 4 1849 7386 3 13126 4338 1 8368 905 1 9771 175 5 4793 6341 1 2733 4839 2 15530 2969 2 4277 507 1 873 967 2 9759 524 26 8636 7512 1 891 2747 1 16772 225 3 19957 3447 1 2133 4251 1 5193 1734 4 11155 1445 8 10107 4476 3 20000 65 1 17391 381 1 10966 3897 1 9645 3570 4 16463 108 1 13126 676 1 11444 4955 7 8156 1247 4 7782 7719 1 6739 8154 2 2607 6743 1 7375 1524 1 326 5686 1 23 1418 5 5854 708 2 7322 3253 1 6259 1742 1 9628 718 2 635 2860 1 13185 3167 1 20090 2118 4 1059 420 1 17816 1474 6 5480 1248 1 340 7533 1 153 6087 1 19975 23 3 11255 211 5 8438 1286 8 14465 910 1 19056 1153 1 7599 1944 2 8793 822 1 10821 709 1 19131 7027 2 2425 5115 1 18478 367 1 421 223 2 7965 510 5 12311 6442 1 292 5903 1 395 169 8 15411 73 2 14350 57 1 16360 505 4 1962 5253 1 7139 2605 1 8798 498 1 512 3583 1 15829 1253 1 12870 236 1 7359 1748 6 15193 232 1 11598 2002 1 4872 6957 25 15468 229 2 5436 3904 8 19396 5550 1 11781 5758 1 19967 229 2 18307 3012 1 2646 5432 2 19291 5595 1 17019 7407 2 6492 5513 1 5943 3715 1 12690 4511 1 18809 1039 2 19090 366 1 9637 502 1 14557 2369 1 20243 3227 2 11306 6334 7 3397 5274 1 19093 4956 1 2439 4967 5 11320 2302 1 10681 200 3 12375 660 1 6690 2982 1 18998 4986 1 4388 5854 1 14398 3442 2 15635 1642 1 18151 339 1 19056 1731 2 13574 845 1 12655 4794 1 18883 224 2 14578 5950 1 15160 1762 2 14968 6713 4 7966 8041 1 20 1330 1 10105 8054 1 18211 2820 4 9556 229 3 11952 1715 3 9160 215 1 4173 502 9 19767 1775 3 14778 3328 5 14011 681 2 3662 3427 1 4614 1700 1 1581 223 1 1169 4096 2 14059 7529 1 10498 7824 1 13213 7679 2 15842 214 1 18060 385 1 17000 6122 2 3221 1721 1 19284 5018 1 14308 184 8 14259 5018 5 16238 6342 5 8747 3888 1 18886 4277 7 11066 6436 7 15364 5266 2 13623 5438 1 4985 7351 3 10786 1665 1 10119 4529 1 3435 496 1 10703 262 1 15021 5999 3 132 3333 1 15427 1453 1 854 5758 5 6631 2362 3 1552 7311 4 5602 234 2 10247 1990 2 8667 5162 3 13013 1304 1 2949 4245 4 56 1738 3 5890 960 1 13131 5131 3 640 1241 1 17475 3176 5 5924 5539 1 17734 763 1 4443 5346 1 14666 2358 1 6045 1727 1 15682 429 1 2519 1981 1 787 215 5 4208 3916 1 1435 220 9 4498 4555 4 19061 1062 5 9922 1296 11 535 5016 5 19250 4017 12 14527 5897 3 3931 1819 3 1282 7806 1 15804 378 5 17753 6990 2 6348 575 1 9916 6723 8 11297 4325 1 13100 8051 1 15509 4397 1 7445 3191 1 20215 3262 1 908 1990 11 7176 2357 1 18548 4739 3 10796 1251 1 11158 1990 1 6907 3974 1 3437 1775 2 16041 3049 1 14232 3228 13 17928 4996 1 4056 1615 4 9525 1251 2 19649 2673 1 7653 1714 14 27 1582 2 14089 637 1 18575 33 2 2296 534 1 9868 2010 1 5296 193 1 3651 5013 1 462 1757 14 15693 4972 1 20212 1819 1 8398 1762 1 3240 3909 1 10441 1729 1 18902 2043 1 3697 200 2 14881 5281 1 6332 5446 2 4233 735 11 10155 498 1 83 3859 1 4499 368 1 15539 4662 6 11301 3671 2 899 233 3 17753 7591 1 14218 506 2 8499 5162 2 13619 252 215 16600 788 1 18955 207 5 17088 6341 1 4811 23 2 13891 1283 2 9747 5264 1 13126 165 1 10168 936 1 1488 1249 2 14669 7001 1 1435 8192 1 724 1190 1 17670 3578 1 16421 1814 1 12163 5105 3 19240 1703 2 611 805 1 16491 2010 1 61 2752 1 15640 2953 1 19500 1776 1 12434 1927 1 18690 6141 1 7780 4413 1 14646 6993 2 2560 6701 10 11080 3670 47 15156 2885 4 11796 872 1 14758 416 1 14826 1288 1 10404 4208 1 19875 2353 1 8159 828 1 126 5655 2 3294 753 1 3626 5105 1 2345 1691 17 19044 8171 3 19870 7477 1 2609 3404 1 8272 4764 1 7688 6473 1 9968 387 1 19293 1705 1 10393 223 1 6093 6145 1 2859 2265 1 18521 5063 1 12982 3163 5 5656 2661 4 4883 3163 2 7312 2316 1 16090 4589 1 19558 3228 1 9353 200 2 2432 3542 3 16146 247 3 17527 1770 3 9886 1184 1 11008 1184 3 16855 206 1 18860 6031 1 1705 605 3 16355 1240 10 16378 214 1 392 220 1 20084 1464 11 7208 5551 1 11440 156 1 4106 4012 1 3313 505 2 9797 1762 1 15000 1911 7 11398 3457 9 671 203 35 26 1547 1 572 2946 1 4993 2918 2 6958 1110 1 1225 236 2 10883 1208 1 9439 523 1 19092 3699 1 16860 2931 5 3754 3556 1 5494 644 1 17314 3167 1 5775 397 3 11676 3747 2 16740 6184 1 5251 2367 1 18149 197 5 11212 23 1 18733 5599 1 1392 4252 2 7960 3083 1 10132 1566 2 20060 200 3 10629 1781 1 368 411 2 9837 6091 1 5028 2276 1 2866 470 3 6563 316 3 14447 7616 5 8031 7511 1 17059 4022 1 10733 2877 1 1874 470 43 17331 203 7 7507 5758 2 19872 3667 2 7092 682 1 3005 679 1 8614 5489 1 13928 1146 1 2962 4386 1 16626 6979 1 2291 3511 1 11766 236 2 13829 6207 1 1104 1711 1 5724 5472 1 16175 7308 1 13581 1635 5 224 2531 2 19418 5410 1 8695 6620 1 12607 7465 1 8875 3663 1 16974 1454 4 6640 7151 1 15368 1015 1 1705 5310 1 18142 235 1 8798 221 1 4935 1302 2 7563 1250 1 19865 4382 1 19268 201 4 9035 4155 1 1088 508 2 16645 6924 1 1329 688 5 4728 7220 2 19606 1342 1 9546 575 1 8334 4963 1 2570 7025 1 15978 498 24 15785 856 1 8024 1245 2 13405 3972 1 2797 7494 1 390 201 2 1378 1692 1 15195 541 3 14892 3434 1 10043 6637 1 15471 5286 1 15480 1728 1 4615 4963 2 6137 7753 1 16569 4471 3 3037 4029 1 1520 1319 4 2481 743 1 3749 3622 3 10616 23 10 3765 378 6 11981 1757 3 14663 4383 1 4005 3647 1 13789 1292 1 1043 3466 1 1322 3512 5 14728 4242 1 4018 1962 3 18197 1747 1 2659 6728 3 16971 2521 1 14753 7670 4 388 7187 1 18211 2092 1 5216 1374 1 6006 203 109 543 532 1 12985 1023 2 6856 1722 6 13196 3642 1 7092 785 1 108 4925 1 14908 7787 1 14512 2490 1 7106 3980 1 7692 2373 2 959 2635 1 12521 605 1 4267 826 1 886 6687 1 20078 1740 1 2003 235 1 13338 5730 2 7445 244 4 15745 3333 3 13957 1023 3 15935 2007 1 9224 608 3 12064 3230 10 1359 1235 1 379 708 1 10297 1703 1 81 3689 2 10344 4555 2 2902 498 1 14694 4588 3 20152 505 1 14516 1170 1 15778 4487 1 20145 2686 1 10815 2127 2 19762 2250 2 14784 1909 1 13689 7471 2 16101 3675 1 13882 219 1 18711 870 1 1028 5992 2 12055 810 1 18244 6620 2 7444 875 1 438 508 4 19872 2595 2 3118 7275 5 17088 1731 1 8018 207 10 3337 683 7 5476 561 1 15000 2155 1 2123 7412 2 15885 4258 1 17313 4582 1 11533 850 1 3826 689 1 10325 244 1 10493 203 5 2917 5243 1 4301 206 3 824 2698 1 14226 197 1 14312 3620 1 9660 5257 3 10028 201 1 16631 2938 13 11195 215 9 9941 452 1 15140 1241 3 12619 3595 7 14221 4069 2 7098 49 1 16406 7120 1 7046 1770 1 4472 4614 1 4018 1927 1 15052 1361 1 16484 2316 5 11418 2964 1 5907 2618 1 1133 7370 2 11371 5077 17 14853 3489 1 8735 38 7 18227 1380 2 17500 1721 7 10655 2413 1 14731 5119 1 20059 8141 1 3351 1658 1 18852 7997 1 1355 517 1 7065 2009 3 62 408 1 126 5658 1 2338 1686 1 14976 1713 1 17681 3963 3 6045 6278 10 20126 4282 1 2803 4534 1 10002 2880 1 19160 2825 2 17285 6591 1 15144 3007 1 20202 201 1 14596 3693 1 14596 233 2 4859 2662 1 10382 201 1 6578 190 1 18518 229 3 17992 3467 5 10105 233 3 2112 1820 2 18091 2676 7 15211 171 1 13185 5957 3 6712 587 1 11597 3283 1 9564 2403 1 11327 1717 1 17078 3391 2 16881 1747 16 12064 4245 3 7756 5447 1 5079 2815 1 3525 1877 1 14907 23 1 8134 236 16 3663 2737 1 9959 1727 2 1520 6342 5 3507 2325 7 15791 518 6 17001 2392 6 11395 3230 2 17 1138 1 7688 4511 1 7188 229 2 12985 304 1 4056 1756 1 12676 4621 2 10253 2555 1 10449 2632 3 7808 1631 1 18734 7098 1 19810 201 2 2980 800 1 1546 1819 1 8762 200 1 8198 843 1 10371 2561 1 9647 3384 1 11738 7410 1 9659 41 2 13743 5418 1 18473 1313 1 3090 1235 1 7313 1250 2 15763 7221 1 5185 657 10 14218 3071 3 11192 4841 1 7691 2757 1 15502 1007 1 3401 554 1 4528 23 1 4970 670 1 125 1819 1 6063 1238 3 17277 3452 1 7823 4320 17 6362 1825 1 5306 3348 1 10502 2746 1 3472 367 1 4663 15 1 5005 5439 1 18717 4278 1 9547 6793 2 12074 2509 1 14350 3778 1 12 538 18 6269 1236 4 18040 6226 6 4376 2626 1 13438 7543 1 7163 1688 1 857 4005 1 7773 3364 3 19746 2218 1 7137 2970 1 1327 7735 3 15295 2584 4 140 6478 1 4601 6662 3 12208 8122 1 658 1728 1 796 745 1 3311 7450 2 8009 57 1 15643 689 1 14894 4540 11 6160 4284 1 1506 13 1 16994 1827 1 17633 4468 1 6138 719 1 12520 8015 5 2098 6245 1 17850 3888 1 2772 1367 2 14188 6557 6 2267 1222 4 2480 7228 1 13 953 5 7699 184 1 15490 1909 1 4237 756 1 525 229 1 15429 5762 1 12452 2009 1 19667 3655 2 13094 2541 2 671 7229 1 11122 644 5 5132 164 3 19034 229 2 8061 221 2 11786 6184 1 7656 235 1 4742 203 1 7675 220 2 19648 1170 1 8361 225 1 7226 5299 1 7252 1784 1 11338 1242 1 7876 1208 2 14900 1242 2 9357 5595 1 1422 1342 1 17612 219 23 11772 8095 2 13527 34 10 15676 6697 1 16178 4010 5 4870 232 4 5542 8031 5 14169 541 1 6325 7857 1 19485 888 1 3878 3345 8 7095 8127 1 756 496 1 82 225 1 6688 215 1 8198 5734 2 6882 368 1 6004 5016 1 873 889 1 5155 413 2 18610 5709 1 6299 880 2 2962 4526 1 10670 203 5 13142 3247 1 9077 201 2 5561 7537 1 6990 3714 2 7770 1764 1 8499 2881 3 4469 1244 1 7245 1234 1 8969 1450 1 18253 3247 13 101 200 11 7030 3629 4 521 7878 1 12432 201 6 16916 1788 1 15374 6477 1 13582 501 1 5424 1116 1 3797 521 6 8077 3356 1 7568 3892 5 13738 2682 1 14708 7292 1 11544 6714 1 8045 3427 2 12252 3127 1 7990 7110 1 160 7321 4 15939 550 2 18806 374 1 17788 7920 1 18922 1387 10 11923 8197 1 1449 1734 1 11416 4692 1 5729 7522 1 16697 504 1 6617 1336 1 17409 1772 21 12183 6032 1 1844 7538 1 6463 4404 1 83 3815 1 9035 2883 18 6602 795 1 6982 7368 5 5191 7840 1 2682 3381 1 4180 889 1 1711 597 1 10145 639 7 10918 214 1 153 7015 2 91 4097 5 10498 4623 2 2803 366 1 10111 2869 2 4061 1710 1 7768 2419 1 7988 6674 2 16731 3910 2 10390 3191 16 19417 6101 1 15269 4870 3 11467 1713 3 105 4719 1 19267 148 5 8104 2608 1 11320 5187 2 17019 1658 3 20045 2794 5 9619 223 5 11857 4400 2 17170 23 1 12852 452 3 16090 7825 1 2453 1781 1 7361 6551 2 27 1630 1 9317 5408 1 369 1677 3 7295 715 1 16971 1576 1 4908 2675 1 14409 7401 2 16236 2727 2 3946 1687 1 16205 499 1 1646 5302 12 20 1381 1 10498 3238 1 2320 1691 1 18183 1464 1 10733 477 1 9245 514 1 6519 2356 1 702 489 1 2246 534 1 19652 23 1 536 1374 4 15726 223 1 19607 365 1 4859 214 4 10676 5905 1 4075 988 1 16849 2970 27 17996 1720 1 12222 8254 1 7991 6641 1 1551 520 2 7780 4667 1 9388 1687 2 14149 6561 2 10135 3613 2 17226 4013 1 17388 3427 1 2616 6152 2 8788 201 1 17227 173 2 4307 1784 1 10498 415 1 6275 1104 1 17393 1296 2 6371 348 2 8225 5083 13 795 1404 5 6287 4635 2 10625 6204 5 8183 584 1 4191 6161 1 1703 1237 1 19002 1472 1 18473 589 3 18320 868 1 13886 201 6 11698 6380 1 1711 4172 1 9767 23 2 20154 1705 2 12775 6178 2 8620 4411 2 16356 6106 1 12158 3180 1 5059 6245 1 18620 3278 1 8646 168 1 8747 1877 1 3859 2635 1 3491 6268 3 7147 6784 1 5332 1994 1 3249 3113 2 14730 5343 1 19223 1357 1 3646 1819 1 14827 6334 1 20090 1248 2 12972 5005 1 9178 7404 2 60 2729 3 1711 4245 1 17416 8013 2 17954 6622 1 18181 3911 2 18278 222 1 1539 3230 1 483 3477 1 2366 184 1 36 341 22 899 2068 2 18989 3104 1 5977 2363 1 10846 4951 1 561 1333 5 15286 410 1 1760 501 1 2848 426 1 4880 1529 1 19776 214 1 7693 214 1 7879 4306 1 8859 478 2 14892 1727 4 6451 753 2 11912 5435 1 5821 1176 8 10190 5052 6 6681 1714 1 8816 7216 1 12854 7259 5 2267 1022 4 13584 542 1 14162 1319 2 1122 1292 1 7637 4653 1 14170 1287 1 7252 380 1 19149 1338 6 19486 1941 1 9645 723 4 10470 792 10 3407 1879 1 9010 4380 1 15140 4660 1 16860 4567 3 2716 411 1 739 23 2 1303 3516 6 11755 2877 3 13880 3530 1 7844 37 1 162 7363 1 9205 498 1 12201 509 1 11827 6640 1 16176 445 1 8298 5325 2 6614 3570 6 17738 331 1 1983 1743 3 6753 539 28 10355 215 13 19115 2355 1 1801 392 1 1652 6983 10 2542 2338 1 158 2378 2 16458 3147 1 13905 7382 1 19690 821 1 2892 2559 2 12252 5320 1 10661 6107 5 6404 1374 4 15885 308 5 1332 3163 2 6339 1038 1 4663 590 1 7095 303 1 11399 23 1 4095 200 5 19243 5575 1 20235 215 10 1838 4738 1 16109 411 1 7731 5028 1 19251 6259 2 3397 1776 1 5754 7321 3 6457 132 1 18427 23 2 18814 5385 1 4022 7834 1 11326 4623 1 1467 7101 1 12821 4383 1 1528 2488 1 17083 524 3 12020 5053 1 6641 1243 1 7432 3526 6 1644 215 1 3287 929 1 18893 4853 1 7662 6358 2 19223 219 1 5130 1369 1 12425 955 1 130 5850 1 15300 6341 7 108 4845 1 3366 603 1 19757 867 1 6705 7021 2 2286 222 1 16669 3167 2 18271 220 1 9954 5574 5 11657 6658 1 19160 2025 1 3037 863 1 9696 219 10 7580 6897 1 19319 5496 4 8913 6714 1 4593 605 2 4615 3619 1 133 6083 2 12319 342 1 16861 4473 5 247 442 1 1977 4964 1 105 4687 1 17736 443 2 16981 1734 7 14617 540 1 482 5488 1 14130 1103 1 14504 524 7 7922 1175 2 13429 2363 1 6837 1184 6 11111 505 1 3177 1745 10 8228 5418 1 8938 5408 4 14246 3728 1 7979 2649 1 7765 6682 11 18031 3 1 5625 235 1 1238 206 7 18581 6623 2 11160 7466 1 10119 4333 3 8639 7257 1 9481 3684 6 18042 2517 1 10401 524 1 2762 8186 3 15653 1116 1 3334 23 1 14604 237 1 15550 1893 2 7324 4613 1 11458 2449 1 4593 799 2 14921 1757 1 4061 6457 2 12736 5362 1 4055 267 1 11786 2024 3 16408 745 1 9072 4173 1 7286 5543 9 19319 502 5 18193 225 2 17757 1280 1 108 4895 1 6683 910 2 5217 4200 1 16130 7539 1 13764 4447 1 18921 3972 1 15716 3020 4 16694 4489 2 587 831 1 10049 1744 3 4227 1313 1 1510 3493 1 16643 726 1 2885 134 2 17828 221 1 5798 5574 1 9835 7168 2 17083 2620 1 13 579 15 13729 1770 1 26 1562 1 13156 4508 1 19144 3911 21 18998 7184 1 2320 4714 5 18340 1283 6 13543 316 1 7877 71 9 2653 2089 1 1686 2352 1 1551 1244 1 1443 525 3 983 1103 1 2141 200 2 16034 3623 1 3189 7079 1 251 1153 5 15610 929 1 11714 864 1 748 5366 9 13042 540 7 7916 206 2 13030 725 1 3340 2028 1 14059 2367 2 6676 844 4 16919 2880 1 6858 4794 4 17989 165 9 4072 7466 3 11757 3663 3 11184 1996 1 16057 5136 1 3458 519 2 8343 6683 1 18381 4950 5 19310 244 2 12949 5532 3 2026 5127 1 4810 4383 1 112 5021 1 15535 27 1 7135 536 1 11690 6962 1 3337 912 2 15888 2014 11 1006 1819 6 18039 886 1 9077 3991 1 6060 1819 1 9319 6355 1 4448 4201 15 9167 608 1 10005 3723 1 12286 228 2 10498 7825 1 8340 2632 3 12810 776 1 13131 5126 1 10451 5940 2 7042 2737 1 15580 3730 2 5857 5905 2 7065 1022 1 1748 1723 1 16662 1453 3 14612 4312 1 12529 1253 19 17157 1873 5 340 2490 1 12286 3625 2 9840 3236 1 1507 197 1 7545 23 3 4716 2357 1 2831 5758 13 631 3879 1 10875 665 1 10193 1380 5 7803 6243 1 5433 1814 5 11054 1238 1 130 773 1 13162 7980 1 8965 190 1 6894 1104 1 19385 3939 2 16681 201 2 7147 4245 6 8210 4403 1 11121 4802 1 4155 7622 1 14758 395 1 13967 8245 2 5157 514 1 11155 1732 3 15108 6015 1 4081 3511 12 11562 6383 1 4886 1703 1 62 2882 1 16625 1721 1 16079 1764 5 1856 1068 1 15856 1823 2 13252 2718 1 9589 5162 1 19790 4739 2 11881 3333 3 16090 5763 1 3360 5054 5 2771 1244 1 18538 4696 1 7464 2143 3 2874 1728 1 2940 1220 5 15669 719 2 2620 2263 1 19486 7719 2 2803 2721 1 2286 1247 3 4397 4595 2 37 2011 1 16869 7184 3 13919 4333 1 4044 6062 2 9633 1454 29 3859 1247 1 19971 3794 2 5916 1239 1 9323 804 5 4320 863 1 11615 1573 1 13587 383 2 10165 869 2 12322 863 2 14341 5245 1 14322 7850 1 16003 253 5 13923 1776 8 15398 571 1 11736 726 1 12279 1919 2 3687 868 1 5943 6487 1 9306 7030 1 9402 6161 11 16623 2742 6 10304 3901 1 20180 822 1 17290 411 1 68 3251 6 561 1182 2 11931 95 5 5202 203 5 1666 532 7 4533 232 6 109 4803 1 15507 470 32 16736 5901 9 16751 4612 1 11877 229 1 15248 1719 2 17166 2252 1 19313 1235 1 20235 244 10 14795 2698 1 764 6707 11 7510 510 1 15530 910 1 15726 244 14 19326 4303 1 2676 1720 1 18179 3068 1 252 7200 1 19395 5339 3 13904 2392 4 4620 3571 3 2953 4675 1 13461 1828 5 4302 500 6 11075 1374 3 2361 413 1 14516 4622 6 15982 5162 8 10441 184 2 14992 702 1 10410 316 1 997 5391 1 1606 608 1 12615 4963 1 5107 100 1 9729 5758 6 18327 2107 2 11687 1814 13 5785 6150 1 3287 584 1 12206 519 1 5675 1235 1 12954 1757 6 18939 3308 1 6915 8140 1 3704 8184 8 8831 304 2 11542 221 1 4005 5060 1 484 2708 1 18886 4557 4 12387 1007 5 8614 5398 1 14284 5804 1 7575 541 1 9741 2361 7 2197 5105 2 19342 525 2 6556 4043 4 18111 1730 1 5104 2595 1 7699 4029 1 14079 3885 1 293 8057 11 11642 1342 1 7797 1286 1 1697 1695 1 8291 6777 1 16543 1764 2 6415 1374 1 18465 5503 1 888 2510 1 15530 3599 3 745 6585 1 17184 946 1 15167 4120 5 4788 520 5 6719 2260 1 13893 3234 1 17088 2662 1 8164 1729 10 5878 7350 1 6123 200 1 2002 6663 5 7769 839 1 10997 4969 1 13311 205 2 13807 23 1 1178 491 2 14091 237 1 9720 6144 1 1475 6197 1 18245 1252 3 5190 4290 1 9985 844 3 15980 5054 3 5356 4704 1 6932 3073 1 10948 1703 1 14509 4795 2 17950 1296 6 5652 1236 1 9141 40 1 1983 1796 7 12821 5495 1 19453 1649 1 9295 498 2 17084 496 1 10146 445 1 10311 348 3 14530 2363 1 16890 5131 1 18764 4590 1 16355 4029 9 10459 4006 1 10856 1891 1 12858 1985 8 4606 524 2 12208 5517 2 7778 6673 1 13185 1338 2 5879 7726 3 5208 1757 16 5140 536 6 5873 4945 1 7525 6132 1 7577 449 1 5763 214 1 11058 1729 3 11057 2352 1 2428 1663 1 8088 1248 1 17894 3072 3 18679 5251 2 16500 867 5 17494 505 7 16236 508 2 15041 232 1 5230 3590 1 15775 7843 2 18289 631 12 1346 643 1 11402 292 1 819 1067 3 4168 1685 8 7012 2822 1 6048 214 10 10611 5120 1 1699 1819 1 6539 551 2 19239 219 6 3606 3679 1 15576 1756 1 171 7630 1 5938 1241 1 19286 632 1 8599 1062 1 1553 2653 1 13 790 6 9713 3086 3 11932 517 1 16692 3327 1 439 2686 1 17254 2356 3 16109 244 3 16874 1819 1 10698 215 8 7733 3854 3 13332 1739 1 829 95 1 15895 7494 5 8275 1794 8 9957 7679 1 16600 847 1 10773 4345 4 5696 5407 1 1618 1743 6 2186 1307 1 19712 6527 1 11762 1464 1 13234 1277 2 7176 1776 2 6844 649 1 926 206 1 9639 719 1 16781 220 3 5249 23 12 16191 1302 2 18716 3135 8 10316 1825 11 15198 5036 1 413 1635 3 10098 7643 1 18149 2953 1 8051 201 2 6479 3973 1 5767 650 1 4460 6231 1 9469 1758 2 9604 4352 1 7541 1101 2 19680 5477 1 7004 4435 1 10536 6581 1 10610 237 1 6894 1705 2 1551 891 7 7222 1356 1 761 3338 5 9628 605 2 19664 1748 3 19967 173 1 379 4333 1 17662 1784 2 9110 4623 1 15394 1756 2 16303 4527 1 11820 128 1 3915 519 1 19775 196 8 2816 3408 1 15787 4657 1 18822 652 1 15833 171 2 4092 219 15 59 2706 2 3774 184 3 11938 173 1 20158 4954 1 572 52 1 13928 186 1 5903 4375 1 15174 1038 6 5773 2514 1 4898 1234 1 7780 3326 5 8458 200 9 6982 3466 1 8332 2241 1 13446 5570 5 17518 1996 1 1511 1311 1 9546 409 7 1293 1238 1 6383 3731 1 17476 874 1 3458 10 1 16292 1561 1 1752 3045 1 14359 367 1 2689 2599 1 9849 2686 2 4550 1613 9 8343 236 1 13383 1726 1 8683 870 2 6831 347 1 18434 1751 1 18880 7820 10 12739 607 2 18187 1779 4 12824 6538 1 16053 3639 6 4838 2963 1 3641 235 8 5479 7201 1 18262 723 1 3822 1363 1 7028 1416 3 4249 232 2 13004 507 1 17120 1761 1 16123 517 1 14108 148 1 1593 3417 15 3310 390 2 177 8166 1 4369 1779 4 17884 1416 1 15412 205 1 1958 5903 1 5332 1218 2 15119 528 5 8091 1250 1 16018 201 2 16998 206 2 17746 847 1 62 3010 1 1837 8229 1 5017 6341 2 6236 1332 3 2072 3747 3 19486 1141 1 16730 2118 1 11615 7008 3 16288 7474 9 11951 1341 1 18014 864 1 12619 510 3 9110 7719 1 15614 7096 1 173 7853 1 13261 219 4 6690 5837 3 105 4713 1 10218 5299 1 3065 5285 32 1986 6064 2 2198 2344 1 7910 7915 2 15608 1825 1 2672 3050 1 4063 2853 1 1441 2276 1 6418 4107 6 1276 219 7 123 5381 29 1734 74 1 7649 2016 1 10452 512 1 11987 220 6 13535 524 7 4589 1450 3 12029 3818 6 7046 1211 1 5264 7724 10 4552 447 1 7188 3970 1 4898 2353 1 8892 3911 1 15144 2951 1 17763 1401 1 7295 5570 1 9660 8096 2 13933 2737 1 19243 724 1 13296 1995 1 4163 6454 4 7774 1686 2 15911 7626 1 9199 5336 1 8438 4567 2 11668 225 2 3701 4557 1 12040 2262 5 6332 2922 1 10485 215 1 17548 23 1 14906 4312 1 17378 3190 1 4234 3578 4 14412 156 1 6811 2294 1 1224 2072 2 13302 1770 1 5112 1825 1 15556 3167 5 13700 648 1 17395 4833 5 5957 4992 1 8925 1482 1 16682 219 3 3180 2652 2 3023 4500 1 9652 4849 1 13424 5652 1 13993 8066 1 10525 6527 9 13141 7852 2 17587 3660 1 8340 1658 5 11964 1780 1 1280 2438 1 14326 6427 1 11317 2877 1 16090 6211 1 20055 3787 6 4674 1779 1 14587 713 1 19602 4607 1 4316 215 1 12775 5769 1 5900 1251 1 13304 579 1 42 2163 2 19112 4029 9 15529 2056 1 11125 1819 1 10575 690 1 14840 552 2 7256 4623 5 20090 1779 2 7044 6507 1 17403 4248 1 13130 8069 1 7019 6532 3 1469 7406 20 14580 7512 2 3427 2915 1 16018 447 1 20156 2534 5 3097 8176 1 3394 1814 1 3704 2640 6 887 2710 1 6734 5418 2 3553 3233 13 2801 2008 1 535 6037 1 17014 471 6 17300 3677 1 12715 3474 1 12155 528 1 9270 173 2 14495 3645 1 11374 6657 1 7742 7404 2 188 221 1 16445 1686 1 19602 5015 1 19500 203 5 10612 347 1 10008 3464 1 6351 23 35 1043 4684 1 7263 3540 1 2173 5567 1 3000 2415 3 1629 4105 1 4519 1319 7 19188 7101 3 18548 751 1 100 4488 1 13132 784 1 9443 3705 1 12459 173 1 4229 1296 13 15930 8203 5 4880 1146 1 16422 6338 3 5943 5935 1 1865 4144 2 1677 7308 1 9252 207 1 2002 1606 2 15307 3113 1 16546 616 1 17954 5532 1 9809 5538 1 12028 3511 1 705 215 1 2845 2549 1 16740 5141 2 18980 1743 1 1459 7489 1 11447 2138 13 7170 197 1 81 3680 3 19972 1338 1 14380 1677 1 958 221 14 5756 4462 1 15939 732 3 862 4673 1 14037 1464 1 13994 1147 1 6461 1730 3 14416 201 1 4092 4944 2 17452 1751 1 13634 1424 2 4637 2569 3 20275 449 1 14900 1253 1 2103 532 2 19294 498 1 18166 1252 1 18089 3287 1 12283 1244 4 4841 471 1 8121 2253 2 18917 8184 5 11786 929 1 5900 1819 2 7822 5626 1 11585 4623 19 9169 28 1 8042 2868 1 14218 173 1 15930 252 2 6777 6164 7 14033 4220 1 13084 4998 6 11281 2635 1 6231 1035 1 7429 4461 2 9042 3060 1 8489 2392 2 9090 201 1 19822 3232 1 7072 1996 1 1115 4069 1 4634 642 1 13731 4597 6 12286 4351 1 4216 1791 1 13 817 3 5124 3901 9 847 6537 1 6726 6636 15 15954 952 1 14335 3911 2 164 7438 2 1007 3928 1 16894 335 24 17375 1333 2 6868 6700 3 10018 6274 3 760 3546 2 12104 363 1 8352 4311 2 6485 706 1 13199 1236 4 15346 56 1 20275 4467 3 14165 3460 1 3421 1242 20 8211 167 2 8608 378 1 12687 4236 1 2925 917 1 7928 1060 2 12 214 7 5432 4400 9 5552 1247 1 9523 1687 2 9155 2721 1 18985 4818 4 5201 6139 1 11890 1445 3 5269 709 1 16141 7857 21 16413 7915 5 4615 667 1 16921 51 1 11935 783 7 17662 1771 4 6589 7018 7 19903 2385 1 5670 1762 1 12913 1182 1 16130 3747 1 1863 3516 2 9058 1819 1 9288 6751 1 2785 4727 1 3796 3065 31 5003 1265 1 14427 2581 3 173 2777 10 6135 2206 1 3478 3647 1 11301 1776 5 18117 1837 1 18997 2648 1 16196 2651 1 9319 1110 5 835 1466 1 8158 4640 2 4444 8103 1 11387 7357 1 13552 2254 6 6964 2191 5 4241 5995 1 153 6926 1 7956 4983 1 13729 3073 5 960 910 1 8168 6827 1 9836 554 1 19058 4420 4 5691 5523 1 163 1146 1 15135 3599 1 20126 7461 1 883 596 1 3491 1250 1 24 1483 4 18998 3901 7 19002 5053 4 13252 2721 1 9556 4041 5 4188 206 1 3485 2056 2 17767 1340 1 13316 874 1 13974 4451 1 6708 190 1 9659 3801 2 20177 207 1 6332 2383 2 14400 215 1 12592 2591 1 11085 4230 1 6256 4811 5 9388 3482 1 1768 219 5 2406 6334 3 4165 941 1 16370 5102 2 11033 7222 1 16825 232 7 14710 5734 1 174 8089 1 8054 6048 12 6309 2617 1 16325 1244 1 2980 7533 1 257 3233 2 10784 5272 2 9178 510 4 5785 867 1 173 215 4 17038 219 11 9289 13 1 12587 2043 1 7238 504 5 5257 207 1 3873 3333 5 2040 6640 3 17631 3283 1 3037 1686 1 7186 947 1 1530 1663 1 7029 692 1 19870 3326 1 1618 223 1 16589 7181 5 15952 4203 1 10953 2427 1 15057 1704 1 13384 385 1 17919 6069 1 19568 7232 1 18689 1245 5 8242 3058 9 439 524 7 5840 7189 1 9834 1763 3 9287 518 1 11887 7582 1 135 6235 2 18071 3250 1 19596 2017 2 16245 4189 4 16618 4122 7 20262 215 3 10472 444 2 10966 6200 1 19822 7256 1 11080 1700 96 2111 4963 1 3397 2150 2 6800 6777 8 6987 184 2 9659 4325 2 5023 7735 1 10000 416 1 18932 573 2 3333 916 1 16901 215 1 3491 1251 1 14566 3061 1 16389 201 6 19115 1827 14 13779 5127 3 9941 5294 1 3904 533 5 11931 5420 1 5827 108 1 17405 10 1 10856 2419 1 7306 578 1 14813 7542 2 4963 2087 2 11798 505 1 775 1012 1 15056 679 9 12633 1356 1 12011 5022 1 19282 1110 1 86 3991 2 3871 4623 5 13809 1018 29 17999 200 18 10661 4271 1 17023 4521 2 18211 467 2 2738 2686 1 17623 6192 28 16481 2040 1 10533 7502 4 18679 2722 1 14993 2403 1 904 6288 1 20009 3202 1 15776 308 3 12941 4274 1 19428 7029 2 18012 1121 7 17451 4459 1 1129 5391 1 10732 1681 1 20270 3058 1 13574 696 1 2260 2058 1 12257 6204 34 4810 4020 1 12581 6064 5 10358 1164 2 15753 1891 11 15177 4818 1 11445 7081 1 15184 6334 6 11598 422 1 8643 808 2 11050 6698 18 6516 207 2 4055 763 2 5443 7897 1 819 4779 6 17605 1208 2 13 886 2 185 200 1 9950 512 2 16775 7530 10 12821 5446 2 8177 5281 46 13685 596 1 5720 2184 1 18791 1740 7 13356 6667 2 10710 7197 4 5416 1689 1 18687 5018 5 10103 2677 1 7994 4840 1 17060 579 16 9281 6993 3 15159 6634 1 2629 1737 2 5613 6035 1 13309 223 1 16437 2678 10 12281 140 32 14633 6545 1 2341 215 1 109 4948 2 11341 1445 1 7294 613 2 17403 5758 1 113 5039 1 7721 1132 1 17662 1727 3 13704 6259 2 4880 874 1 1644 1827 5 11196 1772 1 19326 215 1 4941 1298 1 12415 7404 4 1141 6125 1 17436 5783 2 7241 2731 1 15865 1771 1 1444 1747 2 10591 827 1 15937 1768 9 4913 1368 1 1875 7419 3 6704 6192 1 17954 4012 3 1330 3729 1 12152 869 1 13490 7632 1 5903 1764 1 668 229 1 4627 1674 3 17366 777 5 13158 5820 1 14993 3935 1 3726 7407 1 1363 2675 1 2818 2789 1 17324 4308 1 12097 3660 1 5749 3540 1 18244 6993 1 576 190 2 31 1712 9 19594 6473 3 2689 219 2 19200 2508 1 1341 6415 1 20278 4404 4 19461 4077 1 13201 1825 5 13700 8034 5 12878 214 14 2962 817 3 9993 1247 1 19563 4600 1 26 1519 2 14544 1827 6 14011 4882 2 8202 7105 4 14697 1404 2 8198 5243 6 18436 2827 1 2907 8109 1 11158 3239 1 6473 2360 1 15173 1464 1 8156 1244 8 5591 5457 1 2886 6933 1 11309 201 1 18815 201 7 6414 2970 12 19409 3579 1 18299 7853 2 11377 5390 2 10442 2653 2 8451 1248 1 6099 5328 1 14301 4920 1 8643 747 1 5185 2087 2 10199 23 7 19263 726 1 14597 3167 1 20220 188 2 8298 2645 1 10103 232 4 12913 380 3 6409 1578 1 19036 57 2 12009 995 1 17675 207 2 7497 1738 4 12187 375 3 6249 752 1 3545 745 1 13843 148 1 1050 3571 3 611 89 2 4193 910 1 15683 6268 1 9170 2675 1 12322 514 2 17583 960 3 3397 6488 2 4489 6673 1 16977 6132 1 4913 4680 2 10715 2617 2 1312 7410 3 1962 643 1 5704 184 11 2917 444 2 15234 1146 1 9513 6469 1 5063 3511 1 16857 2488 4 12967 534 1 1647 4215 1 10564 2069 1 2453 1772 1 14844 81 2 7785 2395 7 4647 6368 1 1798 7720 3 17111 200 5 7228 5309 2 16792 1334 1 11882 5879 1 17003 4466 6 819 7542 1 100 2902 1 6249 639 2 8890 1699 2 5476 2489 1 609 3476 1 9156 1464 1 2816 173 2 17715 1235 1 2212 3477 1 2828 380 1 9773 912 5 5840 8183 1 1498 2863 5 12063 3228 15 5045 1781 1 3008 1657 20 17124 1722 16 17812 1417 3 9029 581 1 10061 3756 2 18115 201 1 13508 444 1 6660 7455 1 18634 573 2 16132 962 1 4057 2017 1 1607 4967 1 19846 5999 1 17803 1244 1 18211 6260 1 19314 1718 2 10236 7201 5 11639 6709 1 6779 7136 1 2282 595 1 8528 1721 2 16486 215 6 3667 5036 1 6539 2638 1 14296 525 1 19871 2205 1 161 3882 1 6658 3695 1 9235 1756 10 20225 4156 2 1198 7237 5 2341 3511 2 7509 1743 1 18665 1658 2 11786 7805 3 18443 2887 1 4166 3705 1 11674 1247 1 7868 6875 2 13026 6506 2 14519 203 3 9538 1677 1 19174 6341 1 15303 3731 2 11678 841 2 8899 5051 1 19145 201 3 19910 1727 1 3115 7308 1 17955 525 1 7910 3042 1 174 7940 1 12956 5506 1 16787 3151 22 7670 6777 4 6644 1443 2 26 1533 1 8229 3671 1 7194 4954 1 5659 3020 1 7868 2746 1 2857 4304 1 7747 678 1 16935 4987 2 9512 5276 1 5639 1561 2 5515 4036 1 5444 407 3 13736 4215 1 7986 1781 2 15885 5850 1 4537 518 1 16347 1728 1 2488 3519 1 1893 5294 6 11557 3504 1 16195 1357 1 2834 2701 1 2428 3834 1 6474 1996 1 18116 4815 1 2108 445 1 354 201 3 16473 5486 1 1212 4387 2 1331 889 2 1472 184 2 8472 4930 1 18692 1921 3 11658 4606 9 8406 1695 1 12157 3758 1 1794 349 1 13 546 11 5356 1288 1 171 3305 1 15940 1319 1 5770 4429 1 17273 3730 1 18815 1727 1 2617 2401 2 5675 501 2 6410 2191 1 8225 1789 3 19281 5127 1 19895 5769 1 19727 6084 1 18578 1825 1 11637 697 5 13349 4572 7 10705 3805 3 14781 578 1 592 2010 1 3985 6666 1 18122 8172 1 6197 1661 3 873 5319 1 898 5454 1 2937 2555 1 103 4642 3 10015 7726 2 17871 6283 1 3358 650 1 9157 532 1 19034 499 6 798 7933 1 7267 7280 1 6259 520 1 5890 227 1 4492 1457 1 2792 7424 1 18237 5408 3 19971 7637 3 4906 1146 1 1701 35 4 3081 7069 21 15777 7406 3 17894 526 2 14946 4587 2 171 7659 1 8668 1323 20 17664 745 1 3532 5767 3 6795 525 1 18386 5324 1 12320 6114 1 14400 84 1 542 5474 1 16090 860 2 19131 2205 2 6312 8108 1 12384 1705 1 1783 769 2 12077 1251 4 11085 5460 1 11736 4342 1 23 1428 5 16476 1538 1 14335 2141 5 1551 2815 1 15012 1769 1 18431 1756 1 1198 2852 4 19568 1783 1 8452 1657 1 15343 1778 1 10675 1729 1 2373 3029 1 7885 1819 1 15263 1235 1 10881 825 2 2886 939 1 10280 222 5 1736 1253 1 2525 5586 6 13829 4029 2 17713 2129 2 13751 4245 5 702 3622 1 18534 4110 1 3337 744 2 19154 184 1 14900 1825 2 10398 1825 3 16301 7418 2 340 1110 1 7412 4254 1 17120 1342 2 25 1504 5 17675 1743 1 8439 235 2 8053 578 1 12148 6548 1 11270 890 1 20009 3998 5 17265 1987 1 2187 7125 3 5220 1986 1 6644 214 1 3712 8126 1 7279 403 1 17518 1417 1 6125 1946 2 153 1985 1 15315 4467 2 2599 4254 1 19724 510 6 19807 4838 9 3826 709 1 5705 223 49 1172 2127 1 8695 165 7 15041 508 1 19872 3534 6 2087 779 5 1786 1717 3 11769 97 1 11244 7136 1 4268 3233 3 8191 7655 2 12642 5370 12 8286 7410 2 14522 4615 1 19513 2648 6 6510 7670 4 6401 1612 2 19655 2564 1 5336 5878 1 216 6586 6 701 4623 6 3075 1707 1 19381 7291 1 2614 1335 1 12755 2880 31 10334 6374 1 11270 422 1 3485 1729 1 13015 2675 1 1631 597 1 745 1450 1 7303 4367 1 1049 7201 1 6872 1825 6 20044 7823 2 2422 1271 8 15328 2357 1 10054 2410 2 12785 2271 2 8510 278 11 6332 595 3 18334 6547 4 7555 3146 1 5823 506 1 4263 4204 1 2154 5814 1 7380 532 1 14249 4967 1 10290 1707 1 15637 7921 1 7500 214 3 16743 1938 11 3763 552 2 13227 4099 1 11074 1247 3 12336 4613 5 12686 2968 2 9167 597 1 124 2383 1 7841 689 3 1601 3685 1 11327 532 4 18613 2849 1 5179 3314 1 10620 3813 1 18973 1358 2 7147 1825 11 2135 8037 1 17323 1877 1 5484 2792 3 1564 5281 1 1204 2889 1 10382 1277 1 17884 512 1 2146 207 3 15257 2488 1 16751 1241 1 6596 1205 1 10757 1720 4 9941 2806 2 17244 7878 1 14010 5496 1 18008 411 1 14369 4963 1 1935 2889 1 6503 789 6 1406 3516 2 16019 4299 2 8709 2029 1 9808 411 1 1065 4853 1 5962 1146 1 16741 1332 3 6611 5040 6 9261 252 1 10730 6178 5 9055 2958 1 12156 32 2 12529 3411 5 15660 519 7 19451 4698 1 222 3845 1 8654 1705 3 18893 7911 1 12055 5493 1 18457 1751 6 3344 4011 3 5249 1776 7 9465 1676 1 6133 344 2 11187 534 4 10741 534 1 13095 7423 1 13126 405 1 12 526 6 7602 7082 1 11523 2827 1 12412 784 1 83 3819 1 15400 3905 1 2211 207 1 15055 6632 1 11517 2555 7 13488 2676 3 11835 3570 1 16778 534 1 17257 816 1 12168 2743 7 1324 7839 3 3133 3869 15 12645 6178 1 6913 1535 1 6533 3145 1 18695 206 40 3796 263 1 18431 2256 1 13997 607 1 13335 3604 4 9805 4175 2 4726 5162 3 3548 198 2 6415 1714 1 1717 5294 3 16578 4288 5 9993 5258 1 12389 470 10 14780 215 3 19794 411 2 4500 816 3 5860 1705 2 19346 7167 1 8198 5409 1 15230 214 20 1539 1357 1 4941 1732 1 16530 5195 1 4692 3195 5 11042 201 3 14556 1717 6 1172 252 1 6037 4967 1 8545 4363 1 20179 7410 1 416 3525 6 8379 221 6 16704 6650 4 17932 6098 4 18755 756 1 6723 2645 3 6715 844 1 4622 4379 4 9321 3478 1 6163 6690 4 4960 1825 18 8267 4937 2 9751 1399 1 2469 3081 2 17713 1289 7 4417 1747 1 14322 3167 2 6024 3167 5 3376 2897 1 4503 3788 20 15634 3748 2 6973 518 1 14814 1282 2 6668 694 1 6826 2915 4 13009 4363 4 19160 1695 1 13 673 5 14386 2752 1 2748 6616 1 16511 292 2 592 7750 1 8878 645 1 1801 436 1 4161 1747 1 16843 892 9 174 8129 1 15263 1770 7 1127 518 1 17145 4070 1 12534 2662 1 17827 3522 1 5031 6882 1 7363 5810 1 11545 6368 5 15509 203 47 1789 498 1 5721 2727 1 18951 1731 1 432 6949 1 3723 214 1 15041 2675 2 1795 3081 5 10948 318 1 10055 2006 1 17859 5536 2 5588 4156 1 14745 7723 1 4492 1814 1 12752 203 1 19953 232 2 1556 132 2 14516 3894 2 18791 4620 1 16378 74 2 6044 4997 2 6799 525 20 11165 221 1 18602 7210 1 18518 244 3 20059 200 1 8969 1238 1 13642 6504 3 4841 3326 3 10855 1659 2 725 533 2 6314 1072 2 10245 2353 5 8614 5528 1 19025 2363 1 1198 509 27 8999 1819 2 1068 681 2 16270 642 1 9224 770 1 19474 380 1 9847 335 5 14233 3915 13 4092 1737 1 13994 1360 1 592 3856 4 4985 4011 1 18734 4314 1 7323 500 1 19332 318 2 7964 4385 1 13023 5582 2 20060 745 1 2389 3747 1 7725 2448 2 593 1342 1 20225 911 1 19577 1018 1 7993 1383 1 15733 4367 1 11921 6204 5 14800 2699 2 5126 3155 1 14517 545 1 12090 548 4 11131 6482 2 15618 5851 1 2143 6517 1 467 1548 3 17 1219 1 7334 4905 2 8903 7867 4 8806 6680 1 12622 1356 2 12922 8117 7 16767 2559 1 17803 7531 5 19825 5419 1 11272 5306 2 16174 252 12 13730 5296 7 9836 4431 3 2280 2357 1 2680 1788 2 15035 270 25 10801 3483 1 19115 474 2 15100 252 1 19835 7297 5 2962 3159 1 16860 7736 1 12162 1235 1 5234 1783 1 10127 3491 1 2102 7511 5 5207 947 3 13295 7337 1 3491 1146 1 4708 2559 1 13328 5523 3 13304 2708 1 4674 8158 1 15790 4006 1 4784 220 6 7241 2297 21 19538 7899 2 8888 4578 8 10622 201 1 10579 200 1 10014 1995 3 8328 2748 1 14212 5750 2 4777 74 10 8084 776 5 12035 215 1 548 5903 1 1420 60 1 4556 1728 2 9955 5758 2 13252 1656 1 15314 3649 1 11938 190 3 4495 5903 2 18026 1248 1 9444 5513 1 1435 786 1 6449 1677 2 6964 4773 4 3806 3180 7 130 5974 1 1871 4807 1 1215 4967 3 4785 1250 22 17901 3081 1 6684 6167 1 14998 7529 1 14612 3148 1 8275 4996 2 15239 3427 4 468 1374 1 2284 74 1 46 525 1 5304 605 1 10573 1345 5 11014 2356 2 19960 2864 2 5785 203 2 3710 23 1 9067 1482 1 11937 3278 6 17918 6585 1 4691 197 1 16704 1898 13 7509 219 1 15943 6049 1 5860 200 1 3703 520 5 11458 2460 6 12704 304 1 10371 4198 1 5244 4517 1 14388 8146 5 17335 5892 1 12879 1236 1 4329 4992 8 11037 2944 1 160 7281 2 8336 385 2 10452 201 2 18663 8083 1 6772 1363 2 12141 1760 2 9993 4435 5 301 1721 1 4418 1819 2 12280 2043 1 6504 184 1 17652 5418 1 8831 8099 1 9869 506 3 153 6971 2 8522 8241 3 3444 2879 5 2674 1437 1 19267 835 1 18909 1244 1 18546 6306 1 18992 597 1 5695 367 1 8588 988 1 3981 1244 1 2980 957 1 14558 4986 4 20082 2749 5 592 2369 4 7096 3313 2 7097 2708 1 7289 5553 1 9809 3921 2 8641 6557 1 13169 190 1 7000 561 1 14049 6209 5 10684 6506 1 8216 141 1 15011 933 1 86 3993 1 11601 4614 1 5477 5175 2 4498 6363 1 15237 4352 1 7916 244 1 19340 4435 1 8728 879 1 7502 1234 2 9622 1277 1 9603 1244 2 11408 4803 3 16674 4209 1 997 5558 1 3935 1238 1 19717 7313 1 18214 7227 1 17696 368 5 13839 4972 16 5088 5141 1 10 258 3 572 132 1 16048 1334 1 4370 6546 1 19595 718 1 14236 1369 1 1722 5018 12 10789 3024 3 16674 2497 1 4106 1784 1 11230 2342 1 7320 2876 3 14515 1242 1 7000 7862 1 4561 3227 6 16698 1147 1 9583 3049 2 6764 222 1 8832 2595 1 15346 2360 1 1445 2096 2 6928 1753 6 11014 1729 1 20225 671 1 6319 6167 1 3485 2789 1 6369 1244 1 11922 2534 2 452 6484 1 6095 471 4 812 541 5 2992 809 1 446 4764 4 2738 4670 1 3687 4511 1 17719 62 4 16006 1380 1 5515 2155 5 18970 2253 2 14233 13 4 9152 4029 2 3915 6152 1 5092 6260 1 16857 3077 6 17571 220 1 12934 6363 2 12040 5538 3 20181 2631 1 7786 5488 1 2756 4352 1 3008 6073 1 5865 5309 2 7857 235 1 1488 3273 1 14237 1249 2 11072 200 20 18184 1732 1 15376 1247 8 14753 5307 1 6327 498 3 13778 1235 2 10659 5175 1 19243 5119 5 5837 1780 1 3477 576 1 4254 206 1 15253 1779 2 130 5868 1 10156 7512 3 5230 3569 1 12704 252 1 1745 2294 1 18730 60 2 10789 3464 4 4769 2552 1 9725 1273 1 18949 6013 1 4347 206 1 6997 1555 1 6275 2248 1 17475 1191 16 8469 1725 1 114 5135 8 16667 200 4 18021 1244 5 12345 6107 3 5496 6245 1 8183 564 1 11820 232 1 3934 3315 1 5840 207 1 13731 7772 1 17331 2626 6 2429 7668 1 6708 5997 1 15229 1383 2 171 7777 2 17 1122 1 7309 214 2 19040 1772 1 410 215 5 19285 7841 1 8161 891 1 17212 1825 23 3892 253 1 3765 449 1 448 215 5 4192 2254 11 1229 4836 1 11060 7093 1 7800 5561 2 13805 4312 1 15955 6200 1 3056 7351 1 1935 904 1 7823 3400 11 179 8185 1 6244 496 1 7468 330 2 10966 1045 1 8201 4578 1 6342 232 1 4498 4490 1 1043 1734 4 6332 865 2 11478 514 3 14028 1396 1 20278 1796 5 4784 2455 15 5120 7559 4 8022 1776 4 17088 235 1 2628 5783 1 99 4015 2 17518 518 1 16176 3195 1 9412 4521 3 10267 1235 1 12140 1730 9 17432 46 5 14829 6523 1 11882 2395 1 858 2187 1 379 5325 1 5312 1277 2 14612 214 1 19299 7809 1 5176 207 3 4092 3684 5 10851 1240 8 6670 883 7 582 709 1 17886 7460 1 5314 5700 1 14553 3584 1 8082 4204 5 9930 3516 20 14411 6688 1 18681 3840 5 4072 4006 1 19826 3762 1 19112 4540 26 7251 7607 1 13185 206 1 12988 3689 1 16755 3552 1 8506 1007 12 8191 7229 1 19530 5262 1 12082 1745 1 19268 5551 10 124 1664 1 15518 3059 8 10923 7089 8 15726 1719 9 6649 6355 1 15605 2633 58 8212 1366 2 15091 4604 1 6641 471 1 16891 2363 3 1347 6456 2 12479 5345 12 8198 6984 2 4397 868 2 19428 7534 2 13555 1995 4 15852 6343 4 4553 840 1 16827 3703 1 6070 1747 1 4496 1686 1 9941 3203 1 3891 7740 1 16183 518 1 18014 1717 3 13075 1193 3 9279 1720 1 14293 525 3 9477 1023 1 19957 2708 9 14899 5522 2 1863 2605 1 10693 4179 1 4393 7420 1 143 6586 2 11981 2407 1 1320 8141 1 11610 292 3 12537 190 3 16283 6031 3 16222 5137 1 6420 4265 4 3955 1417 17 7635 23 15 19574 150 1 15940 4227 2 525 426 1 9347 5354 1 4998 867 1 18445 1719 2 1802 6512 1 8440 520 1 4634 5341 1 18160 7740 3 5877 4435 12 10106 1271 1 14695 215 1 17432 1814 1 8592 1760 4 1858 2938 9 17120 534 1 19178 6839 1 5763 220 1 19578 5174 3 62 2949 1 3397 3016 2 9095 1756 1 5778 3920 1 1719 6954 1 9919 656 1 4289 6710 3 5656 2138 10 12145 3372 1 3750 3396 1 16692 8013 5 8518 7829 2 4197 3058 2 12076 7216 6 2494 4998 1 11070 491 1 1020 4174 1 9626 3400 4 7230 4955 11 16266 4352 3 7136 409 1 16027 6241 3 4220 215 8 6927 229 2 11181 2461 1 17352 7964 1 9840 5574 3 12571 4967 1 9872 23 1 8326 1960 2 4493 23 1 15230 215 21 13520 2076 2 7221 1418 1 4758 5341 4 15504 5305 1 6158 1728 3 12121 4242 1 18275 220 3 13461 244 4 2744 1406 1 17992 3276 2 11979 73 6 10772 4596 1 7363 1756 2 15885 201 3 11295 593 1 14091 162 6 8443 5778 1 11327 1721 2 13 957 1 739 173 1 252 2611 2 6914 210 18 8528 3081 1 18289 5495 1 11341 1437 1 9007 2430 1 11598 864 1 174 5136 1 13583 3923 1 14568 3167 1 3277 1714 2 4791 6225 1 1491 2261 3 18092 203 5 5276 5051 1 7858 5411 1 556 2646 1 12005 4992 5 12550 6252 1 16004 4137 1 14522 1748 1 17127 3425 7 14367 292 6 18639 8026 3 8439 1730 1 1331 1338 1 4337 237 2 14218 523 1 5653 1341 9 9046 3048 3 14034 4325 15 456 4992 1 667 6139 2 14516 7750 1 20262 207 3 13676 1763 2 12638 3920 2 9388 2953 1 12701 494 1 11558 1762 2 104 4673 1 11191 7597 1 3258 187 1 6756 4274 1 11341 1308 1 8013 1727 2 16345 3256 1 18169 201 2 11534 1819 1 13425 410 1 1623 1238 2 1940 997 6 13894 1308 1 7931 7891 2 14901 904 1 13735 214 7 16016 87 1 17154 2647 1 15281 207 25 11742 3351 2 11521 379 1 10988 1866 1 2037 3167 1 8620 2329 2 12877 3899 5 9576 298 2 4197 1610 1 12209 2355 3 11937 1349 10 2477 1054 5 11158 358 1 15398 656 1 787 499 1 11530 3536 9 3507 7599 4 16848 6481 1 999 7191 1 4000 2356 1 15071 2698 1 1028 755 3 14745 1756 1 4663 4246 1 2962 642 2 12638 834 1 18247 411 1 10394 6136 1 4880 554 1 2526 8067 8 3131 1245 1 5145 1695 2 8976 6268 5 9224 808 1 18014 1703 3 8908 1772 4 3516 262 1 4970 2600 1 4880 3583 1 17173 1844 1 9745 4309 2 8982 2364 1 8680 225 1 9912 2141 1 12739 2068 1 12435 7601 2 12669 1728 4 19952 517 1 13601 2953 1 12203 1885 2 18559 7829 3 9260 3486 1 9674 1267 1 3302 173 1 11952 235 1 13077 2024 1 18237 1728 1 10105 1247 1 17538 203 6 7469 5356 1 7328 5923 1 873 3634 1 236 1164 4 4498 232 1 3328 1321 1 2541 164 9 13200 1150 2 14993 6271 5 13671 1561 1 8732 6414 3 11827 1717 1 2693 6533 8 18169 229 1 893 214 2 16869 1751 3 9374 206 9 13003 1656 1 7749 1777 1 27 1637 1 8798 2494 1 11537 200 5 19567 5526 1 4305 3534 1 46 1482 1 19588 4706 2 14960 877 1 9503 206 9 13327 186 3 13888 2678 10 17135 6936 1 2483 6145 3 15277 4760 2 18968 7534 1 6611 2109 1 13667 220 1 19590 1827 5 18056 995 1 1593 5813 1 11192 819 1 7135 2363 1 869 519 1 3344 3048 1 11613 926 1 5574 891 6 14400 2352 1 6887 2355 7 7786 1756 1 13922 1738 1 12737 2480 1 19807 512 2 17015 523 1 17312 928 1 9947 956 1 9199 657 1 3331 8168 1 349 2068 2 26 1579 1 15819 5016 9 13067 4476 5 452 1153 1 18548 2068 1 13090 5018 1 15408 220 1 10591 6159 4 3619 7511 7 17298 219 3 10414 164 6 13013 2416 24 9066 4096 1 11933 6623 1 8358 236 1 83 950 1 12233 5408 1 4680 4946 1 11472 2416 1 10900 5413 1 16192 4403 5 6776 2980 11 5344 6040 1 5911 3881 1 8946 656 1 5132 7429 5 891 3276 1 17642 5018 10 4784 514 3 5136 1726 1 6893 482 1 13743 200 1 11849 634 1 11742 409 6 6117 2229 12 1677 84 21 10573 5814 5 11219 2263 1 14273 5268 2 18836 186 1 2546 5594 1 2010 1740 1 130 3768 1 17992 6623 3 18518 2534 15 19686 1719 1 19219 7809 1 17742 1458 1 16997 6457 1 2380 201 1 14275 200 1 9678 7734 8 8572 6842 3 14656 200 2 9597 23 1 18965 215 1 10433 2098 3 10363 327 2 18876 481 10 8488 1819 5 10856 6633 1 16997 235 1 174 7883 9 1340 3230 1 11259 366 3 10973 6710 10 1752 1231 1 4784 1321 1 17820 6500 48 16163 397 1 16656 2056 21 16410 3833 1 1866 3526 1 18476 1188 1 3694 2877 2 17677 7644 7 100 4560 1 5266 2686 2 2387 510 1 12286 3511 3 19063 2675 1 12406 4716 3 1721 2488 1 2160 1775 2 8677 2239 1 18183 1395 1 9693 206 1 3484 2398 16 19323 3687 2 14865 1416 1 5179 2559 1 2686 8192 1 87 2878 1 19972 5903 4 2824 2254 1 4016 407 1 475 4314 1 16465 201 1 19055 207 1 4477 787 3 9224 7796 1 9379 2885 1 18866 1312 4 18090 2640 2 18120 554 1 19166 3425 1 19520 3480 1 4490 1736 1 11521 1032 1 14314 7248 1 15904 23 1 8323 358 12 2433 976 13 16961 6178 1 6064 2014 1 456 2675 6 16817 525 1 15764 3627 1 11780 2832 2 5894 57 3 14380 2549 1 269 7538 1 13640 525 6 14402 1369 1 6183 867 3 17092 1737 1 1420 6488 1 17303 648 1 1037 6793 1 8195 222 6 12638 4615 1 1590 4693 2 14772 3138 1 9665 532 2 16695 3084 1 12126 520 1 7750 1250 1 16388 3763 1 2560 1770 2 9639 4653 9 15429 7558 1 4614 3460 2 9155 10 1 151 4905 1 1035 1244 13 14376 2488 2 2646 5439 1 2692 4174 1 6252 4098 1 2544 3522 1 8591 196 8 16955 521 4 17837 3743 1 2349 5018 1 4397 1482 1 11444 1664 4 6851 1303 1 8320 1203 1 7666 200 1 11248 2372 2 18387 7461 2 11 358 1 12901 537 1 787 502 1 190 3515 1 11623 1728 1 13525 6289 44 19649 1374 2 5520 498 2 14336 1610 3 9779 6059 3 13092 3842 1 5725 5333 1 19871 4665 1 13 849 1 2023 215 36 18357 514 1 40 2111 1 16652 219 1 4437 5567 5 6085 4155 1 19348 90 2 1393 722 1 14470 545 1 435 201 4 16494 3367 3 4253 234 3 16346 2877 3 8818 4107 5 6045 805 2 17629 203 2 380 8117 1 7352 3311 7 18042 1032 1 11354 7896 2 10182 2980 2 1285 4869 1 3281 1772 1 16185 823 20 18781 1055 1 3680 1997 1 6208 524 13 18623 1752 1 8611 173 2 15948 891 1 10547 90 1 19843 215 10 14146 5018 2 2376 1732 1 6064 2595 1 3584 3433 2 3708 5081 1 11533 367 1 13937 3065 1 18207 514 1 15786 1768 1 16292 1380 1 5230 5159 1 10453 203 10 7267 4601 1 16117 2632 1 17662 8141 10 3111 4656 1 4614 5737 3 2044 3625 2 170 7592 6 9395 341 1 17960 758 1 11156 2879 5 6595 508 1 10965 8057 2 7780 4403 3 15896 4369 3 17645 3494 5 13543 2871 1 13252 8141 1 9463 1182 1 10501 7809 1 13228 8145 1 13928 1249 1 8202 1721 1 222 1531 1 13096 3228 1 17947 3693 1 835 6180 1 9220 6779 4 2373 7719 6 18237 2686 8 18138 4807 8 15689 824 1 4734 5422 1 6164 609 1 7538 7013 1 18634 671 1 19540 5550 1 6543 2528 3 7111 385 17 7354 220 2 9656 5952 1 14435 880 6 14060 2671 8 14968 1582 3 19511 227 1 7922 4702 1 7152 1428 1 18262 201 6 6990 2129 1 1849 4435 5 20172 7235 2 6847 80 1 17246 6338 2 8549 223 5 19103 240 7 14684 714 6 10776 3886 1 215 3596 1 17141 6286 1 4072 7533 1 1816 386 1 10135 325 14 16332 505 2 9760 3511 11 4762 325 1 420 1363 15 8078 5565 1 13 665 11 10953 2343 1 14236 1664 1 10418 7556 1 8530 4614 1 2834 6952 2 4511 3669 1 10268 215 1 888 708 3 4376 205 1 4796 1332 3 11872 7884 1 14532 5792 2 6866 6632 5 15015 4964 3 7812 252 1 14149 201 2 19131 1038 11 18232 1756 10 13046 1342 1 3874 6330 1 16518 1358 1 13552 2376 1 8588 210 1 53 2561 1 1232 903 3 4572 173 2 5567 2513 1 1969 1737 1 11598 379 1 6352 3203 1 17177 441 1 9824 6259 1 1151 401 1 9168 1734 1 17596 23 3 12109 1665 2 7878 6534 1 11766 4653 3 3581 4308 1 16310 712 1 218 7434 1 4860 1109 13 8118 2412 1 5023 4019 1 17827 417 1 14643 6555 1 6553 1246 6 6365 1922 8 4497 3466 1 14377 5326 1 12213 2426 1 14184 7848 2 13829 6150 1 83 3050 1 12354 849 2 3889 258 4 15180 5105 1 9199 4352 1 7682 3037 1 4178 532 1 11272 1146 4 7774 541 1 6554 1961 1 7509 502 1 12756 4062 17 2918 3046 2 10098 7687 1 13100 1246 1 19332 7249 2 12988 1307 1 15410 1404 8 16857 1453 3 15951 1012 1 7316 229 1 19585 2114 1 15313 6194 1 12682 6534 1 5304 761 1 7705 274 1 17485 237 1 9808 525 2 9079 4792 2 2567 2228 3 9056 5315 1 18207 225 1 6678 4992 4 2087 1847 5 10111 2368 1 954 5276 1 3874 5570 1 16881 650 1 19178 792 1 20126 1723 1 8361 6597 3 12892 5352 1 162 7373 1 6515 173 1 8913 14 1 8614 2150 2 18876 4284 1 19480 1475 4 10090 911 1 18615 5332 6 17255 554 5 17954 6645 1 6072 225 5 10240 220 1 567 2132 2 18014 2424 1 13579 2109 20 74 3487 5 4496 1238 1 18303 5524 4 4552 823 2 6712 650 2 3306 1359 1 18296 4333 1 6260 828 1 12701 409 2 9104 505 1 6523 6719 1 16758 2993 7 10482 3973 1 18410 1781 25 17152 215 1 11165 2675 3 18207 506 1 17508 1342 4 18232 36 7 822 2517 1 19633 1275 1 19352 4020 1 9383 6009 3 2749 1687 1 14658 1720 12 6977 4996 1 19378 222 1 19348 1757 2 11616 4563 3 7986 1644 7 9891 512 1 5620 1739 2 1868 1356 1 3228 1538 1 6332 6494 1 5882 429 2 9539 4589 1 4060 421 7 16401 1235 5 14908 2370 5 5695 5341 4 121 900 8 2790 2358 5 20090 2515 1 2834 4252 2 4767 7419 2 5157 222 1 16589 1724 1 7618 2678 1 7257 229 1 12325 236 2 5078 1724 1 15473 1411 1 380 229 3 19724 1719 2 4146 108 1 12257 3267 12 10846 8050 1 8000 5565 1 4896 5618 1 18681 639 1 212 5957 2 9783 888 1 13957 525 2 3978 7184 1 155 7133 1 19511 3164 1 48 2395 2 20145 1249 3 3902 3474 4 17850 4011 1 14372 3306 1 18517 4022 1 13638 7602 1 19272 1705 3 2813 1067 1 15497 420 1 19090 1194 1 1527 1757 3 8775 6262 1 2198 215 20 9569 6912 2 340 433 1 17420 2680 32 17881 2256 38 2352 3071 6 1228 219 7 13994 409 1 60 2742 77 5347 1731 1 2985 584 2 17556 4338 1 4311 4320 11 3360 2761 1 14964 650 1 14741 939 3 11652 2343 3 452 441 3 5507 203 86 17886 3133 1 15151 716 7 11345 207 2 365 1119 1 1999 2864 1 3198 7515 5 8198 3863 1 12663 173 2 19939 2419 1 63 3042 1 18212 883 1 10717 5574 5 2648 2356 10 7017 4561 3 4620 1781 7 5263 4015 1 17600 220 1 3651 214 2 14380 470 1 17005 1954 1 19400 6027 7 6517 3645 2 6697 4366 9 4970 3540 1 11638 6640 3 5076 5164 5 4245 2729 1 14564 1703 2 17610 4404 1 6567 292 1 17801 2013 2 11333 696 1 13 671 1 1361 6971 2 1801 2132 1 10391 3824 2 16002 548 1 16881 1235 1 18162 1717 2 3175 3663 2 4188 232 1 8549 1482 1 2773 5488 1 3178 512 6 8624 2559 6 15329 7843 1 7688 7404 7 4588 3666 3 553 6225 1 15506 7652 1 16945 865 1 19649 1745 2 2659 7210 7 9796 3203 5 94 4259 9 16800 1238 4 9477 206 1 9295 1726 1 4990 23 30 11004 5536 4 8088 644 2 8054 548 1 12435 3335 2 1 52 1 1708 3285 1 16283 410 1 19065 3894 1 4095 4619 1 8153 95 22 30 1690 1 17999 3309 1 6899 1827 9 494 1292 1 11195 1184 1 19115 220 7 17548 625 1 3594 504 1 7294 2559 1 16059 206 4 8257 3239 2 19056 1382 2 18183 3916 1 17066 4653 1 842 1184 1 18373 359 1 16840 5127 1 6036 6198 1 8311 203 2 7757 361 2 759 8140 7 11502 840 1 5122 3511 1 10544 6914 1 19480 6933 1 18938 5264 1 9374 1726 2 16117 2604 1 16036 2191 5 3871 4366 1 6619 1395 1 13690 498 8 3485 84 2 19448 1610 1 17157 203 1 8394 4282 1 17416 3012 1 2834 868 2 2045 1726 1 14988 3838 1 7083 1464 3 13951 5269 1 19951 6237 2 19656 498 5 14468 2294 1 3314 1751 2 7156 5043 2 12179 1444 10 19872 801 3 6654 4013 1 11516 3516 1 17148 6705 2 8053 762 1 10643 1112 1 8343 833 1 4486 1046 17 5144 1725 1 7952 54 1 12190 6482 1 4849 221 2 7491 3494 1 15634 8102 2 6556 6753 4 151 6774 1 11132 6139 2 17039 8127 2 20017 3710 1 7750 867 1 1745 2043 1 4448 5355 1 7380 1710 1 6198 6526 1 2865 6873 1 18496 4611 2 757 8122 1 8629 8075 2 1319 3308 1 4779 3558 2 7179 6540 1 11549 2088 1 10106 1244 1 13708 3545 1 19713 2646 2 6013 6597 2 7974 220 1 18324 4446 1 5153 7542 2 5179 1357 2 683 2261 17 15788 4992 2 16951 2129 1 8677 1859 3 952 303 8 11367 1363 5 5675 1727 2 3037 2686 1 18064 2720 1 633 5265 1 14790 7259 1 6063 6534 1 20013 867 6 7916 1781 1 17033 4474 1 2491 7367 2 6819 7890 2 341 3182 2 8597 1277 1 7947 1775 2 17012 4476 4 5954 2415 1 9609 3334 1 2104 7495 2 12378 1524 1 1009 760 7 14629 458 1 130 5893 1 18318 1775 12 19655 5258 1 18381 4274 4 2772 3388 3 7105 514 1 12818 929 1 13088 519 2 16775 1475 11 1309 3890 1 12843 1721 1 12525 2608 1 17463 1356 1 12272 5324 1 17560 4097 4 9901 5550 2 7943 4653 5 11034 1890 1 7333 8067 1 9875 1770 19 821 6658 1 14992 1236 10 10698 1244 3 20122 4478 6 13430 6259 7 2267 1182 1 15192 597 1 445 1374 1 6228 570 1 100 4583 1 7656 4306 2 2905 2584 1 5695 5333 1 3440 7541 2 17477 867 2 9471 6675 1 12064 1703 2 11773 4252 5 6617 3171 1 10318 1781 1 48 1466 1 7625 1249 1 18232 1753 14 4902 1715 1 11786 1825 1 16481 6157 1 6449 4796 3 806 188 1 11985 5570 1 3362 501 1 12423 2971 5 17391 1850 3 836 1882 3 9509 3168 14 126 5637 1 2341 1710 1 10245 368 3 2845 2887 10 9155 590 1 5471 2863 1 10095 157 25 2273 1991 2 3521 221 3 9767 1090 1 13721 532 1 3843 1738 3 15124 2277 1 174 8091 3 4498 5259 1 19118 3071 3 14292 863 2 55 2654 2 4805 2844 3 11114 6943 1 12766 578 4 6772 221 4 6595 206 2 12166 1328 1 2198 398 1 17725 1757 1 2602 1946 1 8813 809 3 17290 7989 2 8015 1023 2 5952 244 1 13123 2889 1 19478 3011 1 8709 6449 1 10265 7606 1 16829 2354 1 16543 219 9 5646 4557 5 3659 3488 1 11215 745 1 15300 3167 2 5412 6701 1 16518 4992 1 2885 7688 7 11121 5546 1 7349 1739 6 16584 8027 1 70 214 1 4060 1646 2 4425 4501 1 35 1888 1 3031 206 9 4847 2662 1 16299 816 1 13745 498 1 17405 5436 1 1289 5009 1 8714 2885 16 7168 510 1 18644 235 2 13730 3572 1 16310 260 1 19136 7719 1 13148 776 1 10058 1757 5 15558 6169 1 16524 1728 3 3212 175 2 8597 4055 1 5963 2081 3 3469 3135 1 13601 947 1 9187 382 1 6501 203 2 15581 491 2 15271 1731 6 11050 5559 2 18017 6216 1 14031 1751 1 19154 534 5 10349 2678 38 8156 2675 10 2592 5617 5 8735 508 2 5623 2683 1 1141 10 2 635 6198 1 7991 1607 1 5174 7414 3 7096 910 6 3750 3585 1 13626 7217 2 5248 644 1 14900 5053 3 7554 3287 1 124 5568 1 62 2987 1 16310 591 2 19437 745 2 3530 225 9 10605 316 1 20168 1269 2 13993 219 5 14532 3593 11 13951 7894 1 7586 2904 1 16925 2118 1 17914 1784 1 12870 575 3 11312 2889 6 16346 2721 4 20191 606 2 940 2235 5 9287 530 7 1747 6051 1 13032 1720 6 15377 7623 1 6438 868 1 11 402 1 8001 38 5 14115 230 1 17696 3979 1 18010 7734 1 4064 1275 26 4593 615 2 2376 429 1 8391 7425 1 3461 6510 1 16500 173 2 11402 219 9 3705 3647 2 6690 6842 2 17541 848 1 7867 1788 6 5245 1252 15 5826 4578 1 7462 2229 2 1851 4108 6 9332 3389 1 853 4695 1 16055 196 2 19982 1819 1 17156 1720 3 14060 201 7 18235 1715 1 11880 1184 2 10529 6487 1 4357 4967 1 3233 6142 5 457 2646 1 5172 1357 9 4734 5562 1 2186 867 9 3146 3065 1 7268 220 3 5597 3999 1 7786 1296 1 16197 1737 1 18165 5495 1 8643 650 1 4163 2150 1 18821 1717 4 18933 203 2 8540 1332 2 5023 2419 1 8705 1244 1 8995 7308 1 10492 1699 5 16090 545 2 1412 5781 1 12777 1020 3 6410 201 1 16096 6500 2 10095 3429 8 3360 7238 4 945 1286 3 7618 207 7 3120 1453 1 62 2870 1 1198 4799 4 11411 23 2 17710 206 2 11601 3492 11 6503 4531 2 96 4402 1 12025 3788 1 16029 1331 1 6293 4221 2 13 629 6 3032 1720 1 5483 1247 1 3977 4944 1 14753 5323 1 56 1252 1 19686 1239 1 7500 637 8 10966 2626 1 10642 3574 26 18486 207 12 6748 865 1 8735 1303 3 14648 3048 1 12364 1722 3 575 232 1 16322 1367 1 11327 1770 2 18597 2027 2 11326 523 1 12405 1996 1 14059 454 1 5888 7351 2 7267 6568 1 9245 1275 1 12773 5294 3 6942 1752 1 13267 2575 23 4092 6533 3 4684 4944 2 12279 532 11 34 1841 2 3376 7535 1 109 1714 1 18113 367 1 10996 2571 2 7568 5460 1 11378 6708 5 560 4297 1 7309 6564 1 16674 3601 1 13417 4314 1 15218 752 1 9772 4608 1 5064 605 1 8878 231 1 7168 1357 1 19485 1245 2 15262 5428 1 15496 496 2 11248 650 2 11951 6487 2 4092 637 3 2033 3489 1 14737 1731 4 11926 382 1 7672 5380 1 10488 534 3 10060 201 2 1530 2083 1 4147 4096 1 9841 7623 3 15599 6064 2 18447 1748 6 10943 88 1 15258 36 1 13343 274 1 11150 270 2 19461 2955 1 8053 914 1 19872 661 1 1631 7576 10 6658 1770 3 1530 134 1 997 4667 1 10546 2521 1 4252 532 1 17389 1312 1 12817 363 2 15750 2014 1 10071 3070 1 12112 660 1 120 5250 1 9755 5082 1 3907 1251 1 2783 6038 2 4528 1757 2 7956 1691 1 3743 2555 1 10692 586 1 8585 6047 2 4055 4333 1 6769 337 1 14369 1743 1 19724 200 21 18123 6150 1 16844 5906 8 3776 8109 1 19332 6147 2 3940 768 2 11932 3167 1 7070 5945 1 5041 1313 1 19018 3519 8 13238 1981 6 4189 6225 1 13510 5468 2 6449 6442 1 2284 1747 2 14162 675 1 5877 6152 14 1438 1417 1 13023 5619 2 69 3264 1 17696 410 1 5271 1885 1 17143 6526 2 6268 3809 2 6910 1825 15 12934 3427 1 5613 441 1 5478 1760 7 114 5112 2 4368 1871 19 14305 606 10 2858 316 4 17045 1710 2 14836 1757 1 3633 3562 1 6064 2818 1 15319 6710 3 2405 7231 1 7297 1277 1 1866 225 2 14637 219 1 8892 225 1 6769 1740 1 19032 6714 13 5028 1779 1 19398 7054 4 62 2905 1 10692 722 2 3062 34 1 17125 1751 4 12523 201 7 18793 4351 1 1567 2938 44 12279 158 2 13405 3129 1 18115 916 3 17747 5730 1 5773 3263 2 5139 2908 1 17384 331 4 14612 2563 4 17247 2014 1 16123 510 4 15712 3167 1 18784 1783 2 6546 221 1 3768 3622 1 15878 1691 1 5841 7823 5 130 5978 1 16474 6533 1 16860 1092 1 17298 3670 1 2772 3399 5 3516 1706 6 4065 74 1 10876 1761 1 5172 1474 2 16490 413 2 18610 1819 1 19509 3869 2 3114 173 1 5197 867 6 10774 4436 2 17394 788 1 3388 1686 1 7395 838 1 561 1242 2 2445 184 1 347 4615 2 9421 2555 2 14269 3893 1 7065 1531 1 1218 2760 1 2701 368 1 7769 221 1 6658 3151 3 18017 6231 1 6876 1718 1 559 6228 2 17567 2386 1 1387 347 12 10540 258 1 11638 1363 1 18434 7397 1 4887 49 17 5041 3430 3 11192 5186 1 10118 3109 1 9893 944 3 8628 5137 33 17191 395 1 10672 1304 2 13132 769 1 6667 1235 11 2044 1731 1 6287 1518 1 2880 2486 1 19222 3511 11 19790 1289 1 11072 190 2 3139 2696 5 2531 141 1 13197 5897 1 585 206 4 13925 6423 2 1988 1753 1 18902 2003 1 14473 1054 1 6598 1244 2 539 3426 1 16712 1686 3 17913 508 1 1561 7734 1 1968 6701 1 1308 3671 1 11686 4667 1 5358 5732 1 9437 2392 1 11947 1251 19 16222 5974 1 10539 1062 2 15124 2556 1 1028 903 2 15893 7529 2 4772 402 4 12037 688 1 11523 1235 2 10014 34 2 15075 4378 1 9077 23 1 12660 244 11 5704 1718 17 4265 2646 5 9342 4998 2 19819 6053 1 2720 2297 1 17772 3558 1 8916 4019 1 6083 1321 1 6581 3425 1 1711 367 1 18548 3389 1 18375 526 2 4898 501 1 14599 762 2 1720 4369 6 12286 1779 6 4665 1988 13 7538 5277 2 9948 1781 1 18608 6538 1 3542 23 2 163 7414 7 11653 1784 1 4384 5336 1 13055 6522 2 12121 1244 3 2893 3697 2 13829 523 1 5950 2555 2 6089 5255 4 11158 4858 1 18932 765 1 14196 164 7 16185 6665 1 14437 408 1 914 1819 1 10316 4597 6 12058 1721 3 135 6222 2 3915 1249 1 2467 3879 1 453 1535 21 12322 1395 2 16259 5500 1 18259 2639 2 16111 3892 1 6589 1474 3 17347 3629 29 14597 4306 2 17816 8192 39 9023 100 2 11222 26 1 7943 3591 3 18737 3230 2 4279 561 10 2674 6278 5 6997 5945 1 12801 1972 1 13174 1870 1 167 7570 1 4588 210 51 4234 1146 1 13475 1704 2 3548 246 1 10688 318 2 15074 5257 5 3695 3109 1 7670 785 1 358 1825 3 6342 1464 1 2907 3629 9 13770 8022 10 9822 7806 1 4438 6383 1 17561 3818 1 7544 219 1 14555 1146 18 5952 2686 2 11930 2040 1 18303 3138 2 17960 497 1 17220 660 1 12826 6956 3 10 263 1 815 201 8 9199 688 2 19679 6713 11 4056 5315 1 19528 411 1 14666 3511 89 16670 6754 4 2664 3283 1 62 537 1 3297 2560 1 711 520 5 12967 1416 3 9374 173 1 3185 575 2 19664 867 7 17516 4948 5 17819 201 1 1905 7840 1 19992 6743 11 15899 2645 2 2643 770 1 11968 5486 1 7786 1250 1 7681 1251 5 8189 2572 1 11656 461 1 18693 3163 3 13852 1883 5 19489 1638 2 3505 6576 1 15493 1034 5 15676 7466 3 18768 5030 20 9319 1548 3 19893 1110 1 10057 6714 4 16800 514 2 11395 5499 8 15271 1825 5 3002 2015 1 2809 347 4 18373 6533 1 11155 2173 3 14668 2849 1 10670 4015 2 792 7670 1 12072 232 2 12057 2699 2 12595 1752 3 1237 5137 4 11626 429 1 4361 6252 1 11000 853 2 8439 1241 1 2784 957 1 3853 1462 5 153 7079 1 15366 3511 1 15504 1561 1 6360 292 1 19606 1752 1 6312 1367 5 2103 506 3 17958 304 1 5994 215 3 4659 1901 3 15670 981 2 18014 2505 1 376 1246 1 8534 7173 1 17578 3278 2 14664 1731 13 15364 3278 1 11430 867 1 1780 745 1 16943 508 1 8132 5350 2 17265 229 1 13644 1164 1 4365 3637 5 3986 203 2 19030 3576 3 2432 4020 1 14940 6697 1 4712 1819 4 2191 2146 2 6463 3652 5 11932 5090 1 18852 1035 1 16604 1244 1 3801 5769 3 5745 1775 1 19572 3202 8 8831 5737 2 11155 509 8 3765 2260 11 2210 360 1 16644 1772 1 9946 4345 1 15715 2810 1 12716 534 7 8749 5018 2 11637 725 1 11777 1772 1 4115 769 3 18781 1285 1 17088 1251 1 80 2827 18 14305 802 5 20278 7900 1 16897 891 2 1361 888 1 10859 258 2 19940 1866 2 11629 6897 7 13601 3573 3 745 3333 1 702 426 1 11678 895 1 1853 368 1 7480 534 2 77 3525 1 17493 5291 1 503 1357 1 33 1816 2 8609 1043 2 9110 2291 3 13858 1750 1 3272 606 1 6198 2614 1 5515 1961 1 16794 1737 16 7147 2729 2 462 221 1 13144 2307 8 16354 526 1 17633 926 1 15663 2899 1 15056 663 6 2244 4367 1 14583 3704 1 2868 4153 1 3043 201 2 11031 223 91 9650 6039 10 809 3219 6 126 5699 1 13230 5775 1 12036 1395 1 10404 310 1 3801 1112 1 4057 1253 1 8737 1745 2 14957 4769 1 11077 8175 1 13866 541 4 4163 2817 1 9257 6670 2 13466 3230 43 19254 6534 1 16276 3484 1 5828 1250 1 14056 7750 1 11622 206 1 8156 3233 13 19667 1781 1 14221 1402 2 67 3241 3 10341 244 2 3385 2219 1 9472 1971 1 7652 7719 3 12695 3916 3 3695 2721 1 65 3096 2 7210 299 61 17331 197 2 19217 5172 1 15104 235 1 7498 6414 14 14638 219 2 15599 1367 1 5471 1453 1 18538 1314 11 6415 2675 1 13211 23 1 17561 982 2 5964 3369 1 6064 624 2 4527 7983 2 3822 843 1 10225 3631 11 8077 3389 2 8077 390 1 3421 1184 1 873 4794 1 7455 2993 1 8226 7772 1 15712 960 3 6197 5052 4 3833 1727 3 16450 2114 1 10686 1784 1 12817 1275 1 2905 1373 2 16777 244 1 17388 5121 1 15495 244 1 19607 452 1 8198 6504 1 16276 1609 2 10706 6618 16 11411 1743 1 9596 1312 2 16328 4403 2 12372 3442 1 4049 4161 2 3687 891 1 14047 1644 4 873 4387 1 17302 715 1 15597 381 2 8775 6035 1 6011 5591 3 15420 6510 13 6229 7165 1 14197 207 5 6681 1396 1 12687 667 1 12935 2449 1 3307 1334 1 1150 7257 1 618 1741 4 13849 745 1 11523 5202 1 2226 3693 1 9935 5256 1 4397 903 3 3253 3909 1 17352 6716 2 4661 1748 6 14626 2477 7 3069 2617 1 7635 982 1 18385 1657 8 16956 2514 1 4386 2708 1 13410 1772 1 8478 3498 2 11847 2155 2 11354 225 3 11725 4599 1 8693 1658 1 15791 4299 1 4218 2787 1 16812 7244 1 14826 1147 13 2556 1748 1 1735 201 1 6659 6486 2 5661 723 40 15141 8158 4 7452 817 1 4552 441 1 821 3283 1 8097 7606 4 2091 4462 1 10183 1164 2 9572 631 1 17710 184 3 6759 7658 13 15732 3081 7 4841 2698 1 14670 7225 1 14060 3658 2 10876 186 1 19960 1606 1 15978 5245 2 3119 23 2 14030 3784 1 14599 682 2 6373 825 1 10179 2712 40 19343 3513 3 745 1768 1 3004 3460 1 634 5251 2 11327 214 7 11230 3849 1 10730 1274 3 15426 4400 3 7374 4245 6 12817 3482 1 8183 764 1 514 3838 1 124 5481 1 13234 5989 1 19554 7339 1 5312 409 1 8062 506 6 16190 524 1 3694 519 3 16482 1819 1 10479 244 1 6536 232 1 5526 5325 1 19115 1062 10 1612 201 4 18893 4998 5 15553 867 3 14560 1567 1 1607 4635 1 17809 541 3 16916 6945 1 20035 3547 2 7451 4963 3 411 1244 2 8528 1727 1 1620 6320 1 17224 221 1 3996 1657 3 2748 667 1 111 5014 5 14845 4435 1 6568 4965 1 5279 203 11 8975 1995 3 14935 2302 1 11122 2864 3 12064 1762 1 12612 512 1 18908 3796 1 5081 7045 1 4512 1825 1 14970 617 1 37 2002 1 31 519 3 17686 1825 1 5896 8141 7 7429 7096 1 17519 4365 4 4155 2505 1 17417 6139 1 18066 7874 1 8004 1814 1 11307 521 2 2656 5054 2 3616 201 1 17312 1748 1 9555 367 1 13829 2661 1 1330 498 1 10498 1545 1 17730 1770 1 15130 1241 3 9912 225 1 9632 1755 13 3255 7606 3 135 6142 1 8914 6615 1 2553 249 1 1757 215 6 7879 5297 1 5830 2385 1 18705 723 1 17890 2626 1 13833 4363 22 13328 35 51 7173 2353 1 12159 2683 2 8585 545 1 13205 2155 2 4469 2645 29 15230 514 20 20275 3324 1 14692 541 1 17932 6152 1 7165 3050 6 5716 1363 8 1866 964 1 3967 3906 1 15640 1267 1 130 5879 1 9591 605 1 153 7038 8 17088 1727 5 18858 23 2 6449 5559 2 3724 7231 2 2445 5395 1 12424 5351 8 14928 1395 1 20060 5275 1 13009 381 6 6838 742 1 6781 6414 10 18879 445 1 11341 5031 4 2045 1681 1 3003 1703 20 10049 173 3 18421 2138 1 13405 1737 2 14837 1757 4 11329 1825 1 10441 1789 1 20257 35 5 10198 880 1 11297 1825 1 6158 2292 2 18756 1707 2 8546 4107 2 8965 545 1 16674 419 2 8334 2362 1 4784 4618 1 17173 4877 1 14642 4610 1 5775 506 2 7188 1727 1 1653 8176 1 19661 1887 1 11507 6677 1 8198 1267 6 1492 8212 2 12609 7670 1 4898 1244 2 17747 4459 3 10695 6152 2 6535 8126 2 130 5921 1 17909 3276 5 15629 605 1 9478 7268 3 14602 1721 2 5433 863 1 14940 3540 1 10406 900 1 7176 184 1 10364 408 1 8643 846 4 18643 7168 1 633 1731 3 11530 1464 6 5932 8236 11 10445 6539 2 15683 6048 1 1012 5018 1 17992 229 1 19557 5335 8 19026 7098 2 2220 65 1 314 910 1 7652 366 1 3454 3172 5 19996 874 1 992 1245 1 18781 379 1 12285 752 1 4061 1768 1 18767 3540 5 2665 2889 50 13601 2849 1 11449 1819 1 216 1743 1 18389 4268 1 11018 191 1 3330 214 1 17477 219 6 91 4086 2 10165 894 1 7746 6268 1 11582 1720 2 19886 1470 2 11082 374 1 16388 5289 1 6301 7332 3 2077 4351 7 17544 10 1 19319 3106 3 16340 2633 1 17488 805 1 5124 6564 4 15969 1995 4 1868 3163 6 121 4325 3 20029 2813 1 4098 1962 1 771 501 1 19887 1781 12 8738 1466 1 6063 2123 2 15050 4378 1 19812 6192 1 16546 3913 1 1274 6083 2 16231 1250 1 13589 1236 2 3031 931 2 8892 2675 15 1879 1737 1 3711 1464 1 7780 186 1 18311 201 2 5424 2696 1 679 779 1 11722 2442 2 17585 2747 6 10730 2849 5 2190 6141 1 15861 1275 1 2776 3135 1 60 2740 5 15885 6943 1 17061 2027 5 16444 1761 9 12619 3159 1 5520 502 1 9666 3220 22 8022 753 2 7355 3375 1 16570 2955 1 4382 23 7 18465 1751 2 9102 2641 1 20133 3590 1 17600 201 43 11511 223 2 4956 6557 5 16895 2708 4 14114 442 1 1028 679 1 8054 6050 3 9916 7406 4 15429 7030 1 1410 95 1 6503 638 8 9426 336 1 12003 541 4 16697 175 1 14917 514 1 12570 7022 1 7919 5432 5 20013 2127 3 3270 5256 1 10696 6705 1 672 219 9 4555 684 5 3479 1357 3 14829 6584 1 14019 1582 2 362 1235 34 10575 548 1 13590 4578 7 5745 2080 1 16316 2632 2 9419 221 2 13 647 1 15015 4015 1 9899 200 2 18274 2247 2 4874 4614 1 3757 818 1 5890 237 1 7639 1814 1 20182 383 1 16855 1827 1 12434 5573 2 13371 2488 2 12067 622 1 9104 1467 1 17081 5814 2 12213 2392 7 15604 201 1 2394 2869 1 7176 1738 5 12412 652 2 5245 3333 4 16039 3146 1 8599 7351 2 559 5747 1 4137 2801 9 4060 2519 1 9364 1146 2 100 4503 1 17284 6169 1 15114 1244 1 8 233 2 15738 7461 1 584 3370 9 5364 3591 2 2478 3263 2 14692 1757 3 3491 519 1 123 5359 7 12957 1727 1 11441 6059 1 2696 1250 1 18451 5420 4 12731 2618 1 8569 532 3 12679 3335 1 2755 2683 11 17895 4342 1 19870 3764 1 8129 4007 1 11399 6875 1 1009 6268 1 4581 498 1 17102 2443 1 18879 327 1 8997 1719 2 10558 4950 2 3651 2104 1 10749 6434 1 18799 3892 10 3242 1292 9 13460 6716 2 11458 7673 7 6502 858 1 15873 1275 1 15007 3679 5 18242 1739 1 9847 316 1 661 2727 1 8925 207 8 3472 1743 1 96 1756 1 14350 4144 1 14236 6259 6 19921 2632 1 4784 308 2 14282 221 1 14721 4245 5 10900 5873 1 10105 1251 1 6312 222 1 559 4015 1 18821 7847 5 11194 6606 1 1064 6709 3 9949 1783 2 4491 215 4 7461 4267 1 4167 3511 2 3537 1204 1 9875 1245 16 2629 1756 1 7251 2356 3 120 5251 1 9793 2103 1 6867 895 1 14522 4996 1 10590 173 17 20207 805 1 6684 222 1 13489 5325 25 2629 235 3 1011 735 1 16391 65 1 12793 7096 1 15826 1705 2 2420 411 5 9072 7279 1 8050 8057 8 15770 6754 1 11827 225 1 10694 215 1 13925 764 2 11542 2662 2 10544 1996 2 7507 1710 1 6776 2362 5 252 1751 5 17388 3952 1 156 5394 11 5812 2591 2 4425 6993 1 18040 3983 3 14277 5054 1 3324 2575 3 9079 5002 1 9043 419 1 11502 6009 5 20090 506 3 4166 7878 1 1844 4112 1 8872 2353 1 8153 4029 1 18891 3434 1 108 4914 2 2367 201 1 13594 4258 1 7347 602 1 7705 615 1 9604 2998 1 13519 2649 2 17894 8029 4 12166 3167 1 6683 237 2 20191 5256 1 17 1193 1 15549 246 2 18689 1380 1 1389 663 1 11315 1153 2 4570 2666 1 17198 4288 1 13409 1762 1 17634 7221 6 6369 232 1 7916 1244 2 2169 223 1 7607 2683 1 16031 512 3 6749 6091 2 9898 5883 1 13600 4714 1 6820 3333 3 10190 5026 5 284 4307 2 15277 1423 1 2680 1685 2 8913 1781 1 17789 5272 2 3397 2690 1 20062 2743 1 411 2268 2 19058 201 1 2364 7544 5 7664 6949 2 3694 3492 1 11268 8077 1 12040 4799 1 16090 1396 1 2367 1342 1 17029 6064 10 3908 5791 4 20037 1252 2 6825 7342 1 3147 2721 1 12755 6080 1 9521 206 1 5839 1583 2 861 3396 1 18237 1772 2 8251 6705 2 10856 82 1 14719 525 1 13974 6031 2 1237 519 3 791 6031 1 6090 735 1 1703 219 7 11082 4944 4 10196 1946 10 5536 3876 17 1825 225 20 11935 930 1 18282 1237 1 7296 4992 1 3629 5930 1 8183 869 2 18705 1649 2 6800 1685 1 6186 432 1 13009 976 2 17713 4309 1 14861 6723 1 2834 2023 8 20048 6170 5 10730 4945 9 4663 872 1 6412 5674 1 5884 1244 5 4954 4394 1 14886 3516 8 720 2072 13 10584 1827 9 16530 1116 1 18740 4242 1 281 7491 2 7987 4186 1 8164 206 7 19174 210 6 13490 400 1 13482 3333 3 14276 2482 1 2420 167 2 16669 1234 1 132 6005 1 3035 1729 2 465 3511 2 6037 222 1 7950 1062 1 8910 8210 1 5732 821 1 571 2605 1 7962 207 5 5643 3511 3 109 4937 2 7181 6031 10 14756 1248 16 17082 4069 1 7996 1245 4 17850 1055 1 3283 3980 2 8452 1380 2 10733 1238 1 3218 5115 1 13634 7569 1 2405 223 2 18021 3512 1 1801 441 1 406 403 1 2907 5129 1 13425 449 4 7108 2511 5 1705 801 1 16580 3510 5 17662 1769 4 18357 6480 1 4495 728 5 5052 6053 2 7780 4404 1 13461 1819 24 19263 5162 6 2709 3608 1 6564 4922 1 14259 1796 2 18680 3135 2 19941 2600 1 1328 2356 2 6965 512 3 1716 4446 1 5879 4397 4 10990 944 1 13423 5472 5 6807 4297 1 822 1089 3 16831 203 3 6789 4866 12 3269 1772 1 4850 156 1 2462 1513 4 3917 304 1 7670 768 2 17448 4506 4 15599 5389 1 1188 6331 5 16397 4463 1 13007 4723 1 14436 995 5 9757 7221 2 1997 207 1 18574 170 1 1794 319 1 15964 1785 2 11066 3558 5 15825 4098 1 12437 8102 1 15870 5285 4 426 7474 1 10856 1909 4 7986 5252 2 1965 292 1 2905 5538 1 19579 7520 8 3214 5504 2 1756 207 2 19272 7527 2 14053 215 1 1989 156 16 8281 6502 1 8198 910 7 10772 48 1 303 1714 1 751 5031 1 3158 220 4 14778 4992 1 1520 1705 1 2003 2636 2 6570 8071 18 3182 262 1 6473 7850 1 5495 6106 1 12706 498 3 6374 244 1 8965 2662 1 10179 7629 1 9761 7433 4 12009 6414 3 2322 1355 1 18698 1721 2 18511 1757 7 10043 6522 1 9374 214 7 15629 685 1 17071 1686 1 455 494 1 8375 1037 1 14092 864 13 3812 1776 1 4772 4621 14 10114 207 1 7610 665 1 570 23 6 10555 524 75 18705 2356 1 11160 4619 1 6832 1729 5 19026 201 2 7358 526 1 8051 2369 1 10651 214 2 18634 2774 1 10859 2896 1 3950 8192 1 1109 514 3 13031 508 5 5972 5514 1 18003 3906 1 866 6374 9 9358 8141 1 11194 2632 1 126 5703 1 5438 7583 1 17746 656 2 16023 4622 1 7912 191 6 13880 6705 1 15561 780 1 8129 694 1 11442 201 1 4450 481 1 14906 5247 1 7670 737 2 1551 232 1 16841 6224 1 218 2780 1 1360 171 1 13813 1363 23 7169 3661 1 13328 6618 1 17354 8167 14 6381 810 4 11402 2675 1 15192 258 1 17070 1214 1 5172 5999 11 90 4048 1 13320 2378 3 12764 1742 2 4594 8096 1 18660 3972 1 8944 518 12 19019 2082 1 6990 3081 10 16500 7719 6 9511 477 2 5591 5470 1 385 4967 1 10554 1366 1 14573 819 1 11622 839 3 6519 3422 1 17369 6540 2 4218 7983 1 13865 1241 2 5843 6187 12 314 1198 2 717 1722 1 15635 4703 1 14726 1762 2 787 5493 1 8391 953 1 2619 4009 2 1712 4920 1 19354 8099 1 9112 206 2 4974 7901 1 1104 3686 13 6697 5002 1 7749 6139 5 17634 5020 1 7280 4204 1 7718 7021 1 11607 232 1 20197 1946 2 7333 1855 4 16924 5256 1 12097 910 1 16645 2626 1 8010 1698 2 15427 3519 1 2900 890 1 11441 3556 3 5785 196 1 20009 2268 1 16806 1395 1 17654 1017 1 658 792 1 8054 6070 7 780 6132 1 8656 8017 1 2869 7884 1 15428 3909 15 90 4049 1 745 1275 1 19521 1298 1 6375 4905 1 9696 4436 3 835 5440 1 19211 569 1 12970 759 4 3267 2675 1 17871 205 4 9480 1990 2 745 803 1 11653 1695 1 15429 508 1 15660 1747 7 13885 601 2 15970 871 1 18001 1243 8 2213 4236 1 3155 5395 1 9206 501 1 18364 1796 1 4659 1768 1 14556 5425 1 10137 8184 5 19056 1582 1 3841 878 1 11495 2955 1 9195 184 1 2045 8141 1 2459 7710 5 13731 52 6 9264 2115 1 11336 1283 1 4936 2132 1 15394 8197 15 6837 2360 2 1705 810 2 10078 1982 5 19776 5413 1 8063 3617 5 11844 220 13 2965 2175 3 16491 7999 1 15827 2829 3 2870 6122 2 17736 2488 1 1499 5302 2 11297 2686 1 17454 3351 1 10340 34 4 9250 569 1 70 3288 1 416 944 17 4498 1699 1 9638 3511 18 8716 3592 1 12850 1761 4 13430 1975 5 11786 6246 1 14358 1930 2 2788 7994 2 11898 1612 1 5821 5220 2 8259 1338 1 7332 6777 1 7956 4301 1 9713 3077 1 5975 302 2 1020 316 1 14948 1752 4 10371 1245 4 13111 200 29 17224 3391 2 14435 1967 2 171 7791 2 13865 1248 1 10473 452 1 11779 1313 2 5778 3476 1 12133 394 1 17350 4811 3 18639 2998 1 11045 1625 1 2071 399 1 9281 452 1 17472 375 1 13 806 12 9395 10 1 9876 1677 1 12821 223 8 12900 2416 1 1663 8188 13 633 4474 1 18875 2860 1 9269 1819 2 5842 534 3 10101 6139 1 9625 23 1 15750 892 1 7534 3778 1 5188 5129 1 9364 1184 6 5983 2307 1 12283 1783 1 11327 1453 1 11702 3293 1 11415 4022 1 5838 4992 1 11365 1567 1 19770 525 1 5617 367 3 6277 7073 1 6922 2669 63 20258 219 2 190 400 1 3695 307 1 12291 7250 1 6460 7414 1 9216 3525 1 16236 236 1 173 1734 10 11314 3721 1 19286 1253 1 5362 5023 3 1985 5255 1 4809 200 180 4373 1312 4 9432 796 1 2271 4704 1 6690 870 10 6043 745 23 10787 221 2 14089 5019 4 9619 3263 14 567 809 1 18968 2003 1 10143 2307 3 15885 5693 1 12428 6225 1 7498 2384 1 16525 638 1 15041 1751 9 6806 2626 1 9767 200 1 17877 6368 1 7445 201 2 16306 508 2 12799 1249 2 15874 7027 1 160 7275 1 10691 6343 2 5775 2683 3 18724 206 3 19477 502 1 496 1277 1 5737 6750 1 20202 1342 1 4030 148 1 17746 244 5 19140 2383 1 7556 5022 5 10371 5955 5 2957 2711 1 1135 1245 3 18741 6595 10 2050 6752 2 8831 3358 1 9534 219 2 4622 8051 1 17457 4106 1 7916 2710 2 18357 7420 1 15056 4519 1 10320 4242 14 4712 1078 2 850 235 20 14753 5275 7 34 1850 1 222 4107 1 11846 634 5 7203 1395 1 11287 936 2 17609 23 2 36 1995 16 17 1216 1 6332 5448 1 266 308 1 94 4324 5 9462 3972 1 15027 1184 1 1752 1063 1 17331 134 1 9766 863 1 8579 184 2 10879 1745 1 1717 5297 1 8654 1695 2 8082 420 2 13664 507 1 16924 4563 1 4493 201 1 9579 3069 1 1204 1253 1 6989 947 1 1185 4949 1 6191 6083 4 16534 1251 1 4883 5138 1 15507 3155 3 15918 925 1 19211 921 10 554 1778 1 6644 7602 1 7529 7651 1 13655 2676 4 7917 3734 6 3048 604 1 11981 1296 3 18484 1710 4 20157 5281 1 15884 5836 1 1638 3182 1 4940 4242 3 10551 8141 1 14015 7750 1 16502 232 1 719 5258 1 3249 23 2 6950 232 1 126 5712 1 4663 881 1 15865 1687 3 10360 1396 1 3902 6027 1 8458 1779 8 6805 1363 1 92 4171 6 16589 1752 1 12933 883 1 5879 5561 1 6130 662 1 8620 7532 1 18120 659 1 5926 10 7 5960 3040 4 155 7142 1 14503 4284 2 20181 1423 5 19537 883 2 6198 1745 1 13234 1103 19 11964 1819 3 18534 7410 2 8967 8241 1 18235 5542 1 4624 7142 1 12817 823 4 12831 947 1 10380 2018 1 15185 512 2 12197 573 1 5540 1691 1 91 4073 1 1962 21 1 17416 8103 2 380 235 3 10850 2656 1 7765 1962 1 15468 496 1 5853 1464 1 16853 1037 3 6811 4419 1 8054 8096 1 10554 738 1 13055 7107 5 2590 1705 4 16249 5923 1 12817 863 1 17589 5945 1 3726 203 12 4472 2569 1 890 3747 1 20208 5379 2 18909 3081 1 10143 204 1 4210 2577 1 8211 3512 13 18285 3389 1 12475 1769 1 16692 7030 1 19975 2683 1 8606 1732 1 4210 2571 1 8586 709 1 14129 2949 4 6081 219 1 10554 186 1 18059 7719 7 19250 5433 2 14465 1781 1 14400 2708 1 19347 3452 25 4670 1783 3 19112 5903 4 11786 2639 1 10899 4612 3 12343 4869 1 15849 4167 1 5623 2555 11 17400 1303 1 13079 5390 2 14685 1417 1 7718 4366 5 12668 7313 1 11471 2566 3 693 7342 1 8717 5099 2 16183 545 16 11266 6754 7 17992 4944 1 13640 470 2 10855 1665 11 19745 1464 1 6152 737 1 19338 659 1 5591 3097 5 13346 6334 2 1908 964 1 1986 4435 1 17694 4266 1 6697 3911 6 20114 4029 1 19866 244 3 17767 4739 3 1667 834 1 9897 4554 2 1893 3540 2 5157 221 1 15885 2131 1 2886 3849 1 7394 7641 1 586 207 3 17713 1310 3 18 1236 1 16048 944 1 1091 8141 2 8499 6229 2 18329 95 1 14162 726 1 12978 5037 1 4675 3267 2 397 7410 11 8969 203 7 447 350 1 14758 2129 1 4565 4635 5 5397 1721 1 19158 2675 18 12850 203 4 8369 1420 1 4081 4343 1 12618 400 1 7916 1235 3 11708 778 1 3111 308 1 11520 1244 1 3473 4755 2 19893 4337 1 4014 1827 8 1865 7454 1 303 7305 11 379 4446 2 87 1458 1 17304 517 6 2570 6039 1 160 7341 3 5453 201 13 16933 7333 1 2733 4876 1 11622 6442 1 20129 201 1 3886 7881 1 11693 7127 5 15654 2484 1 5594 1755 1 4089 2094 2 86 3960 1 10783 1610 2 16806 2247 1 140 6474 1 18323 700 1 15995 23 4 14764 3097 1 18014 2003 1 174 224 4 12988 1283 1 7498 274 1 9279 1762 1 1895 1762 2 143 4619 1 19053 925 1 9622 7534 1 7070 4451 1 16087 6537 1 13167 132 3 10549 7821 6 1801 2118 3 13082 616 1 14758 393 1 3841 1239 1 5031 2588 2 17486 7809 1 5801 215 1 15144 232 11 10056 561 4 3511 325 1 743 207 1 10874 2881 1 18191 3591 1 1022 1396 1 12445 23 1 11100 219 38 5606 5013 2 3118 1466 1 11461 1738 1 7879 220 1 4773 451 1 9090 2795 2 3633 7305 1 80 3627 1 17 1213 1 2127 3798 1 11799 3203 5 10000 4712 1 12047 1762 10 8785 5740 2 1950 2534 1 10375 3582 2 17653 1819 1 14089 5021 4 2361 1736 1 9279 197 3 2223 1762 1 14656 1819 18 7321 2343 5 12728 223 1 2494 4060 1 13 769 1 7248 421 1 5472 1781 4 2818 6414 1 13170 7512 2 17965 200 9 14212 2737 3 6052 1374 1 12775 470 1 14191 3617 1 20194 336 8 15776 230 1 2798 5907 1 6926 2498 2 19878 4314 8 1504 6754 3 16190 3602 1 16720 1343 2 9543 4404 1 8321 7692 5 973 201 2 19570 4397 2 19148 6597 1 16560 229 2 19126 1119 5 17257 1695 1 8007 1722 2 13705 7815 1 1454 5897 3 10852 617 2 3512 3005 1 8907 1734 1 4410 545 3 1406 196 1 14784 523 1 14606 422 1 11854 5320 1 16491 5917 1 11707 5206 1 11276 7989 1 5543 1819 1 14427 944 1 13322 1453 1 10581 509 13 16270 812 1 6332 197 1 6269 4998 5 1330 2734 2 19505 1703 5 18845 523 1 8098 4391 3 869 7746 1 6090 935 1 1454 366 2 11616 4597 1 9160 3592 1 13950 4387 4 9779 2656 1 13320 1720 1 1551 5318 1 10119 1332 4 1045 1480 2 13387 2682 2 2474 545 1 3688 184 1 15769 336 4 16089 184 2 6405 6493 1 6111 2867 1 20106 2392 5 8736 186 2 17682 3596 1 108 4871 1 6326 534 1 1276 196 1 743 2992 6 9444 5398 1 2716 5018 2 3539 1728 1 3016 5005 6 988 7688 2 15471 726 1 13714 4305 1 16423 7257 1 3616 5036 4 529 1997 1 11738 6170 2 1631 5365 1 5954 520 1 4305 7979 2 16951 3741 1 16961 4446 1 10442 1182 6 655 3134 1 3651 3081 2 17382 1756 3 2738 13 1 7135 1243 1 10491 3021 1 5635 1738 1 4898 1751 1 5028 6549 4 16272 4987 3 9150 4460 4 6510 4595 2 4758 5306 3 388 6330 7 15495 5257 4 4396 4622 1 20244 962 1 19705 3898 6 15176 7751 3 6096 1027 5 6210 4067 4 1109 3113 2 19124 197 1 14578 4607 1 10492 7187 1 16199 1153 1 11086 1776 1 13082 660 1 4001 3570 1 29 1679 1 9097 4312 1 8946 148 1 13209 1816 1 16793 3227 1 9553 1717 3 593 1705 1 8846 1996 7 3825 1686 2 4784 496 1 8356 5413 1 14686 705 2 5176 303 2 13530 223 4 18806 942 1 13676 1938 2 14522 148 3 780 1829 5 3642 961 1 13916 4169 2 5320 1796 1 4452 8041 12 17120 1753 1 17328 6100 1 16566 853 2 11220 2361 8 15292 3909 8 17618 510 1 14037 640 1 19895 225 1 12982 1781 2 2459 3219 1 6570 48 3 17302 532 1 2922 2721 1 18574 6684 1 16120 3930 2 1294 3593 1 17049 3954 2 8391 879 1 9743 327 1 15360 6161 2 4667 7271 1 14665 545 12 17927 3419 2 10996 5051 2 11461 1730 1 12522 4231 1 16436 4116 1 14883 7624 2 3120 1363 1 11456 3176 1 7369 1819 1 6101 1474 5 13652 525 3 14940 2889 1 3489 3352 1 19193 6669 10 10765 6053 7 697 1788 1 604 3356 1 10202 8200 2 1973 7536 1 6801 5957 7 4880 2494 8 4902 2673 2 18716 6097 5 18760 6665 2 15686 4811 9 10528 5306 1 1171 536 1 15177 4773 1 6506 3989 3 10755 797 1 16740 1383 1 17489 4367 1 12273 945 1 18353 8057 1 17886 381 1 11847 2908 1 6984 1464 1 12679 1498 5 19995 177 1 2458 7986 1 17353 660 3 3397 5500 1 60 2746 1 8944 2332 2 15395 514 2 7474 782 2 20190 7229 1 19608 1564 1 13526 1714 1 5950 6252 1 18231 2645 5 2313 862 5 717 6150 1 4213 6039 1 19649 1464 2 14811 6080 1 19740 911 2 11945 7852 11 7440 184 1 13384 404 1 9713 1745 1 8549 1342 1 5149 6038 28 16511 1364 7 11722 792 3 1824 1324 2 18576 220 1 20104 411 11 1135 121 1 14818 2534 1 15102 1245 1 14567 1979 1 5131 8203 10 2464 3972 1 11235 2963 1 7359 207 16 16480 1778 1 12851 1380 1 9645 2708 1 6452 94 2 11145 2262 1 19252 3494 1 2995 270 1 4941 4779 4 13790 1740 1 2778 809 1 16021 1961 2 17035 214 1 9327 222 1 18797 1783 1 6630 1443 1 4524 2645 1 16644 7128 1 8043 864 8 12480 2504 1 3253 4379 5 996 5513 1 8255 2424 1 2488 201 1 682 1493 1 4147 1655 1 16185 2000 1 17328 6003 1 5863 2474 1 2744 1732 4 14305 3006 1 6916 6174 1 9117 5002 5 19236 1091 1 11456 716 4 1713 205 1 6328 1450 1 10450 2953 1 16036 3072 4 16564 203 1 5884 236 1 7068 200 1 13893 6657 1 16231 891 13 5626 1825 5 16916 637 1 19826 4245 2 8528 1748 2 16501 868 1 2962 653 1 6630 1440 1 1844 6064 1 20017 2503 1 11976 1752 7 14221 2089 1 10461 5305 1 812 7973 10 6404 201 1 4717 1482 1 8950 4947 2 14179 330 1 14599 819 1 124 1369 1 14412 883 1 15065 1440 5 7994 3530 1 5122 6659 1 6611 3316 1 11133 6713 1 11786 6511 3 10110 251 1 7208 5986 1 1171 3511 5 15897 1903 6 143 1950 1 17587 3647 7 16021 1917 1 6055 1747 2 14883 292 1 16071 2678 1 153 6938 1 8242 6435 9 20256 3775 1 8989 5281 2 8587 3748 2 18672 7529 1 16969 2727 1 12903 220 1 494 3161 2 14301 2889 5 17400 5810 2 16626 359 1 7432 220 11 12249 5098 10 3450 4435 5 113 5030 2 10225 1296 1 12173 1657 1 6459 2254 5 7065 4489 1 14865 2995 1 15314 7626 2 4851 303 1 2973 23 2 7312 7262 3 14202 5018 8 8001 3332 1 17843 4343 1 9632 3892 8 13329 3679 1 13647 2362 5 19504 1658 10 13559 6250 1 6975 5607 6 15642 5319 4 7451 1830 21 10590 3417 1 7914 2076 3 19877 38 7 6811 201 3 11122 589 5 13084 200 1 18428 796 1 135 1501 4 2441 7433 2 19536 1369 4 6691 23 5 5953 7395 2 20049 5011 1 8066 1717 1 4849 1731 4 9061 5332 1 15283 5018 4 20220 1464 2 17172 156 1 16645 3109 1 3180 2675 13 6932 7250 1 15896 1561 6 12254 5439 1 15532 2056 1 130 5918 2 11944 907 4 10302 6897 4 3536 407 4 13520 5536 1 14038 74 3 15100 820 2 10832 3600 1 8810 1664 1 5609 3132 1 13922 1783 1 10234 1253 5 10111 1134 1 5364 2103 2 108 905 2 17809 2316 2 13293 2871 1 130 5843 1 12658 207 42 14091 7316 1 7706 5436 1 4005 173 4 2428 5437 1 16645 3511 1 13816 869 1 3134 6994 1 18855 7235 1 17156 4531 1 20077 3071 4 2135 5437 1 15429 6053 10 572 4509 2 4086 270 1 19584 3576 1 6710 215 6 1509 3991 5 1883 719 1 3549 2357 1 1677 6256 1 10812 2080 1 6690 4489 1 452 3278 1 7449 214 1 5020 23 1 8878 1779 1 15218 3536 1 10 254 3 19737 519 1 18334 6566 29 4873 95 21 3310 2494 3 14155 1374 2 17600 46 1 4423 173 5 3755 191 1 991 6588 1 10429 4304 1 8826 8026 1 17799 172 6 4756 3167 1 16010 6912 2 16914 573 1 5656 3333 8 2302 7988 3 9178 2735 3 16690 1094 1 12060 1582 1 7778 6677 1 18534 7634 1 3939 275 1 6107 3686 3 14721 2938 1 4399 1736 3 1106 6517 1 3653 2127 11 17954 372 1 15885 5925 3 2116 7229 1 10916 8034 1 10883 867 1 2750 2662 1 15683 1298 1 9357 5586 2 5794 6363 1 5005 1247 1 3506 5730 3 6733 421 3 8644 7075 1 15329 594 1 10165 916 1 9122 4967 4 3871 223 10 5244 4561 1 13928 6252 1 9674 2104 1 16965 4622 11 17957 696 2 3021 1646 1 5677 892 1 9715 1781 1 7661 4031 4 16625 1726 6 5050 8017 15 14911 2584 1 4449 5855 1 2013 4415 1 6198 4868 1 4428 2579 1 16027 437 1 2629 1363 4 6793 1954 2 14466 190 1 18232 1150 8 6769 7052 1 11766 6046 1 18692 6058 6 19409 5480 1 2473 493 1 4057 3970 1 7500 964 1 11365 5439 2 8129 6983 1 294 1239 3 3338 233 2 6198 7210 1 9025 1707 1 6119 6132 1 11601 10 3 6801 327 1 4652 23 3 14617 1235 1 16151 3713 1 6463 475 2 20123 4446 1 157 7201 1 17553 164 5 8606 6756 1 11562 87 2 6012 2349 1 7463 367 3 10103 1301 1 5478 509 4 9374 496 1 17833 1747 2 7252 457 1 5692 8203 4 5025 1363 1 4688 5740 1 6896 1081 1 9602 225 2 16197 8012 4 10095 2798 1 19358 214 6 13163 2356 1 14028 4008 1 20009 498 3 9574 2383 1 5391 891 4 17075 2512 1 3414 196 2 10864 5018 2 12065 3206 3 5137 6640 3 6556 3540 1 17548 1238 1 7498 2989 6 181 8213 1 18071 201 3 186 7769 1 873 1469 4 124 5397 2 3521 2718 1 1408 1792 1 2377 5715 1 16109 3113 4 14233 4320 1 7622 1798 1 11614 8117 1 19283 1286 1 1575 6692 2 7899 5309 1 16389 225 2 14227 7592 1 14684 933 1 9415 74 2 931 2307 2 2121 3512 1 4663 300 1 10881 3448 15 338 7554 1 8865 525 3 8656 8020 1 10353 4120 1 18101 5119 7 3309 3027 1 1129 3049 5 12057 207 13 12789 2507 1 16044 81 2 1262 1825 1 10078 4411 1 11773 339 1 7841 5208 5 16921 520 3 2917 5905 2 2137 2734 1 12543 1776 3 2221 2316 5 11870 108 1 8198 876 5 4448 4309 1 260 3333 1 14853 1395 2 6265 1929 2 14336 3298 2 655 3097 1 5672 1591 1 11204 1819 3 18746 4069 1 17223 2790 1 18508 4263 1 2071 2515 1 14985 1482 1 10686 3293 1 13205 2844 12 11384 4996 1 12344 252 1 5476 939 1 7937 1825 1 10404 698 3 1311 6990 2 8438 6345 1 11935 1251 7 12819 225 1 11933 5058 2 17219 5321 3 19233 6257 2 10673 222 1 7599 1380 1 4368 863 1 9432 2488 1 9445 7477 4 9834 3495 2 5410 184 1 3397 640 1 19460 184 1 19034 5435 1 8369 1241 1 2743 164 2 11058 2357 5 16417 3721 2 1209 684 4 14946 5351 2 2152 6714 1 156 7150 1 7652 2534 1 7507 1775 1 9438 232 2 18413 2777 1 5661 3920 18 13590 4206 1 15263 220 1 5204 652 1 14724 385 1 18243 5173 9 6858 1126 1 14004 1453 1 5758 2528 1 16743 34 4 17917 4945 1 4859 3556 1 4025 11 4 20036 5285 1 3343 252 1 1337 2639 3 6452 1788 1 2464 3591 1 7502 1105 4 11082 7491 1 7502 6031 1 15479 7561 10 7162 4996 2 1045 1342 1 13691 6342 1 2576 4972 2 2955 6029 1 11622 8013 1 7853 1319 2 7745 7231 1 6750 6152 1 6848 504 1 8074 520 1 14773 880 1 11932 2662 2 11859 2760 1 11042 4623 5 1533 2376 1 127 5746 1 108 4891 2 9093 201 1 10798 5267 1 787 2993 1 5734 7848 5 3225 5288 1 8237 1721 12 7188 6064 2 14286 3705 1 2380 2727 1 8206 4688 1 7444 4103 1 164 7426 1 4848 5018 1 2330 545 2 4246 2352 7 13670 5715 1 6683 7342 2 4068 1695 1 8093 4761 1 17952 3684 1 10856 4427 1 6789 1990 1 59 907 1 7337 2378 1 18000 1243 2 11848 470 5 7432 507 4 14517 2383 1 17850 498 1 18329 891 1 9715 5306 1 11122 4307 8 5653 6342 26 19978 5266 49 6085 3338 1 10720 1685 7 17428 4249 1 5617 366 1 8438 4498 1 17321 1304 2 19967 2295 3 10385 1955 1 6976 274 1 9628 692 1 11208 3836 2 8100 23 3 13323 1121 1 14394 809 1 14289 166 1 6781 188 4 2511 1567 2 4433 452 1 9324 6799 1 14753 5255 3 18040 8036 8 7656 4284 3 18183 1819 9 7776 2534 1 9790 567 1 7186 1535 1 7455 2015 1 18281 562 1 19991 2352 1 20 1372 1 11826 482 1 9787 3591 4 4880 6826 5 18939 3525 1 19112 1248 1 9916 2989 13 2427 1342 1 2905 1290 1 11454 606 1 6484 4703 1 3801 393 1 12592 6677 1 14986 3571 1 17783 36 1 4486 647 10 8907 1334 1 4092 1777 1 6332 694 2 19326 508 1 108 845 2 7074 1696 2 15966 3113 1 2194 378 5 5700 1470 3 4304 128 1 19997 3531 1 16891 1691 2 174 8123 1 4735 867 3 100 4584 2 5469 210 1 10211 3790 1 20275 3278 1 236 6755 3 2616 893 1 16984 838 1 20262 1453 2 5248 3509 1 9279 1736 1 7575 1743 1 6183 1758 4 9155 2290 1 11798 508 1 3355 4992 1 6088 225 8 14733 2647 1 20089 5400 1 16019 5855 1 15864 1453 1 9935 2849 1 6357 3748 1 16669 2584 2 19309 6123 1 12704 5559 7 7147 2442 1 5981 3971 1 5638 3072 1 18466 5570 1 812 1146 3 2744 1691 1 8190 1081 1 6418 3817 1 596 5945 1 8839 7279 2 2685 34 15 445 5018 1 12149 6707 4 12275 6576 1 4507 5441 1 5185 361 2 8836 5730 2 602 505 1 17762 995 2 13078 23 33 11617 1844 3 14369 8034 2 5281 3922 1 13821 7216 1 6801 5969 11 13916 4126 2 9209 1893 1 6166 5018 1 743 219 1 4510 1220 1 9227 3906 2 17534 6428 11 7702 700 1 7533 4566 1 15144 2853 1 16881 1246 1 13512 2355 5 17228 7689 2 13970 1060 1 7818 3445 4 12335 4996 2 10817 8139 2 4670 4622 1 19155 635 1 44 2304 3 10000 477 2 17284 7231 1 3316 5051 1 5821 712 1 12551 197 1 1 68 1 17834 3485 1 2966 443 4 5769 5253 3 18014 1704 1 651 5758 10 11883 6757 9 1820 411 3 8448 3364 2 13986 214 5 9736 1734 28 8840 5561 1 4401 100 1 10037 5573 1 11363 2555 1 17670 1328 1 2704 4702 1 13205 5538 1 5296 6761 1 17009 2727 1 834 1475 4 18033 1379 1 8075 7980 1 1443 225 1 4113 1745 1 1058 4280 1 13461 864 4 13740 5428 2 18132 3389 7 19026 2831 1 2740 7470 1 20148 2089 1 1230 2675 2 1024 5368 5 10544 2958 1 6032 2027 1 17335 2478 1 6513 6122 1 18986 1146 1 13187 6072 1 4831 2981 3 906 1686 1 11354 221 2 10808 197 4 1718 506 1 16249 1342 1 8129 722 1 10114 6196 1 11906 201 4 6090 554 1 8761 849 1 4158 3235 1 13323 718 1 8493 7719 1 6154 514 1 5251 800 1 7769 624 1 476 7815 1 83 3410 1 4667 4836 1 11959 3571 1 1719 229 1 11786 3693 3 7045 223 1 8118 3097 1 1855 1724 24 4673 1663 1 739 1464 1 527 638 1 19776 770 1 9822 2216 2 16033 7701 10 8972 763 1 2987 867 3 18628 8159 3 6611 5551 2 8443 5882 1 3048 5325 2 16901 203 4 4176 3065 1 11386 707 1 4950 411 2 11072 1728 1 15992 1781 16 3765 3911 2 8831 844 1 10856 637 2 10156 6517 1 5264 1764 7 11935 1184 3 12304 3787 1 2174 35 11 9562 7815 1 7251 1739 10 18421 4435 1 19648 6630 2 10384 5922 4 12668 6192 5 9985 2324 1 4467 498 1 11334 1819 1 19314 1713 1 111 5008 4 2629 864 1 7267 2895 1 4022 5788 1 8761 237 1 13743 700 2 10452 148 1 6449 6500 8 8155 214 4 17505 704 2 4449 1747 1 17809 184 4 9106 1991 1 4995 335 1 15180 5758 3 284 3707 18 6890 467 1 8832 479 1 19779 600 1 9143 6979 1 12227 5324 1 5954 225 1 3015 467 1 174 3358 1 3008 1350 5 19833 4404 1 15948 173 2 4051 4938 1 19275 1404 1 15518 6649 1 6308 244 1 4371 407 1 12075 2882 1 8757 3617 1 19828 4435 2 12207 1703 2 1702 3012 4 18099 7450 4 11625 4578 1 9395 3024 1 18508 7602 1 1234 214 1 495 5105 17 13705 7259 2 19000 2595 1 9879 1250 1 15075 1307 2 9628 629 1 3505 7524 2 13 551 2 2514 5324 7 16537 504 1 13813 1665 1 14666 1298 1 12988 1379 2 6081 3230 13 143 2541 1 8083 659 10 6420 377 1 11709 508 3 9998 995 1 8237 809 2 3082 232 1 15712 173 9 18423 2132 1 6394 1324 2 19539 2675 1 3974 4060 3 3397 3954 1 16970 3882 4 19843 1707 10 2003 237 2 11165 4006 1 8624 2138 5 1453 348 1 13117 3753 1 12249 3992 5 1504 982 4 13495 5550 1 11212 2721 2 9054 575 6 9682 2138 3 17455 5873 1 14147 1770 1 13328 5386 1 9279 220 1 13550 3464 1 19559 6914 1 5199 5289 1 5143 1252 2 18799 3459 4 3802 429 1 8987 5187 1 19880 1242 4 17662 2363 2 7120 6835 1 7599 1757 2 15479 4391 3 19626 201 6 6158 1734 2 6723 222 1 17372 474 1 1777 364 1 10554 5863 1 16547 221 1 7181 1729 4 10382 498 1 6772 525 2 19540 5224 1 19602 4245 2 12187 467 8 16751 1548 1 8939 490 1 2498 6204 1 812 4618 1 11388 221 5 5719 1719 1 11220 1748 1 7061 3268 1 12670 5036 2 6103 1686 2 2387 1717 2 12464 3979 2 6323 2208 2 1289 783 2 12817 1755 1 5738 6451 1 10691 2352 5 5837 489 1 18193 541 1 10703 8146 2 3358 3699 1 14957 1762 1 19176 853 1 17179 221 1 15955 7270 2 12987 2120 18 1711 4718 1 4498 1251 1 14176 6091 15 8621 757 1 2886 4572 1 9063 502 1 8919 4600 5 3966 4142 1 3329 8093 2 19595 690 1 8811 4490 2 7372 2262 6 13167 1296 1 171 7666 1 17809 235 5 7922 3013 1 10730 3602 9 9612 518 2 8255 1417 1 2985 768 1 6414 1898 8 5264 1908 6 14663 2344 1 7498 2068 1 19022 3086 7 14906 891 1 10114 7282 1 1927 7395 1 130 5983 1 1135 105 3 10457 252 1 340 2795 2 268 184 1 15677 1531 1 16233 7030 1 8298 3817 1 16227 2352 4 20090 7674 1 2078 735 1 19602 4587 1 17889 3685 21 16176 3202 2 14566 8117 2 14631 5951 2 16500 206 1 568 2978 1 5025 3058 1 11384 4967 1 18925 3304 2 4305 953 1 4678 1696 3 16279 4618 2 19810 4006 1 8244 3232 2 3337 3334 16 12688 409 1 2028 1755 1 14475 3980 13 2663 207 32 4147 6687 3 18386 659 1 10830 2671 7 4815 1775 3 5225 4695 10 3606 196 3 18704 6772 1 16700 698 1 17588 7997 2 4276 1356 1 9551 4534 1 12821 5398 2 6107 1762 7 6840 674 1 12918 853 4 14307 4676 1 1706 1282 2 6063 4992 1 1638 3911 2 1786 1734 2 19981 1814 1 4132 4903 1 2071 404 2 17752 6374 1 18204 8190 1 5253 5517 1 2789 514 2 11210 1485 5 18705 1731 1 4670 539 1 2819 214 3 14313 3997 1 6394 1212 1 8439 292 1 14060 206 8 17238 863 2 14416 843 1 13922 1253 1 11472 4245 2 10325 3743 1 15466 2063 1 17248 3275 1 7480 5252 1 3489 225 3 18507 4815 1 15471 3573 3 20173 1788 2 19333 3799 4 7451 200 24 9864 7027 1 16098 690 1 10265 5568 4 9429 3511 1 14522 1990 1 4667 1656 1 6487 460 1 8174 4969 3 13574 859 1 1145 3305 2 1438 1745 4 15975 215 1 6595 545 2 4176 1280 4 18608 10 2 8614 5458 1 10078 1985 2 4696 911 1 6522 589 2 17869 222 1 2215 7399 10 19562 2885 11 17609 510 7 3673 7803 2 18381 5730 1 1009 596 1 1585 411 1 16806 23 3 9014 7704 1 4092 5418 2 2502 1019 1 20009 5492 1 18798 4992 4 106 4749 7 3462 3260 1 314 4403 1 17357 467 1 3705 525 1 334 1074 1 5903 5559 2 601 1726 2 3894 3293 1 11692 6602 5 5918 214 2 13438 3503 1 16089 1779 1 16768 1342 3 4898 1772 1 7750 1726 1 1749 1769 1 12943 1956 2 11131 3762 1 10479 186 1 10553 6609 1 4687 6714 1 17542 6897 8 8969 533 1 11377 2762 13 5169 1825 2 9810 452 2 6889 4959 3 5100 1319 1 4377 2626 6 12380 3462 1 20090 1093 1 5688 6058 1 19352 863 1 19380 5324 1 20111 521 1 15220 1454 1 9289 1242 1 6577 2352 1 1507 1665 1 9656 2493 1 17954 230 1 9250 557 2 12740 7948 8 17120 1277 1 10692 566 1 11135 4204 5 13 815 11 17414 3491 2 16094 3540 1 6063 516 1 3150 200 5 6352 4103 1 1618 3188 1 1387 7730 1 3668 8022 5 13711 2350 4 373 779 1 10996 1150 1 314 6105 1 1874 1782 83 7000 1669 3 10930 8178 2 8815 498 1 16562 864 3 15014 200 1 1072 223 1 17505 6903 2 1620 515 1 11610 470 1 7325 4600 2 7184 1234 2 10730 34 6 16100 501 1 18548 3050 1 7527 210 1 14798 7880 7 2204 581 1 7652 1082 1 15599 2686 2 3134 1427 1 10575 736 1 17555 5817 8 5993 3071 2 1530 5496 1 5823 498 3 17127 6084 1 17787 3476 1 18040 2442 1 19776 3356 1 171 7816 2 12128 5887 1 4486 244 5 11926 2671 3 7535 223 6 268 5408 1 14048 1235 1 6315 411 5 12136 1825 2 4161 2254 5 12817 206 1 3156 4976 1 415 1105 3 5962 2056 1 2886 3025 1 19026 229 1 6535 7136 1 18149 229 2 19459 6758 1 11938 3117 1 8107 2056 1 18211 2808 3 1194 625 1 13363 4758 1 18978 220 7 1208 8117 1 2742 514 14 11210 1686 35 16886 5254 1 11345 1172 1 18251 849 1 11545 3266 2 15546 1739 1 13640 2360 17 16845 7570 1 9374 863 1 7389 2611 1 7994 647 1 3608 6706 2 17019 2013 4 14209 1750 1 4779 1745 5 13593 5505 5 4165 4307 3 3899 201 3 9593 7332 1 14187 229 14 1389 4252 5 11111 219 1 13891 6544 1 14900 910 2 11461 1244 2 18951 4563 2 16992 2668 1 6008 119 1 16805 4041 5 11611 1342 1 12615 203 19 135 6231 2 19853 6702 12 11020 4516 12 950 1395 1 13425 1101 3 13 682 3 7065 4595 1 130 5911 1 19565 561 1 19727 1249 1 5112 867 64 5626 4386 1 16742 910 2 15368 4551 2 1389 4206 1 15388 3634 12 7582 3138 1 19828 5022 9 1973 7542 1 11998 1757 2 16817 861 2 1706 1248 1 14010 1700 1 108 644 1 7040 1825 16 1212 5674 1 2390 566 4 18814 3275 1 7597 743 1 13106 5016 1 3806 1727 8 1200 7474 5 7928 1783 6 10471 4108 5 13865 3888 3 11618 2025 1 4932 910 2 15211 3799 2 7613 3625 1 13589 1788 1 5613 6083 8 10188 200 24 134 200 22 13852 1990 4 5292 4620 1 18815 222 7 3945 5072 3 3185 670 2 19862 514 1 113 5076 2 10019 5789 21 6130 751 1 14092 7542 1 8387 929 1 14618 1656 1 65 3111 3 15552 3390 3 15312 6486 1 7252 2004 1 3826 561 1 10989 2343 1 7347 304 1 130 654 1 5216 3467 1 12392 221 3 12700 1637 1 3324 541 2 18263 5394 1 6397 3596 1 8935 809 4 17992 1383 1 580 3477 7 15605 3073 15 17809 1251 3 12563 7596 1 4028 2348 1 17518 1819 1 18304 4262 1 15634 7439 3 14635 2262 1 11977 4728 4 19528 3433 4 9070 125 5 16996 2489 1 19983 8071 1 10396 6563 1 1170 3511 1 19348 541 2 3434 2019 2 1665 6946 11 13447 1731 2 10976 7249 1 7088 6418 6 18138 7958 16 18926 1206 1 105 4686 1 17832 6280 1 19878 8096 5 499 3511 13 1708 197 10 9508 597 1 13000 342 5 12807 1727 5 13225 2256 2 20173 1714 1 8969 7850 1 15398 605 1 5017 5379 5 6203 525 1 16773 2061 2 14777 502 1 12112 605 1 15186 1738 4 2279 2885 5 4749 5077 1 4430 224 6 16435 1825 1 4092 700 1 9308 223 17 18886 6661 2 4189 3502 1 15683 3211 6 12262 4992 5 16539 1770 4 18804 3278 1 2560 1464 1 5185 1686 1 14800 5303 10 1 80 1 918 1729 28 5252 4367 1 9968 1372 1 2274 1357 4 10640 4998 1 1171 2727 3 12152 219 1 17053 758 2 19982 7806 25 15802 676 1 10015 1332 3 4428 5297 1 16346 2502 4 9264 5346 1 5498 3512 6 2483 1863 1 13198 3426 1 5993 498 2 5207 550 1 873 4041 1 14770 274 1 9495 1241 2 314 252 1 18004 2068 4 13071 2934 1 18756 1466 2 6032 6640 1 19211 3621 1 2327 498 3 4426 1253 3 15022 4501 13 3031 225 2 14561 728 1 279 1705 1 10149 219 1 18410 3971 1 6650 3516 1 42 2192 3 9522 5758 3 17277 2584 1 6867 1582 2 3759 1226 1 9374 545 1 5306 1211 2 939 903 1 12187 409 2 1738 2270 1 298 541 4 4708 191 1 6642 4386 5 14905 3924 77 9733 1235 10 10647 1877 28 1864 2737 2 4560 4976 3 2748 5445 1 5141 219 3 7303 840 1 11733 1153 4 5836 1717 1 1733 1251 1 4081 1776 2 2963 2362 2 74 3439 3 11430 46 2 100 4571 1 6670 2488 1 15272 1247 2 13414 3511 1 5596 206 5 18883 1612 2 12603 1146 2 9793 4397 5 5624 7616 1 5252 6259 2 8019 1719 2 19947 1676 1 4098 3569 1 6589 7624 1 18226 7021 4 16608 5018 2 11212 5018 2 14517 4346 1 11573 200 27 12818 3512 2 6319 5999 1 13076 372 2 17298 2727 1 18101 7543 1 4701 761 1 19336 3697 1 10429 2595 1 20235 23 6 6699 215 1 15128 1719 13 6556 3909 1 20092 1825 1 16111 2254 1 16319 1877 1 16092 1339 1 15429 1721 1 8531 3257 1 14061 4623 5 19384 4156 1 18689 233 1 13582 5758 1 9081 1274 1 13379 141 1 12760 7683 1 9645 644 2 6154 524 1 3582 4653 8 10573 6701 27 11622 3293 1 6644 5490 1 4778 5538 4 3496 1374 2 20170 2419 1 10584 303 1 1139 4036 1 4703 1950 1 1801 1273 1 17167 5672 3 20085 3101 1 5216 3400 1 17113 880 4 18757 7131 1 5539 3571 3 12970 3417 3 11789 3916 1 42 2215 1 15427 679 1 18961 6304 1 13618 196 1 18814 5420 1 4779 3684 1 5473 1444 1 5247 223 6 17448 6912 1 19233 220 2 6964 1775 6 18377 722 1 6026 1356 1 8896 1642 1 15833 849 1 17475 4174 7 11999 5135 1 18247 3685 3 4015 3731 2 18681 2737 1 3406 6624 2 14416 5493 2 10678 6142 1 218 4944 1 16958 4678 1 8665 1814 1 12864 10 1 12908 4373 1 3673 7775 6 15314 3333 1 3741 1103 1 10313 475 1 10163 222 17 20039 303 1 174 8094 2 17345 7753 6 1199 1893 1 18805 5082 1 18 1253 1 19720 2355 4 14466 188 2 877 7933 2 4693 1474 1 1129 1917 3 15211 2571 1 17550 7606 2 11600 200 7 17010 1748 5 201 5054 1 7184 4029 4 11451 447 1 10691 197 7 2964 367 1 13390 4528 1 7991 236 1 192 2151 1 376 221 16 16881 1717 15 15629 874 2 5443 8002 1 3256 5327 1 15850 489 5 2152 4357 1 83 1083 1 7563 1249 1 4716 910 2 4615 6486 1 9908 2508 1 16183 1464 18 18526 2353 2 13592 4293 1 1232 696 2 9388 2743 1 4128 23 1 733 2407 1 12772 200 4 4035 1788 1 2840 1732 1 15665 6743 1 18251 2056 3 2689 3032 1 10847 3050 1 3031 520 1 19552 7998 2 7823 6053 16 983 479 1 8175 8167 1 5479 4279 1 20145 2671 1 9050 6510 1 10116 1245 1 19504 1505 6 19806 4673 1 8278 4400 1 17493 13 1 101 4598 1 18196 4599 1 3100 3333 2 15599 6527 1 3536 6012 1 13332 745 1 18354 1629 1 20189 7629 1 3485 1380 1 16090 2748 1 3738 1236 1 18736 1251 1 1129 5425 1 3822 2849 1 8648 3077 1 696 3267 1 17549 2263 1 3458 7742 1 5738 648 5 12775 6533 1 1 46 6 11033 3457 2 17543 790 1 12267 2254 12 455 6611 1 17495 1717 2 9470 4992 1 143 6555 2 17423 1147 5 16327 2353 2 12337 3159 1 13058 5327 1 2881 2292 1 13408 958 1 280 395 2 15799 1685 1 5064 557 1 4965 1304 2 11176 1363 1 19201 349 1 16625 65 7 10502 2909 1 9055 4493 1 7191 190 2 8198 2497 1 2026 7986 1 5994 4258 4 19474 2305 1 7882 206 2 1907 1752 4 8580 23 1 1517 916 1 10692 818 1 18620 8099 1 9524 203 1 8886 1248 4 17736 963 1 1986 1245 1 10030 1903 3 3025 2341 1 8528 1719 1 14156 252 1 13677 206 1 121 3358 3 13476 367 1 13906 484 5 1660 2508 1 7656 6036 1 19872 1341 1 9894 6480 13 11591 841 1 5596 200 1 11656 4868 1 13212 2678 1 14939 1736 1 12668 4521 9 17954 1655 1 16595 1482 1 6699 196 1 15612 1595 2 13601 4026 1 13586 7237 1 17636 4970 1 7991 2636 1 5840 191 1 73 3401 1 862 1238 4 2389 3576 1 10704 495 2 13734 177 2 4613 1315 5 633 6168 1 18692 3899 1 15722 1740 1 2716 186 1 6394 5485 1 19188 247 3 12064 1758 1 17494 134 1 2574 6414 4 4748 3261 1 18610 3510 1 850 1721 14 6166 367 1 9689 629 1 17724 201 7 15091 208 6 676 1827 9 3663 438 1 7785 263 2 16529 776 1 5216 1700 3 17130 23 1 14686 2488 3 1156 8015 1 18793 1751 1 4251 1539 1 1907 4540 12 15826 505 5 4746 3741 1 16222 4653 1 9280 7477 1 17662 505 2 4716 1395 1 18413 3416 5 5344 110 2 8764 219 2 222 2955 1 1642 2969 4 759 4242 4 15106 4986 1 7575 1369 4 15668 4279 11 17629 200 4 13507 190 1 10966 3619 3 14509 4774 1 201 88 4 19957 4325 1 7991 931 1 17408 2662 2 10290 1710 1 67 3231 2 5972 2708 2 6355 141 1 3561 225 3 7080 1715 1 7557 336 3 17662 910 2 9891 206 7 6051 340 3 3822 545 1 18545 3666 1 7882 4825 1 15192 967 1 3738 1722 1 352 5550 1 15195 3518 1 13088 7846 3 5738 670 5 11687 6183 3 13893 7766 1 13567 7603 8 2917 221 1 18202 4951 1 5254 6435 1 17607 3366 3 5097 3525 3 6295 1827 3 15699 6107 4 8569 3685 2 10363 1249 1 12290 2727 5 18833 3540 10 18472 6252 5 12283 1235 1 9659 4274 3 3637 7871 1 10219 1587 2 16914 1779 2 3801 5294 1 5588 244 1 7977 207 1 20090 5905 1 13490 1076 2 6551 403 4 4305 6714 1 8097 1667 3 5528 5349 7 8530 1937 3 4092 2729 1 17486 3375 47 5806 5952 1 6989 640 2 113 4620 2 14884 1245 2 5495 6103 1 12614 2350 6 9322 6591 1 5954 4022 15 8077 3400 1 13623 201 1 18452 5909 1 18847 4283 1 18149 519 1 17599 3547 2 1973 5971 1 12152 3551 1 16709 2737 1 9043 2893 1 17473 4189 1 11964 1771 1 2284 438 1 18237 1241 1 1711 892 1 1617 519 1 5588 8159 1 1387 1443 11 9725 2515 1 14737 220 3 18080 962 2 19489 167 1 5903 2341 2 20007 7297 1 19680 5018 1 9097 2114 9 2318 4713 2 16994 4998 5 15955 1466 5 5006 175 1 873 687 2 6277 1748 1 4815 4780 1 10804 5249 3 17813 1649 2 9794 867 1 7496 1747 1 4694 1936 1 115 5181 2 259 206 11 17395 7351 2 10508 2276 1 1530 7229 1 17747 5468 1 16481 6131 1 19352 723 1 8210 1740 1 18284 4385 1 11136 3203 1 17675 883 9 15479 7572 10 9865 1728 8 2412 8139 4 1977 1775 1 2429 1752 5 13325 424 2 16291 1982 2 13683 891 1 2180 871 4 12283 225 4 18614 490 1 2818 5737 6 18186 7565 5 11192 2502 4 14330 7852 8 15544 5293 2 5590 3752 2 9319 7791 2 5006 891 1 6013 5104 2 8083 1725 1 13589 1681 21 16905 197 1 4662 4103 1 18890 1772 5 8798 1277 1 171 7257 1 13212 495 1 3849 7098 1 11326 2107 1 17382 2058 3 10393 4992 1 3673 2026 1 19807 3338 1 17872 1781 6 2952 2064 1 4729 4231 1 18344 225 2 5884 3164 1 5018 3338 1 6872 533 1 15177 5320 1 9031 3127 1 869 1356 2 19723 201 4 20029 3316 1 6514 3972 3 5606 2678 1 3085 2641 1 1807 3591 2 9684 4716 1 20076 2698 1 13657 507 1 19415 2290 11 143 5099 2 18922 34 1 11399 1707 3 10313 237 1 14958 304 1 19380 453 1 3938 1985 4 18307 3464 1 10507 1434 9 16500 5758 5 19742 5856 6 17335 5935 1 16175 1450 1 9541 6435 5 2225 3522 1 906 2443 1 6183 1825 2 3663 360 1 605 3556 1 16899 242 1 6327 4040 1 2785 252 1 9192 7586 2 13490 404 1 1141 3464 1 355 1085 3 3474 3103 1 8416 6053 1 15959 200 58 7400 1748 1 13183 3370 1 301 532 1 2546 6164 1 13601 5398 1 8356 532 1 1725 3138 3 18336 1883 1 12457 681 1 15834 4075 1 3375 1245 18 873 233 1 10907 197 1 11461 1761 3 15861 4996 1 9661 6754 1 17755 2424 1 12638 207 2 3281 3287 1 6048 470 36 31 1781 3 17682 4929 2 14527 1242 3 13671 1366 1 2131 6898 1 15884 594 5 2796 7689 4 1171 201 3 18284 1243 1 607 223 2 6774 6389 1 18260 6793 2 9639 845 4 6644 1421 2 6726 6596 28 8970 215 3 565 5466 1 11451 4451 1 3445 1730 8 10473 425 1 1422 8081 1 13320 2398 3 17719 506 3 19000 2005 1 9966 1772 2 13825 7255 3 13734 1582 1 13035 5343 2 13167 3326 1 2334 5750 1 15402 1788 2 2703 6228 2 17191 4012 1 11661 2525 1 17706 928 1 9020 5105 2 17416 5712 1 8082 4523 1 872 1705 2 2488 71 2 158 7222 2 18883 1707 1 17008 3600 1 8495 1635 2 7450 4930 5 2962 1944 1 10966 1757 2 12631 4221 9 12424 4312 5 56 1247 4 7010 1379 1 9847 4206 2 2962 3006 6 13838 2885 2 7440 4185 1 411 6744 3 10766 7259 3 17633 6154 1 1420 2443 1 13328 329 1 8928 1941 1 6327 1779 4 7012 6897 4 862 4501 2 9617 3411 1 11872 2832 1 1360 3562 1 9038 201 2 10786 1657 1 9778 626 1 12168 6237 5 46 3 1 2001 518 1 14145 7700 1 19871 2876 3 5117 785 1 14753 3810 7 1796 1833 1 2367 1251 1 850 244 1 20126 7859 1 445 1724 1 91 2508 1 18887 2620 1 8468 236 1 8729 8002 1 6464 498 2 6275 132 1 16016 5594 1 19489 2443 2 13705 5649 4 20145 1453 2 10147 6457 1 11638 8141 5 19430 4415 1 1185 1775 1 381 812 1 19567 417 1 684 184 4 10575 603 1 13176 4609 1 3602 4540 1 17836 7522 4 9445 1762 1 1311 3926 1 5378 1531 1 14800 5279 10 8003 3441 1 17217 1356 1 19552 3554 2 11651 4621 7 3008 370 2 12592 2058 2 11210 2552 3 6936 4435 1 4880 767 1 6519 8011 2 19537 219 19 19877 7229 6 1206 5193 2 10773 4433 2 12361 331 8 749 196 1 5831 3206 1 13195 6546 5 6595 1250 1 158 7220 1 6681 1108 1 16681 214 1 5264 6658 9 1660 1351 1 9249 6640 3 18375 2460 1 6907 1172 2 10954 508 1 6619 1342 2 10410 549 1 19504 5077 3 5653 4816 1 17774 5567 1 9042 232 2 6752 186 1 9591 304 1 11247 3621 1 15996 10 6 6085 7853 1 14516 265 1 808 4325 1 13881 5281 2 19702 1681 19 7806 1342 1 4898 7519 10 9891 1726 4 16408 4241 1 16812 670 1 13881 3351 1 7033 4142 1 12568 6713 1 31 510 3 6160 3464 1 15481 3331 1 16731 3899 32 4551 1721 2 3509 1722 13 9572 2938 2 9884 3512 6 130 5898 1 4210 5051 9 6021 5255 1 19799 2675 3 16704 1241 12 10452 818 2 20085 219 1 3501 1202 13 2439 1687 1 3950 1776 1 11571 512 1 8947 1342 1 7193 4998 23 13655 1251 2 7528 1003 1 14772 2419 1 12459 5408 1 6485 724 1 8553 335 1 18261 7229 1 16844 1251 13 17335 3587 1 12826 3058 2 11158 367 1 3704 2881 5 8329 1357 1 15031 6288 1 10575 874 1 13909 5405 1 20218 631 1 5636 46 1 12964 4251 1 9224 1322 1 19268 1756 8 19776 3693 1 6942 1743 1 9202 7726 4 16904 1037 1 12868 1007 2 16346 477 4 5840 792 1 11035 3942 4 4232 2580 2 1355 1758 1 83 3816 1 8650 6711 18 26 1531 1 717 4436 1 15054 4392 1 2048 1247 19 15530 6052 1 15727 1164 1 17767 7672 2 16574 2721 1 14338 7591 1 19543 411 1 12633 3511 1 742 2522 1 7021 4365 3 9556 498 2 8763 4382 1 14505 4623 1 15595 1302 2 2313 6066 3 6605 2392 2 126 5694 1 13147 2355 1 8528 1770 7 2917 7905 1 4362 4367 1 2979 3266 1 9156 23 1 3258 498 1 14011 232 2 20220 638 2 14790 1816 10 17664 3233 1 845 5385 1 17924 995 1 11554 1729 1 1344 1748 1 16827 6597 1 8198 1689 1 14301 1615 1 12959 232 9 580 201 2 10840 2645 3 13234 1781 1 11182 4199 1 8370 5322 1 5314 4062 5 19156 47 5 3936 809 4 12589 235 2 13012 244 1 18524 4606 1 2791 3062 2 3698 6526 2 12422 2517 1 10371 1146 5 17260 1253 1 18498 4267 1 873 3997 1 11772 609 9 8138 5352 3 9935 6488 1 19664 200 1 11154 1727 4 19649 508 2 5899 233 1 5354 2260 1 185 6713 1 1062 3621 1 11685 7244 2 4841 1768 1 6085 4936 1 15261 5348 2 11461 498 1 3815 895 2 17867 1378 3 4640 207 9 17436 598 2 4428 6778 1 20157 336 1 8323 4248 2 2064 8184 1 15991 215 9 8925 7117 3 13697 1778 1 17121 506 1 2803 2493 4 4234 1996 1 15511 1356 5 10449 229 1 17695 436 1 2056 1770 3 15296 7467 1 18815 347 1 13254 894 1 12314 7218 2 4060 8034 1 1176 4328 1 10169 689 1 2774 188 4 19205 3128 1 12897 4540 1 13820 7816 2 12501 1897 1 12323 7668 1 2250 5738 5 16417 6159 7 13821 2248 5 11156 6122 6 15726 23 13 14798 310 1 8147 6204 10 8450 5420 1 1864 5276 1 5621 514 18 15180 4245 2 87 397 1 8384 23 2 5185 6482 4 8159 2893 1 17436 936 3 13589 1509 2 1973 7533 2 19872 694 1 18276 3547 2 13126 838 1 13567 7958 5 13188 7591 1 19159 1499 3 14643 3519 1 11786 2909 1 8926 6113 2 14836 367 1 12357 234 1 19090 1209 1 8425 2354 6 1465 3138 1 11763 6380 1 17206 3400 1 5821 1132 9 4092 1721 5 17932 178 4 18639 7878 1 13337 4716 1 12022 6845 1 4256 232 1 389 7875 1 2886 5863 1 13543 5313 1 11521 5257 1 14923 3661 1 11696 219 2 8143 8071 1 15827 5704 1 10194 922 1 15886 379 1 18675 1755 3 17405 5420 1 13373 2721 1 18634 873 1 9543 2517 1 10856 2409 1 527 765 1 6676 1182 1 575 1714 1 3765 2875 1 1889 215 1 2719 5434 1 15396 196 1 17548 767 1 759 338 1 19216 3679 3 17382 2131 2 6089 5018 1 17198 3945 2 19621 3584 1 20029 6682 2 6554 1887 1 18698 2355 2 10601 6682 1 9662 1121 1 15863 864 1 11189 2555 2 20236 8167 1 2943 5538 4 20030 177 1 18730 4029 1 220 4653 1 1139 379 1 3000 5874 5 5645 1251 1 2588 1686 6 16815 3873 4 2717 3697 1 590 4065 6 3048 4047 1 6853 363 1 8205 1727 1 1427 6179 1 5701 1342 1 3782 5574 5 1221 3367 4 12858 1342 2 1416 4227 10 19195 6721 5 14931 215 1 2951 532 1 8097 5002 3 5506 2881 1 7241 1342 1 2726 1369 3 5624 2102 3 3606 1334 2 1092 1150 1 3494 206 1 17087 1831 1 18734 6288 1 10522 3840 1 16742 631 4 7815 1361 2 19995 715 1 10591 7750 2 3069 2266 22 20032 5546 3 8528 1247 1 8369 5938 6 6307 82 1 10306 2675 5 14692 235 1 6922 805 18 19336 2691 4 8914 6567 1 121 3380 1 1511 335 3 19037 226 6 12328 4902 1 7527 7409 5 18366 1357 4 8890 74 1 7360 3138 2 19411 5996 6 7892 7853 4 2127 502 2 16921 5553 1 4371 7809 1 16116 203 2 484 3769 1 11372 449 1 14884 7250 3 11933 6599 1 19872 4402 1 1319 931 1 4072 1146 1 12299 910 1 8965 336 2 19316 1319 1 14758 6083 1 15261 4963 1 20076 1363 2 13829 508 6 17886 1696 1 5477 6460 3 11597 1054 1 9160 1246 4 15323 232 1 10706 3442 4 14865 47 1 10592 3114 1 17036 839 1 4306 10 3 8191 3980 17 10645 519 1 13131 912 1 19129 7083 1 7049 1247 2 16831 1235 1 2353 547 1 11061 3216 3 4170 502 1 15031 545 16 11703 1990 3 19552 6457 1 20 1316 1 6533 1052 1 15192 799 1 7424 1769 3 6402 1862 2 4960 1775 2 10166 8089 1 15648 7912 1 505 3076 1 8440 7229 3 6414 3258 1 2629 2964 2 572 3807 1 14139 7231 1 10386 7461 1 13238 200 13 10436 1249 1 5941 5293 3 10688 759 2 17924 6103 1 9572 2953 1 19929 1345 5 7672 84 1 1221 2675 1 13806 835 1 19879 4366 2 14196 2442 4 10414 6064 9 14042 3212 1 3848 5997 2 16227 1734 3 15343 5347 1 6374 187 1 18754 571 2 16792 864 1 13671 34 1 11631 4394 1 4366 6690 7 3536 6080 3 15005 1238 1 3554 1112 1 5531 3906 10 5757 167 19 4763 1535 16 4072 451 2 15812 5674 2 6649 233 1 8429 1752 34 4984 3920 3 564 2072 25 6552 496 1 1237 3058 1 18548 258 1 10000 2519 1 7823 7948 1 11217 2376 1 2470 225 2 2886 735 1 17519 7900 3 7745 2343 7 13031 8099 2 13345 8171 2 5495 386 5 17533 1819 1 11428 5517 1 4447 536 3 3549 184 2 3718 1755 1 334 339 20 18887 1825 8 15932 6091 1 11628 1990 1 16590 4572 3 6049 314 1 15759 5258 4 4469 1819 15 11196 223 18 1334 164 5 11650 10 6 19931 2256 1 18508 4518 2 8492 541 1 6772 2737 1 1013 2702 1 17203 2846 1 18610 5693 1 3734 6517 1 5633 5995 1 8594 5418 1 17656 5971 6 9883 7670 4 13129 510 1 1326 201 1 6795 3512 2 12913 2034 1 10602 5052 1 19605 215 1 19316 2100 1 9284 441 2 7714 1881 9 2674 4464 1 15608 2172 1 17841 536 1 7179 767 1 50 2502 1 5326 15 1 15058 2261 4 869 543 1 5819 2651 1 2153 6102 16 14284 230 2 16587 2239 1 4922 201 1 3548 568 1 13711 2931 1 8705 2354 2 11400 2027 2 15544 8224 2 4304 1548 1 8732 8141 1 17208 6972 3 12378 1173 1 3085 6091 1 18626 5532 7 16638 3069 1 13845 7143 2 8250 5352 2 624 5094 2 6769 3708 1 5798 7820 1 13539 1298 1 9990 3054 1 12118 1719 5 2350 1103 1 9554 7853 4 14906 4435 15 3085 823 1 11417 679 1 12389 1814 12 17023 1583 2 3644 5157 1 3485 496 2 139 6231 1 5379 7701 1 4883 1987 2 6833 206 3 12988 6687 1 3277 501 2 7480 4498 1 4527 1784 2 19685 883 1 16008 1703 2 4131 2743 19 9276 6334 1 15509 214 4 18421 1237 4 17464 1753 10 3973 274 1 5176 1722 1 20090 4258 1 17387 215 6 15269 5388 3 15508 4609 1 6164 5451 2 18207 5319 5 935 545 9 4094 1738 7 2905 863 1 1331 6380 1 1711 670 2 12631 214 1 14326 3333 1 168 7579 1 13015 2107 1 14692 186 4 19683 891 1 16296 1960 16 5454 1995 1 19826 609 2 476 1723 4 12550 519 12 13633 3132 1 14872 6084 1 11784 1751 1 18675 1801 1 17903 1706 3 13535 5105 1 7970 2056 2 4060 1611 1 11935 201 4 1230 3338 2 14350 1442 1 1465 2388 1 13134 1447 2 15522 3798 1 567 957 1 9374 222 5 14429 308 2 4941 1328 2 7238 5113 2 4616 2799 1 12141 3163 6 15329 941 1 3134 6980 1 1210 4508 1 15783 3449 2 1465 5852 1 12244 7731 1 9547 1259 1 4439 921 2 12175 5531 2 15807 3477 2 4498 3518 1 6503 4206 2 124 793 1 3822 474 1 5794 5130 1 10208 1220 5 1043 4987 2 7728 1769 1 12394 3333 20 17736 6585 1 10015 5420 1 14928 4992 3 8475 2760 1 2148 2360 1 2829 6434 1 843 2613 1 2935 1768 4 3233 501 9 17317 2885 1 2907 5136 14 1234 6097 1 6741 23 2 121 5326 5 4536 5451 1 8179 4838 1 6332 5499 1 12242 6638 1 6256 7890 3 7956 1658 1 8072 23 1 83 3813 9 12909 537 1 8591 526 1 4279 3741 1 10182 1418 1 19306 187 2 1348 234 1 290 4723 18 10617 6681 2 2519 4351 1 13750 5351 1 16109 519 3 14985 1236 1 13615 429 1 17323 1932 2 7325 89 1 6118 7511 1 13646 6497 1 17120 367 1 4465 1769 3 45 1121 1 7507 2192 1 12609 534 1 18499 1035 1 15137 867 1 14840 670 1 5634 6001 2 15562 222 4 1530 4231 1 7010 5105 1 1499 5689 1 1125 2502 1 17396 1756 1 2384 1819 1 18608 2361 3 4055 3570 1 11562 7009 1 13028 291 2 12913 3356 1 19025 891 1 14282 1450 2 10 271 1 4469 7505 1 5271 1906 1 3607 3994 1 13470 7210 1 16036 952 3 2481 234 1 17332 74 1 7954 826 1 8615 7212 2 15606 215 24 153 2481 1 20014 1277 1 19273 836 1 10730 1747 6 18879 846 2 9909 4607 1 2401 3999 6 20180 5252 1 8444 3742 1 13009 1567 5 9628 962 2 2340 203 13 15597 800 2 7945 805 1 3414 1363 1 15605 2068 19 11472 5574 3 655 4435 16 18064 4325 2 5960 3590 1 10752 533 1 11336 193 4 16087 3283 1 6682 1722 1 16455 199 3 899 4248 1 8366 2540 3 12459 1524 1 7012 4013 1 4314 1775 3 2937 525 1 12064 2352 1 1313 5758 1 3261 4392 1 8060 4266 3 15884 941 1 6755 201 3 13 237 2 13998 1235 1 8255 5420 1 15629 356 2 17 1180 1 1812 2675 1 17110 1251 19 11916 3119 1 8565 5265 20 13231 1645 5 126 5670 2 6007 1342 1 12088 5505 5 19995 5282 1 8195 3671 1 17210 5511 3 1816 437 1 17926 934 3 7769 148 1 399 5439 2 6589 888 1 12264 2671 1 17523 4704 1 6570 3583 2 98 4424 1 9432 4257 1 12917 173 1 11990 726 2 2432 743 1 8394 5767 1 19729 3887 5 15487 203 26 3940 617 1 11835 2312 1 5963 3230 7 9688 1333 7 5705 5060 3 4143 303 1 931 207 2 2260 3760 10 16916 5951 1 4425 6677 1 4460 6106 1 108 789 1 11932 1748 1 9439 3462 2 9365 1686 1 8268 1739 6 3963 5257 1 7829 2675 2 1684 3824 1 5666 2569 1 17015 982 2 17953 5758 16 20054 1251 1 10328 219 2 17966 496 3 19288 1743 2 8431 1117 5 11895 1769 1 19419 3476 1 1857 5324 5 14196 1361 1 10688 937 1 1704 2867 1 4289 532 1 4191 6174 1 8580 7439 10 1666 1770 6 5176 206 1 3732 6683 35 19711 4093 1 6804 5471 1 8105 6053 16 11399 365 1 11332 3081 7 17281 4869 1 10916 1190 1 17842 525 3 3759 6243 1 4806 1573 2 10911 6640 4 11360 6440 1 17405 5526 1 10257 223 1 8949 1827 5 10117 7545 1 19140 3065 1 5431 1967 10 15085 7629 1 10279 7659 2 8515 3554 6 11416 3463 1 5195 252 1 15818 1784 2 15473 7003 3 16922 451 2 2762 1763 1 15346 2729 39 9093 4029 1 4332 156 3 13688 7461 1 3258 201 1 18623 496 1 14741 1012 7 4505 512 1 11933 1251 1 9467 1748 2 14861 3476 9 11525 2993 1 912 385 5 10615 5120 5 8576 7936 1 18290 470 1 5234 1236 3 19630 1245 2 3533 8013 1 14733 2043 3 11338 7719 5 16212 7850 1 19053 895 1 12643 5011 1 757 7256 1 6298 3287 2 4346 411 5 15917 6551 1 19673 2363 2 11230 2444 1 2986 5439 1 14357 4144 7 6781 506 1 2990 5477 13 11896 7821 2 402 190 3 15750 4501 2 13262 4297 1 1756 4623 1 7487 225 1 5757 4435 1 4305 5923 4 11008 532 1 17809 508 3 8582 381 1 9777 2363 1 17446 3081 6 4771 5287 6 13985 4245 1 18939 3943 1 18132 4591 4 1171 236 3 7017 4487 2 8210 6952 5 12821 7412 2 18213 1252 1 13619 633 2 6535 6064 1 14142 1037 7 2121 223 5 8191 1331 1 15022 5257 1 12031 1745 2 7568 4653 4 4935 1310 6 16835 225 1 18480 23 5 11737 1237 1 6348 571 1 14301 4902 2 3337 895 1 19510 3113 1 235 1482 3 685 1183 1 14986 5018 1 3146 2889 1 16622 295 1 2526 496 1 14515 3625 1 16600 819 1 10636 4084 2 8597 1 1 17248 910 14 9675 1995 1 3164 6229 1 2904 316 2 2992 1302 1 18920 2552 5 3160 5205 1 3031 215 3 1296 4179 1 6418 5270 21 18911 6398 1 14170 1301 1 9094 2241 1 15159 470 11 3432 848 1 15167 3403 1 18170 1661 4 183 3050 10 9716 536 3 16676 141 1 5752 201 3 7490 175 1 8674 4616 1 16440 3894 10 11801 229 1 4922 525 1 7789 1825 1 11154 411 1 14748 3216 1 1296 2600 9 18207 3367 1 6556 4366 2 17746 606 2 4519 870 1 11008 5935 2 11938 203 5 9857 597 1 13285 3911 20 8287 2109 1 17341 3421 4 10060 222 5 14891 4534 1 19145 1243 1 4225 4371 1 19434 206 1 1774 1315 6 12420 7235 5 199 4516 2 9564 2386 1 14777 23 1 124 5561 1 8046 7266 4 4428 7298 1 9596 2499 1 12375 894 1 15807 6435 2 9244 1748 1 684 1686 1 13453 2262 7 4979 3515 1 19963 221 1 13167 1906 2 18876 5307 2 8330 336 11 20085 3135 2 15069 2263 2 6061 313 2 18476 5175 2 5535 4992 20 16894 8174 25 1 87 1 13213 4622 2 9164 1843 2 8967 4728 1 6776 501 3 19724 223 17 1629 2881 1 16726 23 2 16767 3447 1 6681 3278 1 153 7027 1 3397 550 1 18462 609 5 11107 4963 1 9809 1859 2 13132 765 1 16602 173 4 2967 3015 1 5458 4392 1 17733 1466 1 9129 215 1 6520 23 1 17462 3442 1 10610 1887 2 18284 4395 1 13572 5325 2 6906 252 2 1547 5082 1 13133 100 5 7524 3276 1 6630 1686 1 11557 2632 1 35 1973 1 2094 3911 3 915 6197 1 1551 1561 1 12493 1276 1 11367 2352 3 13380 1819 2 17315 1944 1 153 417 1 3843 1784 2 13 818 2 8367 7525 1 13935 5563 1 11097 1732 1 14233 6286 2 9897 4511 2 1668 2155 1 18932 618 1 10327 825 4 10856 1367 1 19311 3512 1 6023 5058 1 9120 5108 1 4161 2698 2 6970 3634 11 2657 2407 1 13 570 3 11024 1261 1 12158 1555 1 9269 2009 1 5952 314 6 4660 3671 1 15458 7571 1 2890 2968 1 3617 8071 3 14355 4026 1 835 518 1 11472 867 7 4603 3399 3 10973 502 1 7868 889 1 5775 1921 9 48 2440 1 5727 219 11 10948 7418 1 18635 2668 1 9289 589 1 16237 745 27 2778 5513 3 15362 1495 7 10468 2963 1 137 6279 15 12706 517 5 4183 3352 1 7179 620 1 15063 5187 1 3505 2633 1 11786 7710 11 3765 5830 1 11008 411 2 6681 748 1 14970 1395 1 5275 1760 1 10272 220 1 5074 4803 10 15343 4942 2 13529 6406 3 3387 1241 3 2213 5315 1 153 7090 1 40 2096 1 6681 7948 1 3781 1764 1 16969 5107 1 14463 509 1 496 7670 1 11523 236 1 11018 498 1 984 3906 7 8009 3826 1 18408 196 1 3064 186 1 2766 4446 1 14551 2575 41 15597 2488 2 12074 5516 2 7962 3909 4 10043 23 2 12725 3747 1 15162 7603 10 11246 1064 5 11674 512 1 14924 1277 1 18846 1774 1 12602 335 1 11678 4585 1 28 1657 1 3418 698 3 15778 3851 1 17405 857 1 8361 156 2 7457 4085 1 15614 4947 1 1220 4805 1 19763 8142 2 1469 5018 7 6158 6417 1 12995 1768 1 7733 8137 1 14758 1081 1 19760 1537 5 1780 5018 7 6372 663 1 10058 2831 7 54 2591 1 4220 3168 85 18101 2891 1 16059 514 3 12874 6991 1 19821 304 2 6865 1760 1 5821 606 1 18534 6181 1 20005 7606 1 6689 156 9 19901 3119 1 5003 2971 1 8174 505 2 16436 4884 1 13389 2029 6 7184 1719 3 15374 6714 1 11789 2721 1 6249 3945 1 7567 717 1 65 3160 4 6568 5086 1 13308 532 1 9526 7734 8 14902 3979 2 7119 3972 6 5645 1752 1 5662 518 1 15782 4411 1 14063 3238 2 2076 7570 1 13486 1328 2 12412 893 2 1006 6702 19 15949 365 1 13384 2517 1 2911 7013 1 6517 6640 2 844 2226 2 13461 1146 3 17392 6343 1 18915 525 1 343 232 1 3408 215 2 17120 1779 1 3485 1783 2 10498 1704 1 16090 1464 1 14261 6363 2 4110 2767 1 15766 3899 4 9660 7249 1 7470 2481 1 12010 4868 1 4767 1687 2 5716 1729 9 8930 1686 5 2778 696 1 16500 1740 4 13601 7466 2 19597 4656 1 11796 953 1 8736 635 1 16694 4027 1 13384 7996 1 4691 982 1 3613 6150 2 951 1788 1 746 4983 2 12391 2138 3 2917 5472 1 15344 187 2 3397 2995 1 13344 7719 1 9253 218 5 15564 891 5 1397 4713 2 9637 23 1 12256 1705 94 19090 441 2 7372 1796 3 14694 2918 6 3641 1760 2 12454 2257 2 16357 3298 2 18197 38 3 1893 2115 1 816 8045 5 1422 858 1 1747 6480 2 3962 2352 1 4268 2481 2 11693 3676 4 12770 214 1 14205 1781 1 7933 6506 1 181 8216 1 5734 7466 1 5763 206 1 16448 2708 1 5540 1717 1 12009 4590 1 9743 4653 8 13819 23 3 4050 891 1 4735 1270 1 15131 219 1 14233 1466 2 9327 2938 8 3594 5243 1 16897 2990 2 11895 506 1 15671 5316 4 8716 5348 11 15318 2686 1 14820 6067 1 9930 7215 1 10543 229 10 911 7840 3 13203 366 1 440 7137 1 19395 1396 3 19218 205 2 904 1305 1 7882 1244 1 2896 7463 3 13743 4009 1 4546 3464 1 12138 36 1 10817 6164 2 5624 52 1 15491 6607 1 9540 7719 10 1002 5018 2 14231 1474 1 3318 1732 1 2331 84 5 18206 3515 2 15705 1724 2 15288 6953 2 15364 2675 1 7065 1170 1 4632 7935 1 10199 1333 2 140 6354 1 19478 7769 2 2181 205 1 15797 1781 1 14548 1453 1 5960 3036 7 11957 7145 2 14892 506 16 4044 151 1 12276 203 14 7262 6174 7 4593 555 1 1481 3273 1 18295 1718 5 1414 7237 1 5357 816 1 3419 203 5 16096 5466 1 7450 1760 2 12179 1529 5 15905 3228 2 3653 2708 13 11533 2797 1 19510 1460 1 3025 1146 1 12511 1284 1 10111 3819 1 13387 1632 1 4588 1237 2 8253 221 2 12694 1297 1 7799 4486 1 12859 219 2 6918 723 1 8846 5004 1 17553 6159 1 17888 7319 1 13837 4012 6 2929 201 6 5344 6065 1 9395 2488 1 3683 3020 1 7241 4955 7 12322 498 1 12778 3904 2 17088 1248 1 18944 8067 2 8223 571 4 5542 5950 2 14162 2974 1 39 2044 1 15468 4998 18 9714 597 1 10569 883 5 15329 858 2 13168 1155 1 349 573 1 14522 156 4 8421 7145 2 8746 4609 1 10119 2029 1 3395 214 1 9093 1748 1 19217 5325 1 6654 5037 1 2857 2489 1 939 1416 1 1369 6649 1 3188 1726 1 7760 5127 1 11170 2570 1 17395 1686 3 1677 398 2 7596 1150 12 15144 1748 14 17644 164 1 6867 3349 1 19974 3011 5 12625 201 9 4279 4489 1 14010 5825 2 14201 1338 2 9941 5193 1 18431 1703 1 14236 4026 1 15834 173 2 12324 214 1 13983 2357 1 2437 1464 6 10457 3621 1 6000 6943 2 9224 900 2 13601 4016 1 15284 6341 1 5464 2014 1 7528 7153 5 10287 1332 1 19535 4009 2 9717 864 4 12717 4003 7 18531 219 2 10 291 1 16668 4343 1 3469 5018 1 6223 1147 1 8043 6713 2 13021 763 1 14947 679 7 3982 3845 1 16844 236 10 20060 367 1 4339 1756 1 6387 461 6 13455 6098 1 10313 4557 1 17664 367 1 18270 8103 2 15941 4261 1 10856 888 1 19331 1237 1 12204 7616 6 16470 23 2 17492 4944 7 7253 2848 1 6536 1395 1 5742 4980 1 17273 4199 1 14371 3135 2 19780 1762 3 13945 411 5 8706 3287 2 13867 6706 4 5847 2575 7 4449 164 7 12055 3283 1 679 589 1 10245 4392 3 6544 1246 1 18250 4428 1 19294 225 2 291 890 1 19138 7404 1 19681 244 2 792 1354 2 9110 4252 6 12322 1374 3 11601 7216 2 6078 7049 1 6690 481 1 17120 2056 1 6826 225 2 44 2311 5 5681 1762 2 2845 1692 54 1130 789 30 2629 73 1 8735 3653 3 14312 331 4 14230 303 10 8620 1299 7 18797 1710 1 14522 1715 3 1629 3471 1 4304 1898 1 10562 191 1 19808 467 1 13829 4435 1 8082 4521 4 14837 864 1 17596 2699 1 11024 2484 1 7063 5249 1 13373 5561 1 135 6179 1 10723 6706 4 15039 5073 1 11349 8194 3 10848 7183 5 5389 505 8 13 699 1 19286 221 1 6603 164 5 13850 207 1 14759 1738 1 11663 173 1 18915 1247 1 17596 1271 1 4519 1732 1 13633 8183 1 17992 7404 2 15743 1717 1 16198 7215 1 17237 6207 7 19633 3619 1 3037 1736 1 9791 8235 4 14726 1464 1 7392 375 1 7327 187 1 10882 78 1 17313 963 1 4425 7522 2 8946 571 1 8435 1784 4 17302 2013 1 9275 892 1 1689 1245 2 19993 7112 1 16254 6457 1 2470 7596 7 8340 1745 7 6273 1150 1 19502 2192 5 19352 880 1 9930 187 11 20078 6700 1 7979 1788 1 16850 4667 1 5934 6663 1 17664 70 1 2917 2383 1 15713 2504 1 70 514 1 6582 5427 1 11046 7250 1 7095 561 1 4428 4956 1 17508 219 1 14416 4385 1 6357 3176 5 17518 232 1 7701 7951 1 5696 1238 1 9809 1967 2 17127 3430 2 1397 562 1 12196 5781 1 10948 4020 1 12988 525 8 9279 222 1 1904 203 7 3986 883 1 4263 4606 4 171 2353 1 12576 378 1 15670 4077 1 8801 341 1 19268 8148 11 3397 706 1 18538 3511 5 11073 5439 1 12305 3903 1 3160 8034 1 4503 523 2 3826 597 2 18026 225 1 1384 2982 1 16449 519 1 1822 5866 1 5431 5557 2 109 4985 1 17881 200 6 17252 5301 7 19293 2662 1 7455 1250 1 12142 5957 2 15192 948 1 11346 474 2 1461 411 2 4709 879 2 10309 608 1 10452 713 1 10283 7518 1 19174 206 1 14549 7013 1 4932 203 8 19311 2565 1 20126 3875 1 3182 4237 2 18432 23 1 15640 545 1 6809 1247 6 11689 3024 1 9269 554 1 4524 1772 2 11786 2318 1 17083 186 24 11591 763 1 13939 1342 2 18089 4403 1 15058 1717 1 8858 2151 1 31 190 3 17818 1779 47 10815 555 1 9061 5971 2 10991 3333 1 1608 5420 2 10315 2307 1 2703 3525 2 3879 1590 1 11898 3770 1 873 784 1 7577 7520 2 18749 202 2 6183 1757 4 3971 1734 1 4312 5243 1 4845 7905 10 7440 2618 5 7599 891 1 7088 2542 4 19971 1696 1 969 173 1 3526 2698 5 11020 275 7 2588 8040 3 16806 2270 1 3221 1363 4 17184 678 1 1554 207 1 16485 6888 3 18821 6051 3 9374 519 1 16073 5690 1 4055 1188 1 233 7531 6 17404 187 1 2873 6053 1 16057 6414 4 7133 3405 5 84 3886 1 7573 5672 1 15119 6341 1 9930 1245 3 11131 905 1 4063 8033 4 1938 534 1 10686 4240 1 6855 108 1 18240 4065 1 4297 4992 3 12913 426 1 1550 2169 1 19342 3679 3 14016 3211 1 5176 3167 1 15314 2150 1 2947 1025 1 16202 6235 5 2091 215 1 18111 1728 2 15608 1603 2 10355 184 1 7570 4967 4 18027 2528 1 18014 417 1 14558 5105 4 14037 4022 2 16857 2068 2 10575 596 1 7415 7292 1 8717 1726 1 16917 495 2 11694 4601 7 15560 1656 1 12355 1819 1 3015 234 1 17633 132 1 17786 1703 1 7070 593 1 17142 190 1 8571 467 2 19867 7216 3 14758 791 1 9654 2100 8 1214 2013 2 17550 4838 1 687 526 1 5873 4320 1 20173 6198 1 9443 3693 1 5963 4554 1 8255 3180 1 2733 4866 4 19428 2743 1 15429 3972 1 10267 222 1 3583 2356 1 15321 4435 1 8644 2881 1 252 413 1 17141 1648 1 6158 525 3 4337 229 12 7587 7554 1 18403 7461 2 13392 6512 1 19899 3072 1 18721 6524 5 2917 2595 2 602 201 2 13768 6100 1 11252 942 1 2024 5495 1 16586 1395 1 16016 279 1 17705 3556 2 9168 512 1 20 1305 1 18719 2728 1 14691 1707 1 17620 194 2 7498 8139 4 6156 5051 4 12919 1380 2 12726 1234 4 3253 1395 6 174 8053 1 4171 3909 22 7395 621 1 19182 5325 1 4667 2751 1 241 1315 2 14429 1245 4 13928 4307 1 5602 229 1 2621 1705 1 9061 2717 5 13488 215 2 1296 6983 4 19665 1721 1 15943 6687 2 628 5271 1 3406 520 2 6473 1239 1 16076 1784 2 8921 5988 5 5131 1271 3 2550 206 2 5653 2343 2 662 989 1 12800 6120 1 4516 1499 3 8608 221 1 17644 910 2 16869 3671 3 8416 5341 2 1828 6053 4 17216 3097 3 3613 173 5 15876 2881 3 12688 3705 1 18357 1740 1 2880 6252 1 8561 1404 1 17163 3655 1 108 4892 1 8730 7425 1 15648 1357 1 13277 3163 1 6324 4320 1 1154 3464 1 4081 2836 1 13829 1482 3 12717 7471 1 4197 2276 1 17662 1762 3 10172 779 1 17262 3629 5 16192 2224 1 10620 1256 1 5567 1814 1 11658 3415 5 7761 2559 3 2276 3487 1 6420 3016 1 16192 215 1 7627 7815 2 7271 411 3 12322 3432 1 1927 525 2 2917 654 1 9809 4840 1 12322 1734 5 14303 4636 3 8578 6106 2 15180 6692 3 11910 2998 1 10391 1244 1 17761 505 1 15280 1778 6 18027 495 1 3422 4658 1 8016 3851 6 17088 1453 5 3128 2341 1 13103 1726 4 12388 2958 1 6070 1889 2 18169 5986 1 4603 2639 1 19007 2559 3 17966 4363 1 4045 7658 1 7449 3239 3 19035 4079 1 130 5897 1 18655 1776 1 20225 685 2 4 146 5 17416 8043 2 5324 175 1 4552 379 2 7083 2552 3 1416 3045 1 13421 2823 2 1713 6225 2 12682 3512 5 16180 2682 2 15368 4263 1 4092 215 35 8425 2671 3 9968 5566 1 17852 148 1 20194 4199 4 16178 6723 3 2407 6142 1 9250 841 1 15007 3684 1 1206 5156 2 5860 867 1 13101 5379 1 11179 8029 1 9224 650 2 13919 248 12 18148 3163 3 4768 2653 1 14301 5187 1 2884 3575 1 8693 1721 1 1013 6181 1 19872 5202 1 13425 663 2 6332 956 1 18675 1797 1 9840 497 2 17749 205 2 14011 4540 7 5354 3591 1 2962 2948 2 4183 4694 1 17023 1924 1 13072 7621 3 14769 2645 1 6204 2737 10 15383 319 4 10374 5301 1 9688 2534 2 6269 1316 2 212 6217 5 2985 766 1 11131 6458 2 17889 6203 1 16700 685 1 2860 6553 4 4185 1356 1 19545 560 10 3085 4599 1 11435 2246 1 10948 605 1 373 186 1 1733 1374 1 2778 870 1 15375 7495 1 18664 4293 1 19644 303 2 19727 4314 1 9815 6457 7 6965 2363 1 8088 1272 3 1480 203 5 11101 186 2 11993 4383 1 9275 2956 2 9304 221 1 12127 753 1 9835 4941 2 2714 6192 1 9661 1772 1 10825 2258 1 745 7843 1 11786 51 1 873 3475 2 10245 7477 3 20242 4252 3 1962 769 3 14826 127 1 1362 533 8 19029 6714 8 4828 441 1 12159 4476 1 2739 1955 1 8185 1760 6 16126 203 21 3358 765 1 1638 5347 1 12632 473 1 9152 5903 2 12843 1037 9 4863 221 8 18859 2356 1 6744 4296 1 12545 411 2 9439 2548 1 4774 2980 12 8889 319 1 12030 3480 1 153 7033 3 15022 1101 1 4239 7850 1 11835 1737 1 11327 519 1 4528 7859 1 5409 6058 9 5920 2385 3 12055 564 1 13283 443 1 15728 5133 3 6851 3368 1 9978 3393 1 5742 3072 1 171 3545 1 2629 1184 3 1437 3911 24 6403 6727 1 10972 3167 33 17285 964 1 15104 601 2 19798 2686 1 14748 2958 1 18859 1464 1 9187 502 1 2152 1779 1 3536 1282 1 18237 1720 2 2124 1727 1 7729 4562 1 73 1334 1 16819 957 1 70 3282 1 3956 2260 112 16916 7005 1 467 3016 2 7916 1342 1 855 1190 1 13717 1729 2 1201 184 1 12704 378 2 484 6031 1 8394 2641 1 17220 788 1 13684 1094 2 7306 874 1 15307 1642 1 12213 2448 1 13891 1307 1 226 3060 1 4772 6955 2 7780 3306 2 6233 7600 5 232 235 6 6538 1769 1 2689 1825 2 3048 4255 1 7548 6442 7 18431 1761 1 14695 6582 2 9216 128 1 17191 2419 1 9258 777 1 3175 2495 1 15634 502 1 717 1714 1 2911 5319 1 5629 5349 1 526 826 2 6437 1659 1 12850 1244 9 11042 7719 1 16471 221 2 105 4737 1 2803 410 1 17560 629 1 3888 7606 3 18207 1721 2 10147 4590 2 6827 2586 1 11891 470 2 6556 5740 1 19872 7105 2 7065 370 1 11250 3338 1 18488 6396 5 12293 184 3 12821 2509 1 19554 253 1 6562 1529 1 5613 817 1 8882 3146 3 15952 1277 2 12951 215 3 7526 5294 1 6595 1748 2 14621 215 1 6776 1243 8 18189 225 4 18614 2750 1 2716 4794 1 19137 2056 1 19358 7597 7 7916 534 1 121 5332 1 13103 1250 4 9894 728 1 13716 1752 4 18040 5314 5 16843 5342 16 13731 1277 1 19393 1296 1 8312 1717 2 11075 6538 6 18113 201 1 7507 23 1 8763 4343 1 11132 209 11 17172 2252 11 16771 2478 1 14958 2488 2 5199 1360 1 4483 1747 4 4552 1052 1 7251 1969 2 12470 246 1 11762 222 4 18665 2698 1 10219 316 7 15778 1809 4 13335 1082 3 11947 514 2 2507 5275 1 85 3893 5 3705 1379 1 2931 6139 4 14990 2586 4 17431 1356 10 16933 7677 1 3048 805 1 16861 1698 1 17184 623 1 13613 575 2 17903 2969 1 14360 6150 2 11332 501 1 18939 1062 2 5738 3050 1 13932 2403 1 5025 173 1 18227 891 5 17556 4334 1 7343 6762 3 11129 214 2 16740 2403 3 15006 4572 1 18950 1781 3 8714 1282 1 9743 5296 1 7162 2424 1 19507 4967 1 13454 1763 1 7392 6693 1 324 7474 9 19210 1251 1 3090 1780 1 2863 1253 28 14173 2338 16 2795 1695 1 6446 5815 1 5775 1248 1 15067 4127 1 17074 2290 1 992 4015 1 17513 6231 1 17716 6682 1 10393 5018 1 15180 230 1 11082 7511 1 3175 477 1 15728 5861 1 3991 152 2 3985 4847 4 14079 1782 1 9604 533 2 14302 23 2 1049 7719 2 12299 8240 1 17891 7352 6 13009 961 7 8606 4951 6 12752 215 12 5993 1717 2 19428 1338 1 165 7525 4 13 713 4 11367 1783 1 15853 1356 4 19579 7542 8 14522 851 1 8544 2675 1 18225 6536 1 149 6737 8 9056 888 1 13615 1375 1 19997 1019 4 9454 2864 1 3865 207 1 8278 7734 2 9116 1715 9 18493 207 8 10733 223 1 19737 5468 5 14992 3511 4 741 23 3 14899 23 1 5695 6756 29 12637 1781 2 18757 4582 1 6802 1146 2 9883 550 2 18279 2702 3 8449 4118 8 10672 6330 1 11113 219 1 2155 215 3 6726 6613 5 3892 2982 2 19635 514 1 6322 6488 5 13646 218 1 19570 4059 5 7662 2647 1 10948 2569 6 3418 2345 2 252 1825 1 11156 7597 7 6824 3949 3 13069 6198 1 1583 4408 2 2181 8076 1 5131 7601 1 11072 203 19 6776 6139 7 8451 6747 1 16271 201 2 8519 1908 6 1698 6193 1 17682 2363 1 19342 3167 1 6418 7570 1 2467 3884 1 6405 4056 3 3963 5252 1 19137 670 1 5790 541 1 9211 4980 8 5280 1202 1 1401 201 4 11598 1019 1 19999 2058 2 17290 1035 1 10856 2478 1 18805 3167 8 14094 5077 3 9737 4501 3 10839 3155 1 14011 1883 2 4147 4343 7 15427 809 1 4005 2256 2 521 8099 2 2827 6839 1 4627 3161 1 4565 4603 6 10 340 1 24 1469 2 8001 1195 1 6111 3248 5 124 5455 1 1587 825 2 3048 5618 4 16588 2399 1 1443 1464 2 10119 1248 5 2240 187 2 6848 1342 8 17728 327 1 18316 184 6 7991 307 1 13800 2517 2 13626 1945 4 16060 3511 2 16500 534 3 8169 5879 1 10667 1356 1 16956 4248 1 5421 1721 3 7245 74 1 11736 662 1 4056 2860 1 4282 223 1 16856 184 2 3931 203 5 19457 810 1 14211 6341 2 16626 2173 1 4337 5133 1 2717 890 1 13327 3972 1 8924 5540 1 32 1795 3 8636 4673 1 7568 1357 4 18042 444 1 7394 7720 2 9307 214 1 17918 8108 2 3028 168 1 11196 5997 2 2966 6677 16 11990 818 1 15180 207 1 3555 1307 9 5827 2369 1 10325 644 1 14015 2772 1 11882 2324 2 18781 1112 1 13363 4595 1 12231 274 1 6869 5550 2 7933 7408 1 3695 1757 1 1958 6142 1 1023 2559 1 17039 2380 1 12012 3757 1 13313 3409 4 3505 203 1 13387 5618 1 3290 1755 1 1897 23 1 8392 2539 1 13594 499 1 7783 1758 13 10799 7427 3 12510 200 19 19866 4612 7 7845 2511 1 6592 749 37 14813 4202 1 18577 3460 2 8475 413 2 2302 5897 8 16838 5289 1 3972 5500 1 17827 7282 1 16618 3023 2 18184 206 2 10330 3233 7 3455 3884 9 3199 6986 1 13928 2443 3 1195 2192 1 6990 129 2 14758 2369 1 11131 4515 1 3091 4245 1 14190 500 1 1144 3922 1 11544 304 4 13388 203 4 13793 194 6 305 601 4 13564 203 3 6333 3816 1 4257 1715 5 13807 520 2 4859 3911 13 153 6859 1 18032 7215 1 16558 1727 1 16861 2686 6 12544 4949 3 5592 533 7 19723 203 7 16958 244 2 65 3127 1 5781 3494 2 8221 5450 1 13574 903 2 3106 225 3 10832 4448 1 2560 2646 5 19193 5265 1 6634 4113 1 12923 2953 1 11629 1707 3 559 3464 1 16650 3813 1 6452 5696 1 8027 1748 1 18705 1745 1 6673 1720 1 7991 2997 1 9063 232 2 17521 200 8 16961 3065 4 17751 6161 1 9088 6500 1 635 235 1 12283 533 6 501 3526 1 16471 498 1 880 1228 1 1206 943 2 392 5036 1 11555 489 4 18385 1736 1 14688 5696 1 13698 5446 1 10376 863 1 1801 2729 1 15854 6665 1 7549 7409 3 10086 3146 4 12934 952 7 10087 7216 1 19518 221 1 1007 3983 2 16236 1731 1 2094 1 2 13371 2678 1 16391 1146 2 5105 3311 2 8965 1736 1 9898 1078 6 20106 3645 1 15691 1141 1 16019 3081 8 12138 184 1 12468 10 1 6400 2534 2 12844 883 1 15938 4498 1 4573 6500 1 5096 5325 2 6536 1251 1 6813 514 1 4072 1234 2 17953 3283 1 20082 3693 1 20111 3463 1 12079 3535 4 1301 284 1 11226 132 2 11698 2018 1 1582 5810 1 6332 2729 1 17031 3511 21 2274 277 1 18320 4689 96 17589 4185 1 10676 475 1 8196 3263 1 20160 1235 1 8343 410 1 10554 15 1 12079 5 1 11717 197 1 18238 354 1 16197 2343 6 2698 3540 1 11746 1748 8 9777 1245 1 5994 7013 1 9451 6259 1 12866 6323 1 17379 2511 1 7168 220 2 13367 4288 1 19237 1303 1 1138 100 1 7991 7857 2 9869 1146 8 12319 1971 1 4688 581 4 15704 4963 3 19203 7098 1 6630 4924 1 14564 74 1 2877 4386 1 13580 5281 1 3561 5989 3 18489 2974 1 9864 1118 1 8620 883 1 19393 1284 2 1838 341 1 806 5497 1 15335 4878 1 8582 1296 2 2795 87 3 16209 7497 13 1234 3083 1 65 3171 3 86 3978 1 6332 685 3 3776 2401 1 891 6993 1 18089 252 1 11399 1032 1 7652 2043 1 5356 4308 1 16767 6107 1 8863 1743 5 17165 3471 8 460 1726 1 1839 1342 1 6154 510 1 3443 7124 27 4263 2342 1 1031 6268 1 19990 1250 1 8654 10 3 10169 888 1 5344 105 2 15100 694 1 8614 5500 1 4490 1755 1 17394 553 2 19932 2419 1 7463 438 2 3397 793 2 7287 2904 1 10000 441 1 18261 2889 2 7148 1775 7 11042 6799 10 6717 3199 4 12078 23 10 6302 4252 4 17756 528 1 11591 4300 1 340 392 1 2886 48 1 1725 6931 1 17124 8140 6 18331 5245 5 11634 1927 2 3927 1248 10 11416 6031 1 19833 438 1 19699 6402 1 6767 1235 2 13238 1244 1 16563 4193 16 18149 1751 9 15722 1719 1 15948 1729 6 14778 496 2 12279 7857 6 7188 3113 1 3075 1395 1 2818 1713 1 889 7497 1 18185 4334 1 10934 1464 1 20090 215 1 18672 441 1 3663 5305 1 13678 4992 1 15706 1356 1 10610 347 1 19320 1825 4 1183 5518 13 17428 5612 2 16405 1627 1 11430 1819 5 10250 1781 1 5459 5257 16 12985 1384 3 19476 3230 1 7091 1117 1 6277 230 1 2424 4070 1 7647 2138 2 12337 1726 1 13254 727 1 8291 2343 1 10341 514 2 135 6122 2 11372 4059 1 17331 13 1 17412 2489 1 6376 3283 2 5052 3761 2 16308 4353 1 5854 755 2 12183 8041 1 15207 2661 1 15513 220 4 13242 3475 15 17578 3699 3 9567 7018 5 8751 6623 1 1491 3343 14 4519 1249 1 9809 5467 1 18615 4980 1 4278 215 3 7802 2676 1 17917 1710 1 13417 204 1 12040 3276 2 7995 1717 2 10948 5099 2 11616 2917 1 6867 6435 2 20060 8031 1 715 3219 4 10152 4653 1 7816 1390 1 1361 625 2 10396 6580 8 18040 1657 7 4120 4411 1 12257 1247 8 9274 481 1 2777 200 11 7708 1277 3 17039 7719 6 17035 23 1 5610 814 13 3630 2510 1 1605 4935 1 13779 646 1 2265 2683 4 12755 2653 1 65 3146 19 715 2056 2 17019 5674 1 160 7325 1 126 5657 1 6518 2617 1 4593 869 5 6459 1771 2 8045 995 2 3801 5251 1 5594 1472 1 3670 504 1 17404 221 3 106 4755 2 19193 1276 1 2526 7948 2 19871 1360 1 13332 1416 2 16665 545 3 9770 2419 2 14080 4761 2 3603 1252 1 19458 411 1 15086 3301 3 13066 3909 1 5676 411 5 8641 3316 1 18508 3025 3 18999 84 1 6416 184 1 478 8230 1 15180 3910 3 13046 367 1 4999 1573 2 174 7979 1 1728 181 1 17909 6957 1 7017 6995 2 645 524 1 11497 6618 2 2386 2609 10 12856 5255 2 745 716 1 6846 4389 3 8266 188 1 10404 488 1 3441 2591 15 17550 4902 1 16348 6188 1 12821 1356 1 4634 1145 3 8959 2559 4 12934 6633 1 7065 1308 1 11968 7740 1 16999 4723 2 12009 221 4 17753 1776 1 11523 7101 3 3189 7005 1 9697 7582 2 5059 197 1 173 229 2 17877 3233 2 2793 518 1 16860 7119 1 17367 7668 1 10725 3696 1 1618 3113 8 572 2626 3 4667 5820 4 8470 2724 1 10380 874 1 14794 2206 1 2546 3476 1 15228 3168 3 18091 882 1 13017 665 1 18401 1727 1 8014 3333 2 16471 1715 1 14758 1277 5 10949 2175 1 17039 271 1 3994 4086 1 2019 6288 4 5028 4098 2 20050 2292 1 9366 6237 1 15879 8041 7 10912 3974 1 3826 5879 1 18040 3928 2 646 584 2 14996 2683 1 349 2800 1 2704 1703 1 6063 159 1 14758 6979 13 1139 7715 2 13065 2555 1 11799 4245 4 7867 520 1 9973 720 1 18462 6826 1 18748 4998 5 15006 46 1 16998 1791 5 1467 6198 2 7179 6983 4 8641 4000 2 9935 2953 1 1206 23 1 8294 1751 1 8915 1395 1 7817 1665 2 6651 1726 10 6393 7497 1 18175 1775 1 9160 201 10 12790 4343 1 11246 5559 7 101 4555 2 13281 3262 1 4199 1146 1 8153 7020 3 8422 244 1 4779 500 1 12883 3604 1 15110 197 5 18722 2992 1 10521 206 8 15098 525 3 5624 4512 1 17986 531 5 11766 4448 1 15792 184 1 5121 2552 1 18628 6207 5 4524 4945 4 7924 637 1 20007 2362 1 11504 525 1 2861 201 2 16775 7229 5 13412 3998 60 31 225 4 11786 4411 1 9331 7556 1 17314 1751 2 16299 3378 1 108 1113 1 14145 2419 8 16301 504 3 14695 3036 1 5008 6726 6 3898 3233 1 2771 6363 10 12918 1302 2 8970 4400 1 11131 3795 1 9532 1772 2 19006 2591 2 10152 676 5 83 3737 6 11388 517 5 18179 516 1 5074 7884 1 7640 3558 5 10117 2946 1 17088 520 1 18946 5804 1 14037 233 1 6755 1762 1 13813 1664 4 18738 1819 1 15454 5903 1 5833 2534 1 7832 3070 1 19643 2474 11 9892 5810 1 4640 382 1 15542 2007 1 6646 207 1 19336 4306 2 4914 6193 2 10192 1946 3 15441 4242 1 6670 3167 3 9655 5905 1 15206 1184 1 3521 198 4 11452 3012 1 2108 2970 1 6114 6690 1 3530 1374 2 2194 6908 1 16490 4615 2 6894 4314 7 19494 515 1 121 689 1 9084 540 1 11384 3419 1 16303 4266 1 15303 4665 3 15825 4231 1 13575 1356 3 16625 508 7 10314 4245 5 19628 1909 1 14184 1692 2 4546 206 1 8481 225 1 5703 303 33 16291 1927 1 18747 6546 1 11188 5078 1 6314 3029 5 11576 1751 5 14999 2107 10 3011 2675 11 1790 1845 2 31 367 3 9534 203 2 11011 5020 1 3720 2292 3 10799 495 1 13997 2489 1 9194 1342 2 8428 5180 1 10672 3367 2 12964 1324 10 11243 7554 1 15776 6100 1 10399 1695 1 17127 1716 1 1220 3338 1 6812 1482 2 125 1825 1 8633 4119 1 13461 1252 5 614 4427 1 5577 222 1 3799 2653 1 2529 3634 7 9628 715 3 2423 6246 1 4327 1748 2 9983 1717 1 19759 374 1 16192 534 1 3159 2686 1 20054 4499 4 10741 219 5 745 795 2 1073 6943 6 14336 2589 2 17894 1686 8 2886 911 2 12030 235 2 8275 4395 5 5638 7266 1 1091 3511 1 17436 186 1 7714 3058 1 8952 5956 1 15744 206 2 658 1768 2 9419 1363 1 8582 3263 13 12241 3260 1 18460 1243 2 11164 13 5 14011 4604 6 794 1818 19 18082 3477 2 12511 1783 3 1379 1760 4 3142 495 1 5347 203 1 8327 1742 1 13719 5440 5 6341 7050 1 4697 214 6 18815 518 5 4734 5545 3 15329 5759 1 14906 1275 1 19533 196 12 12231 2373 2 15017 1995 4 11399 3556 1 1849 5561 2 13857 514 3 15016 645 1 16590 5487 1 16854 190 1 4987 933 1 18275 3333 9 8386 6693 1 27 1638 1 16096 244 7 6611 1886 1 2204 316 1 13636 1276 1 6403 4100 1 1865 131 1 19669 3901 2 2292 518 2 3964 5986 1 16500 1779 1 1500 3903 10 4632 7948 26 14728 883 6 7361 1946 1 13411 7184 1 6164 498 2 6886 200 5 4561 4291 5 18334 6675 37 17262 8065 10 14782 1396 1 20219 1686 1 14135 1985 4 11360 565 1 15230 206 19 4146 318 4 1725 6946 1 3898 3511 1 4054 1466 4 12097 1363 2 5357 385 2 2640 7581 1 174 7963 1 11592 2097 1 6617 367 1 19881 1703 1 2473 5460 1 19252 5099 2 9495 6777 4 11786 964 3 10852 6756 4 9553 2206 1 15862 2980 8 12190 1222 3 4213 2465 1 5459 3851 13 13845 3056 12 3939 4706 1 16466 338 14 13440 874 1 6544 200 1 171 7220 1 18434 5506 2 11131 6697 1 10000 2369 1 19073 200 2 11415 417 1 15640 232 1 3878 235 3 1638 7463 1 5618 496 19 5952 1328 5 7096 2678 3 54 2617 1 17772 244 14 8093 1760 9 3749 3540 1 15879 2926 1 8054 6065 4 861 917 2 9944 411 27 1376 5879 2 10507 1571 2 130 5896 1 130 5877 1 13933 505 2 13647 6142 1 19693 1356 26 3007 545 1 11216 1072 1 6342 1190 1 15769 523 1 19872 689 2 14739 84 2 861 650 1 18818 6035 1 2153 3175 1 20003 1938 3 18566 3425 1 13320 187 1 12548 514 1 19037 6473 2 11664 2691 1 12491 5325 4 12571 525 2 679 698 1 3825 1751 1 4124 3511 3 5815 2584 3 16391 23 12 8007 1785 7 5058 74 7 7619 191 1 14852 514 2 9553 5325 2 13046 244 1 8943 2534 27 9235 6140 16 14553 8141 1 5389 6697 1 4779 193 1 6483 2691 2 2723 2552 2 12821 10 1 19320 3602 1 2935 106 6 3154 7699 1 12457 880 2 13928 8057 9 14229 1739 1 9957 3511 2 13393 6285 1 7568 2817 1 17980 5571 1 8605 4638 3 2795 2743 1 6064 4867 1 2980 2729 1 4448 4295 1 15074 1238 4 9776 575 2 5981 3999 1 2079 2068 1 13088 1770 1 6724 917 4 10183 536 1 6533 1076 1 2962 177 2 6453 204 2 10062 1734 17 15750 796 1 15568 1453 1 1123 6564 1 8281 3211 1 5296 2326 2 18121 3516 1 18683 34 2 13068 7772 3 2598 1548 1 3059 779 1 19591 1681 1 2020 1253 1 10034 6377 1 13916 4185 3 3161 520 1 183 498 1 19623 1981 1 15100 898 1 17766 7414 2 16389 5272 1 19613 7539 2 8872 200 6 14374 200 7 7450 4972 17 19649 1714 1 12016 5203 1 1397 3906 1 2917 402 2 15626 525 1 12821 6687 1 3846 252 2 3971 4818 1 2041 215 6 14811 519 2 19129 7085 2 7640 2686 3 3491 1776 1 3703 215 5 6870 1707 2 16977 4714 1 9909 6486 1 14941 1282 1 12938 5452 1 10080 7022 1 7952 8141 1 8488 1399 6 13174 1939 1 1932 215 1 2387 1772 9 12757 8174 2 3455 748 2 2752 1825 1 19530 8212 1 10448 1783 2 1264 3599 1 16270 939 1 17169 5758 1 13618 2992 4 8813 1638 5 1125 1273 1 2886 4090 1 10986 1752 2 14898 5293 1 6007 2663 1 18450 6912 1 19568 6008 1 18862 2938 1 12496 5333 1 8097 6192 4 5982 4589 1 18515 23 2 18397 1664 2 135 6138 1 14939 1363 3 3991 3696 2 12128 7840 1 727 2043 5 12459 1797 1 14271 2114 1 5401 786 1 11617 3419 1 7969 629 2 6657 7201 3 9195 514 1 16709 1686 1 15597 1278 3 14049 6139 3 8650 5054 28 19283 6125 3 6749 7972 1 929 1752 1 17279 47 6 7297 2737 5 12231 813 1 8654 3615 2 9017 8184 5 12670 6743 2 12698 413 1 7186 3425 1 7955 676 1 988 2357 4 11072 1374 2 2447 5474 2 6700 23 14 525 7788 1 3495 2935 1 15376 5758 5 10720 6231 1 18608 2040 1 8188 986 1 15257 215 1 7135 1720 1 4197 3516 2 18874 443 1 4524 2480 3 14215 6241 1 18568 1153 3 6820 2675 26 19853 7228 2 6032 6845 4 5540 2019 1 15920 1772 3 4410 1312 1 17403 2488 1 1380 2133 1 10817 4981 5 1328 2964 1 20090 2499 2 17272 1832 1 18017 3837 1 11721 1582 4 8391 567 1 11693 1757 1 11430 1246 1 19134 1676 1 10856 408 1 11345 2698 1 11305 1715 1 12322 1772 5 8990 3516 1 8961 1235 7 2100 6162 2 6033 411 3 6742 5410 8 7893 4306 6 6769 6288 4 10309 3557 1 8179 3511 5 6848 501 2 11416 6022 8 312 1736 1 14693 1686 1 8838 863 1 17143 853 1 15007 1739 4 6617 2869 1 15502 1721 8 18529 5293 1 15395 221 5 5303 4521 1 12349 2698 45 3025 190 1 5894 1395 7 19601 5547 1 13256 2208 1 11270 2642 2 8617 1831 4 14906 2354 1 6229 1101 2 886 7807 1 3394 219 1 10973 390 1 7840 1482 2 13159 8076 1 2584 200 1 16874 656 1 5453 2747 5 48 2455 1 2140 545 2 5294 470 2 14762 501 1 3533 2443 1 6058 489 6 2204 745 1 19559 4262 4 8884 3132 1 13 781 1 6755 6046 2 755 1762 1 3189 1656 1 3180 6100 1 19075 1796 1 14685 2559 4 16694 4379 7 11313 562 1 16488 470 9 273 214 4 9512 4710 1 12376 199 15 1845 535 1 4884 1345 2 19272 3711 7 863 649 1 9323 6534 1 6837 4397 1 7159 4705 6 11975 1395 2 16561 232 4 3399 201 7 17404 1342 1 2299 905 1 10585 4041 2 11072 1734 2 11384 6041 1 5335 1728 1 14719 1363 1 16230 4963 1 16018 545 1 9979 2056 1 13972 931 3 5407 7534 1 17463 201 1 18548 231 1 13744 205 1 91 4084 5 17607 4992 1 8614 3645 1 745 6539 4 8905 2735 1 10308 203 2 7806 2013 2 13474 2247 1 8528 4697 2 18313 3748 1 5812 2636 2 12740 533 1 7481 1707 1 8810 5523 1 8426 5661 1 9490 164 1 3048 5584 4 3846 2735 1 17732 314 1 14130 5336 1 8930 1761 7 15851 3311 4 18561 5138 7 4601 7911 3 16700 872 1 146 6698 1 6125 84 1 11336 1356 1 17616 3748 5 17566 23 2 10733 4107 1 9395 1424 1 4696 3355 2 5829 390 2 18982 4343 1 6690 839 1 15396 4391 3 7256 7424 2 12104 4321 2 15849 215 1 11614 3770 1 8104 2639 1 14218 884 1 16378 6152 2 14427 1781 1 6739 4428 10 17778 5537 1 12072 3608 1 6902 8140 1 5378 4622 5 13461 1703 3 12184 2649 19 13328 5450 2 18519 3333 10 11916 211 1 15600 252 1 11704 6058 1 17849 2698 1 6733 2065 1 216 6629 11 15323 1239 1 1248 4387 1 9237 1342 1 9168 502 1 4970 665 1 16916 2737 1 7368 5903 6 7858 5484 1 1336 1825 1 8525 6252 2 4082 201 2 9077 2106 1 7507 233 1 10926 5758 1 4122 5502 2 7591 1239 2 13239 1717 1 6517 6507 2 17224 2534 1 10948 2680 2 5353 336 1 17058 3718 1 6269 1321 1 5934 1928 4 16360 1248 16 9550 2979 1 453 4427 9 10065 855 1 16368 1417 1 12873 2528 2 18951 3511 6 7964 5517 11 3416 5873 2 8643 768 1 11083 7127 2 14649 510 2 9493 3721 1 14445 505 2 11360 3632 1 4561 3022 13 15750 2686 5 1235 2980 6 14773 5430 1 108 4887 1 12024 10 1 18344 2979 1 6144 5968 1 2917 6588 1 133 6082 5 14837 1234 3 2962 2831 5 19415 3175 3 12076 6761 3 8405 6772 4 11125 524 1 8229 221 3 17154 532 3 13800 457 1 9275 682 1 11996 2671 10 8850 1423 2 13302 220 2 16557 1731 3 19631 1707 1 12269 7559 3 8957 6662 2 171 7832 1 11562 2748 1 13184 95 5 17928 1810 1 16299 3786 1 6048 532 12 64 3072 9 288 220 4 1570 262 6 16784 74 2 8108 5293 3 20055 7576 14 9743 297 2 5023 745 1 12895 3024 1 3081 2367 5 4985 1710 2 17698 164 1 18977 4328 49 8967 87 1 2060 864 5 745 1728 1 4985 690 1 13518 1907 2 18508 5538 1 18730 2626 1 19790 2853 3 6866 164 20 8410 7592 2 17977 2256 5 14011 5094 4 15383 1439 11 2602 705 1 17342 1343 1 1263 3222 2 15439 1776 1 14298 164 1 19259 849 1 20078 201 1 3513 3941 17 16457 3247 1 17 1031 1 10555 23 2 6483 225 1 6722 7206 21 2151 844 2 4276 4622 1 213 244 2 11746 506 1 6387 1193 1 18749 141 1 1228 200 3 9396 196 1 5692 3262 1 6182 7287 2 5843 1296 6 9546 728 1 14519 164 1 18014 1732 1 12208 360 1 222 453 1 18071 1373 1 8223 7622 1 5199 15 1 13715 4040 1 535 308 1 15443 1710 4 14695 5413 1 7968 2951 1 18081 5018 4 19215 4293 1 18806 3021 1 7943 496 3 15015 5952 1 4063 215 1 16180 758 1 8229 6245 1 3701 1905 1 13601 751 1 19995 2088 1 19872 631 1 15898 3119 7 3951 282 3 1361 3843 4 12231 2412 1 11758 220 1 18296 1774 1 9150 556 1 5798 7828 1 5 158 1 14858 3113 4 159 7231 1 869 445 1 7293 3670 2 12326 622 2 14894 1779 5 367 6414 1 15597 1175 1 11842 4450 1 13007 2982 1 8762 5336 1 1537 2229 1 18806 410 1 6668 6557 3 18089 229 1 9999 1819 1 899 645 1 3277 3193 3 11218 372 1 6441 3025 1 8182 2571 2 9453 5517 1 12723 470 1 6414 219 4 5217 237 2 6046 3515 5 4166 1825 1 8735 4404 10 14957 6240 1 11798 4623 6 2734 308 1 18035 199 1 13205 7008 1 4105 1721 1 3964 5879 1 7634 5083 4 11610 219 1 6359 7462 1 14318 7412 1 8597 2600 1 19645 2141 1 3111 1474 1 6561 1751 6 3038 1252 3 16916 2747 1 3663 579 2 3075 498 1 6703 502 1 6931 1275 5 1392 4325 2 19864 1719 1 14257 1151 2 18579 5137 1 4918 2338 1 13205 1891 5 15318 7470 7 16390 221 1 18635 1685 1 15247 252 3 1405 3577 2 10988 2009 2 17881 221 1 18763 496 3 3189 3570 1 13821 5108 1 18886 6577 1 12190 6793 1 1009 141 1 17304 8191 7 15074 5957 1 15208 6534 18 8532 2352 2 9398 400 4 5938 7190 7 11254 225 4 13648 541 1 12817 2010 1 121 5301 1 7682 853 2 7733 1707 1 452 2495 1 12447 1518 2 5616 1037 1 10297 525 1 20269 1146 1 6402 1863 3 3175 1366 1 7566 197 4 1592 838 5 16895 4868 5 4630 2689 7 15426 3019 1 14373 7022 1 19022 2729 8 40 2092 1 108 663 1 115 5197 1 14312 5554 1 9298 23 2 14005 2863 1 18193 1739 1 14154 5220 1 5860 541 2 12027 5187 8 20082 903 1 14612 1740 1 7841 1296 17 10875 3460 17 6492 1732 1 7786 597 4 12919 5350 18 7511 203 1 20123 819 1 4472 5018 5 11871 4664 2 13779 2880 1 15674 74 2 10720 7573 1 1840 7244 1 3579 6335 1 12739 35 1 87 4018 1 7258 200 1 17972 5064 1 17734 1819 3 19085 200 1 20076 4376 1 16419 7353 1 18833 4476 1 1847 5322 2 14881 638 1 12392 5737 5 15117 631 1 14900 471 1 20255 244 1 18988 3333 2 5801 1938 1 9111 7231 8 9834 7133 1 2321 899 1 7179 4187 2 17664 162 10 7944 4177 1 25 1498 3 6769 7421 13 2020 5265 1 181 8210 1 1711 846 1 2980 7752 1 16881 229 1 6121 524 2 17485 229 2 19089 225 2 379 1015 1 11591 591 1 4919 1762 2 13234 2021 2 1252 460 1 6045 2542 2 3356 1757 7 1754 1062 3 10399 1751 2 1109 4204 1 13 553 2 5752 3191 1 17728 3138 1 6864 2312 2 10374 3312 1 3121 3464 4 11947 1063 1 3255 1739 1 15217 3378 1 15315 4016 2 12497 2671 6 6982 2678 7 5588 2698 1 2602 7606 1 6228 762 1 11751 1321 18 3220 5066 1 8435 726 1 14758 2015 2 9061 7250 1 4560 1454 18 12685 749 1 2377 2149 1 1143 5559 20 13097 723 2 10128 3984 3 9797 6207 1 7962 2268 1 9935 1282 1 3206 8168 1 13028 411 1 9170 1819 1 1679 1333 3 8597 2057 1 11407 6719 2 8904 1 1 6031 597 1 11797 4936 6 16825 508 1 16090 308 1 8576 4508 3 15527 303 2 8597 7432 1 16692 3328 1 10383 2079 1 18064 3510 1 11736 4369 1 1801 453 2 3943 2555 5 1715 7603 10 13451 1649 3 2162 1184 9 14818 2990 1 5454 8167 3 14538 952 1 12214 786 1 12320 243 1 3175 1557 1 3980 223 2 12770 1751 1 10733 416 1 19674 4660 1 8532 903 2 37 2008 5 6835 3749 2 11591 1705 1 460 200 1 13740 1311 4 6964 2484 5 4524 2944 2 10879 1284 11 1818 3058 1 3319 5162 1 6019 1341 1 17762 6486 2 3358 7188 3 12517 129 1 19944 1779 1 7688 2931 1 7554 2366 6 4215 3421 6 19670 224 1 18814 995 1 13446 2741 4 11517 2676 15 6421 506 1 12686 95 1 2886 3699 1 10703 4029 9 18886 6288 1 2674 834 1 18366 1277 2 16994 203 46 19544 4616 1 5125 1166 1 2962 967 1 143 6634 1 11678 6885 1 14645 1736 1 6857 5783 1 10008 7474 1 11656 3133 2 18879 541 1 2430 2998 1 409 233 1 17273 1017 6 16594 967 1 1196 3599 2 143 6554 2 8673 4179 32 16925 419 2 18819 3334 22 15374 6349 1 3826 608 1 16797 6622 1 2938 3050 1 3472 2559 1 5977 1720 1 5212 3684 1 15913 203 1 11305 1275 2 6332 654 3 18920 1250 4 2701 1307 2 16860 481 1 7856 925 2 8569 3275 1 3115 1537 1 18623 1681 1 11678 402 1 8898 4435 2 5645 229 1 18886 233 1 10111 2500 1 8356 3899 2 13601 4470 2 4498 3729 3 5496 3511 1 3100 533 1 557 1073 1 6138 4531 1 11656 380 1 14898 7521 1 5280 627 1 2127 2626 1 7498 2385 9 11270 2517 1 18591 1286 1 12614 203 1 7056 3949 6 3234 214 1 3480 4391 1 5854 5986 1 17843 8034 1 11786 1113 1 5738 553 8 13055 3502 1 2298 7642 1 12361 929 1 9699 6440 2 4016 201 1 18465 525 1 5292 3084 1 13508 8031 3 4243 3065 2 5301 197 3 19655 876 1 18821 3622 1 14996 6238 1 12934 576 1 7020 2419 4 12501 512 1 18187 828 1 1085 4658 2 5811 4378 2 2704 1986 1 4088 6065 1 13235 200 1 499 23 4 2767 2559 1 2201 200 7 7821 232 14 6869 7542 3 19331 1771 2 10404 1271 3 18886 4501 4 10120 4730 1 10787 1453 1 2917 7004 1 10 338 1 12919 6999 1 8328 2698 1 4873 988 1 17893 4623 2 6853 2595 4 12959 206 11 14773 506 1 9527 3230 6 17120 5251 1 9332 5307 2 5738 858 10 9637 203 5 8787 6482 1 19160 552 1 13865 506 1 3718 224 1 11791 944 1 8450 7719 18 19420 7474 2 13932 1743 1 13842 4165 1 17093 1464 1 6605 3433 2 17127 4998 6 19914 6053 2 2818 2831 1 10918 201 1 3962 514 1 18579 6954 1 2221 5711 1 12054 4343 5 1935 950 1 6586 4987 1 17084 260 1 18665 1564 2 4742 499 1 11327 545 3 10365 505 1 1962 1148 1 16355 7008 10 11281 57 1 17864 8184 1 4496 229 1 17001 6434 1 18608 4635 1 1969 1710 1 4561 2918 1 6630 7315 1 15776 2683 3 15235 883 1 16373 3613 1 5566 453 4 6598 1396 1 4239 219 95 8798 1110 1 13373 4557 1 17544 7244 1 10424 4293 7 8665 175 1 14741 5052 1 13642 1663 1 130 5816 1 8311 6649 1 6152 5560 1 17500 512 1 14826 3813 6 7188 4653 1 7498 4306 1 11430 215 1 6420 4674 1 2480 6107 2 1178 3062 3 6074 2454 2 19069 1539 13 5009 197 1 17252 1936 3 12843 1363 1 18909 336 1 16346 4621 2 1630 4992 3 7498 2459 1 18193 2673 1 7504 200 1 14971 200 2 133 6029 1 14522 1296 2 2583 5090 2 7179 656 3 12850 4998 5 7506 4727 1 9865 1770 6 3670 1363 1 4371 1277 2 8909 514 1 11031 8192 36 624 7836 1 312 3685 1 20045 1268 3 5260 2626 2 9946 3923 1 9884 5750 2 2803 1277 4 711 3117 1 80 3599 5 16709 3072 1 2574 95 1 4963 5052 1 2977 532 2 15229 232 2 10452 721 3 3182 6065 1 9108 4264 8 13719 2512 1 20264 1399 2 18684 3684 1 5804 2444 1 12988 236 3 16031 4029 3 6308 232 1 6463 2488 1 4327 867 1 15118 2068 1 17182 868 1 19982 4060 1 17753 1374 1 7769 4383 1 6473 7097 2 6552 6865 3 18213 1947 2 17135 541 2 8244 4103 1 6869 6414 16 174 7871 3 8870 3382 9 215 1464 6 18496 191 6 6695 4868 3 11766 2353 2 1676 1269 1 2446 1819 1 19978 5319 3 4016 1756 1 14773 200 9 12424 5420 1 1870 6355 2 10643 220 9 9596 2735 1 17061 4674 1 525 2488 2 5246 910 1 15615 867 1 6297 3049 5 12618 344 2 1712 3900 1 15303 4681 1 1515 495 1 20207 5150 2 17637 581 2 9829 5550 13 12390 5439 1 14027 225 2 5638 62 1 2886 4587 1 6422 3593 2 5679 3400 7 16500 1721 2 3924 382 1 12826 1119 8 943 5077 14 17203 7444 1 14171 206 1 14006 340 4 719 792 1 13130 196 9 9353 2671 1 739 1695 1 6573 1814 1 19283 222 5 18923 1819 1 16140 2489 4 7790 5788 1 10351 3570 17 3235 1399 16 19197 825 1 10473 5747 1 6929 1728 1 916 4600 1 3016 3012 2 14988 8099 1 14418 3417 1 9279 1275 2 10692 894 1 19239 518 1 5571 2742 17 6003 1946 8 11085 4211 1 17152 1721 1 2508 4467 1 9535 2521 1 9709 6708 1 9555 899 1 13829 501 2 18871 7576 1 10060 6557 1 13743 2993 3 4963 7178 1 11998 2534 1 6852 6196 8 11338 3512 5 296 1732 2 3164 1772 2 2629 532 2 18634 600 1 17677 2534 1 3665 7632 2 17738 3753 2 14108 1757 1 19537 2949 1 15535 1703 3 3603 6488 1 15791 6482 2 15670 983 2 2985 642 2 18806 2433 1 6418 5279 8 16249 4016 1 13071 5708 1 935 222 7 8952 3974 1 5744 232 1 7536 203 3 1109 1942 9 5385 2651 2 12391 1710 1 13676 191 1 1178 2945 1 12023 1789 2 19881 3512 1 6697 1772 2 4941 1698 1 13574 1367 2 6259 6053 1 4739 5334 6 6894 609 4 10346 1244 2 4386 46 5 6564 214 2 1989 6706 1 6413 23 4 9219 222 1 16674 452 2 15041 23 11 13775 2419 1 13412 3086 2 8573 4796 6 10308 7210 1 11461 496 1 4583 2712 1 1442 10 1 12493 1772 1 14233 509 1 4074 411 1 19331 8183 2 9945 1573 2 13051 6663 1 8405 5207 3 3928 4547 1 7580 3027 1 14232 1282 1 6563 3593 1 3152 175 1 11344 5011 5 18704 5127 1 3270 2000 1 17191 359 1 3581 1781 1 3346 5090 1 5693 3270 1 1551 1700 4 8177 2352 3 8767 229 1 143 5051 2 847 6502 2 15471 1395 1 10065 1249 1 19710 314 1 11687 8175 4 11956 519 5 18792 631 2 3189 6544 1 54 1307 4 12077 214 11 15783 155 2 14599 316 10 12024 1235 2 13310 201 2 3580 5082 3 3119 1728 5 16707 200 1 8710 378 1 5545 200 1 5003 512 8 19664 220 1 4774 7989 8 1900 4385 1 14802 4366 1 8049 3647 3 6415 1649 5 14541 5121 33 6630 6168 1 4745 5506 4 7165 5333 1 17420 214 1 19967 186 1 19810 498 1 8746 7570 7 12077 3167 2 9733 1245 8 4492 1747 1 10718 1241 1 15227 1728 1 4545 2549 1 11141 4563 1 1002 745 1 14299 4621 1 16613 2263 1 18071 3970 1 4992 5018 1 10034 2144 1 7390 606 1 160 7280 1 3384 1245 3 7245 7997 2 14147 201 6 9250 5852 4 13944 1284 82 19687 8113 1 160 7304 1 12184 1745 14 1703 233 3 5025 1698 1 13654 5443 1 17644 5349 2 4963 1238 2 17878 8194 1 18971 628 2 270 214 1 2822 4530 1 2136 23 1 8775 6705 4 4595 1239 4 19267 5427 8 10044 221 9 10179 449 1 5501 778 1 4679 1666 5 13405 4555 2 9554 6289 1 4870 5329 1 164 7443 1 11746 212 1 4515 1298 3 12138 4435 1 7404 903 5 14897 1658 1 2738 8026 1 83 3756 1 3934 3992 5 4550 6591 4 14114 656 2 8128 1761 1 149 6727 45 1677 3285 2 9141 2522 1 6907 2917 1 7507 343 1 6323 2488 2 812 7876 14 14438 6179 1 7306 722 1 12148 6378 1 9941 6769 1 19218 228 1 16887 1052 2 267 827 1 14162 1193 1 11363 221 1 19782 347 2 10245 7101 1 6872 2683 1 30 1374 1 11687 1454 6 8377 3110 1 6781 7229 7 14824 1251 18 18357 1407 1 177 8158 1 8423 3338 1 13298 8091 1 554 8194 9 16887 3970 3 17019 4037 1 3414 512 5 6413 1334 6 14597 4640 2 8161 4563 1 9661 2254 1 14839 201 10 2812 7809 62 5815 1903 2 1150 1188 1 15043 5341 3 18508 57 1 16266 338 1 13373 5305 1 10000 2953 1 10360 1037 1 9988 749 16 5261 203 4 16343 203 1 15009 6106 4 2946 7998 5 1530 1703 1 11430 220 2 9110 1487 4 2880 7753 1 14218 717 1 7432 6102 3 20173 340 1 6708 1721 1 17208 597 1 745 501 1 8519 1257 1 13160 2588 2 9503 1975 4 10916 906 1 4867 1762 1 10061 6703 1 6619 74 1 4500 7941 1 12592 200 6 7653 7946 1 7131 4816 2 10988 381 1 1999 3005 1 3405 3687 1 18873 1146 1 2731 3011 1 9133 194 2 4963 214 2 708 816 1 3471 84 1 6063 3293 1 181 8233 1 12569 1133 1 15737 5420 1 773 1374 1 17779 910 1 8259 1784 3 17127 219 7 3485 197 1 19486 4582 5 2078 23 1 7790 6576 1 16280 6204 6 17395 4723 3 18083 2367 1 9146 5893 1 10584 1249 17 20023 7201 4 2895 303 2 10498 3715 3 11839 3689 2 10839 319 2 143 6550 3 18033 2970 11 11521 367 2 10262 5573 3 11980 2150 1 94 4253 6 14146 698 3 5900 3634 4 13825 225 1 10536 6566 1 19045 508 3 18968 2718 1 3619 2632 1 13827 220 1 3133 6723 1 8373 8002 1 10414 13 10 15689 214 1 16602 219 16 5478 222 8 5952 74 3 6314 831 12 10177 512 1 1469 184 123 12739 763 1 20211 5120 1 3485 1342 6 10828 5121 2 6963 1417 1 739 220 2 10315 5054 1 18485 5596 1 16724 235 2 4142 1779 6 5827 894 1 768 1714 3 10374 6107 1 3043 5478 1 2591 1743 7 19720 2675 4 19382 3708 1 3995 2727 2 18226 234 1 3133 6343 1 1711 4532 1 16090 6134 1 9035 955 4 14063 501 1 10770 7101 6 11559 3331 2 18762 220 1 17120 541 1 14722 156 1 11206 521 2 6587 625 1 1542 519 3 9604 4069 1 17676 1390 1 16916 477 1 14230 203 5 4483 512 1 14906 46 7 16847 3545 8 5161 1739 1 8202 4237 1 16178 1610 5 13117 6971 2 7164 1282 1 19339 200 5 2116 1726 1 6144 2969 1 3616 1747 1 2433 4647 5 4927 3576 2 17562 6610 1 14685 1763 1 7473 1726 1 9638 3516 20 5952 1464 3 13328 8155 1 342 3338 1 18004 4695 1 13967 1780 4 15898 1334 1 1801 422 1 19047 2737 1 9493 1343 13 3960 1772 8 2834 2024 2 14188 1715 2 6136 1747 2 11883 1967 1 14522 13 2 835 23 3 13205 504 1 10693 2761 1 9745 366 1 10072 5036 2 1387 328 3 20013 4568 1 14772 2348 1 14080 3567 1 254 235 12 16593 2056 5 19985 6602 2 14900 214 2 11007 6268 15 6911 6321 1 10999 494 1 16618 1249 1 5407 1748 12 1361 7074 2 9104 5051 1 2985 722 1 17960 3058 7 12417 3570 1 6990 7098 1 11635 8174 1 5140 2646 1 18027 2265 1 4314 2949 13 15193 38 1 7832 6754 7 9072 4264 1 3059 3378 3 6848 1722 1 15100 955 1 5891 2114 71 15084 1235 4 3186 3803 1 10931 910 1 18375 2444 1 4663 646 1 3425 514 3 6479 5051 1 10927 4702 1 19658 6286 1 643 3453 1 13829 880 2 13126 3448 5 14573 606 2 13032 201 11 16218 34 2 8221 5468 3 15478 8045 1 12 505 6 15059 1468 3 6940 8054 1 10763 6242 1 3755 3556 3 3815 648 2 7261 1727 1 9395 768 1 7886 1454 1 19239 203 1 3449 203 26 3236 385 1 4092 398 2 10612 1717 21 12480 1322 1 2116 244 1 1322 10 10 4577 7570 1 2905 545 2 26 1578 1 5775 186 2 5976 7144 2 3003 3689 1 11789 4383 1 3048 816 5 11925 888 2 14964 1357 1 9615 1768 1 10948 6150 2 13430 3643 1 406 7098 2 4092 1251 4 16364 4572 1 12895 451 20 13283 409 1 3395 1731 1 12758 7623 4 1613 1748 1 930 3096 1 18030 498 2 5695 1748 1 2055 212 1 8746 6435 12 6272 6866 1 14946 1241 2 19833 420 1 13764 411 1 6990 2814 1 10733 5097 2 2461 3684 2 12715 221 3 15996 2883 2 3031 3907 3 13 587 3 12005 3247 5 7031 8203 1 15159 1232 2 7893 497 10 1364 200 1 15041 5018 1 159 7251 1 9026 187 1 12131 5292 1 8893 6053 15 835 6231 2 18538 219 5 5216 2068 1 8170 343 1 13147 2736 16 1191 214 7 16670 2424 1 18189 8060 2 19241 912 1 4739 23 1 2671 7594 2 16815 498 3 8342 1080 5 6452 2656 1 12294 1827 14 17550 215 1 12267 5559 1 10573 6568 9 19223 536 19 17833 2129 1 14648 1146 1 8244 3231 2 11022 4003 1 10578 10 6 7571 3615 3 10957 1728 1 4277 2534 5 20039 1054 2 13485 1023 5 16891 952 1 8406 508 1 5049 2581 1 18862 6874 1 22 1415 1 11640 203 18 5831 23 4 16829 2353 1 625 3460 4 18614 1721 1 10049 1251 2 9259 1311 5 18734 1614 1 11773 175 2 13009 2372 3 13084 1474 2 7184 1731 2 5745 4228 1 4279 4317 1 8499 1698 2 10553 3227 1 13549 4516 5 18989 631 2 4841 2484 1 15314 5487 1 1642 3900 2 12757 4807 3 13076 378 1 2583 4336 1 8356 207 5 10633 1757 1 6982 1242 2 6932 82 1 19140 1819 2 16349 935 1 8708 2573 1 1709 5401 1 18847 945 1 19169 2662 1 7560 3330 1 916 1209 1 6188 4377 2 14814 3638 1 11841 3637 6 3253 6016 1 3795 3338 4 13165 2686 9 15029 2843 1 17477 8141 1 8824 206 1 865 2100 1 12116 3101 1 5613 8057 1 13711 756 4 12760 6582 5 10757 1789 1 11531 23 2 15630 2013 3 15778 2647 4 15691 7886 1 1464 327 2 11563 2138 3 6349 3433 1 14721 3747 2 6975 5708 1 11008 4435 6 15084 2969 1 10133 1779 1 9984 3971 5 8763 413 2 6895 6263 1 5754 7254 4 111 5013 1 12815 496 1 14078 520 2 14538 1656 1 174 4933 1 10105 1727 1 15452 6964 1 4072 4807 1 1391 4403 5 11399 3278 1 7587 3250 1 18879 1996 3 15629 569 1 11735 6007 3 2917 2317 1 5007 1697 1 16196 4737 1 2584 1395 2 8757 6185 1 81 3686 2 14597 5879 2 19286 1705 1 12592 3417 4 10575 566 1 15013 3804 1 1059 4597 2 12317 220 6 19779 3894 1 1107 411 1 7535 4619 1 11651 201 7 3337 6885 4 19864 1658 1 16048 1825 1 14634 4572 4 2384 3417 1 16378 6801 1 18447 304 3 95 4349 3 7780 3715 1 15796 2103 1 12710 6064 4 18889 1116 1 8730 493 2 18431 1241 1 2284 1032 1 5185 7953 1 8519 2068 2 1405 6544 1 9451 6164 1 11544 4540 3 12098 293 6 16358 3972 4 4898 1707 1 1631 895 1 376 1772 1 19660 759 3 18246 3787 1 33 196 1 4640 219 10 11868 3586 5 9248 206 2 12504 3203 5 16189 939 1 5860 6341 1 17758 23 2 8969 1721 1 1251 6658 1 14454 3798 2 12837 2353 1 675 232 1 9836 232 1 4180 5736 1 4663 664 1 9093 1732 6 5871 6897 3 14745 1825 1 11956 833 1 2063 8204 1 3841 644 1 11929 3192 1 15156 1119 4 10916 2004 1 1558 845 7 135 5642 1 17083 518 3 8712 524 2 10690 4274 1 3918 220 3 6406 3629 1 4465 981 4 12818 207 1 17378 3145 1 8739 3385 1 13148 94 1 15912 2097 1 4314 232 7 16981 4764 7 5356 2595 1 16227 1732 1 19777 6714 1 9157 221 1 9733 1244 8 15289 4607 1 8875 1741 2 1288 3476 2 8585 539 2 1326 1774 1 10168 506 4 12789 385 1 7886 7232 1 5684 1183 2 15015 1698 17 12501 1241 1 19486 5427 1 10784 4189 1 8926 6396 3 19237 1042 1 9986 481 16 8730 4085 1 16896 7689 1 19050 214 4 10145 300 3 6249 447 1 12947 173 1 12453 186 10 15634 4877 2 19193 2296 1 15776 96 1 17505 6946 1 7851 1720 18 4273 3301 2 14301 631 1 14354 1783 1 18278 3967 2 14900 220 3 10880 520 1 6605 6435 1 14226 5945 1 1439 5972 1 15714 3480 4 18252 7050 1 7610 3382 1 10958 6331 3 15195 2186 1 7820 4363 1 17404 222 2 10283 2686 6 17014 1819 1 81 3661 1 15144 4266 13 9952 2276 4 20112 2478 1 3562 1768 1 9581 220 10 2154 3163 4 16057 385 5 18936 222 1 1847 2578 3 7289 5454 1 3939 2935 2 15823 1150 2 18792 233 4 604 840 1 18546 2889 1 12028 5018 1 7756 4038 1 11307 200 1 6503 4500 2 12142 5187 2 4987 857 1 20248 514 1 18885 534 2 3031 1921 2 7286 219 3 8687 203 10 13644 460 1 15283 200 6 13411 1374 1 11615 1395 2 17815 173 1 2194 803 14 3673 4794 1 14896 225 1 14369 5021 1 1705 916 4 6183 1464 3 13445 5063 1 9941 4554 1 6834 4967 4 3989 889 1 3485 87 1 15429 4159 1 18883 6757 1 60 2743 1 11533 1312 1 1216 5009 1 17589 4145 1 1511 6205 9 18886 880 1 17072 203 1 8510 575 4 7571 5205 1 17563 2966 2 17996 2608 5 23 1433 1 12733 3192 2 6464 184 2 17681 2246 2 16548 46 25 6853 4280 1 1554 1369 1 513 1261 1 8472 4390 5 3031 1271 1 8779 7440 1 6654 5105 3 18692 1728 2 19029 426 2 15743 196 11 6183 4029 2 11882 3070 1 18815 214 7 19961 1902 1 20114 5543 1 13116 1395 1 8190 3485 1 34 1837 2 12727 185 1 2494 2241 1 10689 169 1 14804 1772 4 10396 3065 2 1625 1206 1 7610 270 1 847 4019 1 11709 891 2 12548 3167 3 14722 220 1 3786 1211 1 17127 1296 2 15091 4563 3 452 7853 1 10006 3477 1 15637 173 1 13613 1054 1 20217 156 3 17709 184 12 8969 232 2 11846 214 11 6909 1399 4 4598 1776 1 2299 663 1 8006 6985 1 16374 48 1 863 5254 1 7099 206 1 8553 1595 1 12874 1239 1 9759 5018 1 19673 7248 1 18132 632 4 1725 7121 1 10579 2821 1 16247 167 3 11790 2111 5 17843 942 1 4812 5127 1 20126 2016 3 18357 4105 5 5494 5806 1 17939 4005 3 7590 5093 1 1389 696 1 1612 229 1 19907 7073 1 3847 510 4 12826 2542 1 8748 1707 1 3311 282 1 8787 4722 1 1568 2246 1 2570 2807 1 11755 2419 2 19080 7679 1 7224 2087 1 10000 1705 1 6907 7237 1 19578 6502 1 12217 1990 2 7224 621 1 18511 2350 6 4500 1357 1 4357 84 3 6750 219 2 3380 910 3 19401 3511 1 11868 5263 1 18951 203 3 15104 1727 2 7261 252 1 17710 1729 4 3366 274 1 16958 4677 1 6139 225 1 5866 1105 2 10105 34 3 7734 1778 6 12094 7510 2 18869 6029 1 15364 764 2 5851 1824 1 11488 1 1 3734 4702 7 2704 2419 1 11844 4245 1 18069 418 1 7974 6494 1 10346 867 2 15313 1240 1 10984 1150 4 7751 2256 1 10451 1903 1 11261 3050 4 1161 6227 5 6010 1331 3 16625 207 1 40 2057 1 8451 234 1 11626 6229 1 14975 5245 12 7382 467 1 2465 7351 2 10948 5767 1 2198 5538 1 18212 495 1 13716 2575 7 11086 1253 1 14522 918 2 11533 702 1 1530 3747 1 10693 3069 1 10707 3906 6 2267 6777 1 3075 534 2 8406 252 2 16597 244 1 139 1234 3 14502 2550 10 20072 2261 1 4018 218 1 11820 1657 3 17073 1296 2 4301 3400 1 3989 843 1 6452 636 2 5161 2027 1 8446 518 1 2553 2726 1 126 5656 1 19135 5153 2 12050 2363 2 2499 1731 1 1551 1772 1 174 7859 2 18413 4448 1 14128 8109 3 5564 4200 27 17476 378 1 19046 3556 3 10203 1307 10 17314 533 17 2708 873 1 2292 4060 1 4679 6645 1 20114 225 2 16858 4059 1 1231 5768 8 95 4381 1 62 2831 1 8751 7466 1 3562 214 4 8554 2581 1 11339 1251 2 1171 184 1 12038 215 2 17529 1814 1 240 1246 1 8319 3526 1 18593 1062 7 2917 3900 3 18289 7308 11 1150 7843 1 6772 220 2 17947 1757 2 14384 498 2 19384 2768 1 14805 4986 2 5866 6435 3 8748 817 1 16548 95 15 6997 5759 1 8652 200 5 14896 3605 1 5278 5018 25 2461 6107 1 6769 5571 1 2903 2410 2 14312 3917 2 9713 1747 3 16191 3399 2 14727 5737 1 8378 621 1 2930 4315 5 10837 853 4 16868 7232 5 14924 823 1 10817 3071 1 11965 2228 1 10099 5883 1 13865 2666 2 2443 23 14 2674 1701 1 15952 426 1 10068 164 1 11635 5433 11 17697 1739 1 16869 3679 3 19330 5318 2 1676 575 1 15622 2698 7 3571 1715 4 11020 177 2 16130 2827 5 2478 1424 1 1849 7168 1 2470 2355 1 8532 2727 1 16444 1747 13 1080 6955 1 3521 4877 3 18477 20 1 3146 6382 1 18138 7723 8 13928 2253 3 11786 1439 2 18079 2699 3 18178 2352 1 8663 5618 3 5631 4303 1 2794 3371 4 6932 3155 1 6473 3512 7 16268 3999 2 4642 2653 1 1489 6009 7 6203 1379 1 16968 7355 6 10862 225 1 12725 3408 2 12392 7878 5 8778 2671 1 54 2594 16 3892 8013 1 18593 203 47 18833 219 1 17416 7972 2 6976 4290 1 2087 5855 1 5475 840 1 929 4986 1 12775 1369 1 7225 3756 3 8710 495 1 12837 1663 2 15792 201 2 16678 303 10 2330 2938 1 14154 4369 1 5252 3913 1 8236 3058 1 14870 6176 1 1571 545 1 16090 5757 1 3164 3512 6 20049 2555 1 16129 7541 1 10279 3148 1 18876 953 1 5891 7857 1 5645 1395 1 2284 2653 2 8158 7828 1 12883 2407 1 270 2626 1 11729 3414 2 19498 1816 11 13711 13 1 15426 2780 2 19862 203 16 17681 5995 12 12620 2352 2 9579 2600 1 5959 3283 1 8567 1342 1 15182 568 1 10261 867 4 706 4909 1 9131 2869 1 12895 2626 2 11786 5538 4 12489 201 1 14746 2508 3 17746 916 1 17378 8194 1 7836 8013 2 18584 3135 1 15116 7427 4 2369 8184 1 1083 2559 7 15969 1150 3 3003 1342 2 7455 3710 1 6839 1751 1 14745 1740 1 7419 200 1 5399 1469 4 7020 7410 1 1936 1776 1 6905 4105 3 10654 2363 1 1040 3225 1 6305 891 8 18048 6150 1 6052 1747 1 2602 1740 1 10703 3411 1 5431 3027 7 2357 996 1 18344 1489 1 16101 1995 1 10738 7427 4 12956 410 1 10327 888 1 19314 1768 1 19383 5618 1 18043 2009 1 9747 1399 2 16981 1474 10 12988 4343 2 9824 6886 1 3872 7519 1 65 3151 4 8097 1917 3 7727 1734 21 20016 7403 3 7640 3645 5 19957 936 2 19331 2675 4 16334 6134 1 18338 1738 1 18924 525 1 14788 206 1 17987 2868 1 7135 2727 1 3281 1721 1 14896 1734 1 15821 1761 1 4104 3228 3 8602 2656 1 365 1274 1 6589 4653 1 3716 23 1 5336 5928 1 11072 867 2 4040 158 1 1962 3353 1 2080 2552 1 18887 5325 1 8446 1819 1 9168 1736 8 5056 3135 6 6245 1768 5 8543 2727 1 8754 4202 3 18023 6341 1 10240 1613 1 3215 6027 1 4310 244 3 11566 6140 1 11863 196 1 8311 5018 3 646 3411 1 4259 84 5 3016 1587 6 7817 631 2 2619 5389 2 14993 6700 1 4449 2588 1 10757 201 1 3962 1772 2 17874 528 1 14237 1700 4 3536 3882 1 11058 6743 2 5128 8141 1 8744 207 5 17123 3895 8 7296 196 5 6418 3625 10 10937 4325 1 10575 580 1 3219 3233 2 9359 6471 1 8415 4145 1 2841 8057 1 12603 1731 2 10486 274 2 8261 6620 1 17652 2789 1 8657 2646 2 11164 6334 4 109 4976 1 18822 656 1 10462 2367 5 3472 1742 1 10102 4713 2 12970 2581 2 1361 3862 6 18536 2514 1 1973 7538 1 10519 1704 3 7828 200 3 8468 723 1 6597 3533 1 7430 5003 2 1612 496 1 16493 867 2 13574 6714 1 5957 3511 3 334 1020 5 4212 713 1 5042 5547 3 18231 6201 1 14616 1245 1 13009 5397 2 4545 168 1 964 5144 3 11131 821 3 5041 1721 6 4092 220 4 113 5025 1 9485 48 2 4593 933 1 13461 1237 3 18730 1266 2 4082 471 2 6676 5842 1 9284 882 1 4987 746 1 1108 510 2 3968 7809 2 19346 6892 2 2072 1272 1 11852 1244 2 18794 6404 1 3794 5972 1 1012 3233 9 648 4155 1 15180 1253 1 15079 6346 1 18160 5560 2 18843 7597 1 1883 2349 1 17331 2353 1 10121 4941 1 10245 1184 1 17440 7801 1 6597 4525 1 6198 2708 3 11145 378 1 1037 1748 2 14883 2559 1 15468 47 1 17403 4203 1 14881 724 1 4452 1296 1 15599 6591 1 824 2708 2 8528 3333 1 19324 3408 2 4559 1819 1 18193 1760 1 16853 1535 8 9947 766 1 3695 2668 1 19720 7976 2 15818 3134 1 19433 1342 1 5025 2727 1 15726 200 3 15311 201 1 18199 505 3 6206 1946 1 3485 1769 2 3147 5391 1 7627 7714 1 8905 6139 1 19056 3059 2 3427 61 1 1551 1705 5 8888 1757 1 10472 5305 1 3026 517 1 19957 663 7 10172 4543 1 2886 14 1 5680 51 2 17298 23 1 6222 2646 25 1498 484 1 10862 252 2 9066 5368 1 10137 2620 1 5620 207 13 13461 1762 3 16358 2022 1 9552 1247 3 1062 201 1 15122 2248 1 10822 7777 1 9432 5595 1 2833 1752 1 13001 148 1 11219 1236 5 20102 5130 2 17403 2517 1 2126 8075 2 4049 1747 1 8084 8141 5 9128 7850 12 13543 836 1 12882 6102 1 19883 881 1 16096 2632 1 8930 1719 5 18538 4702 1 7769 545 1 6010 190 7 6774 175 2 6478 1062 1 16303 1361 3 5857 2777 8 570 214 4 11888 3503 7 13615 207 1 9155 5945 1 4056 3155 1 5063 682 1 14903 1722 2 42 2200 1 19833 366 1 15274 974 4 4259 2559 2 5688 800 1 6634 368 1 18396 1979 1 20191 5961 2 14692 200 26 11072 367 2 19872 493 1 12713 1752 3 852 3684 3 13224 7597 3 2985 605 5 6342 1751 1 12980 1828 1 3972 5440 1 18806 2506 1 14509 252 2 2104 5674 1 17947 5897 1 4104 1758 1 17953 7412 1 8709 3578 1 14671 1173 2 6781 2138 1 20087 2636 1 9875 1707 5 15817 3900 7 809 505 3 18386 4069 1 2831 2552 10 1867 6682 1 6932 385 3 8554 1661 1 6781 3525 3 11827 2677 1 1760 2695 2 13604 883 3 2188 1827 1 12322 187 2 17770 4653 2 10410 6473 1 489 8017 3 9288 6365 1 10518 716 1 10916 2869 1 5983 3138 2 944 5162 2 7130 3331 8 7886 1495 1 19131 1912 5 7672 1727 6 6973 3206 2 3331 2715 1 8549 200 5 6193 554 1 4012 6498 2 17279 1755 1 108 4831 1 13065 2649 1 679 708 1 3588 206 1 16847 1903 4 5218 184 1 17243 534 1 19115 1363 3 4965 1211 2 15343 1825 9 855 1732 2 1948 15 5 18237 1453 1 3242 2701 2 3532 1261 1 6228 596 1 12457 859 1 4228 3323 1 4579 207 13 7349 6341 1 11076 2591 1 5859 4816 1 1491 2727 2 849 3511 1 2491 5243 2 4280 5039 1 7532 1357 1 10381 215 2 20202 1251 1 12846 1728 3 10899 4623 1 5004 5258 1 16816 5427 4 13302 215 2 11412 7468 7 3221 3276 5 1801 4448 5 16664 502 2 18017 934 1 1237 164 1 1625 6450 2 10452 769 1 15313 13 1 15778 5255 7 18481 4257 1 14921 1266 3 7824 5479 1 727 4009 1 9464 1474 1 2871 3676 1 2069 2068 1 18568 8103 7 15970 7897 1 6605 6231 1 7022 7237 1 6332 2877 3 8907 201 1 5010 1583 5 10862 1819 2 173 7849 1 8853 3224 1 737 642 2 14427 6845 1 14196 5023 8 19811 3685 1 12789 6892 1 19724 1247 4 6688 505 1 7115 8190 2 1706 1331 1 15516 2938 1 9194 1245 1 14027 2307 1 9869 781 1 12190 5997 3 6712 177 1 13335 6132 2 18132 1401 1 4245 447 1 3181 2146 1 3094 6252 1 2935 6196 18 16582 4027 2 4331 4095 1 18267 5468 1 18166 7850 2 6548 1996 1 8566 5327 1 7109 566 1 15185 520 1 7334 1290 2 6389 214 5 14233 207 2 16916 1007 5 17009 235 1 496 383 1 7187 617 8 17445 4912 6 14951 5127 1 14706 1755 4 14586 5314 2 1322 7601 55 9604 203 19 11534 23 1 8312 1363 7 10957 3511 1 18613 1686 19 16379 1748 21 7640 8047 2 19246 6754 1 12507 545 2 10102 6059 3 2523 2480 1 38 1441 3 6982 3338 1 1666 518 11 19999 3869 1 5356 4236 1 8062 496 7 6818 15 1 16880 1715 1 12402 6914 3 10156 1283 2 580 3058 2 15394 3230 10 1045 1244 1 16036 2645 3 4599 2362 2 7709 1777 1 7000 5737 1 3975 3747 6 14790 5001 1 6228 622 6 8683 201 3 17756 1760 1 3902 3454 1 7000 4249 1 11840 7473 6 16575 2013 1 5282 1228 1 10947 229 1 4225 8141 1 9660 3798 2 8386 3001 1 9957 4427 3 10124 867 1 12970 6013 1 19735 8142 4 18672 2344 1 5684 937 1 19350 2885 1 1667 792 1 9726 6674 1 7567 6538 2 6349 4589 3 8129 573 1 8006 496 1 14666 203 153 7867 1404 3 6131 1236 2 15599 5242 1 6877 1721 3 11563 5468 1 1125 2012 1 3008 4280 1 2735 1703 1 19033 1395 1 11981 545 2 13058 386 1 9178 1770 4 1935 7900 13 143 6629 2 745 880 1 11944 3584 5 10478 6906 1 343 2678 1 8495 1334 3 15101 2674 1 10316 2344 1 3337 7012 1 2310 5294 1 18308 623 11 8641 545 1 15833 1745 1 18220 6108 1 14854 1687 1 13267 233 10 19025 3065 1 5749 3951 1 8086 631 2 4691 1698 1 7769 1732 1 18976 7424 10 2237 710 2 1955 3334 2 16924 698 1 6114 6571 1 8458 1164 5 9707 491 1 16938 2356 1 450 3031 1 17809 1743 2 20148 385 3 13717 411 1 11805 4312 5 13677 1471 2 8378 623 1 11153 4383 1 16916 1037 1 1379 3096 1 17156 2885 11 10092 940 1 15716 206 3 18344 164 2 1033 190 3 16033 6900 3 16036 1153 9 19671 1745 1 18285 4517 1 8960 471 2 8969 2673 1 1600 3143 1 9051 1251 4 4062 6224 1 17152 510 4 3015 219 4 12328 6949 1 7804 4375 5 12886 7404 1 2962 3198 1 14738 409 1 12283 1246 1 11420 447 1 86 3959 1 13106 3901 2 4055 4561 2 17682 6754 1 12450 3262 1 8591 3276 6 17165 208 1 16924 792 2 19331 7256 1 19160 8141 6 18591 214 1 11122 638 4 9010 6074 2 11964 3113 1 2803 404 1 8162 7554 1 6769 3011 1 948 4340 1 18223 1721 1 1970 184 1 14423 4467 2 17348 3693 19 7509 6754 3 3367 4427 5 20262 203 1 13219 7018 8 1962 6416 1 12485 4476 3 8332 2240 1 10522 3588 1 8193 1342 7 19865 6537 2 5243 1207 3 12984 225 1 11611 361 2 13116 1342 3 14290 382 1 14765 935 1 8365 3230 1 13746 532 1 11638 525 3 62 2824 1 3642 4478 1 19658 7594 1 15296 3088 1 658 6537 2 11212 184 1 4970 662 1 12030 1312 4 8532 1727 2 13971 385 1 5468 1287 2 5849 1784 2 10592 2568 1 19428 2024 3 19286 6204 10 11952 1707 1 11516 2299 1 15725 5686 1 7127 5051 3 17936 219 5 7750 883 1 116 5221 1 10207 4698 1 14043 7420 1 9865 496 1 13087 4403 1 17405 23 1 6327 1184 1 9865 1699 2 3109 6229 4 19387 1237 1 8417 207 1 5539 3526 2 11084 4393 1 11797 2330 3 7670 911 2 6809 1827 4 7213 229 1 944 2646 2 6945 3389 1 15433 4042 1 4696 6170 1 15564 1184 11 12537 1424 2 17738 637 2 3271 6779 2 8585 1711 6 8022 7857 3 16914 844 2 276 1994 3 2423 1269 1 6819 232 1 163 200 10 1969 1146 1 14150 714 2 10482 4531 1 9887 3492 1 3115 2651 1 19625 2671 1 716 2357 11 9317 7221 1 2694 2552 1 18385 5021 3 11742 2930 6 7426 5058 2 1190 1929 11 13653 4708 1 3384 1399 1 873 2056 7 8730 2009 1 18866 1729 6 20234 3084 4 12437 6692 2 94 363 1 62 2980 1 14276 3609 1 13892 1819 2 3008 1236 1 14307 705 1 16509 1645 2 8499 6231 3 3509 5018 5 20090 2602 2 68 3245 2 11345 6597 7 10950 1250 1 3734 2993 1 3328 132 1 8192 3671 2 2850 23 1 10988 2118 1 15025 7120 2 11341 1464 2 4330 1722 1 7451 225 1 5703 7597 10 20145 2363 1 9422 543 1 18197 1492 5 17947 883 1 171 7670 2 2297 244 2 17734 557 1 4631 97 2 9374 1757 1 2458 249 1 14289 3405 10 12592 3806 4 18944 6457 2 18768 1703 17 13328 5401 1 2320 1341 1 15281 46 1 12691 81 2 3796 1819 3 10446 6355 3 6457 995 8 6587 6025 3 13891 3618 1 18926 3872 2 18734 6991 1 5864 6067 1 16104 514 1 7103 6231 4 10862 3556 1 15695 2369 1 11446 545 1 14022 2675 1 19457 5304 1 15364 7101 1 31 1748 3 4057 804 1 780 2487 1 8520 7497 1 7900 1470 2 413 6892 5 6412 900 1 5505 7852 10 18976 337 39 3014 7772 2 18431 5435 1 108 891 1 8585 1312 1 18193 203 9 12334 5758 3 5007 223 1 7461 702 2 14682 4511 3 19241 1819 2 2742 1466 1 11504 1464 3 8159 186 1 11497 5531 1 2810 1747 1 14519 1063 1 2189 5708 5 15610 725 1 16770 411 1 8273 1676 5 17019 1686 1 6109 2065 1 1706 867 5 15522 1705 1 1500 1372 1 5545 220 1 16447 3067 16 14758 2517 1 54 2608 4 3570 5447 6 4382 5408 1 15490 100 1 15202 707 1 5252 4096 1 9952 3537 4 15346 521 1 15041 1752 1 5200 4177 1 3874 6946 1 19573 1720 3 4593 3382 1 80 3596 2 10176 3230 1 16305 4274 2 14797 541 2 9419 207 1 8260 1464 1 8087 1700 4 9921 3922 2 16072 638 1 10313 399 1 3173 1239 1 9249 165 1 465 303 1 13779 5016 1 16590 7098 2 18237 214 1 18 1252 1 19313 4945 2 15280 2640 6 2992 3074 2 2917 6954 1 3355 1705 2 16924 957 3 5361 5018 1 536 2352 1 17585 2482 2 5185 3798 1 6683 233 16 16177 2424 1 4992 156 2 2086 1363 1 13538 524 1 11599 7222 3 6638 2968 5 12903 1727 4 916 5923 4 2998 46 1 15712 4013 1 2749 2930 1 4620 509 1 15482 7963 4 8210 6793 2 18939 518 1 19977 852 1 4491 5082 1 5776 7958 1 8915 6793 1 10099 1955 44 14731 7300 1 7994 6035 1 5403 7250 3 153 7088 1 19872 793 1 5743 6341 3 10879 5162 1 1683 8105 3 13 556 1 15564 201 6 7498 3610 3 6551 1445 3 11072 1776 2 6926 4501 1 8358 545 1 7663 1269 4 3747 3512 2 10 262 1 12133 5951 1 13813 206 1 12833 4490 3 13247 5018 1 10290 206 3 15525 3135 6 5074 190 1 14318 3276 1 15940 3786 1 14778 244 3 10579 391 1 10313 4402 1 11154 23 3 17731 203 22 13465 355 1 13312 2009 2 15683 3109 1 18979 1573 2 11072 2270 6 51 2532 3 6130 554 1 9317 1249 1 18795 3921 1 4714 367 1 13589 7606 1 4634 4879 1 10014 223 1 19621 1474 1 12463 3408 1 13700 895 1 13428 4559 1 17204 223 1 1288 3337 5 13543 7980 1 17686 6533 1 20107 74 2 17600 95 1 14660 2376 1 108 4855 1 1506 184 1 4226 7213 1 5304 3954 9 1259 1778 10 19286 3298 2 910 5603 13 10522 1721 1 18193 1239 1 5759 1721 1 20019 1980 4 2121 214 1 9250 5844 4 14580 1241 6 7886 7252 1 886 3791 7 14906 745 2 1976 1819 1 1458 1571 1 9551 203 3 4498 7684 3 11400 1705 2 15679 4490 4 10244 1363 2 6144 4582 1 19872 5121 1 18748 3916 1 18171 397 6 4857 3230 1 14844 45 1 4708 201 1 9608 1903 1 9168 1717 1 8223 4299 2 1430 2494 1 8831 666 2 10663 173 3 8281 251 3 495 5532 5 326 5120 5 10624 601 32 6036 2605 8 904 1819 1 10983 1752 1 19267 642 1 14766 6058 1 13735 1726 1 14782 4312 28 11385 2138 1 19193 1995 8 7056 2481 1 16378 2261 1 2732 958 1 7498 6714 4 15558 200 1 14150 4702 1 16508 581 1 9743 11 2 14425 508 1 19604 2762 1 98 4379 2 20090 6213 1 1986 46 1 8658 1705 1 18610 6278 3 14722 1734 4 11425 173 2 8813 708 1 18992 1103 5 18256 1686 1 8825 2529 1 14162 1610 1 17124 3706 1 2827 7441 1 16768 995 3 8369 5850 3 13872 3197 5 1744 4016 1 9738 4984 1 9443 1699 2 9386 6706 1 13 232 2 2022 1740 1 12528 233 3 7205 1757 1 18466 5504 1 4267 3228 1 15918 4264 2 6926 3540 1 15272 222 3 7252 4304 1 19376 1342 1 10781 8031 1 17566 995 19 14710 623 1 5337 5018 53 13105 283 1 19273 6839 1 14773 4156 1 745 6596 5 12373 200 30 9688 219 10 6563 782 1 18175 4304 1 19679 3482 4 8198 3832 2 8760 3519 2 17084 6335 1 14587 745 1 6817 73 7 15721 6034 1 18443 6584 5 13090 6065 2 8504 3113 6 15593 4597 1 17498 136 1 18902 130 2 12367 1757 1 13113 7850 2 16057 4803 1 15419 514 1 2313 639 1 9432 7772 1 176 8144 11 17681 7989 1 18115 1238 4 18149 203 1 11687 2363 4 15931 4615 1 12094 7965 1 16595 4375 1 4611 1356 7 6070 1893 3 14569 223 1 2560 532 10 846 3338 1 16390 3167 1 12007 1146 1 13 923 1 11592 6793 1 135 2913 3 4332 4789 15 17891 1761 1 6889 4447 1 13001 665 1 17889 413 1 11129 8174 1 5565 4600 1 16843 5323 1 8939 1778 5 4072 2636 4 19131 8026 4 4072 1757 1 5444 442 2 15248 1303 1 18299 3333 2 8134 2618 1 13461 203 13 7463 2009 2 18615 1760 5 16254 1395 1 11364 2931 1 14745 1251 1 2317 4623 1 2373 2367 3 18517 523 1 14813 864 1 11277 4383 1 8328 3394 1 9722 1946 4 1551 3798 2 12856 1251 9 10850 2384 2 17244 494 1 10465 7466 3 5905 6680 1 20059 411 1 7215 5220 1 19568 3972 1 12904 4065 1 7359 1252 1 17049 206 2 8585 1762 2 11323 229 2 19239 7606 2 10624 6152 8 7455 426 1 12274 8194 1 2935 7411 2 8971 1703 1 2966 6512 2 16442 2355 4 1121 4988 2 15343 7466 2 18637 1707 5 10712 5011 3 950 851 1 11766 532 1 1361 7030 1 16379 3011 1 13304 4233 1 16232 2600 1 11388 1342 1 25 1496 5 14001 7477 3 1705 869 7 18119 306 1 15300 196 7 1273 2646 5 12747 215 1 12365 385 1 14753 3405 2 17884 524 1 1824 2132 1 6696 6204 2 2020 1154 1 7469 1973 2 12344 2715 3 6208 6683 5 9026 34 2 11122 825 4 12464 1238 1 8431 1080 6 7186 5346 1 10313 1322 4 6333 1687 1 1530 2620 1 11235 584 1 9315 6009 1 13581 7427 7 1654 1686 2 2748 7461 1 7363 1729 1 7829 201 4 1263 5775 12 14753 6481 1 12638 2442 2 5766 219 3 8242 4572 10 14909 2909 1 18353 318 1 15758 7572 1 18763 505 3 12057 7404 4 84 3881 1 16471 215 2 7663 1245 17 2405 2675 1 6619 3175 2 16327 1466 1 18876 896 1 14341 1760 1 1229 1737 3 19069 2292 3 13114 6011 1 316 6120 39 9835 6268 3 1065 6406 3 13925 7898 1 2665 222 2 15289 1340 1 10015 5332 2 8454 3512 1 4998 215 1 16484 6185 1 14234 667 4 13783 244 1 633 7319 1 16346 426 4 1499 1644 1 19552 5234 1 7340 3666 4 5964 1250 1 7670 600 1 5285 2777 1 19326 2708 1 18928 1681 8 4334 525 2 11928 1587 2 11354 5137 2 15520 36 6 9836 4016 5 16877 10 2 8946 770 1 18871 4909 11 124 5512 1 18370 6204 1 10915 3503 5 2384 2682 1 17699 28 7 5870 4389 8 538 844 2 16353 1819 2 572 1374 1 11458 6132 2 16661 295 1 2401 1740 1 9627 2981 1 4371 1537 1 8815 3074 1 3207 2292 1 10917 7266 2 3642 3841 1 13883 786 1 4688 895 2 11898 3869 5 4640 1164 1 12895 3901 2 12217 2626 1 16603 1464 1 7001 203 10 18609 1781 3 157 1621 1 6370 4791 2 8440 1275 2 473 6644 1 17917 225 2 5049 650 1 1036 2003 1 19193 510 4 11562 2897 1 2330 232 2 18207 2588 1 19187 6639 1 8279 1249 1 19833 1172 2 13042 8111 1 19603 330 4 9492 7829 2 11160 5446 1 19877 330 4 9573 1728 6 3985 6644 1 17074 2968 1 17946 1853 3 8573 1403 4 7507 4312 1 123 2735 4 9171 6226 1 4941 1342 1 2616 5162 1 2607 225 4 17288 207 1 16183 1742 15 12479 5347 7 16825 3910 5 14700 4242 4 8094 330 1 6348 2698 1 12434 1969 1 7480 8026 2 10019 5326 16 8652 4096 1 15159 3897 3 1687 676 1 13928 905 2 1108 232 1 5312 2089 1 14758 4704 1 2898 203 1 5977 1719 1 19227 7189 2 2885 214 5 13201 2675 7 2683 3556 16 5854 1147 10 12740 221 1 1601 3174 2 12049 2539 8 9937 219 2 3208 4014 1 11530 2881 6 5863 3063 1 14678 834 1 16090 5664 1 6117 2559 2 17851 764 1 9256 5349 1 7701 3899 1 4218 3496 2 19123 1278 2 9437 2459 2 7463 441 1 6388 23 2 108 4834 1 19029 957 2 18973 4006 20 3189 1582 1 16484 4951 2 3792 7231 1 4496 6692 2 14400 723 1 1212 550 2 6420 589 2 1711 1032 1 3258 858 9 19024 7474 10 14025 7933 2 2124 4266 1 6769 6228 1 19211 951 1 12337 1245 1 4244 3507 1 942 4383 1 10187 3333 2 11610 525 1 17884 1752 1 5676 1342 1 3249 1747 2 13717 221 1 8220 884 1 19843 244 8 13190 57 11 997 827 1 7849 4956 4 5260 201 1 17056 200 6 15482 7723 2 10347 1736 1 15615 6276 1 17432 303 5 16808 6178 2 11503 2542 1 17779 7259 1 10916 1350 1 16844 232 11 7000 4497 7 15984 2989 7 7527 4949 1 10553 3588 1 11597 8228 1 4663 615 1 5139 411 1 14184 73 2 14301 6105 1 7261 1235 10 16448 4498 1 15940 5791 1 10753 221 7 11427 5276 1 7767 2276 1 3323 1314 1 1735 649 1 3548 186 2 11116 223 5 20151 7641 1 4663 1721 2 19776 596 10 314 2256 1 995 8069 1 10575 873 1 1506 1734 1 207 3619 4 318 6322 1 10051 3572 1 4294 516 1 3891 4936 1 13 799 2 4311 1561 5 6463 6993 1 17743 6179 1 6183 1703 2 13951 631 1 5826 3749 1 2284 2869 1 3188 3590 1 19018 6669 4 3698 6652 1 6160 2363 1 13195 519 4 19649 196 3 19193 519 11 4887 3999 2 997 2383 1 16650 7772 1 13787 534 8 14161 2357 1 18047 7474 1 9631 1719 1 5606 6150 1 10155 1726 20 1710 1576 1 16016 6000 1 12894 514 1 11212 2675 1 9016 5715 1 13441 2555 1 9058 6615 1 5739 524 1 863 7069 1 1385 776 1 1613 1237 1 18086 2338 2 6064 4314 1 1233 1548 2 12941 7301 1 3491 215 1 16109 498 1 18012 3634 5 13684 436 3 3406 6516 1 5748 6442 1 15063 1969 3 9515 4120 2 7966 637 1 2813 2089 1 10861 5018 3 10919 1638 5 5132 2663 1 11367 533 8 15313 2815 1 1499 955 1 9180 244 1 10115 260 1 18914 1825 1 1719 129 12 8269 3551 1 19587 2646 1 13744 7643 1 19286 214 5 10876 1726 1 15818 5995 5 16906 4721 1 11919 4090 1 18886 6604 1 2758 1752 2 3535 6728 4 11367 541 1 16377 46 1 12170 3421 3 19026 3621 27 11968 2849 1 121 243 2 2352 7255 1 2829 95 2 8962 7851 1 16083 221 1 4475 6943 1 1489 2653 1 16700 828 1 12970 1616 1 8773 1726 61 14862 221 1 15791 716 4 6464 1720 9 2459 7669 7 11842 4983 1 6213 156 9 3127 206 4 6982 5018 3 525 2507 2 14197 1729 2 19671 1705 2 7960 498 1 15220 1380 2 2371 8200 6 8532 502 1 16674 3487 1 6587 46 12 322 225 3 17460 4970 5 2429 23 1 5769 433 1 17152 220 8 16654 3567 1 13555 509 6 5997 2588 1 11410 2678 7 16977 3058 10 12141 6701 1 7330 4016 1 2260 1292 1 18201 6903 2 17950 891 3 12239 1037 1 10192 904 5 20218 1776 1 18968 5506 1 6890 4508 2 19912 7225 3 9780 2356 1 963 7719 2 16674 4099 1 10950 5903 1 8345 4628 4 5358 2580 2 9509 8029 3 13925 4789 3 4105 3892 1 11558 291 2 9947 7629 1 8832 467 1 6332 3558 1 12787 1126 1 15138 7632 2 13 776 1 14464 3067 1 11418 7809 1 12690 2131 1 14323 1786 3 633 1830 4 17425 47 1 17296 6338 2 9322 892 1 10900 4363 1 9920 6027 1 14329 961 5 19006 6620 2 12888 1737 1 13096 2563 2 1040 5420 1 18762 4992 1 19914 3213 1 17771 219 21 4880 7536 1 19835 2980 1 15059 4395 2 9776 867 3 10783 1238 1 7461 2361 10 19193 2352 1 2875 4614 3 5561 7679 3 6915 533 1 18526 524 1 5213 215 2 1763 2360 1 608 2103 1 3136 2729 6 17493 5281 1 18096 7182 1 4843 912 1 7501 5922 4 4355 470 4 15974 23 1 17910 867 5 16625 7250 1 4283 381 1 18818 215 1 13084 1718 1 16635 2351 5 11772 4312 1 11351 7602 1 6308 1250 1 2420 470 3 3928 834 4 10592 32 1 124 5439 1 6716 4954 1 10664 3600 1 10146 2344 1 12031 1331 1 8623 1756 8 8866 5555 1 12313 274 1 8486 8141 2 17290 4585 1 19713 1762 2 19530 1073 1 4166 7750 1 8332 1755 1 1847 8238 1 3471 1241 6 7530 1762 1 6388 545 1 4884 1150 1 17317 7829 1 13349 659 1 18489 7474 1 11740 3492 10 12770 1734 4 14753 3861 1 3043 4242 5 19367 1508 1 8183 3876 1 5840 136 3 17645 252 1 10855 2043 1 18462 926 1 5712 1698 1 15776 1296 1 3351 540 1 4052 1771 1 14535 928 1 9954 1062 2 13923 200 1 12005 1529 6 19809 303 1 3862 2001 2 8439 1819 1 15471 5897 3 3705 5162 2 11574 2645 2 16730 773 1 11306 3570 2 16570 367 2 1839 2419 1 10728 4403 1 6073 1642 1 2893 3026 1 1143 1764 15 1092 7829 2 18258 6676 5 14905 2675 1 5409 1395 13 11367 7719 1 17083 2908 1 7397 840 3 11755 1307 1 12322 1761 3 19949 5758 1 14602 3607 1 12245 221 2 10964 8031 2 135 6107 2 2035 1907 1 2566 312 5 19973 207 6 524 1278 4 12984 6183 1 5624 1184 1 13 816 2 2891 2823 1 18193 1250 1 15278 855 1 8813 4411 3 14132 910 1 3939 5372 1 4784 1244 4 12328 4868 1 17172 6758 2 19305 929 1 15100 916 3 2937 2534 22 13001 1303 1 17803 3698 1 9628 597 1 5366 1719 1 964 5180 2 11052 4211 1 6612 2254 1 1302 745 1 11304 6635 1 6463 367 2 384 190 2 17750 1730 2 16096 7895 1 13 693 1 1601 1772 1 13623 2721 1 8894 6774 2 17633 3442 1 12874 1271 1 6683 821 4 16238 4623 10 8684 7786 1 16500 1727 1 863 2963 4 3286 206 1 19218 2386 2 3043 5526 1 19525 2555 1 13350 1466 3 17163 2883 2 16916 4446 1 7525 3173 2 10579 1153 1 4861 2292 1 13518 7554 3 6235 4263 1 10692 715 1 12773 1758 1 5972 5411 1 218 7254 2 11098 214 3 2488 7229 2 13482 3476 1 18337 1761 1 15932 4740 1 13237 3316 2 19413 458 11 5148 532 1 19505 2673 1 17109 5817 3 19810 23 1 16484 2330 6 1770 219 22 19932 6588 1 11697 6120 2 11729 3570 1 10061 5744 5 14161 1730 1 17772 1825 7 14048 4803 1 13638 1369 2 413 7018 5 7564 3266 4 19388 1975 1 2643 911 1 2133 1307 2 1530 519 2 16829 5051 1 12817 1241 1 68 3253 1 9868 1055 1 10408 3287 1 11808 2341 2 19530 3705 2 15146 6591 1 14212 4298 1 83 3705 2 13206 727 1 11326 220 6 11709 1660 6 16827 7615 1 16562 617 7 4386 385 3 17384 7427 1 3262 2341 1 17697 3505 1 9332 1210 2 18822 561 1 11471 3315 11 4523 184 1 5117 837 1 10831 3058 1 6186 1237 1 3896 4793 1 14728 6204 1 4267 3767 1 1551 508 2 11 377 1 14970 873 1 2128 5885 1 12384 222 3 13709 412 5 3516 2565 1 9767 4403 15 14083 7822 1 5475 811 1 2272 1247 1 19607 2897 1 5216 8174 1 11280 8203 2 4714 1277 1 2935 124 4 11537 4998 6 5124 2878 2 16308 6577 1 7200 3511 5 8915 1153 1 3790 499 1 12089 219 1 17172 4979 7 3542 222 1 611 1649 1 14553 5495 1 181 8254 1 108 4843 1 3441 2167 1 13105 348 1 7166 303 1 6942 536 1 5819 7210 1 6742 6618 9 6557 6799 1 3781 4382 2 14218 2481 5 17416 2720 1 15927 512 10 7817 2126 1 15111 6900 1 17337 5768 2 2387 197 7 5639 3698 2 10355 219 1 14060 2268 7 14124 7338 2 7001 173 1 8934 4805 1 8798 441 1 10118 1363 1 17562 66 3 13425 696 2 5081 6899 1 20090 4107 2 2454 1990 11 18230 519 2 13113 4967 1 15085 449 1 4130 2082 2 1092 8200 2 11203 2874 1 13053 2116 1 12794 2162 1 126 5717 1 5577 1707 1 2985 896 3 8305 411 2 15922 3627 1 8643 837 1 6138 134 1 17835 1610 1 1886 2071 1 12271 5261 5 8792 8192 1 8203 6341 1 10355 1307 4 12213 2380 1 7910 6140 1 6784 5607 7 6421 7461 6 12124 5950 1 9131 2958 2 1689 7085 1 14062 6457 1 11008 3827 1 18193 1748 2 643 7021 3 1312 790 1 2373 429 1 11370 7221 28 9160 510 1 11311 6139 8 5117 5739 1 8550 6776 4 10876 5439 1 1464 975 1 15778 2981 2 17331 692 1 4173 252 7 12988 1770 1 16955 7210 19 19594 4427 2 4747 5105 2 13035 2990 10 17491 2356 1 12981 3338 1 3286 2542 3 13333 1784 1 2717 7424 1 18665 498 1 4304 6698 1 2204 2089 1 16442 8003 1 460 23 2 9787 3596 3 16086 4065 3 11882 5289 2 11194 3222 1 2045 196 2 18175 3029 5 14663 6520 1 5271 3061 1 4949 3954 6 11786 6562 1 17946 3426 5 19360 1955 2 10044 3489 4 11164 6059 5 12685 5885 1 11786 7297 1 19429 1251 14 4634 363 1 5401 964 1 19955 1779 1 11601 5052 1 20090 474 1 17553 3509 3 14589 214 1 10672 7632 2 4072 7527 1 16493 5343 1 6258 4435 4 9188 817 2 13570 650 1 13916 579 2 13925 3021 1 14151 944 1 17173 4600 2 19380 1055 1 7817 1660 2 14522 803 1 1513 1352 1 19736 222 2 16622 6519 13 6242 2356 1 6705 2361 1 10316 4825 1 5751 1736 1 16299 1302 2 6708 1758 1 4673 445 1 15510 190 2 15318 7719 1 11787 4003 5 12020 2097 16 13035 3327 1 531 883 1 2976 676 1 10057 3595 4 18193 4816 1 15044 2534 1 1962 3029 2 17825 490 10 2886 329 1 15619 5315 1 4126 6341 5 20085 8183 2 4412 1612 1 4020 514 6 19680 380 1 121 3378 6 6818 339 5 16156 1721 1 14173 1658 1 11882 2743 1 130 5839 1 17219 173 1 17596 220 1 9194 74 3 1904 8141 5 10973 6053 21 2980 452 1 10118 1742 1 20056 1113 1 4051 3563 4 15975 541 1 4606 23 6 10939 7009 1 18546 4448 7 18263 5440 3 18089 1756 1 3489 3389 1 18667 470 2 4767 1742 1 7161 1858 1 11458 5694 2 2274 2493 1 9657 933 1 3768 1150 1 3099 1742 3 1613 7624 2 5046 3556 1 10381 4359 1 7195 3058 1 12510 1768 2 216 3531 4 5688 292 1 18825 6252 4 4742 74 1 16379 4400 1 9896 6993 2 17369 1702 1 1029 638 1 11822 1235 6 13623 499 1 4566 3572 5 936 6721 1 18642 1752 1 11387 505 1 6538 52 2 15954 368 1 3217 3239 18 13697 7846 4 11652 201 1 13735 6091 2 7504 911 1 9432 2770 1 14438 205 1 3593 5291 1 3750 3431 1 5208 201 21 11207 3834 1 13333 222 1 14918 214 1 5162 597 2 1226 1403 1 9808 523 1 3626 1764 3 12787 4247 1 14602 1220 2 5741 2935 4 10821 8034 1 184 201 1 14182 201 1 3760 1727 4 2839 1302 9 19805 1474 4 17968 411 59 44 2317 1 6191 534 6 94 4235 1 7131 2557 1 18366 1007 12 3838 3012 1 13986 2990 5 11659 413 1 130 5866 1 9056 7302 1 19532 1987 2 11845 7308 3 7600 1891 1 14394 825 1 11554 191 11 1849 5196 4 9284 1332 3 9144 6246 4 7543 6713 1 8591 1252 1 5207 929 2 8822 7597 2 14522 5758 5 7589 3476 1 12025 1561 1 12935 2268 1 2912 1061 13 8800 1991 1 16570 2508 1 6321 2407 1 4626 2938 1 18320 4531 1 16762 223 1 6511 220 2 8597 2876 1 7127 2727 3 4073 148 1 16843 5343 2 7632 1265 1 2980 3809 1 5299 6892 20 5246 876 1 9853 1692 2 1811 23 1 787 411 11 4620 4992 5 5638 506 1 3705 1235 1 4376 4653 2 2612 1401 4 890 524 3 1518 2363 2 9899 3685 5 6884 1783 1 11271 1783 1 16882 2424 1 4158 6717 5 10701 3146 1 10294 2357 19 2694 220 1 5124 7491 4 7432 232 1 9094 1814 1 6164 5420 2 14906 8141 3 15259 225 1 66 3212 1 12882 1245 1 216 2341 1 2291 1322 1 282 5324 1 5249 225 8 14558 690 1 19822 1985 1 4647 330 1 10575 4283 1 10186 4342 1 16931 186 1 4134 11 5 14262 7148 1 6587 3283 1 7099 3263 1 18071 225 1 17960 164 1 14837 2626 3 19034 6793 1 18887 5518 1 3455 6993 9 6010 4706 6 4851 4403 1 1637 1996 1 4537 6714 1 174 7952 4 1542 8139 12 1241 2675 4 15419 512 1 5459 2626 18 13350 1234 1 5373 7762 1 8295 5767 1 4316 1421 1 1927 214 2 4843 656 2 12108 1881 1 13584 6341 1 12517 2013 2 8051 6066 3 10591 698 3 10075 4187 1 7996 6435 3 752 727 2 12097 1252 1 8775 7603 1 7147 1740 1 2762 1724 1 7725 2450 2 17477 1732 1 4072 8012 1 12278 201 1 12826 3870 1 18244 1770 1 17009 1728 2 8849 3414 4 8674 6042 2 5266 3378 6 6470 3065 2 19401 7484 1 4101 2677 1 13076 2353 2 6848 519 1 19886 225 1 18315 1146 3 14888 7208 1 298 7559 3 1608 471 1 9616 1242 1 16809 206 2 3485 336 1 3491 5555 1 19599 2327 1 1221 6481 2 20132 207 1 14848 5018 1 14255 4796 2 6016 329 1 11430 1703 1 6866 519 5 5688 1769 1 1970 220 1 2338 409 27 8821 1109 1 750 6268 3 3178 1234 4 14184 201 2 7070 7857 1 6675 883 3 6313 6558 6 1439 2026 1 15991 201 10 4146 183 5 11008 5972 1 18443 3191 2 536 541 2 456 156 15 4018 1893 2 1296 1921 1 9243 5259 1 327 367 1 2386 2649 2 20090 1277 7 16876 196 11 18177 4227 1 7804 7734 1 13484 3958 2 16063 5447 1 15398 600 1 5338 1965 3 15411 6793 1 18546 1453 5 1372 3074 1 14521 3511 5 13850 232 1 8669 6132 4 4180 3554 1 14233 327 2 2706 6723 4 130 5810 1 9660 859 4 17290 3804 2 5952 1776 1 3114 3427 1 16290 1825 20 13570 4206 1 1361 3374 3 14227 7535 7 4519 132 1 9978 4297 1 3605 1877 3 12361 564 1 8599 8174 1 1866 235 2 3116 1518 5 15939 2605 2 12681 1417 1 8581 3684 4 8022 6754 1 16416 3180 2 6287 2496 1 108 1145 1 6697 1729 1 2385 7167 4 20021 496 1 15098 205 17 17298 1253 1 8045 1991 1 12489 6793 3 8001 2557 26 3121 3457 4 17505 6713 2 11533 3705 1 16016 752 1 4505 398 2 99 4457 1 13957 1760 5 2905 7397 1 8229 1992 3 4307 1305 2 17180 5458 1 781 7470 2 14330 222 1 220 252 1 2528 4793 1 11674 1374 1 12420 173 2 56 411 1 17901 648 1 9188 967 2 11192 4665 1 7392 7834 1 8944 3081 6 16916 411 5 10513 1252 1 4597 7235 1 14221 10 12 18175 447 1 10194 5036 2 10591 2626 7 4471 131 8 6164 1307 2 19612 5355 1 1622 1775 2 3856 5770 15 5252 4807 2 19529 5730 4 1453 712 1 4688 2915 1 11950 3378 2 13 714 2 755 1739 1 3758 2416 1 1327 2633 4 7034 7231 2 10649 5257 1 5115 1852 3 4299 6500 1 16299 3399 1 5303 3603 1 11938 5408 1 10649 2896 1 10000 488 1 756 4982 19 10087 3733 1 19311 2488 1 16428 4603 1 2941 5471 2 6712 711 1 12209 1328 4 6157 6692 1 3058 2581 1 13928 1193 1 7551 4724 4 1733 207 1 10883 564 1 8786 207 1 9419 3503 1 2041 235 3 19713 2881 4 6407 1480 1 15103 5319 9 14519 1908 21 16847 303 12 1635 867 6 5604 4242 3 19671 225 2 11769 3519 5 17009 2584 1 5977 834 1 2742 23 10 19395 5335 3 16957 2580 1 11497 6759 2 11592 1710 1 11392 1914 1 1999 931 2 15261 8183 1 17436 1277 1 10445 3634 1 6070 5020 1 16622 1909 1 11713 7458 1 1214 519 1 4499 1060 3 9857 3850 2 1794 2020 1 1712 8201 1 14504 2528 2 14522 939 1 9768 1734 1 19241 5737 1 8484 6047 1 5172 1445 19 15943 843 2 8408 688 1 8935 696 3 10766 202 1 7469 2840 1 6707 6058 2 4498 374 1 9959 23 2 4727 855 3 10404 744 6 11208 7911 1 7433 5105 3 942 5859 2 8394 492 1 9672 7232 1 15024 95 5 4371 4902 1 17449 1758 1 18534 2591 2 20100 7448 2 171 2690 1 18939 7674 5 205 7750 1 14356 4120 2 10553 3356 1 7753 214 1 1271 335 6 127 906 1 1915 3511 4 13647 2148 1 11644 6541 2 18608 3454 3 5653 1712 1 4594 203 1 1308 1249 2 18671 2681 1 3755 7734 2 4623 3666 1 9566 3851 1 17996 2683 5 14522 926 2 11420 545 1 7799 4996 4 8820 1277 1 9275 877 1 4570 1369 12 3332 2580 1 4779 1372 8 12372 7222 2 3567 1955 1 83 3822 1 7780 3263 1 2629 1251 1 891 4343 1 16137 4735 3 3759 5222 1 5266 6204 1 15111 6946 13 4214 5504 1 17603 1768 2 13881 4951 1 14767 3167 1 5602 786 2 3732 7262 64 13168 5963 1 9010 1703 8 14159 200 12 16110 5446 1 18435 4615 1 7059 910 1 11131 2369 1 17647 1103 1 13713 3574 1 2020 474 3 11297 3511 1 16442 8020 1 2972 8030 3 19242 1825 1 17816 2027 4 15843 525 3 15109 2356 1 80 3636 2 7944 4124 1 18595 1311 20 6211 536 2 11689 206 4 532 1741 2 11952 524 11 7556 508 2 11585 229 7 8275 1856 9 5657 1781 2 17992 1357 3 11219 1946 2 9180 4073 27 9322 817 1 4954 1423 1 2962 934 1 17279 1416 6 14435 541 1 9044 173 1 8767 4459 1 19323 3956 3 17184 8081 1 174 8119 1 455 6996 1 4602 5600 1 17886 5788 1 16765 7972 2 11111 1721 4 5706 3571 1 4889 4977 11 2275 4367 2 31 1710 2 20070 6038 1 520 7421 30 8532 290 2 6842 2675 20 13358 498 1 20233 5004 5 15618 5809 1 6258 7231 1 16938 1783 1 1911 3404 3 4265 470 6 13013 6484 1 2405 1745 12 18565 1365 2 6064 399 1 5737 203 9 11428 2729 2 9443 1779 2 11854 2714 2 14573 684 1 3075 303 1 10813 203 3 2473 558 1 9534 3230 1 13905 3887 1 6421 6132 1 19774 5879 1 164 7452 1 15429 1020 1 20181 7381 1 13919 765 1 8831 1768 1 1491 3012 1 9178 5022 7 10946 3012 3 6772 952 1 2585 4107 1 7056 222 3 11987 4312 23 1551 2424 1 1109 1760 1 19178 4568 1 16951 7533 1 1725 279 1 17191 5518 1 20216 3371 1 2562 1751 1 8615 4658 1 5626 1234 1 16843 3380 2 1474 2662 3 5815 1282 3 16130 2089 1 1744 723 1 6969 163 2 11890 1253 3 9947 7878 1 4634 4852 1 2780 3195 5 16655 8057 17 7823 35 14 7440 222 1 9915 6164 1 4696 2742 1 14105 2246 1 10754 2241 1 12929 4944 1 14016 1709 1 10905 1710 1 919 3480 6 20110 497 9 19246 3482 2 14599 794 3 16861 5004 1 18152 6868 1 18656 3703 1 143 6653 5 11422 6577 1 18578 6204 1 8295 4369 1 19822 4934 1 12187 494 3 20257 1776 1 3822 4020 1 7412 3540 2 7436 8192 1 11864 2344 6 12853 4312 1 2222 219 1 11200 1715 1 2345 3093 2 2641 5996 2 12375 623 1 16723 470 2 4511 1150 2 19547 1035 1 5297 4435 1 14780 1342 1 9639 3569 5 4585 723 10 2213 6674 1 5573 967 1 8860 6066 1 540 1251 4 10692 946 2 18720 7814 1 164 7458 1 11625 4299 1 1138 225 2 4126 1762 1 19604 7094 1 14495 190 1 835 2228 1 3768 3638 1 3581 379 1 8746 2571 5 31 1247 6 1927 1770 1 18262 519 1 8004 470 6 12766 814 1 16036 4773 1 11054 1395 1 16533 23 1 4728 7477 64 9661 1748 2 2460 2676 2 7632 8146 10 13734 1037 2 12702 5998 2 7644 70 2 9293 177 3 4371 3567 2 5301 1342 4 17812 6716 1 11562 1480 2 1717 6204 1 612 5477 1 83 3862 1 1198 1474 2 309 1296 2 2471 2528 1 12058 6564 3 6414 1732 2 13591 7542 1 3427 201 4 5963 5379 1 19167 206 2 5815 5531 1 1047 1304 13 17525 7830 2 16977 1418 1 6400 1374 1 15521 4618 1 18756 4987 1 12755 2743 1 9941 4879 1 12064 1736 1 9126 1537 1 2072 96 1 6825 1711 5 7463 2369 2 17946 207 1 9050 7178 1 15726 7407 2 18667 4196 1 18027 2534 1 5712 2352 1 6449 1482 4 1068 849 1 9079 776 1 18080 712 1 1117 253 6 4195 232 1 10490 4622 2 6152 2097 1 16810 820 1 3446 3643 5 1141 1775 1 18360 1263 5 4117 308 1 17556 4287 5 18593 1995 6 17395 4726 1 7028 1814 2 15806 3447 6 11779 1774 1 5132 5604 2 5141 214 3 1002 6341 1 3443 6394 3 5494 663 1 16645 3997 1 4985 1458 1 13086 7142 1 9133 3798 1 12310 6541 1 20145 1737 1 11562 7021 1 13829 1357 1 12970 597 8 6370 3511 1 19990 496 2 6218 4441 1 6907 724 1 3578 175 3 2075 190 6 4691 3175 3 10361 1770 1 5979 512 1 18538 688 1 7071 212 4 17568 219 1 11786 2385 1 8141 840 7 7751 7018 2 11585 1357 4 1170 1819 1 14064 3522 2 5778 2647 2 3826 2114 1 10102 1642 11 3134 2635 4 5823 3525 2 10 99 1 18146 6231 1 4898 7232 2 8888 201 12 19054 1252 1 14954 6641 2 16214 2028 1 20101 2677 2 10362 6640 5 4615 5558 1 16790 1758 1 1952 3452 1 12079 95 2 3020 853 1 2639 4405 2 15706 1369 1 17078 1402 2 15091 6025 8 18951 188 6 7493 232 5 2274 7112 1 12618 552 1 181 8262 1 1280 219 6 7757 2639 2 11746 1752 8 4458 4884 3 14096 3515 3 11388 4316 1 1106 5385 1 20262 3180 2 5576 4379 1 15800 4459 1 11057 1778 1 6619 3671 1 19407 1825 1 13684 4670 1 6400 6252 1 5431 1424 1 14998 395 1 7306 654 1 135 6116 7 10312 4077 5 17974 1717 5 9364 1193 2 10967 3109 1 3505 6545 1 6837 1296 2 226 1237 1 4105 7311 1 9589 1275 1 13084 1721 1 12818 5289 3 3548 333 5 12623 4773 1 18613 5418 1 5153 200 1 951 520 2 105 4738 1 9763 3516 5 3695 5315 2 1198 7201 16 14808 4591 1 13823 910 1 3986 303 2 4663 344 1 19784 1457 1 8921 215 2 12095 3872 10 10137 5020 4 6064 4538 1 1762 2363 1 2351 460 12 15727 5607 1 11430 745 6 13227 4296 1 12415 1717 10 11148 943 2 7832 1999 3 73 3374 3 7363 5940 1 17954 6588 1 4688 2013 1 17575 968 1 147 6341 4 13480 3907 2 19812 6098 2 6647 3377 1 6535 835 1 12554 13 33 14821 6880 5 151 6787 1 11846 201 6 19727 381 1 3771 5266 1 1852 8141 6 17999 2116 1 10579 4591 1 15144 3024 1 9270 7257 1 1028 3258 2 10851 1037 4 83 3701 1 5824 1352 11 9165 3854 2 2204 379 1 19055 215 1 10580 5517 1 5433 6157 1 9429 4150 1 5070 5011 2 18971 4389 2 7832 3592 1 6770 2860 8 11863 2626 2 2531 7423 2 14082 156 1 4587 4572 13 19069 3147 1 5952 2761 1 212 244 3 8209 1257 2 1378 1721 5 4691 510 1 1834 6512 3 14837 232 1 15688 1302 1 12737 6826 1 725 2521 5 5564 3619 2 17384 849 2 10276 1337 2 18017 2871 1 6124 6237 1 10381 2021 1 18886 631 1 7250 1247 1 18281 3301 2 672 7830 2 19088 1023 2 18193 1249 2 10645 1830 1 15180 2918 1 11642 233 7 10290 244 2 4305 3361 1 18970 3175 2 17325 825 1 15108 7079 1 13055 75 1 12569 657 12 19267 175 1 13595 2789 2 13114 3557 1 7786 1124 1 12633 4599 2 19063 2678 7 17233 5036 2 4791 292 1 1840 2567 2 1663 3676 8 13224 5350 1 12385 8181 1 12320 634 1 13309 3511 1 19273 6434 1 4217 4899 1 10738 5819 1 2935 190 2 4156 304 1 4561 3798 11 8409 12 3 9894 367 2 480 3644 10 19002 5721 6 7065 942 1 220 6868 8 17601 4824 7 2374 7735 2 11137 2632 1 8001 3364 1 9935 3275 1 8603 1638 5 18524 3361 1 19434 1752 1 16943 2296 3 4197 3464 1 1377 1242 1 15963 3398 2 4376 6341 3 9778 6970 2 1712 4916 1 13829 510 2 13986 3327 8 18792 5435 2 133 6017 3 730 7824 4 6420 1245 1 1790 535 3 16776 1819 1 9310 164 2 1551 6245 1 13827 201 1 11085 1055 1 69 3265 1 5984 864 1 5373 219 5 15394 2338 1 10293 23 7 2204 4308 1 3667 1782 2 2508 702 1 11510 525 1 1311 1147 1 11606 382 1 13201 235 1 14500 532 2 7952 5294 5 538 1561 3 13628 3058 2 11766 3511 2 1803 2708 2 8554 690 1 11245 411 2 15454 1338 1 16631 223 2 10692 926 1 18999 7850 1 16849 3138 1 11587 1237 1 8231 761 5 6671 4105 12 17265 35 1 124 5454 1 17901 1990 1 12377 7804 1 9556 2013 3 18408 4651 2 3655 219 1 10034 724 1 12205 2552 2 6789 4897 17 2937 524 10 3329 8033 1 7991 1626 15 10233 3892 1 20044 9 2 11188 6164 2 9604 225 10 6723 5324 4 7452 639 1 17488 2894 1 15346 545 55 9224 642 1 13919 1779 8 6739 2803 9 11938 1304 4 2678 7484 1 3118 164 7 17163 7895 2 16373 3607 1 3724 1247 9 20114 700 1 13493 258 1 16990 3648 2 11550 1758 1 5078 6289 1 13992 2608 1 12366 1747 1 11903 3556 3 17493 1698 1 113 5082 2 4522 7267 1 19870 789 1 7952 5327 1 15220 1756 1 5626 283 1 16790 505 1 1203 6014 1 4498 127 1 19774 363 2 19705 6714 5 15936 6897 3 42 2225 1 6013 5026 2 355 1115 4 2625 2737 2 12131 939 1 5032 6979 3 2799 8109 1 9283 2186 5 137 6282 4 14125 1616 1 4189 7769 1 16179 206 7 177 23 5 11377 5407 1 8872 3911 7 2560 1467 1 12817 4298 1 17946 496 1 3485 412 1 2004 215 1 3419 1314 1 1812 1758 13 6955 7965 1 12602 1762 2 13097 70 1 19335 3269 5 7786 3584 1 17552 7980 6 10957 207 5 6828 3571 1 7184 5688 1 15722 880 1 754 8051 8 6221 5348 1 15047 1819 1 6848 1686 1 130 5890 1 16150 3228 1 14116 6259 1 2365 2675 4 3272 23 7 7577 2899 3 11786 229 12 13328 1237 1 19774 4236 1 16946 23 4 4857 1825 2 7526 7740 1 5994 8060 1 13461 510 3 9168 6925 1 5926 196 1 17132 6150 1 19732 1235 3 7245 2131 2 13834 3556 1 3114 168 1 18556 1655 3 14316 4022 24 10610 177 1 11063 3930 1 4492 5442 1 3925 1747 1 14985 891 1 5431 7397 1 4200 252 1 7208 1248 1 5176 23 1 787 6665 1 11856 1252 1 10290 197 1 13806 818 1 10254 1453 4 7455 479 1 13363 822 3 3927 173 9 8438 3796 2 8470 3482 1 868 379 1 6624 3492 1 97 244 3 11332 1762 1 3581 2517 1 5163 1795 1 9159 4221 14 14553 6551 1 19268 681 1 11847 7568 1 1726 812 1 7117 7509 11 19102 253 17 16215 925 1 3418 214 1 13835 7674 1 17491 2662 1 13841 282 2 1580 4796 1 14053 23 1 20126 520 4 8716 2262 8 14522 5324 7 11252 4435 1 10801 6099 12 162 7393 7 4670 2859 5 5571 3058 2 16391 498 2 1487 891 2 6145 1761 1 14711 7497 1 5317 6192 8 11250 1825 6 8885 2836 1 12970 650 5 5074 4234 1 12299 7925 2 3485 1726 2 9281 253 1 7853 244 4 1375 1395 1 18960 868 1 130 5914 1 7564 506 3 13 941 16 8051 7054 2 1970 1244 1 5353 1726 1 18878 3911 1 9771 1251 1 18692 347 2 14369 244 4 11072 3813 4 18237 510 1 12918 203 26 3710 1489 5 6553 7402 1 1612 1250 1 1872 30 3 2157 1519 3 16346 6979 1 14257 381 1 727 411 2 11591 1453 1 4131 5302 1 18375 2448 1 5007 2552 1 4544 8194 1 5289 6741 1 5755 696 6 126 5684 1 2886 4607 1 3715 23 1 3061 2626 7 12361 635 1 7325 1324 1 5745 4060 1 3233 5583 4 3531 4979 1 1248 1250 3 15553 4000 1 19511 225 1 1166 883 5 16970 1220 3 1519 173 4 5737 1275 1 6259 6207 4 4615 5999 1 4805 3973 2 1990 1762 2 6130 2493 1 17374 1260 2 9322 1729 3 9011 4266 12 11428 1736 1 4056 3184 1 124 5414 1 14762 496 1 10754 470 1 11126 8084 1 15054 1093 1 12666 1768 1 12520 8076 1 153 6911 1 18797 1727 1 15989 1692 2 8034 502 1 1193 1023 1 8614 5502 5 4829 411 1 18466 5545 1 5861 918 2 6449 10 3 7817 236 2 9717 947 3 12077 1721 1 11248 6756 1 18387 1825 1 121 817 1 19075 536 2 4445 1717 1 16741 6484 1 8439 2683 2 7322 4552 1 70 1380 1 16717 8203 1 10730 1772 1 17139 1938 9 8934 5674 1 3801 4343 2 18608 2478 1 8229 219 1 15864 5409 1 10452 3828 2 7363 200 1 6688 2360 1 11860 519 1 9813 200 4 10786 2488 2 19246 648 1 6631 1965 8 11755 4011 1 7360 4996 2 4022 5871 1 5733 1484 1 19272 6993 1 13490 3399 1 17660 7928 5 6570 2011 1 10799 7455 1 20145 1752 1 7780 1825 3 12809 4276 1 9699 367 6 7910 3113 1 14419 1023 1 16922 7701 4 3358 581 1 11052 15 1 388 6434 1 8944 7603 1 15849 206 1 11786 424 2 13084 1275 1 15720 3878 13 19872 499 1 5597 1921 3 1984 5325 1 14046 4979 1 3005 3389 8 4263 5737 1 12623 4818 2 7531 1748 9 19867 1364 1 2103 1271 5 18975 3742 1 2274 4595 1 8709 4326 2 18039 767 1 12647 219 1 108 4915 1 10063 3798 1 6589 4446 7 2905 1276 1 18007 5652 1 13330 6957 4 1145 223 2 5884 1743 1 10249 642 1 7527 6610 1 802 4011 1 4057 148 2 12780 8141 1 14079 2982 5 16063 5386 2 13035 918 5 15025 7168 1 9759 1548 5 7184 496 2 3395 7948 2 5213 1453 2 19293 514 3 13638 1785 1 3841 4489 1 5643 7098 1 16605 2649 1 3599 6716 1 18165 6925 1 16249 4460 1 9129 338 2 9250 892 1 12055 4016 1 12918 3074 1 9643 1342 2 1635 279 2 17492 200 1 4428 1396 1 1834 6519 3 20055 2774 1 1171 1247 1 15778 4193 7 7164 2760 1 14572 7229 3 1488 778 1 16057 3267 1 804 4236 1 13575 6125 1 15683 870 1 6228 3382 1 12437 8091 1 62 2801 1 16194 2970 1 13640 1758 1 4264 7427 9 7786 6793 1 787 2626 1 17392 6047 1 6809 1677 6 16886 2721 3 6414 60 9 5336 888 2 18850 206 2 12493 2938 1 8728 819 1 7259 512 14 6808 5315 1 9341 1035 1 11494 7069 3 15949 5259 3 10452 2936 4 8360 602 1 11080 417 35 18628 8043 2 10856 5451 1 6624 310 1 4935 4295 10 5169 6442 2 5615 3485 2 14350 507 1 10109 156 1 15776 4011 1 6795 1395 3 19734 1236 1 9341 1734 1 314 4436 3 12009 2626 3 6742 4476 25 18876 6585 1 14614 3748 2 56 219 1 15025 8203 5 12124 1993 1 5132 498 2 12187 420 3 4234 625 1 2491 4098 2 11052 3612 1 10665 603 1 8760 1251 1 7991 1206 4 10999 416 1 17992 201 6 6410 1286 3 2919 6557 15 124 5485 1 10165 813 1 13032 6933 1 3426 1363 3 3233 6721 1 17998 4352 1 2711 203 5 10160 1743 2 11965 3117 1 7415 518 1 9151 495 1 18459 229 2 15702 5450 1 10916 5165 1 14380 165 2 19395 3596 1 644 652 1 13461 1743 4 10245 5313 5 7811 1728 4 3894 6993 1 10792 1245 2 16096 5291 2 16301 1745 1 109 190 1 7406 3414 1 3962 1776 7 1263 4029 5 6261 1384 1 6453 7463 1 8835 214 9 5146 518 3 3491 6500 1 6864 4807 4 6001 222 4 10948 13 1 56 2488 2 10064 215 1 8378 4884 4 11985 876 1 7373 2584 1 17580 197 1 5008 6534 4 392 4517 2 5591 3156 3 5048 10 1 19834 3228 5 35 1940 1 495 7175 1 4779 2981 1 16874 4278 1 38 299 4 17263 4206 1 14055 8141 1 558 7489 1 8312 23 2 8641 1643 10 126 5689 2 11072 1781 2 10138 891 1 10816 6142 4 1530 411 6 2560 6640 11 17738 6872 2 14828 3351 3 2135 173 7 15007 1417 1 8629 8027 2 19865 5425 1 2500 6229 1 9752 1784 1 8313 956 1 17713 4259 13 6374 1995 1 10313 2595 2 11611 1715 2 19671 201 1 16174 201 2 12941 4306 2 745 5833 1 19972 3170 1 12740 5018 1 15463 1367 10 11784 3869 1 8376 4588 1 864 7701 1 14011 5042 1 13625 2860 2 19184 235 2 17753 8083 1 8560 6860 1 18338 492 1 5148 4972 1 5340 5351 4 15429 1711 5 1265 3428 1 1733 184 1 7432 188 5 312 1374 4 10942 1313 1 2072 1324 4 2041 1739 8 6536 1752 7 6889 3308 2 5458 4918 1 5636 883 1 9061 888 1 3544 7626 1 4796 81 1 4327 2671 3 6046 1717 2 13827 1751 1 11306 2013 3 13843 3851 1 17406 2721 1 7499 4105 1 18983 7997 2 14883 1518 4 16347 222 1 145 4369 1 10128 190 2 2905 2743 1 18290 411 1 13731 4746 5 6635 2385 4 9614 6706 15 5918 7665 1 12407 5356 1 20272 3802 1 6058 471 92 12803 1654 2 2420 497 1 17833 877 1 15405 4203 1 8435 904 5 18819 207 1 11757 244 1 11755 7466 1 1964 4085 1 5158 4128 1 14 971 1 10049 6640 4 1171 207 9 12257 8173 68 19483 518 1 8400 201 1 13652 4435 3 7646 4448 2 13288 1758 4 12895 1424 2 8073 4538 1 9010 1814 5 10109 23 3 17847 658 1 17784 1571 1 17995 4540 2 19957 2562 2 3759 2228 1 17645 1946 3 17024 4789 1 17992 1244 2 11780 3276 4 5041 3599 5 771 1762 1 4092 884 1 14908 5011 1 16806 6591 1 7046 4320 1 13369 1743 3 3776 7976 3 4899 215 5 13461 1755 1 11204 3191 1 153 7081 1 5778 664 1 2404 2353 2 121 728 1 13541 6108 6 5271 1615 2 11626 3298 1 17487 1338 1 2365 2671 32 1047 5355 1 3258 519 1 15230 1819 7 8982 4096 1 13596 224 21 16270 590 1 5638 460 1 17186 411 13 13187 3603 1 6040 4104 1 399 4279 11 3164 7570 1 6618 2439 3 6630 2026 1 14665 3536 6 8550 1548 5 13633 1778 2 10317 8229 1 15226 6220 5 15727 222 1 3985 2353 2 4158 1743 1 10244 200 2 2531 34 2 5366 533 5 4922 1768 1 18411 4342 1 1894 1755 4 1614 3909 1 7200 190 4 8546 809 3 14770 2889 7 850 470 39 19473 2254 2 18200 2542 4 8976 1613 3 7640 8085 12 14908 2522 2 10963 4023 1 8614 5547 2 8537 637 1 18128 336 1 7507 3333 1 7355 844 1 18880 562 1 12502 1726 1 4368 2618 1 14305 3373 2 15743 207 2 62 3006 1 13925 6719 2 15108 6038 2 8159 765 1 1037 203 24 7523 2344 1 2189 5618 5 16881 7525 1 18247 3691 5 13505 7420 1 5058 8141 5 14120 4944 2 2496 6338 1 18665 659 1 17419 4725 1 8244 336 1 19724 910 5 3759 6151 1 4294 5495 1 4651 6801 1 10289 1770 9 23 1420 1 12225 7189 2 7632 1962 1 9195 1249 2 16895 541 3 9279 229 2 12097 4807 2 14146 1070 5 7435 1686 1 1361 629 1 6418 165 1 12074 6099 1 11591 1519 1 17479 5881 2 10818 4635 1 3602 1659 1 3105 5442 5 4811 3596 1 4686 409 4 4838 955 1 14124 1766 2 19218 385 2 4622 10 3 1520 5263 1 2873 6368 1 8407 1731 1 8406 502 3 1911 2144 1 3936 3219 2 579 4936 1 1505 1606 1 18373 5400 1 5952 1245 3 18614 5547 1 3149 4383 1 10590 3358 1 19085 853 1 14298 3554 1 410 1748 2 15295 7216 1 16457 1201 1 10156 2626 21 12128 773 1 14049 6106 7 5775 214 4 11499 7021 1 13159 6065 1 17 165 6 18042 197 1 18376 2109 1 1962 3813 1 4784 4621 1 9117 6640 1 14992 221 1 4147 4081 1 5266 5298 2 13872 4022 1 100 4520 1 9745 3827 2 11136 2608 7 2188 200 2 6848 910 2 860 2569 1 2795 5460 1 10608 1721 1 388 6504 2 19386 5690 16 4583 3411 2 14492 1176 1 2669 397 1 375 2678 3 174 6027 4 3077 5302 1 4234 5262 1 54 823 1 14731 2885 5 2056 215 2 5745 1147 2 5831 863 2 11714 4609 1 9834 3905 4 4106 5495 2 1170 1736 13 10729 3621 5 7652 3227 2 14415 908 1 7177 200 5 2511 3306 1 15025 3684 1 16090 6155 1 16075 6130 1 19872 2992 1 18992 126 1 11981 1324 1 12894 8187 2 1243 5002 1 10146 545 1 1825 1819 1 18231 2989 13 3536 4935 3 7474 3021 4 16894 4884 5 7435 5905 4 10847 2842 1 17953 7461 5 11964 3637 1 12874 1298 1 2310 1342 1 14596 3916 1 17960 6080 1 6061 6925 1 14303 4662 1 15168 200 1 13705 219 14 12423 7235 1 15794 1720 1 18820 3315 5 15192 2831 1 6228 665 1 6936 2383 6 15648 190 1 16397 853 1 130 5973 1 3496 1727 2 11938 3666 6 13268 444 1 7577 3056 1 7307 859 2 8777 5470 1 19957 696 5 18142 236 1 7647 1781 1 4046 1342 2 10852 4317 4 18866 1719 8 11567 7616 1 109 4958 1 12262 1275 2 9954 1704 55 9079 864 2 16535 5074 3 6634 2618 2 7417 7592 1 7769 5506 1 13178 1325 1 19737 7530 2 2985 604 2 929 4789 1 9961 7753 1 16759 4032 1 1765 207 1 130 5945 1 14897 1950 2 18115 5256 10 1671 2479 4 873 5254 1 19727 5253 1 12933 1827 5 140 6412 1 16552 6231 1 388 8081 3 8934 3617 5 3937 1996 1 4287 4339 1 6066 2318 5 15211 2946 1 620 219 2 15533 524 2 5227 5081 4 3765 3558 2 18116 7647 2 19223 6670 1 14318 1611 1 20261 3528 1 11388 207 9 1073 5444 3 13829 1743 4 7455 7276 1 3048 1203 1 3177 1305 7 15137 5245 1 3881 438 1 5648 4781 1 14434 3337 4 2602 4609 1 12720 7853 1 349 3917 1 14905 3367 4 11259 7085 1 6327 1007 1 4688 735 1 18573 3479 1 10401 470 1 18852 2114 1 1794 23 22 506 2675 6 9952 1774 2 5216 8156 1 4796 888 1 12569 1296 2 16579 103 1 17915 2676 1 14280 496 6 5542 2109 6 11160 5560 1 18264 2980 1 6064 2489 1 8343 4036 1 6089 2338 2 18243 5210 8 17824 3840 1 9279 1772 1 5199 4674 1 6109 4575 1 18456 221 1 55 2645 1 17291 5086 1 19662 244 1 14275 23 1 19769 556 1 35 1703 3 1864 8013 1 7785 519 29 5194 2416 1 11702 7098 1 2372 1756 5 4588 3108 2 17431 23 4 5395 6955 1 19222 470 9 3522 1364 1 13242 4663 1 8198 7937 1 2590 8109 9 16472 4600 1 12296 2693 1 1772 5093 1 5407 4963 5 16440 1146 2 7620 1312 1 2739 71 1 9847 5018 10 10063 1208 1 9832 1658 1 13122 4108 5 482 8184 12 9478 1946 3 294 512 1 7251 244 10 11336 5492 1 20177 1814 1 5336 3463 4 1710 7470 2 11230 4256 56 8151 1718 9 6096 5459 1 17736 651 1 2749 3104 2 2415 372 1 6264 3634 5 7578 4612 1 7450 235 1 16790 1776 1 10050 947 6 8580 3071 1 4995 1251 2 5582 201 4 10272 1776 1 1790 1835 1 19217 7201 1 17675 1775 5 7882 2009 1 13508 634 1 18142 834 1 9375 2539 1 18115 6442 2 10078 340 2 17682 5407 1 6269 3060 1 19713 5325 1 19430 1819 2 4197 1768 2 19171 1307 1 11823 2841 1 14722 3482 2 15374 5759 1 8735 8195 3 4170 1245 3 10135 187 1 2965 2488 2 16591 8183 11 16102 5281 20 19246 177 1 7445 498 3 4948 7093 1 2587 4763 2 5036 201 1 8458 4245 1 3814 3071 1 3573 532 1 6570 1250 3 4023 382 1 10730 524 1 11783 3911 1 1276 3895 1 7910 6098 1 14028 7108 1 11837 1776 12 11736 727 1 9120 7222 28 16914 7890 2 19457 3593 1 3668 6996 1 18106 522 2 5561 2021 1 11482 1404 3 8735 6546 2 6867 2352 3 10457 48 2 17847 911 1 8001 3221 1 952 6756 7 13590 708 2 16898 3423 2 19160 533 1 899 4557 1 8223 7030 10 11581 1296 1 11151 5871 1 15314 5051 1 14087 5904 2 10604 5537 1 17136 303 4 16128 394 1 19546 6241 1 10739 804 3 12700 496 1 7528 7575 1 16117 2668 1 10404 6484 17 17353 2675 3 20016 7419 2 9894 284 1 10508 1781 4 4688 3557 1 153 6905 1 4933 467 9 5378 4245 5 15147 4461 3 8174 834 2 18457 510 5 15769 534 2 888 891 2 17708 5922 1 6717 214 5 6158 1752 6 6997 4740 1 2575 4600 2 14011 3399 1 11588 1737 5 7952 5156 5 1416 219 1 17449 2352 1 4126 1244 1 6213 1339 2 144 1482 1 17 1217 2 12015 1730 4 19731 2869 1 7653 4126 1 5616 8023 1 2586 624 1 2174 6027 2 7095 6052 2 8159 588 1 10655 2378 1 13335 2353 2 7226 5150 6 15211 6649 1 8629 4623 1 13727 6500 2 650 3477 1 16311 3953 1 8273 6150 1 797 4739 4 14010 6159 1 17507 7399 5 18197 6006 1 10105 232 2 12621 4394 1 2666 2531 5 3091 3233 1 18625 201 2 16532 946 1 6749 7089 1 14759 201 11 13595 1458 1 5158 283 1 1594 3138 1 2590 4351 4 1935 4345 1 18191 7965 1 10966 1296 1 14920 6564 3 5638 2626 2 11548 1703 1 15586 7462 1 16557 1761 1 5775 533 4 7538 235 1 10186 4085 1 939 1334 1 11932 5060 5 9783 1366 1 1268 2443 1 15874 1250 1 16984 8165 1 20274 3021 2 14357 5256 2 1274 1747 1 11176 23 3 13084 223 5 11683 207 1 11844 3476 5 3272 1779 12 4273 3234 1 10856 3615 1 7230 188 39 19705 1721 7 8902 1661 1 14849 4405 4 17195 401 1 1090 5130 10 19664 215 2 8125 4902 5 7263 2488 3 3491 1035 1 11768 3167 3 9129 4555 1 6300 8200 3 4180 2821 1 7994 5673 1 164 4274 1 2135 88 4 9497 1758 2 19964 4949 1 7550 2636 1 14107 1184 2 9224 604 2 13100 200 8 19069 3462 3 11751 1251 1 6982 6728 2 8687 2488 1 18705 222 2 6556 7740 2 7849 2155 11 4870 1768 2 1824 4225 2 5313 81 3 12024 6334 2 15791 4554 5 16258 256 3 9568 5730 9 2845 1400 6 17175 2663 1 11938 6224 1 4202 3641 2 710 420 2 8311 219 2 15530 6059 1 16509 6536 1 13646 203 5 16270 946 1 7507 4945 1 17886 810 1 16916 400 1 3427 5670 2 10383 2639 1 11943 1659 1 12126 3639 1 6229 6436 1 8067 502 8 1689 867 7 9493 3588 2 15025 1788 1 3663 367 3 1817 1374 5 8952 8099 1 7452 6520 1 452 4394 1 163 7395 12 3108 5077 4 5626 156 5 6990 3247 1 18316 3430 1 974 532 3 7179 3227 1 2357 1166 1 12232 1395 1 3419 2559 2 14791 232 1 10385 4088 1 14211 325 1 9436 232 3 1904 1827 2 6208 1716 5 11597 934 1 7965 4992 6 16967 184 2 8915 6487 1 2545 825 1 3189 6943 1 4223 7089 1 12765 5267 1 12619 861 2 19649 367 2 3309 765 1 7823 4245 60 9397 1755 3 17083 219 1 7147 545 2 3243 779 1 14011 7272 2 19740 6213 6 12638 3304 9 11467 947 1 16881 7938 1 18561 8109 6 5289 7962 1 1204 4217 1 20272 3364 1 7892 4967 3 17575 5325 1 3853 504 2 9835 1701 11 9527 4807 2 6630 6203 1 10268 1819 2 17416 7901 4 11215 2875 1 13185 5254 2 3843 2675 6 18814 7136 1 3663 2722 1 1978 4011 1 9327 220 3 12152 1751 2 17366 6358 1 20107 2885 5 12890 7602 1 14579 1893 1 605 6342 36 8312 1751 6 15314 10 1 17538 1471 1 4364 184 1 9250 5788 3 19649 1721 3 5320 2089 1 9141 3910 5 11122 4567 4 2495 3747 4 16600 738 1 11048 2297 1 7360 7847 7 14553 6440 1 16777 1757 1 10913 221 3 19864 2673 2 19120 235 4 6228 879 3 4343 942 1 3663 489 1 12292 1734 1 11156 1737 9 17526 6204 1 314 1356 1 19708 314 7 20071 219 7 12897 132 3 8831 809 4 11131 786 1 14563 867 2 14305 726 1 20122 225 1 18809 6341 5 8067 7850 2 8907 5324 1 4897 5971 1 14959 6414 2 18705 1715 1 10840 498 1 14537 1751 2 12895 1361 2 4189 7427 1 19143 568 3 16987 207 2 13886 4779 6 9993 303 6 9263 199 1 1625 2507 1 18128 1778 1 16085 1703 1 5738 5333 10 4477 1342 4 16527 6161 1 17135 2555 5 3188 1236 2 16351 501 5 17373 1752 1 16183 1730 20 14350 230 2 5601 1245 1 6018 1253 11 16486 23 12 873 5339 2 6403 2540 1 14550 3932 3 5401 234 1 655 7682 2 3249 1717 1 8554 175 5 18861 2488 3 16690 1230 2 1025 224 16 15826 7948 3 15281 5758 1 17092 6164 1 7719 1921 1 14060 1778 4 14941 7229 1 9481 1453 3 15576 1324 1 17084 947 3 4113 534 2 4688 780 1 7651 7915 10 97 1721 1 3018 1687 1 13657 3407 12 17256 7602 6 332 3562 1 11533 957 1 6063 173 2 4880 4119 1 5848 274 1 19551 6342 5 7497 1784 1 162 7390 6 17335 3072 1 4598 1728 2 11467 3382 2 7180 5738 1 11935 244 6 20076 7586 1 9587 2149 1 5301 3911 11 156 4949 1 17596 165 3 5963 524 5 5326 2459 2 18415 7748 2 18876 567 3 1444 2367 1 18371 2555 1 18986 3634 1 7943 2649 5 19268 2068 13 6045 1752 2 13093 220 2 1698 4689 1 19429 5051 1 13461 3311 1 9528 766 2 8950 3193 2 94 4209 1 1646 7890 27 12740 4014 4 3234 220 1 9538 7229 1 18862 1819 2 3871 156 2 2805 988 1 15834 484 1 13447 6223 1 13922 191 1 6258 84 1 2201 7719 1 11269 2256 2 10894 6823 1 6913 3232 1 2204 2495 1 19760 929 2 10373 196 3 4358 2079 1 1999 916 4 886 4245 40 745 1752 1 3915 291 2 16666 5004 1 19633 1718 1 5218 2575 1 18793 221 1 3716 1707 1 143 6602 3 3258 532 1 10371 1314 1 146 6692 5 16156 23 1 7435 2068 1 12364 5408 1 2274 4498 1 1028 7750 1 7515 6706 5 83 3368 1 8027 502 1 12437 8094 1 10941 7261 2 5563 777 1 10238 874 1 17809 6018 2 19176 8170 1 6618 2708 5 18065 2240 8 1267 1342 1 8913 3572 1 10862 4351 1 806 215 11 5364 4375 3 15637 1286 2 14259 1416 3 6587 347 11 11432 428 1 1128 214 1 12956 7568 1 10706 4076 1 1852 1893 4 1309 225 1 13157 5928 1 19090 1116 1 14757 3567 1 87 4027 1 3146 6078 1 1868 215 6 3825 3128 3 9511 2491 1 13909 5545 1 11461 1399 1 1307 4944 2 3688 23 2 18069 386 1 15116 5472 2 1689 3233 16 18455 3916 1 15108 1395 1 17246 1768 4 18119 6910 1 17120 1752 3 9131 1208 1 4234 35 5 18561 8015 1 8841 3057 1 18307 2098 1 6417 5496 1 1466 723 1 15427 870 1 9612 5018 1 4536 6741 12 17372 6723 23 2479 2263 1 2522 3492 1 10355 1334 1 4276 6207 2 17682 1203 1 18237 525 5 18861 1772 1 10682 2686 1 13234 3705 1 95 368 1 11231 448 1 9055 4574 1 8159 571 1 15211 3021 12 14441 7896 2 10078 1990 2 16090 1955 5 12817 7750 1 1504 214 1 13646 3061 7 15896 3482 2 4057 7938 1 5264 8183 24 7252 4367 13 11187 1776 3 10815 548 1 18032 3445 1 11259 6086 3 11887 4870 1 6218 1399 1 18577 6719 2 19776 2686 1 2687 5549 1 592 467 1 20046 1909 17 16847 3175 8 8331 198 1 17133 207 3 13642 1383 1 14530 4793 7 13733 502 3 7853 1208 1 9366 1815 1 8478 581 2 8997 2860 1 11551 5444 1 7269 3911 15 1539 533 1 11736 6559 1 18211 201 12 127 5756 1 173 910 4 19946 193 1 18681 718 1 7922 2536 1 9168 7396 1 5052 1068 1 4679 6192 1 1495 6435 2 4061 1244 1 5254 4610 6 15308 4780 1 4573 223 10 7380 1573 2 4811 4351 1 12939 1083 1 19872 2580 1 18501 3427 39 18561 2964 1 17163 7769 1 3283 219 27 9508 1139 1 15886 6685 1 16505 8141 1 19562 6241 3 18762 1825 1 12919 6621 2 7943 6225 1 2869 8029 1 9725 477 2 5093 3462 7 1672 23 4 12346 6322 2 7991 6712 4 12988 1334 3 20016 5524 16 18735 1883 1 15065 201 6 11192 5741 1 7040 792 3 15398 785 1 18847 943 1 8086 228 5 5676 225 1 19092 6661 5 4549 7117 1 9242 8146 5 19038 867 20 5849 303 4 14060 3147 7 7127 1748 3 108 4920 1 17982 3698 1 15097 207 1 13650 175 1 18357 4266 1 11256 926 1 13334 1778 2 10452 911 2 5621 1707 2 18595 3058 54 2548 4868 2 3397 912 2 8706 1727 2 8082 5788 1 10541 1193 3 16117 7316 1 1466 1247 10 18738 4225 1 13754 1819 2 3739 519 6 1558 5790 2 17560 6912 1 14055 219 1 14900 532 1 5111 1781 4 15261 1965 2 496 1296 1 13490 379 1 7679 1359 1 11987 1768 2 13328 2636 62 19094 1395 1 1564 3939 2 18502 8195 1 15948 1250 8 6989 784 1 19418 1751 1 13764 7073 1 6939 4400 9 3471 2676 1 16636 1179 3 6998 3460 1 6793 1979 2 14276 8081 1 10847 5300 1 8626 1719 1 4216 3895 38 9771 1321 1 16568 249 2 12469 6677 1 6835 3414 1 15314 7184 3 787 2883 6 18568 8013 4 15956 1383 2 8220 7280 10 8288 3193 1 17932 48 2 5280 6107 12 15494 3621 1 9870 229 8 14914 3510 4 7568 7998 2 31 1239 3 13782 4720 1 4867 7235 2 14522 590 2 17596 184 1 3337 3233 32 10010 2678 6 7028 7542 1 6349 3591 2 16481 6064 1 7944 4167 1 15688 2309 1 1043 187 4 20099 2860 1 13770 1665 1 12893 1253 1 5567 2858 1 18797 1244 1 1773 514 1 15548 7606 1 15441 2149 1 14211 2885 5 3090 3511 1 19863 6482 2 13105 292 3 16036 1719 7 16798 3799 3 7841 7462 2 6286 5000 1 18420 6701 1 6123 1764 3 17449 1464 1 15456 232 3 4170 7279 1 11072 698 3 1625 2097 1 10357 4944 2 1671 5022 3 6721 229 3 18334 5499 1 11336 1339 3 1751 1829 1 5896 4104 1 11964 1705 1 11270 823 1 6053 7439 1 16493 235 9 868 1342 6 5176 4960 2 11365 200 1 5620 1697 1 15836 6897 1 8493 745 1 7275 2111 2 5939 8102 1 18072 536 2 2962 2922 1 8660 3571 22 7571 3903 1 17700 2675 10 10461 2501 1 13065 1686 1 5023 2747 1 3915 1760 1 4146 2727 2 19267 674 3 19839 8183 4 18258 3262 3 15213 1448 1 5235 499 4 6161 3537 5 518 5059 1 19093 4929 3 14186 519 1 8636 7802 1 17184 665 3 1341 2303 1 4237 6897 7 15599 6283 1 4788 2849 1 19566 6580 4 7652 1638 31 3515 2935 3 20074 7652 2 8031 526 1 11968 7412 1 6697 6754 7 13185 4622 1 13 871 2 2267 6487 1 19867 1361 2 7320 5187 2 13027 5940 2 5449 665 1 11446 7029 1 16394 505 12 17054 3531 4 7705 1303 1 19300 3478 1 4614 4460 6 4389 502 45 850 229 1 13972 84 3 18560 7349 3 6809 5820 10 17575 200 1 13086 4182 1 15022 5769 1 5124 1039 1 717 524 1 17253 3321 1 5329 534 11 783 5035 2 532 4944 1 5035 1727 1 1494 2918 22 12385 6640 1 1465 2106 2 11848 1105 4 15257 1395 1 19272 7857 1 7734 184 5 444 541 5 17549 228 1 2413 3145 5 6332 945 1 19861 2355 2 20066 1339 2 13486 2693 1 13490 3005 1 2902 1814 1 3504 698 1 11082 7466 7 20076 3558 1 12817 2009 3 19504 2488 2 661 7958 1 1833 505 13 11336 5515 2 7436 1718 2 14306 232 2 13574 229 1 971 5922 1 14474 1757 1 7496 3515 1 3963 1996 2 19044 206 2 14481 1328 1 14276 2994 2 11064 1706 44 10853 3218 1 14326 6064 5 2869 8095 1 10898 1658 1 10145 1037 1 9904 4795 3 11585 8183 1 8083 4623 5 15548 4971 1 3010 4944 1 6796 1700 7 6389 2350 1 9916 2316 4 6109 2131 2 17135 2645 1 4429 4435 1 8801 310 1 11467 722 1 8326 4623 1 9525 733 11 18922 1393 7 5542 219 9 15364 2841 1 5773 216 5 16926 4470 1 838 2268 7 12127 429 1 16844 7013 3 15887 2542 1 9865 519 11 2378 6091 1 18615 1745 9 19942 2367 2 19272 5518 4 2462 2069 1 10462 156 3 16026 1298 3 3416 5788 2 17550 4852 1 4779 6680 1 12916 765 1 19486 888 1 10554 2071 1 16712 4003 1 14985 95 4 18769 304 3 5486 1825 1 8448 4606 1 3111 7271 2 14896 5031 1 11925 4807 6 7943 7016 5 5997 7085 9 4498 1307 3 12897 2065 1 6249 584 1 15923 1743 1 14661 4366 10 19112 3853 1 5010 621 1 10331 1037 1 1489 1995 2 19711 194 1 1911 3408 2 17803 4325 11 19069 4976 8 15070 6231 4 3090 13 3 17756 5000 1 11886 2120 3 1873 3627 1 3003 23 4 12986 1771 1 9195 8141 5 9562 1507 1 12941 2894 1 10692 304 1 16945 849 1 19900 4142 1 5216 4623 2 10813 1681 1 10595 2360 1 16938 197 1 7842 201 2 2634 1827 3 9462 7809 2 2785 2552 1 7728 3627 1 87 4001 1 14021 4288 3 6228 926 1 14037 3920 1 4880 616 1 17738 6505 2 18879 3409 1 10961 2552 5 12067 554 4 15321 1363 1 9395 3837 1 5172 5078 16 13430 6200 1 16322 1420 1 7465 6414 1 14699 235 5 13705 2254 13 575 1374 2 1927 5408 1 853 6219 2 9027 514 6 17485 2817 1 12013 1663 2 4412 5266 1 2146 234 1 10730 7689 9 11388 1696 3 17428 7249 2 19107 2355 1 15474 2357 2 17137 4733 3 11515 212 1 11230 2387 1 4348 203 22 3287 4361 1 1824 705 1 2818 201 11 79 3547 1 18927 7083 1 8033 215 1 19381 8143 1 520 1711 1 17225 514 3 17719 471 1 130 5786 1 13920 1747 2 8182 5758 2 268 220 1 17088 2356 5 16862 5002 1 2821 4811 4 11793 3972 2 212 6220 2 2886 8142 2 18147 2645 4 14230 3511 10 2652 1463 2 15009 4727 1 18014 1244 6 6188 6343 2 11687 304 5 12623 3886 1 14525 4992 7 8969 1783 2 15280 200 1 1171 411 9 19635 2114 6 18705 197 3 7176 3684 1 406 4258 1 20048 203 1 8231 5326 2 124 5536 1 1680 519 1 10449 6701 3 16021 2632 10 4483 6152 2 35 1926 1 18037 5123 2 13223 6717 4 5312 2836 1 18 1235 1 13881 2645 2 4054 1730 4 16813 7164 3 11570 4029 1 4189 3784 1 8546 201 2 11433 191 1 4971 512 1 108 4907 1 18557 219 5 3801 4105 5 9546 573 1 14011 7841 1 19056 3242 2 11725 219 1 11129 207 1 9941 336 1 12322 471 1 10377 2290 1 153 2683 32 12727 1762 2 6259 512 1 14800 1784 1 11820 3492 4 18862 1251 5 13386 4288 1 2811 863 1 20087 7570 1 6625 6192 1 3715 8083 1 15205 708 3 6580 411 5 9987 1488 1 13358 514 3 14400 4268 1 437 4385 3 2351 6127 1 13373 6011 1 10258 2748 5 12143 7591 1 12858 7424 1 11981 1251 4 18071 3016 1 11603 3669 1 4057 3378 1 8844 1147 1 15307 646 1 15769 3161 5 4642 6197 10 12972 1764 1 7470 5780 1 13733 1714 3 19848 5105 1 5100 2065 1 572 3167 1 11336 5489 1 10610 834 2 4602 200 14 12919 2006 1 10815 813 1 15833 4653 1 10338 4696 1 8952 1054 10 10883 606 1 413 2747 1 4780 8109 9 5298 253 1 17300 3688 1 19833 634 1 6570 3588 3 10432 3138 5 10494 7473 66 3664 2274 1 1118 23 6 17372 390 1 16535 3540 2 12089 6633 5 3208 1760 1 15745 84 7 8761 681 1 8269 592 1 5602 5312 1 7138 833 1 2886 2774 1 10011 2555 1 8051 7116 1 3337 460 1 17887 7597 3 20017 2636 2 15418 1573 1 4177 6683 2 14196 4022 1 6078 4555 1 12361 712 1 13057 13 5 1462 1482 1 9768 441 1 5744 8167 1 2380 1700 1 4913 7022 1 2425 3661 1 11934 7294 6 2646 2443 2 6 185 4 2021 6435 1 4906 232 3 5424 2943 1 10609 2520 1 13653 4096 1 1487 3617 4 17944 7380 9 9642 2056 1 2461 6198 3 11591 2344 1 1108 502 3 2723 6245 1 19733 1975 4 15015 2881 1 14400 512 1 18857 7745 1 7998 2556 4 4688 300 4 3042 4256 10 5336 1330 2 14011 6484 3 5523 478 1 17448 6126 5 14828 2582 1 8240 6487 1 135 6156 2 8294 2132 8 16373 4982 1 18258 1649 19 19626 6414 12 17067 6150 2 6703 1184 7 3255 1482 4 14086 517 1 958 514 25 18524 4499 1 2809 3556 2 20034 2459 1 14377 6606 2 14679 2726 1 11195 1729 1 10065 7612 1 9390 6031 4 17973 1243 7 16594 5266 3 1686 1758 2 13896 3331 4 4323 3433 5 7597 2058 1 14038 3164 3 13508 2964 1 121 3400 4 11763 624 1 11787 1235 7 17041 220 2 15619 235 1 17405 726 1 1393 798 1 10733 2571 1 8515 2542 8 5636 2675 5 16202 6826 4 6208 214 3 7157 4312 1 2332 1778 2 16860 307 1 7099 2869 1 13369 6245 1 1488 1695 1 14527 642 2 4772 4403 15 12030 206 1 19193 1399 3 8452 1658 3 16826 5999 21 16683 5018 7 10146 2836 1 16292 5252 4 2045 2241 1 10413 2269 1 1198 74 3 15065 6714 2 7685 1286 8 19494 2080 2 8443 5966 1 5877 1466 7 18113 4120 1 4683 1994 6 8528 1277 1 11882 5243 1 7412 2089 2 11192 894 1 167 7571 1 20019 203 1 12825 6900 1 18381 205 7 11366 205 7 17485 232 2 3925 1724 1 1291 867 9 10911 874 1 14578 1769 1 9224 590 2 4257 3061 1 14883 1731 9 2779 1703 5 4632 3642 3 14678 945 1 13997 379 2 3888 215 1 19680 7719 2 3329 3589 4 20047 5022 5 9609 2508 2 19219 3220 4 18012 5306 4 4030 3464 1 12816 3586 1 1872 236 1 3326 5783 1 13097 206 6 8793 632 1 7179 148 2 506 3233 1 15270 4816 1 10422 2056 5 7859 2165 7 3874 6256 1 4838 756 1 3335 4950 1 9760 520 2 13570 745 1 13219 84 12 13 681 1 12853 223 1 4599 200 5 19332 6242 2 16976 1770 4 14633 3618 1 16040 501 1 18534 1743 1 6640 1104 2 10234 2082 13 11028 1309 1 42 2154 3 4206 867 1 18705 215 4 11769 1931 1 12817 371 1 15778 2100 1 13077 4963 1 5205 5996 26 5945 1757 3 10852 4320 1 16851 1153 1 10 261 2 3998 1760 1 5994 2737 1 15683 6049 1 6089 1747 1 3808 891 1 3947 3333 1 15041 304 1 11882 889 2 14658 2056 1 18696 214 6 12747 1330 9 4050 1775 3 9776 177 1 15634 6705 11 17763 2530 5 15192 873 1 9916 5051 9 19193 3193 4 19597 1104 1 9276 1713 12 11367 1959 1 6249 3406 1 8961 1752 10 13017 3562 1 20181 3869 4 19813 4948 8 8860 207 2 6158 518 1 11333 2969 1 12604 2677 3 8760 5903 1 1011 506 1 9650 1245 1 19861 6939 4 15191 3937 8 18144 1775 1 4096 1252 5 12945 3931 2 13219 6047 5 2187 2649 1 12821 1373 1 4251 1271 3 10396 6592 7 20265 691 1 11678 3605 1 4815 3882 2 4142 153 6 6656 1450 1 8561 1755 2 5761 3058 1 12322 221 6 16873 5014 1 7436 336 1 1962 5756 1 3579 1731 1 8875 7182 1 6827 789 7 19156 7643 2 14436 5518 1 5659 7881 4 2749 1224 2 1047 764 3 13646 2175 2 8634 4074 1 171 7688 1 17491 1399 1 2345 5058 10 9531 1342 2 11786 1613 4 7598 2248 5 136 6271 1 7555 502 1 19123 6047 1 6692 1338 1 17842 1738 2 17810 7223 1 18548 819 1 7079 5292 5 19857 720 1 2674 1895 1 201 973 12 16194 2569 1 140 6384 1 10933 6554 3 4784 2439 4 1503 1768 2 108 4849 1 18807 235 1 890 1322 1 11391 1388 3 18658 225 1 6705 3263 1 3939 5382 1 10051 4501 2 14826 4525 1 8845 5363 1 1625 6453 1 17700 8183 82 18408 7899 1 20040 6011 3 14018 7829 3 7129 4357 9 2169 5758 19 1634 5256 1 8735 7859 2 6088 2727 1 2276 23 1 8097 2646 3 6509 6152 2 1585 1991 2 899 680 1 649 7602 2 17742 4473 1 17324 726 1 7174 303 2 7558 7850 6 6384 8171 3 9390 5322 30 19034 5339 4 19517 3448 12 235 524 3 4309 1664 1 7165 4868 1 17628 299 1 9609 3357 1 888 809 6 5398 1751 1 12074 1267 1 10610 863 4 5174 7510 1 32 1804 5 17662 1737 5 14492 7083 2 6983 2939 2 18462 4274 2 6099 1652 2 13638 4343 1 13909 7456 16 13363 648 2 12357 132 5 11451 4022 1 14483 509 2 18040 2353 3 126 5630 4 86 3938 1 8713 2675 20 4015 944 3 11766 1781 3 4376 4623 1 94 4261 1 3734 1698 4 7029 6457 6 14400 8203 5 1218 1453 1 11402 657 5 13461 2354 3 17171 2495 5 5152 1146 1 951 1747 3 1764 1407 5 12790 2118 1 6813 7143 1 1379 385 1 17939 955 6 8635 200 23 2385 6080 1 12892 1226 2 11072 745 1 19193 1369 1 14187 7494 1 1304 3409 4 8710 6644 1 14162 7568 1 15383 323 17 18106 7358 1 2886 872 1 625 3954 1 14296 318 9 10676 2958 2 7622 7997 1 6628 7674 2 13580 4041 5 745 580 1 13684 1022 1 4905 215 5 2947 1208 1 143 5097 2 8983 6185 2 15912 5691 11 6502 5350 1 19489 205 3 12078 3575 61 20090 367 9 4880 4022 1 7285 1245 1 14113 6497 1 14964 1319 1 18932 2859 2 968 1250 13 10511 1737 1 16706 6983 1 19775 2678 1 14710 141 1 9556 5014 1 57 1342 5 10967 3507 1 13909 1897 1 9967 534 1 20211 4612 5 10312 867 10 8946 828 1 101 4606 2 15918 3020 1 804 2955 1 2150 215 1 9220 219 1 16676 2448 2 13919 3399 1 18134 2749 4 11184 1990 1 17331 745 9 12429 6717 5 473 8141 1 13420 7989 1 13185 203 7 5877 1407 13 10317 3591 1 4561 7878 1 447 1760 1 3387 3239 4 16971 7859 1 8083 3326 2 12320 5691 1 3000 2663 1 14114 4207 1 585 1450 1 18879 4226 3 5373 201 1 1068 859 2 6570 5253 1 10233 4065 1 17903 532 14 10623 8109 1 17199 5064 1 5436 1718 2 16877 7302 6 417 2058 1 19089 504 1 107 4788 3 7575 534 3 9953 353 1 17025 244 1 18226 910 3 9432 3734 3 10324 8137 16 11195 173 1 14731 1064 1 1712 545 10 18197 1673 1 2886 2317 1 14745 397 1 7986 4351 2 6700 523 2 14686 3710 1 2194 605 2 8608 3319 5 9259 206 1 18462 854 1 16914 2651 1 7943 7333 1 1746 4193 1 4279 4112 5 5602 235 2 19603 6902 1 2591 2691 7 13009 2789 6 18546 235 1 12329 3945 1 3505 2626 1 5192 1706 2 1476 3679 1 532 1819 1 289 206 5 12995 2424 1 4538 4992 4 10887 1241 1 3750 579 2 11899 1286 1 13520 6053 2 14465 13 1 8255 1294 10 14497 201 1 1839 5559 1 18249 973 1 2762 235 1 14826 130 1 3002 869 1 7306 553 1 12521 7270 5 7760 6561 2 8340 1751 1 20210 411 1 3446 521 2 11678 1133 1 2993 2511 3 6410 2675 1 11131 960 4 5396 470 1 2345 624 1 13335 3163 2 16797 6533 1 1389 6343 1 3759 6124 1 13417 3512 1 12764 1464 2 15027 7407 2 17628 1056 2 7688 4708 1 1050 1464 2 19030 26 2 8416 1042 2 582 1365 2 8104 304 1 13642 490 1 15167 4103 5 16683 1819 5 5205 3611 2 19327 1692 2 9661 3892 5 4992 1747 4 4612 1464 1 14700 231 3 8709 1035 2 5298 5266 3 15982 1745 9 16589 23 1 18019 5686 2 20177 532 1 1604 6993 2 13127 863 4 12060 535 1 8848 325 1 16048 5498 8 7062 995 8 8065 23 1 17019 506 2 18946 5933 1 3765 3909 1 14021 4303 3 6642 7848 9 7603 6926 1 6534 4314 1 6180 5234 1 9124 3023 6 95 3920 2 2921 4998 10 14035 6100 1 3277 1275 3 2674 7565 2 1513 1714 1 6003 1760 1 1586 184 6 4534 973 3 18679 4258 1 16231 2343 2 17017 7640 1 6335 211 1 10318 1235 4 2980 2342 1 2629 1769 1 4355 1721 1 17084 207 57 5264 1311 9 19816 7121 1 18878 8141 1 7179 243 1 6855 4582 1 13640 197 1 1875 5023 1 1191 3146 6 8849 6487 1 19093 1760 1 6639 7185 14 7786 1251 1 2775 578 2 7308 3175 3 9244 207 1 10121 237 1 7639 498 9 16667 3556 1 17583 6179 3 1171 524 6 17610 891 3 5867 8137 1 17736 386 1 140 6457 1 18902 3426 1 2419 452 8 1969 5252 1 10691 7474 5 10340 167 2 12100 221 3 494 217 1 12424 864 6 2891 7594 1 10553 2474 4 8591 6200 1 3768 2569 5 7119 3671 2 17909 652 1 11786 6657 1 1896 219 2 13445 1253 1 5449 3497 1 1839 215 10 7165 4248 1 14416 637 1 8367 1265 3 17088 8171 2 877 3920 1 3878 2264 1 10916 4785 1 2980 3540 2 10339 7242 1 17911 696 1 4483 2363 2 1843 5749 1 17185 5036 2 13356 4104 1 13700 2076 2 3854 676 1 13927 6102 1 1904 201 2 18413 1615 1 4030 604 1 7000 2388 2 6180 2869 1 1059 8083 3 6111 252 1 3542 200 12 19677 368 1 10319 397 5 7610 766 1 1065 4578 1 171 7735 1 18177 2589 1 19776 2123 1 4559 7201 10 18040 4493 1 11897 519 3 17404 7511 1 18037 995 6 5540 1748 1 11255 4446 1 4412 1718 6 19178 1344 1 13351 1736 1 3398 4002 3 14663 1714 1 18413 5187 2 10404 3627 1 17843 8203 1 3455 2484 1 12339 1399 1 7577 7522 2 18149 206 8 4018 1997 1 12212 2869 1 19966 219 1 9535 220 1 4933 46 2 97 3135 4 16090 844 1 4095 4394 3 62 2911 1 7509 1235 5 14226 5804 1 10128 1399 3 19901 3885 1 16564 6545 1 15146 225 5 13023 5588 1 3028 7819 2 12545 2699 1 16096 6053 2 4327 1241 3 2749 3110 1 3152 2761 8 5310 270 1 4050 23 2 15401 7474 1 11545 1529 1 4444 6053 3 15970 4555 1 18574 7512 2 6347 5996 1 2313 6943 5 7415 1679 1 992 3258 1 4946 976 1 5617 2488 2 14060 5245 1 19136 4403 1 20016 1778 3 20244 718 1 9145 6153 1 8137 1518 1 11434 214 1 9224 689 3 7473 2093 7 2748 1590 1 4699 1249 1 1783 2897 1 14011 680 1 19637 6031 1 17548 918 1 17423 2854 1 3411 2340 1 5551 245 2 1993 3361 1 721 1819 8 13050 682 1 9925 173 4 10876 1784 1 17405 718 1 12299 4811 1 11411 1342 1 9508 6539 5 4376 4392 1 2219 5187 1 12766 6077 1 8835 244 1 10447 1200 1 12821 222 2 4020 7779 11 13091 7446 1 19315 5670 1 12758 5518 1 19137 3715 3 113 3079 2 9457 1302 3 13425 7767 1 6568 4620 1 19862 23 4 7832 4403 2 9168 215 6 4012 1645 9 4432 5427 2 10015 2459 1 2958 2675 2 733 4658 2 16734 4388 1 12803 2677 1 1120 726 1 1551 7073 1 5280 790 1 11154 498 7 17218 7406 1 1973 7540 1 8823 4209 1 8353 1825 1 19821 1250 5 7065 4246 1 20166 3430 1 15970 1402 2 77 206 1 6681 638 1 8168 3345 1 15463 845 5 18616 4945 1 12402 531 1 452 3954 1 18128 2354 1 11269 1734 1 12955 207 32 10313 452 15 9793 1406 5 13646 6758 1 16050 4656 1 959 7569 1 19171 10 1 10579 2009 1 12956 6671 1 2194 721 1 6598 1247 2 11365 4245 1 9603 1827 1 4468 2568 1 16230 1234 2 6647 2904 5 8589 2055 1 1631 1244 1 13672 4024 1 1773 244 1 13126 6533 1 7518 1296 1 4903 10 1 6192 1184 3 15098 1237 38 6989 6968 1 15547 7206 2 10592 234 3 17414 4473 1 2734 4003 17 4179 883 1 8195 2355 1 5363 4858 1 65 3184 5 6420 5673 5 20090 383 1 19518 1747 2 11615 1338 2 12457 426 1 94 4213 4 13792 1184 15 13986 3323 7 2498 411 1 13461 1734 7 7577 7524 3 7968 2539 4 8930 4173 2 3739 3479 5 1712 4856 1 5769 1120 1 10404 785 9 19222 74 23 19414 3869 12 5653 6414 2 235 201 4 13312 433 1 11820 1720 2 19238 2747 1 4843 557 1 16715 4306 3 4012 2522 2 16664 525 1 14523 1881 1 7609 7412 1 11104 1307 1 121 5319 1 10973 2056 20 17244 4518 1 17649 5575 5 19387 2242 1 4467 215 6 12796 5466 42 10856 861 1 333 5534 1 18623 1726 2 868 2138 9 13380 518 1 4017 470 2 14171 214 1 1039 8109 1 12967 536 4 4051 6427 4 2303 3886 1 11008 1691 2 9297 858 2 15376 201 11 17524 214 2 16431 5349 1 8201 128 1 14276 1495 1 20126 4780 1 11774 4159 1 5204 898 2 6983 2151 1 10852 3974 4 3394 1827 1 13997 403 1 113 5087 1 6928 3671 1 13594 535 5 12465 3619 5 5310 629 2 4998 1779 6 11533 5603 1 5225 7315 1 1529 6414 2 7044 6201 1 1361 3394 4 5223 1710 8 3471 2407 22 17120 1334 1 151 6811 4 10508 1421 1 7065 2498 1 18873 506 1 5199 1729 1 443 1453 1 7304 2827 8 3417 244 6 7502 46 2 1324 386 1 5738 2230 6 6664 520 1 4197 5021 1 10554 1076 1 3907 441 1 3199 903 2 18561 744 1 19143 592 1 8416 5254 1 5088 367 1 14376 1717 1 12049 2228 2 3749 367 1 7734 1730 7 19725 1235 7 153 7059 3 11456 1757 3 8492 3998 1 10219 1772 1 17626 3604 1 19846 227 8 5495 7212 1 7221 1439 1 200 3233 1 8394 4404 1 19982 1724 2 4734 5393 1 11702 2006 1 20276 200 11 17488 1613 1 1308 519 1 19023 2980 5 1451 745 1 3376 5730 3 17844 214 1 6348 235 1 4665 1531 5 19008 235 1 1411 5444 1 17675 6207 3 19809 4366 1 4709 6207 2 204 863 1 5431 545 1 11535 1998 1 13829 891 5 1498 926 3 19565 3285 1 10559 8103 1 2170 5016 10 11706 1698 2 1289 646 3 9193 1063 1 7220 1686 1 11863 127 3 19774 823 1 7355 2640 1 8118 7511 2 18538 3757 5 12740 5206 8 12041 95 5 592 4022 1 14758 81 1 4444 4099 1 18158 203 1 4519 903 2 10591 1147 26 6369 220 15 13816 3431 1 16925 2508 2 18187 1249 4 776 517 1 5837 458 1 9700 6713 2 420 5219 1 10549 1721 5 11253 186 1 14095 715 1 16016 1121 1 11271 5769 1 3705 1705 4 11014 223 5 460 1736 2 8153 1019 18 788 1238 6 1623 5413 1 5369 3850 1 2834 1424 1 42 2248 1 6242 3275 3 18316 7419 2 12416 4473 1 18431 501 3 7768 23 4 9541 6470 2 11557 2240 2 17434 237 9 4181 7815 1 15091 99 8 19203 1350 1 27 1651 1 15687 253 5 8751 1991 19 10034 335 21 9591 709 1 12320 2829 1 18879 6091 2 8211 1464 1 16303 3352 2 16790 1734 4 7214 3787 1 11418 4299 1 4057 100 1 7148 8103 1 20060 3619 1 8887 412 1 10470 6494 1 3008 1698 1 13417 2677 1 18116 2559 1 15948 222 7 6933 5016 1 12121 5570 2 17328 2828 1 3698 6644 2 153 6863 1 7295 5402 2 4561 1357 1 12777 3380 1 20107 411 1 5700 2556 2 5588 3895 1 17120 1239 1 15318 2356 3 3715 1395 1 18518 262 1 11371 1278 1 2749 3096 1 3098 7045 1 6556 5570 1 5837 5332 2 16483 1582 1 5540 4310 1 15978 3070 15 8608 883 5 4615 512 3 7604 516 1 8833 6245 3 7610 316 1 6716 6665 1 14570 3980 1 4299 4436 1 4314 525 4 4382 910 1 6644 4383 1 83 3712 1 17905 3512 15 16714 1401 1 35 1938 7 7846 4177 2 727 1664 1 15665 2675 9 9582 164 6 8082 2981 1 2413 3134 1 1816 1172 1 8183 627 1 18262 4944 1 15193 201 7 812 525 1 993 235 1 12675 1395 2 10138 1717 1 15586 7518 4 1002 1736 1 4492 197 1 7574 6473 2 3925 6321 1 11465 1985 1 3871 219 6 874 5018 3 3485 1768 3 832 219 9 11622 1464 1 3581 1268 22 7147 8203 7 12257 2262 1 4688 737 3 4036 4029 2 8645 2917 1 19872 200 1 19367 7752 1 6292 3206 2 15576 3591 2 11877 244 1 17298 1871 1 15936 1324 5 19640 3266 1 17220 3562 1 13725 1209 1 12615 514 1 16674 2517 1 12064 1755 1 7242 5518 1 14236 1721 1 19862 214 4 204 1373 1 8269 586 1 4092 1312 3 10899 7573 1 1542 23 6 4525 1779 2 1888 3511 1 3397 1705 3 5811 8139 1 17460 1243 26 141 6481 3 13227 7229 1 13445 5427 10 18267 1271 1 7535 191 1 13417 205 1 9948 6783 1 7796 2675 1 2301 6826 1 19839 385 1 14597 1395 4 2426 23 1 8625 4732 1 8352 1244 1 16651 4623 13 11912 4383 1 745 1751 1 9044 3519 1 20222 6286 1 17247 4636 10 5830 2384 1 6033 3510 1 19326 219 5 349 4314 1 4055 4487 2 86 3961 1 5863 6252 1 4995 3412 1 944 6162 24 11343 6510 1 9022 2725 1 5738 2606 8 4268 7030 1 130 5872 5 18150 2798 1 19718 2058 4 163 7415 1 16266 196 5 18852 244 1 6588 6132 4 1397 1788 2 13530 5398 11 15834 6993 1 153 1606 1 5029 6286 1 10350 6756 4 16594 1814 1 14753 1231 3 17638 148 1 19306 499 1 1498 722 2 1055 3725 3 19317 1679 5 130 5943 1 19822 4996 2 540 1482 1 13201 214 2 1832 6656 1 12760 4252 1 10313 1125 2 4624 2980 1 6418 5972 1 6762 2768 1 17170 7231 1 4213 5970 2 17324 3710 1 4023 6640 1 2716 7098 1 11932 534 1 1542 4144 12 15282 6801 10 17088 1241 1 18040 7005 9 13003 2216 1 17079 3827 1 12737 1284 7 3822 463 1 15740 3163 2 5104 258 1 16977 6572 1 623 200 53 3892 7023 1 113 3241 1 4859 244 2 15307 8122 1 3468 5202 1 7986 308 1 2916 5886 1 18687 1819 1 4709 1726 1 15201 2581 1 16500 514 9 17589 2413 1 12669 6342 20 3765 4609 7 16756 96 1 15314 5407 1 4050 1781 1 8887 1728 1 1847 1557 3 3358 1710 1 9075 501 2 3653 3655 4 19331 1251 2 11084 1345 1 1326 1518 1 13609 790 1 873 742 1 4869 4312 1 6596 203 5 3048 5708 5 13997 2493 1 11371 7724 1 19984 4796 11 4157 3163 3 3193 6983 5 18191 5319 1 8525 6130 1 18168 2298 1 14998 4233 1 6385 1333 2 18033 6680 4 11786 3509 1 12114 3536 2 1705 674 1 10078 1752 1 6009 2357 1 2710 1247 1 899 237 1 5008 380 2 15091 3578 1 841 1917 1 788 891 8 13183 763 1 11028 520 1 557 1035 1 3310 394 1 17263 4252 1 95 4352 1 3358 207 1 12142 2292 1 15939 1721 1 14781 1431 1 9011 1364 2 4277 1244 1 8390 1265 2 6016 1374 1 18992 7750 1 12397 2727 1 8784 6015 1 932 5225 1 7278 2778 1 296 3404 1 7858 5467 1 18231 3072 8 4305 907 2 12757 1404 1 10581 1236 2 15397 4992 6 9583 2569 9 9072 7643 1 14011 3304 4 11336 5450 1 10107 7182 2 10294 200 19 14080 1146 1 4572 214 9 245 1734 1 82 3472 1 17109 2632 1 4072 2080 5 9077 514 1 9141 221 1 320 1374 1 11926 2831 1 1542 532 2 6655 6128 1 7020 3660 1 51 2530 1 17850 244 2 9749 1664 2 14157 8178 2 640 2353 1 3029 543 1 15129 6343 1 6712 348 1 18227 225 3 2023 1755 1 8367 4684 1 18656 683 1 2504 3649 1 5381 206 1 6867 2114 1 7750 221 2 788 7466 1 16965 1627 4 8455 225 1 89 4043 5 1397 2173 2 19588 1146 1 8223 488 2 19947 1681 22 7812 947 1 16427 46 31 14479 3202 6 13445 2401 6 14622 34 7 3650 368 1 9007 1484 4 19494 3595 1 13943 5758 3 16399 6023 1 11839 1282 1 13031 2810 1 7366 5922 1 2674 5444 1 1607 244 1 5164 6992 1 17257 617 1 18685 223 1 16887 1991 1 1323 222 3 13483 2276 1 13909 5385 1 8134 2671 1 8294 6480 2 17388 520 5 16240 5437 1 1233 7337 1 17717 1076 1 7823 2989 6 10764 225 2 8175 1772 1 19508 3649 1 13587 392 1 3219 5052 1 14721 5180 2 4371 2647 1 17607 127 1 17946 6006 3 16924 3849 1 5857 8012 3 2878 7020 1 7853 3378 2 8859 2912 7 18981 3391 3 2542 5618 1 15622 1703 1 17746 853 1 12988 520 3 1958 1729 1 19470 2949 4 7188 6591 2 2243 3657 5 14301 1314 1 11291 5137 3 15427 2714 1 16445 1748 1 6332 225 3 8118 6605 2 19464 3602 1 7158 6330 1 7071 3911 30 2162 505 2 11314 723 1 16994 3155 8 8372 1728 2 391 4105 1 6341 6517 3 16300 5086 2 10741 81 3 5588 3941 5 861 666 1 16841 252 1 15849 244 2 15835 5140 7 12030 3464 1 18657 1387 1 16997 1092 5 6647 3366 1 12347 3512 1 18176 221 1 13574 2307 1 3216 944 1 3240 519 3 16943 3081 3 1034 8187 6 13321 4653 1 13911 7508 1 18760 394 1 6127 4444 2 9909 2010 1 12829 313 2 19057 1284 3 7966 4476 2 5998 134 2 18508 4382 1 8004 745 5 19596 512 7 10798 5139 1 13570 609 1 7148 4792 1 8608 214 1 5005 7182 6 14093 5502 1 14672 2584 1 6813 6343 2 19952 175 1 19957 3059 1 1866 1235 2 8692 481 2 7732 6434 1 4843 614 1 9931 5234 1 16600 707 1 2045 2678 2 6707 3155 3 18638 3338 9 19670 200 1 4539 514 2 8135 4345 1 17336 4242 3 11110 1573 2 17934 38 10 10401 867 1 162 7376 8 13549 3853 1 12623 3885 1 4547 3167 1 5175 534 1 6590 201 2 6063 495 2 18580 1342 1 9891 759 2 9881 4567 1 13470 1705 13 13217 6270 1 7555 5105 1 3130 1784 1 10056 3389 2 2583 6627 1 23 1436 1 19131 6884 16 14010 7565 2 80 3577 1 6530 4992 2 13352 670 2 13187 4059 1 1825 6534 1 15969 4929 1 10293 1395 8 1670 4604 144 10830 631 1 10783 6943 2 18976 200 3 16895 132 6 7219 2344 1 614 4411 2 19026 1721 2 17350 7964 2 15688 6482 1 8519 863 2 19241 3009 2 12286 3135 4 9181 4653 1 1289 747 1 12245 23 2 254 8044 1 11660 1374 2 2021 6053 10 15726 1275 16 12412 713 1 15647 2331 11 321 200 1 20182 2503 5 12766 23 1 4691 1784 2 15790 7643 3 19865 5517 1 14818 1772 1 869 7412 2 3329 844 2 17615 6280 11 288 206 1 8912 6325 2 16176 7798 1 12036 2671 1 8632 367 3 14584 205 11 73 156 1 6086 4179 17 8107 2076 1 9353 867 5 10730 1753 1 20168 5144 2 18289 1406 1 4030 707 1 20183 1825 5 11052 6699 2 19825 5526 1 9891 1695 2 1588 2014 1 16636 7083 5 17208 4029 2 65 3147 4 4580 207 1 6784 638 1 5160 2729 1 3606 3625 1 1469 1825 14 5696 184 1 11235 2871 2 19115 1450 11 15383 2178 12 13096 2327 3 15718 5324 1 9419 184 1 9551 4572 1 13212 200 1 83 3736 1 16303 205 3 8391 840 6 17992 1717 2 17122 3511 5 16141 1727 2 4382 1751 1 15075 3595 1 10442 1251 1 1269 5437 1 19243 883 3 1670 153 4 3133 366 1 12795 1269 14 8657 2260 1 15374 5332 1 4080 1757 1 12367 3167 1 16199 2521 1 3008 7098 6 19370 3600 3 12818 263 1 7307 876 1 8560 3595 4 6256 1710 2 2011 506 2 19652 8183 33 19385 7719 1 8681 759 1 17909 3081 1 2962 2955 1 14908 1796 3 19136 3515 1 15712 470 2 13445 863 1 5356 2118 1 9374 532 1 3675 215 1 6420 2955 1 11873 3516 3 4620 3526 1 8647 489 1 12257 6343 3 4030 5804 1 7702 1741 1 808 723 5 3812 7586 2 12041 4616 1 11675 219 14 17436 1561 5 54 2598 15 484 3762 1 6229 4447 1 17543 534 1 13 598 1 19850 1641 1 3590 2097 3 12545 2698 1 19433 1720 1 4679 200 2 15213 470 3 5636 4623 1 18371 5162 1 19022 1814 45 9038 3231 1 8878 495 2 10916 429 1 2434 5879 1 841 541 3 16280 2964 1 11955 4325 2 8767 4016 1 5078 3511 1 174 8026 2 3960 222 5 19286 4716 1 130 5856 1 18968 2747 2 7769 6334 1 13398 74 1 10199 207 13 10197 3316 1 13234 3496 1 2998 7522 3 8653 2636 1 11465 2594 5 1962 425 1 5631 2659 5 8489 2423 4 14227 2343 11 6703 5551 1 617 3911 1 3519 2852 1 12299 2354 1 19280 52 1 17035 1244 1 5569 3799 2 6525 1247 2 11929 131 5 16649 1253 1 2663 4344 6 18228 525 1 2844 7437 2 3651 398 1 18064 792 1 9573 201 4 18029 5129 2 19053 356 1 17078 514 1 1605 4963 2 9031 507 2 62 140 1 14740 495 2 1122 6481 6 7835 34 4 11959 3643 1 19368 584 1 2704 2917 1 7252 473 1 7361 2605 1 2593 3515 1 11877 215 1 3558 4623 1 20225 835 1 10815 2871 1 2121 3511 1 4089 1200 8 19267 561 5 4016 1252 1 928 452 1 16666 6341 5 4307 1819 10 12375 917 1 18132 4587 1 3663 441 1 15046 2498 1 8612 1561 1 13518 1893 1 737 2636 5 17494 4621 2 15318 167 1 8198 236 5 9029 925 2 14161 200 2 2428 3364 2 9922 7646 2 8262 2216 2 12186 1707 1 10903 203 17 16338 4402 1 9900 1691 1 16977 6933 3 19486 3144 1 379 1944 1 15180 3685 3 17257 2910 1 9868 402 2 14522 3512 1 14539 60 2 10508 6170 3 17761 6880 10 15845 7045 1 11797 5105 10 4522 1747 7 15318 4967 1 12924 6123 1 1999 926 1 1757 585 1 11482 1164 1 14218 1154 3 11301 7494 1 17945 1721 2 8424 6226 1 14964 3951 2 6533 3101 3 9883 4567 2 15759 1249 5 14758 846 1 13448 509 1 4049 4137 1 4898 1728 1 19190 1825 1 17019 1698 1 4110 3138 6 19685 219 1 1005 4610 1 10988 4246 1 761 6777 1 15750 367 2 12294 1743 1 7504 7368 2 13040 2832 3 4849 219 5 18593 4386 3 19217 773 1 12097 501 1 7351 2683 1 10281 2675 6 4046 6561 1 8209 4611 1 9432 2246 1 3852 5404 5 1907 2270 3 6890 7216 19 5965 3011 3 10317 5319 1 464 2712 3 17944 5390 5 8405 3460 1 4876 3457 1 11135 7674 1 15321 4022 1 13801 3911 1 14663 4020 1 19327 7511 1 6913 5904 1 11533 839 1 14326 1512 1 873 7657 1 5592 1498 1 4832 825 1 6839 6278 1 10749 200 6 14233 519 1 16286 550 2 10124 3012 1 6964 4818 4 1704 787 1 4427 1738 1 16714 5871 1 18331 156 4 2291 377 1 8943 1995 2 16135 1007 1 13427 1063 1 5013 1247 10 16916 3540 5 8327 1363 1 11336 2424 4 9740 3686 1 4444 626 1 3703 256 3 10950 3748 2 3235 4963 22 6556 3923 1 15876 6225 4 7601 2338 1 12634 1877 5 10559 5797 5 11755 1656 1 16137 164 1 7540 303 7 11340 1950 1 17317 7700 1 9947 365 1 13145 8094 6 9957 7237 1 7473 8176 1 17368 448 1 3650 6435 19 18639 7936 9 8169 742 1 417 200 1 10350 3895 1 2584 201 2 10119 1367 1 4491 5105 3 13750 4403 1 10553 2479 2 13910 23 2 5312 336 1 5626 1814 5 3195 6059 5 9865 201 1 2624 2641 1 10610 4961 1 20026 1728 7 16681 1312 1 10649 665 1 7065 5618 1 16137 3556 6 5266 869 6 9916 1184 2 1835 1755 1 16013 1778 1 276 751 3 16544 507 8 9168 23 3 19650 7256 1 16712 164 1 124 5539 1 2387 3167 1 3020 7750 1 5877 1717 32 5293 200 1 442 5432 1 18535 274 1 9180 3509 2 5870 6705 5 13996 1691 1 873 936 2 20005 6457 3 18002 247 1 1445 2651 1 712 1 1 11444 4944 1 3937 2897 1 4851 215 7 11687 532 5 9556 545 1 8615 314 1 3817 745 1 11809 3239 1 1630 23 1 3329 420 1 17748 575 1 6013 6670 1 16689 4975 1 1636 3457 2 3133 3812 20 10381 5686 7 6894 4002 1 91 2600 6 525 2080 1 4773 5327 1 2143 7531 1 17120 1776 1 18887 888 2 4167 3230 3 10684 5289 1 17996 496 8 9602 184 1 7182 4102 1 14727 3853 1 6688 2686 1 2306 905 1 17933 1764 1 14558 2419 3 13624 3255 12 11313 2535 1 12262 510 3 13183 52 3 3043 1729 1 11151 2499 2 16139 6064 1 6502 7485 1 2260 6320 1 7510 2653 10 4963 244 3 340 1367 5 19352 232 1 8930 197 1 16370 539 3 17743 7350 1 124 5503 2 8422 134 2 3525 1863 1 1555 593 1 10166 654 1 7310 7586 1 13646 6012 6 7303 4431 2 7135 1755 1 35 1903 5 4428 1762 1 8430 1691 1 6770 5570 2 14985 3192 2 3451 4601 5 18999 1244 1 3464 4635 1 1141 910 1 64 3079 2 2330 231 6 14960 841 1 15648 2295 2 9783 957 1 19649 1727 2 9865 1734 7 3003 2256 1 17424 520 1 18325 3426 1 15449 2708 1 16773 1103 1 16025 3287 1 4805 4868 4 5993 3540 1 2023 496 4 11084 8141 1 6154 1825 2 1145 200 1 12331 359 2 7151 2465 29 18809 624 2 4680 4334 1 13174 1866 1 525 7251 8 2012 5031 1 14058 293 1 19789 6139 2 3985 7512 1 4832 3605 2 2321 6216 1 16696 291 1 8706 1131 4 4886 631 1 17071 7601 9 4368 5437 1 14255 1755 1 18715 6761 3 10558 1724 2 6918 1240 1 20276 1825 5 2915 1244 141 10095 4930 19 5199 5253 2 8417 223 2 14992 219 2 3414 219 2 11702 4029 2 15180 1251 1 6332 516 1 18968 4008 1 8680 514 1 4055 669 1 6776 534 5 6386 7182 3 15272 1757 2 5117 694 2 15318 1695 1 4305 666 2 13728 5935 2 8658 1400 3 17903 214 17 6091 2265 1 15089 200 1 1586 1728 1 8455 1495 1 2965 3411 3 18646 5272 1 4162 7853 1 5139 883 1 15745 7853 4 10027 1827 1 7612 2082 3 2020 1287 1 8426 5634 1 11950 3417 2 3397 28 1 15940 650 5 19470 1407 5 3673 4299 3 18886 758 1 9371 7847 5 13185 1450 1 10241 4929 8 8669 3021 5 13009 1704 7 8144 2885 1 6078 4491 1 1932 1819 4 15726 207 4 5896 532 2 3133 5897 1 651 2620 3 6724 658 3 4631 6705 2 20090 458 1 8014 2895 2 11014 1235 7 8650 3590 94 2602 4484 1 10272 504 1 7718 4380 1 16475 219 1 12362 4393 1 13604 622 1 7894 3915 1 8678 7428 1 18623 225 1 13777 6669 1 14569 8192 1 19326 916 1 7065 402 1 16714 6576 1 296 536 5 16870 1774 6 9639 1031 2 8250 3778 4 2851 8160 8 17392 205 1 4092 5505 1 10876 910 1 15648 7624 7 5234 4610 1 16640 2344 1 6674 891 2 906 4322 2 19947 3305 1 3310 397 2 19217 694 1 19816 3382 7 5640 197 1 17283 8001 1 17084 194 1 4242 751 1 15794 7815 1 16525 1374 1 9916 1245 5 768 6139 4 9421 235 1 6437 5905 1 6727 2079 1 20090 2497 1 2885 5758 1 11926 5810 1 11148 5270 3 11340 8184 1 12751 2080 6 19648 5255 1 4552 2981 2 14191 314 2 15692 3411 8 20090 370 2 10670 5123 1 19349 5441 2 19955 6557 20 6229 2509 2 12494 1742 1 11954 1739 1 10002 8141 1 15732 1283 7 5634 3895 1 920 220 2 9063 1827 7 212 2269 1 8560 2017 1 3153 3954 1 15456 5021 1 2743 221 2 13162 1256 3 15768 3146 2 9534 6414 1 9678 2089 3 392 1843 1 6848 1745 1 1808 411 5 11873 4118 3 12094 8091 1 13961 2958 1 9150 4459 3 5602 207 2 4832 2065 3 12105 4622 1 16544 2646 2 18949 6713 1 16775 4033 9 7295 7185 1 10453 219 5 7417 8103 1 16437 215 24 10392 165 10 94 4334 6 16600 597 1 11124 1237 3 7722 2565 8 12596 2591 2 4524 13 2 9093 880 3 19774 3710 1 7573 1399 1 8532 1783 3 20122 5264 2 1603 2338 4 15471 948 1 14059 4704 1 542 2382 3 5665 1720 1 17618 1251 1 20 367 1 13587 367 5 18026 3399 1 8104 7313 1 1713 6139 4 18524 7336 1 11188 6144 1 7737 6580 2 16189 554 2 4283 426 1 9865 221 12 1246 215 3 4092 8141 2 17886 5097 5 32 1797 1 11952 1720 8 19040 684 2 5174 1482 4 15978 1648 1 5276 3079 1 10188 201 4 15814 7777 1 12704 4012 1 2809 7175 10 5218 336 4 18820 1819 4 4094 3511 2 2962 555 1 19949 8099 3 11259 2714 2 6264 698 3 12406 1991 4 1711 869 1 18750 4199 1 7780 167 1 153 7013 1 12275 4015 1 1089 219 2 11367 4307 3 69 3272 1 16988 4586 1 1530 78 1 9146 5966 1 8343 4352 2 6773 6593 1 4050 2353 1 19530 2675 1 7729 1687 1 12850 2260 7 18797 1768 1 17172 6753 1 15688 1990 1 13461 6368 27 19102 6644 1 12064 186 4 4805 2371 1 658 541 2 19530 3592 1 13126 639 1 17260 891 2 18698 1247 1 18515 1251 2 8361 1784 1 17156 4242 2 7127 1703 3 17446 5573 12 16921 1824 1 10307 3970 1 1029 1770 1 2154 6697 2 4582 2251 1 12427 496 1 7501 1692 4 20262 4792 5 7044 6268 1 4332 1751 1 15839 501 1 18413 6442 2 2284 4467 1 4530 519 3 2985 847 1 2282 7706 5 13659 7215 1 4423 962 7 13 689 4 16109 5441 3 9457 5863 3 3171 211 1 3419 215 1 3018 3391 15 1191 1250 1 17758 232 1 17992 1082 1 6650 5516 1 2206 4725 1 2078 874 1 1288 200 3 162 7365 1 571 2019 1 14391 38 1 18377 415 5 3427 5588 2 8717 2980 1 174 8056 1 7823 1380 1 1198 411 15 14758 394 2 1871 525 2 259 7221 12 7728 1307 1 8156 514 3 9836 925 1 9886 6487 1 109 4960 1 12131 689 1 19588 200 1 4774 495 9 126 270 1 16817 1760 1 18148 2089 1 18585 6132 1 9220 201 1 4970 623 1 1359 411 10 15310 5266 6 17929 4623 5 1644 303 1 8585 1713 1 14010 1287 1 5652 1757 1 8609 6743 1 18316 7847 4 15368 878 1 6624 270 2 12509 4600 1 16707 203 1 4305 148 1 15406 1247 3 16222 4477 1 6088 1737 1 17014 1705 4 14533 5517 1 12486 518 1 18132 5289 3 14606 379 2 12902 6868 3 6549 4615 2 8860 407 1 16242 196 5 16847 1728 5 12121 5440 1 14258 219 2 16860 479 1 11406 6754 1 2045 200 8 1719 5255 3 17549 3015 1 18176 1755 1 10228 227 2 1521 3522 1 3673 3540 1 9773 219 2 15785 585 1 13733 1748 6 8567 1986 8 8913 5315 4 16417 3263 1 5652 1781 1 10145 1044 1 17033 1505 7 10973 1729 12 9670 2653 3 3804 6470 7 1626 6105 2 13750 7750 1 8510 321 1 7823 2009 1 19912 232 1 5745 5810 2 10525 3511 30 14842 6343 1 7235 6481 3 6070 6701 11 18988 4528 3 3494 6705 3 1859 4779 1 6772 411 6 10240 4521 1 4268 1824 1 8356 23 2 19775 223 1 8328 1325 1 19594 5740 3 4583 3710 2 6231 1116 1 6550 3511 3 5304 1134 5 6066 157 1 5356 2729 1 19057 1559 6 7470 995 1 14297 5916 3 18344 1236 1 15350 509 2 15246 1729 1 13346 2352 1 745 864 1 1686 325 5 18237 1250 10 15978 8141 3 18205 501 2 7028 3138 1 20222 6231 1 18040 4000 2 5441 883 1 1296 3182 1 1172 233 2 3309 2989 1 12673 498 1 10242 201 3 98 4438 1 17589 7890 1 10910 6252 1 3881 823 1 7859 8091 3 12679 1788 1 9421 6223 1 2071 823 1 10695 8137 3 12345 1334 1 9865 1692 45 10347 508 2 10241 7238 1 4283 2949 2 15472 2777 18 4284 4977 8 17028 1721 3 9935 7027 1 181 8227 1 7943 545 3 18421 214 1 19568 1399 1 11858 995 1 9865 1244 1 13424 1109 1 9891 1758 1 2341 1275 1 19578 5171 4 10852 5768 2 19380 8017 1 17578 3849 1 35 1892 1 9846 7086 3 16922 7629 2 14047 3648 1 8239 1184 3 7355 3351 2 1002 2671 1 12897 3742 1 5573 885 1 10699 470 71 12521 841 1 7512 1991 5 156 7176 2 13543 262 1 8614 5271 2 17027 910 3 8192 518 3 749 200 1 18609 510 2 13909 397 1 13537 939 1 891 545 1 16191 1304 2 3382 3612 5 6928 23 5 13 936 1 10772 4667 1 18331 3248 1 8223 1181 30 3521 5485 1 19572 3208 1 18251 743 1 20039 3742 1 8198 4671 1 4498 173 2 17767 4523 1 446 3979 7 1630 1296 1 2198 4085 2 19951 3951 4 5854 1076 3 5310 828 2 7455 4830 1 15061 360 1 12790 823 1 3975 204 2 16363 6179 1 18897 197 1 20166 2698 4 11399 6925 1 18879 1594 1 13009 1728 2 20107 8194 1 3742 1717 2 17946 545 1 130 599 1 12976 2296 1 13829 1237 2 17918 2810 1 19180 7920 1 15000 518 1 9638 7229 13 4055 141 1 19602 3055 1 16484 7943 1 18942 723 1 7155 4351 1 12208 5905 5 16617 6170 1 9274 1535 2 5489 1734 2 6332 1764 3 10123 5370 2 2479 5325 10 18887 5018 11 4068 7332 1 11179 1720 1 11 468 2 7839 3554 5 2257 7719 10 8313 496 8 17242 1251 7 12740 1951 9 14493 1610 1 7209 6139 1 19037 3529 1 1699 4395 8 11585 6047 5 4267 573 1 12112 3263 3 10435 2107 2 11151 1243 2 5729 1357 2 9054 728 9 11488 4240 1 11773 2580 2 10358 2262 3 3322 177 3 4309 203 5 13711 6980 1 11786 3709 11 9259 32 10 10677 199 1 3282 2356 2 9952 4796 2 4278 502 4 2749 3198 1 17124 3556 5 9173 1304 1 12784 193 3 4834 7164 1 12548 203 23 13228 6683 4 10783 1656 2 17395 4779 1 15871 2829 5 15419 2675 13 11592 190 1 13076 7512 1 1151 7859 4 17121 7915 12 174 6011 2 19957 4554 1 19023 1399 1 18683 3693 2 6152 876 3 242 867 1 48 2424 1 10090 648 1 3515 205 2 14525 1827 69 8962 5016 3 14438 1721 13 16222 6000 5 19649 545 1 13644 244 1 16234 2206 7 17828 1718 1 6511 7672 4 13395 206 14 13829 1772 3 17809 1762 2 2738 2139 1 18054 4626 2 9737 1250 1 899 6053 5 16016 1176 2 16682 4245 1 8966 3669 2 10161 5105 4 2057 4070 1 4023 4842 1 16059 4614 10 7780 303 1 19428 4653 1 85 3901 1 450 7229 1 15797 3511 1 18115 1288 3 2428 1772 1 3581 335 2 13601 1357 1 10705 1043 1 4334 214 3 17160 498 1 10424 2260 5 17124 1374 1 12149 173 1 19319 3171 3 31 1770 3 4678 7342 1 4023 7952 1 5445 1363 1 861 304 7 15344 203 3 14114 573 1 18856 318 2 19722 3911 1 1012 207 1 12893 203 1 19872 6454 1 12077 221 1 9130 869 1 6332 964 1 14678 2000 1 17066 5260 1 16878 4173 1 9432 3545 1 8599 6276 1 16474 4013 1 12988 1665 1 18396 6140 1 19770 3216 1 19538 6620 3 1849 7382 1 7369 2813 1 1968 4014 11 16847 1974 1 886 5862 3 15979 2646 2 19511 8037 1 15932 2088 1 9693 221 1 9477 7185 1 17887 6192 2 20078 1738 1 4147 1665 1 15159 6175 1 19502 1961 2 7256 1147 2 6023 2569 17 10798 691 1 2772 835 2 4133 184 1 7412 2244 1 17833 3798 1 15167 2127 1 16955 7540 2 16180 228 1 11340 1770 3 10163 221 16 20235 6183 2 18344 1729 1 13557 5020 1 65 3170 16 7708 2495 1 18574 167 1 11417 6000 1 8716 38 2 1464 589 1 3851 2448 5 8767 1395 4 1801 430 2 13132 737 1 5453 5937 15 10888 87 1 12583 5971 2 899 882 1 3348 1342 1 6057 5495 1 11786 252 1 1012 2698 1 15057 274 1 5360 1819 1 10566 7839 1 16511 6714 8 9235 3585 6 312 2678 2 7914 3743 1 10446 5379 1 5303 2139 1 11006 1414 1 14828 3799 1 17453 6441 1 19193 541 1 2274 218 3 15937 184 4 811 2443 1 2910 7719 9 18089 4000 1 16895 1183 1 14059 370 1 8342 4132 19 8633 1304 1 11448 1751 1 9427 7317 1 11461 4988 1 8439 214 4 1498 721 1 583 4987 1 12064 1717 2 9868 2641 2 2133 7658 1 8391 2992 2 7914 2058 3 11122 679 4 20090 1374 2 4913 569 1 17756 3619 1 13729 1946 1 15948 1726 6 17652 2409 1 7322 690 1 10933 5040 2 4210 6560 2 2345 3195 3 19444 2383 1 14179 190 1 2811 1715 1 124 5461 1 2194 3909 5 6527 1250 1 10765 2636 3 17506 1606 5 1853 792 1 12406 1755 1 17927 3380 2 13231 4961 2 8069 1705 2 8061 7261 1 17500 2686 1 12801 984 1 11820 6646 2 13384 7681 2 6748 4156 1 1829 1781 1 10670 5090 1 133 6071 1 18886 2514 3 17920 5083 1 340 1269 5 11089 3909 1 5606 883 1 17767 206 1 6801 2626 11 6412 1769 5 15952 4680 1 12720 3057 2 4337 235 8 433 4413 1 16327 6343 1 19820 4516 4 10042 3230 2 9809 7404 1 19019 4245 7 7773 2291 1 19319 214 3 12853 759 1 9472 5070 1 9463 2149 2 20180 718 1 1511 6702 1 4898 3071 2 18239 5758 1 15283 219 5 14101 502 1 9185 7809 1 160 7288 1 715 1150 1 7017 137 1 14919 3626 2 48 2401 1 12737 3329 1 16569 3493 15 18887 2869 1 5249 2673 5 15722 505 2 9097 1271 27 12289 5435 1 9715 2698 2 10973 3333 1 4965 910 1 44 2274 2 4537 1369 1 4092 1779 1 17003 5254 7 6670 1825 8 3134 2686 1 17137 2675 3 6769 7486 1 46 1249 1 15261 1728 1 14229 5487 1 8117 2013 1 6256 506 6 8069 4621 1 1301 270 1 14633 7736 2 2654 4792 2 4528 1781 1 3121 6714 6 8198 5305 1 17298 156 5 19160 347 2 16987 2675 1 8083 1321 2 4802 5719 1 9898 5866 1 2573 753 1 1612 1761 1 8859 4248 1 18043 795 1 10534 236 1 18874 2864 2 16090 6690 2 745 235 1 6099 4339 1 665 214 3 18213 6225 1 1973 7525 3 16865 533 6 15739 3512 1 16410 5950 1 83 3699 1 15161 336 1 7375 1544 2 11873 3242 1 18223 1342 1 17682 1757 1 3548 7730 1 15850 1267 1 83 3820 2 17719 527 2 11272 1121 1 16904 8172 1 3508 810 2 86 3995 3 17809 1241 1 5441 1727 2 18752 1276 1 20068 541 1 18535 867 6 11663 867 1 10364 3895 1 16491 828 1 18902 3389 1 20056 235 1 6089 6442 6 9042 506 1 11663 1722 1 3151 3193 8 8828 4029 1 3362 4723 1 8062 1342 4 7640 2584 1 19271 3272 6 14753 5879 4 8856 1755 1 4357 2675 2 13798 207 5 14848 2522 1 6570 3849 5 5717 6289 1 5602 637 2 2345 2649 1 6085 38 1 9027 1747 4 8887 1704 4 17404 1747 1 8198 2953 2 9275 794 1 11212 200 1 12570 7583 1 105 4722 2 887 6340 1 8067 215 5 2196 1771 2 1058 1304 6 4434 2246 7 2330 1819 2 16100 173 1 18029 7476 1 3188 1730 1 3307 8192 6 9099 510 1 2490 2838 2 5041 1825 4 11194 2555 2 15940 261 3 13144 1776 1 8994 1719 1 4309 7411 1 15547 6677 25 18116 6100 6 10084 231 2 10314 4312 2 13498 219 45 18260 445 1 14721 2869 4 6193 653 1 12248 5463 1 6158 1718 4 14968 6342 1 16327 2737 2 1468 6164 1 14658 4963 15 19359 947 5 812 4680 1 11959 4408 2 7970 4187 2 15429 696 1 15708 5234 7 11820 1776 3 16249 1246 1 15159 2798 3 1089 945 3 15792 1729 3 13705 7746 3 6820 3338 6 18596 3371 9 6459 1236 4 18619 1573 1 11592 4403 1 14694 192 1 18040 1580 1 15443 219 1 15574 2555 1 14600 201 1 3493 6238 1 1 20 1 8779 1203 1 9426 1311 1 7435 1784 1 6556 2368 1 9044 3757 4 6712 313 1 15936 225 3 4625 7968 1 14540 1724 1 5494 870 1 14890 707 1 4676 5814 1 16618 2912 2 16063 4383 1 17468 1357 1 3414 1827 1 13508 2369 1 11381 1728 3 7995 4996 1 18656 2086 1 3951 1342 4 11367 1885 2 891 6979 1 8726 1721 2 2703 6120 1 11208 844 1 1096 3511 2 10783 4022 3 7920 4945 2 11921 2567 1 4440 452 3 1924 874 1 18207 995 9 8498 1245 1 153 447 1 7823 57 3 12223 4369 2 18307 7534 1 4886 128 5 9978 327 1 19489 3479 1 12252 8235 1 14658 3698 4 13823 5397 1 17448 4571 4 8704 2955 1 3841 4302 1 4869 880 3 16291 1950 2 8253 903 3 11572 4436 4 15895 7022 3 4905 4411 1 4428 1109 2 15622 5496 3 95 4378 1 14993 3494 1 812 4404 1 7017 89 2 3536 3732 2 16779 1244 3 10838 188 7 20090 3851 1 4970 141 8 17432 883 5 14557 4704 3 12361 931 12 6881 201 7 5494 1073 2 240 6091 1 13203 2721 1 3174 1784 1 4145 498 1 10720 4458 1 12708 4396 7 17753 1728 1 5540 1247 1 2798 2860 1 9976 1983 3 6024 759 2 13809 6164 1 18486 635 12 5453 891 14 17388 1253 1 6697 7184 7 18060 6561 1 15964 2295 5 5143 3333 1 18748 2671 1 11687 2419 14 4552 2508 1 792 335 1 5573 177 1 12283 1827 1 6564 508 1 19034 1779 4 1712 1007 1 9585 1399 2 13543 1188 1 9332 3526 1 11099 3545 1 15449 1819 3 19867 6102 1 10999 5082 1 4561 4345 1 6164 397 1 9971 6501 9 4092 359 1 14105 889 1 10575 710 1 9601 6706 5 8296 4663 1 852 1726 3 9525 219 2 4492 6600 1 7762 8139 1 5980 514 1 1150 201 1 7461 7237 1 8667 4615 7 19286 1453 1 7306 600 2 9347 4196 1 9279 2354 1 13097 6723 5 15321 1344 1 4796 2581 1 9891 2056 2 8913 2640 1 8019 1762 2 4867 221 1 16099 3911 1 3858 222 8 68 3252 1 10240 1825 2 12221 1778 3 6412 2107 13 19387 6897 1 10846 7474 4 18431 1705 2 7780 3438 2 1743 6677 1 11588 206 3 2094 203 3 7426 4118 5 11046 8111 1 13865 3333 1 10760 2268 2 702 926 1 16557 2897 1 14470 1691 1 8273 7267 2 6776 7512 3 997 5506 1 12148 1430 1 16657 2256 1 17947 525 4 8488 1235 9 7440 236 1 7751 7474 1 19364 1897 1 3651 1184 1 3059 7351 1 19143 953 2 15778 2051 2 14027 719 5 8870 5565 1 8894 6804 1 2287 1762 1 17500 261 7 10604 3050 1 18791 206 3 7787 6077 1 6700 520 8 7041 207 3 14327 3073 8 6080 470 1 5117 671 1 17245 215 1 4304 1907 1 19686 220 1 10245 201 1 16859 1434 1 14981 7576 1 1073 4956 5 9542 304 1 13 881 1 7279 214 1 19578 6121 5 861 635 1 12267 2836 1 15405 5312 1 10575 574 1 11978 4476 1 17767 6484 2 16000 207 58 9322 608 1 13519 6167 20 14825 2729 2 9913 220 1 439 214 1 135 6246 1 10996 6649 1 13320 1721 2 11428 2591 6 6936 3816 1 7700 141 1 19940 2383 2 16471 206 2 11377 7466 5 9224 573 1 19160 223 5 15652 335 1 13105 7021 1 3629 1277 1 2378 4739 3 4525 995 10 10539 205 1 4466 1940 3 63 3043 1 15318 3884 1 6707 1453 1 2308 1747 1 5752 883 1 14693 6688 1 14633 401 6 16916 910 2 12548 2969 5 527 864 1 3801 2517 1 899 2010 1 18494 3897 1 7536 1768 1 993 1756 1 4657 1404 1 9433 3399 1 1886 281 1 13633 883 1 16331 223 2 14862 215 2 17345 753 1 12792 1508 1 1933 6661 2 5943 3920 1 83 3784 1 5318 13 7 19000 7542 1 9104 1464 3 13590 4511 5 16098 520 1 12427 222 2 9793 3721 1 107 4785 4 6966 3019 2 15307 2842 1 15789 1331 1 16645 541 1 12809 2508 1 16096 4009 1 17331 1730 1 6492 1747 3 2962 6908 1 19034 5792 1 19578 74 7 78 219 1 1962 3365 1 1836 2316 1 14307 7363 13 4387 5043 1 6844 874 2 7179 745 4 13057 1251 14 18020 7495 1 3694 3275 2 1530 3556 3 19406 4081 1 18408 1482 3 15955 2676 9 15722 1751 1 14827 2352 5 17213 196 1 1394 3972 1 7380 71 1 3972 7182 1 3705 3596 2 17547 1887 1 809 201 3 17751 235 2 6907 381 1 9586 2868 3 13057 1245 1 9528 3230 1 3484 2437 7 185 1663 1 4279 696 3 593 1726 2 18732 5452 1 10949 724 1 13105 2045 1 18656 5851 1 9100 5611 2 18211 4315 1 19336 952 3 15600 3278 1 13384 7636 2 13069 794 1 7252 379 2 4675 3525 5 6089 1782 50 572 2981 6 6070 1931 2 13880 804 1 19415 1824 2 15429 206 3 2938 857 1 16261 4723 10 19158 7569 3 3827 4014 1 7025 223 5 18017 836 1 5433 5259 5 10178 541 1 18693 411 7 16012 4623 4 5185 449 12 17539 221 2 19331 2352 1 6851 2009 1 3180 3233 2 1202 6259 3 16039 690 1 7947 1244 1 9430 7881 3 13129 1707 1 13829 1788 2 9245 5243 1 13802 3416 2 5919 8096 3 7176 200 16 10591 3856 7 13430 2885 4 5443 7945 1 3940 5875 1 14385 156 1 3921 5305 1 2989 3391 1 14758 342 1 1079 5249 14 12828 219 2 2959 1743 1 19494 7522 1 8730 764 1 7088 944 9 17257 4606 1 7455 379 1 3112 1996 5 15666 3715 1 20275 385 4 3081 759 35 11875 1395 3 19396 5570 1 17406 23 1 18847 605 1 846 5036 1 6259 3633 2 16674 2595 1 14890 704 1 12009 8203 1 19023 3247 1 8983 2728 5 8883 5004 1 5424 3540 1 11687 1730 5 3340 2025 2 19463 1672 6 18113 1741 1 18317 707 1 13 596 2 1422 3631 1 107 4818 3 4513 957 2 7830 1689 7 6611 84 1 8447 2399 2 11327 470 2 4496 8033 2 12740 1250 1 15270 7735 3 4568 3022 1 5720 8017 1 7081 3268 1 16978 4951 29 5344 5971 1 17392 1150 1 3548 3230 8 20 1356 1 18168 903 11 15283 1827 4 18992 1209 1 6145 253 1 10119 1302 3 2962 718 1 10231 4944 3 2905 1961 1 2260 6480 2 3484 2452 4 5796 1146 1 3255 532 2 847 395 1 5038 327 2 13588 2097 3 6145 3502 1 12351 4355 9 12869 7127 6 12361 898 3 17520 4435 2 12237 1789 1 16517 4816 1 18809 232 19 4082 390 1 14336 1307 1 19872 1331 3 10105 1779 1 17311 1023 5 12397 251 1 19289 3334 5 15291 541 1 16223 4393 1 153 822 1 19162 6677 1 5076 3232 1 14738 341 1 2716 7719 2 12835 4221 3 5480 3367 1 8528 534 2 7426 506 2 17560 5366 1 20239 5018 1 5653 1781 1 2321 6246 2 153 7110 2 3446 3222 3 8910 6368 4 4805 120 1 17812 962 1 4301 880 6 18264 5105 1 7121 1758 1 13076 1898 2 12294 2555 1 2546 916 3 14933 23 1 15220 7853 2 16148 203 3 99 4467 5 8051 2508 1 15159 3797 7 4008 911 49 19131 1022 2 14791 495 19 16533 2448 1 10610 3065 3 3804 608 1 2856 498 1 7598 4314 1 11419 36 2 11246 2673 18 13865 190 2 2629 1761 3 15216 910 1 13461 1780 8 9552 10 4 11898 3878 1 7750 4029 1 12378 2687 1 16087 7614 1 6635 519 3 20249 1825 3 13328 798 1 18039 911 1 9930 6345 3 3454 7127 2 2722 1632 1 4937 201 4 11321 7386 7 1430 458 1 10908 214 1 11158 2860 1 15468 4436 3 1904 520 1 13036 2855 1 4567 1814 6 3020 783 1 16889 6278 26 14939 2508 1 16674 443 1 17159 1805 1 14233 4967 1 6183 1755 3 10509 617 2 3583 244 4 15932 719 1 9543 5329 1 5023 2383 1 18667 1235 1 3703 2261 4 12690 2831 1 10693 3321 4 5202 945 1 11981 5571 1 19759 225 2 7418 6202 1 1389 4396 2 5385 442 2 19520 2491 1 8083 489 11 8069 3884 1 32 1800 5 13302 2056 1 19026 235 1 7556 3462 2 5195 1770 1 916 5829 2 11968 470 2 13601 5162 1 12379 1095 1 17220 5336 1 17459 780 1 17180 1243 2 2776 5060 1 11072 74 1 10826 148 2 1606 581 2 17961 4623 1 6039 1245 2 8067 4391 3 341 7432 1 822 4302 2 16628 2056 3 16236 361 1 83 3764 13 8151 1789 10 15627 5715 14 2980 2489 4 3826 682 1 10046 2357 2 8191 1814 1 16355 7672 17 4290 5804 1 12142 1070 1 11554 196 12 83 3770 1 18385 7175 2 16684 4499 1 4223 2676 4 4162 23 2 4492 1363 1 6333 2747 1 3681 7342 2 6772 292 1 18866 225 7 5610 367 1 17088 519 4 12617 397 1 3927 1908 12 5052 1037 2 19315 5657 1 6021 1037 3 14946 7512 2 8094 348 1 13323 616 1 8110 7105 3 13646 5439 1 6070 5432 1 2121 23 4 15376 745 1 7991 1085 2 18379 335 5 19002 510 3 11744 1726 6 4163 1741 1 2181 4297 1 14077 4286 1 8083 1076 2 8716 2362 14 20085 3330 3 18949 1239 1 5216 191 4 6387 3058 1 1825 6549 1 6414 4992 1 11065 184 11 80 1582 5 12821 2918 1 19937 1505 3 6434 2778 1 7555 1718 1 18922 2114 2 786 1762 11 8228 1707 1 10016 5137 1 17805 1249 1 1630 3225 1 152 6845 1 733 5577 1 5440 1752 2 6681 5268 16 6889 530 5 7463 2509 3 18843 4501 2 1629 8174 1 1488 525 3 11194 6621 3 1578 4204 1 7664 2132 8 4417 411 10 12168 6014 5 13262 6301 1 6827 805 3 15318 1729 5 11072 1698 1 4471 815 2 7458 3798 1 3085 385 1 181 8208 1 12424 8041 12 12280 1776 2 15104 231 1 20184 7537 1 14968 3374 2 4026 2447 1 18511 1745 4 83 3814 1 12913 5969 1 15160 3477 1 10376 433 2 11930 1728 1 1852 1982 2 13534 947 1 1677 2647 1 6759 5294 5 19223 1242 1 130 5873 1 16738 3511 1 8100 6091 1 4218 3103 1 2058 2671 1 12209 6031 3 13928 2297 5 17544 1827 1 4688 915 2 11654 8099 2 12209 3167 7 14087 5902 1 16914 8043 2 18199 7089 2 11626 1739 1 4061 5243 1 11509 4320 6 7769 4363 1 18149 225 1 3579 303 3 14218 5923 1 3407 156 2 4859 3338 1 4331 3322 1 4570 3275 1 8221 3573 1 7574 6225 3 17767 173 1 1973 881 1 14906 1252 1 565 4352 1 16563 6339 5 9118 2979 1 16914 792 1 14824 191 1 11679 7110 17 6124 128 1 12159 3298 1 19241 918 1 1999 1685 6 91 4103 1 898 5099 1 7627 3412 2 9444 1728 1 18474 5928 8 12817 4402 1 9714 6693 2 7882 416 1 10247 1991 2 16817 200 2 13451 3227 1 18076 885 1 2743 484 1 1198 7689 2 7610 912 2 236 5269 5 18634 296 1 739 1751 2 10340 2676 3 13000 7200 8 8190 1752 2 18381 4794 11 12807 3197 8 7502 1705 1 5453 347 17 18027 5018 1 15454 1116 1 3700 4369 1 16259 510 3 19901 207 14 19029 1054 14 14424 548 1 10553 5298 1 11231 7632 3 3950 2671 4 9808 200 2 7065 1352 1 812 3653 1 3090 1464 1 17953 386 29 9098 303 1 9501 3267 6 2609 164 1 10670 3573 1 8299 3417 1 17937 1688 4 10294 1726 23 19870 508 2 10803 1245 4 17946 6064 8 5246 1248 10 8104 1146 1 140 6417 3 3296 1717 1 1743 3748 2 11786 1631 1 35 1942 1 3755 220 2 6563 3400 1 14612 1704 1 5391 8141 41 19418 4476 6 11385 1303 1 14218 995 3 1489 1342 1 11614 8045 1 13526 2881 1 1744 4473 4 7186 5355 1 5325 3 2 16695 7726 1 2480 224 1 11064 3012 66 2338 220 1 12467 6731 2 16204 5324 23 910 2097 2 11544 5266 1 4061 1751 1 7065 452 1 16432 6032 3 9216 1898 2 16984 852 1 6221 6533 1 17123 191 1 5821 745 1 4859 502 1 7614 233 6 19225 200 1 1028 2869 5 6668 5813 1 19389 518 9 9628 709 3 5704 2354 3 35 1964 3 14763 779 1 745 5888 1 11301 23 2 16457 1148 8 2244 5217 1 13971 1244 3 4768 190 1 3659 1753 1 4539 252 1 12175 2968 8 382 5000 1 3008 1021 1 2106 4128 1 14290 5281 2 12057 1751 4 18806 4584 3 18492 82 1 5004 5778 7 5472 6713 1 4935 7518 1 13182 4992 1 10381 1752 4 18980 1146 1 1262 206 4 11820 7313 1 12281 215 2 13784 509 1 8268 3980 8 15022 1245 3 2554 5310 1 3768 5426 8 11436 1395 1 17585 84 1 5132 23 5 17184 3573 1 3889 334 2 4872 1235 46 14226 7531 1 6111 318 1 3411 23 3 15898 1721 8 3797 2981 5 13521 6532 1 3112 1395 3 13 623 6 5954 4499 27 15863 498 3 11666 374 1 11402 206 3 1200 1769 2 10145 3366 8 10973 5275 1 12378 8099 2 4188 4395 1 12959 470 1 6420 6914 1 14522 214 3 8476 1721 1 2098 3556 2 15323 1775 1 1439 5326 2 20202 225 1 17220 235 4 280 2676 4 3768 215 8 5354 1768 3 12328 1253 1 5312 2561 1 11687 1379 1 3175 2504 1 1778 219 4 18042 3595 1 18413 8017 1 8018 1760 1 13521 6488 2 15048 6278 10 14022 223 1 4303 3230 1 16176 3102 1 11333 1184 4 8783 1729 1 6506 3119 1 8128 3012 9 252 308 3 715 3096 3 13644 1101 1 6769 2072 1 4898 1722 1 13608 880 1 1467 1114 1 7243 4954 1 9141 201 1 6332 1282 1 4346 496 1 7823 4251 1 819 2646 1 1011 6564 1 5748 8103 1 10354 1814 1 6415 308 1 633 3512 1 3824 821 1 21 1393 1 10728 7080 6 11746 4795 1 14400 4029 1 5401 888 1 12286 4974 2 16594 2626 6 16238 207 7 3505 4305 1 5377 5021 2 9236 441 1 5453 2056 11 7507 1739 1 81 1342 6 12586 8251 1 10340 525 1 3147 3301 1 7179 2013 1 14998 1052 1 6343 1610 1 19538 3742 5 8754 1333 6 18807 233 1 14130 2962 1 13927 2559 1 17252 475 2 12208 757 5 12700 867 1 18604 1819 4 6196 6014 3 16087 4613 1 11122 4199 6 15766 1779 5 11588 2155 1 15116 7411 5 16707 1416 2 1970 225 1 18149 1764 8 1660 1990 3 6544 1243 3 11489 190 1 7624 4427 2 1914 5060 1 16815 4029 3 7131 1764 2 387 1035 2 11912 834 1 4248 4674 1 15315 4123 1 15085 3954 1 1115 5271 1 11876 197 1 1864 3255 1 326 3454 2 16533 1471 1 13905 4043 1 4681 4695 5 15203 4508 3 16086 1904 3 19568 23 1 15993 186 3 4660 1395 1 13564 6192 8 9978 203 1 6521 1421 1 19722 1250 3 11632 532 7 14573 670 1 3581 2747 1 9586 638 1 9380 5575 1 19331 1730 1 9793 2571 6 10737 5420 10 1268 5016 10 11085 890 1 17910 575 2 11629 3016 5 19378 2262 3 14768 348 1 19690 215 9 3324 8194 6 14906 883 6 759 1352 1 19118 197 2 6936 47 2 10684 225 4 5521 2765 18 16197 2036 7 19201 1423 1 6158 7222 7 5052 235 2 16105 46 2 7707 7254 3 1698 6106 3 20122 296 1 17137 4435 1 4447 3612 1 18260 244 1 11863 126 4 10056 3820 2 14117 8072 3 18671 1779 3 3804 2388 1 433 6658 2 130 5891 1 1551 1184 2 6858 4266 2 11849 6816 3 9783 482 1 3504 3698 1 17556 4310 1 7729 201 3 17463 5446 1 4300 5026 5 6091 13 1 10758 6596 2 8760 4312 1 1706 223 1 3558 3519 1 3864 200 6 6183 2993 1 14733 4274 2 8440 1820 4 11259 1371 3 696 8203 1 13581 1692 6 12685 443 1 1513 1921 1 15634 1236 1 14522 763 3 1871 225 4 18679 173 1 878 6031 30 16938 1717 1 10605 634 5 1397 7806 1 17655 232 1 14134 6880 2 6538 98 6 19336 349 1 15471 574 2 15090 1092 1 13894 844 1 13363 597 2 3019 4558 1 10452 570 1 9203 545 1 6157 6801 2 4601 502 2 5066 700 2 6349 1 1 8767 4156 1 18879 1289 2 5976 5399 2 18941 1819 1 13320 2392 3 16765 931 17 16468 889 1 18140 1105 12 6100 5052 1 14234 162 2 20145 1248 1 5963 545 2 8394 3798 1 8356 201 2 17634 201 2 11477 1245 3 12988 5486 2 4528 532 2 5030 23 14 8934 5763 1 15318 6341 2 13087 3070 1 19134 3747 1 6057 4383 1 14632 5122 15 114 5124 1 4330 534 1 12236 1244 1 17168 1721 2 3206 3666 4 3117 6341 2 15909 319 1 19722 3492 1 8100 1239 8 8918 206 1 349 917 3 3834 7124 1 14376 4245 7 8253 525 5 9865 173 6 11073 6757 2 10879 1747 2 14629 2821 1 18202 6414 1 8226 274 1 17 1229 1 19145 2580 1 1779 2600 5 12201 244 1 1702 792 2 18534 205 1 5520 308 8 5318 3526 1 6314 2503 1 19588 292 1 18058 6694 1 5013 6705 79 14916 7410 1 6756 7178 1 7166 2708 1 20090 2958 12 3752 5738 1 20016 336 2 3148 1560 3 13185 2675 47 12262 524 6 9595 1568 6 3411 2410 23 65 3154 5 5058 3132 2 1199 169 1 3112 1717 9 14376 46 37 11314 849 1 7099 4523 4 18014 3534 1 10526 229 1 8261 225 1 16006 2918 1 14909 221 1 17505 1390 5 12255 690 5 6234 5008 1 12592 65 2 16860 3216 1 6539 940 1 2546 5852 1 11709 1302 7 79 3554 6 2834 4830 1 130 5782 1 5901 1247 2 2483 1775 7 18455 23 1 9224 725 2 6486 688 2 7175 1760 2 11263 500 2 12319 214 2 5638 201 1 6513 532 1 10958 6170 1 6095 2494 3 8609 6754 1 650 497 4 17066 392 1 8383 2998 1 9444 1777 1 19434 10 4 1607 201 1 2816 1705 1 1235 4314 5 4050 1464 1 14522 2398 1 18281 3599 1 2562 84 1 14785 7424 2 15091 5444 3 83 3791 1 11786 261 1 13885 4245 2 13922 367 1 14951 7419 1 7111 1751 1 19115 534 4 10813 5829 1 2190 206 1 18260 220 2 12922 1146 2 13206 817 3 11708 1267 1 2044 6345 1 2156 206 9 13880 3573 3 13996 682 1 15488 5922 1 7462 1644 1 6752 3840 1 8483 1717 1 16588 2377 1 19671 5397 1 5435 1263 16 12837 535 2 3593 4291 2 14943 6007 1 11341 1615 1 9635 6210 6 9444 1819 1 11584 1363 7 15063 2564 3 5681 225 1 11562 1774 3 13735 514 1 12108 4144 1 14109 4369 1 6900 2653 1 19160 2686 1 15374 5289 1 6681 512 1 10733 23 1 4305 6585 5 2623 252 4 13705 1705 1 5017 4274 1 379 6039 1 16587 4202 1 6505 7212 1 9150 5468 1 16234 7719 1 19182 1535 1 76 3507 6 7010 5761 1 3439 1374 8 5591 2568 3 1027 1250 1 16600 865 1 13941 4435 1 1991 2704 1 15180 545 1 13405 3973 1 8365 1696 1 5036 4243 1 9745 1289 2 14497 220 1 14196 6268 1 15182 76 1 6183 4435 7 1530 1250 2 233 7216 1 7682 649 1 7904 5267 1 15042 4013 1 4273 3285 1 6865 1775 2 18039 606 1 2886 196 7 3625 7222 1 18696 221 4 2905 4609 2 4459 6984 1 7008 1946 12 6871 2213 1 2442 206 1 17767 5187 2 3318 4060 1 267 1768 5 10110 224 1 15060 3540 4 1422 1242 5 14576 73 2 3318 1518 3 16569 4458 2 3488 6262 2 7101 6231 9 3887 1726 2 6845 200 1 1695 4156 1 10582 6288 1 18450 4404 1 10692 925 1 12812 5020 1 2429 6018 1 20007 1752 6 6091 1995 1 4250 1126 1 15713 7565 1 17485 463 1 13234 528 1 13865 1239 1 15098 1249 1 14817 6091 1 8947 845 1 6135 2416 1 14630 3511 15 18804 258 1 5282 6845 1 6983 3421 1 10706 6101 1 15689 225 1 13461 520 3 5720 6480 1 8923 1253 2 7817 1893 2 11687 5547 3 10846 6546 1 1107 4615 4 10625 222 1 5969 4853 1 2629 214 3 7481 215 2 6587 512 1 5675 7245 3 49 2479 2 5378 3921 1 13266 786 2 4101 7422 1 2418 743 2 6095 382 3 10296 7242 1 12521 560 1 788 221 1 3708 5093 1 5600 4379 2 15886 415 1 13748 206 1 7051 1946 1 8974 3644 6 10246 303 5 2834 4543 3 343 3811 5 1682 3949 14 4859 173 2 1 29 1 5248 1401 5 18568 2693 1 6880 3234 1 13072 3916 1 16736 841 1 19351 5290 1 6812 504 3 16231 4064 2 11533 248 5 2209 714 2 19511 1373 1 8015 1979 1 9891 225 7 12271 1661 1 9319 100 6 9244 382 3 18465 826 2 11964 215 1 11270 4277 1 10750 1244 8 17809 7640 1 18843 1724 3 5000 1015 1 19578 5082 1 4084 6053 2 10815 1380 2 10601 3872 1 2874 1760 2 6441 6482 1 130 5962 3 11855 1729 1 5739 1244 1 5691 222 2 2643 5389 1 10984 6758 1 18667 8183 1 12244 5820 1 18027 2969 2 15448 7238 1 2619 3558 2 11101 574 1 12299 1813 2 10856 1762 1 42 2158 1 15061 206 1 4869 1324 3 5141 8174 2 14358 1904 2 19559 8001 5 18089 5385 1 2787 5543 1 19003 2062 1 13910 1729 1 16700 810 1 10766 1374 21 14596 1713 1 3812 1784 3 8244 3556 1 17104 1938 4 6833 3311 1 1301 704 1 5413 1877 3 4757 1827 4 153 7023 1 13031 3845 1 7682 879 1 3258 1748 1 8343 5737 1 4884 1369 2 12275 5468 2 16225 2620 1 4525 4963 2 8967 6047 1 8294 2517 1 9322 543 3 3693 6341 1 4014 514 2 3985 6656 3 12300 5997 4 16378 910 1 4277 3747 1 4617 579 1 1999 243 1 17253 225 1 15794 8167 1 1385 15 1 157 7196 2 4696 1278 1 14132 1402 1 11613 766 1 14870 6209 1 3878 1703 2 12949 303 3 14045 3230 5 7500 4020 1 17698 1825 1 4004 7850 5 135 6230 2 8620 1770 1 17328 6701 2 17263 756 1 11932 8196 15 19415 6702 137 18476 7726 1 14505 200 1 14086 2362 6 14381 3476 1 15140 100 2 1946 1775 2 1435 1732 1 4519 708 2 9190 3612 1 1212 1249 8 13532 1751 2 10864 1245 1 18040 1756 3 12715 498 1 7383 5004 1 4009 2889 1 8636 6487 5 14059 1110 1 19331 1243 3 1206 6944 2 16259 5674 1 8286 891 5 10150 7244 14 845 2127 1 7574 2646 1 10732 3511 2 4779 7235 1 8890 1164 1 11379 215 15 11404 608 1 16785 201 1 3853 3024 1 2635 2470 2 16926 1745 1 12988 7511 2 3146 1641 1 16471 532 1 16571 5404 1 16439 6683 3 17395 7005 1 17120 184 2 3450 303 3 5638 2072 1 9539 2360 1 2244 530 1 2437 230 1 11124 203 1 12361 7198 3 14753 7719 1 5456 5570 1 18053 1417 1 15593 4581 1 9231 6088 1 7856 4924 1 9208 140 1 12821 2729 2 14800 2995 7 18887 367 2 3706 5574 11 13928 158 2 16222 3400 1 4429 6705 1 14956 2252 2 13430 2355 1 10978 3540 1 15396 1768 67 11215 7086 10 13997 934 1 18232 2747 12 2783 3492 2 15530 4454 1 3504 3032 1 15653 1190 1 15230 1686 1 4124 1359 8 17436 2508 1 7354 200 2 11156 308 16 17260 2653 1 16180 859 1 15681 2290 1 153 7010 1 14132 200 2 148 2727 1 16894 1571 1 8627 6706 27 19023 3840 9 16267 883 5 13183 169 3 16566 7853 1 18226 235 3 10730 252 3 3150 2989 1 4471 129 24 17450 1571 6 16165 2912 1 13429 3276 1 14233 3876 1 19774 2931 1 15866 23 4 16740 7281 1 18917 200 25 2917 5978 1 2087 905 1 18396 1986 1 3454 4929 1 14310 7427 2 8379 470 10 17331 5018 6 14692 1244 1 19486 3389 2 17725 2808 1 100 4554 1 16426 1062 3 12757 1781 1 8398 2650 1 15993 4308 1 7933 2588 5 14313 6178 2 4898 23 4 19649 1771 1 3048 5595 3 10267 1819 3 19501 8054 1 9185 5355 4 13519 1294 18 3366 4557 1 6107 537 7 1828 8192 1 15797 1174 1 8861 976 13 7780 3558 3 16266 219 1 2198 222 2 1779 2609 5 15608 229 3 13600 1244 1 9364 7534 2 13626 1885 7 9524 1825 4 381 780 1 12184 501 15 10869 525 1 15180 1757 2 6644 1445 2 7712 7011 1 10019 132 24 6164 6500 1 13084 235 5 3898 7719 27 18471 5897 1 8546 1286 2 6394 1026 1 12 537 1 19872 3298 1 14302 1007 5 3417 215 1 9383 2573 2 3397 638 1 15272 11 1 13 758 2 4368 2229 1 5495 1819 1 19830 844 1 14086 7512 1 15222 1724 1 7823 2511 4 18836 6585 1 12642 1235 3 11047 4441 1 10907 1764 21 18108 2635 2 16189 1271 1 6510 46 17 11253 3840 2 17783 5462 5 13957 222 6 9081 7570 2 5208 1146 7 7304 196 17 19073 203 2 6202 4167 1 4462 7021 15 7008 3593 1 15184 214 8 10302 1286 3 11968 3602 1 835 220 1 17152 1450 6 1866 230 1 18764 2046 1 349 553 2 12817 5294 1 7325 4607 1 16365 3256 1 6636 8141 1 11753 1675 3 11367 3512 1 11810 4909 5 8116 910 2 9786 6990 5 17130 220 1 9586 1253 1 15488 6220 1 15959 1284 9 10414 6080 8 5983 235 4 6954 1722 2 2823 7313 3 3673 1146 2 17468 3935 1 13579 4029 1 5659 7997 2 19557 1374 6 3382 2068 15 7485 2640 1 13570 596 1 3846 4233 1 5126 3653 1 10219 1482 1 6892 1253 4 6539 561 1 16283 6713 3 6063 6512 1 1464 7462 1 19161 1908 5 7286 2549 5 14084 1747 3 7965 219 3 12036 5511 1 8159 747 1 12623 8054 1 3251 7136 8 15702 1369 1 18578 1395 1 14671 3759 1 6323 1277 1 644 661 1 14913 235 7 13678 2696 1 18377 6769 1 6357 901 1 19426 7849 1 14296 2018 2 1543 1762 1 12907 1764 3 6435 6219 1 6636 5603 1 7571 5174 2 5227 980 1 13652 1717 3 9742 2675 1 16405 6943 1 10441 1722 1 12765 7926 9 9154 1937 1 6387 3238 2 7275 2079 2 9638 6713 9 17206 907 8 17634 2559 2 15727 8217 2 9167 3177 3 1418 508 1 6752 892 1 10976 6278 4 17273 4704 3 6809 235 8 3792 3164 1 18038 2852 1 11199 1305 1 18014 4334 1 454 4918 1 6228 735 1 11020 7030 1 10996 5091 1 9446 1249 13 1398 470 1 19418 6566 2 19822 3732 1 18543 2775 1 2325 215 1 14602 235 2 11727 5922 1 9883 1184 9 7639 745 1 6145 1235 2 3399 1253 2 12751 6480 8 14918 223 7 16651 1278 1 16839 3511 22 12082 8033 1 17395 2290 7 8546 4667 1 16645 6460 2 62 1768 1 2911 1312 3 13531 303 5 14182 518 1 18376 3283 3 17263 943 1 6264 1156 1 787 532 1 17618 498 4 133 6032 20 95 413 1 4688 704 3 6712 691 1 18665 1557 1 5219 214 1 9989 3558 1 2078 867 1 11388 3206 19 4042 4369 1 7610 566 1 4248 3364 1 19726 2728 1 5453 73 13 15497 199 6 9632 6341 2 6183 1239 3 17816 7702 2 672 1244 1 9676 7221 12 2816 225 1 14632 3497 2 12112 763 1 4268 1537 2 17753 252 1 2452 4961 2 18867 508 2 4221 2318 2 16670 4986 8 11399 1222 2 56 536 1 14131 1760 1 10055 3592 1 4726 6286 1 2980 2422 1 117 5225 1 8466 6693 1 10996 5086 1 11678 131 3 2803 394 1 8311 447 1 6687 1777 1 11080 5837 9 6954 1730 2 3134 2737 1 9308 1374 3 19949 5737 7 6748 639 1 2739 4343 2 694 1990 2 19874 1827 5 13293 5734 1 2886 1128 1 11519 6200 1 19568 1772 1 17314 223 3 11461 84 2 19981 5402 1 3972 4014 1 11493 3638 1 6564 7911 1 16321 1239 1 10806 790 1 872 3693 2 684 1748 1 3826 615 1 11598 2516 1 159 7249 1 6776 7424 5 4357 1758 3 1136 1247 1 1219 232 1 19855 3911 5 10452 752 3 5375 223 1 4985 6925 1 17328 2413 11 14441 4956 1 2731 4075 1 16943 220 3 1488 955 1 18462 5267 1 4555 2626 5 19293 203 1 4147 2617 1 16490 2331 2 2659 1829 4 14158 1778 1 10775 1745 10 413 4447 2 1528 545 1 625 1234 2 19081 411 17 11737 219 1 4663 780 1 14011 5030 5 16895 1248 3 9445 1783 1 13076 201 5 2670 3459 1 14161 498 1 20031 7606 2 10253 6120 1 5737 215 2 1969 1332 1 5854 3231 1 15063 1954 3 5815 23 3 7208 1380 1 14375 7808 1 4397 644 2 1042 4941 1 20016 1724 2 6848 229 8 14132 368 1 2064 4242 5 14326 1245 1 16971 1282 1 19916 368 1 8560 5318 5 10988 1700 4 14010 869 2 12317 203 3 3871 4245 3 11889 7738 3 9264 581 1 7431 6207 1 13244 2184 1 11658 7758 12 14683 4366 7 17936 6754 2 1265 505 2 3168 1834 3 5588 6164 2 1893 2492 1 18698 1241 1 8288 5036 1 1606 685 1 14584 7308 10 2053 5446 10 10360 6979 1 16548 1206 1 4364 8102 1 11803 3525 1 1053 3602 1 7672 532 1 8697 3247 5 4107 46 1 8709 3901 1 18377 4077 5 9463 1997 1 16186 3175 1 1173 669 1 11190 1235 8 3008 6080 2 2221 1328 6 12104 4263 1 592 2129 1 11271 1752 1 19391 4266 9 536 6900 3 4572 6105 10 1290 840 2 17850 5506 1 5314 2675 4 5763 200 2 14970 581 2 4092 5888 1 18633 2423 1 2980 2369 1 20101 7291 1 11786 1378 1 8129 1751 2 6596 215 1 10145 2068 2 6310 219 1 349 762 1 15654 4818 1 2775 3584 1 1145 132 1 654 1784 1 15896 218 2 460 5051 3 18260 7606 2 4510 1072 1 6061 392 1 10822 4097 3 1258 883 1 11327 1703 6 9917 3999 1 19765 1946 1 20249 4363 1 6228 4079 1 671 1247 1 5252 3794 1 9266 7815 1 19461 1133 1 5688 3748 1 1191 1726 1 17184 4470 1 15142 5420 1 1822 2969 1 11786 335 3 13401 3337 1 1738 7424 1 19870 868 1 16473 4979 1 13842 5881 1 8947 4320 1 6867 698 1 5774 1184 1 11094 4600 3 11333 903 14 12054 5193 2 11242 7497 2 9976 1906 3 16215 221 19 15315 4156 2 143 1658 1 13328 756 1 3409 1985 1 12717 1345 1 6692 1239 2 13670 2945 1 2890 200 52 11243 336 5 18027 1201 5 9096 2673 1 4145 222 1 4126 252 1 4902 3590 1 9508 554 1 658 2655 2 19655 6434 1 1323 3233 2 9279 1146 2 7268 4020 5 4902 2676 5 1155 1367 2 20133 3569 1 2886 600 1 12614 952 2 15974 207 9 10146 533 1 14473 7616 1 2038 6723 1 14311 6228 1 1948 236 5 20177 1007 199 656 2715 2 6028 5677 4 17477 541 1 2428 491 1 8513 758 5 17825 3842 1 11789 1331 12 2103 3263 3 9310 1769 1 5424 367 5 10728 4299 16 19822 4261 1 11297 1757 1 6749 6152 1 16170 509 2 15824 470 1 1268 1341 13 11028 1747 1 15529 4267 1 17992 5253 2 13320 1758 2 17779 7597 1 565 219 1 17612 1247 1 1468 2982 2 6039 4333 1 6342 891 1 14562 3911 1 4197 1666 4 13009 6540 2 15766 7522 7 10365 5584 1 9069 4799 3 15756 614 3 12763 1781 1 2152 1819 1 16506 4815 1 12698 2104 1 12932 8047 1 16708 4020 1 1691 6334 1 17920 1748 1 5424 2691 2 16597 1743 1 10480 2138 10 5216 2990 1 8065 7591 1 11530 2552 1 13290 5595 5 5505 2675 13 15732 2353 2 1379 244 1 8965 506 2 8754 7588 2 17151 156 1 14745 4799 2 9219 3476 9 15308 3905 1 16052 3626 1 16499 3475 1 13515 5019 2 19456 931 3 17859 2675 1 12868 1743 5 1277 3558 4 13697 519 1 10192 2893 9 19255 201 1 8093 1404 3 6581 2852 2 7853 873 2 16234 1384 4 9056 367 1 9528 2675 1 847 1307 1 8657 3869 1 1555 1175 1 3258 1729 1 14908 3909 35 15229 5516 1 4667 843 2 13636 219 1 1654 2727 4 10262 220 1 17460 7560 1 6804 2860 2 8237 663 1 12821 3684 2 16431 3376 1 2858 2923 1 12927 2633 1 83 3778 1 18072 197 1 17383 1705 1 5246 2087 1 4072 7528 2 7783 222 11 6867 3266 1 11458 2426 1 4500 4735 1 4942 1315 1 5860 3146 12 18033 1649 4 317 1395 5 15242 460 1 19530 524 5 7892 291 1 4251 6204 31 12576 223 3 15138 3748 2 16284 215 1 8282 2522 15 8281 1334 1 13213 5036 1 2838 2488 1 14354 1753 2 4425 5445 1 4774 7345 5 296 1703 1 18939 7229 1 17555 6756 11 14748 1251 1 2267 1076 1 14962 6170 1 15995 502 4 12755 883 1 14344 2632 1 19829 903 1 10247 545 1 5856 7220 1 18738 3798 1 13645 1296 1 6997 5888 1 17892 745 3 14190 7843 1 18850 4555 1 3681 3257 1 2976 7491 1 180 219 1 6650 2722 1 17603 5060 1 13031 225 7 17589 4803 1 3996 7414 4 10201 153 1 13839 891 4 7293 193 6 11786 6519 1 17 1119 3 18862 1740 5 65 3148 4 4214 524 1 18926 4189 1 11670 23 2 745 1695 1 5643 366 10 2266 6303 1 10879 1764 2 13928 3233 5 535 5265 1 2341 207 1 3161 2341 1 2886 1249 2 4267 397 2 9134 235 1 7313 1464 1 17859 1995 3 10238 709 4 1 60 1 94 4107 1 14053 1342 1 18868 5048 1 14147 3101 6 13750 2638 1 1865 1747 1 17850 219 20 2341 1296 1 17884 1819 1 18852 4615 1 8719 4248 1 6670 4623 1 4791 1751 6 1609 5553 1 54 2587 2 2945 1530 1 5617 2981 1 12279 2793 1 674 3230 4 16406 6480 2 16248 6278 12 18296 805 1 8911 874 1 1204 7719 5 4346 7570 6 10407 399 1 14101 215 1 4223 1781 1 1133 544 1 11645 1734 5 18886 235 2 9865 232 1 13414 519 1 4495 867 2 18403 1561 2 6285 3916 1 11730 4363 3 8419 158 1 6183 1731 6 11786 2353 5 6938 4245 5 12328 5359 1 80 3582 1 13043 1985 3 11039 1062 20 35 1854 1 17954 2382 1 5252 3639 1 15573 5730 6 10587 4858 1 2362 5618 1 8198 3945 1 9596 5245 3 14224 7216 1 12775 412 1 7105 3331 1 11843 1734 1 9224 828 2 2345 3032 9 10973 132 19 19840 6232 1 5426 1990 3 14968 5278 1 4987 713 2 916 4597 1 15091 6945 11 18656 2808 1 16997 3283 5 16674 402 1 19026 910 2 6561 4796 2 6164 201 2 6144 7844 1 11462 2992 1 5005 2352 2 4500 3477 6 9154 7400 1 17171 1074 1 745 2352 1 4440 1312 1 5172 3267 5 7452 4009 1 11987 2358 2 4079 1726 1 13827 4145 1 14772 4448 1 1539 196 1 14760 1040 2 4089 4325 3 19143 186 1 873 46 1 174 6031 3 6326 1825 1 17284 6229 1 8730 785 1 15935 785 1 14146 625 2 9288 4623 2 10292 215 1 11629 1054 12 15743 470 3 13829 196 16 8294 1194 11 4092 292 1 1249 6341 1 10568 3298 1 12449 1827 5 4195 1781 1 17954 1703 2 16090 7931 1 16509 7862 2 9547 498 1 6838 7698 1 9803 1296 3 14091 308 2 14847 2656 1 12383 6192 1 1028 4384 1 10555 1715 1 1134 2076 1 7701 1779 1 16056 1819 1 1465 38 5 2567 2237 2 5512 1814 1 15151 1101 1 16810 926 2 5739 4312 1 10015 5784 1 8129 6436 6 5336 5979 1 15484 1296 2 6314 2493 1 3613 1251 7 14686 5837 1 6570 313 1 4991 509 28 13574 667 1 330 1209 1 1893 755 9 18768 3309 1 364 3590 1 9319 2069 11 10655 6278 2 13076 2056 2 8097 1764 4 11018 5020 1 6817 36 2 13445 631 1 8458 206 1 16471 3072 1 16078 2146 1 13227 816 1 3826 2013 1 14660 4981 1 9154 7131 1 17595 1747 1 15588 203 3 4465 3647 1 7841 4972 1 7986 44 1 10690 3516 1 15041 173 2 1170 1814 35 3945 3539 1 705 23 2 11700 867 6 16006 2127 1 6840 874 1 16327 1245 2 4282 1031 1 10553 963 1 16418 6640 1 10105 4411 2 10516 2559 2 18152 200 4 11769 1657 2 9408 2366 1 20119 7229 6 7670 712 1 15106 2247 10 10869 1342 3 5 176 1 8486 200 9 4290 1453 2 74 253 6 10316 2458 1 7546 265 1 7530 4635 2 7194 4351 8 12121 47 6 11687 2356 6 9044 3627 1 19559 4996 4 9369 1548 1 13756 5810 1 14346 222 1 13737 1329 2 174 8093 3 18761 1238 2 6179 3234 1 11327 3637 25 889 7621 5 12821 1658 2 19009 4268 1 3155 4413 1 20181 7414 1 14379 215 1 4699 7244 2 6766 4890 1 12007 203 10 14093 5505 1 15306 508 2 18520 1482 1 5973 215 10 17124 6132 3 19331 745 1 18807 232 1 18942 1286 1 19210 1243 2 9815 6470 3 12012 4982 1 3459 203 56 3133 340 2 16331 6204 5 9461 1298 3 3044 307 1 527 561 6 15796 5261 1 1442 2675 17 16820 6049 1 10379 765 1 10999 2508 1 19602 7952 1 17223 5517 1 16869 1760 7 4391 498 1 5952 1686 6 12054 1267 10 1043 3233 1 3695 1296 1 16109 4022 1 4788 2789 1 16286 4498 2 16837 533 8 8751 4060 1 15514 367 1 8735 4723 16 19713 3621 3 6990 3873 2 3001 6744 9 17560 597 1 16924 5750 2 19839 3798 1 18178 891 1 18715 7216 2 745 659 2 20068 219 3 14758 5312 1 2045 1825 20 12980 3904 1 5022 23 1 12208 4379 2 7620 5418 1 1636 6237 2 1445 3471 3 10988 3592 1 13951 891 2 9566 809 1 1109 4245 43 3360 4949 1 17005 1193 2 15351 3482 4 20114 6574 1 2646 1703 2 12888 1714 2 1468 3466 3 2437 228 1 15834 1027 1 633 4144 3 11014 1146 2 364 1517 1 10590 1979 1 96 4406 1 11230 779 1 2348 1819 8 12444 372 1 14862 1453 4 12363 3191 1 4330 13 1 6867 846 1 3214 1819 1 718 2323 2 8382 4992 10 3367 2356 1 5663 6484 10 19489 6192 12 12764 3444 1 6699 23 1 8182 3272 4 6123 4986 1 16236 1739 1 11072 1757 2 6317 6719 1 18413 2514 2 19032 206 5 13183 2581 4 16897 5571 7 10847 2990 1 12207 23 1 13640 1727 2 18705 1748 1 1989 7256 3 16098 2878 1 19559 2970 1 4843 591 1 12070 1819 1 5053 4217 1 3258 7948 7 130 5781 1 15091 5332 3 9638 7890 2 6722 5546 1 12396 2380 1 16312 878 2 6107 2815 7 17753 2691 1 15722 1727 1 16823 6322 1 3521 4845 1 12951 508 4 10202 4003 5 11996 1342 1 2152 1147 1 2300 2423 2 2599 7915 2 527 489 3 5433 6170 1 5744 1778 1 9543 2508 1 3200 7570 2 5980 7594 2 11572 4391 6 7452 818 1 8557 3617 1 8628 6037 2 11637 873 2 16481 1663 1 7568 1842 2 4364 8094 1 19559 4010 1 3510 5120 1 4851 196 1 7347 573 1 83 3828 1 4524 74 1 8851 244 1 14685 1728 2 11585 13 3 2232 4856 1 4859 498 2 6635 7215 3 572 1772 1 140 6452 1 13625 3604 3 16130 46 1 11783 222 8 16625 530 1 17884 303 1 6610 3305 1 218 4400 1 5993 184 5 5472 1284 1 19450 2951 1 5158 839 1 14305 813 1 7822 5590 1 883 888 2 13490 2489 1 19105 6345 28 17651 4949 1 3536 1348 1 121 5344 4 11436 7216 1 13881 7105 5 18402 2646 10 15535 1235 1 18614 5417 1 16250 1729 5 19941 4333 1 19957 3482 1 20216 6697 5 3580 2352 2 10676 4030 1 15429 4427 1 1534 4611 1 14728 2649 1 5204 621 1 15046 4306 3 4867 3596 1 9925 541 1 17092 229 1 812 1757 1 10447 244 1 12513 4325 1 20117 723 1 635 3516 1 16013 1363 2 5867 2064 1 10884 5332 4 12361 2013 1 14661 1819 1 3964 1338 1 15687 2093 1 18175 3385 1 7945 2146 1 6160 1824 1 11377 8184 1 2973 2662 1 10078 2443 1 12312 750 7 1926 7216 2 7816 1927 4 10110 3540 1 8751 3024 1 16300 206 1 8591 3921 4 14812 6435 1 7873 5851 1 15534 1482 2 19481 167 1 11059 220 1 14865 4013 1 17710 1249 6 18570 6888 2 9908 4280 1 9907 207 5 4404 3518 3 9778 950 1 701 2327 1 14633 924 1 11678 5914 4 2274 936 1 18193 6723 1 5316 4013 1 9717 274 12 19823 156 1 159 7228 2 14305 629 1 4720 2793 1 7682 817 2 18930 5778 1 19725 6368 16 5582 1328 7 19011 5247 1 14759 1778 1 2147 1194 2 18689 398 4 11717 1710 1 17579 1282 2 7459 203 13 11255 6031 5 16741 3393 1 13535 3645 2 8751 449 1 1241 4716 2 11798 2626 1 9041 5724 1 908 1518 16 13369 1703 1 7000 474 1 12764 2555 1 8707 190 4 8050 219 5 13990 2362 1 86 1808 1 14810 5758 5 16938 1235 1 153 7086 3 4985 7154 1 19545 1253 4 2020 471 2 6206 3622 1 4663 625 1 14318 3684 1 8615 306 1 12064 1250 2 13881 7104 13 10948 1312 2 8087 631 1 16627 3525 2 7679 3539 1 9099 5097 2 19977 411 1 5576 1341 7 8680 220 1 5107 3084 5 4634 4838 1 3736 1712 1 3395 1739 1 2413 3177 3 13922 3911 6 5108 533 5 1423 4178 1 6808 6065 6 872 4649 1 4011 2114 2 13337 6435 1 3162 1571 1 10575 602 1 11170 2316 1 12009 7914 2 13589 2552 1 20218 2352 1 6848 863 2 7141 1236 2 19875 1146 1 15732 5420 9 11533 7669 1 333 5466 1 14896 1282 1 19117 1764 2 5135 141 1 4778 1658 4 17084 6139 1 16417 534 2 17689 6552 1 14633 3697 1 135 2881 2 4767 1760 9 2071 4518 1 5158 718 1 121 5340 4 5837 4519 1 16019 6714 5 1565 6162 1 3048 95 1 4399 2673 3 11787 6074 1 1136 1784 1 4898 214 4 13266 2057 2 8007 1721 1 7628 2534 2 1028 1300 2 6436 4344 3 2860 6596 1 15757 4067 4 18947 2366 1 15202 635 1 19668 4979 1 14564 4998 21 20147 2197 3 17310 4944 2 4466 2522 1 1409 520 5 6831 5297 3 3058 1769 1 15240 6322 1 7497 2525 2 5808 1784 2 2203 5119 1 5026 4930 1 15156 3911 1 1011 874 1 12361 300 2 8892 214 1 17722 367 1 7850 5445 1 822 559 1 12892 3701 2 6420 878 2 3810 1464 2 9688 5478 1 2305 3482 1 1752 3159 1 19300 3464 2 10242 206 4 8339 4609 1 18320 1116 1 1945 8192 1 18548 5251 1 7994 794 1 2722 1610 1 4843 578 1 10777 7848 3 15343 1246 5 2731 1774 5 2683 533 1 19477 206 1 10486 7801 1 1625 3055 1 2928 1330 3 19190 1819 1 16267 200 7 5884 2109 1 1886 2600 5 16338 2507 1 13262 4140 1 8878 5663 1 17342 4312 2 6690 589 1 12320 3950 1 11849 791 1 4051 1768 3 6512 745 2 15055 2344 1 18380 7606 11 7927 4069 1 6455 203 1 15288 4272 1 13328 5467 1 11441 1955 1 17311 34 10 5363 4859 12 14305 822 4 14016 6728 1 2970 3263 2 10692 627 2 5570 1240 1 10886 219 5 17004 1157 2 13903 1772 2 14981 2675 1 3199 5559 1 19597 1898 1 3616 1334 2 17897 6058 1 14552 1825 17 6650 945 1 6420 4314 3 8387 1175 2 13462 1076 1 18556 1657 4 14236 4681 3 15402 205 3 10623 1063 5 2135 502 1 16394 7802 33 10126 6341 1 10744 2852 1 10865 3248 1 13115 2263 1 18938 7688 2 16090 4400 1 1155 7576 1 7463 375 1 5051 7018 2 16138 203 1 1711 4015 2 12070 3906 8 121 685 1 5272 6252 1 10065 385 2 5162 3228 1 12686 89 1 694 197 1 9183 3405 1 12817 1172 2 1670 1742 9 5719 2262 1 5176 496 1 380 8122 1 83 3734 2 1335 2705 1 12662 1154 2 6125 214 1 2240 1710 1 5849 524 3 13181 6769 3 6514 244 1 14150 927 1 18536 367 1 586 3335 1 1123 6363 1 7325 4591 2 8585 6252 4 11230 2450 1 14600 3338 7 15479 2021 18 171 7660 1 4709 186 10 16083 215 6 8965 1334 1 2771 411 8 19319 5207 1 18116 1752 6 726 15 13 707 201 1 16739 510 3 3043 221 1 11632 1450 2 8114 6180 1 3715 2276 5 12701 890 1 9666 7576 13 20275 4003 1 16137 6719 1 9456 4196 7 6193 604 1 17809 6158 1 15412 2261 1 11517 1776 2 1062 560 1 6997 5794 2 3090 6342 1 17044 1760 1 12994 518 1 6884 1762 2 12603 4375 2 5185 2877 3 11089 4069 1 530 3443 1 15371 2671 1 5213 1770 1 11085 2595 1 13850 3910 5 6726 6571 34 6397 3634 3 16308 3576 1 16873 1814 5 8734 5408 1 2886 2510 1 2087 6127 5 6724 7871 8 7780 3911 3 3846 7600 2 62 2866 1 17299 2358 1 9597 520 4 9645 2773 1 3720 167 1 7413 1380 2 4708 219 1 12502 184 2 6497 4963 21 11728 7145 6 8128 6139 1 143 6576 1 7 224 3 3416 611 1 16844 215 10 8087 3827 1 452 1717 1 9394 3884 1 6853 438 1 5638 3715 1 14614 1166 1 9511 409 1 17371 6713 1 14593 6120 1 9543 453 1 5254 1332 1 6183 4245 4 2703 498 1 10918 4022 1 7535 43 1 17851 903 1 13912 2681 1 5963 4312 1 12284 4059 1 9084 1363 2 4574 2093 19 11148 5255 2 18965 520 4 1235 1713 3 15962 4827 3 105 4728 1 505 215 1 9868 2488 1 138 6321 1 62 1257 1 19319 4010 1 17395 2638 1 17950 3203 1 3397 3336 1 13192 201 3 9596 481 1 13165 6184 1 16857 221 1 15202 5326 5 8151 4002 1 15765 5271 1 12141 7083 5 11779 34 1 8580 8095 8 10187 303 1 15408 3511 1 20027 667 1 19021 8017 2 7651 203 1 8823 2498 1 4985 222 6 17463 1930 2 7941 6320 5 1191 1244 2 19240 1236 3 19029 1287 12 16611 3896 6 11890 4289 1 2538 6801 1 5370 4135 1 2233 6341 1 11741 3945 6 16351 1771 1 5914 3972 1 3127 214 2 5906 1364 1 13881 6358 1 99 685 1 13951 853 1 13283 204 4 10810 2409 9 13662 1211 2 9725 436 1 6603 5538 1 11724 2626 5 8963 205 5 13156 5255 2 9935 5538 7 2213 5346 3 6541 4085 1 11968 7602 1 5564 222 2 15885 4813 1 15091 6069 1 15411 6663 1 5 165 10 12826 46 16 17778 5413 1 2408 5552 1 1853 7942 1 18116 224 1 16654 1635 1 11131 77 1 19137 5256 3 19014 1737 2 10687 2737 2 6021 7096 1 18981 445 14 16157 1307 1 19750 7218 1 13916 4140 2 19983 6027 1 658 7639 3 10874 6106 1 16833 7542 1 13430 4193 6 16956 2010 1 8438 3786 2 18925 3603 1 6332 1235 1 17494 1761 1 20231 207 3 13075 1596 2 2766 1356 1 6035 1333 42 14876 4618 1 4588 6534 4 18014 926 1 904 1019 1 6437 516 1 15451 1772 2 1889 201 2 7518 6956 10 10681 223 1 5993 8188 1 12400 3987 15 13782 3697 1 17075 470 1 6255 8071 1 11981 5776 1 3234 206 1 5688 220 1 18175 4618 1 9178 7153 1 15100 904 1 3580 2424 1 19199 207 5 3801 467 1 1079 3865 2 1863 2019 1 14532 647 6 7751 2699 1 20244 3382 1 3304 2173 1 1705 652 4 11270 392 2 14059 383 1 2845 2292 1 16570 4373 2 14009 5259 1 7862 2443 2 9168 1755 1 4282 6922 1 1874 23 19 4023 443 3 6718 1719 3 13801 3556 1 18586 8200 2 2886 3337 7 6172 4508 3 3901 3830 4 8993 207 1 5167 3423 4 10786 7112 1 1986 1707 1 17673 165 1 13917 5596 3 2621 1730 1 310 2362 2 10330 1747 5 11270 409 2 222 2083 1 4045 2391 1 5299 1240 21 18973 1363 7 6719 512 17 13893 6606 2 467 498 1 4194 1677 1 1853 6644 3 13640 3167 8 13711 6135 3 11591 737 2 15567 1656 3 2213 4621 2 19678 7380 1 13328 917 1 8343 4608 1 1498 840 23 8683 4554 1 12251 647 1 9525 1062 5 7481 1703 3 10730 1467 14 646 617 1 9278 1399 1 10103 200 1 2473 797 1 7165 836 1 16231 1755 1 15091 2540 14 11125 3333 1 4460 4041 6 14091 792 1 11121 3104 2 2966 1241 1 15778 3409 1 6889 190 1 745 203 1 18493 1825 5 16340 4729 1 6495 8011 6 6683 7748 2 19486 575 1 10071 6159 1 9762 7345 1 340 2061 1 273 1725 1 17342 4204 4 11415 1373 1 13800 2489 1 4583 2864 1 4971 5769 1 3879 1634 1 14125 2617 1 20202 1244 1 16197 3466 3 13994 7008 1 4106 5385 1 15280 2648 4 4386 7146 1 334 708 9 11987 2880 9 15297 1252 1 8451 7201 3 1708 8195 1 9759 1464 1 10997 854 2 11948 1237 1 11504 4992 7 16436 1434 1 1519 252 13 15184 4467 13 959 6423 1 153 7106 17 13408 855 1 11122 936 2 1764 7890 1 711 1450 1 4519 366 1 8255 1369 1 6867 715 2 3677 1825 10 12442 1819 2 11656 3899 1 13425 1303 1 8735 7808 1 16965 5294 1 11387 385 1 6063 201 2 4268 3356 1 10847 626 1 6305 252 4 12592 1751 1 6081 411 1 14591 206 20 4043 46 1 1110 3315 1 3536 6026 1 10684 201 1 4694 2885 3 9017 2742 56 10262 5574 7 18736 1063 1 1461 1169 2 19223 1748 1 13453 5989 12 13707 1710 6 5087 4027 1 14917 4060 1 6261 2151 1 5963 1897 2 9366 1454 2 9478 7606 3 12738 1245 1 11956 1356 4 14265 1730 1 6750 3231 2 17788 4497 1 14472 2175 3 5449 690 1 61 2755 1 14482 6155 1 19942 201 2 3766 4941 3 19727 207 6 10145 7725 1 5929 1369 1 4452 6028 15 15257 173 1 1852 1907 2 7560 4179 5 20127 7267 6 11881 1734 4 9636 523 1 2175 1825 3 4165 5992 1 15908 344 1 15496 7085 1 18833 8145 10 16663 1687 1 4867 6152 3 11556 200 5 17953 541 5 5631 1689 1 5355 2652 1 3757 829 1 19286 6132 5 17486 1257 3 14305 881 2 7798 5995 2 19628 1827 6 18410 10 1 11192 5940 5 19568 1788 1 15778 229 2 1863 8108 1 19429 520 1 16391 200 3 13271 5336 5 19239 5373 19 19667 5105 1 1834 232 1 9249 2367 1 16408 7229 2 6299 225 4 18761 5253 6 16452 1737 1 3968 1732 1 17505 2852 1 14130 2656 2 8450 1131 1 798 3595 1 13792 6983 2 890 1242 1 9494 2710 3 18118 7008 3 6663 2853 1 17204 8201 1 10615 411 5 6913 3567 4 7685 1354 1 4004 10 20 5662 1717 5 11135 4312 11 11555 982 1 14561 3612 1 16735 2151 1 7623 966 1 8691 3317 1 4922 508 1 630 6661 2 9279 1184 1 10462 1946 7 6848 1399 1 3298 8159 1 14689 6706 10 9527 4998 5 20030 762 1 15302 6739 2 12539 3602 1 14632 1420 1 3697 1783 1 362 194 8 18912 186 1 9417 1313 1 2620 1946 4 17633 1560 1 7210 1781 1 2155 214 1 336 3058 7 1191 5070 11 9390 5321 1 9085 1250 3 1133 2142 1 14786 7884 1 15065 698 4 2319 5543 1 5859 4950 9 29 1677 1 14053 532 1 15474 6615 1 10325 1191 1 388 591 1 8806 3684 2 6332 715 3 3579 302 2 499 6684 8 1709 219 3 12837 1773 2 16090 6105 2 10554 4665 1 20170 196 6 12091 7847 1 12179 2980 10 4633 1788 1 12152 335 1 9308 184 2 7731 5111 1 6605 4066 1 1237 7929 1 2347 6166 7 18665 334 1 12190 5021 1 8195 1751 1 7857 23 2 15884 5293 3 6516 863 2 13437 2673 10 745 186 2 8620 2460 1 10720 637 1 14074 1251 18 15031 4022 17 14357 6053 2 1217 1703 12 19927 2119 1 2884 521 1 11253 1760 1 6997 1630 1 2490 5333 1 7 204 2 4417 5018 8 17133 2675 1 3073 7215 3 14630 1748 2 3337 6263 1 6649 2580 1 4667 3891 1 16693 5995 1 10786 723 1 16249 525 1 6942 6355 1 8278 214 1 5449 554 1 18508 1153 1 15274 6262 1 14059 395 1 15520 1781 6 8299 732 1 2584 2003 1 8004 227 4 18791 2571 1 17027 3599 2 16755 2511 1 13119 203 13 85 3920 6 14047 6338 1 15429 3597 1 17899 7687 1 9181 3591 3 15471 839 1 13409 6762 1 3197 5380 5 822 200 1 17692 2115 2 19738 6225 1 9760 4992 1 10838 6682 2 19809 1825 5 3886 3957 1 18675 7470 1 788 7586 1 16916 2139 5 15602 246 1 6183 1710 3 10733 5441 1 11877 7850 1 10862 5306 1 3581 467 10 3894 5242 1 17929 214 4 1176 898 1 8521 519 2 20026 197 6 9388 2982 1 6517 5386 1 15346 3903 182 4970 766 1 20169 1244 1 2403 3236 2 14827 1772 4 3145 203 12 19566 2240 5 15947 95 1 15534 1707 1 14738 1464 16 11428 6979 1 17926 1990 1 3847 3167 2 3522 2935 6 2345 845 8 6489 7235 1 16895 6785 2 2421 4237 1 9144 6121 6 6000 5325 1 13094 5279 1 11494 7490 6 14278 3323 1 19705 3276 1 13238 2292 1 7533 4108 8 8320 3442 1 9752 883 4 9869 6098 2 3134 292 1 14064 7073 2 19521 1342 3 4811 2508 1 17294 2556 3 20214 1645 2 7923 4972 1 6135 2671 1 17557 1362 1 451 196 3 11256 662 1 12638 495 3 1904 3511 2 2091 3645 1 13091 215 1 17678 8013 2 3931 2355 2 15140 1898 3 9930 196 2 12583 6256 4 6058 394 14 4275 4337 1 12777 443 1 12619 3057 2 4880 1277 1 17953 6442 10 13909 5401 1 3048 893 1 6800 3836 2 7934 412 1 288 1730 1 2380 244 1 15726 519 12 15811 1717 1 8775 2743 1 14363 665 5 3241 207 1 3338 2698 3 14872 4613 1 6701 1076 1 17586 2341 1 140 6364 2 19663 3512 1 15097 74 1 13827 506 1 12086 6417 1 11533 5490 1 946 4623 9 6854 1733 3 4092 1358 2 130 5849 1 13711 3426 4 13701 2815 19 8995 3283 1 19672 3330 5 42 2232 1 19152 1416 1 9702 207 1 14511 1712 1 12391 524 1 13085 207 1 7688 1035 2 70 173 1 19286 1783 1 17664 2480 1 17123 6428 5 16522 6922 1 19995 5120 5 11820 7009 1 1962 1338 2 16669 4794 1 9924 207 2 6332 316 3 579 2665 2 18089 233 1 19774 4369 1 18410 201 12 13358 7734 2 12702 1882 4 2028 190 1 5218 1778 3 3373 5425 2 16782 3617 1 9141 3897 1 12986 336 1 18455 4132 1 14148 6480 3 19705 1776 8 16096 3132 2 2268 3561 1 7725 5036 2 15004 173 2 10948 863 1 5636 8141 1 9937 5097 3 19298 411 1 5249 1748 6 113 1745 2 2067 304 2 5854 5817 1 12325 3596 1 9793 6520 7 10022 303 1 12149 235 1 807 1781 1 5251 1371 2 2688 3023 3 2180 7185 1 2201 4992 2 2570 7223 3 19655 2190 2 14722 2352 1 1551 1245 2 2886 883 2 536 910 1 20082 696 6 6164 5413 2 2947 1652 5 7034 2559 4 2879 6154 3 15530 1740 4 4985 8167 3 4868 1357 2 13581 1235 6 2331 3191 12 15435 2360 1 4552 1782 6 6070 2341 10 1618 1664 1 259 1705 2 5720 2065 1 4008 3906 1 16181 3084 3 8597 2491 1 570 6723 8 3441 2193 1 19649 471 1 7114 6278 8 19739 8141 2 8271 6868 1 5884 1770 2 11652 1965 4 17110 5297 3 8239 2606 6 1718 5098 1 16016 57 1 4174 1342 6 19160 323 1 16436 4902 1 10693 2353 1 15506 8200 3 1506 2355 4 4660 7222 1 8863 8076 1 2917 4377 1 16818 3330 5 13810 3152 1 19679 190 4 789 197 1 6142 1738 1 15101 3492 2 7683 1249 1 17122 8141 5 16109 2877 1 7432 1695 2 15265 232 1 6485 4199 1 14509 1399 1 18484 197 4 16696 2729 1 347 6178 1 7017 7632 1 3993 3595 8 9834 508 2 5252 7964 2 3323 6414 1 8585 4963 3 5218 219 5 602 200 2 18633 2457 2 4267 5141 1 5645 532 1 4232 7120 8 108 936 1 15299 5518 1 3752 3408 1 16860 6719 2 10911 243 1 8356 1342 1 8767 7410 2 19007 447 1 3399 1757 1 6422 512 4 10261 1825 1 12865 4013 1 10986 533 1 5 171 1 19056 1736 1 13227 374 1 15115 1121 2 812 4572 1 2552 3071 2 5662 1825 1 17066 3851 1 2017 417 2 11143 2949 2 6265 6091 2 9098 173 26 1132 6267 1 16549 1710 2 14908 4436 1 19034 4853 1 8961 514 9 7197 1719 1 12060 1629 1 9610 212 1 2198 395 1 3781 2649 2 5116 6663 1 16740 5132 1 17662 201 3 12 153 7 8057 7593 5 14634 501 1 3822 2953 1 13777 6246 1 9194 1734 9 5424 5879 1 3258 1239 1 19168 2068 1 19507 4588 13 15535 2682 2 12136 4490 2 292 132 1 4185 5495 1 2545 724 1 16236 1955 1 7146 1249 6 92 4128 5 11334 8141 4 10916 553 1 12874 4022 1 8161 4484 1 6496 2089 1 19326 1745 1 14692 532 1 5444 3878 3 1665 560 5 4176 1548 1 12619 5529 2 14870 4095 3 2385 506 3 7219 4460 3 9153 5245 4 9145 6100 4 13570 7030 1 5993 7256 4 15896 825 1 17789 7522 3 873 1367 2 6327 765 1 19740 6758 1 3491 496 1 19597 1991 1 16841 1710 1 522 6345 1 17768 506 2 3651 3799 1 11402 848 7 15885 5938 1 11065 1778 4 18097 386 1 1592 3906 2 16554 173 1 18829 200 1 15932 854 1 18878 200 2 302 5074 1 10398 1686 14 15456 1770 1 11991 6414 2 8269 853 2 18329 336 6 1677 5774 2 17764 223 3 20 1314 1 2709 6070 1 6796 1025 1 6519 1146 14 15204 2356 2 3536 3877 3 17805 1992 1 13846 4635 4 9693 508 1 819 1226 3 2408 1751 8 2405 5018 9 15620 6494 3 36 1991 2 6436 200 1 3340 2345 1 3075 3333 1 8469 8081 1 13195 1742 3 2784 7446 1 1632 5350 1 17783 3608 4 9437 1758 1 448 201 2 10564 6341 1 3577 4799 2 7392 200 5 14623 2667 2 13206 3916 1 3459 2459 47 14313 3969 1 3521 165 3 13710 4060 1 12842 6200 1 19774 5007 1 5160 252 7 19888 4261 1 8969 8194 2 17886 8045 1 11875 221 9 38 2024 3 5602 236 1 19538 134 4 16092 4352 1 7323 7308 1 19085 8194 1 9015 1768 2 538 1717 3 19176 671 1 13006 225 3 3447 3 3 13564 3247 1 11866 3885 1 6269 2633 11 10193 2683 1 10141 7287 7 20089 23 8 1864 1241 1 6132 7132 1 15211 514 1 4572 1235 4 13402 6049 1 11656 4614 10 6381 2841 2 11212 3556 1 9546 892 1 5906 2448 1 822 4248 1 4170 532 1 3395 252 1 1710 330 7 8654 5105 11 20262 5082 2 12592 2953 1 10274 1731 4 3122 356 1 8378 759 1 6670 201 1 1296 36 1 12 522 9 1551 1251 1 17105 206 2 17077 1762 1 6504 514 3 12361 562 1 13335 3145 2 17014 2076 4 19068 1416 64 7970 792 2 8728 769 1 8215 5529 1 8988 4245 1 10770 5276 1 2674 4376 1 6966 4393 1 5984 3400 1 5645 4992 2 1437 5020 2 6759 2958 1 19597 60 3 12864 5545 1 13134 6374 8 10670 3073 5 16963 4446 1 6285 2548 1 18813 1495 1 2621 1235 1 2850 201 1 18581 65 10 10290 1251 1 12739 413 1 13222 3974 1 9370 530 3 6173 196 6 7821 1720 12 19102 7212 2 13737 7521 1 4492 2678 1 6539 643 1 14630 1710 1 12493 7157 3 11331 7073 7 890 6705 1 16758 4998 16 1461 200 1 9154 1886 15 298 4059 1 5681 1237 1 18507 8175 2 14686 2692 2 7683 508 1 18879 1825 5 4916 4373 1 17647 383 1 2077 1762 8 13205 3287 1 16727 4391 18 454 4868 1 4360 1342 5 10730 7965 8 14612 7629 1 12283 1707 2 9090 5128 3 4055 829 1 5304 3770 1 17488 378 1 9129 3588 1 9535 508 1 12009 23 1 7481 3167 7 4663 907 1 19368 7767 2 46 1758 1 62 624 1 5776 203 6 19543 5018 1 7918 6152 21 7590 1960 2 5141 215 4 2576 6162 1 13710 5575 7 572 7511 3 11732 214 1 13352 797 1 4986 3600 1 6332 841 2 6332 617 1 9978 2958 1 9508 772 1 18285 8227 1 3845 1230 13 17599 561 1 4539 1742 36 15111 5447 3 4709 201 2 9255 2969 1 80 3594 2 1365 1078 1 14021 698 1 20180 1051 1 11110 2885 1 5816 1903 1 16870 1762 1 3194 1150 9 12739 954 2 18637 203 2 14086 7477 1 16842 1779 3 9998 6754 1 12115 2737 1 13663 2277 1 314 3598 2 9916 7232 2 15154 215 1 1291 1819 1 14552 201 1 16016 6139 1 17258 136 5 10760 8141 1 3391 4380 1 19026 3654 1 9243 1417 1 6341 7112 3 5838 1770 1 14997 678 2 4392 5770 5 18518 173 2 14449 3979 2 9836 4172 1 7277 6758 1 4265 1237 2 14497 222 1 3078 6126 1 6360 1367 9 19177 7187 4 14099 7222 1 18814 1703 20 10852 3972 1 9836 2980 8 8051 4534 1 6496 2504 1 10635 3167 2 1816 479 1 1866 2245 5 18696 1718 2 8634 3156 1 3924 6252 1 6527 2922 1 8362 1758 1 2938 575 1 3252 2920 1 14219 2247 1 11786 667 1 13705 2555 6 364 2959 2 19667 769 3 936 514 9 1663 3682 14 8261 2021 1 3516 2646 1 1262 3556 1 14786 1728 1 16843 3222 1 1507 1363 1 17872 1235 4 14868 1249 2 5821 616 1 13804 1235 1 7769 201 3 7944 2970 1 1694 7153 2 4517 5515 1 12919 6595 1 4018 11 3 6198 1656 2 1002 3163 3 6070 191 1 31 1714 2 493 4209 1 6170 1742 1 1777 2626 2 993 4877 3 13014 6080 1 7268 723 2 11786 1440 4 7568 6537 2 4458 4531 1 13587 4680 1 470 8057 1 8580 7471 10 1717 5737 1 19902 1304 1 4680 1519 1 18259 6273 1 4158 6663 3 6502 7597 1 6503 903 8 14583 685 1 238 5130 24 19193 910 1 222 422 1 14154 2018 1 7180 6414 15 14471 1023 3 6899 4352 1 10911 599 1 11443 1302 1 10327 752 2 19135 496 1 2199 3073 4 121 804 3 1838 6457 2 16842 4807 3 11533 652 1 4898 84 1 11393 7776 1 8547 7201 1 6503 4498 1 14500 4038 1 13126 5425 1 8924 220 1 13684 1366 2 5916 6091 2 6689 7857 2 17321 2085 1 13328 6542 1 18357 2184 1 6158 495 2 5631 3615 1 10916 1035 1 4954 1357 1 4 145 5 16677 300 1 16150 3171 1 9218 2966 3 16684 5327 1 174 8131 1 9356 1734 1 13649 907 1 20225 725 1 11098 201 3 803 1252 1 11182 5940 10 9010 2552 5 94 4321 1 494 210 1 4076 960 4 4911 512 1 15856 2591 1 4629 5515 1 10202 206 7 15289 1324 1 19996 692 1 18365 5255 1 17416 4703 1 14184 5515 1 14011 5935 1 9989 1344 5 10119 2232 1 12027 2132 1 10765 1054 11 15383 2020 11 9503 6283 4 11736 7647 1 10125 219 1 14167 4085 1 988 1718 2 12885 5447 1 17101 1245 17 18508 1704 1 4659 88 2 12322 1814 1 6867 7871 1 16355 512 2 2503 7902 3 17803 6546 1 10311 7009 1 5169 581 2 4307 303 1 984 344 1 14301 5874 1 11860 3267 2 2300 2373 1 14152 73 2 8946 766 1 9224 702 1 11461 2352 1 16528 937 1 20050 2885 1 12807 1825 21 13490 669 2 20275 1817 1 11846 372 1 13613 578 2 12241 6943 1 19401 2242 1 4263 4245 3 17281 2517 1 3249 222 1 2803 2958 2 17110 2109 1 12372 3453 2 16929 638 1 11965 2363 2 18154 4348 1 6619 1705 1 6556 1686 1 16914 2647 1 12490 16 1 3801 428 1 16592 1819 4 245 3012 1 17218 1334 1 13486 2262 1 17128 6178 1 8636 452 2 10115 3454 1 18633 2421 2 17179 2325 16 17592 168 1 10088 514 1 15888 2514 11 5202 207 5 6153 1610 1 4095 1825 17 10253 411 3 18081 5052 1 19454 6343 1 14643 173 2 10590 1768 1 5294 1819 1 7882 383 1 5831 6949 6 12327 2287 1 5427 2392 2 17682 545 1 19346 1604 1 4960 196 1 1888 7336 1 17436 862 2 9104 2747 1 10553 3578 1 19089 545 1 7557 1729 1 1995 3477 3 12057 1453 4 8832 5256 1 2850 243 1 12988 5425 1 8367 1769 7 62 2813 5 14162 489 2 14649 1363 1 3253 3298 2 19727 2367 1 13891 3583 1 12144 7077 26 143 6525 1 8226 418 1 14549 5922 2 18401 2801 1 15659 6334 1 17404 1245 2 6247 1758 2 15427 6288 8 6189 714 1 17901 857 1 4014 206 12 3915 1975 4 1522 1732 1 19322 1769 2 386 219 11 50 2499 1 11380 4297 2 11199 3512 4 15535 6701 1 16809 207 1 10404 370 1 13405 1328 1 10699 1730 1 5854 903 2 14510 2355 1 9299 148 1 11577 5817 1 6610 7754 3 3416 5968 1 19649 2675 5 13612 2255 1 8757 3909 1 14667 4013 3 2375 196 1 9604 3512 3 35 1953 2 15370 4245 1 15662 4245 13 3397 671 1 12270 3221 3 14376 5251 1 18060 520 1 3416 5852 2 1170 219 92 13922 4303 1 3189 6790 5 18133 1726 4 4305 5302 1 4092 1395 1 4991 1363 6 13351 1304 1 16470 519 5 19316 2316 2 12158 6106 1 15331 3430 1 20114 1363 2 3699 8192 3 20084 1761 7 9978 3388 1 1273 663 1 1361 3361 2 2699 259 2 15314 6801 2 4634 1363 1 12569 1757 1 14196 3058 1 4410 4022 1 11467 2190 1 16450 3170 1 18883 5306 1 14874 1824 1 8239 1147 10 10522 1757 2 1712 367 1 7702 2938 1 11430 23 2 7953 843 1 10612 1772 2 10274 1734 2 2363 4099 1 8323 7380 1 130 2635 1 8435 203 1 1 103 1 7098 5427 7 16388 3301 1 15368 4529 2 17572 5066 1 15909 3612 1 1009 3578 1 19171 1333 8 6327 1312 1 7176 3181 1 14297 2668 3 3579 3167 1 18465 2478 2 10489 1756 6 12619 1827 2 16963 8083 10 536 3920 3 4428 1761 1 11428 2953 1 15885 7527 1 15591 2762 1 7075 6702 1 19272 2953 3 1919 1728 1 10950 891 4 1948 199 10 6164 6527 2 159 7268 2 12893 4963 1 11055 2806 1 2733 6196 1 14758 5341 1 1693 207 1 8061 496 2 12392 7105 6 4282 2497 1 6643 2341 1 7991 6618 1 9244 225 1 16471 1243 1 14629 2369 1 12868 200 3 15429 1726 1 7450 1357 2 10035 7248 1 14580 541 1 13880 722 1 2045 23 1 694 831 2 2704 948 3 9725 4280 2 181 4367 1 4805 533 1 7331 6192 2 5786 1717 1 15913 316 1 143 6539 1 16229 3516 2 14211 1237 1 10670 4467 1 9525 203 10 4521 1280 1 10472 308 1 16114 532 1 16230 589 1 3405 10 6 8316 402 1 2103 4615 1 9997 1387 2 822 381 1 15184 2662 4 1517 694 1 6867 3972 1 5493 4653 5 7914 816 1 11613 608 1 8804 6565 1 10316 2731 1 11871 1715 3 1636 1762 8 7822 5592 1 3794 36 1 9553 6341 10 11098 3089 3 9467 1689 1 1794 2022 1 9759 2649 2 8013 3920 7 15986 203 1 3521 2815 13 6485 1535 2 19568 186 1 19193 1719 1 16761 1342 5 15712 1251 1 873 663 1 10489 5290 1 13579 3176 2 6339 4348 1 18326 868 1 9410 535 2 11525 8167 1 10831 6744 1 1164 3129 6 16933 1252 3 1186 3940 1 9242 6345 2 1962 365 1 2147 494 4 5594 5002 1 11542 7530 1 8136 3885 1 337 1275 1 7715 861 1 157 7189 1 583 330 1 14931 1363 1 2271 5257 1 13145 7884 5 19306 7976 8 19178 491 2 11390 46 2 11533 4204 2 16230 1244 1 6228 2841 1 19326 1728 7 6510 4538 13 4112 3155 1 9957 1499 1 19985 1286 1 13392 2290 1 1511 1785 4 8629 4587 1 10916 869 1 2079 95 1 4935 4267 10 16325 1250 1 17246 235 2 9322 5408 1 9957 2728 11 18932 954 1 14973 821 1 7291 541 1 8368 679 1 9809 2584 2 16289 745 1 592 2002 4 7369 5048 1 17143 935 1 18145 221 1 16089 1747 1 7060 206 2 7445 1686 5 20032 5508 1 16819 4623 3 13526 2380 1 10498 6270 1 2917 617 1 19245 8195 14 6337 7143 1 2829 1611 3 19360 1768 7 19683 545 1 8174 3011 2 16175 1342 1 11297 1722 1 2899 1410 1 19560 1229 1 6538 3448 1 11250 524 1 14375 1772 1 1360 167 1 9060 3892 1 12351 229 1 1962 3786 1 15376 2678 7 15396 3067 1 6415 2353 1 19131 3851 1 11178 2880 1 12286 508 1 8736 1924 1 9431 682 1 15089 207 5 16751 1638 6 13626 8135 14 12207 200 1 5589 1464 1 9954 2817 19 13572 5341 2 8192 34 7 7062 8194 1 20029 3326 1 15082 3576 1 9390 6081 3 5570 7407 2 20016 1718 3 7628 1770 2 17662 536 1 10233 1239 1 14992 1315 2 17670 1698 1 13881 1399 10 8242 7857 3 11893 4945 1 5097 1249 5 9264 169 1 11388 8135 11 6909 1235 4 7795 8148 23 6259 7446 2 15885 467 4 1462 2737 1 15629 837 1 16048 4278 6 14233 2880 6 14053 184 1 18633 2454 2 143 6624 3 2914 231 3 4199 65 2 9705 1827 6 19294 220 1 9381 1995 1 16851 8094 2 152 6821 1 3319 1134 1 15948 1703 2 18716 2268 5 14700 292 2 14086 3135 1 11388 97 2 13375 4575 2 17013 5957 1 6397 1159 16 6089 1164 1 7761 1237 9 19079 5705 1 13384 5312 1 3396 4351 2 9790 1368 2 64 3083 2 1807 5341 1 17791 3271 3 15981 1995 3 2533 1779 1 11935 6839 2 17773 262 2 13537 136 1 14921 2708 7 2204 841 1 16100 1784 4 1090 1296 1 6341 2729 3 3822 1657 1 8557 5141 11 13652 2863 1 17999 7689 2 20170 4992 1 6681 262 1 12757 303 8 460 2727 1 5528 5355 3 979 1342 3 7924 218 1 10900 3599 1 14495 5264 1 14515 219 3 15605 5255 18 5531 8203 8 14036 5433 1 6864 1239 11 19401 1383 1 18375 2435 1 3768 244 1 14154 3227 1 19953 3180 2 14244 993 1 16725 7136 1 6556 4936 8 17596 6868 18 16674 525 2 1084 2155 2 17716 3698 2 15136 817 1 6452 914 2 16493 1248 1 17488 15 1 6541 526 2 11607 206 2 1218 1772 1 3536 2697 2 16935 3168 1 16090 7013 1 18040 3285 1 7111 5245 3 14376 201 3 8426 5363 7 6595 23 2 13105 2510 1 19776 2802 1 745 471 1 6869 867 22 9250 726 1 10916 6083 1 138 6328 1 19034 6025 1 1752 7972 1 15396 7484 1 14522 1761 4 339 1687 1 6252 1253 1 1839 834 1 18193 1756 1 17365 218 3 812 6933 2 15756 367 1 19364 4983 1 711 232 1 9178 4343 1 7934 1276 1 11504 1720 1 11017 1252 8 3183 4366 5 4248 4670 1 17946 7850 1 19438 207 1 126 5711 2 791 8203 1 10607 6164 8 14896 6194 1 6070 2561 1 5827 1226 1 17617 7466 5 9660 2376 1 9432 6084 6 14025 1428 2 5379 5294 1 9061 6892 3 15159 7705 1 12041 1757 2 5303 3705 1 2681 4373 1 13383 5700 1 9212 3540 1 20182 2004 2 4622 3476 2 10000 1136 1 11868 314 1 1865 3516 1 11297 883 5 15945 4454 1 6848 1726 1 5932 2831 2 8313 8043 2 8278 514 2 10219 7539 1 2015 1784 5 6111 3591 1 15180 1215 2 17425 1359 1 19754 4369 2 7723 512 4 3853 2877 1 13699 4022 1 1131 2305 7 3206 1573 1 6041 5472 5 19822 303 7 15993 355 4 11968 5398 1 12951 4942 4 8309 5325 3 2463 4041 1 17746 810 1 2079 46 1 18374 6231 1 3548 8022 21 6776 1482 6 7452 200 1 15346 63 1 10006 1091 1 10578 5285 7 14470 3634 20 9894 5538 1 10205 5791 3 17682 1282 1 14326 5018 1 5754 7343 2 4397 687 2 4784 1726 4 11195 206 2 6123 3684 5 11096 35 1 10570 2534 45 2104 562 1 19034 8102 2 16606 1245 3 1337 4120 7 8982 220 4 11072 1761 2 13058 2515 1 20273 2066 1 13225 1755 2 4027 1732 1 4705 855 1 10721 2869 1 8129 2936 1 11334 2661 4 4886 1781 3 17010 8060 2 15294 3693 1 6563 1542 2 12894 532 1 3544 6791 1 12790 395 1 9614 1829 6 16886 2508 1 5354 6957 1 18744 3511 2 3233 6219 5 11578 4795 1 20085 1236 2 5185 3827 7 14428 3878 1 8228 1450 2 3504 1234 2 5264 225 12 8839 8154 5 2098 6183 1 20058 4030 1 6332 4363 1 8198 2514 1 11572 541 1 9195 3742 7 4709 1784 5 13519 860 4 616 2699 1 9347 5474 1 3857 1332 1 14367 274 4 8978 5251 1 153 6897 1 14184 8168 1 5510 200 3 9645 898 1 13531 1819 9 10661 5264 3 7221 1245 1 13 638 1 12826 1912 1 13863 229 10 2051 6754 1 1539 7229 1 14221 3511 1 6769 7995 1 11846 244 1 14848 533 1 16768 1825 1 9432 2889 13 14380 4033 1 12322 411 1 17443 1742 4 11196 212 1 1900 2365 20 1494 844 10 3023 1642 1 850 7769 14 7946 10 1 15204 1722 1 6740 2695 2 20001 303 1 15628 1201 5 18667 5486 1 13615 1203 5 1719 5202 1 5266 606 2 11418 3536 1 18160 7614 1 8532 7450 1 2124 1244 1 6859 3578 1 1913 4100 5 13947 3909 1 18748 496 1 3031 2488 2 15094 2067 6 2124 206 2 9720 6100 1 6164 2104 1 18293 2743 2 1691 1738 2 11695 1850 1 5301 1738 7 9231 6028 1 5782 4961 1 15044 3512 5 14829 6608 1 4165 5266 2 6535 2595 1 14748 1277 2 1240 5932 1 11894 2540 2 6750 127 2 8860 3356 1 16857 7592 2 10918 229 1 18956 3749 1 92 4164 1 5168 2731 10 1733 201 19 19317 1770 1 1745 1751 4 19774 478 1 13 723 2 5477 6756 1 15535 220 1 12176 952 7 5306 6116 1 7935 4998 5 15216 891 1 354 2549 1 12135 7704 1 15011 685 1 13197 1338 1 11058 1718 5 19003 7753 1 11751 172 2 9857 127 3 15726 1464 13 4796 1756 1 11149 1695 1 5281 5618 1 1929 525 1 308 7404 1 9171 716 15 16140 7009 1 16031 1951 5 950 3920 1 14721 2338 1 2674 2646 3 4327 200 1 8709 4260 6 12046 3523 1 17536 197 1 1518 1819 3 17572 6560 2 18705 214 2 7451 235 1 15818 470 1 13981 575 1 679 3399 2 7415 5054 13 13779 591 1 14679 253 2 16853 519 1 3759 205 1 10049 496 1 11994 3931 1 19206 2698 4 15315 4473 1 5999 2259 5 16157 1661 1 13843 461 1 10625 1769 2 2205 7520 1 12296 2697 1 8717 518 3 873 708 1 6654 2269 3 4210 5099 1 13544 1278 4 15542 6484 2 12213 2459 1 19967 7976 1 16389 4373 5 13735 2363 1 13543 657 2 6268 4303 1 13829 1250 1 2917 5018 5 18149 1761 10 8417 196 1 14682 512 6 5695 1730 1 9453 2737 1 16461 6105 3 16378 2691 1 8797 252 13 10534 864 1 7936 2646 1 10267 2254 1 15472 1234 2 19737 6414 4 83 3709 1 18431 1313 1 19348 3309 3 8129 575 1 2710 8194 1 7020 4033 3 18176 5649 5 4609 7167 1 9446 5254 3 5221 4967 3 19822 7773 1 9282 3909 2 6758 4204 2 343 23 2 855 385 1 452 1249 1 7883 498 3 6587 863 1 5203 221 1 9935 367 1 7317 841 1 526 1359 2 3048 3542 2 14132 1751 1 7527 3213 3 5613 8072 1 2985 853 2 8735 6527 1 1705 640 2 8969 200 12 11252 2569 3 10958 6192 4 10590 8121 1 10 277 1 19664 1363 1 760 3549 1 16546 6585 3 12192 6979 1 988 3163 9 3826 662 2 18487 1296 3 4680 5521 1 5032 524 5 14124 3391 1 14212 6252 3 16974 509 1 6414 5996 1 6987 1897 1 745 1277 1 12457 1244 2 18040 1610 13 6540 6031 1 15202 2804 2 2244 2640 3 11072 1720 1 20093 5257 2 13705 4963 4 11399 2710 1 4089 3988 1 16126 1203 1 10933 1236 1 5304 3699 1 10404 1184 1 9224 741 1 16308 7942 1 2110 7815 1 7823 201 26 18936 8013 1 18207 3916 10 13804 212 1 16773 276 1 10728 2488 12 6480 4613 1 19608 609 1 14532 467 8 1530 5418 1 6666 3152 1 43 274 1 164 7428 3 302 5098 1 15722 1146 1 4077 1242 82 6721 222 6 12188 2144 1 17946 4077 1 8853 8051 1 15098 201 1 3414 1819 3 7348 5960 2 16023 262 1 10712 460 1 10436 3617 1 7065 2804 1 6310 200 1 13829 2361 1 9079 3430 3 18026 1251 4 15432 2488 1 17548 506 1 20037 3113 1 14842 2338 1 2726 3684 1 11277 849 1 18512 2801 4 3249 1743 3 17455 1980 1 9999 1374 3 14313 5750 1 10279 3146 1 12049 5517 8 4190 3842 7 888 2708 1 14804 6023 1 16378 7229 3 881 7292 1 695 4622 1 6555 8227 1 4632 6754 1 2412 196 1 405 1781 3 1985 1038 1 8506 1686 1 12775 1764 1 10464 225 1 9666 7901 1 17736 420 1 15718 325 2 9509 1779 1 11591 599 1 6253 203 8 1326 1991 1 4663 2087 1 11244 3448 1 15719 6226 4 10791 2341 3 11760 828 1 13991 7921 1 6704 1464 1 14161 3511 3 13083 1737 1 7682 736 2 11835 7902 7 2905 447 1 16965 4739 7 16925 2491 1 9182 526 4 5873 3023 1 387 2014 2 14357 7853 2 11787 7222 2 15046 329 1 146 6694 5 11736 575 1 14753 2106 11 13699 6031 2 4493 2731 2 712 207 5 14951 5256 1 31 220 7 18181 2208 1 6332 738 1 11402 7314 5 14900 1714 1 6781 1781 3 20029 1207 1 7501 7237 2 8918 23 1 9691 6031 14 13178 7825 1 10573 2760 31 13290 2885 10 12663 1748 1 17290 903 1 6618 1748 6 420 6414 5 13106 4609 5 16857 7255 1 15559 6622 1 18021 1748 1 15755 222 1 32 1801 1 18976 3869 3 542 5398 1 9700 947 1 15272 1995 1 17682 1752 1 1760 6185 2 14157 2645 1 933 2555 5 19409 1717 1 13537 5251 2 14573 177 1 9141 1703 1 1182 3491 1 14652 1819 2 745 690 4 10790 652 1 10840 201 2 12029 5147 9 16740 2398 3 11595 491 1 1241 1710 1 8269 571 1 4389 229 1 416 1795 15 756 7915 6 23 1445 2 19080 5018 1 12777 3361 1 16998 203 14 674 214 1 15594 2931 1 7321 7401 3 19471 6035 4 5204 1128 1 14090 1730 1 15573 2512 9 16459 8040 1 14768 5306 1 10580 2439 1 3309 235 3 15952 7538 1 12322 23 2 8665 5499 1 2534 7848 2 16116 219 2 550 4367 2 12512 6511 1 6678 219 6 18096 7466 1 12216 214 1 12883 4274 1 12078 5961 15 19973 1739 4 4910 214 2 14522 770 1 27 1619 1 3348 5955 1 17946 22 4 8821 1583 2 12970 2127 1 2841 2879 1 812 2493 1 16894 235 1 12760 6140 3 2492 2633 4 19268 1251 7 2296 2356 1 8832 2497 1 15159 2636 1 7312 1363 1 17505 4972 10 10320 1748 4 11014 3909 19 17927 3352 2 6245 4992 12 7179 573 1 11493 6663 3 13328 5502 6 13088 4615 3 10806 648 1 13148 4343 1 11796 783 1 2029 1783 3 16857 6706 3 19820 6256 4 10283 1774 1 5144 2169 1 19090 390 1 10670 2559 1 17478 1121 1 4851 1649 1 7630 7788 3 19873 3233 1 9741 3422 8 13399 219 1 12263 963 1 9776 848 16 18806 4367 1 5028 1395 1 13579 2056 14 9694 1286 2 16530 1245 1 18428 3332 2 7214 5212 1 12590 3788 29 6385 3787 1 3629 4105 1 11607 23 1 73 3415 1 2160 3081 1 1273 3235 1 3562 184 1 5510 1721 1 9568 2367 1 15970 232 1 15041 541 1 14550 5670 1 12231 314 1 542 2918 1 15937 1245 3 10128 1761 3 124 5570 1 12546 1068 5 11637 766 1 5742 1464 1 2166 23 1 3375 225 14 140 6436 16 14780 2671 1 19229 2528 1 9178 207 1 4166 7629 1 17576 196 1 10016 229 3 18947 2863 1 5778 1645 1 3233 8041 1 10913 3571 3 13906 5060 2 17701 5430 1 9402 6545 1 1801 3552 1 6607 1885 2 17405 3283 1 11755 776 1 2310 1775 1 3271 934 2 19820 1245 1 8190 1252 3 6829 205 1 10071 3856 2 2590 244 6 11980 2252 1 8376 743 2 126 5626 2 8369 1898 1 10021 1825 2 4071 525 1 31 221 3 16625 215 1 9566 4303 1 7397 173 3 5836 491 2 10115 348 1 14015 2770 1 14201 785 2 7532 930 1 1962 3393 7 1681 7719 1 11388 214 5 13131 8057 1 18660 3697 3 19296 201 5 1289 1054 1 10393 6633 1 4784 4397 1 19470 7412 1 17136 411 5 15009 249 5 7374 2106 2 9604 1727 1 16431 3432 1 14162 919 1 1253 502 9 15192 252 2 5972 6824 2 6273 3278 1 1336 2773 1 559 6330 2 17932 6227 4 52 2544 17 15982 545 11 9883 1076 3 5294 7731 7 7219 5000 1 14824 3666 2 3947 4245 1 3920 1991 1 1865 7214 1 8969 5951 1 17408 1729 2 18375 3907 1 8806 7599 1 4016 2056 6 4227 3065 1 16927 7570 3 17980 606 1 9199 596 1 4337 910 2 1199 3364 1 16394 7708 24 14146 1100 5 15286 7187 7 5890 4600 3 9591 567 1 394 4333 1 14412 2678 1 751 1666 2 16864 233 1 13748 4020 1 12049 3694 3 14211 5531 4 9937 1781 1 2833 2138 1 19145 223 1 17124 3896 5 11726 2903 1 5695 6557 1 13685 6173 4 15520 2029 135 3289 380 1 7994 718 2 7823 1664 1 13634 6885 1 13307 207 6 11212 220 1 13105 1145 1 11107 1443 1 2503 2664 4 19993 2600 1 17662 1399 1 19867 1328 2 17965 841 1 5659 1246 1 15307 567 1 11947 3412 4 11956 2261 3 13058 4600 1 86 3943 1 20268 1686 1 13543 3351 1 2477 1991 1 15530 1756 6 14811 7294 1 5177 214 1 5697 4766 2 717 167 6 5174 7852 10 5092 1571 1 10670 7483 1 9305 5013 2 16178 1662 1 13387 2676 1 9803 244 3 10806 838 1 12358 8096 1 3287 737 1 5364 2353 1 11295 457 1 8573 194 4 18939 3201 1 19651 3649 1 13322 7305 1 712 3892 1 5298 903 2 83 3847 1 1609 5560 1 15356 1357 2 8138 1384 3 14599 599 2 9224 612 2 5674 3511 1 12296 7101 1 1435 215 10 17215 883 7 5454 1235 1 7020 504 4 8406 221 1 12815 4427 12 12907 2883 4 16726 688 3 11999 4728 5 13910 1235 2 17675 7240 1 1189 1898 1 5769 8026 1 12180 23 3 17114 415 1 44 2308 5 2103 1374 6 12128 365 1 952 4320 7 7991 957 3 6074 2407 20 15230 1721 17 2716 1357 1 5 151 1 17954 793 1 8747 6501 1 10192 518 9 20120 3664 1 19267 575 4 7832 6140 1 10839 206 1 10553 675 3 15522 4561 1 6116 214 3 18602 95 1 7535 6607 1 11504 3113 6 20036 6242 2 9811 1729 1 3701 1751 2 18712 1760 1 18096 1718 1 2023 4609 1 7747 23 3 8334 3142 1 14617 6228 6 7467 232 1 8712 23 1 2845 1764 1 3619 526 7 4615 1728 1 13797 3197 1 7816 3697 1 17498 3715 2 9388 3438 1 5500 7949 2 7032 5532 3 9743 7881 3 7706 1507 1 8769 4667 1 6344 3516 2 1880 1967 1 14566 220 3 133 403 2 10258 2678 6 10635 1719 1 18040 164 1 9329 5732 2 4889 982 1 14658 4029 1 9194 2645 11 19814 1752 14 7441 206 16 8198 6847 1 12685 878 2 174 8007 1 12890 201 2 19322 3159 3 14124 2675 17 11458 2430 1 899 232 1 4224 2883 1 1505 3363 20 6104 2586 9 9941 4838 1 12270 1825 25 18875 7167 1 16109 6537 1 2292 214 2 13321 1037 1 13922 1249 1 15560 2419 1 9267 4059 2 18941 2488 1 443 4785 1 1912 1955 1 3478 1469 1 19902 4884 2 17224 4379 3 9948 4877 3 633 6122 1 658 1770 5 15849 5993 4 13956 6311 1 18807 234 2 2021 6330 1 552 229 1 4162 200 10 4860 7542 1 13490 1302 1 15722 2686 1 3397 7474 1 13328 1887 1 14095 2100 5 16730 377 1 8239 3021 2 6510 4741 1 18623 1738 1 3395 1727 1 9857 5875 1 2646 1728 1 7302 5018 12 12738 1314 1 7994 5664 1 18893 6785 1 18510 1739 3 10902 8172 13 12731 6309 1 18164 3741 1 17169 5009 1 9880 229 5 13208 214 2 1435 1881 1 1519 2686 1 16768 817 1 10105 962 2 10977 667 4 8489 2410 9 98 3684 1 7800 1378 1 3378 303 6 5205 721 10 2858 3109 2 9097 1278 1 5320 2488 1 94 4237 1 1351 3477 2 13568 186 1 4804 207 1 13628 5427 18 43 2257 1 16016 528 3 15518 8030 1 14708 5719 1 14114 2923 2 10395 2727 1 6681 385 1 12918 505 2 15192 889 1 7934 2877 1 7450 1250 2 9031 3088 3 2674 7831 1 12077 2858 1 11164 1713 4 8278 2777 2 8349 7964 4 8361 4998 5 3980 5393 1 18488 1724 3 13825 206 1 11844 7815 4 13924 2647 1 19425 1770 7 19115 2256 3 5631 1732 1 6323 1314 2 10450 132 1 13731 451 1 12322 1757 3 20076 4325 2 6496 767 1 12594 596 2 9321 1506 1 17755 7455 1 13594 7930 11 822 452 3 4291 1361 1 15148 1710 3 11831 3230 2 14939 910 1 10360 5130 2 6516 910 10 9319 2726 1 3258 220 1 676 1243 1 81 3667 1 10587 7576 1 19706 867 5 19927 8196 1 16961 6205 1 18926 1237 1 689 6285 2 5705 8135 1 10909 2958 1 10471 3589 1 5563 3530 2 15750 691 1 48 2398 4 13993 7946 3 10544 2863 5 19855 221 1 1179 6065 5 8239 2737 1 11938 4041 5 140 6456 1 5407 215 1 17610 461 2 7872 4803 10 4892 1751 7 314 1150 2 20100 8141 1 15192 650 1 10145 3009 7 18933 200 2 10187 514 13 16491 2661 1 7498 7995 2 11715 864 1 14727 6892 1 14908 6949 1 14184 1721 1 356 6027 1 2701 1658 1 16384 219 2 9688 4879 1 9014 3840 1 90 4058 1 10330 2661 4 14094 6254 1 18814 225 1 11616 696 1 7571 6231 1 15726 1710 16 16538 3375 4 4566 5004 1 7252 3206 2 14957 632 1 13928 764 1 521 7953 1 4648 6152 6 19578 1705 8 7188 4303 1 7227 7953 1 17450 3399 1 9145 4953 1 13607 6268 4 5769 1153 1 7560 4670 15 19848 2107 2 2483 2543 2 7498 6027 1 9693 910 1 7626 2087 4 6724 7880 1 11750 7142 1 7988 6609 2 10693 3171 4 12510 1342 1 6233 688 5 9807 222 6 17258 4403 2 17038 201 3 855 394 1 10111 1242 2 10311 762 1 13183 3384 1 42 2175 1 13277 4242 1 13 668 1 7756 5450 1 9631 6039 1 592 444 5 3037 1357 1 3484 2418 5 12000 1909 1 6748 4473 2 18524 7629 1 1408 4647 1 18888 1758 1 1540 203 1 11430 1234 1 9732 3540 1 7489 3221 2 13866 206 1 12727 1783 3 6813 5642 1 5211 1367 1 9077 235 1 7347 813 1 14652 219 1 9692 1244 1 18501 1356 3 15873 184 5 3048 344 2 8590 495 1 8808 1717 1 11344 1531 15 15012 6912 1 15027 201 1 15405 2107 1 62 2783 2 4057 3159 2 5596 1779 1 19147 7986 1 3646 203 2 18014 1656 1 16063 660 1 14247 5341 1 3613 910 9 19379 885 1 17631 203 1 18431 6714 1 10851 169 2 19380 432 1 13589 1946 1 15329 5888 2 14772 7182 1 5446 3138 1 3469 514 3 8405 1282 1 8417 201 1 18089 1395 2 13770 1635 1 4898 3512 2 12180 1692 24 1638 3101 2 12306 7210 2 10565 5786 1 2880 7749 3 1530 545 1 5943 5950 1 7995 6278 5 14527 609 1 16057 1252 1 4847 1241 1 18264 7129 1 13972 1643 1 6883 6006 4 5995 1237 1 18205 1718 1 12809 2496 1 15183 6180 1 3009 1150 13 9093 4314 2 10485 203 1 11654 1348 3 14233 5018 2 10445 3558 1 4499 5541 1 16747 2555 1 10245 761 5 19021 1409 2 11895 2974 2 11196 1380 1 7131 1736 2 15184 1772 9 20062 23 1 18495 1775 1 5588 1464 2 7653 4165 1 4397 8016 1 19649 534 2 6105 6086 1 19 1261 12 1823 4314 1 15573 5703 15 4237 671 2 7527 1686 1 2293 6546 3 93 4191 1 730 3263 5 3112 4303 1 17886 4967 21 3069 7086 3 8389 1649 1 9412 4491 5 14284 858 1 6437 1662 1 3277 8069 1 1894 4936 5 12639 201 1 6052 1748 1 2390 1043 11 17631 609 1 2480 1250 1 9683 5610 1 6109 23 1 14183 1184 1 15534 519 1 19990 1775 1 12740 6457 7 17445 5346 5 16187 6675 5 9672 7244 3 15307 2930 2 14533 2747 1 2367 232 2 8952 1338 2 4320 827 1 14074 2675 54 1825 4476 1 4898 1745 1 6341 1352 1 10090 4607 1 4843 243 1 20180 1567 1 9741 6219 2 436 1519 1 18876 725 1 20090 4403 1 5032 669 1 7000 5788 2 1586 3639 1 9559 4636 2 12982 1466 1 14060 1903 7 8100 2355 1 11026 4661 1 825 6331 1 12192 2897 1 5652 232 1 12496 5255 2 4332 6150 1 11354 1988 1 10000 2958 5 8361 411 1 17707 1815 1 17697 7222 9 15778 3395 2 4743 2552 4 2242 7640 1 16767 4998 1 12640 4223 2 4525 1252 2 18538 1768 1 16943 1909 1 4328 200 3 5168 1150 1 10459 5571 1 16336 3637 47 17003 3715 7 13183 689 3 5036 1244 3 9952 2651 2 3670 215 1 15595 2068 1 18491 1247 1 11485 1698 3 9269 846 1 6442 2852 2 9168 541 1 18568 679 2 16942 7601 2 2760 3615 2 14522 892 1 17291 1825 39 1241 1374 1 14612 461 2 9043 799 1 862 1101 1 8388 7433 2 1317 7380 1 17083 637 1 15092 1245 1 19283 5144 1 7633 1729 23 12897 3603 1 12817 392 2 19331 1244 3 12663 1363 1 9168 1738 1 16090 2603 2 2230 1380 2 6705 3422 1 17261 5128 3 6681 1312 1 12981 2366 1 3308 4026 1 9628 869 1 20145 508 4 1443 501 2 16222 3476 1 9392 514 1 8962 188 1 3485 2877 1 12520 5768 1 14629 5327 1 14594 1363 3 7455 5005 1 8113 877 1 7811 215 1 8004 1235 10 1665 4713 1 16654 2247 1 15202 916 1 14416 1686 1 1451 165 4 12817 3715 1 9446 5961 1 1922 1756 6 7829 7419 4 6992 6037 1 10670 2206 3 18164 1531 1 12988 3430 5 16783 1593 2 3355 23 1 14662 7695 1 6428 7606 1 8481 1363 1 13994 3556 1 1090 3978 1 9875 1764 6 14950 1282 1 32 1803 2 17128 4279 1 5836 504 1 343 4555 1 17991 6538 1 15722 173 1 6727 2111 1 11899 6635 1 6733 6892 1 12685 4225 2 10145 3853 2 18211 4621 1 15502 1200 1 15549 3602 48 11274 429 10 13919 7429 1 4207 15 3 2641 647 1 18656 4314 2 13708 898 1 10838 219 1 13672 5255 2 7455 6212 1 4386 3663 5 11253 1253 2 12623 4563 1 1067 867 3 8510 1513 2 4376 410 1 11213 1237 12 150 6762 1 7186 1618 2 17723 184 1 9671 1770 1 19498 3980 1 16697 2260 1 15792 196 9 77 3514 1 8924 221 2 19401 3743 1 18859 1937 2 456 5018 3 4038 2563 2 17292 4996 5 954 910 1 7023 206 4 6202 8043 1 643 3421 2 2797 2261 3 8338 3442 1 11277 519 3 16581 6801 1 10463 3607 13 18939 7802 3 3324 910 1 4158 2549 2 6764 1247 1 15743 2352 1 6275 302 1 13339 855 1 6404 1775 1 11154 220 1 4812 1737 1 5862 6008 1 4020 1402 3 18931 1600 4 9319 4302 3 9607 6308 1 7162 1247 6 3329 6957 5 2410 1719 1 62 2979 1 834 215 4 17485 364 1 4744 411 1 12467 5018 5 16016 1328 1 16021 1932 1 4223 637 1 2213 7558 2 13411 532 1 15871 899 1 11293 3892 10 14052 6185 1 14769 1249 1 2917 475 1 15456 184 2 11742 244 4 8451 201 7 6593 532 2 4859 883 16 1904 1755 1 4519 7008 2 659 1760 1 20225 874 2 764 1342 2 7652 187 7 9969 2686 1 9402 308 3 5662 534 6 18802 665 1 4902 1245 2 15189 1119 5 143 6606 3 4294 2409 1 14048 1775 1 334 1380 1 1518 2536 5 9597 2363 7 17123 3675 2 4796 1019 1 9417 6204 2 11054 2489 1 13601 6537 1 3109 1642 1 10400 200 1 11075 1062 3 18053 508 1 15128 1374 2 13880 4467 7 12757 7355 1 9533 236 1 11140 4761 2 7358 334 1 16613 2894 1 12712 2353 1 6670 411 1 11152 130 1 13027 870 1 10352 1308 4 13581 128 7 3040 4245 9 7751 2721 1 19579 3278 4 7832 7751 1 2570 6015 1 5709 7606 2 8286 232 4 7753 215 2 6906 6174 1 11694 3132 1 9412 3074 6 6997 6585 1 18462 554 5 17477 303 2 14196 2561 1 13537 620 1 12838 1909 1 8311 1235 1 15084 8094 3 5066 1450 1 18925 554 1 18637 1814 1 2298 6341 5 19002 220 2 8895 3378 1 1218 1247 3 1 56 1 16426 1728 1 3465 2827 2 11550 2197 2 15411 4403 5 2345 1571 1 1586 1484 2 18315 2759 1 18890 7853 2 14753 7999 1 5408 3216 2 8208 3132 1 17168 200 1 16476 7386 4 14587 2595 2 10692 911 2 1733 506 1 14645 2341 1 8852 2739 4 3304 6777 1 12367 1296 6 16099 1751 1 14090 2352 1 14278 3328 2 4143 7229 1 2886 5271 1 15774 534 6 3454 2363 3 16797 8160 1 18992 6793 1 8198 5792 1 13891 229 3 17992 3233 5 1689 2869 2 15935 46 1 11938 3464 7 10973 1380 1 14532 3586 4 14339 4144 1 106 4750 1 4634 2383 1 8914 6597 4 17169 7259 8 15815 4490 1 8001 6700 11 19137 534 4 8929 6129 1 15949 3851 1 1825 2884 1 10679 3676 5 12476 3545 5 4847 5105 4 2046 1615 1 4688 810 2 5254 1184 1 18096 214 1 3355 2533 1 3082 200 20 702 1720 1 19450 3790 1 20090 433 2 13800 5305 1 5192 4312 7 11015 521 5 8117 536 1 8547 1054 2 9509 524 83 7060 7186 1 9519 1388 3 14047 1635 2 13013 2626 2 19949 8072 3 14087 3326 1 7317 662 1 7480 5326 1 136 6263 1 20274 5052 2 6211 461 1 15712 1784 4 18740 2488 2 4471 2066 11 3234 1818 10 16431 4477 1 17759 2168 2 4796 3593 6 9110 200 2 15012 505 1 12817 2015 1 8832 2118 1 1618 1720 7 11180 2385 2 16387 7530 1 15282 2675 4 7790 7843 1 11461 23 3 17384 316 2 3605 2606 1 13215 1150 1 20240 6343 6 10374 1082 1 19814 3197 3 18033 2691 3 9479 1131 1 4128 2964 2 8633 7538 1 8384 88 1 12128 6180 1 35 1919 1 18886 234 1 14123 440 1 7261 496 2 7780 200 12 11018 2372 1 7717 470 5 4055 1201 1 12168 3590 2 6116 7597 18 7962 3275 2 17084 275 1 10597 1770 1 6670 2013 5 13589 6705 8 15157 1312 3 62 2959 1 11606 489 1 14916 219 1 9170 23 1 17877 5933 5 3806 3625 1 8458 1729 1 9312 848 1 1461 1819 1 10070 3811 5 633 7130 7 10061 6858 1 12757 5518 1 164 7478 1 17533 2534 6 17019 23 3 1927 1726 3 15563 1401 1 963 303 2 20182 377 1 16779 1245 1 15932 890 1 128 5516 1 4420 4435 5 11640 1235 3 6568 3476 1 15227 1296 4 19381 2620 1 12521 148 1 17027 1825 2 6292 413 5 4592 5783 1 967 1736 1 4974 718 1 4072 4811 2 15028 3239 5 7653 2373 1 9945 4019 1 8735 1073 6 1064 1829 1 15061 4083 1 3739 6142 8 13290 2980 5 17293 5327 5 6428 1184 1 18096 3333 1 9007 3199 2 14696 5018 1 6142 2683 19 7246 502 1 4299 637 1 6073 6225 12 3889 219 13 9686 3602 1 6721 1731 1 14616 1825 16 8452 4333 1 15159 5420 36 1241 514 1 15952 205 1 11020 773 2 5199 5306 2 18575 1548 3 5539 408 1 19518 1743 4 5407 6006 1 6535 1737 2 1252 207 1 16338 7772 1 5575 1686 4 138 846 1 11766 1253 2 17395 3907 1 19219 4623 2 12742 2058 1 17816 3066 9 17719 385 2 6504 1466 11 1612 514 1 5574 81 3 16916 225 2 4864 3425 4 17197 6912 1 7000 2498 1 14858 4972 1 124 5480 1 18806 429 1 888 2710 1 1014 1235 1 5288 3045 2 661 7603 1 18016 4992 1 8038 1981 1 198 7890 1 1908 2263 1 19401 7201 1 4716 1757 1 18144 1715 1 5421 881 1 10966 1538 1 17151 6579 1 18933 6091 2 16600 794 1 10820 3464 6 7872 1404 7 11353 6983 1 658 481 7 5266 7986 2 7841 497 3 11445 297 3 1043 6699 1 13586 498 16 4663 819 1 1323 1758 5 8620 230 1 10314 2998 5 3247 1363 6 495 883 2 15467 1727 2 8084 23 2 3064 2584 1 9465 7815 1 1009 767 3 16090 2053 1 338 4967 2 17467 1727 2 17014 1779 2 8983 6197 2 15156 2254 3 6681 7060 1 17302 3382 1 413 8141 1 6723 1399 1 8651 2691 1 12778 23 2 13299 1247 1 780 2991 1 19912 4655 1 165 1146 5 16564 940 3 19819 724 1 14064 6908 2 17777 220 1 3489 1239 2 6306 200 11 14117 1292 1 8841 7726 1 3594 3167 4 2389 3590 1 17664 1718 1 6236 4620 1 9520 5294 1 5801 905 1 17466 1788 1 14376 5472 1 13526 2384 1 10035 1508 1 10228 3096 3 14046 7166 1 19069 1730 1 1002 1721 1 1258 10 1 174 7914 3 10327 4575 4 19525 1781 1 16378 1757 1 6229 1727 1 11331 4616 1 2449 3578 3 1779 4156 5 18133 2229 4 10034 3570 1 9072 1252 4 19965 1775 1 8717 1818 1 19507 4711 1 6564 23 1 18209 8041 2 3622 2552 1 9724 1748 2 6000 6949 1 9104 2548 6 4187 1464 1 8585 3021 4 15024 46 5 5877 1762 8 17137 207 4 17331 1729 2 5310 917 1 17659 215 1 11634 1914 1 9957 7244 1 7532 186 1 455 6671 2 19607 367 2 13106 2176 25 11451 6132 1 8995 768 1 17488 5783 1 1576 1778 1 14805 5538 1 20059 3619 1 19225 225 7 9952 7308 7 2902 1748 1 3716 2789 1 9465 7788 1 10036 1466 5 5573 642 1 5967 6609 1 4195 1464 1 6070 6632 1 2918 4234 1 26 1538 3 8666 3522 3 218 1282 1 5614 1721 1 8853 126 1 9511 451 1 5996 2663 5 3759 6095 1 17589 884 1 4691 1505 1 1665 6682 1 4682 2651 1 12054 5156 2 15683 589 1 15970 4595 1 16086 5130 24 11314 1664 1 12279 4096 2 19920 219 1 19234 5031 6 647 1940 18 4619 2064 12 8013 1279 2 18485 5600 3 17019 1732 1 18133 219 2 10941 5730 1 15307 5874 1 14269 201 1 8451 505 5 15817 2620 3 15685 2727 3 8643 954 1 16503 3408 2 18933 4312 1 15120 1908 1 17400 4392 1 1188 2305 1 1592 7806 1 4425 126 1 15184 3464 7 13969 1710 5 482 336 1 13188 3134 2 892 1341 1 10080 867 4 10145 164 1 3526 1703 1 10676 1194 2 14013 7368 1 6768 2675 2 14748 1531 1 6089 1245 1 8489 1023 1 18451 1740 4 5023 3275 6 11353 8187 1 8284 1829 2 15987 1678 13 18078 1717 1 10747 207 5 6689 4476 1 4837 1606 4 4249 3511 19 12359 3511 6 14560 2888 1 7543 6014 1 3980 2671 2 7769 3511 4 16486 223 11 3441 2240 1 8284 2557 8 1060 3318 12 15106 207 2 16675 6436 36 873 1266 1 8286 2488 4 16895 910 2 9250 872 1 10886 7850 3 18528 3262 6 1768 5018 25 6756 3905 1 19293 1357 2 3258 2626 6 11436 3203 22 1824 1288 1 19707 3556 1 4767 3742 3 4462 8074 6 10061 1201 1 4973 1686 2 18149 1244 1 16491 1589 1 11165 215 4 18263 387 1 15981 411 1 18809 234 21 9943 2029 3 14531 5302 9 19434 34 1 15331 3759 1 3706 5434 5 888 1374 1 7916 2325 1 7972 6719 3 9587 864 1 16016 1824 1 9293 817 1 7368 566 1 16737 7102 1 4921 496 3 6103 3512 5 15015 4462 1 7799 679 17 12525 6237 1 9946 7414 4 725 811 7 16797 314 1 2748 3698 1 12975 8235 1 3529 2355 2 19822 497 1 14896 1740 1 12752 223 1 640 3070 3 18320 3407 8 9755 3563 2 64 1700 3 7176 3117 1 1985 2785 1 13503 2140 13 19536 225 3 6989 6031 1 4276 524 1 9650 5285 10 18 508 1 12902 1244 1 67 3229 1 1706 6498 1 14728 3911 1 5896 1747 2 17786 5566 2 17061 6481 2 14720 235 1 9579 1237 1 13236 367 1 14805 4476 1 16606 545 3 10410 1132 1 1065 7719 4 16236 1745 1 18739 1757 1 567 903 2 4051 2362 2 3397 1736 2 745 2626 1 14988 2016 4 1223 3911 1 4701 702 1 107 4793 1 18220 1314 3 10829 1819 1 788 1110 1 6163 1990 23 4524 1975 3 5515 3660 2 22 1411 1 19727 3798 1 11195 1235 8 1801 4499 1 18932 597 1 17738 312 1 19708 1250 38 2260 2131 1 171 7710 2 2559 7474 1 873 2889 2 5645 244 1 16222 4015 1 12537 1518 1 7868 4403 1 16951 2495 2 15401 2678 2 11104 1290 1 14544 1756 1 525 1721 1 10381 1755 1 3662 1363 2 6919 726 1 1024 1606 5 14791 1770 16 8769 1103 1 8022 6051 3 7148 1702 6 11668 1007 2 19233 7975 1 1999 7853 4 10353 1 2 12064 2055 1 12800 1470 2 10090 3382 1 10692 837 1 6344 17 1 9924 3135 1 18675 4967 1 10114 7427 1 47 1151 1 19857 148 1 18545 203 2 10118 1728 1 18133 2860 5 13891 3631 3 18560 3227 20 6650 2949 1 9314 6706 1 2796 318 1 17776 6700 1 19793 3057 1 19233 1474 1 18938 5659 11 17103 745 1 18684 2964 2 18538 2027 1 16408 4310 1 6544 7850 8 12122 883 1 11348 6414 22 13625 507 2 3243 512 4 13867 5977 1 19115 4992 1 4869 57 4 12815 1245 1 11416 5730 7 5540 1751 1 8937 4435 11 14610 2646 4 3821 1239 1 1772 3510 1 16695 1996 2 16674 433 1 1765 1825 9 6523 1339 1 6153 1726 1 3146 1887 1 13088 8139 2 19037 3554 1 10192 2923 13 635 1719 2 162 7379 1 18055 3518 1 15282 6091 1 2840 6442 1 11634 1889 4 6604 4271 1 195 5315 1 15822 3442 1 14549 7674 1 11826 4557 1 5179 532 1 126 5685 1 8562 33 2 8381 203 1 13119 2584 1 12987 194 2 16625 7360 14 118 5239 3 7658 2708 15 10559 1367 2 16887 1032 2 18860 5730 1 1002 46 3 16354 4789 2 14758 415 1 240 8191 5 19504 1499 6 11202 937 1 873 496 2 19687 1697 10 14283 4351 2 91 2869 1 11941 4853 1 12328 2302 1 12826 6414 1 7750 1251 1 11099 4016 1 12057 222 1 17342 5989 4 1469 1819 12 7262 6239 4 5814 2639 3 9695 6422 1 18058 1141 1 2096 4498 1 1492 823 1 12899 2982 1 12322 2363 3 7284 6449 4 15833 4555 3 12105 6658 2 13477 7566 1 4793 1747 2 9120 2646 2 15807 5565 1 1216 1903 3 18135 5016 13 7017 4849 3 2303 3138 1 7769 411 3 11521 2129 1 13148 383 1 1983 3511 14 18846 690 1 16433 4764 1 18330 1237 1 14517 6645 1 1079 6677 5 11993 5400 1 11144 1783 1 4296 215 3 11649 333 5 17827 2652 1 10633 201 3 15971 3197 72 16348 1762 2 9338 1824 1 2188 3462 1 9393 7511 2 12519 708 2 536 201 1 8383 1518 8 1553 6952 3 9052 1655 1 10813 3910 10 10498 3813 1 3871 4807 1 9395 1757 2 216 3113 11 6332 2409 1 3594 3916 3 15791 3283 1 174 7935 1 12826 3810 2 3781 6554 1 18164 5767 2 340 1019 1 4202 215 2 8294 2184 2 18040 175 33 17165 1718 1 3936 1249 2 9967 184 25 4978 8062 1 8849 2423 1 9935 2743 1 19633 2350 1 1976 2297 1 12682 1266 1 15194 5996 2 19967 495 1 2641 2440 1 12822 6692 1 10826 244 3 16670 4320 3 15635 690 1 7287 1248 1 5823 502 2 16413 7997 5 18634 2995 1 18876 95 8 14165 223 5 9572 150 1 13743 2127 1 7445 220 4 16403 2068 3 10701 2683 1 10325 895 1 133 5014 1 3581 1649 21 745 1718 1 17945 1705 2 5370 4163 1 15233 666 1 8434 1395 1 153 6988 1 6661 4185 1 2767 3525 4 8478 260 2 16418 1737 71 18533 1893 2 14993 2423 2 1551 220 1 4454 3491 5 15608 244 3 12995 1675 1 11478 6502 1 16476 2097 1 5741 1505 2 16625 497 1 10151 1648 1 86 3990 1 11678 625 2 5443 8109 1 1269 1373 1 16925 4211 1 12184 1995 14 2985 674 3 3934 4098 1 12585 849 1 11341 1440 1 15517 1732 1 391 3227 5 8313 6701 4 280 1965 1 1276 3492 1 15040 1249 3 16113 220 1 5207 292 2 4130 8012 3 15014 1466 2 9128 196 11 3581 416 1 15992 1139 1 7361 6541 2 19140 3453 1 5247 6127 1 12190 7719 11 14722 4945 4 5775 1374 2 11436 496 3 8514 365 1 4815 5677 1 9174 3872 1 1855 1244 1 1304 3484 1 11366 1184 13 15712 156 3 18231 1762 3 8458 6091 1 3965 7829 2 3480 5972 2 4092 1717 2 7786 926 1 1900 3019 3 9058 201 15 8936 2936 1 18052 2671 1 12238 6150 2 17952 1164 1 857 5820 1 7567 201 2 4283 2488 1 9178 541 1 7956 4458 1 13183 6693 5 18555 1747 1 18797 1247 1 6386 5390 6 16681 314 1 18538 533 1 13063 3206 5 7368 698 1 8002 4296 1 7432 1482 3 3907 1703 1 16636 3638 1 20030 3799 1 5100 6793 2 12244 381 2 19123 1328 1 6526 5077 2 6712 630 1 20060 816 1 18761 3400 1 8301 6748 1 10 267 2 11155 506 1 4613 508 7 19783 6741 1 18115 3589 13 18876 711 2 17572 6623 2 4492 1401 12 8043 184 1 18140 244 2 14084 496 4 17873 203 11 2204 705 1 14059 5282 1 16016 5321 1 10843 1898 1 1350 3248 1 17697 3445 2 3273 292 1 11363 6680 2 5132 534 3 5271 3060 1 13017 5292 1 80 3610 1 12995 206 3 1410 2990 1 4419 4169 1 13960 5452 1 619 6093 13 4736 919 1 10973 407 8 17283 1305 2 12704 3230 1 16965 2506 1 6783 2646 4 6645 5187 1 11562 7076 1 11698 1979 1 13382 4109 1 15211 1251 2 4491 206 1 6876 2691 1 15905 3135 2 7511 3682 1 11742 3511 10 17918 46 11 9543 3865 1 6456 23 1 5424 444 1 11713 6027 1 742 191 25 6070 1910 2 7538 1955 1 11272 1780 2 3581 3227 1 3418 2645 2 15188 3660 1 17475 6675 1 7245 3083 3 19795 520 2 8233 7159 10 62 125 1 5281 7512 1 11131 2948 2 1711 6473 3 14070 5368 1 17837 244 4 1334 1407 3 1852 206 3 605 4326 1 6494 3660 1 1962 2772 3 5216 3349 1 13829 3113 2 13383 1729 1 10559 1814 1 19811 207 1 11728 1466 1 1935 8013 1 158 1728 2 5544 4204 40 8735 3972 1 10302 1308 1 7383 6415 1 4876 975 1 4811 3842 1 9907 1250 1 109 4959 1 18940 1753 2 16185 4304 18 5250 520 1 14493 353 5 12777 3368 1 5827 4203 1 13586 3190 5 1028 3016 3 14147 1762 12 6269 7817 1 633 5575 2 4106 4363 1 1797 3916 1 14145 1747 4 779 3425 2 19635 2653 2 15682 457 3 10115 275 1 9341 7719 17 6158 1334 3 11895 2595 2 5950 409 1 5888 3220 1 8624 8141 15 16530 1732 1 3122 274 1 1809 5026 1 171 7639 1 1208 7641 1 7652 495 1 15251 6368 2 18237 206 1 3612 203 1 16471 1244 2 12121 4006 6 3597 2552 1 10661 3883 1 12821 184 2 15937 1237 10 9894 3787 1 6556 7407 1 13202 1969 1 15809 4761 5 18398 1772 1 3782 816 1 8083 3219 9 10376 458 1 16137 1627 2 6063 1745 1 10078 229 1 16246 7890 1 6867 1028 1 14585 2968 1 15227 1251 1 3520 3909 5 16797 5494 2 4606 1703 1 1864 1450 2 11637 5302 4 19774 365 1 16388 1573 1 9676 1606 25 12789 1193 1 15943 7106 1 2511 3431 4 8818 444 2 8751 2998 1 14945 200 9 4211 6979 1 8975 7881 2 60 2717 4 9800 1334 1 210 3361 1 14500 1887 1 6563 46 1 15785 894 1 5022 2367 6 12191 200 1 5659 4984 9 6589 3056 6 1171 903 1 18675 8145 1 13262 1819 1 10772 5879 1 2666 1778 1 2962 2951 2 10354 1241 1 10531 2419 1 9865 7229 10 19547 2821 1 20090 5282 1 10439 2775 1 9680 3627 1 17033 4811 2 138 6293 2 53 2567 1 9603 2737 1 12322 206 6 13646 1706 1 3491 505 2 12616 3228 14 1405 6558 1 13997 790 1 17954 6607 3 10732 2726 1 3333 5664 2 1296 7410 1 7003 1703 2 9310 3494 20 8417 23 1 6469 4724 1 9607 1375 1 11823 720 1 11131 3778 1 12771 623 1 27 1599 5 4117 4911 1 1280 6692 1 3236 2367 1 11 427 1 11361 533 50 4860 4653 6 2944 1342 6 11141 1423 4 11935 7425 1 13758 1038 1 1774 207 1 4779 2559 2 2223 520 1 4305 6962 2 7382 5294 60 17872 7229 1 11687 173 3 3076 8140 11 11562 981 1 9275 2018 1 12569 4621 5 12291 5332 2 16463 1073 1 4817 3689 2 18755 219 5 8255 2419 1 20090 1322 4 3083 411 92 11862 1453 2 11912 4343 2 15041 1770 1 1106 5071 1 13335 215 1 15859 3427 1 18564 1363 1 15372 1729 1 3271 2097 2 9178 223 4 16114 220 3 8149 8146 1 18581 6396 1 13892 207 1 9155 76 1 16645 2694 1 9322 6673 1 5038 3012 2 14011 7212 1 17628 1250 2 14548 1244 1 9743 7477 2 7667 221 1 15266 6330 21 12067 885 1 14722 7614 1 14047 1645 1 5266 7249 3 9755 6341 1 6387 1332 1 11182 200 5 18214 1537 1 17039 5547 1 4265 1379 2 94 4294 11 32 1807 10 19819 891 1 8641 497 8 12315 5296 1 12305 6415 1 1393 746 1 15502 4400 4 15104 1234 1 6540 1424 1 14278 1251 1 20145 1707 1 515 3685 4 1311 2338 3 18260 1482 1 12020 215 2 264 381 3 1878 2701 16 11066 3074 1 18462 2151 1 4495 496 2 7350 1589 1 18576 4105 1 9910 1251 4 11687 3511 11 17680 1052 1 11320 3893 1 6183 4312 1 4716 1236 3 17987 225 2 6781 2698 4 13764 2295 8 9437 2399 1 15473 628 1 8083 4343 1 570 1703 7 16016 4996 1 4298 5580 2 20110 517 1 17120 1743 2 15717 4293 1 11653 252 1 16779 206 1 3521 4019 1 755 514 1 5775 380 1 6145 5824 6 4072 3974 3 16700 573 2 1866 7492 7 10670 367 1 5523 425 1 9171 976 9 8684 5998 6 2956 1748 4 11156 6278 4 19505 7260 1 19724 1758 2 17526 4312 2 10147 6442 1 4699 5251 2 8532 200 2 18481 2662 1 4960 5603 2 8078 196 1 12422 2009 1 4154 6189 1 7893 2291 5 6293 215 4 17156 4603 1 10960 2291 1 83 3871 2 10241 1404 4 1752 1705 2 14018 206 1 17934 1390 5 6449 5134 24 797 6257 1 4716 232 2 6922 4629 2 19402 4182 1 6088 1703 14 13767 5289 1 17340 7949 1 13700 5819 2 17954 5400 1 3411 2386 1 14018 6707 3 10821 5255 1 8921 3647 1 16192 1296 2 5659 7961 1 8878 5445 1 4546 1251 1 17463 1914 1 12799 136 1 8069 2675 1 12112 1688 36 525 3954 1 569 1311 2 12431 4312 1 1047 3275 1 16048 3956 2 16689 1358 1 16135 3511 1 11968 214 1 98 4411 2 16797 5495 1 3087 5010 9 18960 891 6 12937 88 3 11835 8057 3 15220 536 1 13316 678 1 17321 3367 1 2259 1342 1 153 6990 1 31 1245 5 73 3388 2 9287 3512 1 19957 1037 8 16303 3417 2 3496 4807 1 13581 2646 5 10333 1739 4 4302 2656 17 7886 1686 1 20189 2501 1 8528 7719 2 9888 470 1 18748 2675 1 18667 411 2 10325 597 2 16491 443 1 16347 1738 5 20275 3094 1 19056 1348 1 14664 982 4 11145 199 8 15952 2595 1 19241 693 1 11769 73 2 14284 3070 1 17738 7012 3 1701 1718 1 4448 4267 1 1780 4623 2 18933 524 1 17006 6363 6 20090 460 1 17803 7933 2 9985 7657 1 16294 3320 1 17127 2673 1 14309 3273 1 17514 215 4 1301 274 1 8361 214 5 6183 470 5 15429 6106 1 3491 35 12 6070 2683 1 6065 1184 1 5204 745 1 14132 532 1 12585 370 1 15576 4551 2 18014 1745 4 19735 424 2 17560 3382 1 9319 60 3 1799 1721 1 6097 2204 1 9572 417 1 13412 3161 28 822 6954 3 9916 2114 8 15306 4403 2 5347 7238 1 11144 1720 3 3017 4245 1 17755 236 1 3091 1819 1 14233 4977 1 19401 1730 1 13809 3113 1 14413 220 1 10670 4023 3 17558 2044 17 11672 5004 1 16150 883 2 16979 200 1 1089 148 1 13613 831 1 13117 1334 2 3370 4721 1 6435 6066 1 108 868 1 11638 1764 4 7184 1450 1 15782 7101 1 16471 2027 1 1060 5654 4 7823 1032 3 11235 4996 1 4764 206 1 6926 668 1 13 567 2 7832 73 1 18871 7570 1 5677 606 1 2792 7094 1 14018 219 27 124 5549 2 18281 5425 2 101 4602 1 5996 3275 1 13839 2979 1 20244 1256 1 20238 7677 34 13723 3578 1 74 3458 10 12819 1611 20 19034 5767 1 11131 7934 1 4265 1610 3 18623 1235 2 7853 721 1 8204 4122 3 4972 1531 1 6089 523 1 9864 2710 2 6670 982 1 8447 2450 4 9063 532 1 10676 7291 1 14887 7354 3 11284 1736 1 3025 1748 1 17504 221 1 3306 8262 1 2671 8131 1 3416 7843 3 5162 912 1 20228 906 1 4454 7446 1 3485 1399 1 11122 3491 1 31 1732 2 8954 4884 1 17575 2945 1 17220 1250 3 121 605 1 5589 1779 1 11216 4041 5 19714 1247 11 6164 6537 1 598 831 1 15061 4092 1 19293 1243 1 1465 6576 1 5180 7210 13 12438 3219 1 15047 223 2 14992 6342 5 9336 8149 23 4395 5162 1 13089 232 1 15339 1819 1 15781 3287 1 16852 7603 10 1551 2352 1 15092 203 9 12030 1890 1 20209 215 1 17098 867 1 2405 6169 1 10886 1244 2 19392 4980 12 8664 1734 3 13349 6374 6 5104 329 1 6432 7395 1 11418 5737 1 5781 3884 1 8328 23 1 10584 1762 6 13105 4877 3 9685 3081 1 926 1356 1 18080 1296 1 13993 6457 4 4783 1535 5 14416 1695 1 873 3016 1 9310 7933 4 8957 6548 3 9541 4562 7 17836 7542 8 2955 3113 1 12966 7403 7 9305 311 1 14522 5272 1 1551 525 1 20224 1734 1 8543 5523 2 6850 3253 1 11295 2512 1 9269 6260 1 4760 7895 15 18615 5389 8 8444 2683 1 12115 5037 1 2243 8197 4 1906 1383 1 11872 6692 1 954 4501 1 12404 5874 1 5304 6268 1 6387 422 1 2623 2880 5 17178 2534 2 9783 1146 2 12128 453 1 10593 4204 10 20034 6268 1 121 5333 3 6793 1739 11 6853 453 2 5831 496 2 19876 308 1 7184 4403 2 6018 201 12 14824 1354 1 17111 470 27 18133 518 2 14108 2357 1 19812 1692 2 16777 3373 3 153 7005 1 9655 1378 1 6453 347 1 9029 829 2 7867 4998 1 2287 23 2 14436 1695 6 5428 1825 5 16591 3330 2 572 7791 2 8341 2447 1 1706 5518 1 6397 2653 4 14233 1705 1 13411 214 6 11277 4026 1 2630 6259 1 16187 1324 9 3265 1987 12 17494 2352 1 4034 2889 2 12988 5495 2 13922 5408 1 15845 1257 2 19568 506 1 7162 1695 1 13017 5874 1 18270 7951 2 18546 4245 7 12849 7958 1 818 2946 2 18940 3113 2 930 1288 1 16914 575 1 10694 184 1 15102 1407 3 534 550 1 373 6031 1 3655 1747 2 3817 1825 1 8754 46 1 7141 5090 4 8273 7715 4 18122 336 1 17670 4314 1 8537 6979 1 19731 4453 1 6247 1731 1 12795 705 14 2159 4796 1 6416 1345 5 8453 8111 3 13402 4591 2 13313 1153 1 13935 1313 2 18303 223 5 8032 1687 5 14870 6095 1 12548 7754 1 14522 1819 2 156 7163 1 4716 1738 1 18198 1995 5 14184 1768 2 6430 214 5 11786 1548 4 4716 1724 1 15792 203 36 9572 6157 1 13015 2069 15 50 2518 1 7 207 3 5854 1240 1 19612 1699 1 787 5391 1 26 1565 1 12195 5700 1 16727 36 45 18393 4728 1 7184 1245 1 5121 1996 1 15798 3202 2 1625 2093 2 2829 5255 1 13809 6132 1 6329 820 1 20122 2647 1 9401 1703 36 5492 4304 1 3516 23 1 13350 867 10 18459 219 9 9554 7250 1 586 2673 8 10105 201 4 5559 3333 1 27 1605 5 16925 370 2 20189 5253 1 5435 186 1 4459 8015 1 18693 1211 3 2820 1333 1 10355 5520 1 19759 471 4 14583 2677 2 1133 7393 2 6347 1650 1 14660 4173 9 1273 6612 1 5750 1248 8 1274 3207 1 16500 1235 1 8898 207 2 8006 6040 1 18876 5342 2 17886 935 1 2813 1322 1 2795 23 1 9322 5148 2 48 2434 1 13412 2666 31 2126 1723 1 12795 509 6 3695 822 1 14884 4230 10 2945 2725 2 4273 5000 1 9731 1304 1 12337 214 2 7975 1712 1 4397 291 1 9639 809 1 6848 232 1 16674 2008 1 5416 2859 4 14253 46 50 7931 8067 5 3846 1363 2 1825 4609 1 18198 221 7 2699 6047 2 1908 23 1 19822 3220 3 8606 2646 1 19020 2343 5 15100 837 1 87 215 1 20174 4435 1 17502 5846 2 5437 1730 4 10285 2580 1 8517 7308 1 18232 1105 33 64 3075 1 17088 200 2 16166 637 5 16801 1359 1 4795 2061 1 1520 5986 1 19381 3763 2 6524 3540 1 19360 1658 1 6535 6038 1 15943 779 1 15452 867 2 8410 3667 1 9441 7455 1 17460 4818 1 2321 6157 1 8001 3965 1 1578 3760 17 10999 1211 1 5117 841 1 6724 7044 1 10856 5419 1 17468 3460 6 3822 6620 1 7868 6091 2 12474 7411 2 16397 804 1 4122 1909 5 10973 1726 2 9446 134 2 6611 3242 2 1977 2339 1 16901 201 3 31 359 1 17328 5084 1 11192 4303 2 8012 541 1 404 156 1 9388 1762 1 11968 637 1 19530 891 1 1033 7233 1 10244 215 1 314 304 1 12938 5439 1 1389 4405 1 2449 2478 4 684 1771 1 9908 219 1 14371 1356 3 10730 3647 4 4763 3464 2 1013 3222 2 18981 7267 2 20007 1788 1 7783 2352 18 17011 3669 2 6332 2344 1 8789 6259 3 6776 3882 5 16259 6640 1 10039 761 1 1804 222 1 5140 5090 1 3081 415 5 10038 206 5 3806 520 4 17717 1184 3 17992 222 1 9546 767 1 4793 3230 1 4044 3258 9 9154 2980 18 2560 1751 12 15751 219 5 2188 6414 1 9400 4992 1 3762 883 1 535 3588 3 169 7586 1 6611 220 1 14951 2686 2 2072 385 1 3395 1722 1 8520 3629 1 2935 3466 4 4180 6031 2 8394 3851 1 11663 2354 1 8275 4385 17 5093 2542 6 5310 925 1 452 7953 1 1726 651 1 7849 517 9 14060 7591 3 9523 1768 1 16764 215 1 5059 200 1 1 65 1 18211 3799 1 4369 520 7 379 962 1 6926 3824 1 6603 223 2 6364 864 1 10435 1105 5 150 6759 1 153 7094 1 19146 292 1 6418 460 1 13180 6341 1 19241 858 1 6347 4430 2 16674 467 1 5594 7427 4 18164 8013 8 10592 3066 2 10585 4653 5 16140 419 1 1141 3515 2 4147 2618 3 2724 4132 1 17436 4554 2 7171 130 6 19964 1453 2 3700 6717 3 822 809 2 15676 5379 1 7012 7853 1 11346 2494 1 17384 236 5 7725 2392 3 10398 1734 1 12614 1466 2 19556 520 1 8116 1882 1 7034 1734 1 19561 2494 1 14326 215 1 16635 631 1 5613 186 3 19064 3255 3 9308 3147 6 3806 2689 1 11690 4107 5 6222 3605 15 12444 2150 1 15844 848 1 19597 5022 1 153 1596 2 3781 1703 4 7158 1643 7 11321 6488 1 5589 1734 1 19137 6286 5 12050 164 1 1784 3619 2 14616 7255 1 4259 512 1 14991 200 4 18637 3285 2 16382 1990 1 16638 6424 1 1937 2820 1 16665 519 2 11158 1306 1 16137 165 1 11464 5394 1 1163 23 1 5681 910 1 19443 2287 2 7065 2491 1 8451 1567 2 4518 1917 1 19537 3087 1 9877 10 5 5424 2876 1 11253 3742 1 7530 1881 2 156 7179 2 6796 3945 1 1866 1245 3 14921 1721 3 6655 7466 1 15344 1758 1 10926 5099 1 13374 7711 1 14047 1646 1 13382 4555 1 4866 7857 1 9320 3556 3 10026 5255 1 17273 169 1 14515 225 1 15977 4245 2 3168 8135 1 12954 229 6 2665 1728 1 14566 8060 5 7284 244 2 17291 5052 1 8439 1737 1 10416 7346 1 7853 519 3 561 5082 3 593 1734 1 3104 8203 2 6164 519 3 9604 207 8 10399 2646 2 1712 2974 19 2710 1764 2 633 209 30 5076 4411 1 2319 1824 1 4426 207 1 17478 523 1 15015 314 8 12837 3697 1 16238 2241 1 16552 6106 1 14272 1249 1 12367 4745 5 5258 4029 1 4257 4869 1 54 2499 1 3399 6897 5 14027 6943 4 19606 1727 1 6793 7117 1 17701 270 2 94 1613 1 14212 383 1 1986 1342 1 5038 2626 2 3521 7136 11 11987 3540 1 15117 2216 6 6332 564 2 11161 6713 1 9249 2852 1 659 4367 4 6997 4304 1 15805 6706 6 13744 1252 2 5025 4400 1 19026 4258 2 12064 1734 4 2260 4870 1 7928 6219 1 10218 5903 1 13797 6193 1 174 8022 2 10318 1728 4 2273 519 7 15772 7237 17 16849 2675 16 10916 688 1 193 1455 1 19664 1728 6 4092 2584 3 8579 201 1 4533 1779 4 8614 3684 2 12259 657 1 17548 590 1 15369 3084 2 170 2560 8 16531 4653 1 14832 6482 2 16854 5018 1 4279 903 1 2453 1881 1 17283 4403 2 11360 3510 1 8817 3591 2 15359 2691 9 13642 3000 1 14406 4285 1 7502 723 3 18548 967 1 16455 15 3 18465 193 1 19723 470 2 8798 232 1 71 3315 1 15177 5302 1 15034 7256 1 19924 7597 19 11371 6102 1 8966 1363 5 19272 6777 3 12121 537 5 9768 8111 1 6683 631 3 4449 366 1 15858 5010 5 9178 4435 1 9102 1277 1 4330 222 2 4214 5502 1 3265 1774 10 8001 1231 1 9395 201 8 19115 532 15 12247 3216 2 12299 3979 3 10309 3708 3 12674 1772 1 6841 3631 5 7252 4427 2 18187 1770 1 11661 5099 1 16472 2889 1 3085 2488 1 18561 4328 2 1202 3511 1 3310 411 1 17884 1829 1 2163 1275 1 160 7290 1 6193 656 1 15881 878 1 17947 442 1 13673 5071 2 674 1417 2 1642 4020 1 11700 1760 2 745 1649 1 8629 7876 1 19568 474 1 7372 4293 6 8159 4285 1 4279 103 1 6654 964 1 15480 1734 1 12574 502 3 4282 898 1 6152 838 1 12119 6162 1 14887 8200 5 7697 1253 1 15969 520 2 1629 1745 1 16977 4363 1 9075 1710 1 17852 646 1 9920 8170 1 4148 219 1 1141 1747 3 4572 5305 1 16569 4463 2 10080 6793 5 16012 5326 1 19690 244 12 8426 1991 2 4828 1453 1 2449 4090 5 10245 4675 11 17357 706 1 17120 514 1 15468 3921 1 9279 236 2 12843 8141 5 115 5205 1 15941 6368 1 2062 1507 3 18508 516 1 15975 229 1 10582 603 1 15778 1304 1 9192 303 3 1188 3206 7 7647 7240 1 19682 7672 1 12241 347 1 12376 219 3 8166 3884 1 15116 1309 2 10554 3549 5 10245 1898 3 3381 207 1 4573 215 1 13267 7027 1 5248 663 2 3571 1582 1 8107 2605 1 4507 8192 3 7350 5690 1 17019 6204 1 14567 2880 1 8989 7677 1 11256 869 1 5131 1245 1 15272 2953 1 9743 1548 2 3594 3558 1 8061 2261 3 3485 6662 1 6682 336 1 16417 507 14 16643 676 5 9432 1322 1 6853 416 1 6051 6225 5 16057 7719 1 7670 567 2 31 1740 1 15854 215 2 9919 790 1 9767 5018 1 11545 1987 3 16199 2522 1 948 225 2 17917 4452 1 12424 1710 5 14960 709 1 11513 1747 1 13168 5853 2 15180 3798 1 12343 7570 2 4405 2494 1 9674 5517 1 2443 770 1 3189 1561 5 19054 222 1 12452 327 1 6772 2520 8 14033 4272 1 2382 3511 4 2080 3449 4 1883 706 1 12286 2480 1 3223 229 5 360 1606 1 7991 1601 1 6522 779 2 14482 7101 1 19982 1339 1 12502 1245 1 9104 1706 1 7675 4508 12 14970 263 1 7962 411 2 12902 7823 27 86 3957 1 6811 5314 2 8175 4635 1 17218 1739 5 27 1628 1 377 5553 1 11637 707 1 5491 3338 2 11581 229 1 35 1914 1 5369 3828 1 8242 5002 1 16997 8026 2 14221 2488 1 12322 2662 4 1276 533 1 12441 6065 3 10256 6091 1 9834 2768 1 4811 6777 5 14117 1781 1 87 4011 1 119 200 1 6333 4261 1 10126 3787 1 1587 936 2 706 4400 1 18762 2675 1 1839 976 70 11654 8034 2 17638 665 12 8069 2103 1 2170 3334 2 3583 1760 3 14284 4386 1 2643 259 1 4620 952 1 15729 1340 1 6236 467 1 17801 2100 4 15657 6484 1 5318 1710 5 16109 292 5 15281 4435 6 15807 1037 2 6007 327 4 2885 1237 4 4223 498 1 2545 749 3 16933 5043 1 6283 1247 4 16754 6599 2 11854 7529 1 14344 1701 3 9693 5783 11 11849 840 1 18711 1251 1 153 7041 1 4183 89 1 12476 1756 2 3634 1632 2 2803 7641 3 6748 673 1 13961 7645 1 2624 452 1 5436 1778 2 3491 541 1 14522 4776 1 15222 5018 5 2753 2009 3 17107 4764 12 13359 8203 1 13683 937 6 1486 1721 1 5803 1642 2 557 274 1 12627 4367 1 596 4023 1 17954 2938 3 7769 894 1 11000 1535 9 2134 411 3 8231 816 5 9214 206 1 6090 855 4 16471 207 3 16090 6028 1 15314 1768 3 143 6541 3 992 2206 1 5634 1729 7 4539 1761 1 15180 3283 1 14522 7961 1 14139 3854 3 8239 1190 1 5423 7542 1 11572 4204 27 8863 1747 8 171 7629 4 5615 1156 11 14791 1724 10 7700 5741 1 1507 1357 1 10355 1658 3 6854 1995 7 14053 525 1 7509 4320 2 7483 2005 1 8934 5757 1 16700 746 1 2570 46 1 12638 5018 2 10107 6549 4 4332 1729 1 3898 219 1 19908 1111 3 15471 840 13 14376 1825 1 19565 728 1 7929 3366 1 5304 240 1 2985 2842 1 17200 1858 1 5681 1727 2 100 4563 1 10539 2384 1 14522 303 2 11265 4348 1 6063 3827 1 13132 641 1 17562 1395 4 15229 8190 1 13328 1295 1 14746 165 7 5206 4751 1 18474 3084 7 11363 2268 1 6954 1771 5 4489 1406 4 9610 7597 1 1379 2641 1 11609 6163 1 4130 2938 1 8050 1235 5 4938 6053 12 19912 35 2 35 1909 7 18338 594 1 7653 2450 1 7571 1237 1 17954 4014 1 17847 1781 1 8275 215 19 6595 232 4 1145 1775 2 14196 1881 1 605 4338 1 18404 1994 1 7966 6570 1 9111 495 1 14322 23 2 7065 2998 1 18059 52 1 11786 562 1 15213 2254 15 230 765 1 14336 1656 1 3469 1827 1 17713 4267 2 13624 6538 1 10371 2675 8 7769 917 1 3562 1717 2 12159 5432 3 1507 470 13 4447 507 1 18062 1703 1 19515 3400 2 12855 1951 1 15932 5262 2 5185 96 11 16368 1752 1 16031 2488 3 20031 910 1 15389 6278 1 19272 7112 1 5544 7471 5 10649 5289 2 11779 4732 1 7280 1455 5 14591 2459 24 8313 1037 1 7774 1776 2 3544 5440 2 1969 1748 2 13126 206 1 16857 1727 1 16232 593 1 4617 2405 4 16590 6288 2 2371 525 2 15502 4401 3 43 314 1 767 3516 1 3768 6772 11 8610 525 1 4672 2367 1 11823 7008 1 2195 867 2 18014 400 1 19354 8036 1 7459 3512 2 11108 4203 1 4858 3324 1 11415 1747 1 3147 792 1 3355 647 2 17072 4992 5 7554 7105 1 3529 6442 3 7607 7518 1 6960 404 1 7775 1830 11 12816 3414 3 11964 203 1 8330 2097 1 9798 4612 1 5177 1778 1 3181 684 2 10900 34 1 2237 906 1 15695 2958 1 3309 4987 1 19093 1784 1 18175 4312 5 19564 5440 1 15796 4397 3 214 220 4 6332 821 1 130 5952 1 3102 6744 4 19476 534 1 17919 676 6 14612 3145 3 15343 3132 5 80 3598 1 12996 3760 59 13090 2355 6 19846 4977 1 10916 2915 1 6556 6256 1 14143 2141 1 11458 3643 2 1042 3903 1 19872 4343 1 4461 844 3 3426 1241 2 10376 235 1 12194 3525 2 174 612 1 2689 1193 1 8708 1715 3 8859 2605 1 5379 1825 5 10670 6510 1 16372 380 3 15307 771 1 14114 577 1 15691 1531 1 8425 184 8 650 1780 1 6125 5051 1 11160 1745 1 135 6197 5 11398 211 19 17616 510 1 4777 952 14 3448 3910 6 16829 1241 1 1398 3556 2 759 1799 1 16800 1827 1 183 1561 3 18876 2936 2 16284 6602 4 549 2450 2 17633 148 1 16201 418 2 19056 1710 2 2624 2129 1 12889 790 1 20274 2577 1 10240 2675 1 13513 409 5 17734 879 2 2722 6343 3 18047 1234 1 107 1752 3 3048 947 5 124 5500 1 18376 1996 1 4257 1593 4 9168 1760 1 5784 510 2 9526 3331 1 6848 2606 4 18852 7320 2 13343 1634 8 62 2785 1 14475 1246 1 6776 4998 2 2707 6047 2 9891 232 1 18281 3005 1 16719 2530 1 12262 501 3 982 561 1 9660 496 2 3047 4794 1 6946 6236 2 2488 7915 3 20191 656 4 4840 4320 1 15398 917 1 13829 4245 6 7958 660 3 6158 4013 5 17034 4476 1 6749 6940 1 9760 6091 1 8468 1244 1 11020 3278 2 251 6107 9 6750 1835 3 132 6008 1 18206 502 9 14147 1184 3 17087 519 1 6183 1770 5 5100 496 1 7932 4413 5 14797 74 1 17953 800 1 1472 5060 2 19602 3052 1 13285 1757 2 12029 2964 9 3806 1164 1 18883 3140 2 15041 1235 5 12312 4014 15 9418 1990 1 1533 7811 1 3208 23 5 20190 6299 1 19601 3645 1 6782 2392 1 6418 229 1 8323 3864 1 16571 3391 2 4189 6108 1 4014 203 55 13173 2880 1 17195 2079 2 14839 4230 1 9580 4998 6 12344 292 1 9342 207 1 1433 1150 1 6308 532 1 18320 449 1 157 7213 1 2917 2893 1 13414 1770 1 18981 167 2 19934 1466 2 4107 550 1 17135 525 2 11755 2721 2 7699 1146 5 2180 1784 1 83 2088 1 2361 5559 1 3109 6251 1 13402 3374 2 6183 1772 3 1404 7241 1 9099 215 2 7220 1334 1 3781 1363 3 15267 611 1 19761 1757 1 20016 222 82 15206 3490 2 3536 394 1 4840 244 1 16535 1814 3 2980 7542 1 11945 5826 1 6428 1706 1 1125 1023 5 19822 2478 1 109 1482 3 4626 6979 1 5996 2436 1 7991 1620 6 9743 1305 1 17960 6159 1 1954 1188 1 18891 3422 1 159 7250 2 6597 7670 1 14748 57 1 14276 3624 1 5053 1328 1 7166 167 1 8366 7101 3 17276 1721 3 19626 74 2 10554 4657 1 2308 2682 1 13896 6702 6 6589 5837 6 8730 363 1 15143 679 1 3925 2895 1 8269 737 2 5444 1244 5 6244 3331 1 15459 1341 1 2301 7706 3 16881 5285 1 4705 2097 1 17470 2175 1 11072 7674 2 12244 244 1 6403 952 1 6552 1781 2 13568 3671 1 7476 3834 1 19493 5513 1 1711 926 1 5962 1184 2 8939 3649 1 19759 4612 1 14184 1784 1 861 274 2 7577 7022 1 14958 381 1 10135 4987 1 12361 552 1 9759 2360 1 14173 2659 1 14221 2056 2 11158 10 1 11766 237 2 7020 2691 1 1065 2130 1 4898 1247 8 3313 2496 1 11938 7008 8 12317 336 3 2205 2799 2 18226 3020 1 7160 6084 1 19870 2488 2 2839 1076 1 8798 1721 1 48 2392 3 18578 1296 1 17340 1464 3 658 2575 16 12501 2352 1 19267 816 1 1962 4696 1 14500 4413 1 14818 201 1 13134 1552 5 14951 5253 1 13547 1756 1 13543 410 1 397 214 3 15192 562 1 14589 1752 1 16403 4665 1 14724 3386 1 6801 5256 20 10482 749 1 737 768 1 152 6832 1 18526 2068 1 12740 5758 11 16847 2260 8 16076 2990 2 3687 4307 1 6089 200 19 6298 23 1 17751 6414 1 1865 3315 1 6130 837 1 8491 2263 1 1313 1909 1 18307 13 1 7136 7477 1 456 2591 3 13697 8184 3 15329 5874 2 17298 867 12 7177 2675 5 9700 1238 7 1145 1772 1 3109 8154 1 17578 1146 2 12970 244 7 17084 6120 1 6088 2877 4 14339 6197 3 14203 3015 2 2204 263 1 11968 545 1 9284 3228 3 4183 3864 2 16187 1530 2 19579 7878 5 8528 1246 1 15645 335 1 17800 1751 1 1520 6370 2 3483 1352 1 16465 1829 1 9972 4016 3 9213 3556 1 14047 1736 1 14522 656 2 18939 1739 1 17996 7850 2 4705 3570 1 2163 221 1 16041 5063 1 9809 4992 1 3536 3705 1 12804 1374 1 13916 4134 2 9937 8185 1 15060 3057 3 7228 5256 2 9275 819 1 2885 128 3 5025 1331 2 6010 1776 1 6606 1962 1 11084 4395 6 19569 8184 2 19286 4383 1 11200 215 2 3540 506 2 2567 2240 1 17075 1687 1 10327 943 2 7670 4015 2 19053 966 1 19494 134 1 14073 5043 3 12760 201 33 9978 5986 1 9446 1243 5 4486 1825 26 38 2029 10 5596 1334 3 11987 2488 1 12212 3406 1 658 11 2 5036 336 1 19939 5997 3 2194 682 1 18104 2938 1 591 1238 1 12196 4326 1 6936 7403 2 17392 532 2 10627 7719 52 2555 5502 9 12897 3699 1 1105 385 7 3963 3026 1 3315 5353 11 12294 470 1 7016 6185 1 9166 504 1 153 6881 1 5264 541 2 3003 7689 8 3629 446 1 13923 518 1 9927 5090 1 16981 4956 10 10144 4655 1 12856 4278 3 19018 2683 8 6836 38 9 1706 1453 1 12072 2698 1 14087 5842 3 14708 4306 1 4440 520 1 16558 3587 1 11646 7513 1 2917 1657 1 6856 3666 1 8159 689 1 15093 5245 1 160 7276 3 787 1395 1 1263 214 1 4251 7142 1 11382 4274 1 3397 5686 5 5694 2542 6 9572 1695 2 1744 4460 3 4507 1539 2 3739 6139 21 16428 6946 1 67 3217 1 7799 5281 6 16913 2908 2 18909 3230 1 4898 528 2 1191 23 26 19949 7878 4 303 158 8 14053 7254 1 7009 3842 1 14926 2407 8 13544 1328 5 1780 4998 5 12827 6539 1 7802 3515 14 13746 1742 2 13841 7450 2 11107 7522 2 5348 3311 2 7991 2169 5 6313 5820 3 17033 4936 1 12858 1482 2 8532 545 1 8255 5561 2 3311 2686 5 8250 7224 2 14159 1784 5 13280 1062 2 14081 7466 1 3427 3351 1 1146 2698 2 3810 1717 3 19971 200 3 8904 6219 1 17801 2029 1 14410 1909 1 6781 225 3 9661 223 10 3258 2727 1 3326 5758 10 18319 2682 3 5508 3651 1 7572 6278 3 4984 219 2 2985 784 2 124 5430 3 10401 4998 1 15316 8141 1 4867 3554 1 12700 220 1 11049 520 1 10720 6229 1 5789 1718 2 16020 1342 12 8010 759 2 11842 524 1 4286 325 5 130 557 1 6647 6263 1 9275 1689 1 10655 2410 1 17414 4460 1 1233 4409 1 11336 6610 1 4305 4066 1 1420 5565 1 19538 3065 5 5505 3233 6 7507 2827 3 4170 3421 1 15974 1814 2 14177 3855 1 7868 7054 2 3485 6897 1 6613 200 7 10126 1333 1 12640 5480 3 8557 5135 1 1745 235 1 16262 4998 5 19006 2296 3 13831 3230 1 11678 3847 1 16557 1781 4 14011 1363 6 17055 5788 1 94 4236 1 7362 3212 24 15144 625 4 4332 2671 1 7125 73 1 2803 2010 2 10522 1352 2 7525 175 1 19652 1827 19 15270 6027 1 19160 1243 1 1551 366 2 17875 5663 5 16345 1781 1 18725 3377 1 11771 1990 2 19789 525 1 10022 2736 1 1430 164 6 5672 1628 1 110 229 1 14615 215 1 19022 2686 4 17850 1739 3 4092 5506 4 3828 220 1 17662 1779 3 7184 5005 1 1928 3308 1 6403 745 1 19389 4992 4 6641 1743 1 7205 214 1 12093 794 1 6692 1814 1 7414 4547 1 1820 196 2 7417 876 1 7436 6865 1 14053 1729 1 13947 167 1 15858 200 5 2430 5310 2 19857 1698 2 5662 411 1 18177 1287 1 4082 524 2 19731 4131 1 10228 2029 2 9480 1666 5 15665 200 1 15314 2600 2 4663 2493 1 18520 1675 3 452 7524 1 5586 817 2 1151 1036 4 16222 650 1 4908 201 1 16016 6080 1 17 1082 1 18851 156 1 19246 6140 2 11318 3648 1 17977 510 4 17442 1743 1 1043 5719 1 7943 308 1 8419 253 1 14130 659 1 13227 1946 4 8754 2552 1 13383 2357 1 16955 2953 1 5631 13 1 18395 3632 3 13935 5071 2 2429 1235 1 3084 576 1 237 1380 3 1395 1345 1 4181 7267 1 12032 5547 6 12812 1450 1 18055 173 1 14607 1307 1 6233 8016 1 10203 1737 1 4072 7890 1 406 1888 2 16057 1898 1 19317 1363 5 9066 3668 1 7334 1335 1 13140 282 1 1551 6698 3 6050 1600 2 13411 1740 1 17954 234 1 6343 5971 2 8268 221 3 18115 1656 1 13922 506 1 18705 1248 1 873 1235 1 15750 890 1 16401 4811 3 7927 2884 1 4238 2646 6 14825 6687 4 13239 1667 3 11461 4334 1 13590 4514 1 596 4739 7 9187 6009 4 8585 1234 2 12897 5286 2 2231 7670 1 13779 210 1 12406 1762 1 160 7326 1 2733 7210 1 17317 214 2 12592 3159 2 15667 2678 3 19344 3893 1 5495 6585 2 9492 6801 4 837 2276 5 1733 23 16 14088 6100 1 3307 545 1 15125 308 1 12892 400 1 9978 1193 1 18211 4606 1 873 4540 1 6840 718 1 19875 3556 10 8914 6599 3 15526 4649 1 1453 577 1 19999 7836 1 11488 1395 1 11925 48 4 8090 196 7 14313 3963 3 701 3167 1 3571 1721 1 11411 7229 4 11204 219 4 841 1022 2 20001 518 1 17539 1247 1 1618 200 1 9281 5839 2 167 7562 1 12636 4511 3 12496 1251 3 10874 2964 1 5508 8139 3 8602 223 4 4592 6525 2 11569 5023 7 143 6631 1 7540 6150 3 11388 4956 1 19594 4972 3 6275 2912 1 14087 3316 1 12590 2552 7 16180 871 1 906 3787 1 3397 774 1 386 8184 1 4810 1363 1 6534 1208 1 13880 5973 1 3465 6736 1 6104 6307 1 1361 1119 3 17003 365 1 9655 23 1 1801 2737 1 16057 2691 1 12350 215 1 456 1454 2 19924 219 16 18641 6062 6 4998 1695 3 4252 3511 1 8457 1738 3 5199 5940 1 10953 1131 1 18164 4343 2 8392 1707 2 11872 1277 2 19720 6335 8 9429 1718 1 153 150 1 14988 3748 2 2590 5767 1 8797 7963 11 7390 1304 3 5 161 8 12364 6702 30 6480 5480 1 12139 2964 1 15614 745 1 14772 5560 6 3154 516 1 1767 7259 1 5540 1707 1 17337 261 1 7006 2151 1 2116 1819 1 9660 4322 1 17850 235 1 8929 1734 1 2693 7829 19 10741 2712 2 13633 4992 1 15934 401 1 12481 225 5 7808 2348 1 1049 4623 3 988 3146 5 8443 8060 1 12416 1917 5 15937 215 9 6124 2488 14 18608 1737 1 9488 6457 1 8439 1769 2 9628 892 1 4952 207 10 8170 5998 4 5914 244 2 7336 1246 3 10670 6807 1 17093 4929 3 2198 1369 1 19112 3749 16 14756 5291 1 12972 8176 2 11122 687 2 5775 532 2 3801 7901 1 7395 1756 1 2480 6084 1 7252 1032 1 12064 5272 2 6947 347 10 10313 3813 1 7112 6993 1 7020 525 3 6089 203 5 17088 510 2 15425 3876 1 7751 3234 6 4399 1450 2 12453 1635 1 12510 2362 1 899 234 2 4320 219 11 18119 274 1 3521 314 3 273 1727 1 19272 452 3 286 316 1 236 6854 7 10519 5559 1 19802 7946 3 6950 7117 2 10229 36 1 19216 3667 2 13891 4555 5 19229 2522 1 14624 1819 1 20102 5142 1 18687 2675 5 6315 470 5 9881 1429 5 4078 5464 1 19098 1729 2 16425 6744 2 17506 6897 1 3509 184 2 19507 2647 4 1541 5294 1 2380 5317 1 4227 6125 2 11493 74 1 1214 1739 2 121 5336 1 4992 532 1 16561 876 4 15688 2146 4 6259 4811 1 12673 1751 1 9306 207 1 5906 526 1 9725 1172 2 5208 6500 1 6966 3794 1 1599 1990 4 11130 3743 1 19977 3511 8 18989 235 1 15653 2906 1 19720 207 1 17331 470 1 10313 4119 5 8931 5513 1 2860 1374 1 816 8076 1 12817 4107 1 1068 525 1 11134 165 2 14669 6992 4 14218 7693 3 6014 1758 7 2731 2617 1 16176 2801 1 7745 3571 3 5588 5082 1 8272 7265 1 20019 1912 3 4353 481 2 18056 1226 2 19159 3464 4 8156 207 11 13213 1666 1 3491 7769 3 787 1656 1 14177 5940 5 15691 1819 8 8323 4479 2 13806 797 1 19713 2683 1 3907 1235 1 16096 553 1 16264 3485 1 18568 6058 7 9329 778 1 15419 6343 1 12817 2555 1 4257 6793 1 258 231 1 19193 7466 4 2147 4639 11 19417 867 2 8931 220 1 6308 214 3 14033 1827 5 8837 6713 1 10856 2384 1 3616 4945 3 14755 5011 1 5441 411 2 17734 692 3 16018 7397 1 16022 852 2 20007 367 2 2716 219 7 10452 785 1 12883 1274 1 2779 411 8 12278 1741 1 2213 1740 2 8183 865 1 1510 5135 1 12424 5207 9 14326 3167 2 18353 65 2 19649 5758 11 12736 3227 1 6463 370 1 3028 5249 10 17431 1776 1 7310 7511 4 9236 2089 1 4813 1750 5 1983 221 5 2939 926 1 16764 514 1 18634 566 2 9702 223 4 5950 1401 11 16343 3278 1 5003 905 1 14095 747 1 14583 316 2 5176 2247 2 16267 5758 5 16036 7404 1 17328 2460 1 12361 4090 1 9732 3275 2 7908 445 1 9547 1254 1 18154 2410 1 2376 863 2 7203 3743 7 862 8209 2 2955 6163 1 14994 4123 1 6162 201 5 19952 4189 6 8380 8141 5 12630 151 31 14312 2918 1 16378 1819 1 19179 23 1 11728 1453 1 19223 502 2 2473 624 1 19779 579 4 8521 1781 1 10268 219 3 4718 4604 2 8683 186 2 7657 4946 1 13626 3964 4 17220 722 4 13828 4615 1 6229 6424 1 16264 2151 1 17285 4653 3 19956 7491 1 3573 6701 6 7568 2562 2 1251 6675 8 3151 1374 9 1665 804 4 1134 2080 6 13779 5820 3 8388 4929 1 10916 453 1 5893 1990 1 16651 1946 1 13117 7058 1 9279 244 6 495 5499 2 1416 1814 4 2459 7830 27 3722 7487 1 15314 7615 1 19034 4838 1 2403 6340 3 10999 3813 1 7879 3175 1 17305 3639 3 1171 541 1 2081 3511 6 6371 304 1 2274 5327 1 10422 4563 11 12357 4299 2 452 7632 1 9797 4792 1 9793 5052 2 7403 7602 1 12494 2490 1 15427 4271 1 3626 4013 2 4662 524 12 17416 7020 1 11669 8141 27 19713 2555 2 15024 6053 14 1949 184 1 6057 7396 1 15599 6701 1 14515 215 2 16666 1814 5 10916 5252 1 16150 8183 3 5775 505 3 12166 7127 1 14522 903 3 16637 7229 1 3050 223 14 13099 4943 1 3963 860 1 14388 5105 1 4204 6408 2 4805 4623 1 12817 1710 1 11613 357 1 16719 1819 2 10102 3216 5 6484 4728 1 10973 173 6 4536 6421 1 12335 5018 2 14502 3221 1 2135 235 1 4389 5352 1 6025 1250 12 1740 2869 1 16488 1703 1 7566 302 4 9067 4992 3 5577 733 5 13449 1129 16 3084 6453 1 13565 1035 1 11882 7467 1 3625 6018 2 5424 4680 1 10245 7750 1 18507 1742 3 1606 801 1 11449 220 6 18685 3233 1 19055 498 1 1873 6609 1 5776 1076 2 4615 952 1 1465 3180 1 4072 7542 1 14960 571 1 13768 7301 1 17182 3556 1 7969 5251 6 10854 532 8 618 34 11 8157 5018 6 18973 4200 75 12449 2567 7 15637 7646 3 16838 2363 1 13694 1243 1 12676 1251 2 17494 6047 1 6509 5266 2 20048 526 2 14182 2534 3 12669 514 4 15856 7802 2 8417 221 1 1379 1644 6 1654 7859 2 13821 4435 6 7037 3511 2 2479 1764 1 79 3549 1 18095 187 1 11554 5083 1 9172 4511 2 5626 334 1 1585 5325 2 7197 1450 13 16109 206 9 16919 4435 3 6926 375 1 16832 3757 1 3853 3315 4 6819 1724 1 16416 6132 1 18213 3632 1 17682 2150 1 12494 2262 1 16728 6640 1 15812 8150 10 46 2349 1 14124 1082 1 17120 23 1 20140 223 1 9678 524 9 13646 880 1 7296 3511 1 19425 201 3 5542 3176 3 14581 2363 1 11194 1611 2 11295 1036 2 6159 206 1 2428 3411 1 127 561 1 6312 1154 3 16598 6762 3 6449 2352 2 19259 1784 1 8117 1250 1 78 3230 1 17756 7989 1 60 1717 3 17634 1757 2 3415 4613 1 7752 4293 1 12361 650 1 14600 7274 1 9044 53 1 9485 3255 1 8668 222 30 1463 411 5 15251 1150 8 11741 2351 6 3134 2656 1 14162 1335 3 10692 728 1 9394 3882 2 9898 507 1 11591 839 1 12430 1727 1 7147 225 2 17141 1632 1 473 6541 2 7998 1909 1 3442 5639 1 18944 8060 1 16276 3697 1 13299 512 1 4095 4387 1 6259 7913 1 1858 7215 9 6513 5016 5 8966 1776 1 6089 175 1 1293 7538 1 17887 4363 3 13389 1313 12 15445 221 1 12952 1253 2 11212 221 1 4049 4165 2 18499 1050 1 10856 6512 3 2737 207 2 1291 470 1 3505 2708 1 630 6540 3 1824 7520 1 18614 5567 1 1110 8192 1 7490 2699 1 15741 2899 1 17482 1752 2 696 1239 2 13711 3298 3 3000 2146 2 15372 1772 1 13839 550 3 10840 222 2 12327 5645 1 9556 2727 7 10888 1139 1 10992 74 3 11981 1740 4 18040 4618 1 6769 8117 1 2195 2029 16 14295 2376 2 7778 6564 1 9556 4613 1 8096 1062 5 8439 1380 1 2568 7859 1 18397 1777 2 17795 7223 1 12638 196 2 6306 1819 2 7102 1591 2 4500 2920 1 7312 1789 1 4008 1150 2 6211 1328 1 7370 7408 1 18445 1399 3 3578 2881 1 213 6152 3 9141 534 1 14212 3721 3 4107 4167 1 1029 236 1 7871 1714 7 2381 1499 1 15073 1454 1 17521 1814 2 15819 4622 8 153 6939 1 9279 74 5 10730 6708 6 4348 2357 23 2135 910 1 18968 5202 1 19809 4352 1 10429 1825 1 13743 5561 1 3048 6477 2 4870 1251 1 14951 1825 9 13009 5460 3 17065 5351 1 1861 1363 2 1876 5496 2 2907 2018 1 2938 600 1 9074 2549 4 4880 626 5 14862 4198 1 10078 1369 3 3973 1250 1 1507 1781 4 18568 6868 3 18237 1781 2 14741 6673 2 15943 905 2 6683 208 7 16669 3540 9 13326 2613 2 17670 4288 1 19637 2945 1 3592 1741 1 17931 84 1 13827 1243 1 16656 3477 7 1780 4245 1 17968 3909 7 9474 237 3 4883 8040 1 12608 1748 1 19879 6197 6 13287 6231 3 8681 2671 4 18818 6027 2 4173 201 5 6989 627 1 15404 2994 2 15313 2031 1 361 3813 5 10730 1781 1 12958 3992 1 9309 1298 11 8343 8034 1 15140 128 3 1047 467 6 12770 222 1 7754 792 1 18924 1395 1 11181 2413 2 4000 5758 1 6619 1770 3 12569 4029 1 4705 3540 1 14271 1495 2 13366 1251 2 2265 228 1 12947 23 4 13909 5467 1 2163 1781 1 5981 8192 7 19219 385 1 2795 6204 26 1206 89 6 19346 7670 1 2579 6185 1 12856 4597 1 10114 4296 1 5 167 1 8997 6139 1 2776 203 4 6228 141 1 121 379 1 19380 2137 1 8532 1450 2 18876 186 1 4230 7643 2 7065 2132 1 9181 786 1 3593 2559 4 17009 206 1 9834 1992 1 140 6356 1 19478 2731 4 6818 4623 1 11933 6615 1 7969 5730 1 8024 423 1 12299 2056 1 19975 1727 1 7575 1727 1 11388 34 5 9700 5673 1 12537 4012 3 6457 6102 1 3234 201 1 13227 2964 2 396 411 2 16549 207 1 16535 500 1 17887 7494 4 1554 4020 1 4138 1819 1 7354 1324 1 16570 1136 1 8654 5438 1 2345 7474 1 9869 702 1 11212 232 1 6819 1717 4 6761 524 1 16246 6152 1 16919 3167 1 3395 190 1 1551 1737 1 15884 3733 9 19256 2743 5 12279 6330 5 10247 2356 2 12371 2474 1 8492 3987 1 1260 200 1 15040 2362 6 13601 1703 1 11931 2328 1 1043 1371 1 16096 822 1 114 5117 1 13182 411 1 8979 1234 8 19850 910 1 2121 533 1 2533 1703 1 19797 1747 1 6024 519 2 7688 3770 1 14519 1244 3 7698 2748 1 3449 2889 1 14145 2257 1 18806 4572 6 8597 7965 1 4694 13 1 2442 1482 1 20019 1877 15 6333 1630 1 2204 963 2 18807 837 1 10906 524 8 6321 4303 3 16613 1776 2 10599 207 2 3134 8203 5 2325 1726 1 1618 1724 11 5213 2760 5 2643 4448 1 16760 1780 27 4045 1756 2 2905 1665 1 1689 4333 1 9606 1464 1 17 1170 3 10355 1660 1 4471 1054 6 12742 983 1 15709 4403 1 12226 945 1 17061 5852 1 7169 2317 1 13735 1686 2 15726 4173 2 16963 48 1 5854 589 2 5111 3012 2 3991 3422 2 1649 492 2 19579 5883 2 11272 5332 2 9638 2261 2 16491 3596 1 12040 1715 5 13425 379 1 18316 1718 2 4889 222 1 12851 2712 1 40 1028 3 15750 768 1 3556 2626 2 8952 616 1 20016 4435 3 1504 1309 3 1045 532 1 7351 82 1 2782 8201 3 174 7991 1 2533 203 1 15306 214 1 20052 4956 5 17415 7227 2 12665 4245 1 102 95 39 8316 1277 1 9221 1732 1 10720 2832 1 11353 1278 1 7570 6334 3 11756 1645 5 19057 1714 7 7179 853 2 15518 4002 1 11678 3714 2 10451 7814 1 5042 5009 6 7771 2633 2 545 207 1 8198 5202 17 11955 937 1 4222 2180 3 2629 197 2 5366 215 1 7099 1686 1 14145 7354 1 171 1706 1 8261 891 1 7462 1613 1 17109 6140 1 119 233 1 10371 3510 1 5657 3511 3 7010 1703 4 19819 7728 1 5908 5352 3 249 6059 1 4632 7569 5 6145 7184 1 13734 4361 1 10318 1737 1 80 1495 1 14765 3167 4 18580 1707 2 10813 6091 1 6867 3954 1 15020 1249 1 5632 6925 1 15392 6283 7 649 206 2 6596 167 2 86 3984 1 7943 2542 2 13909 1703 1 15762 6432 1 16857 1234 2 15906 2009 1 13078 200 5 18486 2736 11 11709 6649 6 14865 4240 1 14006 8169 5 19996 818 1 14947 550 1 11875 518 5 13161 2939 1 4382 1395 1 3927 7008 8 16303 1146 1 5503 4501 1 7822 6806 10 3697 215 1 6914 4320 11 13998 7874 1 5645 745 2 4301 215 5 5645 1775 1 19286 232 2 13601 1363 6 5363 911 1 18359 2920 1 12553 4992 1 1772 3706 3 3189 453 1 16057 236 1 13446 8148 3 15167 460 1 10145 4302 2 8086 2488 1 10195 1747 6 19722 533 7 20191 243 1 3803 6333 4 15321 2104 1 2126 1250 1 15742 706 1 17124 6754 1 11921 1244 7 18098 3526 6 6441 6260 1 11416 4158 1 8564 6933 3 9647 4105 1 4614 3842 2 20268 3361 1 130 5909 1 19178 4383 1 7969 5255 4 16969 200 1 5633 7414 2 14259 1661 5 6107 523 3 13234 214 4 17498 3235 1 8859 2908 5 17035 215 1 1541 2508 1 14301 7949 1 15608 1712 1 14700 219 3 8345 7605 1 7966 7158 1 15438 382 1 16346 7029 5 3922 7004 1 1590 2936 1 12057 1244 3 3968 201 1 9117 3511 2 9166 1022 4 10688 779 1 20105 6508 21 18371 5996 6 17114 2132 1 17518 964 1 16957 8171 1 14145 8184 3 7392 4022 1 18386 756 2 11131 5910 2 2839 1248 7 4344 4723 7 5675 1721 1 6208 2114 1 8311 200 1 17314 1464 3 20042 4392 1 8080 225 3 7726 3888 1 419 1734 1 15300 3914 1 14305 564 4 1269 7988 1 11933 1779 1 20062 891 1 6090 5466 1 18120 4110 1 2450 3283 1 7796 200 1 3554 4002 2 18211 6487 1 17039 4618 2 15994 2043 3 3416 1178 3 9397 1761 1 124 5523 4 745 502 1 18320 440 1 174 7913 4 16775 1508 10 18939 4011 1 7148 4653 8 2643 2109 1 15837 4615 1 9081 1323 1 12 497 1 19538 1304 4 14639 1271 1 18755 4992 1 17088 2488 1 1236 6551 7 3150 201 5 1870 7700 1 17577 2831 1 15249 244 1 3934 1752 2 9082 4393 11 10014 1761 1 5797 3895 8 1198 6538 7 4301 134 2 12568 6341 2 2891 206 2 11336 2860 3 3491 1762 1 7812 334 1 9603 2675 1 1483 7557 1 2598 4641 1 8533 5857 3 4850 733 1 19085 4333 1 18794 7857 4 1035 5105 3 14824 4623 4 12196 1519 1 8514 6013 22 19519 1473 1 1612 498 1 13380 1587 1 4955 1363 3 14233 3944 1 4185 7400 1 10038 1363 8 8454 220 2 5101 1700 12 17768 2020 1 13673 5996 1 10787 510 1 5381 1705 5 12319 578 1 16354 1685 1 12663 4245 2 19972 1239 6 6332 637 2 8273 7623 2 5263 3391 1 19993 6993 2 16887 1774 1 15089 1731 1 6918 385 1 15922 2642 1 19645 57 3 7688 4241 1 14786 3679 1 18122 217 2 12121 1827 1 10812 2131 1 20044 7217 3 13731 4595 6 6117 6701 18 17436 1982 1 5126 8141 1 11971 4774 5 8990 2673 1 11730 1298 4 11392 1950 2 6384 5018 30 11160 5730 1 2803 1222 1 6974 3511 1 3277 1312 4 15220 1757 1 520 165 12 3375 2646 12 108 696 2 9474 225 4 15614 2600 1 8318 2538 1 14764 3190 1 1032 6705 1 19767 1747 2 16767 7245 5 14187 23 1 16239 4992 1 221 197 1 13430 2291 7 11122 663 5 2875 3171 1 17682 215 2 4176 3992 4 12222 8212 1 3607 3734 1 19995 2061 1 7513 4616 5 7790 4448 1 4603 3799 2 9029 3919 1 19258 5499 1 7147 1658 1 10151 1613 1 15498 4013 6 7868 382 30 19863 367 1 19453 4961 2 8990 2648 3 4192 304 6 16090 6406 5 2935 111 3 2646 5223 2 4985 817 1 6867 1108 1 15532 2083 3 125 5580 1 14800 1755 1 15323 23 1 7459 952 1 9432 943 1 16405 3021 1 10435 5950 1 1043 4794 1 4429 6645 1 16045 2415 1 9297 2626 2 13351 6776 2 580 3020 2 6032 3512 1 7306 841 1 11418 2291 5 3152 5547 8 3236 883 3 17867 1658 2 2886 814 1 2435 1825 1 14781 316 1 11632 3113 3 4563 3138 1 10192 5083 4 3696 505 1 6074 7256 6 16825 215 1 19470 4316 1 11467 814 1 4767 515 5 2834 3427 6 6096 1531 1 17365 1374 5 11956 314 1 18258 2093 8 9171 4551 15 16010 7199 3 6166 820 1 14539 97 1 18968 2468 1 3 134 1 3765 175 1 6656 411 3 10553 741 1 12097 4290 1 4880 3361 1 15233 925 1 12897 816 1 1629 5466 1 672 7820 1 16057 2990 5 11716 2649 5 4189 1508 1 15106 1734 1 17694 1772 1 11844 2362 1 13806 893 1 14011 876 3 13908 2089 1 10314 336 1 3491 3649 1 31 520 3 3892 933 1 6365 2656 6 19803 1753 2 1698 6231 3 8451 874 1 12257 6683 202 15583 5419 1 5675 1245 10 672 201 1 11183 4733 1 16468 2454 1 15663 7411 1 15253 4972 1 10311 3050 2 12280 5420 1 15688 5858 1 17083 1728 28 16096 902 2 19570 2172 1 2666 5408 1 15092 1921 1 15969 6334 1 1706 6710 22 137 6276 8 821 1369 1 18819 7586 1 15398 819 2 8343 2405 1 19098 1738 2 7795 766 4 13211 4316 2 10160 935 1 10514 13 1 4359 6683 5 14664 7612 2 9680 3638 2 1969 3334 2 16643 659 1 19862 215 4 9755 4803 1 17965 603 1 12893 5750 1 14837 10 12 16140 415 1 7543 3723 1 5276 5026 2 10951 4245 3 3485 292 1 19485 1705 3 20226 1760 1 9945 6053 8 12803 7321 1 16894 7101 1 5675 1672 9 349 4386 5 4880 4902 1 18381 6238 7 1011 818 1 3521 1304 3 9149 7347 4 15556 3090 1 6690 2343 2 11895 1760 1 9843 6539 1 2404 1705 2 3759 2881 1 19204 3634 2 7509 4436 1 8323 4562 2 8599 3679 1 16094 692 2 17761 545 1 4250 4232 1 15969 304 1 9303 1263 7 10 290 1 2629 1453 1 9113 6423 1 3934 506 1 11968 445 1 9728 946 1 3190 2675 2 18154 2737 6 19865 3888 1 18924 4960 1 2526 8054 8 8195 541 6 14654 4237 1 1552 335 10 6989 848 6 10807 1775 1 4305 7868 1 13730 6011 2 19712 1784 7 19237 420 1 12684 4118 1 13418 524 1 5364 1742 2 16442 350 1 13806 935 1 5734 1731 1 17775 1300 1 15344 200 7 14791 3135 12 14009 3603 1 18781 4099 2 13183 148 1 4062 6691 1 17328 4664 1 4436 7259 1 18276 665 2 17549 3647 1 1551 1464 1 17850 4012 1 7995 1734 1 4092 743 1 4519 1341 2 6191 669 1 7817 863 3 14327 541 1 16368 184 1 8342 1132 1 8569 3892 6 1019 4380 1 7930 6839 1 13891 2126 4 3550 937 1 18963 8113 1 11231 6482 3 2327 2878 1 2818 1762 2 723 3798 4 12291 205 3 16857 1737 2 12082 207 1 10221 3048 2 8585 3516 3 17171 1089 4 2894 7225 1 3392 6082 15 5204 912 1 3043 1781 1 19728 1734 1 15028 5180 2 602 411 1 13842 1996 1 19688 4233 1 19770 1395 1 15758 1819 2 14088 6690 1 15996 532 2 270 514 1 647 593 20 16575 3329 2 14827 4093 2 19883 554 1 174 7961 4 18462 253 1 17298 3693 4 16969 7603 2 801 1718 5 18014 1277 1 16090 1312 2 12183 852 5 5199 1732 1 5696 1146 1 15411 4618 1 4609 1863 3 8251 3138 2 5773 467 1 19315 2970 2 3818 532 1 2459 4251 1 12196 4283 1 160 7297 1 6603 221 3 1351 2543 4 6734 3287 2 7377 1271 2 8939 7239 1 20 1303 1 7788 200 5 9759 1743 1 7620 367 2 12614 1903 28 822 467 1 17738 7002 2 10973 1700 20 81 3694 2 15875 5971 5 987 2617 1 2839 3729 1 3189 418 1 17454 1561 1 13111 184 3 11080 2645 19 9168 1719 2 162 7369 5 1072 219 1 31 1146 3 3915 221 3 8408 244 1 14588 5034 2 15517 3922 1 19990 206 3 11388 7201 4 6789 4840 11 9188 697 1 7927 4073 1 17418 2645 1 16517 7427 4 16674 1781 1 5117 935 1 4924 2534 1 15468 1819 5 13077 5670 1 16235 3138 2 13115 1727 7 12918 206 2 18212 533 1 2555 7176 2 14456 7701 1 19657 274 1 15243 4996 2 5088 1707 1 6275 244 2 18518 5031 2 8820 494 1 13826 7597 3 19104 5940 1 18199 2721 2 17299 2484 1 7584 1732 4 14039 5758 5 17708 2908 5 309 6481 1 2438 2256 2 5234 1781 4 7351 232 8 14512 5267 1 2849 3922 1 18053 1781 5 4498 2548 1 9503 4367 2 17009 304 1 1523 1991 1 860 220 1 11899 6610 1 16776 2367 1 8478 4699 1 17809 525 1 11226 134 2 13302 534 1 405 3511 12 143 6504 1 1866 910 1 16138 201 3 4456 3203 1 8870 5086 3 2685 206 1 10522 2774 1 8670 2138 2 9978 2931 1 6750 3220 3 1993 1903 1 12867 4460 2 40 2084 1 7053 3329 2 13405 1753 1 18491 5186 1 3147 1453 1 7287 509 3 138 6309 1 7672 2555 5 9876 1781 1 17636 5758 1 16780 219 5 11099 200 2 7750 220 1 7220 1819 19 1171 502 1 160 7344 2 17658 2671 1 9250 8121 1 7101 411 1 10407 367 2 2345 6540 1 10078 4615 1 17220 786 2 1453 2021 1 13636 776 1 11859 532 1 16626 4020 1 6259 7889 1 11964 2683 1 5472 6669 1 16792 1788 1 538 505 12 18053 1247 2 6867 636 1 10469 3971 1 12614 1705 1 10996 5058 1 10183 1692 1 16077 5439 1 2382 7216 3 14128 165 2 16151 2790 1 6006 5054 2 19945 1909 2 5763 3621 5 393 2496 1 5199 529 1 15832 220 1 11303 889 1 5865 206 4 7799 4490 16 61 2766 1 10684 6132 1 212 1037 6 3337 7676 2 10616 2678 2 14660 7853 8 5508 525 3 18501 156 5 5453 1237 15 5288 6278 1 17556 3364 1 3406 2269 1 3772 489 7 14197 1751 4 3978 3507 1 5775 745 2 7412 7933 2 8706 244 2 8269 799 1 15206 3367 1 1900 3206 2 18303 3334 2 11992 4589 1 3086 5083 1 18172 401 1 6013 5051 6 16089 506 1 18115 5327 1 4332 2678 9 14657 1721 2 1892 2569 1 1744 231 2 2711 214 1 11535 5971 1 12680 1863 1 18886 400 1 14091 4573 1 13351 1286 1 10362 2698 1 6327 1374 2 16681 203 3 4998 880 1 10481 236 7 18071 6460 1 16096 233 2 6878 6330 1 18040 3301 1 15442 7519 1 14753 1228 3 9067 7229 1 17996 536 2 7065 3556 1 15146 2666 6 8159 558 1 9044 3600 1 10663 7965 1 658 1748 1 4259 1685 3 14639 1341 1 11502 232 3 19379 222 1 108 4828 2 11567 903 1 9341 1764 1 5100 3587 1 17602 1235 9 19494 1685 1 14914 235 1 2368 6716 2 16594 505 5 14449 6159 1 13663 2057 1 14897 1910 1 4857 200 5 2362 5031 1 13986 5521 1 13883 186 1 6907 1366 4 656 1292 1 19752 7511 1 886 4258 6 12866 2678 1 17313 623 1 15100 874 2 19178 5286 1 7530 1819 2 15810 23 13 15436 1789 1 6114 6596 3 3375 1779 3 13539 496 1 3498 7410 1 19156 5414 2 8730 5313 1 242 3973 1 5453 1243 15 2587 3454 1 171 7828 3 6866 1781 3 8761 230 1 1910 1734 1 6762 6723 1 7111 508 1 3012 785 1 8016 4868 2 11835 7462 1 152 6856 1 13916 4145 1 8458 7487 2 11872 367 1 15907 23 1 12525 3785 1 7516 2555 21 14536 4653 1 7048 2678 12 3323 6198 2 5453 1768 10 10114 2338 1 6809 7351 6 11072 1342 3 19450 1020 5 787 1235 1 8528 1245 2 14656 7719 26 13 846 4 13881 5255 4 174 7992 1 7476 696 1 4859 4245 5 5616 8003 1 5433 235 2 4155 4248 1 15167 7554 1 5952 501 5 1892 8141 1 19461 4680 1 13806 600 2 18390 7647 1 18748 156 6 14969 5664 1 9106 6252 1 13705 1747 1 4935 3238 2 1931 200 1 12054 2492 2 15766 7890 4 7795 5565 1 19433 15 1 3705 1245 1 9549 4389 1 12826 2043 2 17984 3247 2 16087 5767 1 62 2880 18 6492 1245 1 4056 10 2 8693 3494 1 17013 5986 1 10 275 2 4592 6526 2 124 5388 1 11134 5420 1 12146 1734 2 8641 3308 29 18380 3155 12 126 5623 1 6313 7938 1 13601 4413 1 3735 2361 6 9397 1719 1 18887 3024 1 4305 5255 2 1996 128 1 13126 1470 1 6769 2801 1 16886 8117 2 18115 186 14 16076 1727 4 2179 4623 3 18070 1395 4 19286 470 13 9409 6494 1 4805 1234 2 15047 215 1 11952 7915 63 11604 678 1 14328 3287 2 140 6358 1 17847 558 1 16931 1277 1 8961 232 10 10613 3671 1 16390 1727 1 2704 1207 15 4954 6192 1 17285 6620 1 9534 38 1 16114 222 2 2929 4618 5 1279 6192 1 15398 907 1 5738 884 7 8117 215 15 12102 5060 2 13023 1629 1 4459 3567 1 19670 219 1 5430 219 4 19991 3325 1 16063 1573 1 944 4343 1 11483 1246 2 2847 2708 3 2830 2683 1 6853 449 1 9854 5446 1 18348 5730 1 5053 304 1 6414 3065 7 2885 4242 1 11336 5519 1 4721 6260 1 1625 846 1 5213 1703 2 7445 2482 2 20232 1519 1 18010 7787 1 15532 1251 7 3406 2475 1 17541 839 1 3261 5252 1 8153 2481 1 9661 1407 7 10246 203 10 16254 3494 1 8735 1367 4 14301 5700 2 2926 5004 1 67 3244 5 4263 2712 1 11086 1251 1 3578 2295 1 2834 6295 2 6893 2508 1 5056 3906 5 10233 1946 3 3152 6150 2 19056 4596 5 17019 3262 3 4204 2591 3 12598 1752 1 16096 1249 2 7784 46 1 6032 1342 1 7327 2979 9 8493 1819 1 130 5822 2 5049 4056 1 5837 6031 1 20207 1518 1 18887 2595 1 4055 595 2 12775 3916 1 15978 100 3 5174 4006 3 174 8069 1 16063 411 1 6180 5996 1 2381 3331 2 10301 1890 1 15144 4252 1 10755 3216 1 3897 2731 1 17778 2509 1 20151 207 12 9096 2196 2 18879 2508 1 13 263 5 12133 4012 1 587 470 7 179 8193 9 5248 5130 16 6540 1781 2 6527 823 1 4538 206 9 12922 3398 3 8004 7013 3 678 4132 1 7731 534 6 16020 222 2 11968 1383 1 2629 1243 2 18508 5442 1 10584 191 2 15307 1779 1 2674 2026 1 18561 2889 1 181 8225 1 11613 684 1 7056 4604 1 5392 5555 1 8126 624 1 7498 1788 3 19822 7983 1 5613 2951 1 9250 794 1 18880 6435 1 11961 3592 1 6016 207 1 91 4107 1 3800 7717 10 4616 5348 2 4106 1331 1 14813 2791 1 6801 1852 3 7750 1717 1 13591 2511 4 11736 7996 1 1491 8175 2 15892 5853 1 17252 844 2 15599 2786 1 12688 581 2 4257 8191 2 17580 5064 1 8698 207 1 6659 4312 3 5972 5567 1 60 2715 1 4492 512 2 16570 1691 1 17 1175 7 16022 3403 2 7240 7955 1 7994 690 2 12606 1253 1 712 4325 2 4361 3540 1 20017 2056 1 11072 411 10 17300 1369 1 2529 661 1 19865 7027 1 18944 1752 5 6889 7094 1 18808 3671 1 3258 3333 1 4207 1703 10 7805 514 1 17 1041 2 7991 4961 3 20226 6031 1 12618 292 1 9793 3693 2 1241 6091 1 17373 510 7 4963 1210 1 8762 4473 1 9954 952 22 1638 6623 1 2185 8183 1 3108 1235 1 8028 7249 1 4492 1827 7 1895 7308 1 16493 2076 5 14685 3516 6 17182 2786 1 982 4036 1 15861 1731 2 348 4789 9 6822 347 1 8369 11 1 7089 4279 2 4560 8012 1 17932 7491 4 12987 4998 1 62 3022 4 19724 1717 5 4554 4351 1 16826 1199 2 17476 4036 1 9199 3530 1 1606 766 2 5831 2559 2 8200 7702 5 14297 1623 1 174 7896 4 13705 6723 2 14374 196 1 11230 696 1 1706 200 8 8423 3233 1 18027 203 1 17735 5325 2 433 4476 1 13893 6628 1 13165 3853 1 15833 231 1 12984 1721 1 18944 8066 2 18676 2686 2 17788 4831 1 10783 6682 1 1745 335 1 455 6626 1 15509 532 1 5172 5940 12 12828 524 4 10583 303 3 18237 1724 2 27 1594 1 40 2087 2 11458 2377 1 14757 1242 1 12018 4866 1 19470 5243 1 15762 6459 1 15849 2355 1 17560 2639 3 6683 3923 3 9804 5523 1 14900 1248 1 6588 5405 5 17416 13 1 1631 3326 2 14305 577 8 19818 4582 5 10382 3333 1 15794 2977 1 19034 7136 2 18757 7221 1 4492 201 2 11953 969 2 1233 221 1 15576 3023 1 18915 1789 1 11899 6793 1 5617 6051 1 15849 4181 1 12856 1756 8 6461 184 3 5781 3879 1 2753 3622 6 4000 4763 1 16476 1512 1 13417 6716 1 3287 828 1 18375 2403 1 14151 3423 7 14245 2949 1 14385 4022 3 18518 833 1 12262 506 2 16021 1871 2 15364 4579 1 10242 1727 1 4092 681 1 8548 1726 1 2977 5090 3 9764 5253 1 4055 3430 1 2488 1721 2 2674 1445 1 6839 6341 3 8498 1644 1 7972 6252 2 13771 7271 1 1520 6713 1 17575 5804 1 14606 4282 1 1331 7320 1 9808 214 6 6699 207 2 19746 2155 1 12934 1466 1 15096 5546 1 4822 196 17 14720 3273 1 10452 766 1 2902 229 1 6658 5413 1 10916 367 2 10452 737 3 17 1142 1 9545 3391 3 8426 5703 2 12704 4383 1 6420 499 1 173 7850 1 7460 2727 3 8383 2897 2 13405 1023 1 2045 1721 1 18755 7410 1 1654 545 2 819 7672 1 2115 2646 20 19289 196 1 3902 3954 1 6168 200 1 13402 89 1 6387 2118 1 1847 1793 1 14053 220 1 7683 5060 1 18501 507 1 19853 1672 5 20265 4076 1 7886 7254 3 18690 2534 1 16517 7446 2 2710 3462 2 6338 853 1 14695 1464 1 5745 7719 1 18790 2428 1 2583 1752 1 17495 7632 1 18631 2254 1 1040 6126 3 1836 3602 1 15572 1757 8 7202 2169 8 7708 2493 1 11107 4090 1 12090 728 3 875 2557 4 6683 232 10 6292 2497 2 12291 7021 4 11912 792 1 3110 3554 1 9445 3081 1 17909 3869 2 1948 38 1 9503 2633 1 15564 2673 5 17463 1950 1 487 514 1 7577 1105 2 11287 306 1 2985 635 1 8924 1146 1 83 3803 1 6401 1751 1 17174 4211 1 10123 5703 1 5952 2097 2 3755 2675 6 787 2056 1 11215 5995 1 6313 10 6 2471 517 7 12888 1729 3 5859 1761 1 10786 2718 1 10923 1610 1 4327 510 2 9242 4761 1 11160 2009 1 7994 582 1 3362 7621 1 8069 3876 1 108 1321 2 11216 1707 1 4397 7947 1 19599 5810 1 601 1593 3 1606 3364 1 11714 3836 1 15935 1209 1 10591 4506 1 2716 1251 1 1386 4333 1 18935 1244 1 15061 5257 2 6275 1241 2 15764 1772 9 2418 2386 3 11932 1771 3 15899 743 2 3010 10 3 3191 935 1 1540 15 5 14020 1081 1 5885 518 1 9700 512 1 5938 540 1 16416 196 17 18246 2410 1 15394 2699 1 11464 7167 2 5318 3571 1 276 7725 8 18015 520 4 135 6144 1 15201 1582 4 6846 215 2 6670 1751 1 17088 1781 5 8818 1819 2 18835 1770 2 10221 3587 1 6724 3557 1 3630 7529 1 2 125 3 3785 4656 1 7171 127 1 14792 1341 4 16238 236 1 11305 2699 2 15316 368 1 13073 520 4 2450 872 1 12892 3919 1 15159 3276 1 8427 35 2 12400 132 2 1050 4807 1 9 251 2 13983 1738 1 12858 6721 1 14184 3679 5 3931 1146 2 509 1772 3 3079 1985 1 14667 1342 1 18818 6052 1 5785 7963 1 14045 6027 5 19872 1295 1 13798 1315 1 9836 5137 2 9432 822 1 6420 6565 1 19658 1752 1 1770 470 10 15791 755 1 1927 184 4 11158 860 1 2739 7596 1 6423 514 2 2305 1820 2 4110 6414 7 5815 1745 2 6869 186 4 5378 364 1 536 74 1 2071 2503 1 7203 2832 2 12049 6236 6 4886 6414 4 18380 5060 12 18798 8141 1 10553 382 11 2935 6229 5 7028 7570 3 4145 232 1 8811 4505 3 9536 3133 3 18995 2675 1 1133 2380 1 9394 2484 1 7473 852 2 8591 3915 15 18546 496 1 2882 235 1 15219 7149 1 15495 5256 4 14905 1831 1 8605 4664 1 20201 7189 1 1341 7136 1 1144 5051 1 11333 550 3 375 4946 1 9813 1518 5 10847 2800 2 6398 221 3 18893 7854 1 11863 4865 1 8957 6603 5 7568 2646 5 7355 1038 2 14420 4792 2 8528 1781 1 8464 3875 1 10342 1303 1 13501 809 1 12699 3172 10 1518 1990 1 15627 6817 1 15666 366 1 592 2710 1 9710 411 11 7554 2747 1 7017 2974 1 9566 5336 1 673 7018 1 3552 200 5 115 5157 1 389 3842 1 14447 1825 3 3432 3338 1 7965 4998 1 13285 4029 1 3146 2737 5 6510 3871 3 9672 7689 6 7130 518 12 8509 4196 2 18689 6059 8 5745 1244 1 14428 6058 2 9433 4076 1 14146 2138 2 18434 1781 2 9315 3012 5 13556 3511 104 4472 221 1 15025 4088 1 7705 505 1 1141 534 3 12855 203 44 13691 5020 5 13872 221 1 15762 6386 1 348 304 13 13880 4016 1 5215 8033 1 7560 1238 8 2602 4578 1 130 5875 1 19178 604 1 13031 7936 1 1828 4095 1 4739 3113 2 78 525 1 14626 8079 1 20013 398 2 6332 4506 1 7968 2795 2 18022 1747 1 19401 3691 2 16355 3263 11 1968 1105 1 11461 508 2 8760 385 1 5594 1293 1 17127 1357 1 7219 1363 3 13642 2372 1 15480 512 1 18181 891 1 297 1776 1 18678 5018 1 11789 1369 1 3813 5612 1 5754 1082 1 8097 7829 1 11126 7200 1 6800 7715 1 12322 1698 1 3258 1248 14 13349 1677 7 5801 700 1 5179 214 2 1727 1955 1 1783 1251 3 9678 5051 3 9604 1721 1 19053 707 2 13607 3570 2 4189 4884 1 16152 6534 5 17367 235 1 470 70 1 823 23 9 10720 520 6 991 395 1 13027 755 1 11327 23 8 9374 232 2 15076 6751 1 19080 1657 1 67 3243 1 10973 8190 1 18546 864 4 8013 5120 1 11151 1747 2 4701 5268 1 11660 3427 3 6642 7570 4 17158 4780 2 7339 7601 2 12640 5082 1 4554 197 2 11558 3630 1 4739 1731 2 16689 5571 1 11270 4704 1 3572 64 4 4056 1887 1 14954 6679 1 6101 200 7 10043 1825 1 3376 221 1 17856 542 1 17767 7220 2 3749 1796 11 15184 2727 6 2962 911 1 380 215 12 11345 7541 1 6208 1763 2 1149 1819 1 9868 2510 1 18951 1781 1 7509 1464 1 3581 235 2 4843 682 1 14447 3556 1 16202 4427 3 5589 2508 1 10910 5670 5 10404 962 3 8128 502 2 17549 3907 1 2318 810 2 7257 514 1 17893 2488 14 9168 1395 1 13922 167 1 11502 6090 1 10730 5533 1 3536 3884 1 11693 184 2 4330 173 1 6038 504 1 822 4499 1 4532 647 5 7409 3228 1 4030 581 2 19319 2360 4 1378 7511 1 15732 4600 11 5677 950 1 13111 201 6 17662 864 2 171 7690 3 12404 3097 4 4789 560 2 20199 7817 1 15698 1718 3 10692 689 2 14733 506 3 1908 232 1 15871 3869 1 16132 581 1 15229 519 1 16787 3135 28 10692 560 2 19728 532 1 20261 5339 1 6526 5035 1 6690 818 1 4589 4012 3 18617 7565 1 13492 2357 1 9930 7512 8 17562 1334 1 13073 1369 1 9250 7883 5 6699 200 2 18206 995 13 15214 652 1 1949 411 1 10219 7948 2 14522 814 1 7452 557 1 184 3682 1 11212 2254 5 18999 1235 2 10221 164 1 8124 4662 1 16378 1239 1 15308 3338 1 7362 1495 10 5257 3762 1 9700 6091 2 18111 4992 2 8618 4029 1 7910 6018 1 9528 510 3 17434 4396 1 7188 6680 1 14570 3886 1 1878 7710 2 14357 3715 1 19027 203 1 8693 1736 2 777 2559 2 6313 4585 1 3281 2533 1 1660 1676 1 4618 6541 1 108 4868 1 1045 1895 1 19472 2528 1 5576 6255 3 19486 7670 8 14050 175 5 15775 678 1 10179 3699 1 4898 232 1 13399 4189 1 6158 184 3 1141 1698 1 6419 1401 3 1819 4379 8 6313 1757 2 4490 233 1 7146 7145 42 4985 4013 1 18246 411 1 12537 4716 3 4076 1747 3 12962 5903 1 10374 2558 1 15098 1244 1 19525 5018 2 10601 2679 1 11521 385 1 8343 7642 1 8739 3925 1 327 2495 1 13113 190 1 3029 7965 2 18623 4351 8 3584 745 3 14642 2362 1 2221 274 1 17585 514 4 4560 1244 2 6603 1311 6 2285 4623 4 1545 2318 1 14758 835 1 3619 1781 7 9517 1710 1 5738 5826 9 15496 1955 1 12913 566 1 3287 612 1 3726 1961 1 6421 5291 1 3490 1342 8 7682 728 1 14365 7817 1 4856 6457 1 11422 770 1 8439 1363 1 19241 148 1 2917 427 1 12322 506 2 7498 2771 1 11694 263 1 18066 8018 1 18703 23 6 18455 1217 1 14385 1829 1 9740 206 3 19131 822 2 3441 2180 1 8511 4632 1 10441 38 3 9122 4996 4 15244 197 3 17682 2247 1 1979 4796 1 14161 5505 1 2647 1453 2 14335 207 1 2508 4123 1 7817 681 1 758 1715 1 5495 1072 3 10670 470 1 19630 6754 2 495 330 5 3405 1417 6 4187 3515 1 7627 88 3 17682 1748 1 9770 225 3 11327 4312 1 19579 7531 8 1012 2736 1 4436 817 1 18578 1769 1 3059 589 1 7532 1302 1 9628 654 1 2674 4972 1 2703 6225 2 5568 6701 4 11934 7349 7 19760 344 1 17389 1246 20 4992 1776 6 18244 447 1 6936 5564 3 5515 519 1 9236 3595 1 17342 5603 1 1889 4069 1 15840 2228 7 19076 6268 10 10587 4670 1 4064 1784 4 1233 4427 1 8153 2980 22 9603 3910 1 1433 3333 1 12718 207 1 13126 7769 2 174 7988 2 123 5363 42 9388 2284 1 9538 7788 3 12933 514 2 15833 6756 17 18257 2448 1 17672 1771 2 14724 4076 1 18304 4827 1 5882 624 1 135 6243 2 5490 2356 1 18560 7326 2 1490 2392 1 19901 4795 2 20145 1234 3 2221 5733 3 2470 3067 3 5373 23 1 15530 3298 1 658 524 1 13032 2949 20 14710 2915 1 4417 223 6 21 1401 1 13115 361 1 14769 201 1 17987 7995 1 6700 1827 16 11058 1771 3 17343 7641 1 3017 6705 1 5370 4177 1 20082 5105 5 1379 1728 2 12663 1825 1 8597 5659 1 8240 206 1 8679 48 1 5645 525 1 11195 910 1 18893 1066 2 4268 7474 2 19145 7117 1 5632 6065 2 14125 4085 1 13476 3155 1 2920 229 1 121 548 2 16777 1719 20 20 1270 6 3947 4992 1 11442 411 21 819 7811 1 20275 2958 6 6294 1146 2 4602 5595 3 3521 3367 4 100 4537 1 5830 2392 1 130 709 1 6024 543 4 10865 1745 1 16500 533 6 13358 1492 5 16886 221 1 12205 220 5 7824 173 3 1173 931 1 17470 2126 1 18634 3389 8 8243 526 2 4068 1740 1 9572 849 2 18435 141 1 3025 1752 1 11533 762 1 1899 3020 6 3473 7148 1 9857 1240 4 9494 7518 2 4552 2367 1 18149 1275 1 16928 1714 2 15943 6075 1 12916 926 1 1174 8194 2 6652 1416 2 16857 1772 1 8748 1466 1 20020 4998 8 4283 3192 3 8532 3081 1 1825 6672 1 19219 1147 3 16415 6880 1 4345 2522 1 16129 7425 1 18285 6899 1 10114 2109 2 750 2552 4 4493 597 2 787 5478 1 6517 5255 1 7301 1770 1 4016 1737 1 944 1595 2 101 4588 1 8875 3645 2 10852 1732 1 15943 2144 1 10840 6703 7 12715 521 1 4581 4982 1 13374 3074 1 9791 5325 4 17550 4572 6 19326 892 1 3663 488 1 601 1703 1 20191 5342 1 6522 222 1 15091 2558 1 19312 2678 1 10670 1827 7 1074 1772 1 10681 568 3 8226 1753 7 16665 3285 4 13743 1295 2 6492 5394 1 7786 214 1 5246 5950 9 11758 510 1 2980 2508 2 2871 1675 1 380 496 2 9361 2863 1 19332 2478 4 15195 173 3 11842 5475 1 5031 6477 1 12441 3338 4 11926 2016 1 979 1997 8 7262 6162 3 3270 2710 2 19216 3674 1 8439 1239 1 4054 1722 1 2087 3760 1 19607 1338 1 9718 2013 1 9157 4344 1 4632 2558 2 10610 236 1 16306 2782 1 12126 1783 1 12897 7069 6 768 4090 2 14755 535 1 5380 1464 2 18064 1359 1 6010 186 9 15936 1253 3 2707 6714 1 2509 5306 2 3364 7850 1 5100 3072 5 16810 586 1 9587 656 1 4426 201 24 16674 5159 1 19600 3167 6 2779 225 1 4072 1235 2 5003 663 2 5455 220 3 18546 1825 3 19596 1421 1 4550 1635 2 899 964 1 8528 880 2 4626 5318 1 7184 1788 3 10543 3389 13 19010 4643 1 9580 223 5 12335 1022 1 11399 3705 1 17796 4974 1 3668 4252 1 16024 937 8 16998 201 10 132 6002 1 1389 4948 2 6149 2569 1 18909 1184 1 930 3842 1 958 3910 1 18797 3333 1 19193 1747 1 10575 906 1 17345 4155 1 17184 911 1 15715 4038 1 9106 7136 1 16825 229 5 6700 532 11 1801 4203 1 2761 6884 1 10826 2889 2 16734 2016 2 8969 864 1 6609 6738 5 20165 1567 4 16916 6340 2 19162 1720 1 4471 4653 1 5310 602 1 14900 201 6 7571 3570 1 18476 3234 1 365 1092 1 99 4460 1 5773 2010 5 5004 5966 4 12806 411 1 4886 2827 5 20275 2815 3 5124 1333 1 9831 13 23 11565 253 1 891 15 1 2529 791 16 13730 7477 2 11654 8036 2 812 4307 2 5725 1982 3 15778 1268 1 12988 1686 2 18623 508 1 2010 2103 1 8443 6058 1 13665 7719 1 18886 4518 2 15180 7850 1 1143 4010 1 18711 845 1 14265 2944 1 972 7419 1 17062 874 2 19937 7652 3 11596 509 1 7142 1819 17 7185 4002 1 12328 5996 2 1081 2401 6 17655 910 2 8451 496 1 1572 215 2 19774 942 1 14612 3190 2 2135 7602 1 19160 1705 1 16595 1827 1 4255 858 1 19772 1237 1 147 6707 1 15059 8181 3 16828 7216 2 2413 3156 4 70 3277 1 11332 1395 1 19872 1825 8 6434 788 1 7535 1726 15 5784 1275 3 7764 3021 1 12970 1602 1 12723 3916 1 17056 5097 1 7452 753 1 64 3057 7 10688 696 1 18122 7477 1 14612 196 1 6533 1147 2 7057 1819 1 3395 236 1 18122 5408 1 11632 8175 1 8537 1656 1 11430 1277 2 12140 1722 4 7428 4686 9 14566 1755 1 2045 7719 1 12821 1721 1 5983 1561 1 6154 541 1 12770 5245 5 6630 7619 2 8614 5996 5 9554 10 2 6112 153 9 18092 1819 3 11155 5690 6 10242 1244 3 6854 212 1 17955 4435 2 252 3191 1 13351 5555 1 19362 223 30 3971 4801 1 2886 2841 1 17878 3685 1 2103 510 3 9753 5379 10 16186 1404 7 3687 755 1 136 6257 2 12967 1772 3 18737 3679 1 7751 235 7 8129 803 1 7435 164 49 5936 1775 2 7348 5974 3 6498 206 2 6525 292 1 3701 4746 1 13935 2741 1 19508 1736 1 13589 1748 1 9693 23 1 18604 5504 1 10459 1343 1 2922 7602 1 18518 1146 4 7941 82 21 11948 541 2 13933 4945 1 1908 2749 2 19706 4704 1 13100 6500 1 18806 165 1 12695 3230 1 17039 4397 2 11216 4204 5 3399 411 1 174 7872 4 8518 3311 1 16697 1814 1 9894 1007 1 8483 5332 1 20191 819 1 15318 7105 4 17324 2118 1 16549 4041 1 181 8218 1 133 6089 3 14960 894 1 19217 263 2 17235 7772 1 8826 2698 1 8128 3081 1 5862 5133 1 17220 606 4 19079 1769 1 16075 1363 1 19139 5502 1 18633 2427 1 4158 2675 1 8051 843 1 3134 1037 5 14114 629 3 11488 501 1 2512 3167 1 17405 235 2 11857 1775 1 5364 3333 3 10509 753 3 2966 532 3 9680 2517 2 6630 2881 1 8877 495 1 8223 5294 1 7440 1758 1 5216 943 1 4328 207 50 11938 5513 6 7733 3959 1 17836 1719 1 12174 4400 1 9429 173 1 19217 6058 1 9245 6597 1 11316 1726 1 16378 1703 3 18985 2484 6 9168 1356 1 13100 219 7 379 3353 2 6096 5508 1 2778 1361 1 7346 501 1 7056 2675 7 17973 82 8 11776 1706 1 13800 33 2 5963 868 3 1660 634 1 18174 848 1 6228 812 1 17710 2165 11 3830 6738 1 10579 8061 1 2868 3230 1 171 7622 1 16933 1728 2 6172 957 1 17886 683 1 19784 8191 1 4496 2241 1 13251 8184 1 9836 4470 6 11488 2206 1 3099 4344 5 6089 23 3 8210 7936 1 14908 4405 1 10158 23 1 14578 2016 2 745 1244 3 19200 910 3 15851 8192 8 11461 1395 2 10152 3620 1 17987 2649 1 7692 7403 1 15378 1928 6 7028 1248 1 6215 4090 1 5478 347 10 3857 944 1 2212 6383 1 6463 2369 1 9558 4245 3 16222 5907 1 11129 1781 2 15608 292 1 5864 6237 1 8832 443 1 5453 1705 15 18761 3702 28 9171 225 17 7886 2542 2 9709 4795 2 6829 188 1 15497 7474 18 10554 5844 1 17635 206 2 7418 6220 1 17151 1150 1 4619 853 1 15272 2675 2 17436 719 6 9171 2786 13 11599 7216 5 14579 1745 3 15676 5324 1 9733 1752 8 9322 2591 2 9916 3267 8 565 203 1 2022 8132 1 7682 917 1 15075 6643 1 5860 1764 1 12118 1235 1 17675 7890 1 5205 252 7 12971 5022 2 6781 4566 1 754 8172 5 15718 1801 2 143 3663 13 12088 23 1 3581 1235 1 4767 2352 2 3978 5068 1 10832 3593 1 16999 6714 1 14075 7008 1 6907 1169 1 15214 715 1 8273 2559 1 10396 6656 4 8910 308 2 7610 712 1 4963 2548 1 20007 5315 6 8226 505 7 10843 7477 2 15372 4476 1 19511 5457 1 16522 6341 1 11145 190 22 19219 407 1 135 6220 2 415 505 5 19504 514 7 17969 3024 1 3705 824 1 15039 5043 2 12638 1782 4 14144 7745 1 17136 4615 4 791 1474 1 7104 4561 1 8633 5866 2 4057 950 1 19390 3163 9 8402 1399 1 7212 2640 3 14051 3521 2 19639 705 8 8982 184 2 11868 270 1 7310 2889 1 312 200 1 19517 5578 13 2428 1721 1 5623 505 3 12269 1342 1 13901 5272 2 7174 4002 1 17664 1827 1 5425 7471 1 4256 5326 3 15634 225 3 12510 3093 3 7275 2132 9 12971 1615 3 3025 541 2 6688 525 1 11663 3774 25 2429 1762 4 1629 2748 1 13 915 3 2857 2488 1 14011 5109 1 11925 6844 5 7994 429 1 8117 4113 1 17101 2363 13 14825 505 1 6762 219 5 14823 1054 1 16857 2131 1 4688 329 1 12550 1783 1 130 5885 1 17494 13 1 7028 199 1 6692 3827 2 7799 207 12 14127 3813 1 16096 6179 1 20248 164 1 7245 7240 2 11645 2366 1 17033 2647 1 18 215 1 4013 3686 5 4092 532 3 5859 3883 1 17086 3775 1 7278 507 2 351 410 5 12970 3799 6 11769 5420 2 2965 2640 1 14109 597 1 12436 1996 1 7718 3059 4 6412 796 1 17088 508 2 13623 5385 2 15822 4713 1 19724 6152 2 11714 5466 1 542 656 1 467 891 1 4054 2699 1 18377 883 1 13414 1778 1 745 904 3 14853 1245 3 11181 2423 3 10316 1302 9 13662 74 1 6551 7692 1 9143 5234 4 6781 545 1 6106 4243 1 3892 962 1 10000 2504 1 1504 3313 1 20147 336 11 449 8148 2 1831 5478 1 16847 7466 8 1314 5251 1 7898 232 1 15845 6565 1 11718 4120 1 5312 420 1 119 5244 1 7528 1656 1 14005 174 1 4197 1748 2 16249 5873 1 6511 1727 1 2737 2522 15 13436 203 1 6359 561 1 15736 1275 1 4603 2608 1 9967 220 1 7432 860 5 10967 1742 4 8913 5097 5 20119 1675 6 19034 2747 1 16620 222 1 6473 1328 2 13605 4695 1 5602 1245 2 14064 2363 2 10427 4379 11 10114 4431 1 7917 3735 5 10727 4411 2 6727 4427 3 464 5251 1 9284 2917 1 16137 4144 1 16825 214 1 4498 723 1 13807 505 1 2880 3970 1 10390 4012 8 10518 5281 1 12351 758 1 11428 3909 4 10948 2877 1 11418 2768 3 4716 1721 1 1025 6181 1 4601 7934 4 16570 5989 1 18128 3908 3 3485 505 1 7246 191 24 19053 783 1 2629 173 2 15423 6534 6 10732 46 3 15687 2109 1 3364 7976 1 1839 6898 5 445 220 1 1073 805 1 9010 1638 1 745 709 2 4486 203 10 15788 219 2 12464 4992 2 8615 2623 1 12909 1364 1 18284 6047 1 2886 7622 1 547 173 1 12070 3019 1 13023 5629 2 6414 3956 2 14533 5121 6 11938 1357 10 9322 1483 1 18702 4949 2 6357 763 1 6906 1762 1 12294 3233 5 17549 7511 1 6000 3603 1 11263 2363 1 15683 5625 1 7377 7761 3 14060 229 1 6649 3849 1 11506 1363 17 17788 2498 1 1726 5397 3 7625 8201 2 130 738 1 84 3885 1 19180 2068 1 5293 203 1 15075 514 1 17907 3911 15 2962 596 1 13579 200 1 6390 1760 6 2476 5811 1 10218 3906 4 6803 193 1 7135 1718 1 7882 4922 1 9823 3406 1 12173 6876 1 11773 2151 1 10693 7410 1 3043 214 1 3642 5302 2 12574 3167 4 16891 7857 1 737 6979 1 16645 5881 2 12451 2584 2 3160 5174 1 19768 1695 16 17083 6342 1 4765 1062 2 1757 304 11 4843 560 1 13089 1825 1 10721 2197 12 17725 657 5 8159 292 2 16059 6682 6 2917 1458 1 2461 1752 2 6492 244 2 4020 2636 14 19124 6418 1 5252 2291 1 1210 3050 5 460 1305 1 12852 1193 1 13268 725 1 3581 498 3 348 1752 6 1488 1747 2 2827 7518 1 13183 89 1 14763 845 1 4368 495 1 15800 5468 1 18798 1967 1 239 2144 1 14612 215 1 9623 7603 20 20032 5909 1 17884 3511 2 11738 7415 5 19293 910 1 4257 505 1 11645 190 1 8757 7412 2 14522 190 11 304 4108 1 1946 183 2 3719 4363 1 16592 215 1 19241 7996 3 7660 1736 1 5195 514 3 153 6883 1 4699 1250 1 18174 5082 9 17640 3768 1 2083 411 1 18904 6901 1 17596 6150 2 14034 7719 9 3397 3596 1 8818 2094 1 16192 3516 5 915 3554 26 6752 2892 1 17450 6270 5 16040 1788 1 9813 203 2 80 3617 11 15935 1303 1 6781 1825 15 6416 336 6 12616 2250 20 13103 203 1 8382 851 1 4309 1295 1 16491 953 1 7297 545 6 15052 411 15 131 5999 5 399 7404 2 13049 1736 65 1379 7013 6 15272 1146 3 19053 618 1 15635 1595 1 19651 520 5 18102 6150 1 16012 429 2 13 911 6 5427 411 1 17931 194 1 2849 219 1 10145 3731 4 11127 4306 1 5443 6198 1 18134 5515 22 1231 2562 9 6692 3558 3 16517 8071 1 5588 3591 1 2036 5783 1 18246 5444 10 10313 4293 1 3397 893 2 3107 7178 1 12365 46 2 17734 7455 1 11156 1762 15 11709 5959 1 18887 2497 1 8921 518 6 2980 7075 1 17845 8135 10 17664 200 1 7455 409 3 2643 8111 1 11430 187 1 62 2807 1 3665 81 5 1745 153 1 1893 3567 7 16235 3895 11 15898 1557 12 17254 1705 2 19262 3322 2 16196 1824 1 4493 684 1 9548 4945 4 99 4469 1 5573 2014 1 17257 642 2 19990 203 6 834 519 1 2886 7045 1 18207 6564 3 19374 224 1 19805 1417 4 10155 196 58 8532 203 4 668 5897 1 17290 2292 3 9109 194 1 8678 7487 2 18069 3216 1 8922 3228 4 16197 5018 1 2019 7098 3 19792 3618 1 8974 1819 3 7644 1713 2 2341 232 1 11461 910 3 7524 1703 1 873 1140 1 17950 46 21 4022 4267 1 7169 2980 1 8391 590 2 17120 1955 1 170 4363 5 4603 2481 2 15676 1239 1 4683 3227 5 5928 6139 1 6003 1734 18 16725 3426 4 15263 201 3 2101 4043 5 13893 6662 2 4898 7792 3 140 6371 4 18815 200 5 11077 506 2 19718 2248 1 13064 3652 2 3151 5730 4 15055 2543 1 7640 6675 1 5773 2369 1 11851 2822 1 6096 3625 1 12283 1825 6 10 354 1 8406 1743 2 16835 2727 6 5897 759 1 7702 1363 2 16008 2683 8 4504 23 2 19879 2735 1 3916 221 1 7991 1755 1 6680 1819 5 9749 3104 1 13323 828 1 2882 3304 1 3127 184 1 13029 1825 5 6466 1243 6 13091 2736 10 17707 5348 1 16494 4248 1 11313 252 1 15726 194 7 19338 1474 1 2740 3914 1 2839 313 1 2450 5561 1 913 876 1 16248 4446 2 16024 87 1 18127 509 8 19509 471 1 4148 1772 1 18232 3698 10 1453 7450 1 18116 1698 6 6061 417 1 2488 1770 1 6645 2686 7 7409 4245 5 17445 169 6 13543 718 1 9565 200 1 19608 252 2 19258 2560 1 12934 7309 1 15979 2114 1 17211 1681 6 42 2199 1 16863 4986 4 8443 2020 1 16542 1999 1 1417 2555 4 3976 1234 1 19030 2853 1 8832 2889 2 2777 6341 1 4374 1705 10 9947 3775 4 6335 4974 1 2731 5758 1 19900 532 1 13067 1400 1 9010 5018 2 1731 4992 4 8528 201 7 11786 1245 2 5117 622 3 109 4993 1 20262 1743 3 14385 4357 1 20231 1734 1 17638 1085 1 72 3334 13 6854 223 3 17088 1357 1 5756 4123 1 2570 6057 1 6343 3748 2 19707 525 1 18814 150 1 14479 6360 1 10799 4972 11 8924 173 1 11404 6288 1 14146 1156 5 126 5603 1 1631 3747 1 6885 3602 3 7802 1328 1 14416 4400 1 16260 2151 1 14305 819 1 14493 2912 12 3037 1734 1 572 453 1 3571 512 3 3147 1665 1 19526 1244 1 6997 1046 1 1561 200 2 87 4013 1 11336 5523 6 5675 502 7 16844 6682 1 4023 427 6 11661 6541 1 8532 4435 1 14305 769 9 16825 3691 5 16844 723 13 1072 4105 1 4505 1374 1 1446 3917 2 13266 7533 1 10120 3425 1 16855 1342 1 16221 23 2 15715 2727 1 822 708 1 16053 218 1 11686 6484 1 208 4375 5 7000 3974 1 9341 698 1 14602 2005 1 2032 200 5 14289 6053 1 6907 3393 1 9748 10 1 10219 1146 2 17184 816 1 5681 3070 1 1357 6096 1 8489 2386 4 15576 3045 1 18592 619 2 20044 1286 1 3134 1705 1 19544 411 2 19356 835 1 10670 2555 6 3805 7355 2 10435 3414 4 5029 1719 1 3090 292 1 20275 2012 1 4583 5862 1 19428 512 2 5431 3257 1 13601 1450 1 11554 524 5 19681 3836 2 1150 23 1 7628 532 2 3414 8141 1 14036 4020 1 9381 2627 1 6889 1313 2 30 1702 1 13089 1249 1 20013 4513 1 13880 718 7 2041 2559 8 3468 2617 1 11204 5271 1 4170 1695 1 6575 225 6 10254 544 1 1711 4123 1 8823 2003 1 15992 714 1 18158 5837 1 4716 1732 1 15881 1582 1 9645 665 1 128 5768 1 2761 1531 1 8451 2710 2 1756 6009 2 5821 600 1 10702 5348 1 13640 2662 1 18149 867 1 7312 23 3 8670 4613 3 19737 6220 2 16266 201 2 15426 4393 8 14543 4361 11 13730 6666 3 16914 4009 1 15960 219 1 2685 7439 1 9021 7881 5 15559 3689 2 2739 4572 1 9134 876 1 19630 520 5 1029 1731 1 6570 2464 1 18593 1733 3 12614 1363 2 17461 6507 6 15208 2290 1 11616 5349 2 18472 6801 1 13060 1466 1 9519 6311 13 12669 2353 4 5238 520 1 7035 4088 5 7997 1819 1 16891 1591 1 9061 1685 4 13839 1704 1 9551 1303 1 14758 2507 1 18508 6270 1 2858 575 1 7709 201 1 413 4409 1 19807 4326 1 8097 3163 6 17009 1747 1 19602 6917 1 7872 1827 15 3938 201 17 16484 7370 1 10325 911 2 5600 3167 1 9656 438 1 14200 229 4 8540 3836 2 8358 2083 4 7454 4373 2 83 3836 2 891 1721 3 86 3937 11 1461 258 1 9108 7407 1 11072 3731 3 16806 1721 2 3892 6892 1 11252 1661 1 10031 5763 1 3331 3518 1 14416 4401 1 828 4615 1 18320 3015 2 10222 2068 1 16776 471 1 4552 2502 1 10201 1703 1 18548 95 2 12766 177 1 12930 5349 10 9511 7029 1 5117 76 2 1801 452 2 8459 1681 6 16881 292 1 10146 4014 1 13997 5905 1 16742 876 2 12658 512 25 2519 1734 1 18375 7491 1 16844 880 10 18711 1035 1 14738 1819 3 12731 4102 1 3521 2746 1 8730 1571 1 13671 3400 1 7893 4415 7 10828 1471 1 18610 6341 4 5934 6570 1 10852 562 5 1985 5251 1 7724 460 1 15405 2488 1 1399 2013 3 669 232 1 6847 90 1 820 1454 1 5675 7227 4 1223 7859 1 13564 1529 1 14770 859 1 16491 825 8 10382 2489 1 14306 5445 4 14582 365 1 9773 649 1 8532 1770 3 15145 194 2 15344 2352 1 8226 1105 2 10670 508 1 5356 5253 1 684 221 4 13132 919 3 706 5513 1 18755 7231 6 6750 1838 3 17150 2349 1 7575 1244 2 3079 3511 1 10973 4022 1 16231 1200 2 11898 1595 1 9490 2248 2 3815 5272 2 18866 3070 3 5933 745 9 432 2555 1 16784 2509 1 1422 1660 1 12154 219 1 6854 1416 1 5294 2727 1 20165 201 4 1744 4156 17 7099 495 1 1011 853 1 2770 4391 2 3663 2010 1 17372 7968 3 3416 7545 1 3973 5260 1 16916 1401 1 1460 95 15 5025 501 1 15924 496 7 15687 4266 2 12511 6200 1 18763 1730 3 1625 422 1 83 3800 2 20065 3704 5 16125 6746 3 3446 3629 2 10042 4435 3 18386 3003 1 5292 2534 1 3123 23 1 18168 1037 7 11014 5506 3 6514 225 1 770 6102 1 12196 1322 1 10462 1022 1 18857 225 1 10094 1747 1 10064 512 8 1126 6705 3 11835 7244 2 6568 6159 1 9281 2248 2 19222 2678 10 5576 1638 8 73 3381 2 13 603 1 3012 1298 1 17065 1342 1 5652 1537 5 13 910 2 4488 316 1 19145 4029 1 5851 2651 1 15722 502 1 10581 1507 2 3178 1243 1 18743 3370 3 13071 3338 1 4662 498 2 11072 566 3 8386 3377 1 11891 5227 67 18240 167 1 14211 11 2 7107 4653 2 13976 2246 7 18116 7332 1 14218 6120 3 5003 696 2 6557 23 1 8878 6152 1 5863 2636 1 18276 148 5 6496 427 1 18835 1734 1 19794 3900 2 1584 2448 3 12935 1339 1 18681 554 1 17887 1742 14 11725 23 2 135 1342 1 1019 5031 2 3090 1770 4 14964 2831 1 5082 1248 1 14400 1686 1 4137 13 1 11881 1244 3 5237 2649 1 18050 1731 1 7670 573 1 13530 4407 1 10799 2555 2 4236 3213 1 12850 1374 6 9777 1582 1 19774 5259 2 4631 1677 5 3446 6152 1 10416 6127 4 14131 5730 13 6838 698 7 14406 7706 6 70 215 1 757 8054 2 7261 1729 2 8585 2881 1 16698 2588 1 11939 1629 1 7819 1738 1 3945 2192 2 19541 6373 1 18667 173 1 4465 5134 1 8597 5023 6 14925 409 1 20077 7227 2 11153 225 1 14208 219 19 2921 4992 9 4483 4435 1 20173 1595 1 16667 303 1 16857 1681 8 14239 5541 3 2386 6629 2 18091 2087 3 1606 767 1 167 7563 1 858 2047 2 11010 3462 1 8258 6091 1 15199 6687 4 17353 6368 1 17585 6744 1 18040 1349 1 1839 2548 5 15806 4222 46 1986 200 2 14926 7229 1 5986 2647 2 551 2350 1 10656 7902 1 12935 223 8 17331 910 1 10160 4162 1 5848 81 1 14305 2915 3 17655 2555 5 7412 381 2 14951 5817 2 11473 3219 7 11219 3345 2 8892 1251 1 6451 973 1 9364 5266 2 3815 6051 7 15781 2721 1 8451 764 1 17137 5945 1 11563 8081 1 13550 3386 1 2662 6537 1 6989 787 6 14522 1771 1 1560 2377 1 1026 865 1 31 1249 3 10469 1076 1 9886 662 1 14599 769 2 10536 6602 1 17507 2894 1 13960 6683 5 14059 2795 1 11367 1719 1 20257 3 1 14843 3511 5 14357 3516 2 13642 2373 1 7227 4623 2 2204 2955 1 9556 7963 1 20030 7853 1 16395 4796 1 11072 1726 3 16741 471 2 18040 3087 4 7278 1783 2 392 4708 45 15362 860 5 1765 4967 1 8198 3751 1 11 387 1 18518 385 9 16063 387 1 18195 840 1 5748 8054 2 15940 300 1 10679 525 1 7099 883 1 14791 220 16 13785 3135 32 9719 3167 1 633 207 1 17125 510 9 8573 4320 28 19180 5146 1 12807 1737 10 13234 5305 2 14145 7965 11 9869 3653 3 12988 514 2 11353 8069 1 6855 6571 1 17956 1105 4 7790 2388 1 12962 4540 1 1071 372 1 12199 7629 1 1682 196 4 4376 1374 1 13674 2182 1 9343 658 1 18037 7362 18 4716 1243 1 1937 5708 1 8941 985 1 14493 3248 1 16684 1093 43 2687 3020 2 4547 219 1 11554 1728 1 3215 201 2 10670 2876 5 16048 2021 2 17709 1665 1 2905 516 1 5247 515 1 3214 184 1 9724 190 1 5803 207 8 13127 702 2 17335 2959 1 15666 3798 1 19316 3591 5 7099 303 1 7679 1975 1 1565 6242 1 10786 1610 1 8318 6510 1 11363 1721 1 1345 3921 1 19387 6414 1 2267 3219 1 5486 3334 5 14599 846 3 3626 5619 1 7339 8171 9 6564 2632 1 17348 1342 1 745 3477 15 14871 187 1 2712 1472 2 3080 2056 3 3735 1714 2 18715 6132 1 5960 3039 5 13461 1779 3 18071 2509 1 1107 3313 1 19606 1762 1 8391 5325 2 4549 1734 1 30 1698 2 8191 2484 4 11002 233 7 3090 867 1 2748 2362 1 13088 2254 5 19448 4357 1 3668 6083 7 9011 1887 1 11377 6758 1 2795 700 15 14047 1634 1 18201 501 1 5348 6009 1 5594 1743 7 14784 3556 1 16958 6777 4 18887 47 1 1986 1240 1 3264 520 1 2414 385 7 2800 888 3 10063 5257 1 6327 1783 2 13664 6192 2 20145 1761 1 13684 1074 1 12618 274 1 16906 3009 1 4147 2450 7 19320 5309 2 16089 1695 1 9453 2729 1 19739 1734 1 1174 2736 5 5588 2338 1 7334 937 1 1743 890 3 6977 22 2 7553 7491 1 16799 1755 1 3892 5123 1 17321 719 1 8286 1243 10 18979 525 1 3536 6793 4 983 2595 1 1904 1724 1 6226 499 5 14292 1922 17 8120 7719 1 9177 173 1 14052 7857 1 143 6507 1 2344 200 1 916 816 1 17505 8139 2 12660 945 1 1595 7604 3 12212 232 1 5742 1453 1 2764 3135 4 8987 2789 1 10549 1783 3 10852 6442 2 10875 2747 1 18614 4311 2 13743 520 1 4779 1282 6 14957 1356 2 1608 6917 2 2997 1751 4 5142 5302 2 18876 794 1 6813 6423 1 31 1722 5 850 2691 12 10225 2103 1 17088 196 1 10815 2915 1 2190 7474 3 6418 1561 1 2814 200 2 9223 6435 1 4853 1764 2 10883 6627 1 14527 3333 1 6511 5325 10 16553 3438 1 17092 512 1 6796 1359 1 19822 6537 1 18548 7586 2 1625 4122 1 13262 1760 2 14896 5051 1 7652 3590 2 19293 229 2 20261 378 1 19500 23 1 130 5949 1 13305 1286 1 10340 4105 1 6570 5320 1 5478 3917 2 92 4140 1 1801 481 2 12187 890 3 11363 5559 2 19473 3911 3 10422 5986 2 7925 4245 1 13291 5414 11 8649 501 10 14427 7534 1 18281 4453 1 14618 4459 1 16489 4435 6 5763 6031 1 3246 6541 2 7226 6629 2 11208 6606 1 816 6268 1 15231 4525 12 18299 1416 1 954 235 2 959 1561 5 1007 1322 1 8791 6139 8 8605 4656 1 12821 2341 1 65 3143 2 4740 8167 1 6546 3648 1 18671 190 1 4574 1658 10 15948 4992 9 18508 2998 3 12970 1357 5 4574 1424 12 14312 4020 2 13323 3917 4 2270 1742 3 8730 586 1 107 1235 3 12412 761 1 15750 2517 1 3025 1726 2 1522 2549 1 5146 203 6 14532 4208 2 19342 4476 1 2947 2773 1 13374 219 1 6473 4653 3 14197 745 1 8760 2622 1 5078 2678 1 14787 6178 1 9909 437 3 11388 1887 1 14900 5408 1 18197 2261 1 4265 1241 1 9358 1764 8 9283 2878 1 8778 533 6 14606 235 1 7252 2504 1 6269 199 6 4462 7110 10 715 4585 2 694 2259 4 12484 34 2 19851 8051 1 16774 5018 1 7581 1367 1 17664 3338 1 7427 7569 1 14124 4373 1 14968 5128 1 10000 1103 1 1332 229 1 4910 200 1 13604 745 1 1151 7944 1 19331 1747 1 3116 2542 2 324 2698 6 7363 1395 3 8815 221 1 7823 681 1 7463 453 2 9281 4245 1 5605 7710 1 174 8126 1 407 3430 11 157 7204 2 17665 4933 4 16925 494 1 3072 3495 1 2222 220 1 19243 895 1 7780 3230 1 5686 348 1 7312 225 1 4992 1658 5 9463 7473 3 11678 1366 2 1733 215 3 7669 5792 1 13328 1396 7 6010 1146 2 103 4644 3 969 3747 2 18069 7020 2 17960 203 21 18659 1761 1 11215 4862 1 7446 1819 1 8391 794 5 1443 5407 1 7297 2595 1 11108 382 1 5518 5963 1 7663 1482 1 13829 1395 6 6819 1751 2 9567 8051 1 8329 1090 5 8435 784 1 10437 4351 7 14334 2675 5 92 4184 21 20123 220 1 5606 223 3 7170 1752 1 4767 3938 1 3258 1726 3 16805 918 2 14865 642 1 11377 5531 1 9462 3239 2 10999 3477 1 12412 907 1 5528 2949 3 2181 7772 2 7360 236 11 4170 225 2 6914 6159 2 565 2368 1 454 4833 2 1641 1829 1 18478 4248 1 1139 2969 1 7498 2173 1 19034 7020 3 9968 3649 2 4891 2146 1 10124 215 2 11296 2552 5 16810 670 1 105 4711 1 5036 4996 1 4852 5574 1 5826 3536 1 8710 2534 1 17418 4987 2 11270 477 2 15712 215 8 10663 201 1 18264 7131 1 147 6709 2 926 2056 2 14852 173 2 17432 3511 1 12729 203 1 17084 7466 1 14908 216 1 11521 793 1 3396 6705 1 18263 1783 1 15732 4916 1 409 2555 1 6102 1275 1 1911 869 1 4429 6554 1 15530 2697 1 7675 2079 3 4615 1146 1 12603 4297 4 26 1516 1 10245 1237 8 17977 1252 1 11857 1748 2 8938 2357 2 1178 308 1 10554 6288 4 11072 1772 2 8762 5135 1 12619 3760 3 18508 420 2 12121 3338 2 3259 6198 1 13615 4998 1 11160 3558 1 12459 1755 1 4767 1235 3 8913 3585 3 19079 4812 1 12292 7355 1 701 214 1 14758 3036 1 7571 6609 1 9194 3255 1 19865 857 1 15029 5315 1 3086 5420 2 7773 2728 3 15259 206 3 710 402 1 1439 269 1 5208 2522 2 10441 23 7 855 1303 1 10360 1290 1 19219 2097 1 5171 7250 1 10923 2338 1 14899 214 14 17086 200 25 11614 382 1 17662 1715 2 11884 4293 6 19425 3475 1 13770 4111 1 945 3430 1 8027 237 1 6342 1781 1 14658 3683 8 13994 2575 1 4408 5531 1 14998 2000 1 17508 2678 1 18281 4387 1 7994 259 1 1724 3876 6 4545 4059 1 10443 3589 1 18879 891 1 17905 2555 1 5243 3460 5 13579 1184 1 3239 186 1 9067 1743 4 18885 1757 1 7738 1751 1 10733 398 1 5623 6585 1 6290 496 10 11072 545 2 8793 5300 1 8191 5227 1 7997 5245 1 1696 4939 1 4018 2876 6 11533 877 1 12821 4022 2 9863 867 5 16766 6527 4 9279 1752 2 9548 8117 1 3094 20 2 2338 145 2 2855 7029 1 15614 3660 4 13111 225 3 133 6024 8 17384 960 4 8356 219 5 4448 4263 1 19865 1295 3 18410 1236 1 18232 1770 11 3792 1743 1 6144 2917 1 13132 930 1 8348 7407 1 6337 3558 1 3940 712 2 10497 233 4 8969 1739 1 1091 7403 1 9451 2337 1 15167 4606 1 9548 8013 1 10498 4231 1 13827 23 2 1056 5389 6 17260 496 1 14818 3216 1 143 6636 1 17348 203 6 13445 8197 1 15308 1658 1 12514 6649 1 14221 3180 1 8250 3516 4 13758 6342 20 3822 2877 1 4870 3778 3 18618 888 1 520 3911 1 3670 1776 1 11566 4643 30 19319 4026 4 19262 3318 1 17887 509 3 12452 2505 1 13634 7058 1 2586 23 1 153 6878 19 6848 1182 9 16201 6776 4 7000 1732 1 15791 4307 2 7817 834 2 5960 3047 2 11841 194 2 994 3477 2 18042 409 4 12412 780 1 11733 3932 2 17748 5952 2 3676 4361 1 18546 5132 1 1816 890 1 9014 5819 1 6193 926 1 1026 814 1 12375 500 3 14190 5421 1 5336 6330 3 6936 4944 2 18869 498 9 6926 4304 3 20163 7511 1 11346 390 2 16700 935 2 15841 903 2 11411 1247 1 14044 3233 1 12981 219 1 8117 5082 1 2385 1332 2 20225 608 1 547 6620 8 1574 4107 2 787 4105 1 15061 4467 1 1521 2748 3 11837 2167 31 14208 3022 3 19131 719 1 13587 6687 1 2865 7222 2 18254 3660 1 7780 5264 1 13924 6169 6 16925 2642 2 13170 128 2 6681 1747 1 8855 1775 1 7179 919 2 2517 196 16 9125 2254 5 11878 627 1 19338 1825 1 5854 2951 1 15971 23 6 13157 5786 1 4627 7237 3 3043 541 1 17996 1743 1 14779 4367 1 12245 1703 2 19996 3464 1 3663 757 1 1108 1236 1 20276 207 11 14011 786 2 14806 964 3 17652 6500 5 6537 512 1 143 4383 1 17088 1738 8 17 1107 1 1568 1909 1 18981 7405 1 11591 1748 1 5463 597 1 6692 7229 1 17384 1739 1 4340 8046 1 17615 1155 3 2418 834 3 15530 220 1 15493 356 1 3105 1072 5 3199 2653 1 6681 5763 2 16305 4006 1 6524 545 1 7251 7096 4 7956 6460 1 8622 1323 2 4550 1645 3 5293 4303 1 19518 1724 12 1252 2599 1 1867 7410 1 975 1718 1 2848 5425 2 18371 7201 4 10340 1131 1 10450 1717 3 7711 347 66 2729 200 5 8267 7848 1 16844 863 7 2864 582 1 12816 2603 1 2336 5020 7 3824 3021 4 14905 201 20 12923 891 10 4529 545 1 8482 5686 3 2877 4296 1 9845 2698 1 17675 1710 2 5 163 1 14626 2421 1 7688 550 1 9546 617 1 16773 328 1 8948 864 1 14060 200 4 15427 7825 1 6525 8012 1 17088 190 8 8051 1312 1 18526 1781 1 17755 2729 1 9554 1247 1 3985 6526 1 4163 849 1 9869 1781 3 127 5733 1 6449 4991 2 18123 3685 1 3761 4468 1 18521 2620 2 11709 7683 11 14418 7883 1 16910 3511 5 19486 1997 1 15698 1730 2 6815 926 1 14212 4557 1 1043 2897 1 17670 4303 1 1743 3747 2 18476 6482 2 18886 6575 2 11367 3338 1 16310 3275 2 9816 379 1 16363 7358 1 6233 5257 1 4283 705 3 19195 1788 5 9236 1707 3 13730 6501 1 16843 3378 13 10826 819 1 9557 7915 1 8088 687 1 15752 604 2 135 6137 2 4302 1703 7 188 514 1 1711 575 1 7597 4204 1 6888 1247 1 2716 1248 1 4018 2564 1 7786 1085 1 14599 608 1 16704 6668 4 4880 2175 3 7591 3333 3 5645 1726 1 9764 2710 2 864 4246 1 4811 1235 2 11020 7750 46 13640 229 4 10137 207 8 3426 6152 2 8924 1727 1 15224 2883 2 13587 444 1 3061 1764 7 10545 6717 6 12913 3329 7 7991 1307 2 14201 1238 9 11072 1239 1 13490 6482 1 87 4020 1 1029 221 1 17913 1827 1 20218 201 2 1669 13 2 16881 7945 1 19312 510 1 8198 6540 11 14982 7101 1 2458 3494 1 6238 3203 8 7994 5951 1 11029 508 1 10627 4623 6 6786 3257 4 14053 7305 5 12949 3333 1 15513 4589 3 6501 207 2 12970 1329 1 12790 367 1 3496 2352 3 14827 6185 1 16394 5883 3 18297 8203 1 10502 1659 2 474 3425 3 17223 2296 1 45 2331 2 16643 627 2 6952 1039 5 8232 5715 1 6532 7719 2 13088 1313 1 16023 3163 2 8833 1702 1 18834 1600 1 9472 4582 3 13280 484 1 5596 1703 1 7932 5452 28 174 3278 2 14005 2571 1 8458 1251 3 17605 6080 1 5401 132 4 8154 2064 3 12686 451 1 5601 201 16 6170 197 1 11289 200 17 1866 220 2 2036 1537 3 83 3769 1 8992 1428 13 572 1784 1 6515 156 5 18679 5700 5 13 733 1 153 7101 1 15195 3519 2 19727 1698 1 2027 1751 1 5872 2737 2 65 3158 3 13734 1779 1 13065 514 1 5643 1363 2 15872 7967 1 13490 2511 2 4273 2918 1 15728 3227 1 1221 3998 3 11461 1248 1 11827 1374 1 4499 863 1 9647 7067 1 10485 186 1 4385 2821 1 1881 4608 1 7973 6451 3 11121 4813 1 17331 1357 1 14473 891 3 13096 3693 1 11882 1601 1 9457 6505 1 7056 3512 5 9215 4554 1 1908 190 1 3463 1184 2 13114 1101 5 1059 1395 2 10855 1658 11 1929 215 1 19975 2450 2 9354 883 9 7556 1721 1 5458 4833 1 5798 792 1 1384 6207 1 1705 606 2 6061 8034 1 4298 1893 11 13800 2089 1 15272 1250 1 7607 3476 1 6224 6744 1 10048 1054 7 5623 2146 10 19241 3483 6 18204 2551 1 17 1019 3 16803 234 1 10381 219 1 14808 214 1 1145 23 1 6536 910 1 6152 6674 1 6779 4967 1 8934 3988 5 3972 7596 1 5039 6793 2 13944 5425 5 11762 1781 2 13262 4135 1 14960 746 1 5773 6263 5 8182 1739 4 12350 3660 3 5775 207 13 270 173 1 7451 1772 1 11956 1727 2 18933 235 1 12773 1761 2 7619 244 3 6914 6289 2 8969 1244 2 11844 5326 1 4860 7794 10 649 536 2 19683 1445 1 17809 743 1 16719 23 1 18576 692 1 13247 1573 1 11577 132 1 8672 2241 5 8200 1466 1 8086 3907 2 13642 36 1 1717 6697 1 10032 6557 1 8939 5077 1 19664 3556 1 10013 3900 3 2570 6063 2 15016 4204 2 13941 1707 5 16187 6690 2 5738 3382 7 3940 571 1 5533 1235 1 14425 1731 2 9090 2853 4 18528 6669 11 14658 1752 1 17809 6682 1 11559 3113 1 15220 1740 1 4245 244 1 13972 6256 6 5108 7740 5 4262 4274 1 12322 1719 2 7532 5347 26 15323 6056 1 15029 2866 1 10460 7256 7 10482 796 1 8356 514 1 10391 690 1 19520 5830 1 10315 1505 1 9638 3619 7 20218 1760 1 12108 6984 1 12467 1417 5 8949 222 1 2662 8171 1 19409 6638 2 3191 6754 2 13602 809 13 15211 577 1 19019 2392 1 1433 200 5 19537 3062 1 1481 4635 2 6676 6758 3 12290 2450 5 3305 1307 1 4305 1700 3 2962 944 2 17251 23 9 8716 7527 5 13425 755 1 2100 6179 1 20107 200 5 15683 3794 1 6796 47 1 17742 7327 1 19034 1705 3 11129 2138 2 809 3220 7 916 201 3 7934 466 1 6228 1997 1 19996 846 1 13033 7846 5 10078 530 3 19556 1150 6 10653 719 2 7374 203 3 4331 665 2 5998 889 1 11346 4245 1 16364 6484 2 19865 516 1 4332 520 1 18431 23 3 15689 505 1 14233 5002 1 8645 2795 1 6668 8109 5 1839 1781 2 7144 1819 1 20191 7807 2 3706 5575 10 13619 964 1 17696 2875 5 15782 6177 1 4614 7878 1 6724 767 5 18122 1778 1 7603 4779 2 13986 4691 1 7146 1751 1 6781 1872 3 3253 6414 8 11585 1717 8 19511 466 1 130 5830 1 2710 505 1 80 3589 1 13845 2869 6 12988 5528 1 6514 1234 5 12801 207 1 5943 6361 1 16470 3685 4 11131 2011 1 13328 7614 1 7991 6518 2 6676 4582 1 16083 184 1 17452 5325 1 12367 2661 7 654 1898 16 15775 761 1 8405 2495 1 9757 988 1 314 11 1 3323 6131 6 1171 1827 5 2985 690 2 14657 2415 1 5433 232 6 12459 5494 1 4050 536 1 3679 519 4 14335 7478 1 17440 23 1 2048 1770 2 15912 3058 5 7029 1707 4 14079 1734 2 18921 6460 1 17507 1307 3 3000 928 1 5616 7919 1 15011 764 1 8343 498 3 4992 807 1 15615 6026 1 2531 6343 1 14156 5948 3 17048 7227 19 3418 952 1 5602 4653 1 4755 4325 1 19822 7644 1 8016 281 2 12843 1417 1 4618 6649 1 5280 502 34 18282 6797 1 16303 1278 4 16221 2742 12 7538 4022 1 6848 1251 1 3337 603 2 12299 6351 1 9508 2048 5 17662 74 2 5364 4056 5 11978 6570 1 7454 7189 3 4334 1703 2 2385 341 2 10399 5226 2 2602 2263 3 10879 502 1 2153 1727 29 18523 2206 4 5032 770 1 5097 1406 3 136 6274 5 11609 7754 1 1444 7542 1 2486 7565 1 5136 5408 1 2845 7210 5 17150 3696 1 8884 173 1 3414 3911 1 19776 5083 3 4625 4351 1 15303 4710 1 14055 4245 1 1151 5207 5 12777 2115 1 13204 4303 3 13027 416 1 5411 296 1 3013 1825 2 11975 508 3 18575 2626 4 8614 6669 1 12077 1707 2 18193 1482 1 20060 2772 11 9815 5120 5 18279 860 3 1128 232 1 5260 1946 1 8528 471 1 873 1250 1 1948 6226 36 18285 1266 1 1600 1286 23 126 5640 2 14682 2363 7 3015 423 1 1767 7606 1 19171 5451 1 18386 2999 1 13833 2817 22 2777 196 1 12433 6377 1 10319 23 9 6519 206 9 14101 191 7 17224 4378 2 19946 1339 3 9063 244 1 11458 2397 1 16056 2731 1 49 1713 1 1853 1665 1 10923 1661 1 15805 203 13 8450 508 1 11523 6152 2 17170 207 3 19949 7920 2 6380 1965 1 189 5517 1 18993 1695 1 14388 5440 2 13203 2489 1 3003 4929 2 16347 1946 5 9910 1707 1 14259 2081 1 3695 479 1 10259 657 1 1073 95 12 16391 6213 2 15167 1272 1 14810 1363 1 96 1740 1 2959 7226 2 11208 6603 1 15590 201 2 17281 2595 1 18068 10 1 11058 1109 8 8152 1710 4 15471 1338 3 18279 6320 2 19219 880 1 1171 1245 2 4305 967 2 8465 2204 1 16442 658 4 13991 1987 1 4087 6697 1 19512 4448 1 10251 793 1 8895 165 8 301 1342 2 17740 4777 1 20211 219 5 11057 1726 1 7312 4764 2 18556 1665 4 12776 1307 2 14416 2206 1 16650 7701 1 3048 292 1 3187 1729 4 385 1247 3 13626 1983 3 10188 219 16 1142 1272 7 8532 3511 8 4994 23 1 13854 5356 5 5633 3163 1 10883 839 1 11581 6343 1 2204 415 1 19115 3167 4 12168 3647 1 1911 3396 3 5257 1823 7 4493 3006 2 17485 3285 1 3794 3057 1 11585 867 2 5486 4622 5 18575 7878 1 6381 881 1 1338 1455 1 1125 2595 1 9050 4427 2 7893 3903 8 3488 3021 5 7336 4615 10 7822 5619 1 12529 3621 1 16964 7857 1 9808 2352 1 16742 4803 1 4184 7989 5 19302 23 1 11072 496 1 4477 2757 3 15429 347 1 7527 47 2 11309 206 1 16612 1064 1 11932 173 1 10958 2640 2 6479 3472 1 17578 3400 10 2965 2827 5 16791 1423 5 15885 7525 2 3173 3798 1 17306 5294 1 6570 3045 2 4922 1772 1 19774 5852 1 1872 3525 1 18183 1761 1 7452 853 1 9111 215 16 2674 347 1 17526 1374 1 5750 1341 6 4449 397 8 12985 231 1 157 7199 1 4440 3970 1 572 374 1 15046 409 3 13734 642 1 10172 253 1 11693 498 2 2371 6343 4 15587 1535 1 11809 3176 4 15127 184 1 100 4517 3 4404 7244 8 18263 5526 1 2373 634 4 340 6252 1 62 429 1 997 1369 3 10115 575 1 156 7181 4 13881 2737 10 6740 3866 2 875 1334 32 4327 3685 1 11849 805 1 3822 2368 1 8184 3956 1 3801 235 1 17778 505 9 73 3362 1 14145 3909 2 3775 235 1 3734 1363 1 7494 3203 6 14786 1729 1 5108 2366 1 9891 2352 1 7242 679 1 10496 4841 1 6825 7020 2 9816 2503 1 19769 1242 1 17127 203 5 19053 916 1 8767 498 5 19448 936 1 10160 4159 1 9836 3573 8 13320 1734 4 12343 3992 1 8027 514 3 19287 6270 5 1999 2424 1 18462 6784 2 604 4489 1 8416 229 1 2980 5922 2 12717 4599 5 5357 7112 6 16723 5758 28 79 635 1 1631 394 2 13587 4207 1 1251 910 4 1664 4623 1 7286 1464 7 17079 3715 1 16526 2790 1 103 4654 2 3124 530 12 17298 7225 2 3189 541 1 797 6363 1 9674 7642 1 5025 6152 1 3769 1990 1 7727 4963 4 13093 5107 9 5824 5551 1 18631 196 2 4896 6744 1 12024 2552 1 8301 4377 1 15209 7848 1 13457 200 1 7199 4266 1 19022 230 3 4520 1235 1 1774 3247 1 10290 532 2 17568 2671 4 13530 203 1 19602 7848 1 3665 7474 24 6387 3789 1 4165 4580 1 3263 1885 1 95 1363 1 18250 3258 11 1274 2254 1 3 126 1 14211 214 1 15481 1946 1 8118 1692 4 19863 2489 2 3316 3206 2 3826 639 1 272 1960 2 807 510 1 16285 4380 1 11271 252 1 8083 329 1 9793 1741 5 10057 6290 3 6853 478 1 16308 3322 2 7260 225 41 16468 2465 1 20099 2355 1 2081 5783 1 10739 606 1 5837 394 1 19990 1235 1 14657 15 1 3573 2161 1 17716 23 2 1143 792 4 18698 1743 1 19660 1781 1 5996 4085 1 1838 365 1 16739 196 2 8717 1707 2 9443 3625 3 9347 84 10 17090 1606 1 3002 817 1 3846 2003 1 10219 3337 1 17959 2176 1 4841 1246 5 10591 828 5 4634 4877 2 7856 6914 1 1927 1729 2 18351 2655 3 13243 931 1 3931 6801 2 18027 3066 1 7984 745 1 16087 4411 1 7769 793 2 2617 7197 1 6668 3634 2 18774 1363 1 9644 214 1 2729 1242 1 18855 84 1 14622 6640 1 5748 3216 2 4016 442 1 15260 2605 1 164 7509 1 9435 4164 2 17403 207 1 19583 3283 1 16593 1740 6 8760 5120 1 14233 3511 1 18089 723 1 1335 3636 1 15108 7054 1 385 1772 1 15063 1615 1 11968 5506 1 9013 2610 1 1156 8117 1 3672 874 2 16860 719 2 951 507 3 6269 2327 3 9189 6576 1 3258 3972 2 10340 1710 4 11183 205 1 12404 3161 4 11548 201 1 1374 6943 2 17909 156 1 19952 7021 1 18762 1249 1 19047 2974 1 2453 1721 1 14615 867 1 19658 1764 1 8388 1720 33 6655 7512 2 3048 813 1 19030 2795 1 14350 169 1 8223 1166 1 17109 497 1 8439 1761 1 12566 2829 1 9435 3497 1 19865 361 1 5036 1236 1 10355 3325 1 1136 203 6 13806 804 1 6023 5104 1 5624 1307 1 2140 6217 1 17563 2881 2 5589 1789 1 14698 2632 1 12561 8251 2 12280 225 1 3340 2024 1 11388 1726 5 6339 3591 1 20145 1164 1 9620 1293 1 7483 461 1 11566 4656 16 9224 767 4 10311 654 1 10377 1718 4 3399 2103 2 13951 8108 1 6691 5018 3 14878 3242 1 18508 2518 1 8603 4690 5 20123 7946 1 14752 5762 1 8531 1990 1 153 650 1 18199 447 7 479 7420 1 1361 6185 5 5329 3295 1 3090 3334 1 8922 8192 4 15541 3636 1 13534 1737 1 16833 5320 3 3982 7541 1 19326 2626 1 16023 6698 1 10469 4047 2 6205 2678 6 7754 3590 1 467 3071 1 2023 5517 1 19982 7067 1 14982 6415 2 9959 2363 4 17072 200 1 15529 2342 9 19160 496 1 19185 1819 22 5462 2748 1 10000 1285 1 13947 7237 3 6332 258 1 4332 3911 1 3571 7424 2 13461 1737 4 5146 201 9 5710 411 3 91 4079 5 6452 2923 2 12990 634 1 11134 1606 1 14629 5252 1 3638 1819 1 2338 789 1 17401 1730 1 11601 1695 6 7058 4012 1 4572 1656 2 4398 6414 4 19993 7342 2 11039 3203 23 18762 223 1 15890 1307 2 1 86 1 1181 718 1 1322 190 1 9184 1783 1 1469 207 8 1904 883 1 16805 1946 7 9432 3711 1 18893 3939 1 3878 5451 1 168 7573 1 932 650 1 16860 7953 2 10619 484 1 20105 1715 27 6545 1315 1 542 3511 1 18794 220 1 8560 6383 1 5379 2025 1 1962 5747 1 3341 8117 1 16089 23 5 17165 1828 10 9082 3059 8 10783 1664 3 4679 1345 1 5696 1333 6 2002 6546 3 16245 4660 2 3120 6152 2 13839 903 7 3573 6564 1 19710 292 2 5192 2327 13 4651 8141 2 16399 1421 1 9916 7474 10 16140 890 2 7844 6571 1 16861 4459 2 18125 1404 1 12739 7670 1 5312 2595 1 18029 207 15 16090 7302 1 15659 3693 2 9445 1296 1 10132 6197 1 16593 375 1 19217 4568 1 10576 1769 1 2645 3898 1 16916 2722 2 1323 1244 3 16989 214 1 4213 2089 1 16645 222 2 13461 1726 3 2629 2678 3 9457 4309 2 11191 883 2 17477 222 1 1391 2584 1 11533 2098 1 3482 7441 1 10540 7719 2 7245 4173 1 18557 5513 2 14933 215 1 17428 4232 4 12450 1060 1 210 3368 1 19849 4069 1 3217 2111 1 16601 235 2 2194 2626 1 15685 7231 1 6748 6692 3 10452 869 5 7432 2927 4 13488 1627 1 15348 411 3 13730 6526 4 9395 2057 1 11409 7830 1 9178 1747 2 10264 6515 1 7710 4555 1 13320 1342 1 6387 438 1 11406 1606 1 13148 236 1 11558 23 8 8922 156 5 1801 1338 4 1675 4355 1 14011 6490 2 403 2691 1 6003 1928 10 6437 2584 1 8730 925 4 8129 1737 1 380 231 2 1530 2678 8 1865 7483 1 15369 2561 1 9835 6251 1 10369 6152 2 8303 1707 1 18193 1736 1 2288 6597 1 7434 8184 1 13829 190 2 4667 175 2 12619 15 1 1689 2675 15 7096 7806 5 18547 1727 17 18281 398 2 18171 1752 1 10234 215 2 15394 6680 1 5103 495 2 17135 1730 2 5049 2651 1 4524 1704 2 18890 3338 35 18191 6952 1 19563 4597 1 18725 3394 1 8174 7884 2 17 1045 1 12238 1252 4 10161 10 1 12992 3911 1 5989 519 1 7934 2383 1 15429 498 1 9677 5995 1 15059 8219 2 16708 1751 1 11766 534 1 13743 4006 2 15471 5783 3 4173 1743 8 8580 509 1 9566 177 1 9893 4441 7 12148 6603 1 351 201 2 13922 2534 3 10064 2675 25 2834 4391 4 1912 541 1 9215 719 1 14755 7045 1 13789 4622 2 7962 1747 2 18902 6100 1 16860 7350 1 2629 3705 2 5973 2542 8 3674 1642 1 7849 3669 2 10245 4019 1 5877 1734 14 15818 500 5 20180 496 1 5176 1775 1 13752 934 2 6332 6534 1 18393 3540 13 35 1965 1 1539 883 1 12383 6232 2 13017 52 5 2806 6058 10 2980 448 1 5130 4949 2 17088 1743 7 7726 1480 4 16060 215 2 11953 2169 1 2447 2528 1 7564 1770 3 8921 214 1 1867 2982 1 1005 5758 5 11105 12 1 9511 371 1 3815 3380 1 83 3832 1 1204 401 1 15727 7097 1 17850 1752 1 18652 6458 1 3424 46 2 4739 6537 4 5078 4992 1 759 4273 3 13361 934 1 164 1747 2 5107 60 5 160 7317 1 10549 303 54 4832 2087 2 5983 1877 3 12406 207 1 18787 5659 1 12521 953 1 12521 141 1 4784 910 2 2469 5414 1 4268 1825 1 20141 6758 3 3060 3049 1 18149 1736 1 11363 4435 10 15756 421 1 5920 2403 3 19026 3679 4 13362 200 11 8098 1466 2 17088 8152 1 3323 1820 2 5597 203 1 4106 6546 1 12829 2019 1 19495 1648 1 12353 1770 4 54 2611 1 11253 4307 1 19207 867 1 18593 4077 11 8197 235 1 6588 6761 1 3521 2356 4 12720 2626 2 16844 1715 2 5453 5916 16 15001 6225 1 3801 5674 1 14726 6235 1 2922 1814 1 19776 2570 5 13183 685 1 388 3644 1 8034 1710 1 19995 796 1 15634 2362 1 17416 665 1 15429 318 1 12995 7477 2 6091 1249 1 13743 6622 2 14068 6421 1 18286 6170 1 17589 4129 1 11964 3333 1 11526 1658 1 10016 1342 1 2243 1715 4 5506 4090 1 14522 916 3 13402 568 1 8533 2114 5 10435 727 7 4663 2076 1 12496 2068 8 16084 1686 1 16270 650 2 9819 187 2 1525 3220 1 13676 6952 7 16341 2237 2 9566 7670 1 19178 1660 1 18455 5400 1 13358 510 4 17120 222 2 13490 393 1 19583 5312 1 7928 7222 2 13290 11 2 4582 2727 3 3281 2536 2 8443 1420 2 16674 1727 1 13197 5986 1 12491 6117 1 15586 8111 3 17368 4518 1 7069 200 1 4998 676 24 11354 510 4 2803 386 1 7412 963 1 1618 1814 2 20033 1342 30 19213 5082 1 6099 6607 2 8643 605 1 13030 6100 2 5391 1082 33 2109 2799 11 5197 336 1 15318 5506 1 6505 5536 5 11981 52 1 17988 557 1 18012 1173 18 3127 229 4 1969 7531 1 5588 3273 2 10851 1338 1 7823 431 1 11433 8187 3 8174 637 1 17120 1374 1 20090 5327 3 10222 5252 1 3094 3912 2 1922 1251 1 15672 956 1 9431 5031 3 62 2917 1 17789 1638 1 15113 708 1 12343 537 1 10283 2829 1 2387 6801 9 4051 5820 3 19354 1146 1 2729 7823 1 10394 2671 1 10697 3901 2 16503 6954 1 10165 788 2 10658 1761 1 17877 4040 1 3152 3914 3 3715 203 1 6236 7726 1 18852 1872 1 10099 3571 1 12025 2100 9 11177 5090 2 6070 38 1 5860 1242 1 11384 6050 1 19014 3466 1 1379 386 1 8643 796 1 9720 2151 1 17486 6779 5 10579 365 1 3126 224 1 10774 7890 1 10533 7011 1 9432 5584 1 6156 181 1 9474 165 1 13789 8188 4 13565 2100 1 19901 3164 2 5738 7853 1 17305 6167 10 3158 532 6 17242 218 1 19935 2551 1 20124 3909 1 11370 1221 1 4960 4944 1 17150 4521 11 2834 4276 8 3667 4242 2 1743 4518 3 15932 1788 1 7010 2251 1 6689 5036 3 6390 7643 1 12669 4635 2 17067 7244 7 7127 1251 6 2646 7402 5 507 1748 1 15771 203 1 11164 6164 2 4234 4232 1 17056 5750 1 6108 3332 4 4898 7652 2 7757 3114 3 14254 3556 1 8691 2172 2 19985 2062 1 94 382 1 11997 2475 1 17242 3323 4 171 7796 2 3089 7606 1 5255 518 22 10203 1657 1 11013 8139 1 11018 6341 1 13065 200 4 3589 5281 4 12783 6756 1 6225 507 4 155 7132 1 2803 444 1 19368 796 1 8751 4044 1 19952 3635 2 10178 6649 1 5453 2493 1 17739 759 2 9655 220 1 4479 1342 1 2213 2103 1 13891 631 2 15936 2626 3 2272 303 7 417 2087 1 15850 3465 1 10816 1613 13 14196 2897 2 1481 1464 2 19599 232 1 1563 4603 14 8594 3283 1 14636 5325 5 10967 1062 1 7823 1395 1 11036 252 3 425 1464 1 6312 642 14 12466 541 23 11073 5427 5 7863 2356 1 18973 244 3 4428 6423 1 11070 792 2 17448 4516 1 8751 3974 1 19598 4383 1 19790 2795 1 18932 624 1 17636 2355 1 10015 1234 1 1084 3694 3 7632 2683 2 18893 1036 1 17850 1728 1 427 1371 1 174 8003 3 35 1878 1 8255 184 5 11668 1778 1 8291 7937 1 1706 3842 3 19629 4245 6 11158 3845 6 4663 810 1 17395 4410 1 18120 745 2 4030 4172 1 13587 800 1 14845 2343 7 6983 7533 1 9566 1654 2 5364 1775 1 5310 894 1 7304 2951 1 3441 2155 17 13835 385 48 1350 5324 1 16812 3539 2 1882 3891 1 19718 201 4 16148 2699 1 11061 6442 8 7556 1781 1 3037 84 1 10526 2572 1 19872 3911 2 4547 498 1 4665 8067 1 745 759 4 10309 2915 1 4829 2675 22 9816 1053 1 12991 184 1 6398 23 5 15062 7021 2 3337 577 1 13418 1819 3 14753 2079 5 7415 7259 3 15468 1363 5 18121 6082 2 5364 5737 2 14896 1921 1 5097 3219 1 4151 3015 2 14438 952 1 5495 2864 1 9816 2729 1 15870 3526 3 4265 5245 2 6473 4944 1 12844 411 1 815 1757 12 17918 525 1 2917 1273 1 2716 1827 1 81 3668 4 9612 1495 1 1445 3694 3 16566 554 1 1801 6435 1 14696 3511 7 16452 7997 1 6313 7399 13 5662 201 1 674 518 1 6854 1748 3 12670 4252 1 2232 4902 6 13570 947 2 20216 5686 6 5132 232 2 12299 1790 2 15990 5758 1 14112 7455 1 10166 864 1 19025 888 4 7159 7862 1 8709 6206 1 11463 8173 2 14797 1236 1 13624 1729 1 11461 6334 1 936 2678 40 178 220 16 14473 7719 5 11253 8137 1 12843 206 2 2723 535 1 6018 442 11 143 6645 1 18696 184 6 18381 1769 6 6524 723 1 932 3276 1 4700 3333 1 9295 470 1 13679 1157 1 13733 4708 4 5158 148 16 1417 2307 4 1521 436 1 18431 231 1 3005 903 2 3996 1610 8 9699 6545 1 11125 203 10 2991 2675 15 11820 1241 1 3427 181 1 5312 1166 1 14296 1238 1 19315 5658 1 6264 912 1 9677 4944 1 4925 3909 8 11609 6688 1 14683 6263 5 12826 458 7 2935 8170 4 6416 2357 5 1863 5310 1 6068 197 1 159 7239 1 17680 3448 1 5745 2056 1 12141 6714 1 6509 7942 2 12935 1753 1 926 1656 1 1374 7577 1 7877 3768 1 1736 169 69 19104 4203 1 5824 5206 1 10107 4651 1 10472 4501 1 14619 2362 13 2882 3639 1 1110 3262 1 5840 525 1 8813 2567 4 11282 4992 1 16694 5708 1 17220 893 2 12015 2357 2 18555 1143 1 14762 1247 1 7719 717 1 1466 252 46 9527 201 1 5667 1770 3 6907 4029 1 12925 8034 1 8391 2841 1 20236 4379 1 18623 1784 6 1801 800 3 19972 1277 1 11729 1698 1 3496 1237 1 15429 910 1 1668 1909 1 19352 231 1 11769 1655 3 6556 3391 1 12897 6053 2 132 6003 1 9877 514 2 2450 861 1 6654 5052 3 20060 7747 10 3008 175 3 6654 2993 1 18613 1356 2 2213 505 1 16236 1234 1 15342 876 2 18826 225 1 5213 1728 3 13671 500 1 4061 534 1 9346 3234 1 1858 222 16 2888 1819 1 18469 2343 1 12196 4210 1 7136 2353 1 1839 645 1 15471 649 1 18226 231 1 8376 1700 8 8212 3224 2 2784 889 2 1288 4320 4 17627 1729 1 1064 2959 6 7962 519 2 13636 3065 1 13653 703 1 257 7586 1 7208 889 1 7399 5738 1 15405 5830 1 12663 200 4 12116 2568 2 3742 2165 7 4268 647 5 11230 2461 1 16012 1185 2 15954 5437 1 16269 5226 1 20120 719 1 17091 7229 2 5421 3288 2 16853 1991 2 14397 6941 5 12060 4834 2 5199 1721 5 17585 1236 1 9732 243 1 11964 214 2 13928 861 1 3663 420 1 9741 1357 1 14828 914 1 18342 1307 1 17488 1518 2 14381 505 2 12629 8203 2 5078 207 1 4266 3113 1 3911 501 1 1634 6482 1 4704 206 7 15374 1421 2 601 1731 8 3801 2494 1 16685 3011 5 1520 1338 1 12117 6892 1 9636 5115 1 11882 225 1 1757 201 6 7020 2383 6 613 1819 1 4663 865 1 15405 3872 1 16016 714 5 10133 1686 2 9533 1734 2 3715 200 1 15645 4367 1 10821 3636 1 2308 84 1 12230 8126 1 14892 1732 3 2886 1 1 16625 4972 10 19084 1750 1 4183 3734 1 2066 523 1 18635 1996 1 17485 1250 3 18535 3771 1 6191 5333 8 9432 2336 1 4074 3334 1 19603 3227 4 15564 1359 3 10736 1780 1 15202 2508 1 14541 864 4 2772 1757 2 1474 5060 23 8388 1023 1 13358 1940 2 11461 1731 1 18071 4343 1 2666 1707 1 6449 2355 2 15960 1755 2 18251 2889 1 10670 219 1 12110 6612 1 16921 7642 1 13842 4157 1 20123 6687 1 3081 2955 5 5688 6423 1 19862 1244 3 3031 6629 2 13503 891 6 13212 1819 1 16388 4237 3 5821 756 1 10501 1296 1 16138 536 1 10856 6673 1 7157 1737 6 19946 540 1 4739 519 1 9010 1975 5 16245 1278 2 5142 6242 1 1122 1248 1 6128 6758 5 5860 1334 1 7069 2792 70 9680 3622 1 14350 4899 1 3247 3331 2 534 638 1 1744 3602 2 4978 1784 7 3765 4366 6 11407 5319 1 16741 1248 1 3207 225 1 862 2014 29 16196 205 2 14027 1287 1 13579 5251 1 10052 7888 3 17505 530 4 13697 1342 1 6942 220 1 15610 953 1 11327 1395 2 5890 4339 1 6990 1034 2 19594 4792 5 10473 3710 1 16509 3758 1 15211 2958 1 5246 2056 7 20005 5768 3 9433 1304 2 13770 1307 2 1758 219 3 11235 6252 1 8606 13 7 18937 6541 2 8001 1369 25 6207 1342 1 12725 5203 1 10252 1656 2 11158 4296 1 6251 5310 8 9212 367 1 8767 5468 1 11580 236 4 4212 926 1 18761 6791 1 32 1810 2 11377 7181 1 5188 214 1 8044 3578 1 16253 1772 4 13829 1277 4 9920 1775 1 3924 1093 1 5955 1104 4 8840 6534 1 10492 4699 5 11072 1721 3 2004 7468 1 10103 1308 1 7769 173 1 8052 2555 31 17084 1734 2 7498 795 1 9148 411 2 984 6777 4 11327 229 5 1863 2114 2 14753 550 1 3526 2027 1 7991 6139 1 2943 1965 1 18311 220 1 1291 1101 2 9930 6723 6 3894 545 1 2076 8187 1 12737 3316 2 5477 6398 3 727 2127 1 13925 1341 1 11591 590 1 5523 1025 1 10514 308 1 6506 7468 5 14271 3562 1 877 8028 22 17050 6997 1 2798 4578 1 2345 3907 18 14335 8141 19 15230 508 2 9869 225 8 9468 6772 1 17331 4029 3 17334 4622 7 5433 1374 4 16916 743 1 15365 601 5 6869 702 2 161 1714 1 1603 8203 1 10472 4107 1 7317 814 1 1260 2970 16 11175 4006 14 3842 3256 1 17439 1781 9 18234 206 5 19568 7850 1 5537 447 1 1733 2010 1 19822 8135 4 2607 4623 1 9978 4704 1 712 1251 1 15084 5227 5 14150 1744 1 16090 5559 5 15205 3016 1 10090 629 2 3452 2830 1 15567 1644 1 7566 4987 3 6595 525 3 14114 7632 1 13287 2881 2 2582 1357 1 11935 505 1 13899 206 1 19859 5730 2 7356 6680 3 6473 3454 2 18756 1045 1 3857 1663 1 14786 7184 1 7168 1424 2 12971 2998 1 3242 1286 6 14522 2055 1 5863 1344 1 13922 4245 6 1596 3647 3 19788 852 1 16775 8187 5 6749 1249 2 14505 1764 2 17729 200 5 2760 2345 6 17997 7665 1 1923 619 1 4629 5048 1 15133 6204 1 3172 221 1 9931 1083 5 10084 863 1 17392 1770 2 16003 584 1 18498 3442 1 11598 1055 1 5264 2653 13 4976 1715 1 11738 4395 6 12970 479 1 13858 4363 1 3351 231 1 11960 1921 1 3921 7521 26 17522 7529 7 2960 221 1 16048 3313 2 572 5852 1 3075 1784 1 605 4269 2 2710 508 1 18186 4325 5 11907 3725 9 12436 855 1 5161 2317 5 11086 534 1 3536 1853 1 16662 1241 5 13452 4304 1 12592 5738 10 1563 7103 2 86 4000 12 15914 1466 2 6228 869 3 9873 5353 2 3806 229 4 15159 3795 3 3296 6406 6 15766 4987 9 10243 8096 3 602 7534 1 4189 8126 2 16675 2549 1 2513 229 5 11649 1654 1 3657 2256 45 18587 3012 3 15128 2653 1 3175 2641 1 11502 559 4 8125 6716 1 38 2022 3 11467 3883 1 6444 1153 10 11252 233 1 340 7522 1 19286 2746 1 11569 7689 5 14117 2139 2 5821 726 1 11196 3330 5 9446 4029 2 6867 935 1 9909 2009 1 15683 3827 1 3404 474 1 10402 308 1 5488 223 1 2807 4122 1 18625 3263 1 10329 1721 1 19470 4040 1 6901 3421 1 873 2342 3 17884 1757 1 8836 3685 5 6332 283 1 11392 2184 2 9621 3338 2 520 5115 4 12152 1999 1 3939 292 2 15144 6897 1 17541 624 1 3003 3900 2 18417 504 5 5414 221 6 18276 610 2 15515 5082 3 20068 1235 1 19322 471 1 1752 4075 1 1444 3518 1 3928 4544 1 9284 169 4 3806 2559 2 4679 700 1 3668 2151 8 12247 1245 4 2691 5202 2 12619 229 1 16268 397 1 554 6801 1 17073 4992 1 9270 981 1 9865 2355 10 951 1245 3 17340 1732 1 9915 767 1 19861 7603 5 15536 525 2 19056 415 5 7952 2089 2 16338 1730 1 19822 6150 1 3059 4228 1 5247 1755 1 18806 460 2 14208 514 1 20114 1283 1 19530 597 2 17195 3906 1 6278 2513 1 13258 1718 1 10473 448 2 18744 6091 1 13202 5007 2 14926 1789 1 13186 8139 6 11248 1814 1 19246 410 5 16827 3807 1 15100 654 1 3119 244 2 3681 1250 1 9573 8012 4 16657 6865 1 7684 7477 1 4240 1782 4 12430 2531 1 15854 4363 1 18480 7606 1 2072 4591 3 1480 5770 10 8375 5364 1 2990 1349 4 10051 4549 3 8939 3391 1 3879 4009 1 4842 8066 1 11036 313 5 12592 2080 2 140 6472 1 15662 4312 9 3269 200 5 7577 232 1 7111 1720 4 13046 532 1 148 2247 7 18053 2671 1 649 532 1 12933 532 1 2529 646 2 604 5331 1 18960 4199 1 12 501 8 12053 6402 3 5251 3945 1 10494 3511 3 6070 3210 1 18623 2671 1 5630 638 2 16668 6537 1 2284 4298 2 6597 7831 1 6049 292 1 2100 2786 1 13363 629 2 17298 883 5 12704 3471 1 17250 34 1 15318 867 2 2319 682 1 13243 204 1 17762 7840 1 14320 347 5 2626 2082 1 7018 888 4 17252 1969 9 11485 5264 2 19192 1082 21 32 1792 16 16192 194 1 2748 229 2 3283 7606 1 19996 2651 1 8582 1146 6 2020 397 1 15635 665 2 108 4837 1 3117 3511 8 12807 520 7 19144 196 6 5394 2798 15 6012 2361 2 1677 141 1 7630 1691 1 12251 6139 1 5287 7299 1 5952 855 4 19865 6574 2 20219 1250 2 13135 7557 4 2403 1940 1 7145 5018 1 7452 641 2 8832 4308 1 2213 4403 3 8763 2344 1 14778 184 5 3874 1284 1 16566 5567 2 2266 6083 1 6497 23 6 13103 8192 6 17662 525 6 5804 1307 1 5378 5758 10 14933 200 1 469 220 5 12901 303 5 4598 4019 3 16330 207 13 20191 865 3 2390 3477 1 16632 1374 2 1568 1632 10 17946 48 6 8161 5874 1 14517 5397 1 454 382 1 12663 1374 1 312 3693 1 12971 1626 2 14707 74 2 12821 5769 1 15976 1715 2 6183 1728 4 6804 5549 1 15629 707 1 8909 7599 1 8913 2605 1 6131 5036 13 7154 981 1 17717 2372 1 11195 1250 2 4318 173 1 6478 200 2 3824 1153 1 16696 1464 1 19538 6806 28 15634 6777 2 8692 1278 1 15438 8121 2 9878 244 2 6167 7406 1 10738 7267 7 10498 5281 1 14620 3193 3 9543 1032 1 9569 2262 3 14250 2653 1 11467 4408 1 7056 2661 1 10000 2489 2 6742 6581 12 14522 549 1 12354 4245 5 9946 4404 1 9406 2555 1 15279 4396 3 19558 2671 1 8253 891 2 998 2443 1 5293 1732 1 174 8062 1 6381 84 1 13249 162 1 19339 3954 1 15608 756 5 11533 7710 1 1465 3676 24 7760 135 2 1550 1369 1 2021 2367 7 11691 207 1 5253 231 1 15615 6341 5 19316 7222 1 1628 1747 13 18822 817 1 7012 5499 1 3806 1721 1 16130 5187 5 14748 4246 1 14753 4562 1 7380 7512 1 8528 514 3 10290 1695 1 14637 207 1 2507 481 2 12423 3979 4 17 1058 1 2962 3373 1 7682 762 1 16812 5120 1 1853 1307 1 11223 1706 1 12060 3283 1 14567 8129 1 11660 173 1 11252 244 3 14473 696 2 13115 1703 1 806 512 4 19552 2841 2 9907 1253 1 20180 4951 1 17618 221 1 11673 2097 3 19014 197 1 17624 3058 1 20039 739 1 16914 1147 1 3490 3298 2 10549 1247 7 5403 1523 16 4837 2419 1 5335 3230 2 416 7142 4 19272 2167 2 9868 2369 4 633 6196 2 13800 479 1 16811 1829 30 10977 6085 5 7440 4143 1 5613 8099 1 2646 382 1 11987 525 6 16768 892 1 18631 1235 1 8532 470 3 2195 2030 10 4629 7420 3 18050 6345 1 12892 1138 2 11391 4984 3 7857 1235 1 17892 912 1 6851 7541 1 5936 3886 4 5162 3206 36 18431 545 3 5576 162 1 18656 3801 1 17140 2678 5 1230 410 2 3965 7765 1 19504 7652 6 15471 557 1 12971 6541 1 7329 1329 1 13183 2552 1 15180 4312 1 16802 1667 1 8207 3509 2 5 173 1 7469 4954 10 6010 1453 2 18886 237 1 17379 201 1 2959 3516 5 14896 1277 1 11080 5269 13 17994 318 1 1464 3466 1 9464 6164 2 14044 225 1 13857 23 3 8934 132 1 1109 3742 2 8740 6793 1 3915 1819 3 16844 861 4 12710 2787 1 3485 1374 2 7254 2260 4 15364 1599 1 16120 4653 1 19579 5959 1 4705 1059 1 19030 1798 1 11985 229 3 13829 84 3 181 8261 1 4913 4607 1 13155 1819 2 19759 2080 1 10906 495 3 3581 3598 1 12152 6161 16 12962 197 1 20073 3556 1 5738 3358 11 17189 2190 2 16144 2831 1 19656 637 7 1651 964 1 6941 1733 1 3012 608 1 3781 5420 2 4505 2356 1 5868 5128 1 8055 1356 12 18740 525 2 12631 4320 1 10509 3036 1 11353 7726 1 58 1707 1 14500 1770 2 5298 7592 1 7252 5516 1 1635 6390 1 12640 4240 1 10854 1965 2 9566 779 1 13640 3482 14 18938 7189 2 9412 3471 6 9663 222 2 16767 2883 1 4401 1307 1 15061 1052 1 7400 7467 2 9104 1727 2 2529 943 2 19022 7809 10 1241 186 2 14722 203 51 5787 6080 4 4376 3356 1 1920 6512 3 12833 2100 2 10930 539 2 1607 4996 1 12912 6721 1 161 7357 1 6806 201 4 2463 60 3 5696 23 2 4498 7213 2 20145 1649 1 15666 4394 1 179 8181 5 20039 52 1 18665 4976 1 3043 197 1 1843 690 1 1521 1366 1 8969 303 7 1308 1252 1 16827 6663 1 5058 23 7 16354 6252 1 9737 6979 1 8368 1037 1 18732 5829 1 9275 956 1 7145 23 1 16087 4366 7 14921 853 3 6511 6713 2 19232 5670 1 17125 8141 1 1677 1713 28 13581 6192 7 12817 1740 1 1812 665 1 5662 1244 6 17384 790 1 4498 1241 2 2866 203 4 17154 244 3 10445 2206 1 279 1252 1 8860 2575 1 8001 1201 1 4023 4501 4 7824 7381 3 6372 845 2 3824 6995 5 7832 2103 1 6835 3828 3 15264 2642 1 11231 3367 3 5908 2552 4 18105 1884 1 14677 2636 11 11255 6946 9 13 888 1 2195 2027 21 12304 3729 2 108 4926 1 15153 5992 1 11060 4367 1 6611 5922 2 16636 2686 8 5192 7189 23 164 7440 1 7986 5254 2 16584 3408 4 15296 7414 9 3395 1717 1 19101 4609 1 68 1613 1 13031 3742 1 8609 206 3 14079 3882 2 3497 2938 1 5709 1770 2 16137 6065 3 6303 707 1 6641 367 1 11183 1732 5 15248 1190 1 12618 2013 1 5880 1401 1 18797 5018 7 1312 605 1 16482 215 2 17069 5574 1 11593 1739 2 1606 5935 1 18357 1296 1 14970 578 1 15670 3604 2 14532 6058 4 18548 5186 1 1562 2798 2 9891 863 2 10093 4582 1 14201 5254 1 10160 7142 2 6504 849 1 2217 6576 2 13520 7814 1 19954 270 1 3907 2853 1 12023 1771 55 7568 3043 3 1578 3731 1 15979 7136 2 13581 4811 6 16861 1190 1 12092 7311 1 2367 1691 1 13088 206 1 8013 258 1 13405 1661 6 11206 2358 1 19607 5312 1 6332 5419 2 7571 3697 2 15895 651 2 565 207 1 18171 525 5 19320 203 8 11377 3666 8 18729 2357 1 13084 1705 1 19145 215 3 12510 5083 1 4747 484 1 4593 797 1 1456 7104 1 19286 6665 1 8076 7008 3 9815 8082 5 13069 2636 1 5440 1235 2 18515 3511 21 20033 4985 2 19497 2678 3 19999 1251 3 9745 5922 1 658 3172 5 17 1151 2 9097 5837 28 15220 2087 1 18976 1728 4 7768 397 1 7480 366 2 10485 3653 2 17 1027 1 19360 2876 5 17449 2361 1 14522 1736 3 17332 3255 1 3263 7599 1 17835 7643 1 15205 1274 11 5087 303 2 19108 219 1 18793 6713 1 13018 237 3 3152 2150 4 18398 6139 7 3505 4578 3 4674 3588 6 17778 219 1 11354 214 1 5681 220 1 12361 270 8 15844 4996 1 16474 225 1 2435 1256 1 87 2056 1 9663 197 4 16925 2953 1 6206 1482 2 6644 6537 1 13529 3512 10 5363 770 1 14055 1980 2 9860 73 2 456 1718 1 18101 173 1 4986 1248 1 350 4428 6 6955 4929 7 19262 2677 2 11687 221 1 2315 36 1 1230 4447 1 1900 3233 4 17635 200 5 18149 1770 11 235 502 4 16373 6576 1 1631 1041 1 13042 6363 1 19034 6457 8 5703 4945 8 9168 5518 1 954 4518 1 7465 3916 1 12024 2352 1 10917 3081 1 2271 441 1 9935 3301 1 10014 1819 8 18927 6892 1 8407 330 1 2135 5547 1 1277 2662 4 17248 3081 5 2619 1184 1 10360 5810 1 12970 2718 2 19223 745 1 16924 5758 2 8094 568 18 1689 3338 32 764 1784 5 109 4963 1 8358 2515 1 16964 2935 2 15584 2915 3 8890 5730 1 17353 4436 10 164 6013 1 20009 6743 2 9447 8096 1 18665 2089 1 174 5162 2 4545 4476 2 17071 5758 4 11384 5004 3 11497 1062 1 14264 6278 2 3750 3402 1 10404 136 1 9840 3661 1 1803 5022 3 2480 1760 1 9388 6166 1 11430 1275 1 90 4052 11 2738 4296 1 12299 1757 1 17936 1692 1 19156 222 1 15203 4582 1 8427 1771 1 18211 6779 6 7769 533 2 17185 167 1 1509 1184 6 5822 219 13 5133 3233 1 17137 5271 1 12286 235 6 7331 5060 5 8443 6252 1 3422 1990 1 2748 6679 1 5515 2671 1 4679 1718 1 13601 1658 2 19246 4536 1 15745 2661 2 7395 939 1 15683 5289 1 18158 4014 1 12685 599 1 15104 880 1 17645 1395 1 5859 2478 1 17957 755 2 12692 207 2 3384 13 1 17764 201 8 6741 536 4 16612 4420 1 12260 2552 4 1553 2356 1 6474 1991 1 9284 1153 2 9607 2079 1 743 2727 1 2672 742 1 126 5706 1 15286 1370 1 15471 409 1 19951 1744 1 19057 3331 1 17654 7254 3 12629 2528 5 10426 525 6 3442 4694 4 6293 220 5 3039 1454 11 14120 3138 2 17392 7008 1 15082 7947 2 11551 1752 1 13544 3233 15 17055 830 1 13492 1738 1 1526 1244 1 1613 498 1 6152 417 1 9203 3876 1 17741 3398 1 6463 524 2 17 1017 2 4092 540 1 15677 3573 1 19210 870 2 10047 3248 6 11349 1722 2 1551 23 2 1697 3540 1 3243 1772 2 3704 1789 1 13188 5699 1 6451 2435 1 8416 233 1 17545 1727 1 10585 7474 2 9916 213 5 160 7335 1 12181 6723 5 1464 7388 1 18488 3601 1 10272 233 1 8244 3224 2 8599 470 4 7990 7018 3 3395 1239 1 1519 1417 1 376 200 3 10279 3161 2 2344 348 1 13027 1303 1 15235 1829 1 4963 308 1 5675 6341 4 19588 7313 1 11541 201 2 4379 790 2 7991 6565 1 5560 201 1 15115 2862 1 10531 4013 1 2834 4794 6 14618 1777 1 19945 2669 3 12074 308 2 2041 500 1 16109 1718 6 17220 945 1 13880 936 1 16825 6599 1 4309 3074 1 19538 2591 2 13585 4351 28 8528 4702 3 1795 4391 3 20208 327 1 10670 3283 1 5064 916 1 286 3592 1 12717 8029 1 9617 3364 1 19203 481 1 14758 7940 1 17992 1703 1 4180 5759 1 16021 1913 2 7390 3809 1 2087 2918 1 6906 1727 1 15406 2993 1 14124 3338 9 1307 1250 2 4987 818 1 8324 4998 1 6894 3021 8 1155 724 2 8627 6346 3 1551 3511 1 15130 230 1 16043 4312 1 8905 1825 25 18807 1184 9 19282 362 1 65 3091 8 19654 5305 1 4757 2678 1 16373 6441 1 2271 471 1 12325 763 3 3485 1703 2 9319 2093 2 15100 690 8 8468 863 1 10236 7953 4 96 216 1 5188 4514 1 50 2498 1 124 5417 1 7663 7594 2 18958 1118 4 9374 723 2 181 8237 1 8757 6220 1 9088 4555 1 11873 2899 1 10952 7647 1 19041 4262 10 12465 3693 1 20225 709 1 18576 959 1 8519 498 7 14241 6252 1 16844 1249 7 7788 3421 2 12459 4992 1 18016 3556 3 50 2488 1 8391 411 1 16625 4998 1 13523 1752 1 5025 4363 2 174 8115 1 298 6428 7 12636 719 5 9165 4764 2 2706 6713 3 4382 229 1 8924 534 1 7980 3333 7 13461 7267 2 3351 952 1 8714 2656 6 17521 883 1 12139 8026 3 20262 2169 3 6535 222 6 2971 1799 1 13711 1253 2 19331 534 2 12103 1466 1 18296 1548 2 19822 6167 1 2468 2415 1 8950 3267 6 4199 1548 1 8356 520 1 18538 1722 1 15192 767 1 8289 5259 1 2602 5428 1 8962 5345 1 2204 2012 1 467 7497 1 19401 214 4 4195 2678 1 6650 554 1 9898 2499 1 608 4621 1 13764 1606 20 4027 4662 1 18589 244 9 8831 152 1 13698 215 1 6656 1729 1 14143 6436 2 8833 341 1 5853 1713 1 10048 1015 1 16767 4380 1 4495 3400 1 4170 1253 1 9432 1308 3 40 2095 1 14257 2089 6 13350 3954 1 16897 2889 1 62 2924 1 14773 196 19 156 6200 1 4614 1253 71 7995 6754 2 18800 4065 1 5084 219 29 14557 3851 3 10569 156 5 10693 5467 1 15778 6505 1 16983 3063 1 11623 723 1 10973 1247 3 11192 3842 1 8594 5389 1 31 235 6 12716 1782 6 9421 7332 1 5408 6442 1 17403 5018 2 10577 5031 1 3512 1287 8 8435 243 1 3355 205 1 5808 1764 2 17640 1104 3 10579 6270 1 3037 203 2 4493 6083 1 17281 1104 1 8793 591 1 8333 6754 2 7179 8081 1 19731 1712 1 4689 8141 1 11654 3278 2 9160 3325 2 3815 3400 2 19197 4389 5 45 2336 2 12537 519 1 60 2744 2 18782 4936 1 17061 4204 1 8742 232 1 19641 2109 2 7507 1248 2 7208 1573 2 19606 1245 1 6652 1250 4 17078 2229 1 18869 4819 2 5859 213 4 17392 1728 2 7179 963 2 13168 5858 1 15272 1164 2 8824 525 1 16474 466 1 9273 2204 1 4570 541 1 18058 6892 1 12139 8099 1 15419 6368 1 11661 2569 1 4161 201 1 3466 1649 2 5246 7672 1 8806 7166 1 7257 1738 1 1861 7220 2 13601 5428 1 15952 382 1 19359 5905 2 6140 510 1 3449 5018 5 10670 1363 3 1893 2488 9 16159 23 3 17495 3399 1 592 3029 1 3362 2569 1 15636 5016 1 10290 534 1 18122 1707 1 18779 6697 1 540 5105 9 16501 708 1 14609 3267 6 19682 4077 1 19658 1593 1 4050 2512 1 4867 1146 1 10698 821 1 2069 5349 1 15272 4987 1 3379 951 1 1065 7576 1 543 35 1 3397 709 2 1467 3853 4 4819 3083 1 11622 8054 1 16844 230 13 5373 2555 1 10595 6527 1 10693 7648 2 18137 7653 3 19346 6495 1 1141 2488 1 13105 2118 1 4778 3682 1 4305 2841 1 5981 1745 1 11786 4613 1 1489 6865 1 10587 4877 2 19094 4555 1 7043 2889 1 11814 4196 1 17803 1700 25 7123 8183 1 14198 4435 1 7799 844 5 14492 5274 1 10783 596 1 8129 765 1 6470 4961 31 10182 6402 1 10720 4867 1 14669 3446 12 10706 2388 1 17662 1720 1 18149 1728 9 4498 3750 2 10441 7410 3 7193 541 11 2917 478 1 16570 2869 16 3389 6373 1 12790 8099 1 8571 460 1 6853 6979 1 7426 5064 2 3776 6341 79 14162 603 1 2045 303 16 11388 7510 1 1029 1239 2 7069 1244 2 11902 2274 5 20049 2938 1 10407 1226 1 13405 4563 1 44 2315 1 13 819 5 6772 1819 1 19060 4436 13 6013 4620 4 7501 3065 2 19131 6192 1 8174 3283 3 3653 1339 1 3310 874 10 1017 4285 1 13748 2789 1 952 4937 2 19283 6957 1 12710 3761 15 8266 1732 3 2676 2980 1 11413 2181 1 16998 215 5 1277 5060 5 6795 4366 2 5314 5584 5 12569 244 1 11582 1721 1 15056 244 1 27 1595 1 9566 708 1 6105 550 1 17 1064 1 15565 164 1 20256 830 1 18101 186 1 3569 3619 5 16857 501 1 18665 201 3 7480 5737 1 10245 7695 5 11939 7271 1 14637 200 1 6815 709 1 4183 5257 2 4688 671 3 4061 2407 1 9432 4069 1 17254 4615 2 6422 190 9 327 1831 1 8458 223 8 10117 6870 1 18398 1482 1 4092 361 2 5962 2784 1 13924 205 1 18570 6855 1 1824 3403 2 11616 441 1 745 6435 28 16468 957 13 14159 196 2 15773 1704 3 12847 7604 2 2917 637 1 6842 207 21 2440 6155 2 3595 3222 14 322 1745 5 1711 671 1 9388 5672 1 8198 2090 6 18832 1641 11 7536 2352 2 2985 1183 2 15372 1247 6 1851 6654 1 19714 1615 11 2952 395 1 13183 738 4 8919 3747 1 19348 1296 3 18735 4758 3 14580 214 4 18298 3892 8 15057 562 1 19683 1395 1 1363 3691 16 4498 1288 2 12159 2424 1 10973 1245 5 5172 2143 7 7174 3315 1 1935 1202 1 16327 7461 1 9596 1747 1 3189 1660 1 15683 6630 1 8735 1234 3 10245 3648 2 153 6986 4 12054 395 1 12361 6288 1 15182 759 1 16184 810 1 17298 5018 6 5824 4366 4 11874 2692 1 4938 1995 3 2906 23 2 10844 156 2 14808 3595 1 10183 2555 3 151 4853 1 17580 4963 1 11629 2191 2 10698 2663 1 16623 1239 1 9503 2443 4 13624 5018 3 16539 225 3 9793 5097 2 16995 1241 2 2016 5018 1 15819 221 1 1628 520 17 18518 502 4 10313 492 1 4083 592 1 4256 1146 1 7774 4870 1 11887 1286 3 15722 1363 1 19359 4352 1 1215 6880 3 11854 6027 1 3397 853 2 11558 190 1 13126 7862 5 6337 3457 1 2128 7662 1 8582 6414 4 517 1765 4 13084 496 4 9221 353 1 2318 4992 5 12841 2969 1 1625 2511 1 1320 3911 2 20193 6065 5 823 4435 10 8128 3972 1 19000 3721 1 7034 7201 1 19542 5057 1 8957 4796 1 9402 1474 1 6039 466 1 8321 1721 6 8532 1250 3 19267 577 3 17870 1379 2 6812 2760 1 16057 3563 1 15811 5446 1 11769 1936 1 9799 1861 4 12966 4435 9 2992 891 1 14695 4060 1 7956 4287 1 2491 6538 1 527 608 1 13154 1762 2 5018 2662 1 3048 1524 1 10684 232 1 2509 5332 9 314 136 1 7432 5557 1 18198 8041 1 11747 5162 1 4870 4014 2 11343 4459 3 16178 1660 1 14064 7342 1 8982 4938 1 5391 1342 9 10393 2534 1 593 1718 1 10741 1748 2 17746 865 1 542 491 2 6451 1736 1 12817 536 1 12856 5251 1 373 6107 1 3324 1722 4 20225 762 2 8982 222 3 7078 23 1 16270 3551 1 18577 2891 5 13717 2254 1 10098 1921 1 5281 15 1 16018 2729 1 16944 4739 7 3812 2789 1 6778 214 15 16674 3581 1 4850 5505 3 7130 3309 4 9944 199 8 4092 2789 2 3372 7921 1 11987 1704 1 14981 1990 1 6830 1150 2 9296 2827 1 673 787 1 11828 8160 3 181 8238 1 824 5018 1 5656 1747 7 19554 2356 1 13881 2720 10 7306 571 1 18820 1 1 12300 2673 1 8111 665 1 11591 1717 4 17259 1338 1 8052 15 1 9188 4467 1 5550 3202 9 454 1383 1 6990 2710 3 9374 1235 8 18711 1756 1 19317 6640 1 7165 420 1 19504 7439 1 18968 2492 1 11673 850 2 1727 411 5 16649 3511 16 4331 6280 1 1276 518 2 2905 1863 1 14988 619 2 14180 4963 5 14843 3758 1 41 2143 3 929 203 4 8174 6946 1 14418 1760 1 10924 3060 1 29 1674 1 3931 1312 2 18193 1245 4 17165 38 2 17670 5425 1 5602 4761 2 8709 4708 1 5567 1333 9 11521 4616 1 9693 201 1 12964 1116 7 26 1576 3 3082 1464 1 6180 3448 1 9809 7848 1 16310 3287 1 11877 196 4 6578 4936 2 6339 843 5 14123 203 3 19286 292 1 12759 1737 3 14184 2584 1 16444 2363 7 1191 1730 1 18879 2114 1 15561 720 1 20017 3386 1 15364 3845 1 1248 8109 1 8946 953 1 13813 7117 1 7943 164 13 3963 5260 1 7868 4394 1 17306 2508 1 8882 2255 5 6430 1772 1 12415 1342 4 3008 403 4 18033 1715 1 4868 2626 1 15332 6170 1 18102 214 2 6332 835 1 14567 1954 1 10752 1814 2 13617 2708 1 5969 2474 1 135 6182 5 7065 441 1 11363 203 2 7917 201 1 18515 2569 1 6676 6668 1 12922 3710 2 6183 233 1 5631 1245 2 12501 501 1 11996 1738 1 5646 1153 1 16363 1672 1 13526 1788 1 11547 4723 2 873 638 3 6687 2238 2 824 3760 1 1016 4577 1 17713 2602 1 16303 1695 6 8458 203 8 14474 2488 11 11709 5970 1 5158 812 1 1461 3840 1 12838 3851 4 17463 5518 1 10941 506 1 2584 505 1 5655 5492 2 140 6424 1 6023 5086 2 4898 498 2 2135 1395 1 7652 6396 4 9176 2206 13 15732 3748 15 11755 793 1 3485 4009 1 436 1542 1 3917 6449 1 3196 3135 1 16844 7643 2 3027 13 3 7000 3491 4 11889 3208 4 1437 5433 2 5582 2780 2 20106 2559 1 8730 564 1 7868 7901 1 12826 1076 1 4193 1743 1 6314 2742 1 42 2244 2 17757 1374 1 7147 2514 1 9604 1250 1 452 1163 4 9231 5892 1 11415 2720 1 11687 1986 4 4240 5018 36 14700 23 1 2550 1247 3 9367 1099 2 15688 3590 1 19790 3748 2 11449 5018 1 15044 2671 5 3 132 1 16033 7222 1 716 3669 6 18138 7963 8 2036 4274 2 14413 2352 1 17652 793 1 12703 5034 3 10843 780 1 11365 6434 2 1185 206 1 7463 1277 2 15676 108 1 16818 541 2 17083 883 6 2305 1298 1 1027 8122 1 18978 514 2 10278 2903 2 18122 223 3 7966 1656 5 13970 5674 1 3133 5253 1 19503 365 1 19492 398 1 19740 702 2 19970 5997 7 16542 5730 1 15081 1827 11 133 6016 1 18102 844 1 3841 550 1 17329 225 9 4597 1781 1 16700 662 1 19358 7602 4 8757 5461 1 9283 2632 1 6540 6701 1 18608 2555 1 1125 3029 1 15742 789 1 14906 1745 1 2874 5054 2 18528 1555 1 6776 498 9 12970 1312 1 11363 1357 1 5817 215 7 901 197 1 4995 2399 5 13517 3138 2 6422 3591 1 19731 6047 2 159 7265 1 6327 793 1 12773 2989 1 20002 1770 1 4892 347 1 1466 2645 5 786 190 6 14064 1727 2 3286 7523 2 9115 1781 1 15046 2584 1 17909 5810 1 15687 863 1 7533 6271 5 12355 6442 1 17416 4838 1 13681 3625 1 11393 935 1 4493 3954 1 3940 5316 5 3406 5345 1 2310 718 5 19313 1995 9 4479 2844 5 12541 236 1 1165 724 1 8425 1738 7 12125 6922 1 8170 2633 2 1586 1724 1 4778 4179 4 3567 2671 26 11773 5905 1 7469 4005 1 14831 2016 1 19568 505 1 10838 4540 1 4902 1495 1 20107 470 1 10939 4202 1 17767 7632 1 13601 1339 2 20059 1751 6 10228 834 7 14084 510 4 16803 3283 1 9208 3206 2 9654 1825 3 7635 4724 5 14843 4992 1 16041 524 13 13531 411 3 18493 4992 1 10276 4549 1 2398 1081 1 12213 2413 1 15341 676 1 14047 1648 1 10268 3146 2 11270 417 1 11094 126 1 13745 6385 1 17662 3511 13 5664 2813 1 10360 1342 1 13231 1649 1 2911 23 1 10637 8195 15 3718 5081 3 1839 1395 1 19588 2608 1 7593 6167 12 1053 908 5 7079 5804 1 10812 2076 1 10536 867 1 7065 944 1 2813 2489 1 18393 1328 6 3853 6554 1 30 1686 2 6772 1235 1 12988 3653 2 124 5555 1 17567 2877 1 12722 2508 1 15015 4458 1 14335 502 7 11418 7083 2 4779 5521 1 7501 2353 1 13428 2969 1 13871 3856 15 17195 6454 3 989 1770 17 9595 693 4 2782 3900 1 6502 1730 1 9606 1235 1 16546 3110 1 18862 2795 1 4691 1760 2 5433 2646 1 7853 952 1 103 4634 1 18696 1482 5 6449 3164 1 8440 1747 2 6802 514 3 11572 2743 2 6074 6502 2 12634 8184 2 12654 1747 6 8438 4825 11 19289 2671 1 3154 5561 1 5048 1275 3 2240 325 1 16185 4532 1 18690 167 1 7520 3556 15 8919 203 1 17562 1825 1 11551 225 4 18487 1757 3 5882 1732 1 12967 525 3 14778 1772 1 19605 545 1 12528 2290 1 15471 5312 1 18518 1784 4 19246 6039 1 14532 6674 2 19239 1726 2 4850 5453 1 17494 2103 1 4880 3050 2 8938 1718 12 16636 6772 3 94 4220 1 16817 207 6 4232 5903 2 1109 3840 2 5996 3262 4 20275 854 1 7481 1315 1 6333 6226 1 13297 3980 1 6332 2649 1 4273 1464 3 10869 6150 2 6337 225 1 11008 7576 1 5252 6159 1 13923 1686 1 7853 6970 4 6844 921 2 11895 3434 1 5960 397 2 13027 4280 1 10718 1245 2 12139 3705 1 6314 8065 1 10349 2675 1 9883 581 2 16026 2516 1 15809 5649 2 6420 4567 2 6098 3227 1 19331 910 1 16943 206 7 17871 6179 1 6358 2173 1 135 6161 3 452 2114 1 4886 1990 1 6859 4314 1 4716 2662 1 11581 3421 1 8082 7878 1 19711 514 5 19272 5875 6 5117 682 1 4207 3721 4 10061 3596 1 9215 4252 4 16832 219 1 3581 1727 2 1330 225 1 19319 60 1 17541 3602 1 4081 4409 1 19863 7542 1 16068 2626 1 4057 756 1 2292 411 3 16683 200 1 13 559 1 17652 2877 1 15520 7921 2 113 2269 3 11208 6666 1 5950 1464 2 4304 1904 1 3763 186 2 1518 490 1 2548 2737 11 3694 500 1 16589 2727 2 19760 5301 1 17288 200 5 14928 1779 1 73 3399 1 13898 201 2 3855 2710 3 17996 1705 1 7577 5730 1 18100 6179 1 6275 153 1 5520 220 1 12821 1664 1 8634 481 1 12913 8060 2 9307 2982 1 10382 7542 6 10841 190 1 1304 1251 2 7652 4617 1 11428 792 1 3390 2459 1 3307 221 1 10218 3794 2 13770 175 1 4498 3747 5 611 4716 3 83 3735 1 5636 5506 11 11509 3518 1 12988 4413 1 2364 5826 4 18887 6135 1 4268 7008 2 6327 2884 1 18681 966 1 17384 821 4 12962 3699 7 3434 4454 4 308 2675 27 17811 5021 1 13445 2362 1 13912 6102 1 16547 1235 4 2458 2087 4 3136 1146 8 1472 1789 2 11 409 1 15051 1438 1 14165 4601 27 684 190 1 9048 7245 5 12077 2029 38 2956 4400 2 15471 858 1 16636 454 2 9519 229 6 7746 3510 1 4092 1383 2 18843 3113 1 16272 1760 2 2584 222 1 11277 397 2 5276 2269 4 11192 4099 1 15974 4312 2 13328 597 1 19568 525 1 9420 6292 1 19291 347 1 9920 4764 3 15982 2827 13 15547 2749 16 20084 222 2 1062 2205 15 6322 6673 4 6385 4307 1 10218 937 1 4274 4890 2 16692 3326 1 4734 5500 1 9712 3024 1 14760 3854 1 16084 200 9 992 1239 1 10733 225 1 12619 1052 4 9597 229 13 10886 1450 1 15044 8192 4 3352 1237 1 10538 203 1 5124 4385 1 14049 6140 6 13909 5536 3 2008 471 1 14212 399 1 18696 1751 5 9859 2605 6 4120 6231 1 13800 370 1 2801 173 1 11388 206 3 8230 6645 1 1740 2013 1 18413 3414 2 2748 235 1 12075 7750 1 12322 132 1 6070 6108 2 1711 521 1 1 47 1 2942 2501 1 16546 3140 1 2648 1007 20 12325 5206 1 62 2973 1 14308 8195 2 19144 6801 2 10179 4298 1 8056 4961 1 5117 816 1 13978 1434 1 19364 3308 3 19316 4506 1 20054 201 1 13097 1363 1 8823 2497 1 8629 7975 1 7702 1721 1 10 301 1 8576 5737 1 14566 1464 4 10110 765 1 17585 8029 1 2358 207 1 1467 400 1 19319 1369 1 3664 5019 4 19649 1730 2 42 2238 1 16491 1717 3 783 366 1 6423 7998 1 11516 3427 1 14782 3778 2 8748 1722 1 16270 6517 1 3947 1239 1 1414 6706 25 17885 5916 1 965 243 1 9253 1638 1 1745 7101 5 6757 5437 1 15447 219 1 3685 6286 4 7372 8026 2 17452 221 1 10145 633 1 252 2729 1 9577 6946 1 12897 237 10 11333 868 1 7941 1856 2 17001 1748 1 9319 7512 15 728 6865 3 19820 4578 4 2643 148 1 9396 1747 1 19440 6584 5 13923 1827 10 8004 1732 13 17325 749 1 6355 3906 1 4382 2056 1 18944 6058 1 14808 1996 4 11515 205 1 14740 512 2 17501 7017 1 14738 4877 1 4779 5905 1 16564 958 1 4604 745 1 542 3283 1 13027 644 1 7591 1244 2 11964 1784 2 8172 1038 1 15629 186 1 14926 244 7 16016 6252 1 156 7184 1 8591 1720 5 11733 797 1 13302 223 15 2748 6551 5 16336 6062 24 384 4351 1 8269 935 1 2985 2936 1 15574 4980 1 18250 3262 2 20007 974 1 10307 3520 1 10498 2167 1 14730 5270 1 3882 201 1 17560 649 1 12929 1295 1 16881 1718 1 9310 7515 2 7881 215 2 367 5306 1 9957 7256 1 6139 2356 1 13519 11 4 1560 2447 1 11 484 1 11 407 1 1160 233 3 1870 1783 1 13383 4312 1 43 2267 2 15471 1531 5 5218 1771 3 11181 2454 1 4493 2894 2 19270 3637 8 7181 1770 1 7334 5018 1 11072 1909 4 11585 10 5 10772 4014 1 15952 4306 2 1252 2869 1 1665 6155 1 6581 206 1 6653 470 15 4638 5325 10 9448 1837 1 12291 6107 5 12097 2727 1 56 1482 1 4332 3556 1 11857 1237 1 10125 3956 1 14960 6445 1 12023 336 1 15683 95 1 163 3167 2 8074 1743 1 2437 23 2 6574 1770 6 9743 3631 1 7440 2352 1 6539 651 1 14522 167 1 4533 5020 1 4232 225 1 18807 694 1 11545 1928 1 4913 4667 1 15015 5325 1 13278 5299 2 5597 5351 1 4874 1779 3 1128 514 1 12412 746 1 4670 518 1 11379 5257 1 18375 4022 2 19115 23 19 5671 3482 1 174 8085 3 18322 74 2 5913 5019 2 12565 8026 2 5216 3352 1 8249 867 1 12929 229 2 4519 1280 1 15640 2747 1 1346 730 1 1246 1717 3 7879 1774 1 16792 7319 1 12627 2443 1 15230 244 8 18169 496 4 1679 2729 1 14721 3773 1 20046 3694 2 11211 4328 1 1620 6080 1 19665 7219 1 16331 4245 5 17562 7178 1 13941 4976 6 3887 5567 1 3133 206 7 1447 2698 1 14706 5559 4 4308 4189 1 6907 4496 1 13215 1211 2 15144 4944 1 4190 4511 9 15095 2072 2 15192 5724 1 5433 936 1 7554 1482 1 5641 1774 1 7034 1881 1 18357 1719 1 14006 4698 2 296 6957 1 18681 5115 1 3104 2336 1 8229 1244 1 16798 7687 6 15510 397 1 14059 489 1 3594 833 2 8376 4660 1 18404 1990 1 14665 1587 2 16028 6140 1 11154 1454 2 18809 1090 1 592 2132 1 6113 1283 3 8528 215 8 19332 1781 6 1036 367 1 3536 8247 5 13187 8108 1 2317 4245 1 812 2378 1 1176 718 1 5266 3400 2 11790 3058 2 127 5744 1 4779 1776 1 10782 5010 1 11687 1778 5 16467 1251 1 15059 5496 2 3149 1208 1 12168 5657 1 2886 4591 3 4578 200 19 13432 533 1 17431 2410 1 4076 1482 6 1540 219 2 11148 3715 1 2583 3184 1 8751 2840 2 19044 201 4 613 7740 5 12765 853 1 19401 3097 1 1716 5425 1 8310 201 1 14829 6624 1 1498 200 1 11622 2729 6 19965 7861 1 5258 5474 1 17150 3471 7 4705 1814 1 416 3479 6 19465 1739 1 16634 6341 1 5837 407 1 14037 8017 2 17088 207 1 1125 479 1 15374 6363 3 13843 1151 1 17695 367 2 7246 5020 1 18279 4120 1 135 6134 4 8614 2761 3 10036 1235 2 9645 232 4 10865 4951 1 14657 3497 3 20031 525 1 5738 836 13 30 1699 1 18026 201 11 4389 2488 7 12071 409 1 20166 4992 2 10422 5331 3 13642 2814 1 3120 252 2 18489 6983 2 5424 541 1 2976 2955 1 8206 4951 1 62 1151 1 10498 5165 1 16416 826 1 83 3807 1 11584 1721 7 11353 7036 1 10064 1743 5 5540 496 1 13734 982 2 19655 667 1 416 314 3 9000 303 16 491 607 1 12537 2897 1 8863 4998 12 1462 3911 5 14738 1272 1 4716 1453 1 7020 1275 1 1426 994 1 1190 380 1 7688 729 5 7349 3233 1 3283 4998 1 4147 6993 1 16548 339 15 12320 5461 1 12671 3738 2 15816 1253 2 11885 545 5 8417 518 1 10442 3065 1 14376 1134 1 19819 499 1 12753 4950 1 14682 1724 7 873 1303 2 7161 4081 7 6644 519 1 19775 1850 5 127 5732 1 5248 1402 9 1711 759 1 2326 6368 1 12404 2268 4 9761 5115 11 7306 741 1 2174 4274 1 3366 201 2 16860 779 1 7554 500 9 707 3648 1 11467 84 1 6208 7677 1 819 2650 1 9511 4534 1 14639 4972 1 2885 193 1 6479 844 1 4960 3420 4 14685 5325 1 14824 3191 2 2508 6165 1 16704 1352 12 6926 6629 1 16796 5325 1 6513 495 1 5281 7105 2 11601 525 2 13800 4209 1 122 1782 6 2300 2428 3 873 571 3 10064 4245 1 18862 1277 2 1145 175 2 8861 3059 3 15870 2552 2 10101 1718 14 13375 244 6 14284 164 2 13126 4501 1 1411 3334 5 222 2004 1 11804 1774 1 14599 853 1 6996 6286 1 18276 5336 1 48 2412 2 5869 7883 1 812 7871 7 741 4963 2 13427 8146 5 2674 6037 1 6798 1752 8 17199 7466 1 1359 4998 5 19026 252 1 2884 3482 1 12934 1721 1 3075 3167 2 11367 223 8 5361 219 11 15318 1762 2 7020 5105 5 7197 532 18 19813 1742 4 1733 221 2 14795 520 1 19590 71 1 7784 1184 8 16714 2614 1 7179 688 2 1520 5879 1 7490 3929 1 11641 1121 3 7316 164 1 9050 4380 1 19568 1776 1 12622 206 5 42 2171 1 2885 3685 1 9445 1781 1 7147 6793 1 16648 3854 2 14587 596 1 14016 6746 4 1612 510 1 8137 2363 1 15025 37 1 10839 6065 1 116 223 1 16345 4431 1 6343 481 1 19222 6201 1 11546 5897 3 2181 3483 6 7703 3367 1 11849 153 5 7933 2683 2 20090 942 2 19871 4712 1 4539 1752 13 12537 2699 1 9543 2869 1 13498 1342 3 153 7108 1 20114 395 1 15011 790 1 171 7674 2 68 3259 1 16876 1825 1 20039 1537 1 1718 214 1 9935 2729 2 7458 1644 1 19322 3954 1 8598 2429 3 3233 1374 1 2390 4732 1 11430 2534 2 13046 1184 1 9060 203 1 15712 883 7 12322 508 2 3925 496 1 8506 2675 11 8621 6252 2 14522 534 1 1807 2419 1 13652 3233 25 4202 7368 14 5849 6669 1 13249 647 4 18534 3597 1 1586 1374 4 6492 1344 1 12518 5115 1 16791 3332 1 18095 1420 1 858 6680 1 18878 365 1 4133 1730 1 3182 1578 1 5817 441 1 18891 4954 3 11411 1710 1 17650 6697 2 5767 673 1 17088 1775 2 2423 367 1 12760 5352 4 8343 576 1 12686 1827 1 6158 3586 3 6987 2355 1 2703 308 2 5577 6268 9 11265 249 1 437 4400 2 4753 3715 8 2112 2120 2 18152 2675 2 9503 3065 1 3152 7168 2 17180 5421 2 10 314 1 20029 5575 5 19747 7427 1 9178 1658 4 14297 2488 2 306 11 1 3440 7527 3 4998 2353 1 12782 1453 1 17152 1730 2 407 222 2 6740 716 3 8405 436 2 8439 1764 6 1641 1681 1 14824 1321 1 11467 310 1 2340 4936 2 9166 5998 5 10127 3493 1 1839 637 3 1780 3556 1 17624 536 1 314 1244 2 5264 65 1 334 1183 6 18543 3605 1 19262 1814 2 13909 5570 1 4492 524 2 4089 2006 7 15001 4603 1 15284 3897 13 18207 496 3 11932 8195 1 6343 3062 1 18431 235 4 9430 6409 1 8465 203 9 14837 1731 4 10719 5052 1 12470 4088 1 6611 4446 1 7768 1695 1 6183 3512 1 13 612 3 15884 633 5 13065 1762 1 916 5788 2 11417 4199 2 872 1455 3 19331 1236 1 3985 3970 6 10580 3630 1 5796 7407 10 12778 1717 7 33 1824 6 17767 1241 1 14519 1825 16 770 4060 13 3515 2686 1 6511 2261 2 9374 2600 1 5498 7594 4 18986 412 1 822 5256 2 18734 1641 1 4519 2131 1 16028 3903 1 3259 6064 1 8214 203 1 17521 1464 1 9535 4436 1 1665 4153 1 13090 3671 1 1801 2964 1 15419 4245 2 12064 867 13 20257 219 1 14769 4258 5 5326 514 1 6829 308 2 1983 1762 5 8087 1266 1 3329 1322 2 2108 7851 1 10319 221 2 9498 5420 1 20090 471 1 13461 545 3 14176 224 3 13735 4403 1 12212 386 1 19664 3113 1 13706 3456 2 4876 3021 1 19026 1705 1 12789 5312 1 14326 1734 1 3397 2562 1 20068 1416 1 3505 484 6 9533 222 1 1434 6105 1 5620 222 1 19323 7212 2 143 6549 7 4107 4185 1 5758 6500 1 11266 1964 6 3806 214 1 2011 206 1 17534 6268 1 4056 210 1 20235 3972 1 18033 2649 2 6070 381 1 1807 3072 1 7463 667 1 881 7287 1 13002 4555 1 17952 7591 5 1598 3979 1 13349 7313 11 18447 215 5 4253 229 5 4935 2002 1 2628 2749 5 14278 5792 1 1859 4306 1 11769 1962 1 11428 2720 1 11192 6769 1 11769 1658 4 13525 1727 1 6939 206 16 6690 6141 1 17261 8113 2 2397 4947 1 7069 1296 2 18581 5091 1 13928 1991 2 5111 1862 3 2273 1363 2 16815 5903 3 18808 38 1 11276 6027 3 10554 4675 1 10862 1656 1 2680 7308 3 10218 5325 3 11806 194 1 13997 599 1 2081 7379 1 9688 2698 2 684 498 4 2844 3588 2 17409 252 21 6061 7525 1 86 3927 1 9104 3511 1 13901 4231 1 14968 8022 1 13834 5018 1 6355 7317 1 7872 1788 8 1997 6091 1 7267 541 1 8388 7522 1 3663 4404 1 1530 7643 1 18146 2646 1 10105 1752 1 5863 1103 1 9224 892 1 3143 2664 2 14207 7852 1 20145 1250 2 12392 447 8 16570 5905 1 18413 3262 1 12757 1710 3 11786 2663 3 4496 1738 1 11246 3921 1 17638 2800 1 11755 7412 1 19857 2488 1 2602 1296 1 19101 1307 1 5743 3138 1 10813 223 4 16290 156 5 4212 675 1 13570 3065 1 11857 502 1 5198 203 1 10060 215 1 10653 2443 1 62 2999 1 19448 3411 1 17088 1816 1 8338 2378 1 14074 1244 16 5639 4325 1 19385 3849 2 2917 386 2 9341 4242 2 16426 523 1 10553 3361 1 853 6238 1 13350 781 1 6420 2515 1 15791 252 1 19559 6880 1 16284 1748 3 993 863 1 13739 792 15 2284 2662 2 19690 496 3 19000 1267 1 2519 7515 3 15975 2118 1 9931 5024 2 12940 156 11 7017 6481 5 2260 8156 1 14512 479 1 14284 5888 1 4875 2500 1 3821 3798 1 13023 3879 2 8129 4306 4 2710 3445 6 6332 3275 1 14472 617 3 14522 3230 2 12030 2089 3 4090 3493 1 15222 203 1 907 4379 1 17702 23 1 16885 5245 1 3553 2103 1 13490 390 1 12 536 6 5195 512 2 14772 883 1 18730 5255 3 10319 1695 8 10080 4473 1 2777 5758 1 16881 768 1 1679 883 1 18157 5391 1 18967 1287 1 5049 3365 2 4626 1643 5 16773 3731 1 2761 741 2 18443 3208 1 3945 6587 5 18398 411 1 7555 3540 2 14818 1357 1 18357 23 5 384 8168 2 15071 2262 1 4799 8109 1 14881 3032 3 103 4664 2 3806 1482 3 13628 8141 1 9767 1827 1 6417 215 1 13611 1363 2 14893 501 1 6973 191 5 380 1779 13 10298 1299 1 16215 2555 3 14247 2737 3 13633 3647 1 9404 221 3 6073 5130 1 140 6408 1 2177 4122 4 19652 1819 5 4891 732 1 4614 3369 1 5354 5294 1 3853 3325 4 2886 742 1 18040 11 1 160 7295 1 3146 982 1 17589 1669 2 6153 6185 11 19774 4207 1 12893 7570 1 14035 8046 1 19486 957 1 1647 745 1 171 7707 1 393 2935 1 11572 7719 18 13537 2115 1 10146 463 1 382 2729 2 18466 5484 1 9178 638 3 1867 1774 1 17585 5126 1 10536 1686 4 15041 1760 1 12669 792 5 867 507 27 15305 7857 5 6002 4518 1 14010 3466 1 2085 1235 1 264 3540 2 12821 411 1 14971 1707 2 13044 4792 1 3655 1363 1 749 518 1 6444 2795 11 19641 964 1 17428 3474 1 16130 7529 1 2598 1635 1 121 673 1 16084 1363 1 17083 1369 1 5287 2584 2 13646 2392 1 9561 4680 3 6410 1234 2 9930 7466 10 7661 1342 6 18534 2555 6 1330 1184 1 7630 3230 2 8860 2712 2 1054 4382 1 3849 4476 2 6913 4242 3 14532 2275 5 19645 525 1 11949 5139 1 1481 3511 2 14096 1658 3 755 1374 1 5009 682 1 8703 934 1 13947 7829 3 2284 2958 2 10057 1757 1 9511 420 2 12387 200 5 12299 1698 1 19206 3138 1 2142 3153 5 18696 510 5 15041 745 1 11795 1737 2 13763 7846 2 3533 7901 1 5088 1736 1 3822 1369 1 19286 236 1 11964 1342 1 14971 3591 2 14685 4022 3 6867 2316 1 5769 792 2 13128 7021 1 15932 8013 1 349 5734 1 10339 164 3 9457 1272 1 6684 7660 1 8781 2611 1 86 3953 1 18486 1247 5 11156 1755 4 11662 2291 1 11421 240 1 8994 2645 1 12623 8103 1 7962 3511 3 8437 7943 1 9290 1342 1 11354 2673 5 6130 770 1 873 7731 2 7769 1247 1 943 3203 30 4399 221 2 12669 1770 4 4405 1208 1 5637 214 1 8982 5423 1 14983 6529 1 267 11 1 16630 7674 1 15938 1245 1 11158 429 5 18805 5524 1 15726 8141 3 10730 214 8 2522 411 4 9492 200 9 252 306 1 10132 910 1 10429 2503 1 5271 2708 1 11289 1827 1 14318 4642 2 3562 1779 1 18926 205 1 3395 222 1 9012 2261 1 4688 615 2 12947 532 1 1879 2478 2 13691 5022 5 11859 7240 1 1593 3389 12 7850 2095 1 8608 1726 2 16089 891 1 8088 4245 1 1234 7832 1 16726 1082 9 16767 2555 1 9660 918 1 5433 214 1 4331 5162 1 3242 2876 1 14899 6164 1 10664 261 1 16117 1523 5 6742 6566 3 13388 3911 1 19602 3043 1 16816 4380 2 4699 5255 2 13508 5256 2 16612 327 1 1331 3512 1 174 7916 1 16588 2374 1 6449 1342 1 108 749 1 17589 1235 1 19871 415 1 4570 201 7 11559 7222 4 1097 1734 2 18037 2440 1 16143 274 1 7769 952 1 1079 6662 3 15932 496 1 10 309 1 17379 6074 1 306 1402 1 15167 2068 1 11667 5020 2 6244 1440 1 6859 1032 1 7506 1226 1 1235 205 5 6848 7769 2 7644 471 1 2353 806 1 17803 848 1 14114 816 1 15913 1019 1 12483 7408 1 3962 3058 1 2985 697 1 4055 2647 1 11935 5336 2 4368 1458 1 1969 420 1 12188 51 1 9311 1395 1 7884 1779 1 17145 5945 1 14679 805 1 2980 3615 2 8878 821 1 787 545 1 5884 6706 6 9655 3684 1 4597 3882 1 16843 588 6 16998 220 1 12373 1825 46 13090 4792 5 455 2369 1 13553 779 1 9264 751 2 2460 5083 4 16035 4245 2 9882 2268 1 945 6868 1 19337 4635 1 6318 817 1 1752 496 1 21 1386 1 4587 347 1 10436 1416 1 17242 3327 4 9091 1727 2 19219 57 6 5684 7710 1 9212 422 1 4960 1239 2 18931 1644 1 1889 3811 2 5719 4945 3 4524 1728 1 3351 5437 1 17540 219 15 2803 488 1 18326 4531 1 17424 1747 4 6556 6078 3 1013 1116 1 13580 156 3 5266 3358 2 18681 3742 5 7455 2981 1 3354 494 1 5966 4274 1 1682 1760 1 4181 7255 1 8361 1495 1 2762 4363 3 12710 3304 1 4843 899 1 1593 6957 12 17282 2317 4 4072 537 3 20079 7850 5 15607 3645 1 18473 719 4 18953 7021 1 14290 2009 1 12298 3227 5 1837 6481 2 17788 3203 1 12298 863 1 9634 1917 1 29 1668 1 17088 1783 1 7783 2363 11 18960 755 4 19495 5903 1 17935 252 3 1106 1819 1 4763 2032 6 7973 3227 1 7269 6481 10 9733 6897 9 12404 34 2 5840 3235 2 3672 3512 5 18937 2254 1 14047 7890 1 13014 87 1 12187 4501 1 8237 755 1 4429 2662 1 1855 3666 9 3324 2671 5 18748 196 12 5252 335 2 15915 3371 2 9449 1776 1 5523 1245 1 14694 1796 2 18447 498 8 3072 164 1 635 4144 1 13551 3175 1 3782 7850 2 12187 2514 2 17828 2488 4 993 1740 1 15534 1247 1 527 7542 2 14641 5533 2 7650 5408 14 7742 222 6 11673 756 2 11968 6527 1 12811 5730 1 13916 4162 2 1801 3293 1 10610 7749 1 8004 7351 4 12935 7189 2 6681 2670 5 4329 1271 4 6111 4357 1 4312 5446 1 18443 719 1 4716 864 1 18681 945 1 19193 8174 1 10143 2649 6 4950 190 1 5900 3610 3 6225 6200 1 8029 903 6 3436 2341 1 991 227 1 14236 3898 1 8169 1238 1 3057 7998 1 15932 534 1 5515 1751 1 14606 2953 1 7780 3454 1 5791 347 6 19562 3503 9 14685 7522 2 11562 851 1 18285 5078 1 15885 7520 1 10365 81 1 16063 5674 1 75 3496 5 14177 5814 5 5048 1747 3 16147 3060 1 12758 2182 2 593 206 1 7640 1764 1 9559 7766 1 10015 2380 1 13447 1737 1 20055 5156 9 9190 3510 2 19872 740 6 12279 6105 1 42 2195 3 10601 365 1 15000 2243 1 7109 3371 1 8286 385 1 11325 220 12 5695 2184 1 8021 7238 1 17435 7351 1 604 3378 1 7432 2256 8 6442 3913 1 4385 304 1 9705 303 1 15688 3476 1 8730 874 2 14621 1566 1 16860 4540 2 5055 481 1 16770 1068 1 2680 3907 3 3815 8002 2 13743 5385 2 17726 825 2 992 1764 1 7456 1396 4 11265 4372 3 7970 855 1 16083 3558 1 7750 1752 1 6683 723 3 2221 1371 8 11938 1748 6 5173 4961 4 16597 5077 1 3161 1282 1 4898 1681 2 16740 2430 1 7797 2633 3 2141 2671 1 16143 1622 1 11139 1296 1 7380 3427 8 13758 6779 1 213 1703 1 17585 2474 6 8151 1738 13 779 2297 1 18568 2712 1 12853 2600 1 15312 1707 1 12959 3132 16 10687 891 1 4092 1146 1 4785 6793 2 9652 190 1 3826 736 2 8057 1878 5 6781 229 6 9408 1745 2 8895 4157 1 20174 5018 2 12183 2370 1 19059 8155 3 11663 508 1 11895 1748 2 4141 23 1 171 7751 1 5350 4345 2 1110 167 1 8823 64 1 11368 1762 5 4896 2305 1 4267 4156 1 4113 518 2 1798 3972 1 18511 1498 1 11432 6057 1 18782 6159 4 13234 1969 1 18045 512 1 16775 4189 25 1029 6152 2 14236 8027 1 4971 1610 1 16270 658 1 4538 215 1 11827 203 17 6966 3626 1 18280 1990 1 14465 200 6 10630 221 2 4496 23 6 20225 612 1 1469 411 7 14147 3206 2 266 253 1 3847 203 5 17890 1710 1 3873 3900 1 14021 1334 1 19359 2376 1 12909 6269 1 8198 7884 1 15759 7669 1 6795 2134 1 17429 1825 33 18546 1251 7 9494 81 3 13031 518 2 11031 517 5 12817 3333 1 12951 1748 3 20130 8091 3 834 514 1 16065 3311 4 2345 903 14 40 2089 1 4514 7215 1 13383 5708 1 14425 505 1 6773 6099 1 4548 1381 1 6223 5021 4 8793 810 1 8866 4013 1 11211 5757 2 2726 1783 1 1650 6692 1 16303 6224 6 9713 1909 3 4867 7494 2 11736 1658 1 8237 2569 1 15400 3228 17 16270 835 1 11786 6548 2 10119 5740 1 19600 411 2 11820 2353 1 10313 474 1 2935 1237 4 11637 931 2 8752 8184 1 14786 1717 1 3357 534 1 14313 3537 1 19118 7227 3 17850 2419 1 9537 828 1 6822 169 1 3523 2009 1 3945 1613 2 16819 95 1 5374 2964 1 5652 167 1 11250 3233 7 9401 3669 14 11072 944 5 1435 1245 2 16232 203 5 14727 7583 1 4444 967 2 15948 203 6 10699 1778 1 17947 1247 1 4809 23 33 17547 534 2 1562 3227 1 17134 220 1 7815 3233 1 16775 1505 11 13516 2727 3 3755 8183 1 3075 1748 1 3813 6588 3 6144 2853 1 14722 506 7 8586 814 1 7126 3511 1 5879 2103 14 11418 942 1 17738 5451 1 4623 534 2 5124 5105 21 3150 2576 1 15970 910 1 12559 7896 1 3749 1756 1 1241 2645 1 19054 7267 2 4887 1471 1 12324 229 7 4174 519 3 40 891 1 19267 770 1 4195 4615 2 15879 200 1 19487 5062 1 17 1081 1 10119 2964 5 1586 225 2 15497 175 1 14814 3622 1 3219 2269 1 3299 184 2 16739 223 5 5666 842 1 11010 6597 1 9155 793 1 2369 7355 1 18924 1249 6 11105 2003 1 13 902 1 17946 6077 5 4631 6727 1 2236 6957 1 13640 1761 2 11777 2166 1 1771 7261 1 17405 606 3 14336 2614 2 2552 6029 1 16724 1363 1 1872 1251 1 1884 8197 1 18616 5691 1 3368 2515 1 11239 1825 15 18626 2686 1 7000 6576 3 16792 863 1 17120 1756 1 13960 533 15 15512 897 1 7485 6897 1 16294 4245 1 19382 3233 1 16330 303 10 17456 1761 1 16886 7701 1 18 1241 1 107 4794 1 2792 3146 1 4498 219 3 1598 1241 1 4210 5031 1 6838 653 1 19434 222 1 16101 3511 2 6762 5026 1 4401 2580 1 6420 708 2 18968 7772 1 7820 7407 1 5543 2678 1 6515 518 2 2408 5394 1 3304 718 1 11863 3714 1 3416 6585 2 3358 167 1 2710 496 1 10920 1967 2 19038 3511 1 7083 3283 2 18145 7563 15 2886 2369 2 19560 34 3 18508 1324 2 875 2686 2 8663 3 1 17135 2552 2 14393 3296 3 4073 1819 2 19602 4597 1 12623 3238 1 6265 1296 8 13615 3512 1 8585 910 1 1214 4435 2 8182 1453 5 14580 2662 3 14443 1309 1 13182 3230 2 6539 5933 1 2523 8066 1 14201 617 5 20090 1238 2 157 7203 1 18793 6546 1 7472 1247 1 1705 2774 1 11418 1523 1 9793 2908 1 405 206 3 7186 4797 1 6989 5311 1 3975 1395 10 9639 4245 6 7256 4325 1 18215 6065 1 15107 234 1 12765 665 1 9656 419 1 4068 252 1 5246 883 1 11467 5788 1 3699 221 3 171 7711 1 12592 514 7 18232 6204 11 9306 3231 1 18821 7083 5 16547 23 2 17849 229 1 6611 1861 1 4804 7809 1 17662 1464 5 5602 1234 2 7681 2103 9 18979 1700 1 16895 1338 4 5918 3208 1 3037 2626 1 19503 2369 1 13735 223 5 8206 1946 1 9497 7185 1 14497 232 1 3389 1059 1 952 1991 2 4815 3128 2 14356 1209 1 64 235 6 4745 7202 13 16301 2509 1 19564 5488 1 5898 1573 1 14385 5395 1 8795 1770 2 5580 535 2 15394 4618 1 16444 1995 9 19776 3840 5 12565 8099 1 7811 173 1 17360 525 1 5662 3464 1 3110 8066 1 18325 7452 1 11020 348 7 10035 7832 1 10100 3230 20 11341 5187 1 19034 4902 2 17472 2291 1 7507 2683 2 14218 2355 3 4582 526 1 11014 523 1 17529 1819 2 10401 1164 1 2223 220 1 5982 525 2 12640 7643 1 19101 4240 1 6109 865 1 17462 5007 1 11233 3526 1 11515 1714 2 11658 89 4 18644 1752 2 17983 7597 2 16396 1921 2 14157 205 1 7208 3285 1 651 1825 1 20022 172 6 5091 4983 1 3000 5888 1 12531 534 1 15781 540 1 697 4967 3 6520 2356 1 11637 5311 1 4372 5121 1 2023 223 37 15785 765 1 2020 4484 3 3801 5550 1 18341 3878 3 5686 841 1 10813 6650 2 7593 3263 8 2876 4013 9 13777 6570 1 16722 1758 1 15471 606 1 7535 3523 18 126 5638 1 19428 1374 2 19406 1703 7 5141 290 1 11099 3474 1 13787 156 3 13 935 2 2902 5486 1 9478 1450 1 5477 4612 5 7235 6723 1 9886 3865 5 19381 5019 4 1878 4008 1 18578 4351 1 12918 3638 2 17688 1784 4 5433 6219 1 236 3358 2 1246 532 6 18886 4499 4 14516 6865 1 13705 4019 1 6947 5090 10 4254 7593 1 6687 2219 1 4422 3516 13 15932 4059 1 4610 5316 1 9343 671 1 15781 215 1 1304 1675 2 11337 861 1 525 479 2 7364 177 5 13865 1770 1 16695 3536 1 177 8155 1 19395 1287 1 15108 6973 1 11440 200 1 6332 6537 1 9133 1244 1 10473 2000 1 3826 428 1 10692 688 2 8164 8141 7 954 181 1 8761 231 1 17039 1740 3 15015 6207 1 873 4252 6 13601 4382 2 19316 3945 1 8269 767 1 6539 665 2 13090 2698 2 17416 6288 5 3416 2016 1 81 3666 1 8281 2355 2 9519 758 5 12140 2673 4 17395 1037 2 16029 34 3 4658 206 9 14633 1825 30 1706 3352 2 17995 1349 3 15323 496 1 3801 46 4 10535 1718 3 6966 1737 1 475 5792 1 873 3954 4 18992 5203 3 11813 8200 3 1839 1369 1 7363 6793 2 2338 1245 1 11796 656 1 14737 1826 1 8004 205 1 4429 1369 2 11388 7597 1 15471 5879 4 13445 2348 1 10203 1290 4 19286 1731 1 8135 4189 7 15162 4998 1 11402 498 1 13987 1146 1 1513 1529 1 10766 1723 1 13127 4258 1 3671 2884 5 18308 4779 1 10856 3903 2 13350 1707 3 7188 863 2 13402 260 1 835 3599 1 2319 893 1 5440 514 1 11949 505 1 1757 524 2 18431 229 5 14694 536 3 10245 1665 1 20276 3511 5 8156 23 1 15308 5003 1 15229 5560 1 11336 2348 12 9310 1404 5 9060 867 1 7868 8083 1 13987 215 1 4124 5806 11 19781 606 1 17252 1042 6 5959 221 2 7427 120 1 16016 3389 1 11158 2367 5 8291 200 1 5877 2673 13 10690 220 4 340 1208 1 1876 228 1 18074 5011 1 5771 1658 5 2840 205 7 19218 4653 1 9468 3556 2 9976 1870 3 17440 925 1 8117 3637 8 13829 1732 1 11787 1703 1 889 7501 1 14852 244 3 6838 5333 1 18526 23 1 7341 57 2 9829 2683 14 5022 402 4 1967 1464 1 7587 861 1 12614 7528 13 2213 3634 1 15508 1777 1 13445 514 10 4635 271 1 8439 1251 1 6183 3540 1 18814 3842 1 19827 8081 1 11762 1282 1 7173 23 6 3005 4511 3 16388 521 1 18968 2118 1 16538 2989 1 19440 1909 1 16652 1150 2 3038 3460 1 4265 1290 2 16500 3081 3 16676 6074 1 1727 200 23 2529 308 19 1900 4400 1 12723 5243 1 3390 203 1 13013 1302 2 4617 4979 1 16236 1722 1 3535 1981 2 16557 504 1 17809 506 2 15041 244 1 3337 2675 29 9833 1985 6 889 804 4 11277 1369 2 3817 1814 1 14027 6383 1 8575 5036 2 9364 4302 2 15743 4615 1 8763 6533 1 16534 201 1 10973 1455 10 10000 1312 1 4332 162 5 9941 4905 1 8274 4860 1 5517 7351 1 16817 1748 1 2917 5538 1 3561 1955 1 12096 1825 7 991 1356 1 1765 8156 1 9946 370 1 13178 6455 1 4592 6489 2 368 3512 7 12510 1064 3 13412 3132 2 16827 2633 1 7231 6706 1 2354 1250 1 9743 6609 1 18237 1244 1 17920 215 1 8443 7730 2 787 1720 2 18980 3910 5 11086 1249 1 14754 3519 15 16930 4435 1 5624 708 1 15692 5673 9 8210 7083 9 15669 687 1 19881 1736 6 426 7461 1 11336 6588 1 13711 3811 1 1551 1736 1 14762 545 1 11837 184 6 17624 1356 1 5768 6245 3 11470 842 1 2778 663 1 11629 779 2 16960 3850 5 8654 4363 2 15169 89 32 13842 7073 1 9521 863 1 14517 5419 1 16886 220 3 18110 6058 1 4895 200 1 1790 3264 1 9660 235 2 12141 843 1 19366 610 1 4613 2355 4 7530 222 1 19656 6341 8 2726 447 1 12739 838 1 1635 316 5 1376 331 1 20256 882 1 19630 2559 5 13670 5871 1 13743 361 2 10841 1296 1 10014 4245 1 13105 6288 1 2414 2649 3 5264 4933 7 13591 3570 8 11140 347 18 16622 1610 7 8521 6669 1 5025 1244 1 11900 1770 3 18477 3729 1 5681 1453 1 6684 7098 1 828 3492 1 14090 3693 6 654 7853 2 13789 4903 2 4663 828 2 340 2595 1 19752 3591 1 13722 3076 2 8649 6717 1 4570 6252 2 6458 3067 10 7530 1455 1 1111 6868 1 17257 6892 1 1839 445 2 15125 1121 5 5023 4609 1 3394 6053 4 14872 1780 2 11649 2025 1 14758 420 7 16237 867 41 165 7521 3 14286 2645 1 14578 6669 1 984 7853 1 5594 3419 1 12841 864 1 19902 4266 1 16201 1248 2 10692 561 3 8751 524 9 2526 888 2 19630 1695 1 105 4715 1 1118 215 5 12913 403 1 2066 6435 53 3694 3892 4 19503 2791 1 6588 7695 3 17612 1887 1 6432 5524 1 4791 156 1 16345 2584 5 16432 3707 14 13125 2109 1 17647 477 1 19217 722 2 5356 2495 1 10404 477 2 12370 545 1 4454 2880 1 5630 1271 1 9688 1721 1 1397 84 1 5424 173 1 9134 1942 1 3730 200 11 6369 229 1 10318 1315 4 13622 534 1 18315 2681 4 16561 910 5 14664 1734 55 17971 3494 11 5748 7931 2 8391 621 1 15508 422 1 143 23 8 11926 219 5 1456 6925 1 17896 8158 1 126 5602 1 13186 509 4 16491 5945 1 5829 2246 1 13784 5467 1 1499 5588 1 2375 880 1 19543 6723 1 20060 7690 5 13610 2552 3 3443 2258 9 9457 2956 1 3536 2030 18 10718 1747 2 6681 3584 1 9921 1782 2 19688 1643 2 85 207 1 9498 1686 1 212 5472 9 7527 1907 1 16216 3738 1 4988 1909 1 20275 1440 1 11230 2377 1 5945 3446 1 7823 917 1 17850 2369 1 3309 318 1 8620 3682 1 9212 2494 1 15948 520 2 9939 219 2 1142 4587 7 2155 201 2 5932 530 1 19715 525 1 5911 2484 3 19577 6558 1 16123 4622 1 11907 8070 1 10261 6648 1 9477 222 1 20172 3180 2 1513 425 1 1412 1545 1 19515 1119 4 2748 6541 10 6772 4012 3 16787 3156 46 7912 203 4 18207 2737 1 10137 411 1 11485 5225 2 7181 5649 2 7550 6603 5 17865 728 1 5126 3163 15 15778 377 2 15726 995 1 15681 5311 1 2313 5760 10 1801 382 1 8410 1076 1 18405 23 2 7577 3510 1 19316 4202 3 4092 1751 1 123 5383 6 13813 7167 1 4068 506 1 17331 903 1 15180 6027 3 2716 867 1 10372 2675 1 13572 5332 3 2891 3685 1 19605 2256 1 8831 4259 1 3441 6701 5 7750 1819 4 9094 2620 1 19341 187 1 18043 3556 1 1586 221 3 15594 5082 1 11956 7259 1 8966 184 3 3115 2647 2 8845 6761 2 7133 5136 28 6986 4992 1 11190 6152 6 14762 1758 1 3416 5874 3 6449 3247 2 14861 175 1 16720 4369 1 3801 6342 6 81 3688 4 9623 6949 16 16148 174 1 4833 3600 1 18164 1267 1 8179 4845 1 7390 3734 2 8157 207 1 7816 1245 5 126 5696 6 16249 201 1 2318 5820 1 5510 203 5 7536 1363 1 14522 1814 3 726 1720 3 16088 4784 1 18171 197 1 15599 4310 1 4898 910 3 11484 4011 1 16063 528 1 17618 206 1 15328 545 1 12747 3512 1 10720 308 6 7644 489 1 8709 6850 1 15471 1340 1 17585 1312 3 5761 1714 2 1663 4792 39 14642 7251 3 3206 1727 5 8082 467 3 15974 2675 1 14319 4252 1 13405 1290 4 4833 532 5 17205 6490 1 18863 23 1 1025 1747 28 8927 173 1 9450 1333 18 15468 191 37 10657 4643 3 3128 6534 5 20090 2004 1 3153 519 1 10815 6557 1 12159 4013 2 7566 4967 6 8751 461 2 10916 2369 1 13205 5521 1 171 3077 1 10258 2247 10 12833 7251 1 5491 5363 2 8543 1752 3 17452 7350 1 17182 7013 1 20007 1643 1 92 4165 15 5217 1007 1 9628 649 1 14993 3360 1 17180 200 3 9478 187 1 970 200 1 3416 7844 2 3221 6567 2 11536 5712 1 3008 3045 1 15572 518 5 17474 5888 2 3331 1826 1 8944 6207 3 7160 4291 3 1066 7437 1 19724 1727 5 151 6791 4 4188 215 2 19972 7210 1 13676 1757 1 3742 2213 6 5903 5325 1 1210 589 4 7822 236 9 19460 4427 1 15722 1450 1 4902 221 3 7851 1440 8 15282 200 36 4417 1751 1 6152 785 1 2998 2801 1 9725 494 1 1611 1244 1 13084 533 5 19578 2329 1 20145 252 1 7955 690 2 16625 5294 10 16252 1308 1 16611 1184 1 11900 223 2 15065 1245 1 4316 319 3 11465 1804 1 17910 3430 7 9110 2032 1 7572 4489 1 2726 382 1 17120 1399 1 11352 4827 8 3872 5325 7 19871 1304 2 230 1717 1 10203 1661 3 16185 390 1 10676 1269 1 18278 6245 1 6628 851 1 10872 7829 1 7914 209 1 16680 498 1 1683 1768 1 19850 2787 2 2906 1995 3 6413 3511 1 19026 1726 1 15894 5016 17 5272 7695 1 3718 5040 3 14839 4321 1 18394 1404 2 12594 560 3 19134 3592 1 5378 8183 6 3705 2760 2 6544 6198 2 3397 698 2 3299 1778 1 7947 883 6 18924 3693 3 12934 7850 4 1191 1781 1 12807 505 6 10672 6482 2 2629 1747 3 143 6654 1 873 883 2 11738 215 2 17557 1382 1 12466 723 1 8905 944 1 4371 385 1 17894 1395 3 714 1531 1 7193 1728 3 3936 3512 6 9168 1237 1 3331 3258 2 631 4791 1 19720 7850 2 9809 7146 1 8159 5996 1 14745 1704 1 3303 1946 5 16797 6550 1 2126 8050 2 3883 194 1 18619 156 1 14028 1402 2 10423 1386 2 8158 201 1 16925 1052 1 6678 200 11 17884 719 1 8211 225 1 6796 5996 3 12866 1771 1 13989 200 94 4717 1247 1 16254 4245 3 17600 1946 1 3734 4657 1 3642 626 1 11786 4911 1 16299 2731 1 9451 220 1 9432 603 1 18876 5521 1 18062 502 1 5643 5070 2 17398 2351 17 15013 501 1 17772 410 37 15618 201 1 9332 3647 1 8528 1184 2 8607 4207 3 873 712 2 8323 5849 1 15688 1304 1 10567 4592 3 15261 1818 1 15740 3176 5 8831 724 1 20039 1629 2 2529 641 1 17127 533 6 19160 6341 5 8385 2361 20 15620 200 4 17322 5394 4 16916 5228 1 3581 5329 2 10245 6414 1 3199 502 3 14663 1657 1 3008 385 1 12127 3075 1 18417 3558 5 9149 3593 8 3521 2316 6 14968 3617 4 7056 7586 1 14117 7936 5 12378 4675 1 3761 4463 5 557 6341 1 104 4665 3 954 5499 1 12369 5064 1 13 859 1 8952 5935 1 14263 8108 1 2068 220 8 4572 1322 1 1373 8167 2 5689 4662 1 19827 1146 1 8647 1548 9 2518 3049 1 16984 1235 1 2007 631 1 8110 2746 3 2442 498 1 2084 1779 1 1010 222 1 2459 6482 1 19762 4621 2 6063 5000 1 14684 2056 1 9437 171 2 8268 3669 1 13498 1776 1 5963 82 2 1244 7201 1 18835 1946 1 11884 2675 1 9221 2746 1 14905 219 9 17085 5559 3 10302 3540 3 13884 4604 1 3945 3599 1 4634 783 1 9072 3266 5 3270 383 1 170 3025 1 10029 5325 1 10968 5881 2 14789 6185 1 10772 1728 1 4828 2917 1 3687 749 1 18237 2354 1 1866 1721 1 7577 2727 1 1397 2582 1 19645 5011 1 8990 6440 1 17074 1342 1 12936 2344 1 18289 231 10 6132 7723 1 18285 7271 1 5978 2449 1 5648 7222 1 20194 4307 8 2267 4621 1 10730 1502 5 12614 2581 6 19712 1883 8 2511 316 1 10832 2269 1 17505 6268 2 11317 23 3 4397 4591 2 12361 4540 1 5230 1198 1 8088 7244 1 62 2890 2 7455 7291 1 1027 1631 5 7145 214 2 5499 534 1 20278 4397 6 13465 260 1 54 2583 4 13706 995 1 12306 3536 1 10408 4029 1 8496 759 26 10584 7850 9 12082 201 1 19347 2675 11 16887 3798 1 6564 536 2 15468 1282 6 9787 5341 3 4360 2352 9 19568 2662 1 19124 6136 5 20042 597 1 19822 3308 1 3430 1703 2 12414 6673 2 7988 1513 1 19724 201 8 10399 7614 5 10763 1888 1 13601 23 3 1597 5421 1 12804 167 1 14080 692 2 9679 100 7 14861 2443 8 6137 222 1 18792 821 1 3354 6892 2 2135 1373 1 712 3230 2 1316 4852 3 15678 867 4 7571 1587 1 14918 411 2 17141 2678 1 8153 1825 26 6340 652 1 11111 1761 1 7454 1737 9 4372 378 1 13097 234 3 1551 2683 1 3117 638 9 15078 244 1 11658 203 5 9440 4245 1 10033 4623 1 19331 1819 7 416 1003 16 18099 809 1 4603 3811 24 1402 1996 5 12072 525 9 13634 3132 6 6679 2146 2 16063 1665 1 1277 792 3 605 1643 1 7559 1150 2 10849 7834 1 11789 7466 1 9841 1817 1 9978 6667 10 15108 6999 1 18709 2653 5 19708 1249 34 18331 6700 2 5601 222 1 140 232 1 17142 2743 9 3808 905 2 18116 7840 1 2204 623 1 16098 7424 1 19311 6204 1 17372 517 7 12393 2018 5 4316 347 1 5899 925 1 3151 1518 3 4901 1508 1 16833 2689 4 11977 6192 2 1332 964 1 5389 5830 1 13601 1664 1 18703 5395 3 19428 8137 1 11731 5694 1 16096 1972 2 14921 6776 2 17698 3163 1 8906 2068 4 8551 60 1 7753 206 1 6752 665 1 11976 23 2 5659 8095 1 3215 6793 1 18968 367 3 6756 7308 1 17871 409 2 1653 495 2 14550 5588 2 16059 3747 6 15323 7279 1 8615 7190 3 16676 690 1 16935 5560 1 57 2693 1 12036 219 2 7357 167 1 18211 366 1 10944 6341 5 2720 2610 1 9721 4622 24 10962 6058 1 10966 532 3 4706 484 1 6490 3511 2 10973 4029 13 9860 2146 2 4009 223 11 18089 1819 1 14361 1247 4 4105 23 1 5364 7920 1 10339 1990 1 19648 1022 1 16595 514 1 4213 1263 1 6236 5086 1 9268 825 3 289 3615 3 10638 1573 2 6097 2522 1 9397 190 3 4183 1740 5 4498 1213 2 10303 1772 2 14236 3512 5 5422 2056 1 10874 306 2 16815 743 1 10586 5099 1 14228 6557 2 13745 6764 1 20090 4203 4 13176 223 1 15935 2990 1 15581 1757 5 3308 4603 1 15454 5257 1 19649 1305 1 12596 6591 1 13997 148 1 11310 6571 2 20180 841 1 14758 839 1 20014 7292 1 6995 518 1 4295 3485 1 13105 1138 3 18082 6139 3 16531 7249 1 4503 2362 4 4742 1729 1 1566 47 1 4072 5254 1 10613 545 1 140 6386 1 3424 6350 2 1631 207 5 17485 1707 1 17184 5468 2 11437 252 1 11542 1907 2 20114 47 1 6180 2014 4 2716 252 2 13046 1464 1 15645 3655 1 12726 3954 1 11796 718 1 1904 501 1 7611 7624 2 64 3085 8 19149 7874 1 92 4152 2 12909 6243 1 8454 206 2 12797 1595 1 8180 3851 1 8152 3608 1 5025 2262 1 4552 2003 1 8384 891 1 13 796 1 3397 845 2 15205 4333 1 19104 1277 3 12222 8247 1 18743 6256 2 1204 201 1 14607 2478 1 6070 6534 1 8907 883 6 17327 3168 11 8843 1656 1 7380 2552 1 13404 7395 6 11629 4582 4 4546 74 1 11343 1296 1 15992 644 10 456 4998 5 3443 1903 2 17890 200 2 6715 888 1 19223 1710 1 19203 6884 1 1465 3510 9 16669 186 1 8117 7189 1 5277 1582 1 1030 8184 2 9986 7045 1 17463 1979 1 15215 7769 1 16587 1994 1 15592 5348 1 16185 3609 2 14660 2675 2 14951 8109 1 14818 867 3 11890 1421 3 9655 5486 1 13865 8139 4 2391 232 1 18690 3020 1 1686 1734 3 11932 184 5 17130 225 3 19805 258 4 5490 1727 2 4330 1736 1 6742 6506 11 1843 581 2 11736 1193 1 11236 7688 1 11430 1247 1 13647 6012 1 16348 2410 1 14854 6128 5 2879 2881 3 17844 3661 1 13591 1193 1 15107 2508 1 14615 3425 2 18169 1761 1 2803 7750 1 12392 1781 1 11467 575 1 6045 2897 2 15732 6484 1 15849 1720 1 4525 1995 2 16427 3511 1 4303 368 5 16843 1814 1 6244 150 15 17290 2885 3 8532 5294 1 11314 6588 1 19419 207 10 1262 5245 1 8614 5447 1 3446 2860 3 10340 2552 2 6114 6661 2 5933 141 1 16860 458 1 15800 214 2 10070 4009 1 13616 7614 1 16656 7018 5 8474 5130 15 4283 7809 2 8614 5555 1 12525 6263 1 7750 1464 1 11746 4963 4 9473 1871 3 10366 7407 3 11441 867 2 8077 3419 2 6589 3698 7 9556 1245 1 1851 498 3 1129 1751 8 16627 1241 2 1362 207 1 1873 5296 1 9790 169 20 8899 3504 1 14414 7232 1 18429 3442 5 9087 1825 3 6906 6754 1 18220 3510 6 9539 6473 1 12737 5105 2 18119 1769 1 7800 880 1 16636 391 2 14527 762 2 18886 6540 2 9094 3911 1 7433 222 4 7029 3081 5 12128 2118 1 14561 3231 1 5884 2675 10 3934 2555 7 20255 1727 1 19794 2549 2 170 1677 4 16199 1209 1 18058 2352 3 10463 1784 1 5957 1814 4 11431 6341 5 18341 947 2 8405 5018 5 19578 1458 1 11000 7060 2 13530 5437 1 17079 5961 1 18706 910 1 10536 3255 5 18846 3685 5 19268 1740 4 7725 496 2 5196 5866 1 20249 3705 1 5330 1703 1 13876 484 5 3432 724 1 12970 489 7 9809 6983 9 10948 516 1 1845 6278 1 18880 688 1 16574 7029 1 9574 4992 13 4850 7719 1 14218 184 16 10273 1275 1 8528 1249 1 11192 2869 1 592 4077 2 18559 3830 1 8653 4007 1 11949 1766 2 4197 1573 1 19346 6482 1 3502 5461 1 18743 5253 3 7213 3172 1 6412 3979 32 7103 1312 5 19924 5397 1 19044 3230 4 7503 7494 4 10146 6537 1 19160 206 2 14500 190 1 10049 23 16 13216 1712 1 7799 1555 16 10778 235 1 13254 5129 1 8513 5243 1 7574 7073 4 135 1783 1 20167 1644 3 15291 4992 1 15687 4189 4 10178 220 4 3754 1829 1 4338 4090 1 8560 7338 1 5982 1712 15 3947 4460 1 14182 215 1 5769 8099 1 16857 1146 3 6850 2664 1 349 2838 1 19378 533 2 8232 4392 1 19724 1357 1 4283 201 5 16016 6198 2 400 1307 10 16805 1100 3 8091 7776 12 12934 6004 1 2079 3393 1 2300 1707 2 339 3813 5 1847 2204 1 9446 366 3 3078 2958 1 1629 2712 1 18116 1951 2 6651 6721 2 10805 7206 1 249 6701 3 14533 7455 1 770 3036 1 12532 1076 15 11814 2588 2 6048 4998 10 12060 6019 1 19826 1222 1 7737 3065 1 14695 1783 1 10247 4653 1 18880 2107 1 13398 7216 3 6247 1399 1 9168 1235 1 2948 6673 1 3541 1720 1 8832 2005 1 17388 3408 6 5414 1251 2 1826 2352 4 2985 650 3 18234 23 2 14824 6779 5 9254 215 1 6496 950 1 17681 3928 2 17005 1916 1 13535 1825 1 2701 1665 1 8226 1453 1 17779 7410 1 12140 1718 5 18344 1714 1 17331 663 1 6038 1237 2 8367 2820 1 1530 2344 1 4743 1781 1 5132 1235 4 8212 2569 1 8628 2338 4 16775 1686 12 6619 1781 2 18778 5325 2 4005 512 3 8013 3748 2 13966 2013 7 12136 206 1 1607 1698 1 17254 214 1 2284 1757 1 7907 200 1 16227 1245 2 4749 2860 1 2151 403 3 9486 773 1 17202 1814 2 8528 1146 3 18267 206 1 8760 474 1 469 304 9 19204 6115 1 15323 4785 2 11784 813 1 9284 724 4 589 222 1 1666 244 11 13183 739 1 11290 623 5 14093 724 1 17828 2354 1 6415 1772 2 15489 3452 6 14052 596 1 13912 7933 1 17816 3078 16 14896 883 1 13232 1703 4 20060 148 1 552 1695 1 10280 1717 1 14694 952 1 16502 6897 1 19472 1363 1 7809 690 1 1551 1403 3 18879 4201 2 9620 7600 1 8903 207 1 15398 756 1 3852 5783 1 19478 6700 1 8842 5136 1 3747 206 2 6152 841 1 822 3414 4 9093 6543 1 10690 7542 1 7912 201 3 81 3659 9 17988 3460 1 6668 5846 1 19293 1727 1 9864 1615 2 17502 6161 1 7440 225 1 13145 3508 2 8913 3591 1 17809 1707 2 12159 504 1 628 1015 1 20126 1059 1 16422 6428 3 16671 336 1 12466 867 3 13055 6198 1 18366 3410 3 5840 203 1 4602 5715 1 1239 1721 5 19068 4351 31 5319 233 2 109 4995 1 2345 6608 1 4488 8168 2 4449 7216 1 18241 3536 1 6644 8037 2 14434 4378 2 3168 1831 1 8151 23 27 17138 4006 1 1002 532 1 4050 541 3 6752 933 1 19760 314 2 15230 1761 2 3417 6091 1 10575 656 2 14754 2675 3 11745 221 1 19240 1753 2 1059 1779 2 4009 207 6 18871 937 2 17609 1747 2 8831 8036 2 16141 1518 1 1409 1743 3 133 6079 3 8966 1738 3 701 3473 1 11908 4623 1 81 3639 1 17650 206 1 19336 186 6 153 7097 5 7738 1730 8 3384 2727 1 14861 6098 1 8135 4303 1 17585 2478 1 11687 6877 4 8278 8093 2 19808 151 1 83 3854 1 6988 2678 3 3258 1139 8 11215 898 2 4549 545 2 3668 6014 2 2776 7850 3 7817 3364 3 11687 214 5 17749 3945 1 1620 215 1 14225 205 10 18807 935 1 891 199 1 12270 891 4 4397 550 2 20119 517 9 19002 5060 2 7571 5537 1 4665 8015 1 169 3233 9 2698 219 1 13601 1356 1 1062 858 1 2891 6198 2 18546 1706 1 10957 1356 2 20002 1783 3 15205 4288 1 15856 6512 1 13430 2292 13 7508 4640 1 5986 3699 1 14872 5826 1 10543 843 2 14686 2009 3 15718 1719 1 16548 845 1 11212 6027 3 5276 5084 1 3432 4511 1 5724 3573 1 15376 3233 1 20256 699 1 13017 3400 1 15585 5305 1 10927 156 2 6879 1959 1 20193 8238 5 17310 1784 7 11857 1751 3 100 4489 1 15272 2555 2 7266 1719 7 14784 3911 1 6533 1184 6 9969 524 2 12135 4501 6 140 6430 2 1773 173 2 3069 196 2 18629 1298 2 18792 758 1 4614 3820 14 525 5098 1 4194 2727 3 3548 1756 1 2265 1245 2 7610 575 2 300 1755 1 7607 5551 1 17431 235 6 4138 7346 1 16155 5054 15 15342 235 4 1088 1716 1 17257 7661 1 15468 1764 1 16063 5394 1 15159 3558 9 18561 8043 1 8004 1267 1 3581 4555 4 7057 6091 3 9175 7509 1 7858 2120 1 19011 957 2 13384 458 1 7000 6719 1 13653 1184 27 4969 219 9 16916 1109 1 10017 5495 1 15041 4635 1 4170 501 1 18051 2351 1 18769 5928 4 9168 1664 1 11926 471 1 9188 1428 1 9917 524 5 115 5146 1 6002 7534 1 12816 4304 2 12457 3057 1 19833 421 1 5476 4451 1 11277 1658 1 16674 2646 18 12542 6793 11 94 4233 1 3606 3167 1 5482 2557 1 3189 1249 1 4301 888 2 19065 3190 1 9319 5586 18 18867 534 1 14666 952 4 19486 3405 1 12915 4391 2 14606 7542 1 16016 8108 2 11430 1695 1 5994 7112 1 16085 23 11 16378 1781 2 15877 6632 1 2198 5767 1 6485 749 2 9868 2089 1 3881 1110 1 9989 6064 1 10145 2120 1 3399 853 2 4101 7193 1 1993 2898 2 18033 3900 1 9432 854 2 16831 8184 1 18524 1249 1 2699 6023 1 1499 5693 1 18799 2575 22 6402 2632 7 19178 5420 1 7643 229 1 12807 1357 10 4501 2831 10 17816 6534 2 5645 235 1 4012 4661 1 16388 2964 1 14292 4363 1 11844 825 28 18705 1374 1 17790 5018 1 5959 5474 1 15510 6680 1 3509 1726 1 16645 1464 1 17987 3283 1 15041 2488 1 7147 4446 2 16844 1705 13 6089 207 6 2809 1054 1 5168 46 1 15530 5146 1 8615 5341 4 17085 4992 2 6510 4852 2 11336 5400 1 7550 6639 3 4387 2257 1 8091 505 1 7547 4421 1 7797 6064 1 712 532 2 745 3464 1 4923 6756 6 16877 5669 3 4405 2964 1 17523 1019 1 18515 411 18 20145 1703 2 5155 6341 1 20001 4325 1 19338 200 1 15220 3742 2 16673 2632 2 7256 4506 2 12895 196 16 1322 514 1 18946 558 1 14053 541 1 10840 232 1 8147 8176 1 7019 1783 1 18686 1302 4 3331 723 2 17078 206 1 4963 2058 1 7473 3283 1 3287 765 1 5158 6954 3 3277 6697 5 20124 411 2 14183 4369 1 11566 7963 5 5448 1751 1 13363 625 1 9945 500 1 13780 3230 1 19331 196 1 1593 3637 16 11256 885 1 17095 496 1 2703 7211 1 5213 471 1 1026 379 1 3813 1704 2 12890 1464 1 1677 4930 1 20090 3578 1 786 6242 9 19223 498 1 1582 3929 1 6415 545 1 18698 1712 31 7455 1996 5 198 23 2 18938 7127 44 15065 2895 1 8394 367 4 4976 1729 1 14606 382 1 4304 1734 1 17428 2795 1 1654 6719 5 15376 8141 1 8532 1736 1 15067 4132 1 4282 7807 1 12529 1319 9 10801 2646 4 7228 4508 1 18063 6414 1 12262 156 2 16278 1893 1 1171 1722 1 1428 3903 1 16964 3476 1 9909 4398 1 5312 2003 1 4602 867 5 2646 1455 1 10146 6517 2 16835 2632 2 14357 4589 1 3875 1395 1 15400 3647 8 410 4029 7 6990 3072 2 20145 2727 1 8164 23 11 15520 1721 6 14727 1146 1 6700 1241 6 2570 7116 1 7420 3234 1 4549 508 1 17135 7655 11 1279 2253 1 19179 1748 1 11736 855 1 20163 4420 2 3291 4684 5 6981 6673 1 14905 3953 6 4759 1259 1 13825 7238 3 1028 6487 1 15856 7217 3 13587 1019 1 8088 4842 4 8930 7862 1 1614 1366 1 9666 310 1 79 3533 1 16364 1243 1 15619 190 1 17954 23 1 126 5614 1 12464 510 6 11339 1740 4 5352 1250 1 10521 1235 6 462 828 1 12412 707 1 15397 7850 12 11148 2784 6 11169 3748 5 1777 3138 2 13987 1907 1 18450 3411 2 11809 3987 1 438 252 1 12721 1226 1 19166 2708 1 3285 523 1 16148 2508 1 3860 2056 6 11274 1705 10 17019 1710 1 12157 6706 2 12286 1747 7 2709 6124 1 12870 5362 1 20216 1638 1 13132 912 1 7991 6666 1 12496 3370 1 9849 4077 1 2990 1724 7 14694 3556 1 2571 3393 1 19486 663 1 11736 6576 1 5208 2877 2 1606 3034 1 9726 6062 4 13437 1748 2 10156 385 17 1304 5977 5 3505 1234 1 12729 7229 1 2319 3898 1 7822 5633 1 3037 1244 1 7986 6640 1 17121 3692 30 124 5519 1 151 6798 3 2423 4369 1 91 4068 1 10088 206 3 13922 4992 1 11965 1743 1 16740 2650 1 13258 3750 16 14758 4680 1 7904 4724 1 14329 2488 1 11766 792 2 11868 252 1 19606 1253 1 7868 6024 1 18149 1772 1 5449 4460 1 6610 220 1 1686 205 2 163 540 3 7010 2284 2 14958 233 1 10956 207 1 1072 200 1 802 1695 1 18115 5414 1 18096 201 1 5205 201 33 2146 6252 1 1662 6205 1 3579 4264 4 14500 1339 1 18614 1070 1 6348 558 1 13050 7045 1 1735 23 5 12168 1816 1 2895 196 5 5791 2352 1 14778 534 1 391 236 6 20107 4387 1 1683 7865 1 1630 3705 1 15385 2409 1 3703 7881 1 4875 410 6 8051 6990 2 1348 1374 1 4397 3906 2 19488 3070 1 15629 581 1 5817 5329 1 19998 2268 5 4090 4015 2 9993 6341 5 14758 689 1 12726 3974 3 13526 2399 2 15843 23 4 12269 995 7 12329 8175 1 6068 2256 1 2917 1312 1 17205 8081 1 6111 811 1 18368 322 1 191 1288 1 13892 4992 1 2867 1245 2 222 5219 1 12031 207 2 6530 244 1 20108 5267 1 17756 6488 1 4179 1721 1 9628 874 2 7480 5257 1 1161 308 5 791 4954 1 5591 3184 4 14686 2600 1 3397 641 1 4466 200 1 16665 7352 1 3673 1445 2 5736 4529 1 19245 84 1 5100 2058 2 2660 3684 1 12864 5566 1 18730 2786 2 7105 203 22 15570 6091 1 11846 574 1 14599 653 1 1728 6185 2 4009 1721 1 17521 219 12 7277 7167 1 592 4211 1 3158 525 1 8492 220 2 17992 533 11 18092 46 4 6929 5441 1 5841 4144 4 3765 495 3 18132 2710 1 8730 912 1 18611 3855 3 3246 6644 2 96 4387 2 6033 1357 2 16197 2363 1 2296 1736 4 15920 5018 31 18164 5271 2 6617 476 1 6180 3813 1 16276 1732 3 4016 2016 1 3109 4793 2 16156 229 1 5417 165 5 13023 7102 1 17287 4658 1 2261 1284 1 19701 5951 1 5706 4724 2 6524 3197 3 784 1772 1 6449 7407 3 9427 201 4 14729 215 1 4791 1887 9 1082 236 13 20040 1646 1 16967 1357 1 8055 1460 57 4634 201 1 19414 3462 6 14396 7883 7 4492 1742 1 17184 875 1 15495 1395 3 6703 1990 1 10314 3919 1 6700 3309 4 5319 861 2 474 528 1 19331 502 3 4545 3 1 5901 225 1 7809 911 1 3695 6526 2 10911 616 10 12910 4124 1 16090 4924 1 9868 7104 1 18561 8083 1 18721 6617 5 14694 6031 1 4144 2017 2 8687 5444 2 8872 1374 1 1852 1969 2 16531 297 1 17583 936 6 10772 1781 1 4828 214 3 8082 1269 3 18860 8221 1 12619 64 2 7941 8141 1 15369 7008 2 19225 3911 4 15979 2614 1 14305 6970 2 8532 1248 2 18667 1814 1 6689 5531 1 10876 1250 1 2563 7606 1 5884 1698 2 8946 837 2 16238 215 3 7146 3464 4 12035 23 1 5328 1342 1 7688 1169 1 8466 2735 1 8439 196 1 10380 324 5 15726 4947 1 12625 2714 1 12880 4623 2 3048 5594 1 11 458 1 10525 6640 4 16180 234 2 12739 4509 1 3313 1092 2 18747 203 53 15761 200 1 130 685 1 15923 173 5 18183 200 1 6302 4206 1 5320 1417 1 4691 524 9 8211 1342 1 4883 7921 1 12368 225 2 15024 867 1 19160 7692 1 11935 595 16 15648 497 2 18866 1995 1 13670 232 1 13526 2373 1 14193 6588 9 19583 3571 1 16963 6494 1 16177 231 1 19565 243 1 1718 525 1 16974 3892 1 11215 6697 2 6234 4687 1 17479 207 6 15323 1743 1 4443 1240 4 18487 6793 6 7147 1691 1 2824 7281 1 11472 6762 1 9704 4777 1 3004 5300 1 3705 519 1 133 1133 2 476 2307 8 13091 74 1 15296 508 17 5795 3321 1 20248 7410 1 525 743 1 11786 7201 5 1660 3367 1 12548 4067 1 12676 3511 1 6595 1752 1 8965 200 2 15184 1198 6 15932 3278 1 10912 5903 1 2423 4404 1 3701 3207 16 18184 4428 5 18663 496 1 13404 5518 2 15722 74 1 7372 1704 2 10452 873 3 10313 1138 2 3900 7834 6 4539 1164 6 62 2901 1 14960 911 1 712 103 1 7761 73 2 13044 7848 1 17185 3338 1 4639 2873 1 12991 1251 1 7159 4707 1 11252 519 1 3882 221 1 5399 203 36 5952 4929 6 5898 2362 1 6907 1081 2 6896 451 2 16109 817 1 2133 1368 5 12695 219 2 5344 6032 1 6144 5852 1 8582 225 1 3173 6288 7 1485 215 1 2318 4703 1 12388 6754 3 13423 6710 1 10327 3939 1 19319 1243 1 5540 1730 1 94 4200 6 11200 1917 1 2147 5998 5 18968 1657 1 10763 2881 1 10610 876 1 15745 7455 6 16584 3371 1 8754 4303 3 238 4022 1 3526 6713 1 16407 1957 2 9793 5466 12 4552 2514 1 7185 1464 1 615 3556 2 15619 6640 1 19079 5363 1 5676 248 1 12950 1244 2 7809 804 1 13359 167 1 18427 2541 1 3412 1464 4 4137 4691 1 4282 3997 1 10565 6912 2 17110 6473 2 7965 23 4 9449 7229 1 13927 4972 16 5495 1019 1 18978 510 1 5037 5607 1 17506 6912 1 12634 2676 1 5956 6020 1 13522 8194 8 20146 1741 1 1865 507 1 3358 892 1 2319 2650 1 8169 5961 1 3354 4528 1 5635 367 1 1843 341 1 10465 5472 2 89 4036 5 9937 203 1 3550 5296 2 7144 532 3 44 2272 5 4825 8096 1 19960 471 1 4298 3526 5 8532 1482 3 7965 6145 1 5060 277 1 16388 3973 1 9444 5538 3 19641 219 1 2897 4498 1 11502 215 1 2109 1557 10 4334 215 4 9610 3119 2 10695 1837 14 10908 1236 1 11461 4370 1 18079 1727 2 13778 6231 17 6233 2013 1 18519 1686 1 1733 1781 1 9354 3230 5 15994 8247 5 14828 5278 1 14994 1799 3 12849 7895 1 14218 1234 16 14639 1331 1 9225 728 1 14811 792 1 1841 2248 1 8464 4773 2 15679 499 1 6407 2968 2 3711 4623 1 1927 221 2 4779 4936 1 2461 2727 3 18939 218 1 11370 6708 4 16378 1784 1 124 5475 1 8416 5294 1 5695 6480 1 4524 4967 2 9690 3916 1 14969 4105 1 8994 1235 2 1916 74 3 257 2675 1 16742 237 2 16475 524 1 269 4266 1 13148 395 1 11271 4077 1 11769 6350 2 3985 3445 3 3573 6368 1 18382 5957 1 14692 4998 6 10179 4387 1 9288 1513 1 17003 8117 40 139 3511 1 13601 2104 1 19319 2683 1 1779 5664 1 547 1891 12 2801 84 1 18897 5310 1 11835 4680 1 10733 2743 1 5916 4692 2 17195 4559 5 5873 7474 2 10584 200 14 5620 5438 1 1561 1474 2 7796 5018 2 18869 1714 1 6197 6597 14 13909 498 1 19740 2509 1 6135 1705 1 16236 23 4 5515 220 1 17073 1010 4 4660 1728 1 15171 512 1 7817 237 1 11502 413 1 888 903 3 9224 549 1 10326 4120 6 8965 512 2 13144 4979 22 15328 3684 1 9844 2860 1 15868 6727 2 19160 200 7 1988 1995 1 6584 3578 2 7028 2686 8 12740 1734 1 11215 3799 3 8094 3430 4 7898 4047 1 1850 5299 1 8135 6494 1 7985 1247 1 19604 2741 1 10733 5690 1 13262 3799 1 5749 5814 1 15117 236 2 8280 1374 6 1791 1333 1 15471 3827 6 9050 6283 18 14566 8067 2 9569 7008 2 4545 7611 2 9435 4458 2 4397 57 1 5430 203 3 19737 4005 4 5657 2488 17 15781 1339 10 3526 229 3 1454 5256 2 1873 8145 5 4505 508 2 17475 236 2 12258 7525 2 2477 3234 1 19459 1687 1 6439 1363 1 217 2675 1 6748 617 1 8995 330 1 16674 184 5 17088 7259 5 6726 6614 4 3846 417 2 17427 1672 1 10503 8071 3 15326 3578 1 14929 5843 19 7179 617 1 13619 4653 5 6909 8012 5 4371 471 1 8635 6506 1 5424 1285 3 71 3307 1 988 57 1 9991 3980 1 15394 6520 3 3822 1373 2 12505 5555 1 6556 3900 2 5542 8108 8 40 2085 1 5373 6900 1 12322 2356 1 16636 2518 2 108 4846 1 18089 1757 1 5295 995 2 3852 2275 1 144 6681 1 13607 6551 2 14184 3684 2 14973 1369 1 17489 6974 4 13829 3512 8 452 2173 2 11775 226 2 10575 573 2 10218 689 1 18761 3377 2 10244 201 2 11687 509 14 592 5253 1 15886 2003 1 5141 201 4 17682 533 1 127 5739 1 190 2015 1 2710 1464 1 6680 6053 2 6746 1582 1 17304 3058 4 8870 6281 4 4960 1760 2 10839 1037 10 5494 3015 1 8004 2737 1 11256 331 1 6332 581 2 10467 2552 6 171 7676 1 10712 2367 1 8531 6597 3 1340 203 1 13306 1747 1 460 1727 4 6642 7423 1 18382 5254 2 4241 23 1 10825 3693 1 19486 589 4 1733 1146 2 7208 7674 1 3146 60 1 6686 2146 1 1433 1814 1 3613 1727 7 15709 496 1 13475 3088 1 6676 2276 1 8419 6013 5 16159 206 2 12892 1110 1 8110 2729 3 15594 4291 4 3175 4308 1 19454 164 2 10452 917 1 19350 7216 3 8915 3799 1 4828 3239 2 2026 5131 1 2104 292 1 9088 4227 1 15418 1877 1 6348 837 1 73 796 2 11964 1748 1 16060 1244 1 5774 641 1 15722 1249 2 524 2619 5 15297 1752 3 13461 1247 7 20060 944 5 3975 5312 5 18308 934 1 17732 867 10 1501 3227 1 1993 5289 1 11796 916 1 15031 2737 13 7057 3056 2 10119 4290 1 15936 1338 4 4898 4352 1 15007 197 3 18899 470 2 6640 2150 1 14473 870 2 13938 3220 1 4994 5640 3 9047 1235 3 9281 7719 1 13479 4568 1 9495 201 3 12941 1252 1 1512 1756 1 3337 914 2 7195 6623 1 5368 150 1 8489 2397 4 423 1819 2 5835 813 1 19372 3685 5 3715 1761 6 174 7983 3 1028 936 2 4496 505 1 8687 212 1 9043 945 1 5297 7411 1 7769 2675 3 12548 8195 2 13536 3143 1 8567 1720 1 123 5384 5 15618 4458 3 5384 5292 5 5977 207 1 86 3945 1 456 207 2 9257 5051 2 17992 5903 4 111 5009 4 11197 2735 1 12381 4716 1 17586 2521 1 405 3135 3 35 1894 1 7186 173 1 13636 3558 1 11327 4351 1 15214 587 1 13809 8238 4 9204 4215 1 7395 1251 1 20 1378 1 12932 7975 1 4493 6890 1 5142 6046 1 9410 7710 1 13325 7959 4 8209 167 2 19334 3584 1 6018 1748 1 12567 2699 2 12922 3062 1 19314 222 1 102 4609 1 8416 385 1 18556 1290 4 7613 1781 1 6603 3911 2 13885 3909 1 20177 1781 1 13676 4299 1 1046 1819 1 163 4986 24 10283 2748 1 3756 3298 1 18734 4333 1 14423 203 1 6899 3900 1 19026 2737 1 1875 7846 2 2065 3699 1 14738 632 2 812 7404 2 7550 6606 6 174 6054 2 5706 1827 5 14114 548 1 6044 888 1 11306 262 11 15595 1752 1 19930 578 1 3287 950 1 15192 670 2 65 3129 15 11878 4411 1 6333 4930 1 18368 351 2 20209 4104 1 9043 835 1 925 501 1 6472 57 5 7432 3476 2 15468 4231 1 1801 4022 1 19040 3906 1 15600 545 1 1801 2489 4 12623 348 3 9894 1234 1 15360 1379 2 19025 759 5 2392 200 5 13800 1208 1 5724 403 1 6989 652 1 6776 495 4 8007 1778 2 4289 2256 1 6485 1046 3 6091 1252 1 2021 4403 1 5467 4378 1 8379 3167 7 4192 270 5 19779 5658 1 5475 760 1 3581 214 3 10530 4293 4 6618 5737 5 739 215 2 3527 1076 1 5059 7848 1 12412 872 1 15955 1770 3 12783 889 1 7533 1998 1 13590 4506 2 156 5447 1 9333 4792 1 7987 4431 3 20062 158 1 17904 1576 1 3000 4370 1 16087 2667 1 4784 1286 1 15819 10 2 19595 785 1 1746 4386 1 11857 1248 1 9573 4635 1 18089 876 1 3365 1745 7 7646 3671 1 18491 7503 1 18369 6805 1 17585 4884 1 8196 3671 1 4176 525 3 15636 291 1 15288 128 1 5218 1718 3 120 5255 1 11678 7840 1 14810 220 1 2926 4386 1 18886 2608 1 8473 3175 2 19500 532 1 20033 1307 29 20040 1611 1 4084 6868 1 10943 2633 7 2646 2968 1 153 6887 1 8969 1184 1 4796 1740 1 4885 233 1 19431 1670 2 3440 2488 2 9364 1341 2 18188 3621 1 14301 3338 7 17461 6575 2 17736 460 7 15610 616 1 14293 1709 1 2072 5254 7 2580 3654 6 13266 3638 1 3756 5274 1 5662 2880 32 18843 867 1 11178 4367 1 5299 1170 11 14818 229 1 5940 3508 69 4199 184 1 4333 6139 5 16548 644 1 13015 1734 1 8797 1727 1 13816 4228 1 7663 7602 1 13189 6630 1 8129 347 1 11250 3511 11 11485 4043 1 42 2188 4 19401 1729 1 2611 495 1 19756 4411 1 15642 7586 13 18929 1237 1 12125 4246 1 9281 2301 8 18027 5989 1 16310 817 1 7993 5130 1 1237 3671 7 6516 2352 3 17757 177 1 14733 4972 10 16844 3181 7 13636 1295 2 8470 382 2 14522 1730 1 17573 6538 1 17966 215 1 9732 864 1 9300 6197 1 172 7833 1 861 356 6 48 2389 2 16500 505 1 14466 4987 1 7452 3301 1 14627 2002 1 3841 891 1 1472 5090 2 4734 5534 1 121 5300 1 15687 1685 3 17331 1453 2 4670 2250 1 9399 3872 2 4451 5274 1 2359 1698 1 3311 205 1 19352 637 1 1986 2292 1 2894 6645 1 19022 7708 4 9946 2021 2 15242 7259 8 14433 710 1 17039 4621 2 113 1965 3 10973 2569 1 5076 3219 2 8585 153 1 15647 2653 4 8196 1715 1 11105 28 2 3662 6725 1 14291 6207 1 17135 4031 1 14696 3695 2 3427 867 2 18432 474 1 17077 74 3 6400 2555 3 3603 6700 1 2529 881 10 10245 4245 2 4440 46 2 17736 3530 1 1007 367 1 13436 7719 1 8104 5903 1 6503 4307 1 3215 4621 1 1612 232 1 12766 892 1 3178 4312 2 14984 800 1 15329 5871 2 2596 5513 1 12342 5120 2 6676 449 1 16875 409 1 1256 4540 1 10118 1893 7 19978 5341 1 3000 3842 2 7241 66 1 6394 6588 1 6333 2647 1 8021 2260 24 10290 502 1 4371 6980 2 6431 5264 7 7210 1421 43 8250 1729 1 5245 200 13 18450 928 1 5943 6415 1 14330 207 7 19840 1666 1 6770 7180 1 4791 314 1 12060 6000 1 8716 126 1 3700 3298 3 9247 252 1 15712 4983 4 7495 204 1 399 5531 1 9568 6538 1 10618 2678 3 19223 1779 1 16378 501 1 2829 651 7 10225 7987 5 14942 496 1 11270 1137 1 17906 214 2 18548 7750 1 6471 7217 1 4691 3625 3 6420 5792 1 10457 5269 1 3253 2485 2 3255 525 4 15474 4059 3 2739 4945 1 8369 5916 5 745 6425 1 642 497 2 13773 520 3 14187 1703 1 3619 6059 5 4210 6615 1 3927 523 1 2139 5105 1 7390 570 1 17518 2353 1 3718 6139 1 15749 883 9 12917 3067 1 9700 581 1 18183 510 1 8269 784 1 17353 1757 2 19874 833 1 3012 1274 1 15303 4674 1 19963 225 1 18706 532 1 15219 6200 1 808 3913 6 15943 4128 2 413 1917 1 1361 1188 2 1059 541 1 2902 514 1 7415 1826 1 9453 789 1 12231 3391 1 4954 1988 1 13646 1772 1 17179 2675 3 6750 1836 3 10859 1440 5 659 219 6 7441 2156 1 11842 203 1 1506 7850 1 13857 525 3 16016 22 1 16137 2447 1 12275 411 1 10835 244 6 16489 2292 4 9435 200 2 7071 1775 2 11683 5386 1 19601 2860 1 9525 23 2 2194 853 4 14813 8153 1 2061 537 1 10449 2229 2 12623 5883 1 5908 1363 2 2779 1342 6 16114 1955 1 12205 7857 1 8535 7606 9 6332 605 2 11 362 1 13461 1739 3 10999 407 1 19862 219 7 525 3699 2 73 2089 1 7328 2772 1 3581 1342 2 4719 7576 5 4376 3227 1 10002 5245 1 6811 2997 1 10018 1859 1 13987 23 1 7145 514 1 41 2147 4 13997 2010 1 5105 3202 1 8550 4379 1 7868 1250 21 9361 2675 1 12419 4538 2 1824 6816 4 19564 518 2 6711 2958 1 16674 367 7 18699 1715 2 9180 303 23 163 7409 2 10953 2373 1 9503 6065 1 10215 575 2 11058 1730 2 6229 2675 1 15834 225 2 16953 7543 1 5011 7017 1 14522 1728 2 787 1655 12 19786 5472 4 381 4672 1 11844 541 3 9733 502 7 14532 3570 3 13758 6238 7 13820 2605 1 13922 1247 1 13 292 1 18815 203 3 6721 2352 2 14606 2495 1 6420 2820 2 12704 6588 1 13 707 6 11523 6414 7 17088 5408 1 20009 5048 1 3419 156 74 11156 2980 15 10003 2329 2 5983 1243 5 12826 3913 1 11846 1985 1 2257 2254 2 14173 1788 2 13080 207 1 10416 353 1 9173 2710 1 12897 2737 1 9377 532 2 19511 8190 1 15608 3400 1 3796 1241 38 10405 3530 2 13829 1374 2 993 232 1 7599 270 2 2661 3327 1 6582 1524 1 20059 207 1 2704 3326 8 15970 8035 1 6854 3113 3 15242 5337 1 96 4393 1 19727 2795 1 9122 520 2 7396 1775 1 16238 1783 1 5659 7427 4 12972 1131 3 5352 5478 1 8013 1781 1 11080 3378 8 15272 244 2 17572 6670 2 8391 7407 5 7769 470 3 3730 7229 4 14087 7670 1 17298 3233 6 10923 6713 1 15618 6074 1 19920 4653 1 8014 7411 1 19211 7736 1 19478 73 2 7352 232 1 15936 7419 7 6954 1729 2 13466 6144 2 13461 2356 3 15385 1311 3 19608 745 4 16157 1664 1 16647 2761 1 13928 575 3 3833 1342 3 6664 883 1 6198 6541 1 7974 4623 1 15742 6486 1 15496 7189 1 18191 3377 1 11065 336 8 11388 3556 1 8231 904 6 16231 3016 1 8108 6993 2 19118 1731 2 7013 7586 3 14772 7425 1 5899 229 1 16484 4006 3 10552 2678 5 12760 1238 2 16002 677 2 4859 1772 1 44 2273 2 1391 229 1 10498 4245 2 19822 6713 1 19805 244 2 7500 229 3 10996 5099 1 9290 6225 1 3048 688 5 19982 536 2 7214 6995 1 8280 23 8 7849 2244 8 17246 514 2 4640 200 2 13972 4508 11 934 8026 1 13797 6106 1 12142 5879 3 16137 6069 1 17121 514 2 8710 6551 1 5701 177 1 15412 1707 1 6683 1615 5 14385 863 1 5855 532 1 15269 1251 5 4977 4811 9 10047 6139 1 5831 206 1 314 221 2 15229 466 2 6509 4807 3 1086 207 3 16948 380 1 2886 5903 1 19295 6107 1 12440 82 1 12064 4992 5 19813 1772 8 2108 793 1 15629 785 2 9280 1505 2 6519 1748 9 10450 6665 1 16412 1747 15 18681 915 1 10733 5493 1 19140 1372 1 12104 6460 1 2697 903 3 17224 3619 4 18027 2522 1 804 5294 1 73 3394 2 5540 1788 1 17781 4818 1 4089 7998 2 5356 942 1 4663 916 2 2902 184 1 15576 233 1 4805 532 1 10163 1772 12 11332 1752 4 10490 82 2 6859 6051 1 19477 6435 12 11339 508 5 2390 902 2 5023 4013 2 1523 805 1 16212 194 1 17448 4578 1 6939 4391 2 9609 460 1 19652 200 47 9058 2739 3 802 5506 1 13793 4761 1 17790 222 1 13593 5281 1 20112 6435 1 5882 6139 1 11671 2338 5 8573 292 10 10174 23 4 7943 200 1 12935 514 1 6048 528 1 19727 7933 1 9122 524 3 6452 2109 2 5216 6108 1 14318 1616 1 14164 2559 2 14527 132 1 9132 1819 1 391 6225 4 19724 303 1 6418 6713 2 10907 7353 1 6183 4998 1 7532 3772 3 15599 1266 1 413 834 1 16567 506 5 11755 413 1 5564 1772 2 6063 545 1 10670 5018 1 1825 6523 1 3815 1266 1 1668 2880 5 19180 5255 1 10165 600 1 14161 74 1 6140 1990 1 17615 7534 1 11533 292 1 11414 1996 6 8367 295 3 5304 4750 3 9168 6527 1 15676 611 1 19724 1781 2 17152 1747 6 3059 1357 1 11746 501 1 12544 2980 8 2970 2717 3 17615 7538 1 5701 6922 1 13402 6028 1 15100 612 2 19937 153 5 5449 7851 1 19649 303 2 6246 4126 1 7455 6700 2 9920 5914 1 10933 206 1 15948 2678 5 12208 1184 1 14898 5288 1 17416 8067 3 7304 6481 65 19860 2327 1 16491 7670 4 4633 5162 1 15041 303 2 3939 4431 1 14896 4623 1 13252 4041 1 1330 5903 1 8614 5440 5 8930 3664 14 19060 2256 4 9430 1399 1 19286 243 1 18067 7619 13 6788 3031 1 12532 134 1 8568 232 2 9982 4623 3 19981 1250 2 452 5281 1 3393 1710 1 6535 6920 1 5653 1363 6 13916 3336 1 5836 5879 1 14661 203 14 9685 1146 1 16797 6500 1 13883 2064 1 9986 905 1 1646 1761 11 19369 5499 5 91 1161 1 18338 5077 1 13353 1116 1 10452 1573 1 10513 7778 2 6 194 5 1180 38 3 8975 502 3 11864 1313 16 2674 6242 1 319 156 1 13239 8200 3 89 4042 5 18572 4986 2 2969 7719 5 18423 1247 1 18544 888 11 2877 2343 1 35 1941 1 12740 220 9 12790 1342 1 109 2216 1 6236 380 1 7484 4909 1 13972 928 11 4287 6890 1 10279 3135 3 5476 3236 1 13570 4561 3 4106 5391 1 3747 1342 2 4663 892 1 6394 5451 1 19485 1772 1 12817 443 1 10847 682 1 8367 1278 4 3547 525 4 10733 5256 1 734 6856 1 15437 5408 1 11860 545 1 10472 2498 1 5626 3511 5 1475 470 1 15716 498 2 18765 1417 5 4564 517 1 20120 205 3 2961 219 3 16259 1770 1 6776 1827 7 15687 631 1 19178 1658 5 12265 3221 3 19957 4623 5 7564 532 1 1560 2450 1 15530 1714 1 13634 2801 2 9029 799 1 15769 3156 1 8517 481 1 15272 5105 3 19776 219 1 4536 5517 1 10787 3676 1 13205 7402 1 10966 3081 1 2556 2789 1 6690 2068 1 9188 3573 1 15429 7963 1 12055 3684 1 8678 6014 1 2313 598 3 1965 2013 1 62 2769 11 18567 411 3 6769 1610 1 13 952 1 1472 1946 1 12320 3573 1 9525 1757 6 18176 5774 3 16606 1464 5 6332 784 1 4970 4105 1 3337 902 1 11857 1710 1 5583 3263 1 916 2951 1 16802 7237 2 16013 1770 2 18624 2262 1 12731 3648 1 841 201 4 10051 467 1 8393 2350 1 86 512 3 17809 2263 1 16726 1403 1 16787 3147 28 9287 196 5 18237 236 4 12322 197 3 7285 2168 2 16197 1243 1 11033 2649 1 19055 1965 7 6889 6159 3 2428 232 1 159 7253 3 18476 5935 1 10045 8026 4 7363 2503 1 15192 885 1 7853 1266 4 12560 510 1 17913 215 2 3825 2996 6 3985 128 2 19371 1877 2 17184 4460 3 18734 3400 4 11607 220 2 13257 4026 1 8097 1482 1 3032 1249 2 14580 225 3 5557 1240 1 59 2702 1 5503 2514 1 17726 589 1 5251 1689 1 1491 7403 5 14999 1994 5 18477 1076 1 6859 6198 1 4627 7798 1 19152 3398 3 10322 325 1 15645 603 1 3595 244 7 3447 5545 2 2345 1287 9 11612 1271 26 62 2802 1 6983 4264 1 11999 572 1 17998 1728 3 20039 4591 1 5615 659 5 6847 7401 1 15676 5252 1 6504 5083 1 14793 200 2 1803 7632 4 11964 1729 1 15001 8053 1 16768 1245 1 6973 3221 5 4273 3283 1 19661 470 1 12600 5325 2 9987 220 1 11601 187 7 16813 47 1 7868 1779 18 10661 5291 2 2710 1781 1 5757 3079 14 4546 223 1 15069 220 2 19509 196 5 151 6794 2 14154 3442 1 8378 728 5 13141 3233 1 11479 2678 5 8608 496 2 16000 1880 8 6868 786 1 14800 5295 10 11230 2423 1 9332 8082 2 9442 4023 1 19840 6152 3 8088 550 2 11206 1717 4 8591 1755 1 3282 229 1 13750 252 1 1736 1779 2 13024 3622 1 5542 2139 10 11458 7659 1 16539 520 6 14937 226 1 95 1979 1 2643 232 1 2546 7834 1 20219 1247 1 4550 1453 2 13829 1252 2 10610 4122 1 13321 290 6 4155 404 1 16227 1762 1 10245 7646 1 12268 947 1 9815 7948 4 1705 699 1 8198 235 9 7444 223 1 15076 1648 1 18847 770 1 19324 3230 1 4331 3318 1 6611 496 1 13717 3571 2 18769 1275 1 11068 148 1 19286 6588 1 8109 203 10 8828 134 1 1994 1710 8 11353 498 1 5358 898 1 11136 2605 6 2180 232 3 8191 3932 1 2394 518 1 10848 5504 5 13922 533 2 7446 950 1 14761 6273 1 10741 4245 1 17502 6913 5 1948 1752 1 1204 3403 1 5638 3706 4 10670 1769 1 8198 2009 1 7675 6435 48 9283 4998 5 19728 5325 2 16468 5375 1 8233 1825 1 15855 1648 1 2089 2021 1 6183 1245 3 5694 225 2 16931 2686 2 409 876 1 2423 23 1 7252 2869 1 9891 1776 2 18526 221 6 7535 203 9 10385 3429 1 4171 1007 21 1660 7829 6 13363 1272 1 1296 2561 3 14599 549 1 10895 3898 1 14522 1367 3 2364 1741 2 14036 2550 1 13993 1788 1 16806 1743 1 10948 5086 1 16845 1184 10 103 4641 3 17871 6166 2 179 8184 1 10564 4998 5 9747 5309 2 2002 6630 2 11442 1505 7 1959 7924 4 17331 232 2 9096 1275 1 4940 1399 1 5553 4187 7 6090 3663 1 5499 303 2 11452 184 7 5763 203 2 20007 1038 1 4599 3911 1 1198 156 15 12325 814 1 11968 230 1 2418 2403 8 18767 6868 4 14818 8045 1 15374 2626 1 1475 665 1 9139 4796 9 10060 5670 3 10156 262 5 8070 4721 1 19652 4998 29 16254 3081 4 7849 2216 6 1777 5413 1 926 3842 1 1551 4274 4 4350 495 1 10885 3920 4 5197 8184 3 10575 6576 1 19571 13 2 6907 6484 1 17174 4306 1 5997 7470 1 17395 327 1 2213 1354 2 4629 1466 2 4447 1713 2 7019 3163 2 16767 1453 1 6301 2043 1 143 6582 4 12852 437 1 6846 252 1 15082 8016 1 498 5559 1 7432 5051 4 12213 2403 1 5227 4869 1 12807 1827 47 12934 6125 2 13036 2292 1 11678 4386 1 2133 1656 2 6414 7477 9 1828 200 1 16036 7524 3 19996 7340 1 7327 1400 1 1983 1781 3 12868 38 2 13809 8224 5 7231 1717 1 109 4978 1 1150 6213 1 12818 2556 4 12378 1705 1 7355 2989 1 11674 2989 1 9162 368 1 18668 390 1 717 1776 1 13957 1739 4 18628 8157 5 6884 212 1 3074 1825 6 15339 244 1 18581 3206 2 18595 1677 2 1954 6480 1 10999 1995 2 1852 5526 3 13997 363 1 19874 4998 5 7050 681 1 17505 1921 6 12826 374 10 12437 7859 1 10724 5120 1 5742 2970 1 12638 6341 1 13912 6031 1 15485 221 1 1173 737 1 19201 1440 1 9104 7850 1 16247 2665 7 8242 1535 27 3505 5804 1 13199 4289 2 6713 4413 14 8004 73 12 545 8161 1 10100 1282 2 10799 4274 2 18616 4764 1 4274 585 1 1332 745 2 16857 2699 1 2844 46 10 183 221 1 18455 5456 1 6426 4069 1 13084 1760 2 9916 520 1 10109 2662 1 17591 5265 1 459 2678 6 15796 1740 2 8870 47 3 6652 1736 1 177 1342 1 5652 4992 2 18568 2708 9 5660 203 5 7575 1395 1 18930 3233 1 14686 420 6 16819 4366 4 16916 367 1 3855 8064 1 11846 184 2 15307 728 1 11676 5924 1 15894 6204 5 9302 3593 3 6414 3999 6 42 2196 1 18994 5513 1 29 1672 1 16636 7020 2 2062 1716 2 19379 828 1 2650 5120 5 5025 1734 1 19883 243 1 16562 5427 4 10015 1109 1 18133 1768 3 4840 514 1 17141 4310 1 9652 489 3 7299 207 1 11554 1965 1 1864 6374 2 2629 719 1 873 706 4 114 5127 1 7058 819 1 3887 184 2 15369 4373 2 19486 4523 2 14784 411 1 13707 1755 6 13466 1781 1 11938 325 1 10575 673 1 8180 1138 1 3488 4274 5 475 2581 3 12731 6406 1 10256 207 1 7285 205 1 18893 519 1 12119 1761 1 3851 378 1 5745 8184 1 12257 1150 5 3262 3531 3 13131 3615 1 16272 2949 2 9624 3045 2 9699 7987 1 17399 1050 1 3029 224 7 15508 199 1 2806 3761 25 71 3319 1 14135 10 1 4056 2268 1 153 6866 1 290 4655 2 83 3706 1 15750 402 2 100 4578 1 3857 855 1 4581 233 1 6485 4120 2 2956 2355 1 18144 244 2 9743 219 1 18613 6588 1 14822 4435 1 5232 187 1 12077 1827 60 7701 3685 2 3505 197 1 17279 5266 1 10575 694 1 5432 2559 10 1456 2729 1 19472 3685 5 5354 6692 2 5297 4611 3 4436 225 1 17337 258 1 10693 8187 2 5526 1706 14 433 5524 2 9587 665 1 19437 904 1 4623 523 2 3411 4807 1 16828 364 1 4178 173 1 3581 411 2 2917 1267 1 5659 205 1 7602 1727 3 12182 3636 1 16963 6288 2 14900 3333 1 20168 3024 1 1878 7820 2 16668 5428 1 4716 1728 2 3923 768 2 10591 4673 1 6766 4857 1 3073 6278 1 6387 1194 1 10692 867 4 11863 7022 1 4849 411 28 16594 1612 8 8259 7461 1 6506 520 2 1462 5673 2 7564 412 1 6068 2327 2 4496 220 1 17182 724 1 40 2061 1 7515 200 2 7181 1771 2 7387 6225 1 1952 3584 1 237 864 1 8006 665 1 3747 2357 1 16930 463 1 11971 1705 1 15980 1638 3 12056 2678 8 10704 1501 1 12320 3943 1 13363 1324 1 2147 7531 1 2198 2341 1 18305 23 1 17058 626 1 5303 87 1 12415 1720 7 10636 1748 5 14435 236 1 9155 226 1 16909 215 2 14633 6040 1 8615 7009 1 7178 734 1 7435 7719 2 14047 1647 1 13 921 2 1904 2708 1 4462 6874 9 7519 4935 3 12054 5157 3 10758 3588 2 9189 3128 1 3048 348 1 1399 1576 1 20219 532 1 8641 3510 2 18674 2439 1 4309 219 5 13778 1724 11 19568 1190 1 14888 2087 2 171 7767 1 5495 5804 1 5640 541 2 19017 2777 1 9257 5066 1 1666 1757 11 19123 1333 1 7568 1705 5 14098 7398 1 14132 1244 1 7070 941 1 873 5318 1 8147 335 1 12811 1367 1 7670 953 1 3008 22 1 6012 3432 1 2638 1247 5 7001 523 1 13234 1819 1 18108 1054 23 2098 204 1 2980 8057 1 6101 7018 1 14892 8109 2 13891 4 10 124 5448 1 11220 521 7 18415 6178 1 16408 5791 1 11081 3230 2 12135 1825 5 121 5262 5 18075 1248 2 2321 6174 2 11261 566 1 4599 1825 1 65 3152 5 8088 1324 1 17072 2522 1 17301 4376 5 12351 863 1 3985 6525 2 8946 797 1 3044 267 1 2650 3258 3 8775 213 1 7285 935 1 16096 5413 1 14826 2103 3 13311 2691 1 12757 6345 1 8911 4929 6 4935 1362 1 13995 4929 2 3578 1307 3 4935 6665 1 5837 3590 1 12633 2256 1 12094 7915 13 9922 1732 1 19872 316 1 1379 2118 1 8083 4245 1 31 903 2 2349 4992 1 8367 7541 1 18286 1991 3 15429 497 16 8092 4563 1 14135 3426 2 15943 1825 2 1500 2555 2 1562 4379 1 5882 1242 1 1685 200 1 16471 1819 1 62 2988 1 6228 592 1 1265 2712 1 15627 1092 1 6802 910 1 1580 1883 2 809 3224 7 7994 856 1 13026 5020 2 9697 1742 2 16137 497 1 5564 1751 1 6138 825 2 14876 1248 3 8088 4827 15 5775 500 2 16341 1819 4 9038 3220 1 10676 4107 2 20155 4996 1 15144 1116 1 14982 6435 2 2114 1946 3 16817 6540 1 14326 1325 2 18183 1207 2 19511 861 1 16471 200 7 8278 5768 1 20275 4156 1 11786 966 1 4815 2690 1 15804 7830 5 3217 137 1 5696 7850 15 9418 6343 1 6213 7735 1 15504 5810 1 16223 3197 4 3246 6666 2 2963 5074 1 6821 197 7 16501 4489 1 15156 5481 7 15271 222 2 11108 3824 1 515 184 6 2041 200 2 11964 2678 1 10161 562 1 14906 1788 1 5681 506 1 4304 1979 1 17384 4951 2 7841 1051 11 11265 3127 2 6943 3906 4 7619 3522 1 5432 2256 9 18610 3623 5 12868 219 7 13735 222 4 4663 658 1 2677 4653 1 14218 196 18 2602 5294 1 12121 1250 2 15837 645 3 13839 878 4 3150 1595 1 14652 148 1 2888 200 1 13819 506 9 1214 3511 2 12817 4534 1 15913 234 1 10929 4076 1 19840 7890 3 9947 3705 4 10442 1237 1 8343 964 1 5695 2443 3 1143 4944 1 8268 1736 4 14470 206 3 16474 20 3 11316 1738 1 4663 954 1 17055 2388 1 3695 6621 1 10911 1466 6 13179 495 1 2811 964 1 53 2569 5 1446 581 5 1986 534 4 33 1681 1 11122 3579 1 3342 1234 2 59 575 1 8852 5051 1 13088 1369 1 5318 330 1 14311 6144 1 18698 200 5 6381 802 1 7065 1350 1 4552 84 1 11678 3792 1 13574 4022 1 806 3511 1 20264 223 2 16666 2675 5 2875 175 3 6881 3491 1 3281 207 5 11239 82 1 5095 6502 1 259 3164 1 5908 3910 1 1359 5018 10 3005 1253 5 19213 5051 1 18181 679 2 11997 93 5 6152 821 1 14522 7446 1 6228 939 2 9169 1717 1 8492 514 2 16518 7851 1 2500 5157 2 7991 2677 27 13642 1660 2 19331 1719 1 17580 1244 1 8353 495 1 19421 6241 2 9419 7404 1 18742 3073 8 15978 2600 1 2490 584 1 1178 215 2 16994 3511 5 10701 502 3 12007 222 1 18058 1537 1 12453 5285 1 16851 5294 1 16180 849 1 8895 229 5 3427 2246 1 4072 3827 1 1092 4039 7 16109 186 4 18507 4955 3 15472 3686 54 6510 57 3 3175 5788 3 20180 790 2 5809 4827 1 13219 6039 6 12191 5574 1 45 2326 1 2152 2613 1 19124 4204 1 8337 692 1 5003 1248 8 2055 3742 3 1530 1344 1 12846 380 1 7804 4992 1 8907 3896 10 11422 869 1 8926 2548 5 9861 3351 1 42 2226 2 10034 5259 6 270 225 1 5963 638 3 13042 237 1 15610 767 2 15151 1638 1 1872 470 5 9661 5018 2 991 3293 1 18040 5525 1 11461 506 1 18986 1573 1 10146 2877 2 18357 2478 1 2845 4724 3 19567 4019 1 12502 197 1 18017 3615 1 19380 1264 1 13743 6675 1 10344 3391 3 4020 6591 4 14808 215 1 10883 3442 1 9255 1474 1 16539 506 2 2985 967 1 9153 7740 1 16777 3382 4 5959 1307 1 20217 7408 1 7341 1825 1 8448 387 1 5823 2555 2 10647 4972 5 3351 1373 1 13065 532 1 20133 4034 2 23 347 1 13710 2678 15 2370 222 1 12969 3222 24 15272 4992 3 5883 4047 3 13 656 12 1181 2817 1 2781 6202 1 8823 2489 1 7912 1740 1 11393 765 1 857 23 1 10733 3206 2 13078 235 1 5864 3605 7 13672 1359 2 3592 853 10 8974 508 3 6309 1907 9 8388 4427 6 19655 1942 1 2737 524 2 3463 303 2 16625 3135 8 4536 1788 1 8614 5524 1 15821 1734 1 17552 3248 1 11574 1482 2 19241 3234 1 19237 2498 1 62 2984 1 3551 222 3 19032 7597 4 3877 844 1 14762 13 1 15447 4992 1 11702 367 2 11330 7288 1 2646 5071 2 20025 223 1 16794 4122 1 1705 6609 1 9737 5254 2 19225 201 7 10110 263 1 17589 4167 1 8560 6256 1 7734 2354 1 16237 4325 11 6749 6058 1 11472 263 1 3774 7586 5 18561 5737 1 15272 1239 1 858 5485 1 4599 188 1 14964 2656 1 6776 3113 7 3985 6548 1 4512 1964 5 106 4753 2 4180 5725 2 8376 3138 5 7568 1164 1 4512 3757 1 18828 6209 6 7934 225 1 5763 534 2 14686 453 2 16363 3427 1 4023 4560 9 19732 1743 2 5089 724 1 17485 15 9 7020 1751 1 3734 2729 5 19913 206 1 14985 508 1 9533 2626 1 6441 2114 1 17675 1734 1 6339 3621 1 12077 1245 16 100 4499 2 15073 6540 3 11239 1251 5 17019 411 1 10176 4623 11 10536 535 1 171 7786 5 2535 100 1 8117 690 1 19742 3607 1 8798 4673 1 11849 3029 1 19102 566 1 14259 1246 18 4503 3186 3 5870 4401 7 12140 1771 6 4686 3627 1 14053 222 1 8969 1819 9 18115 1239 5 2171 7682 1 13053 1105 3 8159 690 1 96 942 1 8312 1247 6 2710 1275 1 19310 3834 1 5714 1464 1 4278 1729 3 18876 3387 2 13627 1374 1 8675 1734 1 18543 7857 10 14162 8051 1 13105 2046 1 1066 690 1 17158 3911 24 4597 1817 2 5076 1188 3 3031 7187 1 10916 766 2 2178 1814 5 4259 7597 1 17505 6761 1 19059 8167 4 19877 498 3 324 23 1 2037 1710 1 15527 3180 1 12812 1334 5 13865 7850 1 19590 411 1 14010 3869 1 3353 6167 3 6452 626 2 19489 2109 12 18643 2673 4 11090 3920 1 4194 1752 5 13800 2493 1 7987 4698 1 1154 1698 3 174 8105 1 14556 3333 3 18250 2636 3 1218 6343 2 19567 2492 1 889 945 1 11326 5586 1 18195 659 1 1725 2017 1 10591 834 1 16558 4494 1 19649 1719 1 11438 6897 3 19981 2419 4 391 6038 21 11212 95 1 3008 1307 2 6808 6144 1 16625 533 2 12285 557 1 9996 5212 1 9 246 2 14756 207 1 4294 232 1 7841 4105 1 11148 1253 1 4509 1250 11 10948 1704 1 6854 1244 7 1231 4599 9 13105 6783 2 19152 6561 1 98 4429 1 3946 1307 1 11097 6037 1 20123 6527 1 11145 1720 3 3837 2764 1 9194 5018 16 15567 2614 2 5491 2675 1 7608 6736 1 3414 6100 1 2985 721 1 16202 7556 10 16278 7341 1 10684 3138 1 5766 2675 16 2454 7337 4 11377 156 1 6501 6500 14 3985 3812 3 2357 254 1 3272 5193 1 4632 2581 1 1120 822 1 174 8103 1 7575 5758 3 2135 1241 2 14921 233 3 3616 1743 3 6684 1701 3 9449 1721 3 15943 489 1 17245 5018 1 790 1238 1 12729 1825 1 2560 2881 2 1606 814 1 470 3074 3 417 6480 1 3075 745 7 178 539 1 3397 889 3 6683 235 14 4681 6744 3 9099 789 1 7675 6462 5 3704 2683 2 10053 6884 1 15683 663 1 5957 253 2 19332 6251 2 4779 3540 1 14299 1251 1 15307 812 1 13199 532 1 7999 4612 1 19723 215 2 12064 518 1 2264 2588 1 2906 214 1 2907 624 14 10879 2419 1 8161 2731 2 9312 1814 1 5496 512 4 1250 5932 1 2186 186 1 12078 1062 3 14561 6490 12 4292 8184 13 12358 4221 1 13993 148 1 10543 233 8 10410 812 1 10452 639 1 16490 1781 1 15087 7787 1 17544 3113 1 6481 3732 1 19026 200 45 2640 5486 1 18973 4604 1 4537 411 2 6208 506 2 7 205 2 7034 73 10 6090 2683 2 8751 2876 1 11782 3739 2 2986 7182 1 20106 502 1 9224 554 1 2588 2305 1 17781 545 3 9493 6855 6 10369 198 1 124 5407 1 10330 2686 3 13561 4266 1 13861 214 1 19346 3471 2 19789 221 1 19733 7379 1 19865 4377 1 5540 1250 1 18367 6680 1 3668 6051 1 4503 3146 1 13583 5037 1 17647 2367 2 5818 150 2 3448 6538 5 7450 1247 3 11585 470 18 4435 74 1 5860 1295 1 3925 1752 1 696 496 1 1636 319 2 17953 1704 12 19994 5035 1 18509 995 12 4659 470 8 89 4040 5 4069 3693 1 6776 74 4 14618 1383 1 3571 6714 3 13684 1230 2 6164 5397 1 109 4981 1 2270 5356 2 7940 944 5 1798 2127 1 14368 232 1 13731 3992 3 757 2358 1 11101 201 1 19273 2362 10 3881 1238 1 1507 1664 4 10174 3683 2 1396 203 2 10876 2543 4 8295 2003 1 9185 3519 2 16830 2542 1 16580 7406 5 20193 334 1 13265 4375 8 19774 2595 1 17977 4992 1 3395 1248 1 18524 1245 1 13169 525 1 16921 6543 2 7607 1777 1 15818 3909 6 16378 510 3 83 3419 1 3075 1752 1 16919 2449 1 16167 1757 2 485 201 2 10575 551 1 4134 2632 2 9503 74 10 3397 5071 2 2782 5131 1 918 3540 13 9724 7735 2 16135 411 2 392 207 1 10340 1758 3 10080 4015 2 16775 1499 7 1422 1717 2 6489 520 3 8287 7258 1 3545 840 1 171 7818 2 16743 4013 1 6895 941 1 3175 1312 1 14388 833 1 3309 575 1 10586 184 3 18788 236 1 5756 2291 1 6244 1153 2 16031 2251 1 19034 1757 1 4049 4180 2 3826 564 1 11461 1717 2 1801 2352 4 15603 449 2 19655 910 2 9577 303 1 11336 545 1 13358 2675 1 866 4584 3 6793 1962 3 10432 4949 3 8013 6434 1 7203 262 2 17736 659 1 11251 5336 1 10016 7830 1 6371 252 3 3117 1825 6 1908 504 2 2584 1247 2 16072 719 1 1191 1184 1 7463 1238 1 2716 3705 2 10183 6632 3 6892 148 1 7575 910 1 20276 1782 10 13245 6169 1 18885 7093 1 10575 797 1 13 890 1 17738 7058 2 18900 262 4 19511 5482 1 2580 6368 1 14721 5144 2 18184 955 8 4505 84 1 13865 1245 1 15400 3113 3 7893 4022 6 244 2114 2 15969 10 1 20039 4607 1 2396 5018 1 5379 3856 1 6228 6697 1 6247 4987 1 8554 4467 15 13591 3731 5 9725 367 4 11465 1270 24 17675 221 1 9705 3167 1 4511 2263 7 16316 3257 2 19089 498 2 15559 1478 1 13141 1819 12 11131 1572 1 9439 6108 1 14080 891 1 6275 190 1 16090 7115 1 1857 578 6 6922 1990 16 3654 4590 2 1964 910 1 11862 7238 2 3335 1467 1 18418 3853 2 20238 6142 2 570 215 9 7344 4967 1 19831 2047 1 11612 6756 91 17 1233 1 13977 3138 2 11820 7477 1 7252 3798 1 9672 7652 3 1989 1829 2 16190 6494 2 5042 5020 5 8875 5433 2 5295 4005 1 12763 1729 1 19401 206 3 7205 5105 1 4279 644 1 14758 635 1 6112 235 11 4660 6561 1 4992 23 7 14790 4264 1 8408 1184 1 6327 502 1 9215 4333 1 9655 184 1 5843 1757 1 2800 8171 1 2985 304 1 12679 1244 1 5854 5275 5 4426 196 1 18505 8012 1 11377 4983 1 17047 194 1 18952 3906 1 18781 826 1 11998 1296 2 15530 4621 4 4525 3525 4 18450 757 1 19784 519 2 15222 1819 1 53 2566 5 16739 1395 1 14025 2653 2 12282 6754 5 18797 2929 1 12236 937 1 14549 3567 1 3515 6435 4 100 4572 3 18739 5274 1 16684 5325 2 13883 382 3 4273 5530 1 19286 860 1 2036 7085 1 20275 5137 1 10519 2626 3 20068 74 2 4539 5577 18 9044 4186 1 288 1453 2 17978 545 1 16645 1415 1 454 2246 1 17405 933 1 163 7411 1 4780 5129 5 12365 2981 4 4151 3907 2 17241 5162 7 10569 3602 11 4841 367 1 6418 1271 1 9816 4203 1 5877 1995 15 3227 2256 2 7039 200 21 17825 2357 14 16204 1719 10 17088 524 1 1590 636 2 10052 7886 2 13071 602 1 15429 1374 2 14291 3071 2 8006 1714 2 6068 1703 1 7670 850 1 5281 7931 1 8554 2614 1 10887 4197 2 19813 3410 5 19156 1758 1 11705 1761 3 9556 4027 1 6342 1184 1 12412 655 2 1984 7466 1 7869 6540 1 16938 1705 1 154 7130 11 5432 1275 1 487 2104 1 15041 4613 1 3583 1762 2 13648 88 2 185 4383 2 7532 512 1 19594 7073 1 19900 38 2 10869 206 3 10847 2871 1 12501 1450 1 18138 1761 8 8321 5420 4 18207 1748 1 16085 1342 1 7308 1474 2 12482 1236 2 16674 219 6 19069 3306 1 19781 2488 1 152 6823 2 17878 1718 1 8183 752 6 3037 1695 1 9961 7217 2 9535 3230 1 73 3404 1 2722 6716 2 6929 156 1 20009 3024 9 7653 4146 1 6685 1226 1 8929 4803 1 3313 1109 1 16841 215 2 5727 207 8 13543 5603 2 124 2729 1 11430 197 1 2193 593 2 7306 685 2 8356 411 2 5168 2742 1 93 4197 4 2406 2645 1 9329 7883 7 6985 2307 1 12091 5390 3 13334 1722 1 8272 6207 1 18140 1085 45 3048 260 1 12774 167 1 3397 933 1 10554 4303 2 17132 3333 1 14047 1649 1 13348 518 1 6348 536 1 16797 5408 1 19521 193 3 3888 23 1 11848 411 2 19317 7255 1 10237 532 2 2917 2737 1 13298 6692 1 2197 2115 1 4941 1245 1 1723 1727 1 10907 1687 1 15050 7668 1 4267 1503 1 11192 689 1 15572 1705 6 16977 4187 1 16388 3540 1 16974 1498 1 6369 910 1 11516 1768 1 15680 1703 1 10583 411 5 4432 508 1 13238 5326 1 18207 3619 3 3330 201 1 17664 1843 1 3856 4622 1 14130 853 1 9768 2951 1 14837 520 5 7239 1399 1 2381 1311 1 11853 1334 1 7831 5078 2 4614 3818 3 13909 2767 1 3822 1358 1 8134 8183 18 11080 6013 10 20189 449 1 9604 5758 8 4492 2523 4 3580 1739 3 2995 6596 1 19425 1707 2 3808 1153 1 96 23 1 16028 4716 1 253 1356 1 10732 8183 1 19840 6013 3 2260 5385 1 18340 3476 1 16270 148 1 15151 824 7 13922 1707 2 17977 524 8 11673 853 2 9701 630 1 18037 5115 2 9168 5495 1 17260 1539 9 4286 2582 1 2023 7599 1 10612 303 107 20090 2509 1 19416 1315 1 13127 1350 2 15861 10 2 18375 910 3 1223 3647 1 9743 2109 1 5258 6190 6 4964 1781 1 1258 3421 1 94 4298 1 5252 2206 1 7252 5922 1 7990 1721 2 9883 4498 1 4627 7256 1 54 175 2 4632 743 6 15802 1146 3 17460 5348 10 9250 600 3 5276 5091 1 6563 7511 7 10010 1911 1 6382 3391 1 65 1739 1 19228 1819 1 14074 514 18 768 8139 3 7406 498 3 15318 219 5 1011 270 2 4043 4623 5 7268 880 2 18633 7572 1 6725 4609 1 14202 4312 1 12453 1625 1 8221 1739 1 7228 3411 4 10137 219 8 174 3705 2 2630 8141 3 17276 215 1 2291 2938 1 3820 6371 4 16036 3058 1 12299 8246 1 10135 6139 8 7147 3629 1 13350 3973 1 14388 3693 1 20180 1238 1 18037 3790 1 18144 525 2 11237 5325 5 11317 2641 1 10057 1909 1 9181 244 1 7165 2514 1 6372 870 2 1415 777 3 10187 1238 3 9733 1717 7 9457 2423 3 18464 200 2 18508 5157 3 445 201 1 11746 3563 1 14800 3546 1 5938 2407 2 13743 4008 1 11918 221 11 18149 1748 1 12496 4083 2 1429 5003 8 15657 1688 5 14108 5783 5 16131 223 20 12384 201 3 7197 215 21 2928 207 3 6420 336 1 9119 2982 12 20256 1248 1 17460 5345 6 3734 6537 1 6413 1764 4 12619 2329 3 15470 4018 1 12190 4286 2 9548 1062 2 17156 826 1 18877 1282 2 10000 2510 1 7180 4616 15 4960 3071 1 13638 1655 2 17853 7848 1 11585 1819 2 18883 5573 1 7359 524 6 14685 3567 1 9759 1363 4 8401 2649 1 9541 382 2 12365 1825 3 13417 82 2 4268 303 2 20145 303 1 12895 1243 14 13055 1539 1 8012 229 5 162 7367 2 7699 1729 2 2587 5513 1 12322 2357 1 16719 6868 1 2629 1695 2 3397 4225 3 20035 253 6 2508 3405 1 17578 5278 1 1828 3338 1 17488 1721 1 18462 962 1 3522 2543 2 18534 3591 1 3760 1825 1 2265 2646 1 1065 6423 4 12548 4435 2 5048 1105 2 4490 3333 1 5004 5937 5 16886 6669 1 11955 1825 2 8532 4998 2 19194 190 2 1201 1451 1 11100 7439 4 1288 5016 1 19034 7905 5 12241 3846 1 7703 1686 1 19901 7997 1 14055 6204 2 18693 1237 3 9869 4453 2 3700 4572 2 10692 709 3 4401 5433 2 3365 222 1 62 2823 1 2641 200 1 13928 805 1 1513 444 1 15813 5820 1 10368 1530 4 7362 203 1 20060 514 1 9996 5193 2 7670 714 1 12612 4555 1 4376 489 1 5378 191 1 6063 75 1 4583 477 1 1049 4309 1 16423 7634 1 2004 7643 1 13968 3462 2 14256 74 2 5905 1778 1 8128 38 5 15230 2675 3 5307 206 1 14826 3572 2 9902 6897 8 9713 1760 3 10852 886 1 9672 1502 2 18542 232 2 15807 3027 1 11827 1453 2 8812 4985 1 17328 4612 1 8591 4196 4 10881 696 2 2581 3068 1 2812 7672 10 17574 6546 10 18212 4245 1 17633 5774 1 2905 880 1 6976 1721 1 20157 1234 3 17618 525 1 6820 1755 2 8322 335 7 2025 4253 1 5495 7840 2 18939 1825 3 11451 2815 1 7780 2889 3 1825 5543 17 15939 235 1 9945 4285 1 5631 7254 2 19302 1464 1 7498 8057 2 18538 3761 23 2588 6716 1 11 477 1 9441 10 8 5088 235 1 1467 5712 1 9117 2632 8 16645 1760 2 13256 23 1 19988 4293 30 6333 2100 1 7135 1245 1 3663 2595 1 13412 3228 22 7336 1298 1 16401 7259 2 17086 442 26 3414 1249 2 9656 3388 1 11626 1407 1 8309 4391 2 10839 333 9 916 4606 1 14145 5255 26 11467 694 2 13234 2003 1 15807 1109 2 7966 431 1 40 2065 1 18921 6638 1 5158 5220 2 6457 1705 2 1491 7237 7 10692 802 2 18017 914 1 18398 1342 4 16090 827 1 1839 3113 28 6668 5136 3 16672 5470 5 1711 766 1 9421 7274 1 15228 386 1 1625 4394 1 5630 1698 1 1771 4142 2 11785 4090 1 1550 201 1 15726 3337 5 3524 407 1 17951 2361 1 3687 779 1 1698 6118 3 2155 23 2 15397 411 7 16944 534 1 18886 3808 4 16270 885 1 15054 403 1 15885 995 4 4277 1917 2 12136 8084 6 15530 4293 2 13925 8158 2 10 293 3 12815 6899 14 40 2118 1 7682 557 1 1530 4336 1 12459 7470 1 16728 2287 3 1527 7750 1 636 2167 1 19221 1314 1 10692 967 1 9713 1728 3 1721 1374 1 14507 4466 10 15996 1250 1 16575 864 13 12591 6341 1 10966 5532 1 15009 6120 5 830 7689 1 20029 2998 1 7977 6633 2 14661 223 2 11996 1762 1 11169 1253 2 10723 682 1 11108 5294 1 14397 1226 2 13957 6152 2 6668 606 1 3796 215 2 19331 200 13 15595 8184 6 19054 506 1 1625 491 1 7606 1761 1 9215 2926 5 12337 184 5 18376 4373 1 18181 1758 1 3059 4259 2 12332 307 4 5665 1721 1 9548 2771 1 10536 1781 1 17550 2990 6 18405 378 1 1524 3663 18 6757 214 2 13608 4554 1 17575 3351 1 14522 221 3 18202 253 1 1625 3051 1 14437 2789 1 5866 7210 2 14385 1463 1 15629 648 1 6647 3058 6 16530 864 1 14465 201 2 7769 1772 1 749 2352 1 17208 841 1 11502 5313 1 9180 518 1 18671 3283 2 20275 1251 4 8051 2003 1 15608 718 1 10219 6442 1 929 6368 1 19972 1251 1 4483 1686 1 15940 263 24 4072 2065 6 4977 6064 1 1835 7231 1 18187 2815 11 140 6396 1 14517 2109 1 10013 3540 4 11229 8041 1 19960 3625 4 3219 5097 1 17384 231 1 8946 869 1 62 2906 1 55 2655 1 9572 4250 1 509 4976 5 19872 655 1 15267 2146 1 1966 1424 3 16481 2702 1 12790 134 1 9250 200 9 10221 411 1 18346 6168 11 9865 1724 12 9209 206 1 11458 2450 2 8455 1737 3 8913 3596 1 16590 2608 4 12147 3899 1 2791 1184 1 14312 960 2 11490 3119 2 17886 573 2 2151 7556 1 914 234 1 4841 5389 1 5251 7719 1 1489 7237 1 5214 2331 1 8553 1833 2 3759 3476 4 525 407 2 4124 7423 1 9374 1363 2 750 6640 4 18976 888 1 7355 3548 1 7944 4789 1 14018 524 11 11737 2069 4 7783 4996 16 11175 1829 6 6452 3283 3 2985 7138 2 11947 4403 4 11388 2656 1 74 2897 7 9759 2883 8 4163 5497 2 2179 6914 4 3337 836 1 15881 663 1 1411 6710 1 4054 209 5 16797 8037 1 16674 437 1 14908 3167 1 6520 222 1 6776 4929 4 16665 4807 3 6781 1748 3 13580 2069 3 4539 3573 1 62 223 1 13644 512 1 3090 4796 1 10891 8162 1 1747 2058 1 14227 1168 4 4284 196 1 9208 7591 2 11938 3512 5 19466 7915 16 15307 8083 1 20097 5226 1 13210 5348 7 916 1323 8 8690 6713 1 6216 2356 2 18790 3615 2 14298 467 1 20060 718 1 222 6693 4 17457 4101 1 17184 596 1 9815 7987 7 11156 340 5 18040 2818 3 1009 2489 1 10956 948 1 6848 1146 1 4050 5550 1 15104 512 5 12345 3626 4 9310 1039 4 14874 4266 2 4688 715 1 6183 2671 2 6533 716 1 10169 682 1 14516 2515 1 130 5796 1 17249 910 4 19286 1649 1 16075 5538 4 16578 3578 5 10376 230 1 10168 679 1 1217 1249 5 12679 7201 1 14007 1819 5 31 1750 7 17750 1775 2 299 1240 13 11597 5335 1 3975 2104 1 18013 2883 1 130 3769 1 15874 626 5 17664 2484 1 9556 6705 20 17331 201 17 9077 1748 1 2980 7136 1 8990 3903 1 12496 3617 1 3846 3816 2 1677 219 2 20114 5437 1 15001 1762 23 266 3484 1 7419 3315 1 11297 5758 6 1887 201 1 19055 219 1 819 7646 7 19840 4653 4 18385 5478 1 20013 5425 4 19588 5903 1 5013 1778 42 2940 1103 1 12984 2555 3 6538 329 2 5653 1731 2 19955 4938 11 15988 1312 1 944 1613 2 8069 1244 1 62 2995 1 12055 839 2 1686 4967 1 3106 1728 1 8345 1698 4 7621 1363 3 8616 6663 1 8695 221 1 7306 948 1 4072 5256 1 27 1631 5 158 1768 2 14010 3723 1 393 929 2 14226 2388 1 56 207 1 19663 1757 4 4545 7646 2 326 2280 1 2350 4203 1 14313 2155 1 3289 3206 1 10528 3338 5 3581 1322 2 3827 225 1 15288 7719 2 12380 5325 1 15343 1374 5 1202 1284 1 12375 747 1 7656 4274 8 12919 868 4 14276 6303 1 14672 6588 2 5343 82 1 19680 200 1 18679 73 1 18695 536 32 4009 157 1 19030 6241 1 8628 6207 4 165 7539 1 10340 937 4 12320 1661 1 13880 853 1 12125 1322 1 11882 2068 1 153 6995 1 18709 525 5 19504 541 13 174 7882 2 5391 3203 2 14226 1146 7 19952 2522 1 13901 2958 1 6737 712 1 339 1035 1 883 843 2 8488 541 3 4796 4403 1 4268 7461 1 15982 1062 9 9212 1112 2 7780 1756 3 18183 1737 1 1050 186 9 11164 1587 2 8618 1296 1 10151 1630 2 11158 2111 6 1173 945 1 16090 6107 1 17568 1742 5 18320 10 1 174 7917 1 7769 1244 3 127 777 1 2127 843 1 14685 214 1 1866 4659 1 6673 295 6 16961 3705 4 9245 7857 1 6616 2337 7 6152 1305 1 17886 895 1 566 5829 1 16284 6108 8 6306 207 1 926 2076 2 2778 644 1 10460 1539 2 19602 7201 5 19949 8036 5 2898 215 3 6033 1363 1 13106 1108 2 5185 5863 8 17083 23 19 6595 520 1 20039 1361 1 10253 2193 1 74 1416 2 18389 6330 5 17721 5582 1 153 6996 1 11192 7910 1 6645 132 1 19293 2555 1 47 2371 1 18367 5018 91 9693 947 3 8840 1703 1 9674 5561 1 8735 1738 5 2297 4014 2 18977 3919 2 17159 1489 2 8387 4521 1 18204 3328 2 4089 4496 1 13508 5289 2 10502 5418 1 19699 5277 1 3395 1241 1 19498 3311 1 224 4998 5 4597 1779 4 7135 2356 1 10102 1518 1 6739 2522 11 5179 1703 2 17555 3612 13 9376 2671 2 6853 6719 1 16834 6414 1 6183 532 2 6129 2287 1 11314 4343 2 8481 1235 2 11963 4279 1 14001 1237 1 14276 3585 1 14778 203 5 1276 411 1 7023 6683 17 4449 7222 7 17701 927 1 6811 7433 1 1034 220 6 2778 6719 1 6619 2559 1 845 5448 1 12569 2008 1 6587 2068 3 14600 3311 4 9886 2639 4 19230 2732 3 10452 4575 1 12717 4012 4 19164 2650 1 17653 792 1 15211 380 1 19862 207 8 12272 207 1 143 6605 5 2782 5304 2 4906 6682 1 12054 6993 4 13922 23 1 3314 4992 1 5378 8013 1 15215 1719 1 18880 1819 1 14971 23 5 7952 1147 1 8620 7299 1 14211 7419 40 6091 2704 1 9742 7601 5 8774 7233 20 16442 6435 5 13936 23 5 12592 2873 4 6403 2367 1 15917 207 1 6820 1244 1 12654 834 1 5664 625 1 20059 562 1 5754 1518 1 136 6270 1 12543 23 5 5374 7257 1 6757 215 6 11604 898 1 15203 1324 3 2884 3556 1 14522 1779 2 5266 709 5 11286 4724 2 18703 3663 3 3081 3733 3 15429 1825 2 15871 2608 1 14606 386 1 13312 6723 1 3075 1814 1 7870 6457 1 13023 5585 1 1439 2028 1 19921 4357 4 4166 7674 1 6832 203 2 1839 8067 1 5952 4290 5 4211 706 2 4805 3021 1 16512 23 1 239 3203 1 8198 4704 1 2207 207 5 2174 4901 1 2931 1747 3 7377 214 3 14330 156 3 9294 3892 3 16645 5686 1 19901 2484 9 9439 1007 1 12614 1450 3 6907 804 1 17868 219 1 16386 46 5 8795 2520 36 2062 1704 5 8109 3511 5 15072 944 1 16966 6636 1 9464 6229 1 10361 2559 1 3050 2191 1 8764 534 1 15948 532 2 2807 7995 2 14357 1244 1 10676 438 1 16815 3866 3 14236 5769 1 16695 6793 1 12760 64 2 6275 1341 1 17191 5436 1 873 232 1 18380 2662 12 11747 6343 1 3931 84 2 5597 100 1 18236 1251 1 2666 221 1 9308 5351 3 17135 2534 1 2546 3813 1 13611 411 35 12517 1239 1 5356 1172 1 15396 1938 6 17550 1770 1 269 1797 1 12226 440 15 18932 852 1 16140 3851 1 13928 159 1 6064 6263 1 5433 895 1 5147 6706 6 6768 1825 1 711 1728 1 16167 244 2 13789 1768 3 950 840 1 9645 220 1 8547 4665 2 6896 1184 2 11399 128 1 11927 6477 1 5322 6245 1 3347 5950 1 17652 7396 1 4539 1747 16 8939 7537 2 11385 2027 1 105 4735 1 6357 5221 1 12311 1298 2 15308 3882 1 13743 952 1 3945 3072 2 5124 510 1 3110 2392 1 18193 23 24 1292 567 1 11626 194 1 11786 100 2 9759 4099 1 15700 4024 5 18703 2683 3 13017 6991 18 4779 6665 7 522 6168 1 2917 4402 1 17496 344 1 16196 4314 4 12919 6139 5 16642 3600 2 16908 7216 1 10498 7750 2 6848 1779 1 17058 768 1 10211 6370 3 40 2072 1 3760 200 1 9778 769 1 12712 541 1 6551 2023 1 9264 670 1 13893 6644 2 1768 207 5 18605 2555 1 15030 5049 19 3870 7440 1 16515 203 76 4998 534 5 18613 1764 19 11461 1775 1 743 6031 2 73 3372 1 9755 1985 1 2189 5700 5 16266 203 1 5652 541 5 5742 2268 2 2458 3600 4 4880 3618 2 16016 1475 1 12851 7098 1 3400 3635 2 8211 214 1 10290 222 1 7165 2014 1 17127 2261 4 10058 5338 1 11295 3647 4 5677 785 1 3734 1656 1 2031 3023 1 17548 728 1 6997 5733 1 17850 5487 4 2511 3351 4 3287 659 1 16805 5349 1 1712 5278 1 9363 4059 1 822 14 1 18581 5084 1 6394 1148 1 6207 1010 9 12727 524 1 666 215 2 8585 1769 2 8710 2107 1 2914 4592 7 10145 3917 1 9069 4811 1 10554 5276 1 1962 19 1 18742 4325 1 4779 231 1 16222 3422 1 7770 2343 1 1477 2322 1 10398 6183 2 6363 187 1 12847 3511 4 5813 2935 4 5266 22 1 17957 809 7 701 215 1 17675 759 1 4003 5686 51 88 4032 1 17946 3906 2 14102 221 2 4183 2821 1 7359 1776 1 18633 6544 6 17003 5817 1 12397 6714 1 13465 804 1 1608 2996 3 9916 232 6 3313 1704 1 11288 4582 1 17505 2027 1 937 498 4 5978 8251 1 7817 3834 4 11270 2498 1 9660 910 3 873 2118 1 7851 1423 7 10676 2519 2 2135 7050 1 3509 1778 1 14629 478 1 17441 7201 1 19348 1825 2 8662 2325 17 11947 2058 6 13461 1296 2 8196 206 3 19772 1548 1 6033 203 20 10966 2438 1 17859 7603 12 9865 1818 1 13787 203 1 16999 4196 1 6308 222 1 11208 898 1 20145 1146 3 16815 366 3 5429 293 11 7200 4992 1 13587 2009 1 12232 820 12 484 2528 1 1276 2534 1 2230 4446 1 18893 757 1 4593 737 1 2765 6716 10 12148 73 1 10692 816 2 11077 2268 1 4401 1037 2 16043 496 3 4572 1243 2 13601 5468 3 8597 349 3 15989 3911 29 1333 4640 3 9804 5471 1 636 7216 1 7701 2343 2 125 3271 5 12373 461 5 542 5451 1 18231 3997 2 15314 7712 1 14258 23 1 13799 545 2 16914 4956 1 11528 1784 5 8732 214 7 18502 206 2 14285 200 47 9058 157 1 7639 219 44 439 1764 2 2213 5266 1 16137 1824 1 11615 535 3 16768 3333 3 5661 5586 2 18115 492 2 15398 804 1 8934 84 1 17808 215 1 13854 4363 24 7467 165 2 10099 526 1 15307 6954 1 14114 606 1 3335 3666 1 13097 541 1 17624 1363 1 2619 2392 2 15709 1761 2 8369 5966 1 10274 194 4 19286 1777 1 5520 525 3 4208 4491 2 6472 7522 1 14549 3074 3 18029 2784 1 15468 942 1 7187 7512 6 16617 2600 1 7000 6185 1 1858 4796 4 7040 496 1 15578 7801 12 17505 35 7 18310 7403 6 11271 4007 2 4556 1169 4 2194 671 1 13986 5718 18 17788 4528 2 16126 3494 11 18847 837 1 13003 1383 1 14010 843 1 19530 3984 1 20183 3540 5 11096 152 2 4371 4306 1 3581 532 2 13868 5054 2 873 5903 1 16730 716 6 7165 1661 4 16768 6713 1 14135 320 1 19957 4209 2 1844 7558 1 10393 2822 2 13882 1613 2 17099 2173 3 10452 2708 2 15886 374 1 9307 6640 1 5077 441 1 9546 1981 6 3427 4077 1 12279 7076 3 15148 1758 3 15608 1250 2 10429 451 1 17702 3796 1 798 6395 1 16417 1658 1 14567 1969 1 14653 2683 1 15886 2488 1 379 207 1 9160 5353 9 1397 499 2 12363 8184 5 2602 3669 4 5025 2691 1 13672 1819 1 10670 1331 3 73 673 2 14222 2027 3 10406 685 1 14770 292 1 10695 190 2 16271 726 1 12753 5630 1 13318 207 1 6141 2969 1 1241 1814 1 4305 4062 1 7487 7237 1 6437 1383 1 10531 1745 1 13084 1464 3 17402 2197 11 20177 4609 1 13627 7474 1 1628 214 12 12712 1548 1 18115 1269 1 17432 3338 5 8337 665 1 5407 1805 1 6647 3357 1 6635 2416 1 15159 2342 4 13252 365 1 12688 1307 11 16844 5352 1 734 2727 2 1467 3009 3 16869 4992 1 3054 504 1 19406 4012 2 13705 1752 1 19385 7120 2 17980 926 1 6847 5312 1 13084 1761 2 15307 573 1 5042 2633 1 11848 1741 5 13490 3813 1 19026 1395 1 13997 896 1 162 7361 1 5738 6338 1 9894 1885 1 6597 7632 1 11715 2361 49 1454 1239 4 9157 1778 1 16065 7237 4 1834 235 1 4153 6229 1 4949 512 8 19135 7948 2 18144 1781 2 8198 4589 1 11591 770 1 3344 1783 1 7441 2646 3 2413 7857 1 9324 5291 1 11599 6259 5 13779 6245 1 4249 215 2 11022 200 4 6721 1768 2 196 2097 1 9017 7512 1 17470 957 4 1463 1571 10 16364 5180 2 2907 4699 1 11277 225 1 14077 3745 1 10387 1242 1 14351 203 6 9760 221 3 19822 996 1 3505 928 5 4164 3714 1 20180 842 1 6172 1100 1 8754 5427 1 7627 7229 4 20123 2722 1 83 3349 1 1079 6652 3 150 6749 1 9386 3604 1 2962 2936 1 18573 8171 1 3397 5286 1 9547 1756 3 13 645 1 7941 1819 10 17746 720 1 1094 2363 1 11820 6541 1 65 3134 4 4817 1827 1 1797 1814 1 14566 214 1 16308 7469 67 14829 6569 1 17253 194 1 19833 2009 3 19348 536 1 19486 3174 1 16676 4803 1 8082 367 1 651 201 1 7267 532 1 3005 891 1 11388 5487 1 13384 2146 1 16234 4589 3 9458 353 1 2922 4383 1 18797 220 2 13589 23 1 14428 4266 1 5766 1416 2 8499 1474 2 13532 2516 1 6556 2635 1 6556 4983 4 15530 225 1 16536 4366 1 13262 7820 2 4663 4248 1 11852 200 4 1949 6705 1 16887 1055 1 2237 3868 1 12147 1706 1 5519 6640 1 11326 3058 37 143 6508 7 13239 1751 2 15722 23 3 5451 5468 1 18698 1730 2 602 1170 1 8681 883 1 8678 3612 1 17958 1241 1 3427 605 1 8987 244 1 2221 7336 1 20145 2354 1 17431 7878 1 7232 4230 5 19030 8142 1 13923 864 1 3668 7788 16 12756 1284 6 18275 203 13 5196 6888 1 7747 692 1 11918 2356 4 9337 2641 1 9374 220 11 7745 252 4 7203 4540 25 17739 2549 3 8957 6562 1 8929 2650 1 7165 4852 1 12653 5447 1 14063 2360 3 7725 2461 2 105 4729 1 17127 2355 1 10655 6663 1 10961 1739 11 1927 1245 1 3243 4274 2 15041 219 14 12328 3247 1 12142 3798 2 12702 5292 1 14381 2668 1 5801 5551 1 5247 6139 2 15683 6070 1 17589 7844 1 3991 219 6 2562 4029 1 15149 4979 1 14839 225 11 10911 906 11 4387 1247 1 19313 1234 5 14502 1764 14 18220 1352 8 7515 2569 1 16651 4245 1 16317 3671 1 4536 3257 1 2792 206 1 17249 2911 1 7910 2816 1 12906 6697 2 2498 1819 1 7768 6418 1 7399 594 2 13178 6450 1 11746 510 2 13806 606 1 20117 5922 1 881 2617 1 6884 1755 1 10916 6288 1 17150 1768 1 18689 378 1 2004 1717 2 13531 4623 3 17307 6877 1 14988 4274 1 4791 304 1 18566 2038 1 9773 603 1 19996 752 1 14645 3905 2 8969 498 1 16637 2552 1 19727 5263 1 16234 8141 5 18546 5135 1 6292 2367 3 16423 6181 1 9672 201 10 18939 1166 1 14741 5097 1 12934 1474 1 6813 7214 1 5863 1659 2 6644 726 1 10741 1363 2 15343 1770 1 7322 4290 1 5986 4306 3 13946 23 2 8237 4951 1 10168 644 1 873 3972 3 17809 1342 3 8754 7589 1 3122 310 1 15742 878 1 73 3350 1 17179 4992 1 981 3275 1 2879 6103 3 19648 6546 1 2098 3914 5 6307 5288 1 9864 7199 1 153 7071 1 1276 470 2 10912 7146 5 8787 7670 1 18137 7101 2 2951 1395 1 16914 8060 1 5817 219 3 18101 2908 1 19434 196 4 11156 3767 13 7632 1893 1 8442 7798 3 559 894 1 8970 1717 4 14922 2855 1 1903 253 1 10088 6178 1 5914 442 2 11170 5783 1 3673 2024 1 7404 1007 11 17088 1715 2 3358 171 1 19939 1903 1 14587 3603 1 2273 1464 6 18883 3143 2 11402 221 2 9987 3511 6 6183 3233 6 18427 214 1 13743 2364 1 6371 2167 5 9745 4201 2 14218 1715 1 151 6776 2 1773 496 2 10554 654 1 4841 2504 1 10284 1395 2 10725 6061 1 941 533 1 15405 460 1 14042 3660 6 8862 6686 1 14124 1780 3 462 712 1 11506 214 7 3391 1190 1 13402 947 1 9798 4778 1 10692 595 1 11294 1686 1 13711 518 1 4449 3864 1 6443 84 1 18905 2645 3 10234 526 4 4279 1108 1 14522 1737 2 4500 947 4 1539 5115 6 16103 498 4 6140 4379 1 13343 2636 3 11215 2995 1 13628 5513 1 18101 1893 2 7359 1686 5 8594 2662 1 7227 5814 2 16548 505 1 349 3776 1 8388 470 2 239 4600 2 4234 201 4 5424 358 1 10554 1103 1 14096 73 3 10859 1423 6 12133 4619 1 18740 2419 2 6533 4224 1 2321 2179 1 7361 6628 1 18428 1656 1 17366 6414 5 17259 7953 1 5773 6912 2 4425 2513 1 5667 8192 1 8249 3909 2 3253 1705 6 15688 3787 1 13461 501 1 17886 1531 1 2647 1704 1 4817 1492 16 13647 1474 1 11971 1464 2 3255 1946 6 6515 23 1 13262 3600 1 155 7141 1 10404 1208 12 17865 841 2 5171 1298 3 4388 5913 5 657 4563 2 12303 471 1 18199 7938 1 10803 6705 6 19864 1374 1 11766 200 1 11261 1720 1 15721 1054 2 20030 885 1 8538 848 5 16805 4062 1 10221 5906 1 15432 1341 1 11622 2969 1 17638 828 1 9735 2069 2 791 6122 1 11312 2361 1 15288 177 2 17578 843 4 20212 1752 2 14409 4435 1 7349 1772 3 13652 7355 5 8836 7206 1 17248 235 2 31 1357 2 18866 5478 1 19123 1361 2 6644 319 1 11111 520 1 12530 3942 1 18431 233 2 13430 1717 2 7135 236 1 12054 1067 1 11473 3224 7 14051 2938 3 13442 23 1 10842 3252 5 8965 1748 1 12972 411 3 3044 270 1 10604 566 2 12548 1499 1 10337 8012 2 4688 289 3 7593 3956 2 4264 4816 8 15288 764 1 6000 2285 1 15211 155 1 6924 1146 1 6154 200 1 62 49 1 19119 4020 1 8503 7098 1 12831 4333 2 8654 502 1 4887 23 1 1500 2667 1 17879 196 1 835 1182 1 10407 3714 1 8688 518 1 18743 295 2 4603 4337 1 9628 935 1 19137 2076 1 3893 8170 5 5596 1776 4 14890 2789 1 12972 3496 1 9916 506 4 13946 411 5 11614 5257 1 14482 1739 1 4857 2675 1 3853 1467 4 17257 5370 1 11746 4306 1 222 492 1 348 3276 16 19486 4562 2 12501 1751 1 246 1332 14 3982 427 1 17035 201 1 10236 5737 4 10801 7117 1 17084 2017 1 14810 1356 1 952 1707 1 12883 6366 1 6597 642 2 1029 7850 2 2797 1924 11 19428 7619 2 745 1146 1 670 4635 4 7135 1715 1 4849 4761 10 19901 1695 1 12027 1308 8 2718 232 1 8451 2058 1 6310 4435 1 3331 863 5 16347 1721 1 1405 585 1 15073 200 3 9195 1732 2 15943 1661 3 16493 3378 5 16320 2219 1 552 440 1 3824 4963 2 18672 1277 1 18548 380 1 2660 207 9 887 6252 31 14223 4590 3 15849 506 1 10298 4245 1 5996 252 2 2016 200 6 14694 1819 2 3734 2614 1 6506 4929 2 19607 441 1 14362 5058 1 13603 5389 4 9462 481 2 16500 1814 4 19809 3916 2 9865 1395 1 24 1471 5 4399 7168 4 11237 8203 2 1582 223 2 5177 201 2 13927 1715 1 3227 520 1 16438 3515 5 10620 461 1 16248 340 2 11388 6341 6 15915 6343 4 13646 2649 5 170 1236 9 5748 575 3 8597 7454 1 4427 292 1 19314 1710 1 14960 4122 1 11556 6481 3 16860 426 1 11913 3203 6 20009 4612 1 13 712 2 8333 1658 2 1924 595 1 12988 1275 2 10730 1784 4 1123 5082 1 3075 525 2 20009 3331 1 18743 1338 2 16561 231 5 8195 4612 2 8438 4252 3 223 6159 1 1296 1390 1 157 7212 1 3037 2662 1 4329 4960 16 1954 46 1 17872 1681 1 12142 1290 4 1912 173 1 1597 412 1 14657 5468 2 8921 23 4 10081 3702 10 17088 1739 4 4068 453 1 13845 3567 1 7267 2714 1 11953 8053 1 3853 1448 2 8080 4427 3 14376 6480 1 17825 1726 6 177 244 1 1013 5153 8 300 3435 29 15107 1042 1 15996 4337 2 19410 1561 1 4468 1407 1 1585 1482 1 12685 1774 1 12858 2591 4 5884 7663 1 7653 6874 1 13224 2247 1 12389 4435 2 10677 3298 1 8198 2118 1 14906 1234 1 17637 648 1 16215 220 19 11160 5914 1 349 1227 1 18064 5272 1 15009 6139 6 1443 514 1 13587 448 1 9688 1736 4 256 7189 1 1520 903 2 19293 3333 1 4049 5126 3 1059 1374 2 6876 1342 1 10698 518 2 9557 7073 1 18462 627 1 19360 184 1 15374 1269 1 8793 893 1 259 1245 1 16018 1555 2 14658 197 1 55 1727 1 1953 467 1 6721 1727 1 3146 5022 1 18939 1871 1 7455 5257 1 16210 508 1 18353 4022 1 9050 7530 3 5350 2960 1 6105 2343 2 143 4446 1 12737 1313 1 3109 1595 1 7753 169 11 12060 3013 1 2426 214 1 1822 7658 1 7383 6083 3 3663 2517 1 12629 2521 5 3100 215 1 12231 2379 3 12140 2727 1 20091 173 6 18012 7725 3 15742 936 1 14906 203 8 18013 1025 1 14805 2584 2 10698 6481 13 10900 5518 1 11562 2657 1 9893 10 2 5778 201 1 15743 1710 3 15772 1726 12 17962 534 4 8580 7255 1 60 2716 3 12817 1022 1 5285 4401 1 7750 2364 1 873 215 2 19140 1548 2 8579 1535 5 3806 1453 2 18465 1769 2 11212 6150 1 9187 1062 1 5738 7423 3 6855 3671 5 2848 222 2 9904 2355 12 20 1283 1 8886 441 1 3090 225 2 7530 23 10 6712 596 1 6088 1245 5 19519 6585 1 20124 500 1 16758 196 25 20275 7920 2 8379 200 50 15154 220 1 5863 1638 5 13673 3788 1 17386 6527 1 12272 449 5 3085 2642 1 11914 3602 2 3139 1819 1 7943 1775 2 9922 236 1 12199 2005 1 16674 377 1 7463 229 1 3863 8184 14 2274 1416 3 11580 4603 3 18715 4951 1 10000 2981 2 13328 555 1 3668 2883 1 5645 514 1 14914 7451 1 12679 4988 1 4268 6029 3 8895 743 1 10399 519 1 10078 3036 1 15778 2033 2 8345 1150 4 19007 519 1 7988 6382 6 17816 3979 5 11374 6568 1 21 1403 1 284 2261 1 2267 4230 3 13259 1760 1 14568 1244 1 7545 153 1 3117 4635 1 13534 953 1 9606 2649 2 11687 1703 4 17185 1748 1 19833 5905 1 126 215 1 9122 207 8 9828 3515 1 213 1990 1 13589 1244 1 1394 1234 1 2012 3516 1 9432 883 1 13111 219 18 5169 6084 1 8788 200 1 15407 2484 1 18416 2474 2 17445 4842 2 18790 1453 1 2674 631 1 15471 366 8 6389 3771 39 13698 367 2 13125 496 1 19458 207 3 1036 402 1 17416 1979 1 16726 2626 3 3485 910 2 16899 809 1 11755 1458 1 13673 535 1 16662 1768 3 16262 1819 1 12035 184 1 19015 3164 2 18219 4139 1 14104 8145 5 18980 3511 1 8374 6348 1 12692 5018 1 180 8200 10 12258 7534 1 16914 770 1 432 205 1 10734 411 2 2597 1721 2 16137 526 2 14808 6897 4 8860 274 1 6101 23 5 19509 2813 1 4093 508 1 6378 2296 1 3496 1995 2 10692 292 2 19239 1248 1 18548 3338 8 20225 886 1 6989 2915 1 19124 5346 1 11912 5398 1 13785 23 37 6932 1275 1 18207 3466 4 19090 1277 1 17393 903 2 19820 5792 1 2902 1250 1 5185 453 1 5465 411 6 86 3967 1 9011 4306 12 15634 173 5 2917 4209 1 19151 3323 5 13296 7915 5 14528 6519 2 2067 200 1 4561 5253 7 10584 1248 1 17375 5468 6 8210 8072 1 4134 1951 2 6021 6854 1 11597 3697 2 9989 3603 1 9395 1781 12 10393 7302 1 10579 4020 1 4432 2416 4 11566 2650 1 16494 6482 3 133 6021 3 13778 6139 4 5053 2102 1 11304 1334 1 4796 1112 6 15075 2019 2 8723 6541 1 7553 526 1 6735 1304 1 1278 3190 1 12817 2357 1 1906 1275 1 18986 7878 1 18277 1184 4 15180 1357 1 16877 5414 2 5096 8150 1 10387 1239 1 5418 6897 3 17011 1764 1 13676 1817 1 13809 5321 4 5347 1825 1 7763 5610 1 15426 1748 3 121 3596 1 15990 2676 3 17298 7424 4 10966 4992 1 15865 1775 1 11238 3283 2 11846 206 4 3814 2109 2 6681 1250 5 18271 867 1 19418 6521 1 6786 6051 1 18498 6935 3 6982 3233 1 16326 1235 1 12777 4623 2 6929 1374 3 11504 1814 48 1900 2777 1 8759 759 1 16090 6173 1 143 2571 2 10997 655 1 7363 4107 2 4237 658 1 17578 2305 4 18536 438 2 6277 541 1 4000 252 2 16741 476 2 4898 7752 1 8621 2422 1 8906 2018 10 12322 1760 5 10170 1183 5 4223 4448 6 6431 5522 1 19688 2927 1 3290 4616 1 8435 2252 1 14764 5083 2 17572 5104 2 18572 1738 1 13005 3869 17 16492 409 1 6661 4167 1 547 5416 2 16970 4120 4 4935 1081 1 79 606 1 1247 1880 1 6234 589 1 6832 1734 1 19505 184 1 15180 7368 1 11259 3715 3 10483 840 1 17454 3850 1 9168 1729 1 4121 3853 1 17263 4199 2 11299 3526 2 14754 523 12 6412 568 2 12453 6551 1 16363 507 1 19316 1287 1 20006 207 2 14638 1819 2 11733 8109 2 8458 2675 6 8947 1007 2 19144 6204 25 14519 1251 1 804 1373 1 4267 4005 1 4092 236 2 6506 3959 4 13395 864 3 7806 7937 1 7455 370 1 15318 306 1 3160 3408 3 18902 6390 1 9525 4640 1 2269 3512 1 5962 5270 2 886 5205 3 5387 610 1 13581 82 8 16425 6512 1 11217 2403 1 15376 508 1 17184 917 2 6420 429 1 18211 5147 1 10670 4460 1 16549 194 2 19239 5175 1 5525 5995 1 1683 1464 1 1322 1150 2 1432 3492 1 13613 316 1 1225 2980 1 3824 411 10 13224 74 2 12112 4996 1 8890 520 1 4111 1466 1 3375 496 2 5860 518 1 2935 2535 3 130 423 1 2618 890 1 12392 225 1 16306 1781 1 17182 5560 1 413 7101 2 19641 206 4 11156 4777 5 10354 745 1 16815 5252 3 126 5612 2 6219 6778 1 6193 584 1 16055 1738 11 5947 7961 1 6152 680 2 17261 3333 3 20049 1762 1 171 7739 1 20014 6817 1 8687 5388 1 16313 6713 1 983 2369 1 13328 950 1 538 4506 1 5956 3253 2 10444 1742 7 19096 6031 3 156 7164 4 4507 1816 2 5304 6845 1 19671 23 2 2082 2683 1 9686 593 1 18263 5505 1 10138 4403 1 8966 1745 1 9875 534 19 11276 8141 1 1816 2720 1 1844 3466 1 6164 1356 1 8097 1727 3 10926 6414 22 2087 2699 5 12670 7251 1 18939 222 1 14471 7250 6 14896 6813 2 1491 1739 4 10233 201 1 8272 209 1 4337 8184 2 19601 4945 1 18007 2360 1 11981 5827 1 17896 7349 2 6829 1717 1 18358 2966 5 491 916 1 177 8154 1 14974 5996 10 16016 3400 1 135 6154 3 14170 4096 5 4256 3171 1 18887 6460 1 16027 4302 1 16137 6031 1 1653 1247 3 18821 2661 1 16606 6979 2 1422 2653 1 9184 2646 2 18881 132 21 11533 747 1 16748 7787 1 11415 7013 1 17224 1955 4 10927 235 1 13358 952 1 18886 6650 2 12614 236 1 19602 1100 3 6509 225 3 6348 586 1 17638 840 10 13402 348 1 19822 5320 2 1201 2678 21 4573 1441 5 1551 1248 1 19720 223 30 9865 8175 15 18149 1719 1 4259 497 1 9744 4792 12 592 1332 7 17142 7226 1 19930 2653 1 14237 132 2 8694 2626 4 13490 4918 1 2105 5258 1 1465 6091 1 18846 1991 1 8599 1727 1 13008 2319 1 19319 2353 1 14351 156 1 10233 1567 2 8549 519 1 6692 1363 1 10102 6080 2 4195 1395 1 6892 995 1 8532 525 1 16914 8122 1 17835 4382 1 12619 236 3 11513 1737 1 16428 7210 2 188 3511 5 7246 4039 7 76 3506 1 4072 2076 11 4249 2620 1 1395 1573 7 5214 514 5 14580 235 4 18193 34 4 18973 533 1 17083 470 5 10838 304 1 136 6254 3 14748 2103 1 2096 4511 2 14218 5292 2 10562 3691 1 15507 1007 2 18155 1334 1 15180 23 3 9464 3638 1 16272 526 1 3941 1603 1 3338 514 1 749 206 1 13402 660 1 10137 4998 2 18976 1734 13 16346 2722 7 10287 378 10 11212 7719 7 2819 232 1 19400 2056 8 15752 2001 1 18968 2428 1 3471 1250 4 17946 2419 1 3296 7632 2 6911 1994 1 15164 225 1 7574 827 2 5578 2355 1 445 1743 1 5872 2747 1 6228 558 2 86 3972 2 19648 4607 1 4305 5792 1 3749 3836 23 6337 779 1 18843 7912 2 806 4998 2 11155 1245 4 12497 525 1 7769 232 1 10810 2636 5 13243 3869 1 11899 6618 2 12312 5567 1 10107 2894 1 9284 883 16 19210 1296 3 445 23 2 12817 505 1 5860 1706 6 13657 5895 1 18230 207 1 5818 1449 4 10010 7182 1 8321 3794 5 3261 1582 1 794 6702 23 16176 2450 1 4828 2488 20 9639 589 1 19655 681 1 4064 6680 5 19688 5014 2 1772 6009 10 17915 2296 1 9546 4120 1 12312 221 1 1570 1363 1 20090 2495 2 3846 2369 2 17176 1737 5 460 190 1 1034 6232 1 13302 505 1 1738 1537 1 1727 3919 1 9567 1727 1 10485 220 1 19432 2355 1 16805 1240 1 5796 23 1 8054 5126 8 2324 3840 2 13739 6053 6 587 874 1 10313 386 3 12499 1772 1 613 6868 2 16739 6341 1 3189 2635 5 10991 5574 5 4641 7125 11 16957 1271 1 14720 6334 3 17847 945 1 19649 3333 3 7577 3954 1 13645 3775 1 19401 3729 4 4223 2789 1 15041 1248 1 11132 1275 3 14660 3980 4 17618 197 2 15041 1399 1 6124 2353 1 18862 6793 6 19316 7117 1 11507 4878 2 19212 863 1 743 1825 9 13734 1249 3 6644 2024 1 19225 1235 3 6134 2980 1 12923 1367 1 12112 6288 1 12219 3962 1 1772 2493 4 509 2675 6 4147 1267 11 2224 1764 8 7231 1146 1 18546 793 1 7843 2351 46 5763 525 2 12542 696 12 847 5495 1 3177 2488 15 932 1184 1 17178 910 2 7304 251 20 2675 1729 2 18237 1698 3 2911 379 1 1141 233 3 6950 743 4 15833 876 1 11868 2722 1 15180 8095 1 3392 7862 5 11366 1727 6 9622 360 1 15975 3077 1 14058 2259 4 16017 7021 1 4843 310 1 11471 1738 3 695 2352 1 18711 5969 1 11793 347 1 9642 888 2 13728 1819 1 10000 1277 7 10385 3248 5 7481 7466 5 13114 1151 1 15291 220 4 11912 5400 1 4922 222 1 13068 295 5 15346 225 48 15022 1732 1 4282 7995 1 3395 502 1 5021 1760 1 12793 530 2 16328 1756 5 16114 498 1 593 525 1 4417 2555 2 11331 7011 1 10948 7396 1 2803 5879 1 16063 5406 1 16893 219 2 7896 5018 1 12945 3941 2 5010 6014 3 16192 3266 1 6332 597 3 8890 4935 1 13018 1981 1 6647 2902 4 12702 4233 1 15683 6663 1 17879 2297 1 13845 7307 1 10369 3619 5 2380 1238 1 456 4623 10 618 2348 30 16270 3562 1 16727 2058 16 20114 445 1 10422 2087 1 14758 2097 1 2720 4629 2 5428 1239 1 13461 1249 3 4044 2663 1 17986 1686 1 14758 95 10 14306 964 4 8701 4622 1 18232 3715 8 13743 397 1 17013 96 2 9400 1247 2 18237 2353 1 604 3602 1 17176 8167 3 18071 4022 4 9099 4706 1 513 1798 3 17664 1829 2 4373 8076 1 10452 1091 1 12535 23 9 1686 3502 1 14709 2787 2 2560 4555 1 4223 6538 1 4458 550 1 9947 942 1 822 890 1 745 1234 1 8522 2646 1 1691 197 1 15104 23 1 159 7267 3 8549 1146 1 2629 220 2 7463 871 1 17872 3511 6 13477 4867 1 16096 801 3 16548 2082 1 2323 2152 1 62 2838 2 16669 6368 3 1645 5011 1 7135 863 1 1691 946 1 3171 222 1 15082 6295 4 3712 5719 1 10313 458 2 6458 219 34 13617 6743 1 14816 532 10 6442 3639 3 3727 5494 1 19605 244 2 4072 4623 2 11367 502 1 15221 5375 3 6105 258 3 5433 758 1 11203 1593 1 8394 4304 1 10554 5257 1 7019 4963 3 1152 8139 6 13652 2661 5 3218 4245 6 18067 2668 2 18071 843 1 6866 3650 4 18844 1249 1 11374 6556 1 13047 4740 2 13055 6541 1 8138 527 3 3749 2517 1 2294 1251 1 4898 1721 2 1558 5806 1 14222 4325 4 6332 1704 3 3447 4008 1 11459 4156 1 13306 1734 1 5481 198 1 8417 1819 1 17753 292 1 19574 3584 2 11487 5058 1 15136 284 1 10518 6892 1 15982 314 11 11656 6484 1 13084 197 1 1962 3398 2 9992 3502 3 17158 2970 18 8759 3722 1 17163 1379 3 19899 3132 1 4693 409 2 19596 825 7 19912 340 1 7455 1366 1 13567 7895 43 14955 7554 1 18960 4500 2 9674 1720 1 10575 916 3 3536 300 1 7567 7662 1 5700 2647 1 4055 1103 1 18709 3230 1 3059 726 1 19187 3956 1 16040 6207 3 14591 1342 21 11266 216 1 14606 4280 1 10160 496 2 6010 1142 2 3406 3992 1 8082 5253 2 16180 237 2 5681 232 1 4238 6924 3 11562 6946 1 8339 198 1 13224 6721 3 20105 1278 1 20085 3161 2 19178 926 1 2866 411 2 19022 7475 1 7155 3742 1 453 4418 9 19959 4789 7 2665 6383 1 16083 1961 1 15589 1638 9 15797 2254 1 3407 6062 5 13740 200 1 18809 6423 19 4662 222 1 14323 336 1 10149 1784 1 14264 5730 1 2891 1738 1 11131 3065 1 16199 2951 1 8832 6970 1 2866 5018 1 6040 7466 1 4830 1732 1 4663 1063 2 14261 23 1 3536 7677 2 4058 518 1 174 8075 3 14578 1324 1 7481 1772 1 14039 4607 1 17202 4105 5 18316 235 1 6090 6517 1 13839 708 2 3765 7125 1 16090 3701 3 4859 520 1 6608 6342 5 13906 1734 1 19975 2989 1 2294 496 1 18734 1245 2 19759 228 1 18485 5715 2 10381 244 3 2666 2523 3 3375 4022 3 18315 687 1 16767 194 1 17867 1665 1 9998 1201 1 7769 5397 1 1653 6181 1 14412 3909 1 1444 6957 2 15629 604 1 12491 1704 2 17296 1756 3 4626 5264 1 12537 4635 1 4593 650 3 2461 1751 4 16625 1768 1 15648 7410 1 9699 3588 1 12194 3854 1 7780 6363 1 13702 7423 4 2580 5456 1 5810 4290 15 2899 3247 1 13031 524 17 4896 2626 1 12322 1724 3 164 7455 2 1990 4077 5 17556 7045 2 10105 498 1 5960 5278 1 14728 411 1 14567 1916 1 20204 502 8 6703 1819 2 20127 891 14 9793 3691 1 11742 1825 11 11755 4343 1 2902 502 1 11487 2257 1 16016 5262 4 14211 2363 5 5316 7750 1 1853 6500 1 1585 7857 2 8082 8034 1 9319 4186 2 4012 23 2 20195 196 1 4268 716 2 9347 6680 1 6244 3221 2 6762 6368 1 1191 2353 3 62 2986 1 8636 2118 1 13829 1738 2 5803 982 1 13287 6099 2 13358 1726 1 4884 1738 1 10741 7570 2 3279 7719 1 18885 233 1 4918 1714 1 15427 878 1 14987 1717 1 5689 8170 1 14826 3556 1 17709 221 14 16960 2873 1 5734 3275 2 2145 6737 1 4539 4963 23 16105 2885 1 10457 3475 1 1040 4085 1 8748 6648 1 1699 207 2 3789 200 20 5492 800 1 281 1819 1 13126 6268 4 10187 2708 1 13537 1669 1 12615 5018 1 16358 6756 2 253 516 1 18999 201 12 9639 8186 1 18132 4595 4 572 219 12 7983 982 4 4265 1658 3 181 8224 1 7017 4597 4 18320 3660 5 87 863 1 7267 431 1 12037 718 1 13829 215 8 18286 6252 3 527 6917 5 15262 2206 5 11213 410 1 14080 2841 1 3759 5630 1 3366 3371 1 3585 215 1 15364 4951 1 10272 4620 1 3825 206 1 3331 1184 1 19602 3893 1 6520 200 5 13066 1739 1 17558 1724 1 2435 5018 1 10290 1277 1 15010 5265 1 17954 5413 1 3407 157 1 8212 2595 2 939 236 1 7189 1707 1 8083 203 5 12354 637 1 16591 191 15 13878 3657 1 6752 864 1 10123 1092 1 17062 1256 2 15288 1154 1 19143 818 1 18973 1784 14 6748 3493 1 4629 1495 3 20180 726 1 12158 6139 1 16640 6322 3 7665 3518 21 164 7427 2 11825 225 2 14618 1657 1 19779 5639 1 15336 6418 1 17932 1761 1 17318 148 1 301 533 10 2377 574 1 17189 1237 4 8088 7758 3 6068 2698 1 3694 8141 19 14896 2260 1 13381 3892 2 9744 1715 1 8886 1280 1 15712 4012 2 9826 274 2 11072 669 3 15261 532 1 19733 416 1 16371 1863 9 6740 4598 1 6665 7902 8 3216 1474 1 7267 1374 1 14027 4489 1 11760 873 1 14881 891 1 975 164 1 19723 2138 1 11478 1748 1 17148 2261 2 7682 726 1 14371 3180 3 3905 6200 2 13809 3117 1 18919 685 1 45 1909 2 13711 3556 5 83 3718 1 7991 1630 2 4858 1921 4 20046 6591 29 11877 2555 6 7242 1604 1 17562 1356 2 10913 1751 2 13429 1720 2 422 947 1 8076 461 2 15943 2964 2 10843 600 1 12075 95 1 4386 2068 1 15735 8141 1 18744 4992 2 16916 235 1 6110 2216 2 9826 6697 2 10856 230 1 7560 5316 7 9655 6091 2 5739 4245 2 5902 3323 1 3131 1732 1 1405 3570 1 16700 702 1 1953 8117 1 13050 6051 1 18258 6551 6 10064 5245 6 130 5788 1 11440 1764 3 17403 2497 1 9525 3511 5 2782 329 1 8528 5018 2 12729 200 1 17675 4780 4 4045 1743 2 5189 6152 4 130 3809 1 7626 3349 1 11931 3338 6 3852 277 2 20044 7220 6 15564 7411 1 14522 1244 2 4841 1242 1 7285 3596 1 8966 1771 6 5417 6025 1 5977 1450 1 8946 588 1 10233 2958 5 8015 6027 2 5185 1304 4 4277 1707 1 17133 1819 1 4766 6557 1 11082 1359 1 16421 1399 1 3775 525 1 16346 1251 1 950 5136 1 18891 3482 1 1678 2675 1 8614 5463 2 18393 1271 9 222 1193 1 9622 1172 1 10272 1772 3 16272 190 3 17170 3685 1 13647 7421 2 18037 718 1 9662 2675 1 16176 4764 1 14617 7018 2 13767 401 1 11515 1775 1 10267 525 1 12094 4816 2 15743 520 1 13134 6531 1 5368 1466 3 5190 5018 5 2560 6188 1 826 1505 2 2180 861 2 9309 1122 17 7586 935 1 17663 508 1 19289 1825 1 11821 2488 1 13549 4487 4 8778 6093 12 9488 1737 1 14587 4328 1 8251 7829 2 14908 4122 3 9586 197 4 18418 8054 1 4397 1395 2 9074 1658 1 9141 2521 1 15314 5497 1 12399 871 1 11661 4614 1 19317 5994 4 2186 8141 2 16020 520 3 3822 412 1 10783 4041 5 2222 214 1 11678 6861 1 15691 756 2 14558 507 1 16881 440 5 20032 5501 1 16546 2945 3 17132 5146 1 5970 1357 1 4660 2534 10 19874 207 5 1193 504 1 755 229 1 19568 1248 2 17096 1743 1 7484 6674 1 19554 2652 1 4446 5633 1 3730 518 1 3533 8076 1 16712 34 1 2914 1965 23 5296 1417 1 9781 6058 1 19434 1247 1 11919 1420 1 2142 1814 190 6138 679 1 8641 46 8 4006 502 1 15689 1796 2 4385 5256 1 18671 2438 1 783 1245 2 13665 219 7 12427 514 1 10168 1762 1 16090 8251 2 3100 223 1 9478 6460 1 11392 1772 1 14983 3235 1 9319 7651 2 11483 6527 1 17346 1830 1 15516 525 1 8383 1615 1 12950 1146 1 18252 215 1 11270 2515 2 8717 1770 2 19687 8109 2 104 4680 1 4779 1356 5 2980 5986 1 17101 1642 6 3024 2639 2 5941 8224 2 2505 8095 2 15159 3034 9 17470 4890 6 3561 1363 2 17597 4963 2 11443 7542 1 3704 1023 5 5058 502 3 18590 1664 7 8027 1374 2 10350 6341 2 16057 2029 1 467 11 2 6211 2626 1 13890 4827 6 413 3869 1 15817 411 1 8528 4685 3 3146 398 1 14670 7229 1 17610 1286 1 10456 1241 5 14908 1363 2 11192 577 1 4960 7850 2 600 6435 1 9733 5860 1 9534 2366 5 755 506 1 15844 3573 1 12329 1741 1 8323 3734 3 10073 7563 1 12328 3842 1 1171 1251 3 9815 274 3 6061 5966 1 14114 3373 1 5859 2480 1 17416 5341 1 16733 501 4 174 8049 2 11032 1208 1 4730 235 2 15858 4022 1 18814 1307 1 7653 4134 1 14113 6219 2 6294 720 1 16360 201 7 4213 2412 2 10105 1275 1 18992 526 1 18281 752 1 15419 1252 1 20256 6776 1 14371 206 1 17695 8045 1 20032 292 1 10457 6086 2 812 5950 1 7934 23 1 15848 1682 1 6878 4534 1 17780 200 1 3023 1595 2 9663 1760 1 944 6880 10 5006 4966 1 17290 2029 5 13042 3203 1 2665 4025 1 18978 1720 3 10331 1629 1 3545 887 1 13785 1282 1 11388 3519 3 15220 219 1 16036 7542 4 11245 2240 5 1838 7466 1 11912 7091 1 2508 4723 1 37 419 17 5571 1280 2 19177 164 6 18447 3242 7 11198 5446 3 10584 222 1 13526 2378 1 2762 3164 1 12047 5701 1 13865 2352 1 15074 3827 11 16987 2534 1 9935 2869 1 15639 4351 1 16364 7822 1 6697 2970 1 15369 6460 2 1077 1246 2 17869 520 1 11 430 1 11952 7997 10 9707 934 1 14260 1035 1 4092 3190 2 484 7586 1 16914 752 1 16787 3148 14 7910 4713 5 19434 190 1 5666 6269 1 11769 2522 1 11002 3634 2 20009 2883 1 11442 1776 2 6154 6697 2 2886 11 3 5278 1244 3 11867 1247 4 6463 393 1 18589 3911 1 7966 1307 1 5060 6096 2 5687 2555 2 12307 409 8 1090 5325 1 18276 963 1 1237 1698 4 1852 1927 2 2936 2439 1 6154 496 1 10358 2364 1 7851 1756 5 17978 7098 1 1823 2676 1 5837 5302 2 1028 4322 1 7750 215 3 2345 471 5 10464 215 1 2237 783 5 9896 3333 2 4492 1734 2 14917 236 1 12897 1184 2 3348 1203 1 10840 6011 1 6193 718 1 1053 5307 5 15405 416 1 20188 1276 1 8281 222 7 8878 1260 1 12187 4560 2 873 7972 1 1552 153 5 4368 2632 1 17171 613 1 17033 4202 2 11769 4011 3 17491 1247 1 18455 5480 1 8208 4504 15 14330 2662 1 4592 3257 2 15307 1220 1 8129 670 1 314 1450 2 2729 7682 2 4985 6368 2 2694 2780 1 19267 2013 1 16278 7279 2 3749 201 1 6313 1756 4 5437 1450 3 4275 3907 1 3659 502 4 1625 5814 1 2800 3512 26 13714 1241 1 8203 2182 1 12054 1022 1 3181 4037 4 2630 2989 1 5476 4739 1 6506 5002 5 9485 530 5 6153 1703 7 6159 220 1 13543 141 1 18164 365 2 17416 4156 1 14695 1768 1 9832 4299 2 8044 4303 1 15634 23 3 18633 4411 3 13060 6669 1 8503 225 1 16557 205 1 12212 4681 1 10340 1278 1 1904 903 1 19649 173 4 171 7663 2 15220 4967 2 15785 925 1 570 6640 7 1883 3461 1 4734 5403 1 18243 2542 11 2562 7128 1 19957 4559 1 16191 6482 1 19243 6486 1 19461 706 2 15529 3842 1 15535 214 5 11204 303 1 5076 3224 2 16674 2206 1 16813 5141 1 8451 5969 3 17992 5408 3 8974 1606 1 8269 818 1 13427 4716 1 7823 46 6 13892 3492 1 20055 5165 6 19505 5464 1 5478 7805 1 13905 2767 1 14578 806 1 16012 460 1 18734 7474 1 7911 1663 1 4552 1758 9 745 1745 1 1625 3036 2 14226 7527 4 6749 6056 2 14042 1783 5 612 2970 2 20170 4435 2 15007 1772 1 9935 5559 1 835 200 1 13792 1318 10 5440 1995 2 5407 5763 10 15599 2317 9 12953 203 10 10809 2793 1 13928 1685 1 1312 8026 8 17662 1450 1 16827 1819 1 2198 6091 3 8251 190 12 15065 1184 1 9537 1776 1 14305 677 5 19879 167 3 7435 3519 1 12632 1182 1 8611 1742 1 2155 1423 3 10168 1703 2 17086 6289 2 11863 6794 1 16364 4267 1 10826 3369 2 9040 2678 13 16149 1455 1 6152 783 1 16782 2316 1 4634 4853 1 14363 5004 1 17713 5272 1 4576 1571 7 12030 880 1 6524 201 2 4932 1466 1 19331 1482 2 12970 6051 2 12968 2151 25 15343 2761 1 8492 1726 1 13185 533 5 3988 4557 1 6183 1819 4 13374 2068 1 7390 557 1 873 2058 6 3581 2488 1 13166 4974 1 20238 6219 3 1120 603 1 1589 4199 1 19283 506 1 11357 1401 11 6292 429 1 19438 203 1 13 876 2 14671 409 1 17782 5119 1 16636 1108 10 6477 1244 1 16768 780 1 20044 23 1 20191 3417 3 8500 2662 4 5158 855 1 12740 8043 1 1049 4609 3 19537 5567 1 3399 200 12 18183 545 1 9776 568 3 5972 759 1 2163 1374 1 4328 470 2 43 2250 1 10537 5636 2 3521 1732 1 1326 1996 1 8608 532 1 9540 4245 3 16290 53 1 15306 6793 1 18231 6161 3 10631 5408 1 780 781 1 19137 5961 2 5058 4299 1 396 8141 1 10137 2675 1 16700 591 1 11349 203 4 2081 532 1 3955 6721 10 9533 1245 1 2666 2584 2 70 3279 1 4158 207 5 4170 7921 1 3713 2735 1 10264 2517 1 14998 2006 1 17918 201 1 4240 2410 3 19069 6692 1 47 2364 1 18281 1737 1 5209 1699 1 11616 2120 2 11769 5550 1 3434 4393 2 15943 888 1 7376 1324 1 14758 713 1 13163 2549 3 1900 1717 1 13055 1477 1 19193 1760 4 15409 6588 1 8920 2691 1 3395 2708 1 11048 3511 1 16367 5574 1 19402 839 1 16455 1518 2 14351 5018 2 15629 630 1 20117 834 1 787 496 1 9319 782 1 2238 1546 1 10264 838 1 1823 1932 1 15712 524 8 14722 5690 1 14535 4985 1 4490 1751 1 8251 2363 2 19182 1015 4 17328 4379 1 7812 7630 2 11678 135 2 8327 1247 4 1795 2777 4 5834 714 1 9287 372 1 9363 6198 1 5982 1782 8 12366 7212 1 12660 303 13 14032 2831 1 5190 4234 1 5370 1737 2 19995 670 1 7769 7602 1 14699 214 5 15395 206 4 10601 1374 2 3526 23 1 958 4436 5 12086 1450 1 6247 6754 1 757 1731 1 15683 1582 1 19684 3442 1 2240 1731 3 15659 6757 1 156 7178 4 1416 4019 1 787 7396 1 916 6268 2 3419 207 5 17688 4807 3 6847 1103 3 2841 1737 1 11711 3476 2 1 100 8 103 4647 2 20211 200 19 14913 5285 6 15629 3382 2 16732 863 2 5645 1781 1 8043 1275 1 11848 498 3 6681 1140 1 12343 3221 1 8639 7832 1 2590 201 14 19067 4450 1 3275 10 1 1434 4355 1 3500 3526 4 16659 1407 1 3012 243 1 8707 1395 1 4716 1727 2 15743 1772 2 2213 201 2 13011 1251 1 102 2356 1 17703 7251 5 11591 654 1 6388 200 34 15821 532 2 18282 525 2 10240 2138 2 135 6175 1 384 2575 11 20240 4093 1 7455 6441 1 17847 553 1 19534 3885 4 16500 863 1 14031 1240 18 10435 3801 2 15228 201 6 9543 447 1 19000 2488 1 17 1214 1 4606 1278 1 11479 1827 5 4384 7485 1 3633 1092 3 6796 4288 1 5431 7167 2 3134 6050 2 6415 1747 1 7070 4114 1 15480 3113 1 14276 774 1 11345 4107 1 18973 3619 3 9836 4015 7 12444 4370 1 19754 6992 1 19597 2897 1 3765 5018 5 20008 1282 1 10525 2353 4 8001 1282 1 9405 7470 1 5863 6780 1 8042 6225 1 9712 1734 1 14147 184 6 10947 1104 1 4538 4307 1 14179 2352 3 3579 3705 4 7780 498 1 7958 1245 1 19872 1252 2 322 4013 3 10784 3308 1 15937 520 11 20146 6532 1 5246 667 1 2646 8148 2 15566 196 3 14915 2827 1 7099 7414 2 19650 1877 5 11001 613 3 6405 6204 1 16698 3391 1 3677 200 5 11164 1743 5 18747 1761 1 12669 3511 15 11766 215 1 4792 4261 4 8759 1991 1 19630 2424 1 16016 5302 2 18554 6762 1 5281 4467 7 140 6477 1 10698 206 5 20126 6231 1 3504 7731 1 3471 3391 4 7312 7238 4 7962 200 4 13759 4530 1 1825 221 2 12322 1827 6 16076 1686 4 9969 190 1 2964 2729 1 14519 3175 1 334 3086 6 4305 205 1 3739 2448 1 2249 1747 4 10909 1819 1 14487 2299 1 138 6295 1 3832 3980 1 9787 2307 2 10408 134 1 18968 4877 1 10697 1282 2 17195 1582 1 13002 4274 1 7810 1464 1 136 3023 8 11846 604 1 18133 510 11 873 4394 1 6762 203 5 15448 7261 1 5469 665 1 9604 223 10 18232 3516 16 15362 206 3 926 8037 2 12060 3320 1 3178 1110 1 174 7861 1 11817 84 2 17 1184 5 13111 514 1 16331 156 1 1365 1769 2 14666 4299 1 17340 7215 1 16860 6959 1 14950 203 1 755 1771 1 13402 3369 1 10850 2416 1 4050 4242 10 348 6341 10 6152 899 1 10813 2268 4 20278 2106 1 18140 525 11 12165 4716 1 952 524 12 3358 2969 1 13598 981 17 15928 4269 1 4850 2883 2 12412 651 2 6118 526 2 13135 1814 1 9533 2058 2 4679 637 1 14666 7809 3 17491 1720 1 1419 1288 1 10340 3515 6 17 1059 1 20002 225 1 10054 1727 1 1 27 1 5778 1824 4 19870 7439 1 9566 4543 1 3689 7054 5 14800 2979 1 2047 441 1 19162 2894 1 11455 1451 2 20090 7098 1 13998 7975 2 17282 2596 1 5911 3476 1 787 207 3 14321 4427 1 18930 1175 2 15178 7401 1 10014 7847 1 9572 871 1 17331 1342 1 18415 10 1 15629 597 3 14587 1366 1 127 5762 10 12887 6259 1 17983 1666 1 20090 4288 1 17039 3267 1 18421 745 1 4621 2511 1 14830 201 1 19344 3684 1 6473 1707 3 5647 2860 2 13086 3596 1 9808 222 5 16728 7275 1 13190 6844 1 14645 525 1 14696 219 2 6821 8194 1 11779 4783 1 201 541 2 3008 6064 2 10517 4765 2 12941 3635 1 12150 23 1 1143 1466 14 18083 4098 1 14066 1907 1 12733 1227 1 7711 4635 1 2371 1707 2 9948 6677 3 11566 6246 1 17557 7726 1 8174 4245 3 11314 201 1 7536 2662 1 12740 4998 1 4146 1745 2 3002 883 2 8198 228 1 19872 1776 1 19605 1724 1 17430 3058 1 6597 3367 1 17464 236 3 13 741 1 15142 2978 10 15040 2651 5 6193 907 1 5253 2990 1 204 5532 1 9162 1380 1 18303 537 1 10761 2475 1 9077 7924 1 3467 7011 6 6085 7395 1 16509 3595 1 15530 4618 3 5952 1358 1 15191 1244 15 4606 2646 1 2803 1193 2 5237 6140 1 18499 471 3 7991 1819 1 11084 23 2 14373 6192 1 11291 385 13 8435 223 1 15159 1228 6 4278 1760 5 822 7540 1 11755 7418 1 81 3664 1 13743 463 2 4902 1611 2 8482 225 1 979 530 3 3570 514 1 6835 3838 1 16202 442 2 18623 505 2 17813 1961 1 3008 3021 1 584 1245 2 7463 834 1 13274 385 1 9699 471 1 174 7906 1 20114 1658 1 2559 792 1 5370 7143 2 7034 3484 1 890 4245 1 931 219 4 4052 5324 3 10155 23 25 17078 1401 1 5306 3971 1 12151 6723 1 12097 1245 1 4519 467 2 13492 1722 2 13922 2056 1 18608 1705 1 14522 2361 1 6159 7652 2 18391 1752 5 15874 957 4 11139 3393 1 174 7887 1 6942 6192 2 1044 1374 1 16995 2853 2 968 512 10 8965 1698 1 5261 2878 1 9540 4312 2 3545 5730 2 3447 3020 1 19853 190 1 13908 3540 1 4218 5543 1 9341 5325 1 15374 1612 1 1019 1893 1 4263 2710 7 16076 6064 1 1849 2580 1 14827 4996 4 10399 5162 3 14114 648 1 4784 23 9 1335 7205 3 9408 7614 1 15372 222 5 10670 167 1 18476 2415 1 9927 1965 1 16087 1307 1 937 517 5 6668 709 3 19167 1942 1 16386 3333 12 5960 3794 2 10916 1277 1 14408 1751 1 11861 74 3 1231 473 1 840 1312 1 16925 2494 1 2325 3909 63 18128 3311 1 17228 5557 4 3395 1245 1 12373 676 1 5556 7719 4 19338 2735 1 1002 74 1 13922 1772 1 15230 1251 22 6087 5120 5 17505 6164 2 8193 1781 1 7610 605 1 12320 6684 1 4332 867 6 8195 203 59 5785 215 1 3113 23 2 4524 6342 7 12128 5829 1 12640 4208 2 12127 855 1 6544 4204 1 1269 8091 3 5515 502 1 10452 591 3 14312 861 1 4605 4946 7 3392 1523 2 13961 3425 2 16700 812 1 9319 7615 2 7956 5004 1 15314 5440 4 15520 536 10 7986 1338 2 3411 2373 1 13931 4992 1 12391 4563 1 1548 6237 2 4112 220 1 11591 950 2 7463 447 1 6749 6973 1 3318 7742 1 10187 505 12 6183 222 8 7306 617 1 873 2990 5 124 47 1 14860 2798 2 1049 4252 2 2748 5202 1 1173 341 1 14305 787 2 6545 1363 2 11899 6334 2 13110 200 1 13543 202 1 15880 4245 6 19601 1698 1 13461 221 14 1889 1881 1 12903 1573 1 8511 4645 1 3521 4296 3 12376 3950 1 18377 592 1 9155 28 1 11558 1146 1 8668 1184 2 3085 1136 1 10803 4266 3 5862 7719 1 8815 910 1 3896 2584 1 8997 3250 1 2 116 2 12392 6925 6 4817 193 5 7215 728 2 19158 4787 1 12190 1296 2 16289 7566 1 4309 207 10 7349 223 1 3256 568 1 17457 4079 1 12327 1717 7 11446 5517 1 5537 1762 1 16185 1662 1 5695 1247 1 7823 5551 5 6305 508 5 14950 2863 1 17232 1482 1 18078 1184 2 7780 2442 1 14890 736 1 15154 222 1 14792 1104 4 15574 23 1 16593 2626 4 15015 6192 1 19663 313 5 11220 7826 1 4507 7229 3 16254 6065 1 3453 5023 1 7127 201 4 11192 949 1 19518 173 1 14665 6793 6 9058 541 6 8342 1090 10 17446 2881 7 684 1357 1 10338 206 4 8044 4299 1 17797 215 1 20168 1036 2 2935 5262 3 17395 6256 2 11215 1124 4 4556 2852 1 11772 11 1 1397 3003 1 8471 6080 6 160 7305 1 6074 3477 10 6987 7836 2 3066 357 1 1328 1779 1 1543 3024 4 15076 1646 1 15610 707 1 16742 767 1 291 4549 1 12428 1762 1 4192 517 5 13187 334 1 2195 214 1 12116 2268 4 1693 1752 1 16742 232 4 10999 2656 1 8387 2927 1 1824 4672 1 1721 4963 1 16866 5955 1 19929 1778 2 19718 6527 1 983 2499 1 19759 382 3 3684 5325 1 18509 7229 1 16636 7189 4 5550 7227 4 4796 2853 1 11450 6210 1 8051 617 1 14722 2555 1 11162 229 4 12580 1762 1 14286 5737 1 7114 2356 2 19812 6156 2 7188 7222 2 8588 4948 1 11213 533 1 4573 2405 15 3109 6144 1 18108 57 1 19567 2510 1 1571 1150 2 16474 8037 1 9155 5607 5 5049 5993 2 11338 1819 5 5775 5054 3 3170 805 2 2584 508 1 12453 3429 1 10414 4144 3 6191 8117 3 6861 201 2 126 5692 2 11156 1719 1 218 203 1 812 1339 1 6105 6898 1 1608 719 2 17664 2355 1 18122 200 1 12412 799 2 16689 2810 1 17963 6500 1 15405 5187 1 62 3029 1 4873 1248 3 3806 233 2 15865 7165 1 17405 5385 1 2483 2743 3 12501 367 1 873 6060 12 62 2931 1 7523 1363 1 3152 6027 5 2222 23 2 6536 2138 2 5597 3221 1 174 8010 2 6496 422 1 20158 1826 1 17664 203 1 8665 203 3 9808 184 5 7148 5820 4 9091 1770 3 2772 3357 28 9415 173 1 6533 2633 6 11156 4653 4 11929 1269 1 17947 524 5 7898 10 9 2134 200 26 17088 545 1 11377 5450 1 5378 1695 1 13461 745 6 13739 3206 1 458 3337 2 10115 581 1 17617 7172 3 2267 3220 1 3104 3512 30 9713 532 2 864 404 5 7304 4992 1 19733 6997 1 3696 327 2 11461 1737 2 10549 1342 5 4391 6268 20 14522 910 5 19874 411 5 19315 5639 1 11266 5922 4 4431 2897 1 15116 1564 2 12424 4062 21 7780 2118 1 12495 3730 1 11263 6065 1 10719 1715 1 6332 894 1 17013 4600 1 18438 219 1 11642 230 8 20140 197 1 3214 222 1 12821 5518 1 19872 184 2 11387 5848 1 11968 6645 1 10203 1665 3 3985 7477 3 7956 8090 1 183 5296 1 14370 8117 1 14946 2353 2 19226 689 1 14720 6242 1 13648 3519 1 13722 411 1 10719 7593 1 18013 4006 1 19518 1761 2 18615 470 2 14726 6711 1 19344 8012 1 5738 7210 1 4707 2649 1 14722 219 6 10763 3489 1 12822 7471 2 7459 2438 1 9109 6322 1 10313 800 2 17846 6346 1 3687 845 1 15429 4849 5 17507 200 1 62 2896 1 14517 5478 1 18637 219 2 19052 7698 5 8969 3512 1 12557 4179 1 6538 1054 17 1141 2356 1 16592 2352 1 13543 561 2 565 200 1 1783 23 3 17699 6806 12 1105 222 1 3466 1645 2 2325 220 1 1510 916 1 6804 6757 1 12121 223 1 11335 470 5 15530 4059 2 11758 4369 1 8110 6415 1 5860 1416 1 10795 2270 13 17918 5804 1 11526 5400 1 12789 1759 1 812 724 6 13 833 1 570 1781 3 15653 7844 2 13619 4274 11 6016 219 2 15653 130 1 2696 23 3 10160 4165 2 15622 7602 2 7000 2068 1 18617 2115 1 1801 2515 1 11611 2894 1 13012 203 3 7653 1685 13 5125 1322 1 18459 3338 2 13496 2193 16 13095 5523 1 14265 532 1 14753 3408 4 2937 496 1 4584 6801 1 15418 237 4 15363 6538 7 103 4628 5 11214 3138 1 5047 6591 1 12913 3798 1 7412 6027 1 12706 23 5 6433 1819 1 1454 5257 1 3700 5037 1 1597 2718 1 1151 2363 1 4277 207 1 4322 597 1 8088 789 2 6023 5037 2 12122 2678 1 612 194 1 1035 3338 24 14060 220 8 6463 5312 1 18560 6375 3 8889 349 1 10253 1762 2 5806 5844 2 10272 1482 3 11590 3084 5 18568 550 2 14434 196 4 11288 3707 1 6877 1764 2 9015 23 3 4182 3337 2 10228 407 2 4092 7029 1 14960 912 1 19079 5365 1 781 197 7 12817 2493 3 17947 2555 5 15349 4972 1 1990 2646 3 14668 5446 1 2605 3027 5 6456 214 1 4333 2356 2 13900 215 1 8370 4856 1 1793 23 1 12325 6084 1 19000 2071 1 17062 554 2 782 7299 1 14843 842 2 2650 891 2 10948 171 1 83 3703 1 1678 3233 1 4539 1995 21 5401 3840 1 873 1732 1 1864 3170 1 11376 3485 6 18231 6341 2 19268 4618 8 7017 1583 2 9941 2794 1 19871 4688 1 12818 5234 5 4578 2675 1 14609 214 2 8825 8183 2 10103 208 2 4050 2686 2 3278 1256 1 3393 1729 8 10123 4803 1 4373 233 5 17252 402 7 6635 4436 4 14849 4396 3 15029 1570 5 1178 6496 1 3219 186 1 9463 1046 1 9432 5989 1 11388 6374 17 5811 1175 1 4044 171 1 16695 3729 4 4391 496 2 12817 1737 1 15041 2686 1 11987 4245 1 5016 3331 1 3217 4518 1 392 201 6 11663 5005 10 10224 1863 2 4063 2608 2 9869 907 1 10855 4010 2 8991 3742 1 18682 4980 4 9688 1819 1 2887 1843 1 6073 6064 1 128 367 1 6859 1119 2 14645 7735 1 15603 7674 1 11018 6705 1 10698 3011 1 452 7521 1 14192 2296 3 2704 3619 1 7621 4996 7 4832 550 2 4108 6705 6 9050 1082 4 135 6187 1 15124 8139 3 16137 5611 1 9628 164 2 11051 220 1 6821 532 3 340 1042 1 6731 3715 1 1812 203 1 8435 5523 1 16783 23 1 16554 235 2 6164 203 1 11167 4029 2 7778 184 2 13217 4764 1 14690 411 2 15978 1645 2 6473 1374 3 7734 336 1 13009 144 2 13509 6625 1 3996 222 4 12497 5440 4 747 6534 1 2509 1612 6 7607 466 1 6384 995 1 14150 5255 2 9332 5323 1 14756 1416 3 5588 1762 1 19730 3972 2 19494 2635 5 3755 244 1 16445 506 1 7432 6170 6 8423 1250 1 6431 2677 1 5019 201 1 7022 5997 3 16043 200 11 6935 2715 21 6521 2362 4 9429 8145 1 19127 7714 1 3331 1955 1 9336 3193 1 11882 3591 1 11736 541 1 10676 422 1 8551 702 2 15056 1757 1 2646 6570 1 14259 203 68 9093 6586 1 10404 2923 2 15027 196 1 5424 2508 5 18610 173 1 6063 4041 5 18915 220 1 3472 1356 1 9845 3163 14 4539 1404 20 18308 879 1 2816 232 1 19960 5496 3 13364 7250 1 5215 2979 1 2029 6125 4 15313 461 1 10943 232 9 5185 57 3 6001 5447 1 6752 5674 1 2638 5436 1 20068 1757 1 3676 3699 1 7203 382 6 12532 5255 2 13032 3233 15 14522 5408 1 5907 5004 1 8330 2151 1 19316 432 5 18479 690 2 2499 512 1 11820 1610 2 9432 6407 1 1454 5252 2 1114 470 2 11298 1782 5 5903 6334 1 4077 229 27 1977 1788 4 6003 495 1 10187 215 12 3637 8075 1 15734 6880 1 4539 7265 1 31 910 6 17134 23 1 216 6018 1 3642 2820 2 2338 5439 6 15955 1356 4 16997 3775 2 13131 6719 2 3000 4279 1 16149 4805 1 4720 411 1 5255 3337 13 14519 1814 5 18366 2496 1 9897 4543 2 1026 3851 1 156 7156 1 7099 2815 1 11253 609 1 118 5234 6 9426 8184 19 3340 7797 2 15722 863 1 611 225 1 4870 4312 5 16698 954 1 11405 3512 3 17088 883 5 4132 3418 1 1852 229 2 4399 4976 3 16767 8139 1 20094 533 8 2917 665 1 20172 1775 8 12496 3421 1 135 1486 6 12320 6640 1 647 214 14 16730 7538 1 4572 1184 2 7354 3895 1 6925 1704 1 8735 206 3 94 4216 1 10015 4518 1 9764 3480 2 16474 519 4 16234 2559 4 775 2896 1 19057 325 1 11028 3515 1 9725 1042 1 13051 4501 3 9581 200 2 5929 780 1 17015 6091 1 83 3834 1 19929 1707 1 15189 813 1 9195 1357 1 6987 5406 1 10733 1725 1 16334 6203 2 12384 203 36 11663 3909 1 8358 1032 1 3424 1688 1 14180 244 2 11554 5090 1 15824 2360 1 16573 843 1 15429 2443 1 1625 5252 1 10397 1286 1 10146 5327 1 8451 443 1 4185 4021 1 12265 609 5 9693 318 1 17154 1482 4 6204 1732 10 10065 597 2 2089 173 1 6653 2422 1 16075 4609 1 19613 215 2 16798 7669 6 19517 6756 1 3009 2555 1 13883 2114 2 2381 1505 1 9305 4060 1 19872 2918 7 16700 784 1 10270 6534 1 5764 4950 1 14492 1111 1 6708 3771 1 19505 5515 3 18281 5132 1 17328 1780 1 1689 7045 1 12540 877 1 4267 5468 1 16605 1989 1 9253 5505 1 17607 4508 2 15591 3020 2 1265 7807 2 7771 4713 1 5391 5390 1 3240 5047 1 5025 1400 1 16748 1763 1 3806 883 2 4268 4112 1 16106 200 1 12817 4392 2 2615 5008 4 13621 7105 1 9954 4389 2 10837 4262 6 15115 108 1 13640 200 3 5659 2578 1 8250 3666 2 2508 7840 2 1962 1108 1 10663 1827 5 3200 5245 2 6699 222 1 6135 1748 1 5875 204 1 7377 1779 1 13574 1245 2 10099 507 1 10881 870 2 12660 1727 2 17960 3399 1 13951 1072 8 11999 4467 1 8173 4924 1 5916 1705 1 15861 7949 1 7799 3510 1 393 292 1 9394 7506 2 15762 6465 1 18598 4269 1 6183 1736 3 5479 1395 1 3467 7706 1 9171 6682 13 16109 1235 4 2927 3743 1 115 5149 5 173 7847 1 10452 360 2 4068 532 1 11877 1827 1 17088 1239 1 10948 5031 3 1698 6188 1 12486 5299 2 54 2494 6 2470 3132 4 4554 1424 1 7502 7933 1 2135 1235 1 11272 867 4 13734 768 4 13673 335 7 9843 937 1 8863 514 3 7899 3172 1 8597 481 1 5052 5783 1 10431 1363 10 18858 3511 6 16773 1208 1 8560 3433 1 4311 601 19 16263 7736 1 10017 3647 10 6683 5435 1 17863 2176 1 12619 1170 2 6591 1150 1 15192 202 1 10817 6334 1 6101 203 5 3000 4607 2 611 1518 1 18847 962 3 4688 1222 1 16916 5161 5 81 3663 12 124 5490 2 3155 7165 2 15478 1416 10 14080 3706 1 14929 1091 2 6518 718 1 9661 219 48 1059 6799 2 8965 541 1 14285 1751 7 2198 1657 1 14690 8192 12 9776 7030 1 1452 3615 1 3331 234 2 8410 7655 1 13974 3464 1 14755 5909 2 7315 6865 2 19652 3647 1 1719 3351 3 7217 3452 1 13032 1184 15 19991 4941 6 14800 203 1 11725 203 1 12619 6414 8 14959 1788 4 67 130 10 11018 2662 1 11278 2305 1 19293 244 1 1599 1779 6 17159 2662 1 1397 6943 1 3484 2400 4 7469 2646 2 13845 3512 1 11121 201 2 12858 6723 1 19097 4391 11 1079 7414 2 16976 533 2 4843 770 1 8451 81 2 13755 156 1 5963 3525 2 15955 5018 1 5854 130 1 14910 3911 5 5412 7862 1 5062 4695 1 12821 7397 1 8223 2005 3 14685 3463 5 4055 5011 1 5317 1727 6 3806 206 2 19742 3732 1 3817 559 1 16491 409 3 831 2290 7 462 698 12 5445 1450 1 17224 2743 1 12667 1751 1 2917 2953 1 6325 4179 1 19342 3331 2 2641 452 1 19630 534 1 6183 2555 1 10015 1244 1 16457 449 1 19480 561 1 5955 6229 2 17091 6322 2 17761 4996 5 9621 7586 2 11256 3557 1 14236 2938 1 4385 2729 1 16175 3653 1 12119 2727 1 6183 2363 2 8921 303 1 19676 7846 2 8273 1485 1 2959 1705 1 8761 827 1 17935 6023 4 6622 753 5 8864 4653 1 446 7964 2 2099 1245 1 16914 1250 1 17392 3625 2 10450 1295 1 11281 501 1 13075 3368 1 14780 6091 1 13806 916 1 18292 5146 1 20205 2338 2 11131 229 2 20028 498 2 3081 5329 5 7753 4366 6 738 1359 1 17742 880 2 19319 1686 7 15932 8054 1 14414 7752 2 494 2673 1 3751 211 1 2842 1819 15 7184 1770 1 11188 2299 1 19266 4987 1 12078 1404 6 16994 1825 7 7786 7900 5 18781 2508 2 15265 1973 7 148 308 6 13881 1017 3 5878 5669 1 15041 1781 1 10473 367 3 11591 215 2 1791 5644 1 9097 1774 1 1672 2671 2 13335 1768 2 4174 2541 1 802 274 1 14059 482 1 1065 7582 2 5573 2010 1 7020 519 2 8532 1762 2 19237 363 1 10495 190 2 4716 1748 1 2186 6342 1 15374 1539 1 7258 3556 6 7362 2781 2 3781 232 3 14059 2007 1 19348 232 2 131 6000 1 17705 508 7 10381 5325 7 17791 4435 1 1524 5020 20 18973 2552 6 10876 1334 1 7486 1313 2 14678 359 1 2891 1775 2 4573 4869 13 11387 196 5 13049 2356 6 17647 447 1 14124 1638 4 5310 263 2 16122 1367 3 229 235 1 17710 7420 22 14318 910 1 6681 1059 2 13164 4249 2 11011 1999 1 17384 310 4 12213 2432 1 6821 8141 2 17042 8171 6 4505 1772 6 8930 7297 2 7993 1656 1 6273 1147 27 8531 4120 2 5985 6933 1 3287 837 1 1367 5686 1 10000 2595 1 1911 5115 2 1399 3536 1 4092 1276 3 1109 3412 3 10575 790 2 9486 1782 1 10456 2698 1 10 319 1 19802 229 4 10101 1729 9 14549 7221 2 13097 863 6 5954 888 18 15266 1727 1 6139 3899 1 9353 207 1 18847 1190 1 16625 2256 7 14697 1241 3 14029 2897 1 8962 222 1 3212 207 1 11601 1707 2 7568 1743 2 6776 225 8 5246 201 1 15453 6121 1 14826 2913 1 19673 1241 1 16138 2109 1 10554 4211 1 7184 1745 1 8311 5031 1 7184 225 2 14018 5018 26 9826 7008 2 2432 7616 3 1125 4260 1 13449 1017 13 14934 5272 2 8082 5877 1 6420 2495 3 14401 164 1 29 1681 1 12826 3232 1 8458 1752 1 11562 2726 1 2502 489 6 10615 3511 5 13262 2424 7 17213 4264 1 2477 6213 1 6551 471 1 17099 3611 1 13815 1707 5 10283 5611 1 14913 3578 1 14506 4065 25 11964 534 1 17539 222 1 11210 759 7 9451 1787 9 6527 419 15 9945 1519 1 17392 1482 1 903 219 10 13285 545 1 19053 747 1 4264 507 14 50 2516 1 4058 532 1 14090 534 1 20016 6801 25 16827 7101 3 9835 3595 1 17485 5437 1 11985 1302 2 5654 182 4 13634 6358 2 635 8012 1 18261 7703 1 1826 876 10 17914 7419 10 5060 3 4 4587 4060 1 13 719 1 712 7229 2 16063 1764 1 7396 1704 1 18489 1253 2 16580 5820 5 3152 2553 6 20227 7470 1 18110 6442 1 12485 6635 3 10562 200 15 15286 3159 25 15664 7925 1 19759 5195 4 2357 7417 1 7017 4077 2 17772 2369 1 20037 6705 1 7707 4002 1 7995 1710 1 20232 1989 5 14151 3032 2 13014 1582 2 10394 1717 1 16704 650 1 14998 425 1 1962 1306 1 15608 205 1 3781 1776 4 8594 4009 1 15405 4209 1 9508 5266 2 6156 6468 1 19629 1755 1 2045 525 3 5389 1314 1 7597 7761 1 6089 5026 1 236 1209 2 6516 227 17 15011 943 6 708 6421 11 10283 7210 1 1551 7096 1 3281 1235 1 17004 1225 2 10098 1756 2 12947 222 4 6184 229 1 17250 7305 1 7375 3484 3 7911 7105 1 3090 534 1 7127 3556 2 15429 8002 1 5256 5225 2 3808 70 2 6781 514 21 17574 4720 2 4650 2373 1 10435 724 3 13252 3963 5 11574 3647 1 14406 4215 1 1607 221 1 13185 6091 3 2962 3109 1 2267 1138 2 3822 1267 1 4050 223 1 8924 206 2 15147 6194 5 2508 6914 1 4052 197 9 124 5423 1 17011 534 1 11959 5770 1 17010 8103 1 1973 4236 1 8097 5074 1 8405 5903 1 8655 6995 1 11733 3408 1 9322 1722 1 11363 3571 1 4496 1737 1 4268 4284 1 7413 2123 1 17585 2508 1 19719 8051 12 3815 597 4 712 3511 1 13922 1747 1 19220 545 1 3131 1703 1 12988 5905 1 11428 2938 7 8120 3521 2 2282 4202 2 939 1730 1 8987 5935 2 11912 6588 1 11857 520 1 15432 682 1 19061 1729 1 178 534 1 310 5389 2 12280 1466 1 9143 4059 1 14240 2633 1 745 5844 2 4742 336 3 15881 1190 2 9190 3589 1 16894 1153 1 14557 1303 1 19953 1781 2 9108 6341 1 7306 817 1 8134 7672 1 15211 3685 1 15362 5054 1 531 524 2 10948 2722 1 6661 252 2 7943 1732 5 5843 222 6 7721 1721 1 13088 2336 4 10829 5998 2 13164 7458 1 8636 1193 2 13857 1244 2 14992 1395 1 2748 4020 1 8649 540 3 7817 3842 4 3829 3081 1 34 1847 1 12233 1771 1 17809 1781 3 16375 2671 1 3138 4811 1 83 3812 2 8343 2331 1 3569 1048 5 13729 507 2 7000 481 1 4199 200 6 11362 2356 2 17120 1173 1 62 2816 1 15791 4315 1 1801 7658 1 13383 173 1 10243 6167 5 15346 5730 1 9660 1249 1 2778 1044 1 19859 6101 1 15124 1245 1 2911 3596 1 1561 2216 2 5266 3356 1 1241 7719 2 12702 7857 1 12312 215 1 296 6077 6 4831 1819 1 4935 1332 4 18363 3491 1 4092 5460 1 8532 1060 1 15697 7351 1 17555 1274 6 592 5951 1 17258 1740 4 4546 215 1 7203 1034 4 9717 6777 1 18548 2000 1 995 7861 1 12271 1658 2 18766 1250 2 8294 244 2 6742 6552 10 10456 1312 4 5097 891 3 3536 3775 1 9785 2969 1 18725 3388 1 14173 5420 3 8598 526 1 413 334 1 14492 1132 1 2572 541 1 12357 5903 7 11959 1828 2 14142 5249 3 781 3979 2 8191 1208 9 12003 2626 8 18667 200 5 7231 505 1 3243 696 1 2675 200 16 2045 4944 2 19764 7821 7 147 203 4 8816 3593 1 13601 1715 3 4265 175 3 16869 5881 10 1237 1760 3 2414 6084 1 220 5291 1 6700 1770 6 9329 554 2 11388 219 11 10161 1064 1 3025 910 2 20039 2889 2 3399 658 3 4742 540 1 2896 4306 2 3640 2863 1 17664 541 1 2985 798 1 12337 4242 1 4305 6576 5 12789 2488 1 11780 1814 7 6801 6303 3 12818 5126 1 9027 526 2 623 223 5 17688 7403 1 16355 2516 3 9898 4853 1 6755 7668 1 2629 520 2 18335 220 1 16197 1404 3 9070 2001 5 11392 2307 17 6477 910 1 10119 4490 5 17350 222 9 10694 470 5 17507 15 1 2939 605 1 17453 509 1 10315 7255 1 20 1235 1 5960 3046 4 13294 2341 7 9725 1277 6 18196 6252 1 9446 5879 1 8662 3248 5 13971 2661 62 1644 2267 3 1733 223 2 174 736 1 16445 215 1 17198 7534 3 6983 2896 2 6292 2554 1 2588 477 1 14926 1021 1 174 8055 1 5913 156 7 19605 2662 1 11499 682 1 13660 219 1 3527 1184 1 7483 514 1 4504 1253 6 2902 215 1 6407 4427 2 17231 5379 2 15152 314 1 153 6855 2 2512 3511 27 5805 6121 3 12244 6053 1 1147 6100 1 10855 2614 5 14129 23 1 4208 2401 1 13587 475 1 10097 1423 1 12184 2938 19 18203 1772 1 16736 425 2 4023 2501 1 16703 6706 5 11958 4761 3 1309 3441 1 15125 863 1 1625 3038 1 15885 481 1 19488 3255 1 3583 200 1 1250 4615 1 18979 7857 1 15591 4592 5 19820 1732 2 10187 1244 3 16496 214 1 6228 853 2 13535 184 2 14961 6308 1 1229 3023 1 4055 7819 1 174 8050 3 11820 723 1 222 3747 1 6495 5768 1 15211 460 1 9236 214 1 13496 3698 4 12975 1072 7 17416 6442 1 10245 2958 1 9049 6273 1 15932 8224 1 6296 3684 1 2959 3294 5 12826 4144 2 612 7643 2 9041 4107 10 18308 2680 1 6658 6663 3 16690 1020 1 4880 5333 1 17918 1209 1 12122 156 1 7304 219 18 2980 724 1 5451 4387 1 13647 1744 1 15041 1779 1 12452 2118 1 9224 791 1 113 4344 2 4330 4998 10 12835 203 11 6522 891 3 11895 4029 1 2716 203 8 230 1244 1 17060 5018 1 321 7229 1 16674 365 1 6900 3059 1 9816 1146 1 17133 524 5 8248 200 30 605 5328 1 18573 2120 1 13350 5981 3 13928 6532 2 20042 554 1 7977 7846 1 13797 3058 4 822 2489 1 1065 4868 2 8128 8171 8 9946 3022 5 127 186 4 10294 222 10 2643 230 1 16063 380 1 4073 207 2 14305 698 3 5218 200 2 13684 244 1 15233 595 1 14522 727 1 5637 1742 1 396 4615 1 3806 1748 2 658 3230 15 15993 1277 1 12660 532 2 4588 665 1 15608 3634 2 14711 2908 1 232 867 2 7812 1404 2 1722 498 4 6291 4987 1 3246 6628 1 20146 6658 2 9432 1796 1 17404 2727 3 3283 23 1 5959 6574 18 3253 8012 1 8358 5586 18 9275 618 2 18762 203 19 16762 5018 1 4223 1482 2 1684 7985 1 16073 169 1 12763 229 1 18880 500 1 10692 885 2 17881 5133 1 19602 5328 1 18548 605 1 19190 200 12 12918 2488 2 15993 2517 1 15750 869 1 3120 1734 1 10422 609 2 922 7414 1 6598 4261 1 108 4894 1 16284 231 2 8946 690 10 13544 1748 5 7260 244 18 13646 2728 2 2289 3477 1 14951 2056 2 684 225 4 14188 1307 1 5659 3193 1 16315 3549 1 3397 2013 1 8905 5816 1 5493 7347 8 14027 1582 3 15931 7989 18 5711 6957 5 11839 187 15 16468 3898 1 15388 1150 4 6005 1590 2 12170 6018 1 3817 1730 1 2642 4189 1 16495 2610 1 8332 7802 2 13517 2675 1 11458 2418 2 5441 944 1 1705 911 1 11786 631 1 16625 1763 6 2742 519 8 5776 1707 4 1221 4403 2 1519 1235 1 14378 7569 1 130 5939 9 9569 2635 20 17221 201 2 15693 1711 1 10498 7689 1 7859 6957 3 8767 910 1 14485 1466 1 10659 512 1 3215 1757 3 14879 4729 5 19085 1736 1 4519 151 1 845 7735 1 20013 3316 3 7692 2329 3 6090 274 2 8493 4615 1 19608 1769 1 11312 3234 1 14298 663 1 8361 206 6 16765 1779 3 17464 5817 1 11501 765 1 11938 2316 1 6332 737 2 11349 2646 1 6772 1730 2 3754 1727 1 5304 2562 1 1501 251 1 13785 514 33 12361 559 1 9253 3248 2 4170 7271 1 1228 6091 4 1771 1242 1 11 483 2 9670 4623 1 5174 1739 4 14602 3611 1 15923 496 1 19957 4498 1 8291 1253 6 18486 7404 19 10145 1184 1 3691 4963 5 1014 1342 1 7357 2569 5 18788 4635 2 11903 1819 2 18968 6554 1 1363 23 4 3133 2169 2 11427 4681 1 3189 150 1 525 5879 1 7743 6407 9 9741 363 1 13852 1555 2 1875 5814 3 13491 3556 14 1504 1991 4 18387 6424 1 13779 624 1 910 910 2 8357 2485 1 10319 1453 2 1204 3366 1 2772 3378 4 2980 380 1 6221 2699 1 1927 1758 1 6604 2714 1 18411 3227 5 3216 1686 2 5645 1252 1 2672 6575 4 12030 7672 1 15693 6170 4 15128 7073 4 6411 314 2 15429 1747 1 16860 474 1 5495 3029 5 6039 5418 1 13543 672 1 5453 1245 15 8764 8149 3 16595 3135 3 11367 1245 1 10217 5994 2 17778 5437 1 15192 764 1 10840 6285 1 18534 1245 2 108 4823 1 11626 8169 1 10572 1374 25 9659 651 1 11733 6954 2 14062 3747 2 2159 7189 1 20250 2398 1 18054 6228 2 6152 2383 1 6140 1827 1 11616 2853 1 6749 6066 3 7609 1664 1 11428 698 1 6776 1643 37 12833 2297 2 10105 1244 1 3061 1328 5 3085 5712 1 14561 581 1 9470 524 1 9083 1770 2 13488 6979 2 3641 232 1 13920 219 1 2110 1508 1 3270 427 1 10137 1827 1 9787 7979 3 14522 1250 3 1843 904 1 7934 863 1 18887 524 3 15288 4257 1 7312 215 4 11415 367 1 13557 5550 1 5706 6417 2 4885 308 1 11349 1737 4 12175 6170 1 10105 1737 1 14600 214 1 5031 6155 1 11172 2483 1 10160 7963 1 7127 1672 2 9374 498 4 8423 1819 1 10901 5718 1 6749 308 1 872 467 1 4963 221 4 861 685 1 13280 3049 2 853 8203 1 16515 2329 2 15411 4274 2 12755 3056 1 2301 2889 1 11417 5886 1 19320 867 3 10398 1748 1 4880 3562 1 6695 3748 1 15368 409 1 15041 46 2 14642 1946 1 15792 5060 2 4539 2056 1 17588 7915 3 806 6150 1 10856 237 2 5424 1827 10 5056 2071 1 130 5841 1 9594 1752 5 3447 4963 2 19108 1819 3 13997 3710 1 8532 1395 1 8597 2708 13 4906 1265 2 6811 5086 2 13854 5348 3 15676 23 3 1237 6192 1 7927 2369 1 570 3684 4 6332 893 5 3755 214 4 17995 4389 2 11882 5391 1 9962 5097 2 3631 1250 1 1007 7623 1 3418 7859 1 14630 470 10 14948 1764 1 12140 1734 2 20179 1663 1 15832 215 1 11327 6897 1 15229 1610 1 2282 900 1 4671 1927 1 12594 963 1 9944 2829 1 1821 5015 1 11020 3813 46 8077 3358 1 15634 2268 1 10954 214 1 1151 215 3 7217 1761 1 16589 6152 1 8053 904 4 8930 411 1 6070 3515 8 14352 8182 6 4870 3462 1 62 2792 1 16427 1825 24 9978 2981 1 1012 2675 5 3516 3960 2 664 1416 1 2009 4622 1 19438 7229 2 17477 5018 3 9919 615 1 17218 510 1 15360 3558 1 19156 5245 1 15281 524 3 15885 1037 2 11296 5432 1 11131 5993 1 15072 200 1 3397 6557 1 17736 6576 2 2833 2542 1 62 167 1 16202 914 2 2065 1825 1 3358 740 1 14131 2980 6 18281 2127 2 7455 823 2 12784 1372 1 3253 2487 2 9834 7665 3 2374 6801 2 12351 964 1 4651 1251 1 15295 244 2 9078 244 2 17215 2935 1 19821 274 2 11083 1945 1 15715 196 1 1043 883 1 5424 467 1 164 7483 1 13669 6510 1 9755 903 3 10219 4303 1 10876 541 1 2131 220 2 4542 206 1 12453 6522 1 1548 6486 3 11971 501 8 3112 4274 3 15931 510 2 16742 229 4 14076 1374 2 13070 438 2 8118 2464 1 15535 2675 1 13142 8041 1 17388 6059 2 10004 304 1 11239 891 6 9891 3454 1 10340 385 2 13002 82 1 956 6434 1 17084 411 1 11020 2542 5 135 6214 2 12101 1482 1 114 5128 5 4606 512 1 8624 6705 1 8439 229 1 17922 460 1 17318 1037 20 10168 7489 15 1172 6058 1 18013 47 1 10034 1090 1 8530 6623 2 19115 196 1 5610 962 1 2374 4014 1 20133 6997 1 2902 151 1 804 2663 1 13000 1259 5 7587 6551 1 8533 1165 1 6023 2843 8 7527 5447 6 19590 223 6 19314 11 1 12895 1825 12 9919 236 1 1198 4379 4 15104 524 2 13629 1703 5 10522 801 1 9836 548 1 16471 525 1 3712 5263 1 44 2303 1 18081 3653 1 527 665 3 8528 1775 2 3871 1277 1 6989 5300 1 14147 498 3 13306 1758 1 14119 7643 1 12251 8217 1 5755 870 6 1263 3980 4 3127 514 3 54 2637 6 5588 4378 1 6772 1345 2 4859 1814 4 862 3825 1 4263 4587 1 7194 1992 1 12663 221 3 9415 1772 3 9110 3167 3 10318 1760 1 5831 230 1 16825 3206 1 18949 6457 1 9366 2256 1 17083 1825 6 3081 4104 1 16238 214 2 6533 4219 1 7879 8178 1 5638 4504 2 2546 5804 1 8946 709 1 15323 2262 4 17086 1184 5 12144 7057 257 10266 2689 1 9225 578 1 62 2990 1 3728 3230 2 7853 4375 6 12125 6207 2 13590 779 2 18334 4377 1 1705 4099 1 1866 6278 2 15419 6162 1 7493 6546 2 16797 2534 1 12180 5016 1 14024 157 1 18939 3057 14 14232 6618 1 18862 401 1 16278 440 2 12493 222 11 13175 1062 1 14898 3612 1 15216 235 1 11456 2248 1 2985 718 1 16921 6629 1 4663 650 1 17996 1374 1 16052 3615 1 5447 385 14 10810 3872 11 18797 1729 1 7812 1146 1 8299 3352 1 16278 1954 1 15203 1328 2 1049 1654 5 19577 3103 2 5724 6816 1 9228 1635 2 18207 2662 1 7147 7210 6 6007 5082 1 17141 1688 1 13296 2521 1 8879 1728 2 5638 4399 1 13261 2735 1 11324 1504 1 18512 6868 2 2613 3057 1 12356 519 3 467 825 2 15773 200 5 11202 3393 1 14548 203 1 3003 1356 3 6064 688 1 13 577 2 13157 957 1 5058 225 1 2414 1825 17 9548 7946 1 10672 6484 2 9946 165 1 16881 498 1 7977 23 1 15549 1812 1 7780 364 1 565 1664 1 18219 4470 1 10514 945 1 12406 1277 1 17403 470 1 17298 745 10 4089 6682 1 11064 6435 33 10436 4006 1 1106 214 1 12128 7075 1 14132 221 1 7535 2673 3 2718 201 1 713 1672 7 3890 4622 5 15648 1752 1 6991 1182 1 15343 1249 1 4960 186 8 17152 506 2 6878 1302 1 13660 215 2 7049 3669 1 17675 525 3 3085 1152 1 6504 1736 1 3427 6278 1 17189 1761 2 2345 3149 9 3031 3088 2 19579 6481 32 1711 785 2 2582 1752 1 3437 6322 1 11964 4779 1 10633 1250 1 12046 244 1 18526 1757 1 8211 201 2 14612 1761 1 3871 1909 2 11310 4768 41 6716 1395 3 12987 200 1 5297 3558 1 16036 521 1 11206 4954 1 11920 225 1 12299 2673 1 9254 411 1 9572 4120 1 61 2764 1 4536 6139 1 13543 553 13 11471 3325 2 1654 1705 2 13066 6546 2 15947 724 1 8367 1546 1 14767 1772 1 7416 3599 2 176 8149 15 4985 5004 1 19534 3015 2 14266 4824 2 11411 1239 1 5045 1736 1 5938 2362 1 2077 3180 4 15588 525 1 14305 3050 9 10472 6441 2 6572 5126 2 16977 637 1 7028 2246 1 8574 2552 1 9043 670 1 2465 5325 2 3287 794 1 7046 4245 3 15932 2714 1 1422 568 1 171 7750 8 12300 3905 1 18 1242 1 16090 2897 1 15140 1909 1 388 676 2 5401 758 1 7991 5306 4 6478 207 1 17671 252 1 5696 4174 1 6327 4609 1 11696 200 8 2701 2513 1 13061 3740 1 18441 2072 3 4749 1736 1 13131 953 1 17188 2675 17 3703 1781 3 12026 4413 2 18890 3333 3 9919 925 1 10649 5301 2 9431 751 5 10482 911 1 13627 745 1 10915 4622 2 12090 846 3 115 5202 1 3146 76 2 9432 967 1 998 1770 1 1279 8017 5 7659 1484 5 129 5773 1 17019 223 1 7017 1324 5 7566 1729 1 12275 207 1 7540 221 1 20 1285 1 16857 225 1 3915 525 5 8591 3167 3 3002 5712 13 3309 652 1 3698 6626 1 16960 7769 1 16827 1686 2 2443 652 1 11314 2382 1 11285 1247 2 15063 6824 1 4839 8184 4 15969 2534 1 8716 4588 2 13922 1238 1 18876 2964 5 9759 167 6 11912 1658 1 17617 5394 2 15975 501 1 19365 1747 1 17 1120 1 1908 1776 1 14839 422 1 1009 840 1 15629 691 2 11964 1825 11 153 6884 1 133 6081 3 11478 2676 3 18132 5346 1 18037 1188 1 7853 813 1 16645 2251 1 12441 6067 2 6645 2080 9 3939 348 1 4068 2488 1 13648 3489 2 13032 505 6 62 2902 1 13829 1235 2 10142 502 3 3175 6576 1 11236 5020 4 12663 470 19 16844 960 10 1790 4029 1 4611 524 8 19342 1284 2 10353 3919 1 6513 3113 1 8850 2485 1 370 1728 1 16645 1250 4 17290 1296 4 17805 223 1 5768 3400 1 9519 235 8 14489 2228 10 19726 335 1 8585 2815 2 12663 5351 1 17617 1784 4 13 954 2 6113 6682 10 6323 5206 1 11295 1593 8 7469 1724 1 19868 2116 2 11914 1819 6 18174 3081 1 373 809 1 16381 4064 1 15426 4395 4 17439 3391 1 6269 3909 5 16140 425 1 3214 1342 1 19900 3515 1 2783 4 1 9224 685 1 18667 532 1 19455 244 2 11709 232 2 15849 4635 1 13758 1277 1 17696 380 1 10827 1743 1 16602 1342 3 15479 882 1 6002 5305 1 7750 5003 1 16862 7196 3 9479 7018 2 6058 385 21 10733 2127 1 1608 3813 1 19260 196 1 8965 1453 1 108 4875 1 436 5724 1 4092 5448 2 18183 252 1 12919 6892 2 17493 368 1 18222 6102 6 18164 1245 1 12735 3512 1 15362 6085 1 17252 5979 1 559 1253 3 1519 1105 3 8088 4600 2 4203 1837 1 8074 214 2 9475 1715 1 873 3596 1 18730 6501 2 5971 1245 1 13030 568 1 6690 903 10 15683 3625 1 2584 4998 6 13011 2089 2 11726 8262 1 8015 1685 3 9287 2256 2 6537 943 1 11882 1238 1 13117 8034 1 1219 220 1 863 742 1 14215 1774 1 10051 4534 3 9943 203 7 16860 1582 1 18288 2111 3 3658 3888 1 639 1307 1 4064 214 6 4861 4612 1 2498 404 1 17877 4764 1 13017 5158 1 7841 6749 6 7427 23 1 5268 3433 1 1443 2353 1 15601 2675 2 7917 1756 1 6502 184 2 2735 2584 1 13508 367 1 6468 148 1 16572 752 1 15618 2415 2 18152 518 2 13587 482 3 6551 1070 22 8762 4467 2 18265 3602 8 16222 3482 1 8009 4366 2 19225 525 3 19971 8116 5 1625 4304 2 6781 7695 2 11863 1251 1 74 1819 6 7776 495 1 1545 2676 1 15683 897 1 153 627 2 8416 1238 1 18415 3593 1 18099 295 3 14606 23 1 14778 1235 6 11804 5533 2 8041 3266 2 3887 6102 2 12167 1357 1 15718 1731 2 13623 220 1 19272 7694 1 9760 201 1 16209 203 36 12322 2727 3 12086 540 1 16137 270 1 8305 1814 2 16006 1571 1 16886 1252 2 4954 706 1 3972 1956 1 5271 7125 3 14650 2698 2 19121 207 1 6478 214 4 14218 6576 3 7730 8154 2 20033 1781 28 3734 2488 4 8083 382 2 19006 2541 2 14920 1453 2 1419 2508 4 5076 1289 3 5283 203 11 5995 1768 1 12583 2897 1 19872 411 1 17162 5807 2 4072 7538 1 7362 1917 1 745 1776 1 13117 7119 6 13201 4704 2 14612 3474 1 1631 3987 1 15774 6801 4 14780 214 20 7555 156 1 8458 221 2 13461 236 4 100 4539 1 4055 6892 1 8560 2307 1 16674 5441 1 9660 4269 3 14689 514 4 992 3261 1 10398 190 1 17088 1768 1 19332 6235 2 9699 4293 1 1062 2317 6 9947 651 1 8051 7008 2 7469 2556 1 7635 7850 1 19453 5115 3 4768 3313 5 9763 2691 2 19202 7139 4 8064 232 2 8001 2424 2 20163 1512 1 19751 1472 6 10106 2959 7 11591 1745 1 8714 3053 1 16503 84 1 19425 2352 1 4380 2656 7 7166 1023 1 873 3714 1 3445 2097 5 6063 7402 5 3000 35 1 16179 3635 3 19725 5121 2 3985 3971 8 16351 184 1 5303 8072 1 19656 1590 1 17174 616 1 751 7229 1 107 4803 3 17087 7753 1 11656 3511 1 13033 1672 5 12817 504 1 12188 4367 1 10920 1244 1 15913 491 1 9220 203 1 8730 5724 1 8053 2893 1 1271 1146 10 1460 200 6 11131 3798 1 18455 1784 1 17877 203 4 20256 7920 1 18140 1729 4 3975 7509 3 17738 6885 2 2902 512 1 6559 5285 2 16692 682 1 17677 3518 1 9836 624 1 18672 4085 1 4099 5325 1 1968 8183 10 17788 6672 1 8597 4572 4 4573 5018 5 4492 2626 2 13652 5325 2 15943 1234 1 135 6193 2 15167 398 1 1866 3011 1 16519 5506 1 7188 1632 1 15959 6702 35 19194 8211 1 4050 6570 1 233 7210 17 4137 6046 1 16881 510 1 14663 1656 1 13612 2258 1 11377 6753 1 8532 6152 5 5378 2496 1 4583 3223 3 4074 7586 1 15192 1250 1 11388 5018 4 19731 4150 1 6519 709 2 572 512 3 8474 1464 9 15517 1886 5 8978 1296 1 3898 1756 1 13662 1248 8 18847 1184 11 10179 5315 1 10290 1743 1 10502 4022 1 16471 244 2 13797 6158 3 19604 6618 1 8560 3090 1 9358 1722 1 4880 2595 1 20126 534 1 10670 745 1 2652 1751 1 2104 2013 2 1439 883 1 12592 219 6 17932 1715 6 17472 3477 1 8675 874 1 16847 506 7 20020 1246 1 15029 2914 1 14155 223 2 314 7850 1 7780 393 1 326 7216 1 95 4372 1 3947 1251 1 16355 1153 1 14063 5730 1 14283 2885 19 4774 190 17 3589 1396 3 17223 4827 1 11964 3511 6 7619 525 2 13496 2240 12 4984 214 1 13411 1781 1 479 4647 1 5711 470 1 16730 7533 1 16137 3554 1 6539 7868 2 12457 637 1 4688 5715 1 15826 1748 1 3444 6549 7 10279 3163 3 7442 3815 1 9539 2110 1 12060 4794 1 5022 634 1 12322 1251 2 8118 3206 1 7390 5251 1 2042 470 6 6259 2350 1 16078 4092 1 11451 4435 4 4593 617 1 7840 3338 1 14336 6038 1 8475 1736 3 11964 232 1 18099 929 1 12570 2647 1 1816 5327 1 17524 1010 19 983 481 1 13014 225 2 739 201 2 456 1755 1 18689 1298 2 7056 5018 27 781 6335 1 381 3868 1 8548 201 3 14578 4351 1 755 1363 1 6983 7857 1 5863 1662 1 4468 4242 50 13244 7758 3 12573 1342 10 883 844 2 2722 7417 1 15279 6080 1 1316 4547 2 2369 2647 1 2010 201 10 6884 1724 1 1296 541 2 17471 926 2 9096 6534 4 18820 2069 1 16631 1007 9 5840 1760 1 11649 2023 1 5699 1453 2 17143 225 1 12850 303 5 18138 2727 8 6130 707 2 1232 891 2 16817 1296 4 9305 6192 6 12826 1156 3 13098 4325 1 15400 4019 1 5106 4476 1 14504 1827 5 6520 214 2 9364 7533 2 19937 7244 1 4327 203 2 6088 6534 3 11376 2338 21 3801 5905 1 5503 1325 2 18886 420 3 19872 1276 1 13494 6213 2 9829 1703 12 8930 8012 9 5431 1903 1 3201 876 1 2639 208 1 1029 1719 2 12676 225 2 14063 801 3 15220 2131 2 15634 3065 1 2857 467 1 2816 1374 1 2710 190 1 4015 451 1 7823 7542 31 12345 667 7 18986 4680 1 7003 6152 4 4462 5297 1 19684 148 1 6893 2493 1 781 7457 1 12710 4418 1 2132 7313 2 1691 1722 1 4730 225 2 17516 7184 1 15743 1247 1 11779 265 1 4981 7808 1 1505 497 1 18209 8071 1 10393 4325 2 15871 673 1 17073 4227 3 8892 223 18 19140 1719 5 7306 588 1 1036 3020 1 15100 947 2 6838 567 1 9949 3660 2 18040 3227 11 932 2838 1 992 1727 1 15629 865 1 1962 6791 1 15826 232 9 14258 203 2 1828 219 5 11964 219 2 5996 5557 1 18534 520 9 12842 1738 4 296 6006 1 13398 1986 3 10913 8167 2 17664 533 1 5252 35 1 7993 1610 1 6160 5253 1 7056 1298 2 18119 833 1 1445 1685 2 11377 5523 2 7572 7994 1 11584 2671 1 8065 517 2 16578 4730 1 5515 2884 1 3390 214 1 6892 1266 2 14722 2715 2 14748 6252 1 10514 1054 1 121 5273 7 12071 5351 1 6682 1718 2 7550 6587 3 16011 2724 2 9365 8178 1 10103 3283 1 15567 1660 3 2204 1278 1 4389 3410 1 11598 1322 1 13631 229 1 17073 3180 1 14390 1573 5 20107 1695 1 12491 3653 2 20197 532 2 13676 220 8 14758 766 1 8255 2127 2 12789 6779 2 7416 3512 10 11188 4603 1 18410 6273 20 19504 4407 1 18860 1742 1 1726 702 1 7553 2729 1 12622 2521 5 1668 7235 2 7568 7618 1 4779 1747 1 633 8156 1 3542 7719 10 16864 534 1 18615 1908 1 15642 3233 1 4971 3464 15 914 834 1 8378 6404 2 6855 5310 1 8947 336 1 2652 7349 2 4960 2353 9 18939 203 1 14075 8200 8 16137 1234 1 9638 7484 3 20139 4454 1 18375 2384 1 7363 2355 2 4561 134 12 4003 2144 1 15608 162 2 7322 4047 1 7940 3464 1 1632 5347 1 19724 552 1 17141 656 1 7780 207 1 12826 3032 1 4095 1663 1 17290 3480 1 19568 1275 2 289 6064 1 17847 5852 1 9024 206 2 13104 203 5 18457 1761 6 542 4019 8 17809 8066 1 6700 8029 5 15856 3057 3 17078 5051 5 13097 231 2 2432 5783 3 470 82 4 11267 8184 2 1745 2935 6 6533 2134 1 9245 3081 1 6163 3071 2 13865 1247 2 477 1715 4 15530 1721 1 6539 2958 1 11849 3587 1 943 1498 38 7165 1610 2 10846 855 1 13084 510 1 16090 1587 1 18565 7527 1 14532 409 6 13228 3643 1 17279 4803 24 7787 8126 1 2212 6355 1 12423 4796 1 4359 4998 10 16071 6107 1 5252 1705 1 9585 3113 1 12337 6670 1 14632 512 2 15154 214 1 6104 3262 4 683 1940 35 13619 6415 2 8684 7229 1 16819 7616 3 13305 2698 1 4861 5051 2 17096 4963 1 6588 8160 2 18244 498 3 6610 2016 1 14197 995 78 7162 1253 2 16048 6655 1 5408 6682 1 11533 5327 1 10525 215 5 9457 7719 2 7034 3479 1 13705 1995 7 8410 6487 1 15751 207 5 14017 3715 1 14196 4506 5 8865 8141 1 4625 6183 1 13187 6081 1 9545 4451 1 1983 1705 2 16995 3007 1 13813 1897 1 13517 1247 2 17960 2419 1 2349 4435 1 4282 944 1 1150 6100 1 12749 5052 10 18895 7408 1 16520 4086 1 17032 2897 1 8409 4310 6 19503 5905 1 12406 1758 1 7314 2676 12 15472 541 1 13743 1464 1 5695 1253 7 20191 954 1 954 7705 1 9595 2029 2 5464 5294 2 18043 371 1 18226 964 1 7196 4956 3 20000 5387 3 10855 1290 2 1355 1770 1 7945 5874 1 16878 1710 15 12815 4411 7 453 4411 11 11285 6703 1 11615 201 20 15284 308 1 917 4909 1 4683 3233 1 15220 4351 1 11755 1657 1 4074 6341 5 3929 6343 12 15678 578 1 5047 4983 3 3314 2258 4 499 411 7 10313 2508 18 14394 589 1 12451 1703 1 5515 2228 2 6723 7596 4 18193 1904 3 15943 5252 1 11 379 1 309 1072 15 1861 1724 3 452 5325 1 17092 252 1 11450 2167 1 427 525 1 19438 524 1 13 850 4 17332 3220 1 13922 5018 1 11165 6257 1 1625 3052 1 3044 348 1 7706 1738 2 16570 5327 1 4498 6785 1 6601 23 12 4973 2885 2 19160 219 6 11567 2675 5 10022 4612 1 7823 1779 1 5900 3625 5 5058 7122 1 14336 411 8 12685 638 3 4689 665 1 3962 1247 1 13460 2591 4 5588 6680 1 11192 4288 2 18864 3899 2 3179 206 2 13700 3373 2 19069 7859 1 6412 524 1 11473 1184 4 13670 5968 1 8083 3333 3 7241 1257 12 1322 3671 1 15139 6252 2 3468 234 2 14622 1686 6 3283 1827 4 15743 1825 1 14232 3203 6 11938 1710 2 11677 1406 1 2762 1677 4 5550 1508 9 6415 1768 1 8 227 2 3189 6883 2 16645 514 2 19246 3422 2 17809 201 4 658 7915 8 7916 200 20 17337 5686 1 8831 841 2 153 6978 1 4668 5524 1 13857 5437 1 14522 1778 2 6215 4983 1 2739 88 1 9374 1243 2 4579 3556 1 1677 6355 1 5088 1236 1 4475 1109 1 10619 4938 5 6913 3602 30 610 2980 1 7197 4436 55 8591 1762 1 11937 8099 1 2498 678 1 16346 374 5 6228 243 1 15307 3416 1 6105 937 1 13560 6776 8 12007 6546 1 694 4292 4 18656 710 2 576 1776 1 10721 397 3 17870 1975 4 17377 7988 1 12437 8095 2 2980 4680 1 11629 3702 3 124 5484 1 13852 6727 2 20145 631 7 64 521 2 19000 385 1 2795 2591 1 16530 503 5 18326 3919 2 5831 7408 1 3893 6231 1 7920 7895 1 4165 5319 1 95 4354 1 3593 3076 1 1182 401 1 15849 4675 3 11999 867 1 12809 2651 1 14173 6341 5 7184 1705 1 19461 2132 2 2103 220 3 6515 524 1 8878 876 1 9296 5686 1 13358 5041 1 6503 755 3 16726 5736 1 15661 2 4 18548 709 1 4631 6241 3 4991 519 8 5003 845 2 13821 5071 1 8643 618 1 5615 924 1 20180 558 1 4050 367 1 6470 1237 2 10591 571 6 16632 3509 7 5249 1356 10 5829 5996 1 1034 7717 1 888 1573 1 10985 5349 2 11769 3576 1 19999 4361 7 9054 2343 1 5972 5398 1 11354 184 3 14905 1244 2 8198 5712 1 3247 517 2 5266 945 5 2947 1599 1 7588 3494 6 9138 411 6 14229 221 2 7215 676 5 14947 706 1 15947 4199 1 2271 4207 1 17124 1007 2 5433 3535 5 14163 6229 1 11889 4963 3 1082 1453 2 10902 5256 2 17079 1054 1 7308 4636 2 18289 3684 1 19491 225 1 8356 221 2 527 148 4 4050 1764 1 2284 2356 1 18111 1722 1 2029 411 40 19779 869 1 19237 7807 1 19649 1380 1 14022 3899 1 1866 6719 7 72 3346 1 4498 1078 5 164 7486 1 2985 738 1 15549 219 11 17140 2284 4 18320 1737 1 9146 2057 1 6634 4086 1 19669 5531 1 15945 7497 1 4223 4020 1 6314 2118 1 2155 1421 1 9362 2676 1 15600 843 1 12712 1241 1 17291 1764 3 19872 6502 1 4446 5294 25 2680 6139 1 6641 1751 1 9909 5853 1 16945 673 1 9835 4952 1 3797 2169 8 4811 244 1 14247 1658 1 307 1044 1 4690 191 5 18207 1755 4 8629 8042 2 8632 453 1 9808 7503 2 15083 1304 1 19270 7808 4 6890 4403 2 13925 1732 1 16857 1872 1 8133 690 1 4380 3540 6 17767 7719 1 18689 1732 4 13358 8183 2 11430 1357 1 3915 2356 1 19193 3338 11 13909 519 4 7128 2331 1 15329 5923 1 9141 4614 1 2754 3311 1 2894 6164 1 121 5313 4 17477 244 1 2198 1990 6 10764 3579 5 11766 910 1 11404 1835 1 153 6038 2 6478 501 2 642 219 5 4614 7672 1 17877 5446 1 455 6628 1 20088 4528 5 1145 222 1 17254 508 1 1212 2013 1 15206 4554 2 19246 5165 1 10502 834 1 4561 6021 1 4785 229 2 4355 153 4 5992 3536 1 1506 2363 1 17173 3617 2 7958 35 1 20032 780 1 14618 1664 2 15648 378 1 14504 2555 1 19326 6625 1 18069 2109 2 12619 1193 5 6440 193 1 326 1535 1 8730 946 1 18070 1719 7 9525 502 5 9450 2354 3 8746 7701 1 15121 203 5 772 2407 1 14692 518 2 1838 6207 1 2829 763 2 1638 5066 1 10587 3726 1 15932 566 1 4508 6581 1 12625 1244 4 5379 2948 1 15846 156 16 12591 200 5 15472 7734 1 3286 7509 16 14471 5997 2 3177 1748 8 5095 952 4 3763 6801 1 10554 796 1 10842 3256 34 1028 2955 1 19867 1278 2 2380 6777 1 15683 382 3 19193 1769 1 17654 3972 4 8934 5903 1 19989 2582 1 834 3693 5 15465 3980 3 9577 2760 5 9969 7034 1 10728 81 9 7287 3236 1 6304 5499 15 15615 1762 1 5963 1357 4 11010 5097 1 11387 3972 1 6647 6299 3 17616 3494 20 16692 2246 1 8560 6719 4 2629 23 4 17663 2261 1 9195 4944 1 6348 585 1 430 6743 1 8965 525 2 9026 197 3 13033 2855 1 14073 545 1 11644 6656 2 10362 1760 1 5738 7351 14 14760 6006 3 9083 203 63 16792 1234 1 8458 207 8 12262 2691 2 2413 1855 2 10868 214 3 916 186 2 8674 5737 3 13923 196 13 4 143 11 1045 222 2 16895 173 3 13058 4606 1 737 395 1 15263 200 10 4593 814 1 10522 2737 2 10730 411 5 17973 7677 9 18705 1762 1 2879 6193 3 2319 2834 5 19480 7345 1 2902 303 1 15025 1657 1 173 7229 1 1092 510 1 14578 1248 3 10354 4615 1 18887 1359 2 18534 4555 3 11727 2964 1 13052 1334 2 1582 7486 2 5631 3697 1 17455 1203 1 3490 411 2 5424 4102 1 15993 2478 1 62 2925 1 16650 449 1 12566 6394 1 15935 5879 1 6488 2175 2 7670 4156 2 10799 3164 2 5513 3920 3 15587 4528 1 10146 528 1 17001 3152 1 19760 1249 3 15261 3671 2 16625 1827 45 3106 201 2 19273 5266 1 12592 1399 1 18071 2918 1 18792 880 2 5938 46 4 3705 5686 8 2293 3651 3 16043 3233 1 1745 3227 1 2962 6698 1 12789 3798 1 15404 638 1 166 7544 1 2576 6179 2 628 5339 4 18568 2710 5 10534 508 2 17163 7787 2 8015 6031 2 14047 6632 3 5428 2257 1 11381 2344 2 2253 5315 2 1141 3979 1 15885 4727 1 3043 1245 1 9836 4578 1 14128 5136 1 3014 1764 1 4183 3417 1 7186 3432 3 14221 1131 1 15356 506 6 14023 186 4 7136 4560 1 140 6448 1 7708 425 1 14522 3081 1 9935 1704 1 18281 3285 2 13045 500 5 11028 1464 2 13468 5522 1 9129 57 1 1036 479 2 4621 4586 1 15397 532 7 334 644 11 4592 6531 2 13031 215 6 19297 4796 1 19120 1717 10 10821 3596 1 12377 7611 1 9374 1779 1 18413 8044 4 201 1686 3 15220 891 1 17010 6442 1 10203 3088 1 15164 545 1 14970 411 1 12444 1755 1 9802 1244 2 11072 3764 2 1683 7978 2 6969 2363 4 5949 2027 2 14059 2009 1 3037 1743 1 5917 5130 2 6095 5468 1 7532 2565 1 18234 200 1 2886 707 1 15608 1007 1 18481 2555 1 1852 372 3 3093 2964 5 5737 3686 1 716 205 1 16787 3145 31 17809 232 4 13065 3604 2 4552 1103 1 13461 2488 1 544 1819 1 7435 73 2 6401 215 4 7427 135 3 788 186 2 2493 1374 2 13919 881 1 18607 5325 1 8374 2646 1 17159 7748 1 5352 1986 1 2244 3483 1 16268 2676 1 5458 6780 1 6801 5871 1 3636 3775 1 954 1660 2 16673 536 1 1598 11 1 4160 3512 1 774 3999 3 15102 2649 1 9763 6591 1 14298 1691 2 2646 5506 1 8166 232 2 6410 1338 3 13126 561 1 7464 7222 6 15529 2058 1 12352 2825 1 12603 5133 1 14883 1561 2 7858 5531 1 7706 1778 1 8153 687 2 20219 1779 3 11912 1458 1 14079 6185 10 12361 6165 1 18696 514 3 3581 1631 3 679 4303 1 16776 3512 1 16354 6278 7 1774 2827 4 160 7318 2 4992 220 1 10670 4029 1 12291 545 1 5741 6704 6 16509 4089 2 9604 2899 3 7087 3163 1 8220 6899 3 18158 1104 1 2646 4196 1 11607 229 2 5424 3089 1 4921 1705 1 15180 292 1 13865 512 1 12505 1662 1 8557 4005 15 1823 1721 4 5078 2675 1 31 1760 1 4161 5016 2 745 7840 4 10145 675 1 90 4062 1 16240 1648 1 19064 2609 1 13126 874 1 7820 6557 1 8462 1474 5 3416 5804 4 16802 7222 1 16810 766 1 17652 7466 1 6752 847 1 8735 3622 2 6111 5120 1 2204 925 1 1443 203 1 15011 8235 1 4247 1731 2 124 5473 1 4898 1825 16 2332 1720 1 17182 346 1 20182 2508 1 6463 1312 2 8581 534 3 6776 6430 7 19766 7489 2 2269 6278 1 19851 8156 2 13690 23 2 11502 6056 1 8443 7797 2 5686 865 1 110 1761 1 10281 203 6 16109 1743 4 822 3364 1 124 5502 1 4055 535 1 3610 1482 1 18438 3895 1 1191 3088 6 9947 819 1 18106 7231 1 17 78 1 14211 3679 6 19730 1319 1 1878 3970 12 1801 1032 1 10692 344 1 7663 2367 5 460 206 6 11523 880 3 17880 23 1 18270 225 2 17999 2671 1 10396 3450 1 3695 916 1 1798 3329 1 2959 545 1 2423 2514 1 12469 6680 1 16331 203 24 3551 1729 1 12817 3511 1 15805 1539 1 7780 5018 3 9803 2355 4 17475 2959 39 14532 3697 3 19371 252 8 7910 1642 1 20148 2006 1 18887 206 2 7065 96 1 20128 3725 1 16509 2600 5 6883 2111 3 14772 6289 1 10014 4998 2 10570 200 1 12413 1095 2 4648 411 1 18707 4563 1 16736 6505 1 15235 6341 1 12394 1717 5 8083 3729 3 14140 2980 1 6526 5538 1 6711 6342 1 4149 3117 2 11786 233 4 2724 1474 1 12328 5376 1 16862 3021 1 13733 1990 1 19509 1698 1 7142 1827 5 7797 2480 1 5449 5584 1 14211 8195 3 6577 512 1 13250 4245 1 7868 7018 1 2172 1825 1 4689 4245 1 17634 4395 5 10692 759 1 2951 1245 1 19864 1244 1 3426 1342 1 8585 3594 1 543 1727 1 7780 1352 1 12272 518 1 18944 2333 4 10171 8170 1 4180 763 1 13065 1464 4 6457 3058 3 15680 5820 2 4572 244 10 16457 1819 1 2023 1357 1 6811 2569 11 801 1771 4 9492 4992 2 13705 7850 6 9257 1751 2 14988 6245 1 17215 5737 2 3888 214 1 8439 1234 1 19637 4657 1 4092 3511 7 3822 1331 1 16844 7410 2 16797 1965 1 6790 7719 6 2961 23 4 13091 2734 1 19509 6341 2 2583 230 1 2081 6992 1 14741 6649 4 12574 1743 4 12552 3219 2 1530 7091 1 35 1897 1 10807 390 4 16522 7769 1 611 4600 3 5848 871 1 73 3370 1 11567 6776 1 11751 201 1 9421 6140 1 5738 5330 23 3768 229 1 8311 207 4 349 6434 5 11533 584 1 525 3827 1 17675 8175 1 1935 1531 1 3380 1776 3 15896 4245 2 14897 1969 1 5052 2163 2 524 3283 1 10690 236 1 19094 4789 1 10746 5879 3 11742 235 1 3012 1244 2 14845 1473 1 17143 602 1 16328 201 12 13503 644 8 12141 4000 1 16254 3109 1 18407 3590 2 6839 411 1 19060 7484 1 9310 13 2 2274 755 1 10730 1342 3 3248 6434 1 1009 2172 3 5076 1193 2 10573 6183 8 10010 23 9 11933 1756 1 6525 1235 2 7482 1395 10 11918 322 3 2745 2827 1 8218 533 2 3003 2737 2 19282 3219 2 9565 203 1 1994 222 4 1688 3192 3 5158 933 1 11595 7266 1 5518 187 1 18447 2149 1 7099 2009 1 13216 8251 4 11507 175 1 7057 1280 4 12766 600 1 4205 3399 1 16108 1712 1 5957 335 2 3963 3400 1 18693 3206 1 143 3431 2 11993 6066 1 7625 5368 1 8934 3533 3 13035 3323 1 1824 4673 1 19137 2639 1 15508 6682 1 9674 4012 1 11678 436 2 17249 891 4 10695 541 9 13909 5393 1 6473 13 4 8410 3755 4 7820 1921 1 14658 1698 1 12152 3382 1 7241 3748 10 14318 7450 1 4627 3190 1 20189 451 1 7157 4204 1 11336 5467 3 17576 2675 3 8956 4972 26 1019 5086 1 15229 2743 1 7287 169 2 7445 3070 1 8719 379 1 12384 206 31 15159 1063 3 14042 4589 9 2857 7525 1 18413 1748 9 7977 1379 1 9933 1727 22 7359 495 1 19638 6878 1 9566 1244 1 7987 197 2 13405 3954 1 11448 2316 1 6459 8183 2 19590 8135 1 5579 1248 2 7994 8127 1 3759 5606 1 4165 5258 2 4822 4655 5 12350 201 1 2202 2097 5 8830 201 3 9928 1251 1 19848 1638 1 9628 741 1 1 26 1 10442 1085 1 16869 1804 4 19009 2821 2 15107 6288 1 4592 6159 1 19797 1829 1 6907 349 1 10937 2639 1 413 1453 2 3529 3216 1 12299 8243 1 4731 5758 1 19137 5305 1 10930 3175 1 19486 7769 1 14096 3854 5 14722 1247 11 1585 244 1 290 6170 22 10161 292 1 5637 1363 2 14052 6897 2 9027 1243 2 15051 1825 1 11835 6609 2 5994 2747 1 13705 499 2 15364 390 1 6592 644 1 11562 7210 1 10862 164 1 7682 648 1 16467 1757 1 13328 5430 1 6130 945 1 15376 206 5 13919 4237 1 3083 3540 37 270 1781 1 4954 3414 1 7536 1741 2 1986 206 1 13508 3170 15 12795 11 2 6536 235 1 8665 2877 1 13267 1827 13 10461 662 1 10052 8025 15 15229 2383 2 16897 6713 1 18462 4041 1 547 1986 2 20114 1295 1 5596 863 2 14908 3939 1 6449 3113 1 1238 2555 2 12428 2216 38 6840 3634 1 11179 2958 1 4305 3419 1 1530 3056 14 8287 7859 4 6592 792 13 17141 4085 1 5132 6561 1 19331 229 3 8499 1762 4 4234 5349 4 13001 169 7 6801 4387 1 9645 46 1 8975 1763 3 4570 6226 1 9463 6434 1 13688 8117 1 7589 7222 1 20056 4526 3 19168 943 1 8384 225 1 453 2151 20 3256 4015 2 3109 8158 1 15844 682 1 791 6561 1 8890 2760 2 4960 926 32 1491 7604 1 2274 903 1 4572 5309 1 14184 1825 2 17371 6946 4 15975 223 2 8082 926 1 2885 244 1 10187 719 12 15104 3512 8 9930 2671 1 10449 1909 16 6686 5829 1 10041 201 1 19490 6268 1 18508 637 1 10855 5967 1 10879 2363 1 15300 1000 2 16055 190 1 5850 7200 1 2611 5995 1 17112 3689 6 10824 4986 6 9264 2360 1 11194 1250 1 16232 223 5 2090 874 1 1237 2336 4 13302 2356 1 107 4766 1 5218 1726 1 14010 943 1 3548 7692 1 11445 7250 2 9446 5986 1 16578 3697 2 3960 1760 3 5108 2908 5 19364 497 2 8121 190 2 6322 6640 5 18413 6692 4 6089 6457 9 10869 214 3 2749 3227 1 18939 7719 7 7357 3697 5 10653 1145 5 7056 4306 1 16346 882 3 13995 4818 3 5684 505 1 899 228 1 3570 1003 9 4535 1827 6 6793 1907 3 1191 220 13 659 7184 1 4309 490 1 9350 4628 2 16238 203 2 16227 164 1 16968 7319 13 16459 1774 1 6867 5318 2 121 557 1 10219 6031 1 9479 7079 1 14599 852 1 2905 3287 1 4159 4554 1 1206 4884 1 7000 763 1 2008 825 1 488 203 1 19056 6945 1 9170 215 1 8793 762 4 4374 1399 4 3923 682 15 2055 1417 2 14660 190 4 11239 7450 1 3376 7525 1 16063 2344 1 13370 2767 2 3763 1342 2 8425 8194 22 15192 3769 1 4688 784 3 4305 6054 1 13046 525 1 6016 6542 1 832 1685 7 3309 1792 1 18463 223 1 17742 681 3 1433 3135 1 18193 6053 7 952 7455 1 16240 4628 1 16645 3619 7 13400 1363 9 7475 5018 20 14758 3798 1 19075 1237 2 611 1994 1 16457 2016 3 14926 1384 9 3340 1439 1 126 5641 1 7612 3576 1 1229 1230 1 19160 2555 1 13906 3309 6 9325 2677 1 7650 1789 17 11313 5674 1 15016 5175 1 8913 2637 1 19590 470 5 14428 1988 6 11411 1814 2 1538 23 2 2127 366 1 18440 5419 5 6160 4266 1 6907 1022 1 6473 6152 2 8706 1095 2 3594 1718 2 1409 2644 4 4316 1443 2 11158 4534 2 8821 7201 1 1019 5026 1 130 2342 1 8885 2863 1 12934 3834 1 16174 10 3 143 6514 1 14525 5259 35 8762 203 1 6811 3206 1 16117 1249 3 11064 7530 53 3240 7257 1 49 2481 1 3936 3556 14 8200 219 1 15396 4992 1 6446 8207 4 13201 200 1 16767 1819 1 4805 5914 1 9886 1219 1 18373 1703 1 5294 156 1 13758 3140 1 8793 685 2 11098 519 3 7455 2489 1 3134 1991 1 591 1239 1 13785 2662 37 1276 3516 1 5653 8139 3 4055 1535 2 10720 1474 1 11820 6590 1 17932 6138 4 3755 156 1 15011 7725 1 11015 8247 3 11634 1967 3 1041 214 1 7390 3724 2 15128 6683 12 19568 252 1 4015 3685 24 8920 4800 1 9762 4367 5 4263 4591 6 13 613 1 5578 5325 1 13624 5249 1 3146 1627 1 12484 3626 1 19334 1247 2 19182 262 1 11955 891 1 9387 8191 10 7423 6404 1 9141 532 2 8205 1991 1 15294 3206 1 2508 2945 1 10249 316 1 2359 8247 1 9157 206 1 6125 1296 1 12502 215 1 19204 2647 1 7556 1770 2 9494 1296 2 5088 225 1 8767 3525 1 12053 1825 2 2094 1768 5 4851 4995 1 19990 1752 1 17740 1769 40 9722 541 3 19050 2392 4 31 1737 3 1999 350 2 1614 982 1 2729 792 3 2813 1021 1 3094 6436 2 14162 458 2 15061 3741 1 6063 2662 1 19718 184 1 2197 3012 1 4861 3693 2 9639 1240 2 4092 824 1 10213 1747 1 20130 1464 2 1064 6702 3 4095 3922 1 2803 4304 1 3484 2464 4 20090 416 1 6191 914 1 14733 1824 2 3000 7397 3 873 3484 2 1881 4622 1 15873 7206 96 13498 3671 6 6509 3629 2 4042 3442 1 12057 1395 1 14837 3135 2 5246 5257 5 18040 529 1 18375 7511 3 20238 2693 156 6712 794 1 13088 1518 1 15932 1642 1 1337 5922 2 6644 5905 1 7452 737 3 13 659 8 56 2672 2 7498 2410 1 7450 1819 2 15409 4916 1 13262 243 1 3355 6288 1 19568 3770 1 10852 3962 1 19355 206 1 7250 220 1 16901 1819 1 10350 2675 16 4662 6135 2 7046 7085 2 16847 2966 1 1511 2640 9 873 7029 1 10916 899 1 1318 3639 2 13643 767 1 18887 220 3 13827 1784 2 15890 1070 3 14522 1764 1 15905 3114 3 4213 1872 1 14008 3298 1 12766 5267 1 3355 6663 1 2243 6053 2 10525 1237 3 12695 1762 1 5281 6633 1 3358 3573 4 14233 3979 2 13647 7446 1 1091 8145 19 17401 1211 5 3963 3592 1 14421 1250 1 14599 847 1 9501 1728 6 1074 3526 1 7000 4187 1 9790 3239 2 13065 1727 2 10192 771 11 77 3524 8 4970 690 1 172 7839 1 6039 4288 1 4603 1701 2 11587 191 6 6091 3061 1 11494 4355 3 3303 3535 1 7128 3670 1 13328 2419 1 12954 1416 1 18608 2349 1 7359 519 3 2752 521 1 3061 1271 3 6709 599 1 11671 2791 1 171 7799 3 14007 1829 1 12723 3910 5 4030 6585 1 3081 792 2 13922 3492 2 14384 2675 1 20059 3230 1 12055 967 1 16777 4403 1 7684 6711 7 5440 3333 1 13329 863 1 17694 5142 1 16790 903 1 15940 812 3 5478 5654 1 6352 3511 25 12989 202 1 2610 1244 3 13614 6259 3 9451 7410 2 17877 2345 1 8473 1761 2 18329 682 1 10604 6954 1 12711 721 1 11585 303 1 8470 3457 2 19472 819 1 19871 6769 3 4018 1903 6 4822 7233 6 10847 698 1 4009 2875 1 5625 1727 1 18122 1717 1 12829 6880 1 11357 1243 1 13537 547 1 8440 1726 2 13412 1184 1 803 1234 2 16397 722 1 11033 4723 4 12252 2686 1 171 7633 2 16881 4022 1 365 3487 1 19336 3414 1 16312 2056 1 1206 5157 3 13302 520 1 16501 809 3 17803 3519 1 19776 6382 1 6460 6566 2 8930 1399 5 13788 7342 1 4435 3603 3 18787 1402 1 9659 6470 2 3978 5056 1 20062 1441 3 13 828 2 13645 4589 4 15924 213 17 13747 218 10 7065 4591 1 6158 225 6 15083 3367 1 4092 2572 1 12757 1247 2 5737 7895 4 15234 2640 1 2870 4096 2 13490 577 2 15025 4636 2 19369 1681 1 2395 819 1 3167 2876 2 17088 201 2 14883 1739 5 140 6378 1 2087 6059 1 1422 3761 1 10019 937 21 5617 2011 1 16183 1062 15 14843 223 65 582 770 1 10923 227 9 9188 733 1 19518 1728 2 15360 2635 4 12133 3558 5 5246 1302 5 373 6192 1 17152 514 2 17446 4868 7 3718 1768 5 6852 6207 5 174 3216 1 6064 4741 1 11562 2322 1 11880 3884 3 19737 3892 7 7476 589 1 19957 1757 3 2886 796 1 4705 4582 1 12821 7735 1 13364 22 1 1439 1423 1 14849 216 3 8978 1356 1 2674 3945 1 736 2653 7 924 1595 4 20 308 1 5433 3113 1 784 670 1 5738 4663 1 8329 809 1 6630 2796 1 17019 562 1 12078 3698 9 8250 3063 4 87 952 1 18669 220 8 14917 1344 1 11014 200 29 3759 6251 1 15117 880 2 20054 5550 4 18706 533 12 18563 1359 1 1866 3907 9 457 6106 1 14691 1247 1 177 8152 1 19211 5267 1 124 5464 1 5644 234 1 13329 1726 3 15948 207 56 10242 220 3 15673 13 1 2267 2027 11 10078 2176 1 297 1703 1 13672 6697 1 16636 4245 6 8082 4248 1 13971 3074 15 5999 7127 1 2674 1164 1 14053 225 1 40 2113 1 3413 2269 1 5023 3301 1 15092 6259 1 15025 6350 1 11410 1967 12 14622 411 2 4163 793 1 8297 1732 1 17805 6816 2 11933 5996 1 11740 1356 2 133 6043 6 14700 1395 1 12811 274 3 70 222 1 5863 4246 1 3029 3515 3 3544 4403 1 8534 5531 1 13873 2109 1 15782 2619 1 19578 831 1 17382 2065 2 11165 23 1 17658 23 8 10996 6623 2 9055 1612 1 2 105 2 20248 6554 1 4130 3956 1 15828 3006 1 12386 995 1 8757 7422 1 12204 3592 1 7211 6295 1 18042 244 1 31 232 7 1969 3987 1 9050 4447 1 3617 7244 2 16184 4707 2 6247 4262 1 2061 6710 5 19143 652 2 8891 214 6 4117 1081 1 10357 7466 2 19401 3156 3 8192 229 1 9317 2251 1 14516 2510 1 180 4435 6 7509 215 7 11092 3701 4 11367 1870 1 14244 996 1 13995 2352 11 17083 1245 1 16874 6241 1 16816 1168 2 5809 4400 1 14208 3745 2 11900 6091 2 7910 6180 1 611 505 1 8008 5607 4 10051 2636 1 4229 1757 6 15535 6288 1 10380 340 5 5424 7779 3 7603 7014 1 15710 1945 3 17220 676 11 15313 3444 1 8934 225 5 8532 510 2 15411 2666 1 17781 6005 2 2615 34 1 8969 3911 12 14416 6383 1 5938 6602 1 14415 761 1 18705 1784 1 16278 7333 1 3826 874 1 16726 214 1 6545 6059 1 19901 501 4 5920 411 2 19348 222 1 2925 329 1 5155 7397 1 121 5308 8 14629 2515 1 1551 6427 2 16923 6706 13 20180 3583 1 10766 1959 7 14951 3605 1 1324 1555 2 7261 222 13 3326 6663 9 3313 6943 1 11 439 2 6090 318 3 11196 719 1 15155 1889 1 2641 2427 1 13708 718 1 9071 7180 1 5113 3601 1 18711 644 1 15307 666 1 17011 5090 1 10869 3175 3 4330 1747 1 15888 467 13 6913 3224 1 17494 507 1 9188 709 1 1265 461 1 15068 3512 5 874 221 7 4868 1775 1 3258 1737 1 18581 6597 4 8250 7731 2 6595 1703 2 14566 4606 1 3358 8083 1 4629 6632 1 2890 670 1 14290 4043 1 10342 95 1 525 366 2 17224 220 1 1405 5978 1 17168 1770 3 12662 995 27 8031 1305 1 18528 3492 3 16086 4601 16 12538 7164 2 19489 206 2 16674 370 1 11182 3206 1 11052 423 1 4525 303 5 8653 882 1 8408 1251 1 12777 3870 1 251 1147 2 16054 1748 13 15782 1595 2 6141 6046 1 5968 1252 1 157 7205 1 14415 867 2 143 6655 4 9978 2517 1 11952 3647 4 7022 5009 1 5946 1342 1 14722 3203 6 5421 4532 2 17434 863 11 11471 516 1 5629 2002 1 8322 3231 2 12053 6330 3 14446 525 1 11912 1373 2 16310 3530 1 15355 2693 1 17199 2649 1 13512 2352 1 174 8102 1 16473 378 1 8656 4996 1 4050 532 2 17640 3426 6 9433 1556 1 1414 194 1 10692 177 2 4495 7141 5 15278 2636 18 10062 4967 18 17065 411 1 3505 5852 1 416 7381 8 11964 184 2 16547 1363 2 16909 242 22 724 197 1 13098 1573 13 7455 2491 1 10267 219 10 16145 6150 1 19559 4232 1 160 7346 2 14638 411 6 18790 3670 1 2580 1369 3 7194 6320 6 8130 5704 1 12619 3540 3 9492 5758 1 11495 2102 2 2973 2013 5 515 3667 1 13216 4796 1 14861 4428 4 15025 530 1 3569 7857 3 7734 8194 1 16117 2677 1 15937 498 4 8519 200 4 18524 7658 1 6841 3615 1 4960 7433 3 787 3916 1 4527 7466 3 7643 846 4 10657 2646 2 10626 5586 1 19458 7671 1 11581 6415 1 10353 1699 1 4499 525 1 868 519 6 13412 2268 8 479 6159 5 14275 1464 1 4092 5952 2 83 3808 2 11435 761 1 6070 6677 1 3238 318 2 14839 545 1 15750 316 1 15056 936 6 14079 1758 1 1206 4591 2 12562 1263 2 9631 1399 1 15923 3069 2 10677 7240 3 164 7517 1 11251 5902 1 14474 3333 1 5148 7244 2 14753 4746 1 9826 1756 3 7827 2320 1 4471 1296 6 9966 1745 5 12315 167 1 18785 225 1 11585 910 9 923 831 1 7899 2727 1 9073 4884 1 6341 7105 3 3726 2106 5 17897 1695 2 13411 23 2 11769 1307 4 3362 6150 1 10797 23 1 9145 4804 2 7286 7149 1 13429 864 1 791 6629 2 16696 891 1 5671 2571 1 9160 3980 1 7681 1253 8 6821 520 4 14416 1276 1 13132 799 1 11190 2889 1 15364 3700 1 15670 7491 2 3281 1686 1 4345 4379 7 3571 6091 1 20022 816 1 4758 215 7 16530 4572 6 8128 3333 1 11926 7576 1 13455 2273 1 15940 5270 1 11844 1756 3 18074 6053 2 2152 5162 1 17079 5253 1 10102 4727 10 1999 4306 6 12004 7624 1 4349 2549 2 12475 1464 1 5929 2419 2 9968 1356 1 3024 6672 1 19578 2646 1 2596 5503 1 13253 6059 3 7498 252 2 19511 1724 1 6187 851 1 12244 1244 1 12088 1982 1 13512 1247 4 1165 4199 1 15149 5520 1 3109 7518 2 3825 2976 1 17487 760 1 19982 3175 3 8093 7848 1 12922 1251 1 17548 730 1 557 7470 1 13461 4992 1 10203 1660 1 14255 397 1 11010 5574 6 11689 220 3 8884 3556 1 5298 3351 1 6125 1251 1 16308 3588 2 17706 1737 1 9168 1342 1 19719 1825 17 8171 1482 2 1384 3883 1 13922 196 2 4019 3255 1 17682 2683 1 16873 4257 1 2635 7249 1 6114 579 1 7926 1926 3 14094 7245 7 10495 3172 1 18518 3619 4 16227 1737 2 7046 7525 1 17011 498 4 17429 6754 3 4554 2698 1 6688 1277 1 10999 5327 1 9793 175 5 10740 236 3 17917 4015 2 5738 596 5 2069 8008 1 9281 1396 2 5648 596 1 9284 2951 2 17753 1638 1 20017 4304 1 6611 3323 1 13238 1307 1 4688 917 2 416 3452 30 124 5572 1 14696 235 1 19776 4498 1 17992 1726 1 19131 706 1 3337 1324 1 18635 638 2 10158 3138 1 9021 7234 1 17375 943 3 12918 1707 1 5312 1778 1 130 5900 1 2011 1245 1 2442 1275 1 17734 939 1 14162 2786 2 4481 203 1 6068 5999 9 9531 2534 3 6570 4803 1 391 2935 1 4076 231 7 17202 1990 1 13917 5971 2 4060 1625 2 410 221 2 6642 84 3 413 7949 1 14944 1781 1 12775 7817 1 19724 2555 2 1714 201 1 2226 1719 6 8337 900 1 6683 7641 1 3357 6874 1 10542 4366 1 7369 3895 1 929 7419 1 7767 220 1 11314 863 1 13856 4621 1 3362 35 1 9104 4427 3 1682 3967 1 11601 5036 65 35 1933 1 1466 2692 1 13792 7831 1 13461 229 3 5257 2493 1 2152 8154 1 17700 5020 3 20263 3011 1 1857 561 1 10488 1703 1 1888 1112 1 9877 534 7 2844 3431 1 13 227 2 12777 6418 3 12281 23 3 1551 1755 1 14996 3275 1 19115 1482 12 6932 6237 1 4700 6955 12 11877 1819 1 7046 7606 2 2341 1450 1 10031 2324 1 12591 506 2 1638 3151 2 18183 411 1 10988 3851 1 5213 201 1 10445 4009 1 115 5196 5 5195 215 5 6024 167 3 6912 4963 10 10399 1337 1 8015 232 1 11221 6225 2 19223 2056 1 19067 7076 1 12592 3743 1 9240 201 4 7258 7350 1 2765 3255 18 1198 519 4 8763 1276 1 13461 4623 6 710 2869 1 18084 1243 2 10404 3626 3 17738 7119 2 7251 411 20 11844 7719 5 1065 336 1 12337 6268 1 4629 221 4 4437 6692 6 11301 537 1 7991 302 1 15943 1239 1 13031 7726 1 15373 7665 1 2803 2595 1 3526 4436 2 3437 222 3 14828 6954 2 16614 52 1 9930 215 3 15858 7474 1 17176 336 1 2167 3540 1 19311 347 5 18508 4862 1 15516 184 1 15608 222 1 8884 1239 1 8709 2120 1 9604 4998 25 6617 3779 1 9836 498 1 3962 215 3 5207 878 1 9725 2488 3 17373 215 8 11529 4029 1 11848 502 1 4662 526 2 6617 3097 1 15339 1342 1 10836 1757 1 13646 4367 1 8531 3467 1 7658 505 14 171 1237 2 10948 1455 2 10856 6564 1 9811 1720 1 19822 4489 1 620 201 6 446 4929 6 18311 23 2 2345 2932 1 15687 2651 2 7884 244 1 18922 171 1 1078 8165 1 11471 1789 1 14211 2645 1 5696 1417 1 12715 222 3 3099 3980 7 7166 1819 1 1519 6144 3 2529 1249 1 13924 7379 1 2094 1657 1 17350 207 40 11254 184 2 14593 1762 2 2897 4588 1 1438 7473 5 12789 6288 1 12880 1242 2 3 127 1 988 1730 4 11545 3243 1 4678 518 1 14632 3479 2 16296 534 2 13243 1582 2 6712 209 5 7884 225 1 12406 1748 1 14275 214 3 13175 7440 1 13699 252 1 9342 883 1 16651 1699 1 460 1757 1 14385 2938 3 19751 7400 2 1361 3388 3 18071 3266 4 9655 5565 1 4081 2534 2 13490 3050 3 7943 520 2 14620 3119 3 6697 2350 3 83 3760 12 332 554 1 12328 3364 1 13609 1761 1 14037 5115 1 50 2495 1 2101 2150 5 2673 1790 2 1741 6640 1 5449 568 1 11623 514 2 14532 1732 4 13445 233 1 351 477 2 9638 3263 5 5815 1728 5 13636 6383 1 15726 1250 13 14068 4266 1 4778 753 6 10586 5052 1 6719 1674 1 19932 5398 1 10634 6295 1 14193 2789 1 14244 7185 3 19957 809 8 3673 5814 1 12190 134 2 3038 1017 1 15429 3697 1 509 221 1 5213 1721 4 14473 663 3 2803 461 5 2101 196 1 15180 1740 1 2093 3022 4 9178 156 5 3400 490 2 349 697 1 1710 1731 4 18918 1757 6 10340 520 6 3379 969 1 6307 4796 9 11898 3881 1 14226 7536 3 13375 206 10 17505 4590 8 4539 1342 1 14257 186 3 6149 197 1 13922 1719 1 3542 3648 1 5208 1251 16 13633 508 7 8709 4319 3 19946 1247 1 19655 723 1 7584 4288 3 62 2900 1 153 6963 1 7056 333 1 3655 2380 3 19857 383 1 9194 2013 1 13085 5182 1 13429 199 1 10645 235 1 2401 94 2 7882 1236 2 13193 7734 5 7129 6880 6 14476 6486 1 4009 2760 1 8183 797 1 11871 4636 4 12817 3637 1 10054 2419 1 19493 6252 1 6265 519 1 6415 1237 1 3693 6278 1 6777 1247 22 560 2364 1 15708 1990 1 9458 3062 20 106 4747 4 2939 6672 1 14248 7465 1 5866 4621 2 11208 6644 1 188 519 1 8393 1235 7 18692 5758 1 8279 1250 1 8344 4944 4 7080 1728 2 13077 5866 1 8859 4022 2 10 273 1 9824 1638 1 6193 877 1 18876 916 1 2720 4642 2 9733 7719 5 3358 6868 2 8732 303 5 4963 532 2 10245 3730 1 12573 1710 1 10604 6307 1 11509 6705 1 19415 7232 1 15471 1239 7 4332 8192 1 19136 863 1 7705 819 1 9660 2460 1 13943 1736 1 3734 12 2 15198 1164 1 7872 220 11 19331 1752 1 8789 3632 5 15162 207 10 12892 452 1 15054 2508 1 8211 219 1 13461 1769 1 12631 505 2 5795 1399 1 13437 1784 1 16527 6229 1 15364 327 1 3133 4274 1 11388 222 21 17348 4436 11 10165 674 1 5863 4711 2 1729 1037 16 13967 3205 1 10373 3894 2 12136 6053 3 8340 229 5 2760 3626 1 14645 5390 1 5610 6238 5 371 5573 2 14753 1286 1 14060 3156 7 12933 303 1 2310 714 10 14356 169 2 7739 201 1 19719 6268 4 3452 411 1 17664 2636 2 6617 6288 1 9714 2291 1 11215 4223 1 3064 33 1 8528 1374 1 1816 410 1 8299 2146 7 9797 5325 2 20120 550 2 8223 2140 15 8051 386 1 14865 6289 7 1672 1819 3 1361 843 1 11067 1424 2 8097 2552 3 6160 1685 1 19489 225 2 8464 3878 2 12817 5018 1 3663 942 1 268 2357 1 11820 2151 1 4721 410 1 20107 252 1 4764 215 1 12888 1734 4 14059 1022 2 1551 2569 1 14244 1002 1 1287 4435 2 991 2877 1 1496 466 2 3048 4213 1 17518 910 1 16113 167 1 6767 1729 6 4050 1450 1 18450 773 3 12929 2584 1 18397 1307 2 15694 5251 5 679 6288 2 12548 507 1 8732 2675 1 873 5333 1 2891 222 1 5413 1881 4 4556 3078 5 5520 6946 3 8560 3624 1 9715 253 1 4810 2749 3 8654 2883 3 18103 1728 2 6750 1147 11 18082 3023 4 91 4117 1 11872 3903 1 11111 214 5 9853 149 2 148 6723 2 20244 4132 1 6465 3429 4 10855 4156 1 15091 3009 11 1028 878 1 3164 6341 1 11183 4884 1 11282 833 1 4780 5131 6 2529 629 2 12172 1314 2 9891 2356 3 20119 1335 5 7184 201 2 9717 1160 1 11467 573 1 13455 190 1 13574 5083 7 13724 164 1 9388 2737 1 13405 491 2 19621 1612 1 3215 1740 1 18693 23 1 4709 173 1 11336 1663 2 8914 3519 1 14757 1143 2 10206 4090 3 7743 7695 1 10452 8084 1 16383 1770 1 8923 3389 2 16631 1184 11 8799 883 8 15778 880 2 1706 5270 2 10106 2626 1 1653 5324 1 14970 4795 5 3427 5960 1 8969 197 2 10102 4703 7 4493 5737 1 12893 1739 4 2813 427 1 17434 7951 1 11472 203 27 5472 2935 2 12970 5922 1 6164 5466 2 1495 1825 2 17049 3511 1 8055 3647 11 31 1242 3 14524 1400 26 13911 1783 2 9641 3685 1 7823 4366 56 10160 1686 2 11060 5573 1 4588 7965 22 420 5874 1 16002 558 1 6458 1315 2 13 727 2 13475 1062 1 10192 6714 5 6099 6374 56 13820 492 1 17733 2296 1 12009 6007 1 16314 252 1 13720 3337 8 10179 3702 112 391 1972 1 9990 6207 1 12778 1728 2 16186 2949 1 8939 2673 1 18231 1404 9 9979 200 5 95 3621 1 3110 3021 4 2698 7021 1 16090 2650 1 17392 2686 1 15712 3163 4 6812 525 2 15124 6867 1 124 5471 1 9688 248 2 748 4612 7 13770 368 3 15756 6260 1 7221 319 1 19485 1827 2 15443 200 1 13686 501 5 17572 5052 4 12337 221 2 140 6441 2 17195 6421 3 9628 275 1 10581 8139 3 6089 5099 1 12182 3852 5 121 304 1 8394 3534 1 16083 225 1 2079 852 4 17634 2330 23 675 5308 1 2529 816 1 35 1864 2 10290 184 1 5532 817 3 2041 225 1 7034 1782 16 19023 2827 1 3659 1146 7 16998 5245 3 5952 1475 3 5454 3117 5 17088 1724 6 6653 1764 26 8585 8017 1 14200 1312 3 10233 3592 4 7207 2216 1 7648 5234 1 3382 177 5 8743 4720 1 1698 6234 1 4199 7598 2 15192 4387 2 4023 2795 1 13132 665 1 6502 2355 1 16328 1319 1 9128 2736 1 13583 6027 19 14416 5320 1 3583 2769 1 16698 3232 1 15203 6484 1 15791 903 1 5790 214 1 19559 132 1 12680 1996 1 82 219 6 9319 6435 7 7970 1210 4 10394 200 24 19846 4380 1 13297 1246 14 13909 1235 1 13893 1529 5 16689 3334 1 6501 206 1 5703 535 1 2865 5792 1 16627 206 2 11295 2488 7 7147 5021 1 6460 1819 2 7413 3283 1 13972 579 2 6107 173 5 7231 1252 1 13615 1825 1 3146 3255 1 1849 8210 1 7214 4411 1 14481 1482 1 6568 5097 1 11774 4713 1 8269 575 1 9431 252 7 9715 4427 1 12663 541 1 11567 3748 1 15871 585 1 13035 8096 2 18979 4636 1 2274 1329 1 4301 200 2 11238 6687 2 13283 8141 1 834 2966 2 11502 220 1 18492 4804 1 14797 2801 2 13619 3592 13 8735 1740 2 17167 5583 3 5802 5097 5 20090 493 1 15682 3723 1 10917 201 2 4554 23 1 4442 5408 1 5505 1819 3 12501 222 1 9410 1085 1 2930 724 10 19781 4580 1 19380 1721 1 1045 1703 1 655 4589 3 12710 4972 1 6512 5895 1 5207 270 3 11572 7853 1 8097 7859 1 11388 4435 1 19351 6035 2 20191 3050 7 8381 206 9 19759 5903 1 16464 1243 8 7586 865 1 222 620 1 9433 1732 1 19085 2885 1 2449 1309 5 20114 6588 1 19342 1715 1 16509 4075 1 18071 7018 1 12306 339 1 9445 1729 1 9021 7850 10 6191 2058 1 2390 2922 2 17410 1908 1 10502 233 1 14244 1999 1 14758 2508 2 10584 1234 17 3376 220 5 17258 1825 1 4681 5618 1 59 605 1 19807 70 7 9645 863 4 15943 5253 1 10390 3476 8 16339 173 5 9439 2793 2 16490 5555 2 13261 2570 1 17130 1747 5 4581 1788 1 311 3266 1 6993 7098 2 7290 527 8 10916 5326 3 6412 8062 3 15826 367 1 5672 3250 1 16856 308 2 1273 1147 2 2330 6082 1 12286 1703 12 10311 243 2 7244 3512 5 15648 507 1 6283 1755 1 12984 1686 2 124 4983 2 13705 2727 4 19727 892 1 15484 203 2 12322 1748 6 14434 2355 1 4126 225 1 13447 4306 1 14569 188 3 5758 1760 12 18518 2620 1 4956 4511 1 454 4517 1 10774 3526 5 16768 3275 3 8237 205 1 3633 1037 4 18694 2671 1 20107 1732 2 13636 1383 1 724 1752 1 4098 3630 2 14837 1772 1 2574 919 2 18609 1784 4 12740 1395 9 7853 3358 3 5631 1267 1 19239 229 1 5214 201 3 16016 64 2 18565 7531 2 20195 4992 1 14975 2860 2 11629 6268 1 11428 244 1 15314 2863 1 17537 5758 4 17135 519 1 15129 221 2 11533 783 1 667 6702 22 6681 407 1 19074 912 1 20091 232 4 18262 1453 1 8716 3574 2 1185 5018 1 13919 910 1 18593 1747 19 8615 6108 1 10966 219 2 3825 252 5 19470 2799 3 5988 1818 1 15870 1707 1 5911 7086 2 13818 7719 5 15329 5292 2 18944 1779 2 17449 4763 1 16447 3311 3 17404 1404 1 15960 252 7 20126 5258 2 3425 78 3 20032 5507 1 18154 2438 1 19881 1738 4 10037 5577 1 6877 3653 1 15793 4321 1 19853 1731 2 19026 1827 7 16029 6772 3 4859 3892 1 8343 5555 1 6997 6576 1 14143 3515 2 17191 1728 2 9609 2936 2 19972 800 1 9405 313 1 6183 2708 1 15284 1608 1 10760 3620 6 9374 1695 2 12782 23 10 23 1429 1 18968 395 1 10911 605 1 12740 8191 2 153 3464 2 7555 3114 1 570 1764 5 18081 502 1 18287 6743 2 7083 1781 1 11581 2228 1 3996 1378 6 10388 190 1 9691 883 11 5117 617 1 20027 880 1 16030 7368 1 14957 3558 1 3434 2056 1 657 2459 1 14837 1719 1 576 221 3 8582 214 2 11798 7948 3 8656 132 2 16187 4404 1 171 7753 1 14877 206 9 7709 6334 1 18980 200 1 8151 2357 38 10856 758 1 14596 3778 3 8152 1734 2 17156 2636 1 2201 8183 1 1068 5903 4 11591 252 1 15572 1253 9 9412 2068 1 143 6499 1 12817 4203 4 14652 200 7 4796 3239 1 17877 2248 3 176 8146 2 4555 5536 5 11863 7694 1 5038 1342 1 1191 2106 25 11938 1284 2 11938 340 3 15429 2633 5 20148 3398 1 7785 929 1 17135 1729 2 18697 942 1 3904 7596 3 6749 6883 1 14337 1730 13 16278 1907 1 13129 1761 2 1032 219 30 17066 1193 1 8614 5483 1 8965 2358 1 6420 4297 5 10051 2014 2 10000 4882 2 15122 5529 1 11131 1740 1 1464 4967 1 15364 623 1 6864 4638 5 10389 335 1 2453 3180 1 18108 2889 1 11533 595 2 14468 8127 1 16758 220 1 5954 489 4 11558 222 1 8571 6673 3 5004 8122 4 17132 4436 1 3432 643 1 9374 252 1 3548 502 5 17633 6193 1 11683 219 1 1279 3427 1 16072 1244 1 56 2317 1 11449 200 1 6010 2216 1 5980 502 1 13540 4992 24 14462 692 1 11033 1727 1 19822 8148 1 2906 6152 1 14816 84 1 19552 8054 1 12363 2512 1 4058 1465 1 7561 225 1 13711 1278 1 18287 1819 1 17085 510 1 17416 417 1 13659 508 2 12541 235 1 15235 200 2 14175 7902 1 11457 4807 1 3439 214 1 12054 2722 3 17760 132 4 5716 1764 9 5036 1731 1 10584 7829 3 11786 234 3 10997 1314 1 18462 838 1 16604 206 1 18405 1937 5 17429 6040 40 19637 1374 1 361 449 5 12740 5180 2 8451 5986 7 16150 7409 1 5933 867 3 9793 1776 3 2700 3911 13 6051 6238 8 15428 4810 6 13162 3530 1 14887 3447 6 4498 7643 1 140 2791 1 7844 3171 1 1300 552 1 11572 521 8 7657 2671 11 10034 3431 3 10127 2534 1 17726 809 2 6809 1164 2 11208 6526 1 3972 4476 1 17103 1819 1 9651 3456 1 16916 2729 1 3521 229 1 3968 2488 2 1668 3279 1 10017 2525 1 15608 6414 1 1466 221 3 14981 5018 1 3477 3558 5 6712 707 2 7490 4795 1 6144 5255 1 1065 496 6 12951 233 2 3834 4751 12 8994 1727 1 14184 3518 2 1157 995 1 8269 641 1 9836 215 1 18149 2241 1 11297 5018 1 17223 4022 1 14951 1315 2 11808 4987 2 17416 4077 1 5727 518 1 7188 1307 1 2674 1994 1 18193 2356 2 725 756 4 10670 2187 1 3702 670 1 10945 470 1 3775 5051 2 5370 4146 1 2674 6106 2 2009 4702 1 126 3074 2 13917 2032 1 12428 2881 2 13958 6500 2 6451 4156 1 15362 7227 1 7096 6341 1 1686 330 7 18081 23 2 12740 3892 22 12629 2522 6 12894 173 1 11550 1357 1 19221 4284 1 3395 1695 1 1874 1374 20 4583 5863 1 14091 7310 1 11388 220 3 10670 4065 2 10730 5450 5 11001 1872 29 18599 5858 4 19314 5087 1 5569 5943 1 19241 732 2 10581 3464 14 126 5374 1 16096 584 1 5224 941 1 10916 745 1 6152 436 3 10821 7920 1 4843 767 1 19147 1756 1 1053 692 15 10693 5083 6 5833 1825 2 18122 1722 1 11103 7965 1 737 35 5 8532 220 6 14336 156 1 17 1134 1 635 5105 3 8002 6758 1 19567 423 1 19652 8192 14 2131 2114 2 4615 7748 1 3020 6047 4 3841 419 1 10961 1663 1 19515 1751 1 7020 206 1 13430 2588 1 62 2865 1 11392 5819 2 9634 1819 2 1747 1350 1 5021 201 1 12392 498 1 16787 3114 47 16016 579 1 1953 6719 1 8250 318 1 10988 2488 1 4499 6723 1 11510 510 1 14968 5274 1 5692 1464 1 3874 6658 1 20141 1146 1 17477 1464 1 10293 4992 8 4743 6343 1 2953 4710 1 17255 690 10 13513 1649 11 6735 2829 1 873 7826 1 18286 7857 4 162 7375 1 5431 5389 1 20133 1614 2 12663 1721 1 10880 203 24 17575 5923 1 19705 2543 11 13565 3023 2 17452 274 1 11669 1819 2 7145 7597 1 10496 4905 1 18880 6091 1 340 1055 1 10575 709 1 11032 5257 1 452 96 1 509 7411 2 20049 1921 1 4791 1986 11 14632 5130 1 6809 225 10 4030 804 1 13759 3338 1 2467 3878 1 18797 3315 1 10060 1244 3 15932 605 1 19975 6801 2 1875 1722 1 11271 1237 1 10396 6590 4 11488 1781 1 3427 4671 1 7127 2747 2 9455 223 2 3512 3749 1 2154 214 4 12322 1686 3 4952 6754 1 14692 167 7 10123 766 1 5977 861 1 10967 411 19 5837 382 1 14661 4992 4 13148 5325 1 2566 2698 3 3705 2686 11 18053 200 3 11599 6414 2 19034 6058 1 6074 1999 4 2826 4189 2 3380 203 5 18933 1464 1 8709 1303 1 20106 3477 5 12757 496 1 7422 4069 1 18666 303 2 16657 244 1 17373 4992 1 13049 1453 11 8082 549 1 19387 1825 1 19742 4303 2 17231 5575 1 6840 652 1 13827 225 1 19690 2488 3 8082 731 5 1038 219 1 2772 3374 2 14993 5315 7 18113 3283 2 6617 433 1 9347 2671 2 4493 15 3 11550 1748 1 8080 2413 1 1141 3113 1 16626 981 1 6867 565 1 12570 4306 1 7065 3956 5 10689 3227 1 3545 1134 1 10611 3906 6 416 5513 9 812 7854 7 5631 5996 1 1521 1194 1 16254 4274 1 5243 203 25 7184 1464 2 9988 231 9 7282 222 6 3351 3283 1 18122 8174 1 3826 969 1 669 1729 1 4213 6303 1 14305 752 2 14421 1374 1 13729 4144 2 3881 1288 1 11250 215 1 16768 3664 1 5591 2563 5 7864 8174 5 18730 913 2 17954 1458 1 12677 4446 1 6150 7427 1 14690 3903 1 9912 437 1 13735 1729 1 3830 6743 1 17288 8030 3 16835 1695 2 14696 1764 1 18281 3557 1 9075 1755 1 8826 3728 1 7504 5105 2 18548 3349 1 18749 828 1 17472 409 1 10046 184 7 7857 1244 1 7686 2488 4 8753 6500 2 13341 4459 1 5364 3233 5 13201 528 1 15202 1112 1 6051 4504 1 11490 1235 4 736 534 1 139 6341 1 18732 2388 1 16689 1564 1 16881 927 3 1968 2341 10 3768 382 1 15813 534 1 17961 186 4 17685 7359 1 17983 470 2 3339 3893 1 15065 3061 2 12291 3647 2 11702 668 1 14522 495 2 4357 3213 6 1757 3647 5 11042 1760 2 19826 2626 5 7856 966 1 5503 844 1 10856 2138 1 5956 3634 6 4744 4435 5 4514 1730 3 18211 2581 2 10101 1722 9 8569 7206 8 17756 6754 7 6449 1147 1 20009 1677 1 10265 1770 1 16768 4016 1 15585 2840 1 1706 1776 1 5216 3364 1 4265 1383 1 31 514 3 1551 1778 2 13461 1235 6 15182 692 5 19491 4312 1 16137 313 2 7252 367 4 8532 235 2 15706 2662 1 19489 1275 1 2917 1611 1 10129 1366 1 5986 4296 1 6001 1244 6 12850 1703 4 7618 5016 1 4428 6168 1 7703 7632 1 4016 23 1 324 2103 8 19273 2915 8 18488 3598 1 83 2838 1 8546 467 3 12959 222 1 6137 220 2 3797 162 2 8869 4122 1 7956 7423 1 4283 545 3 20167 4890 1 3900 457 1 14728 5354 1 4155 3856 2 11952 2364 1 8654 1253 1 19602 5825 1 10992 7731 1 17739 7412 2 3122 1827 1 13262 3410 1 121 885 1 2739 2721 4 15683 150 2 14510 1315 1 7536 4013 5 9034 6460 2 12846 903 3 10543 1245 6 9178 5446 20 16790 221 3 11074 891 3 17 1161 1 10631 1726 1 13422 1753 1 14712 2522 1 18116 1728 4 6449 4974 3 18054 6195 2 8343 667 1 13278 6025 2 2477 460 2 14370 6661 1 5236 1410 1 1883 3696 1 7058 3283 1 11639 525 3 16857 1245 3 5069 2575 2 19029 6470 2 11381 223 3 16212 8029 1 2907 5234 2 10973 532 1 20123 2729 2 18285 4411 2 18887 482 2 6453 6697 1 8611 5115 1 8352 883 1 14778 1761 1 18233 1004 1 7040 1183 1 8929 6234 1 14296 3386 1 14218 3081 2 3189 1610 1 19448 3043 1 17416 2651 5 11097 6052 3 13725 6669 1 2605 2969 2 17760 603 9 14120 4413 9 3146 3591 1 16267 46 5 124 1295 1 10733 525 1 6207 1256 1 17868 2106 14 537 5669 1 13640 1730 2 4016 215 2 6259 4436 1 527 814 4 18874 7556 3 5124 1135 1 11606 471 1 20262 508 4 11931 7853 1 7743 3457 1 62 2936 1 9178 173 2 15279 4933 2 6026 2266 2 6817 1331 3 13054 1734 4 2469 47 3 4566 7964 2 18893 7874 1 19924 3980 38 13329 624 1 1626 1768 2 5981 2968 1 12297 5600 1 13269 1717 2 5281 596 9 15210 173 1 17408 3679 1 384 5649 2 9128 3980 4 2679 763 1 19661 2386 1 18933 1743 1 9394 4635 1 4681 3511 1 7323 2677 2 1072 4373 3 39 2042 3 11334 1244 1 10917 203 2 18256 1775 1 9833 2734 6 19655 3314 1 5459 4704 8 1 64 1 296 7440 5 18431 498 6 4840 336 2 11660 545 2 7942 5885 1 15068 2352 1 11113 196 1 5321 534 3 18999 508 1 121 573 1 16836 3021 1 13684 2595 2 2498 3530 1 18740 8192 6 12236 1121 1 932 397 1 12858 4967 6 9195 6501 3 991 4404 1 9421 293 1 109 4965 2 18581 2126 1 19862 534 1 662 2686 1 1922 6225 3 18600 4411 2 6884 197 1 10526 1545 1 14699 184 4 1199 1931 1 3964 232 10 9725 416 1 5181 6644 1 14400 2675 1 542 4992 2 17223 7308 1 4332 1814 8 15608 1761 4 7469 6106 2 9700 6892 7 4085 4923 1 14084 1996 2 8908 7403 1 14016 1483 2 3085 1303 1 6872 4992 1 5426 1118 3 14921 1756 1 15202 2023 1 3008 2511 1 9079 304 6 4049 5296 1 16430 4476 3 11417 4498 1 15790 7570 1 6414 2353 7 17788 2964 4 2509 4992 7 9763 7410 2 10856 221 1 16359 2635 1 5773 5156 1 8926 5023 2 17013 1184 1 1215 3208 2 4492 1357 1 17933 3155 1 9231 2141 1 18336 5099 2 16109 559 1 18763 1184 5 6793 1893 3 13646 6167 1 7206 749 1 10290 235 1 4190 5251 3 1315 8172 8 7933 207 2 4538 220 1 2962 3096 2 16431 2360 2 14023 497 7 15791 201 4 2710 534 1 20130 4343 1 14561 4411 7 7571 4501 1 14276 3799 1 16436 1424 1 1834 3956 1 6414 470 4 711 1734 1 3536 6077 4 14956 7406 1 14508 1508 10 16914 4394 1 10655 2380 2 19568 215 2 11827 1617 2 12556 531 1 13864 141 1 4151 526 2 3700 7702 4 4681 6278 2 18872 942 1 3243 6912 1 15468 225 8 15641 3442 1 7463 631 1 4242 1740 2 17934 1908 5 9450 1771 2 9861 2958 1 3324 34 1 4780 8096 2 7604 8139 10 153 7009 24 10767 2286 1 14669 7121 1 452 505 1 6976 3608 1 8088 7775 1 5873 4425 1 13928 3584 4 3521 2368 1 2691 235 3 19017 1312 1 1191 3152 6 745 2686 1 5303 8031 1 6867 652 1 19319 3190 1 1519 498 3 12397 292 1 18082 3255 1 171 2697 1 16477 1536 1 1141 1249 1 16899 201 1 16887 1112 1 9082 8031 11 7144 1783 5 11516 1237 1 9655 6541 26 6329 3770 3 1551 1771 1 17858 1758 1 19602 1518 1 9385 3980 1 1066 3431 2 5185 1317 9 8174 7825 1 12205 6946 1 6734 1295 1 8709 7831 1 5018 1246 1 113 5078 2 14265 184 1 3340 2367 4 17228 1236 2 11324 5047 1 5414 6793 4 17850 525 1 17712 3660 1 2313 682 2 15844 790 1 6872 8187 5 312 1819 2 17285 232 1 11353 6920 1 53 2574 6 11019 543 1 11204 2325 1 11535 4703 2 5294 1721 13 15762 1513 3 819 1243 1 6089 2671 1 19293 1235 4 18029 7473 1 13352 726 1 11786 411 6 5753 8203 5 16222 6107 1 15429 1124 1 2905 2158 1 4622 4033 2 3300 1825 6 4268 2708 1 13893 6541 2 18353 4582 1 7268 132 4 413 631 2 13100 7642 3 10728 1757 1 4355 186 2 15599 3511 1 1105 4396 1 2797 1707 15 11668 2555 1 11411 518 1 7463 232 1 15952 402 1 17682 201 1 16346 407 6 17980 568 1 8367 4314 2 20026 1482 5 6765 2721 1 11467 70 3 6859 1021 1 12883 7473 6 18171 1751 3 17871 3808 3 6866 3651 4 11603 5060 3 17946 2626 1 4811 1734 1 13699 3954 1 20022 766 2 17284 2970 1 12333 1897 1 7034 2123 1 3826 292 1 8580 7256 3 18102 4022 1 10501 3987 1 7877 2735 5 8137 201 1 10201 2662 1 4112 3058 1 1025 212 3 13671 23 1 1801 233 2 3000 4947 1 14011 6682 1 17844 640 1 6853 4282 1 7292 4976 1 19724 1827 1 18552 1266 1 15300 1707 1 8251 200 16 3107 6289 1 94 4224 4 14539 8203 1 12851 3220 4 8831 4204 1 11360 6946 1 9891 498 2 14948 2341 5 17011 880 3 4049 5127 1 19835 2737 5 19500 541 13 4242 947 1 17675 1482 1 13060 2072 1 7741 867 1 9568 3457 3 4030 596 1 15687 230 1 86 3931 15 4894 6714 1 13182 5018 5 13508 2511 1 10769 1274 3 12659 206 5 11213 5018 1 4417 498 1 18981 4959 16 252 2720 7 17310 200 10 13543 136 1 10509 864 3 12510 3056 5 18574 6150 6 5268 2541 1 7648 2338 2 10501 377 1 12972 805 4 6431 1237 7 5005 203 1 12740 2671 1 904 1073 1 17585 1019 1 18949 8066 1 12378 5301 1 3440 5903 1 13017 1203 1 15700 203 10 13402 4597 1 953 7458 1 4527 1342 1 7731 1992 1 15183 3045 1 16730 2641 1 18880 502 1 13402 258 1 10650 1248 2 18226 233 3 11402 1819 3 12892 437 1 5177 200 1 890 7189 1 2403 6273 2 6790 1023 1 11363 506 1 9868 3710 3 1889 23 8 13725 1303 2 13490 1304 1 15971 3230 1 10856 889 1 2883 219 10 3100 2661 4 5625 221 1 12619 6442 1 1663 2698 6 17922 2869 1 3938 200 1 7006 1371 3 7799 6776 9 2643 1756 1 18939 4098 1 14946 2109 2 11652 1036 1 18197 5108 20 14047 1707 1 2286 2355 1 5634 2357 1 20166 196 1 7520 2675 12 10522 1119 17 17599 853 1 16881 1739 2 6752 692 2 12967 5771 6 828 5758 1 161 4947 9 9224 571 2 14143 853 3 95 4358 3 17932 1698 3 2046 295 4 14479 7703 1 6064 4333 1 18140 3567 10 11678 6576 1 673 7657 1 2870 3273 1 10997 1380 2 18847 203 5 7256 4547 1 12988 2720 1 1232 663 3 18885 1305 1 14908 1666 1 6485 7271 1 14692 1686 2 10730 1105 1 17893 800 10 13151 7630 1 4092 7466 1 8653 325 1 17746 1244 3 3070 4986 1 18508 1272 2 6458 207 28 8405 4014 1 7455 425 1 16995 385 1 12717 4019 1 18753 1153 1 10042 5997 6 1047 274 15 5214 23 3 18603 1208 1 10973 508 1 5565 2056 2 11392 6159 1 12510 3276 1 4511 3675 1 2219 6330 1 14274 184 1 3936 1250 2 20259 4580 1 6461 5408 3 17262 7980 11 3606 1150 2 10856 1707 1 18413 8076 1 18507 1752 4 17954 7466 1 2652 3619 7 18790 552 1 4495 554 1 8761 232 1 5266 3419 1 16860 7074 1 1751 6510 1 7043 5434 1 12753 2938 1 436 6585 1 18980 8141 2 55 2649 1 3963 232 1 7538 97 1 4811 461 1 4653 4653 4 16473 5243 1 24 1481 1 14839 496 4 11317 220 1 14983 4010 1 3549 1732 2 2480 512 1 787 525 1 10061 4769 15 5922 2729 1 5882 4612 1 14900 215 3 10593 207 6 5162 1 1 17499 910 1 11473 1359 2 2466 2656 2 7519 745 1 525 3203 6 1833 2705 11 2725 5328 4 9567 512 4 7599 496 1 6434 813 1 16600 737 1 4663 1049 2 789 156 13 14164 3096 1 16020 2662 2 94 1186 10 12105 201 1 18260 1251 12 18237 1727 2 11540 7505 1 13209 8187 1 13970 3950 4 9388 2729 1 135 6152 1 4650 2398 1 31 1758 2 20106 235 1 5431 5245 1 8554 4345 1 10018 828 1 4150 4120 2 12988 6338 4 12245 173 3 13923 4992 1 16378 883 6 14841 3766 1 14518 229 1 14842 7282 2 9872 501 1 13793 2557 4 11411 2678 1 611 4597 2 8375 690 5 10313 1303 1 13626 4400 2 7064 5162 2 11791 1243 1 18106 1743 1 14744 1718 2 15936 1239 4 4056 47 2 10555 1728 3 3355 1770 1 16996 3219 3 1542 1474 3 19338 4649 1 13230 2358 1 6111 3584 2 3427 244 2 15068 6801 1 3397 886 2 5449 4016 1 12777 644 1 9337 2511 1 4050 1751 1 8195 1342 1 15708 4185 1 7790 6515 1 17767 3409 3 19319 3097 2 12121 5018 13 4631 4367 1 7991 1691 6 3049 5806 2 10852 7102 3 6436 533 21 16314 6091 1 17369 4299 1 4784 235 1 8444 2097 1 18307 1757 1 13178 6454 1 14553 6606 2 12771 1613 1 9700 1747 3 10832 481 1 14907 214 1 4359 4373 1 4478 4998 1 14719 215 1 18014 441 1 7982 3612 11 16911 200 2 5233 5186 1 11230 903 2 1137 148 1 4880 3431 2 388 4085 2 11271 541 1 640 506 1 18548 2661 1 19775 6341 1 1337 6517 2 4870 1184 4 3117 496 1 15949 6530 1 18986 2581 1 1625 2729 1 3931 219 47 18138 8012 6 3771 6991 1 14484 3033 1 11031 200 1 2629 7542 1 8842 8069 1 13527 2260 5 14963 5986 1 18992 2076 4 14558 4244 1 18116 5264 1 3940 1996 1 6653 5051 21 3448 3203 5 4592 6657 2 3569 7094 2 1385 5133 1 20231 2675 1 11080 7542 9 13615 533 1 5977 534 1 1212 905 2 8793 917 2 10340 3197 2 16944 2998 3 17250 5308 1 7257 1740 1 7377 7591 1 9593 7317 1 20191 912 5 1665 2334 2 1983 545 4 14561 3219 5 12355 505 4 2985 634 1 5374 5584 1 8237 4684 5 6739 1711 1 1045 1727 1 16228 7254 1 19795 498 7 7355 782 1 2302 1121 3 6778 215 15 13636 5523 1 8158 4040 1 7561 215 1 19975 2385 1 18337 1357 1 16310 15 1 6449 4992 2 59 935 1 2072 3999 13 10056 3748 2 314 7829 2 2379 194 18 13594 4316 7 481 8086 1 3536 2693 2 20090 1125 1 13981 734 1 6669 5922 1 7730 7554 1 8391 426 1 16776 2575 1 15599 87 1 10201 6761 1 11180 6252 3 3156 4264 1 19733 229 1 3397 1887 3 14131 258 1 14219 6721 2 18575 1363 1 2760 578 1 5609 164 1 15349 2899 1 1491 2266 9 640 7705 1 7648 5587 1 10732 219 5 7010 3688 1 176 153 10 4158 1359 1 17909 5324 1 7481 1357 1 8620 73 1 4382 1728 2 15844 794 1 12723 4998 5 10058 8034 6 4889 3483 5 11407 207 3 8053 5888 13 2913 665 1 2027 214 1 14564 7769 18 7418 4447 1 10471 407 1 4850 467 1 2131 5020 2 14522 4999 1 3806 891 1 19504 3869 1 10991 533 1 13667 4725 1 490 308 11 5613 702 1 5977 541 1 11637 709 1 8902 1649 5 4970 5133 5 7718 901 1 5261 2990 1 4227 6341 1 10766 4803 1 16408 3876 1 17406 6554 1 5624 853 9 5637 221 1 704 2620 1 17324 694 2 17425 7995 1 17807 6435 2 19182 3954 1 13035 759 15 191 5312 2 12878 156 1 19486 215 1 18728 1827 1 10569 2661 2 6111 5289 3 7815 867 1 13993 8103 1 13211 1758 1 992 1714 2 13574 3516 2 3744 7127 1 2886 894 1 20228 812 2 18973 313 1 7245 7915 2 1733 214 1 6946 2881 1 14958 800 2 12807 1770 1 14114 2175 1 3025 1729 1 6332 649 1 17549 232 1 16094 690 1 10092 1153 3 17867 1664 1 19160 2353 2 4705 7719 1 3005 870 3 3845 5290 12 6089 232 2 153 7028 1 4330 1768 1 8528 219 1 10943 3903 8 13909 5447 1 8034 867 3 7231 6341 1 5958 7976 9 13623 412 1 10452 571 2 6498 1251 1 9031 4232 2 5960 6031 7 188 1775 1 10692 141 4 16299 2712 1 11687 1825 17 3819 7210 1 6630 44 1 11843 495 1 12883 1395 1 4629 496 1 13430 3138 2 2917 528 1 8920 4963 2 18615 449 1 4298 1969 10 17519 1949 2 2674 6065 1 15211 1825 5 17715 1699 1 13590 809 3 197 1368 33 11327 510 2 17716 2746 1 6983 2356 1 4993 5879 2 15608 4387 1 9188 803 1 5169 670 1 15701 6091 1 14530 8245 1 20096 4723 1 17607 1146 1 11352 201 11 3080 3393 1 7651 3637 8 6333 5259 1 3516 1416 1 11230 3056 4 12565 8031 1 5445 1703 15 12103 225 1 11999 1745 1 3592 7362 5 14710 3863 1 16364 2087 1 10144 7207 2 8683 550 3 1951 1819 1 8801 289 2 17550 532 1 479 2748 5 23 1423 1 5649 316 1 4199 1244 1 6183 1237 2 3043 4179 5 12496 867 6 6458 222 1 2599 2260 1 6423 1573 6 20123 5385 1 10856 2373 1 7065 3044 2 11050 1752 1 5615 1119 6 7340 1284 1 2306 3974 2 16572 7583 1 10160 232 1 5503 375 1 19415 1489 4 12777 46 1 13928 871 1 1705 597 1 16140 2006 1 17843 200 5 5804 7600 1 2973 1464 2 8230 8190 4 20249 5817 3 15181 7677 1 9572 7105 1 18873 1395 1 15709 6457 1 5207 905 1 15391 7615 1 10463 3117 62 513 3588 1 9924 1703 3 13461 1727 1 3408 4827 1 5200 7448 1 10110 5138 2 12059 1185 4 15671 3046 2 16798 7820 6 802 304 1 3537 3760 3 2698 411 3 17887 1770 1 12540 857 1 14704 3901 5 14993 1073 3 14335 534 1 19972 2004 1 16534 6080 1 18089 1728 2 18608 23 2 14872 2485 1 5881 7520 16 2500 5186 2 1623 2992 8 18342 5618 2 18518 5686 1 2583 200 1 15824 194 1 14400 172 1 6564 4351 1 7575 221 2 15015 4185 16 9793 7706 19 4844 7229 2 15509 1814 2 16287 7396 1 11367 222 1 6152 718 1 13 919 2 8676 4369 1 17485 6645 1 1317 7406 4 9661 1752 1 9212 5951 1 1300 837 1 11215 2184 1 11346 7682 1 3573 411 1 16831 1395 3 19641 1771 1 9305 5573 1 5120 7597 13 7560 3221 2 9335 506 3 17994 292 1 3888 532 5 12680 155 2 12046 2522 1 18296 1987 2 7413 1305 3 418 218 1 4800 164 1 3376 165 19 15585 4297 2 10498 1872 1 12272 8156 1 8793 307 2 14532 4821 1 12900 417 1 9609 2367 5 19243 5594 1 9144 6184 5 6969 7401 2 10834 498 1 9844 7191 5 1003 2555 2 14200 8012 6 19663 4616 1 11349 514 10 873 2821 1 13573 6705 13 18417 776 5 4970 1256 1 83 3726 4 3712 888 1 18581 2571 3 18091 1961 1 3544 4019 5 18713 470 1 5173 411 1 6641 1731 1 3892 3621 1 829 5206 1 11574 7235 1 10554 344 1 16714 8141 1 12838 1170 1 12452 7622 1 11272 2626 1 8888 8194 3 379 533 6 3376 184 2 3418 3076 1 7672 4403 2 5303 3869 1 7226 3233 5 11983 7565 1 1528 1717 1 1996 1040 1 492 5440 1 1 51 1 10755 7931 17 2985 573 1 13985 7998 1 19724 2559 1 5164 1573 5 17835 2382 1 10843 569 1 4805 3410 1 19565 608 1 12909 6759 2 19174 4033 1 4587 6374 22 2341 206 1 4898 510 7 11885 1893 3 4546 214 1 4843 926 1 14710 8081 1 4573 6880 1 7823 3534 1 15982 3620 5 7858 207 1 13590 2897 1 12987 510 1 19355 1286 9 4512 1254 30 11709 381 1 7535 214 3 6498 2356 1 14428 1403 3 11687 1720 2 6556 1307 3 14935 1825 1 593 502 3 20106 6682 1 3516 4877 1 7647 6152 3 7603 4085 1 15230 498 19 16935 4003 1 9093 10 1 3567 7266 2 15072 8034 1 11392 273 1 4146 5490 1 12850 207 51 6711 867 1 1540 223 2 11118 1741 1 4551 222 5 1689 6361 1 13974 1731 1 10054 2411 1 616 203 10 7180 1080 1 4323 2216 11 6705 4252 1 4137 8111 1 11200 222 2 12821 5553 1 10740 863 1 7632 1930 1 4927 3601 3 17645 1557 3 2969 644 1 5205 864 6 3188 203 20 296 87 1 14244 3020 1 11192 381 1 6298 1751 1 1198 4010 6 269 6865 1 18606 1885 3 5278 3556 1 16708 1863 1 11476 73 25 7961 2653 5 12863 460 2 7780 867 4 10973 529 3 10976 3600 2 4663 5327 1 20012 6013 1 5199 1146 8 17485 1284 1 4462 190 2 16564 200 1 15045 525 1 15593 1946 2 1865 7410 1 6158 1453 2 164 7488 1 7560 3233 4 18144 1748 1 4468 8174 8 74 3444 1 17331 366 1 1074 952 1 19217 592 1 14284 863 4 6570 6558 5 12918 1703 3 8652 4013 5 5121 1341 1 8004 1955 6 20207 1996 1 8076 505 8 165 7531 4 5421 616 1 16802 4435 1 9275 1302 2 18231 3637 10 12092 7299 6 19393 152 13 13031 1748 4 9475 5658 4 10732 495 3 12817 1067 1 14127 7136 1 17353 222 1 8082 6330 1 5628 1758 1 1419 2498 1 6312 214 1 15567 4011 1 15364 4504 1 11426 7815 1 16522 1235 1 13623 214 1 12000 6716 1 12336 6192 3 18299 5995 5 16768 5468 2 8144 1991 3 17682 1251 1 16471 1234 1 905 1757 4 18207 1727 2 6070 5672 3 11 494 1 12748 1929 1 3536 3876 3 18764 3596 1 6390 203 1 12325 173 1 14599 592 2 1684 7955 1 16543 1695 10 14571 2550 1 7476 903 1 15318 3875 3 18637 3556 1 11741 1245 13 447 3471 1 388 7883 4 5564 1734 1 20107 489 1 4960 207 6 12346 327 1 11484 1764 1 16238 1745 1 17403 2504 1 9467 215 1 5520 4922 10 6154 2017 1 2674 2650 1 6339 1118 1 15025 6413 2 2735 1741 1 16162 3193 3 18673 4732 1 19655 5255 1 12962 1825 5 9684 982 2 17599 6608 1 1593 341 14 7306 7821 2 3945 5150 9 17202 484 1 2529 3050 1 16674 2491 1 16881 220 1 10439 964 1 13970 267 1 15608 1973 1 8292 4441 1 10101 1730 8 9178 4022 4 8751 1 2 14770 764 1 4898 7714 5 9891 1757 1 19804 5151 1 10185 1738 1 10599 514 1 121 5306 1 4390 214 8 16403 471 1 3871 1450 1 12888 4768 2 15776 1990 1 17106 4307 2 1302 219 2 6539 416 2 2718 200 1 18260 2341 1 18911 7138 1 13734 6606 1 18279 4227 1 15307 641 1 9858 8182 4 2905 236 1 15948 1781 3 2890 303 1 2316 4653 2 15856 7708 3 8581 3138 1 5841 214 2 13053 2485 1 13126 3464 1 15765 6268 15 14845 1772 5 4063 441 1 18339 6949 1 9413 2912 5 6595 1245 1 17936 7404 1 222 392 1 5589 6899 7 10100 1736 5 11072 1686 2 845 4446 4 15083 1248 1 4382 1464 1 7568 4363 1 3613 2675 2 19467 2789 1 19272 684 2 5877 1739 12 6026 3203 22 10695 834 11 12993 5281 2 10562 1710 1 15982 3263 4 9450 3523 5 10725 2552 8 37 1103 1 7727 1758 14 28 1658 1 18876 356 1 11412 5414 4 3833 2352 6 17903 5486 1 7554 3230 1 14393 498 1 14886 7829 2 10018 3064 1 5952 891 2 6623 7105 1 351 6793 1 873 207 1 15755 1990 1 17886 612 1 14610 976 8 18360 1082 19 8528 252 1 864 365 1 20085 8191 5 13881 3778 3 86 3973 1 16870 1686 1 6785 219 1 7354 867 2 19844 224 1 6705 724 1 10251 2683 11 62 793 1 6605 4373 1 171 7642 2 10485 502 1 13674 5809 9 16168 1251 1 7099 2678 1 15943 1657 1 10647 1863 5 4559 4320 13 13027 2641 1 18635 5518 1 16481 5385 1 12058 244 2 6749 7013 1 15134 5122 1 1974 3626 1 1092 5060 1 4070 3626 1 17600 5758 1 12501 1734 1 6492 505 1 10117 2973 1 5939 1467 1 2246 1573 5 1713 6106 1 12883 2329 2 8890 207 8 15122 8082 1 6769 7621 1 16726 8096 1 9743 3431 1 4264 4296 7 19602 1879 1 17992 1359 1 8272 4316 2 7282 7455 1 8134 2250 1 17481 3526 4 5621 8139 1 5401 4540 1 17850 5436 1 17746 367 1 15192 5452 1 10169 605 1 351 4304 2 10536 853 1 2414 244 6 3685 7293 1 15787 5888 1 17218 1747 1 954 7901 1 6292 3433 5 108 4876 1 15812 3045 1 40 2059 1 7823 385 2 15084 1827 1 570 532 6 1989 1247 1 8135 4884 1 2042 457 1 3277 1781 4 5010 867 7 7179 894 1 2826 7342 2 14378 2027 1 2319 7466 1 3313 219 2 14334 5595 5 6612 5018 4 3194 8197 8 11996 6428 1 9290 4296 1 16784 3899 17 18727 1244 1 7240 6185 2 6983 7539 2 3324 229 1 3496 1761 1 787 38 1 10539 2980 1 18193 3676 2 100 4533 2 2762 1250 3 7757 6500 3 12727 2356 1 14881 4649 1 13014 48 1 13477 2678 1 2178 4949 5 16730 6884 1 7591 7586 6 13185 6192 1 10152 6487 1 14503 1537 1 14600 3813 1 7262 6106 5 8392 1718 2 9835 2121 1 6343 1251 1 2197 533 33 8394 7525 1 17475 1751 8 12441 4314 1 14312 1924 1 4764 1819 11 6622 1286 1 17152 1247 1 16674 374 1 2629 638 1 7498 95 5 1779 3172 1 13597 5502 1 12078 508 10 7141 3669 2 11899 1791 3 15499 1234 14 13205 6669 1 107 4814 1 4777 3980 1 8398 3273 1 12121 1358 2 39 1774 1 9656 1093 1 10413 5052 1 18887 425 1 5597 200 1 13533 1631 1 13186 173 1 6519 812 8 125 5574 2 16167 541 2 13626 1831 9 10873 2646 1 311 5022 2 2006 2762 8 160 7343 2 17886 622 1 16156 1726 1 3799 225 2 6339 4555 1 13919 5205 2 19958 6390 1 10508 3074 1 12372 1369 1 11742 3408 17 7226 5949 1 12051 1150 1 9720 5229 1 13385 668 1 10049 214 21 5567 1054 11 20123 463 1 7170 7798 1 1873 3682 5 16894 481 1 7151 204 16 3811 6345 2 17585 1645 1 18041 4436 1 13565 1209 1 17855 231 2 4574 3629 11 4106 361 1 5431 3905 1 9310 74 2 7551 219 1 10670 2998 3 4120 6106 1 2022 1296 1 3045 6096 1 3281 219 5 4784 222 6 13662 7008 5 393 7701 1 15687 2918 1 6091 2555 1 2748 5243 1 20006 2325 2 4716 506 2 13246 2686 1 9250 3629 1 6651 219 9 4898 2653 7 5859 7432 2 14786 3684 1 19503 2014 1 10 305 1 14126 3228 1 19929 1715 1 12136 7809 1 1710 7466 4 13226 931 20 7010 5385 3 869 7407 1 5860 1752 2 8301 5538 4 18862 1249 1 2260 2056 1 17736 956 1 10290 1395 1 18797 232 1 6851 646 1 8675 1703 1 607 5108 1 17078 6591 1 18188 1083 2 12143 8192 1 1145 1504 1 2338 1237 15 9317 1312 1 4880 7534 1 4886 1779 4 2917 5294 2 7599 292 1 1465 3170 21 8489 2381 1 372 222 16 14745 508 1 16509 1635 1 18211 2103 1 3070 2633 2 6831 1712 1 19594 4380 2 6806 1146 3 6690 755 1 3233 8203 13 20039 3840 1 6503 905 6 2704 3329 8 9869 3666 5 3048 263 1 18656 636 1 15726 496 13 11377 4038 10 4936 4328 10 4485 5294 1 16777 2737 1 1158 14 1 5468 4708 1 10267 1464 1 14270 7237 1 14044 175 1 3888 1236 4 19424 759 1 13544 4284 1 745 1734 2 2502 2955 1 8192 4041 5 65 1450 2 20047 2107 5 1865 4075 1 13219 4604 2 2023 2746 1 6553 8218 4 10362 5004 1 12560 520 1 9104 2879 2 19655 46 14 19026 1350 1 9127 5054 1 7485 2294 1 10313 385 2 8410 3684 1 13731 401 1 2939 640 3 7879 222 1 758 7184 5 12406 8040 1 108 4899 1 14746 89 1 4429 364 1 14001 1235 1 943 3220 2 11600 3221 5 62 2778 1 10124 5021 1 164 7476 1 13789 4870 2 753 515 1 4030 901 1 18420 1401 5 10 329 1 17664 2691 1 17606 1244 1 1506 201 4 5433 223 7 8045 1535 3 12799 3991 1 15468 46 1 3015 1193 1 5378 219 2 8708 5348 1 17088 1703 2 18056 8108 3 17792 3464 3 6596 214 2 16272 302 1 133 5837 1 11769 3069 1 83 3704 2 4328 196 1 5155 1764 2 9290 4794 4 3471 1482 2 18462 606 1 11705 6801 1 8472 520 2 10586 1751 1 16997 8099 1 7327 6238 1 17896 8162 1 7331 13 2 18623 229 2 4932 2949 2 16417 3464 1 3426 1814 7 18264 3511 1 10610 4020 2 12412 342 1 427 2964 2 334 5000 1 18089 4017 1 18211 1296 7 2969 2978 1 15818 1720 2 5744 1373 1 6656 867 1 11240 2126 8 3181 4556 1 12979 6132 2 65 3100 2 11217 7930 1 8153 6912 2 7010 2649 1 702 6564 1 6749 6920 1 8489 2445 1 14232 325 4 2546 879 3 1435 23 9 11230 3813 5 9403 7184 1 11964 1720 1 11569 1615 15 18885 6231 1 5401 3742 1 14748 457 6 6422 2356 1 5914 84 1 20031 221 1 12152 1781 2 1331 1320 1 14120 3921 6 10878 4314 1 13329 229 1 17108 4383 1 19241 852 1 9485 3634 1 13097 409 7 4694 1893 3 16916 2071 1 6695 7351 3 19108 3448 2 10014 3511 1 13770 411 1 16561 5202 1 12494 2261 1 6166 6564 2 3801 2508 4 8208 2057 7 1937 2809 1 16636 1354 5 18893 824 1 6300 3333 3 14900 496 1 11095 5995 1 5358 1737 1 1657 7244 1 4023 3711 3 3257 5030 1 7769 220 2 19429 3067 2 4386 4623 33 1849 1505 1 11019 525 11 1974 3572 4 8187 3617 1 798 4258 1 4947 463 1 11877 2675 1 2146 233 1 13091 3266 1 17696 1208 1 4389 1342 1 15627 7573 1 5261 207 1 7452 578 1 19567 368 1 19957 3016 1 11384 3916 1 16532 200 1 14336 6541 4 4092 3558 3 12414 3298 8 6962 5157 1 6070 6680 2 8237 1531 1 16809 2675 1 4147 7029 6 14350 2070 1 10188 158 5 18423 3081 1 15440 2105 1 11327 1757 2 15899 220 1 7390 865 1 2917 2515 2 2013 1573 1 18705 252 1 6776 2480 5 12544 601 3 19348 21 2 8817 48 1 5744 880 1 13084 221 5 5841 3523 2 14621 5670 3 3613 1745 1 8760 156 1 5261 1251 1 4784 1775 2 20016 1726 3 7 203 2 13665 203 4 17344 792 1 10318 4022 4 3496 1241 1 10734 6256 1 15159 1238 5 14137 4307 1 12970 4746 1 11320 1990 4 19714 169 1 2586 7623 1 5380 1245 1 8927 7424 1 2939 577 1 18325 316 1 17429 1250 3 19085 514 3 19222 303 10 13900 1762 1 4517 1356 1 16503 5020 1 35 1978 1 7970 1231 4 15749 2980 1 17634 7751 2 10015 6713 1 16018 374 1 452 452 2 6397 1234 3 16774 4794 2 18119 3447 3 15329 5829 2 20 1361 1 7673 46 1 2891 2354 1 18568 5924 1 19822 7739 2 13825 244 1 15715 5446 2 17527 6091 4 8718 207 1 4076 508 5 7361 2610 1 2671 7098 3 15273 46 2 13087 1740 1 12209 1760 19 15222 1779 1 9978 5879 1 3822 2729 1 8482 7599 1 19530 769 1 10254 6231 18 19727 963 5 355 1444 6 668 4029 1 2772 3366 1 15488 4246 2 14663 2683 1 19712 1450 11 13160 1073 2 8532 1719 2 19138 7933 1 17039 1251 3 15468 232 4 23 1427 1 16960 5144 1 13743 3276 2 11063 3931 2 5014 2648 1 18255 219 5 19091 2138 1 3189 1109 1 1666 500 36 2344 2626 10 1297 1629 8 5097 2360 1 9310 624 2 11853 541 1 19765 3219 3 11239 2080 1 8532 232 2 17988 900 1 1012 2254 1 18016 5016 6 31 201 7 873 3699 1 11436 6702 2 7535 903 1 13640 1244 10 20174 1334 1 14826 1757 8 3239 1388 1 10272 1778 2 15187 1781 1 16215 646 1 7184 545 2 4382 1721 1 15041 1736 1 975 2542 3 14400 156 6 10 348 3 8326 207 1 2075 1539 10 19316 476 1 2068 926 1 9308 2675 3 2724 6059 1 113 5099 1 5314 3247 1 11616 6107 2 13171 2004 1 14532 4581 8 9275 554 1 5377 23 1 17409 1695 19 17015 1743 10 6752 840 1 6228 6701 1 4208 6374 2 16689 296 1 14666 3474 1 6641 1758 1 19865 2789 1 15495 1752 3 18762 200 22 8344 47 1 8391 3703 1 2284 1771 1 3203 3477 1 2002 541 3 16662 220 1 8015 3039 1 13193 7439 6 19649 1768 1 7575 532 2 12826 3308 1 6781 508 2 46 74 1 14722 84 4 16324 1539 2 10179 1396 1 13865 3625 2 2716 3230 2 18026 220 6 15673 3625 1 10033 9 8 18716 7829 6 11467 1721 1 11461 1184 2 3168 8171 2 8217 3230 2 13541 7857 5 10038 3666 3 4224 6547 1 13403 4929 6 9921 5446 1 13977 3210 1 13329 4961 1 16373 5538 1 153 6903 3 17005 1893 1 12496 3032 1 14053 1730 1 4313 1252 6 13593 1396 5 11147 3511 5 19727 1713 1 12489 5807 3 2546 240 6 15495 1721 1 16084 6777 1 3570 7404 6 4137 496 2 7469 4686 5 4444 2893 1 891 1312 1 19925 3621 15 15610 912 1 12594 6184 1 6123 219 3 9998 7503 1 3045 4796 3 62 2907 1 192 3012 2 3012 769 1 9224 790 1 8152 6640 1 853 2980 6 16137 6102 2 4749 397 1 1797 718 1 17440 1395 6 7089 1717 1 14053 232 1 19871 1701 4 11965 3113 2 10565 5289 1 19006 6716 1 11621 203 1 9699 3631 1 13947 200 22 10879 7614 1 13464 5321 1 3654 5475 1 15145 6335 1 1495 1677 1 16740 6157 1 16193 621 1 8946 736 1 7182 7740 1 2985 886 1 1610 1695 1 53 2557 5 11849 4156 1 10318 219 1 9212 2504 1 17453 7319 2 8426 4763 2 11458 2399 3 13466 6640 5 5701 3397 1 18385 2758 1 18690 201 6 19995 4404 34 10950 1154 1 8654 5432 5 18465 207 17 11168 441 1 5082 2955 2 11835 7689 1 9859 3323 12 10733 1190 1 14253 8183 25 213 4096 6 716 5090 8 11091 1425 1 13412 5413 2 1017 6839 1 5659 7630 29 2962 3143 5 13787 1339 2 12932 2636 48 2531 554 1 5875 7275 1 14600 222 1 17465 3838 1 6152 5425 1 114 5139 1 14896 3892 1 4225 8203 1 3683 3206 2 7295 6753 1 8477 1704 1 11581 5513 1 14977 2675 1 14583 4521 5 5251 7825 1 19158 3334 1 873 8199 1 15182 945 1 94 4278 1 12888 186 2 1454 5961 2 2546 413 1 31 1719 6 5975 330 2 10103 204 1 15460 4555 2 18279 4937 1 14612 3101 1 12154 6343 4 1379 214 5 7910 3526 1 5459 1022 16 16130 7570 8 19968 7641 2 2213 4618 1 1645 3151 1 3549 5447 1 10676 6690 1 3589 7105 2 16886 222 1 7905 1561 1 557 204 1 6291 995 4 12817 2356 1 12900 2085 2 16921 4266 1 10035 1734 1 14778 222 6 16009 7550 1 19957 201 5 3543 3909 1 2265 7846 1 2313 3267 1 13741 2707 1 7050 631 1 3246 6548 1 13422 8184 2 16036 1775 1 3855 1338 1 16078 1582 1 630 5909 1 5560 1717 1 17277 6680 1 535 4695 1 16377 7674 1 17633 3573 1 10881 936 1 40 2110 1 3237 541 2 14151 625 3 18360 4280 3 5431 1707 3 18237 1748 1 18326 1535 1 18731 2727 2 7839 1249 8 12341 6494 2 12464 4977 3 6553 3949 8 13743 431 1 13391 10 1 7675 4544 2 10221 3842 3 3337 4675 2 1823 6716 2 16087 504 1 12242 1660 3 19602 95 1 12235 1711 1 13883 1727 3 15149 4085 5 98 4445 1 66 3203 2 15635 8004 1 6077 23 1 7802 1728 1 17036 186 1 745 745 1 10413 5091 1 13564 200 19 11239 1744 1 1461 2058 1 3168 6150 1 12934 1707 1 10821 5251 1 17399 5258 5 16909 1829 13 5199 7105 1 15160 1282 1 3022 6667 2 712 223 4 9921 1728 2 5492 425 1 20048 7874 2 9001 172 14 17519 1721 2 17987 871 2 4287 1698 5 17414 715 1 11446 2721 1 1930 5020 5 4689 2368 5 15980 4240 1 4974 2248 5 9166 2683 1 3008 2015 2 8674 6019 1 8815 541 1 8801 331 2 8797 6341 9 14218 1721 1 11183 5577 2 8532 201 4 13794 1308 1 2734 3540 5 13543 2946 1 10 287 1 5354 2926 1 1488 177 1 12205 1341 1 4469 1250 1 18245 2633 1 1787 2552 6 4886 1656 2 13735 184 5 806 201 12 19771 2618 1 15147 4603 1 18181 1999 2 19332 6162 1 6158 1482 3 1143 2883 18 12789 4384 2 10912 6039 1 10019 3333 6 121 945 1 17954 4343 1 14077 6268 1 11964 2708 1 10943 73 1 15969 214 3 14053 1595 3 16648 5011 1 79 537 1 15736 6540 1 8034 6256 2 4902 3598 1 9254 203 1 4181 3065 2 16278 1914 1 454 4492 1 13986 4922 1 3755 541 1 467 7829 6 8191 2480 3 3075 883 1 11644 7271 1 914 3666 1 17795 1573 2 18905 7520 1 2132 8221 1 15220 3452 2 18886 4534 4 108 4859 1 15634 2573 2 10579 2514 1 14428 7597 2 17603 6680 2 5775 5758 4 6479 1981 5 4791 6839 6 855 1252 2 13646 1615 1 393 482 1 11786 1237 2 2959 74 1 11221 2881 2 9615 3656 4 2588 402 1 3161 1757 2 15920 533 122 19649 1239 2 3358 197 2 18243 5152 8 8417 1356 1 14425 502 4 87 4012 1 11939 5272 1 16373 7840 1 6585 525 10 280 1471 1 6035 334 58 5792 220 19 14981 5737 2 12180 207 20 1668 2197 1 14797 2567 1 5179 506 1 14301 5594 1 3131 3558 1 10985 1240 2 4307 6340 1 17403 1745 1 11072 6526 10 15832 1695 28 4503 6537 1 14117 3705 2 10452 3838 4 20114 2817 1 4479 200 5 7757 519 8 11874 5669 8 18552 1245 3 14686 3634 4 5161 5487 1 10703 1909 9 8235 222 5 18797 1755 1 14639 1278 2 9081 3366 1 15692 2316 1 6686 2508 1 5055 1118 52 2089 541 1 143 6503 2 4305 4069 1 94 4284 7 8639 7817 1 11892 6374 3 6191 913 2 15693 5054 1 3025 4375 2 11567 891 1 15964 1734 1 11070 5389 1 3147 367 1 5181 904 4 5336 57 1 20017 757 1 5126 222 1 1359 505 1 17182 6925 1 1675 218 1 13290 7216 1 8039 2735 1 9544 706 14 17738 4020 2 12497 1778 1 9435 4023 1 11064 2896 27 10117 3821 1 4788 6588 1 3797 1686 3 4055 764 2 3852 3512 5 16346 474 4 43 2269 1 14379 3230 1 130 5971 1 8614 5002 1 18289 2419 1 12116 3190 2 3138 1235 6 16175 2698 1 1622 1252 3 16442 7069 4 16500 3233 11 3673 7809 11 1856 1743 1 7085 1322 1 4519 1238 2 3853 5345 2 18323 4436 5 12800 6234 1 16442 3751 1 1130 3016 20 7994 865 1 1466 2352 1 5389 1054 31 1595 1508 5 19246 8179 1 14939 225 1 2194 3352 2 8391 649 1 7181 3476 1 764 303 22 5775 4623 1 3114 523 1 3029 7235 3 11616 89 1 5140 1245 1 3553 1296 1 2990 3493 2 1910 1755 2 14496 3556 1 13566 2815 2 11188 1762 2 16561 667 4 8358 4499 1 10462 225 2 5381 518 11 5050 2675 1 6650 6993 1 2768 541 2 16861 6073 1 94 4336 1 15593 4591 1 17281 3036 1 5542 8036 6 11158 1340 3 17753 1399 1 3170 7120 1 5424 1664 1 15726 1707 15 19178 8111 1 11220 4772 1 18981 6663 4 5600 1736 2 14402 519 5 19945 2317 3 1043 2980 1 5526 3619 2 6437 2993 1 14746 6471 4 17652 541 1 8724 2604 9 17077 201 1 15339 532 1 16140 404 3 3712 8066 2 4147 557 1 13734 3382 1 1168 84 8 3427 3973 1 14298 1717 10 12592 2006 2 2845 6435 1 513 1176 2 20218 215 1 8528 518 1 18590 3571 13 2573 3705 1 9050 2724 1 2886 1587 1 13253 4789 1 1672 1825 1 314 1234 1 6327 1342 5 10410 4597 1 7070 6402 1 17 1066 2 8160 514 2 11534 203 7 11434 1784 5 15888 763 2 8246 4604 10 8294 3939 3 15868 206 1 16828 2296 1 1791 6806 1 6033 219 19 15426 215 2 13219 4387 2 5214 1244 3 16994 2675 3 14218 2747 2 20262 1342 3 11282 2958 1 4682 2016 2 1550 514 2 3343 303 1 164 7460 1 327 4245 1 3103 883 8 17436 790 1 4963 7657 1 19752 1788 1 877 467 3 882 1747 2 7771 4789 1 2011 1374 1 11996 6394 2 12895 225 2 15323 545 2 16700 260 1 14527 1296 2 9168 1783 1 1171 1721 2 7000 6308 2 13646 1003 1 10733 413 1 5111 2351 7 19634 1184 1 7058 4446 1 14362 506 3 201 229 8 4464 2487 4 1631 442 2 4688 918 2 5422 3220 1 1539 910 13 16944 4623 2 15945 4838 2 1526 533 2 5620 828 2 17607 1244 1 11952 2584 2 9603 201 2 12782 5003 10 13807 1275 1 14958 1395 1 6848 3693 1 6125 2727 1 4415 6341 1 12196 5565 1 20049 219 1 861 258 5 14784 34 5 13881 5517 8 8980 1739 7 14721 2955 1 11193 1247 1 10014 1893 1 18384 2241 1 15561 3238 1 15025 2908 1 13315 532 1 5496 522 2 5388 497 4 9891 1720 3 13865 2357 1 4913 6470 2 8925 2665 19 15529 5712 1 16157 1659 1 181 8214 1 218 1126 1 4520 5325 2 9345 5441 3 16388 817 1 1947 1825 11 2131 1334 2 16989 1357 1 5515 8184 3 12445 1402 5 13939 225 6 7318 6334 1 17870 6136 1 916 244 1 1803 6480 9 45 2347 1 20068 880 1 16109 1721 5 9626 3430 1 8957 6666 3 6211 1361 1 14113 501 1 1711 839 2 13814 5379 1 107 4762 2 6415 1776 1 3299 1248 3 7312 1464 2 9279 506 1 11577 3556 9 1520 2645 8 12493 215 1 14906 4303 1 12850 1760 6 13601 637 2 17403 1322 2 17505 4552 1 11591 1245 2 19223 225 1 11767 1742 3 643 2276 2 14075 3487 5 7462 4768 1 18252 3070 1 12399 5783 1 6436 219 1 164 7429 1 14688 1991 2 276 6349 12 606 4998 10 7899 2317 1 3561 201 2 13127 6749 1 17962 4924 10 9056 1756 1 16308 3570 1 3599 4655 1 9395 2923 1 18665 1296 1 7287 2029 7 10441 1191 4 220 214 1 8920 593 1 9894 4196 1 3397 3263 1 12510 1903 2 2679 745 7 1506 891 1 3209 7420 1 3308 6197 3 3754 6704 1 6096 5388 3 8904 2678 50 693 5740 1 16574 229 1 10127 7191 8 822 23 1 2833 2552 1 13918 2489 1 1838 6031 2 8151 5063 3 7733 186 1 11736 2542 16 8077 5323 1 6183 1146 3 11086 505 1 1645 7305 1 1448 2608 3 8747 23 1 8982 1615 1 16860 3806 1 7682 605 2 12133 2511 1 16431 7617 4 13987 524 9 16830 2334 1 6517 5474 1 16743 7257 1 62 2887 1 15100 767 2 15897 421 1 4092 496 17 86 3940 1 12896 1582 21 19709 4020 1 12412 740 1 18914 201 14 17767 166 4 12760 8241 1 6834 1881 12 13536 3140 1 7307 834 1 12772 215 3 6884 4086 1 7790 7844 1 11935 944 1 872 1766 1 16689 6697 6 9224 662 2 6619 3511 9 10165 722 1 17910 2348 1 1677 1705 8 16263 3895 1 8823 2118 1 14671 4501 1 10247 512 1 16715 7830 3 16834 2649 1 2777 4312 1 16109 525 1 4256 6487 3 10313 2489 1 16573 1140 3 6312 5195 1 19500 519 1 19727 1296 1 4180 564 1 5980 223 3 20262 214 2 12499 244 3 6707 4963 3 11230 809 3 17298 1703 1 12376 3230 2 14318 1625 1 1889 156 5 14510 512 2 13530 533 1 4236 1537 1 1006 200 6 12858 2192 2 12685 363 1 2890 518 1 1997 220 1 9699 3592 2 17986 6268 1 4886 1751 2 4473 6680 1 13461 1729 21 18534 1752 3 3331 165 2 18204 5105 2 14141 339 3 15507 1235 1 18582 128 1 13129 201 1 14845 207 2 19554 6435 1 16044 2708 1 16539 23 5 3221 199 3 11533 3081 1 9260 8175 11 14055 1978 1 17260 2488 1 11600 219 4 16254 1207 4 5977 502 1 14019 883 2 11585 23 8 17642 5783 15 14256 4723 14 6635 4380 3 16994 3135 5 379 3365 1 3442 2481 3 18072 3526 1 10342 3327 1 2527 5550 8 16886 4992 2 14958 292 1 18847 608 1 5152 7542 1 13461 7719 6 6904 6192 2 19136 5440 1 4357 1710 15 17994 4540 1 17694 6268 1 4870 3705 6 16590 409 13 2377 229 2 6749 2068 1 1551 519 1 12755 7465 1 11336 1295 4 2135 498 4 4344 1705 3 9116 1788 1 682 5603 1 17403 6031 1 8530 6663 1 4417 206 1 3846 6622 1 16592 6999 1 11768 1734 3 5632 2729 8 7914 1421 1 5792 1681 2 4251 1312 1 5748 8043 1 4069 223 1 15654 5162 1 11467 956 1 8266 530 1 527 1704 1 19056 8043 2 16381 1748 1 9227 4708 1 2330 7128 1 16018 7029 1 10986 5245 1 11156 4803 5 3005 889 1 4747 200 1 8683 339 8 13893 6639 1 17645 8082 2 954 491 1 184 219 41 4734 5536 1 17382 1153 1 5467 201 1 2245 848 6 13928 5196 4 14639 7604 3 6236 619 1 13857 1357 2 3109 1762 1 16857 206 1 10991 5130 5 15362 223 6 18059 4606 1 1654 6327 2 8585 1346 1 19864 3333 2 1529 5020 1 5185 1184 7 3796 3556 1 18916 532 12 103 4656 1 13543 6596 1 19336 6754 2 2704 4012 1 170 7600 2 19267 223 1 19425 4998 8 15105 203 5 16199 2831 1 11785 4088 1 12629 4572 3 4875 3685 5 13865 4590 3 9341 3007 1 14758 3596 3 19369 2675 4 12817 5468 3 18160 223 11 10396 11 3 2560 3511 5 17280 2399 26 6704 7244 1 5854 5355 1 16151 2114 2 12274 1146 2 15263 23 3 9680 477 2 3189 8060 1 4444 400 1 18008 3230 3 18609 244 3 406 5517 1 11733 7902 2 9058 199 1 18906 336 1 232 1995 2 14773 1814 1 14239 5503 3 16558 1774 2 838 532 6 7757 2605 1 18558 2944 1 1062 3920 1 8988 7719 3 14957 2938 3 15965 1398 3 7000 148 1 370 5348 1 16563 2245 30 17395 3585 1 1706 5978 1 8782 222 1 12121 1249 1 8314 1564 1 8134 232 1 14463 4943 1 9321 5023 6 20114 2729 1 2418 2378 2 13891 3570 1 877 3577 2 10064 1771 6 1849 196 1 10783 3188 1 19406 2584 4 17960 1753 1 19407 5949 1 218 5436 1 8368 4938 1 14059 6487 1 8709 3608 5 7056 207 12 1944 229 3 130 5791 2 5189 1721 21 11399 3074 2 19710 541 2 4519 4622 4 18981 952 3 6644 6645 1 7015 1764 1 7590 5040 1 3668 512 1 8062 2708 6 9573 74 2 16434 7367 1 14728 46 1 17173 1139 1 603 8110 2 10944 6683 4 18471 3219 2 13174 7414 1 6327 3283 3 8895 232 4 4391 201 3 2267 1152 3 5636 4435 11 1778 1250 2 4854 3696 1 8250 2894 3 16925 2821 1 10267 1104 1 14758 7542 1 4092 6441 1 9986 7022 1 5557 1296 1 12921 2380 1 131 5998 1 6074 7255 5 4451 230 1 11211 2361 1 5937 3182 1 10948 3693 1 15905 2563 3 15530 6018 1 33 1822 10 14478 4029 1 16894 4572 1 7065 1238 1 5416 3494 2 18183 4245 1 10554 947 1 14357 2362 3 10360 7809 3 7726 221 17 12214 1307 1 7994 1256 1 9043 766 1 5366 520 1 4500 751 1 12619 2737 4 4081 229 2 10494 1717 1 13234 1721 1 4253 233 6 11985 1147 5 18125 2325 1 20175 1672 12 14970 602 1 20016 6334 1 1452 203 11 6681 442 1 1699 219 2 17173 89 2 16847 1784 8 19596 1775 3 12268 659 1 17493 4604 1 7853 2172 3 18965 3526 7 2481 910 1 835 214 2 15561 136 2 6843 2869 1 9279 235 2 8769 2494 1 218 10 2 11835 1582 1 3983 6477 1 17746 648 1 1204 1073 2 163 7418 10 16835 4002 3 10926 1814 17 15970 229 1 8614 2767 3 6323 201 18 2459 401 3 3056 4803 1 13865 10 8 2143 6441 2 14837 1715 1 14731 6341 2 21 1397 5 17353 190 1 18186 1686 1 17544 2555 5 12655 327 1 19578 5205 5 19568 1247 1 6244 5036 1 17809 1464 3 14412 411 7 11118 336 1 1558 5861 1 17682 496 1 11698 1907 1 9343 853 1 3189 420 1 6684 207 5 1304 200 3 628 5281 2 7882 225 1 7095 2241 1 5996 292 1 1969 225 1 15083 7750 1 19855 1717 3 5219 4367 1 18887 5252 1 697 1407 4 6989 902 1 14791 3228 47 1863 6596 1 2495 327 1 4298 7101 4 15678 1606 1 1160 2683 3 15087 7738 3 3703 10 2 6145 5861 3 15781 827 6 5052 1677 1 16185 3367 3 18511 304 4 14385 8187 1 10874 8034 1 3485 1745 2 12900 7287 1 62 1103 1 2716 303 2 17947 1287 1 12679 219 5 2985 626 1 19509 2056 1 12090 329 4 3857 1000 1 16643 200 5 12682 74 1 8153 724 23 14298 3016 1 9677 2673 2 4314 3996 1 2720 5565 1 2962 6505 1 15897 1582 1 8643 682 1 20182 7857 6 5430 1825 1 9516 4614 1 5943 995 1 19813 3488 7 2041 3132 1 8518 5035 2 7862 3511 28 7186 3978 1 19526 514 1 13591 3220 1 18781 429 1 1045 23 2 16464 1673 1 16197 5325 1 808 1739 1 3594 509 1 19489 1921 5 1141 1731 1 16740 6629 4 19494 1328 1 15472 10 1 16189 244 1 3189 4333 5 10004 2138 6 10859 2804 4 16310 411 1 11665 235 3 20194 57 1 1204 7931 1 6538 4476 2 9954 6152 8 18140 23 11 862 7208 1 1422 5119 1 15150 4009 1 9534 7229 1 14400 1718 1 14218 3893 2 8203 203 2 9449 1246 1 17663 1247 1 10653 4902 2 19460 214 1 11562 1955 1 267 723 1 17082 5156 1 9519 637 5 7550 6421 1 18465 82 2 2842 7586 1 6013 5091 1 3847 518 1 20256 4870 2 2132 2482 1 15530 1621 7 10245 5825 1 14455 6485 5 15218 1567 1 14369 220 4 74 2567 2 13731 7616 3 6757 220 1 18639 5737 3 16444 190 4 14614 416 1 2243 1150 2 1273 3834 1 12361 869 1 14414 1704 2 8255 1784 1 18919 370 1 630 6617 1 6843 5051 1 4902 6375 1 756 3208 1 12704 232 3 13520 428 1 18609 222 3 4931 3539 2 9751 1235 1 15527 1150 1 222 410 1 70 2894 1 11766 1582 2 17039 3307 1 18214 4284 1 7222 7327 1 1553 498 2 12826 3862 2 6811 5084 1 9072 3485 1 13520 3567 37 19250 2673 4 8198 2821 1 19959 6031 2 6183 3333 7 1714 1184 2 5304 5256 1 60 2728 2 14763 809 1 16625 3155 7 405 1275 1 1667 8194 1 14658 3658 11 14706 214 1 5032 2363 1 19582 1824 1 19319 1883 1 6415 1247 3 15329 5788 1 2350 4518 4 16564 219 1 9374 1718 1 9725 2494 1 10948 545 1 8406 1248 1 2672 6577 2 1908 1965 1 15869 8221 1 15608 597 6 16839 498 4 7107 1686 2 15394 4014 2 9883 1302 2 20120 4266 1 2362 5708 1 493 367 1 19976 215 5 17664 3885 1 16013 1718 1 19671 292 2 4935 1375 1 10245 4312 3 8680 221 2 9212 3796 1 3775 1713 1 2643 6892 1 10124 203 2 13829 1296 2 7987 4764 1 18968 1728 1 14246 1225 1 10105 1775 1 12221 1247 1 7640 1783 2 8324 524 2 12663 1796 1 283 2767 5 16283 1782 2 14051 867 3 1853 7956 1 9707 6502 1 6238 4245 1 16860 2068 1 13090 3952 2 20238 3462 29 6428 7598 1 10271 34 7 124 417 1 12464 1718 4 16916 3293 1 6449 1395 2 2526 6457 9 19155 935 1 20019 1625 1 13768 7625 1 19418 6549 1 3431 23 28 535 347 2 17463 6675 1 6259 74 1 16860 8026 2 1237 4972 5 6379 6705 2 16259 519 1 11656 4041 6 12134 2254 1 9866 3980 4 3886 1783 1 1132 74 11 7467 5264 4 10452 707 4 1251 1703 3 2213 5586 1 18258 6656 10 19975 2384 1 8435 222 2 6530 2355 3 16238 883 12 11591 766 1 4556 4998 11 18666 3114 1 10607 2271 3 15314 1284 1 16857 222 1 19872 1663 1 13456 411 1 171 7803 2 2207 1251 1 9729 508 1 4147 2600 2 11789 2969 1 3695 6083 1 8532 3972 1 3734 6422 3 13446 1636 3 6650 592 1 7546 7995 1 12853 1277 2 13 810 3 18568 638 3 31 496 3 14935 6487 6 5755 845 6 10131 6343 1 1816 1042 1 1832 3516 3 9962 5036 1 7376 422 1 5205 647 32 1713 2881 1 7029 5292 1 4850 4297 5 7610 945 1 4545 4614 1 10316 3956 5 12724 6014 1 16768 260 1 9322 2521 2 10852 258 1 13743 1246 1 5821 561 6 8777 2572 1 11392 7365 1 13 821 2 2731 156 1 6647 5193 1 10846 5315 1 19241 956 1 10422 5290 4 17589 7654 1 10313 422 2 8735 4304 7 7454 7491 1 178 8175 2 5438 6538 1 4587 4555 17 13425 706 1 18705 1244 1 349 604 1 7935 4992 2 784 638 1 8911 2671 1 6979 1881 2 9566 4489 1 9946 173 1 5195 2354 1 18033 4949 37 15712 3233 1 16802 539 2 8269 654 1 15094 805 1 2096 638 1 9756 1245 1 4256 203 2 6618 1296 5 13250 100 1 7341 1239 1 8708 4407 1 152 6828 1 10380 2841 1 8987 7719 1 19093 224 3 7105 7603 2 2385 1251 3 10803 325 3 18137 5914 2 18524 2493 1 5653 23 2 3580 1755 1 15109 1748 1 18623 867 1 7144 1770 1 8641 156 6 2079 3775 2 4948 4104 5 9909 57 1 18198 1751 12 17950 225 1 11458 4796 1 14424 316 1 17127 4435 10 16967 173 1 6180 1773 2 5980 1761 1 8683 1466 15 13129 1751 1 20181 1191 1 3988 5389 1 420 4707 1 14381 5245 1 4055 3703 1 4329 509 6 1647 4269 1 8129 3661 1 13490 6484 1 5994 891 1 5540 508 1 11705 3113 1 9279 1251 1 65 3174 2 17574 1250 7 4687 6252 2 14411 4355 2 881 6612 1 7907 1352 5 685 3578 2 12502 505 1 9463 349 1 19776 3382 1 1313 3835 1 4663 3382 1 1335 3610 1 3059 3592 1 15250 1755 1 4928 7513 2 6876 23 7 11786 6606 3 4603 3697 5 6332 553 1 4875 429 1 15486 1784 2 124 5510 1 2716 2671 1 3523 379 1 5248 2980 2 16102 3263 8 14835 601 1 16831 221 5 7832 6363 1 13490 7670 1 2201 203 8 11779 5611 1 13619 1245 10 10599 867 10 17505 84 1 941 469 7 2826 2549 1 13369 7427 1 19605 3113 1 8420 1757 2 12909 1483 1 4312 447 1 8441 1825 1 17886 659 1 16966 6617 1 15802 3378 42 5756 4005 1 8493 4325 1 20007 3069 2 14562 167 1 17910 6701 1 2586 215 1 19392 190 1 10410 608 1 3299 1722 1 6529 3330 1 4498 7231 1 6352 875 1 402 2005 1 6111 4355 2 14883 3518 3 10938 2523 4 15948 1770 1 15368 4825 1 3968 3159 1 13914 2678 15 4701 879 1 19596 3930 1 13466 198 1 14908 519 1 14438 1363 2 6603 3337 2 3395 1781 1 7920 2653 4 8159 853 1 12941 1184 1 8707 1518 3 19217 232 4 9916 1827 14 18765 1764 1 10105 215 1 10048 4716 1 14114 363 1 11467 766 1 11220 4770 1 17182 4447 1 6516 222 16 13822 2617 1 8806 1257 1 644 768 1 4687 5762 15 7213 4097 3 17505 4376 1 14768 742 1 11932 5408 4 4572 498 1 14962 3408 3 16559 2595 2 5326 1720 1 3969 200 1 18224 3637 1 16266 528 1 12468 2355 2 2512 4615 1 12680 1973 10 17135 7594 4 1304 1116 1 6070 5395 1 17228 198 3 8506 7240 1 7590 514 2 13035 1763 3 15745 4944 1 7311 3448 1 9448 1356 2 14602 6949 1 20221 1247 1 17255 665 5 10509 1747 2 13626 3427 15 6292 5550 1 3663 383 1 5111 1871 1 12752 219 1 13199 6683 3 349 1643 1 4524 2648 4 15785 553 1 10290 1729 1 10027 2559 3 15877 7829 2 11374 6525 1 19801 1244 13 6781 184 5 8117 939 1 2029 3454 2 413 5162 1 2909 1714 1 9177 2566 2 812 4555 1 20148 89 1 11830 7554 4 1188 2556 2 10345 2639 1 11124 6709 11 5507 1239 1 5565 2062 1 10820 7423 12 4555 458 4 15144 3798 9 9891 219 3 13874 201 5 19872 2131 2 15449 81 1 13799 1819 4 9546 737 1 14690 3511 1 10155 1707 10 910 1380 1 14010 3859 1 15960 1819 2 9760 1729 2 13329 1369 1 3258 1250 1 1711 4468 1 14906 167 2 16682 223 2 6478 173 7 8513 234 1 6035 274 1 7415 1881 1 3133 6892 1 5143 7474 1 17803 3596 1 15705 1464 1 9568 6946 1 13 830 1 12676 6715 10 14921 196 1 4107 2691 1 10797 7475 2 18723 1728 1 15288 2082 1 13779 1576 3 8425 6150 3 13985 8072 1 4593 813 2 734 74 1 3090 1252 1 17115 6536 1 18609 1772 2 19649 1783 2 10245 460 1 11307 466 1 11951 723 1 8580 3464 1 18667 207 4 10720 1990 1 2132 6047 3 2795 1727 1 8832 5311 1 10918 1721 1 7577 7525 2 3424 4320 7 19776 7586 5 13636 1282 1 12659 200 3 10973 1244 5 18534 564 1 3980 1726 1 19222 6121 4 1151 2399 3 18160 2584 2 8903 8056 3 8522 353 1 17847 5286 1 10496 8178 1 11329 4312 1 7219 5495 1 11797 5036 5 14055 3101 1 3874 981 1 8043 2534 5 13412 2250 17 19927 1967 1 4503 2559 4 11993 5495 1 8311 1718 1 2227 4949 3 12047 2248 13 10355 5434 1 9717 2478 5 18653 2686 2 9652 1184 3 10154 378 1 9596 2955 1 18314 23 2 13526 2461 1 5504 2841 1 15364 610 1 2204 1277 1 17703 215 2 13590 313 3 6149 194 1 17195 3920 5 15996 1241 2 15224 2344 1 15952 479 1 15343 5860 1 413 2584 1 14580 128 2 7404 334 1 2629 498 2 15429 244 1 7311 1058 2 7359 1244 1 16845 1250 4 1966 1396 1 19826 5254 1 171 1768 1 8762 926 1 8746 1658 2 1263 183 6 4708 244 1 2609 1688 1 6057 7467 4 4528 225 1 16292 4278 1 15810 1781 8 3553 2675 14 19912 3429 1 3015 479 1 16836 6259 4 8965 206 1 10264 6440 1 12836 1824 1 11820 6676 2 14445 3762 1 314 74 6 17505 1249 2 3315 755 1 18696 1342 4 2982 4982 3 15429 4912 1 16019 773 3 10681 219 1 5185 7701 1 5918 688 1 14466 1731 1 10105 1726 1 917 6669 1 17772 4304 21 18286 6241 1 2951 1726 1 6457 1564 3 2935 4375 2 5886 1871 2 9224 329 1 17663 514 2 5167 3914 3 15235 5018 1 296 6435 20 5038 1453 1 11637 747 1 15265 786 1 1906 1796 2 8690 2675 3 7762 3011 2 14224 759 1 10224 3511 1 6950 667 2 7441 2586 1 130 5934 1 9178 5504 1 17261 2488 1 4774 1399 9 2068 3593 1 19795 496 5 12444 519 1 4430 524 8 16271 4258 2 6932 1715 1 9495 1613 2 14146 3373 3 1972 2899 17 1327 6363 13 18797 514 2 10920 207 14 19608 325 1 9670 5848 7 7663 3578 2 17085 215 1 12670 550 3 11698 1982 1 14301 5851 1 6683 216 2 15871 2605 1 15648 498 3 10649 2588 6 11070 6517 1 16864 1769 1 11773 2488 1 16194 5607 1 8433 163 13 13246 2815 1 10730 1311 5 11695 1245 1 992 1726 1 7830 4945 1 18623 184 1 16314 200 7 1137 580 1 18211 4618 6 15031 7098 2 14685 6252 1 7974 215 1 4701 5313 1 7610 284 1 15939 6545 1 174 7879 2 13857 1296 2 3138 1252 7 5722 6477 11 13629 1774 3 19635 3138 1 16076 1764 1 11336 4014 1 18241 3081 1 17875 3621 1 12208 8083 1 19740 3382 3 14047 2691 1 20085 46 1 13572 234 2 18395 4019 6 3581 3692 6 13329 23 1 745 1739 1 10916 410 5 3109 4974 1 8481 1747 1 13881 3747 3 17077 292 3 19872 4473 1 18206 219 1 10799 5577 7 8751 5172 1 11202 4657 1 17555 276 5 7871 1739 4 125 5573 1 15429 2426 1 2140 1305 5 1945 501 2 1465 7236 2 18270 8083 2 3869 3331 1 10714 440 1 6813 6064 5 8334 5206 1 18102 3063 1 15100 587 1 1883 1518 4 3972 5552 1 18538 46 6 9930 201 4 7726 3298 8 18124 1342 1 14517 6445 2 18765 2584 2 16016 2016 1 16810 574 1 477 1593 2 5746 206 1 7140 6898 5 6516 232 5 10043 898 2 11687 6633 2 13046 1235 1 1002 1743 2 118 5231 7 19355 2488 1 6091 1748 1 4335 1245 1 12988 2344 1 18866 4022 7 11868 6084 4 13743 1383 1 1164 2087 1 15159 3613 1 2341 1724 1 1930 5022 7 8859 4099 1 19401 508 1 12333 3525 1 4872 4950 6 16497 3558 2 1045 197 1 10256 203 1 7203 3612 3 20235 1726 1 17324 316 2 8182 2138 3 19688 46 4 983 1172 1 16096 5249 7 16417 6183 13 6792 3491 1 10137 1035 16 11305 4796 3 3085 1288 1 7243 3074 3 16519 5267 1 15841 7657 1 10345 5367 8 13965 4714 1 14864 1242 1 19089 6278 1 19230 184 1 4339 1757 1 7943 1780 6 17304 2529 13 19547 222 1 13619 512 1 5652 3492 1 18106 6099 5 11032 535 1 16336 3922 1 521 4673 1 13829 1757 4 7198 7788 1 1505 1755 1 12047 3972 1 7074 7918 1 19693 1727 1 8987 219 1 3082 201 11 9212 460 1 3014 7601 2 8620 508 1 3466 1635 2 9341 6053 11 4848 3612 1 17431 4008 1 14298 6059 6 3687 1757 1 5505 1627 1 5672 1995 6 11521 1267 1 3483 2791 1 14380 7285 2 4294 532 1 2803 5312 2 9757 4998 3 5246 3262 1 7231 536 1 18968 5425 1 18166 3113 1 6855 3050 2 5023 385 3 14837 512 3 12903 23 1 6511 6014 1 4196 244 2 14639 2980 1 19633 1146 13 6070 6332 1 13717 1247 2 8367 1328 3 12704 3276 1 10630 2352 11 8051 6039 3 35 1886 2 15854 1775 1 13652 1482 1 3900 842 6 8123 1755 1 13649 3493 17 13633 523 1 10627 7788 1 11461 206 1 5380 6152 1 19626 545 3 5041 5278 5 19713 2352 3 9042 2683 1 12602 6106 1 13740 1695 4 16819 1271 1 11751 203 14 12129 2419 2 18260 1908 2 11377 2419 1 19503 2015 1 13916 4171 2 7327 6135 1 1371 1825 3 9168 1778 1 6525 1399 1 18750 308 1 8442 3202 2 1114 173 3 10852 762 2 252 225 2 19223 196 1 13009 2849 3 3286 3799 6 16440 1747 1 3133 5254 1 20014 7308 1 15722 215 3 11043 2726 1 1706 5820 1 16408 1564 1 94 4299 1 8450 1228 1 8361 1827 5 19332 2254 5 19217 108 2 12831 341 1 13039 1583 6 13238 134 1 92 4174 15 15426 4401 1 14985 2141 1 6248 4995 1 6954 2357 4 11339 7599 10 13824 1698 1 4646 1296 1 18785 1399 1 11020 2175 3 17011 3331 2 2479 2686 1 4524 1739 1 4726 1147 1 11953 4713 1 6532 5940 1 6907 2742 1 7176 214 1 17452 989 1 1957 589 7 739 514 1 5831 3045 3 11848 517 2 3512 5156 1 1851 7213 1 11472 196 3 6943 5550 1 16677 331 3 18797 534 1 13102 6477 1 11839 5002 6 2204 2009 2 776 3669 1 12044 2569 1 18633 910 1 13881 5769 5 12695 2270 1 7663 833 1 7693 1707 1 4304 367 1 8969 5814 1 13552 7596 1 16036 1761 6 11968 4019 1 15776 4743 1 8055 1745 20 824 70 1 5737 5347 7 14981 203 22 9457 3399 5 3817 220 1 18462 3551 1 174 6750 2 19865 234 1 7469 1862 1 2925 571 1 7786 201 3 5115 1642 1 14393 5249 2 7765 1363 1 697 7515 1 7095 2385 3 10754 223 1 18038 3685 1 11417 2981 2 18311 219 1 15791 4500 2 6913 2 3 6724 850 3 178 1752 1 787 5538 1 14329 203 5 11570 1183 4 19814 4363 1 14318 2363 1 10435 4849 2 14820 1245 1 20077 4950 2 14522 1249 1 15969 197 2 17756 1564 1 12375 600 1 3498 6715 1 14758 658 1 13220 1146 4 19002 2560 1 12960 1243 4 13943 184 1 20029 3992 3 2221 5266 9 14147 1715 1 13598 6164 4 3694 6632 1 10952 7338 1 11581 526 1 8532 1732 1 132 6009 1 18517 1772 1 10108 215 4 991 6527 1 15291 593 10 11519 1530 1 19971 5314 2 8037 38 2 1488 7222 1 3931 867 15 16483 394 1 1481 1728 3 4665 5266 4 15307 787 1 6568 3083 1 14564 2109 11 5742 5060 1 3715 844 4 18608 2138 2 14132 4435 2 6749 8103 1 7943 519 3 6158 1778 1 12149 541 1 4015 167 5 2803 419 1 10415 1781 1 6719 3973 3 11243 2661 2 15192 3733 1 17432 4245 5 16246 2013 1 15261 1246 1 13117 7216 1 10095 1776 2 13829 1819 1 5617 482 1 275 5802 1 4329 6323 2 19752 4365 1 9894 595 1 7815 537 1 9572 5516 1 18534 7817 1 8429 1686 47 3512 2956 1 8876 6355 2 7994 962 1 19727 1700 1 20177 6665 1 6699 184 1 4371 4564 1 10183 545 6 1718 7234 1 7694 508 1 18273 1324 1 14005 5026 1 17567 6635 2 822 1154 1 19601 6717 1 16685 1707 2 14040 2912 1 54 2615 1 5232 2647 2 1453 889 1 19316 1253 1 5623 3699 1 15634 6692 1 17 1207 5 16109 1722 3 15708 883 1 1695 5121 1 445 219 4 15208 5294 1 18251 1146 3 5251 74 1 9406 4949 1 6694 1616 2 6651 2170 5 18115 1738 1 781 1727 1 15172 525 2 3578 4615 1 3826 900 3 11678 2964 1 18777 5264 1 7731 7125 1 8098 1695 4 8200 203 5 3763 4623 14 4868 23 2 16334 6177 4 16857 3617 1 2128 89 1 11729 7280 3 18281 548 1 16618 6473 1 16063 4026 1 3794 5935 1 3887 776 1 11502 4969 2 9571 4127 1 12817 385 4 2363 2132 1 16997 3304 3 4393 1319 3 4330 891 1 18516 514 2 8368 608 1 10254 2640 4 4561 7857 1 10429 5202 1 12822 8094 1 10490 2246 2 17039 2410 1 3165 6046 1 3071 1996 5 19641 1395 2 19867 1265 2 4609 1909 3 16199 628 1 7695 3167 1 12531 1742 2 9457 1250 1 14255 206 1 15340 2727 1 13417 2668 2 12041 2742 5 1026 649 1 18561 7878 1 16747 3647 5 11863 1757 1 20239 6252 1 16557 6120 1 8890 922 4 2813 457 1 13928 1705 2 7969 842 3 15272 1489 1 13820 3747 3 81 3678 2 17633 962 1 12346 1748 1 226 2114 1 10096 6534 1 19960 5480 1 8952 739 1 6235 3239 1 11267 95 10 9378 1464 1 12821 514 1 3826 926 2 10852 307 10 4098 1910 1 11259 6041 3 16849 1819 3 17878 3899 10 16259 520 1 18133 5564 3 14626 2428 1 10207 4296 1 5478 6204 1 6357 596 1 12279 6435 5 18234 223 1 11314 5686 5 10852 5018 1 3277 1060 3 5433 3954 1 3323 2897 2 8665 304 1 13829 4992 4 5738 1688 10 10733 2260 1 16809 220 1 8560 3203 10 11387 7356 6 12459 2673 1 4092 411 5 4289 2555 1 6692 1781 1 16090 3928 4 4305 745 11 14875 6510 1 18727 2671 3 17777 1714 2 14917 201 1 10658 1388 24 6650 525 1 10264 6539 1 12831 4404 1 17766 7668 1 12947 206 2 346 215 3 8795 2317 2 4726 1752 1 11314 1331 1 7994 7968 1 4106 6500 1 488 6471 1 14299 1296 1 6458 23 7 19034 3787 1 62 2867 1 7851 2031 10 18981 3693 1 6643 3649 1 8599 7350 11 1825 2894 1 18462 657 1 8946 616 1 5495 3537 2 11882 4022 3 4879 2584 3 11502 5343 2 5276 4614 1 14861 5078 4 3134 2980 16 10118 4982 1 11113 1819 2 18635 878 1 1893 5820 1 8256 973 1 7987 3516 7 18876 3840 3 13217 1275 1 18174 7422 1 15159 1615 6 13891 1344 3 17358 1249 1 17662 1732 2 7326 1244 1 8174 880 3 13821 303 5 1488 232 1 7312 1739 1 19272 7558 3 3326 7614 1 4509 4746 1 6179 5105 5 3491 1755 2 11240 3570 15 6758 7531 3 94 4300 6 3739 3182 9 15593 4507 4 9655 2969 1 6670 5150 1 17756 8139 2 7745 3164 1 10650 6776 1 10883 2671 1 16474 232 1 19286 626 1 2911 545 6 83 3806 1 17461 6571 3 16847 2401 9 11402 915 11 7586 847 1 6229 1556 1 11212 252 1 18338 5922 1 1477 6415 1 11041 308 2 5560 7777 2 7019 229 3 14345 6588 1 14141 1025 1 8010 6683 1 18821 1708 1 13953 4604 1 14052 1822 2 628 3869 3 12780 8145 2 5848 184 1 20090 1740 1 14865 1203 1 12851 512 1 16354 1686 1 3008 2729 1 4615 3511 7 12898 1742 1 17918 1116 1 18705 1724 1 2308 410 1 5245 1466 1 5960 4548 6 1500 1548 2 17453 4950 1 8969 6150 1 9824 300 1 18008 221 2 171 5098 2 15688 6481 15 337 3684 1 3630 4343 1 4459 2889 35 3432 3578 2 164 7436 1 4960 7497 5 12353 5757 1 12951 1342 4 14890 5398 1 16091 5081 7 18568 6457 4 1064 6682 6 15948 1764 1 11977 2555 3 3085 2114 2 8946 816 1 17459 662 1 16515 1819 20 12337 5037 1 10575 617 1 11493 1361 1 9433 7189 3 873 2116 1 4913 682 1 14488 2372 1 1332 1245 1 15508 4012 1 2672 6536 2 2811 1995 2 12947 1235 1 13010 205 10 6203 3686 6 11576 1909 1 6456 201 1 16767 4796 1 20191 561 1 15438 7213 1 6572 5129 2 1089 533 1 2333 982 8 6570 3701 4 4095 792 2 6880 2552 1 9815 224 5 10447 3645 14 9815 292 4 13829 235 3 2133 4280 1 2512 1819 1 3331 871 15 1639 2902 1 10449 7112 1 124 15 7 16180 743 2 1028 589 4 17500 1728 3 7251 3522 4 12279 1990 11 5486 6706 9 6090 753 1 2048 6706 2 10498 457 2 11786 347 3 98 4427 1 14257 1275 1 8226 255 1 8077 13 1 9250 612 1 18597 411 1 13987 201 1 5158 682 1 3411 2287 1 18149 1705 9 2917 381 1 7557 5040 2 7217 5016 3 16894 7102 3 3081 6952 1 11896 3312 6 1706 3488 1 9178 539 2 18510 219 1 2795 1736 11 15791 385 1 13850 5758 10 12501 1758 1 19050 1451 1 3696 1304 1 1026 4304 1 10035 7754 1 69 2483 1 14758 2737 1 10401 8194 1 12893 1242 2 5695 566 1 8137 2392 1 6072 3698 6 3274 2534 10 4121 1775 2 1007 5783 1 19000 2743 2 2005 3378 6 17127 514 1 12328 2068 1 11899 6581 1 9556 3081 2 3971 4232 1 11377 3278 1 2428 2383 1 348 4972 2 5044 6748 1 20121 1990 2 14379 525 6 10931 220 9 14526 1146 1 1332 514 1 16312 3275 5 2898 514 3 5652 470 1 13783 2294 1 13328 629 1 8090 2319 10 11107 1423 3 17477 2355 1 16346 2737 2 7404 663 4 14193 4877 5 5925 680 1 17805 3012 1 4057 943 1 7469 8094 1 260 2132 1 17 1037 1 1962 7462 1 379 706 4 15794 8160 1 13878 203 1 13219 8017 1 16707 7850 1 9347 2971 10 16736 721 1 10522 1183 1 13183 4105 1 14993 95 2 16818 6486 3 3755 6150 2 7763 8224 1 7679 8001 1 15379 2228 1 15676 4612 6 11059 173 1 7670 945 1 10887 128 1 527 735 3 3765 5440 1 12390 5390 1 5208 2969 2 16645 2080 3 5108 3909 5 4432 1955 1 7715 4578 2 4749 215 1 379 2123 5 9310 3610 4 1757 3087 2 19788 6164 4 130 5984 1 6776 5998 5 4092 727 1 2213 1519 1 8198 681 13 604 4402 3 9412 7911 7 11104 1661 1 2207 1755 1 9674 233 1 17215 8111 1 3008 6006 2 13928 232 4 19085 244 2 9930 4274 3 16351 5408 1 14474 1825 7 17708 3599 1 19237 1358 1 4435 3462 1 7700 2923 1 9523 148 1 17716 6979 1 17228 1498 8 7091 1197 1 2980 4724 1 7354 1466 1 2186 3909 1 14862 4436 1 230 223 1 18710 6238 2 6592 6002 5 10112 169 2 16702 1825 1 10916 488 1 17066 2869 10 5977 1253 1 11931 6986 2 6570 426 1 11776 7995 1 3002 665 1 8532 1245 1 11069 1727 2 10722 6152 1 4199 7534 2 11663 2969 1 13417 1878 1 3720 23 3 9498 498 2 11877 4435 4 15940 2980 1 802 387 1 9726 2120 1 2879 3892 5 1689 745 2 6883 201 5 2147 371 1 283 1741 6 15314 6670 5 8633 7521 1 2 111 1 13987 1245 1 5594 236 3 12853 6083 1 5589 2056 1 14475 7774 1 1913 6150 1 13676 2656 1 5316 3817 1 815 215 12 8965 3113 1 19967 6106 4 17283 2109 2 17719 81 1 14692 1395 1 18866 6680 1 11786 269 4 1725 6006 1 10382 7529 1 1755 1582 1 8997 3247 1 1028 845 3 9322 804 1 9395 785 1 14281 1752 2 12021 6025 1 4332 470 6 7518 1156 10 7883 329 3 6014 10 4 19428 3849 2 8439 1788 1 417 7461 1 11678 3536 14 19730 5971 1 9900 3932 1 19331 4029 1 7107 229 1 10649 2737 4 14800 2291 2 6644 7618 1 10738 7717 3 3437 23 2 10078 944 3 74 3486 1 14138 3263 3 5246 834 2 9224 802 1 18382 201 5 11867 207 3 3806 2626 2 19586 2410 1 450 874 1 2488 6342 6 9148 1737 5 1520 809 1 14621 1341 1 10900 200 5 9135 514 2 201 2520 14 10000 6979 1 17844 5888 1 4945 8191 1 14917 1764 1 236 7148 6 19989 6259 1 16140 448 1 13997 425 1 12876 2595 1 38 347 3 15377 203 8 1866 7913 5 15978 1781 4 6401 1707 1 17416 1312 1 8880 2793 1 8590 1315 3 584 5174 2 1615 3732 1 14861 3869 5 9628 796 2 13271 683 1 10730 2980 1 10290 891 1 19112 3840 1 6063 2721 2 2405 2661 1 7141 1965 5 19282 1190 1 5567 2901 1 10313 2488 1 15529 2065 1 19872 573 4 7470 7008 1 380 7951 1 3826 1277 1 17799 336 8 1264 5018 1 14060 336 3 9869 246 3 19193 219 4 1171 1727 4 8184 3971 1 12512 207 1 14753 3389 2 8670 219 2 19578 787 1 6473 2645 1 19686 3697 1 1796 2899 1 4092 2720 2 5552 411 1 18237 1747 5 19333 1251 7 18608 4447 1 19519 4676 4 12228 263 1 9642 3886 1 4397 878 2 18064 173 1 992 1771 1 11332 1769 1 19286 794 1 4589 200 17 15192 13 1 19326 727 6 3491 1728 5 12642 4807 1 7780 3510 1 3012 201 4 12851 1234 3 8495 6200 5 6518 5121 5 12660 1363 1 19608 321 4 7313 3892 1 6211 367 7 19593 4685 2 9450 8194 5 135 6192 2 6781 2523 4 3839 6293 5 2019 4258 4 812 1 3 19731 506 2 2194 926 3 9874 3685 4 15257 3301 1 8831 885 1 6061 297 1 1389 638 2 19763 4302 1 15105 200 8 2629 1779 1 280 519 3 15264 457 6 2744 4326 6 19326 721 1 7334 1796 1 11461 534 2 9345 2262 2 12918 2114 4 5881 533 10 655 5394 3 7426 5099 2 4779 5403 1 13016 3025 1 7432 1768 2 3674 8071 1 4081 1686 1 2803 4277 1 2519 4713 1 17505 7381 1 3750 3595 2 2371 193 1 5808 1717 1 113 5062 111 5028 6570 2 10017 3639 3 20055 5157 6 7817 3411 4 16407 6727 4 13055 53 1 12231 846 1 10026 658 3 18197 4013 6 9305 315 2 18387 3698 2 17868 187 8 10238 4470 1 13496 2192 15 8317 1789 1 8932 7606 1 7194 1805 2 15396 1062 1 4425 834 1 13758 4789 6 10340 4945 4 1437 3647 3 5427 518 1 13743 412 2 13394 1887 4 3521 1037 3 471 291 1 48 2449 2 15948 1734 3 15635 898 1 4077 6152 23 1553 233 2 9144 6106 1 8009 1278 1 6858 4218 1 470 7518 2 15512 5996 2 9995 3511 35 1945 4998 1 11604 1284 2 10254 6106 6 1391 5418 1 6363 6334 4 14336 3685 2 17898 5294 1 269 214 1 3258 214 1 8648 6663 3 3587 4146 1 2037 6341 1 1908 3911 1 850 545 12 3481 6139 2 12491 1825 1 2902 1738 1 6114 2351 1 9509 220 17 4320 237 3 4251 5523 5 1958 336 1 16835 2268 1 447 505 1 3602 520 1 12619 5768 5 19348 235 3 16571 5408 1 15309 2352 2 18178 222 1 18833 6581 1 10322 1697 1 2905 408 1 6997 799 1 11405 1705 1 12388 883 4 1649 1714 8 5424 1238 1 1983 173 3 1403 2494 1 3309 1913 1 3143 2225 1 4804 1151 1 17645 1745 1 6341 1274 6 13328 5433 1 8621 3314 1 5495 3423 1 3536 1756 2 121 597 1 452 6482 1 11597 3844 1 4397 891 2 4072 207 1 20202 207 25 18853 8025 1 11072 1730 1 18105 5571 2 10847 3703 1 3765 415 1 1886 1548 3 4153 1723 8 7187 1245 8 13711 1250 2 19331 220 9 3629 399 1 16556 270 1 17280 1960 27 9590 1771 4 164 7437 1 9270 7773 1 1399 270 3 3614 7244 1 3975 2109 1 16142 339 1 15096 3674 1 6772 512 1 35 1872 3 2718 643 5 8055 1466 2 16924 62 2 15438 4204 12 524 181 1 7030 903 1 9319 1561 2 5223 2970 5 17662 5018 2 11502 3840 5 5036 23 1 5425 3462 5 4050 776 5 1444 48 5 9178 1505 2 16612 7101 17 19776 4272 1 11549 8034 1 12090 615 3 14671 5186 1 14753 5506 2 12903 501 1 10758 5119 1 11177 3669 3 11533 409 1 19679 1244 1 5952 3972 2 9457 2378 3 11261 2922 2 1749 6229 16 10095 2292 4 11581 1244 1 6268 1571 7 9214 498 2 11 386 1 18976 3233 1 15970 5738 4 11467 4616 4 6848 222 2 10160 6363 3 8838 3255 3 17416 1689 1 6228 6240 1 14772 4450 2 5409 6922 4 1376 270 1 17369 7425 1 9311 525 1 9347 995 66 3161 1764 1 5161 1380 1 2007 1244 1 10037 1407 1 20081 6169 1 10999 512 1 14353 4572 2 1706 203 1 868 884 8 1705 828 1 6536 532 3 10393 3230 37 2020 6574 1 2094 3190 3 2552 231 1 4064 704 4 13096 2250 1 10692 3382 1 2003 2980 8 7208 5000 1 2221 2714 1 14276 3626 2 164 7441 1 14242 3984 1 5657 5036 1 16842 1395 4 19005 1582 1 4831 2600 5 16254 3536 1 1999 551 1 4579 1819 1 16090 1996 3 7865 3586 4 13925 1700 3 9038 3991 2 17850 5018 5 174 7892 3 12941 531 1 14434 495 5 17252 3591 7 13513 235 9 18193 5260 1 16263 156 1 995 6276 3 6593 506 2 9281 5989 1 14033 966 1 14951 5961 1 824 2885 3 6670 6342 5 6755 2409 1 3316 4075 1 7776 1814 1 9660 4283 1 5088 2353 1 4422 3685 16 12568 1975 1 17975 470 1 6920 3925 15 5172 1431 2 8343 201 9 7174 4025 2 12045 6338 1 10688 589 1 659 2675 1 5360 207 1 16123 219 8 9907 1768 1 327 5935 2 13342 1615 1 8918 3685 1 5412 504 1 6926 5810 1 11051 4968 16 11755 235 1 17910 3456 2 4155 823 1 7020 3693 3 4703 1985 1 4796 3729 2 16130 7531 1 19727 1234 1 20057 2724 1 15056 809 5 9753 557 1 13750 7674 1 2445 2401 1 2526 6029 2 10368 6477 14 140 6352 2 4018 1930 3 1204 1153 1 18968 3946 1 2413 1437 1 10505 1407 1 12242 6500 1 8585 1819 2 13069 2982 1 1544 4085 1 7306 816 1 787 4022 1 1823 2351 19 4997 937 2 10525 2350 4 17173 5824 1 10850 6682 1 10730 318 2 4371 1685 1 1983 502 4 12603 2253 1 16554 11 2 1796 7244 2 8387 3471 1 4468 1342 5 17249 225 3 19509 489 2 11360 741 1 18333 6490 1 10730 6801 1 569 1359 4 869 4118 1 15781 1564 8 10437 5807 16 18323 821 1 3003 2557 3 1825 3298 1 7404 809 21 4995 1827 5 79 3541 1 8150 219 35 20258 196 1 9568 2567 1 109 2350 1 12286 214 3 18237 1737 3 2613 1834 2 11325 502 1 12444 1797 1 16429 5325 6 17960 4623 1 5185 8046 1 18884 1288 1 14246 4902 1 3045 6278 5 19237 367 1 2025 4338 1 12269 6692 2 15368 1368 1 1212 4511 1 16113 3540 4 7999 2581 1 2716 190 2 6647 471 1 2876 15 56 11742 4277 1 10339 1518 2 12680 1978 2 13581 2979 6 17662 244 2 11090 201 2 6932 4959 2 2580 7614 25 16008 1573 2 15061 3798 2 9566 6482 1 5445 191 2 9836 3493 1 2716 196 2 791 2633 1 7361 175 1 15140 5451 1 8935 589 3 12760 7636 1 9182 7414 2 10942 4378 1 10228 3556 2 7020 220 1 6781 252 1 5046 518 3 10554 770 1 2045 325 4 5352 3213 1 8891 532 4 5354 7447 7 141 1321 1 16036 215 3 511 3610 6 14699 1728 2 11430 3511 3 15279 13 1 14522 570 1 20256 5970 1 3826 581 1 7133 2488 4 17927 3368 2 11541 6793 1 8088 3016 1 4012 4636 1 6198 2079 1 4519 7809 1 20262 1727 3 1525 1825 1 8562 7252 8 16918 6706 5 3348 535 3 17494 81 1 3927 4411 9 9693 3024 8 10283 3021 2 18829 156 15 8210 5957 9 1995 5379 1 10146 1363 3 5021 220 2 15429 201 6 12104 5922 4 6669 5285 1 701 3855 1 8391 937 1 3341 196 4 17142 302 1 10387 1253 1 17098 495 1 20262 6527 1 19866 1990 5 3342 512 2 4016 1248 1 11183 2581 5 14573 768 1 8609 6680 1 16923 1828 42 4019 335 2 185 1656 1 6213 2762 1 9241 2468 1 9547 2103 1 6881 702 1 6145 7495 1 9760 215 3 15683 647 1 13336 3494 1 15679 5495 1 17331 1814 1 6970 2990 9 15939 862 1 12423 7231 2 6463 379 1 4489 5352 7 9930 2353 7 1845 6237 1 8950 4789 8 9806 3909 1 115 5156 1 6001 1731 5 4057 1718 1 372 215 2 19935 5247 1 12757 3895 5 19753 2339 1 6258 6226 2 10219 553 1 15975 219 3 4023 2361 1 10314 7831 2 8842 6135 1 18932 683 1 15248 7964 5 18293 1055 1 20210 3239 1 19537 2708 5 6487 2494 2 5954 5292 2 19254 942 1 1073 6949 11 2915 1573 5 6268 4286 1 18939 3108 1 3638 191 1 11292 3853 6 6154 2001 1 6712 709 1 13357 4613 1 20269 1249 1 5162 911 2 11344 481 2 18481 3896 1 11212 1825 5 9761 6341 1 4171 3900 17 17220 944 1 10661 3879 1 16795 3970 1 15634 2555 5 5092 6270 1 2694 1482 1 19256 1827 5 17695 1764 5 3299 201 2 7184 1721 1 4332 2555 2 1596 2698 1 5785 3511 2 14842 6139 1 21 1404 2 11591 869 1 12286 2484 1 11642 237 8 10636 502 2 15693 3020 2 8690 2384 1 11562 1474 1 11179 2058 3 14522 8170 1 16851 7779 1 16769 624 4 9250 874 1 16270 1621 1 8852 1780 2 8368 3713 1 12436 412 1 509 1275 1 15779 7769 2 3848 8160 20 18071 6066 1 4165 4597 1 2991 207 2 4492 3663 1 13 688 8 16768 252 1 1622 5999 1 79 3544 1 12890 6640 1 9661 222 1 2646 5533 1 8273 7699 2 6997 6577 2 12128 4098 1 10267 1244 1 17014 4446 3 14888 4259 1 3962 4555 5 391 5783 5 5839 1099 2 9803 1253 6 181 3988 1 8489 2962 2 17049 2600 1 725 1139 1 19358 1737 8 1146 197 1 8154 496 1 18288 2154 2 19486 2065 1 10880 303 16 12659 219 1 18860 6167 1 12763 496 1 15956 2614 2 12740 508 1 2403 3057 2 5202 916 1 1837 8261 1 20239 2900 1 6692 1357 1 15766 4555 24 7545 3525 1 171 7621 1 17610 4312 1 11809 1752 1 5207 789 1 4305 5945 4 5667 2560 2 19740 1727 3 10765 1359 1 15798 7703 5 11678 2955 5 2445 2252 1 8391 5313 1 17865 720 2 20133 7512 1 16950 7533 1 5101 3219 9 16180 786 1 19088 4972 2 13652 7614 1 8465 1705 1 3031 910 1 3108 1508 4 16965 3818 1 16185 5978 1 13171 3819 1 2890 703 5 6750 3219 3 9150 5813 1 10463 1235 15 13797 6140 1 10997 1342 1 15468 1736 1 1251 1062 1 3424 745 1 10693 6602 1 6413 514 6 1949 601 8 2885 173 1 2201 23 1 19000 7089 1 9162 3130 1 5784 3679 4 1728 2297 3 5676 3840 3 13023 1788 1 8946 925 2 12181 244 2 17585 4501 1 1747 4258 2 5389 5172 1 6538 4610 2 20050 4352 1 8166 7672 1 3653 398 2 8185 3351 1 17835 4729 1 1907 2647 1 3324 2256 2 2480 1775 2 15098 1277 21 10670 2291 3 12122 196 1 16363 4792 1 11121 2691 4 2575 4607 1 16238 1739 1 13537 2626 1 326 308 1 46 1732 1 12881 7216 1 14724 2208 1 14374 203 5 1059 2569 12 5376 5755 1 3337 1473 1 4796 2115 1 6183 723 1 14244 7847 1 18960 696 3 18243 163 7 11015 8212 4 2886 2808 1 8323 4725 3 20007 390 1 2222 510 1 9759 201 3 5128 2355 1 6726 6617 11 11187 525 3 11402 4460 7 19740 1825 1 15140 1 3 18175 4589 1 10078 6252 1 133 891 1 9374 186 3 1358 2552 2 17088 1342 1 11362 7427 2 4450 823 1 11957 336 1 15314 1730 7 983 703 1 4935 6030 1 17360 201 1 10783 389 1 2663 219 7 11072 232 4 2774 8149 3 4397 905 2 62 2017 1 11938 1464 4 5662 2555 1 2877 2906 1 12322 1710 25 2293 526 2 18760 2262 2 12614 4998 14 19034 2737 2 6208 2699 2 5074 5820 10 17412 2504 1 6575 6441 4 6626 7964 1 8710 2584 1 8913 6549 2 4818 7850 1 6601 534 8 9168 1275 1 6922 514 6 16232 5515 3 15630 310 2 11623 498 5 14232 1372 1 18609 1482 4 10973 134 30 11219 1450 12 16755 453 1 946 3919 20 19252 1570 1 812 7467 1 745 7734 2 3412 2043 1 6858 2363 1 54 2012 3 8451 4403 3 3527 7653 1 17521 1729 1 5179 3515 1 17494 1251 2 10119 2100 2 160 7324 5 6332 794 4 121 5323 1 9891 1235 1 15936 943 4 14264 3308 4 15318 2013 1 6726 2216 1 1065 1245 1 2 121 3 9978 1054 1 2470 220 1 11167 1395 1 4092 805 1 8824 1363 1 10410 4600 1 3940 963 5 20090 3808 1 2790 3482 4 10698 234 1 351 419 2 12999 203 2 6244 7652 2 14276 2097 1 13824 3531 2 1064 1681 3 1130 2535 1 11131 72 1 18073 3751 2 8735 8091 8 3869 2600 1 8744 935 1 4498 4479 1 16876 220 2 14757 1187 2 9113 207 1 14958 306 1 15595 3077 7 2213 1335 1 13183 778 1 4663 665 1 3395 1721 1 9074 8175 6 9478 532 2 5953 5524 1 15836 1332 1 10901 5326 3 20062 4555 2 13525 203 49 6453 2581 1 14262 1756 1 415 3956 1 14896 863 1 14808 4607 1 9455 6031 1 6387 4402 1 2186 2686 1 3829 2671 10 11766 1728 3 8097 1236 3 4880 720 1 3871 196 6 10046 23 4 3307 1164 2 2882 229 1 6867 6980 1 18968 236 2 167 7568 1 4850 7182 2 3048 902 1 11014 4950 2 2732 1769 2 6358 3238 1 16758 1247 3 3910 1771 1 19253 2460 1 17110 8041 1 2154 510 7 16739 1720 2 5132 2250 1 488 5853 1 16075 6933 1 17544 1772 1 3189 6434 1 8730 410 1 1498 659 5 18018 3516 2 193 3206 1 7299 200 9 15932 499 1 16109 1728 3 11278 5341 1 3541 1814 6 2198 1331 1 6213 4949 1 15164 1661 1 18380 3156 12 14910 189 1 8425 219 6 14047 2338 4 454 4333 1 3866 7291 5 19944 2729 11 983 2869 1 4731 2378 1 7129 3068 14 12311 2938 1 14208 2815 1 2829 2284 1 3138 1731 3 1285 3460 1 3397 748 1 8989 7964 1 4425 6512 1 6833 536 4 4604 244 1 903 2675 2 9512 205 1 15939 229 1 8359 6355 1 3367 7850 1 4785 244 3 888 825 3 65 3196 4 4646 2606 1 1435 3634 5 14077 2701 1 6617 425 1 12682 5263 1 16154 1007 1 5227 1960 7 3871 1779 1 3395 2673 1 14161 1747 3 11687 23 6 376 6252 1 14556 5770 9 2795 1713 1 2910 89 2 2827 6231 2 2602 1720 1 15895 4653 2 14852 4343 1 855 252 1 10281 7853 1 10247 3262 1 8735 1756 4 13601 3493 1 18431 46 1 10147 3556 2 12184 1235 10 7380 1244 2 17368 1362 1 17306 4366 1 3369 4949 1 16361 2686 3 11336 7642 1 17402 200 2 17992 2645 1 12252 6414 2 7894 196 1 6867 4043 1 18807 230 1 8915 134 1 148 6724 4 16242 1236 15 11654 1153 2 10315 2356 1 17852 893 1 4498 880 1 13744 2261 1 3105 1883 1 8080 2377 1 64 3069 1 15024 3621 1 9395 348 1 12638 1825 2 6995 1923 1 11004 3163 1 18470 3442 2 16924 5253 1 10815 318 1 9258 1539 1 2375 8146 5 2885 3188 5 15242 411 16 19824 1248 1 496 89 1 13387 2619 1 4984 232 1 2069 2831 1 10775 1764 9 3822 863 1 19387 1705 2 5700 8194 4 5624 1082 1 19905 2575 1 5775 7213 5 15006 95 1 950 4593 1 11562 2151 1 334 779 10 17152 252 3 18455 320 1 19608 2013 3 2008 5810 1 19997 6152 1 6819 903 1 19776 2675 5 4250 3234 2 9165 1758 1 10287 1431 1 6782 2403 1 8585 3512 1 6533 4228 3 16468 7112 1 70 3289 1 7994 6048 1 8644 4002 1 1611 221 1 16665 1761 5 10815 5425 1 15043 5306 2 15769 3331 4 19597 6606 1 3015 4392 1 15205 1361 1 16340 204 3 16063 1932 1 16363 1762 3 1006 1498 1 15629 557 3 7097 628 7 11338 2675 8 1938 2980 2 13574 2938 1 10083 1991 1 8348 1153 1 455 499 1 5839 8203 40 5199 74 1 15841 7816 4 9601 7852 1 14047 1651 1 17290 7256 1 17392 2254 8 2726 5495 1 12299 8231 1 17953 327 5 18232 1728 9 11863 4890 3 822 1134 1 816 1131 1 19136 209 11 19604 5564 1 6238 3067 2 11786 2650 1 11775 1676 3 7780 1450 1 8532 219 5 111 5011 1 14963 7474 1 1760 8183 1 9468 1 1 456 303 3 7412 382 1 15313 8098 8 13644 534 1 20148 4877 2 5591 4936 2 10488 514 1 6539 5766 1 15184 2827 6 1606 557 1 9451 1548 2 12623 2480 1 6610 6009 1 15834 218 10 1002 3511 4 14318 7506 1 19931 173 5 10335 7535 28 11980 2663 1 11574 190 1 16339 470 32 4080 6793 1 18820 1825 6 5459 1253 10 19865 235 1 4751 203 1 17991 534 1 17599 761 1 12464 1747 5 10772 5391 1 16192 541 1 1278 3184 1 11727 5817 3 3309 3540 1 8443 8103 1 4542 6038 4 6795 8076 12 3048 4331 1 9209 4060 2 19547 4233 1 17996 5408 1 2380 5307 1 9280 5099 1 4900 1801 2 3500 6107 2 3651 5391 1 16524 5420 5 16373 2374 1 10498 1317 1 17257 1338 1 4765 5495 1 4765 2559 6 18632 3349 1 9230 2647 1 16090 7105 1 15191 3943 7 14400 411 5 1990 6170 1 18972 7422 4 5757 1978 8 7303 7229 2 11957 7570 1 19759 960 2 18443 3324 3 14770 964 2 7681 2768 7 17180 5512 1 6866 4274 14 16333 3554 1 4259 1736 1 20074 1748 3 1275 6031 1 7783 8141 2 13922 524 12 12029 868 6 4494 1685 4 17337 61 1 6213 5555 1 3553 4618 1 13922 864 1 6302 4582 1 14335 7445 2 126 5661 2 19331 1714 1 20009 536 5 4989 3972 1 15475 6029 1 2864 3 1 7399 467 1 2818 6599 3 12251 3255 1 12589 207 1 16006 3036 1 18711 696 1 16546 1357 2 5662 2675 1 10201 4428 3 19313 7427 3 6111 1910 1 5036 222 1 6304 3042 1 14506 2262 1 17084 302 1 14590 4657 1 10633 519 1 15429 532 1 15133 2219 1 6622 6031 4 13919 66 1 8982 2331 1 2412 1711 6 14059 1170 1 14193 2849 1 9466 1770 1 17132 8192 5 4234 2636 8 20180 1059 2 7882 203 7 10595 1305 1 2977 1965 3 4089 1819 1 6684 2541 1 5840 512 1 16897 2995 6 16057 553 1 8914 6670 1 10225 3549 2 7228 2837 2 20009 1913 1 7884 222 1 10037 2398 1 16121 2530 1 19284 3248 5 4127 7410 2 2390 3234 1 6509 8119 1 2508 4378 1 1671 220 1 4092 229 3 6909 7689 2 299 512 8 11001 882 29 18246 1763 1 80 3632 8 8835 3021 7 7994 634 1 2045 3230 2 5363 4865 2 7000 2869 1 18042 4343 1 18876 3701 1 18874 409 1 5160 1312 1 5929 955 1 19518 190 1 9638 1707 4 2889 1778 5 3467 3971 1 17337 385 1 8519 233 9 16259 1453 1 14688 1997 6 10452 1248 1 19286 752 1 11131 505 1 17505 165 14 6420 3411 13 2799 1752 2 19331 1253 2 4199 6533 1 13646 6064 1 11663 1235 2 7123 1825 1 13252 1305 3 13578 2729 1 14454 1338 2 755 1450 1 19135 6697 20 15718 6345 3 6759 413 1 12322 1241 2 3607 1184 1 10692 148 3 2550 1717 2 19765 490 6 11804 5506 1 10102 1328 2 3936 490 6 10693 2793 2 11512 274 1 906 2555 1 8965 3515 19 6044 2732 1 5452 1695 3 16314 197 1 11230 719 1 15578 2559 2 8946 300 1 6175 1825 2 17633 2737 4 20249 532 2 12453 5319 1 10604 967 3 583 7989 2 3268 207 11 5863 1663 3 6392 3456 1 11603 8175 2 11200 23 4 9650 6140 1 6907 2853 1 8694 1707 1 5409 235 1 9375 200 1 7871 3146 1 17019 1762 2 1606 3074 1 18893 8084 1 8512 5955 5 18252 1632 1 16200 1250 1 2103 164 2 14062 1819 6 8021 74 1 9648 1726 1 12343 1819 1 16305 7847 2 16583 2504 1 15752 640 1 11882 6051 1 19434 3256 1 1620 3069 1 11786 6368 2 18672 3442 1 15535 5997 1 14203 7491 2 18869 4762 4 481 7885 20 8990 3510 2 5170 219 1 2322 1518 1 11781 1741 2 62 3026 5 12737 3671 2 9759 1819 2 4393 203 1 6692 1760 1 10766 173 2 249 2205 22 3472 1731 2 4195 6341 1 4094 4868 4 15608 1357 1 4544 222 1 189 6576 1 2806 4789 11 13807 1277 1 1530 232 3 11489 6341 1 15992 905 5 19729 196 5 272 2550 2 2509 3596 8 19200 2500 1 8360 505 1 8495 2653 3 8523 634 1 11259 52 2 4572 4446 1 15468 1275 3 8388 3571 1 18992 1019 9 12393 1357 1 17753 1453 1 7656 534 12 7958 6778 1 12193 3899 2 16031 206 2 12984 215 1 20090 4299 1 19608 270 5 3594 7740 1 3992 6053 1 13459 34 1 15192 243 1 6421 792 1 10203 6018 2 4524 2698 3 17683 1396 1 6070 7424 9 8694 2683 2 3703 1342 4 16348 2384 1 3111 4661 1 20276 4998 5 2798 2100 1 3945 173 2 16557 2355 2 2526 3531 1 11131 849 1 14307 3622 5 3806 3135 3 17893 1727 2 18628 8153 4 11458 2412 1 4373 4258 6 11377 2252 1 8626 452 1 19930 1665 2 7954 5007 1 18270 6442 4 7486 7146 2 14404 23 11 18193 1453 1 10 299 1 1727 1827 5 10037 2423 1 15159 6222 1 13666 3920 1 7943 214 8 10157 3899 1 13916 4180 3 10171 3522 1 7058 631 3 19741 3634 3 3705 1745 1 15852 5016 1 17406 4008 1 20023 7215 1 18999 2357 1 17054 6006 3 6742 6501 1 8965 1695 1 14059 2958 1 14333 5089 2 3968 880 1 7484 6912 2 14599 588 2 15436 4998 11 19240 184 2 15319 23 1 6907 7098 3 2473 270 1 3345 888 3 11451 3869 1 12913 3352 1 3911 6139 38 241 2336 4 12328 6892 1 16491 496 4 4869 201 1 13707 4996 6 4538 214 8 3822 383 1 19549 7275 6 13024 201 2 10416 1482 3 9224 931 1 1241 385 2 2675 184 2 15343 2675 2 12060 2481 5 10670 883 2 19286 466 1 5270 2004 1 1216 2254 3 2075 2355 1 15497 64 1 16738 3686 14 5884 1245 1 13462 3578 1 18608 1779 1 4538 4998 26 5884 203 5 7138 440 1 1896 1518 1 7988 3570 2 916 5871 4 2675 2685 1 13865 863 1 5899 599 1 19590 883 1 181 6845 7 7536 3333 2 16147 3236 1 18377 933 1 11417 6957 2 7295 2758 4 16059 1827 8 3115 6897 1 15673 5285 1 12299 225 1 14727 6759 2 17518 834 1 835 1475 2 11148 2353 1 18755 4493 10 16625 1706 7 11051 2649 1 3133 3715 1 5950 2253 3 18174 864 1 13770 1271 3 5352 5791 1 9596 7368 3 17101 4760 7 11519 5945 1 13763 4972 3 19233 1241 1 92 4124 28 1920 3670 1 20172 165 4 5738 931 6 4305 874 2 5206 1895 1 7491 5325 1 20044 1757 1 547 223 1 6687 409 1 4850 2508 5 6697 5315 2 18237 523 4 10743 3663 3 16614 1248 1 6048 1757 19 16364 7622 7 7879 23 1 16554 228 1 3424 1587 6 1701 5408 3 6589 3556 1 13600 512 1 14011 1211 1 17575 982 1 6570 6069 5 113 5061 2 11428 7410 2 6392 5674 1 6595 514 4 15342 3155 6 17881 6754 1 14062 891 7 4193 1740 1 1588 2072 3 18779 1103 2 6123 1407 10 18568 1303 1 5631 3572 1 216 3907 11 12410 3081 1 4941 1300 1 9115 1471 1 8832 2774 1 3668 1341 5 10584 214 1 10105 2606 1 3826 945 2 6752 201 1 15679 6554 1 5258 5903 1 16700 625 1 16781 4245 2 14786 5448 1 13328 5564 1 16185 3239 2 1923 230 1 7065 2507 1 19053 819 1 3354 1473 2 4670 3913 2 11322 2836 1 13131 3637 1 1139 365 1 16270 712 1 15384 4963 2 850 1064 2 14516 7809 1 2959 5054 2 17491 502 1 10539 2380 1 11507 2161 10 10195 314 6 19695 3255 1 4970 4774 1 10079 5051 6 14399 1128 2 15128 6268 2 15140 2646 3 7705 1688 1 15604 222 1 12890 1727 1 15895 8026 1 4941 3950 3 5437 1247 2 4370 2392 1 5712 1235 3 6743 1819 1 6016 6583 1 17180 4012 1 6883 5922 5 17149 4245 3 12934 1720 2 15701 7570 4 13553 809 1 2818 1235 3 7261 244 7 14906 3899 5 14981 2016 1 15969 1731 1 14527 1946 1 13185 7734 3 7818 7414 2 3581 215 3 16825 1720 2 8291 3634 2 10342 46 1 15385 8184 9 4879 4789 1 6628 3741 1 835 848 1 6712 674 1 8550 2675 28 14055 191 1 570 2883 5 1325 190 1 18634 718 2 1858 1268 9 10916 610 1 806 7850 1 15952 2004 1 10688 7820 5 17167 1450 4 4492 1246 1 13089 1251 1 4519 3244 1 140 6407 15 14561 2360 1 13629 7857 2 4841 3327 3 17494 4029 1 12231 2431 5 9660 2682 3 19724 260 1 14218 1748 4 18056 1053 2 9891 3113 1 13008 6481 3 12879 5758 1 13778 1985 1 7052 3230 2 4949 23 1 20123 5389 1 1848 4204 1 12690 452 2 9053 1705 7 17518 60 1 13165 3485 1 17549 2407 1 135 6218 3 1933 4102 1 17805 214 1 9024 1466 5 13839 825 11 15429 1464 2 9809 7847 6 1420 1464 1 5685 1277 1 12740 232 11 8545 718 1 19387 4653 1 6667 207 1 6096 7901 1 19026 1342 1 9061 755 1 9253 4540 1 15505 589 1 995 1714 1 10238 4463 1 2557 3117 1 11346 367 1 2830 23 4 14256 1399 2 1296 7477 2 15474 1763 8 12213 2378 1 11301 833 1 2584 2068 1 13323 1090 1 4543 4320 1 16137 204 1 304 291 3 4424 2649 7 3485 222 1 13002 3512 1 2710 252 1 18775 525 1 14994 2920 5 13682 207 2 5416 2303 1 3505 6047 1 13619 1313 18 7535 201 5 13640 244 5 4149 5466 1 16223 2938 1 10240 525 2 2785 3109 1 17283 4397 1 17182 3022 6 10015 6561 1 17873 3155 1 15586 347 3 6861 2291 1 19981 219 1 5140 1729 3 9619 232 2 7718 2016 1 19477 1877 1 8083 7815 2 5497 867 1 1445 7413 5 17152 214 6 11434 222 1 12181 521 4 10864 1781 1 16231 3596 1 20090 5516 1 10445 5888 1 16019 3239 2 18115 5252 5 9628 943 1 20225 721 1 9796 2561 1 6851 917 1 8831 7511 2 65 3173 1 1629 4559 1 13195 200 37 14994 8152 1 1774 2355 1 15098 8156 1 14201 5897 1 10329 3494 2 7564 534 3 18633 2418 1 11559 1762 1 8657 499 1 13829 1714 1 12468 1722 1 868 2898 13 5589 2635 1 17608 3635 1 20268 1464 1 3255 1770 4 5053 6473 1 16621 1679 1 14162 1035 1 14114 4404 1 6213 5466 2 18698 1658 1 8532 1728 1 12054 5516 3 6773 1198 1 12231 2756 2 4979 1703 1 17414 4156 2 11499 316 1 9104 545 2 10943 233 11 592 1350 1 18132 3547 5 19804 6082 2 16977 5418 1 2443 946 1 10841 7148 8 16588 2435 1 3824 1877 1 15344 1333 4 6556 99 1 14519 2124 1 13046 1748 1 5980 203 5 10087 201 1 6510 52 2 7568 328 3 13626 173 1 17536 7419 1 12502 512 1 2151 1118 2 17431 758 2 6509 1046 2 16063 4038 1 1171 1747 2 4991 1770 6 9989 478 4 17166 1295 1 10262 1727 1 10733 203 6 6819 6031 4 16612 5269 1 19796 7155 1 19115 1728 4 5129 1352 1 8452 81 1 12737 6690 2 15940 5851 1 7850 2128 1 5025 1715 1 6795 6361 3 9960 3910 10 3504 1705 3 9973 3710 2 18089 1283 1 11108 2497 1 14342 8146 16 16728 2170 1 11195 201 3 15578 506 3 8299 5788 1 6690 845 1 16270 950 1 15520 206 112 9297 2717 1 4960 3311 1 3705 1146 3 4648 1741 1 1910 190 4 17662 1482 2 13091 5325 2 12513 2534 1 855 1240 1 14035 4258 1 11259 1265 3 1854 4312 6 7181 1981 5 12970 4903 2 16557 7403 1 8391 1612 23 9869 1707 3 19460 220 1 1047 1119 23 15223 1745 1 17767 910 3 18039 899 1 11540 6557 2 552 1764 2 1653 8167 1 2461 205 2 6228 3807 1 3399 5272 1 14706 532 1 19857 362 1 5696 1717 1 3642 785 1 13313 6772 5 11455 4841 1 6168 6414 1 11035 521 2 11077 232 1 13640 196 4 9715 7830 9 928 1732 1 3397 766 1 9593 7312 1 7856 4042 1 19282 127 3 13592 1104 5 17716 7013 1 81 3641 1 14018 200 24 17833 1595 1 4076 229 7 412 514 1 4796 95 3 4408 3649 4 17977 1482 2 9858 1681 24 10317 5306 1 19588 1235 1 13992 1078 8 16670 6756 7 14648 5325 1 14564 6132 1 8057 4290 1 1050 1731 6 17549 82 1 11943 1721 1 18500 215 1 2699 6068 3 15736 1775 1 975 184 1 6539 4361 1 4049 5129 2 11651 1740 7 14553 35 5 164 7254 1 10926 1917 5 11615 1146 1 11923 7400 1 701 381 1 6166 5016 1 15009 6231 6 3199 4599 3 18325 6585 1 11277 6517 1 16176 4969 1 1839 7603 6 12009 1819 1 13156 2542 1 13998 7872 2 8255 723 1 19286 222 2 10070 4083 1 6058 442 13 3100 219 1 7445 2889 2 960 3058 1 13919 4475 1 6690 7719 1 10862 7719 1 9220 23 1 10617 221 1 14780 1702 4 5652 156 10 5672 504 1 17171 1203 1 10856 525 2 6776 3526 6 19779 3876 1 13145 1164 2 10633 173 1 13490 5315 1 7480 2795 1 1699 3019 8 18204 7299 2 7994 709 1 19870 3316 32 452 1190 1 658 1236 6 6904 1489 1 12343 4022 1 18211 1756 5 6724 8027 14 18142 233 2 13546 7603 11 8885 3011 1 3570 3904 20 4914 2646 2 16682 470 1 6228 898 2 11603 525 1 13994 1243 1 7527 6374 1 18132 4303 1 12995 7823 1 7640 2743 1 12113 1747 2 11820 6626 3 9566 3894 1 4960 3980 1 12871 1819 1 10313 4572 19 14114 5333 1 15072 682 1 18968 5538 1 1266 1819 1 4517 5649 1 4708 8183 2 19878 1242 1 10391 685 1 3619 1692 5 2213 4623 7 14522 661 1 19776 3555 2 5425 184 3 7327 995 3 2777 4992 2 9573 23 6 1872 23 1 12982 308 1 159 7248 3 8454 156 1 9879 57 1 6510 7632 2 8875 1282 3 298 536 1 15943 3972 1 16183 173 1 1241 1518 4 4519 755 1 6420 365 1 14258 223 2 924 303 5 10797 4706 5 12654 4572 1 3694 1779 1 18763 1249 3 13065 1720 1 2785 5319 1 2362 1924 1 13424 5690 1 18742 3060 1 10202 1747 1 14427 7527 1 1288 6713 1 18424 6667 5 8517 6754 1 11111 1235 1 8261 1695 1 19764 7606 4 15629 788 1 19675 220 13 8532 1789 1 8369 5937 2 1595 23 1 17405 869 1 384 1924 4 8371 164 2 13140 8217 2 1690 2880 3 10519 407 6 12700 1658 1 17810 5234 1 482 4946 1 14688 6029 1 10009 473 5 12093 5584 1 10399 1995 2 15530 2894 1 13219 6065 4 8615 4314 1 2192 519 3 4121 8247 1 1528 303 2 2886 5750 1 19864 3138 1 15468 1276 3 8151 2256 2 8202 1267 2 14522 1784 4 3532 3877 1 8821 6949 1 15154 1146 1 6269 4992 3 241 1760 1 17171 6031 1 11533 794 1 655 3101 1 2131 206 2 11509 1686 1 11798 7787 1 10000 433 1 8749 1819 2 6100 1505 1 351 1105 1 16442 496 1 8416 23 1 15931 2356 3 8343 758 1 7285 7136 1 67 757 1 15325 5446 1 12544 200 2 3090 471 1 5863 1665 2 15752 873 1 4056 3074 1 17302 3351 1 17662 235 2 14284 667 2 4050 190 1 3354 589 1 6690 2841 1 8860 3389 1 668 964 3 640 7624 1 13078 244 1 13884 4563 1 8156 303 11 4211 7319 1 787 4013 9 7645 7746 6 17647 419 1 6796 6892 1 9319 2097 2 8139 201 1 10924 235 3 14435 234 3 2286 7422 2 17323 1863 2 16998 1686 1 16831 225 3 7744 3352 2 6049 804 1 19090 2955 1 8051 7108 1 2280 215 1 13236 6163 1 19272 883 2 14330 203 4 7520 1247 24 4946 2832 1 12659 506 2 1443 1775 1 20156 3338 1 16590 2729 2 15802 3596 3 9930 8184 2 4604 1249 1 11080 6141 1 4385 843 1 13032 5382 8 13672 867 5 4057 2998 1 18928 226 1 15395 2662 4 14196 5187 2 10101 1738 12 787 519 1 17541 670 1 2782 3584 2 14985 1695 1 1472 1244 1 5131 4589 1 4543 1751 1 14196 4555 4 10416 2352 4 138 6297 1 926 2080 2 8012 4653 1 3491 4436 1 14173 670 1 6952 7883 22 86 3999 2 9244 23 2 13461 5408 4 19872 4036 1 2147 5175 2 16312 411 5 15576 2977 1 15824 23 3 9195 7411 1 8913 3419 3 4239 1772 3 6166 863 1 7147 937 1 8804 2663 1 6390 23 3 10354 190 3 11990 797 1 1682 23 1 8083 4366 5 9417 501 2 13640 1751 4 10570 214 2 12828 1718 1 4472 215 1 10698 3399 1 593 910 1 4318 206 1 5156 4716 1 13743 7138 1 20159 7901 1 119 5243 1 17909 3779 1 5831 7021 6 16325 1717 2 5822 1247 1 12209 1239 5 6124 1239 2 1231 225 1 14733 4616 4 4018 5021 3 2544 2343 1 547 1961 1 8532 536 1 12897 4022 1 18645 443 1 1049 1583 3 11502 244 3 5617 5810 1 16230 891 1 18071 868 1 5121 7539 1 133 6020 2 174 7910 1 13035 3316 1 19429 4389 11 14828 2888 1 15068 1724 1 7129 496 14 7017 3021 2 14030 2681 1 14753 4567 2 15791 976 7 2884 7623 2 1703 2355 1 10462 2010 3 572 4488 2 8786 2044 2 16853 1518 3 13711 6102 2 19996 597 1 17302 3494 1 8006 2636 1 13966 1416 5 10143 6677 4 15425 7998 2 496 764 1 6475 1727 5 10152 2676 4 17179 4998 1 7932 5419 5 17172 4038 1 17669 6341 5 12295 200 6 7450 232 1 1606 3406 1 9777 4314 2 1772 498 1 15104 215 1 11740 8192 30 11388 7406 1 296 3065 2 3411 5022 1 627 190 5 1445 3907 1 341 211 1 8375 5293 1 14172 7244 3 2568 8029 1 413 206 1 4453 1613 1 9446 5253 1 19286 1719 1 19511 1276 1 8251 6331 1 3822 2584 1 16960 4225 1 16546 5888 1 3390 2386 1 698 8029 2 13570 4508 1 18190 3474 2 13792 7670 1 14350 411 1 7937 411 1 16060 5324 3 5863 5922 1 5160 2749 13 6211 2353 1 8495 6159 1 16417 5806 2 13287 6106 3 17 1221 2 15272 4243 1 9432 597 2 12046 1642 2 17135 532 1 13667 5105 3 9639 7220 13 362 1747 35 10036 7925 1 8082 1137 1 62 2832 1 17638 5224 5 9284 2407 1 12537 3511 1 7251 1974 5 4960 6338 1 9666 1531 1 7993 1664 1 8659 203 1 19724 1734 1 7779 2653 1 15958 7643 1 9465 1236 3 1092 2632 1 3146 4431 1 15281 3511 7 3824 1424 2 5624 4475 5 8237 15 1 18042 8229 1 5929 810 1 17203 308 1 3318 6856 3 19078 2016 1 271 197 6 18633 1814 1 5548 2138 4 14566 5758 1 17468 3842 5 3550 7981 5 108 4866 1 6018 225 7 3207 2646 22 8716 3721 4 18014 471 1 15419 6341 6 15205 1582 38 17197 2481 1 6492 1752 1 11723 6597 2 19889 4122 1 6940 2494 1 15109 518 1 16266 1819 1 14842 1464 1 10156 792 2 19601 881 1 19687 4963 3 15926 3682 5 17688 7881 1 10452 711 1 2483 1252 3 2228 4606 1 6348 640 1 17110 8071 1 15040 4662 4 3841 3643 1 14617 6047 1 16655 1713 1 13792 3233 1 15722 1252 1 1454 5986 4 8848 4761 1 16767 236 1 7822 5688 1 13126 3591 1 9455 5441 3 4208 1464 1 7374 1781 1 19822 1752 1 7010 3670 2 8668 1341 1 6907 6198 1 52 2552 1 6769 1063 8 11483 7787 3 9369 220 9 9672 7227 3 16254 6423 1 17634 5247 1 15339 1184 1 4268 1561 2 13220 1587 22 15855 75 1 10558 2646 1 4307 1772 1 13881 3081 1 16857 1249 2 7823 3836 4 8608 232 1 17638 759 4 738 4818 5 8198 3776 1 11129 525 2 74 3480 2 10711 3333 1 14385 3511 17 3536 5737 1 17845 221 1 4850 5394 7 4262 5264 1 11786 6363 2 15383 3427 5 4460 339 1 14114 558 1 218 1777 1 17205 6091 1 91 4071 1 15072 223 1 7300 6044 1 7450 514 1 13445 308 1 5108 8141 11 17220 1249 2 15633 6150 2 7300 4325 1 13705 3571 3 887 1713 1 11282 1827 7 17185 3024 1 15471 4459 2 2522 1819 1 14233 34 2 15849 525 1 19993 6616 1 17329 539 14 13086 5804 1 12 531 23 16475 4204 1 14253 792 1 18074 7136 1 899 910 1 9891 1779 1 5862 3621 1 1120 796 1 9916 440 5 2962 5737 2 19982 8175 1 156 7172 4 835 1482 6 2350 6053 11 3808 1286 2 15368 4204 1 11478 206 5 16057 235 2 17094 4435 1 18666 4112 1 15022 1374 11 17496 846 1 18762 1784 3 1801 428 2 12605 1714 1 1836 1015 8 3985 53 10 33 533 1 19870 385 2 11069 2332 9 1551 2731 1 14445 4284 1 14145 2068 30 18893 536 2 11786 7311 1 19993 6507 1 6938 5018 5 18932 8162 1 5529 3233 1 13711 1739 1 12645 5452 2 13800 422 1 16894 6935 1 655 1078 3 10988 367 2 12619 2062 1 18939 2356 1 1794 7661 1 18270 1779 4 14119 466 1 9439 2674 2 19425 1184 6 6828 5202 1 10171 3117 1 11182 696 1 8961 235 8 1671 4555 3 17634 5144 1 12453 545 2 16978 5995 13 19807 995 9 11585 3233 1 16925 428 1 17353 5758 1 18193 2633 1 1304 3511 22 10598 1917 1 12453 467 2 10784 8030 1 3898 891 1 3161 7740 1 2807 2076 2 3924 6945 1 12213 7420 1 14762 1450 1 11963 7102 1 17696 2369 1 13126 5468 1 15374 1705 1 6793 1882 2 6834 6320 5 10436 5874 1 2797 6498 1 8566 219 5 3705 3584 1 7760 718 1 1617 510 1 19725 186 1 7670 762 1 11121 3176 1 1198 1686 3 18885 1740 1 16367 7229 3 10344 705 3 5496 8137 1 12403 235 1 13729 6957 1 14658 1731 1 5908 201 1 16774 1237 1 7273 214 1 16784 304 1 13430 188 3 8281 7602 1 11024 1 1 15015 4977 4 18518 2364 2 4471 133 1 19381 5808 1 7952 1769 1 5391 1975 94 2761 5439 1 3915 3480 1 19924 510 2 20044 2998 3 6859 1055 2 12623 8060 1 101 1737 2 18286 1245 1 18807 148 1 14301 875 1 10581 1505 4 10406 751 1 1326 215 1 273 6192 1 18174 630 4 535 6332 2 2617 1296 2 17852 839 1 2430 1237 3 14990 4948 1 17218 5488 11 16847 4972 10 3826 427 1 456 46 7 2834 3023 2 7912 1284 1 11516 1990 1 3825 1734 2 7734 1738 6 4117 1705 2 18730 33 2 8489 1054 15 5607 1762 1 20022 1249 1 1553 506 2 1135 1357 3 12304 2793 1 17746 767 1 9427 531 3 802 3234 1 19731 5768 1 19841 6334 1 5301 1776 2 13835 853 24 14870 6080 1 7157 1259 1 9024 3012 1 15817 4040 9 1379 4557 1 14569 7124 3 4484 7231 4 14440 1342 1 873 3734 2 13601 519 2 11928 7737 1 12897 937 4 14197 7853 5 12142 5257 3 4688 893 1 13055 6639 2 17981 23 1 7688 5309 5 19262 411 3 4305 5320 1 7723 2354 2 7991 1087 1 4970 714 1 9058 2357 1 18115 7750 1 10720 1662 1 15943 14 1 1191 2269 2 18979 1602 1 542 5538 1 4519 663 2 9808 514 2 6449 2261 4 16546 858 1 12525 2133 1 15372 215 6 13230 4477 1 2377 1909 3 1141 2355 1 8149 3519 6 19401 1819 2 2643 916 1 16358 1720 1 10943 3526 2 13601 2747 1 4305 4070 1 81 1369 4 15288 6484 1 18880 244 2 2917 863 1 15964 910 3 20014 1737 1 10462 1116 4 3725 692 5 20145 496 3 5616 3219 1 11976 1745 1 19017 5517 2 7882 532 2 65 3163 14 6063 3840 2 20174 7229 1 5100 442 1 5662 3511 23 10452 7854 1 1801 2007 1 11468 536 1 5860 8141 1 8288 4982 1 2844 979 1 6891 335 1 19270 1995 1 5223 3526 6 10145 46 1 8982 514 1 19349 524 1 6228 552 1 18429 4369 3 5142 7511 1 7943 6299 1 7850 4674 2 10933 498 1 15599 2219 1 4551 470 4 458 1731 1 18623 207 1 13122 5363 6 133 6041 1 81 3675 1 8686 7647 1 10345 203 2 4772 7554 3 18251 3148 1 14906 156 3 17017 2696 1 17061 4665 2 19272 407 2 3581 4233 1 3306 1302 1 18029 1991 2 608 201 3 35 1937 8 8910 2897 1 2045 2698 7 10391 409 1 11820 2388 1 4649 5506 1 17014 5735 1 6191 2087 1 17056 2234 15 17402 1877 2 16562 727 3 11693 3135 2 4872 4293 6 4536 4660 3 35 1961 1 11210 1518 5 18119 2980 4 18462 6065 1 6459 3228 1 8456 3733 4 13636 1334 4 5868 4015 2 2828 1718 2 9403 1695 1 6492 1734 1 18096 5512 1 7784 1564 1 11509 4972 1 16249 3715 1 8692 888 1 13518 4056 2 18655 201 1 19544 6414 1 16192 23 2 18982 6620 2 13373 633 1 7609 637 1 15081 3064 34 11766 206 1 15424 4998 5 15596 4352 1 5658 23 13 4753 2606 12 6217 2276 5 13132 865 1 9836 4604 1 140 6439 1 19596 8096 2 4195 1760 1 8965 1247 3 9622 371 1 10309 927 1 12642 3540 1 62 3033 1 18320 779 1 14557 1151 7 10876 7167 3 11663 201 2 19331 498 3 10996 5052 1 3817 1695 2 8952 865 1 18276 718 1 14573 605 1 20126 638 1 19855 509 31 16278 1982 1 5901 3421 3 17892 2139 1 9419 3452 5 19034 5441 4 3792 1105 4 19508 5120 1 17953 233 1 4853 6801 1 15351 6496 15 3521 1251 2 15154 190 1 18183 367 1 18466 5466 3 11668 1721 1 2590 1760 5 824 8102 1 417 2626 3 13331 7101 1 15850 89 1 4305 5343 3 8861 1712 16 14405 2653 3 7841 652 6 7999 3732 1 13195 1721 4 8721 226 1 124 219 1 19005 2554 1 4830 3732 1 14599 2915 1 8137 220 1 18340 201 5 6305 505 10 11863 596 1 20145 175 1 17058 828 1 8714 7005 1 14689 220 2 18262 1771 1 13016 470 13 17886 7197 1 7895 918 1 13140 1225 1 10422 248 8 6544 3058 10 15924 6274 17 18546 6690 2 9891 214 1 1092 4001 1 7435 3492 1 17416 403 1 16500 883 1 5465 6295 1 6452 948 1 121 780 1 19264 1251 1 16489 4698 5 15605 381 10 19759 2675 8 17257 5737 1 4817 2355 1 13880 3493 1 18676 4618 1 17636 3333 4 6061 5591 1 2408 1482 7 17482 4992 4 8286 1237 1 15468 173 2 14144 671 2 17257 52 1 5438 200 6 5146 214 2 1043 4392 2 1606 318 1 8736 778 1 18950 5441 1 90 4051 8 8244 4623 7 13951 436 1 800 6049 1 15398 3382 1 18634 3351 3 10117 7689 1 16283 5673 4 10915 1236 11 8614 5520 1 18657 1727 2 15057 5460 2 15546 3914 4 10274 3346 8 4452 8224 17 17044 3063 1 11981 5876 1 14716 7473 6 6275 4379 1 9314 2013 1 1304 1304 3 6653 23 19 16643 649 1 16090 6361 1 3882 1819 2 9572 230 2 7624 1304 1 5789 184 1 9478 700 1 18829 5018 6 7397 222 5 3892 6168 1 18727 219 6 7056 7186 1 19660 8145 2 7920 3637 2 10794 1860 1 18548 201 1 20107 3622 1 13199 2883 6 6681 4612 1 14658 525 1 2860 5252 1 18039 629 1 17767 1395 1 18213 1424 1 2284 1756 1 16546 951 2 6813 5897 1 13036 1454 8 4840 789 1 6717 380 1 17403 1944 1 14682 385 5 455 475 1 19916 6198 1 17185 189 1 15220 3485 1 2198 2360 2 12872 4297 5 10105 3050 1 8552 5385 1 1892 6125 1 19608 1761 1 6259 891 1 11367 1983 1 12104 4280 3 6348 945 2 3593 2889 21 2917 377 1 19655 689 4 9941 4877 1 15098 1762 16 15208 3457 1 14889 5036 1 15223 470 1 13809 1724 2 9168 6715 4 7958 5142 1 2980 1666 1 7358 3970 1 11637 947 2 1683 8088 1 16057 5507 1 11702 4277 1 15943 1146 1 15367 307 1 3481 3171 1 14369 524 19 3853 7593 1 18898 2363 3 15205 3612 16 18164 3698 2 11914 200 2 10361 206 1 10553 3889 1 10317 5266 1 19217 2450 1 2229 3619 3 19843 1251 2 352 156 1 15804 6139 1 11868 1691 6 1660 1489 1 11938 6480 1 15745 1713 8 13219 4593 2 12055 148 1 8322 57 5 18548 581 1 17166 6374 1 14308 2698 2 5250 201 2 4995 1763 1 9535 5408 1 14118 6288 1 11775 5098 3 8198 2595 1 6650 745 1 15726 1760 17 20113 7423 1 899 786 1 9767 995 2 15098 1357 1 18421 196 1 10584 1819 2 11523 6065 3 8843 1655 1 11418 5281 3 13390 358 1 17395 2594 3 1631 60 1 5877 303 10 5078 867 1 16594 617 5 15272 397 6 8890 5626 4 14192 3070 4 18258 3748 2 7991 1649 12 19651 6801 9 18665 2675 1 19578 3874 2 14745 856 1 3236 512 1 7783 207 3 12424 4977 1 12152 552 1 8481 6383 1 5361 411 1 6270 4956 1 9178 4979 5 1812 867 1 15152 3600 1 177 498 1 9007 2363 2 6855 2810 1 6148 320 2 4840 537 1 15140 205 4 10212 608 1 20141 200 1 3472 2352 1 13788 2443 1 17539 4761 1 13922 225 1 10382 2009 1 20 1269 1 9894 402 1 11957 1241 5 4712 8042 1 8714 1739 3 9127 6704 1 17633 1464 2 15507 201 2 171 7698 2 17404 6322 4 35 1904 1 13858 203 16 10717 8030 1 19163 659 6 19210 4403 2 14253 1827 2 7543 4849 1 14573 735 1 10912 7527 1 17585 4022 1 11955 5961 1 19872 1283 2 6854 4929 4 932 2614 1 1571 1781 1 9604 1763 6 15608 3511 1 10207 223 1 14606 2515 1 9882 7414 2 13466 1342 1 10732 3492 3 16168 4996 10 4364 8095 1 6301 1252 1 4440 2770 1 2154 1342 6 14114 1705 1 14737 6702 1 16880 232 1 4287 3058 1 5863 7619 1 10103 6663 2 1134 1530 3 5338 1770 6 694 2694 1 802 3512 2 10363 4387 1 17303 629 2 4490 229 1 15881 4489 1 20055 4322 1 8859 1277 3 1548 3471 16 5801 1751 1 13857 5282 1 6381 670 2 16776 5348 10 13227 2369 1 6386 7404 4 8010 4950 4 7135 1757 2 5952 2481 2 8690 2385 1 934 5737 2 6749 8060 1 5252 7877 1 7636 1686 3 15651 1367 6 3801 6801 1 18976 203 2 2170 3338 3 12355 8083 1 18175 1756 1 5205 419 1 559 865 1 18184 2120 5 12619 1067 1 162 7371 1 16264 944 2 19584 1819 1 12491 2263 1 13133 1529 1 14981 471 1 12765 753 1 31 1717 3 17746 947 1 5266 353 1 9104 1772 1 14176 10 4 126 5653 3 13508 5737 3 12951 23 7 4859 470 5 8141 2801 1 1727 207 21 4788 1745 1 4209 2889 1 12737 5571 1 1149 5018 10 14533 4022 1 2731 6383 5 5276 5036 1 6381 3109 2 15576 2392 2 2295 2885 3 11024 3881 2 12453 6666 1 8389 4961 5 12897 2109 1 1459 200 4 8118 2459 1 12740 6701 3 8104 3827 1 18293 2641 1 13659 3808 1 19465 3172 1 174 8073 3 12110 935 1 9566 571 1 11246 5555 2 91 4108 1 1331 1955 1 17342 5860 5 18188 3652 1 2860 3556 1 12694 1274 7 13543 2964 1 16493 745 1 19524 64 1 8495 6283 2 14445 425 1 9543 2505 1 1607 1245 2 17054 1282 1 4896 205 1 4267 910 1 9057 5018 35 12173 1664 1 10913 525 3 11297 867 1 7683 184 1 1237 1417 1 17184 894 1 6780 3760 1 7918 4777 16 2783 2691 3 19947 1677 7 5993 7255 5 7576 6754 1 15821 1244 1 3940 4676 1 19680 4979 1 90 4057 1 10733 1035 1 3640 1184 7 16341 3433 5 18943 215 1 17577 759 1 12363 5345 2 1959 6022 1 7357 2663 1 9036 2120 1 4619 3275 1 1142 89 9 3633 5362 1 19218 4348 1 3871 200 1 5414 1296 2 16561 230 5 680 411 1 7252 413 1 15140 1762 5 17500 341 10 6244 232 1 11732 201 2 7219 4470 1 17969 5035 10 1389 4511 2 524 4020 1 7418 3464 3 18465 1705 8 10966 23 1 3689 7223 1 2458 5126 2 14845 6341 1 7979 4968 2 17549 4490 1 16645 214 3 17797 1251 1 17140 1990 1 14573 790 1 19959 6714 7 4536 6106 1 7991 6572 1 3005 6066 1 18097 2367 1 9283 8141 5 10613 3686 1 818 5272 2 14013 3556 1 14885 6170 1 18826 1747 1 10168 4252 1 15629 660 1 2045 173 2 1962 6585 1 19210 644 1 7149 2534 8 14284 5852 1 9809 1682 1 8490 5072 1 12139 1245 1 15073 3511 2 18926 3652 2 9556 186 2 13653 6473 2 13239 1772 1 9743 129 1 18976 7896 14 11094 6772 1 9655 16 1 4093 1825 5 13328 1768 1 6568 6538 1 14143 3460 1 9104 1692 1 1722 220 1 17587 1770 4 11558 1705 1 15596 6682 1 19222 196 10 7226 5740 1 1363 2671 6 20275 1277 1 6835 1154 1 17664 6897 1 9857 3841 1 16600 639 1 13401 3929 2 6063 6204 1 7664 448 1 10037 1573 3 4211 550 2 6915 203 1 6979 1734 5 455 53 1 9968 1745 1 12902 1019 5 1806 1719 1 7435 1955 8 7621 1252 4 4644 840 2 15281 1825 3 153 796 2 12153 6769 1 15198 2569 1 2430 3203 5 18873 87 1 8905 5837 10 18936 6939 1 12821 2665 12 8831 650 2 5684 5312 3 12378 4649 3 4331 7966 1 7571 6544 1 13905 5411 1 18698 206 7 6332 799 1 16839 206 5 19211 954 1 15629 799 1 12593 65 1 2926 5016 1 718 5341 1 11996 8141 1 16096 3050 5 5845 214 1 12236 1094 1 1043 194 2 18988 1416 1 696 1819 1 10105 222 1 14522 646 1 6739 1606 8 15940 596 1 16608 1985 1 18788 6441 1 14652 7980 1 13 329 6 2094 1548 2 8909 1819 5 8053 1119 4 8012 6754 1 14048 3036 3 12843 8228 1 6516 7719 2 9545 4413 1 15614 23 1 10450 2990 8 515 2671 1 9886 6198 1 5106 5510 1 5378 10 1 13131 1760 1 19229 2682 8 873 828 2 13634 1819 1 17825 1251 1 12126 4351 3 12935 4019 2 16117 2591 3 7421 7238 2 15208 7216 1 6418 2626 1 9178 1374 6 4305 1361 1 12868 3526 4 8239 4411 1 14612 3161 1 5908 1450 2 16358 512 1 10498 2011 1 16066 3227 1 10498 1332 1 2084 533 1 3687 6557 3 19744 7596 31 3846 2004 1 2176 7210 1 18160 1764 1 3521 2097 2 5177 203 2 6917 1245 1 18026 1768 3 4914 3485 1 1983 3203 9 13254 605 1 19995 685 1 14086 2353 1 4110 223 28 7464 7857 2 19217 300 2 19568 8096 1 18068 5595 1 3759 1609 1 5596 1738 1 11756 5018 34 6638 6580 2 1649 501 3 14326 4204 38 13734 762 1 14429 1732 3 12822 3511 5 16833 2338 2 18033 6200 1 6574 5083 6 5917 4603 1 7808 1999 1 15885 5993 10 1373 1244 1 18944 1395 1 9310 2484 3 15932 2470 1 15874 1245 3 19047 1296 2 17652 225 1 11211 3474 2 15354 3625 1 12451 4013 1 9999 7346 4 1689 1240 1 7548 1909 1 12623 3877 1 1604 215 1 19270 7734 2 873 2087 6 14599 3551 1 4012 3250 4 6839 1247 1 11594 779 1 8237 3275 1 17494 3385 1 3258 502 1 5916 1819 4 4092 2883 3 17141 1590 1 12789 3747 2 10155 525 8 13829 1770 3 8895 4036 1 17672 411 9 14779 3476 1 1558 6169 2 460 519 5 13358 1771 2 16046 7941 1 1357 2879 1 14271 148 1 2100 8022 1 3759 1628 3 5053 687 1 7670 1988 1 153 7055 1 12685 936 2 11938 291 2 15488 5810 1 6806 524 12 13699 545 1 1981 5271 1 3996 4179 18 20029 3327 1 2772 3417 4 16869 1729 3 7377 1328 3 5390 1996 1 9836 4123 1 8528 2675 3 4571 380 5 14964 2974 1 8930 2636 4 17169 2675 2 12817 1731 1 16487 7353 1 908 1987 10 14666 7672 6 12782 1955 5 542 361 1 11857 525 3 1083 5043 4 1908 1401 3 17340 1714 2 13705 4998 18 14307 1732 14 14350 201 1 20014 205 1 14700 6204 1 16417 214 1 1788 7660 2 15152 7862 1 1968 23 1 20256 3238 1 19823 219 15 14755 6892 1 6991 81 3 20084 206 1 7000 3661 1 1932 3511 6 12803 3273 1 14225 508 4 17450 7719 1 8174 7352 7 1904 5018 2 10457 2338 1 13201 215 3 11057 1734 2 13105 357 1 15180 2424 1 6770 4013 1 14590 3885 1 15429 3851 1 19489 1780 1 1228 186 1 10111 4534 1 3898 3230 1 8946 817 2 153 7001 1 7944 4632 1 18120 568 2 10530 501 1 7605 1707 3 11473 130 5 4374 148 13 14758 4404 1 18459 1827 1 9395 5905 12 7750 8183 2 3175 1168 1 11183 3533 1 6956 6546 1 1871 1184 6 13 749 1 20192 995 1 7231 2662 17 14753 3818 1 195 1724 1 14733 44 1 4604 4000 1 13278 2580 2 4935 7868 1 17440 912 1 914 1745 1 8192 1718 1 14495 3059 1 7692 3639 1 3681 6252 2 13290 1747 5 7 208 4 12029 4511 11 18202 2896 5 17580 219 1 7396 1736 1 11066 3899 1 5344 107 1 9704 2123 1 12361 1531 1 14232 1677 1 6348 933 2 5952 5565 2 4812 203 2 9868 418 1 7577 7534 3 14042 5511 7 16090 1824 1 10144 3411 1 11736 899 1 3395 1246 1 8794 4189 1 14340 1981 1 17384 292 2 125 5575 1 19160 1252 1 570 5506 5 10168 878 1 6235 1310 2 5587 184 1 19514 2711 5 7516 7597 24 17753 498 1 8546 1250 3 14037 7933 1 7619 1251 2 2905 1363 1 3025 232 2 10692 879 1 10887 4884 1 10692 659 1 13881 1354 1 17675 1731 1 19320 3589 1 11789 5485 1 1086 5018 1 4825 6053 11 16244 5362 5 1143 6537 1 12234 8141 1 17105 156 5 18575 7223 1 16417 5162 7 13004 724 2 15882 6482 1 10973 506 1 5652 4245 4 15459 5917 1 5423 6414 3 15975 1342 1 10030 220 1 15833 1570 1 5243 1732 6 12916 2742 2 16172 3956 5 15171 1739 1 3559 236 21 559 6198 1 16684 2931 3 16496 215 2 18792 237 2 16534 7131 1 13477 84 1 592 6979 1 4200 3308 4 5515 2237 1 9808 5400 1 19313 4807 2 5039 1740 2 13023 5671 3 2009 4538 5 16887 366 1 18473 336 6 6872 1727 1 7163 6108 1 16327 206 2 4791 1378 5 954 3558 1 8716 16 3 12526 514 9 18223 470 5 432 2360 2 13846 2261 6 3491 1275 3 1029 496 3 8211 1747 2 2943 2883 2 8526 4868 1 18384 4293 1 13698 220 3 16886 1239 3 1520 201 1 5612 8072 1 12521 722 1 15559 1472 1 13866 34 1 6151 6341 4 14386 2381 2 10360 7975 1 4507 5146 1 14894 7820 13 6188 6793 3 751 6116 2 6533 7220 1 3789 1707 1 7868 3960 1 4124 6756 5 18334 6532 1 77 3511 1 601 4929 3 12147 1247 1 15404 3827 1 9819 1710 3 4462 6259 20 8658 1234 1 1801 402 1 14005 3908 1 6070 5550 1 2918 3053 2 886 5814 4 17718 8096 1 1631 2131 1 4946 532 1 4371 3606 1 8394 2981 1 6989 2088 1 10502 6502 1 10452 709 1 11620 4929 6 17392 6496 6 16226 207 58 20148 3357 1 11320 497 2 18984 6414 6 6461 8194 10 8599 4435 11 19946 1770 3 454 1610 2 12682 1287 1 86 3969 1 19751 1965 32 17556 1244 1 20103 6434 1 3730 519 1 3256 3704 1 15718 320 2 19503 2009 2 1872 239 1 7896 3693 1 12726 496 2 6120 7714 1 18012 2710 5 12765 911 1 8799 3233 15 4987 797 1 14321 3511 2 14018 1825 11 9315 1184 3 17507 1814 1 11126 8050 1 9601 1830 1 5656 3671 5 13358 3049 1 19872 867 1 15272 724 7 17767 1243 1 4511 5060 1 7480 449 1 1379 1322 2 17863 3448 1 906 2991 5 4615 214 1 17681 1374 2 17635 2241 1 16393 1981 10 7795 4069 2 4784 1727 2 18748 1814 1 13660 23 3 16234 3510 3 17326 1539 1 10498 1564 1 1250 1437 1 7994 5336 1 18526 1374 1 8343 3705 1 4519 1272 2 15185 1783 1 6233 6192 1 18431 5445 1 4519 193 2 668 667 1 15996 5048 1 435 199 1 10629 2138 1 2646 6655 1 711 498 1 11537 201 1 19656 235 5 10225 6674 7 3189 5390 1 8406 222 1 7148 6065 5 18596 963 1 14906 169 1 1698 6130 1 16636 1044 2 17527 2560 17 11295 526 8 9707 793 1 10549 225 5 2232 1145 1 17475 880 2 15629 284 1 10459 1763 1 4739 5347 18 5469 273 1 7821 532 1 6301 7340 1 15634 3081 3 9430 6527 1 6811 3074 1 18213 6170 1 997 1721 3 19333 3288 4 16549 221 3 9564 2448 1 11097 5888 1 10828 4622 5 14591 6185 27 4049 5138 3 4072 7701 1 18212 207 3 2580 5995 19 9429 235 1 873 7837 1 14397 1603 1 17379 2072 1 7179 3491 1 3958 6585 1 15910 1903 1 3975 5255 11 19326 200 6 2765 2676 7 11203 5308 1 7303 6900 2 8378 169 1 7932 6200 4 14176 231 24 18157 4281 1 12879 196 1 10452 2388 1 19894 3570 19 8560 4653 1 10006 6435 1 4257 1247 1 12807 533 1 12933 1239 1 2332 3298 1 9341 508 1 20225 803 1 4073 4992 1 7452 670 1 787 1453 4 12452 386 1 9909 4538 2 13800 3534 2 18821 420 2 13745 3713 2 11807 6099 2 10320 2636 2 11798 451 5 3546 1762 2 12760 903 14 10286 6183 1 3294 1115 5 18277 8212 1 3806 1728 1 2186 220 1 996 207 1 12962 1686 1 2317 7674 1 91 4081 1 18128 1729 3 14521 2534 1 13743 2953 1 2423 6321 1 7838 5762 3 17497 5271 1 6228 810 1 12055 4383 1 3028 2682 1 19776 2730 1 1851 5022 1 10966 2675 1 10664 559 1 6533 386 1 15524 2369 1 5707 361 1 11158 634 5 12421 833 1 5884 1237 1 18689 4365 7 8343 1727 1 7991 1259 1 15640 4022 1 2490 3703 2 877 4713 3 7917 1740 1 18462 912 2 1586 2673 1 9998 1576 1 873 509 11 7581 4402 1 13088 2290 1 15192 262 4 14797 3020 2 427 3699 2 4088 2559 6 16914 581 1 17799 724 1 181 3558 1 15530 1757 4 12361 5674 1 12034 1241 1 5947 197 3 15880 7719 4 5076 724 1 15432 6084 1 12696 6663 3 10815 5571 1 7455 6239 1 12892 1401 1 15608 2686 1 17512 1337 1 2391 5243 2 1188 8141 2 19780 6286 1 16158 200 15 14616 23 3 1511 532 7 11151 505 1 7943 6252 3 4442 1150 1 10577 1342 1 701 223 1 115 5154 1 7144 1761 5 15140 4723 6 20204 5511 7 6756 5266 1 13266 227 2 19322 1251 1 2937 221 2 13668 1342 1 15683 6088 1 12496 3352 1 10670 1313 4 4889 512 1 13985 1434 1 15567 431 1 5142 1104 1 6869 1703 1 8991 716 2 113 5051 2 11999 4470 5 18875 7380 1 6712 2871 1 18281 1373 2 8823 367 2 1932 223 2 18893 8047 1 10361 201 3 338 4249 1 10256 2671 1 15788 6341 2 17910 745 3 4713 1707 1 13386 5848 3 4767 3333 4 3012 3337 1 8051 437 1 14053 910 1 99 4466 1 8614 6542 2 4536 5022 1 20085 3152 2 11772 6150 1 14610 10 1 944 6140 4 11321 2337 1 19218 5258 3 803 512 2 14029 3911 4 14642 1548 2 18563 4389 10 17850 5425 1 13730 4835 1 17992 6703 5 2267 1170 4 149 6728 13 3393 1734 1 14587 749 1 9901 2620 5 17805 6252 2 7760 7986 5 14906 303 4 14741 2571 5 11856 524 2 16797 5060 3 4771 164 1 7815 6263 1 7136 4501 1 8352 4006 3 12305 2225 6 12265 220 9 542 367 1 15029 5162 1 3147 4370 1 340 1277 1 6934 736 1 570 7368 2 2424 1742 1 4499 394 1 17169 203 3 10616 206 5 17368 890 1 17184 1757 1 11295 4299 7 14993 2989 3 10883 4369 1 5241 1776 1 18754 467 2 16249 931 1 4796 3007 1 14233 1425 3 153 6056 3 3509 7229 1 228 5686 2 5384 4623 1 12834 1778 1 12024 1395 2 15743 2661 1 17589 1721 1 10442 1740 1 878 3842 2 11080 4242 10 17890 1234 1 10847 5257 1 13069 1882 2 4841 3519 2 13919 3698 3 17709 23 7 8775 6207 1 11882 236 1 3299 6415 1 4671 497 1 18715 4242 1 18242 4592 1 19872 725 1 13165 6164 1 19828 1182 4 10327 3578 2 15778 4680 4 6332 504 3 16789 532 1 11764 5807 8 7403 5077 3 16083 834 2 5931 3269 1 15970 7962 2 5021 7236 2 7252 1273 2 16041 1185 1 350 7294 4 19573 1197 2 14257 3570 1 15192 726 1 6647 1248 1 5312 403 1 2583 7798 1 19379 790 1 5452 3888 1 13891 6374 10 4667 1610 1 4667 8144 1 6183 197 2 15648 2488 4 153 3457 3 12716 2356 2 5495 2147 1 17226 514 4 7806 1658 5 12392 7953 3 12363 863 1 13126 290 11 17973 514 4 8255 4792 2 130 648 1 3059 891 1 6269 193 2 10 265 2 67 3226 61 19593 1760 1 9256 8183 6 1838 1146 1 1509 706 2 11336 3888 1 16767 229 1 4213 4540 1 15497 2969 1 4592 6528 3 5403 497 3 9147 5763 1 6442 7101 2 13063 2114 2 13750 201 1 14372 2402 1 54 2626 1 5204 925 1 11389 6198 1 14047 1624 1 8329 3170 1 19486 6484 4 4379 617 2 9656 5829 1 14505 883 2 14305 682 5 201 3684 1 1009 874 32 16289 207 1 18992 7491 4 7257 6717 1 15635 596 5 14753 3419 2 7265 43 1 17259 126 1 873 4341 1 11642 232 7 16919 1003 1 17187 1704 1 15307 982 1 12821 4992 13 7999 3231 1 11317 201 1 4914 6231 5 8406 201 1 13360 528 5 8930 6345 3 4991 3666 8 16450 5343 1 13084 1235 4 19941 1732 2 12172 4204 1 780 1184 1 3705 1737 5 6781 222 11 18619 658 2 15429 1703 1 6846 4385 2 2055 6187 5 963 201 3 3281 203 5 14468 4428 2 6612 200 1 5858 1781 2 6989 6037 1 8793 597 1 5542 1184 7 16361 13 2 18329 1395 4 809 1234 4 3469 1990 1 8015 1703 1 818 5313 1 3027 6166 3 15343 1342 1 13302 1252 1 17019 8137 2 9937 1357 1 35 1930 1 284 3788 26 10055 1561 4 8143 3438 3 2721 452 1 19246 3844 2 4605 8141 10 4998 2356 1 5049 4556 1 7252 381 1 5282 2768 1 11644 6580 2 16197 508 4 19930 7026 1 16841 2261 2 6130 300 2 18320 1169 4 1136 1342 1 9341 4511 1 10627 3366 1 4279 619 1 808 203 1 4055 5326 1 9744 6252 1 6656 3911 1 14762 1235 1 19512 1357 1 7462 2668 1 16831 1250 1 17751 8139 1 6064 1357 1 14696 411 2 4210 6670 2 6391 2966 1 19311 5325 12 592 423 4 10138 201 3 18598 3266 1 14162 2468 1 954 867 1 14385 7201 5 16395 1582 6 14760 3531 1 12498 1037 1 10665 3570 1 18476 6576 1 3335 222 1 6761 2653 1 18705 1771 1 5059 1243 1 5573 812 3 16736 761 5 7192 1730 1 19234 2307 1 6893 367 1 559 186 1 15314 8184 1 7614 1551 2 14703 8013 2 758 2559 8 17757 891 1 20180 3006 1 2773 3523 1 6811 2548 1 1703 3571 1 11404 1250 11 6772 8190 1 13659 1184 12 2423 5305 1 4622 2989 10 16734 7167 1 6645 5175 1 9757 2559 3 16057 11 1 6492 1775 1 16552 6107 5 6568 2209 1 7301 2662 1 9432 416 1 13759 5762 1 12818 927 2 15441 8095 1 5104 1250 2 9187 194 2 13634 714 1 6428 3338 2 7588 46 8 3815 2481 1 15529 6481 5 5681 1464 2 9178 4144 2 10187 225 1 59 505 1 10539 6132 1 109 4939 1 12097 1775 1 14493 2881 1 17047 5105 1 133 6086 1 4392 201 3 17391 6692 1 18284 4393 1 15281 8141 1 19289 7683 1 6332 847 2 764 1729 2 15712 5018 2 6932 506 1 7820 1307 5 13550 3310 1 19478 6522 1 9891 1718 2 10966 8191 1 8965 1482 1 2850 1312 1 10862 46 1 8665 5379 5 11720 1242 1 16442 5294 2 15043 5301 3 20090 420 1 12638 229 2 16340 2478 1 9642 534 1 18924 6192 2 14202 1751 7 11999 531 1 11720 482 1 1082 2247 1 13028 2675 1 6074 5347 6 11688 1148 10 18698 1729 3 983 477 1 9401 1819 9 6120 1244 4 5921 1466 1 17765 220 30 14190 5804 1 4856 1698 1 15481 1721 1 4140 7256 4 4056 1095 1 10996 3079 1 5108 3558 6 13684 2114 8 19336 2064 1 5550 7258 6 13922 2355 3 4811 3625 1 16430 6053 1 7137 1404 1 1905 7576 1 17206 344 1 11398 5345 4 11786 7020 1 17739 499 1 926 23 4 6647 2853 1 11943 5018 15 3128 1287 3 19870 1105 1 14474 867 9 12096 8192 7 6250 203 5 2488 223 5 2488 200 8 8498 5319 1 8703 6609 12 4092 6500 3 18880 7710 7 10613 203 5 25 1494 5 1478 2356 1 4770 5758 1 17086 292 6 11863 1296 1 19476 1751 1 10008 525 1 4498 5844 1 6867 7474 2 12895 1423 3 4279 336 1 19429 4189 2 1743 6482 7 9144 6216 2 6820 2661 1 7483 7772 1 4055 831 2 12738 2250 10 13997 407 1 14784 7424 1 16831 5758 1 3331 235 2 17521 303 1 3907 367 1 6333 6367 3 10447 5450 3 19079 5006 1 2060 841 1 18623 1727 2 2178 470 5 12305 1573 1 18936 2968 1 873 3697 2 10791 1656 1 5724 4022 1 6464 1244 2 5326 3511 1 19867 4803 1 11165 7542 1 20106 1893 2 4592 372 1 6867 618 1 19706 5243 2 7571 5296 1 5771 6690 1 3911 7677 2 5973 532 6 6646 1748 1 7036 207 1 11809 96 2 15213 1926 2 2840 1245 1 17909 3743 1 13601 525 3 16848 1019 1 6684 1703 1 16416 759 1 16700 575 1 15869 1825 1 19237 1322 1 873 3706 2 1389 809 1 12775 7715 1 12913 6457 1 171 5814 1 1711 4156 2 19661 5430 1 1513 1256 1 14791 225 15 8684 207 7 2213 3570 1 7380 203 3 3044 2888 1 14662 4476 1 14196 6400 2 18026 7632 1 2784 3697 2 1825 525 1 5774 720 1 7005 5262 1 4683 4450 5 19326 329 1 14147 514 5 9116 6013 11 16631 3904 4 12858 1686 5 8244 2600 1 6402 8013 5 3879 1648 1 12661 207 7 10399 247 2 10798 899 1 11919 7182 1 94 4331 1 14145 220 1 5996 314 1 10554 819 1 2359 5302 1 6811 2269 1 4268 7528 2 6299 1357 4 4498 1206 3 13219 6228 12 19101 2851 1 11732 3663 1 17772 1819 4 7594 6108 2 11198 3647 1 5408 3531 1 18269 997 1 4404 203 33 14011 667 2 1504 233 3 2424 6219 1 10772 2919 1 15881 6398 1 19813 1784 11 9907 1237 1 2465 6207 1 16721 4947 2 6229 1025 4 19920 4996 1 17328 5097 1 8275 7112 7 6449 3693 6 2479 4444 1 15412 1727 1 3057 6081 1 932 451 1 19193 200 14 12392 8031 1 745 4029 1 16012 401 1 19684 6100 1 8939 1247 1 13546 1719 10 16625 3208 5 2568 498 4 7056 1705 2 4267 364 1 15164 1984 1 15429 7473 1 3360 6534 4 9144 6253 1 17486 1259 1 7306 3255 3 11399 1146 1 16767 1804 1 5522 4013 5 5229 3608 5 7221 5966 1 1154 1399 4 11888 4379 1 9041 2955 6 13023 3882 5 17416 2303 5 17505 1976 9 14965 3664 2 14522 7719 2 2813 436 1 10916 656 2 5464 3808 1 2801 124 1 2230 7883 1 17298 2555 15 15495 1755 1 4092 6585 1 1391 1154 1 14284 827 2 12817 5253 1 6123 4436 4 18145 2341 3 8159 945 1 12789 1967 1 9639 708 4 15693 252 1 3023 3016 1 6332 1363 3 10110 688 1 9565 1062 12 9800 1730 1 2795 1748 1 5199 6993 1 3504 6693 1 9677 6761 3 15924 1714 2 19478 4454 1 2094 7512 1 16479 5011 5 15599 6640 1 9637 5245 3 11612 1748 17 8015 5427 1 4154 3979 2 14958 4803 1 14753 3820 1 12745 190 11 12800 6106 2 4898 156 2 19751 1476 11 19267 864 1 12760 4293 2 8259 3742 5 4716 2686 2 7498 7895 1 8198 1200 1 14301 1203 5 65 3185 2 6570 132 2 1711 1788 1 18790 559 1 18283 6939 3 11467 765 2 10290 496 1 15979 1564 4 1216 244 5 4503 7266 1 17954 5466 1 11566 6121 1 18205 525 1 13384 2415 1 4970 5219 1 7882 223 2 14322 200 1 9976 1959 3 13785 203 225 2523 3876 2 10775 6663 9 15139 1985 1 15870 7231 4 11947 2016 2 18462 670 1 2280 1770 2 5588 525 1 1924 310 1 19656 8172 20 5716 1745 5 8299 954 1 20145 1717 1 11798 2488 2 13926 7250 4 14859 8194 1 2157 1293 2 19064 2735 1 19681 510 1 18876 4867 1 5420 1996 2 1885 1244 1 13654 5390 1 20076 3333 1 6521 392 1 92 3493 1 2886 6714 2 2795 13 5 18040 2557 1 12465 506 1 17184 853 1 3743 6720 1 8057 4427 5 76 3505 11 9790 1332 2 17653 753 7 18408 207 1 1547 3619 5 17660 2726 3 6772 518 2 3860 3070 8 2137 6888 1 153 7017 15 8658 3954 3 11610 1721 3 4791 1762 3 14289 1396 1 6848 1464 1 1166 1643 1 4553 4085 2 4805 3954 2 17353 1721 4 13581 7926 9 1105 2562 6 2816 214 1 12584 638 1 411 222 1 17508 23 1 4234 4204 1 19556 1783 2 4038 200 1 16054 3201 1 17515 2292 2 5137 939 1 16048 7964 1 4049 5754 1 555 5350 20 933 203 5 16695 6487 7 5735 1638 2 14077 2909 1 3431 214 15 18140 3135 4 809 3232 1 18029 8096 8 6281 7262 3 1883 1666 1 6914 988 6 10879 1734 1 16027 452 1 6418 1571 1 12740 6442 6 3480 201 9 11409 6449 1 8004 4022 2 12848 4621 1 64 3058 1 15357 6721 1 4784 6424 2 14746 498 2 4831 4105 16 12468 1482 1 3201 723 1 3672 518 1 15593 7719 1 886 3825 1 16817 4435 1 7743 1496 1 16292 1305 1 5048 223 5 17746 860 4 6692 2534 3 14813 1437 1 7455 1295 1 739 214 2 19664 201 2 1994 197 3 10168 1710 6 16913 6435 2 14030 2714 1 17913 7734 1 4386 6481 13 20017 4575 3 5 175 10 4663 784 1 8388 1721 3 15316 219 1 3515 13 1 94 4269 6 13 722 3 17962 23 2 15288 3389 2 15376 4623 7 1807 1734 23 14021 6719 2 91 4096 1 1643 501 2 10507 6576 4 15429 203 1 17223 2729 1 19822 127 1 5656 1784 5 9269 727 1 13949 5538 1 15826 512 1 3349 222 1 12988 413 1 6781 2646 3 685 2661 1 14908 2653 1 8629 2626 3 333 4038 1 1235 7018 3 4170 219 1 7034 5354 6 50 367 1 19630 1518 1 14570 3885 1 18604 186 1 5181 232 1 16895 8072 2 14196 1716 2 14124 3074 3 18144 1714 1 13252 3510 4 6752 4233 1 10862 5669 1 5173 2675 1 6817 6588 2 19608 316 2 4982 3540 1 788 883 4 3347 524 1 16324 6736 1 17 1205 7 9156 6343 2 7205 4929 1 14881 4511 2 9424 545 1 18413 4343 1 18925 791 1 17010 3216 1 12817 7029 1 17886 202 1 8134 1239 16 5199 3987 1 13646 5379 1 658 1062 1 1114 221 1 8664 194 3 14132 1739 1 8561 7598 6 14522 1734 17 11588 229 1 10997 5187 1 19378 2883 2 388 5909 2 6133 5156 1 14080 6561 1 18193 7388 2 19264 46 1 4664 94 1 1717 2831 5 10703 3694 1 1065 891 5 8383 3011 1 14548 4979 1 17680 3851 1 787 510 2 7065 1277 8 682 6534 2 15360 2981 1 11678 806 2 1339 1780 29 12807 200 1 7129 1395 15 14532 420 5 3536 442 2 9978 3357 1 9457 4607 2 12892 1222 3 15015 912 1 11629 5896 6 16292 3715 5 130 5988 3 2445 5394 1 3496 1779 1 12215 308 1 11968 1363 2 10961 8167 9 15268 4261 1 15682 1019 1 15567 1657 2 1965 670 1 6894 4288 2 10058 3368 1 17698 1775 1 2963 1247 1 3133 1333 1 18144 1250 1 4498 3558 1 12212 2100 1 12901 3911 1 6229 4794 2 10002 8145 1 16471 223 1 6425 3697 1 17903 508 13 7994 6382 10 3105 6649 1 4417 46 1 16570 4251 1 11306 316 1 115 5199 1 2127 201 1 2431 8184 1 11585 1829 1 6889 2760 3 11909 4655 2 3397 177 1 9975 883 1 6010 1315 11 10249 857 1 2100 5169 1 20166 201 5 17353 6334 1 19999 6954 4 5523 395 1 17258 3589 2 16535 5102 2 2047 1757 49 16952 1826 1 15824 3511 1 549 524 1 17340 737 1 11894 1629 1 18450 932 1 109 4998 1 2890 223 44 8784 4582 1 5619 470 2 3609 5432 6 4259 4764 1 6230 2367 3 18538 4245 5 3048 617 1 9046 3036 3 15098 1731 3 16070 207 1 18183 215 2 5884 8200 5 7734 1729 3 13642 1251 1 11467 864 3 130 5821 1 19601 8171 2 6832 2354 11 599 7267 33 13788 4085 2 15349 4702 4 5560 3511 6 7851 1740 3 10264 7207 1 19448 4307 1 4923 7273 1 13329 6675 1 17454 2626 1 14394 162 1 9250 898 1 133 6049 1 3243 2403 1 13555 1235 5 13631 1729 1 1848 1396 1 17686 1819 2 10332 201 2 8252 2915 3 5132 3660 1 8736 770 1 3541 23 2 4754 215 1 1009 953 3 19134 7703 2 9639 7506 10 16030 524 11 16442 1732 1 20039 7632 1 3331 3511 1 16417 13 9 2607 1695 1 6866 2068 2 9941 4623 1 15635 814 1 9824 567 1 16858 792 56 14773 222 4 2590 2555 1 3700 4998 5 9916 6080 10 10883 931 1 10531 201 1 4553 792 1 570 3676 6 44 2278 1 16029 6588 1 12704 518 1 14621 842 1 3790 445 1 296 6962 5 3821 5257 1 6907 3705 1 7210 1249 31 16288 200 1 16500 1374 10 19643 2216 3 13839 809 3 19239 191 13 15670 2633 2 2213 1757 2 3887 5245 2 6144 336 1 2917 1658 2 10078 2924 2 12787 1203 1 14883 186 2 709 215 23 4425 6283 2 19089 215 5 8698 223 1 16427 219 2 6622 6575 1 532 47 7 4583 3619 2 16457 1529 1 4685 501 3 11195 1374 1 824 1825 1 4553 6213 1 5564 194 9 2021 6355 1 5740 3227 1 4346 207 13 5494 4351 5 12182 1762 2 13619 6662 3 6729 23 1 4305 556 2 4496 1243 1 13132 881 1 2886 5757 1 17746 548 1 15160 1395 3 11504 2662 1 11111 220 6 18852 3478 1 9141 1707 1 5041 470 5 8767 13 3 5062 3747 1 11127 5621 5 5433 6880 1 2348 1582 1 16205 1717 60 17215 1700 1 3337 2661 2 1538 1247 1 11 472 1 19930 581 1 8438 706 1 18119 4603 1 10590 36 33 17446 2488 7 3822 6520 1 11798 2573 1 19872 329 2 15368 4506 1 16870 863 1 8326 206 1 8716 3085 15 11652 220 57 20191 670 3 17773 1062 3 13058 7880 2 10147 4411 2 19167 1390 1 8322 3748 4 15408 1252 1 459 3655 1 10913 8145 10 12337 2958 1 3776 1284 1 13010 520 9 7672 1251 2 17507 1720 1 13308 6192 1 8583 7211 1 6332 933 1 5566 379 3 9763 786 2 11480 1757 5 18357 884 1 3935 2260 1 8471 2915 4 9854 8167 1 18675 6335 1 19585 4242 10 16992 3304 5 12595 2354 3 5821 676 1 20192 1996 1 11619 1908 16 8439 5520 1 12375 5313 1 11306 6470 3 15085 3972 1 15952 1717 1 3797 2363 5 5047 5150 1 2884 1535 1 3154 5435 1 8789 1606 1 8416 232 1 296 1245 3 4414 4622 66 18476 7734 5 18149 496 12 6598 5018 40 2291 1738 5 17375 4472 1 19180 5933 1 868 3600 1 10948 4095 1 10457 6031 1 2980 7731 1 7985 200 5 108 4822 1 4812 1686 1 7823 1147 49 4452 5980 1 9435 4459 10 7099 4732 1 13539 2109 1 7029 1357 4 17331 2131 1 3421 5897 4 6504 4382 1 5338 1752 1 11959 3167 1 17838 1253 9 3944 1788 1 4290 4369 1 16790 1703 1 8086 505 3 19960 1295 1 171 7650 1 10920 1879 1 2179 6192 1 9755 4764 1 14047 1719 3 19412 7293 36 2345 6179 6 11131 5819 1 18324 1380 1 9580 2801 1 2302 6132 3 17073 1342 1 19611 214 10 5348 2675 8 15057 1708 1 5052 2935 1 12619 2734 3 10692 768 1 5801 2877 1 3048 853 1 2710 1772 1 9319 6402 2 7056 4972 1 16860 3862 1 20219 2646 1 13640 1236 1 5696 5465 1 12979 4230 1 2264 2351 1 19698 5427 1 19833 2490 1 17033 5325 1 10795 2555 1 16930 6423 1 4460 3206 1 7786 219 2 16153 1717 1 18556 1610 4 11424 6031 1 7914 1443 1 13928 336 4 18781 1366 2 20116 3412 3 18807 964 1 14711 4936 1 15495 1250 1 16068 4623 17 11148 1249 1 13042 3180 3 2287 8192 3 19360 1207 2 11846 150 5 4965 5099 1 12710 1685 4 11188 6174 2 19776 1544 1 5839 1625 1 12345 6250 3 153 6999 1 1631 23 2 5421 709 1 673 7825 1 2103 1819 1 13977 2564 2 1198 7261 4 4259 235 4 15291 173 1 8860 7045 1 18386 5219 1 17996 197 1 1013 1760 1 9981 2640 2 15464 1664 1 2653 2362 19 6815 3869 2 14381 200 5 9537 1695 5 18258 6666 3 3014 6754 2 11601 78 33 4519 2080 1 8268 867 17 10916 813 1 9916 1686 7 11582 194 1 7535 222 1 5725 629 1 16490 3911 10 5322 7237 2 4095 5438 1 15329 7844 5 13239 1681 20 12837 6713 1 4593 604 1 10145 2956 1 9733 4299 5 13781 765 3 535 3426 1 10839 4428 14 14162 2867 1 6630 4202 1 197 5349 3 6612 883 1 5884 200 10 8326 5043 3 9562 203 14 2969 201 1 11700 1827 5 15536 6150 1 19223 252 1 16458 1717 1 5280 691 1 14992 4653 1 6435 3540 1 15811 6683 11 9999 4573 1 6970 5266 4 19401 1576 1 7732 8111 1 12139 1278 1 7832 1921 1 153 6861 1 11377 1897 14 6178 313 1 9215 1732 1 5408 4903 2 8754 5339 1 13399 891 1 2935 108 5 5770 2830 1 720 1226 29 9652 4245 2 2860 1686 1 171 7825 2 7315 6880 1 16497 5471 2 13665 3649 3 6954 1718 2 2135 215 5 18524 367 2 11336 861 1 6615 1778 1 14824 5810 2 16578 861 2 10391 950 1 11399 3592 2 7795 6500 1 5657 4622 1 2744 1173 4 18153 6728 1 16016 4202 3 8987 7217 1 2970 512 2 19339 23 1 17290 2488 1 17583 438 1 8528 6534 1 13461 1775 2 11585 1703 6 16608 3888 1 4624 2678 1 10404 3749 5 3282 2795 1 16940 3022 1 19437 816 1 12191 167 2 14308 2575 7 102 2569 1 13745 2229 1 5550 8200 11 12034 1237 2 17175 7098 1 8250 3304 3 19509 534 5 6244 1421 1 15885 4499 1 1523 6436 2 7662 5004 1 19053 728 1 9539 1727 1 1138 2104 1 4305 848 2 19044 7244 2 18679 1659 1 8763 1728 2 18943 5737 2 9937 4739 6 105 4689 1 5564 6341 1 16500 244 2 5893 2897 2 12951 206 8 8614 5411 3 3177 3540 13 2886 2155 1 15108 7066 2 11842 1819 2 592 475 1 19655 4258 1 5776 7603 13 17737 759 8 14099 5467 1 1461 1082 2 5817 207 12 3138 1399 4 130 2945 1 11465 1296 8 7463 2495 1 6624 274 2 4679 221 5 19379 3584 2 19273 496 1 13386 4314 1 512 3911 1 7483 2360 1 9160 6957 2 19293 2357 1 7994 930 1 10738 2552 3 3109 5775 2 5854 127 1 17321 1302 1 15978 2251 2 3074 5903 1 2911 201 1 11261 567 2 11936 3589 2 6146 23 7 2218 3685 2 9173 1380 2 10105 1762 9 14085 4963 4 11375 203 5 8137 4011 1 20228 3713 1 15964 1751 1 8016 7719 1 3064 1339 1 1445 5783 1 3134 545 1 11675 252 20 3110 6330 4 5176 2355 1 7316 1692 1 16786 187 2 18534 409 1 10143 1023 1 8890 3167 1 6932 1363 5 12920 73 1 3505 4224 1 12346 5051 2 11459 1039 2 1120 597 17 8797 6762 7 17519 3408 2 14767 206 3 15957 184 2 20046 6701 5 7355 2316 1 17685 7352 1 13534 1715 1 1672 203 9 8913 2019 5 1634 95 17 188 2263 1 7682 682 1 2985 817 2 4706 1482 6 6781 1753 6 7257 1745 1 12275 4470 2 15025 175 3 4703 219 1 2583 207 2 7765 1482 1 5676 2737 1 8048 2525 1 11472 690 1 13046 7085 1 18202 347 1 18431 4296 1 10117 1154 2 4068 219 2 479 8158 1 9947 2504 1 19978 5332 12 8643 148 1 11722 7485 1 12841 869 1 12542 589 13 13140 1128 1 10690 6703 1 9168 891 1 2141 8194 1 9592 6880 1 2037 1247 1 10684 5531 2 17842 1729 1 13563 1729 1 12850 1482 6 9428 5612 1 74 3428 1 17806 3448 1 11246 411 5 9698 7731 3 171 7775 3 11277 3283 2 8063 3637 7 6086 792 1 11097 3939 1 83 3744 1 9584 1243 1 4228 214 1 9698 2562 2 3550 1357 1 9907 502 1 605 4268 1 4606 1748 5 13727 1328 1 12922 6051 5 19124 2338 1 11870 2317 1 8872 534 1 467 1829 7 5189 1782 1 9374 910 2 8895 228 2 4553 1115 1 18633 2373 1 2801 107 2 9395 761 1 8004 200 5 20233 5446 1 213 1707 3 6968 6398 1 12859 200 1 10447 6777 1 16046 212 1 17652 201 1 1518 1244 1 7017 1374 2 1358 1762 1 19504 4933 2 8615 7061 1 13542 1724 1 20148 3393 7 14763 891 1 7042 1863 5 8793 615 1 3309 186 1 16895 6484 5 9752 1235 1 17680 3275 1 4935 1288 1 12817 1242 1 406 6083 1 11108 1277 4 4627 5064 1 3700 206 4 671 200 1 9537 5105 3 20159 2852 2 20169 214 1 4525 6723 6 14504 533 1 1143 2027 10 10283 7142 4 2779 1150 1 9395 1076 1 15722 1244 1 4788 6537 3 11192 5810 3 18320 2114 3 15182 5262 1 2917 5252 1 14990 6538 2 17338 926 2 5738 3213 3 12550 2878 5 2760 1884 1 8351 5945 1 455 6656 1 6837 4403 1 14522 5333 2 65 1752 1 7392 1053 1 10019 81 22 12467 3747 2 7308 1685 3 17257 6125 2 10852 3954 2 18738 6065 1 15479 3074 25 7264 196 5 14255 3641 2 13430 6132 5 6037 5316 5 15681 4976 1 13346 1727 2 14493 6741 1 1513 1255 1 17680 532 1 11088 2229 2 15348 1814 1 19862 6705 1 4196 215 1 17335 225 1 12439 2522 1 4092 1373 3 16168 7839 5 4555 3634 7 135 6106 1 19486 2068 1 91 4090 1 5612 7878 2 20264 6341 10 11674 498 4 10509 3840 1 18469 6561 2 4440 5820 4 9243 3167 1 3206 508 2 15314 7167 1 13736 1739 1 19993 545 2 11446 2718 1 18575 100 8 19505 3504 1 5638 1757 1 8438 4511 1 15235 1827 3 11738 6801 1 14641 867 3 11629 4489 5 10080 1399 1 6152 1358 1 17853 2242 1 15818 997 1 10580 2998 1 17246 1466 1 7853 735 3 151 6771 1 5392 1795 1 7575 1146 1 5725 2208 1 15681 1038 1 14162 4009 1 2765 8125 1 4688 913 1 14950 6341 2 9941 5737 3 5798 3049 1 17143 951 1 4307 4998 10 17182 1582 3 9891 525 1 4683 335 5 9508 1535 2 17257 5380 1 153 7069 1 19228 6481 1 11349 8192 2 12841 833 1 13482 2343 1 7575 201 2 19013 82 3 9811 7347 1 7823 207 1 14797 6200 3 4756 1827 1 519 1062 7 12464 221 5 3358 912 1 4049 7986 1 6931 2878 31 5596 184 1 374 6067 1 6342 520 1 8832 1322 2 5352 3558 1 11789 1728 1 17395 4280 15 12125 392 1 8760 1396 2 11645 6532 7 6818 2085 1 18191 535 1 5132 7735 3 16916 1396 4 3529 6457 1 12496 7009 1 3908 219 5 12905 3509 1 5515 3511 1 18149 910 3 14507 4455 9 8286 390 4 17921 1165 1 2041 4959 1 15185 1743 1 2142 539 27 12585 2011 1 8714 225 2 7687 1834 1 17404 6754 1 16894 3426 1 459 1944 1 13349 1757 11 16997 6185 4 7058 1342 1 11766 4435 2 3694 498 3 16562 3869 2 4282 1234 1 7260 2661 3 3527 5257 1 15056 638 4 15606 2665 29 7965 347 2 2067 4245 7 4307 5551 2 13001 874 2 4617 773 2 13312 2363 1 18692 3330 1 2274 371 1 4074 4077 1 13697 5245 1 12391 1825 2 5463 641 1 12541 6225 1 6922 1827 16 17877 6284 17 15100 5313 5 18576 214 1 9038 3219 1 15069 1363 1 10422 3398 5 18220 888 2 6111 314 3 18205 4623 1 16674 5018 1 6611 3236 2 14490 6058 1 9257 5037 1 7017 7527 3 5364 3906 5 1193 792 1 406 7719 15 5290 4612 1 16137 1705 2 19137 4246 1 13238 7570 5 12272 7689 5 13201 3662 1 3355 6546 2 1774 5686 7 8969 1755 1 130 5779 3 541 4956 3 3280 4179 1 11577 6480 2 7769 883 2 18071 6857 2 11728 3266 8 16238 498 1 14899 3621 3 14696 1727 1 6833 7765 1 13668 3298 2 8019 1466 1 18270 3216 3 1289 780 1 11504 4075 2 17506 1184 1 12789 2003 1 20068 5187 1 11497 2584 1 2827 8071 1 11461 1146 2 16694 1034 1 83 3810 4 7099 7085 4 20140 1374 1 143 6628 1 15845 7096 2 3053 1280 1 13342 1184 3 2480 3466 2 20074 1673 3 20070 229 1 17713 4324 11 174 7899 2 10354 7296 1 17154 3385 1 8643 737 1 13488 222 1 13526 5120 1 8066 804 39 9195 3278 6 10599 4013 1 11526 225 1 3397 3627 2 3847 3556 1 11211 5252 1 9891 536 1 11442 1747 6 6832 1771 9 17544 1164 1 3663 3851 1 3534 4145 1 7117 426 1 5431 1781 2 19568 510 1 968 220 1 9916 524 3 9941 5017 1 14 970 1 19975 3590 2 20 23 2 13346 1748 1 10302 1063 5 2891 1277 1 4779 5389 1 5742 190 3 19995 6332 1 7741 219 1 1853 1655 1 10862 1717 1 18103 1721 2 18762 5018 2 5479 6169 1 10826 454 1 8867 7229 3 5145 5531 9 14196 982 1 9999 1366 4 17369 219 1 19661 1776 1 17828 6009 3 6538 2885 1 15769 173 2 3581 1645 2 13601 2877 1 5624 891 1 8082 4680 4 3486 7670 1 6292 1063 1 6551 6051 4 6336 6728 1 14758 896 1 19433 3276 1 13919 4384 1 9259 498 1 11559 6334 1 19511 3175 1 835 6564 1 11857 4266 1 6949 6512 6 14290 5335 1 15648 1252 1 2304 2530 1 7654 1743 1 17180 6681 2 1002 545 2 17494 7624 1 7604 2662 1 6048 303 5 5206 6285 1 9187 1374 18 2807 7731 1 10381 3444 1 3358 201 1 380 205 1 11889 6865 2 11 463 1 861 899 1 11476 534 2 19924 1247 2 2383 304 1 18825 1704 1 18585 8155 1 4612 7251 4 10599 5538 1 13084 5567 1 1499 5628 1 503 1772 1 13330 4622 6 14042 7997 1 13829 1305 1 9628 691 3 16378 2605 4 11038 1697 1 936 3135 1 12152 202 1 9089 6078 1 5542 5935 2 5911 4791 1 16322 235 1 13358 2488 2 1389 4245 3 7876 489 5 7905 7474 1 11968 3301 1 7811 1718 5 10274 6334 1 7871 1707 6 13368 1112 1 9877 2574 1 15402 2541 1 8112 512 3 9178 3487 1 4214 1825 3 18900 1169 1 20200 1964 1 6425 2356 1 16857 1239 1 771 3113 6 12693 221 1 6165 200 1 20145 46 1 3164 200 7 1680 3138 1 9625 221 1 14203 4648 2 20174 6341 2 11590 1314 5 18157 1186 1 17416 3697 7 293 2352 26 9347 500 2 8898 759 1 12739 3086 1 3595 1235 12 10525 1965 5 4636 3515 2 659 207 3 20120 679 1 18036 2138 6 416 5285 2 20111 3482 1 274 6673 2 1360 3556 1 18438 3492 1 1843 1567 1 8709 5820 1 9535 532 2 12660 4375 11 15488 7719 1 15949 6550 1 808 1762 1 6439 1356 1 1296 1768 3 18806 4555 6 2534 7351 1 9317 2933 1 12715 4992 1 17319 1775 1 19872 236 1 2392 3230 1 2078 1769 1 18656 785 1 17655 6152 2 10192 711 8 2922 3951 1 2787 7397 1 736 1146 6 16109 219 1 19026 221 7 2150 532 1 694 1417 2 3353 5130 6 4223 225 2 14951 1816 3 8419 6162 3 152 6831 1 12730 125 1 3636 8031 1 5576 1518 1 15666 1726 2 8181 8081 1 16628 1740 1 16477 1877 1 6801 3873 2 14762 1464 1 4812 367 1 12575 304 1 1677 204 1 16566 3333 2 18151 7850 1 16659 3049 1 6367 703 1 14256 5618 4 20039 6482 2 3687 644 1 9660 6029 1 19870 4009 4 19905 1717 10 9061 1686 4 7780 3465 1 13283 4435 5 19332 2619 5 16327 60 3 11327 6021 3 5508 2197 19 15318 2953 4 18689 910 4 14245 3653 1 16109 470 2 10815 5341 1 6244 2439 1 17841 2103 1 6292 3056 1 17835 6537 1 14439 8141 2 9419 3206 2 6378 2247 4 19197 5352 1 372 244 11 9543 2720 1 7652 411 1 4501 2869 4 19205 525 2 1870 219 1 7853 3380 1 13046 6434 5 19757 316 5 18470 1070 1 8517 2768 1 6463 2869 1 15653 3748 5 11080 5325 70 9921 3536 3 8159 783 2 15202 2889 1 6989 674 1 17696 4020 1 16109 1184 3 11272 5341 3 11494 2019 9 8015 6202 1 9770 4435 13 16750 4012 4 312 6591 1 1194 6993 1 18040 3997 4 8663 6361 3 878 3825 86 10311 3632 2 13777 2179 1 19016 1775 3 18433 7569 1 4558 4400 1 18998 411 1 2542 3899 2 19034 8076 25 17716 6993 1 6177 7509 2 18615 2355 4 15346 3261 11 7065 2497 2 10947 1070 1 10563 1775 5 12817 200 1 5588 4819 1 18201 7021 2 10404 6779 1 14295 834 2 10056 443 2 16857 1686 1 14558 4373 1 18724 1357 2 16378 1450 1 9289 201 1 18324 219 3 12 495 12 1881 7022 2 4360 2709 4 6463 4501 1 3395 74 1 18986 3945 1 17405 2729 1 2313 3001 3 818 2964 1 7610 556 1 4651 532 1 7683 5090 1 18737 259 3 18609 1717 1 5216 1999 2 420 4044 1 4232 6908 1 11354 3659 1 8767 425 1 19953 229 2 14584 1705 5 16961 1814 1 10078 6259 5 16048 6758 1 8268 1246 38 3177 4379 3 13640 1450 1 6748 2019 4 9962 5086 2 1530 776 1 14964 524 15 8554 763 1 608 1740 1 6449 3571 1 17195 6453 3 13909 5520 2 14993 6629 1 3191 3478 1 873 7995 1 18769 1244 6 2359 1379 2 10285 2646 2 2011 1764 2 1043 7346 3 1507 5018 5 18750 4317 1 13631 1345 1 5826 382 1 13387 1608 12 1335 2470 2 6515 203 5 4012 8029 3 18815 232 6 6451 855 1 9957 1363 1 18797 23 18 7685 7674 1 1262 223 1 5637 1717 2 18089 2993 1 3358 243 1 17404 4380 1 3806 4297 2 30 1689 2 9935 5516 1 2338 235 9 8451 814 5 11827 1891 2 6919 348 1 19401 3155 3 17694 7888 1 17662 1707 2 19364 4796 1 1002 203 2 14666 1355 2 13925 6067 1 11557 1909 2 15321 1356 1 1336 415 1 1608 449 1 10466 1593 5 8693 3317 2 552 233 1 9701 608 1 5304 4985 5 7363 292 1 11485 5281 2 13205 2317 2 5831 5389 1 7676 2595 1 10916 8099 1 7718 665 2 15170 3503 1 3439 2673 1 9128 207 6 15758 4204 1 9714 1717 1 4615 2127 1 5887 5570 1 6379 1819 2 19957 155 1 4631 4933 2 8907 506 1 11384 3368 1 17746 225 14 3536 4575 1 20148 3400 8 8941 413 1 7227 4607 1 8151 1783 31 15952 1251 1 2226 6914 1 1513 3625 3 13857 4343 4 19209 3015 1 2021 201 1 1466 508 2 81 3654 1 5288 2613 1 140 6415 2 13430 3020 2 17463 1927 2 19822 2184 1 12152 308 1 15619 2769 1 19790 1116 2 10856 3511 5 3824 6435 1 840 545 1 14872 759 1 10623 6546 1 18478 4258 1 9295 5018 1 12738 506 4 2204 1125 2 1327 7753 24 10730 46 1 2357 4566 1 7192 1726 1 6762 6541 1 10499 6343 2 1443 5453 1 1636 2552 8 8984 1441 1 13267 5350 4 2135 5767 1 13582 8200 5 11871 6659 1 220 2021 3 18101 781 1 18634 1266 2 18906 1332 1 13596 512 2 6628 64 1 2267 100 2 5117 3551 2 9133 3950 2 19214 380 2 17432 6204 5 10953 2403 2 17407 3233 33 2322 6018 1 19688 5318 4 11215 7855 1 4768 3494 103 13753 1257 2 11521 422 1 14238 35 1 17 1200 1 6708 3180 1 6048 2747 14 19664 4615 1 4716 1357 1 1590 742 1 13089 1296 1 17494 6192 2 473 5018 3 12290 2459 1 13605 4725 1 17082 4105 3 13046 502 1 7682 6924 1 15704 1764 2 20245 4333 1 4764 518 5 6883 4217 11 10730 502 13 16057 4649 1 20066 6488 2 1334 65 6 2632 5301 2 14957 3477 1 12895 8167 2 9947 657 1 4779 94 1 10692 641 1 19368 4291 1 15750 6783 1 13923 6995 3 12298 6377 2 12922 477 16 15870 2710 4 4960 4918 5 3307 1482 2 8157 883 2 13812 1573 1 4978 3704 1 7356 199 4 5739 533 1 14906 508 1 10327 903 3 5565 7220 2 13026 3663 4 1147 1686 1 17664 1246 13 6910 3256 1 1043 1760 2 13508 690 1 4606 2559 3 17556 4268 1 9445 184 2 9648 7639 1 3988 5561 1 3704 1726 7 862 421 2 19286 1745 1 12573 23 1 16394 2708 5 13400 3693 1 7592 1250 1 12918 982 6 1498 813 1 14503 519 5 13797 2555 6 11207 385 1 460 220 1 2704 411 1 4008 1819 1 18593 4764 2 13101 4820 2 9041 5326 1 4023 4528 3 5706 1434 5 10102 545 2 8165 6159 1 9565 2392 1 18847 3564 1 11929 533 5 309 6776 6 3550 4349 11 8174 233 3 19341 1731 1 14519 227 3 9597 201 2 10994 164 1 15728 5884 1 6283 1784 2 18790 3757 1 18142 1184 6 11658 4607 12 16158 4016 1 12796 4986 1 11327 1239 1 18792 1369 1 10229 220 2 608 7804 1 18876 561 1 8759 2184 1 11388 6220 1 10152 1768 2 20016 5003 5 6655 1898 2 16925 1110 1 7306 690 1 14018 7237 2 1120 558 1 9014 3849 1 4062 7232 5 7147 4096 1 18151 336 2 13347 7206 1 15629 634 1 2502 2508 1 5312 1730 1 19267 718 1 9718 4284 1 18040 1685 2 140 6438 1 14289 7701 1 11783 1247 1 3747 5408 1 16026 1817 1 5847 207 3 5724 5468 1 4360 8002 20 14060 1967 56 1689 3707 1 14218 6252 5 14306 667 2 873 1125 1 17899 7820 1 11160 5425 1 18320 706 1 812 8008 8 16740 4022 1 18119 46 5 8343 743 1 9284 7872 1 9150 4467 1 4529 1146 1 4680 4287 1 11612 496 32 15996 1707 4 17865 148 1 8910 4716 2 2584 482 1 10565 5906 1 16063 292 2 19649 1743 1 3075 1772 1 18695 520 63 14753 891 1 14369 5352 1 2886 5862 1 11397 2254 7 7058 5905 1 8571 74 3 4498 1665 1 10298 1321 1 11581 510 1 4963 3503 1 9269 600 1 11987 7809 1 7640 2746 1 6704 5054 2 13893 4563 2 3189 237 2 2483 6481 1 15707 786 1 5174 6500 1 6483 6228 2 16481 4074 1 13231 1613 2 5047 645 1 1106 4363 1 209 3798 1 1363 219 128 14629 57 2 20114 5490 1 6676 724 1 19769 3460 1 14555 1147 7 7184 1775 1 3580 221 1 74 3451 1 5868 3491 1 2069 2102 1 19223 545 1 121 5274 1 11156 1788 4 4788 1331 2 3175 2708 1 8606 1464 2 5243 4623 12 19319 244 1 1763 2646 1 13580 3059 2 16247 6011 1 9643 3767 1 19387 1241 1 6451 6434 1 15100 747 1 14760 200 1 17012 6568 1 1864 6053 7 14348 2676 1 1779 3075 1 18101 229 1 12897 850 5 6818 1112 1 3266 3759 6 7095 4387 1 12273 597 1 12725 6034 8 2925 931 1 5389 5996 9 17740 8230 1 3814 7259 1 7528 1661 1 18724 1731 2 18946 694 1 2432 871 1 8889 2023 1 9528 1752 4 10966 4393 1 12152 967 1 6630 6467 1 12078 5353 42 12762 2216 1 13896 1679 5 1065 1424 2 16313 2800 2 19860 5060 1 9919 6576 1 7179 768 1 8135 2935 4 18213 526 1 5925 3293 1 11786 3939 4 17948 1726 1 14053 1714 3 1530 5903 1 465 1489 1 8732 200 45 3319 2677 4 124 5456 1 460 1695 1 17026 4391 1 6580 4011 4 5491 1261 1 13009 995 2 11300 3635 1 8510 623 1 19000 367 2 19690 1395 18 1028 1329 1 6753 1342 1 3723 7578 1 9025 4792 1 13182 3511 3 11220 4812 2 432 4096 1 12373 6084 4 14828 4578 1 14965 5690 3 7293 4013 1 5070 1819 1 7683 2263 1 10192 5333 10 1824 1302 1 10 283 3 222 623 1 822 479 1 2172 1829 1 139 6344 1 997 7788 1 12039 1470 1 7176 1727 5 3870 2509 2 5176 1658 1 16605 1664 5 5574 2490 1 17865 564 1 9937 201 17 5540 534 1 6568 3391 1 12383 3826 3 1964 1244 1 258 5099 1 18508 3399 5 2646 1251 1 2693 5418 7 3280 6204 15 12481 232 1 5146 206 1 7432 7313 1 3716 960 1 11256 721 1 6032 988 1 83 3867 1 6752 3557 1 19912 6157 1 3756 2862 1 13829 1729 3 10162 2155 1 19610 1652 1 6765 23 1 8763 1345 1 18476 2206 2 9925 723 1 16907 1946 1 1610 2419 2 18619 4578 3 2244 7101 1 4631 6737 6 18466 5474 1 1035 3233 1 20048 1780 1 19782 1788 1 12428 1642 25 410 1747 2 8361 867 1 10393 4363 1 13714 4572 4 3507 200 8 15412 2645 4 14158 6675 2 1496 4012 1 340 488 3 16257 1717 1 4055 783 4 7176 3337 5 18115 3578 8 8992 1718 1 13701 2938 22 16346 7104 2 8585 1805 1 11844 1705 11 11399 505 1 7179 756 2 17953 3516 26 15339 225 1 3947 1241 5 14896 5036 1 7034 1698 4 3947 219 2 4108 1829 1 504 3411 2 17610 878 3 18128 6341 1 6158 2336 5 3889 5004 1 5552 6091 2 3035 1247 4 1222 4409 1 8436 2699 1 5641 1924 4 1092 7689 3 12591 5018 1 12134 3939 1 4839 1825 2 838 1245 1 5848 1997 1 18694 1374 1 4828 2971 1 19759 498 2 16614 4312 1 5420 4720 1 2917 649 1 18690 2663 1 14996 2877 4 17028 5014 13 20008 534 1 13885 201 1 12283 1703 3 12603 5670 1 5346 5127 8 635 4425 2 3536 2480 1 8095 1753 1 18418 7831 1 7350 5639 1 13132 558 2 11409 6207 1 4590 7881 11 13899 514 2 1824 1269 1 19428 232 2 5602 1705 1 11127 6435 5 3436 184 2 11741 1732 1 9777 874 1 10706 2351 26 5312 2743 1 5938 5419 1 10446 2603 2 4106 5202 1 3726 1909 1 17203 2343 3 2260 1700 5 18331 4357 2 16192 3892 15 11687 5105 13 11992 7474 3 20032 6031 1 18546 5386 1 10257 5311 5 19727 665 5 10691 221 1 267 235 2 17588 7895 3 6130 599 1 2378 1688 5 7619 1244 4 12279 6414 3 17596 2666 3 18623 1775 4 3814 7237 1 15006 3970 2 4828 220 4 7577 1234 1 9077 910 4 13718 1239 1 6376 219 1 6381 341 3 16192 207 2 19407 34 2 18744 411 3 9783 5294 1 8925 1903 1 903 883 7 12843 3460 1 486 2831 1 19877 5052 4 17434 876 5 16657 1707 1 12893 252 1 16805 7492 1 7577 1037 1 9178 7216 1 15827 5583 4 6509 7897 1 3651 3485 1 4092 514 19 13883 3625 1 17032 1987 1 9212 2367 1 4348 1772 1 822 471 2 15832 470 61 8419 470 8 13800 3819 1 85 200 69 14795 213 1 1891 7604 1 4870 236 3 19588 1819 1 18401 3447 1 6152 5296 2 1457 955 1 4300 2569 5 8614 5438 1 18982 3298 1 1586 1245 2 8423 1784 1 13320 2386 3 11363 4019 1 9886 2633 1 3157 5783 4 8255 1307 1 7882 482 1 15263 7355 1 3309 1150 12 17675 222 2 10391 2129 2 17343 4196 1 6681 1758 1 3426 3480 1 15219 1686 2 4755 3426 1 20220 252 2 15533 5995 2 14055 2646 4 12055 5495 1 15890 1656 1 4329 23 9 7175 2656 1 4843 722 3 9539 6346 7 314 1740 2 7505 825 1 745 236 1 5424 401 1 13252 7050 1 2036 3789 2 8775 5673 1 7181 1739 2 16301 6183 1 12639 6150 1 9431 2501 1 6698 5997 4 16177 361 1 17586 532 1 5728 3266 1 18183 504 1 124 5403 1 14828 3832 2 13845 1224 1 365 1361 1 13523 7603 2 7730 7848 1 2288 5097 3 19368 394 1 6116 510 57 18296 7477 4 59 2704 2 10234 2786 1 624 5056 1 6007 4290 1 3337 2279 1 3048 1418 1 2243 6897 4 17368 383 1 15136 930 1 5424 1728 1 15619 1062 3 15507 1721 1 14287 7475 1 1939 3601 1 4330 3233 1 20166 524 5 139 6336 1 7985 207 5 11014 203 12 12962 3742 6 14345 516 1 2213 2119 2 6742 6669 16 6070 6510 2 9517 222 13 5829 1814 2 17058 836 1 3475 4511 1 7028 2626 1 12678 3408 1 6473 506 2 8753 2651 1 16625 7131 27 4623 222 1 18807 910 1 3505 3570 1 14233 6532 4 1668 2970 16 16612 7509 1 8326 215 1 20258 3212 1 662 2338 1 11082 489 1 11424 8111 2 1875 3180 5 547 3660 3 4159 4228 1 4708 200 3 6838 2175 1 16493 5331 1 5748 581 3 8820 443 1 3467 503 4 18357 6457 1 18087 2297 2 14773 207 85 5515 2216 1 1359 1752 1 2564 2640 16 8554 874 1 7099 46 3 16684 2710 1 9521 215 3 6376 1736 3 13084 1241 1 7658 4572 8 4763 498 7 4050 1771 2 18459 222 3 1459 525 1 3287 656 1 6997 6536 2 12142 5969 3 10151 1600 1 2432 347 1 19742 4333 2 4873 6482 1 9975 304 1 9064 3308 1 1009 554 8 942 7412 1 11626 1721 1 10534 1363 1 6343 1711 1 4045 3167 2 7042 5506 1 2583 5434 1 16016 597 1 8448 4411 1 3090 7586 1 17892 8072 1 12378 8036 1 17763 200 15 18893 5721 1 18157 4009 1 2428 5998 1 8578 727 1 15850 2938 1 18371 6185 4 8376 236 1 1710 1734 2 13450 6669 1 617 3081 4 15081 514 1 15943 782 3 8634 4042 5 18681 3849 10 15303 7527 1 19286 1814 20 7916 221 2 13537 619 2 10994 1374 1 6684 497 4 16776 1827 6 14298 82 11 2332 1718 2 17009 514 2 9149 3608 3 16780 867 5 15272 4285 1 4764 221 1 15323 4022 1 5364 5325 2 2697 1395 1 17992 3338 2 10283 6252 3 1444 169 1 12290 2398 1 14660 3338 4 2375 156 5 4035 23 1 67 3223 1 18071 6917 1 19313 4811 23 4511 5083 4 5954 6504 19 388 148 1 17809 2559 2 7221 6095 1 4092 5495 1 2724 6100 1 11216 7086 1 19480 867 1 7165 1037 1 7099 6150 1 4898 219 2 2917 5490 1 11206 6152 1 5623 6241 7 10404 865 1 15495 197 2 11360 558 1 4740 2247 2 18175 225 1 1628 1721 24 14630 219 5 13461 173 2 15676 3223 1 13 679 1 17803 1367 32 5954 409 6 7099 1814 1 8908 1733 1 8535 2777 20 4383 1642 1 4207 201 2 3783 3748 1 713 1236 1 3924 7022 1 18557 5257 1 12363 7672 1 1456 2571 1 2461 4728 3 7535 225 2 8993 8191 5 19850 861 2 5185 3898 1 2447 5526 1 10624 4528 28 10396 498 2 326 1046 1 14211 1278 2 17083 6341 1 17909 8078 1 10404 1371 2 10327 809 6 12279 36 2 13995 7883 11 3142 2254 2 6011 453 1 1009 692 1 261 814 1 9123 7167 3 16474 6170 10 873 3871 2 15774 3494 1 14852 1244 1 3189 2614 1 11384 1731 2 8969 8141 3 12918 1717 9 9640 1466 1 9937 220 1 4072 1257 3 9924 6334 3 12322 200 8 13359 3318 2 3874 3701 1 18254 7057 3 2045 1772 2 767 2632 1 1379 2869 1 3397 4983 3 7577 3425 2 5638 1296 2 242 3954 1 8793 318 1 9117 235 4 18237 1235 1 18188 6141 4 4055 1685 1 7896 303 7 13729 8029 1 15088 523 1 12257 534 1 3695 5011 5 15629 929 1 19601 5539 1 891 2743 1 19145 5510 2 16684 1103 1 615 6341 1 8782 221 1 2126 5444 1 8614 4024 2 664 2014 1 12285 722 1 11786 284 1 7526 4936 5 11755 1785 2 15724 4623 11 19197 3067 1 12659 207 1 14577 1037 1 16872 2260 1 12883 8026 1 826 3575 5 3629 2118 1 874 23 1 10341 498 3 1986 3180 1 6650 2953 1 123 1717 31 3505 1463 1 19322 1757 3 1130 724 20 9437 2378 1 16857 2087 1 14150 55 1 13641 1686 1 128 4404 1 4610 3842 1 14070 6122 2 16016 2990 1 9773 229 1 170 7602 3 14996 519 10 10313 1277 9 13205 5002 1 9340 203 7 7708 2501 1 18119 3425 1 18132 4231 1 2611 156 1 16517 4762 1 18149 1775 1 6872 74 1 4267 8212 1 13964 6865 1 6030 1248 1 11169 105 2 13245 3583 1 5117 721 1 8682 1819 2 11086 1247 1 5497 883 1 11562 6330 1 2834 1898 4 1866 520 6 873 447 1 13613 548 1 1077 532 2 12541 1751 1 17771 2641 2 20090 4246 3 11072 1748 2 11523 4956 2 5420 7840 1 18262 505 1 812 7884 1 14522 545 1 11196 4929 2 16626 367 1 67 3240 1 13750 3987 1 13234 3697 1 3085 370 1 1240 976 1 14080 2724 1 11773 1721 1 4199 1778 1 18462 6861 1 16120 1620 4 15893 7534 9 14626 2412 1 17285 4635 2 1718 6278 1 7110 1648 2 15235 8141 1 5624 619 6 19729 1707 2 6691 7259 1 8344 4903 5 4855 186 1 9278 1761 1 8835 1241 4 11763 3411 1 7728 3572 1 15932 2483 1 14573 711 1 7042 431 1 18480 1770 1 11562 162 1 14853 6080 3 9978 3394 1 7203 5255 1 4498 1211 6 14758 3713 2 19336 471 12 6388 2671 5 14976 3466 2 2186 3923 2 12817 2118 5 62 2950 1 16860 318 1 15931 4796 4 17950 4307 1 16682 200 2 19286 759 5 8799 47 4 17664 1743 1 12496 5888 3 13 654 6 10 334 1 316 7213 1 824 8182 3 14013 3228 4 12363 6091 2 3819 2727 1 11420 6687 1 19034 7492 1 15456 235 1 6232 864 1 845 201 5 8689 1768 2 18919 766 1 6617 420 1 4614 3705 1 14056 461 1 9941 5326 2 11982 1747 15 7943 970 1 9628 3868 2 6064 4044 1 19775 4293 3 8981 2343 2 1150 611 1 559 5670 5 10835 534 2 174 8092 1 3358 707 1 2553 765 7 9033 883 2 19820 4339 1 4679 5493 1 3889 4998 14 12638 1374 2 8493 3911 1 11678 4525 5 9546 370 1 2791 4828 1 10508 23 2 16674 823 1 7790 7840 1 7883 615 2 10902 2481 3 19327 4472 1 4708 223 1 10733 460 2 9195 8185 2 6704 6150 2 4346 1416 1 15140 6640 22 1993 5270 1 7616 4935 10 11964 23 4 12815 6892 12 10245 186 1 1296 3714 1 1663 3836 7 13951 792 7 13086 5844 1 15870 3537 1 15182 3122 2 18872 874 1 10507 3725 3 12861 477 1 162 1783 2 8833 3747 3 8767 496 3 12074 4884 1 3871 524 1 17032 6252 2 5494 1776 1 18281 785 1 14790 201 4 19957 249 2 19434 7915 2 11035 2329 1 15619 2081 1 13498 510 16 2727 3202 1 12296 741 1 11093 207 1 17328 6228 1 19427 7021 1 8391 689 1 14114 673 1 2027 5082 1 18250 1312 1 9475 5597 4 135 1995 2 16312 3287 1 9976 1971 3 5734 883 41 19145 4132 1 5734 415 1 6690 1508 1 17472 4534 1 18091 624 1 108 4821 1 5352 3901 1 127 5737 1 6249 2595 1 16397 5737 1 15012 367 1 10015 1582 1 18465 6346 1 17953 2089 1 1904 196 1 1796 2363 10 12961 2678 7 17259 6107 5 612 1752 1 533 4811 1 11104 1663 1 286 3540 1 15117 647 1 15188 7360 4 6113 3311 1 9954 4395 1 3074 8026 1 17537 6073 2 16482 1728 1 9607 2151 1 4950 2307 5 4904 5696 1 8759 3720 3 19034 889 3 7986 380 2 13919 799 1 18075 3399 1 1337 492 20 2128 5989 1 19995 5400 1 12379 7857 2 19332 6099 2 13748 215 1 6099 1244 2 4885 235 1 11215 7853 1 3304 872 1 1464 6086 1 9921 1707 1 18769 1751 5 4877 153 1 9188 836 1 11266 6726 1 19494 1146 1 14568 2675 5 10026 6037 19 1738 1996 1 1206 5591 1 3472 221 1 9935 6500 1 85 3894 5 4234 770 1 13916 4165 3 7991 20 3 12434 5009 1 12355 2448 1 10633 864 1 15364 3252 2 7754 2819 1 4382 173 1 4606 6213 9 6977 1000 1 13027 825 1 18502 6584 7 9572 6561 4 18875 5502 1 19301 15 6 14824 6342 5 3417 4196 7 8819 184 1 10599 223 2 16674 1338 1 2267 375 1 8591 6192 5 7043 2581 1 18619 308 3 19724 4435 1 3397 797 1 6907 889 2 4992 6900 2 11638 2268 3 4603 248 1 11259 4587 2 4663 707 1 7220 1705 1 12375 945 1 8943 508 3 7769 763 1 10773 4379 1 9934 157 2 11227 6691 4 3083 3721 20 16347 1789 1 4924 1819 5 19131 1053 1 15180 3276 1 4935 5970 1 11694 219 4 4043 3911 1 7392 1250 1 5875 3869 1 6449 6076 1 14485 2240 1 9206 1644 1 11072 225 5 433 7395 2 13590 4317 1 11733 2930 1 4034 2969 1 15352 8073 1 6603 2150 2 8091 7643 1 8021 3480 5 3283 6091 1 7241 1781 2 16736 7687 1 9197 6949 3 13922 3333 1 13340 776 1 16210 1782 2 13009 7814 2 13936 2565 3 16977 1363 3 5179 7815 3 9927 215 1 16625 3647 3 14289 3284 1 18671 1466 1 8999 196 1 11014 219 17 7991 1250 1 73 3382 3 11354 8185 1 11786 7045 1 19097 4385 10 9883 4245 1 13891 175 1 427 532 1 18144 416 1 18244 2683 3 18845 188 1 11478 4436 3 270 1734 1 10042 2665 1 2703 7213 2 10176 206 2 13 757 28 4718 7511 3 10953 2441 1 10394 1312 1 5003 4623 7 13997 766 1 899 863 2 2471 2522 1 11271 2737 1 4657 6435 4 15192 791 1 5725 5427 2 1848 2098 1 10595 1450 6 12919 2009 2 12818 7990 1 17928 7839 1 13590 905 2 12945 3937 5 1346 2973 1 18671 6868 1 19193 2261 5 19486 3349 2 14678 5551 1 14218 7347 4 5303 3590 1 17896 8159 1 18909 229 1 12739 5532 1 15259 4992 12 9437 1595 10 6322 1924 1 19713 6106 2 17420 223 2 15964 23 2 7500 3526 1 5095 1728 1 6478 1243 1 9034 2830 13 847 7418 1 2994 219 2 5295 1901 1 12817 1758 1 6172 7022 1 15289 4309 1 7221 2636 1 15084 676 1 10736 4654 1 16742 861 4 7568 1341 2 16243 3476 5 17084 6345 1 15459 4518 1 14970 2932 1 17436 695 5 15286 3026 1 17746 3005 1 19967 7734 3 18610 4813 1 6398 514 7 4614 5342 1 4822 7829 1 17788 2100 1 4279 64 2 1168 1779 4 15834 11 1 16312 1342 1 6907 1751 1 1844 2710 1 14146 1072 2 12903 1505 1 4195 525 2 19952 1555 7 10327 708 3 8239 3442 1 4970 484 1 3651 3588 1 40 2073 1 19837 6153 1 16914 491 1 1986 6343 2 10404 937 9 16016 5258 1 14375 3230 1 136 5575 2 18465 1760 2 19182 3266 1 20007 253 2 17846 1250 7 1985 270 1 13285 1756 2 2488 214 1 6275 1404 1 11737 7489 1 7571 1689 1 34 1849 1 5637 1772 1 15870 225 2 105 4727 1 12844 206 3 150 6754 1 14822 6761 1 5378 4490 1 8615 3533 1 19634 937 1 862 3997 1 14393 1328 4 6305 719 2 8872 1946 4 9395 1420 1 18390 4245 1 6872 3230 1 13351 215 1 3356 1700 3 16090 2840 1 9162 6574 1 10482 6947 1 8735 1716 4 17384 284 3 9659 186 2 12077 1374 17 13328 636 1 2887 869 5 16690 1751 1 14773 470 5 2586 3733 1 18432 910 1 5458 6785 1 11772 867 13 10010 3537 3 6717 3317 4 3323 1991 2 4428 7837 1 2778 2677 1 12069 2675 1 16736 3871 2 1924 652 1 7478 4425 1 13171 5879 1 1692 6343 1 14970 605 1 17367 4622 1 8916 4961 1 1706 5760 1 13755 206 1 12236 3294 1 18893 2605 1 11132 190 2 15713 4233 1 4539 1704 23 6789 1037 11 17924 6180 2 5991 3294 4 16643 6446 1 8493 5018 1 5122 495 1 13483 5799 2 10088 244 1 11367 4251 15 1206 671 6 4046 3653 5 7000 5945 3 17736 4304 1 13496 2591 11 2313 2737 1 13705 1816 5 10245 1768 6 14894 1881 2 1853 4010 1 31 1277 2 5775 1239 3 16351 1726 1 6332 355 1 16526 2535 1 3012 222 1 16548 458 1 7799 3399 1 1581 214 4 11722 201 1 806 3057 3 8767 1776 5 18546 4617 5 7354 5340 3 16709 6658 1 14606 2507 1 15970 1944 1 676 1245 1 3214 206 1 7071 7915 31 10918 225 1 12911 495 3 9449 505 1 16423 6205 1 6996 1788 1 2036 5726 1 7403 5496 1 348 6754 11 19273 76 1 1929 2622 1 7697 2356 1 1708 891 16 14787 5054 3 4749 2141 1 8051 4299 1 4524 1312 2 121 5288 3 16938 1758 1 18411 6690 1 7498 7751 1 6619 1356 1 9067 196 3 9569 7860 22 5523 461 1 11363 1903 9 12915 3283 5 1086 533 1 9844 7846 1 1115 203 2 4488 3167 3 14808 498 5 4667 335 5 11766 4375 3 6479 596 1 5972 5510 1 4207 23 9 16625 1399 1 4468 1784 2 17365 507 1 14416 1656 2 17736 375 1 14236 3408 1 9395 5425 1 969 2864 1 14400 1761 1 17413 1464 2 6207 173 5 17331 1249 1 9093 2686 4 19005 2970 1 5431 1955 1 17011 1718 1 14617 1710 1 10647 1881 5 6929 3430 2 4569 1244 1 13412 1344 3 18180 6510 19 15119 4274 1 11404 1721 1 695 3632 1 342 5579 1 4460 2027 5 6977 201 1 1241 1825 2 15411 2683 4 2842 2191 1 17831 7410 5 2143 6665 1 6907 5349 1 4512 1194 1 4023 2760 1 17988 689 2 11983 4112 1 15781 5499 1 8255 4009 1 5851 4274 1 15982 1312 9 16063 833 5 8273 2478 1 19351 5325 1 9154 1901 6 8188 6824 1 3675 899 1 20268 2661 1 17675 4949 2 18381 1146 4 3379 1613 1 9463 5326 2 1405 962 1 10549 7597 15 2674 470 5 5153 3227 1 14310 6027 2 4880 943 1 292 6900 1 5981 1241 2 13709 1184 1 1540 1814 5 594 3633 2 8658 3972 2 3522 1881 1 2905 6537 2 739 1244 1 11715 6207 1 5938 1658 1 7682 722 1 18564 206 7 5746 5245 2 5038 2307 1 15429 3534 1 17850 973 1 4859 1395 1 10907 7605 2 873 5301 1 7825 2486 1 1586 1252 1 5963 2478 2 4843 694 1 14690 1241 1 449 7210 1 16163 5105 1 10439 1661 1 3562 4929 1 9432 1179 1 2284 1334 1 7734 23 6 11913 3454 11 9725 3710 1 9014 1691 1 15778 3403 2 16395 6225 13 12232 496 1 2699 6031 1 5266 2068 1 17386 6210 1 6676 6614 1 11587 995 11 17633 4258 1 14522 917 1 10201 225 2 4207 215 3 2186 5018 12 15284 8139 2 14820 888 2 15530 498 1 20191 3557 1 20009 7267 1 397 2584 2 10956 514 1 10049 910 4 6855 803 1 4870 7210 3 19051 23 26 13224 3619 2 19143 670 1 16191 3652 1 18339 4297 1 11203 3556 1 8541 220 3 1597 1203 1 13928 3911 5 4918 8158 1 20032 5449 2 19178 4250 1 10241 2255 1 7563 1368 1 13667 6054 13 4935 4597 2 2598 1630 2 1237 1739 1 4995 1965 1 4626 4343 1 17199 1236 1 4647 197 1 17482 3511 4 8278 6868 15 6314 8121 1 3304 6013 1 16941 6697 1 2398 533 1 14109 3724 1 16943 3228 7 5023 5442 1 11820 6656 3 1866 6586 1 1630 3511 3 18534 7654 2 9655 234 1 7535 6204 3 4094 2114 3 6341 1555 10 143 5086 2 18698 1719 4 5495 7379 1 13262 559 1 17809 501 1 13620 526 13 723 2505 1 9993 2150 1 9699 6536 2 10283 7138 5 13574 645 1 5117 931 3 15714 4245 1 19604 6549 1 9120 6946 1 6752 715 1 13560 1100 3 15270 1711 1 6328 506 1 20 1306 1 19876 5058 1 2195 1241 1 11461 225 2 2274 2497 1 5023 1737 1 130 5951 1 20145 6733 11 16063 361 2 11072 1247 5 11843 207 1 14278 940 2 2717 7485 1 1869 1247 1 5309 1784 9 171 7724 2 2716 883 1 14639 2801 1 1535 545 1 14727 1244 1 15608 6011 2 1019 5097 4 13590 825 5 3641 201 2 4644 4967 4 3268 5495 1 2045 1819 2 16109 629 2 3755 2241 1 18614 2762 1 9066 4914 5 20006 2337 1 13105 1053 1 20265 8167 1 9437 1788 6 11029 2683 1 15045 8221 4 2204 1103 1 14391 4179 1 9537 1956 1 10977 6069 3 9639 5182 52 18797 6341 1 3267 316 2 19319 1722 1 19313 3021 4 14474 1732 4 16234 1781 4 559 4460 1 14330 3904 10 14733 2930 5 11072 3334 3 19050 206 7 6070 6506 1 2526 1779 1 9816 7540 1 6412 933 1 3021 1603 2 17011 1738 1 14243 7213 2 16977 4006 1 11384 4999 2 16927 1755 1 13987 1296 2 17290 6713 2 13 894 4 14213 3798 1 3014 2528 1 17073 1363 2 16080 4992 3 8245 203 1 19434 2355 1 6656 523 1 11277 3276 2 7709 1247 3 10383 2111 2 17526 219 1 18431 7719 1 10999 386 1 6555 175 1 20068 1779 1 15608 765 1 17986 316 1 10221 3589 1 16914 2324 1 16767 2552 1 19990 1146 1 16916 4789 1 1108 5495 1 12152 690 1 6644 6527 1 14958 5294 2 5 156 2 18400 200 1 284 2259 13 6348 847 1 14805 7466 2 12566 7294 1 17395 3626 1 2889 1729 7 7607 5425 1 12324 502 1 3705 501 1 3581 2584 1 17969 5077 10 15826 2415 1 171 7656 1 4622 4019 1 16643 2383 1 14474 2673 2 9275 8036 1 5936 2480 10 7573 222 7 15192 751 1 397 496 2 9660 2447 1 12810 196 2 13626 1876 3 17662 1736 2 388 364 5 18761 477 7 14591 498 24 4397 789 2 16073 262 1 17547 207 3 7334 3549 1 16999 1945 1 9454 1573 1 3283 2675 1 3170 1779 1 8368 4132 2 19788 1464 3 94 4219 5 14992 8183 34 14753 5260 4 9767 3262 1 9456 1363 3 11562 6231 1 11971 1221 2 10813 1727 1 9864 1034 2 7634 532 1 5931 23 26 10152 6658 1 15263 2372 1 2284 1235 1 16891 1768 2 10649 4120 7 15932 825 1 11174 6019 1 17132 1717 1 20225 765 1 15615 960 2 16836 5886 1 10046 1722 4 7293 5538 4 8974 201 9 2674 349 1 7333 5017 2 3569 5319 3 836 1914 3 15874 4022 2 14890 398 1 3573 2231 1 4475 5623 1 3175 385 1 1498 4059 1 14162 134 2 1301 252 1 4859 1245 2 12933 200 1 20 1301 1 6449 5130 3 17120 519 2 7528 4108 2 12543 1726 1 13461 197 3 5963 6150 1 13165 87 3 14519 498 1 5963 525 3 14639 2778 1 13636 6602 2 719 597 1 5695 577 1 6329 4623 2 14690 2534 1 6540 3653 5 4279 3557 5 1237 860 1 10888 1819 2 4110 1784 20 17196 364 1 18149 7112 1 11367 1249 1 9084 3081 3 7725 6953 2 19719 4379 2 9374 2363 1 7128 6680 1 3290 2250 3 20033 370 1 15206 4618 1 1908 1770 1 6204 1245 13 7141 1770 4 6811 1324 1 834 510 10 1053 718 5 6433 496 2 19899 6342 1 9572 3945 3 2710 201 1 16568 2068 1 11353 6316 2 5433 229 4 6769 1587 6 8709 129 1 8166 2480 1 12190 201 4 2414 318 1 13187 6037 1 238 2737 1 11722 1296 1 1019 1251 3 15220 5554 1 15168 974 2 6801 4735 3 2424 522 1 10738 7691 1 2041 506 2 19887 225 9 5675 2555 3 17839 5252 1 10664 5385 1 12510 3011 3 18472 2292 2 2155 1424 1 16525 6908 1 5781 5538 1 12706 1722 4 1 17 1 6650 545 2 15025 1707 3 8949 201 1 1706 883 3 4106 2584 1 14906 1764 1 5712 1731 1 11472 6027 1 2646 4218 1 3309 347 2 3399 4397 1 1955 470 1 2350 832 5 6154 2438 1 19470 5397 1 13445 506 1 18116 3113 1 3843 7598 2 6650 5686 2 13087 3999 2 2490 768 1 1141 1743 1 6470 277 1 2340 6957 1 18584 5379 1 14993 1975 1 7750 200 2 15326 3576 1 10228 471 3 7962 470 2 4020 224 1 3362 1739 1 6539 730 2 806 4992 1 3989 4819 1 5806 5852 2 12929 861 3 16491 753 1 8523 1642 1 18924 252 1 12063 173 9 50 1312 1 19331 723 1 11715 3454 17 9916 4296 1 14883 5730 1 4898 6224 3 27 1591 1 1865 2889 1 35 1884 3 5894 1589 1 4880 5874 6 18115 702 15 18081 497 1 19322 3721 4 5264 5060 14 1449 194 2 17786 5496 2 4966 2360 3 5706 7454 2 20009 7752 1 7486 3333 1 20017 960 1 16041 496 1 8395 5150 1 18973 2363 6 2820 7107 1 1565 6201 1 665 3698 1 818 3042 1 19568 2363 1 9547 1431 1 6380 2565 1 6137 214 1 11399 7008 1 14253 219 7 7249 3669 1 17462 4369 2 18671 6633 1 3149 5018 6 16887 1184 5 12888 7614 5 13619 1298 1 15936 207 5 14748 23 3 10340 1357 1 17778 2419 1 16815 1239 4 16997 7936 2 2310 5586 1 11219 2258 2 8534 2257 1 14162 394 2 18508 6482 4 580 8140 5 8361 504 3 4960 4312 1 20004 4930 1 17887 8182 3 12418 2361 1 10025 5172 1 70 3284 1 17756 207 54 11097 3787 1 7224 2131 1 10457 1642 1 9894 1072 1 1586 1557 1 16601 4266 2 17682 2354 1 8658 313 1 16070 7477 2 4307 398 1 11441 6252 3 17273 3813 1 2413 4307 1 14213 5969 1 4307 514 1 7000 3798 1 12103 222 1 8982 690 1 17690 1361 17 12127 380 1 11191 6139 1 9387 200 28 1739 2671 30 4399 34 1 4398 1827 10 6702 800 1 17039 1757 2 143 6574 1 15848 2167 2 4371 4852 1 1143 6658 19 7070 4073 1 19579 4597 6 17257 2026 1 10607 7431 1 11270 7622 1 18186 2027 7 48 2422 2 19160 1420 3 6108 1184 1 124 5564 1 17799 845 2 7975 214 1 12415 225 4 7358 1495 2 12493 498 2 31 236 1 969 1211 1 1703 201 2 7538 545 3 3376 225 1 4003 3203 6 9452 1531 5 18933 1740 1 10398 1715 2 12044 7734 5 14434 3113 1 4806 4647 1 1831 6533 1 20202 214 1 17003 4455 10 16249 519 1 3397 755 2 16092 5445 1 9826 199 2 7841 1211 22 14669 4729 1 899 4501 1 8072 207 1 1893 891 1 18746 2508 1 5959 5398 5 20148 2132 1 8384 496 1 14196 38 5 7532 1395 1 1686 1530 1 1139 793 1 5955 6231 3 18376 3763 1 11428 5242 1 9791 916 1 15968 3065 1 17738 229 2 16231 3398 1 5580 1201 1 17954 7104 1 8053 771 1 19740 629 3 4956 589 2 271 3058 1 9805 4177 2 8597 5798 1 2267 1251 1 8851 891 2 13619 3684 15 2511 243 1 13097 4622 1 9897 749 1 136 6272 8 2266 8027 3 14428 1788 1 8934 6278 1 4318 903 2 9572 5202 1 17514 2671 14 14886 5018 1 729 8235 3 18169 6834 1 19781 1172 1 70 206 1 8585 2982 1 1171 367 3 13582 506 1 16006 23 1 65 3120 4 13432 3193 1 10283 1996 2 11521 2488 1 9937 4267 1 15778 4448 2 2458 5138 1 8624 3133 9 19397 1245 1 4019 974 2 2274 2505 1 8667 4444 1 4593 648 1 2274 845 1 16152 3267 6 130 5869 1 3189 5234 1 2970 6414 12 14330 184 1 17580 2675 1 16669 2343 1 908 2897 1 16358 5234 2 20106 8139 3 8174 631 2 17051 637 1 11240 84 1 4380 4006 1 8566 489 1 6871 303 1 19673 508 1 5257 3711 1 6076 3997 1 1131 2206 8 6610 7829 1 297 235 1 15488 5940 1 13114 4534 2 7750 184 1 11535 4713 1 12804 6031 1 18392 187 1 7800 8141 2 10682 1747 1 19908 1699 1 15943 5287 1 13329 792 1 3719 175 1 17342 5604 1 5308 3563 2 11231 4667 1 18560 5617 2 3539 262 2 15526 510 1 8275 1796 7 15323 225 1 4631 4733 12 11388 3511 1 42 2170 1 3532 1036 1 174 8122 2 17921 6674 1 10201 1331 1 8014 3625 1 16347 2357 5 16832 203 1 2282 1824 1 15478 2262 1 835 3132 12 10777 724 1 4050 232 2 16490 1686 1 7376 368 1 12975 3535 1 1883 878 1 17378 525 1 387 1253 1 10799 205 1 3701 7688 1 15429 1772 1 8164 4436 1 12110 7518 1 9873 1247 1 7750 508 1 20126 532 2 8894 6795 2 14034 1244 2 16434 3294 5 83 3801 1 8961 1762 7 80 3572 1 20274 4379 1 14378 4325 3 14373 7167 1 8255 5448 1 19901 6552 2 3705 5150 1 10961 1727 2 4204 6375 7 15595 3016 1 9199 411 1 5552 1720 1 17790 219 2 6250 477 1 10988 4203 2 4688 752 7 2648 200 1 18706 4435 6 12479 3163 1 9029 673 1 2174 4904 1 7000 918 1 6690 789 1 3058 3686 1 15269 4403 4 18637 6091 4 2284 442 3 12784 2584 3 10856 2380 1 15289 2064 1 11008 26 1 17757 1184 1 12897 684 1 13540 242 2 62 3025 1 4780 5127 16 9589 4790 1 6064 5767 1 3272 1164 1 13 310 1 11820 4379 1 6865 524 1 13031 514 7 18334 1741 30 10840 5375 3 12363 7846 1 15429 1145 1 16394 3077 29 1174 219 8 12121 7403 1 8041 7601 1 18015 4588 13 9537 2401 3 12686 4333 1 3515 1685 2 14800 4310 1 9435 223 2 13302 411 1 12618 2602 1 1505 2068 1 14758 367 19 12029 1250 1 13722 5408 1 14994 4987 1 9846 4059 2 2863 232 15 1706 5952 1 11987 3101 1 5979 891 3 6406 477 1 17434 5243 10 8757 3276 1 6794 8096 6 996 1250 1 14164 1706 3 14729 225 1 10398 1561 10 4696 1416 1 8361 3403 1 13496 236 2 2646 229 1 17992 520 1 14234 233 4 3290 2260 1 18290 8183 2 17878 3073 3 8636 3144 1 9068 3564 1 388 760 1 8585 2686 1 4509 2075 1 4121 3882 2 5003 4204 3 11215 316 1 12622 1785 1 525 7652 1 1443 215 2 11303 957 1 6195 6193 1 6819 201 2 4165 4591 1 10766 2829 2 7179 671 1 9511 4231 1 4593 864 4 8209 2729 1 12142 5252 1 8844 6378 1 4267 1464 1 19947 6224 1 3471 508 1 14928 1235 1 5179 8192 7 12638 411 3 3571 4033 1 11647 5018 1 470 7469 8 5078 200 1 17756 201 1 7701 470 1 4552 478 1 792 1236 1 14063 3058 3 9419 244 3 174 8058 4 10693 5090 3 3134 3484 1 16767 6682 1 13 616 3 19107 4343 1 8373 7938 1 7957 1341 1 7451 7853 2 12800 3426 1 11602 1990 4 2079 5669 3 18183 1363 1 2302 7779 5 160 7334 1 11392 1879 1 17582 2678 1 19452 1284 6 5684 2173 4 10911 623 1 18999 1734 1 18332 2280 1 13531 3511 6 7987 330 1 10586 532 4 5034 7853 1 10693 5035 2 18228 3012 1 15138 3442 1 18887 5002 1 6183 244 4 18761 3005 1 8220 5804 1 2403 3592 2 16426 1246 1 5274 5708 1 5792 1829 1 13046 232 1 3355 5018 1 62 2787 1 3878 1753 1 15651 5427 1 17406 4998 7 10062 1731 18 4801 239 1 18081 2571 12 8250 1312 3 2512 867 1 14012 1292 1 1608 1782 5 1344 2013 1 20039 889 3 6158 4412 1 16320 1564 1 7557 184 2 17825 1819 2 3439 2013 1 8554 639 1 11230 3699 1 1019 1548 2 10677 6363 1 314 184 3 3214 6758 1 17372 4568 1 10170 225 1 13909 5433 1 48 2408 2 14006 5105 1 1274 4435 1 4386 1248 1 9385 2013 1 10179 1825 1 16457 1204 7 8898 2530 1 16327 3511 7 8487 3644 1 17713 65 1 5266 4262 1 13526 225 1 7994 6027 1 15948 235 2 19872 6341 1 8555 225 4 7347 599 1 7184 1251 2 4930 1250 1 1697 5309 1 5379 1146 1 11725 6632 1 16983 221 2 16860 903 1 17755 1383 1 4460 6139 1 4908 1244 1 18169 6152 2 6074 214 5 7261 197 1 19494 4096 2 1198 510 3 15255 489 1 4735 1784 1 14954 6639 1 4885 7506 1 3695 1250 2 18762 214 1 9864 815 1 768 6154 2 10110 5136 1 12305 6355 1 2396 222 1 4155 5305 1 15409 2877 1 16956 2480 1 13157 888 1 2973 3167 1 13778 1518 1 4155 422 1 13928 645 9 16227 1780 1 6417 23 2 10498 4534 1 713 1949 2 18546 1699 3 4183 5256 1 8376 341 1 4144 3608 2 14728 3512 5 12444 4242 1 995 186 1 951 4807 3 8905 759 1 14326 7839 1 8032 3617 1 19876 235 1 15970 6884 3 7726 1783 12 370 4337 1 521 6442 1 9104 164 4 16784 7560 3 7452 720 2 3189 2807 3 19538 7512 2 11324 6244 5 10057 5279 2 8036 4481 4 4552 2488 39 9117 3391 1 11032 3796 1 18740 3330 3 14294 867 2 4592 6578 4 6853 444 1 19067 329 1 18505 2675 2 4050 1721 1 12663 2360 1 1772 5234 1 3340 269 2 19693 466 11 4688 857 1 16432 1904 1 5863 2580 1 15423 3653 12 3382 7533 1 5029 221 1 5016 4929 1 19708 23 8 13767 3591 1 14573 874 1 18797 506 2 454 4314 1 15205 638 1 1887 1464 2 20124 3900 1 10783 1825 2 2387 219 38 2863 203 178 8757 2737 2 3038 4635 1 9224 707 3 13278 1660 1 6939 3164 2 6290 7612 1 5052 4179 1 2584 1772 1 7597 6260 2 7010 2898 3 1036 7674 1 19346 1581 1 1043 4695 2 5248 6185 7 17224 7601 3 11323 1237 1 10888 3616 1 18538 5225 2 15885 6908 1 1869 225 1 14064 2443 2 12096 200 8 17507 500 1 2223 1728 1 5227 5062 25 18852 8141 1 7450 223 1 8528 1482 2 13508 4667 1 13581 7899 4 1977 2955 1 16971 7817 1 11998 1718 1 6989 243 1 2529 650 1 6217 7857 1 8747 537 1 8500 5284 1 13961 1997 9 10464 445 1 3597 1751 2 20132 4615 1 13470 1881 3 2405 221 1 20249 501 4 5610 604 24 17950 2071 3 4092 6502 4 17165 5035 4 19990 3511 1 712 184 1 12855 8069 23 17654 4585 1 17850 6051 1 124 5421 1 13112 1686 3 15016 1796 1 10839 2686 1 10233 3652 3 6332 873 3 79 665 1 11562 4274 1 13 844 1 10543 5243 1 12894 225 1 1278 1965 4 14144 6252 1 17636 6091 6 7432 23 5 19065 203 44 14610 1924 3 10923 7628 11 1653 4761 1 16262 411 5 13637 397 10 13667 7506 1 16140 7013 1 7810 4369 1 15314 1778 7 7205 38 5 16557 1751 2 10435 169 1 7498 8188 1 11786 4918 1 1726 604 1 18921 7949 1 3689 1235 4 2641 2398 2 6755 2675 1 11195 1244 2 14136 2234 1 9883 329 1 8648 1243 1 2024 498 12 5763 519 1 4389 957 6 7331 232 1 40 2088 2 5132 1146 1 15403 1727 1 14231 1721 1 16029 5460 2 18671 4175 1 483 1721 1 16636 3061 4 11999 4727 5 9568 3464 3 8786 692 2 13647 2137 4 6235 7210 2 10242 207 3 1677 1373 2 9504 500 1 15205 1652 6 15050 7821 1 10261 3511 2 84 1775 1 8013 334 1 14786 4965 1 15923 1729 2 4561 7167 12 10060 1247 5 1389 4199 3 10864 2649 6 15691 912 1 13461 84 3 18042 4303 1 3637 8042 1 18720 7761 1 7184 1752 1 13384 2061 1 11111 502 1 13864 4260 1 10845 779 1 15272 1772 2 4346 4789 2 11882 834 1 8343 3496 1 4691 2356 2 5352 15 1 15932 4266 1 17583 2489 1 4539 1246 1 10708 3899 5 3874 5048 1 12262 368 1 8439 201 3 17228 221 7 1942 4914 1 3104 2363 1 12817 233 1 11882 7796 1 2553 6557 2 4483 207 2 20123 911 1 1853 1757 2 83 2922 2 2213 6481 1 279 501 1 11028 1717 2 13302 1453 1 17961 745 2 16491 3414 8 14266 3522 1 53 1728 1 9957 7232 1 1444 1666 2 2428 1748 1 5137 2356 8 15782 4427 1 19714 207 2 4048 23 2 5287 4681 1 7074 3646 3 2703 6198 1 16849 3531 40 12077 512 16 15490 103 1 7783 1710 17 9566 589 1 97 1250 1 17567 164 49 4918 2319 1 19322 382 2 12942 229 1 8560 973 1 5486 2327 3 16090 6430 1 6855 934 2 8926 5187 4 13224 1613 5 12644 7570 1 12231 2380 2 6355 1997 1 70 3280 1 17429 2352 4 16590 443 1 8159 912 1 14738 443 2 11492 1762 6 4829 203 2 19360 23 1 6064 407 1 7334 1245 3 3841 905 1 2271 1322 3 17390 1710 12 14184 1819 1 393 339 4 19140 3421 1 8907 1761 1 19530 2064 1 20 1276 1 2443 206 22 4092 7412 1 10231 1247 2 4204 304 1 13262 7830 1 11316 1718 1 8778 1729 1 2407 1395 1 9178 7231 4 14275 6436 1 9072 2352 1 17706 672 1 17448 2100 4 6188 5560 4 7096 3233 1 15676 219 25 11622 765 5 12578 470 1 8841 3813 1 11141 3522 1 1944 3511 1 15041 214 5 18999 1722 1 10837 1756 4 5744 4948 2 10072 203 8 15691 943 5 9250 8230 1 2879 6231 4 9815 331 6 13404 1707 4 12656 2686 1 4492 6560 1 19557 5757 1 13580 7187 14 74 3438 3 13447 1991 2 17553 7381 2 11937 888 12 11352 7719 1 740 4636 1 18270 5768 2 6444 4560 1 5230 5182 1 6974 1781 1 10354 495 1 8801 6705 1 12412 292 1 100 4531 1 6333 6368 1 10554 720 1 1107 4992 3 14921 411 1 8088 589 2 10783 1105 27 4503 533 1 13638 6588 1 7868 545 16 19322 6363 1 1325 3516 1 16881 5289 1 8255 3895 2 8177 2056 19 11304 6549 1 9693 274 1 14767 498 4 18623 1717 1 16941 1439 1 16765 316 1 19302 883 1 5929 597 1 11212 207 1 19204 1371 1 2970 3973 1 10579 8117 1 13854 7204 2 916 5844 2 12682 745 1 11990 869 1 5522 1776 6 720 1271 16 1125 2981 1 3197 1342 1 13238 3334 1 8384 5541 1 22 1412 1 4867 7511 1 3937 1991 2 9 243 2 14485 2649 1 19063 7229 1 11614 496 1 12806 6568 1 13023 8209 2 1907 1282 2 13430 1342 2 4588 1715 4 17572 2569 4 15374 1309 4 16790 184 2 2885 2880 2 11531 2275 2 14232 4476 1 4984 2104 1 3602 2519 1 349 967 1 5994 7098 4 1804 7243 5 12850 173 4 19019 1775 2 10313 3851 2 19495 4029 1 14888 1186 1 17859 2727 2 16573 1238 11 5244 4486 1 496 381 1 12919 398 1 9940 7321 1 6091 508 1 8895 516 1 4839 8194 1 7243 7461 3 160 7329 1 15821 869 1 6341 6925 1 15683 200 1 5679 5791 7 3008 4203 1 10332 1772 1 5285 2933 5 2576 6012 1 954 2757 1 16457 3756 1 3830 7159 1 17962 1464 2 3972 3637 1 5734 7598 2 3553 4242 1 61 2750 1 3401 745 1 14872 7695 3 11755 504 1 9511 2505 2 18381 2691 5 11200 1707 2 16397 3378 1 10423 156 2 9324 5276 1 17930 1416 1 1807 2424 5 19854 3444 7 12736 6021 1 12303 335 1 18462 857 1 5303 6544 1 19192 2271 5 91 4111 1 14522 578 1 19751 1781 4 17001 6363 1 7833 5002 1 1551 2439 3 11 471 1 15185 2675 1 6332 5227 4 13181 23 2 9587 715 1 14492 4361 1 15022 2488 1 14554 5071 1 5495 7880 1 19217 3907 1 8432 4929 7 11737 1747 1 8793 877 2 11898 5289 1 8022 6046 3 11769 2580 5 13731 5900 1 12044 7401 1 2226 1399 2 701 7629 1 14114 422 1 13688 7474 2 11155 6188 5 18134 397 15 14970 535 1 11708 942 1 7775 3228 2 9930 1734 3 6089 1395 21 8255 3558 4 1171 74 1 15244 23 6 10519 3331 7 13306 2920 1 7072 2364 1 9659 1111 3 19406 2216 11 11311 2666 5 9566 1302 1 14799 4698 10 4024 1885 1 11591 3888 1 384 524 19 13475 1781 1 18473 679 1 8082 7622 1 1389 905 1 2905 5495 1 17843 4245 1 2580 4960 2 8198 667 8 18804 7999 1 14900 3430 1 3789 3667 1 2219 4105 1 18622 415 1 1230 4992 1 4092 387 2 1744 3491 4 8788 219 1 5459 943 6 254 545 1 15833 827 1 11559 1724 1 16399 48 2 18628 8054 2 18797 201 1 8024 4303 1 12451 7173 2 13758 3096 1 1433 244 1 7473 412 1 14685 1284 22 5292 6561 3 18259 327 1 5623 2388 1 1098 3233 1 19602 870 1 5671 5026 1 630 6571 2 19764 2522 1 2905 1881 1 6089 1719 5 13298 1557 1 7129 23 18 2265 1450 1 19710 5625 1 17289 7815 1 17020 4998 1 7093 200 1 12680 6557 1 16668 5000 1 4357 8158 1 14196 2069 1 19872 5551 2 16225 2980 1 17917 7890 1 15970 4107 1 5789 499 1 9058 7429 2 5617 4203 1 792 2087 1 768 6169 2 2890 148 2 7952 505 2 6979 6512 1 12397 1717 1 6866 2244 22 8333 2004 1 13115 1776 3 9188 3493 10 18070 206 1 6612 1472 1 16500 5018 5 8750 1407 3 18887 498 3 13520 2065 2 6987 1776 1 4665 8083 1 12406 201 3 8909 1235 1 2071 2489 2 11533 662 1 3526 6561 1 3423 1727 68 1541 6683 1 13131 5674 1 19069 184 2 7575 1250 1 18610 5670 1 1983 1146 2 1530 6213 1 18853 1772 1 7853 871 1 592 1238 1 153 6952 1 5252 3476 2 15527 1482 1 13313 1248 3 18608 1698 1 7436 1738 9 5939 8093 1 9868 443 1 17184 3562 1 3749 4289 5 11562 308 2 20061 6243 1 15143 258 2 14272 705 2 9535 411 1 10703 274 1 11296 6845 1 10859 7527 2 16837 5105 2 8451 1244 1 11973 7719 1 5691 1757 1 5755 644 5 12208 3705 3 12475 2714 1 9279 2356 1 2890 621 5 2829 283 1 4220 244 2 10856 2423 1 11514 528 1 12811 411 5 18300 253 8 4301 6620 1 16330 200 1 6960 2831 1 18249 3324 1 12986 1760 1 13015 6062 5 11846 222 4 6580 5427 1 16517 213 1 10498 460 1 13740 3692 1 6796 5307 1 3337 669 2 8579 1738 2 14162 3198 1 9119 5472 1 3206 2356 1 2213 3631 1 20177 5537 1 17488 3275 1 16557 204 5 18886 6619 1 4250 1768 1 8763 6537 2 19101 4013 1 2588 474 1 9982 4312 1 17535 1721 8 14836 1251 1 2147 818 1 17088 1779 1 6158 1730 2 17311 5882 1 8497 2330 1 16491 420 5 1851 1602 2 16024 4987 1 11857 1062 2 9924 200 1 10531 7404 1 2445 5542 1 3471 1703 1 11515 4807 1 6274 867 13 10610 7477 1 3468 1191 3 40 2103 1 10611 23 1 17772 1248 23 16084 517 1 16698 2297 1 10451 173 1 19117 1745 2 12739 204 2 14993 2605 1 18174 202 1 4886 4716 1 6485 6473 1 18994 533 2 6191 2488 41 14087 3367 1 17058 565 1 17317 5699 1 2731 7210 11 9441 6252 2 1491 7255 1 1476 737 1 725 998 5 11394 3699 1 11809 4933 3 10398 3512 4 6703 638 6 803 1779 1 16524 6697 3 10669 4849 15 16464 70 17 17158 3180 4 2190 2353 1 2902 232 1 17189 1241 2 17223 4585 1 2997 425 2 11769 3590 2 19759 3334 2 2496 891 1 9513 1649 8 8354 7440 1 15790 7411 1 11544 5293 4 3936 1825 11 1088 1062 4 11789 6645 1 10105 8036 3 15251 3464 2 10107 6506 1 525 2392 7 12322 3511 1 2791 5349 1 18881 3056 21 706 2508 2 2613 418 3 13053 2479 1 7991 2935 5 130 5930 1 17509 156 2 14939 1245 2 18963 5573 1 12283 203 17 1953 4248 5 560 2958 2 3045 6229 1 4993 2683 2 108 4880 1 19193 186 1 4449 1686 7 16270 761 1 16238 1778 1 19380 6700 2 1929 207 4 16349 504 1 7184 1342 1 11314 6533 1 6169 3248 1 9717 7145 3 6332 5425 1 14147 3972 1 11314 4006 1 2365 6259 3 17449 1732 1 113 5083 2 8450 1363 1 14416 4395 5 1942 6231 1 2087 809 2 15272 1734 2 3704 1251 15 5952 7069 2 4337 8117 1 124 5542 1 12686 4587 1 8576 3705 1 20133 5618 1 5718 6666 1 4371 4916 1 8317 1722 3 2204 545 1 4678 2881 1 18471 3945 1 1607 910 1 2803 4077 1 2762 4929 3 18933 1237 1 10 304 3 6742 6570 11 591 6632 2 17416 4043 1 16137 7426 1 2598 4643 2 11388 5354 1 3012 1711 5 14708 2495 1 16416 2669 26 18825 203 2 16032 1990 6 19085 2355 1 16925 3808 1 8475 7157 1 15974 1825 1 18926 3535 1 20054 1304 1 18998 5515 2 11709 3941 1 12703 4999 1 14355 2877 1 6819 5408 1 11506 215 14 7194 5113 1 17191 3558 1 12406 3421 2 6340 869 1 14485 1788 1 5108 365 1 1660 717 1 12375 556 2 8319 4803 1 3000 5923 1 11667 3645 2 13065 1703 2 18170 1837 2 8596 1621 1 14957 2512 1 6327 292 6 14257 5971 1 12591 524 18 10338 4739 1 3536 2114 2 2886 646 1 13997 7098 1 16722 7458 3 12851 5397 2 8311 1450 1 11428 219 3 19248 2330 2 8223 1208 3 5695 2356 3 3246 6587 1 8416 201 1 11309 220 1 388 8065 2 3536 22 1 16432 1887 1 11690 6082 8 14196 2815 2 1072 4312 3 17589 7320 1 14095 646 1 14699 514 6 17480 7933 1 19041 7336 1 2566 411 11 17371 3464 2 7746 6620 1 17521 223 1 17252 5789 1 2390 2944 1 12129 5539 1 11156 3604 6 3938 4334 1 19589 1760 3 19872 3512 2 17120 1784 1 4583 6482 1 7315 2388 1 5691 220 1 11562 6441 1 17987 3024 2 13607 579 2 3424 809 5 14234 637 3 188 1720 1 12929 2849 1 10690 507 1 15151 5757 1 2898 3512 1 296 6484 3 8993 976 5 16086 244 2 13293 1732 1 14416 889 1 12690 789 1 3133 1239 1 8010 1402 3 16347 5461 2 6749 4649 1 6965 2552 3 18735 5040 1 1789 6777 1 16286 505 1 15854 1762 2 4458 4355 2 19060 5105 1 1145 1748 1 10196 206 13 3985 6196 1 15853 1315 1 5254 3634 1 80 3622 1 3063 4764 1 7023 1772 5 10695 6334 1 2852 4526 5 65 3140 2 2081 890 1 4001 4369 1 11472 6192 1 7059 1235 1 16234 7220 2 15053 4789 1 759 4329 23 10234 23 1 15307 307 1 12406 1252 1 12476 223 1 14609 1722 1 9677 988 1 14178 171 1 14298 1001 1 16308 2841 1 10192 5447 35 5550 3071 4 5833 221 2 9622 2595 1 16740 2376 4 11422 7446 1 3037 1717 1 7179 676 1 18281 13 1 19101 6687 5 12580 1363 1 5564 3167 5 14865 596 1 2689 1523 4 18149 1374 10 7977 1342 1 12610 2353 1 16530 1209 1 9353 46 1 5241 3298 1 1727 3511 5 9894 5294 2 7970 2721 1 14301 5571 1 12009 7643 3 9255 2508 1 11192 5737 1 10861 2216 1 4307 2675 7 3438 1717 1 7572 3426 5 10576 221 3 12789 1887 1 5223 219 2 5444 3081 2 20123 148 1 1625 1239 1 17746 813 1 6781 1236 8 19705 1369 2 17733 2760 1 11072 215 7 5082 1184 1 2381 8200 2 9586 2401 1 2197 5325 3 12055 1363 1 19664 1946 1 6164 5448 1 2922 6538 1 10103 8071 1 17120 1146 1 6388 6252 1 14667 1946 1 11968 5436 1 2449 84 2 4593 342 1 2140 3309 1 10953 2452 1 17083 841 13 9832 4274 4 12007 514 2 1660 1670 1 16033 1245 1 4747 219 1 18106 1724 2 5797 460 1 542 479 1 5194 1046 6 7469 6098 2 8379 4998 50 10543 694 1 16458 215 2 14037 4508 1 11502 4936 1 10604 785 1 7487 532 3 11630 2698 5 12333 2671 4 6802 6714 2 9548 8067 2 1361 5860 1 496 2821 1 9412 4584 1 6349 7410 1 8491 4098 1 739 1334 1 13733 3511 1 460 1277 1 12777 1089 3 1577 3900 1 3726 1819 1 17039 3414 1 11838 1703 1 17908 207 4 2228 2508 3 4067 1402 2 2839 6776 3 16029 3242 1 14906 1827 1 8508 307 2 6032 1781 1 1801 366 1 17526 203 1 16331 7719 1 15774 5020 2 7584 5011 6 10575 581 1 6683 667 4 4589 6132 5 3852 1909 4 5591 3114 4 13462 1732 1 12624 5688 1 17544 1747 1 572 800 1 5971 200 5 5266 640 2 16083 863 3 8591 303 5 11399 4566 1 18756 988 5 6207 2169 1 1986 1819 2 12625 214 33 2799 8096 1 3826 685 2 3642 8251 1 11616 841 1 4072 1243 1 2126 2114 2 13857 1664 4 883 959 1 2985 894 2 3348 5874 1 7667 3516 1 48 2426 1 13628 497 6 2284 13 1 19217 261 2 12556 5161 2 189 1383 1 7592 1775 1 19872 3842 1 10884 222 3 14019 2481 2 8435 200 1 3048 626 1 15888 375 13 31 184 4 17850 197 1 2443 804 1 10693 516 1 9697 3637 178 4003 5750 6 10508 1374 2 8654 1649 10 557 6933 1 19144 4998 5 8232 2499 2 11943 1290 2 18546 4998 5 7817 338 2 15323 4963 2 8717 1727 3 7665 65 22 12457 871 1 20060 7818 5 1712 4868 1 11346 1269 3 20090 1366 1 11766 6252 2 18685 3425 1 3408 214 2 10554 5788 1 7556 3669 2 2702 1796 1 16236 1146 1 13156 2068 2 5100 1253 3 15818 1315 1 9052 206 1 18798 883 1 14516 449 1 17954 723 2 5105 7663 3 17445 4245 1 8183 796 1 9572 5881 1 1706 477 2 1885 219 1 2844 5674 1 9437 4180 1 16041 4955 1 1151 5144 10 6712 915 1 14602 1342 3 8097 517 9 13880 4156 2 4077 234 1 19107 1312 1 13821 1247 3 11293 6914 1 13734 712 4 2555 5281 1 4377 7948 8 171 7714 1 4195 220 2 15172 200 3 16936 3059 5 944 1357 15 20071 200 6 11545 3586 2 19779 3885 1 18568 6414 1 4072 2831 2 16471 910 1 19862 3070 2 16230 809 5 14099 1236 1 20172 6091 1 17822 2653 8 7687 4204 24 944 6632 1 17312 1582 2 130 5880 1 15468 252 4 19641 834 2 7294 5030 4 6123 3163 2 8318 6649 3 14900 244 1 15049 1705 1 18299 3337 3 18172 2636 3 799 7486 1 19594 235 1 5058 1996 5 18806 4120 1 6208 508 1 3638 4245 3 13335 168 3 115 5175 1 14778 1237 1 13761 7086 1 834 7597 1 4165 3360 5 19239 3522 1 11196 7859 3 7295 5467 1 11287 1374 4 12733 3460 2 7186 3770 4 19197 1518 11 15940 1691 1 11338 3333 1 1211 2560 1 15949 14 1 6692 1819 1 16526 4273 1 6396 193 1 1626 6192 2 2966 467 10 19401 2686 3 5552 3511 1 11550 545 1 7304 2992 13 2733 6435 1 15262 4949 29 12804 3511 2 3189 313 1 6684 6706 16 19779 5690 1 6845 3138 1 9591 557 1 13743 7013 1 2453 175 5 116 718 5 6164 4413 1 1224 2291 1 3148 2336 1 5117 963 2 7474 2481 5 16914 6037 1 15098 2708 24 7853 554 5 7476 3842 1 3472 229 1 16060 1395 1 15098 719 4 9921 1781 2 14369 3065 1 14445 3278 1 18734 3417 4 135 6168 2 19872 1814 5 5556 947 1 19115 518 11 11388 200 3 10733 1277 1 6781 3682 10 2143 1305 16 5696 303 1 13880 3491 6 5979 203 6 6259 4982 2 5952 4635 2 17196 4873 1 15895 1302 3 2213 5258 1 2716 6155 1 5245 74 8 6502 1729 1 9640 6640 1 9586 1751 1 4603 6482 1 216 6543 8 6152 2175 6 13402 6945 1 15861 4987 1 10399 207 14 1997 411 1 12985 2632 2 13239 3167 3 4376 482 1 15041 1719 1 999 201 1 12979 1146 1 4896 4638 1 15130 7189 2 17507 1777 1 6139 1023 1 18730 4013 2 16489 1475 4 18251 100 2 19511 4013 1 17953 128 11 10309 690 3 7800 156 1 16016 891 1 4742 6533 1 112 35 3 4234 607 1 1983 1356 6 16006 1705 1 3563 365 1 11683 2383 1 12702 7933 1 1863 2608 1 16180 631 1 8746 3900 1 11797 1150 1 5856 1757 4 13899 2181 10 6504 201 1 11533 2056 1 850 1146 12 14564 1305 12 19820 6423 4 1198 7229 6 8573 702 3 190 7235 1 5998 5789 1 5959 910 1 6233 4704 5 2009 6415 1 2384 452 1 296 3113 2 5959 84 1 19088 1064 1 9982 4103 1 2570 6883 1 11672 751 1 19463 209 2 35 1893 5 5977 5054 1 19486 481 1 19034 4833 1 5411 2620 1 13693 2443 1 18486 1000 10 4470 383 1 9768 7933 1 18246 214 2 10080 664 1 2319 2955 1 4541 6217 5 16784 518 1 3031 1726 1 17368 1360 1 19743 533 3 17764 214 1 10313 6083 1 10190 201 6 668 3006 1 15915 5757 1 6096 631 1 3825 3081 5 10726 4060 1 5435 3889 1 151 4403 2 279 7279 2 11336 2344 2 18623 3230 10 10730 514 2 11215 3532 1 7245 5051 3 13362 2552 3 15379 3634 9 5312 4392 1 15614 1241 1 15968 2362 2 14457 1751 2 9805 5162 1 10413 6599 1 6840 770 1 14596 244 2 88 4034 1 16343 229 1 19985 4059 5 12141 382 1 2818 1748 11 18295 184 5 20278 1332 5 16024 1797 1 9743 2480 1 2093 7557 2 17246 7593 1 5752 200 15 1567 1062 48 5526 3228 1 19655 7820 15 11059 225 1 14994 4139 1 3331 910 5 6464 220 2 14246 3992 1 4940 1303 1 9079 1252 1 20148 3378 1 11343 702 1 18081 252 2 9916 1747 4 1243 1731 1 11414 6933 5 13170 1898 3 3742 2678 1 6196 3021 1 16860 6414 1 7231 502 2 16346 5767 3 16016 5518 5 12793 2559 1 8644 6892 1 17156 638 1 5038 4796 1 17337 263 2 8255 4020 1 6670 2831 1 14087 1740 1 2776 1372 8 13500 1638 1 16700 892 3 13771 7990 1 9596 1705 1 1405 6674 1 9803 206 3 4075 3502 1 15576 89 1 2767 1704 3 8289 2315 1 4545 7636 3 3397 5490 1 819 1022 3 9044 541 1 10462 4499 1 14299 4618 1 6425 3747 2 7327 507 4 2273 6229 3 14211 1241 1 12903 532 2 10414 2686 8 9205 2355 1 11210 6727 2 11118 6537 2 9528 4435 1 5964 3357 3 4639 6179 1 6509 3600 1 16202 4379 4 17009 1743 2 15154 1244 1 6397 3972 4 13365 1247 5 10553 394 9 1270 200 1 65 3116 1 18940 3175 1 7893 6751 4 11881 2661 7 10616 214 5 9433 1537 1 6063 7136 1 6152 3618 1 19147 8109 1 11133 507 1 16781 1248 1 6492 532 1 9468 5532 5 5205 1661 32 7270 6164 1 15497 367 1 11798 274 1 14728 2678 1 4708 1758 2 2990 2262 6 15742 4500 1 10044 5490 7 17006 3284 1 1825 1661 20 5431 5099 2 1498 934 5 12361 751 5 4492 1752 1 9508 5888 20 1904 3512 5 18357 207 3 2704 270 2 738 1190 1 10684 541 1 9501 1724 6 10948 336 1 2583 229 2 13078 4245 5 1191 5043 3 16493 5270 1 18413 6713 1 5817 6057 4 15291 219 2 6834 6029 4 4811 1146 1 720 3255 2 7479 207 1 6295 206 1 7295 6582 1 8872 596 5 15551 910 1 4015 5307 1 14519 4393 2 3061 1359 5 18968 1345 1 6970 3230 14 8746 470 2 5468 3377 6 7868 1249 1 11984 2044 1 270 222 1 17550 4841 1 10061 2279 2 14722 5324 3 17120 1789 1 13462 5251 2 4898 244 2 47 200 1 19470 207 4 4036 6419 1 983 624 1 8269 817 1 2629 1399 2 2886 744 1 8876 7210 2 5013 1738 40 8414 2193 5 11920 7829 3 171 4392 1 506 867 42 13714 4318 1 8566 1277 1 8530 157 1 15579 1342 7 236 2626 2 5779 4963 5 20167 8203 7 3826 4298 1 15276 1244 4 18070 957 13 6120 3337 1 7554 199 1 18734 5338 1 12219 3926 3 10203 1656 6 12273 893 3 3417 1324 2 3817 5435 1 10512 520 1 16554 8183 6 15742 4567 2 19284 3239 5 13543 607 1 8286 3744 1 16649 156 16 11333 809 3 16391 1237 1 9665 1007 3 1198 541 6 5239 3596 2 5734 222 5 16683 411 9 1725 3081 1 8930 3684 1 16819 4274 1 11585 1732 5 163 3645 2 4090 5468 8 6497 519 2 8345 5730 12 17960 3477 1 16587 4284 1 12375 784 1 14847 7406 2 4425 467 1 14800 1819 1 4963 1313 1 9660 6106 3 12121 5472 4 6420 903 3 2544 1356 1 272 3421 1 15608 306 1 15009 4288 5 2776 4998 2 18211 409 4 15560 6924 1 9279 512 3 1865 2895 1 5185 5575 1 3075 1450 2 18030 233 2 11392 5809 3 5167 6335 1 12343 3540 1 8895 2265 1 16426 514 2 9146 3595 1 15104 206 6 14617 6414 3 12269 508 8 13922 1243 2 16109 1363 5 12700 6323 1 654 11 16 17877 5004 1 5585 10 2 18158 2897 1 4767 2355 2 7188 1781 4 12389 3540 10 40 2056 1 9109 4967 1 2641 2392 16 158 502 1 9207 5594 1 10132 2241 21 8286 3781 3 8358 863 9 577 6031 2 4843 651 1 3663 2009 2 9670 521 1 11964 252 1 116 200 6 10692 601 3 6013 1733 1 18543 4266 1 15943 1350 1 1824 1375 1 14445 2372 1 12720 2735 3 6110 1731 17 3085 3798 1 10856 219 2 2917 505 4 17571 222 1 10 328 1 6402 2528 1 18221 2151 1 12055 573 1 11405 2254 7 13046 252 1 9857 1119 5 7065 2981 2 12730 982 1 62 2943 1 20133 7084 1 12441 3578 19 5617 7658 1 2584 7629 1 709 372 27 214 7483 1 4933 639 3 16777 2102 1 8118 7491 4 7186 545 2 7936 1245 5 11080 6084 12 16546 767 1 1481 6196 4 9989 3602 1 6230 3333 2 2434 1338 1 11183 4202 1 6819 3972 5 11697 3475 1 6635 521 9 19486 3408 1 16562 3602 1 73 3416 1 14198 5135 1 11416 3024 1 10621 1239 1 1957 870 3 6145 5962 9 8550 201 4 15599 496 1 13238 3327 1 18183 508 1 10886 4780 1 6644 7643 1 7933 236 1 3694 6512 1 15542 494 1 17538 3913 1 1002 2675 2 6864 6341 4 8206 1234 1 20016 4789 4 12559 1276 1 5468 3388 3 80 1245 1 14338 411 97 17 1126 7 18573 3012 1 124 5511 1 19671 8190 1 4615 7829 1 11458 2447 7 11215 6710 14 19241 1160 3 9508 2581 1 6844 881 1 20122 1464 1 14522 84 3 9816 4404 1 17682 244 2 9604 4366 1 80 3573 1 996 889 1 11345 5257 1 4437 1760 3 4570 6691 1 15541 3913 1 17593 1247 2 3412 4951 1 1468 2358 4 14655 634 1 8580 1466 1 177 8167 1 16070 33 4 10852 51 1 17844 5162 1 5379 1055 1 6591 5446 1 17662 1775 5 17954 5558 1 7484 6325 1 19223 215 7 15159 6228 1 6183 2234 1 16684 2098 2 11585 2056 8 13525 8194 1 14726 1752 2 13623 4383 1 1007 4557 1 670 1357 1 1931 1369 2 7131 3515 1 5282 1182 1 13186 229 1 140 6462 1 8407 1755 1 11737 1955 3 17395 4918 4 8475 1764 3 3304 828 1 12765 5425 1 15904 8183 1 1830 1482 2 6403 1312 1 15973 3338 5 8560 1259 1 6307 8022 1 5527 2989 1 3847 4245 1 6068 508 1 4873 1304 2 13543 2820 2 9776 651 6 3527 5256 1 5854 2853 1 19186 2675 1 18721 6650 5 10695 1991 8 3526 3899 9 4556 201 4 3438 23 1 3005 1271 4 10235 1184 1 1144 1677 1 14128 1747 1 10327 2661 3 7823 3074 14 14335 2254 2 15502 4391 3 496 225 1 17850 863 1 1587 870 2 1301 356 1 19047 378 15 19655 6931 1 4000 3059 3 9245 5905 1 12221 532 1 1444 7260 1 12841 553 1 13777 6121 1 13543 1203 1 12375 627 1 19995 7525 1 19892 634 1 717 1296 1 7397 2880 24 7001 201 1 2371 221 3 140 1991 5 18385 1342 1 6229 84 2 199 4521 2 8614 1745 2 7663 4040 1 1453 614 1 15941 1184 1 15932 3263 1 7806 8083 1 9598 2647 2 16676 840 1 5185 2898 1 7652 1799 2 15908 5712 2 6325 3556 2 16321 705 1 124 5390 3 12434 7386 1 13696 719 1 14990 2043 2 1927 215 7 8799 2661 5 17431 859 3 8624 8145 25 9766 2488 8 4539 1244 1 9868 425 1 15398 946 1 9916 3515 4 17996 525 1 5424 8095 1 17220 3556 2 1771 203 2 19995 2495 1 4385 1025 1 4503 229 4 87 4017 1 16561 723 5 16460 339 1 11456 1091 1 232 4653 22 17109 1518 1 2459 2797 13 1801 2595 1 14994 833 1 18788 637 1 14068 1072 1 16474 7187 3 10586 244 1 8615 5750 4 11367 6414 1 4879 5258 1 8326 1752 4 13018 3855 2 10821 3956 1 4351 1244 7 4688 558 1 7135 1776 1 3536 2027 6 14753 4526 1 7640 3065 19 13779 7437 3 3333 4132 4 18431 2114 1 9168 1752 1 14188 2582 8 9249 1707 2 15927 4427 4 11951 201 1 6503 4567 4 16844 233 5 4333 1342 2 5456 657 1 13165 3554 9 2917 4404 1 15228 223 1 17601 2029 5 13740 1539 3 16856 1772 1 13652 7586 25 10000 5327 3 17527 23 2 14326 1416 1 4236 4698 1 1464 526 1 18858 867 4 4679 1727 1 8110 417 4 5792 2355 1 10244 6150 2 5185 3410 10 13919 4314 2 8110 252 1 9457 108 2 16133 8203 1 1499 2775 5 11636 2496 1 5253 6783 1 19326 244 5 17805 4387 1 15300 221 6 11688 7831 1 878 3669 2 5412 1940 2 15497 3315 1 15429 221 2 5414 3167 5 3110 1474 11 12256 7473 89 18218 7165 1 8637 2100 2 16694 3460 5 13217 1752 1 9915 881 1 7058 1736 1 5050 6031 2 8305 1751 1 17799 166 1 14390 1245 2 16625 1248 1 1623 533 1 5203 3511 1 11122 4498 4 6414 1819 1 9674 234 1 10039 718 1 11254 1184 5 7185 6058 1 14686 409 6 3650 7210 3 10014 411 1 6867 600 1 5943 1172 1 3641 229 3 5364 200 5 19317 1247 1 16083 23 6 3281 1770 1 14822 3540 1 124 5408 2 1284 2290 1 17518 5783 1 845 5516 1 3358 828 1 18175 203 5 14036 3903 1 1638 5099 2 26 1535 5 1273 4663 1 8440 1718 1 10905 520 2 314 3113 1 12501 2353 1 3485 1764 2 8552 5018 2 14674 2677 1 4124 6217 2 9894 1042 1 3774 2448 1 18813 5783 2 8907 203 8 8405 1352 4 17696 2580 1 7987 2760 1 17713 2600 1 12715 220 3 14770 231 1 6204 2080 1 15407 5363 1 97 534 1 9178 634 5 11907 2292 1 15396 219 1 18359 7458 2 11444 1250 46 5727 6414 1 8270 505 2 19982 3516 4 14018 501 2 5261 1552 1 7480 441 2 18628 3767 6 2490 828 2 16812 4348 2 8621 3156 1 15918 797 1 8409 4334 9 15429 3494 1 15975 173 2 15791 4291 1 15058 203 1 8082 2517 1 3497 3639 2 13647 1255 1 12922 3773 1 164 7459 2 14305 962 3 8074 1275 1 13647 2646 2 13259 1557 1 6064 1537 1 6676 4029 1 12496 129 1 5421 777 1 5842 6801 2 2639 1475 4 19957 679 5 18568 3058 6 11243 3333 2 173 1062 12 3939 28 1 13591 2626 3 1216 6897 1 12159 378 1 7062 1313 1 5056 1247 2 17716 4294 1 143 6510 1 15059 7591 5 15405 4308 1 18149 1239 1 11266 4398 1 2980 367 4 143 6548 1 19026 2938 1 12700 1996 1 937 534 5 16812 5439 1 3091 4244 1 1445 3262 1 19272 5810 1 6749 1395 4 4530 504 1 4621 2129 1 15298 2511 2 12318 4310 2 593 1721 1 19338 242 3 124 5446 3 8109 3492 1 15066 1315 1 3750 323 1 4686 3595 1 11345 1333 14 64 1728 3 16354 6341 2 2786 1237 1 14722 1236 6 9709 1775 5 5495 4521 5 13151 3906 115 17634 2433 2 17682 5820 1 6000 5584 1 5252 3635 1 2363 4852 1 6164 4010 1 50 2511 1 13661 1483 22 18149 1721 11 16098 6663 1 16546 2415 5 1632 5353 1 14522 1743 2 9639 1799 8 9543 2617 5 5969 4868 1 5124 1692 4 17866 2515 2 15615 1698 2 9695 1355 2 7952 2488 2 2026 5136 1 1833 8017 1 5659 1482 7 10852 3595 7 18251 3992 3 65 3169 1 7056 3334 1 10966 184 1 16136 1727 1 1908 957 2 15564 4320 1 4565 5162 2 16720 4640 4 15741 6167 3 8051 436 1 14837 1698 9 18133 411 1 4072 2864 3 17753 197 1 388 816 1 17854 5837 1 19562 6880 28 9595 2027 2 13023 3902 1 4332 3113 1 9155 1724 1 15530 5153 2 15514 634 1 9418 1776 1 474 224 1 13999 2267 1 5205 7222 8 14929 1466 1 19455 1464 1 5370 4137 2 5266 1698 2 7515 7123 4 11830 1119 1 3946 4024 5 10391 2998 1 19494 7308 1 6313 3431 3 3424 550 1 14800 6697 27 6391 1369 4 12187 4557 1 9462 3973 2 16601 6278 1 11687 2555 2 11687 4345 2 6159 1946 1 14758 6406 1 5725 836 1 8276 3230 5 16473 4020 1 496 1235 1 4292 3068 5 9054 329 3 16174 1779 1 19794 6682 1 20174 1399 1 10313 207 5 787 367 1 17198 4303 1 647 1706 11 17304 1356 1 9780 235 3 3323 3485 3 11623 525 2 9803 1717 3 11058 5306 1 15108 6966 1 19105 215 2 9588 7563 1 18377 1145 2 9374 506 2 16301 3684 1 8987 3795 1 1612 7029 1 16322 3595 1 3734 5413 1 7726 1770 11 11216 3494 4 135 1023 1 10079 6615 6 5176 525 1 7469 2535 1 19875 7522 1 15012 219 2 1049 550 2 18129 4723 7 16626 7901 1 8860 929 1 9906 6640 2 19429 3206 1 4161 495 1 8581 3911 22 1893 713 1 2701 4355 1 19664 510 1 1498 893 2 877 3596 1 13302 2678 1 18518 1736 3 11430 1238 1 3261 4566 1 18645 1184 1 10218 1819 1 4307 221 1 5662 214 1 6428 229 1 7028 5016 1 10365 2708 2 9580 2729 2 13084 1146 4 7278 3610 1 19147 3877 1 10883 885 1 2067 1739 1 174 7905 1 11928 1453 16 13461 303 36 5921 3444 1 9481 3132 1 4592 7 3 19957 825 5 6806 575 3 20225 837 3 11634 1907 4 17828 4436 3 8458 5758 1 18197 4613 1 16839 3074 4 7105 525 1 5113 7231 1 1144 411 1 2135 1768 2 9728 728 1 7366 2795 2 16474 6517 1 4805 425 3 18968 397 1 15313 7797 1 17184 657 1 10339 1991 2 88 4033 1 5911 3884 1 9010 411 7 1235 506 1 5623 5873 1 18154 1191 7 18546 2534 2 1237 2699 3 10199 5031 1 7228 5252 1 6348 292 1 8061 7229 1 3233 5642 4 7586 1357 1 9633 1745 1 3804 214 4 2985 925 1 10617 203 44 8340 6677 5 15968 2600 2 5840 2588 1 12807 1248 7 14276 3790 2 14496 8141 1 8532 1703 2 8459 3311 1 264 203 13 8342 1117 5 10406 656 1 213 2488 3 4716 197 2 133 6011 6 7095 4695 1 8969 223 2 4150 2892 1 7524 1312 1 7622 1548 1 19649 2686 2 950 7995 1 15879 1757 1 711 7221 2 20238 2262 167 8082 135 1 5454 7359 1 5246 4616 1 12212 6769 1 10170 5187 1 12690 891 1 17266 4201 1 2788 4955 1 2761 3262 1 19352 233 1 7105 5467 1 9749 4557 1 5069 6152 1 10765 500 4 19724 274 1 11388 3132 1 7099 2508 2 4498 976 5 8337 1028 1 4700 4435 1 1787 1484 1 17767 3706 2 11008 169 9 16945 2883 1 5453 3534 1 17809 1757 1 17439 1455 1 10478 3494 1 9985 7824 1 1444 87 5 8435 4015 1 4486 8127 1 16478 292 2 7577 3939 1 1551 505 1 1013 2876 10 17954 1369 3 11844 4427 3 8294 420 1 542 6979 1 11282 200 12 16126 219 15 16346 419 4 5421 1342 1 3258 235 6 18232 1757 9 3826 7622 1 14619 2233 1 13705 3668 1 7934 1655 1 14146 1946 5 12121 411 11 1973 5004 1 10586 5026 1 18462 243 1 7714 1770 2 5016 1391 1 4519 2138 1 16090 5243 1 8705 1784 1 7097 1147 2 4648 4383 1 778 7823 1 5285 3629 7 3240 207 1 4449 1140 1 8457 2793 2 17505 5016 9 9315 1728 1 4107 214 1 18752 23 1 18413 6595 1 8594 1239 2 16391 214 3 6776 1747 5 20126 579 2 12191 203 1 7327 1755 1 9250 810 1 18431 1827 1 11296 6252 1 9122 3462 5 727 1339 1 12135 4623 6 14109 4456 1 1647 6159 2 19568 308 1 10544 95 1 11766 244 7 4050 2114 1 14515 534 1 19861 3462 4 13838 7187 2 7199 4766 1 25 1508 6 19139 1615 1 19223 1722 1 19 1264 2 3694 6897 2 5540 1781 1 2356 6334 1 174 4956 1 17730 3230 23 17585 2642 1 4234 6167 17 15683 5319 1 7347 841 1 6872 1237 1 1689 4884 1 496 1251 1 11131 3706 5 13857 2877 1 17788 4561 1 14530 5583 1 14599 784 1 14679 1987 2 17952 2646 5 1618 219 3 10099 164 1 17675 2261 2 3186 5758 1 6810 6677 5 10391 4402 8 1304 5686 2 16216 1734 1 18568 5996 10 64 3061 1 20010 2968 1 9589 514 1 4687 753 3 9967 314 1 20170 5105 1 18181 6256 12 135 6148 1 14348 4996 8 5141 7506 2 17889 1659 1 5378 506 2 12925 2610 1 4347 536 4 6938 2675 5 91 4089 1 17 1063 1 7943 1705 5 14500 534 2 12252 4653 1 13086 2016 1 9829 5020 18 11352 2542 1 14722 232 1 8930 194 5 16857 7238 1 5373 498 1 798 4000 1 7552 1523 10 2382 2649 6 18141 219 1 294 385 1 14625 7229 4 17809 1734 3 6228 8070 1 18728 514 2 1202 2206 1 17926 961 1 1422 5135 4 14778 518 3 8914 5084 1 9290 1743 2 16833 1380 1 14753 95 1 9743 7431 1 11877 2343 1 9374 2683 1 337 78 1 6622 2270 1 19378 4986 5 5892 64 11 11458 2448 4 8580 6692 26 9847 1245 1 1853 3278 2 3349 223 1 1836 6213 1 15192 575 10 1866 7815 1 745 665 6 11326 749 1 7000 5251 1 12851 2918 2 593 190 1 15098 2712 2 14441 1695 1 10830 8184 17 3118 937 8 4240 2373 3 4305 631 3 17604 6341 1 17533 3556 1 18237 1686 1 19602 3037 1 8965 7440 3 4717 1903 3 19490 144 1 17507 1751 2 519 308 1 8975 4807 2 3131 6185 1 19476 2520 1 12313 310 1 3312 759 5 13804 1395 1 11843 6500 1 2390 1062 1 15570 9 2 1801 2504 1 5687 3427 1 17549 1703 1 2911 304 5 6712 837 1 9433 232 1 1529 206 1 15267 5874 1 5949 1775 1 12104 7661 1 2782 728 2 13623 5551 1 19722 219 20 14722 536 1 658 2352 3 10309 689 1 181 5320 1 19648 4304 2 18656 780 2 12044 214 1 7520 2355 5 16941 1582 2 15012 200 47 18115 707 1 18887 207 17 13148 2344 1 5018 215 1 18017 3733 1 20219 210 1 16476 7144 2 5044 7144 1 11899 1282 1 14429 4303 1 1 21 1 6749 1407 1 7359 1734 1 5468 5234 5 10839 1728 2 11533 3579 2 10109 215 1 3397 5048 4 1300 616 1 4061 1731 1 2435 1819 2 17041 541 1 2716 541 1 6943 3095 3 17578 5694 1 300 4339 1 9464 3566 16 8291 3774 3 1435 3476 2 19602 1982 1 17405 656 1 14211 1328 1 5542 5903 1 18324 398 1 3700 3477 3 11272 4325 7 5860 1703 2 10684 7216 2 5176 215 1 18823 4196 1 6751 676 1 7439 1997 1 1234 3197 1 519 6494 1 3847 2678 1 15952 471 2 6765 506 1 17127 498 1 5881 1374 27 18790 966 1 18013 4013 1 1526 4947 26 13710 2551 1 19331 156 1 16787 3134 19 4012 1632 3 3221 6597 2 18033 6132 2 13218 7235 13 16224 6053 3 8082 2006 2 18761 421 4 15213 1466 1 4784 502 9 3110 3447 12 19233 6546 1 4236 1688 1 12426 1666 1 9660 2440 1 10143 13 3 19862 3113 1 153 7026 3 13806 689 1 1713 4306 1 7501 1681 18 19194 8253 1 9504 4609 1 11678 2635 1 8975 1404 1 7745 5010 2 647 2552 1 13947 514 1 8517 4306 1 7000 2505 1 7181 1757 1 2869 7988 1 7065 7872 1 3925 1762 1 11755 2424 1 2752 4796 1 9752 303 3 75 1699 1 8765 368 1 12529 1367 3 862 467 5 13800 2729 1 9759 1764 7 15722 519 1 15561 327 1 918 3909 15 8831 251 1 6364 1720 1 10014 534 1 3124 237 1 15520 4601 9 5316 719 2 6068 2699 1 10543 3417 9 11387 168 2 12280 4653 1 862 2514 1 18924 215 1 10413 6597 1 3313 4098 1 2529 557 2 3826 822 1 10020 398 1 6774 1657 1 15720 1775 13 15633 5866 1 5112 186 3 15343 1814 1 14011 5069 1 3283 1236 1 1435 2653 3 1498 5762 1 4536 2569 1 4760 5441 2 4739 7809 3 19508 3304 1 8239 3749 2 16802 1908 6 19361 2192 17 13866 3135 8 2416 1686 3 8296 4658 3 11493 4274 1 12640 3696 1 16707 1762 1 12136 5903 2 10445 2292 1 10391 3819 1 2178 187 1 6776 910 7 5906 2428 1 11693 519 2 12986 1789 2 2341 221 1 12954 2626 3 3156 4967 1 8183 615 1 5695 4325 2 8597 43 1 9755 7998 3 11024 7884 1 9742 3333 3 520 5294 1 5640 508 2 83 3781 1 15472 2365 20 12351 5328 1 10766 1804 1 1453 7018 1 17500 244 1 5060 6175 1 9628 819 1 20158 5883 2 4644 1404 2 14618 2179 1 1499 4814 1 822 426 2 6327 1728 6 18893 594 1 1194 6880 1 40 2070 1 16084 1751 2 2340 235 3 1091 5453 5 14660 340 1 2097 1284 1 2480 235 2 1752 4967 1 3673 1437 1 14986 7440 2 10315 5379 2 4009 193 5 11466 7319 1 334 4446 1 7373 1825 1 9708 949 1 10159 2786 1 5738 8031 1 4147 2778 1 10290 229 2 2588 1911 1 8291 3263 1 11130 8145 4 19084 3899 1 6700 1482 11 5776 6192 1 11902 1727 2 14698 1655 1 19967 2879 2 16364 449 1 4135 3799 1 8518 7741 5 6704 7997 1 3976 1981 1 11354 5128 2 640 8029 1 9688 470 10 4392 5771 1 5638 2132 1 3278 1946 3 17493 6047 2 6492 214 2 13374 5551 1 9547 220 1 12397 2343 1 4348 1164 1 1464 300 2 16697 4352 2 9705 200 2 135 6167 1 695 2935 3 4604 1729 1 5617 2507 1 16030 3317 2 127 5763 2 16016 4274 2 9093 2013 1 3768 1248 10 5722 7229 1 5565 2087 3 10145 6408 1 16500 1710 1 4143 3486 1 15061 2016 24 13772 7621 2 18693 4059 4 11250 533 5 10730 508 2 4305 2388 6 7373 1466 2 14894 709 1 18534 423 1 3768 3207 7 167 7567 1 9209 1739 1 5972 3649 1 19184 4869 1 7769 6993 2 7140 1518 4 835 3909 1 19519 2342 4 1154 4266 1 10916 665 1 9432 3992 1 10507 1119 10 13617 2710 1 12766 770 4 137 6283 2 1451 2899 28 511 1039 7 2198 220 2 14380 7310 1 14466 1675 2 15235 518 1 83 3732 1 9385 192 1 9104 1698 1 138 6305 1 6068 520 2 5857 215 1 11215 7875 1 12548 7815 3 5128 6702 43 14567 1907 1 14600 1717 1 4298 1452 1 6709 626 1 19072 2424 1 9864 201 2 14005 1466 1 7542 7850 5 17252 4282 1 3818 7777 1 1520 1190 1 2198 849 1 13461 1275 4 1937 5762 1 6850 95 1 1285 3411 1 5573 829 2 18695 74 11 1825 6624 1 1937 1203 1 20219 4077 1 16861 7336 1 12945 3936 4 6670 156 1 1073 3556 3 19508 1752 1 12079 6064 1 5389 2710 3 19384 5137 1 5863 3109 1 6496 4716 1 14890 683 1 6684 6754 2 3505 512 2 9928 3855 1 5139 223 5 15211 4231 1 13245 4351 3 16321 103 2 12155 676 1 15712 2653 14 14130 7403 2 5407 7522 5 15142 1666 1 19727 1242 1 14970 7930 7 2908 173 9 15998 200 1 3595 1747 14 18323 1369 9 16781 201 3 9463 3247 1 14283 5531 10 2645 2591 1 130 5972 2 16683 518 2 12322 1234 1 17207 4132 6 6998 1294 1 8091 6470 1 13367 3578 1 10817 6331 2 14261 8190 1 4274 558 1 9508 2086 2 14876 7670 2 17295 7525 1 7058 3684 1 3616 4245 1 16247 1244 1 10649 169 2 8440 1830 10 1322 1946 1 5819 5583 1 15708 303 6 10951 223 22 17088 1726 6 9976 1890 1 6700 1743 8 16491 3399 4 7841 4764 1 3804 1197 13 17194 6192 10 10539 196 1 11233 244 1 2065 1643 1 5696 223 2 16665 6192 2 353 219 1 975 6396 2 3874 6135 1 3546 7259 3 7176 6769 2 20278 8030 2 127 5749 1 11742 6954 6 1595 6205 5 20165 1757 3 19282 126 2 11156 6140 8 7283 2677 13 6541 1692 2 5487 5830 1 2408 222 1 12026 1703 1 12878 2671 1 11637 839 2 2999 6899 3 20027 229 2 15823 184 3 16388 2144 1 9790 5349 3 1296 4274 10 17 1188 6 8726 1390 2 4447 2899 1 6997 6612 1 17887 1674 2 81 2424 4 20108 907 1 5356 403 1 8632 478 1 3324 1466 1 5739 3334 1 3653 1380 9 6533 7823 3 5138 200 5 11261 2893 1 9795 6268 1 6219 13 4 3195 6890 1 11094 6482 1 19486 3419 1 7832 3569 2 13277 1472 5 19603 2982 2 110 1760 2 4192 7381 5 4216 3511 21 7252 4277 1 2905 5532 1 1263 8071 19 12568 3234 1 7432 6665 3 6397 6342 39 12821 397 1 12030 1877 1 4030 670 2 16105 3492 2 174 8088 1 8930 4981 2 5662 3012 3 17373 6091 1 8641 225 1 16674 1729 2 15722 222 1 2413 6530 1 6476 1691 1 11485 1245 1 2342 1751 1 20169 225 1 18180 2727 34 14292 3888 1 11472 963 1 14921 2742 1 16574 6554 1 17790 5245 1 16894 4504 1 12009 545 1 6539 3244 1 13183 854 4 9924 1733 1 19239 5083 2 18371 3206 1 17803 7512 2 10973 1717 1 820 3494 1 3443 219 1 9514 7570 1 19883 1745 3 8654 1334 3 5337 1374 1 5926 1755 1 19655 1271 1 9566 6242 1 333 5484 1 16232 4622 5 13857 2367 5 19456 5186 2 10775 2632 43 9921 6554 1 53 2576 1 17962 6257 1 20133 1091 1 441 526 1 19168 5255 1 18628 6460 4 8003 4120 1 18313 3236 14 10000 5329 1 11432 481 1 14040 6198 2 4348 1730 1 17960 827 1 14430 2087 1 12933 215 3 1839 5478 1 7902 7815 1 18281 4446 2 12322 1779 5 5589 5579 1 19261 207 1 15026 757 3 2156 3661 1 18413 1779 1 19029 7534 6 18263 6200 8 11097 5961 1 17790 1825 1 8281 1363 1 6501 867 3 15429 3244 2 5863 1383 2 18639 7953 1 15497 4673 1 3841 779 1 7435 2678 1 3392 1995 14 4057 2871 1 9909 6424 37 11622 622 1 8531 3448 1 4016 3211 1 2167 1695 1 6413 1726 2 19735 1825 1 16643 841 2 14114 2922 1 5775 2250 17 997 6181 1 6839 214 10 15074 5252 4 2319 365 1 13802 4380 2 16736 605 1 10684 7404 1 4592 6587 2 9947 5008 1 11701 325 1 4894 3059 7 19734 4245 15 14250 1342 4 7211 1659 1 148 233 10 10575 865 2 15321 4924 6 8447 2398 2 18755 5018 3 18517 1705 1 17788 3705 1 13972 207 2 8284 6683 6 10980 3056 11 16474 368 1 2935 187 5 9857 1304 1 5675 5054 3 15684 15 1 7269 1275 1 6789 6817 1 812 6027 2 11739 3542 3 9269 570 1 1638 191 1 1230 5018 1 17298 2662 1 18567 1252 3 74 937 3 17484 7638 1 12934 1234 2 11573 5013 1 18056 6299 1 3530 1819 14 6261 1272 1 14489 206 1 10265 5474 2 15691 6576 1 3189 4296 5 13778 6225 20 8423 222 1 9072 6278 3 5588 3889 1 18796 4288 1 4184 1772 5 11587 1825 10 7973 3248 5 27 1640 2 11360 766 1 16704 6614 4 11714 3411 1 13909 502 1 7111 501 3 3485 510 1 16270 629 1 13565 1303 1 16775 1334 25 19579 7726 1 2151 7244 1 16483 479 1 8198 2656 2 20123 5538 1 5172 1312 1 12759 497 1 9178 3540 5 16961 244 4 18281 925 1 6460 1244 5 13602 870 7 2310 5618 1 16090 7300 1 9294 223 30 388 6436 9 12817 220 2 15894 7655 1 13183 2945 1 17841 7532 1 15870 1863 1 16566 7353 2 10999 4992 1 13537 815 1 17880 1804 1 3694 1814 1 5308 3235 1 4377 3693 2 8223 4794 4 4121 5294 1 7560 1907 1 4998 5768 1 2845 3645 1 153 6909 16 5798 4351 1 3650 151 1 8375 1629 6 16339 156 17 14696 952 12 9730 2582 1 553 411 32 8730 690 3 324 1776 9 18932 797 2 11270 366 1 11325 1245 1 12139 957 2 9815 3610 6 27 1622 1 4539 3113 18 5817 442 4 14232 2366 13 16825 4401 3 11392 5915 2 433 6534 1 778 1662 1 143 5052 2 13749 6000 1 16028 1987 1 7869 6661 1 17527 1764 2 13236 1093 1 19079 5634 1 2863 1985 2 2917 4998 10 12524 597 2 8161 4428 1 11496 1252 4 18792 5409 1 10852 7098 2 62 2998 2 7528 1663 1 7933 849 1 11817 3569 1 15396 1739 1 17778 229 2 6836 206 1 6731 1238 1 6153 1783 11 16597 1819 1 164 7461 4 4273 7843 1 6244 1505 2 10467 1104 1 1198 1728 2 11786 171 2 18698 4792 6 17579 1363 2 2082 5439 2 12949 1707 2 18843 6204 1 13000 348 2 13697 1734 36 9052 1659 1 13613 728 1 12286 1342 2 1723 495 1 9273 3180 1 8343 184 13 6221 1753 1 7020 498 3 7943 1762 6 12139 407 1 13066 1342 1 11156 6031 5 7568 2804 1 20077 4974 1 525 1245 1 15804 1814 5 115 4454 1 5978 316 1 14956 207 3 565 23 1 3543 225 1 4940 6053 16 3249 1752 5 7498 1587 1 2993 210 2 17615 7896 1 8015 215 1 3550 2647 1 4417 252 1 13590 687 3 6032 2504 4 6954 1778 2 7924 507 1 19887 1747 12 18525 4947 1 12603 3930 2 4782 214 1 7699 5018 1 9107 792 1 4493 1207 1 14767 3027 1 8278 4060 3 164 7511 2 15107 519 1 14527 885 2 15974 6342 1 14671 890 1 8773 1771 24 16209 2567 3 10445 364 1 2 108 2 15203 451 2 4184 1247 2 456 3511 3 9275 5969 1 10684 5487 1 16174 1780 1 15508 3020 1 11757 2673 1 5303 3570 1 11899 6549 1 9351 2675 1 19959 219 1 16669 411 1 1090 2517 9 14463 5467 1 4115 1731 1 11168 2795 1 19559 3869 1 4708 1757 1 1218 3464 1 6851 5252 1 11371 8195 14 17953 2356 13 1464 6754 2 11430 883 1 15272 2683 1 8720 6341 12 18681 1269 2 18973 7570 5 6348 629 1 16494 2014 2 6332 587 1 18193 190 1 349 3837 1 17477 1827 1 18876 761 13 19671 214 1 14376 1244 4 3927 7045 9 1932 203 2 7502 5178 10 7653 5610 1 7386 2358 1 4716 1729 2 3438 193 1 4561 5312 1 20191 2889 5 10966 1359 2 2985 2838 2 8716 1753 2 18476 7595 2 8870 2216 5 14884 318 1 7017 1732 4 9589 6170 4 17373 465 4 2322 6198 1 3669 201 2 11367 1700 3 17996 1752 1 803 2691 1 10268 207 4 618 2584 3 9250 768 1 14556 206 20 2600 1985 2 7866 1642 1 1200 6561 4 19944 519 3 8439 498 4 18568 2534 32 19590 3911 1 16617 3058 2 130 5846 1 15354 1772 2 2432 5297 2 14970 548 2 19338 867 3 9637 214 1 48 2453 2 12917 3011 1 19497 4662 1 8192 206 1 17748 5874 5 14632 7593 5 15185 3233 10 7042 7740 1 6045 6192 4 6749 604 1 16373 8068 1 9881 2372 1 18888 4996 1 17902 173 6 8168 8200 1 3136 232 3 8462 1707 2 9724 3333 1 1447 3117 1 4553 5221 1 16152 2938 6 10575 788 2 46 2350 1 14114 668 2 9912 5377 1 2231 130 1 13462 1301 2 20148 4597 3 485 3326 4 3483 2443 1 3424 411 1 8198 4436 1 9767 581 5 17910 5260 1 347 5016 1 1705 2888 1 8546 5252 1 2685 235 1 427 1299 1 17520 3184 1 9802 200 17 6757 1244 1 19342 4013 2 3827 215 1 1243 4216 1 4749 2542 1 13313 1240 1 20202 200 1 15376 2671 1 13927 4998 16 7571 3907 1 5076 509 1 11617 1848 3 5163 157 1 15703 891 4 1412 222 1 7404 755 1 16977 1814 5 13262 229 1 9178 5522 1 8757 4944 1 9134 910 1 6563 6779 1 5566 3779 1 18207 7486 1 11179 2131 3 15614 3590 2 13114 5282 1 13634 3949 4 864 2958 5 580 2876 4 10313 3219 1 6449 4792 7 20050 2368 1 4009 4025 1 3258 4416 6 14026 200 1 19145 1277 1 3467 3999 1 7358 306 2 12241 1431 2 4735 3540 2 3243 1720 1 14872 186 1 17897 684 1 12053 6355 2 2380 3945 3 5132 3515 4 11165 3333 1 15547 6512 20 16458 221 1 8857 3239 3 17766 7410 1 17541 581 1 5581 3869 1 14778 200 8 10155 1752 17 19423 1342 36 9924 1747 2 5095 2993 4 1012 7740 2 13743 7091 1 17682 1760 1 379 6897 1 3739 2427 1 17440 4950 2 18187 6713 4 7231 1730 1 5390 1326 1 9359 1242 1 8914 6649 2 13871 2002 14 7893 2363 7 14533 2737 1 11880 3878 1 12620 2646 3 3382 3853 5 5325 4118 1 18289 876 11 4529 5432 1 14865 3532 2 2676 3591 1 17225 1245 1 19722 2797 1 10575 357 1 6853 2502 1 4469 3333 1 9696 5054 1 12397 2711 1 16274 541 1 12817 4016 1 17847 244 1 14184 2424 1 9212 7531 1 2325 506 3 18608 292 1 13696 3262 2 3653 2104 3 18720 319 1 11066 3911 1 5191 6481 2 15011 1018 1 3120 1482 3 2177 2056 1 643 3045 2 6881 4015 1 135 6110 1 3169 5052 1 7504 219 1 6406 4248 1 3911 7861 1 16694 724 2 17792 764 1 5345 3421 4 18122 8173 4 6781 206 2 6905 795 1 9478 6430 1 14147 4807 1 7780 1207 1 20261 415 5 5953 8026 1 1705 3349 1 8549 411 10 3976 1825 18 12972 23 3 6247 5439 1 16790 3540 10 4057 5700 1 6152 1339 1 10815 581 1 19746 6466 1 17186 1768 1 15209 219 3 16192 1740 2 17996 1729 1 3427 3006 1 911 1720 1 16264 6341 1 3058 3132 1 4389 499 2 27 1597 1 18232 8034 8 8982 904 1 15468 7261 1 6339 2021 1 15908 3760 1 4213 2410 1 11648 2671 5 525 7255 1 582 3372 2 15011 1825 2 13210 523 2 4279 392 5 15932 2889 1 19649 1235 1 5344 113 2 16841 3462 3 20225 838 1 19908 1173 3 540 232 21 19322 863 2 10787 214 1 5645 7407 2 3397 825 4 388 8121 2 7287 2847 1 6975 5700 1 20180 597 2 4159 7878 3 3048 243 1 4707 3512 8 10000 2089 1 16894 7313 1 15608 1395 1 19671 1331 1 174 8108 3 17228 826 1 9861 409 1 9586 1695 1 18056 391 4 12097 7890 2 2629 236 1 1530 496 1 11458 2431 1 19975 2460 2 18563 394 1 9695 1454 1 9496 1007 1 6783 7420 12 17 1078 3 9924 197 5 20236 1985 4 6332 232 5 4107 1244 1 1114 1245 2 16442 617 1 15368 4490 2 8675 3492 1 9743 84 1 10586 6623 1 19865 1378 1 6152 3588 1 11089 2366 1 2345 4090 5 16588 2441 1 9178 7447 1 2744 3893 3 3411 3206 2 15912 201 7 3504 6970 1 19344 6645 1 20178 4824 1 3031 1703 1 6116 1703 10 4631 2648 3 9235 196 40 739 229 1 4805 611 1 6312 940 1 9732 712 1 20107 1324 1 6605 3477 2 10473 442 1 992 221 3 12606 1819 2 6796 2581 1 16096 6091 2 455 705 1 8753 2677 1 3104 3222 5 7893 214 5 9990 1742 1 628 6058 2 562 6764 1 11996 167 1 2925 548 1 15691 6868 1 10382 7533 4 9546 553 1 7105 1677 2 2641 897 2 6486 765 1 14758 402 1 20060 6342 16 5087 4623 57 1361 3369 3 5695 221 1 11861 1395 1 6452 2655 1 19156 1359 7 9540 223 1 14664 3208 1 14805 3921 1 20032 244 1 8435 917 1 3822 2722 1 14662 6538 1 19826 3787 1 14654 1688 1 10365 2712 4 15782 3639 2 9480 202 3 4597 1246 5 18753 5253 1 1690 1244 9 7028 4949 1 5957 2534 1 6275 507 4 7017 7528 3 3571 1734 3 2548 3799 12 18614 4983 1 19655 834 1 140 6447 1 6819 2699 3 10053 2646 2 6417 1960 3 12618 2908 1 6695 3697 3 16509 3600 1 12378 1589 1 13922 1745 1 11254 7404 3 1933 3255 5 7883 1421 1 15230 502 3 5653 221 5 2057 1819 1 10123 7367 1 8831 705 1 8430 8148 27 17914 4435 9 11502 1471 1 17063 1686 1 12104 3127 1 873 4366 5 19655 6884 3 17066 7525 1 20254 287 4 15031 2953 1 5367 6341 2 18667 2675 2 18838 6418 1 7633 219 1 6865 3878 1 2679 3905 1 1019 1740 2 7462 1611 1 4561 366 13 542 372 1 19500 534 6 15957 534 2 2273 470 6 6556 1687 1 20181 3732 1 17382 5066 1 15649 4379 1 11259 1361 5 6332 1662 1 19872 399 1 3923 3283 6 327 3738 2 18940 3516 1 9319 4380 2 1428 7275 1 14836 84 1 13676 498 3 10770 4675 1 16943 6031 1 1 48 1 11277 3558 1 6853 489 1 12067 3491 1 20001 4245 1 6314 2869 5 9737 1312 2 1491 7407 8 960 530 1 15515 1748 1 18336 6670 2 9732 887 1 490 5306 9 18296 3065 9 5214 215 3 8561 192 1 12980 3168 1 8612 1237 1 6661 7834 1 20120 6949 1 11378 6992 1 6781 3511 18 15343 173 5 8160 6632 3 7652 308 2 4492 1146 2 15 1002 1 3283 1150 1 7699 1450 4 4720 3900 3 143 1295 1 19724 3511 1 17003 5252 8 13720 945 1 1017 3248 1 4557 4716 2 1829 7439 1 17105 1345 13 17996 1707 1 5997 4987 1 1585 207 58 6140 201 3 429 5881 6 7188 3255 2 8176 7003 1 5049 205 1 16700 571 1 5246 215 1 3416 717 1 19030 7259 2 18075 3367 1 14657 6576 2 7857 1251 1 13 945 5 9141 23 1 1824 1700 2 2442 252 1 19632 5715 1 11206 776 1 6829 6120 2 13201 7603 1 8862 2392 9 9605 1342 2 10232 4663 1 5506 3429 5 17374 5325 7 13171 2708 1 4320 1751 6 655 206 2 17157 2683 1 17628 2635 11 5132 525 1 25 1487 3 11323 8027 3 16834 1537 1 18493 411 6 7821 2836 1 16043 201 2 2975 1752 15 8776 2698 1 38 1445 3 3393 6103 1 13922 200 6 12128 1369 1 536 3512 6 1551 1453 1 7910 6246 2 11849 606 1 9696 200 10 13359 3464 1 13010 1705 7 16595 1241 1 416 3693 17 18518 1695 3 17170 411 5 14933 4388 1 2728 3167 2 8266 4314 1 6101 219 11 14211 1361 1 3399 3230 1 11313 304 1 8214 891 1 1241 1827 6 9147 7205 1 10446 1470 1 18705 2686 1 8895 3511 1 9458 5420 2 8134 714 1 19872 1703 1 9300 6259 1 10584 517 14 1045 6166 1 18095 2316 1 19896 2645 1 7663 7931 1 4817 1674 41 1263 1404 1 9660 2461 1 7017 4696 2 12688 4636 1 1744 5005 1 7450 1784 3 19246 6435 4 3118 3776 1 11 493 1 5908 4022 3 19326 768 1 11196 222 6 15940 5275 1 15300 1739 2 4572 532 1 1631 3225 1 6070 23 8 6855 915 1 9104 203 3 633 6176 1 15303 7534 1 9491 219 1 19310 1303 1 10110 1396 1 4996 1702 1 6414 3946 22 12435 3045 2 12995 1078 2 17457 534 1 18068 1702 5 3111 4716 4 9146 5823 1 16018 7112 1 15926 199 2 10281 3334 1 12435 1315 8 8269 649 1 16645 4016 1 12903 952 2 12897 853 5 1131 506 15 9149 1788 3 17633 4794 4 6871 2675 1 16861 4484 2 2346 6545 2 17884 863 1 3484 2374 7 6734 1307 1 4288 5018 3 8198 361 1 15509 1756 3 18390 1470 1 17369 867 1 17887 1236 2 11642 234 7 9590 3320 22 303 7566 2 1099 2917 1 3472 1247 1 5834 3557 1 2135 232 2 7532 2602 4 10249 5269 1 16431 3522 3 18859 4202 1 270 1789 1 839 1395 1 14082 190 2 12782 1717 5 16493 327 1 8508 1246 8 2306 3016 1 11281 6106 2 19085 1248 1 18244 1965 6 18396 1539 1 12131 148 1 17703 225 1 14488 7776 1 552 4446 1 10203 368 4 19184 3699 1 12065 7857 9 4106 466 1 10843 103 2 9773 629 6 3269 2671 36 15728 5955 2 13064 3907 1 3220 1991 5 1049 1699 2 17935 2173 35 18207 2584 1 8974 3492 4 14481 1710 2 14778 1395 1 18524 3417 1 19170 883 6 12 529 6 71 3317 1 2204 692 1 9283 6677 1 12897 7570 1 17878 34 13 4376 3365 1 3133 7085 3 13083 1981 11 14522 510 3 4387 3066 5 94 3578 4 2546 2175 1 7599 1740 2 12758 4089 1 3296 3352 8 9657 164 1 20085 7606 1 16328 1301 1 16670 3430 4 8669 495 2 11533 7747 1 15037 6340 1 8343 532 2 19567 652 1 11377 3191 1 14064 1091 1 7016 153 1 10806 656 1 3944 6169 2 5453 4343 11 5908 6993 1 6024 4081 4 9733 132 1 8198 402 1 2885 1967 6 3024 2978 1 7436 3167 1 15281 200 43 18028 4427 1 17134 3180 1 5684 2708 2 10401 2675 1 16819 1825 2 8657 6645 1 3835 5506 1 11353 1265 1 4796 1153 1 5176 214 1 1653 5557 1 15939 1453 1 1794 7619 1 10325 891 1 11458 7933 1 20191 5270 2 6821 1724 6 12576 1819 2 725 1416 1 11458 2461 2 6305 1450 1 11786 1927 1 2886 2011 1 4603 6912 1 4471 1757 5 7974 1209 1 3397 658 1 14704 7740 5 5981 4435 16 13993 2489 1 19630 4816 1 5887 4467 1 12392 1726 1 4090 4462 2 17331 1736 1 684 1736 1 8999 3592 1 9197 6053 1 20055 5291 1 20210 200 1 6018 6091 1 18512 8013 2 5795 2727 1 3246 6526 2 2317 1314 14 15943 441 1 11629 7719 6 3738 6702 2 17440 853 1 15759 203 5 16827 2946 1 10169 916 1 11631 3058 6 10732 4615 1 153 2729 1 913 1193 1 2880 1834 1 333 5430 1 17567 6534 9 6991 207 1 12082 2382 1 17403 496 4 7586 937 2 10279 3147 2 2453 303 1 15712 244 1 10693 1615 1 13355 1757 2 10437 2971 5 7835 207 1 15791 545 1 6361 1060 5 8670 6640 1 15432 5315 1 17746 822 1 17931 6334 2 18074 5477 1 10442 2600 2 83 828 1 13374 5251 1 5162 2250 1 12378 7878 1 16042 2881 1 15191 1246 4 5378 3512 10 15893 5341 1 5181 6541 2 17039 2385 1 8913 1529 5 5287 7295 1 11610 223 1 8544 7598 3 3010 6091 1 16073 316 2 1858 1731 17 7850 3471 5 2958 2478 1 8110 2720 3 7763 7101 1 2948 1453 2 16606 4653 2 314 3569 1 5364 2633 1 4106 6533 1 13046 1781 1 16090 6209 1 171 7754 3 14786 4261 1 6401 1781 3 13909 1887 2 9464 6162 1 4627 7232 2 11350 5327 1 12406 196 1 15412 23 1 18481 3969 1 3751 4974 1 13729 3519 1 4397 706 2 15220 525 1 4121 8222 2 9840 3191 1 7676 4228 1 17960 3525 1 3715 1751 4 17478 5795 1 7324 23 1 1586 235 1 2274 719 1 2691 786 2 11196 2959 1 4739 532 1 14147 1036 3 1908 470 2 13078 196 5 2094 7477 1 11801 3945 1 7527 1969 1 15456 508 1 1073 5532 1 8343 3775 1 12594 561 1 11072 2671 4 171 7755 1 824 880 2 9854 1363 1 19614 2604 7 4512 5738 1 20123 2953 3 15394 3892 3 19616 2691 1 1618 541 8 7956 3491 1 3543 5018 1 784 1632 1 2861 214 1 6313 7942 1 13700 657 2 12769 2635 2 11349 173 1 3075 186 2 12322 1737 4 15281 1814 5 11974 5222 3 16715 4296 2 7165 4557 1 16994 7719 1 2708 707 2 7219 645 1 18587 386 2 1296 65 5 13069 1904 2 9279 1482 3 18847 1209 1 11798 4849 1 17088 2686 1 17713 4263 3 4784 1731 2 18237 1705 2 8692 6288 1 4898 520 9 19822 3643 1 15519 3748 1 18193 222 4 19754 6690 1 1571 214 1 19975 2430 1 3090 1742 2 9195 206 1 6401 1727 1 14591 6363 24 1117 6793 1 3485 536 1 19970 2673 4 17973 7716 9 27 1616 1 13642 7578 1 135 1762 2 8842 2260 2 8909 1249 26 13551 1686 1 3805 7848 8 19625 1450 1 10331 6845 1 10442 5395 1 17353 545 1 12585 2517 1 5542 1209 2 5695 1761 1 16700 839 1 5637 222 4 8437 308 1 5106 5553 1 17332 130 1 14438 1342 11 10013 411 1 9611 6245 22 10839 4387 7 7111 1698 2 73 3373 2 16384 2736 1 16636 3592 4 16942 519 1 707 5758 1 7016 237 2 12406 1738 2 18456 1252 21 19731 6152 1 13252 7275 3 7385 745 3 19090 442 1 6654 5005 1 3758 1037 1 13213 7815 1 17771 7538 1 5301 194 10 18266 5323 1 14487 6050 1 11235 7603 1 850 910 1 3854 219 1 16416 2055 2 6990 1819 1 11141 1146 1 6506 7881 1 10426 7223 4 16580 525 2 16755 5252 1 1009 410 4 5444 23 2 15871 141 6 6063 4446 1 15535 1649 1 1212 3023 1 2886 3549 3 5695 225 2 19708 7597 3 13036 4179 1 17010 8067 1 18193 5787 1 12539 1718 1 16881 1729 1 9429 1825 1 5237 1456 1 13157 782 1 9266 3593 2 4057 2800 1 1689 2736 6 14699 525 1 7211 215 1 19386 5673 9 15257 502 1 6697 3012 2 174 7930 5 6154 215 1 8528 8183 3 18651 5543 1 6332 445 1 15576 6250 1 86 3970 3 18769 947 3 15648 1781 1 3814 7256 1 13416 23 1 10775 223 1 15040 7489 4 17390 1898 1 14578 3399 1 11597 753 1 4428 5281 4 11122 2617 1 9168 225 1 3427 4621 1 4851 214 1 7550 6519 1 12095 5564 6 20018 206 1 19509 5018 1 3223 3203 10 13613 6334 1 10692 629 1 5318 6640 1 4600 2191 2 12406 5018 1 14113 1060 1 5424 1019 1 17223 8048 1 4126 222 3 326 5019 1 12325 693 1 1379 3552 1 17298 6584 28 2422 1207 23 19174 189 5 5431 7117 2 13743 7621 1 6538 851 1 14473 905 1 7670 4453 5 12614 2555 1 12614 381 3 2021 6415 1 13871 5263 7 14086 1768 1 14789 2508 1 665 824 1 8126 2608 3 46 903 1 13270 4963 1 13624 206 3 8680 1250 2 5805 6243 3 16548 4098 2 6301 7291 1 7219 2363 5 2584 1789 1 3815 6032 1 5840 7466 1 19511 5385 1 19498 7714 1 18960 339 1 12912 445 1 1362 6710 8 13536 3198 1 2004 7850 1 20070 1357 1 12532 5903 1 16090 936 1 11899 1249 2 19211 763 1 19021 7140 1 18103 1184 1 16090 3293 2 19870 407 2 18847 557 1 199 4551 2 7630 6278 2 16531 1737 1 17985 191 6 5208 2057 14 12627 534 2 3199 7446 1 14030 3360 1 4492 1402 6 8913 7651 1 6343 624 1 16625 4963 5 819 6242 2 17383 1439 1 2665 401 1 12065 3906 2 8074 1721 1 3843 1730 1 18021 3511 1 4659 203 15 14951 214 1 17003 5257 6 18939 1715 1 5981 219 5 8488 510 3 2040 3511 2 19200 316 1 11987 8171 1 10931 1286 1 13544 2980 1 4253 236 1 9911 164 3 2962 1256 2 13722 2620 1 774 3956 1 14929 1284 4 11003 194 2 9547 221 1 3140 2742 7 14727 4428 3 140 6433 1 12027 3171 1 17670 3770 2 269 1801 1 18154 5439 1 9792 5274 2 16860 1744 1 15821 201 2 4050 512 4 9639 4312 8 5631 2514 1 7418 4427 1 17382 8183 6 3898 5018 6 31 336 1 461 2673 1 54 1303 1 16336 2949 3 11938 2727 7 2535 4614 1 15159 3706 1 13205 5499 1 2199 207 24 13873 957 13 13189 6150 2 17774 510 11 7359 1788 2 18939 1235 1 5888 47 2 14380 3653 19 16340 4653 1 19101 1404 2 6200 4431 2 17 1145 1 13145 6692 3 14798 8085 4 15393 6204 3 14165 867 34 7816 200 1 6656 1814 6 5251 5792 1 13241 4204 1 2738 4676 1 7575 206 6 2966 409 3 14279 221 6 9811 1342 1 10407 2118 2 3168 1251 5 1388 1762 2 16736 6585 1 18514 4387 1 3516 1243 1 19092 3849 1 6772 1770 1 18133 206 7 17371 3571 4 7441 4383 1 18007 1518 1 19160 1518 1 17720 7850 6 3840 1819 1 7373 1363 3 20275 3748 3 17073 1774 5 2985 570 1 8889 323 1 4898 5018 1 1864 196 1 9055 5266 1 11941 2114 1 3858 1755 1 13097 3518 2 9533 186 3 19497 481 1 19823 215 1 18514 1234 2 14999 4716 5 19045 1341 8 1962 5957 7 17472 6225 1 13126 890 1 18450 3244 3 9323 2345 2 5290 448 8 9281 2799 1 10374 5293 1 2694 3313 1 17400 5327 1 3858 190 2 2271 2503 1 6140 5187 4 10057 534 1 7832 2646 2 418 545 1 12895 23 2 14951 5018 17 3112 1250 9 853 1328 2 7914 1439 1 9595 940 17 15005 2353 1 13490 438 1 12850 200 18 910 229 4 6527 5818 1 17120 74 2 8273 7625 2 1507 6150 1 4511 8057 1 18450 385 1 4483 2355 1 5143 3885 1 16736 684 1 3597 7224 1 5737 1748 1 3085 1172 1 1234 1508 1 12988 1719 1 18792 5243 4 3581 1198 1 6697 244 3 171 7761 1 8949 206 1 13266 3164 2 7657 5402 1 2674 1691 2 6341 3412 5 10452 915 1 4519 1707 1 15732 5413 21 18116 2270 1 10498 4696 1 18085 1395 6 16974 6705 1 12163 6640 1 13310 3519 1 18519 222 1 13186 220 1 10318 1748 3 1594 2673 1 14738 1304 1 9399 2686 1 18382 3827 2 20191 857 1 3544 5256 1 6835 3859 1 15303 7542 1 16961 1250 5 7910 7288 1 10401 200 2 15778 4508 12 2945 4342 1 18807 893 1 1173 557 1 7148 6245 3 4629 1739 3 3442 6912 3 1073 4090 1 16356 2897 1 5112 3556 1 13835 449 17 1387 2026 2 15743 514 1 4050 1334 3 16257 1453 1 153 6902 1 12132 533 23 19026 3653 2 2127 1296 1 5637 184 1 16222 867 3 12242 8141 2 10236 1266 1 19313 213 4 171 3367 1 7853 1042 1 3324 1955 2 7158 7210 1 5124 1819 1 15369 6900 3 9901 5133 5 7347 3621 1 5373 6268 2 7444 1776 1 3826 746 1 598 1150 1 18976 6091 1 16190 745 2 4831 7706 1 14276 959 1 103 4638 2 4279 882 1 17141 99 2 12209 8057 3 10160 225 1 14898 4727 1 10575 652 1 13350 4918 1 19606 3647 1 18198 74 1 14427 3625 1 11035 1105 2 651 1395 2 7188 13 5 8854 5775 1 19564 4038 1 1207 2385 38 9212 415 1 42 2180 5 10521 2363 7 16790 1707 2 16066 6152 1 17606 3963 1 13697 190 5 16136 514 4 15034 6192 1 5557 3144 1 13605 903 1 14218 512 16 16860 6872 1 3975 3070 1 17947 244 3 18818 184 1 11820 4555 1 17124 2885 1 3186 3841 1 16089 534 1 5643 7368 1 9332 5260 1 15303 4670 2 15956 1664 2 12156 1296 1 17652 412 4 572 2506 5 10988 3352 1 19991 3333 1 19528 200 50 15057 5397 1 611 5277 1 6867 937 6 5589 2357 1 8671 23 11 10156 1324 3 7011 234 14 17273 724 1 83 3380 1 7171 126 1 18500 2918 1 143 2743 1 12148 6541 1 4170 253 2 12350 1401 13 9887 776 1 3972 5523 2 15549 207 55 109 4967 1 13224 3571 3 3705 4351 4 18195 5219 1 2154 5043 2 12009 1239 1 7715 631 1 11786 344 1 164 7506 3 3387 252 4 8270 6018 1 2731 5018 5 11164 3611 1 4894 1507 4 19271 5574 7 16041 3511 2 19680 3922 1 19364 1482 1 8979 903 7 14350 2708 2 8331 2277 1 11018 1250 1 16236 190 1 10033 173 1 8322 467 5 2603 2555 1 15214 612 1 13537 3074 1 11192 3834 1 4389 1244 1 16956 1340 1 16201 3360 1 11910 3738 1 1487 1881 1 15192 674 1 1703 200 7 2704 489 1 15144 1367 15 19090 2795 1 1363 5018 1 15637 1344 1 15096 2087 1 11272 2709 2 9144 6169 2 14105 1261 1 16526 8093 1 7532 1770 7 19538 603 2 10218 8011 14 128 2509 1 13735 6793 1 10053 3460 2 11482 222 1 15712 5385 1 9462 2897 1 12294 4245 5 382 1356 1 6077 5347 1 11080 7586 1 672 2355 1 19101 2895 1 9743 4394 1 3751 4019 12 5185 7878 1 8174 7439 4 16651 1965 1 10019 4325 17 1825 863 1 19071 7809 1 15563 1691 7 8504 3164 4 17884 7542 1 6864 2351 4 4898 1342 3 12569 1251 1 18460 3907 7 1587 4531 1 18855 6204 10 14305 768 1 130 2057 3 2198 1380 1 18040 1656 8 2940 1153 1 19594 3522 1 9235 3351 9 14009 6558 1 17502 6179 4 9094 207 1 788 1395 3 270 200 1 10307 2969 2 3000 5442 2 15272 1243 2 17336 1466 5 241 1710 1 18224 4935 5 8417 1235 1 11887 5187 1 8703 8121 1 18814 1665 1 9941 4296 1 4282 623 1 11772 2698 4 11033 4615 1 1570 4435 15 9284 3239 4 15424 219 16 15791 3627 1 3316 4420 1 1738 6268 6 14196 1341 1 6656 2675 2 4052 2357 1 14753 1251 1 14080 3768 1 13532 4022 1 15804 3900 5 1469 1686 16 8169 3715 1 12682 2742 15 15082 8071 1 8905 6430 1 17035 222 1 16626 974 1 6081 156 2 15041 411 2 17847 7222 1 6838 761 1 4963 2633 1 15778 3589 1 13174 1819 1 7147 2747 6 19724 1342 2 9173 2127 1 16215 2678 1 19143 258 1 13678 1726 2 4619 643 1 7910 4171 1 10911 1644 1 13705 3117 4 8320 2410 1 13662 6776 3 9783 5817 1 12917 7240 2 8658 2649 1 5982 1748 2 13398 1420 1 2690 7859 9 19060 539 2 525 891 5 13186 23 1 9580 516 2 5246 849 2 13871 5757 10 5252 4774 1 16833 81 1 4596 95 1 12336 1464 1 11430 2363 1 15970 1732 2 8983 8071 4 7455 1208 3 5860 1250 1 5896 2728 4 13278 1662 1 3589 2729 2 113 2571 3 13405 1361 1 1752 2743 1 6249 8119 1 7944 4950 1 6721 1724 1 14666 1353 1 3424 6091 1 18982 6677 1 15850 3008 5 10772 1184 1 16039 184 1 139 4794 2 3841 437 1 5642 4540 6 3283 7850 1 15464 1726 1 6238 3057 1 18237 1247 2 16703 2557 1 6158 7240 1 18363 4156 1 16792 512 1 1465 1748 1 17587 3666 3 1138 1305 1 31 1787 7 10105 4314 1 15745 1717 2 4354 500 6 11046 282 5 9891 1453 1 16612 316 15 7524 2737 1 18893 2998 4 13638 417 1 5617 1032 1 4115 193 1 18820 103 1 19872 6213 1 17339 1891 2 12165 1881 2 15752 1825 1 8196 215 1 11516 1780 1 14318 1752 3 1593 1234 17 12221 5408 2 10315 190 1 6013 4964 2 18462 597 3 19233 4589 4 13425 903 2 4023 3861 1 14318 94 1 2443 215 13 11493 891 1 745 496 2 10821 847 1 10610 6464 1 19776 1473 2 10080 846 3 9676 2316 10 6913 973 1 17169 5997 1 5854 3763 1 379 7586 1 19069 1778 2 156 7154 5 17996 367 1 13006 6670 3 1214 7719 6 915 4351 6 4626 365 1 14685 4386 1 11246 1804 9 7625 5381 2 8237 4252 1 10245 3644 3 15530 2253 2 19645 2605 2 1269 8102 1 835 184 1 14892 1403 2 16189 873 1 13787 1903 2 218 4393 1 7219 1342 1 20 1349 1 17345 3556 3 4825 7719 2 19504 2297 2 17792 3202 1 5523 382 1 18589 1007 15 13922 303 7 3395 1755 1 13778 2646 14 12482 1946 1 17740 3182 1 17891 1399 2 10452 656 1 3536 201 4 10525 219 1 4902 3569 1 19220 23 1 17966 220 1 8191 4706 16 2712 1345 3 16170 7251 1 7916 1250 2 5779 3516 9 18012 2708 4 15527 508 1 8822 2552 10 8831 398 1 11504 3058 6 1430 426 1 7933 2735 1 7194 2646 1 5739 4244 1 9894 722 1 3871 1738 1 2194 718 2 5500 7395 1 16130 7689 9 11820 3511 20 20127 5905 19 9808 215 6 1875 1946 1 12431 580 1 15814 2180 1 11336 1342 4 9949 6561 7 7795 5531 1 13591 4029 1 14084 1464 3 11118 2683 1 14425 325 1 19290 1761 2 7800 859 5 6630 6355 2 16681 5555 1 19282 7529 1 19833 2641 16 4662 1698 3 8122 4029 3 19004 3725 1 7619 221 2 20184 365 1 11999 5495 1 14985 3333 2 1712 392 1 13894 304 3 15918 5004 1 9195 1379 1 6811 2297 2 10580 3590 1 18531 8113 1 13706 220 1 16031 215 2 135 1374 3 3694 8150 1 20215 4284 1 17693 5021 9 4072 3954 2 1677 3301 2 1772 1728 1 8458 525 1 1412 1717 1 3002 7949 1 4954 3602 3 15839 3276 1 14284 880 2 5362 196 13 13543 573 1 19596 3979 2 6425 252 2 18650 4242 3 14002 203 16 18715 5523 1 17127 1728 2 11926 2087 1 16918 1482 13 17758 3071 7 12892 281 1 1315 184 7 454 5308 3 6539 857 1 19833 1019 1 5115 6341 1 2520 719 2 16863 4761 1 7328 2945 1 13097 4009 2 19649 1740 1 5716 1776 2 11276 1731 5 19805 1991 3 8409 2880 10 3330 221 1 6422 7215 1 13 875 1 13295 1241 1 20154 3775 15 13928 3600 2 7986 3798 2 6617 379 1 15272 1675 1 16914 1761 1 15272 7266 3 11910 380 1 4566 1246 1 8018 8169 1 6724 7876 2 17947 4245 5 181 8245 1 4332 3512 1 13262 5212 1 6670 3414 5 16739 1760 2 9051 3233 3 1361 129 1 552 2272 2 2413 5022 1 8708 8102 1 11738 3182 1 6749 2147 1 14894 7948 2 7179 599 1 18251 1728 2 14864 235 2 14554 5814 5 18671 1731 1 7020 516 1 1689 3578 1 1718 6341 16 18886 85 1 16531 313 1 6681 5311 1 11153 6665 1 8014 5472 2 4492 244 1 6096 363 1 15220 6538 2 19603 4029 3 11958 4792 1 8438 6772 1 19176 684 1 3121 1757 1 17003 5879 1 17614 1986 1 139 209 1 4621 2641 1 5602 3648 1 9693 1775 1 19500 2555 5 10135 204 9 15713 2880 2 6166 959 1 17555 1424 6 2947 169 1 1565 6229 1 19781 1277 1 15408 200 7 6892 874 27 18040 2396 4 3925 3763 1 12828 1466 1 4593 926 1 8843 1661 1 4267 1374 2 16234 5355 3 15429 6065 1 5993 8193 1 9978 1113 1 6308 1251 1 18886 2639 2 10182 4698 1 9445 867 2 1801 405 1 18711 7098 1 10016 537 7 4053 4070 1 11846 3167 12 15568 235 1 9567 1762 1 3559 6197 149 19458 651 1 417 2065 1 1293 385 3 12412 794 1 11585 2678 1 15828 883 1 4023 3715 1 12390 3020 1 19727 5817 1 12322 219 6 396 2488 1 16531 4604 1 19603 3485 3 11314 952 1 20017 672 1 3189 290 2 19355 550 13 10146 4435 1 3536 1258 3 3253 5269 8 3358 2894 1 5218 2541 1 2546 5788 1 11044 1717 1 17012 6618 4 8609 1236 1 3991 1638 2 7943 6121 1 16071 5018 1 6527 5874 3 2104 7349 1 4063 2641 1 4902 647 1 20019 2667 2 1443 214 2 13427 3415 1 9432 331 2 10876 2363 1 10463 8109 1 11658 57 1 7586 3062 1 15707 6436 2 13880 769 3 5610 767 4 11361 7229 1 3579 6338 1 11181 2377 1 6457 3804 3 17033 2836 5 5696 745 6 12054 1555 3 10340 545 2 1216 364 1 19604 5424 1 11947 4890 2 481 4199 11 18311 225 1 17180 2366 1 1758 2216 5 10153 194 2 18748 1745 4 8198 1699 5 4268 2651 1 1875 7831 1 12044 8094 1 16262 203 6 11189 765 1 5140 2737 1 15647 215 2 9177 1729 1 140 6377 2 5433 4703 1 11629 905 5 13 825 1 14648 2254 3 14354 1764 1 3118 6575 1 10783 2737 1 14883 497 12 13602 3778 6 4972 7240 3 2169 8004 1 19843 1703 6 3871 2056 1 14700 1819 6 19793 7719 1 15026 716 3 15429 2100 1 6387 2005 1 5169 228 2 16290 4612 10 1743 409 3 18639 169 2 6437 637 2 5389 5206 1 14612 3114 2 3824 625 2 5356 409 1 17681 4187 4 19196 6341 4 15753 2221 1 18160 2254 11 3633 792 7 8548 229 1 2322 2897 3 5587 23 3 18705 7850 1 7078 303 8 14912 168 1 11321 6658 2 7028 5105 1 1312 3558 1 2985 3050 1 19713 2591 2 7119 5018 15 13218 2675 3 33 223 7 5809 214 2 3763 1730 1 14471 1247 3 8761 871 1 874 2676 3 19975 3458 5 18071 4526 1 19332 84 4 5695 1695 1 6070 2749 1 8929 3476 2 19568 1717 1 16299 1063 2 15427 403 3 4859 303 20 14591 8041 54 8585 1813 2 18763 1245 1 3845 5279 7 8424 4933 1 2585 7201 1 15740 526 4 8073 5762 2 16391 6051 1 5977 1237 1 529 1755 1 18969 724 1 1593 6692 13 1771 1374 2 18115 7672 1 18529 403 1 15409 225 2 3375 1374 15 16769 2415 1 19420 624 2 8540 5387 1 13180 2428 3 19471 8057 2 10916 573 1 7020 156 2 8841 3238 1 8269 725 1 2691 910 2 10123 5368 2 708 327 5 13576 5225 4 9642 7474 1 5669 4960 1 13829 1244 3 9043 770 1 19608 7355 6 16690 1242 6 16742 723 2 2694 4393 1 13245 4355 24 13306 1743 1 11952 4619 1 12291 8141 1 3020 141 1 18371 7222 4 17001 1539 1 3876 7638 1 18705 1237 2 2207 1751 2 372 201 3 841 1211 2 3493 863 1 20017 1238 1 9224 683 1 17003 5969 1 65 3138 2 5503 890 1 15159 4021 1 4023 385 2 2544 8141 3 6502 2573 1 14217 2994 1 9733 1825 3 4018 1916 6 10670 6537 3 3149 2953 1 9572 534 5 5918 7734 1 1198 1237 7 14096 7213 2 593 184 1 17135 336 1 559 718 5 11944 838 1 1859 2881 1 3008 3531 1 18398 3432 1 11066 6018 3 17736 4099 5 2917 4156 1 8946 737 1 16815 7719 9 169 7588 1 10309 598 2 1108 5408 1 10728 381 9 10907 1801 1 19341 190 1 5506 5022 1 105 4684 1 13914 1649 3 251 4827 1 460 524 1 52 2555 5 8934 1502 1 911 3907 1 16857 3691 2 15775 802 1 535 253 3 20182 367 3 6332 1736 1 18960 903 5 4498 1610 3 9380 1423 1 3146 3631 1 447 638 1 6618 7689 5 4995 1363 1 1705 790 2 17579 1736 1 201 1717 4 20263 4189 1 18236 1778 2 17257 1437 1 11354 316 19 12054 2114 2 10183 514 3 5044 7150 1 14946 52 3 18040 582 1 10998 505 3 16442 3473 6 1711 596 1 19730 201 1 12992 5115 1 18670 2970 1 2434 3749 2 17684 5694 1 8054 7986 8 10016 231 3 904 2869 1 7028 200 8 2458 5131 1 15629 554 2 13035 46 3 13213 1245 1 9405 7407 1 6964 7915 1 19397 6666 1 2429 6192 1 6164 1363 5 10494 1775 12 8904 6238 1 9798 517 1 9429 1686 1 17531 274 1 13328 5520 1 279 207 2 14005 5051 1 16493 3445 2 1839 4026 1 5910 6382 1 9628 799 1 11154 1703 2 15849 1247 1 11015 8214 1 7987 6435 2 1711 852 5 13 864 2 2087 4635 4 17340 207 2 11008 1354 1 12427 201 4 1935 1220 3 10123 5715 1 18199 8016 2 17428 5583 2 12557 3518 1 8860 578 1 17159 196 3 1964 2488 1 181 8219 1 1638 3385 1 13761 1742 23 7282 867 4 1612 203 3 15 989 1 6463 386 1 19729 3338 30 12945 382 5 2985 841 1 10396 128 3 11148 1334 1 4301 1244 2 1677 4599 13 18939 520 1 13 229 2 16988 1211 1 548 796 1 10171 3175 1 7312 3619 3 10876 1751 1 8788 2860 1 10739 709 3 2322 6350 2 13324 1720 1 14170 757 7 13886 1769 3 822 292 1 13842 7426 1 15952 1021 1 18960 687 1 16283 6259 9 18138 1235 7 11954 8145 5 18386 6713 1 9011 2651 10 6864 1788 3 4194 6341 13 13018 876 1 5132 6257 5 1686 1731 2 17226 1251 3 18643 1695 1 8443 8043 1 4880 4107 5 18748 4435 1 8828 1726 1 5172 4186 1 14062 6793 1 8387 712 1 10693 7748 6 4898 186 1 15952 475 1 11935 6756 1 15531 982 6 16048 883 1 6641 1769 1 174 3600 4 17416 4474 1 15691 1711 6 10446 7210 3 6769 1126 1 3988 4383 3 6064 1277 1 13412 1770 11 8835 2559 1 16568 6693 1 1443 1234 1 4691 1710 2 16737 6949 1 2321 1625 2 11162 84 1 6556 5488 10 4273 2353 1 15238 1038 1 4266 1404 2 5840 220 1 13601 1283 1 15522 1245 1 18797 215 4 745 233 1 20091 3083 1 9733 74 8 654 7293 16 14162 5903 1 19147 1251 1 17223 4266 1 6432 7073 1 14400 2357 1 18236 1718 2 5058 1825 2 2693 5077 2 11888 4428 4 17548 532 1 18102 4321 1 893 6278 3 10941 1235 1 17734 768 1 3182 1546 3 8023 141 1 3517 5820 7 16317 1252 2 6322 6715 1 15314 3855 1 14136 7003 1 10856 1363 1 11993 431 1 11451 833 5 17777 498 1 8307 73 1 14232 6534 2 5172 2938 1 10856 6164 3 17110 6250 1 18939 4640 1 7490 4036 1 15991 7542 20 4106 5400 1 19009 845 1 17738 7074 3 5804 7311 3 1091 5281 1 7117 5767 5 9194 1732 1 7176 8178 1 3801 7079 2 9281 5264 2 3824 2378 1 19751 2557 1 993 4618 2 135 6128 2 13806 393 1 3712 7951 1 6164 4022 1 4036 5750 2 83 879 1 13345 1630 1 13077 5018 5 9044 203 6 5136 1718 1 15478 200 1 7835 1706 1 9388 544 3 5823 501 1 7625 5376 1 6222 6231 24 17922 2497 1 5592 3980 5 6659 2148 2 15286 58 1 4821 5758 11 13829 1728 3 2357 7531 2 1546 2626 1 18193 214 6 6997 3618 1 15791 5058 1 809 1757 6 9275 690 1 10884 187 5 16109 1663 1 19496 4640 1 19344 2993 1 6813 5817 1 19404 5285 2 17599 6584 1 10258 3512 20 16897 883 1 8191 867 11 17416 7105 1 10672 6406 1 5392 2368 1 4533 2262 5 15778 1337 1 18119 3227 1 8111 1911 1 8211 2686 2 6855 6507 1 6556 156 6 9279 1784 1 4110 1723 1 3426 1686 2 15225 4314 1 18338 4312 1 1893 779 1 4268 1060 1 18575 6084 1 4328 518 2 16286 3454 1 19722 2749 1 12351 5940 6 7515 203 1 4016 46 1 17887 7237 3 2331 3869 7 12951 4476 1 6806 222 1 5173 3511 11 12133 5305 1 3051 2367 6 135 501 1 12414 1312 10 11155 6278 3 2385 8083 1 995 1743 2 87 4025 1 19193 187 1 15468 7216 1 2651 3671 6 11396 2731 1 18012 6487 1 6183 1244 6 4985 4344 1 18263 7181 1 11306 4870 2 6208 2691 2 8969 3556 4 14087 1333 1 15272 7470 1 6023 4620 2 14886 6706 2 12206 3622 1 3546 5054 1 19373 334 6 11363 5446 1 10365 1245 1 14870 5663 8 2841 4202 1 3814 995 1 11238 8094 2 1542 3175 1 4191 6286 1 6269 6702 9 2861 6683 1 17434 229 9 8136 4780 5 1603 7244 2 4681 6225 5 9850 5171 1 4106 1663 1 2905 5385 1 13593 5502 1 5025 215 2 520 2675 1 3921 7474 16 14629 3710 1 3274 671 1 5032 5517 3 4530 2150 2 8394 2012 1 16674 1342 4 6839 1239 9 11336 5443 1 18905 2327 1 1121 4947 1 2826 235 1 10111 1136 1 10462 1329 1 4880 1369 1 1466 1253 1 12870 504 8 12067 3619 5 8855 3980 1 9212 385 1 14991 235 3 10377 4436 4 113 5066 1 11616 1594 2 15943 638 1 10845 825 1 12592 1756 1 12745 3333 14 2856 4961 2 18508 415 1 17997 502 1 10000 4794 1 1348 1210 1 449 995 12 706 2367 1 4680 2383 1 15108 6984 1 19822 1109 1 15406 186 2 16421 1761 2 15561 5323 1 2716 2662 1 12603 3438 2 19332 6145 2 18431 520 1 1698 6143 3 3238 3693 2 12917 196 6 18558 3033 1 11271 1243 1 10143 7420 7 13369 1731 1 12208 1732 10 5537 1659 1 4023 401 3 20176 4702 1 340 3796 10 12540 727 1 1090 1234 1 13629 3464 2 35 1986 1 6269 3074 1 13363 841 2 19759 2736 1 10999 4204 26 13299 200 1 17786 5487 1 18508 391 1 12751 2058 6 6332 342 2 16797 6170 1 19267 578 1 12029 5737 9 2012 1587 6 2980 4500 1 878 3024 1 16561 645 3 16916 228 1 8950 2881 6 4758 5285 3 11349 214 2 15072 5011 1 15585 2889 1 787 6675 7 19053 766 2 9287 2970 1 9197 6945 3 18412 2968 1 18199 8035 1 17328 2857 6 1603 1256 1 7914 7830 1 5104 365 1 8886 2951 1 13774 554 1 20053 2262 2 18210 3132 1 10746 2058 24 11362 3983 5 12084 2727 1 2581 229 1 18478 3741 2 19233 3308 1 15542 2493 1 14048 1374 2 2300 2460 1 19542 3229 1 7688 7674 1 18968 3109 1 10948 236 1 5953 8034 1 18410 1184 11 15926 184 5 19681 532 1 6611 1960 7 7294 5028 1 15075 1663 1 7469 1411 1 1864 3006 1 17918 4392 1 15108 7025 2 17825 184 6 9797 5341 1 16790 1720 2 19604 6600 1 6533 7688 2 15192 573 1 13097 7624 1 5087 4204 1 6410 1241 2 2217 5804 1 17449 3463 1 1801 5961 6 3724 532 1 14729 1244 6 18245 1475 1 10815 728 1 7537 995 5 11314 1814 1 18610 2512 1 2248 2254 1 6236 6599 1 12299 8249 1 10158 2549 2 2680 2363 3 19283 2525 4 11402 1825 1 10064 1736 6 2239 5282 1 10973 910 3 14059 2089 1 1171 1703 1 16967 545 1 7184 1726 1 14778 541 1 7039 1727 4 14626 1696 15 10049 200 6 2237 643 1 14563 4289 20 1499 8251 1 83 3757 1 1320 219 2 11808 408 2 12971 6603 1 12711 2488 1 456 3556 1 19998 1921 1 10846 5287 1 6819 1407 3 2387 1734 7 12280 233 2 13111 221 3 10130 3998 1 4906 5018 5 3075 23 1 5250 74 2 14384 1819 1 7585 4105 23 17545 5370 1 10233 3961 1 5476 5193 1 10449 2649 4 7366 2853 3 16047 4555 2 10304 70 1 14318 2373 1 11108 482 1 13774 3916 1 14387 525 6 14059 421 1 3309 380 1 13343 1649 1 12686 5318 1 2055 222 1 592 2503 1 8987 6069 1 5067 3117 4 18214 2478 1 6819 3275 2 7544 665 1 4174 1282 1 8842 5348 1 11708 857 1 719 895 3 17474 3757 2 8223 6256 4 5827 3534 1 1328 512 1 13711 2818 1 11580 8017 1 951 891 1 11766 498 3 14127 3219 1 18338 4623 2 3177 5294 28 19158 4992 5 1235 1737 10 13730 6674 2 18193 1296 1 14878 1382 1 5124 2432 9 10829 3556 2 14127 5757 1 4410 3649 1 14140 3869 1 13590 845 3 4264 6702 37 143 6593 1 10584 512 15 18352 1685 1 15184 5186 1 17809 1975 2 35 1868 1 3739 2412 2 7017 2100 1 17647 2964 1 452 1253 1 10627 3423 12 15901 8069 1 15937 3163 2 7452 1610 2 2772 588 1 6691 222 5 12141 1169 3 2758 1734 5 10584 367 1 543 6252 1 11789 7740 1 18574 3308 12 13975 1755 5 9093 1740 1 14719 411 3 2962 3946 1 6314 6288 1 18634 3349 7 11422 2086 10 3847 4096 1 20165 903 1 1506 23 4 13883 761 1 3109 4914 2 2709 2989 1 6111 637 1 17771 360 1 11635 7355 2 16697 3909 1 9144 2646 6 14611 2680 1 18263 4601 5 333 5545 1 1551 1779 1 3085 1909 1 1490 215 1 6057 2521 1 6618 2027 8 812 200 2 6572 5138 2 13946 219 5 10921 23 1 11366 1253 5 18334 6581 25 60 2734 3 10951 1307 1 5488 219 5 18643 222 1 4069 470 3 9178 520 1 11761 7222 2 4970 8065 2 17314 1698 2 17066 409 1 4151 1573 1 6779 1404 2 1997 201 1 12695 1893 1 19957 196 5 3550 1707 5 3718 1734 3 6894 232 4 19241 2798 1 4757 203 2 1565 6166 1 9463 5221 1 1695 207 1 11786 6628 2 17907 6259 1 18260 383 1 12357 4029 5 11090 1296 2 4331 3557 1 17509 5531 1 16700 807 1 1869 1742 1 16577 6034 7 8937 3492 3 6674 3434 1 396 3511 1 9610 207 2 2674 7308 2 7839 1363 10 18681 1428 1 2419 2671 1 19863 535 1 4371 1607 1 4179 1357 1 9763 228 1 1289 6949 1 20275 4099 1 11846 694 1 2282 791 1 13069 3255 1 1216 1539 8 11040 6997 1 9451 3083 1 12279 2292 6 19284 3511 1 7776 518 1 9462 5897 1 10245 1657 3 12757 7359 4 15690 692 1 2834 328 6 859 1447 1 12337 1721 1 10212 650 1 19530 4623 1 64 203 5 19478 2581 2 11114 4716 1 14079 5133 2 11959 3266 1 92 4123 3 4898 7644 1 13472 526 1 3759 2120 4 12 509 7 4314 521 3 5828 1819 14 4092 10 1 1962 7840 1 17298 232 7 11442 3645 3 19530 5011 1 3411 1909 2 8872 536 5 17949 1999 2 13212 470 1 1216 3558 1 17742 6237 2 4913 838 1 17574 132 1 5287 293 1 9796 4189 2 13093 4019 1 15103 5162 11 11354 545 1 16604 222 1 13750 449 1 3557 201 1 40 2069 1 16184 802 1 6021 7005 2 12632 6200 1 10145 3423 1 11220 5709 1 12116 3151 2 4898 502 1 6642 2777 2 6350 262 2 4387 6428 1 6414 1245 3 1323 197 5 7645 1727 4 12027 5023 8 15507 214 7 4946 2897 1 6825 2299 5 12775 833 1 9661 6500 6 4139 550 1 4155 385 1 14881 878 1 12571 3333 1 1198 3647 2 2023 233 1 3440 2362 2 18698 3682 1 12821 2382 1 1499 8201 1 18526 514 6 6506 2360 1 6064 6481 5 17253 1734 1 3043 1703 1 12398 3906 1 13829 200 1 5653 190 2 1725 6064 1 2519 1704 1 10252 1383 1 12660 1784 14 8541 222 2 14940 2962 1 9543 482 1 6955 7073 4 5391 4435 16 8015 5301 1 14825 702 1 1625 1250 1 14037 236 1 6059 3599 1 5042 5432 4 12406 1722 1 11327 1768 1 6068 1715 1 15281 6091 4 13435 3202 9 2553 7902 10 15216 1395 1 18667 220 2 8949 7229 1 13800 3029 8 17263 2235 1 16775 164 13 8211 232 3 6656 219 5 11818 2106 15 7795 2878 6 4320 228 1 114 5122 5 3756 5742 2 5076 4201 2 17644 1783 1 12469 6564 1 11301 500 1 15349 6204 3 15053 207 5 18490 3024 1 343 6541 3 16109 229 1 11270 2489 2 14270 505 1 2629 222 4 1464 2869 1 6579 5133 2 1705 636 1 35 1968 8 12032 535 1 7286 3921 8 11098 74 4 17918 5243 1 866 4572 10 12619 3059 3 7708 367 1 6923 2727 2 8361 5036 32 12956 6637 1 593 1720 1 17500 1737 1 18014 3808 1 17035 206 1 6273 3233 1 18157 1721 1 15969 7427 1 12660 1495 1 7917 3769 5 6502 7240 1 2045 13 1 7456 1038 2 5422 3705 1 7700 780 1 6697 1705 1 10242 1729 1 20119 6150 1 349 1029 1 7774 219 1 16881 3596 1 19169 4377 1 15359 4929 14 14175 7345 1 5319 8141 1 13631 203 81 14409 4008 1 20275 7266 1 7584 3697 3 16647 534 1 6801 526 1 452 7878 1 8881 1995 49 5963 724 3 14080 318 1 15492 1739 3 1879 7517 1 7849 6716 1 1312 6052 1 8189 1637 1 9327 206 5 18014 363 1 8345 206 2 1706 3634 5 9859 1482 1 2272 7407 1 522 8083 1 11500 4995 8 12496 2951 4 7196 2216 5 18619 4307 4 9773 3373 3 13373 2014 1 1273 948 1 2803 1172 1 16997 5737 4 9503 232 2 4536 1464 2 7538 2720 1 413 2743 3 6024 5245 14 4727 292 1 3992 7190 4 11 390 1 10725 1698 1 9037 1819 2 13960 7411 1 11399 7050 1 151 6773 1 7568 7805 1 7769 709 1 12831 356 1 10135 6152 11 8595 3466 1 1350 3262 1 12965 4271 1 48 2465 1 6305 2016 4 14756 3842 2 2243 2698 1 15160 6690 1 7731 5088 1 11912 1372 1 135 6153 1 9604 1825 3 13999 6992 1 19649 197 3 4092 237 7 19655 230 1 15285 5018 2 14114 911 2 3815 1301 1 452 219 2 9188 597 1 17261 1825 4 15192 869 1 11029 1395 1 9715 22 1 17792 7798 1 1378 1991 1 19464 7719 3 343 2511 1 8859 3239 1 13529 2356 1 6165 471 1 9787 5289 5 6408 2248 2 5996 4310 1 11531 206 2 19493 4794 4 2194 3006 1 10211 665 1 10835 173 4 144 200 6 19152 5291 1 113 5093 1 19145 1307 4 14906 1236 1 10300 5903 2 15553 2184 6 5423 7127 5 17587 3645 3 16977 1453 13 10244 3693 1 15314 4059 2 4191 2650 1 9422 1721 1 2147 752 6 7469 5128 2 17950 1146 1 4663 2080 1 4445 201 1 787 10 1 10732 1819 4 17415 197 4 5076 130 1 12384 6142 4 3583 1745 2 13126 5661 1 12088 3896 34 14612 225 1 13 692 8 11314 1373 1 15015 3117 1 17416 654 1 15820 5309 1 5752 3511 5 3015 6957 5 6909 225 3 18357 498 1 11889 863 1 11156 6106 6 2844 222 3 17216 3152 1 7179 788 1 14884 1881 3 10633 969 1 15776 2290 1 5102 1274 1 2606 2675 1 6892 256 3 17802 910 2 15369 201 6 16043 23 1 9308 200 1 8599 1704 8 5097 1938 3 19470 1738 1 12893 200 3 5606 5018 6 8190 5162 4 3395 46 1 15507 1417 2 3685 1252 24 9793 5086 5 16977 6653 1 13813 7248 1 11577 5903 1 11307 4622 7 6010 6701 2 18548 726 1 16457 1091 1 14710 744 1 3841 2656 1 14738 936 1 11678 3862 1 19602 1907 1 6859 2645 1 2322 1991 3 2886 2990 4 14827 6202 1 5350 2699 1 15199 2197 23 7991 1495 1 3406 7821 3 16502 3523 1 19239 1498 3 18140 196 39 19152 1253 2 17274 6421 1 1853 7962 1 6139 1778 1 18610 5582 2 7737 7477 1 1612 1819 3 27 1611 1 12883 205 1 9213 7515 1 18968 237 1 1443 1752 1 18281 5135 1 15826 1395 2 1711 714 6 5255 196 8 16787 3190 25 12641 2831 1 14010 411 1 7306 625 1 2519 292 2 6610 1505 2 14640 4325 4 4472 1819 4 13278 431 2 8271 1779 48 9586 496 4 18159 1416 3 2886 7670 1 14432 6897 1 15151 8051 1 15781 6343 3 8251 1826 10 2143 1250 13 14841 134 1 7172 2543 1 5582 4796 8 1053 580 5 15272 1884 4 9509 4436 2 15635 962 1 18130 200 1 15530 7774 1 8174 871 3 18098 1060 2 5251 2958 1 10328 200 3 10447 2534 13 7039 506 6 15987 1666 8 5471 4045 1 10586 5086 1 4537 4992 1 5515 2233 1 20113 1688 1 18991 8031 1 14307 1220 15 2939 752 1 3301 3945 1 5981 519 1 7291 2760 2 1866 786 1 4688 756 1 2309 1251 1 15704 6777 3 16096 1623 1 1445 3258 1 7708 4203 1 19448 94 1 18332 3895 3 8013 220 1 8506 3233 6 10404 1019 2 12325 910 1 9743 1249 2 6020 2949 4 8083 3316 3 20039 2451 1 17995 203 1 13600 470 9 5623 173 2 1951 4352 1 11964 1728 1 18183 1729 1 1507 524 7 513 4314 1 14522 184 3 5052 2154 4 16090 2729 2 1665 7410 4 1879 1685 1 4093 215 6 3491 6150 2 4057 935 4 14638 1825 1 6158 1709 5 10246 3167 1 12096 1993 1 12862 458 1 178 510 1 8029 206 6 16318 804 1 17061 4688 1 15190 1999 1 5648 3612 1 14825 82 1 2321 1762 3 5368 3588 8 12316 6481 5 3736 6473 2 17652 1728 6 12119 2881 1 10553 374 6 14497 206 1 3861 1775 10 17877 3906 5 11585 3556 5 413 4716 1 4976 1722 1 5628 2355 4 10156 3263 18 11956 520 2 18071 1819 1 6838 623 1 12406 214 1 16591 1827 5 14985 3511 1 13765 1417 1 954 4010 1 12175 5108 2 5572 2633 1 20036 306 3 8045 2248 1 8528 1736 1 2599 1704 1 5140 4022 1 11165 498 1 6183 1829 1 11964 1249 1 12363 1329 1 17023 7206 1 17237 223 16 5624 6575 1 15180 221 1 1864 1474 1 16844 834 10 11583 197 1 15213 1235 2 7804 221 2 4950 2855 1 3928 164 1 15091 3697 4 4804 362 1 15620 4589 1 10123 1357 7 11290 1081 1 16491 3400 1 14578 547 1 14114 714 1 5526 232 16 422 763 1 6554 2556 1 16016 625 1 10649 3512 1 18385 2433 1 15184 4458 9 6808 4293 5 9093 3907 1 17725 5141 3 8458 510 8 13325 7371 5 15233 2013 1 3105 1757 1 5522 303 1 1379 2721 1 13132 856 1 16777 201 2 1171 2673 1 16370 2662 1 7871 4266 4 18408 523 1 19967 194 1 13972 4386 38 9180 2552 1 15310 5332 2 109 4953 1 6055 2355 2 16288 5686 8 3044 284 1 8356 3685 2 5254 5618 1 9836 220 1 12826 3804 1 7790 5804 2 141 6485 4 9954 5517 10 16817 1756 4 13203 2118 1 14921 2626 2 807 218 1 11484 1781 2 15872 4746 2 708 7 3 15750 4248 3 3536 260 1 1852 4435 11 3885 1046 2 532 1247 3 11882 6087 1 858 1736 1 14114 841 1 8888 2964 1 13676 6080 3 2004 1781 1 4052 1729 1 6601 8146 4 19879 235 1 10734 867 1 15932 2477 1 17139 1726 3 4533 1062 7 6672 2056 11 4781 2994 1 6570 2610 1 7515 5062 3 6125 1757 1 1695 1819 1 10114 4996 1 9752 8172 5 2383 790 1 1704 3598 1 17505 2291 1 6512 5121 1 10967 2261 2 14232 2649 3 1045 252 1 18016 4435 1 4056 4306 1 13601 445 1 5043 1818 1 862 4518 5 18533 7271 1 6907 1133 2 10318 1482 5 6884 1752 14 3668 6169 2 10149 1751 2 3365 4436 2 19030 17 3 10054 2423 1 2145 6742 1 13441 6192 1 2255 1373 1 5843 1243 5 2261 7851 1 16589 5566 2 2886 745 1 13244 7461 1 17449 221 3 4304 219 1 151 1740 8 8271 4807 30 3763 222 1 14301 2792 5 17806 3516 11 19649 1728 2 12412 4761 1 94 4322 6 15323 1728 2 17283 1745 1 1638 2563 2 1360 2964 1 17856 380 1 16236 532 3 13323 916 1 16863 3448 13 17995 3421 3 6568 5037 1 10404 904 1 10145 1102 2 3012 810 1 19795 1326 1 11142 982 1 9408 6680 3 14968 5730 2 10575 604 1 4479 1758 1 9465 6244 4 5280 6170 1 17331 1717 2 13466 6155 1 13411 220 5 13430 2555 2 17886 658 1 992 4403 1 18334 6635 10 13634 2485 14 7679 6250 1 5989 23 1 18282 6477 1 19725 7455 1 3835 6692 1 8597 1443 1 7780 3325 2 18385 6159 1 15311 1740 1 14054 1489 11 15509 34 2 12135 467 6 2105 3748 1 1538 206 1 4106 3916 2 8118 3147 1 3550 1072 6 720 4441 8 8230 1363 2 174 2139 2 19352 229 1 445 203 11 17734 947 1 16189 937 3 15468 519 3 15211 244 1 2201 1819 4 15496 229 2 4716 532 2 5886 1877 1 6778 203 16 12484 1982 1 17025 214 1 15405 3516 1 454 1184 5 15193 6283 6 10838 132 10 4417 23 2 4332 46 1 19053 713 1 11388 1946 3 4149 3175 1 7306 915 1 13508 5325 25 19378 1814 1 5993 3679 1 10966 296 1 19314 201 1 8076 7674 1 6956 236 1 8753 7216 1 11530 2363 3 10684 1772 1 16838 6396 1 14147 1730 7 7574 3893 4 21 207 1 14462 304 3 9655 215 7 6036 5909 1 16202 683 2 631 3884 1 19207 470 1 19233 7872 1 2091 4470 1 16027 1193 1 3765 4615 1 7206 222 1 17939 222 1 111 1566 1 1625 6454 2 9705 6341 1 7480 4591 2 12929 6645 1 10933 8037 2 5561 153 1 7109 7565 1 12312 157 1 4870 1482 4 17903 3911 1 10237 1728 2 13244 452 2 15352 8008 1 7483 1965 1 6681 292 1 1397 452 2 53 2572 1 11935 829 1 2332 3275 2 11360 874 1 16137 6058 1 12262 3027 1 11715 2262 1 2803 823 2 7010 1721 2 16346 1757 4 1689 2743 1 10183 1776 3 19100 1999 1 153 7024 12 13684 4446 1 17958 1731 1 4165 4252 2 14438 3180 1 6684 1731 1 4149 2668 2 14434 221 1 19340 534 8 19178 5152 2 10471 3476 1 9531 1703 1 16851 8029 2 7554 1705 1 1700 3516 1 11418 1243 1 1505 891 4 18968 2501 1 2867 7238 3 12128 942 1 8069 1756 1 16098 1932 1 14546 1247 1 7769 6500 2 2980 2488 2 11665 4312 1 4716 1722 1 2803 4203 1 12228 252 1 16346 2009 8 6661 8054 3 13160 4528 2 16725 7994 1 18276 10 36 14722 5480 2 17746 799 1 8830 514 1 5642 1997 1 5591 4986 1 15895 232 10 4314 4784 1 9187 1772 1 2412 1154 2 20169 1399 1 16626 793 1 16916 4022 1 10422 2131 1 11787 2443 4 20255 5442 1 5775 4245 1 2006 207 1 14758 5734 1 74 3425 2 19999 4204 1 19872 733 6 15054 2493 1 13 569 1 2660 883 1 3340 7661 3 19759 3906 1 5657 1965 7 873 4043 1 485 1756 1 6109 4307 1 5395 1946 1 15071 23 1 3136 2648 2 16249 737 1 690 2725 1 18724 506 1 18134 201 1 18747 5018 18 4305 5978 4 1551 206 1 19131 1913 1 13343 252 1 10898 5446 4 2580 5105 12 8714 6945 1 3444 1334 6 8982 225 3 5373 7222 1 6801 1020 10 16039 1359 2 3963 603 10 5778 1537 2 12860 3536 1 11282 5727 1 3704 3427 6 20119 3906 1 3277 221 5 6498 23 2 19828 5018 3 7682 847 2 14361 6268 1 17549 6268 1 18538 3556 1 2758 1731 6 407 3488 2 10754 184 1 8408 4706 1 15365 186 1 11031 7251 1 3206 4435 1 552 2424 1 16373 8009 1 2161 1473 2 3406 5935 1 35 1911 2 10950 4528 4 5449 867 1 18761 1271 5 6459 6702 32 12161 2557 1 2583 183 1 8345 4013 4 15206 858 1 9922 4621 15 86 3930 10 10152 5708 5 3147 2344 1 8378 571 20 12619 6152 2 17450 8170 1 12933 6342 5 7560 6555 1 16730 7527 1 5863 6779 1 6086 543 2 435 6268 3 11115 3711 2 1212 845 1 1276 495 1 7417 4599 1 7001 200 16 2998 471 4 8870 5115 5 419 3888 1 3472 2662 1 5959 252 1 7188 1825 1 135 2989 1 19468 6435 1 11952 3276 3 14929 4476 1 20090 426 3 7985 214 1 6687 437 1 637 5439 3 5444 244 2 14928 206 1 15502 4168 1 13674 1109 1 3886 3522 1 10584 3311 1 18734 1134 1 18462 3557 2 12433 3759 2 11422 240 1 8534 3084 1 5779 4290 1 18187 804 1 12077 3778 11 9264 766 1 14833 1332 1 15429 935 2 11912 1720 1 4734 5519 1 9188 916 1 12236 6588 1 15812 929 1 15429 1416 2 9913 2671 1 3322 3972 5 9250 673 1 6323 2096 1 7653 4274 12 11801 1755 2 14 982 1 13373 474 1 7670 4458 1 12837 4303 2 16857 1762 3 11183 335 1 9825 1357 1 12009 303 28 17361 6993 1 18132 2012 1 9672 7229 5 18766 5826 3 314 1703 1 7375 4914 1 9869 3132 3 3581 525 2 16229 910 1 16694 78 1 13041 7883 7 12514 3147 4 6339 6892 1 16700 752 1 5943 1289 1 4929 7830 2 10198 6321 3 12322 1482 4 9572 880 1 3668 5859 2 18413 2353 2 10132 1539 1 4714 2369 1 6420 371 2 13029 3840 1 12998 5020 13 7608 3615 25 20226 221 5 3221 4019 1 6367 692 1 16102 5271 11 8016 1038 3 7069 3920 1 14694 4980 1 2154 173 7 20 1328 1 14362 1717 6 684 532 2 14892 2649 8 7741 1751 42 9861 4404 2 14507 2737 7 17102 214 1 18428 545 1 3056 7844 1 14284 4020 1 10821 862 1 9427 396 1 62 2996 1 11544 4029 7 7758 1464 1 15608 8213 1 13729 8091 1 16648 5444 1 1451 867 2 17121 336 1 9319 12 1 12705 501 1 14153 4612 1 18120 4303 1 16797 7359 1 14522 4817 1 10591 330 1 10807 2480 1 18937 2044 1 4960 864 1 1319 685 1 15540 8017 2 1600 1990 61 14372 2889 1 6314 401 1 6517 1736 1 5365 1909 1 127 5764 2 2189 224 1 14686 385 5 16768 1007 5 18212 3556 1 4815 2480 4 3331 1382 3 14010 2710 4 19990 214 3 9945 1363 1 7670 846 2 16887 1238 2 4173 2488 1 1883 1990 2 8496 2829 1 1620 6073 1 17 1215 6 1430 203 4 5773 4549 2 15688 3399 1 664 2515 1 16087 5495 1 11480 2676 1 16978 4435 3 18546 786 1 19671 519 1 10693 1105 1 7306 595 1 14740 206 4 4092 5082 1 16184 837 1 17743 6242 1 6335 765 1 13638 1282 1 3326 871 3 997 5495 1 13046 173 1 6592 2737 3 1198 532 3 9776 963 1 18633 2426 3 15495 5253 3 19612 169 1 16036 4963 4 9656 558 1 19886 1464 1 11853 2559 2 8132 3714 2 333 5473 1 4706 3747 1 127 654 1 11611 6219 3 889 722 2 18982 1721 1 10832 2549 2 11416 1714 1 11502 718 1 11533 570 1 16491 854 1 17314 35 2 3505 1235 1 19880 5674 1 652 4761 1 12375 5120 2 3237 7162 1 5374 7634 1 2448 4508 1 11895 1342 2 828 3511 2 1727 7831 1 6312 1703 22 9435 1804 1 1609 235 1 13169 3117 1 15943 550 2 19567 499 1 9922 3247 1 2905 1913 1 16249 438 1 10011 6682 3 14362 1395 3 7562 1587 1 10404 420 1 9253 6753 1 18526 225 11 78 3531 6 20225 926 4 19722 223 9 7604 74 36 12182 2253 1 3895 4640 2 1886 1768 1 18939 3949 1 19833 7525 1 20089 1851 1 9803 1311 4 15345 2676 6 9861 1495 1 1283 4433 1 4615 2633 5 6418 1249 6 15852 4953 1 7121 190 1 12196 4215 1 4092 1665 3 13402 270 1 15726 325 4 12454 1752 10 7683 1770 1 19713 1399 3 9859 3326 3 16141 1342 1 12007 221 1 5631 691 1 3407 3483 5 19504 5350 1 19737 1395 6 1905 409 2 14968 8060 3 10876 1707 1 5172 2743 1 13126 690 1 2377 785 1 12427 3911 1 12375 657 1 10227 5686 1 7309 221 4 1747 3367 1 2803 426 2 15468 8183 55 11428 3511 12 12290 1105 6 6183 207 7 14053 6125 1 9672 1489 24 992 219 2 20076 4448 5 4859 411 6 15935 367 3 3801 5206 1 15817 1555 10 9541 891 12 9978 5817 1 17589 2146 1 1064 5018 3 10759 5071 1 5601 3433 2 14174 7522 1 13234 206 1 10377 1736 2 15909 1353 1 633 6209 1 12934 6100 1 5819 1341 12 7363 4397 1 13461 1243 1 927 4017 1 6684 5586 1 10786 7050 1 18012 3698 6 3397 746 1 19768 7963 1 3609 7402 5 8868 5702 2 4716 1363 1 17664 2626 1 17382 2853 1 19486 3356 1 10160 197 2 3851 4245 1 4262 5817 4 16388 2360 1 16939 2691 1 873 817 2 2985 885 1 2087 205 1 11011 5470 21 9868 2514 1 6166 379 1 7682 962 1 2560 308 2 13241 4245 1 14663 1363 1 18251 1280 7 19193 4467 1 8606 3798 1 7769 156 1 5661 2792 1 12766 5000 1 12168 5597 1 4554 7357 1 6961 3338 8 6612 221 1 11354 562 1 19846 1727 1 9283 203 3 3619 6591 1 7868 1234 18 12350 3648 5 9288 6410 1 14708 482 2 6966 1062 3 17387 23 3 3814 5995 2 3681 545 4 10224 1978 1 2334 861 1 2935 1121 16 11207 382 2 7437 2488 1 12706 891 12 2910 4597 3 7994 6082 1 13140 7506 2 8417 3233 1 8665 378 4 7893 1307 4 10591 7359 1 10931 743 2 13806 252 1 9480 4950 2 5023 1721 2 11499 4266 2 14558 2768 1 1344 229 1 11857 498 1 5075 3844 1 17388 4459 1 16839 200 5 9982 4245 2 18231 501 2 17009 891 3 4223 206 1 1647 5439 4 17986 4617 1 15775 561 1 2194 3373 1 15993 82 1 2332 8192 7 5207 304 2 2992 95 2 13916 4124 1 135 335 3 8174 863 4 4519 1776 1 4429 6622 2 3337 944 1 5847 200 7 7840 5003 2 12660 6268 2 9702 5775 2 7726 3503 7 20180 10 1 1113 3792 1 13436 3554 6 7943 229 6 4863 2549 2 5196 3453 5 10155 4992 1 12104 4267 1 12491 3334 1 2653 800 1 11616 1310 1 16588 2459 1 9638 1275 5 6028 2691 2 15122 745 1 2772 6776 6 12162 4774 4 7308 235 2 4498 7474 2 5599 6197 5 10038 3916 1 9759 1147 1 4549 23 2 7780 2877 1 12205 23 4 3130 1590 1 18545 411 4 10700 6423 1 19957 2511 12 11430 1764 1 9528 200 26 6208 2697 4 1506 214 2 8833 2753 1 18546 6561 1 8458 3899 1 19608 4242 1 8661 2831 1 17635 220 1 873 3608 1 20 1250 3 10684 2584 1 3446 6414 9 9050 4411 2 16834 1743 2 6930 7161 1 10333 1751 1 15146 2096 9 6690 2620 8 17250 7574 1 14037 603 1 11562 4909 1 10223 3255 3 7034 498 4 18661 4610 7 8610 7229 2 14298 6756 1 3591 2064 1 1747 629 1 4896 235 1 13604 214 1 6517 6617 1 19176 308 1 12817 2369 4 3924 3838 1 13994 4572 1 11674 1751 1 7968 1190 1 1432 244 1 11334 7643 1 1363 6648 2 62 2789 1 8793 2146 1 7615 7925 1 1506 2673 1 4361 470 1 45 2343 1 10730 7915 6 14951 5332 1 16094 334 3 1171 4065 1 8018 314 1 7432 514 1 16148 2698 1 16067 1771 1 10692 588 2 1206 482 1 1969 5349 4 3551 23 1 9170 3422 1 20118 757 1 9721 1083 2 1698 2646 2 14948 4012 10 14305 841 1 15103 6132 11 319 7259 2 5417 855 4 11463 4789 2 15414 2097 1 9947 926 1 2391 743 1 19611 2916 1 4826 3970 1 6724 4620 1 10146 952 1 10525 515 4 15100 3547 1 12521 926 1 3376 203 24 7789 7413 1 13363 823 1 5023 5516 1 16681 502 2 1060 23 5 17180 5105 1 2070 6682 3 1465 1677 1 6228 748 1 3167 5758 2 18883 6495 2 14566 611 3 14854 3742 3 8863 3171 5 12545 1342 1 14206 1743 16 17809 5804 1 6510 1100 1 8439 536 1 6767 1687 3 2563 5090 1 15098 7477 2 12128 2641 1 12319 261 1 11172 6714 1 330 6866 1 15629 548 1 14900 1726 1 598 874 1 177 6341 1 2174 1769 17 16543 3476 5 10452 7206 1 745 7797 1 3768 2392 3 2284 2006 1 13165 6080 2 13374 1305 1 15926 1726 10 10193 541 1 5994 1721 1 9967 1764 2 8051 2138 1 17290 2880 1 5986 1685 2 14301 7512 1 944 6242 1 4257 4949 2 6415 3492 1 12490 136 1 15599 2237 1 3085 2981 1 14522 1731 11 18140 510 12 17009 1466 2 6218 1121 1 9274 2635 1 17259 7822 5 3178 3876 1 16947 6135 2 9453 201 13 11988 1539 2 11406 210 1 2629 1658 1 95 4344 2 13928 1040 1 17650 1374 4 18795 5531 1 9398 4258 3 8966 1781 1 7943 514 5 18174 6152 1 20052 1714 1 18309 3511 1 2237 7512 1 12220 6706 4 4277 4204 2 15 985 1 13986 3572 3 11471 3322 1 17477 6341 1 18421 206 3 942 184 1 19509 1779 2 12042 7815 7 1223 4980 14 1571 201 1 14025 1374 3 12856 7886 1 9351 1453 1 18462 714 1 16671 3238 5 19296 4011 1 11533 4555 1 6704 1758 1 18613 4275 1 13321 2355 1 10078 2897 3 16960 1868 1 8925 1359 1 9224 857 2 5977 1755 1 18518 5139 1 1865 2998 1 171 7827 1 15278 1244 1 421 219 1 10060 206 2 7258 4232 1 6161 6053 2 9208 4723 1 5218 1825 1 13417 4056 1 4046 525 2 19790 3007 1 11990 707 2 14837 1238 2 19740 558 2 5416 2443 1 1328 1374 1 6818 1379 1 20090 1395 1 18973 1710 13 13234 1250 7 6211 1238 1 9527 6341 1 13619 84 2 13881 2064 1 417 1561 1 10103 1373 1 12337 1244 2 2529 920 1 9797 4803 2 14273 95 1 6689 7408 1 4850 6380 1 20215 4157 1 16916 230 1 14774 8141 16 20184 7272 1 611 3913 1 10670 1450 1 11091 252 1 14301 3011 1 16740 2384 3 12984 1718 1 10973 164 4 1607 7350 1 18893 4905 1 12859 533 3 13409 7975 1 15479 949 6 6610 3788 1 11531 5486 1 5260 222 1 2806 1788 9 13970 831 3 5952 84 6 10756 2262 1 11023 8200 5 9671 215 2 13821 533 4 18331 240 1 45 207 2 3324 1715 3 1229 878 2 12440 766 1 13461 1374 2 18524 7410 1 18712 7857 1 92 1150 2 4452 1404 15 7605 891 2 18040 1658 14 65 1995 2 1045 220 2 3972 4946 1 12219 3967 3 18284 6064 2 438 232 4 4092 214 6 10168 1695 2 17995 2742 17 1832 4616 1 13358 203 40 11751 2016 22 5337 3556 12 14795 224 1 14677 3872 9 7179 927 1 12117 3288 1 7065 3808 1 2083 1819 1 5108 4998 5 5868 4462 1 11848 1827 1 12777 7044 1 14629 366 1 8182 7815 3 7670 839 2 14746 205 2 13437 303 2 12008 23 2 10476 934 2 10593 222 1 18592 699 1 16158 702 8 18847 3058 1 4977 1235 17 8828 1789 1 174 7990 2 5253 863 1 7243 7657 1 2308 1827 2 13458 5077 1 4262 5281 1 19273 6526 1 5972 5482 1 5494 6031 1 4130 3024 1 10223 5328 1 4749 1610 1 13640 1251 4 9281 5287 2 18320 1655 3 6229 5513 1 9891 1334 2 10092 2014 2 524 199 1 16137 1819 1 17505 6714 1 5801 1239 1 4277 244 1 14877 6068 1 18488 2542 3 17210 827 1 4667 5130 5 10913 8171 2 15712 1237 1 14758 2089 1 4787 4933 2 2917 921 1 7919 4242 5 18895 3167 1 12361 342 2 3356 6779 1 4072 7521 2 12514 1363 3 14446 1762 3 16517 7431 1 6332 1369 1 10088 201 1 14921 1772 4 7745 203 3 2716 1686 1 1511 23 1 14427 7522 1 7184 1244 1 279 6225 4 19878 2259 7 9340 7850 1 7587 3255 1 12217 5341 7 812 2729 1 110 235 1 10244 541 1 1816 4673 1 18546 880 5 18965 201 1 11058 2048 2 745 1237 1 10479 3167 1 10494 7601 5 17298 6677 5 13371 3045 7 16612 4379 1 21 1385 1 10999 8031 1 6907 382 1 10450 5409 1 5281 4156 1 10973 2729 2 17677 215 2 11455 4845 1 17886 3011 1 20085 521 1 18188 3909 1 1120 5121 2 10803 1252 2 5522 1677 5 19532 3294 1 7604 1251 2 2855 1656 1 12064 6534 1 16548 4582 11 16140 1366 1 18893 3760 8 9195 1146 1 7684 3168 2 2414 1423 1 14861 6158 1 2384 726 2 14221 4104 1 7556 3180 1 18773 3380 8 17436 4567 3 15387 6152 2 11442 2852 2 7800 6553 10 16180 861 1 8930 8221 3 11417 550 1 10297 519 1 14758 2495 2 17896 8157 1 171 7748 1 14359 385 1 2734 6756 1 15412 74 1 18544 372 2 289 7427 5 2957 6278 2 5128 5020 3 4712 2499 2 11294 1236 2 7000 6713 1 11380 2369 1 174 8121 5 6802 6799 18 6644 234 1 4053 5631 1 16746 3699 1 1445 4314 1 17735 3216 1 4924 1253 3 10447 3909 5 13547 2341 1 5378 5018 10 5775 223 1 6178 8109 3 16548 4245 32 3581 3569 1 11690 2979 2 11339 1748 3 18809 5304 33 12167 1307 1 10309 6515 1 4814 2829 3 7577 2254 2 18784 1100 4 11367 4582 7 2377 790 1 18413 1298 1 1035 4724 1 6119 1783 3 9322 5286 1 16568 657 1 16149 2494 1 19303 6331 1 4357 4996 2 14544 2082 2 3996 292 10 13126 393 1 12690 724 2 17478 3903 2 6661 1302 52 17233 1241 2 19624 6607 1 12332 258 3 17685 4963 4 1691 190 5 874 1721 1 13579 2853 2 9954 4400 13 4183 3389 2 13097 165 5 4124 3522 11 10650 7632 1 17738 5342 1 14839 1244 4 15230 222 15 1481 520 1 7820 7980 2 3581 1703 2 3505 200 1 2397 7355 1 18154 690 1 8991 684 1 9332 1195 1 19182 7188 6 18516 518 2 9743 1237 2 10553 3405 2 8109 200 1 17472 467 1 1443 863 1 15896 3081 2 19486 6481 10 11327 5999 1 7197 6200 1 3613 1250 5 7664 1287 8 11585 1724 10 6397 1253 3 2816 6363 3 1937 974 1 15993 629 5 94 4239 1 12789 957 2 10879 6152 2 73 822 1 4603 863 1 13 878 1 17431 8026 1 15509 496 1 12817 1686 2 130 5864 2 11895 1239 1 8129 3230 2 12244 1872 2 4124 1893 5 7186 541 2 9680 425 2 8514 460 1 3649 6756 1 20263 1498 2 3936 3911 7 11036 344 2 11554 3900 11 16063 6667 1 10517 4791 1 1615 1732 2 17734 646 1 5705 6705 10 121 5279 5 12660 766 2 12758 4118 3 3188 1829 28 17342 7524 1 5986 4266 1 17335 2102 2 12532 1249 1 7281 2570 2 2408 3113 13 12659 2565 1 17850 4312 1 11084 5451 1 13516 1593 2 19951 196 4 9663 2691 4 7568 2849 3 1852 509 9 16243 2148 21 850 1395 17 11 404 1 9438 4890 1 15471 2641 1 8361 303 1 20191 625 4 3153 361 1 7652 7800 4 18792 236 1 9275 7999 1 19626 3048 5 7441 3666 1 13906 517 3 19025 1695 4 8527 1407 1 19975 221 2 17141 2970 1 15909 2016 2 15811 1244 3 19924 5348 1 1689 2367 1 15405 2737 1 5424 2504 2 19833 453 2 14839 2104 1 19811 203 1 15722 2357 2 7585 4069 3 18610 5597 1 18162 6710 6 5848 1169 2 9728 2415 1 4498 2639 1 7197 1395 18 9930 214 2 19241 720 1 2133 1665 2 14433 642 1 7780 3329 1 10306 4967 1 2738 5337 1 15449 505 2 4189 952 1 121 3349 1 5807 2352 1 9063 229 1 14278 6772 1 11336 5433 3 11938 6113 2 17509 1670 3 5639 870 3 10377 1781 3 15996 498 2 5258 132 1 9836 702 1 16453 10 1 4218 7359 2 10573 4179 39 10576 7351 4 2855 776 1 8419 1769 1 8021 536 1 841 2208 1 16090 7731 3 14117 502 4 3889 4435 1 11786 1768 7 1043 7470 1 2377 6719 2 7565 4351 8 3513 1728 10 1384 1710 2 4691 512 1 17456 4807 2 7999 390 1 19220 1717 1 8426 5368 17 5252 1727 5 9322 519 3 19182 891 1 12753 5686 2 20181 3542 1 13865 201 2 11953 6286 1 18617 6053 1 19781 4392 1 3424 891 2 4587 3794 1 4467 219 1 17675 6341 9 6570 13 6 4991 221 4 11069 151 4 11656 1825 6 19241 23 1 15896 3593 1 4383 3425 1 1399 292 3 5217 1271 2 8557 716 2 11196 2068 1 18367 2578 31 14330 1363 2 19635 2355 2 4946 498 1 3150 207 5 10145 1111 3 17400 1338 1 12558 7474 1 11344 3216 3 8742 3163 1 1849 1070 2 7432 2860 2 14230 2678 4 18755 853 1 1050 5036 1 10462 2951 2 868 3947 1 14330 1357 2 1513 3798 1 11697 2982 3 14839 3710 1 16020 1729 4 6144 2004 1 406 2131 1 12817 2981 1 12726 1395 1 781 3882 3 19302 1244 1 2313 2132 2 3420 510 2 3536 4403 2 4460 514 3 12543 532 1 12026 2883 1 13676 1706 9 17468 3411 2 10009 942 5 19782 6027 2 4687 1508 1 15608 411 2 11357 7045 1 19331 1769 1 13997 6051 2 15970 7947 1 8579 7232 5 243 2680 1 6269 5098 2 5212 6537 1 6110 5996 1 3882 219 1 18033 6640 9 19178 5413 1 18494 2378 1 10360 74 1 11987 6342 5 6479 253 1 15422 3073 2 17416 5315 1 11386 796 1 5520 4825 23 8594 5420 2 1108 206 5 12004 498 1 10953 200 1 3030 228 2 6104 6065 1 12453 6252 1 17448 4490 6 17719 200 1 2674 1996 1 6153 229 8 16497 7216 2 6630 1439 1 19210 2016 1 8930 3600 1 19006 2632 3 16204 1235 1 15669 638 2 17298 520 1 17462 166 1 18805 8139 3 6914 6568 1 13721 3663 1 11806 4285 1 13161 3181 2 6573 2216 2 12117 3638 2 5251 2089 1 10145 6031 1 18026 532 4 6535 2118 1 11422 656 1 7147 467 5 8192 336 1 3131 196 1 7269 215 1 11252 4614 2 10772 3667 1 5048 6532 3 10105 236 1 4960 8096 16 2277 1341 2 17618 1727 1 3473 1981 1 10341 206 3 8906 3621 1 11418 888 1 3854 2534 1 13946 200 7 10709 2649 18 18628 581 8 18408 200 1 4307 200 28 17110 519 5 10201 1374 2 13995 3885 3 10236 2786 1 18071 3635 1 6502 1724 2 13908 1243 1 12709 1819 2 19 1263 19 19380 4277 1 12933 220 2 6588 3301 3 6001 4245 1 6429 1809 1 6535 3961 6 12480 1357 1 12170 6107 6 12757 4937 1 12364 1738 1 12361 811 10 2102 7491 2 19820 4288 1 11489 7422 1 14493 1819 1 16367 1782 6 7974 5294 5 10912 403 1 1694 4998 2 8597 1208 4 1008 411 3 1377 6537 1 2274 3819 1 14350 5496 3 2885 232 2 16249 1417 1 17088 1275 1 8746 690 5 8097 5077 1 8641 4386 9 12974 4118 2 16538 3414 6 9745 3203 1 19179 1743 1 15676 196 8 19870 3329 2 18049 3340 2 847 4013 1 14957 2013 1 7990 6031 1 6755 1739 6 10789 7455 2 5685 3410 1 7574 4653 2 16240 2584 1 6144 1035 1 9269 2378 3 692 2488 3 12949 1741 1 35 1922 3 8994 212 1 9456 519 2 12079 2542 1 1631 4073 1 11122 845 4 17962 7466 3 4631 6682 9 9927 5020 12 17257 3895 15 9638 1995 5 7580 1819 3 2312 541 4 20123 5490 2 4614 5251 36 11049 1747 1 16176 2552 10 9652 763 1 3073 6190 1 12049 6230 2 14253 4479 1 13490 1145 2 7184 4956 1 17317 3056 6 12337 1771 3 1386 1251 1 3342 190 1 5270 7124 3 1875 1539 10 18195 718 2 467 201 1 10213 6204 2 9857 3377 1 19316 319 1 15318 1275 5 11813 4603 13 12175 4996 3 7017 882 8 7308 4656 2 13740 2980 3 13486 2691 1 13187 8111 1 3951 1771 2 1138 214 1 9293 650 1 18069 225 2 7403 6192 1 4736 2772 1 4950 7308 1 2729 880 2 4841 173 2 7175 3059 1 2291 2506 1 17347 1090 10 15025 3284 1 16288 2248 3 13195 2863 29 4565 1464 7 10782 6018 1 8340 575 1 18724 2649 2 6892 816 1 16168 4262 10 1609 3684 1 18921 2167 1 15728 5824 2 13570 4517 3 1021 1613 1 10689 1747 1 15879 4922 1 18737 8194 1 14599 778 1 5954 3512 80 146 6695 1 4660 10 10 2885 1883 1 889 7437 2 18730 5903 1 17547 4724 23 13522 7229 1 6934 654 1 2145 2265 1 10117 374 1 17843 4204 1 11898 5592 1 5319 863 2 11757 3167 2 9267 2392 13 18721 4104 1 5281 230 2 3461 1724 1 3236 715 2 7088 6155 3 3668 3853 1 8198 5909 10 162 5105 1 8636 7217 1 11766 128 2 20128 2737 2 5479 765 1 13171 823 1 35 1935 2 10313 482 1 3031 175 2 16142 4321 9 4749 1707 2 19406 1783 1 14641 1812 1 19872 482 3 19465 190 1 11076 2632 1 4869 3327 1 3940 785 1 3721 220 2 8440 498 4 10060 1721 1 4305 898 1 873 8026 1 154 7127 2 11574 1731 1 6686 5873 1 5032 2721 1 4663 3050 1 8526 4660 5 4312 23 1 14145 6341 9 14561 1400 1 15454 1238 2 15059 1748 1 5972 5470 1 4460 220 2 12312 523 2 7432 165 19 1591 5582 5 115 5169 1 1689 7083 1 9753 899 1 879 191 5 13 951 1 11375 3012 1 6403 2071 1 16853 3447 5 16590 910 2 12262 411 12 9916 7461 21 14745 1363 1 17258 220 1 5959 6537 1 6183 1658 1 15069 1965 1 403 2478 1 10817 7597 1 12711 674 1 5214 206 4 91 4112 1 12684 1985 1 12112 252 1 16816 5513 1 18947 4946 1 6221 2191 4 5132 7215 17 37 2003 1 18634 6968 1 17372 385 1 13262 518 2 1488 222 5 3485 219 2 7261 525 4 19672 1286 1 10382 1244 1 12247 519 2 18275 8184 1 9341 5313 1 20193 6993 1 16604 23 2 18271 201 1 1589 1150 1 9970 1126 1 3739 539 6 17984 2768 1 12894 3203 3 17793 5567 1 18793 215 3 10486 659 55 5117 553 1 13797 2881 1 4519 2360 1 17585 1303 1 5567 4739 1 14087 156 1 5449 3493 2 17449 3432 3 18198 4363 2 7956 5468 1 17966 1717 1 2847 2710 3 15617 1342 3 4749 5821 1 12772 864 1 18204 2549 1 835 1881 1 2079 3357 2 15932 1371 1 10730 4427 1 2740 4996 2 13623 6500 1 54 2579 2 2405 219 5 9967 1755 6 12113 4796 1 19692 2535 2 10879 200 5 4583 505 1 14800 5294 1 6878 3220 2 94 4270 2 11445 4447 2 19901 495 2 18066 7807 1 2352 7237 1 16929 1282 1 17496 738 1 11766 218 6 5401 237 1 7916 203 15 18613 7396 1 11354 5462 1 10879 6680 1 1135 222 1 5312 410 1 3677 624 1 17364 4623 2 6603 2970 1 13813 2994 2 3523 7750 2 19182 2552 1 11072 4387 2 745 1737 1 18133 3065 2 14221 206 1 15739 3429 5 12817 2504 2 15530 6793 3 11072 1251 2 12502 229 1 12759 6102 1 15599 5768 1 13581 1644 7 4621 3534 1 4309 4998 5 8889 1440 1 18646 621 1 6515 4615 1 9747 6363 1 15398 780 1 11858 498 1 247 290 1 7474 200 1 6420 4217 4 17605 2599 1 5039 201 32 4810 1663 1 7652 1251 5 15804 411 5 18876 765 2 4170 7571 1 16315 7695 2 115 5191 1 974 2260 39 10647 6714 13 2973 215 1 9228 7428 2 16902 194 1 8198 5327 1 1133 2307 1 6246 4131 1 16625 8191 1 15101 23 2 15969 1781 1 16029 6665 2 236 1303 3 14478 1876 1 4880 7533 1 9883 8026 3 1904 46 1 16491 57 1 16938 2555 3 7550 6551 3 2126 821 7 2738 8072 1 2454 3639 3 17633 3627 1 10544 316 1 13986 5604 44 11882 1614 2 8735 2109 2 4018 1 2 7392 6065 1 12331 6527 1 2146 3602 11 8434 8083 1 580 6486 2 6533 4259 2 15411 8146 3 17820 1825 41 12118 525 1 19850 3023 1 6063 7399 5 9792 5310 3 19321 4563 1 14145 5081 3 13670 5887 1 3726 637 5 10366 7222 16 6587 6027 1 10068 8196 2 12970 6053 9 12777 1094 3 15230 1342 16 8405 1764 1 7385 7719 1 4876 4266 1 12984 2292 1 16676 7602 1 6461 1722 3 4460 518 1 1959 4708 1 19972 132 5 2797 3884 4 18886 232 1 8317 184 4 4954 6714 1 6317 529 4 6038 2749 1 6776 13 5 5623 1184 4 18875 193 1 5677 5274 1 5049 768 1 6690 602 4 1575 7859 7 14727 8145 1 2236 3113 1 11 469 1 840 2368 1 17447 5518 1 10147 867 1 996 2686 1 1904 5758 1 19241 4367 1 745 6355 12 130 5852 2 9566 3399 5 9841 1508 3 4867 7231 1 2002 229 4 12142 6682 2 10354 1995 1 10828 1781 1 19267 629 1 19186 203 1 12936 1692 1 8174 4403 6 8793 558 1 10161 2995 1 7003 1770 4 9517 3081 1 14036 6534 1 3070 6106 1 11399 3741 2 13023 3881 3 3683 411 5 1636 8013 2 11845 205 1 3432 1287 1 18623 156 1 11580 1573 1 16102 230 5 873 1085 2 4092 2109 2 1744 4470 1 2583 1965 1 1016 4550 4 6463 423 2 10844 203 11 6749 1995 1 12517 759 1 10862 2815 1 19820 467 3 16412 2268 1 20180 1239 2 1469 4245 1 10502 2383 1 15806 165 1 4350 6418 2 2410 3 2 13777 6169 1 19428 1267 2 18893 6700 1 9687 2617 2 5431 6720 2 14219 3913 1 17426 7244 1 873 2869 1 18874 3997 2 5773 4211 1 4294 2727 2 19659 3150 1 18724 3869 9 10088 7259 2 8547 4670 2 2654 3164 1 1188 318 1 2557 6680 1 17376 6306 5 14429 2581 1 16234 1352 2 19385 182 1 3825 514 4 10323 5543 5 6521 2480 1 13 734 1 1963 7407 1 13543 873 1 3397 603 1 14770 3050 5 9628 694 1 15849 4498 1 9546 505 2 8198 3142 3 11968 5018 16 7208 1304 1 5247 7350 2 11212 1606 5 13267 6311 2 8570 637 1 35 1896 1 12971 1499 1 12739 1304 1 14357 1713 3 8665 5404 5 15159 2876 1 18307 5054 1 4014 225 1 20227 2343 1 10392 206 1 11082 3697 3 9773 6414 1 18691 7131 3 9270 2542 2 4488 7168 1 14773 1760 2 4965 3367 3 1840 4903 1 2891 201 1 10245 3639 2 373 1124 2 11374 6603 1 749 1829 18 12879 1453 1 18889 5565 1 8135 3869 1 5102 1290 3 11947 4245 1 3431 5018 1 16390 1728 1 7344 5016 8 7685 1212 3 19023 5467 1 19833 2004 2 3696 6482 1 1072 1757 5 6942 2571 1 16732 876 1 12595 2357 1 6869 575 2 17850 94 1 10720 6169 7 3902 2360 2 18428 2933 1 1436 3853 1 12630 2878 5 4963 1757 8 12807 1698 4 16470 4195 1 14283 7371 1 4779 5390 1 2470 1247 7 11384 197 1 3015 2595 1 17662 3230 1 3481 2646 2 18887 23 4 14016 4081 1 19727 6687 1 6630 7805 1 15086 6396 19 17514 1286 8 4026 2376 1 4210 6597 1 9188 3491 8 11987 214 1 15670 1557 1 5793 219 3 1774 788 2 11039 23 1 2375 3206 5 7097 505 1 8588 3620 1 18924 6698 1 5692 1401 1 19131 1043 1 19560 5542 2 16684 2009 1 17966 952 1 11422 1250 1 11663 944 4 6656 6897 1 1167 1573 1 12837 1290 1 5725 666 1 15778 809 2 6350 5099 2 12825 6202 11 15211 840 1 8747 3152 3 3358 955 1 6690 1342 5 17454 651 1 2310 676 10 5124 3556 1 7804 200 6 7029 1190 1 13126 320 1 2432 681 1 8853 3231 1 10152 225 1 7203 1757 1 6032 7136 3 15608 1779 5 10145 263 5 2834 4582 3 921 7304 1 17298 1825 5 20148 3389 2 3570 339 33 14416 4386 3 12853 4246 1 10597 3391 1 2556 244 1 8494 1416 2 13995 197 8 19093 4774 1 11428 1764 1 10018 1926 2 14532 4266 6 18526 1719 1 16861 3599 1 7065 8029 1 182 8194 6 126 5586 8 4301 8026 2 15968 7512 4 3117 3512 1 2995 566 1 3062 5800 2 3507 6268 3 15932 528 1 2410 1253 1 9275 4325 1 14623 6491 9 13462 46 14 4400 7815 3 1941 1321 3 812 4435 6 11996 1252 1 19495 4600 2 4063 1194 1 6402 6541 1 2386 2639 3 8891 223 1 4440 3957 1 10914 1770 2 4822 219 2 14053 7101 9 15712 196 3 11714 790 1 14682 6342 7 14037 235 1 14023 867 4 390 6394 2 12988 2352 1 20005 4202 2 19899 1416 2 16725 997 6 18095 1439 1 18725 3393 1 19972 3823 1 3118 2935 1 11416 1727 7 7361 6641 3 5004 5266 1 8392 6283 2 1009 6053 30 11798 57 1 1013 220 1 10693 3155 2 11057 235 1 8489 2437 1 2182 1124 1 4708 1705 1 11327 4363 1 19136 1747 1 19601 5339 2 15117 7120 1 17313 528 1 12049 7367 1 18637 3155 2 11461 1726 1 14728 207 1 11200 1751 1 15097 524 1 9534 3239 1 3459 7837 25 6188 1251 2 7783 1761 12 15131 6011 5 6287 2071 1 2651 2944 15 5544 2360 2 14540 532 2 16788 2565 7 14818 203 5 14666 5677 6 180 8199 2 7275 448 9 9891 1237 1 7397 6084 8 3085 2508 1 14181 1635 1 1933 6570 1 7017 3236 6 7774 235 2 2911 5258 1 12255 634 1 19241 440 1 6550 6185 1 10910 1099 1 19863 7772 1 7760 6085 1 14320 1911 1 16308 7980 1 14577 3220 1 15939 2930 1 10064 6704 2 8375 571 1 1715 5480 1 8608 3135 1 2480 5594 2 9199 745 1 20112 4436 3 10670 1706 1 4583 292 2 5380 4427 1 11964 6152 5 7611 7213 1 10033 7824 1 159 7225 6 17 1114 1 14305 801 2 17823 2770 1 4936 4141 1 14053 1775 1 19458 7806 1 10341 1244 3 20007 4314 1 6806 411 5 5720 6186 1 1223 7884 1 14350 164 1 5903 5555 2 9453 719 2 11852 3600 2 3849 756 3 18885 2746 3 6473 2626 1 4541 5999 1 1872 3909 5 10633 532 1 19414 2666 13 2461 6252 6 8083 5522 3 15250 1748 1 14753 339 3 7610 718 1 331 1721 2 19160 1739 1 4147 762 1 748 1987 5 10826 892 2 59 819 1 4706 2569 2 17389 2692 2 15214 604 1 4279 1034 6 17631 1248 2 4498 5327 2 5449 659 1 9586 4977 6 18862 4366 1 6348 950 1 686 1772 6 17897 4339 2 7963 6100 1 5453 1374 13 16505 23 5 14845 2555 1 7306 752 1 9395 355 1 15732 1105 26 14632 2939 1 3561 221 2 471 2581 1 1602 188 4 7065 2517 1 11757 3900 10 18220 5737 3 5860 225 1 17995 779 20 6131 2569 22 5452 6031 1 17645 1775 3 6712 765 1 121 561 1 18033 2424 4 9699 3622 3 7226 303 9 5331 997 1 6044 844 1 5310 770 1 10730 219 2 15722 1357 1 18510 1727 2 23 1431 1 20218 1729 1 7452 804 1 11616 3007 1 3533 8045 2 10007 1764 2 4935 1055 1 14724 383 1 12725 70 2 8554 368 1 9406 1333 2 11100 3671 1 16928 292 1 11111 510 1 16689 1359 2 7184 1784 1 5142 1752 1 15648 221 2 10422 7554 1 6130 737 1 18725 5417 1 10556 6268 4 13115 1342 1 1864 1548 1 18089 5486 1 9322 1718 2 3043 5543 3 1781 6068 2 233 6500 28 14180 2261 2 10720 5398 1 13025 2586 3 4393 1296 3 4841 1357 1 10404 3747 2 11915 4435 2 19438 6150 1 10242 219 2 15430 1951 1 7560 4601 6 130 5819 1 13758 3414 4 17372 7597 1 11591 873 1 3168 4618 1 4498 126 3 15939 693 1 299 1234 10 31 1745 1 8408 496 1 4386 4538 1 15548 1726 1 3963 1238 1 9865 206 2 18145 3027 1 2598 2556 3 15100 615 1 5056 1975 2 3309 501 1 126 5632 1 16619 4963 6 15726 1245 12 7409 220 1 4386 1076 4 4183 3368 1 15671 5792 6 8260 874 1 11451 5966 1 12412 835 1 14402 1644 2 7231 534 1 14258 353 5 8523 411 1 17937 1117 1 8280 1760 8 5478 805 1 5597 3946 1 15504 2118 1 15812 8126 1 11932 1726 5 7319 6170 1 18553 222 4 16969 2678 1 5613 2917 1 7806 6058 1 7916 219 5 159 7244 1 18465 2442 3 7133 1332 3 1887 23 1 18698 4653 1 113 3237 1 4199 1768 3 17208 1825 182 5849 8175 1 10610 11 1 16542 1819 1 3485 6645 1 7527 1334 1 279 3113 3 15100 718 15 19193 1819 1 10771 3081 1 7188 1342 5 19370 1907 3 15415 2801 6 13995 6423 2 18431 1747 4 9936 2737 1 11372 7750 2 8353 2522 4 6031 23 1 10715 2438 1 16730 7576 7 727 1539 10 10525 5672 26 15608 853 11 13672 3746 2 14343 1531 1 5999 2727 3 10694 1464 1 12412 694 1 4163 6665 1 12063 73 5 10221 1019 1 14079 222 2 1630 6167 1 16697 1125 1 20248 184 2 8395 1779 1 17954 1295 3 14634 4555 2 6750 883 2 15722 1728 2 424 5018 5 6482 7752 1 7208 498 1 12279 1757 2 12209 1772 4 10973 1200 1 3791 1774 1 14250 2555 3 18643 1728 1 12205 5077 1 873 589 1 13 863 2 19759 4029 1 3028 2386 5 6934 6406 2 7910 6157 1 290 156 1 4851 524 2 14480 2591 1 11497 4390 1 643 7216 1 15105 34 4 19370 7518 5 14087 6772 1 9710 200 11 12842 1730 11 12847 2542 1 16312 1703 2 9784 4436 1 10188 207 2 10872 3311 1 4227 2353 1 13841 2290 1 19872 219 5 13142 7569 2 1722 7440 19 9687 4508 1 17603 2353 2 164 7442 1 11736 5257 1 12757 4998 5 5128 7829 1 5318 4033 1 1520 825 2 18346 2868 3 19463 3563 7 16373 547 2 9374 184 3 17683 5420 11 480 155 9 5160 2760 8 18814 6588 1 4757 506 1 174 8082 1 1712 4207 1 15608 141 2 1018 826 7 5198 534 1 5557 567 1 62 244 6 13857 6252 5 17833 382 1 787 173 1 140 849 2 1752 3138 1 9656 5736 1 1368 2205 1 16798 7710 6 13219 5897 2 8087 6779 7 1443 237 2 2911 6979 1 852 1460 2 10918 1727 1 10422 1946 29 15184 5468 4 2947 5444 1 12128 281 2 6981 6568 1 20004 38 1 7182 6481 1 16018 2528 1 18476 561 1 592 6213 2 17859 1760 7 1536 194 2 5476 665 1 1043 5324 1 6776 2575 9 3320 23 1 9661 3911 1 6357 4361 1 11509 1819 1 15826 225 2 6233 148 5 15924 4945 17 6841 6545 6 7380 200 2 13916 4167 2 2608 2584 1 14868 3516 2 14722 7532 1 18806 7514 2 10027 1237 5 2943 2584 2 2795 2027 1 1467 3917 1 16945 946 1 15712 222 5 98 3442 2 12035 220 1 551 252 1 8021 1146 4 8105 5700 1 7739 1235 2 3086 3275 2 1175 3203 1 18450 5724 1 4659 3998 1 15600 844 2 17675 3167 1 5961 1242 1 12096 219 8 10313 7622 1 8704 7750 1 9795 5080 1 18069 3056 5 17000 7235 1 16743 8141 1 14041 3537 2 11446 447 1 7228 2997 2 9508 3634 2 17300 4660 1 153 7121 1 19470 2419 1 2560 6139 2 7571 7313 1 18455 34 2 9520 2869 2 16946 5446 1 14428 6207 2 15306 229 1 11060 297 3 15905 3156 1 5682 1677 3 803 8066 1 10169 292 1 10536 3502 1 17616 470 1 960 1768 1 6822 4204 1 11313 2013 1 635 541 1 16272 46 1 2671 6288 4 5773 2497 1 5963 1243 3 13046 1250 1 8892 1235 1 12817 382 1 19957 779 7 14466 7251 1 15075 1751 3 15951 4130 1 10 341 2 19742 4156 1 4093 219 7 5075 221 2 11864 4967 10 17331 1251 3 2470 4375 1 10514 1090 1 13624 3647 1 16314 222 1 11786 6783 2 4332 1705 1 127 5722 2 18900 229 2 13890 4842 2 1126 203 17 12142 2081 1 19009 719 1 132 1416 2 19090 4392 1 1951 3558 1 15280 3180 4 6676 6664 1 4767 3955 1 4859 867 1 15140 6659 1 143 6660 2 18211 2077 1 2128 4597 1 14430 2058 1 17015 2675 1 1386 6581 1 18779 404 1 3536 4686 8 19319 1665 1 5521 222 20 9787 1612 3 5354 3592 1 6998 724 1 697 6278 1 14507 6993 5 2305 8137 1 5854 5897 1 19312 3511 2 7020 201 1 3871 1729 1 958 508 6 6907 2256 1 9392 303 10 4450 4107 1 18349 7976 1 9666 4549 2 11782 8135 1 4329 1707 12 8506 3338 3 1571 221 1 121 5289 1 416 7138 3 16645 2087 1 108 4879 1 11430 4245 1 9930 7128 3 14391 203 1 7939 1891 1 9881 3853 1 2406 4653 1 2748 6644 2 9050 2879 2 16019 442 2 121 5318 1 166 7545 1 16137 3593 3 1705 709 7 349 941 4 10218 6868 5 9714 4582 1 9869 3074 3 1851 2551 1 12054 365 3 9224 799 1 592 5517 1 17742 7029 1 14339 1203 1 11046 5988 1 5065 4635 1 18867 3910 1 8013 532 1 15474 2488 2 12896 6949 2 16957 7351 1 1481 2363 1 8918 225 1 6325 5139 1 6630 2369 1 27 1653 1 5863 2913 3 15586 7929 4 3291 3424 1 16833 471 1 15007 1295 5 10670 6343 3 16784 532 5 252 3907 1 8004 6993 2 17072 23 2 10826 590 1 11374 6673 1 18071 2807 1 19304 223 4 3243 2440 1 7395 718 1 18937 2541 2 9782 8117 1 81 3684 6 7452 780 1 7194 7745 1 8307 2653 3 11616 891 1 18968 2889 10 16626 7948 1 6332 1378 2 11943 2557 2 8705 525 1 7682 819 1 19914 6481 2 10091 1489 2 17493 35 1 18574 128 2 6796 5890 1 15841 441 3 13535 1695 4 10715 665 1 19292 889 1 16825 2269 1 11148 1328 2 17324 939 1 15765 1482 1 402 1710 3 5416 6278 1 15508 863 1 954 7859 1 5431 1696 5 15722 2363 1 14988 913 1 18862 2917 1 3397 642 1 8011 965 1 2313 570 2 14147 291 4 5036 6341 1 916 5313 1 9518 214 1 19919 5165 1 20221 1784 5 13205 1877 1 10043 6519 1 12322 1731 2 93 4186 1 11585 510 2 4051 6471 1 350 3457 1 12252 3512 1 14509 3980 12 1025 168 2 2980 843 3 6587 1731 1 11388 2715 2 10832 1535 1 19588 1781 1 18634 2810 2 6228 4317 1 11392 1893 1 13097 5389 1 3660 3485 1 15047 4204 5 14883 498 2 10464 5478 1 7331 496 1 11377 5502 4 5014 7411 1 6091 520 1 15159 128 2 16593 4304 1 5720 2131 1 8872 2520 5 16608 6150 1 10242 1819 2 11336 1284 1 14143 7947 2 6154 206 1 11057 6673 2 1705 3954 1 101 4204 3 10961 3512 10 6503 779 5 17581 3210 2 18876 2893 2 15346 2614 49 11871 1464 2 2825 1244 11 11675 318 20 15313 2151 5 9453 779 1 13601 206 2 9807 6132 2 7495 205 1 20090 2720 1 4902 1731 1 2075 1740 1 1465 1819 9 4454 4016 1 15488 5814 1 5903 1736 1 14326 1543 1 5732 4563 1 12594 5334 3 15318 1755 2 6650 148 1 16464 164 4 10766 2671 1 12072 84 2 15553 2056 2 8891 203 15 7571 3631 1 14427 2626 3 8383 215 1 16557 7534 1 12657 4380 1 18748 215 1 4796 6132 2 768 6235 2 14418 1765 1 5162 4069 1 6283 23 3 1218 6231 1 481 7913 1 3759 6099 1 15561 646 1 9224 602 2 14881 550 1 16210 215 2 19525 2543 1 3237 7399 14 4371 4402 1 152 6855 1 13405 1298 2 2020 442 5 14037 3591 1 5435 5826 5 3081 1103 5 7122 6893 1 19872 436 1 301 500 4 8828 4615 1 1466 1817 3 18633 2444 2 9093 6880 1 16290 7 5 11860 229 1 14865 950 1 18873 6414 1 6867 6058 2 17671 220 1 6635 2555 4 2303 2480 2 4190 1054 2 9656 6288 1 13638 7089 1 3134 1342 2 2812 849 30 13126 2012 1 6893 5305 1 6016 221 4 3491 4378 3 7881 2511 1 170 215 7 6021 7057 1 8554 1777 1 15782 4187 1 8410 6714 3 2748 1561 2 5132 225 3 12540 597 1 6611 5951 1 14602 496 3 1801 2514 1 5169 766 2 11125 1244 1 8469 2097 2 11652 7719 1 3590 203 1 11999 4793 1 12691 5890 2 4828 3007 4 15030 5055 15 9445 519 2 19751 3345 9 481 336 2 11971 1184 3 17548 709 1 4867 232 1 6765 5397 1 10807 382 5 5826 6065 1 5244 4516 1 16390 2355 1 2830 1062 1 6957 1810 1 19322 4623 1 6759 1110 1 4645 1492 1 12990 2675 1 13 813 2 8549 5018 15 6183 1356 1 9680 5327 2 16557 7807 1 6219 1714 2 9604 532 1 13887 2938 29 8591 6164 1 18415 7777 1 14798 7772 1 9435 4015 11 14145 3135 5 6748 4458 2 14618 1658 1 1659 2104 1 6313 4601 1 11272 5266 4 15063 1930 3 9160 514 1 15508 3275 1 17549 5768 1 16894 983 1 10832 6618 1 6193 916 1 6733 867 14 4810 5518 1 124 5458 1 32 1812 1 6327 500 1 18644 1757 1 3397 779 4 7622 1727 1 5431 6640 2 17165 1921 2 12934 1785 1 16301 1762 1 1642 378 7 10876 1768 1 16767 501 1 6866 1342 5 14522 1719 3 18596 2029 6 7871 1721 4 10308 1240 2 10611 4963 1 984 4992 1 5515 173 1 6681 671 1 17331 1245 4 13470 4366 2 19568 84 3 19857 452 1 9761 6720 14 5055 2481 1 8010 6207 3 15364 4503 1 385 1751 2 15339 2555 10 6853 1172 1 19331 508 1 12576 7614 1 2037 207 1 679 903 1 5994 2013 1 11360 3617 2 2886 4540 1 1555 3698 5 13382 484 1 4960 2686 1 11784 945 1 14301 5472 1 5052 335 2 4126 1760 2 104 448 2 9839 1245 1 10783 5460 2 13589 1829 20 19503 1042 2 18363 2261 4 18696 1703 6 1009 2836 1 14144 1561 1 40 2120 1 4854 4563 3 11898 3886 1 14835 1739 1 2558 1771 1 16063 331 1 14992 867 20 16472 4623 1 4561 6877 9 12136 7874 3 4415 6337 3 8291 579 2 8585 3972 3 8624 1244 5 8153 7410 4 11786 3576 4 8245 219 1 14057 4435 1 12121 7184 1 10532 1761 1 2716 7045 1 6337 708 1 3181 3273 1 15384 1761 2 5866 1296 3 2677 1692 1 7099 3074 1 16294 84 3 11008 5922 3 5641 3457 1 382 2953 1 13508 467 1 13247 2908 1 7189 206 1 2795 6006 4 11055 707 1 1752 5018 1 7535 1305 1 8994 4950 1 19776 2737 3 3975 207 5 7012 2639 1 520 3571 3 15391 502 2 16857 3036 4 6697 5551 1 16448 903 5 14522 1727 4 13615 484 2 5863 6115 3 15981 3197 2 13743 7470 1 18441 4056 2 9566 4314 1 13323 573 1 11591 780 1 12922 2671 1 50 634 1 2985 892 2 8499 6402 3 16787 6513 1 10525 1150 6 8128 1796 1 1278 3147 2 6032 4233 3 1028 638 3 4339 1740 1 2795 1307 2 6173 219 5 7994 6036 1 17556 4229 3 2467 3466 3 3572 2057 1 750 1518 4 7360 4976 5 699 1658 19 8376 4655 1 5911 1775 3 6846 4393 1 10221 5071 1 7359 4807 5 11499 2478 1 4896 6059 1 8493 4435 1 9311 1705 1 2075 5083 1 5990 2880 22 6781 296 1 18885 1756 1 2069 46 2 9256 1345 2 3598 4325 3 11374 6435 1 16530 2542 1 15166 2709 1 13461 1234 2 2293 235 3 9639 840 44 9042 6640 2 14908 23 2 10404 934 2 12180 4944 5 12185 205 1 10719 1356 2 13250 2250 2 5717 5437 1 6067 3076 1 9463 2396 1 5025 225 1 8198 1374 10 12962 347 4 17415 3427 1 20031 3167 1 6611 501 1 6254 7997 3 1855 222 17 13778 1761 7 12312 148 1 18056 385 6 612 1235 1 9526 5368 1 17966 507 2 11943 1655 1 19393 5737 1 9604 244 3 13241 4623 6 18886 230 1 3871 2356 1 17436 626 1 1948 2690 1 6463 473 6 14044 206 1 16057 2030 2 17454 853 4 9352 1000 4 8391 382 12 4536 1990 2 12497 2698 1 11842 6753 1 6014 1772 1 6325 201 10 18809 411 1 652 6224 4 8532 207 4 11334 200 2 20147 1726 9 12299 2363 1 5304 8026 1 18273 6482 2 3571 3337 20 2107 4312 10 4034 8194 1 21 23 2 7498 8071 3 16921 7308 1 11230 7674 5 11956 6152 3 14318 4380 2 496 454 1 6630 981 1 2084 2676 2 8438 3409 1 5145 4949 7 15841 4380 1 10698 871 1 16732 5243 2 6045 509 13 7089 200 6 10326 1121 4 6494 7420 1 6075 1249 3 19833 7750 1 1654 1752 1 6023 5052 2 14626 2413 1 17920 1946 3 403 1243 1 10462 7662 1 13302 2534 24 8548 221 2 13266 5800 1 4841 3316 4 19964 1728 1 5617 2493 2 3516 1146 2 19035 2600 1 6178 1309 4 1825 156 3 822 6633 1 8541 2522 1 11542 5997 1 13100 3480 1 3387 1395 4 5787 6031 1 4634 780 1 1871 219 13 2505 7884 1 6649 4885 1 15722 1760 1 15778 1794 4 6650 2737 1 18780 232 7 13225 4998 11 15885 5931 1 380 6306 1 15313 196 1 711 1761 1 15314 1339 6 503 207 5 11349 1703 3 3985 1425 4 14371 1726 1 1665 188 6 649 220 1 16 1004 1 15599 4022 1 6341 7780 3 15412 225 2 5564 1819 1 4870 220 1 14678 790 1 6107 1146 7 11388 7403 1 18508 1306 2 18020 7205 1 19193 903 1 8378 816 2 4056 6779 1 1395 8083 7 9202 201 3 1476 557 1 1262 23 1 8135 3484 6 15608 3743 1 9449 3135 1 8153 1041 1 143 2591 2 4903 229 1 1743 3808 1 11852 6993 1 10879 5538 1 19822 5262 2 12455 7363 1 9925 5538 1 19286 304 2 12056 1748 2 13329 7021 1 8430 6897 1 3996 1307 11 8685 5403 1 15977 3973 1 5771 8109 1 745 6383 18 14230 3632 5 5177 1244 4 10451 5814 4 7021 3489 1 5479 501 1 17178 214 1 9051 1236 1 12271 1139 3 5444 1921 3 10610 313 1 3074 363 5 3171 203 3 12929 4026 1 10110 554 1 12177 5090 2 11852 2737 2 1302 2955 5 6507 4996 1 1878 518 2 12776 73 4 12008 201 1 15933 3671 5 5479 1762 1 6397 3954 4 12986 1738 1 451 6278 1 8456 476 1 11786 308 1 6819 458 7 11080 1717 1 6197 6649 16 2043 7708 4 7829 169 1 6245 8012 3 14318 7585 5 1206 658 2 4408 214 2 19990 1730 1 13806 6897 1 5320 4256 1 2012 6649 1 12262 6663 2 15821 1363 1 7194 5617 1 18262 3685 1 12196 4338 3 6882 3558 1 10518 1116 1 6420 868 2 13997 578 2 6204 5866 6 1206 481 3 3340 3085 1 14331 7427 10 3901 6487 1 113 5041 2 4616 2790 25 16907 5077 1 10692 857 2 12064 1825 8 17319 2484 1 11577 6053 6 15038 7694 10 855 165 2 7585 3813 1 4473 3491 1 3845 3750 10 18295 1726 6 540 201 1 4216 2810 11 10477 3015 1 348 411 79 18924 201 1 5472 7489 4 458 3647 1 16758 1363 5 11392 5851 2 13627 8103 5 19833 1138 1 2016 411 8 18064 5767 1 5306 3812 1 10670 4472 2 13646 505 1 5679 5342 1 12320 6633 1 3193 6799 1 19704 4371 1 7056 512 1 2359 944 4 5653 3876 3 10043 134 3 19385 3475 3 9253 2364 1 10080 947 1 2087 1104 1 19471 7933 2 11336 5488 1 14145 2683 8 12496 2915 4 15411 4555 2 8022 4103 1 17739 3476 1 1222 4411 1 18968 1704 1 9680 2778 1 11835 2858 1 2828 2966 3 18040 2600 8 3048 6389 2 4147 417 1 143 6618 5 2905 1973 1 10568 3275 2 5207 331 3 16111 8148 49 3982 4233 1 16103 4761 2 15428 1720 2 17088 367 2 1363 203 2 15568 215 2 7310 3621 21 19051 2833 12 18667 1726 2 14146 1204 5 6864 4961 8 15270 3621 1 12686 4600 1 1629 602 1 15310 5285 5 7147 890 2 7390 6484 1 14989 5390 2 8406 1772 1 2754 3445 2 16844 234 4 2777 219 11 7972 6713 1 881 2044 1 7398 1814 1 8174 645 3 16749 4995 1 12077 23 1 16184 1529 1 10372 205 3 5240 3024 1 8843 1658 2 9872 201 2 15834 6441 1 7019 156 1 13453 4963 14 1883 7679 1 9176 5403 1 3117 6259 7 2071 379 2 18169 7021 1 3446 1235 5 11151 5520 1 259 8183 1 17685 4162 1 4632 3278 1 19812 1250 1 13537 877 1 2316 207 5 5531 3742 10 19489 2353 2 16816 1739 2 10536 874 1 16102 237 3 4279 454 1 14522 4312 1 2902 207 1 17746 597 2 19434 2350 1 2672 6540 3 2406 222 7 10329 1720 1 16833 2104 1 14683 1234 4 15873 3900 1 10907 5133 13 9322 1726 1 13590 4554 3 13975 4093 1 18645 2173 1 9044 3595 1 1535 3620 5 20 1342 5 6936 3635 1 1029 1757 1 8306 3320 2 12333 5086 2 4392 4106 1 8117 1146 2 15374 3587 5 5430 207 3 9250 575 1 7822 5702 1 15267 7840 1 13035 5270 2 14686 3084 2 5815 6680 2 4680 2860 1 2238 656 1 531 200 1 9743 1380 1 8681 3511 14 19727 5294 3 5036 1764 1 11384 5607 1 19976 4022 1 17472 34 1 2691 228 2 2806 5899 9 15672 856 1 3606 1778 1 2000 4415 2 8620 1825 1 2634 2580 2 15936 1897 2 1576 220 7 62 944 5 10441 221 4 4248 3842 3 19169 2993 1 1513 7021 9 4729 2508 1 17809 214 4 7780 2493 1 13343 3072 3 10233 7709 16 3258 1252 1 14173 736 1 8198 6066 1 7451 1679 2 7931 7901 3 5977 525 1 11042 511 5 3397 553 2 15724 5325 4 17088 863 1 3406 386 1 10660 7298 2 8965 203 1 12883 3613 1 17110 3045 2 5251 3540 1 4004 8002 6 9432 3542 1 1858 7470 10 11901 4351 1 8864 6629 1 3031 3571 8 14318 4653 2 17168 1778 1 15449 2743 1 7872 3882 9 17403 186 1 19259 215 3 9594 13 1 768 1752 2 14965 6430 1 17290 982 1 9941 5195 2 13587 4704 1 4314 1710 2 10303 7542 2 8299 5933 5 18197 1781 4 9318 445 1 11106 525 1 460 1758 1 294 4933 1 4935 1073 1 13633 1752 2 3853 1785 1 3345 2132 2 6647 6764 1 20233 3895 5 2564 2860 5 9441 1825 12 17995 3021 2 3722 7518 1 9525 1783 2 19760 1612 1 18538 3233 5 13020 186 11 5204 656 2 19731 4792 1 6191 1350 2 9347 5408 28 1013 4086 1 13806 822 1 13755 520 3 9150 688 1 4116 3895 1 3154 1312 1 15380 1758 3 5937 2261 3 4055 937 1 19972 3715 3 7685 4196 5 14454 5252 2 9661 2769 1 8843 1662 1 18560 7321 4 17606 6697 9 13262 5574 1 18939 3132 1 555 2262 1 16310 314 1 3329 4248 1 11853 6152 1 7949 3859 1 8592 2150 1 15700 1242 1 14660 8053 1 18215 508 1 124 5488 3 4663 600 2 6314 2508 5 2769 6675 9 15468 248 1 14939 1244 1 11877 1720 1 11954 8141 5 14522 3511 8 17877 3472 1 11687 508 8 12054 380 12 11250 4435 2 1440 3462 2 12733 3423 1 19935 554 1 2479 1703 1 107 676 3 9212 2641 1 9126 3227 2 7982 3697 1 2830 215 16 16835 3525 5 3360 1748 6 85 1825 43 10780 518 1 16925 2012 1 18635 2443 1 5634 1771 1 15287 1707 1 6890 5215 1 18655 1781 1 18143 4303 1 17816 203 8 9155 4903 1 10879 1814 6 17589 4653 1 9006 6197 1 12510 6237 1 10843 574 1 18421 470 6 14063 7853 6 12305 6406 1 5996 411 1 14145 4599 6 11562 6361 3 11303 843 1 10859 269 3 16886 2743 3 6045 8178 1 832 4266 10 69 3268 1 14696 2443 2 6049 304 1 1530 4540 1 10884 5266 4 97 201 2 806 3230 2 13167 3316 6 16755 418 1 12088 4013 7 7969 1101 1 19193 4156 1 13786 6880 1 14738 2511 1 11411 1756 1 9766 2678 34 1706 1827 5 4397 809 4 4010 2663 5 18064 47 1 127 5721 1 8933 5105 5 16063 274 2 1530 1349 2 3048 258 1 17224 13 3 4428 2801 4 14290 363 1 18203 220 17 13134 75 2 16287 2652 1 17 1141 1 11590 4196 5 12295 1131 4 1638 3059 2 6405 6427 1 10136 5004 5 8636 1768 2 15561 835 1 18145 207 14 9935 2993 1 19244 1401 1 6690 905 1 8614 5446 1 7186 1946 6 7455 4304 1 12055 4459 1 17302 173 5 15720 8026 11 11108 518 1 4946 3081 1 7565 657 1 13899 200 8 15480 196 2 16021 6363 1 9978 370 1 6644 2918 1 1710 6334 1 19975 1345 2 13643 768 1 7355 3404 1 2385 1573 4 5617 5305 1 15264 759 1 16573 3798 9 16760 7474 17 2602 4490 2 6458 7859 2 11416 4789 5 11215 1721 1 11399 5957 1 19246 1015 1 13015 1513 2 10977 4189 16 7795 1334 5 15065 13 2 8681 524 4 12793 5496 3 8269 682 1 15608 6716 6 873 4506 1 6781 8195 1 10410 925 1 5117 768 1 8405 1249 1 12299 7883 2 7072 4366 1 19067 1629 1 11756 6723 1 17159 4992 1 15941 5082 1 11786 378 1 11773 5561 1 7780 1396 1 18382 5253 1 14516 367 2 13913 6152 3 11998 2549 2 4663 864 1 8891 1251 4 17560 7008 3 13077 188 1 48 2415 1 9903 5018 1 15750 945 1 11192 5888 1 4951 3634 1 11924 3421 3 18039 707 1 1778 1249 2 18401 3484 5 10852 1725 1 35 1920 5 4757 1764 1 19348 4998 1 5161 6945 1 3524 864 1 14146 3530 1 866 7313 2 13093 188 1 322 1727 2 14617 1762 1 9166 4966 1 15026 1245 2 3426 1724 3 12296 3423 1 6479 3954 1 2755 6546 1 16233 3624 2 6054 4311 1 1506 4301 1 15744 291 1 2648 1739 14 8078 1467 14 4072 2964 1 1861 3743 8 17382 2247 3 4491 203 6 5243 7477 36 9935 94 1 6622 6540 1 9833 2258 1 10610 631 1 15508 1394 2 14716 3923 2 19145 1363 1 11577 5714 1 15993 1241 1 17836 1146 6 10383 1237 1 8982 4369 3 17086 2013 4 9793 1721 3 15283 6711 5 18012 3760 7 6164 1312 1 3401 852 1 7471 3021 1 19056 3649 1 6845 3895 3 7267 1659 1 20275 2869 1 13245 282 1 11259 1238 3 16363 6164 1 6652 200 5 17033 5234 1 6587 1275 1 1056 910 1 15398 848 1 2428 1344 1 17746 586 1 19725 207 1 3207 81 2 14587 3588 1 3879 1649 1 2306 708 1 17739 1629 2 15142 5398 1 17382 2951 1 19820 3433 1 12194 1734 1 1472 510 1 513 3732 1 5631 3627 1 17020 6640 3 6444 6875 1 19957 878 1 8159 810 1 5977 1734 2 19026 1751 1 15573 5670 16 7176 1145 1 13417 2478 1 5319 667 2 15576 4606 1 14612 7719 1 8926 3691 5 1635 5000 1 13881 6925 6 6533 3086 6 4240 4435 1 9098 6184 2 1055 5252 2 19156 5105 1 6144 883 1 14773 2353 1 16593 371 1 15211 4446 1 4264 6337 7 6406 3540 1 8953 1825 4 19241 561 1 1704 355 3 48 2420 4 4995 2321 1 1307 169 1 14057 203 1 3698 6590 1 9007 6259 1 5960 3055 7 17179 525 2 9319 2362 4 1783 1183 1 35 1975 3 6229 308 1 9553 1775 2 8181 874 2 4012 1630 8 16583 7622 1 18867 4964 1 9509 4963 3 16524 215 2 19941 4105 2 12790 889 1 13732 4614 1 19691 5985 1 7312 1761 3 12502 1770 1 20151 509 2 9571 3632 1 5213 232 2 14284 229 1 7832 2422 2 4307 190 1 4467 206 4 10422 2058 1 19774 5302 1 11376 512 13 1867 1518 1 6644 5568 1 7231 1453 1 13353 7525 1 1171 1246 2 16671 309 1 8763 445 1 1378 6038 1 17403 8194 1 3496 1482 1 12792 7256 1 18667 1686 1 10101 1726 9 297 225 1 18279 8096 2 16726 867 3 9571 3613 1 3046 4043 5 11104 1662 1 19401 215 1 12098 5324 1 1551 514 2 4805 3230 10 12115 1638 1 17655 525 5 10374 937 1 7190 2239 1 548 1724 1 14694 1236 4 10839 23 7 10549 1772 4 9236 1277 1 12375 267 1 17416 8118 6 2706 1582 13 14824 169 3 13410 4792 10 3358 4459 5 3901 3785 1 2013 3794 1 124 5534 3 13676 7492 1 1465 6259 1 5244 1721 2 16057 629 2 3536 4288 3 8322 4591 1 3189 2932 2 12208 4090 2 4778 1777 1 6964 226 6 7043 2182 1 16446 6099 1 16916 3733 1 6032 253 9 7065 2014 1 2583 514 1 17039 8071 1 7162 2401 1 13607 562 1 12822 201 1 18091 6442 1 5991 206 1 17893 2831 1 19817 1731 1 13373 6027 1 19090 2853 1 14324 3668 1 5253 7899 1 20264 8200 14 17847 1699 1 9808 221 6 19147 5129 1 5738 742 4 6458 7471 2 1435 6663 1 14327 1726 4 11365 518 1 15948 1184 8 1564 5263 1 5837 2581 2 5510 7853 1 20114 5000 1 12765 554 1 16736 4353 1 16571 207 1 15821 770 1 10698 1921 1 14350 1221 1 2958 1713 1 19538 1548 1 10501 545 1 80 3603 2 19478 2486 7 14132 776 1 11102 3597 2 1507 207 1 11480 201 6 5203 758 1 11577 3203 5 5999 40 1 10365 2899 1 3945 6807 1 13895 1250 1 18508 2132 2 5157 215 1 18293 1322 1 17753 4792 1 15978 1 2 4392 1819 1 5531 1399 1 9894 4288 1 18540 2591 1 1978 3763 2 11219 6273 7 19326 1649 4 17121 8093 2 15286 367 1 19032 6723 2 3839 6716 2 9941 1038 1 18722 1245 1 5852 5018 17 4340 6580 1 8694 1241 1 10621 7522 9 14452 367 1 12341 5002 1 35 1880 2 13987 534 1 4539 1146 1 1026 367 1 40 232 1 3846 4499 2 6166 2098 1 9548 215 2 10498 5276 1 10619 3021 1 15372 219 5 15898 225 11 14530 5446 2 11790 2378 1 6010 745 9 21 215 2 11648 3135 1 15208 3526 1 1028 706 2 9553 1713 2 8155 532 3 3914 34 1 4580 1947 1 7070 6330 2 4092 4998 5 8549 534 1 11045 1635 1 6724 3532 6 13835 7750 3 314 5065 1 10912 3733 1 7816 3146 5 10410 1124 1 9789 3494 1 552 4238 1 10033 16 1 2198 2817 1 5225 8203 16 7306 7668 2 8232 1482 1 6781 5554 1 6712 625 1 4539 1705 9 9270 1760 7 16984 661 1 8568 3057 8 13134 7189 1 14672 3653 1 10245 3725 14 17705 203 2 17450 7632 1 12659 1728 2 16969 4314 5 17987 1395 3 18323 7602 1 15651 2175 3 4791 4845 7 14519 1241 1 12638 3634 23 3547 191 3 8439 1235 2 5801 7837 1 1665 3747 2 11336 637 1 2931 6534 1 15047 3911 2 4922 1374 1 11841 6207 4 6605 6880 1 873 4022 1 3048 5313 6 13589 6500 13 17895 2415 1 8695 206 1 16584 3005 1 7849 336 1 2267 392 4 8815 1243 1 9029 607 1 6776 3164 6 16789 7237 1 18207 1658 3 123 5382 11 11121 1756 2 1963 3692 1 4525 188 5 19855 5649 2 9341 203 1 16348 6225 1 14416 1665 1 12115 1312 1 8286 719 1 14931 6341 1 10966 1248 1 7295 3171 1 4860 6487 4 2844 283 5 7188 6662 1 15454 132 1 7165 431 2 15154 4967 1 14114 765 6 16687 3999 6 15123 207 1 8658 3425 1 13328 5505 2 17242 1296 6 687 1692 1 171 6719 3 19331 525 2 5419 7994 1 18800 207 1 4690 1819 2 1275 506 3 13392 1453 1 10555 1743 10 8327 1305 2 10846 1714 2 11598 2009 1 14815 3283 1 16054 4903 20 5593 2100 1 12057 219 1 5199 3732 1 15497 1322 1 232 1825 22 3164 2618 1 14010 3803 1 15371 1819 1 15896 2737 1 17127 1827 5 11155 6754 1 16777 1201 1 18165 1276 1 10688 790 3 2710 1761 1 6556 1812 1 711 1275 4 6449 1723 3 4357 7470 2 8620 3138 1 4205 1304 1 153 6998 1 1570 2993 1 2554 6662 1 19031 1513 1 6724 770 1 18711 589 1 174 8019 2 12562 4713 2 3871 1334 1 10240 470 5 7858 8167 1 19872 3411 1 16925 2938 1 756 2480 2 7528 7857 2 15377 1748 1 11108 4501 1 15199 225 5 7994 816 1 18619 6441 2 11768 1755 2 6661 496 3 13335 2822 3 2238 4253 1 18385 1399 6 19167 1903 1 8269 916 1 8445 7134 1 7028 6341 1 16768 3491 1 14661 4010 2 1597 1663 1 12361 7632 2 16431 6169 1 19864 74 1 16016 3457 2 8599 504 1 10752 186 1 20049 4552 1 11130 6164 2 530 1396 1 14784 910 1 13970 1747 2 8369 2031 1 15488 1417 1 17932 7601 3 18876 5260 1 16116 4085 1 13392 3599 1 1212 4394 1 15394 911 1 10336 4006 1 14305 803 1 13218 1587 2 4127 1661 3 3406 6571 1 11562 6321 3 8198 4282 1 2917 574 1 20181 1614 1 2239 5245 1 992 1738 1 2067 3915 2 18237 3113 2 17572 5097 5 5304 6342 5 16368 2645 1 1255 6207 2 7720 728 1 13986 2951 2 6570 1072 3 18665 4261 1 4417 1717 1 12901 4949 5 14327 184 4 17290 6338 8 3673 7935 1 14629 2493 1 20158 153 1 1337 5389 2 890 1184 1 5949 638 1 18515 203 1 1050 4653 1 7804 303 15 10648 3562 2 12322 207 3 18357 910 1 48 2425 1 13490 4107 1 6457 6256 6 14672 203 1 787 7414 10 3383 411 2 14529 2665 2 16378 1243 1 6299 6066 6 3430 3167 2 10628 1416 1 1202 1888 3 13743 1356 3 4620 5385 1 18633 2428 3 7606 3294 1 17832 5341 2 18702 2343 1 5839 1278 4 10766 4945 12 14617 2699 1 2203 792 1 19131 6677 2 14870 6126 1 13605 1814 1 6327 496 3 19187 6616 1 12053 1819 6 9433 1824 1 12688 666 1 12117 3798 1 12322 1238 4 467 552 1 10676 4304 1 5588 206 1 15875 1042 1 12387 2398 1 8560 625 1 14734 5202 1 10916 757 1 15895 367 5 2094 1241 1 10403 3230 5 16636 2519 6 17244 2514 1 15791 868 4 298 2256 1 3019 875 1 6819 1453 1 11254 3135 3 14700 637 3 11179 15 1 18704 1263 15 12142 1239 2 6473 1234 2 11239 825 2 15949 1 2 13031 6500 6 3188 1722 2 13919 6482 4 9437 1147 9 3306 5922 1 14896 220 2 13978 3730 1 7399 773 1 4895 1819 1 15766 6457 5 9815 4473 1 18445 5270 2 5203 232 1 19655 728 1 12244 7576 1 11371 3311 16 8311 4620 1 15120 3535 1 16234 4695 2 5651 2739 3 18138 1250 7 10554 2505 1 16012 4296 3 18906 891 1 863 3389 2 6330 5011 1 1274 1717 1 12841 3655 10 12917 1029 1 13735 1740 1 2272 200 6 7312 8168 4 14253 525 6 18154 3872 2 16140 6139 1 2778 3274 1 20189 823 1 16694 2068 1 8629 2363 5 17174 4123 1 3860 232 4 13430 3666 9 8244 4741 2 496 1238 1 172 3576 1 13649 1901 1 17477 4245 1 17009 3113 2 2962 801 1 18912 907 1 348 6633 23 15281 745 5 26 1520 1 8250 2302 2 13553 589 2 15462 190 1 2829 6375 2 7306 912 2 11357 1831 1 10267 1705 1 5132 2307 1 12817 907 1 19812 1990 1 10612 1244 21 3581 1093 1 326 6544 1 293 6027 10 19763 1827 5 4975 2338 1 7178 4338 1 15261 6588 1 10999 4005 2 2100 5183 1 3358 203 1 5738 3400 21 294 1424 1 13271 46 5 3853 519 3 18743 5162 2 5796 891 1 19069 3114 1 16029 1063 3 3384 1727 2 1527 220 1 9219 495 1 71 3318 1 5879 1251 27 6170 7466 1 3253 3596 1 18147 4796 4 20202 910 1 3596 6793 2 13129 520 2 11270 2938 1 80 3638 2 100 4565 1 8518 1938 2 1894 190 1 10561 26 1 17634 4391 7 10953 4104 1 4189 2966 1 85 3915 1 15206 2731 1 18538 7588 1 10940 506 3 10741 1036 3 18593 1938 12 9072 207 5 17507 1658 2 1240 3185 1 20226 1772 2 13419 884 1 4446 3225 1 19401 411 1 1108 496 1 13305 1239 2 5637 232 1 4137 244 10 8009 4317 3 8464 4800 1 19993 7309 1 17631 1184 2 7082 2705 2 16584 3351 1 14722 1965 1 12984 236 3 5003 3464 2 9104 1245 1 15884 5288 1 8733 1184 2 16334 6196 2 17031 6198 2 14326 222 2 16984 570 1 12104 1289 1 16016 6946 1 6314 1322 1 12496 757 1 496 2508 1 15651 1253 4 6387 2517 2 2086 203 19 14059 451 1 13399 5256 1 14350 3799 1 13698 5325 2 16998 1796 5 4693 4392 1 13938 4571 1 9049 5950 2 855 225 2 9135 1728 1 2931 525 2 8482 1772 1 17336 4761 1 5303 4491 2 19590 1955 1 16011 3478 4 101 4597 2 1170 248 17 4415 4635 3 15511 534 2 16242 5060 1 9566 3973 1 17009 1827 3 17100 853 7 4496 1251 1 18324 5737 1 6342 545 1 14253 6564 2 1013 1 1 10014 4312 1 4092 2344 1 735 4069 1 5831 1724 1 130 853 1 16490 3511 9 4389 6993 1 9638 1235 8 10152 637 1 8704 5341 2 4829 23 4 4268 7411 1 16328 1266 2 19608 2246 1 5128 1726 1 19089 244 2 3189 7946 1 12055 685 1 11491 1751 1 4249 502 2 15047 196 1 19418 6547 1 19364 3540 1 4332 6204 5 10886 3940 1 5212 1363 2 9779 6714 1 130 5919 1 7136 11 1 4933 1407 1 4925 1246 1 33 1834 1 2267 3849 2 13734 6949 2 13091 3511 1 11151 295 2 6904 3535 2 7121 2392 1 745 5408 1 1825 1825 4 16631 533 2 3581 7206 15 2778 708 1 1218 378 1 11601 23 2 18287 2735 2 4664 1396 1 6814 201 3 16254 4635 1 18634 711 1 16697 4312 2 18955 3233 2 16476 1991 11 14629 6481 1 11534 5018 1 17843 488 1 83 3842 1 1618 1748 9 14157 7829 1 10956 6053 1 8201 2353 5 8051 2747 1 11773 6892 5 17091 525 4 12062 2528 1 18912 6341 2 6008 5791 1 6228 835 1 18270 7995 2 658 3203 5 2713 1388 1 16524 1661 1 18375 5905 1 14445 3741 1 17207 5467 1 20225 895 1 13328 5552 1 19655 1529 1 2830 2729 1 15955 6640 2 11545 2896 1 18146 6106 1 9891 1714 1 11861 6152 1 15480 203 2 16643 648 1 11215 3807 1 19812 6018 1 18900 2938 2 1706 186 2 5769 8034 2 12860 4995 1 9367 471 1 10294 203 36 11059 201 2 14553 2543 2 17403 4233 1 11428 4343 1 2365 8184 2 3972 5502 1 13296 3895 1 10479 1250 1 14043 1909 13 10883 951 1 18744 470 3 15634 541 2 18869 1698 1 17685 7976 1 13825 229 1 7886 1829 1 7535 8176 1 20120 3278 1 9448 1770 1 11441 2480 3 1635 2635 1 14522 1729 1 7991 3248 1 3419 5115 15 11545 3466 6 10105 206 2 14763 589 1 2186 200 4 1586 3113 3 17395 3615 1 1711 4568 1 12988 1776 1 19138 1613 1 4998 1703 5 2886 787 1 19725 4956 1 15335 910 1 15395 214 3 3338 234 1 17268 534 1 7058 519 1 12115 3013 2 20271 5011 1 19581 6207 5 4913 4225 1 8861 7979 4 17829 304 2 17412 1277 1 1688 2626 2 14114 1373 1 11288 3414 1 12150 5559 6 1179 3619 3 11261 1239 1 13039 7165 10 1065 4623 1 12856 4595 1 14915 7750 1 4023 442 1 12983 1752 5 6659 3869 1 607 200 2 6840 549 1 275 1101 1 19127 3175 1 5310 804 1 3779 1581 1 14853 4351 5 6673 203 1 11610 221 9 13012 2262 1 873 785 5 14970 600 1 2722 723 1 14010 33 1 11366 1718 2 12329 7751 2 8459 1244 1 3002 5308 1 19489 1309 2 18277 8225 1 8735 1748 2 222 778 2 18576 367 1 13762 6983 1 2743 225 1 9325 2969 1 4055 592 1 7451 4702 3 9331 4724 1 7260 1730 18 7823 896 1 717 1827 1 5605 6252 2 26 1557 1 1405 3631 2 12704 203 1 12041 230 1 6012 3463 1 4678 3596 2 12114 1482 2 12102 2263 1 10698 834 1 3950 964 2 3197 4781 5 10961 3464 3 2139 1282 1 13011 214 1 15874 7413 1 6539 819 1 18886 4020 1 15313 6064 1 11755 1728 1 14774 196 3 5917 172 1 7017 1340 3 6795 1828 12 5264 502 4 13835 1332 1 5943 4721 1 12947 514 1 4170 4719 2 11842 219 1 6748 4470 1 232 1243 2 8639 7752 1 7240 1190 1 124 5434 1 16285 225 2 15142 223 11 4615 1781 1 14990 1907 1 18282 3446 1 11663 5989 4 9538 6232 1 17877 222 1 143 1334 10 1330 1235 1 13093 8194 5 1915 215 7 19002 3666 1 890 3074 1 18883 5259 1 11693 5922 5 1519 1582 1 4055 4296 1 9529 6120 3 17664 1761 2 14985 1710 1 15996 3556 3 20248 520 1 14837 1482 6 10661 2360 2 18979 3255 6 237 3389 1 3812 184 1 19533 4563 1 6819 910 1 16346 2698 1 2803 2009 2 17675 1784 1 171 7801 1 7284 1464 4 16514 2276 2 17803 545 15 413 2197 1 11674 7481 1 10176 1296 3 11099 6512 2 130 5801 2 11769 3601 2 8051 2491 1 3112 501 1 1666 1250 9 12929 3645 1 10146 3922 1 10556 3341 1 17 1040 18 3931 545 2 6837 3919 5 14753 3755 1 19486 127 2 12324 1079 2 9257 8184 10 19024 2971 1 62 1211 1 8250 378 1 635 507 2 5566 5165 2 5602 231 1 15069 519 1 3351 4006 1 7732 1184 3 135 6159 3 10445 792 1 17658 3518 1 4307 498 2 11082 5532 1 3755 6673 1 19296 1757 4 18976 659 5 3004 885 2 1206 4649 1 6520 1752 2 13699 7850 1 4328 5018 9 9236 442 1 1838 4404 29 19530 306 1 15608 197 2 7267 232 1 8597 2777 3 13696 2097 1 14023 4992 7 4054 1369 1 2947 336 1 13677 220 1 2204 947 1 14727 4415 2 2709 6088 1 16857 7672 3 4208 6669 4 14021 963 1 7504 6480 9 13311 4266 2 80 3575 2 3133 1091 4 19090 3715 1 593 244 2 11605 6903 1 100 4559 3 81 3651 1 314 1747 2 10207 7446 1 8965 2686 1 300 4317 1 14143 2913 1 11072 6091 1 4728 1768 2 17521 156 2 11 449 5 15905 2250 6 14957 1363 1 17253 545 1 8528 1705 1 755 367 1 15338 3207 2 5431 1359 5 15653 2172 11 8474 4792 18 5312 3540 3 9678 2555 1 10007 509 1 270 525 1 15192 2806 1 11769 368 2 18592 613 1 86 3929 1 14572 6150 13 9026 2352 2 7294 5065 1 2801 108 10 9535 197 1 16557 1819 3 8251 184 2 7303 2164 3 11024 8093 2 14090 518 1 9188 6515 1 7761 7467 1 3434 792 3 7179 841 1 7452 1305 1 18769 3167 1 17742 964 5 1228 1742 1 17486 262 1 11764 2167 1 133 1126 1 10856 3283 1 2126 8073 1 84 3877 1 2512 1728 1 11533 201 1 19724 1374 2 1334 4945 4 6105 659 1 13696 4511 1 5403 981 4 13833 1751 26 13125 1774 1 8323 2010 4 16968 4947 1 3287 3573 1 15404 3432 2 12459 534 3 9374 541 1 6428 4963 3 13165 1698 13 9881 921 1 3641 827 12 16548 441 1 14766 6457 4 17634 5022 2 9279 510 1 9822 2737 3 13750 4933 1 12925 7440 1 15411 1955 2 54 2642 1 11591 1719 1 8055 1965 9 6485 868 1 6966 1967 63 6172 4506 2 3536 1732 2 6623 1295 1 19486 206 1 14338 5922 1 14798 8075 4 13148 2492 1 16272 1692 3 4328 2675 29 712 220 1 7507 196 1 2758 1758 2 2683 2675 11 8991 3414 7 7464 6355 4 17298 524 6 17153 1826 5 6215 7219 1 18902 608 1 6519 5375 1 14745 1380 1 8255 2743 1 6923 4013 1 18548 2964 1 4530 5538 1 5433 1732 1 7537 1762 1 8930 7886 5 1883 891 1 14695 3641 1 16804 3694 1 2201 3338 1 19932 219 2 12232 935 1 18694 291 1 19578 519 8 3593 1747 5 17954 5389 1 13005 897 3 12327 6161 10 8327 7484 1 8727 3048 2 16626 975 1 10146 4590 1 8117 1711 10 18797 1724 1 2640 1396 1 126 5583 2 6784 222 23 1226 1147 1 13212 939 1 9128 1235 4 9720 2652 1 12511 3666 3 20224 6957 1 11493 308 1 5023 500 6 11746 214 3 13022 3492 1 10632 5559 5 1171 6341 1 9976 4217 5 4910 2555 9 14826 2989 1 18893 3672 4 9568 3021 11 13865 1238 5 5734 410 1 9534 6031 1 11549 2893 1 3075 514 1 10873 295 4 11 370 1 19608 5984 1 2729 5172 1 7286 1727 3 13119 7245 2 9857 3220 4 19840 219 1 15055 234 1 5431 2268 1 18353 1717 1 13699 1244 1 3768 2444 8 16124 1235 1 10107 5020 4 12809 6973 1 18972 6344 1 7923 6018 1 739 1781 3 373 3410 13 16844 4933 1 12925 2964 1 7109 3820 1 11877 1399 2 7670 316 1 11111 244 5 7592 3556 1 14753 1825 1 10313 4107 1 14696 3911 1 908 1996 9 4910 1374 2 2405 883 10 14522 518 2 7165 368 3 16477 1515 1 3419 3293 2 19223 1757 1 13642 2423 1 13614 205 1 5611 3113 2 11786 876 2 18776 8183 2 13430 6107 10 16343 200 1 241 196 1 7652 8117 1 7080 514 1 878 3757 1 17200 6738 2 18287 1374 2 9579 1548 1 4657 5303 39 12281 206 1 11562 7327 1 16470 7719 5 15366 2649 1 19018 173 7 10190 1282 6 10670 1062 2 11654 8031 2 11423 1043 1 9835 6764 1 18144 1399 1 3931 1548 1 6781 1241 2 13490 4856 1 11865 215 2 6152 2528 1 9869 1062 6 9009 3423 5 13475 3516 1 10701 1236 1 2864 1464 3 1263 2350 3 14789 5740 1 1043 3338 1 8083 704 1 15165 2729 1 6538 4435 1 5900 7665 1 3589 5318 2 15592 1285 1 3924 5694 1 6907 903 2 5433 545 2 3181 943 2 14675 3391 2 20268 4944 3 5042 4413 6 10521 1769 8 15495 1779 1 4907 6065 1 9062 2832 1 16394 1814 2 15363 236 11 19578 6246 6 16085 2930 4 4561 7998 1 17858 4266 2 8793 804 1 8489 6069 2 153 7064 35 19847 484 1 791 3614 1 161 3884 1 14077 7001 1 9528 534 1 10245 3928 1 5969 4902 1 17740 4765 4 13882 7029 1 1772 4963 2 13837 6554 1 13985 817 1 1989 200 4 3747 2671 1 9017 1237 1 6769 7538 1 2871 203 3 4252 214 1 13827 336 1 15862 6047 2 4688 721 1 11179 2076 3 16042 501 1 15471 5817 2 3853 3655 9 10279 1768 2 10522 2831 1 4376 1248 3 1258 1827 1 11727 5256 2 10856 2831 1 7526 295 1 2094 1245 1 12502 1464 1 19234 173 5 18320 2854 1 12147 1275 1 1557 1940 15 14323 1752 1 19426 253 2 15474 1730 2 8913 910 1 35 1910 4 8245 223 1 2266 1825 1 18508 1615 2 11461 7296 1 4085 3017 1 17924 6235 1 12373 3705 13 3871 1699 1 1447 4279 1 13740 7597 1 10777 3596 2 19255 518 2 4976 184 1 2796 525 4 9465 7256 1 6021 4019 1 14114 2936 2 3037 545 3 9332 1228 1 10805 5018 78 17009 519 2 7464 519 32 1746 665 1 18307 4635 1 15185 6205 1 5390 4716 1 4170 505 1 404 6507 3 9826 4812 2 15980 1573 3 6978 3449 1 3871 2885 1 9597 222 5 15104 2358 3 7979 6225 1 16183 1819 1 17056 2171 5 13919 5320 4 13070 3824 2 6842 6111 8 14658 883 1 10993 5783 1 15009 1762 6 2704 4390 1 5778 1647 1 19279 6080 1 16964 1909 2 6538 59 8 5801 4489 1 12970 6288 3 3951 1877 2 9969 3012 1 10670 1146 1 10747 219 5 14695 7699 1 3619 5750 6 4688 916 1 4597 2488 2 5960 3569 1 6183 1277 2 13758 2602 1 1171 200 26 11687 8192 12 13566 718 5 19017 2737 1 20037 3117 2 7239 1719 1 107 4805 3 8237 644 1 2947 995 1 7268 4299 6 12196 141 5 4191 6584 2 10289 6597 5 11977 4703 4 1650 7471 1 14617 7890 2 9574 3571 13 4468 2920 1 2413 3190 2 4348 1771 17 8761 236 1 13642 3956 7 6283 466 5 3109 3736 2 19354 7534 1 10973 2951 1 11282 2675 10 14992 777 10 11219 1488 1 13733 7245 11 15364 1250 2 5549 3610 1 13590 719 3 16700 814 2 1752 2617 1 11772 2653 1 3489 234 2 17185 4615 1 10363 3868 1 11052 1810 1 95 827 1 9072 2363 1 12826 126 1 16248 6341 3 16641 6602 1 40 2083 1 17701 1665 1 1806 1593 1 20074 129 1 13517 2258 3 3651 205 1 601 507 1 11504 4369 2 12663 2342 1 12843 1482 1 1062 2191 10 3636 8036 4 11562 3458 5 8416 489 1 2944 4572 35 9369 2069 1 11320 1104 1 945 4245 2 633 5262 1 16500 200 2 11616 719 1 691 1781 1 10771 1482 3 11581 201 3 18795 193 1 11931 8036 1 222 2595 1 4507 214 1 10984 3271 1 14211 190 3 9318 2363 1 19060 8178 4 1504 3222 4 19511 2789 1 8250 1748 3 3397 905 4 2345 2068 1 4975 1007 1 16258 325 4 1152 6534 6 11835 2093 1 2611 8183 1 3085 668 1 8269 656 3 6475 1734 1 9168 2353 1 4150 659 1 13971 3233 8 4984 863 1 9462 7535 1 16029 184 5 9741 2552 1 3806 1342 2 7135 2683 1 18247 805 1 19322 7690 1 379 4260 3 6589 5312 5 10002 1474 1 14221 3540 1 13955 7254 1 4583 5413 1 8377 471 4 3785 1529 2 7012 1732 2 13448 7351 1 16130 1946 4 1693 1755 1 18609 4992 4 9045 1717 1 16819 6077 1 6853 1664 1 12311 1775 3 5769 3278 1 9389 1020 1 16792 7968 2 1834 834 1 5911 6259 2 18278 3976 1 11314 397 1 14060 4992 2 18508 494 2 9122 1761 1 12205 5097 1 11259 4271 3 11313 4471 2 17 1068 1 6091 6995 5 3015 366 1 3069 6051 1 15510 1235 3 18247 3899 2 8656 6754 1 18115 4512 14 12237 23 5 14053 514 1 3666 5206 1 216 6192 1 9322 1778 1 8683 708 2 8720 222 6 14698 3525 2 9369 1529 1 18833 1740 3 1530 214 1 10908 506 1 18045 1946 1 16969 7307 6 7045 220 7 19137 621 5 15653 1655 1 745 611 2 18587 304 2 3750 676 2 3331 188 1 9722 1722 6 3659 5257 1 2204 554 1 19728 4967 1 10852 6946 1 10675 2356 1 4492 1184 1 3334 6053 3 3390 201 1 18571 2691 1 11968 1737 1 10856 233 3 9975 1909 6 14089 6251 1 16676 1762 2 1332 2913 1 17306 4246 1 16500 1243 2 8619 4792 1 761 203 4 5798 7747 1 4663 379 1 17523 2958 1 17537 3643 1 19857 656 1 2972 4222 5 18483 201 1 7425 2569 6 5110 6107 1 5977 532 1 13733 23 3 4069 3911 1 14758 2514 9 11065 1729 4 18207 498 1 15171 1721 1 15408 496 1 15817 3211 7 6420 1396 2 7817 910 1 18431 225 2 5188 2071 2 1506 1253 2 1986 4972 1 5972 7455 1 11660 891 2 452 7595 1 7799 496 16 15943 491 1 4688 567 1 13337 2118 1 16256 3768 1 5161 4446 1 10190 2269 6 15429 1352 1 83 711 1 10105 1732 2 1183 10 1 8607 1629 1 5984 186 2 4140 3820 1 17637 6245 3 6332 4012 4 12827 1721 1 4537 470 3 18442 3869 3 7574 3023 3 13153 207 1 15618 4271 2 15559 1770 1 47 2365 1 14678 4501 1 7507 534 2 5559 533 20 9732 709 1 7188 1724 3 15272 1342 5 8620 4435 4 5431 6534 1 2499 1359 1 381 900 1 12902 5389 5 1109 36 2 16895 7474 3 17700 3180 1 9249 6268 1 14349 532 1 7965 1819 2 4843 629 1 12988 2097 2 7340 5386 1 143 6557 3 16278 1910 1 379 3338 6 15515 1784 5 14897 2614 1 20174 6754 7 5373 203 5 3 133 1 3555 537 1 2917 7948 1 19032 1453 2 85 3895 2 13261 883 1 15015 4460 52 12782 2661 1 16345 7297 1 15508 776 1 2885 23 6 14301 2208 1 1520 4339 1 8082 262 1 15518 3179 1 15473 3911 5 5936 3882 3 14519 237 3 8913 5341 1 16583 1277 1 10786 1689 1 13608 4623 1 14416 1752 1 6773 6407 1 15429 1251 2 7306 737 1 12616 2675 3 18334 4476 13 11574 7406 5 18413 1105 6 536 1334 1 12131 814 1 11870 3533 1 7407 470 5 10360 4903 1 12375 199 1 11613 853 1 13672 7658 1 12149 1780 2 15426 6692 1 12212 4314 1 15934 5575 1 12489 1863 3 10919 5099 1 873 2720 1 9679 1237 1 5882 548 1 15345 1751 3 6206 4187 8 12514 1356 1 17403 494 1 5462 4714 1 5281 225 1 70 3293 1 17574 1248 2 11755 4383 2 4301 6091 3 4709 525 2 2385 6055 20 15430 1921 2 16339 1363 1 8528 2363 1 8865 1783 1 1518 2065 1 3558 3696 6 18939 3952 1 3090 3333 4 12345 3615 5 3702 759 1 9732 573 1 7626 2065 2 3471 1717 2 15722 496 1 10355 2649 2 11 378 1 10095 1295 1 5994 1779 1 16264 6839 1 1645 3475 1 15753 2649 1 17911 103 1 4765 5051 2 2212 903 1 3704 8194 8 10730 1716 2 3815 6028 1 11513 4794 1 7691 7532 3 6794 5138 4 6063 3197 3 7823 496 1 7082 4317 1 17662 252 5 7560 4303 1 1035 207 11 2970 1704 1 4458 4567 2 17298 1727 5 9245 6599 1 7530 219 2 16450 2089 1 8001 1615 3 7708 3741 1 16620 23 1 14632 1181 1 1498 864 3 346 7594 1 13806 857 1 7612 2797 3 3768 3592 1 9017 3084 1 886 1938 1 4435 243 5 10627 1112 1 18197 74 6 5562 7857 1 4539 4016 1 7994 6068 1 7568 4635 2 5453 1222 1 4859 510 1 17578 2915 23 2980 5257 1 11964 863 1 15166 2118 1 5181 6535 1 8196 5496 2 18357 1783 1 19820 2581 1 8340 637 1 19293 2352 2 13719 1908 15 7357 4614 5 14800 3278 2 1485 23 2 18842 2229 1 9784 1721 1 7417 520 1 16921 4202 1 4221 4967 3 2963 4299 2 11968 496 3 11755 5526 1 1491 1247 5 121 5270 3 6592 132 2 16914 957 1 6687 367 5 12994 441 1 17328 4369 1 10051 2010 2 18119 355 1 19017 197 1 7317 588 1 7823 5397 1 11399 5444 1 17628 1437 1 2204 3534 1 8211 512 1 2164 184 1 15785 574 1 6127 4601 9 15419 4242 3 3186 2085 1 19867 6132 1 6706 1727 1 10435 4489 2 10128 3931 5 12890 496 1 11779 4371 1 188 1472 1 16880 214 3 3178 1193 2 9299 795 1 10736 477 1 12495 3852 1 2104 559 1 13 582 2 1859 809 1 13348 221 2 7725 2413 2 19117 225 3 10897 7201 3 11406 1118 1 15330 316 1 13210 4077 5 2194 669 1 19737 6723 2 9718 274 1 13126 5319 1 19348 2729 1 96 4388 1 17866 481 1 11860 206 1 17992 2675 1 4554 1995 1 6670 1395 1 18170 2639 1 318 1731 2 9457 1112 2 12929 5555 1 6551 1035 3 4155 432 1 12909 4435 2 18393 201 1 2899 525 1 711 1253 1 4629 6532 1 6348 7690 7 10613 3167 1 5178 518 1 3120 23 1 12464 1239 2 14292 2331 3 3683 1721 1 10670 4459 2 5104 895 1 9941 5165 1 9423 314 1 15778 236 2 20122 1163 6 16708 1961 1 11020 6903 1 5873 4728 1 9503 507 4 745 206 6 6313 7962 2 4985 1687 4 6420 4291 11 2149 219 5 8842 4055 1 5444 390 2 15084 519 4 15608 2276 3 1559 2958 1 13032 524 1 17084 6334 1 15189 3551 3 45 2324 1 12148 6526 2 12638 2534 1 10554 5952 1 18656 783 1 16160 2552 2 16790 2683 1 7306 670 1 11678 1054 7 18403 7474 1 2935 5670 3 6387 3710 3 8709 3365 1 5683 7178 1 124 5402 1 126 5705 5 14087 5951 1 15586 2626 4 6651 1714 3 5703 1710 8 19322 1825 35 9171 6979 18 3892 670 1 1542 1727 2 18305 541 2 7823 4446 1 15096 2620 1 109 1755 1 5773 2513 5 10498 4328 1 17039 3408 1 6412 3600 5 12985 312 3 447 292 1 18082 6627 2 8237 3462 1 20101 6046 1 4188 637 1 12575 356 2 2445 7167 1 3687 789 1 592 5256 1 9374 1756 1 15898 7404 12 10965 7268 1 10079 6623 4 6197 2571 18 9596 413 62 14599 707 1 17078 8235 1 1834 6551 1 17847 803 1 6061 3592 12 13065 1236 1 18486 3896 6 12745 222 20 2353 131 1 1634 46 13 910 235 2 16019 633 1 15216 1464 1 3399 5005 1 4155 367 2 4446 5688 1 16236 1244 2 6186 1734 1 18734 7461 1 15871 788 1 10943 3020 6 15379 3382 14 7859 7433 5 4815 1762 6 954 2618 1 13076 387 2 16192 7624 1 14193 1658 1 2147 471 1 8670 3511 2 1072 2488 4 10242 223 1 5622 3945 1 16006 4692 1 9374 1342 1 15681 336 1 16262 6534 1 113 5034 2 13490 2964 1 18857 222 3 14046 2767 1 17512 429 1 19509 5884 3 10068 3682 1 5329 1342 1 15548 1246 1 5835 6065 1 818 470 1 18792 827 1 9141 1747 2 17405 1736 1 1312 768 1 1590 2922 2 17463 863 1 1363 5315 115 9882 6337 1 19425 164 5 2643 723 1 2929 4403 5 8701 4369 2 6130 685 5 12322 903 19 11392 1904 4 454 4303 2 19272 4508 3 81 3669 13 6219 2363 3 259 4982 13 16417 1296 1 17736 885 1 151 4877 1 7993 1484 4 385 4761 3 2147 1208 1 2806 6278 9 16267 518 1 5207 864 1 16089 1771 1 8169 759 1 1911 3375 3 3516 5264 1 18727 200 14 7348 2681 1 16413 6179 8 4933 2499 3 3863 2671 4 13961 215 1 977 833 1 7432 1454 18 9628 316 2 10183 532 4 8323 3733 2 3231 533 15 10345 7830 1 18730 134 1 13740 1498 4 3295 471 1 19822 7259 1 518 5024 2 17682 3333 1 2475 826 1 3536 6120 4 4092 5561 2 6796 5011 1 4205 6772 1 13614 14 1 3107 533 1 1563 825 4 1345 6526 1 18324 5212 1 13 925 2 1062 1726 2 3150 759 2 15516 545 8 18992 2065 2 4503 3148 4 19872 2964 7 15308 2661 1 11563 4459 1 1735 2626 1 6064 1073 1 19594 3308 3 6133 4179 15 785 508 2 5169 1253 1 11737 910 2 8439 1482 2 216 2509 1 1802 1307 1 16218 1416 1 10758 6536 2 18887 4944 1 1191 1727 1 6359 7487 1 11250 6091 1 13234 592 1 7184 1686 1 16674 2498 1 469 2626 8 11032 1642 1 14584 4653 3 2446 8203 1 15261 4435 4 7288 1999 1 11131 2399 1 17174 4016 1 38 2021 1 15982 7018 6 11217 1395 1 15529 845 1 5968 4998 4 15758 6231 1 10693 3331 4 13327 232 2 11019 1374 1 20138 7347 2 3749 647 4 5896 506 2 8022 875 1 9835 2095 1 6514 1762 1 17500 258 1 3025 221 2 11512 1352 3 3954 1535 3 15069 1730 1 2803 3728 1 4632 510 1 13829 498 1 11327 1748 3 9535 510 2 7883 1437 1 9937 11 1 2138 2096 1 6348 316 2 3485 501 1 10361 891 1 7331 1755 1 11018 220 5 7452 902 1 16249 186 17 19355 2362 2 2796 7624 1 2739 1241 1 3835 4396 2 2710 5408 1 17061 3423 1 280 6640 2 9323 2963 2 15701 1825 4 18884 3510 4 14896 1768 2 10290 336 7 5936 1988 13 3826 2009 1 14305 614 2 5433 5757 1 9409 5874 1 11291 4391 5 9670 2097 2 18278 1374 4 17436 3698 6 4263 849 1 16570 2488 2 9556 3660 2 14972 1146 1 4092 184 2 8348 550 1 15860 639 1 1488 785 1 11474 4019 3 2265 2649 2 6850 2687 1 8275 2721 2 3075 5018 1 8644 2900 1 12216 508 5 2322 6098 1 4509 4268 1 15387 219 2 12775 1305 1 12988 1305 1 5809 1781 1 8082 2146 1 14165 3233 1 18028 7258 2 4889 3464 1 11996 201 2 8004 233 1 14905 1772 1 18518 247 12 11594 809 1 4967 4022 2 1884 2675 13 18096 244 1 121 865 1 2673 4982 3 1749 6161 12 11428 203 5 13954 1632 1 6750 3338 3 9528 525 2 17 1036 2 7699 200 4 14066 6758 7 11343 6663 1 7179 692 2 8787 4248 1 7499 1401 5 11272 7857 3 4989 3696 3 5696 883 6 9667 3408 2 12174 1739 1 8636 1245 1 11077 3526 2 4779 8037 2 4623 525 2 18854 3206 10 16332 550 1 2738 4674 1 5621 2268 2 15074 5817 1 9046 3044 1 8051 7425 1 1679 1423 7 171 7644 1 11384 1758 1 14863 8141 1 686 3896 12 15318 8141 2 19067 3006 1 11042 510 2 6473 1271 1 16196 3945 1 11204 203 3 10887 4355 1 15595 3799 1 9568 4653 3 19722 220 2 17477 1698 1 993 637 1 12294 1707 2 1805 5120 5 10169 5979 1 6420 6884 5 2540 931 3 3147 229 1 12853 4022 1 12688 1029 7 14522 573 1 12297 5586 1 6070 3693 2 17969 2017 1 9759 1661 3 3505 398 1 13500 3189 25 18681 148 3 13328 5393 1 18724 3464 1 460 3058 1 3934 1827 2 8121 207 2 16140 2504 1 8944 745 1 5013 1722 35 14742 823 1 7294 5111 1 3168 2250 1 100 375 1 16914 5413 1 12196 874 16 7046 5060 3 18711 891 1 14233 1698 1 18815 3221 2 9868 2516 1 17633 48 3 5617 4304 2 14497 498 1 1634 5251 1 13328 3684 1 11336 1739 2 10879 5758 1 11663 74 14 10679 5120 1 9245 8141 1 11985 3367 1 3505 1101 3 8767 4458 1 494 1830 3 12806 6528 1 5596 502 1 8526 4852 1 3111 6106 1 1364 7831 1 15002 5555 1 14372 1307 1 18665 6793 1 18371 2407 1 17901 1352 1 1860 593 1 4425 7098 1 5380 215 2 18667 514 1 8614 6557 1 5652 1784 9 7994 911 1 6313 688 2 4489 3728 3 2752 2360 1 19494 888 1 542 398 1 35 1873 1 5643 4258 1 8249 639 1 9753 3906 2 11207 7095 2 6811 4430 6 8231 6481 5 6449 2676 1 126 5601 1 2460 1236 3 7099 3230 1 4998 714 5 19654 363 1 13015 219 12 4196 1727 1 16215 684 1 10758 6540 1 4804 382 1 17603 1466 1 270 190 1 5641 6638 1 2619 3584 8 16810 709 1 4371 4853 1 7181 220 1 2306 47 1 10183 525 3 5827 419 1 11164 4274 2 19881 3892 1 17477 3230 16 16248 4274 1 17290 2567 2 394 2301 1 18672 367 1 14800 7687 1 10659 3511 1 7039 3175 3 14892 205 5 1151 866 3 10847 768 1 14960 2584 1 17369 5827 1 3382 6288 1 16368 520 1 5601 23 15 12614 4992 8 14211 207 2 10014 2675 9 12107 4245 1 7206 891 1 16140 385 4 1007 403 1 8299 3349 1 3677 1275 3 9280 3202 1 4158 4312 1 759 206 3 11625 7534 1 7815 3366 1 19822 8221 1 12934 1363 1 13479 3783 1 460 1779 4 130 5888 1 2177 6210 2 15969 1357 3 8237 186 1 9178 3310 1 20219 496 3 9743 3005 1 3358 5135 1 16096 1250 2 5533 8178 1 819 6665 1 14344 7094 6 8369 299 1 4406 7495 1 11912 6645 1 8690 2380 1 16564 4270 4 4876 6229 1 7335 5244 1 5188 756 1 16810 864 1 18428 662 1 15450 7994 1 5980 1715 10 1154 1761 3 11926 1190 1 18413 4383 1 4716 1649 2 17998 206 17 14727 5130 1 3581 2043 3 4418 2146 2 18734 2605 6 17850 6091 1 15676 7605 1 6647 5156 6 9691 203 2 18666 1814 1 15496 380 1 5118 40 5 12633 2138 1 19755 4739 5 15154 4296 1 1843 588 1 8383 2995 1 12810 7734 1 18711 5253 1 14191 670 1 7465 202 1 6602 263 1 9820 1395 1 13747 867 1 8606 2392 1 17555 6714 7 17580 1518 1 6332 807 1 7386 6435 23 16825 681 3 159 7245 1 13741 6741 2 3355 225 1 16238 1825 13 6074 7808 4 11377 4946 2 4780 7986 29 4561 3464 1 3585 7632 1 12764 4774 2 3037 2385 1 16698 3538 1 7835 3056 21 86 3980 1 12294 1819 5 15015 4459 48 15608 6582 1 1008 470 1 4305 688 2 2345 4225 7 15782 4415 3 2992 1332 1 19200 2958 1 17416 1590 1 16540 3980 1 5899 4409 1 12818 3906 5 7180 6078 1 10862 1146 3 3963 4288 5 12409 2505 2 14078 490 6 10478 1769 2 5659 5054 1 10139 1211 1 5775 171 3 3483 6257 1 2189 5881 1 15064 4345 2 161 7358 1 18040 5547 1 9539 2151 2 762 1109 2 18512 6152 2 5287 5105 1 10670 164 3 2161 201 1 14666 6238 7 1273 95 1 5134 5052 5 4849 244 8 19774 2958 1 2628 3511 2 13119 533 1 12444 23 1 11968 4024 1 17476 3909 1 18067 4742 1 10827 232 2 16016 6084 3 11458 2531 1 1191 7220 10 73 895 1 19879 4609 1 3246 6595 1 6538 1205 1 2535 6053 2 3790 5418 1 7338 7071 1 16016 6059 1 6776 4963 6 1135 124 2 1043 256 2 4832 1707 4 13711 5807 2 12345 880 7 6105 575 2 10218 6962 1 15419 1681 14 13574 221 2 11504 207 1 13997 785 1 15952 392 1 18410 644 2 9187 512 1 18561 6969 1 11781 292 1 17610 755 1 17039 4623 6 4227 4983 1 1183 1359 1 4008 1814 1 16063 7614 1 14109 6107 1 15104 200 2 19316 2002 1 17366 6204 16 14211 1770 4 12464 1698 4 7412 1508 1 15713 441 1 3312 2885 10 18672 1248 1 17373 1751 5 13358 3180 1 12548 303 1 9759 3155 2 19910 7440 1 5786 5064 2 19332 6188 4 18578 8139 1 4307 2964 2 19387 3057 1 13370 5398 1 8599 1781 1 8946 691 1 1608 7824 2 10032 7222 3 12881 5674 3 11786 5036 4 19655 95 3 5870 2777 5 610 1737 1 1000 3595 1 2855 1356 1 5362 244 2 4356 1395 1 4566 1658 4 16380 3045 1 6640 5573 1 92 4175 27 4127 1610 3 3118 3050 1 14651 1234 6 1551 225 1 6539 840 5 10116 3591 1 1171 1779 2 3221 1105 1 14539 1237 2 13162 901 1 1702 1244 2 12841 186 8 5899 4794 1 16242 2331 1 3571 292 1 13129 1727 2 1860 7324 1 11375 200 9 15471 967 1 14048 2980 1 1638 3186 1 17650 2737 3 3665 1323 6 542 411 7 1098 7474 2 11072 4280 3 10629 3693 1 6527 425 1 9503 6155 1 1609 952 1 5229 8143 1 17167 501 3 8250 5099 1 13011 519 1 10009 1112 1 8831 7878 1 15608 1743 3 7056 6972 2 5477 2791 3 11899 6534 1 11921 3081 1 14150 7900 1 13100 7614 1 11702 1251 1 998 184 1 12205 7178 1 15904 214 4 8343 680 1 5243 3411 6 4234 1245 1 1625 3053 1 2562 3511 2 7199 7518 2 6369 206 1 10853 4947 1 4784 2352 2 9017 8194 5 5537 6130 1 8640 4992 2 15144 786 8 847 233 1 4174 1721 1 20085 3186 2 1866 4060 2 12650 2173 1 8890 190 4 3044 658 1 3650 4074 5 7231 1239 1 11926 2080 1 7179 840 1 14733 3408 2 5588 4816 3 15830 6228 10 31 1363 1 13932 2399 2 1899 502 2 10396 237 3 17174 148 1 143 5104 1 2325 1753 2 1465 5844 1 13543 4540 1 14049 2646 5 14058 2261 3 16470 3511 5 8009 6126 5 4805 3974 2 19089 232 1 12322 156 1 9041 429 1 19895 23 1 1481 1762 7 950 6058 1 9019 1717 7 8606 1238 1 12660 2678 1 18524 1721 1 17946 7205 2 763 47 1 6152 880 2 602 23 1 593 197 1 18215 6341 1 19494 957 1 2674 4207 1 8738 347 7 6940 6762 1 3694 3911 17 6929 1710 1 15318 4623 11 8714 2880 1 2043 7220 2 5023 1284 1 13 736 2 9721 5325 8 2973 1784 4 16135 1250 2 3934 1877 1 17132 1450 2 17173 4218 1 15429 3748 1 19823 1695 1 2329 944 1 18932 625 1 18341 1404 2 18879 1303 1 13 590 5 382 1737 2 18867 221 1 5600 2290 1 15025 6343 2 4181 7256 1 19218 631 1 19284 3261 5 6823 1884 9 8198 137 37 14986 2343 4 11898 7142 1 4999 3442 1 3940 3334 6 7530 1658 2 4690 5090 2 16805 5355 1 979 2656 10 12245 5515 1 8386 3394 1 12322 2686 3 6510 3809 2 11504 498 2 11156 211 9 10404 437 1 18476 1209 1 15973 1647 7 85 3913 1 7662 6292 2 10411 2307 1 12801 3522 1 17472 1522 1 17450 2748 1 8628 7723 4 18529 7964 1 7635 197 1 6795 4816 1 12501 863 1 7682 574 1 10911 615 1 14664 7890 22 16569 3491 20 9224 810 4 15471 864 1 13740 8188 2 6741 6704 4 14276 3408 1 1839 4019 1 4147 6875 1 6690 822 1 10498 4275 1 116 1825 1 5532 885 4 1171 2534 3 19548 206 1 10023 1911 1 10049 4320 28 2004 1395 1 14617 1698 2 6132 5899 1 12476 1739 1 10324 214 7 9392 244 1 6168 518 1 18122 6341 3 10856 3595 1 8486 2555 2 7214 1780 1 18237 197 2 13994 3219 1 4912 2550 1 2771 2699 2 11353 7079 1 9224 690 1 3996 4242 4 1530 201 1 17751 4819 1 4631 1464 4 9439 6283 1 13829 1251 3 17575 5234 2 6902 5108 1 11868 2953 1 10722 3494 1 3324 3081 1 9116 5674 3 208 6322 1 6611 5000 1 15192 3371 1 18340 4383 6 12316 1184 2 16432 1238 1 12289 501 3 2795 2478 2 15182 702 4 15318 5758 6 6932 5686 1 18307 7018 1 130 5867 1 4906 496 2 1286 1134 16 2261 7596 3 19527 1134 1 11504 2618 3 9091 8195 5 13373 4404 1 18149 1482 8 4940 891 1 7390 3871 1 7780 4383 2 11502 5281 1 8751 541 1 9945 5565 1 16287 6441 1 14557 2114 1 10579 1340 1 13358 1704 1 8760 134 1 1976 84 2 6341 1265 6 7432 206 3 4841 1772 4 5727 1825 1 15128 6084 2 13320 201 1 19680 4041 1 13615 524 1 8716 3742 28 14603 4683 1 16452 6150 1 3351 2104 1 4704 514 1 12756 1153 3 3915 390 1 13776 2032 1 8636 367 1 5074 4987 1 3981 1739 3 10323 2409 3 8597 2276 3 17065 1768 1 5559 3163 13 11687 506 2 14040 1453 6 10220 253 1 6395 517 1 17079 1212 1 2764 3228 2 3397 2930 3 15221 5380 7 2003 229 3 11936 891 8 9547 4618 1 3101 1037 1 4589 196 51 15091 65 9 14663 498 1 19041 6701 5 16087 528 1 20016 6207 2 8989 6917 1 14849 5320 1 16590 890 3 1738 6724 1 2525 5922 1 6095 390 4 1499 5585 1 10180 198 1 19401 3190 1 863 573 6 16234 5349 3 2905 1283 1 9512 6761 1 9368 201 1 17740 4764 16 19975 2398 1 8614 5570 4 1079 411 12 1922 229 4 7392 2737 2 7065 1312 1 18237 1779 1 10815 2918 1 12915 196 5 13305 6486 2 3963 910 1 10467 206 1 12576 3556 1 3774 336 1 9269 963 5 19072 5532 1 5890 925 1 14618 219 1 270 221 1 13035 3329 17 10552 411 1 16165 3475 1 11611 23 1 17120 252 1 19149 5282 1 9773 4489 5 15782 1685 1 126 5622 1 16197 4774 6 4808 7198 2 5162 1398 1 4716 1781 2 16722 7470 1 323 175 2 4941 3943 3 9787 5266 3 4948 6992 2 12669 4041 17 6808 5677 4 3396 1236 1 18892 3230 1 9317 1482 1 6835 2930 1 5003 755 1 9275 3731 2 7139 6121 1 8716 2562 11 17580 3522 1 4015 8141 2 9484 2698 1 12522 3685 4 11687 6200 4 19418 534 1 15932 3283 1 13623 1380 1 15232 1376 1 13880 963 1 16344 1362 1 16257 108 1 1881 7823 1 15272 1253 2 15100 626 1 11680 3586 6 15503 4130 1 9865 1751 9 679 4288 1 5444 382 3 873 6945 1 3516 3367 3 6961 505 2 6485 4511 2 4282 5903 1 7676 891 2 5140 220 1 1844 4107 1 835 201 2 1291 1851 14 15634 1938 2 10449 2596 6 18460 6012 4 18340 1296 5 16299 7953 2 15589 792 8 8100 1785 3 18320 3016 4 16977 466 1 10351 2691 1 13 615 1 15618 1571 1 17911 789 2 20199 7257 1 13 824 18 5775 2534 3 14182 6527 1 12826 6953 1 9883 548 1 3048 46 1 7390 4544 2 4965 175 1 10058 3689 8 18408 2401 2 19602 3053 1 2609 318 1 15030 1772 1 6595 496 4 13078 221 1 7535 1722 1 16853 4387 1 7688 5291 1 17675 2082 2 531 2678 1 13461 233 2 64 3065 5 17788 6678 1 8499 6018 1 5244 3275 1 445 1244 1 13773 173 1 1760 518 1 11388 8194 5 6269 26 10 13624 8141 1 17831 1191 1 13684 1209 4 19292 3837 1 6164 1827 9 19448 6719 1 17400 2595 1 6712 914 1 14037 3378 1 6519 1775 10 6995 207 2 10883 804 1 14891 395 1 4410 6993 1 10975 7022 2 16063 2758 2 15929 5312 1 19939 4992 1 3553 4397 1 4519 2489 1 13948 4746 3 756 1760 1 42 2156 1 5494 809 1 4860 3399 7 7994 596 1 14247 7212 1 10360 2031 1 309 1740 5 7943 2356 6 17710 2213 5 9978 7120 1 15074 5879 1 5994 1395 1 13023 1714 1 19486 3503 1 7469 1770 1 1542 510 2 19026 1781 4 17719 1396 2 11656 1206 1 12904 2488 1 10592 4955 1 14221 5294 5 17463 1893 1 12585 5312 1 19798 1728 1 11605 244 3 7977 229 1 3651 3732 2 14657 1901 1 8815 6677 1 19582 6271 1 13412 5758 8 126 5648 1 3156 5436 1 14986 3761 1 16088 1535 1 7308 1703 6 7750 252 1 14618 524 1 19737 1343 1 8751 2877 1 6906 4957 1 4869 4600 4 19887 1784 15 685 1230 1 12846 221 3 237 3032 1 9347 184 12 8323 4579 4 5653 2352 1 15364 3357 1 8895 786 1 11239 3522 1 16159 1342 1 3449 2367 5 19971 3600 1 16977 6100 1 1068 3625 1 16266 1251 1 1130 3623 1 4708 6341 6 12762 411 2 15556 1395 1 17072 525 3 10549 1235 5 9462 5339 1 19267 721 1 13599 8203 5 15474 8184 3 14213 5986 1 12603 1312 2 18491 1784 1 12935 4622 1 17966 1239 2 11551 1242 2 2319 7050 1 11243 1119 5 15133 6053 1 16471 220 2 10733 7704 1 7181 242 10 17789 1749 1 17083 833 1 18902 5303 1 15560 367 2 1678 745 1 3881 2505 1 17675 1707 5 12279 5379 1 188 1450 2 825 1338 1 8232 2089 1 13859 7568 1 1875 952 1 2285 7719 3 778 445 1 5796 1721 1 20251 4998 1 12320 6231 1 14606 1052 1 164 526 1 9337 383 1 6682 2354 1 5834 2601 1 17825 6793 1 10586 5066 1 12383 1023 1 17787 7120 2 2194 915 2 1442 2686 3 3249 1751 2 4529 215 1 3584 2151 1 17589 5952 1 5854 7554 10 15508 7029 1 10857 8181 1 3090 2675 7 3531 207 1 14527 1244 1 14087 4403 2 5836 5436 1 13351 4902 7 9978 1208 2 17086 8072 8 5117 765 3 9432 620 1 7615 1235 1 7882 2889 1 11676 1315 1 6314 7980 1 106 4086 1 20029 3408 1 1773 505 4 11849 928 5 1631 3328 2 133 2686 1 2462 6410 4 9433 1248 2 8737 2419 1 1969 5281 2 10535 23 1 12665 200 2 9168 505 5 12457 876 2 3504 3283 1 11854 6011 2 6356 7682 7 9968 1739 1 17228 1776 4 13461 336 1 14490 6278 1 9873 5345 6 18809 4998 1 741 215 2 4913 4672 1 5877 5559 13 15202 5327 1 1875 3338 1 2100 1762 3 12152 2877 2 14197 303 6 9954 4363 22 13327 1707 1 15124 7138 2 9968 413 1 715 3514 1 4458 679 1 5915 7337 1 1139 3909 1 11402 792 1 12688 1561 1 879 524 1 18756 232 1 12325 2729 1 13729 6692 1 8603 3998 5 3189 500 5 16624 5140 4 18299 3334 1 5056 510 1 3852 5341 2 10034 6271 2 8560 7562 1 14254 1 1 1467 4833 1 10479 1314 1 1568 6721 2 3307 7259 3 13230 292 1 3940 4531 1 10471 3587 1 17607 5875 2 20120 2622 1 4530 397 1 6109 148 9 152 6841 1 1286 1686 3 11072 1250 4 16033 1794 1 12250 3228 1 2454 6106 6 19817 526 2 16857 1658 5 1536 1907 1 2780 200 5 10903 3067 1 10216 8169 1 7676 4259 1 13024 660 1 5925 5420 1 176 8150 1 1053 745 2 18476 642 1 12108 1649 2 5960 4553 2 19822 5820 1 12817 409 1 5695 520 1 13928 3222 1 11502 3547 6 10263 6371 1 18568 505 6 3724 1235 1 18508 1276 1 14532 6423 4 1265 3519 1 13132 850 1 2606 219 3 17353 2678 3 6997 6545 1 5627 2541 4 17104 2114 1 7943 7498 2 6259 5121 1 1214 1315 1 17127 215 1 7182 198 2 2764 200 1 4272 1529 1 4631 2881 4 9270 6925 2 9983 7470 2 10784 2889 8 5996 7599 1 3447 1819 2 6437 1777 1 19865 5551 1 4667 3913 8 15958 2677 1 3310 2419 5 8628 4974 3 18193 1732 1 16726 6938 1 4454 4156 11 11353 2932 1 12367 4754 3 4165 1145 1 15856 7666 3 19135 957 1 6740 672 1 170 201 7 7242 1652 1 1551 2656 1 6090 148 1 174 8109 6 14366 7257 1 15061 452 5 8732 4998 1 13470 2908 1 12464 1761 4 18656 4250 1 11225 1686 1 1986 340 1 12897 3400 1 8921 207 7 3772 207 1 1191 1464 1 7432 5566 3 18026 214 4 7554 4293 1 17989 1762 1 7991 7736 1 5801 2789 1 2985 756 1 6653 1745 27 13759 3409 1 1607 514 1 7853 688 1 1002 1720 1 3400 3320 1 2772 3389 2 10080 1008 2 6183 4623 1 7992 214 1 17224 204 4 17562 5294 7 10254 411 4 3759 6236 1 6283 5105 1 15429 220 2 14059 425 1 8117 3600 1 5505 1825 17 9042 3578 3 787 378 3 74 3443 1 11301 2969 2 4620 3058 21 13730 5909 1 18806 3907 1 16059 4620 2 4632 403 1 1801 2367 2 19270 200 1 18152 6091 1 9930 7719 1 3427 1757 2 11371 1488 7 4013 215 4 17917 702 1 11932 1946 1 14712 519 2 8722 981 1 16031 536 4 16568 2356 2 18779 7097 1 13332 196 5 19957 427 4 15075 2614 2 17870 6031 5 17534 8017 11 14920 502 4 17980 3262 1 11594 708 1 16006 2151 1 8343 2969 3 3358 1819 1 8415 7834 2 5926 3877 1 6369 498 1 16439 6729 5 12 252 1 16601 205 2 19872 518 1 18069 399 1 10879 2341 6 1519 184 5 19286 559 1 9122 7839 2 2221 5306 5 7452 2959 2 18340 4009 6 19654 6933 1 3878 6622 3 15211 225 1 11687 1466 2 20076 3556 1 16417 3747 1 7857 496 1 8999 207 1 19788 1762 2 19860 1242 6 12837 6564 1 7597 679 1 2679 249 1 718 6738 3 19416 6152 1 16107 7719 1 18748 6341 2 6749 578 1 11968 2127 1 10553 5342 1 16018 5945 6 13960 7406 2 6850 4877 1 11041 7633 1 9971 786 1 13562 4796 1 872 1917 4 14362 5091 1 19375 194 1 4520 1760 3 16185 5243 1 8905 2881 1 6509 8016 2 13642 2958 3 244 1284 1 10973 3230 7 16730 579 3 6644 5411 1 15563 2974 2 2153 1728 22 10145 355 3 4049 4126 2 8994 5325 1 1509 5700 1 11328 1760 1 17954 5419 1 1784 1819 1 17507 1342 1 19053 797 1 220 3872 1 4688 627 1 16029 409 12 6492 1758 1 4522 1675 1 18066 8047 1 4757 1703 1 11461 1724 1 4197 3998 1 28 1659 1 12291 501 1 12795 1288 12 18886 409 6 5943 1201 2 14905 1027 1 1391 1756 6 6468 4020 1 6684 1772 5 10832 3951 2 11326 541 2 8965 225 1 15041 501 1 4251 4811 1 2194 3349 1 2319 6164 1 8798 2951 1 8965 197 1 14072 1242 1 13343 1150 1 19885 6210 2 11293 8015 1 18096 6645 1 18748 5018 1 14196 506 1 17633 545 3 17416 1399 1 7015 505 3 2801 860 1 1161 1967 13 5953 5518 1 17387 1753 9 6144 6700 1 5126 2863 7 15599 5420 1 16459 1357 21 4583 3577 1 11362 7997 3 9046 3038 4 17663 1715 2 857 3556 1 3012 709 61 861 967 1 18520 540 6 19089 201 5 9061 550 7 10356 1686 1 10165 893 1 17883 1184 1 19655 3540 1 14727 1357 1 11755 7643 1 8143 1627 22 17828 1778 1 6178 888 5 15258 1305 1 19707 2488 1 2345 615 1 6926 370 3 10610 2793 5 10073 2673 1 14376 1895 1 5863 3684 1 18160 5538 1 9815 2016 9 11882 1748 2 166 7552 2 6613 223 5 15263 411 8 15712 3511 1 11967 2559 1 11598 4698 1 17767 1321 1 19021 222 1 18278 1760 2 13556 1474 3 5706 1315 1 8481 2356 2 14710 3776 3 2103 206 6 7820 8022 1 18431 1342 2 9245 4716 1 2367 1732 3 13460 6721 1 4963 6159 2 15004 1770 1 17403 867 3 10605 7355 1 4791 253 2 4784 1755 1 19658 1395 2 6596 3511 1 15160 1245 3 19222 3911 9 5028 7788 1 10733 760 1 2085 222 1 13925 1762 3 1801 1107 1 2269 3911 1 14057 2736 2 10801 1747 1 11051 1642 1 3426 1234 3 6452 2922 1 12324 510 1 6449 2343 1 18026 2353 2 19812 6227 2 2834 1737 5 18211 4501 1 19494 844 1 17149 4312 2 8378 944 1 16339 558 4 821 1363 1 11786 947 1 139 6346 1 822 5294 1 19395 6219 1 11188 6242 1 11852 5517 2 944 6993 1 15346 232 43 7500 252 10 16806 519 1 3025 1738 1 14778 207 11 11047 1104 1 11270 385 2 10788 3371 1 7879 1309 1 12846 1704 3 2579 4107 1 7625 5380 1 17927 4274 1 11272 7542 3 14896 519 2 6420 1946 6 92 4182 26 1302 6053 3 17730 4274 1 4301 6673 1 7254 2261 1 14666 1471 7 8229 2343 1 1252 4992 1 4703 6898 1 175 4563 4 5453 5850 11 6072 206 5 8831 1237 1 17911 425 1 5560 2675 10 5696 6697 1 12753 5654 1 7349 2671 36 5451 2626 1 2733 23 1 10953 4065 1 14570 1246 1 11336 1282 1 18893 6783 1 18030 7624 1 5981 3970 1 12070 200 10 11745 1253 1 16740 2378 3 12772 4006 1 668 759 1 7568 501 1 19107 23 3 4516 7238 1 9533 514 1 2853 6897 1 9896 1062 8 11678 1147 9 18289 2953 1 20275 1757 1 15769 8184 2 5232 1758 2 14958 3059 2 19286 2449 1 13335 201 1 13601 4462 1 10330 1717 2 19470 2254 11 4593 578 3 9264 745 1 16109 776 13 4768 2339 5 5875 2423 1 16076 1241 12 12898 1706 1 9290 1714 2 9381 1235 1 20145 1743 1 11194 6535 6 14011 7127 5 121 3352 4 19826 5253 2 10907 7458 1 5263 1755 1 16 1010 6 3448 7532 1 7961 534 8 8053 6252 1 10291 1758 2 456 3911 5 3090 3634 1 12879 23 1 7308 2626 2 12826 3220 1 4068 4246 5 13711 6754 1 20108 659 1 11678 4992 2 10984 8167 2 15861 518 1 11314 2729 2 717 525 1 19269 3138 1 14253 201 1 10698 236 1 7991 6713 2 13373 1474 2 19201 319 1 17049 2388 1 16036 8110 11 14906 1740 2 4337 1734 1 1474 1236 21 10324 7494 6 14745 575 1 16719 3558 1 7072 5066 1 2758 1450 6 9310 197 2 7935 200 2 1586 910 2 6517 1782 1 5745 3699 1 19934 1781 2 8102 3584 7 10595 336 1 7812 5119 1 12198 1826 1 17986 1657 1 9767 186 4 18015 7427 12 2935 3267 6 16674 3598 1 12104 1421 1 20019 1863 1 18431 3207 1 4873 5251 1 1794 2024 1 13167 1757 14 15296 545 16 1629 8161 1 9808 1825 1 3358 221 1 16674 379 1 5705 1667 6 1826 8191 2 13686 1731 3 2651 7601 1 334 421 5 13619 7189 3 18240 201 1 7278 2143 2 15621 5043 1 8110 5517 8 11996 7446 1 18173 6152 3 8544 2480 1 6524 1764 1 17290 390 1 8704 1482 3 18082 235 1 9936 3512 6 16980 6085 1 7879 1820 1 2710 1728 1 13972 316 22 1296 103 3 626 7439 4 18769 1374 5 5947 8171 2 7056 1717 3 6451 5829 1 11651 4397 7 15539 6535 2 13645 1266 1 11714 1236 1 1551 910 2 11060 826 3 18748 203 5 11550 220 2 13032 7098 7 2429 206 3 10999 2955 1 20181 2612 1 14522 215 8 6152 5769 1 14842 3554 1 14583 4277 1 10633 1246 2 16724 242 1 9717 498 4 18249 7629 1 14666 2360 2 5322 4411 7 10427 3391 3 15468 1770 2 19725 222 2 2154 2653 7 15817 576 1 13660 220 1 4949 4996 2 16248 5551 2 11854 5322 1 87 184 1 5420 5742 1 11316 2575 2 17099 7142 1 13043 2206 2 4397 314 1 7483 3729 1 16967 220 1 14769 6268 2 5982 215 1 14630 5758 15 7518 5121 6 3149 2682 1 5071 329 1 4691 4016 2 18985 3879 5 3379 869 1 888 845 3 19881 4992 2 7435 2895 1 17683 1062 4 3296 467 1 6332 571 1 95 4367 1 8636 437 1 7406 201 1 16351 2556 1 16674 1251 3 6869 8178 2 6568 4379 1 17549 525 3 11797 7368 15 9309 1714 1 1037 2103 1 8833 6716 1 15647 223 35 12404 5708 1 15593 505 5 6545 6252 1 9295 1247 2 3776 5127 1 15468 2958 1 8597 2998 1 1238 1727 5 1002 1247 2 2784 7931 1 873 1361 1 3649 1244 1 14098 2879 1 3240 510 4 9102 402 1 2990 2146 11 6907 4251 3 8259 4935 8 13159 6058 1 5633 4435 1 11701 3889 1 2671 5685 1 4632 1685 1 1361 401 3 11121 134 1 16048 7628 4 19626 861 1 5860 4956 4 18149 5018 1 4496 1740 1 12322 1720 1 8270 716 3 12290 2410 1 9250 597 1 3175 1099 1 15481 1781 1 1586 863 1 8820 931 1 15098 2675 2 18184 2885 1 12348 5018 5 3735 7915 4 6191 2015 1 1016 1654 4 11786 758 2 17485 6754 1 5401 227 1 1801 1172 2 18149 1739 1 4372 4565 8 4009 6488 2 8052 524 56 15947 7586 1 16667 1825 5 16943 213 1 5471 6632 1 9275 685 1 11644 6514 2 20129 200 5 20191 652 1 13520 4233 8 19649 2056 1 3337 636 1 7107 205 3 5582 2360 6 1345 6592 1 16553 891 1 4810 6588 1 18696 498 2 17486 4562 8 1548 1652 5 19952 6900 1 16303 6421 6 6154 1235 1 1498 812 1 9938 2702 1 2471 2521 1 5141 3135 7 14795 3515 2 9869 623 1 3395 1686 1 14998 2821 1 3594 23 1 7614 6415 2 11369 2193 3 18455 7249 1 13590 2107 1 11866 2691 1 6032 6440 1 16216 529 1 2404 1453 1 11441 164 1 10718 1658 3 20219 3556 1 753 2480 7 1303 60 7 13362 3556 3 17327 1402 13 15940 5279 1 19286 947 1 5540 1245 1 12578 411 1 15429 2027 5 12995 2549 1 3757 6067 1 19912 3648 1 14578 84 1 9945 6622 1 8925 4648 21 6661 1946 15 359 304 2 6403 2009 1 19468 1466 1 14724 2605 1 1968 6500 4 17683 1275 1 14939 214 4 8015 3262 1 4498 3556 1 16857 3613 1 10363 867 2 4340 4675 1 18462 625 1 1024 5365 12 7568 2385 4 11529 215 2 4170 1241 2 12141 867 7 8479 2356 1 2716 470 1 13740 2534 1 15618 225 2 15947 4252 1 11938 6268 3 6343 7569 2 17171 4391 1 15675 3666 3 16306 223 4 7256 7719 6 916 23 6 10311 829 1 2371 5043 8 8987 1245 1 19410 1825 3 6827 535 2 232 232 6 14446 23 8 14458 4096 1 11566 2646 2 19607 800 1 6644 1358 1 14270 191 2 7317 567 1 2194 2871 1 1863 910 1 18252 1062 4 15743 6334 1 11900 206 21 13640 1464 2 3286 2557 2 10225 3583 2 19277 3636 1 80 3618 3 12181 910 3 7684 2269 1 12128 415 1 448 222 1 16835 6226 1 10112 220 1 14800 3308 1 4764 411 9 10733 2695 2 19659 2428 1 8551 634 1 5954 1705 25 16600 605 1 1068 132 5 3226 398 1 147 6711 1 5938 3625 2 252 4337 1 16802 173 1 18149 2013 7 11279 5575 5 3766 3653 1 1836 848 2 6878 3219 1 5445 156 1 17515 4652 5 10728 4254 2 16331 5758 5 8286 550 1 16843 5260 8 16109 1752 4 6990 467 1 16674 2502 1 4344 6192 1 5963 2686 2 4345 4816 5 6560 3923 1 8918 222 1 12995 7754 1 14191 5325 5 2623 4939 1 2850 2897 1 784 3512 1 18226 2646 2 5264 1946 11 10152 6630 1 6039 4145 1 18265 186 11 1465 3781 11 18623 244 3 8440 524 6 4561 3558 12 13842 4131 1 14841 7673 3 13195 3531 35 1133 6185 1 19747 7469 1 4148 3492 1 18491 6213 1 7831 78 1 16972 4019 3 9441 7300 8 9967 2671 12 16340 4284 2 1535 6198 2 2696 6663 3 18876 1357 5 18144 132 1 4005 2362 2 5266 3417 3 4829 219 1 17110 7998 1 6292 1182 2 3351 1312 1 3663 447 1 3133 8071 2 11485 782 1 19030 7204 3 18037 4470 1 9628 624 1 3001 1830 34 15534 2671 2 11046 295 9 15908 883 5 4708 6706 1 9713 4435 1 17545 7601 2 2260 6517 1 14612 745 3 4691 1776 1 15112 569 1 10000 4233 1 10813 4720 2 16894 4562 1 12102 1770 2 3550 5301 2 2307 4612 1 460 1698 4 19069 526 1 19734 667 1 15629 726 1 16230 845 5 8435 676 10 13922 222 2 7666 3956 1 2886 4257 2 12209 6027 2 16272 1755 5 6987 236 1 8783 1469 1 644 557 1 11562 5324 5 15230 525 13 17371 4635 2 2870 1606 1 14305 617 3 6348 4456 1 8975 2555 20 18132 768 4 13149 530 2 2572 1505 1 8358 2118 1 4268 333 1 9946 2855 1 10037 235 1 3759 2246 1 9351 201 2 12691 505 1 9596 1055 1 7704 7473 1 14753 5532 2 19743 4413 11 9835 3668 1 7682 704 1 3189 6806 1 1465 1829 1 94 4228 18 11346 2656 1 4859 1235 2 3384 1719 1 7947 2352 1 6332 1776 1 19401 3836 2 7498 4794 3 5082 3853 1 796 2976 1 17224 3074 1 13965 851 1 13461 1184 2 14130 4435 3 9314 7251 10 744 7769 1 2151 3278 1 1956 3442 1 13204 1245 2 14666 1361 5 4679 1816 5 19568 1464 1 11882 6084 1 5809 517 2 18450 4122 1 7495 5903 1 8207 167 5 9279 1769 1 4452 1757 1 7252 1650 1 17550 4833 1 8182 1745 2 14990 1449 1 171 7784 1 6406 4704 1 1125 2494 1 12392 395 6 3970 3135 5 3541 7268 1 9455 1816 2 11663 2686 17 8871 545 1 5241 1727 2 9503 235 4 13046 1721 1 1726 2806 2 9836 4460 10 18689 7948 4 1043 1211 8 13069 7300 1 3817 200 2 5212 1380 1 15272 1357 1 11842 3492 2 17387 1244 9 17531 1825 2 2266 5903 3 13700 2080 2 8058 7468 1 593 510 2 14197 5120 1 10841 2422 3 5108 528 1 349 3562 1 5440 3511 7 15608 2778 1 655 1335 6 17218 5523 1 13741 1729 2 13207 223 1 2213 126 2 8650 1496 25 379 5391 1 15112 1431 1 17331 524 1 18445 7964 1 5053 2114 1 615 401 2 4277 6801 1 9978 5253 3 14802 1307 1 11790 5187 10 10161 6368 1 12322 2683 3 1254 4453 1 10407 2488 1 9811 23 1 18536 7936 1 11935 662 3 17956 1703 2 16249 1734 1 1801 1277 6 8799 1717 3 3323 1749 4 11192 1165 3 10522 2964 1 7590 545 1 9924 219 2 4900 1731 7 9056 1762 1 14919 2735 1 12454 6394 3 8968 3584 1 1559 6482 6 16421 1407 1 17662 1743 5 15264 2369 1 19110 596 3 1065 6414 1 7670 917 1 12553 203 1 12915 2555 1 16656 6435 1 83 3837 1 8060 5420 1 7769 5497 1 16909 1770 7 18366 2508 1 12365 2831 2 5773 6378 1 6697 6125 2 10539 2815 1 5775 220 1 14628 228 1 6299 1736 3 20120 4274 3 8101 4944 2 9773 200 1 17796 3980 2 4352 6552 1 7782 4245 1 7444 3222 1 18040 3015 6 15382 1342 1 15429 1342 1 96 2780 1 8793 646 1 18858 219 1 17857 7463 1 11554 3230 5 6116 200 12 10091 7663 3 8332 6744 2 16289 210 1 10135 2352 2 12537 7601 1 19941 203 4 16705 1399 2 3665 6772 4 14310 229 2 11255 1686 7 124 5548 1 15251 2699 11 17954 447 2 2342 1752 1 121 5280 5 13909 5430 2 8251 7652 2 16346 4404 1 9049 5798 1 13 670 10 2531 1797 1 12312 2683 1 6990 6999 1 2282 4284 1 5993 525 3 10385 5019 3 124 5569 1 9465 6224 1 7061 1769 1 1060 3306 11 7377 496 2 1472 525 1 13631 466 1 14965 562 1 19782 4498 6 13234 7809 2 100 409 1 8590 536 1 6349 6167 9 14471 2043 5 2141 203 6 15708 173 1 6752 623 2 110 1729 1 17951 3267 1 10004 5659 1 13 835 2 17205 3074 1 1028 340 1 4237 219 5 873 5294 2 11512 1778 1 17536 3427 12 1566 2382 1 19316 446 1 16546 3198 1 13981 7411 2 18946 201 1 6806 498 3 5801 2993 1 5860 6170 1 15041 4403 2 5523 5253 1 17945 6192 2 3668 1781 17 12093 659 1 927 200 5 14981 684 1 2886 2735 1 15555 531 6 4153 7779 2 17405 670 1 3581 1775 1 8271 175 1 54 2635 1 19776 726 1 12299 206 1 11463 3853 2 7090 3393 2 18950 5391 1 10378 2678 3 5174 7466 1 19452 1757 1 18591 833 1 8658 4351 2 7912 1296 4 6867 819 1 9325 1529 1 11621 470 7 7821 4019 20 9851 7847 1 1446 410 1 16078 6666 1 15401 898 2 4979 1718 1 18501 8195 2 18237 1776 1 12019 3113 2 1687 829 1 7286 5474 5 9984 3970 24 3890 3230 1 11118 4363 1 16328 1296 11 178 1251 1 745 1736 1 1296 7821 1 16012 1824 1 7916 207 5 11562 3477 5 3169 7601 1 11968 5425 1 11773 7527 2 15602 907 3 18299 1315 2 19431 7792 2 11303 874 1 14711 4001 5 4796 1825 8 9929 38 2 6193 735 1 1139 3558 3 19359 883 5 9999 6979 1 16234 7210 4 818 1825 2 7455 477 1 489 8110 1 6080 207 2 2674 8072 2 6893 5940 3 4386 3423 3 456 1450 8 9768 2917 1 17224 1333 5 9920 4789 7 9809 1364 10 2778 1245 1 7577 7535 2 16710 221 2 7310 3474 3 13883 917 1 2583 203 1 10695 3605 6 7750 23 5 14290 2369 1 11585 6204 7 807 545 1 3846 2557 2 8220 1342 1 19210 845 2 18805 4986 5 954 505 1 9891 1739 1 8088 4607 1 2984 3212 7 15180 15 1 15164 3774 1 18351 2656 2 14059 427 1 9236 404 1 9935 6527 2 17533 1827 10 8532 1737 2 10635 1772 1 8313 6059 7 12054 7029 2 899 420 1 4599 506 1 8238 23 1 13076 1756 5 20022 3522 1 341 7431 1 4372 8203 7 153 6875 1 15411 3072 1 8069 201 3 10575 869 1 18101 5740 1 19486 4245 2 16833 7531 1 10538 200 22 9674 199 1 5515 1819 1 11348 1395 4 13789 6185 1 16916 3308 4 10324 6016 2 10963 4468 1 983 475 1 19596 638 1 14430 3239 3 9099 2123 1 12559 5844 1 11882 1338 2 513 1732 1 4267 2419 4 16016 8126 2 6795 2116 1 10951 200 30 10690 2993 1 8343 2442 1 18093 2663 2 17816 515 5 548 1825 9 3373 5575 2 169 7590 5 868 2382 1 16943 7997 10 17640 2739 1 11652 196 1 3823 1665 3 7288 4299 1 17855 6623 4 565 1785 1 4076 2729 5 13 800 1 5640 23 2 15144 1296 11 13961 2343 1 18638 506 1 691 2817 1 13055 3250 1 16090 3143 1 14089 2678 1 2765 6721 9 14727 1363 1 11253 2677 1 19607 423 1 4248 5963 1 4631 4189 11 11632 3175 3 16294 510 1 15339 534 1 18747 3389 2 19558 235 1 12553 3556 1 14283 291 1 14117 8026 2 1308 1781 1 5573 946 2 17992 4404 1 4477 3287 2 20256 4328 1 35 214 7 157 7207 2 518 3229 2 3871 4380 3 20117 235 1 16294 3327 5 9890 3483 1 13065 219 7 5963 6658 1 13199 2263 2 11956 1721 3 14824 7153 1 18030 3648 1 10054 2385 1 15362 3212 2 13995 1404 1 3730 509 7 18356 1781 2 17166 7167 1 19929 7259 1 7688 4322 1 6687 438 1 17034 3949 2 2619 4062 1 4886 47 1 9836 6268 67 62 2818 1 6024 3540 16 18510 6192 2 11164 7231 2 552 235 1 15559 4382 1 17043 2392 1 1116 3509 1 3218 4006 5 14982 219 1 706 792 1 1608 5324 1 12988 2673 2 4467 222 5 15431 3486 2 7172 7862 1 10585 3899 1 2265 5099 1 12789 7022 1 2704 6032 1 12300 7406 2 15235 495 1 14970 869 1 2701 4475 2 7487 518 1 15659 1164 1 5441 6946 1 17638 2888 1 17662 5730 1 8069 867 2 611 1324 2 17022 7420 1 8732 3230 5 18994 34 2 19213 1726 2 17416 8054 5 2505 8094 2 12663 4436 1 18380 2648 12 853 1321 2 109 4942 1 3415 7265 2 10125 3971 1 1029 498 1 14218 7610 3 18761 5021 3 109 4935 1 12705 1328 1 2384 367 1 1656 7131 45 1647 862 1 13069 4656 1 5725 7830 1 19666 231 4 7765 1882 1 1029 1740 1 9017 4877 10 6332 252 2 8356 173 1 9935 3685 1 18923 5040 3 521 843 1 235 2488 1 12279 1518 8 12139 889 1 1704 6468 1 11377 4043 2 16295 3980 6 13329 3684 1 19317 2256 1 349 1054 2 7019 4391 4 6781 1356 1 11394 4618 1 16229 1395 9 3424 6900 1 10961 1762 1 8306 2639 2 12256 4653 175 7375 4660 3 1230 3334 1 9416 7184 1 9096 2541 1 12491 532 1 11194 3308 1 13180 7219 1 13113 8057 1 1479 7652 2 17 1131 1 12933 524 5 19495 134 1 3344 7544 3 12600 4065 7 12619 844 1 1043 7610 1 20077 6207 1 6847 1747 1 14503 168 12 4593 791 1 16475 867 6 13873 5328 15 2462 6439 2 6913 2056 1 17279 6009 6 5738 1737 1 17121 224 2 18081 1739 1 13129 1245 1 16020 1703 1 4327 533 1 8311 5051 1 3168 201 4 4877 1996 1 16356 7455 1 2974 4303 9 9104 2262 3 8353 7576 2 10241 3331 1 12491 7614 6 11249 2762 2 8633 392 1 2987 745 1 4454 769 2 13093 6185 1 18640 4242 1 18593 215 4 62 2825 1 633 2646 1 782 3510 1 13350 563 1 9411 207 2 10728 5346 1 6612 207 1 5003 5826 2 2430 534 2 3646 8103 2 14380 2262 2 15666 5254 1 7922 2885 5 3424 200 10 16137 234 1 16345 335 5 5934 4987 1 18572 1247 5 1710 47 1 9374 4403 1 20145 214 5 16016 4029 1 1578 2617 1 1999 4266 4 16500 3910 5 9810 262 4 8980 7149 17 12233 2354 1 13014 2686 1 11313 292 1 11336 2764 1 16539 1363 4 19945 5407 1 11122 749 2 8475 3693 1 18466 23 3 10950 1249 1 18793 5543 1 16843 641 1 15061 1103 1 4019 3961 5 17758 60 1 7490 4268 1 6681 1638 2 174 8127 1 13939 1474 2 11591 5769 1 79 3555 1 12119 6139 1 8969 6204 1 10720 10 1 6420 891 9 1705 28 1 11332 1760 1 4498 3065 1 16901 200 5 9947 737 1 164 6826 1 17369 7414 2 1789 1278 1 11789 5420 19 3397 862 1 10313 2503 1 10464 1242 1 9079 3591 1 16020 1748 5 16137 903 1 8182 3072 1 10245 3484 1 16063 2419 2 10467 35 1 5353 8184 1 5213 1761 1 3043 512 1 14055 1825 1 3484 2447 18 2142 8175 33 48 2466 2 151 6790 1 14010 1193 2 9321 1829 4 6990 1367 2 9537 5297 7 14161 2252 6 14312 235 1 3413 1724 2 4043 533 1 3606 10 4 8528 1743 4 15998 207 2 15307 6545 1 3337 597 3 8519 2671 1 15381 2677 1 98 4430 1 17992 6481 1 16493 2444 1 7356 470 1 7088 1484 1 4332 4623 1 19069 1706 2 1577 2969 1 2345 3743 1 10245 4296 1 8151 1729 7 3189 1072 2 15969 4435 1 8424 490 2 5041 627 3 8615 3354 1 15793 4280 3 727 4144 3 17587 219 2 11032 433 1 12629 7479 1 12275 201 1 6867 5315 15 14129 1686 6 939 3333 1 10471 2708 30 9242 7240 1 10493 7407 6 9152 46 11 14886 4792 3 11178 5439 2 15016 3211 4 17335 201 1 12452 1249 1 17298 2671 5 9551 378 1 15791 719 7 9168 367 1 20262 1995 6 164 7516 1 8443 6442 1 13425 870 2 6521 7533 1 554 1482 1 20215 2651 1 7883 581 4 16432 4601 6 13363 595 1 2002 723 3 2207 1721 2 8878 1484 1 16559 528 1 5959 1663 1 17555 1395 9 8004 7027 1 1743 7632 1 10730 1719 2 7835 5036 1 12118 4807 1 832 4306 9 2778 5529 4 14052 805 1 15968 60 2 8947 1745 2 8391 4796 1 4832 719 1 19855 1781 2 7769 3285 1 9044 5022 1 14738 1250 3 6776 184 2 18154 249 1 13778 1743 10 1922 7948 2 18037 2398 2 1374 5451 1 8299 3356 1 2212 6361 1 13899 214 1 3432 3906 8 6535 1028 2 1831 491 1 18400 203 2 16964 531 1 15712 2355 2 13925 1629 1 7303 6268 2 14064 4447 2 20091 502 6 13731 1239 1 12603 1758 1 153 4343 2 10246 6341 16 11 425 1 15001 6231 23 8080 4429 1 15263 4992 1 7360 4941 1 7135 13 1 9430 3684 1 6048 206 11 14708 1042 1 15226 4435 5 18215 1764 1 4268 1748 1 8439 2860 1 3327 6274 2 5188 6010 1 5500 7185 1 4312 206 1 16410 3757 1 13015 2401 2 9010 3648 1 14965 825 6 9304 2353 2 991 8190 1 15084 1751 5 14512 2005 1 130 837 1 2887 600 1 17142 7255 1 17145 1302 1 4629 2569 4 5281 5243 2 15578 3048 4 1816 4518 1 7528 1383 1 18692 496 1 15627 988 2 7997 4075 1 15204 519 1 13777 236 1 5515 1871 7 7241 2103 12 11629 7841 1 8562 6038 1 7 213 2 18916 74 16 5315 1975 1 6404 1146 1 4552 4404 1 20090 4296 2 1853 5738 1 10149 532 1 18762 201 1 7306 564 1 167 7556 6 2103 1482 3 9449 3287 1 9058 221 1 2902 235 1 15814 2067 1 1705 822 1 6261 2316 1 12837 1994 1 16239 805 2 9224 564 3 7235 6421 2 11080 344 1 15493 7617 1 12829 1474 1 9468 1464 1 19304 1184 5 9043 630 1 246 789 4 3472 496 2 3038 3907 1 2488 512 16 2479 1037 1 16223 4385 2 1410 411 1 1439 7719 10 14800 2698 1 12212 1052 1 17327 540 15 11570 482 1 16775 5245 6 9511 5940 1 1505 1304 1 5591 5527 1 3287 792 1 4688 892 3 15400 523 3 2154 514 6 3258 3597 4 14312 6973 1 1337 2605 2 455 6522 1 13664 2747 1 4336 222 3 8889 276 1 4105 2254 1 7065 7670 1 8952 598 1 749 6705 18 143 6570 7 18957 2438 1 15791 845 1 12817 1747 1 19713 7244 4 10097 2710 1 5380 5051 2 16797 1235 1 7577 2259 1 2998 1732 1 18421 1250 1 16465 2256 1 19089 1743 1 13800 416 1 2902 518 1 18137 6723 2 5655 2424 1 6681 3389 2 1198 518 8 2526 22 1 11509 7244 1 10546 411 1 12196 840 5 2292 1121 11 1576 541 1 5815 8194 1 12962 207 12 7582 1748 1 7065 1166 1 13654 2395 1 2906 1724 1 2784 5783 2 9213 46 1 3101 3511 1 18524 1146 1 14729 2582 8 18517 4006 1 1712 5328 1 17946 1698 4 1323 1611 7 4050 1253 7 4629 1707 2 14010 853 2 1911 982 2 16587 3595 1 9596 1112 2 9393 716 4 1691 2542 1 7501 164 3 14095 612 1 5860 2363 1 5884 215 3 17476 2444 1 5801 1665 1 14249 7350 4 139 4262 1 17563 6225 26 4384 177 1 16109 6500 1 6556 6862 1 3925 1686 1 10670 5513 2 14773 2678 1 4285 1025 1 7440 2908 1 14707 23 1 1418 220 1 2512 3425 11 18237 187 2 991 1659 1 10630 1244 1 16930 500 26 13350 6633 3 16378 3113 1 163 4992 1 954 6609 1 14773 4435 5 10383 2386 1 4121 4454 1 3607 1273 1 841 1286 4 5518 533 12 10595 1755 1 15515 291 2 17030 3219 1 5529 2675 3 16109 1250 1 1646 1399 16 19680 71 1 20145 223 2 17036 575 2 11013 5408 1 1651 8186 1 8083 3220 2 7853 643 2 4332 3511 7 9941 7719 2 3793 867 1 4452 2535 8 1389 6454 2 16560 2584 2 17047 4988 1 6700 1776 3 15022 1029 1 19286 847 1 3873 3909 1 8093 7850 14 17567 23 4 19944 164 1 17978 3920 1 1210 7298 1 17962 200 1 11512 262 1 6718 4945 1 13711 6756 1 9793 5560 3 20190 3479 1 13590 4567 6 3592 524 9 12037 561 1 10119 4528 1 11678 3749 1 4563 1739 1 1262 2356 1 12755 3021 8 7131 225 1 10623 1305 2 340 1146 7 6759 1146 13 17577 3050 4 17816 2258 24 13001 1434 2 13825 510 1 5185 390 1 10051 4518 3 10177 3974 1 3113 3911 1 164 7430 1 16436 1441 1 14218 225 3 13461 1814 6 4484 7234 3 9482 1137 7 5453 496 15 16636 1226 3 7652 2542 6 10619 6014 1 1647 4334 1 3031 1342 1 4631 3518 5 3498 792 1 19350 207 1 5375 883 1 8968 4200 1 11306 2885 1 11263 496 1 17120 1737 2 19761 2085 5 7769 235 1 2370 200 5 9935 883 1 9383 7586 7 3129 1245 1 766 206 1 16215 215 11 866 4555 4 460 201 1 12272 6680 1 5877 3980 10 1488 1720 1 18655 223 12 7476 3364 1 4143 3511 3 12594 1776 1 12104 5305 1 9127 1677 7 15870 2953 2 127 763 1 18652 3175 1 13032 2675 34 2049 7352 1 83 3844 4 16378 23 7 15713 883 1 8714 221 4 9609 2958 5 11661 3382 1 527 732 1 11755 1331 1 11968 528 1 3485 186 1 11862 1236 1 3376 1342 1 834 1698 9 6640 7148 1 14906 207 2 2349 8141 1 14985 1275 1 13051 2627 1 14745 737 1 3992 596 1 4052 1726 1 2156 4467 3 17110 225 2 2614 6435 1 13027 7527 1 19869 809 4 7648 4170 1 7872 6337 9 1914 207 5 16223 4400 2 16674 1238 1 10319 1703 1 7644 2515 1 3168 541 1 7505 2488 2 4268 169 1 15849 1342 1 12077 541 16 1028 5368 1 4975 3642 1 9652 714 1 19490 2176 1 9810 5737 8 14790 7714 2 1705 2915 5 17194 7857 6 954 1374 1 11104 6692 3 19605 1743 1 7284 74 4 11450 4275 1 1530 225 1 5738 6477 4 17036 3906 1 8253 222 2 1311 7915 2 18968 234 1 17575 1147 2 19731 6278 1 10212 656 1 7991 292 1 7220 1234 1 10661 3882 1 19977 203 2 10989 6683 6 13450 2800 1 19447 1638 21 6684 1184 4 7682 916 3 143 6516 3 18866 4436 3 7912 1722 1 19373 1909 2 2157 1573 10 10752 2761 1 11435 554 1 6273 1390 5 15934 190 1 18546 514 10 10655 4409 2 14921 3760 5 17988 3389 2 20102 273 1 11363 1728 1 3840 3230 1 5063 196 4 452 2109 1 10222 4689 2 171 7730 1 4694 1518 10 6023 6670 3 17549 1781 1 9920 7860 1 6589 2495 6 1098 4187 2 4679 1342 5 7858 5511 1 10261 186 1 5860 1781 1 11687 3532 7 7082 5266 1 15776 3816 1 8052 540 1 17605 3259 2 16491 764 1 19364 225 1 12821 1657 1 1867 6164 1 1529 470 5 19813 3138 5 12097 5515 2 7065 2372 1 16215 7410 3 16689 5439 1 2020 225 1 16831 220 4 10948 8141 1 3206 3155 1 15881 891 1 16661 3109 2 11533 442 1 15278 3682 2 16886 6106 3 10749 1307 1 5597 4648 1 18519 4951 1 14494 440 5 6654 1903 4 16698 817 2 3679 1736 1 13124 1184 3 13374 7700 1 16894 4960 2 8929 4792 2 15180 500 1 13089 304 1 2345 1567 1 1002 200 6 14028 6677 1 10179 2005 1 19654 3939 1 11410 6440 1 18971 861 1 6120 1085 1 7783 6332 1 7257 1756 1 14478 545 1 2938 799 1 14234 907 3 12361 312 7 19568 2844 5 11943 1660 1 18635 550 2 9281 447 2 19301 214 10 10607 6862 9 12571 6334 1 16029 3836 1 9007 2443 1 11938 1827 7 19369 777 2 17731 1253 3 3826 765 1 11545 5750 6 4213 1243 1 17000 153 2 14549 7542 2 19416 508 1 704 3315 1 16970 6949 25 6264 3721 5 11912 3283 1 8156 3338 13 3973 728 1 15699 48 4 16535 5035 2 3158 1726 14 2664 5480 1 8822 2555 42 3376 1825 24 252 4357 2 592 4107 6 1689 3906 49 7056 34 1 4190 878 8 17014 4402 5 4273 6576 1 12641 6414 7 824 521 3 4199 840 1 15160 1825 3 8471 898 7 5229 318 2 3395 7946 6 13215 1827 2 14298 825 1 17331 1243 1 5378 2100 1 8017 7261 1 6152 916 1 18040 1307 10 16530 1190 1 6811 524 1 20273 6098 2 5117 709 1 3676 3851 1 6871 4623 1 6183 214 9 7560 232 1 3397 3693 1 9444 3430 1 17083 898 1 12958 100 1 15970 8016 2 7984 3308 1 743 3516 1 4020 1401 1 17547 1825 18 18279 1184 7 5617 3824 1 7351 23 2 17133 214 1 11765 200 5 19302 1775 1 4359 205 1 5657 524 1 5530 6500 1 16808 219 13 3181 671 2 4165 773 1 17120 1757 1 6580 219 8 174 7894 4 13050 3920 1 7184 1819 3 5304 512 3 6332 810 2 15112 3430 1 7483 7719 2 464 2068 1 62 2909 1 10730 304 4 9154 5922 3 14553 2735 1 14201 3963 1 13909 7596 2 12419 789 1 18476 506 1 6976 292 2 18938 2327 2 3521 4803 1 6853 2507 1 11325 23 3 11158 1239 1 14123 2291 1 10169 4635 3 5328 1567 2 1722 3511 2 19005 5309 2 10110 7915 1 12960 4929 23 9097 6442 8 13244 1090 5 9572 228 3 2212 7210 1 8821 1529 6 18081 5051 1 10691 840 5 1647 4268 1 1466 4293 1 14347 7684 1 6460 2675 37 13202 1893 1 12828 541 1 11384 4262 1 1561 35 3 1265 844 1 8952 6693 9 10585 541 13 2479 7507 3 1828 6231 1 11086 1235 1 11912 5202 1 2344 5206 3 644 895 1 13087 858 1 3860 6080 4 11035 903 4 16560 3619 2 7910 5648 1 14809 2352 1 16781 1718 2 12284 4204 1 2267 5294 5 10340 4996 2 2202 2649 5 4492 5543 2 12848 4056 2 16141 2555 1 6740 2114 1 2116 215 1 7046 3062 1 10176 2455 1 17662 8184 1 906 7044 1 9473 1917 3 11341 2356 10 16838 5758 5 6007 1168 1 8109 3642 2 4880 725 1 16691 1755 2 6012 638 1 1301 310 1 4112 235 1 872 1780 1 12947 1244 1 18089 205 1 5977 1715 1 18493 1819 9 6833 7739 1 702 597 1 8614 5464 1 3876 1236 1 19368 1244 1 15220 5425 1 7046 1296 1 14629 5951 1 19154 1342 1 14227 7524 4 18418 3009 1 5928 6706 16 5862 4996 1 124 5419 1 4602 1825 15 11266 6682 1 4050 1740 1 1197 875 1 17760 888 17 17638 963 14 17954 5506 3 16741 1304 2 6990 2948 1 11551 1328 2 3882 215 1 2494 982 1 103 4653 2 6926 5327 3 10283 4713 7 5863 5951 1 12159 5814 1 20223 6673 4 20180 773 1 15159 1707 2 11336 2383 4 18968 6700 2 16084 167 2 3292 3911 1 17248 3652 1 10356 942 1 12977 3311 1 11562 3457 1 10117 6268 1 18679 3070 2 6412 4266 1 4139 1251 1 17500 252 3 13304 505 1 19730 7570 8 11159 1742 6 4106 861 1 1872 7830 1 9374 1781 1 1777 3298 1 7966 1245 1 17268 1990 8 11427 4670 1 12995 7682 2 3128 1319 1 10334 6902 3 18491 2355 1 11441 6897 1 6515 545 1 12692 200 2 8077 407 1 5204 885 1 1228 524 1 14800 5275 15 13240 1717 11 16184 316 1 3229 1282 1 15425 3980 3 16842 7964 1 11882 5769 1 4796 441 1 8088 708 2 16301 4013 2 3931 7477 1 3349 2542 1 6538 3511 1 16940 7296 9 4076 1464 3 16114 201 4 1571 1739 3 2228 4302 1 2306 4252 1 18876 6200 1 2629 190 3 12329 1942 1 15974 6091 5 4774 1769 7 1650 7439 1 11467 702 1 1443 184 1 3806 2662 1 15272 1245 1 11052 1285 1 17384 1888 1 12690 4554 1 1391 6793 7 10670 1705 1 1642 3916 6 14597 4343 4 20120 663 1 496 4282 1 2284 1277 1 10146 726 1 5902 215 5 3243 891 6 18755 2331 2 4388 5865 5 16539 74 3 7473 344 3 8709 2317 1 7147 4029 3 12636 1732 1 53 2558 7 11898 3009 1 19530 640 2 7575 1251 1 11857 223 3 9315 206 2 16548 3851 1 13 604 5 3025 201 2 19131 5757 1 17633 648 1 7012 4610 1 12784 1284 2 5472 1990 3 6980 2618 1 8042 6004 1 8993 411 5 13274 407 1 18080 828 1 8952 2948 2 13442 518 6 16061 5018 1 2886 7336 1 300 3876 1 18453 5474 8 6539 461 1 922 292 1 3258 501 1 9535 23 1 7241 159 20 16378 532 3 16857 638 1 16880 378 1 5670 2290 3 9334 1150 1 863 912 6 19675 1946 10 15346 79 1 12003 201 7 2646 6501 1 12328 6943 1 11137 3644 1 9224 894 1 2911 955 1 10730 6897 2 6539 5725 1 17454 6776 1 14385 7089 3 1007 2512 1 15272 23 2 18024 536 2 19316 1705 1 2818 1756 7 15108 6863 1 8015 1893 1 2772 770 2 4405 4107 2 7347 722 1 8211 863 1 12182 6414 1 11072 3511 8 9194 3684 11 930 3364 2 16137 5801 1 15534 214 1 8857 4884 1 12954 184 2 9649 3908 1 5652 1464 1 6718 4929 1 14048 164 4 12058 525 3 822 443 1 2055 512 5 17073 1703 4 19444 3203 1 17587 1715 1 5560 3364 1 18071 7066 1 17954 2662 2 4492 1718 1 156 7186 1 2943 5510 1 2998 5291 1 18175 4204 1 18431 827 1 14587 3431 1 14062 4403 1 9322 841 1 10627 6754 1 2153 2979 17 6570 4653 3 15895 7860 1 15025 3432 1 15463 3203 4 16645 2076 3 19864 1717 1 3870 4441 5 9816 3813 1 20046 2024 45 14114 718 1 10 306 4 62 2885 1 4600 5755 2 2330 234 2 20145 525 2 1312 7998 1 16021 1978 2 10568 3909 5 712 509 1 11002 3518 14 6859 1166 1 19794 3909 2 8762 4090 1 2127 5252 1 11067 1445 4 11591 874 1 16492 890 1 15098 1241 31 13634 2262 7 16748 7707 1 6795 308 11 14312 6920 1 14903 8194 1 16111 6368 1 6989 4459 1 14762 1781 1 17556 1717 1 6259 1284 8 8668 1169 14 8987 1728 1 10340 1593 1 8778 203 1 1445 4284 2 4462 2219 1 5229 177 4 10245 11 3 20123 2383 1 10473 1277 2 15674 1311 1 15184 982 5 8275 6754 1 8191 1246 11 18404 5486 5 1763 4373 1 10498 2513 1 10279 3145 2 3424 4992 1 2021 3477 9 1550 500 2 14685 2175 12 17581 3905 1 1012 498 1 10387 903 1 17717 2114 2 13049 3625 9 181 3727 1 13069 3869 1 5951 7355 1 18788 910 2 19498 7237 2 15712 219 2 10730 1245 16 10772 173 2 13023 3875 2 19193 1757 1 13174 3476 4 16002 767 3 478 6164 1 10912 415 1 1280 333 1 15643 194 1 16412 225 22 14232 5550 1 14517 7112 2 5639 7474 2 1698 6230 2 873 3778 7 5281 2718 1 4369 2648 3 19760 4314 6 2962 636 1 14204 1782 2 10218 1825 6 9480 2897 2 9757 195 4 8082 1141 2 18357 1235 2 5421 477 1 5734 2591 1 1256 3982 6 8672 3566 40 14240 2292 2 518 5025 2 16806 545 1 4593 554 1 4577 1734 1 8196 1062 1 15250 1246 3 18056 252 1 16090 44 1 15217 2970 4 11327 1342 2 151 6814 6 14992 191 18 18667 1819 3 14005 5066 1 16024 5263 1 18193 1237 1 9279 206 1 259 235 1 17477 470 1 8825 2520 1 9300 7591 1 8915 1324 2 3665 2708 3 1642 368 1 415 6484 6 17409 6335 3 13966 258 5 6966 3869 1 6586 2673 2 8102 3540 1 4332 4245 2 11935 646 1 16408 2480 1 19500 1250 14 1280 38 1 1474 5496 1 14622 2842 1 15167 2918 1 2917 662 1 13039 3777 1 14522 714 1 12860 2633 1 9198 6435 1 17019 1784 1 5865 3056 6 625 4041 5 4960 200 1 10393 3896 1 5 160 10 18815 206 7 11938 534 5 1379 1052 1 16024 219 1 14560 5251 1 7046 1539 1 14124 2559 2 9474 229 4 5032 4124 1 6645 2087 7 17342 5979 1 10846 5291 1 15352 1242 5 550 1198 3 10350 1717 1 6130 564 1 1941 5686 1 13412 3147 1 14906 411 8 1868 1251 32 6332 229 3 5465 200 3 19331 2662 4 14451 374 46 19153 5119 1 15227 525 1 18413 4534 1 19760 292 1 12378 1542 2 2101 5502 5 19981 207 4 6483 3391 1 7043 6423 2 12786 220 6 6570 6674 5 8361 23 3 19999 1756 1 5173 203 1 4670 1764 2 17977 1781 8 19105 2555 2 16563 3255 3 19778 2686 1 6292 4296 10 4133 2671 23 8572 1751 4 9763 206 3 19053 670 2 4055 4132 1 527 4075 1 3704 411 8 8787 6484 1 4815 7716 3 15655 6026 1 1904 1814 1 8308 3689 1 5160 4019 12 5696 215 1 12009 853 1 3284 3203 1 14931 201 1 6542 1781 10 6183 1738 3 8690 2398 3 7065 1 1 20063 1730 1 13212 5082 1 3025 1955 1 5769 8031 1 17760 957 17 13583 1732 1 16857 1243 1 18754 201 5 10297 2355 1 17257 666 1 13030 707 1 7001 508 1 11591 1751 4 3898 4623 26 3366 314 1 5792 8167 1 12474 5404 1 3491 2698 3 5464 2513 1 2076 470 5 3000 6697 1 1974 3595 1 9432 8026 1 13518 7556 3 6153 1881 8 11860 498 1 4492 215 1 3442 205 1 8091 7822 10 2094 5052 1 13825 215 1 19259 201 3 15211 1244 1 12209 1450 2 15653 4280 2 17634 5180 1 15307 3375 1 6645 8176 1 5909 2535 1 12279 506 7 14040 1463 1 15091 6943 4 454 3151 1 6153 206 6 20106 1898 2 16278 7270 1 4460 1256 6 124 5506 1 8682 219 10 6819 4945 10 2141 223 5 3237 1967 2 5773 10 1 13239 7256 5 12 510 6 11080 888 7 12828 5054 1 94 4212 1 17005 1979 1 11775 7765 1 7455 2958 1 14133 361 2 19895 6993 1 15571 219 1 10720 1686 14 19649 74 1 4328 219 2 4205 499 1 899 153 1 19418 6583 1 15939 655 1 16348 6140 3 420 535 1 14790 1321 1 9865 534 8 6078 6889 1 3282 2853 1 19475 6734 1 11001 619 4 1322 3175 3 15479 249 11 15572 5010 1 15100 762 1 7725 2447 2 13126 5129 10 14305 3807 1 13529 6898 2 12915 3892 6 17966 6588 3 16836 6077 1 18883 3625 1 2905 667 1 13634 3877 1 11877 1150 1 10374 5610 5 13640 2056 1 17816 220 5 19160 903 2 9791 1788 8 9347 82 9 5298 7598 1 857 496 2 16583 4022 1 633 6007 1 19625 498 1 1163 1760 2 4574 7244 8 6313 47 5 4159 1338 1 592 5327 1 12422 6415 1 83 3856 5 18462 148 1 10555 1703 6 840 2884 1 8859 3534 1 13271 1054 5 1858 3263 9 5515 235 1 10575 4301 1 12317 498 6 4838 652 1 13689 514 5 6389 525 6 9797 7205 1 9577 6192 2 17184 691 1 2588 7105 1 802 284 1 1768 411 10 10172 755 1 19731 471 1 8525 1471 1 11871 955 3 5341 6252 2 983 2958 1 322 1764 2 14892 7381 3 1705 718 7 6964 7165 5 11517 4796 8 6846 2780 1 19286 184 2 11723 6237 6 2385 6288 1 54 2640 2 13165 8001 8 8889 708 1 1983 3233 12 2191 5486 1 17771 206 1 4667 1307 5 16108 213 1 13574 2729 1 9709 156 1 4488 1784 1 12050 6655 2 8729 4465 1 822 2013 1 7994 575 1 10340 471 1 4984 1380 1 1324 5516 1 16972 863 1 6510 89 3 15208 6031 1 1073 2798 2 16767 7235 1 14731 2270 1 1612 4019 1 16689 2055 1 11 454 1 2404 201 23 4539 4460 1 10988 2955 1 5952 1374 4 1902 1466 4 15799 4635 1 10107 2683 5 15065 2749 7 3420 214 2 855 13 2 15869 698 1 855 1239 1 16791 2250 15 4961 1395 1 11849 944 1 592 2488 1 13126 1115 1 16016 8176 1 3688 225 1 15314 7643 2 10610 1898 1 1520 4794 1 19387 23 2 16777 341 1 7473 3685 1 208 2698 2 15896 7474 1 5401 861 1 253 2665 1 12765 5723 1 1609 2789 1 6721 6169 1 7185 1436 2 3108 1965 3 9415 1736 2 496 215 1 12594 3602 1 19594 3907 5 9247 7381 1 18055 6534 2 6332 1665 2 17 1108 1 7641 8026 1 11450 3036 1 5310 814 1 18508 5329 1 5681 233 1 1945 303 1 3048 341 1 11702 471 1 8832 429 1 3627 5504 4 10554 890 1 3117 3454 2 6545 6031 1 5970 207 3 9077 3367 5 6867 3937 1 12922 1946 4 15429 937 1 8506 4803 1 13581 3045 9 17184 141 1 9721 3756 1 6835 3747 1 13338 1296 3 10145 3763 5 3351 4009 1 18608 2343 2 2752 4669 1 14629 2009 2 17697 3511 4 17015 2352 1 20148 6288 1 14772 6618 3 745 5710 1 3085 6414 2 9112 84 1 114 4005 3 7570 4640 2 11786 2825 1 10821 2705 1 5904 1471 1 5401 232 1 17902 7563 2 5378 1819 1 4307 1707 1 2100 1319 1 16295 1246 2 18193 1417 1 14027 891 3 11360 933 1 19218 1824 1 4049 5728 1 19297 292 1 20051 1727 1 18082 3234 1 3581 4961 1 15799 204 1 2376 545 1 3270 367 1 6001 197 2 10041 5349 1 16790 1814 10 3703 1720 1 16643 7035 1 788 3798 6 8532 1781 1 2988 4403 3 19874 203 1 8295 7520 1 11344 8122 1 11687 2407 15 14218 1184 2 3606 1363 2 4006 173 1 12325 419 1 2803 7672 1 15671 4654 3 3673 4508 1 5304 4056 1 6198 6666 1 1133 6132 2 8286 230 8 8609 1721 1 2935 6242 4 13436 5800 1 7421 6139 1 16775 2270 16 18806 404 2 2783 168 1 16180 6744 2 4288 3584 5 11111 203 1 2628 2534 1 3031 514 2 7019 189 2 745 506 1 20262 244 3 16063 499 1 9916 910 5 3008 6026 1 11852 1991 1 11297 4992 2 1029 1761 1 15685 520 1 8730 761 1 809 1367 3 12901 3980 2 15329 856 1 17867 7176 1 11737 1305 1 9844 215 8 15214 807 1 17476 1023 1 17261 3494 2 8004 173 10 8384 541 2 2808 6632 1 706 7600 1 19655 2151 18 16016 1537 2 10691 3591 4 19034 5264 3 14726 2879 3 16555 7319 1 7992 1454 1 19979 207 1 1705 5253 1 7 23 3 14493 6139 1 4498 7980 5 11271 1772 1 17184 839 1 4688 2888 1 18607 3462 1 5183 66 1 12740 532 1 19355 891 14 6009 2354 1 3789 219 1 7533 1696 5 16270 304 1 9112 6080 1 5295 4200 1 9527 3974 1 593 1146 2 14800 7690 1 252 244 1 18751 5837 4 6099 7517 1 10035 196 2 14369 1731 1 1794 7930 6 9782 235 1 7020 1369 1 4985 4944 1 2106 4019 5 4282 2268 1 6089 5251 1 783 23 1 4509 6198 1 12704 7218 3 6063 3634 1 11397 502 3 19760 3593 1 901 4987 1 14276 3414 1 16109 1751 5 18623 1781 1 5132 1751 20 13011 5594 4 14053 5225 1 2744 4779 1 12322 505 3 12828 1727 1 825 1239 8 5100 5175 1 1288 4991 1 19001 5302 1 4496 7859 1 6482 1666 1 11393 865 1 14276 6674 1 11384 6030 1 6869 4998 3 368 4998 2 19809 1819 2 8343 8099 1 15278 2675 1 6463 4096 1 3186 2072 6 17992 4949 1 2368 781 1 19000 399 1 7875 8121 1 8532 514 2 17739 1686 1 1909 6532 2 18593 7243 11 10360 1361 2 6183 1771 2 15658 6334 1 13748 221 1 3627 533 8 19146 4698 1 16859 214 2 19179 207 1 725 5686 1 17610 7522 3 17083 3058 1 18799 203 1 8050 748 3 18807 822 1 6275 134 1 16908 2982 1 20044 201 5 8532 1740 1 8752 8194 6 12075 2018 5 9111 1482 15 3975 2646 26 1783 1280 7 19026 6091 2 10316 1000 1 15314 4025 2 5877 175 1 10027 3496 1 19221 3510 1 5781 1781 1 1871 1342 4 3472 1146 2 5743 745 1 13891 6558 1 8237 1342 2 5903 1703 1 12231 2426 6 3178 3972 3 13262 1648 1 5952 5820 7 4195 1742 1 14436 1722 6 16075 6706 1 136 6258 1 6664 498 1 5725 3369 1 10143 1245 2 12763 214 2 10690 4589 4 835 221 1 2804 4695 1 14522 1705 1 20064 2737 1 1863 1781 1 15468 2341 2 13340 4038 1 14440 528 1 19857 367 3 8528 3167 1 7966 5393 1 19341 1710 1 5453 524 17 9296 7933 5 2529 3389 16 14842 5319 1 314 1357 1 15462 5554 1 17585 1267 1 10032 733 5 14045 6751 5 3461 6705 8 6618 1238 5 11085 444 1 3771 3709 1 464 46 3 4816 2645 1 9197 96 1 995 495 3 12280 5413 1 15429 7240 1 4186 2484 1 10580 6398 1 13369 225 1 9963 7601 2 27 1590 2 3173 1238 1 9444 2270 3 18597 2880 118 7505 4567 1 13705 1417 5 14880 1464 1 17803 7565 1 12826 1606 4 5018 1417 1 787 184 1 6556 2150 2 8889 3928 1 2459 2511 2 8311 1825 1 11108 2599 2 17771 428 1 4750 1392 3 6259 196 1 19089 1770 1 11032 2649 1 18852 219 1 13972 2806 2 8444 1062 1 11467 682 1 17213 5700 1 18304 6892 1 99 3491 1 16736 5956 1 2204 2869 1 17257 4587 1 4619 2709 16 8369 1423 1 2519 4378 3 3521 2662 1 1551 1740 1 18431 1296 1 12133 2821 1 4597 1793 1 11730 8029 5 19264 2946 1 5808 7853 1 4561 4446 1 4538 3197 10 113 3243 1 8573 6457 11 6769 1209 1 151 3956 2 15909 5334 1 17937 1239 1 4559 316 5 17354 3333 24 3694 2591 2 10864 3427 1 12525 1732 1 16841 3511 2 8447 2459 2 11418 3798 1 17409 1734 22 122 3073 1 14854 207 7 19840 6025 10 10691 4451 1 17179 533 12 17917 8161 1 11127 2899 1 14145 5020 2 12895 6085 2 19472 734 1 17066 425 1 14366 880 1 8521 156 2 7931 1243 4 8226 3856 1 14099 4142 1 18363 5468 3 17648 1305 1 8860 442 1 8478 706 1 15364 4539 1 10940 6192 1 13308 1727 1 11999 1714 1 15849 1518 1 13928 825 2 5157 214 1 16690 1818 2 4941 4770 2 14536 7244 1 19234 510 4 1957 6640 2 1304 6484 2 11760 953 1 4570 3679 7 5631 4288 1 1150 2897 1 15654 7249 2 17709 520 1 20148 723 1 11002 867 10 13734 1307 1 13829 221 2 2959 207 2 171 7720 1 15000 1909 1 12914 1311 4 3675 694 1 6983 6473 1 7179 917 1 20148 23 1 10623 4653 2 13254 292 2 1824 5472 1 2899 6342 1 12392 7920 2 16880 184 1 12777 3398 1 13560 1333 2 6183 1453 4 7882 215 3 3395 1357 1 6713 23 11 11192 1144 4 11364 785 1 521 403 2 2894 6665 1 8358 2517 1 3947 1727 1 9701 713 1 863 2784 1 1374 1037 3 6832 1755 2 19302 215 1 8088 870 1 12988 6537 3 8610 2584 1 18730 46 2 7451 1356 4 1311 1424 1 10233 1211 3 9213 524 1 2571 3642 1 1099 2895 1 9242 8156 1 19195 7401 22 17008 7244 1 1663 470 15 14522 766 1 14180 1752 3 9783 1239 1 9195 2559 1 1065 7672 1 3684 8030 2 10190 199 5 11502 4529 1 16787 1965 8 11404 2089 1 16421 4811 1 16570 2515 2 14059 2008 1 2055 207 7 9513 6677 2 13731 5940 1 19520 7554 1 19820 3697 1 7018 1251 14 10353 7719 1 5415 3648 1 6776 5281 12 10961 219 6 8820 367 1 2058 7427 1 16695 201 1 392 3417 1 1604 545 3 16625 6713 1 349 3631 11 8657 6639 2 4092 8183 1 8969 23 2 7943 7199 4 18482 4074 1 11935 4314 1 19115 1357 3 13787 2355 1 14956 156 1 4963 1239 2 4681 1611 1 16950 1757 1 4512 5798 2 13209 3203 6 14818 1827 1 8989 403 1 10080 1719 1 4301 6591 1 13 889 1 19173 3357 1 17088 1236 7 14104 2355 1 10198 6537 1 14753 4523 1 15932 2923 1 4945 4089 1 3149 5700 1 11848 4013 4 11072 6644 10 19293 23 10 890 3079 1 6024 1356 2 2626 2254 1 2441 2671 25 9154 1858 5 14769 1685 1 19160 276 2 11636 6699 1 745 934 1 17362 505 1 157 2422 3 12918 519 1 143 6579 3 14758 4246 1 16414 219 1 1560 2427 1 5938 1973 1 15896 550 2 9090 4217 1 9717 2401 1 6313 5414 5 2434 3859 1 9935 2508 1 20133 206 1 13880 6245 1 17748 692 10 18114 644 14 6612 201 7 6773 5399 1 6556 4024 1 83 3829 1 624 5095 1 7966 2027 1 7585 410 2 13964 6480 2 4960 5097 1 1866 244 1 19445 1751 1 6611 3283 1 10528 1589 1 1838 331 1 18886 6631 1 16700 917 1 3556 7812 1 9279 233 1 4519 3426 1 11639 1734 6 5106 1731 1 4835 3334 1 11786 660 1 18367 4963 2 12424 1470 9 11668 5060 9 7340 6719 1 148 6722 2 8163 3738 1 3523 2499 2 13544 3526 1 14604 508 1 2943 5393 10 15989 1466 7 19632 222 8 1945 3625 1 11531 5105 1 1606 926 2 5633 5504 1 12236 1183 1 6595 510 1 6853 1042 2 12361 1638 1 5938 408 1 16914 4306 1 19221 5206 1 18350 1582 5 16931 2698 1 3131 1747 1 4496 1728 1 6769 407 1 18942 809 3 3512 2864 1 11577 417 2 5872 2514 1 14291 3563 11 4476 1376 1 11024 3284 1 5353 1729 1 17870 1374 1 1412 5332 2 18665 1740 1 14968 891 3 7311 5151 2 8011 1251 1 991 5436 2 14130 1739 1 5022 2009 6 5088 1275 1 12672 6648 6 10486 304 2 1828 5595 1 5929 790 1 1191 3516 7 7156 2548 4 9880 235 4 11504 2617 1 9680 3595 1 13865 526 2 2825 220 2 8376 4258 1 17918 3697 1 6737 682 1 19822 3516 1 10327 905 3 16605 2540 2 3395 1253 2 10178 5031 1 19534 2480 2 373 3611 14 13734 6644 1 6973 1257 2 12576 200 5 121 5327 1 9519 4363 1 17589 6992 1 7525 7167 1 4153 1228 1 9821 1357 2 16388 771 1 1620 7512 1 19568 1237 3 12550 3897 17 19728 1818 1 14791 1686 4 19890 6897 1 17133 6609 7 1883 2649 3 10055 6197 8 14994 3573 1 3109 8164 1 79 1819 2 19930 4299 1 1970 232 1 7705 300 1 16548 4312 14 14683 1819 1 6603 3666 5 20262 1745 3 1204 1245 3 4891 148 1 13438 153 1 8560 5731 1 10105 525 2 1389 381 1 410 220 3 18772 1342 1 13768 7257 1 4524 194 1 254 3754 2 19472 1920 1 883 6084 1 2640 5584 1 16189 2831 1 18132 3338 18 19290 6213 5 1601 5036 1 13638 1656 1 10404 879 1 6602 853 1 7312 206 7 83 3811 1 17778 6588 1 1600 3480 1 11453 2626 1 19820 5195 4 13023 3544 1 86 3966 1 8672 194 1 7251 2234 10 1948 3077 1 10046 1342 1 18404 2542 3 14811 1732 1 8452 5391 3 12093 575 1 13589 6152 1 7651 6207 1 13219 6152 6 4259 1235 2 18037 5798 4 3887 4006 1 7599 947 2 2962 3278 1 18924 3570 4 1475 6341 1 7587 631 1 10772 1277 1 2644 4435 1 2529 677 1 2405 1758 1 14172 6435 8 6007 4270 1 10583 1760 1 5631 3227 1 16346 3710 5 404 6541 2 2885 7125 1 15834 1967 1 10413 5099 1 10329 1309 1 18655 214 8 126 5598 1 16569 4023 3 11941 4870 1 15535 445 3 12158 1819 1 6360 957 9 18417 3900 5 3290 2114 1 12174 1686 8 4909 6210 19 5868 4460 3 6681 4380 1 9566 5781 1 11678 3837 2 9587 177 1 2629 2488 1 4068 4245 1 7135 2352 1 6256 196 2 11690 6293 1 14148 4616 1 83 3389 3 11441 816 4 15932 2009 1 4913 448 2 494 3184 1 6230 3076 6 4332 6801 1 12935 1401 5 17561 232 1 5571 1154 6 1169 4764 4 6124 1331 1 10149 221 2 2796 2675 27 13640 2349 14 7308 229 2 11556 1778 4 6256 3059 1 4102 1464 3 7162 7643 2 14921 4333 3 17416 1788 2 1530 3050 4 2917 466 1 12788 7259 1 18144 215 1 18613 1464 19 9937 222 1 13384 504 1 10688 708 1 9489 223 1 3501 1235 1 3334 1638 1 7306 746 1 3485 1715 1 1141 3117 3 4527 545 3 5577 7400 1 12890 1726 1 1802 6677 1 15315 5461 1 17331 863 1 16776 518 1 8001 5555 1 18033 3684 13 18893 633 1 11 476 1 10116 1732 2 18279 7925 1 13705 1164 1 17903 1374 10 6298 203 2 13461 43 10 2911 3634 1 16990 1917 1 51 2522 7 121 5290 1 6412 2649 3 2886 867 2 20107 1741 1 19145 4609 2 11689 2559 1 92 4181 1 4552 5305 1 7946 509 4 4991 2363 5 10792 1715 3 13212 3671 1 3805 4947 8 18231 1742 7 17894 2881 2 4259 1727 3 8439 219 3 11 364 1 6068 203 2 4979 3058 1 5332 2897 1 19395 4415 2 139 6332 1 4147 593 1 8246 6252 1 14578 4833 1 14209 1334 1 2938 4555 1 17790 207 2 8550 3748 4 13187 6027 1 20140 1751 2 6570 4805 3 5424 3024 2 12672 4946 1 9840 220 1 717 2675 1 6832 1722 1 6400 1743 5 14621 4073 1 16887 461 2 16705 3973 1 19946 8184 12 6074 7779 3 19189 200 2 2349 10 1 17644 1298 1 18040 7477 2 15471 316 1 15316 232 2 509 2419 1 19727 3007 1 4055 8051 1 10146 225 1 11108 6687 1 949 5963 1 19201 1237 1 15418 2855 1 140 6355 3 19246 479 3 8596 1705 1 8198 5435 7 9947 7936 4 2885 215 7 159 7237 1 4294 229 1 19649 6897 1 10267 1707 1 10145 89 1 5117 605 1 1620 1898 1 4935 428 1 5319 871 3 9293 1249 3 14595 4789 21 9457 7285 2 18240 1737 1 17121 3109 7 7317 177 1 445 4992 1 2945 3253 1 16656 452 1 7020 4998 3 6867 581 1 37 2010 1 11108 6213 1 19578 364 1 19185 1722 1 19901 4818 1 5420 5765 1 3255 206 1 10452 5903 5 17403 524 1 18462 7695 3 3440 1238 2 8066 1244 1 8913 3920 2 2906 222 9 446 7890 3 7299 518 2 8956 3253 1 2602 5090 4 180 1681 1 160 4202 1 6061 6993 1 14888 4228 1 1232 870 2 8077 4392 1 16339 221 3 15230 1235 18 17914 196 1 14979 2618 1 6545 244 1 16526 1986 1 15875 953 2 11728 6512 15 10029 3338 1 13543 759 1 20129 534 1 12230 128 1 4835 5995 3 14780 206 2 733 3074 1 12821 6527 1 9978 420 1 18456 8137 3 6671 5379 5 5424 498 6 15615 293 1 15655 2896 1 8751 5472 1 9374 501 1 14305 289 1 862 5690 3 17809 1736 2 7611 2353 1 5307 409 1 6333 5133 4 6228 802 1 4963 1731 1 15572 23 1 11045 2144 1 14597 2729 3 2716 4868 1 20007 2699 5 9449 2678 1 11352 1251 19 18431 1395 1 2937 225 3 14758 2006 1 5237 3563 1 3309 656 1 12125 545 1 2880 3181 1 12702 6775 3 19568 1698 1 17902 5439 1 1852 219 5 5515 1877 2 13556 23 2 13103 1722 2 16150 3135 1 17143 778 1 8666 3635 1 513 6674 4 4773 5294 1 4459 934 1 10391 3786 3 2826 214 2 20129 6150 1 3184 7131 2 3427 308 1 9058 2442 3 15015 3491 50 6378 1250 1 6371 307 3 13076 1357 2 10763 6231 1 7176 1717 3 10320 210 4 8294 3748 4 2135 229 1 17996 1246 2 14018 223 23 15535 2673 1 14049 6109 2 19518 6865 1 1586 3647 2 1418 221 2 16676 411 1 12397 1008 1 11502 670 1 108 4901 1 14182 3512 1 10 276 1 12638 13 10 9400 4998 6 13714 4259 1 7553 1781 1 17953 6868 8 4426 4312 2 12739 561 1 1985 3656 3 4207 3298 5 3150 65 2 3988 5420 1 1970 23 3 11545 3432 1 10080 3633 4 13035 7809 1 11964 518 2 18014 1757 5 6519 7853 2 7173 235 3 4552 1731 7 4998 945 4 11441 3545 5 8077 3405 1 4148 2736 1 6936 1359 2 6811 1757 2 20174 3333 1 19759 5254 1 864 1112 1 10219 1751 1 18937 4355 6 48 2447 3 10064 5146 2 11131 3399 1 14235 2676 4 14616 6091 1 10076 2571 1 3358 1235 1 3808 1237 3 6090 676 2 12988 1743 4 6346 5607 1 16083 206 3 1414 7603 4 7498 335 1 6391 1488 1 1169 194 2 16600 604 1 9415 2698 1 4663 571 1 18836 2635 5 7653 7401 3 19864 6152 1 16548 1100 5 8307 2656 1 2471 7606 5 11890 2488 4 12209 8071 4 4492 2534 1 19537 1286 1 10308 891 6 19850 4366 1 10730 4274 5 7276 3677 1 10509 3600 1 9493 6545 18 12659 74 2 6776 221 5 3399 7044 3 4077 1705 1 11820 863 3 15640 2737 1 2935 6164 2 18743 3914 1 11417 6059 2 8967 1788 1 13 606 4 11334 3511 4 7001 1363 1 15595 336 5 13487 2880 16 5208 4812 1 7577 3911 1 12669 1698 4 899 231 1 9052 1610 1 1570 2938 1 10254 1703 10 17403 1303 1 8714 4435 8 5934 4947 1 12778 1467 2 11156 3021 4 4932 4589 1 11320 7857 1 16306 3511 3 2296 173 2 20262 1717 2 18722 3464 1 18427 4033 2 17685 5550 37 10896 2897 1 10417 1150 1 7851 1424 1 18281 600 1 3597 1482 7 18357 1760 1 17011 5202 1 4004 5472 1 8930 6331 3 17435 167 4 908 100 1 11938 6343 1 258 5036 1 9572 268 1 4524 1719 1 679 2077 1 7530 201 6 7804 518 1 10365 7279 1 2676 1747 1 3408 79 1 413 189 1 6642 834 1 8795 23 4 6556 1638 1 17505 2885 2 6059 4601 1 10916 584 1 5645 1247 1 19342 1764 2 6732 2885 10 4493 1131 1 3625 3639 5 1904 156 1 17283 4446 2 6690 868 1 3781 23 1 14447 1147 1 8707 334 3 3484 2411 6 6334 6064 1 6518 4105 1 7577 7005 1 6926 382 1 10584 2885 5 14941 235 1 20180 6025 5 4282 3385 1 17391 206 1 17918 2083 1 41 2142 1 3504 6482 1 3632 1297 1 14047 2591 1 7682 894 2 9236 3433 1 7586 712 1 19184 3061 1 9838 1372 1 14646 1249 1 15776 6252 2 8345 1743 6 13590 1996 1 16519 892 1 11 460 5 1043 325 1 16767 8017 1 16532 5018 1 15671 7244 1 15412 1698 1 717 3464 1 18866 1282 2 9521 230 1 3161 5245 7 4843 612 1 8001 6826 2 2866 6801 3 2191 5036 15 14522 411 2 5401 723 1 9085 3556 1 14093 4206 1 1397 1532 3 7733 1751 2 8884 3058 1 18443 5910 1 1997 206 1 14127 4680 1 18939 1211 1 5659 8029 1 10398 4019 1 15107 361 1 7245 1739 1 153 6869 1 4305 5852 3 15366 910 2 7025 203 16 11488 3619 3 12988 5496 1 4479 2933 5 14881 696 1 8733 5317 2 14162 3109 11 1504 1710 2 745 5829 1 14306 5202 5 19101 2319 2 3938 222 5 11678 578 1 342 4998 10 11169 2626 1 3653 5425 7 17233 1372 1 4688 586 1 16790 367 1 11551 5501 2 19870 5737 2 2361 2341 1 179 1718 1 18843 6069 2 9463 1568 1 14993 175 5 8151 2885 2 445 221 1 3074 2742 9 2821 1710 10 18526 1236 1 6773 28 1 7754 2617 1 8398 6121 1 2401 206 2 9930 1719 5 19434 2343 1 17 1100 1 10747 3911 1 13865 514 1 96 2777 1 5938 2698 1 8419 1582 2 9733 5989 1 16280 515 5 121 790 2 19147 5138 1 15715 4979 1 6077 2488 1 12901 2355 1 2750 4351 2 16913 222 1 1109 6498 1 12935 2727 2 1286 470 2 2855 1664 1 16240 716 1 8761 227 1 13947 1341 1 18922 4044 2 5344 114 1 8034 506 3 13267 6150 4 4560 173 4 15648 367 1 11378 353 1 9319 6048 5 17120 336 1 11334 2560 1 8539 721 2 16239 7857 2 2969 696 1 18809 1736 13 11113 5018 1 18149 7951 1 19975 7706 7 8751 2875 1 4869 4245 4 17892 1545 1 188 532 1 14662 7156 1 11786 6596 2 3663 379 1 13024 3913 3 8913 229 2 13779 1244 1 20075 704 1 19559 4029 1 458 6127 5 3677 5565 1 11066 1727 3 8571 1825 6 3439 215 1 8261 219 7 7858 5415 1 7165 2513 1 8815 536 2 14142 2225 3 20068 6469 1 12560 6207 1 19278 8076 5 547 3694 1 15100 605 1 824 3856 1 1194 6106 1 2483 514 3 14738 6482 2 10170 4011 4 19590 1825 10 14503 2647 1 16570 3851 1 10741 2636 2 5637 4623 1 16817 1242 1 1825 1307 1 13560 5518 5 19705 1471 5 10404 4333 1 6936 7411 2 13266 6418 2 4386 1184 6 7490 2646 1 13187 6085 1 16310 333 1 8082 423 3 17384 880 4 12952 1244 2 17298 2683 1 2098 6343 2 16805 4242 1 19545 1319 4 8572 5018 16 9014 5809 1 171 7800 2 17362 219 2 3549 292 2 7769 1656 2 7258 1819 1 4907 3494 1 1043 1300 2 6206 2653 2 4371 4911 1 1301 304 1 2571 4314 5 8332 7734 1 192 197 2 19404 6381 1 2131 1269 2 14230 200 5 7571 7583 1 14342 6669 5 9607 1340 1 19053 557 1 5415 4059 1 8286 394 4 14201 3333 1 6967 3010 1 9725 4667 1 11450 6903 1 11270 427 1 745 520 1 9881 734 1 1420 5676 1 7966 880 2 5711 3219 6 15075 252 3 4263 89 2 2345 3588 1 1474 1946 23 19656 1464 7 8225 1730 5 990 4967 1 12412 5749 1 19225 2675 1 14446 1461 5 17204 5228 5 17855 498 2 19630 3071 3 6154 3334 5 14032 2559 1 2834 4199 3 14921 132 3 13461 7765 1 418 7530 1 6228 2785 1 7243 4577 1 14522 4967 6 7799 7027 6 8159 722 1 5358 4507 2 16021 6677 19 11350 3324 1 19252 165 3 1625 2009 3 8332 7666 2 12619 8122 2 13700 5915 1 8051 6015 1 1033 1731 1 3570 910 1 14196 1367 1 11975 214 1 16474 5558 1 2886 87 1 3535 1247 4 8198 5769 1 60 2725 2 18012 7590 3 5931 1595 2 14079 2675 1 4384 623 1 4592 3255 1 6560 1946 1 13 600 3 19588 2019 1 2956 2072 1 11846 738 1 19428 1445 3 5217 3619 4 5774 916 1 1483 3970 3 16267 5783 1 7301 4093 1 14603 753 1 19160 3230 6 8614 5433 1 3800 2958 5 16441 2097 1 5432 5052 1 18149 3512 1 6796 4387 1 14786 222 1 7540 5018 2 6803 7965 1 4156 1298 2 16284 3893 1 12322 1252 1 10268 200 7 10732 3911 3 17220 853 2 2462 6478 2 12299 8214 1 1499 5697 2 18362 6013 2 15337 7606 1 5468 4918 1 20168 5180 2 13185 2115 1 3397 656 3 11272 5255 2 12112 3213 1 15146 1249 9 15946 6674 1 19722 8184 1 2306 4199 1 10212 712 1 11985 6440 2 11509 7538 1 11276 1819 4 7408 1238 2 6473 6023 2 4757 3317 1 17298 221 2 13245 2650 2 6742 5020 11 8092 1418 1 3181 853 2 3037 1356 1 4111 2881 1 12397 28 2 18518 1342 6 5253 4868 2 19184 169 4 4138 203 1 7994 554 1 16274 173 4 7780 4304 2 19245 215 11 11728 411 2 19767 3980 5 14053 498 1 886 4204 2 11962 2768 1 12640 2831 1 3112 6084 1 11336 5453 1 10307 4230 1 17961 533 3 18939 7750 7 6796 6473 1 11108 1103 1 8229 7184 2 2834 789 7 3238 5301 4 11131 3873 1 16063 5528 1 15104 330 1 11882 8054 1 17036 2675 1 6776 128 5 12896 6943 1 14114 1103 1 2762 3462 13 2641 5261 2 7111 2691 3 6952 7980 80 10852 1109 3 7362 514 6 14122 1686 4 16816 4189 6 7122 7095 1 5337 1235 1 9808 23 6 17957 663 3 7769 2883 1 9224 736 1 11933 5052 2 16236 1450 2 11825 5820 5 20196 251 2 5176 1482 2 6392 709 1 2261 408 1 17414 3573 1 7943 23 3 3535 533 5 18363 4459 2 1498 5243 1 12489 1862 2 15377 891 1 4020 6632 4 19655 5922 1 10078 519 2 2183 229 1 19272 327 4 4767 1315 4 5602 1207 1 17518 231 2 14993 3059 4 10923 1613 1 9757 1770 1 19597 6587 2 16377 2821 1 5202 659 5 298 5018 2 19080 857 1 48 2442 2 7455 6574 1 12082 215 1 18133 7477 2 10419 206 7 13913 2280 1 13273 2508 1 14915 1025 6 2133 2641 1 19979 222 2 7605 1383 2 727 4013 1 2274 726 1 9357 5584 1 10105 1769 1 8139 1221 1 17884 3230 3 8244 1054 2 15398 766 1 3331 230 1 14968 5803 2 10801 6231 2 9527 6164 3 124 876 1 16278 7292 3 12900 7136 1 8435 1364 1 20145 883 1 7688 638 1 15025 6597 4 19246 8051 2 13343 2668 1 12140 336 4 6387 1772 1 1247 220 4 12209 1395 1 18730 1300 1 2413 4325 1 16340 1245 2 10249 893 1 13813 534 2 7943 6192 1 15979 1732 3 9597 74 2 12322 84 4 7750 525 2 7644 2560 3 2985 6558 1 1586 219 1 13349 201 10 16436 4868 1 7135 1724 1 18852 6158 1 1551 203 4 7688 3851 1 346 1748 3 9746 5858 1 20107 2557 1 14853 225 3 8356 533 1 121 5277 4 1747 46 7 4886 5432 7 6776 1721 6 14592 1707 4 8169 4280 6 14483 6178 2 16748 508 1 4843 747 3 7194 2802 2 3734 5391 1 2156 4086 11 12784 5531 4 18193 1726 1 15791 4547 1 5652 214 1 4517 222 1 14283 7719 1 2917 2127 3 19504 6701 2 16255 7586 2 525 1505 2 18149 1781 11 1045 496 1 3014 200 5 14146 566 2 5780 6546 1 496 232 1 3755 184 1 8286 880 10 15355 6865 1 5356 2014 1 3931 1237 2 17685 1714 1 6945 3378 1 16538 1395 1 16090 5767 2 2483 1827 21 18682 6957 1 11099 3573 1 11190 7596 4 7769 6502 1 1772 891 7 15551 1718 3 8872 3070 1 3286 2056 2 13928 809 3 10690 3427 1 9149 1710 4 6375 6785 1 18160 5228 1 12705 3480 4 2490 2774 1 13234 2509 1 1732 252 1 9650 496 1 11194 4266 1 5444 2853 1 6129 534 1 10601 2656 1 15608 888 2 2861 215 2 9449 207 1 20107 533 2 2545 207 34 107 4792 3 3859 3333 1 3765 404 1 5133 5133 1 18385 1378 1 5567 500 1 10525 1768 5 443 3442 2 10914 1703 2 6724 6649 1 6334 1698 3 3418 74 1 14120 6374 1 722 3637 1 13195 3679 4 12828 510 1 5613 6051 8 1986 292 1 3750 3601 5 18422 4284 39 14178 6418 1 1772 1238 1 19511 5536 1 2889 1784 7 8943 167 1 7612 2352 1 17932 84 3 13857 2993 1 10158 4949 1 6920 4963 6 13513 6662 12 19155 186 1 1927 1244 1 7506 49 1 8709 5266 1 4368 5018 3 11461 2686 1 1722 518 3 18902 1020 1 2344 3671 1 18476 6320 1 17 1165 1 6875 3271 1 73 3384 3 2021 6062 6 4055 1184 1 17773 3556 1 392 7734 1 1868 1770 6 8951 308 13 14470 5018 14 18344 891 2 153 7109 8 576 4929 1 3207 1761 2 3694 1276 1 11709 7707 1 9505 3380 1 6632 4714 1 9346 7869 1 5890 335 1 19491 2056 1 757 6341 2 1586 3892 1 124 5468 1 9877 7859 2 16671 5910 5 5084 2248 1 8735 7606 3 16914 3945 1 6791 304 1 8432 7489 2 20024 2290 4 15474 8194 2 16378 520 1 2199 1246 4 13066 6640 1 3085 3283 1 3186 3763 4 9697 1404 2 14908 1791 3 18542 1727 1 14052 1688 3 8332 2250 2 18755 7735 3 162 2860 1 12521 718 2 15395 4998 1 18724 525 1 5172 5817 1 3152 2302 1 19089 519 2 4708 203 8 13508 659 1 11647 203 8 17899 3741 1 3203 6407 2 4417 1244 1 5213 520 1 11435 659 1 2980 3866 1 3991 1686 1 12826 1754 1 10422 1054 1 6685 411 1 5796 219 5 9737 2729 1 10163 1760 18 4706 540 1 12 514 4 9063 7200 1 5237 48 1 11134 6723 1 10361 1761 1 8831 817 2 18207 5971 2 8153 2061 1 43 2266 1 7916 1727 1 151 883 2 502 910 6 18613 4322 1 19708 1748 5 13 861 2 17992 1070 6 13995 2484 3 7868 365 10 19590 4435 1 1106 219 7 4092 6675 2 6618 1825 15 5478 1245 2 8672 2270 1 6327 2953 1 1008 1814 1 181 8247 1 18199 6442 2 4147 4022 2 18614 4946 1 19975 2435 1 19515 6091 1 10633 4146 1 17601 6490 15 4631 2727 1 7999 6484 1 3351 7112 1 13745 3595 1 17246 1740 6 14522 197 8 7535 6035 7 127 5757 4 9758 1727 6 19190 3911 1 9433 7313 11 13131 605 1 10869 1523 1 2274 706 1 4389 545 65 18404 2356 3 19710 5003 3 9061 4531 3 6164 4382 2 877 7882 5 18528 2676 1 9651 132 3 15743 219 1 432 1714 1 13181 1760 1 8665 23 2 105 4717 2 18465 8203 4 13461 3305 1 2580 6335 2 19872 528 4 13373 7814 1 1837 619 3 8697 6159 3 11985 6481 4 18420 2555 4 18766 537 5 1171 2671 3 14577 201 1 18014 2877 2 9759 6713 4 889 557 1 684 5021 1 10472 1053 1 14 977 1 4371 2622 3 11857 214 4 12247 6713 1 20276 533 5 16192 200 6 11388 156 5 7612 7710 2 13871 381 12 16459 1751 21 2577 7769 1 9917 3956 1 16076 1747 1 10999 3029 1 5567 2146 1 2116 2671 1 10149 534 1 1866 2240 6 16509 6636 1 5031 2519 1 19855 222 2 11084 3181 5 14916 1342 1 15988 3516 2 16845 3366 5 6749 5126 2 15436 3078 17 17394 3836 2 7995 3338 11 18750 724 1 17132 2662 1 15323 2480 1 3309 670 1 18860 215 1 11107 1752 2 11932 532 2 18631 4986 3 15896 1253 1 20191 953 1 6776 2262 7 171 7772 2 6364 206 1 2461 4703 2 3877 2696 1 4915 4288 1 6527 2767 1 6717 6697 1 18730 5346 3 11179 203 8 18610 5922 2 14866 1727 1 8528 1772 2 14381 6692 2 10178 6623 1 8083 3327 1 17662 1776 2 54 2609 1 1011 939 1 164 7470 1 4048 220 7 9513 2071 2 7137 209 1 18999 74 1 8174 201 4 8965 1253 1 11072 449 3 1057 1768 1 5745 1362 3 3642 3703 1 4449 1781 6 3764 308 1 1735 1305 2 11008 23 2 4525 5051 7 9757 8194 4 12367 4748 3 12642 6152 1 6670 6294 1 13652 3421 8 15380 253 3 5936 4818 5 11580 6640 1 3397 749 1 1005 7420 1 12136 7871 6 10946 7261 2 17698 2017 5 20059 3492 1 1807 4351 1 15573 5363 5 17260 1775 1 20093 23 1 4832 470 15 8555 1250 1 3925 23 1 17572 5086 5 14553 1644 4 14876 177 3 19845 3230 3 16758 8195 4 5369 3859 1 9586 6231 2 8891 23 3 9404 1728 5 17662 1724 4 15851 2998 1 12291 1755 1 5692 6341 1 6323 4397 1 11183 3697 3 4711 1776 2 16184 3370 1 15438 498 1 10494 1698 12 5878 2651 1 18193 3070 3 13601 227 1 19981 1736 1 14663 952 1 15548 23 2 9660 1298 4 5273 1606 1 10966 1374 1 107 4768 1 13133 236 1 1609 4446 1 14297 3474 1 18924 3433 17 15208 6343 1 15216 4029 1 5104 2514 1 16827 6150 2 3628 1727 1 2083 3916 5 13647 7358 4 3243 4202 1 13707 1731 7 8237 903 1 854 3899 10 15496 545 1 15094 2146 5 6068 5673 4 6485 4498 1 18039 605 1 3272 1761 1 2886 4131 1 14021 1000 1 8320 1887 1 19160 1762 2 9909 5866 1 13656 2649 7 41 2138 1 6875 2761 3 9915 804 1 6438 1664 5 2913 203 2 23 1435 1 1731 5018 1 11072 3820 7 2643 235 1 24 1482 9 12913 698 1 1125 5565 1 20090 2595 2 17926 7560 2 2522 1761 1 11428 2737 5 10670 2889 5 10221 4941 12 7306 665 1 15208 6561 1 1073 1109 5 15192 3734 1 3642 35 1 15676 952 1 17559 6219 1 5804 2447 1 5117 712 1 7710 6334 1 9256 466 2 11852 1819 3 7435 223 1 6352 7073 1 16778 223 1 1443 502 1 17158 1235 3 12890 3639 1 127 5758 1 9508 5292 5 13067 6343 1 17136 200 1 16090 4804 2 19655 229 1 5424 410 6 14700 867 1 17246 1695 3 7025 200 18 8042 2965 1 6314 8060 2 13483 5054 1 10459 5885 1 1872 3024 1 19360 100 5 18202 3250 1 16416 214 1 8419 2292 7 4075 1092 4 11072 421 3 10692 748 1 1968 6667 28 13082 408 1 4680 6542 1 9579 6341 1 4853 2699 1 19000 823 1 11804 7251 5 19604 6542 1 193 7857 1 6556 210 1 2412 8113 1 16245 38 1 5104 5903 1 6314 374 1 17504 519 1 9280 2360 1 1172 235 1 13857 206 2 18867 514 1 11238 7884 1 14888 7414 3 2174 6306 38 5816 1357 1 462 950 1 12392 8026 3 19223 1727 1 5239 1703 3 6652 5018 1 9319 437 3 1964 3477 1 10661 1643 17 7646 1946 4 13075 1700 9 5943 6231 1 5573 4277 1 8255 952 1 8580 8094 7 5036 1277 2 20090 2009 7 18193 1719 2 3307 1782 2 4216 2995 13 2729 2686 3 2221 8229 1 8761 234 1 3374 656 1 6145 4774 2 19123 3697 1 13601 4460 2 1923 1401 1 2321 6201 1 1466 496 1 6661 1779 3 5217 3511 2 298 6723 2 4549 4996 2 1530 1727 1 222 551 1 10252 1657 1 5280 584 1 10692 554 3 8135 164 4 19358 2646 6 19655 235 1 15129 6640 1 8043 3547 1 20009 3228 1 18698 6865 2 18954 203 1 6768 867 1 4793 1305 1 14990 2726 2 18195 676 1 5936 2484 3 1698 6126 3 11987 1707 2 10821 724 2 11588 8008 4 11713 7677 1 5785 3230 2 17154 8070 2 4857 223 1 12103 532 2 7039 2355 2 572 177 1 15671 2225 1 15628 6538 5 784 5078 1 6431 1898 3 2127 3849 1 10692 718 3 16557 1705 5 15664 532 2 9650 201 2 4615 2548 1 9732 867 1 1461 5340 4 14124 235 1 8255 5466 1 8053 3050 1 3416 6700 1 12412 797 1 493 453 1 12286 6414 5 1073 3843 5 4228 367 1 15480 265 2 18754 658 2 13676 860 6 13636 6557 1 15230 1751 2 10152 1877 1 11898 7546 2 11230 3425 27 15318 2675 10 6070 6568 1 15468 2877 3 16902 6343 1 14400 184 1 10821 4275 1 18042 6035 1 20221 156 5 18885 1743 1 11250 3512 2 3504 3263 1 2559 5413 1 15923 6440 1 2479 5523 1 14371 1342 1 13334 1769 1 11769 6468 1 11122 550 5 11131 3765 1 14826 449 6 3728 1649 1 3395 532 1 11188 5226 1 10462 2853 1 16443 4687 1 10703 304 4 2760 670 1 14509 7352 2 2605 7181 5 4640 196 3 10416 1751 2 4073 561 1 6368 2656 1 17066 7091 1 19463 5077 11 13778 1705 2 3118 1643 1 19276 1739 2 6630 5297 1 112 5016 4 6023 7963 1 15629 737 2 11693 5496 1 2801 2832 1 2245 1775 1 6607 3637 1 7455 2495 4 18447 502 6 5355 497 4 607 1184 2 10245 7819 1 15450 1464 1 5926 4996 3 7208 2109 1 4050 4029 1 1464 838 1 8965 1784 1 19822 8251 1 17332 3231 1 11200 214 2 5679 5260 1 62 2779 1 4694 4380 1 15736 523 2 1028 379 1 873 545 1 12755 2056 1 16439 7924 1 11585 6091 1 15306 1763 1 10430 1267 1 13663 2542 3 11482 495 1 14408 3045 1 1453 3397 1 17331 816 5 8886 6776 2 9992 3167 3 2743 220 4 13083 5511 2 14994 185 1 13871 2488 13 7378 411 6 12740 215 2 6211 1278 1 15064 1781 2 9919 4391 1 1622 1752 1 6348 781 6 12894 5105 2 10837 1296 3 9626 800 3 1774 533 3 1668 4563 1 14305 780 5 5700 7606 1 11052 3522 1 16674 498 5 5548 215 4 3602 2407 2 5624 4591 2 9400 4320 1 11637 872 1 14326 4967 15 16470 1103 2 6349 1082 4 9779 3059 1 12433 5270 1 20090 2508 12 9875 505 6 7406 229 2 14992 745 10 5449 4015 2 10785 824 1 4012 8033 3 13321 7450 1 8299 5943 1 18499 367 1 20145 506 1 8183 847 1 15522 800 1 18524 7672 1 5431 7414 11 4158 1772 2 4357 4261 1 12807 1150 2 4347 23 1 12897 8072 1 14395 7881 1 19760 263 2 7886 3445 1 9639 910 18 2075 6683 26 9276 1710 1 14086 4351 1 12406 1987 2 13 887 2 8323 4532 3 6989 752 2 16416 7181 6 3119 1695 1 12987 3230 2 4223 2433 3 11651 6217 3 13333 1772 1 13035 956 6 5103 4435 5 6813 6259 1 2980 5814 1 13058 2009 3 13874 4403 2 10297 508 1 3666 3510 3 19680 2980 2 13406 409 1 8384 173 2 5717 3910 5 17226 508 1 1370 1779 1 15266 7210 10 16978 1245 1 20 1308 1 6332 916 4 6236 7769 1 12190 1248 1 13587 395 2 11566 6253 1 14722 910 5 10107 3276 1 4971 910 1 12895 1303 1 6344 1727 1 17019 304 2 10712 2499 1 2743 23 2 4239 5018 1 18504 1342 1 13800 427 2 16174 1751 1 5440 222 2 9652 1243 1 14059 1042 2 14011 5089 1 18757 6726 1 16210 1712 2 822 2493 2 7527 6602 1 3008 6288 6 2850 244 1 4491 864 1 5548 1247 5 18029 4862 1 15572 1761 1 1542 1743 3 16016 5414 1 1747 1199 2 14388 3230 1 5241 201 2 5313 4225 2 12532 2068 1 16238 1450 1 10019 2708 23 7770 6680 2 17369 3535 1 16700 847 1 9510 7850 2 10948 6196 1 1803 2076 1 105 4732 14 7099 7210 1 18820 495 4 12623 6457 1 18532 4019 1 6795 2649 1 18587 5686 2 467 1239 2 6013 6016 2 19076 5466 5 18815 244 3 6757 201 5 19957 2000 2 19386 4764 1 19184 1826 1 19026 1707 2 3581 222 3 9432 1146 1 4346 167 1 16747 4555 1 6098 5758 4 7798 3338 2 10043 73 4 8615 225 1 3309 7410 1 17127 23 1 14081 867 1 14048 475 1 3134 3072 1 17014 385 4 7764 23 4 10265 412 1 17185 3182 1 19658 1715 2 10183 1453 3 19764 532 2 9887 3338 1 7400 215 2 16694 5600 1 2479 1747 1 5363 6458 16 16492 1062 3 4267 5113 2 4701 867 3 18476 228 1 10245 1819 1 16192 1752 1 17504 206 2 14232 3693 1 10313 1700 2 4632 6086 31 14295 4388 1 95 4341 1 17124 2407 1 5254 3540 1 3024 6582 1 1171 518 1 8241 505 1 3793 108 1 10517 4951 1 121 5291 2 19472 2678 1 12187 2010 2 17169 3908 3 1183 7570 19 13323 895 1 16254 3539 1 15791 380 2 9709 6705 2 522 8065 8 16922 2005 2 8462 84 1 6922 2678 14 15100 632 1 11296 1762 1 11509 225 1 19920 8175 1 11430 1241 1 1359 1825 5 174 2771 1 11495 81 1 17061 1721 1 846 4620 1 6228 917 1 4688 707 3 7969 4586 1 4832 1342 14 5446 23 2 14295 225 1 17215 1707 1 13328 4999 2 6477 244 2 2453 207 1 17350 3535 2 5042 1703 5 8092 2351 1 6153 1395 1 14336 2580 10 4417 197 1 153 6976 1 10632 152 3 19219 6259 1 1461 4395 2 13115 517 45 659 1717 3 174 7903 1 8435 219 1 17013 1374 5 17011 723 2 13205 6520 1 10732 223 2 1542 6640 5 17903 496 12 6314 5875 1 7780 1740 1 17403 1366 2 20180 648 1 19222 200 9 349 948 1 3239 4378 2 18281 3633 5 10325 841 3 14791 4435 48 16933 7293 2 13676 5060 1 4947 2789 1 3734 499 1 3700 4245 9 14506 4060 7 10292 6632 1 18893 3654 1 12392 5516 6 3801 395 1 1028 663 4 3853 5048 1 3915 6051 3 6754 3781 5 7928 7744 5 4072 186 1 18517 4379 6 3767 5018 1 13096 1736 40 10169 764 4 18869 6023 1 16831 244 1 397 7414 5 13608 499 5 115 5163 2 3116 6237 3 12800 6407 1 11130 244 1 259 3168 11 2816 2292 1 18554 1357 1 10641 1331 1 15776 5387 1 17917 3573 3 19346 3939 2 18902 2494 3 10610 4077 1 6332 787 2 513 3616 1 6749 3408 3 5943 6330 1 16925 2011 1 9205 3758 1 16736 735 1 7995 5550 7 11169 1250 3 10062 4996 9 4667 7782 1 591 6591 1 3704 1814 1 15443 4653 5 14059 2518 2 16366 229 1 3759 5705 1 3207 520 1 7851 4598 3 14234 3604 4 16853 1685 2 1917 5272 1 1801 379 5 2345 7461 3 8475 1282 4 8683 589 2 1816 6979 1 11399 5814 1 13578 1727 1 78 3530 1 171 7749 1 13996 4269 1 14422 7388 2 11295 3155 8 822 6084 1 19883 617 1 2226 6543 1 6191 400 1 11230 2447 2 10544 689 1 7573 501 1 1386 1335 1 5229 5853 1 12970 6421 5 7957 8139 1 6691 221 2 4092 206 3 2140 225 9 10902 5737 1 6045 7073 2 14147 805 8 9642 1751 6 19774 438 1 3543 2881 1 8478 825 1 9010 518 1 10766 4387 1 3143 6213 1 15627 1245 2 1499 4806 2 2322 6158 1 10854 229 5 86 3946 1 19883 769 1 10761 95 2 6006 3175 2 1530 3176 1 8538 4101 1 7946 883 1 4195 207 1 17783 1772 1 7280 6299 1 5204 6954 1 13200 496 1 15140 3069 2 20275 1296 1 16087 3027 1 3549 1774 1 17405 798 1 3246 6551 1 7577 1752 1 14985 141 5 812 1245 2 14375 3556 1 8761 667 1 13508 380 5 4663 1231 1 9194 8141 1 17338 1147 3 1198 3391 6 113 5086 4 8891 184 4 475 4288 1 13644 207 2 270 23 2 7270 2352 1 6039 2649 4 7455 7009 2 9604 5018 8 12619 1108 1 5791 1245 2 923 596 1 6144 4623 1 15259 200 7 3965 7228 1 4 142 5 9096 6721 1 2552 525 1 18431 4293 1 15660 1995 4 5383 292 1 13093 2385 5 4886 8145 16 20068 3225 1 17877 1731 1 19219 474 1 18289 7021 8 7147 3262 1 4548 3056 1 10396 6525 1 17096 7410 1 7310 866 13 13280 657 1 15874 2722 1 3489 1324 1 2143 2104 2 9195 228 2 15177 2484 1 9122 219 33 17252 593 1 8920 2399 1 379 809 2 10105 7878 4 5542 407 11 10821 946 1 14412 4245 1 6690 5924 1 143 6677 1 11072 1771 2 13916 4146 1 159 7254 2 6894 5673 1 12477 1374 2 20 219 2 1509 3983 5 121 5299 13 3562 206 1 6563 843 1 8253 514 2 18357 6065 1 4898 1946 1 13654 5547 1 5863 3747 1 15061 1277 1 18661 1454 1 4089 474 1 10862 523 1 5899 501 1 13731 3239 1 7531 1710 4 7726 526 11 9341 4222 5 12826 3838 2 3424 1495 1 10374 6607 1 11111 1752 1 10027 1796 2 1066 2980 1 10119 4578 1 8755 1284 2 13814 214 1 2309 1726 1 20060 495 1 17182 3494 1 20154 1395 3 14867 7754 1 8793 853 1 10554 1277 1 17257 1379 1 787 2355 9 15040 1732 3 12104 890 1 11383 6602 1 4749 220 3 8394 362 1 794 2727 3 16006 3426 1 11017 1734 1 14015 945 1 8276 4435 8 12064 4998 2 13758 5646 1 10119 1305 1 6292 379 1 2274 2009 1 15451 6289 16 15092 4004 1 19448 3283 1 11268 2795 1 7396 6207 1 1469 498 20 19351 5275 8 14738 1571 2 18968 3970 1 5472 1342 1 7991 3070 1 3058 6127 1 9195 1739 1 17405 1378 1 2440 2534 1 9854 5001 1 8318 2269 2 14517 5460 1 4092 776 1 5064 711 1 11402 658 1 2413 2563 3 4514 1726 2 11530 225 5 11964 7869 1 3580 7599 5 20090 386 1 14312 1466 1 6305 6779 11 1171 2662 1 9733 6204 5 18748 3495 2 4277 5922 1 4811 6902 5 10414 6974 6 4170 1341 1 11663 184 1 6611 201 2 11863 4829 2 13374 3283 1 9178 2336 5 15364 6816 1 2589 6914 1 9577 6202 1 6116 225 34 9640 2727 2 19624 156 5 12120 6721 1 12966 203 1 14127 126 3 12394 197 8 1604 2620 1 11863 4714 1 2529 627 1 17767 6481 5 11554 1450 1 1852 3512 15 5848 8168 1 19326 557 1 19649 4312 1 270 3081 1 8311 2675 1 7799 5206 1 5778 3763 1 4791 5494 5 107 4797 2 20090 2367 8 14578 2369 1 8969 13 1 12278 7643 1 14567 1950 1 4913 6980 1 11192 3074 1 65 3094 5 11984 883 1 18193 510 2 18232 220 9 15693 2343 1 16636 1368 3 9666 496 3 12020 508 2 1303 3082 5 17645 1235 2 4932 2691 2 9528 2155 10 19760 312 1 19489 1237 1 13705 5002 4 19760 3530 6 15107 5385 1 12367 4242 16 13026 2683 2 73 3392 2 455 1996 1 11333 891 8 8465 1686 1 10961 2336 25 40 2086 2 7780 4009 1 19332 7193 5 6000 308 1 17469 3893 1 18379 1480 1 3465 2146 1 12782 1755 6 11388 1236 3 19056 1420 1 6269 1019 12 6802 1357 2 591 404 1 4681 2668 1 9972 3573 3 19633 2138 2 15599 3298 1 9594 2557 5 9674 1721 1 83 3793 1 14359 4308 1 10856 1283 1 12945 3984 2 12913 95 1 11020 3945 2 10470 316 1 239 7136 3 12392 512 1 18184 6053 20 12226 1737 10 6806 1781 6 3355 232 1 1768 4998 5 7728 2478 3 2404 1740 27 8137 2649 2 802 3114 1 2771 3909 8 12817 203 1 6473 2691 3 8015 3083 2 16924 2076 1 14626 200 1 9122 5698 10 14807 4764 1 8234 4060 1 8875 3649 4 1191 1818 24 9526 1664 1 10276 467 1 12485 7360 3 3781 2698 1 18457 1726 1 12619 545 3 5079 4371 1 6749 5255 1 15782 1762 1 3182 2651 2 4566 1342 2 5588 7427 2 926 5518 1 16558 4392 1 18042 1312 1 18367 2407 1 18252 7104 1 11736 5804 1 5747 1819 1 11250 883 5 5260 3653 1 7948 411 1 8528 1761 1 6819 1334 1 13194 372 6 9537 6745 1 5340 201 1 4305 568 2 10525 5227 3 5804 201 3 11755 2938 1 15074 3715 1 2885 1251 1 8317 1726 3 12280 792 2 8823 1277 1 5969 1184 2 12686 232 1 6764 3167 1 9166 1357 1 20256 6744 4 11556 291 3 13237 4653 1 19352 235 1 13537 725 1 18199 1121 1 5004 5882 3 18798 2863 2 4552 1190 1 1504 6204 1 14759 23 8 10879 4002 2 9061 719 4 8629 8084 1 13411 1245 1 13722 1903 2 19833 379 2 201 2730 4 14161 6127 3 12286 2559 2 6327 225 4 16227 6058 2 12140 1726 9 16671 5919 4 7188 3693 1 13877 4869 3 8239 7695 1 17525 215 1 10890 5820 2 467 7652 2 16096 5333 3 2491 380 1 19030 4222 5 15926 4998 1 679 6051 1 19387 1695 1 7433 7479 3 19810 206 1 13891 5561 2 2818 6334 1 3069 3233 2 12740 1464 1 6064 385 4 15791 644 1 8062 71 2 875 541 1 7246 4648 18 3415 5243 1 3666 1314 2 7268 7809 5 593 1249 1 18703 6567 2 31 1482 3 13829 541 4 13543 939 1 13829 883 10 1506 6350 3 16878 1731 5 14197 3081 2 19320 5335 2 4050 219 3 2690 3838 1 7366 441 2 15091 5792 2 12591 7519 1 9415 1275 1 2286 1707 1 873 7105 1 19410 2450 1 17494 1464 1 12140 2352 2 5952 1661 4 4774 1762 3 12644 1154 1 8614 5523 4 6915 1062 1 20062 5478 1 11798 1906 3 3516 502 4 5993 3011 1 17163 7188 4 16278 7331 1 12688 5258 1 17746 885 1 18734 1561 1 1097 201 1 1629 81 1 14401 159 1 14578 2093 1 11200 541 1 2709 374 1 20172 5115 3 2338 3615 1 5370 8120 1 2243 3610 2 15691 74 1 18263 3163 1 8448 2370 10 6687 4020 4 14487 4343 1 15640 7013 1 6539 2497 1 914 236 1 7535 3338 1 12988 2382 1 1499 5670 1 13774 1518 1 2274 392 1 4898 6178 7 8097 1743 5 16527 6162 1 15395 2138 3 13081 3563 2 14828 6303 6 6433 5173 2 1872 1244 2 19881 5442 1 2555 5518 2 17167 1727 13 16063 1282 11 4095 5450 3 14716 2897 1 18115 304 1 2260 6341 3 12368 4435 1 17664 1762 1 2330 1779 1 9898 443 1 10397 6790 1 381 829 1 4371 4879 1 19735 6330 1 1722 7762 1 9528 214 2 13488 1744 2 9449 1747 1 906 4104 1 11769 1660 4 17825 4411 2 803 3954 2 15544 135 1 7098 7229 1 10514 6779 1 8528 1728 1 5251 5294 2 100 4480 1 8450 6481 10 8572 1119 1 12155 3512 1 11250 219 16 6890 201 1 9122 4227 2 19317 1707 1 3959 7220 15 10340 3540 1 6840 709 1 11416 471 5 17165 2292 5 9883 6487 2 4251 7421 2 171 7651 1 5356 441 1 19530 244 2 19254 2935 2 18973 4496 92 9154 1934 18 11998 4403 2 15893 229 1 16138 1250 1 18852 3733 1 2410 2247 2 6913 3400 4 18118 911 1 6551 7570 2 12538 2979 33 10587 2016 1 5884 7849 1 15943 5420 1 20181 1881 1 9572 2424 1 11402 1564 1 6332 607 1 4416 4796 1 2985 600 5 1296 2876 40 99 4454 1 8343 871 1 3384 1698 1 7651 1246 3 10422 3731 4 18508 6484 3 14320 205 1 3188 1771 2 2629 1783 2 562 2133 1 3337 1717 2 18037 6663 7 12623 4791 1 16222 3454 1 458 1672 2 3806 2261 2 18122 1825 1 14610 1711 12 1164 2131 1 19026 1245 1 3908 2675 15 816 7821 2 4498 3999 7 6070 1930 2 6587 3304 3 5213 1783 3 1863 1877 1 349 3546 2 7952 30 1 19996 661 1 18285 6835 1 2874 6334 2 10580 8066 1 9639 825 1 18119 203 1 17799 708 2 11018 506 1 16401 1399 5 11932 2263 4 379 687 3 9312 4022 3 174 8033 2 14145 1771 2 3696 4403 2 17247 5193 1 787 225 1 486 4618 4 12325 7953 1 171 7804 1 11542 4590 9 18843 495 2 8611 3511 1 11533 7914 1 14180 1760 1 18757 4747 15 15184 3619 20 14638 148 1 17893 2089 3 12054 2953 5 4626 2722 1 6130 316 1 2156 470 1 156 7153 16 3337 7244 1 1551 4397 1 14810 2444 2 11772 95 1 14722 2734 1 10532 214 1 19810 222 1 18043 5253 1 1904 223 2 15948 496 3 12821 4446 1 16484 5503 1 8171 5202 2 12392 201 2 19996 148 1 4556 952 1 3794 220 2 8134 201 10 679 937 1 8048 3588 1 8913 2351 1 717 910 1 9181 3426 1 12304 1337 1 18193 2397 1 4508 1334 2 645 46 1 7234 5018 6 2282 930 1 130 5847 1 19768 3516 1 7802 1724 2 13743 6178 1 9168 1239 1 4304 1768 1 7452 591 1 3765 4435 29 19207 3556 1 8878 859 1 18258 1632 5 5623 5852 1 13153 203 2 171 2008 1 3025 519 2 3439 342 1 6564 2256 1 11702 366 1 6197 4614 1 1801 403 1 12817 201 2 19872 1720 3 8832 252 1 11336 5530 1 8074 1760 1 19566 1284 1 8553 489 7 15584 1357 3 6403 3564 1 9998 1484 2 18114 2123 2 18431 252 1 11987 3024 1 4524 7352 1 14756 1184 13 1253 6723 2 9527 2363 2 12766 893 1 16997 7105 2 10034 3631 5 14474 3233 3 18730 2089 1 651 4448 3 9666 7905 1 6683 227 4 11320 885 1 16557 201 3 9433 7632 1 19286 903 1 17251 1753 5 19401 3135 4 14522 533 3 5373 1727 2 13161 6066 1 3918 1445 2 6511 1356 1 7380 207 2 5601 1482 5 15595 4101 1 7249 1728 1 134 1819 3 12038 1247 2 15360 1996 1 9945 5595 1 16777 6487 1 2806 1779 8 5064 3382 1 9653 8098 1 525 759 1 156 7174 4 30 1104 1 19060 541 3 14806 156 11 20009 2898 1 1445 2832 4 13121 5950 1 5897 1686 4 15160 201 3 10010 1082 1 1677 225 10 19655 841 3 15429 6414 1 16500 1827 5 2134 470 3 12319 314 1 5857 1748 4 4462 6107 12 10856 631 1 9921 3892 1 14981 156 1 9109 2271 2 11399 3732 1 16407 6726 4 5464 2139 1 16695 4403 1 7164 6533 1 3359 1780 1 12308 186 1 6109 2076 1 8340 220 3 3606 4435 2 4880 956 1 326 2330 1 17645 23 7 9351 203 1 8706 1232 3 4257 151 11 19604 7175 1 14666 1271 3 6665 8057 2 6713 2673 2 20055 5315 2 12213 7244 1 3512 534 1 12817 1042 1 10381 2584 3 5112 23 3 9696 203 10 17750 525 2 6424 7672 1 593 514 2 770 786 1 4069 411 3 10874 300 2 17958 6358 5 9281 6268 1 12327 4982 4 9773 5408 2 3243 1707 6 1867 1996 1 9510 6897 1 12009 8154 1 4492 1772 2 16156 1729 1 18471 1871 1 16719 5409 1 19664 3511 2 16509 7642 1 8311 534 1 4975 200 6 1490 1453 1 1570 1736 4 12777 6962 1 16185 413 5 433 3905 1 4574 7201 24 16270 765 2 1060 3167 2 3871 4903 5 20150 3132 2 16128 5022 7 9419 5997 1 10690 3425 1 4886 883 8 6982 505 1 8530 2461 1 19568 1342 1 17160 7948 2 5528 6567 1 10473 1193 1 17550 4905 1 11558 1719 1 6848 512 1 6864 2891 4 14464 8099 1 12378 3907 1 19431 7800 5 3229 545 1 15144 2721 15 15588 2363 1 11769 5427 2 793 1474 1 2702 4067 1 10999 5128 2 6059 1717 4 18137 6908 1 12753 3011 1 9171 3866 11 6966 4395 10 20248 5418 1 14855 74 2 18371 647 1 14305 898 3 6712 766 1 11416 8043 1 14421 1764 1 8760 8184 1 9380 4342 1 6404 502 1 13042 7189 2 5491 5365 1 11214 1717 2 5591 5533 1 2593 3658 1 2174 6140 1 2418 2413 6 7469 2555 1 9374 1247 3 11100 207 33 14658 3556 1 10791 5466 3 298 1781 1 14060 203 5 16197 745 50 10580 3569 1 20239 7332 1 13606 201 1 11155 2352 5 17142 4761 1 15164 2729 1 15936 1760 1 16594 762 3 8417 206 1 19060 1275 1 721 203 1 3427 813 1 16588 2386 2 8475 1745 3 8614 5540 1 12841 652 1 11388 4351 5 1287 184 4 13290 3024 1 6551 1025 5 2834 215 8 19014 1273 1 5791 7710 1 16022 1190 1 15750 785 2 18465 3511 6 8255 528 1 16921 2647 2 12030 3516 1 15535 215 3 3763 5018 19 5248 905 3 3177 1249 12 6966 4391 4 1051 2069 11 10655 5316 1 11158 308 2 5205 4296 23 1630 7719 1 126 5697 1 17416 1632 1 2396 1246 1 107 4806 2 20089 220 1 7186 1261 10 9695 3666 1 3822 227 1 3411 3694 1 5358 2369 1 19725 1399 11 9463 3431 1 10575 856 1 2853 2889 1 15952 407 1 14379 532 4 16569 4468 3 2797 1686 2 8620 4702 2 16196 2647 1 10238 5468 2 16569 4467 13 17836 7521 4 17362 232 1 12941 2008 1 3118 6404 5 17965 822 1 16856 5394 6 7753 23 7 5340 23 1 11445 3539 1 5667 2671 12 5421 4545 1 5304 3849 1 7023 1819 2 1772 1241 2 4001 2206 1 1656 1825 8 12869 3202 1 12638 304 1 2255 1993 1 15915 2974 1 4788 2671 14 944 1737 2 2448 1758 1 17734 554 1 19889 7586 15 17836 501 1 13646 2363 4 19005 5318 1 14791 1946 8 3584 6237 2 18258 3629 6 812 7542 2 19578 5495 1 16087 5740 1 13971 201 51 15385 2401 2 8260 7411 1 90 4063 1 3562 220 1 18197 1482 2 416 2307 22 14332 3554 2 135 6111 2 1704 252 1 19953 1721 1 6308 1726 1 17399 3352 1 17321 749 3 635 190 1 12156 42 3 9909 1303 1 9800 1450 1 13764 159 1 14049 6120 3 14052 3539 1 9696 533 5 8528 1703 1 15238 7590 1 3659 1743 4 12096 7076 1 11644 1464 2 11 466 1 14059 2493 1 13737 5257 1 153 7063 1 19093 1769 1 14698 7252 1 1428 5018 1 567 3072 2 9335 1819 1 17687 2103 1 13278 4593 1 9948 6769 1 9793 787 2 16674 229 4 14951 3175 1 7135 233 1 12163 2678 47 16646 2551 3 8744 203 5 7245 4291 1 2992 3721 2 5424 1237 1 9572 827 1 5796 201 1 17633 627 1 2803 418 1 6387 8057 1 174 8016 2 1059 205 2 6682 1771 1 8797 2363 2 133 6026 1 17120 2691 1 3279 867 2 19096 6022 1 9622 4280 1 13800 379 3 8416 1193 1 18037 5935 2 7046 2096 1 11629 74 1 4360 6207 1 1646 1719 18 3229 13 3 6989 2936 1 7950 1237 1 6580 5543 1 17771 220 1 10403 1295 1 16089 8194 1 18760 1314 8 9857 3369 1 19630 193 1 14892 3482 1 4015 4204 7 10311 263 1 17954 3285 1 14493 175 3 9604 1819 1 13710 1748 24 13167 201 11 18237 534 1 379 3945 1 6688 1721 1 1533 7756 1 10339 213 2 10902 221 3 7648 426 1 5424 2118 1 1171 1235 1 3113 252 3 8532 501 3 11849 4467 1 4906 1274 1 947 4963 1 2905 1704 1 1576 508 1 4913 177 1 12437 2671 5 6515 2678 1 19578 863 1 17841 6480 1 9537 65 1 5191 952 1 15614 4027 3 17281 422 1 18925 214 1 4268 3795 2 17081 1292 2 4872 1752 14 5213 1757 1 8031 4996 1 17836 229 1 6551 2020 1 7331 23 6 18662 23 1 15982 214 5 13090 1482 1 19013 5287 1 11439 4628 1 3309 689 1 20275 1944 1 16378 3511 6 18930 8041 1 1238 23 7 10995 2880 5 18698 4274 3 9699 3074 1 9415 1771 1 10839 520 10 13905 5281 1 12648 5419 2 12615 7229 1 17261 3247 2 87 4005 1 4804 411 1 8337 2869 1 18777 4638 1 9587 840 1 14982 6355 2 11846 2877 1 124 5525 1 12821 5243 1 4677 8117 2 19719 2748 15 9919 916 1 8736 3599 1 2805 303 2 12544 470 1 14047 4293 3 7504 38 9 8762 765 1 9566 903 1 1443 4979 1 6244 525 1 9114 1342 1 7652 4325 1 1714 506 2 17978 3590 1 15567 1664 2 6769 3084 1 1387 276 1 4708 5018 1 16843 1721 15 15897 4794 1 13266 233 2 16965 7750 1 5745 5922 2 11327 508 1 16847 194 2 9973 478 1 12417 6897 1 10973 3283 1 16278 7332 2 1824 749 5 10960 1208 2 15674 1727 2 14011 5056 4 5685 201 3 1744 4472 2 11863 130 5 4345 6969 1 6701 4339 1 11343 5420 1 18237 2352 2 14372 1007 4 3358 222 1 3759 5709 1 11458 2454 1 19011 834 2 14183 8060 1 7969 3230 6 15025 3227 2 15380 3502 1 16603 225 1 9421 6963 1 3417 3230 5 9369 5496 14 16911 4105 1 2826 3511 14 13570 4486 2 16109 2743 1 9178 1245 1 873 581 1 6114 3442 1 1986 74 2 11066 4245 9 11507 2646 1 8405 8066 1 10911 838 1 7019 3492 1 1043 3281 1 10600 318 2 2546 1725 2 8314 3972 1 15960 2481 2 9116 5299 5 18262 518 4 5738 1244 8 16561 229 4 17120 1729 1 8965 1760 1 19791 5774 1 18538 2675 5 13857 1356 1 7761 3885 1 8415 1669 1 18524 3298 1 4667 957 8 1979 1399 2 20250 2392 1 12510 244 1 3603 1251 6 9679 1 7 11789 833 10 10883 718 1 3624 8145 1 12322 1248 1 479 5618 3 12795 6546 4 10520 5477 3 14808 89 2 5257 7753 7 17901 691 1 16254 3747 1 8132 203 1 14888 201 6 16843 5290 1 7703 7670 1 6337 6406 1 13633 777 1 5653 7250 1 5275 1727 2 15833 2626 3 5464 659 1 6913 443 1 12510 1898 2 1962 1204 1 16376 5011 1 13356 4105 1 10274 190 8 16886 4352 1 6228 581 1 7000 5905 1 18254 339 8 8385 1991 1 17688 3113 1 5914 1700 1 11336 6713 1 5039 1756 19 14505 8167 6 1636 1374 2 16827 891 1 13636 3020 1 19568 1714 2 140 6428 12 7461 2358 5 2795 2580 2 6520 1745 1 19034 4618 2 6773 1001 1 19643 4022 12 12074 2668 5 19405 1395 1 11699 1459 3 153 6923 3 8268 4963 6 9836 4467 4 12007 1237 2 3504 5804 2 14313 2317 1 5695 1367 2 6257 1146 2 16604 411 25 8266 1245 2 18781 399 1 19510 1729 1 4569 1804 2 42 2160 1 2911 307 3 17717 705 2 9985 3974 1 10485 233 2 6926 6979 1 9808 2360 1 8358 3846 9 20082 589 1 1704 1408 1 15456 84 1 6783 6225 4 4701 722 1 4185 4009 1 1103 497 2 5378 5561 1 1 31 1 784 1780 1 3189 1092 1 14549 201 1 4259 6139 4 16963 5130 1 15154 141 1 559 4467 1 13699 1775 1 135 6232 1 13055 2935 7 19782 1439 3 1282 126 1 1642 3027 1 15058 1761 1 16976 1466 2 7179 867 2 12322 7229 2 2512 6246 1 5171 4559 1 326 3411 1 3090 3906 1 6587 6091 1 4240 2384 4 5638 1703 2 19645 2935 1 2127 3864 1 20256 3367 1 6226 1395 1 164 7472 2 14862 1247 10 10920 5212 1 13078 495 1 9375 190 1 17966 1757 1 10687 222 3 5952 3072 3 1131 3045 5 13508 4098 5 153 7074 3 10313 488 1 18291 2878 1 20248 445 1 18834 1645 1 10080 73 1 14985 3109 2 8102 1064 1 14273 46 71 2907 7986 1 434 4019 1 1608 7750 1 2200 6066 1 11388 1450 2 6767 4996 1 16508 1464 1 3808 1357 1 12819 3635 1 8458 528 1 2801 114 1 5347 23 5 19101 792 1 11786 1889 1 3571 1819 6 8526 5950 1 140 6463 5 7165 4902 1 15364 4568 1 4019 6713 1 4463 23 4 1518 6213 1 7262 6179 10 13115 5060 10 4223 6363 3 3351 1276 1 20185 1760 2 11148 274 5 5310 561 1 15260 3049 1 20173 4380 1 10346 2016 1 13730 6592 6 6208 3892 6 135 6229 1 1884 1482 1 113 5073 1 15139 6346 2 10549 1762 2 6070 6610 1 14675 6744 2 3855 512 1 10034 1612 1 18450 5670 2 10198 1276 1 4688 605 3 12159 2555 2 15314 7182 1 3090 1727 2 19268 5251 11 13881 4343 8 3255 470 10 6544 6101 1 4245 3836 1 19118 194 2 17955 2295 1 2373 4077 2 17932 235 3 4199 1241 2 6809 2662 12 17000 1229 3 16670 883 16 3597 1724 1 4960 1768 1 4483 7850 2 6811 5104 1 16546 4467 1 17552 3629 3 1095 7190 1 11780 220 8 6415 1239 1 7640 8008 2 10 326 1 17443 3637 3 12459 2357 1 11054 308 1 15599 7972 1 14008 201 1 12304 6493 1 3891 2572 1 17252 3945 5 18080 634 2 1551 3382 2 8913 7811 1 3580 222 4 5532 1312 1 1363 223 4 4601 1134 1 4063 2951 1 3395 2626 1 10698 200 4 9432 3800 1 16284 201 1 8639 6689 1 16076 2353 5 15882 1304 1 19080 1501 1 3794 4236 1 10024 3679 1 14666 1328 4 18763 219 5 62 2859 1 4196 1781 3 16000 219 1 11964 5408 1 12806 1788 1 3616 3233 3 17953 3605 6 11755 858 1 9224 243 3 5401 910 1 3031 5922 1 20068 1241 1 7943 1518 10 9061 3787 1 16453 197 2 19727 82 2 9341 2626 2 14695 4263 1 14196 6912 1 11634 1910 1 8278 8103 2 17995 201 1 3447 214 1 107 4784 2 4162 7287 1 13295 497 1 8644 4020 1 10920 23 1 16729 5016 5 5879 3145 1 17832 3608 1 19949 2964 3 15579 1150 8 16238 1686 1 17101 7223 1 18040 5821 1 3761 186 1 6516 4280 1 4064 2555 8 15329 799 1 3636 3278 4 4522 1719 1 13013 7670 3 5695 508 1 13 856 1 14119 2111 3 19648 5282 1 17544 1727 1 12413 1210 2 4535 5758 1 171 7620 2 17156 1781 2 6997 6650 1 1445 6543 1 18887 219 15 15850 7105 1 7647 3164 7 7520 2352 1 13025 5642 1 18133 1721 1 3306 1825 2 1133 7392 3 14354 1007 4 17482 7958 5 1349 5559 1 14358 1982 2 4708 4992 1 6212 5411 1 17140 7857 1 15667 883 2 1927 1730 2 10266 206 3 8472 1727 1 12569 1250 1 7319 6663 1 20013 2963 4 6021 1556 1 13266 4515 2 6137 221 1 8798 201 1 9268 708 4 13806 425 1 11064 187 21 12064 1342 2 17685 1768 10 7604 3649 1 8965 1771 1 20238 7727 3 9596 5290 1 17611 3645 1 1638 3114 2 873 845 1 14561 3232 1 17755 631 1 19747 5677 4 1077 3980 2 7965 3206 4 15762 6338 4 19981 1717 2 5111 2678 3 15206 3570 1 42 2234 1 7125 433 1 15849 4436 1 7965 1445 1 10026 7955 1 4898 225 11 5491 745 2 12972 3647 2 6907 452 1 9319 61 2 6228 692 1 16967 206 1 10634 2165 5 18262 1768 2 19593 4682 2 17223 2678 3 5503 420 1 11430 184 1 8419 2173 1 3085 392 1 13234 4369 1 16978 1535 13 14619 252 1 7493 723 5 19661 1146 1 9926 7836 2 6070 4601 2 455 6479 1 4009 1369 22 604 2501 11 13531 4615 1 6681 64 1 19727 6370 1 6990 1825 4 1330 4959 1 4826 504 1 18781 823 1 3155 5390 2 3747 220 2 18494 6226 6 10878 1482 4 19437 867 2 15949 100 4 16567 2331 1 5018 4435 1 15100 1256 7 15075 221 4 9891 201 1 14925 1991 6 18866 3304 1 2055 1755 1 13186 235 1 17681 3969 1 16689 2167 1 19193 3531 32 19845 3330 1 15167 5251 1 5185 2291 1 20039 6682 1 14892 6064 1 9281 2720 3 6045 1703 2 4924 4245 8 2778 891 1 16586 1686 2 11473 126 8 18039 881 1 14663 5498 1 5434 2646 27 14205 4711 1 5977 505 1 10498 1314 4 10798 5113 1 10967 3693 10 19715 766 3 14773 471 1 1283 4428 1 1857 5325 3 15041 532 4 16185 3790 1 1995 6435 3 7555 2649 1 8280 2488 6 1937 141 1 14602 1104 1 7540 3511 1 460 1714 1 5638 536 1 5312 5293 1 5815 6682 1 10655 2619 1 17335 2626 1 7647 470 1 16448 5363 2 12012 1658 1 1858 4766 5 16018 380 2 17574 496 1 71 3309 1 6680 231 1 13197 5969 1 10720 297 1 10313 1221 5 2316 4635 2 11388 2729 1 7454 7695 1 7135 1778 1 3505 1779 2 9868 4304 1 15392 4060 1 3642 3006 1 80 3571 1 18014 3813 1 11116 2268 1 14786 3655 1 19076 974 1 15202 1172 1 11108 367 2 12378 1635 1 5140 1730 3 6332 569 1 18077 303 3 15993 1136 1 1450 169 5 12760 3263 3 7029 2114 1 13066 1453 2 11272 46 12 10161 5809 1 6479 1234 2 18036 10 6 7794 4090 1 9891 545 1 15323 1714 1 822 4560 1 13262 7710 7 14702 4581 3 1212 5903 1 5456 4379 1 9160 4972 1 13187 1732 1 6558 215 2 15016 219 1 1151 3206 9 11937 875 1 4036 3219 1 10325 3373 2 531 4615 1 17910 1705 1 452 1154 1 10579 7768 1 6811 4620 1 1184 2610 1 68 3257 1 3358 945 1 1141 1234 3 14061 7719 1 15504 1296 1 2676 304 1 181 8217 2 15025 6943 6 15996 3074 4 17253 498 1 6192 1063 1 16475 207 3 11613 947 1 8441 509 1 13800 3026 1 11131 5798 1 14317 1784 2 991 876 1 2488 1200 1 13082 559 1 18944 5704 15 11708 1277 1 11190 545 4 793 186 1 7006 1278 2 14983 4296 1 18201 13 1 18153 4107 2 10374 6053 2 7839 1737 1 10075 4444 1 394 3578 1 17501 3 1 12071 23 1 19101 1283 1 15791 2119 8 5201 5737 1 13635 6588 1 19843 525 14 9886 4980 1 4495 4367 1 10856 3656 6 5389 7517 7 6726 6536 25 9444 521 2 11 367 1 16844 2777 4 9951 7614 1 4330 2534 1 17 1105 10 15133 3682 1 11978 6581 1 9521 235 1 6204 225 7 1863 5115 1 5260 2675 7 15107 1277 2 2134 2671 2 15012 498 24 11895 1745 1 13534 291 1 8074 2662 1 9733 46 5 15429 1280 1 1348 4065 2 8095 7412 2 18730 5251 2 16492 1307 17 10245 1616 1 16141 229 1 16714 1655 1 524 1371 4 8644 7672 5 3972 5405 1 132 2097 1 12412 584 1 1269 3325 1 15104 2352 1 5922 229 1 8311 1707 1 17324 962 1 17662 1237 2 19901 3563 1 2880 4389 1 15102 1235 3 163 5432 11 18085 207 16 8520 7986 1 13097 6517 2 18633 2412 1 2908 2508 1 14336 3892 5 6453 4306 2 12017 429 1 1161 34 4 18960 4511 2 56 2681 3 9522 1727 1 19147 4403 1 18485 5708 1 9288 1482 1 9982 1819 1 19734 5568 1 17734 329 2 1203 2980 2 8818 4527 1 10730 3612 5 684 1726 1 11338 201 1 19424 1359 1 14196 5037 1 3147 3285 1 2267 4606 1 14333 5056 1 14684 2065 1 3874 6107 1 19975 6946 1 13031 5758 10 12108 1703 1 62 2868 1 8082 415 1 15500 2167 5 17 1052 1 14899 184 5 18608 6355 1 17847 3356 1 3427 3203 5 11458 4824 3 2274 3626 1 8439 1775 1 13983 1722 1 4382 84 1 14665 1990 11 673 7826 1 3160 610 1 11392 5497 1 7556 534 4 15398 728 1 8831 1063 1 15433 3907 1 5296 4196 1 2330 4022 2 18556 1659 2 12913 4403 1 5243 1184 13 19727 3972 1 3052 4356 5 17696 2508 2 16925 1194 1 11878 6719 1 8892 303 1 19158 3421 1 19982 7483 2 6256 5459 4 1435 519 2 11798 4312 10 17685 1788 1 9255 959 1 12819 745 1 4267 3892 1 16202 566 2 15071 221 1 9043 649 1 1914 1369 1 4716 525 4 11402 867 5 1576 1730 1 4158 5513 17 6375 1253 1 8585 4540 2 8732 6754 1 8015 6701 2 6048 8139 20 3720 4379 9 2566 15 1 2810 5014 1 304 2450 5 3801 5686 1 9472 4546 1 14457 7077 1 83 3738 1 13017 5151 1 9773 841 4 1635 7862 1 14063 467 1 13864 4261 3 10693 2563 1 16279 4403 2 16228 1252 15 90 4045 1 11320 4723 3 3976 3175 1 12933 1250 1 4352 534 2 16488 1814 1 6144 5292 3 14522 615 1 9051 471 2 17253 173 1 10643 5513 9 3144 165 1 2269 3432 1 4259 1719 1 3575 1025 1 4850 2495 1 13534 175 1 6524 2727 1 171 4621 2 14900 1770 1 3288 2513 1 4011 7461 3 3815 1717 1 3854 3382 50 6341 545 1 18183 1482 1 6090 314 6 17132 1720 1 16263 2980 1 7780 1814 5 4305 879 6 16554 1764 2 414 1239 1 11086 1757 1 1074 5259 1 14114 2918 1 13427 5020 5 3168 1449 1 525 134 3 1968 1741 3 6160 4202 1 1277 23 4 3516 6435 1 19145 5474 1 13156 3146 1 2863 1762 2 12231 1267 1 19727 225 1 3963 4314 6 18866 3653 5 926 3283 1 1301 318 1 14722 1760 6 4265 2269 1 9402 3408 13 9341 1717 3 6538 5099 1 834 8139 5 10017 23 34 4561 1825 4 6645 6480 8 2615 1453 1 5962 7542 1 14758 4233 1 6556 470 2 14692 867 31 18814 1698 2 9188 4386 1 19461 7689 1 4115 330 1 18279 1199 10 6183 863 3 17353 2355 5 2886 578 1 7799 4544 1 12523 36 5 8560 7705 1 14881 1705 1 5213 506 3 19053 581 4 12168 5676 1 9110 1518 1 10110 898 1 7005 3625 3 16914 2727 1 15623 1571 2 1864 2345 1 11755 3276 1 8286 442 8 18325 4924 1 2671 1109 1 19480 197 2 16089 1769 1 1887 518 2 2907 7980 14 569 207 1 4611 883 1 20016 2656 1 19026 184 1 4525 196 10 5176 1707 1 5570 509 3 18922 5567 1 5515 4013 1 8212 5012 1 10347 6683 1 12998 509 37 18104 6979 1 15599 2894 1 11402 214 3 2274 6754 3 2147 6751 6 130 819 1 6748 718 1 16612 2175 1 10472 2495 2 11882 1561 1 6244 229 1 9341 2853 1 2918 4623 2 7011 6933 1 5 174 1 19115 1707 3 3871 4274 6 4806 1474 1 6749 6925 1 17464 7815 8 11098 3961 2 6606 1950 1 11599 5758 4 18734 1769 1 3939 5202 1 5882 2114 1 13412 3924 15 5363 4891 9 8412 1424 9 5863 3558 2 11336 5476 1 10920 1082 1 18771 23 3 9609 1762 1 2756 206 1 10187 1783 9 11766 508 3 18413 2998 1 6193 243 1 19587 1819 1 17552 2018 2 17932 7955 4 5838 3206 1 11428 7414 2 14225 498 1 14350 4868 1 1506 804 1 8206 4314 1 12818 6278 1 1191 223 4 863 5115 1 5447 7911 26 13800 2009 2 19401 1781 1 14114 801 1 10317 5258 1 3360 5348 2 19401 7502 1 2811 6527 2 11651 4403 9 3521 2552 1 5688 206 1 14063 1243 1 13581 3671 4 8565 7308 1 7584 4333 4 12331 219 2 580 1296 2 11732 206 1 11786 4877 1 18796 4314 1 7176 6780 4 6558 2552 5 3599 2678 3 15812 975 1 11563 5837 2 18888 4011 1 16080 7054 1 13893 6551 2 8440 6706 6 11989 7554 1 19134 6779 1 2748 6671 1 15791 7726 5 14712 2969 1 16016 5487 1 16412 1728 31 13184 2981 5 3847 8141 5 18760 2817 4 9522 501 2 15314 5052 6 5207 867 1 5597 1402 1 17185 2571 4 7291 1720 1 17260 471 1 10099 200 1 10509 1827 6 6755 2509 1 17244 4248 1 11148 186 2 5064 702 1 17339 1863 3 19246 4245 1 10973 1825 29 17781 1762 1 163 7400 1 4985 2877 1 3419 5905 2 8072 4636 3 559 4325 2 8427 2534 5 17795 2290 1 16416 7126 1 20114 2993 1 812 3964 1 6516 6480 1 19316 1420 1 14194 7911 1 6773 6962 1 4371 4833 1 11411 883 1 320 1751 1 1922 467 1 7179 780 1 1839 2970 2 19568 214 1 3580 194 2 7396 5783 1 9657 869 1 3358 4156 3 4807 7021 3 6063 2109 1 16473 2316 1 5326 910 2 2087 1422 1 18048 6534 2 8782 214 1 1711 5468 2 3287 558 1 11020 7701 64 2702 2001 2 1998 5294 1 6969 3684 4 8878 681 1 13438 4086 4 14948 1715 3 9275 772 1 3996 1665 7 14553 6541 2 16500 1681 5 3834 2470 1 11854 7502 1 19782 2988 5 11202 8027 2 15409 1665 1 3158 1703 8 3736 6207 1 3329 3622 3 4561 4206 9 5132 198 1 15346 235 44 1138 5425 2 8123 6415 1 824 7439 2 11888 6132 1 2738 1698 2 3121 23 2 14928 465 2 18959 1091 6 14753 3928 1 1034 3442 1 19737 4470 2 8580 215 2 13193 6120 1 6241 1784 2 9433 6380 1 6653 1721 25 171 7787 2 13088 1727 1 2005 5437 1 3694 3540 1 5287 4019 1 7357 7491 1 1074 2150 1 12400 1305 3 16484 5820 3 13986 1292 2 1143 6534 11 12397 3159 1 11837 219 1 7664 1319 9 873 1371 1 8021 7689 20 9243 1775 2 3516 844 1 4471 1740 7 10905 4396 1 8658 4274 1 4244 5043 1 10573 4012 3 15107 200 12 9051 1434 5 12678 3417 1 2154 3872 6 17416 7089 1 17014 7672 3 15815 2351 1 10855 431 5 10575 872 1 16018 2369 1 11467 656 1 714 2721 1 19960 1695 1 13676 1890 1 13649 1793 1 14643 2731 1 15818 1739 2 8540 1063 2 10973 3074 6 19212 1245 6 10313 4280 2 2427 1705 1 13993 7995 4 5847 2675 1 8860 6435 2 3427 4760 1 4165 4606 1 10416 222 3 2004 207 5 16088 4623 1 20218 7735 1 10354 5016 10 2533 200 8 3841 2655 1 6719 3954 2 4782 3662 1 899 821 1 1604 4591 1 12025 7008 1 1312 1305 1 6975 2636 5 18017 8026 1 13466 3511 2 8880 1774 2 14969 4101 2 10004 3476 2 2333 2675 3 993 201 1 3945 2668 2 17688 7964 2 15481 502 2 1711 956 1 5112 4435 2 11005 5018 2 19899 7857 1 5922 270 1 10839 440 1 3591 8137 1 2758 1760 2 756 3878 2 19115 3679 1 15025 7710 1 1986 1732 1 6308 225 1 17362 508 1 10640 1781 1 5753 201 1 7308 233 1 2704 2853 1 8538 3644 14 15870 6677 2 5632 7948 1 8137 2386 1 611 1991 2 10670 3301 1 14553 3889 12 19243 6892 1 17418 4986 6 4523 4609 1 18887 221 2 10390 3666 4 18625 292 1 13748 359 1 13631 2555 1 17439 3647 2 15494 1782 1 679 1018 3 17886 1539 1 15785 846 1 7445 1721 2 5185 6500 1 14994 4015 1 18134 2584 8 8001 2044 2 7363 1296 1 7839 2735 1 10179 1319 1 5929 243 1 17226 1303 1 1551 698 4 20191 605 1 17281 7327 1 10145 674 1 14369 514 1 6305 3412 4 3096 7410 3 5610 956 39 49 2470 1 135 6181 2 15881 2588 1 20017 1277 1 10658 4963 3 16087 1345 2 13518 3747 1 5101 473 1 17066 7972 1 18365 3087 1 19526 225 2 5831 843 1 12231 4022 1 12519 755 1 19409 7351 2 5662 1819 1 10883 748 1 18071 34 1 16401 1719 4 13461 3167 2 2791 470 1 3572 454 3 18927 8141 1 279 1731 1 4072 3973 2 17162 3667 2 9834 7508 2 6638 2971 5 13857 2103 3 6070 6655 1 19199 4992 4 679 2085 1 12826 642 1 4383 3255 1 3397 847 1 8337 141 1 4023 1153 1 133 6028 17 11367 1939 1 5594 3338 2 14647 5018 2 19782 2137 1 2724 4134 1 14058 1747 1 6021 4357 1 16690 5837 2 17185 4401 1 3570 5532 3 17982 5903 1 9275 4510 5 7761 7470 1 1853 3431 3 13655 512 1 11396 3399 3 2542 236 1 11488 2875 1 15722 1788 1 3044 7080 1 4236 2651 1 15673 3608 1 18969 2485 5 7009 3423 1 7885 46 1 9854 8176 1 3307 3180 1 18744 2534 2 19428 1437 4 9195 5002 1 14900 1450 1 18386 853 2 18273 3409 1 14785 6957 1 12063 6481 6 15817 3496 1 19246 525 3 11533 804 1 20078 6710 5 1444 4022 2 8597 6390 4 15602 864 1 13594 4649 1 13084 1342 2 13309 219 1 1969 4623 1 6813 5879 1 18864 3058 1 15701 525 1 7348 5907 1 12969 206 3 19991 3306 1 9374 1464 1 8805 6553 1 12833 4547 2 17158 1995 5 10128 4967 2 1035 1157 1 14770 944 2 5709 3669 1 8826 2902 1 4629 4971 1 1277 4383 5 17596 6716 2 16714 1307 1 7267 860 1 16036 8013 7 5833 3685 1 11445 6860 1 18334 6557 6 1835 1724 1 9556 2574 1 1843 316 1 1392 3427 1 2571 3850 6 2345 7846 20 17850 1726 1 7213 3513 5 5969 4833 1 5424 5940 1 19579 7920 5 15262 3511 10 11581 5586 1 7440 234 4 6575 496 2 7150 1755 1 14754 36 16 16674 7533 1 15321 5446 1 14791 1374 13 18682 7884 1 10137 5018 8 9444 3020 1 13929 3671 13 18968 859 1 19026 173 1 3386 200 2 8443 8040 1 4488 2584 1 46 201 1 16909 1363 15 15262 537 1 16881 2522 9 6964 7446 3 4176 5102 2 18876 2831 5 10381 1739 4 9626 1747 1 16132 804 1 6465 500 1 15948 1721 3 2479 858 1 7201 1129 10 232 2676 3 1609 2721 1 2962 3000 3 9962 2569 1 6527 5843 6 11781 498 2 9679 303 1 2803 800 1 608 3395 1 17548 1407 1 10188 1819 1 16155 6711 7 10796 73 1 17753 3150 1 3424 867 1 411 6746 3 9104 1234 3 4921 8110 1 1389 6421 1 7916 173 2 826 1769 1 9451 2344 1 6007 6754 1 17572 5091 2 2999 5757 2 4671 1882 1 121 612 1 9971 1703 1 6970 2320 1 5453 4029 16 16109 201 1 19577 3631 1 18132 602 4 6711 2831 1 958 2688 7 7395 852 1 6776 1743 6 500 745 1 10408 466 1 8760 394 1 6690 762 1 8239 4090 1 740 4661 1 11411 367 1 14699 1783 2 16286 427 1 12851 4366 1 2647 1770 1 14036 2488 2 13581 7422 1 8087 3074 3 4948 6876 2 16970 8031 8 9511 419 3 1086 200 5 12112 1556 1 173 207 2 10881 708 2 18628 8122 4 13403 1762 1 7065 3000 1 4330 1705 1 18300 6091 8 2127 5253 12 9766 235 1 4 147 5 10245 1464 5 7823 4099 1 13988 215 1 3975 3301 1 153 7060 1 6969 6259 10 15517 5026 1 787 4448 12 8367 1327 2 7188 519 1 4335 263 1 2625 1635 1 14063 292 3 12059 1246 2 5792 5018 21 9566 885 1 62 2620 1 12209 8022 2 8015 3652 1 9767 874 1 3014 7184 1 14753 2635 1 11064 867 3 162 7360 1 3841 903 1 2320 4490 1 1963 1955 2 6645 4528 1 13624 532 2 20066 5493 1 7445 2486 1 4877 7358 1 9436 5385 4 17949 1247 2 5759 232 6 18320 878 4 14572 215 1 11610 520 11 16145 2675 1 11480 1825 7 296 6954 6 910 1610 1 4592 2407 1 9753 676 1 56 2665 5 17979 4450 2 1131 2686 4 13937 1768 2 6538 5055 1 7331 2686 8 62 2908 5 35 1916 1 11367 3511 1 3242 2396 1 12968 2909 37 2801 5180 1 17695 2493 1 6259 2591 1 4662 1677 27 716 5098 9 17054 1991 1 19794 1275 1 7455 805 1 2574 46 1 8762 207 1 2260 4077 1 8589 6334 1 12219 3966 1 15338 3236 2 9006 5302 1 10168 4582 1 688 4801 1 20160 1364 1 12897 2131 1 9478 233 1 108 4912 1 11270 3813 1 8638 214 1 9948 1276 1 14876 1740 3 10495 334 2 9937 1756 4 5893 1996 1 13057 23 1 2907 1039 2 2907 3493 8 19415 1830 51 13432 1692 1 19359 6713 3 19005 5315 3 15504 201 1 16197 7850 5 6318 843 1 10915 6534 7 583 194 1 3963 5307 1 12121 4394 1 17088 184 5 19293 233 1 18089 364 1 36 1932 2 11352 5814 1 983 367 1 8043 200 7 14400 1184 1 14983 35 1 745 1334 1 20106 2663 1 6740 3556 1 7535 514 1 13234 6100 1 6552 5586 1 13662 7670 3 12988 1363 9 8105 5715 1 15732 1700 20 3551 891 1 18847 852 1 11999 6574 1 14505 3895 3 12247 8083 2 11825 6032 19 11985 5206 2 14993 4274 1 18476 3516 2 11943 1776 5 6697 534 1 13069 1914 2 17693 2639 7 10967 3191 1 11706 224 1 20261 749 1 13725 1737 1 15419 303 3 17909 6691 5 3084 3233 1 15372 200 2 20193 2363 2 10404 2893 1 2935 122 6 11277 6665 1 5960 5627 1 4158 4202 1 17850 2009 1 1564 6892 2 140 6473 1 817 3373 1 17120 1176 1 6678 3895 6 1144 7271 1 1558 6188 4 17460 2399 3 4992 3684 5 11551 2068 11 6055 4842 2 2139 5555 1 17809 221 4 13318 3892 1 13225 1236 2 18404 4653 1 3395 1995 1 6403 3850 1 1558 891 3 13967 4589 1 16855 1707 1 8547 3743 1 6339 1249 1 15577 6170 1 14173 6278 3 8690 6022 1 14218 1762 2 18862 1296 5 13302 1242 1 11769 1908 5 9531 1721 2 13583 8137 2 6502 1750 2 15943 3456 1 835 1235 1 8969 1758 1 1657 2338 2 20019 1632 5 4405 1019 1 1351 308 1 9200 4245 2 5016 6701 1 6122 2247 1 13743 1747 1 11985 6482 2 8266 1333 1 4106 2662 10 1498 945 1 16156 221 1 8931 2962 1 14817 3831 2 12870 233 5 173 7852 2 1413 1739 1 3425 6289 1 11775 1244 2 283 5411 1 4681 1642 2 7334 318 3 13492 1729 1 12782 1784 1 16758 203 39 5193 1747 1 13824 545 1 9990 6711 1 11072 505 2 6183 903 5 18607 3511 1 6193 2841 1 5155 8161 3 8644 38 1 1879 6299 1 2709 6252 1 1389 4299 1 7474 844 5 5582 215 23 2838 1147 1 10555 4622 16 7497 2354 4 3527 3477 2 3376 817 1 3305 5018 1 8159 766 1 719 841 1 16248 8227 1 14527 177 9 7755 3903 2 19294 6341 1 17799 825 1 17736 4098 6 19985 7673 3 17404 1252 9 13847 5010 12 7903 8029 1 11893 2559 1 11868 304 2 13065 508 4 5243 4245 49 20018 3980 1 15144 3267 3 13064 1661 2 18976 3512 1 19921 201 1 18439 7616 1 1775 6135 3 2020 510 1 19737 1342 2 12024 1271 1 3658 1529 1 1232 589 3 14757 1085 1 4044 3262 6 17662 8145 10 11956 500 1 6306 5018 1 6124 1251 13 16283 6167 5 15270 4242 1 7383 4446 1 13031 541 1 5337 2743 15 298 4620 1 443 1638 1 9589 5016 5 4144 5266 4 416 6341 4 13619 385 17 1212 809 2 9954 3163 9 8297 646 1 8507 1643 1 3233 6238 5 3580 1734 2 7932 7395 4 17574 134 1 19385 2675 1 19542 5025 1 6867 177 1 3498 3653 2 3168 3433 1 11786 91 1 13461 206 4 11108 363 2 13806 641 1 3410 4242 1 13445 2356 1 10091 1509 3 19259 7602 5 7936 6152 1 6527 561 2 9188 204 1 280 23 1 1387 1439 2 13613 3699 1 13932 2423 2 17521 2552 2 6391 188 1 19009 336 2 17033 7958 6 15948 197 3 1133 7160 1 16833 187 1 13080 1738 1 7278 1342 1 2764 1778 1 19061 1518 1 3189 7573 1 8577 5524 1 16689 34 1 824 1740 1 16546 5943 1 12703 7350 2 6521 864 1 19193 292 1 14921 6457 3 17947 4397 2 3469 6868 13 13684 4557 1 2672 566 4 13055 4660 1 14051 1388 4 8995 766 1 19312 200 2 18323 223 3 5188 4411 1 12548 8200 1 10586 6567 1 11558 505 12 42 2187 2 14008 4961 2 3763 4435 1 11384 4227 1 9521 910 1 7385 1825 3 878 2008 2 8546 409 2 14900 520 1 13027 809 2 19243 1190 1 335 2626 1 7560 5020 8 4708 4623 1 19568 4112 1 3536 3288 4 6765 4623 7 7892 194 15 6452 5313 1 15235 4435 2 6200 2345 1 8793 770 1 6989 7955 1 16828 7412 1 20076 6534 2 19282 379 1 593 1245 1 2803 2367 1 4092 2721 2 4822 1734 4 16145 411 1 10179 2011 1 17932 82 2 9463 3570 2 11018 203 3 2836 3730 1 9600 4233 1 7103 6139 3 20029 2930 1 7505 776 1 3795 7586 2 4346 3492 2 4331 177 1 8210 888 8 9783 3798 1 12676 883 1 8269 616 1 20019 1600 1 19085 23 2 19319 13 1 11276 6754 1 14284 5923 1 5301 2348 1 4986 443 1 13896 1236 3 15223 7237 1 13328 616 1 7306 794 1 10856 1359 1 174 7901 1 14791 23 10 11304 6598 1 9546 652 1 10132 2650 5 16319 232 1 7509 214 1 18798 4998 1 1744 4139 1 988 2354 16 822 374 1 3619 1703 13 18368 280 1 14699 2662 2 3822 5417 1 882 2019 2 4330 362 1 787 1663 1 8031 34 1 10156 4009 1 8443 8054 1 6064 4298 1 8802 3545 1 19661 2880 1 13358 8175 6 12710 2686 4 17184 718 4 2023 2993 1 14005 5031 1 12525 3615 1 3292 8096 1 8705 215 2 9188 4123 1 13252 1314 4 19375 222 1 18770 2197 10 5342 2151 1 2462 6352 5 19820 7020 4 3989 957 1 18929 1768 2 20267 3058 3 10701 1241 1 15504 425 1 14005 6670 1 9081 973 2 10649 225 1 10183 225 2 887 6475 2 12082 2849 1 1368 2161 1 7142 4615 12 10579 1053 1 18582 3 7 2834 7692 2 16865 7598 3 2020 8015 5 17083 867 54 9618 2710 1 15791 4252 3 4452 6075 1 8726 215 1 1409 518 1 2734 6557 1 85 3918 1 2126 7854 1 16624 1775 3 841 3738 3 16048 1383 1 13623 793 1 3479 2555 2 12746 4737 1 19954 3639 1 4657 2488 4 5025 4293 1 6681 1249 1 12286 184 2 14493 1374 1 2959 6682 1 15683 1190 1 13821 210 5 4119 2884 5 19243 4296 1 5204 581 1 17946 6341 2 9921 3511 3 4092 680 1 1125 2513 1 1397 318 1 9978 1357 1 4867 7597 2 24 1454 4 8687 23 2 13803 23 3 16981 197 10 19810 214 1 3282 11 10 15314 5434 2 12766 574 1 8025 214 1 3549 200 1 12427 225 1 17283 1390 1 18846 1518 1 15376 4998 1 14946 2969 1 5997 3794 1 8253 5285 3 1636 5426 2 8405 1304 1 6027 4367 1 108 809 1 17738 307 2 4851 4435 1 5025 1748 1 13565 1473 1 18132 4107 1 13087 4601 1 2625 1603 1 6804 6200 2 10612 534 17 10539 2410 1 15993 597 1 13520 2080 2 11550 1277 2 12325 6440 1 12817 1738 1 4051 3228 1 15646 3522 4 14377 409 1 10391 244 1 4223 221 2 14365 7800 1 10038 7740 1 4262 1238 1 5972 5521 1 490 5341 9 10192 902 10 18614 5530 1 3521 4838 1 5246 4623 9 17682 1482 1 8352 1784 1 18887 1717 1 6425 225 1 17121 8095 1 14563 745 1 18885 514 2 10109 3333 1 17260 1298 2 8214 1753 17 15480 1356 1 18554 7951 1 1977 1404 2 4517 2673 1 7040 7206 3 3397 564 1 6150 910 1 6371 2314 5 4163 1295 1 4993 1380 2 16227 4789 1 7943 1757 2 8878 6278 1 19132 867 2 1465 222 3 14335 3548 5 8367 1271 2 18334 6583 3 11052 3617 1 7243 6295 1 5356 493 1 11720 814 4 17384 914 1 13328 5120 1 17128 4802 1 6198 2519 1 4990 223 1 14660 1246 10 13212 3511 1 4880 5305 1 6955 1404 7 6866 6673 4 6183 1246 1 18407 3569 4 6907 4258 2 11709 5294 2 18289 205 12 11786 6578 2 9493 7695 1 16676 1827 7 1928 3611 3 2925 177 1 9580 156 5 4092 3283 4 16299 1238 1 4496 1719 1 14027 1092 1 11540 6799 2 9335 23 3 15280 219 2 8040 3067 2 1278 3156 2 6090 6515 1 98 4447 1 6261 347 1 6112 6723 9 3484 6031 29 11597 1734 1 1235 73 1 3569 6826 10 8762 5206 1 14928 1748 2 5677 682 1 531 1825 1 10404 577 1 4888 4967 2 2697 1266 1 2156 3493 1 6256 7964 3 16942 4998 10 9945 7142 1 17257 177 2 3261 1292 1 17953 236 1 3471 1249 1 16358 197 1 804 4559 1 7312 514 1 8692 1253 1 70 184 1 787 74 1 15932 6073 1 1776 1271 1 6940 1728 1 18939 3984 1 2860 5227 1 268 1247 5 322 206 2 41 2152 1 15518 38 4 8353 5783 4 10844 2671 4 7741 2560 15 479 2619 8 9432 1691 2 1045 910 1 14248 5306 1 16090 5594 1 15283 4036 5 4860 4230 1 525 7236 1 8149 88 1 9153 4352 1 1712 1814 1 16765 5837 3 12991 6139 17 2020 4383 1 14773 3911 1 13012 2256 1 5977 200 43 15875 4296 2 10000 5253 1 14965 1298 1 14899 215 3 7315 4979 1 17432 3512 1 5848 8194 1 19605 225 1 12402 1989 1 16886 3869 4 10914 1356 3 18457 1772 4 1218 5351 1 3504 679 1 12521 316 1 12826 130 1 245 197 1 10388 302 1 19238 8141 32 15211 5294 1 12911 508 1 3871 3113 1 9597 724 1 12 524 14 19134 6178 1 6533 3156 2 17120 1707 3 17184 590 1 525 471 4 8775 534 1 1801 6288 1 15107 371 1 5516 2880 2 9449 199 3 15025 3494 2 15184 304 7 2526 5281 6 14683 5830 3 845 3389 3 14980 1566 2 13222 3972 1 5035 2885 1 4949 5016 2 6642 1139 1 8754 2066 16 16099 470 1 12685 4307 2 15743 1760 1 15728 3414 1 6797 6744 1 18069 888 4 1784 4992 1 7620 1307 1 5759 4218 1 8775 7517 1 16162 2699 5 19144 1827 5 84 3878 1 9525 201 9 4028 3230 1 13601 1276 1 18082 5730 1 3812 200 1 3290 378 1 11882 2702 1 18786 4165 1 5785 518 4 8079 242 2 10664 8102 1 13638 5385 2 10896 7857 4 4617 4038 1 17848 3637 1 143 6643 3 2261 5082 2 6089 1238 17 3542 219 15 16057 4029 1 2704 1070 5 6618 5054 4 14839 597 1 3796 694 1 2428 5555 1 15016 786 1 3268 5018 1 9660 4310 4 8076 2370 1 8808 533 1 17662 1245 8 3258 1740 1 15067 4161 3 19512 1344 2 3686 2341 2 8932 5090 1 719 3414 1 2128 5839 1 16608 4325 1 174 8027 3 4076 215 6 6644 3898 1 809 2127 1 7595 2016 1 8763 5486 1 3354 7008 2 8865 2523 1 3432 57 4 19730 512 1 19774 1238 1 19798 6108 1 3397 6512 1 2401 520 1 25 1502 6 8394 441 1 14089 2682 4 139 6333 1 1442 883 5 14769 7798 1 2886 2998 1 9877 498 6 7065 5305 1 10311 837 1 135 6223 1 15669 891 2 890 511 10 4278 188 3 13672 2356 1 11375 207 5 11230 3032 10 4935 4309 10 9753 432 1 15408 6152 1 6867 5291 1 1262 3492 1 54 2630 1 12227 6756 6 9168 506 1 13096 173 5 17953 6058 7 2733 6330 2 10838 4998 3 3505 2356 1 7425 6826 2 3825 194 4 14234 4120 18 20261 7466 1 16700 836 1 17498 5252 2 151 3999 2 14758 916 1 17556 4215 1 14968 4325 1 19792 867 36 1212 927 1 19943 6754 1 17411 23 1 13590 4489 3 9079 1705 1 19410 5737 1 6228 780 1 8271 304 2 6570 3618 2 14464 5837 2 13328 599 1 926 2712 1 17893 7719 10 4811 583 7 5441 2276 1 1037 7834 2 2004 3596 1 9609 3849 1 13388 2675 1 15208 1731 1 1970 1729 1 13413 190 1 6776 1762 4 10460 518 4 8439 1450 2 9432 5324 5 19801 244 1 5821 5219 5 12592 1349 5 13928 339 3 7296 3556 1 2013 1007 1 3806 514 4 5482 505 3 6517 6540 5 10902 201 2 6889 1681 65 17788 4517 1 7994 841 1 19739 201 2 15286 823 3 6024 1150 29 12777 3405 1 4815 5669 1 10054 2373 1 14954 6556 1 4946 3029 1 13461 1238 3 11354 411 2 9935 1363 1 5818 1770 1 7165 1383 2 6125 495 1 3521 6343 1 6023 2246 11 8987 169 1 3198 2710 3 19272 2068 2 19123 2635 1 8128 4998 5 14449 4702 2 18151 1721 1 6149 5051 1 1930 3230 12 6269 5018 7 12638 236 2 18213 7326 1 14778 1357 1 9770 3230 1 1107 4036 1 9808 4996 2 17791 461 1 18484 1734 1 1756 867 1 18386 5914 1 11098 3081 2 14051 1995 1 9346 1164 2 16589 5402 2 8751 1686 2 6596 200 12 13314 4992 4 12988 318 10 10543 3368 12 16481 204 1 12055 874 1 16442 3615 6 4038 203 2 16079 1770 9 19881 8141 2 15789 2260 5 9250 5923 4 20090 545 1 15674 336 1 13829 1764 3 15205 936 1 6576 1613 4 11658 52 1 13042 229 4 5437 1778 4 11246 1745 1 19319 1363 9 2249 1356 1 18080 768 1 10322 6341 3 14798 304 1 14800 3511 1 17757 1700 1 14107 1243 3 16019 385 1 3407 6669 2 2816 190 1 2629 1727 3 2318 3408 3 14946 4607 2 19237 2614 1 6010 3298 5 18835 205 2 9104 8071 2 18509 1244 1 20130 8094 1 3118 2808 4 11591 1715 1 17802 7018 1 12867 23 1 19442 2569 7 7507 3180 4 37 2018 1 3081 874 1 7610 727 1 19870 3323 4 215 4351 1 12907 1282 3 17216 3135 3 5884 1816 5 2108 4458 1 1335 3604 5 10165 2838 1 18614 6534 1 1922 1698 2 17617 7404 6 8599 4792 1 2772 1645 1 18043 545 1 10309 794 1 1872 3900 5 9122 4264 1 340 7534 1 11946 3693 1 314 1342 2 14620 1464 1 4342 2995 5 6723 210 9 12413 1231 2 135 1496 1 77 220 3 13537 2146 2 7593 215 1 16391 1776 2 33 303 1 7059 4963 1 17544 3167 1 14312 7066 1 19158 7353 7 19332 7446 8 19793 1246 2 1472 1718 4 11688 1212 5 7507 880 1 9315 525 1 12640 5518 1 14730 5342 1 3337 555 1 18792 910 1 16894 2892 1 135 1356 2 13169 188 1 19334 3522 2 15810 214 10 2571 3770 1 10758 3612 5 10037 1235 1 14672 1331 8 13919 5147 1 8795 5018 41 18667 4623 1 9537 1305 2 2882 292 1 5161 6943 1 12742 2076 1 14704 1703 1 13623 2068 1 16775 410 20 3123 201 1 8052 520 20 6292 2958 1 3314 3345 2 5817 1612 1 8762 3540 1 16 1011 1 11786 6637 3 5117 658 1 1551 4935 1 18918 173 1 7000 5312 1 19871 6213 6 11839 303 1 10472 4207 1 4441 199 1 14082 2247 1 17909 3096 2 16149 244 1 15104 1745 1 17578 7098 1 7450 1827 10 19483 3511 1 6853 2511 1 14607 1656 1 19826 4404 1 9242 1734 2 135 6185 1 416 2855 8 20230 5524 1 18665 3333 2 6772 2675 1 2367 3482 1 5390 1703 3 16492 897 4 19690 793 1 5896 2356 1 8754 205 3 13070 4107 42 65 3190 3 7868 7052 1 12603 2352 1 6650 654 1 19512 519 1 7380 1721 1 4305 5011 1 1359 1736 1 8383 2401 2 16307 4640 1 5241 206 2 12704 207 4 3696 1105 2 18968 1660 1 2729 1252 4 19998 3011 1 3712 5264 1 10207 3637 11 17596 1814 1 17417 7117 1 17510 3050 14 6892 718 1 14621 3819 1 3577 1818 9 18657 2881 2 7101 34 1 1175 6677 2 10594 1406 1 18536 4404 1 9287 541 1 8614 1396 2 18012 7809 1 10839 6132 1 15688 586 1 19568 2823 1 2376 84 1 160 7284 1 4057 177 1 2091 412 1 5787 5325 8 174 8040 1 17383 409 1 3110 7857 8 3680 6892 1 1866 4065 2 4759 3693 3 452 1244 1 4286 5567 1 18085 496 4 9374 1698 1 15691 6897 11 5141 222 2 5746 244 1 2143 1829 1 15074 5256 5 15251 4363 7 10317 5289 1 5359 7881 1 15600 6993 1 17809 1453 1 11006 3338 1 14270 1243 1 20246 2363 1 9188 885 1 12562 2675 7 3491 23 5 4613 1246 1 14727 3605 1 19331 232 2 1927 1721 2 14458 7090 1 16009 1444 9 18893 6769 1 16773 1032 1 8210 5120 1 9930 173 3 4885 6536 1 515 1369 1 1875 2448 2 2988 4618 2 18843 470 1 13461 1450 3 20068 1772 1 10000 6100 1 17698 84 5 1472 1738 2 140 6394 11 15 987 3 9270 4022 2 2432 637 1 16530 5408 5 10105 1739 1 14104 3193 1 9941 5314 1 2068 4411 2 8620 8191 1 4742 463 1 20092 303 4 6125 6469 1 2711 219 5 2480 3012 1 2357 7532 2 7231 1243 1 982 219 6 18652 3078 3 13755 2021 7 10686 4377 1 524 5243 1 12112 1280 3 4423 825 6 9281 7029 1 7200 1466 2 20157 4543 1 11336 2743 1 5004 5931 4 17331 6487 1 17389 7640 1 11562 2179 1 9778 3821 1 3179 220 1 1582 4304 4 16916 2821 1 5670 205 6 15321 2491 1 14753 1304 4 20019 5018 1 3822 397 1 1847 5321 1 13774 6532 7 20090 2493 2 16345 1649 2 8335 3473 9 11118 1704 1 14663 221 1 11675 292 16 1834 880 1 4238 4022 2 9679 203 1 9390 6481 2 2401 1721 1 2324 5559 1 11353 5692 1 4763 5425 6 5775 1681 1 13402 6034 1 1036 386 1 3853 466 1 1364 5346 1 2005 4660 6 8067 3133 3 19655 7101 6 17774 214 10 5671 5086 1 16529 3554 1 153 6894 2 6070 413 1 9525 235 2 20170 2620 1 10579 717 1 6313 7947 1 62 2994 1 7455 360 1 17631 4992 1 1853 2614 1 12867 4123 1 15547 6183 2 8595 1533 8 11999 1259 1 15841 1290 2 13857 5243 1 1871 470 6 5624 2580 1 10245 7368 3 9632 7470 13 11742 2513 1 4060 3410 3 8966 519 2 17703 2815 1 14108 960 1 7285 828 4 13630 6340 3 14411 1999 4 16193 1696 3 222 4325 3 12009 2555 1 4519 644 1 2640 2584 1 12283 244 3 15237 2521 3 3406 6608 2 2204 367 1 16819 7570 1 18150 7136 1 10160 6152 1 12074 2729 1 10953 2387 1 2974 409 1 9546 765 1 11155 1764 1 8495 6534 3 2832 4171 1 25 1499 5 3261 1021 1 19434 1770 1 3806 1150 1 11786 736 2 9894 385 1 14693 509 1 11367 3304 7 9758 7259 2 16280 4209 1 17124 229 1 19268 1757 11 16781 225 3 3602 5783 1 4262 5339 2 14077 521 1 14957 87 1 10316 4623 32 13254 725 1 6414 1428 2 17662 232 2 1060 6630 3 12247 2885 17 10937 1442 3 8581 6197 1 11094 3219 7 6804 5403 1 14522 2626 3 18813 2968 1 157 2439 2 401 3442 1 18220 8031 2 5213 510 3 9783 5312 1 11649 3606 1 10290 2686 1 5344 6050 2 14668 6502 1 18237 864 4 15832 1751 1 3044 726 2 7184 1482 2 3261 1286 1 8850 190 2 1586 2686 1 1939 3590 1 17748 586 1 9097 4245 1 3117 6713 3 2750 203 18 2240 4629 2 16943 3206 1 6853 445 1 4987 588 2 14965 4199 3 5140 23 3 2100 6192 2 11996 1722 1 4623 1062 2 14470 23 6 8404 205 1 16122 1319 3 6152 6545 1 17226 1703 5 15486 3138 25 3599 1613 2 4217 4913 1 4880 4120 2 16037 6295 2 3427 869 1 8599 1760 18 18381 6065 5 11050 4026 1 17966 2817 2 12009 3266 1 3337 7816 3 4386 6776 1 5828 3556 26 11786 1 1 2617 201 3 3513 7183 5 7080 3238 1 13309 5432 1 12513 7229 1 13482 6091 1 17662 1649 1 7526 200 6 18847 1240 5 16754 7368 1 6339 844 1 937 1965 4 16167 203 8 17156 6768 5 6226 7106 5 15025 3475 5 11315 5691 6 16020 200 3 19090 363 1 3090 4998 10 13614 3325 1 7597 5551 2 14778 1771 1 18331 2908 1 15530 3276 1 4938 214 1 807 221 1 11882 7311 1 6396 6779 1 1706 575 1 2048 4949 1 18968 431 1 5243 1740 10 17431 964 3 2424 5677 1 6926 1277 4 2726 6183 1 10498 4120 1 2204 2499 1 4898 7257 1 17577 6053 1 17 1133 1 17746 206 4 3597 1705 2 11960 2980 1 5523 95 1 11766 1770 1 18144 723 1 5964 566 1 8269 331 1 6774 7562 6 5696 8093 1 7914 2056 4 12367 1374 10 12392 1729 1 13065 1764 2 7948 524 5 14211 222 1 12116 2563 4 3302 7250 1 10586 2065 1 130 5932 1 4025 4077 1 19559 134 1 7928 1724 1 11914 1125 1 1465 2698 3 17125 2852 3 13864 300 1 5205 3907 1 736 1775 8 113 5045 2 6158 543 2 15376 1707 4 18749 966 1 2652 6903 1 6983 6701 10 2884 1201 1 12150 7852 6 16458 4105 5 14334 5715 5 12241 5036 1 11559 2331 1 95 249 1 9681 526 3 6140 1727 1 9195 1239 1 9038 5935 1 20232 8017 16 5140 221 1 16894 4575 1 101 4587 2 14762 1760 1 10519 8037 1 4688 3573 1 16442 867 1 10884 7598 1 13374 5255 1 2886 1324 1 4056 1685 1 13145 8029 8 19326 1760 1 13648 514 1 11773 7045 3 9345 1250 1 17634 3060 2 19875 2720 1 5053 2862 1 5955 6128 4 19259 5522 1 14143 7897 1 4707 1184 1 5281 2424 4 9046 1614 1 153 6929 3 5176 229 1 6332 5132 1 13388 207 1 14527 682 1 17420 470 1 9366 6003 1 15368 341 1 1433 1244 1 4659 1903 2 6479 843 2 1631 2076 2 7615 3694 1 861 329 1 2870 6173 1 13134 6611 1 8751 519 2 14666 3274 3 15468 95 1 3823 4202 1 6125 3059 1 8152 1751 1 9596 1322 2 16775 3331 13 9947 7953 1 5684 221 3 8595 4967 1 5493 1256 3 5957 1819 1 15656 1769 1 10731 7915 2 19649 1995 1 7829 207 2 7135 1247 2 9957 8200 1 16263 5005 1 15160 6110 1 8468 743 1 10156 5561 2 12049 1474 6 4550 2676 4 6 195 3 6403 4120 1 452 1248 1 11848 525 4 135 411 5 3012 348 1 12264 223 5 8001 3386 1 15833 631 1 17825 3834 1 1090 410 2 15861 201 1 10047 1250 2 435 1985 10 3694 308 1 19056 2341 1 3190 1784 10 13320 3298 1 12393 3326 5 1491 7603 5 5306 467 1 17281 2729 1 20218 504 1 13209 3202 2 18665 4933 1 12932 2990 2 1844 891 1 6283 215 3 2284 1705 1 14307 5737 12 16916 7839 1 319 1981 1 8905 6084 8 9310 1761 2 7829 883 1 4599 5252 1 4609 2623 1 9282 3540 2 18193 1761 2 15368 4245 1 7995 6341 9 4505 1245 14 3419 5389 1 14677 5851 1 14522 2686 2 9256 1240 3 10390 508 5 10147 1819 6 12922 385 1 8202 5255 4 1437 6532 1 4016 394 1 2494 1825 1 1552 964 2 5312 1722 1 12453 6526 1 15431 3463 1 15087 1706 3 5152 3332 1 4512 3116 1 6501 214 1 16669 4983 1 1128 4186 1 2067 7404 1 6262 1284 2 9449 8141 1 19828 200 1 2996 7308 1 3270 3856 1 8586 911 1 14616 533 3 5478 1769 1 8895 237 3 1608 46 2 1752 6940 1 5344 6028 1 15513 1761 2 13241 861 3 18418 1160 1 12136 4029 1 13974 519 2 11164 3632 1 6116 1062 42 13419 7840 1 18856 759 1 13619 6714 4 8022 6064 4 17244 3252 1 9606 1727 1 2003 4572 1 14393 1539 1 6255 1982 2 17404 4266 1 18526 2555 1 14305 590 1 973 639 32 17362 1718 2 3973 165 2 8272 5999 7 15429 3024 1 3442 7008 2 18875 4986 1 18197 2852 2 14696 4615 1 16057 1146 1 13496 6714 4 9676 6259 2 6557 3842 1 1322 1825 13 8892 496 1 11 470 1 17992 10 5 9757 4335 1 6907 130 1 17132 2352 1 11336 5437 1 16215 84 6 164 7485 1 16378 1357 2 13631 1332 1 6418 1379 17 17302 1917 2 19865 540 1 143 6658 1 3153 6067 1 6510 6484 2 11182 644 1 8614 156 3 6907 3007 1 10954 8183 9 4631 2295 7 10368 6686 2 6607 1938 1 126 5679 1 12818 861 5 6024 700 1 11012 2606 1 19740 6053 5 189 5952 1 6556 4464 1 17298 7850 1 7311 4690 1 18285 1037 3 17494 1986 1 13445 723 1 11192 5951 5 17085 514 1 1290 6184 1 20191 4239 2 16266 229 1 12294 5758 2 18418 7420 2 14519 910 1 3140 1184 3 13997 573 1 9528 3333 2 6810 1464 3 16403 4670 1 8328 1367 1 15393 1827 6 17841 6793 1 17121 3515 2 16006 225 2 11999 4458 14 6319 8203 1 3322 201 3 12361 132 2 19193 520 3 14418 3389 1 14173 899 1 6556 303 7 5782 95 5 1483 3512 1 14617 4811 3 14218 3686 7 94 4329 1 1361 3400 1 15142 3276 1 14259 4204 5 16961 7699 1 6 188 4 19822 2801 2 13460 596 1 20215 1537 1 17180 1249 1 16802 6640 1 10916 593 1 5977 1695 1 11595 883 1 7712 4336 1 17454 3705 1 873 6404 1 1839 8054 1 1323 1649 8 5125 6288 1 2500 6174 1 1438 6640 4 2136 6692 1 6211 2938 1 16378 514 1 2853 335 2 873 229 1 495 4042 3 18360 907 3 18199 2747 1 5825 3065 2 15975 1736 1 6563 3389 1 8291 8122 1 16236 2352 5 17019 331 1 2258 303 1 1869 214 1 17555 5826 4 13097 631 1 10694 4607 1 6024 4998 1 13081 6481 2 18119 3909 6 8159 574 2 7670 558 1 15866 1250 1 3790 1334 1 7941 3556 8 15318 1726 1 140 6410 1 7426 7236 2 10604 3807 1 15712 4963 2 9459 6719 3 16397 6053 4 7631 7191 3 888 644 3 4498 2974 3 20133 1019 1 9581 173 8 388 4369 7 18008 244 1 15581 230 2 19218 5341 2 14957 6029 1 3765 203 6 15495 1249 1 3024 3970 1 9152 134 1 17710 23 4 7239 7890 1 9300 1774 1 1728 1539 1 5376 2555 10 5771 4868 1 10455 5341 1 6780 809 1 11678 554 1 16354 1714 2 8266 974 1 4678 1819 1 16767 6031 1 3037 3113 1 4520 1271 1 2062 203 25 11502 6561 2 6428 1062 1 18283 6451 3 2865 2016 1 13103 7178 1 13903 296 2 3812 6341 8 3189 338 1 15689 220 1 15523 1037 5 7642 7267 10 16283 165 1 3164 2363 1 6781 4963 4 9049 5800 1 20225 552 1 19217 1396 5 16246 1774 2 3472 2343 1 17127 1417 1 14051 3132 1 10349 7734 2 12476 4303 4 15004 3065 1 3822 1480 1 15368 4517 2 224 5018 22 11326 173 3 19605 1761 2 17617 4949 5 4165 2066 2 19241 2552 1 16843 7442 1 13078 236 1 15073 2509 1 14218 3298 1 6418 827 3 18875 5443 1 712 518 7 18476 2632 5 17781 23 1 7231 723 1 7774 1245 3 1625 2517 1 3596 3074 1 6544 201 6 5111 1921 1 5589 221 1 5837 374 1 16717 20 1 13436 378 1 15061 8203 1 18535 2626 1 14483 1686 2 2875 6038 1 17687 6793 6 10957 449 1 10377 1707 5 4332 1825 11 1866 221 2 2319 331 1 14772 5479 1 16890 769 1 16386 1717 11 7760 4266 1 19718 1722 9 7356 3540 1 5276 5031 2 1452 496 4 11996 2686 1 19056 3236 1 5885 2575 9 20196 4451 1 4884 3135 2 1143 4343 1 12783 844 1 15530 3275 1 6502 8149 11 4238 3247 2 5851 6537 3 8554 1610 1 17150 5573 1 18040 5291 2 17950 1357 1 17 1226 1 3134 6714 1 6712 814 2 3538 5018 1 452 1304 2 11672 652 1 20090 1757 1 1825 200 1 3484 1995 28 5833 1721 2 17762 2739 1 17397 1399 1 274 2632 21 11736 407 1 2732 6022 1 9058 443 6 1256 1253 1 8451 3263 1 19193 8141 1 755 1728 1 9433 7085 1 17494 1967 3 10593 525 1 15496 1395 4 16130 4623 2 11547 2277 2 1507 196 5 5494 3494 2 4867 3638 2 850 215 16 4898 1729 1 6688 1244 1 8738 501 1 10732 4245 1 774 3970 1 2010 1741 14 18103 6534 1 20081 2247 1 696 3556 2 18769 196 1 17392 1825 7 17917 4458 1 19058 7299 3 12136 3770 2 20032 841 1 13341 4180 1 12291 231 1 18433 4325 1 14754 5672 1 7577 223 1 18893 941 1 1794 1423 1 2036 1438 1 19220 244 1 2939 4006 1 28 1663 1 12320 6172 1 18593 6152 1 19495 8034 1 10190 2609 9 18398 2636 1 15395 1721 3 13734 4128 1 11673 71 5 4629 3511 2 5428 5043 1 18386 746 1 14939 221 3 5344 400 1 733 7916 15 3603 5538 2 8201 7512 1 8560 7045 2 16185 201 5 828 4435 4 19233 8047 1 4151 1664 1 12994 2727 1 796 2541 2 4810 463 1 16087 3916 6 171 7790 1 16352 1590 1 15871 694 1 13121 5935 1 11017 6207 8 5827 738 1 2886 5700 4 6005 4525 1 13735 1252 1 8585 3894 4 8430 7153 6 7780 3318 2 14267 6868 3 5924 5470 1 7526 505 6 135 6207 2 11399 134 1 11160 5561 1 130 5901 1 9364 7524 2 19241 4935 1 16455 6702 4 433 7184 1 12275 5804 1 18880 7830 8 1555 3797 1 4601 3652 1 11877 10 3 2387 1482 8 87 4006 1 4430 1719 2 13024 3842 1 7701 8054 1 9794 6683 3 2056 7213 1 1627 3998 1 13568 221 2 13951 344 3 19517 4996 1 18696 2727 4 15983 3633 1 10677 2522 1 19283 4951 1 18183 1695 1 2813 422 1 14778 1342 4 8941 2985 1 19262 508 10 6806 2261 3 18939 3480 1 9749 825 1 4183 1324 1 18409 1613 2 3680 7869 1 1424 203 1 334 1181 7 12516 4714 14 10374 6028 1 2135 1342 1 16636 2488 11 4742 184 1 13301 3889 7 14197 2355 2 19193 1845 1 2939 697 1 83 3860 2 7383 4306 1 16916 1208 1 9656 3370 4 16090 1686 1 3612 2442 1 12731 4075 2 12753 1418 1 6632 1769 1 18106 7597 2 4009 4036 1 10649 4069 2 14015 3622 3 15635 496 1 17030 6268 1 10391 316 1 10718 1250 6 8269 780 1 9574 1482 8 7964 4395 1 6950 3621 1 3021 1889 1 2752 2130 3 3694 1721 11 14060 910 1 15982 215 7 7637 1399 1 10267 718 1 1565 6179 1 15312 4380 1 14519 786 3 11638 2883 3 17350 2686 9 18779 1182 20 460 2488 2 2917 398 1 1845 6276 5 12660 5461 13 11336 5538 1 5025 1356 2 16784 4297 3 1066 581 2 8142 1740 1 19712 1829 1 19140 2344 7 1060 7811 1 9009 1029 5 9793 4403 2 14954 6662 1 894 2966 1 15108 6994 1 12888 501 1 11161 2649 1 5217 5018 1 7498 5325 1 7230 1717 2 6064 5922 1 9155 3872 1 4723 2572 3 13712 2885 6 1379 367 2 19332 3892 5 10078 7746 1 16620 2584 1 13999 1814 1 821 7602 1 10334 7022 1 14259 6065 2 1420 4790 1 5815 4363 2 3573 6551 1 15258 73 2 10856 2410 2 9985 3954 1 14538 776 2 4072 821 1 10792 1761 5 3496 502 2 9946 496 1 15192 5269 2 18071 2175 1 15998 3466 14 14341 4312 1 5185 5257 4 6332 5769 2 3697 1246 1 15390 2869 1 15448 1453 1 5677 595 1 14823 6151 1 4647 1724 1 20048 545 1 2645 3287 1 4606 1342 5 19578 5446 1 7085 482 1 13997 283 1 10038 1707 2 8924 222 1 5252 2356 1 10222 617 1 12970 4303 2 2423 1104 1 15896 589 1 7933 7409 1 2394 4296 1 18574 1237 1 17333 926 2 745 1757 2 14838 1727 1 845 6897 1 19298 1772 1 15932 385 1 19171 1312 2 2391 2530 1 8683 1248 5 3420 534 2 9037 6150 1 4913 6080 1 4905 501 1 14218 3972 18 3663 4233 1 15383 2133 1 17058 202 1 12532 3411 1 4031 1717 2 17517 4459 2 15097 883 3 9512 4675 2 14701 3406 3 3258 1788 1 6166 500 2 7612 7820 1 6125 6427 1 9567 5758 2 1834 6535 1 496 8108 1 13558 6268 1 11215 4603 1 15687 880 1 2985 617 1 15020 1076 1 19456 4367 1 15228 1561 5 9597 1784 4 3972 5394 1 11346 4258 1 12077 206 16 6390 5325 1 19611 206 11 13554 2953 2 13290 67 1 13928 1975 2 7822 1827 1 18526 219 1 2643 229 1 6650 156 1 15226 2549 1 1542 1751 1 6762 495 1 4882 2889 1 7884 229 1 10472 4203 1 13131 557 1 16208 99 1 4050 1695 3 12490 7740 1 2103 23 7 8135 1245 1 6551 1440 4 15272 545 3 6544 3954 1 4681 1644 1 48 2384 3 13461 1778 4 8657 6548 1 7387 1184 3 343 1764 1 6748 625 1 3825 1772 3 8381 200 1 13883 316 1 10325 4699 1 1141 3671 2 14599 262 3 10989 8184 2 7882 1251 1 16886 205 1 2891 1728 1 13017 3378 19 18613 1724 20 12906 995 1 8517 1705 1 130 5844 1 13857 1373 1 3875 1244 1 8663 3477 6 7306 917 1 3833 910 3 6750 8045 1 160 7271 1 5950 3899 8 2413 1925 2 9733 5258 1 13839 845 3 1711 5305 1 15032 7466 1 13840 2360 1 7741 196 14 3484 2431 9 1987 3869 1 13311 4202 2 15100 689 1 16090 6952 1 12787 4174 1 684 367 1 10149 252 1 17392 1704 1 6822 218 1 17973 3056 7 18574 164 2 3193 5018 7 14528 3811 1 11786 4909 1 14825 5293 9 10116 955 1 2546 801 1 3128 308 1 10698 221 5 16377 753 2 14289 201 1 7669 3618 1 18814 445 1 8152 2356 2 13972 1038 2 14114 2056 1 6142 1718 42 8278 4391 3 12415 47 4 16869 1747 3 18632 8096 1 5478 7351 1 4963 1357 3 8658 7809 1 16600 641 1 19957 687 3 12890 225 1 5066 1460 2 18537 4280 5 983 3824 1 3331 880 3 68 3254 2 18614 7151 1 18614 7410 2 2886 3373 1 64 3060 1 8890 2645 1 2624 2517 1 11938 6245 1 5738 2661 27 16355 1250 9 8268 3193 8 1953 6713 2 3258 1241 1 15437 545 1 9306 223 2 20191 3827 2 12540 937 1 470 1147 16 9581 235 7 16674 2489 1 3236 200 1 18165 4714 1 6485 4500 1 19348 4506 1 5980 1235 2 3613 252 1 130 5961 1 16687 3956 6 10522 95 1 6021 7073 1 4181 1237 3 656 1286 3 6845 2673 3 873 3715 1 11418 6925 1 5188 2276 1 8957 6514 1 9063 1707 1 18115 8026 1 413 2953 2 19240 1760 1 20090 1582 1 6541 7491 2 11786 11 1 10340 8192 3 18148 7382 1 4634 690 1 19939 7406 1 7621 3167 6 19486 1126 1 9743 4762 1 20267 1573 1 11530 1732 7 11348 532 8 9412 7313 1 18266 937 2 7207 3487 1 6420 706 4 12603 1734 2 12054 2729 4 8614 5549 1 11183 1820 2 4332 495 4 8767 214 3 1014 244 1 3296 2338 1 17647 7674 1 5293 3787 1 19301 23 20 4936 6281 2 7148 1126 1 8755 4065 1 3072 3072 4 495 1695 1 4914 6180 2 15186 1726 5 9419 2775 1 7848 1812 1 7997 303 1 17892 917 1 4525 2327 6 7568 6268 1 9052 23 3 10999 4022 1 3673 437 2 9287 8194 2 6897 6901 4 10966 4949 2 20032 274 1 4249 532 2 1191 1761 1 14685 380 15 13543 869 1 17112 3651 3 92 4169 4 14170 716 2 4704 215 7 12257 7124 46 16531 6229 1 15202 837 1 16970 6943 2 11839 1736 6 18118 4399 1 16773 404 1 4436 7237 3 3351 6153 1 11216 6276 1 6459 7229 1 17173 1272 2 9284 1035 2 7823 7005 1 2186 495 1 16860 825 2 6942 2666 2 7395 714 1 12030 1374 2 1542 206 1 15722 1721 1 300 4315 1 18570 1596 1 14129 5783 1 15918 670 1 6219 6139 1 12035 1781 1 16089 1825 1 10960 2508 1 4841 1194 1 4407 1744 1 7952 800 2 15041 910 1 19870 8029 1 16496 201 2 11451 2016 1 20022 306 1 2834 4245 1 7211 206 1 7208 5786 1 18050 187 1 16088 207 1 167 7560 1 1733 1112 1 1332 1312 1 5275 157 1 11277 5451 1 8057 353 1 4913 714 1 7835 200 11 3892 2146 5 14985 2354 1 1433 1768 1 7171 3219 2 7295 1887 1 14106 380 2 19680 4204 1 4550 1342 1 2199 1713 2 2696 1249 2 14541 5332 4 1857 690 1 6811 842 1 17477 7850 1 19663 1756 7 9366 7652 1 11239 638 3 2500 6169 2 4345 7446 2 4022 441 1 9461 2737 1 11271 7850 1 18902 766 1 14755 2619 1 7219 5468 5 4850 7398 4 4539 1770 2 15170 7815 2 5896 3911 3 13 735 1 2619 6487 1 17171 5312 6 8582 201 42 19448 1664 2 2133 1354 4 6796 3556 1 10165 3751 1 16258 3012 1 6446 4623 2 18325 2388 1 20 1380 1 9031 23 1 4757 533 1 2998 6091 1 11776 1728 1 1444 2064 1 13662 2481 1 16145 1819 3 13655 1250 1 2087 2342 1 11755 1664 1 11365 6481 1 12208 4739 5 10482 7022 1 10245 449 1 16181 5285 1 18545 4992 2 16227 522 1 19197 201 1 4970 861 1 16643 1745 1 10745 3869 1 11371 7829 5 9041 374 5 12757 3571 1 9094 524 2 4551 7404 2 8269 684 1 19034 3963 1 9279 1705 5 10316 4607 2 13245 2600 5 3147 1745 1 15675 5758 3 12463 3194 2 13069 6627 1 18149 1146 9 1464 316 22 19448 4044 1 1783 2980 1 1043 1705 1 2045 4796 5 5246 1304 5 11583 6629 1 14684 828 1 19601 1322 1 11019 6533 1 9332 1063 3 5717 3016 1 4709 1250 1 31 1252 3 15167 4595 1 17224 7433 5 8394 1273 2 13328 5534 3 13758 453 1 3779 4732 2 2195 2342 2 6007 867 8 5047 1453 1 11117 8183 1 5470 4441 1 19603 1755 1 4069 7422 3 5438 1582 1 14192 2247 4 7432 65 2 16090 2737 1 6840 879 1 16736 2921 1 9793 201 1 9868 2360 2 56 2685 2 19655 3256 13 8656 318 2 6188 1250 4 7298 308 1 20107 7439 2 12811 5740 1 19843 173 11 2900 4499 1 11882 3972 2 789 1582 1 19209 3768 1 1969 536 1 9962 1416 1 10438 1270 1 6308 201 4 17760 229 5 156 7167 7 7824 4395 1 17700 219 83 6649 8008 2 17 1109 1 12182 1015 1 2167 4043 1 17334 5247 1 18709 4572 8 10635 1235 1 16894 3475 1 3583 2699 3 626 2651 2 12181 2883 3 4425 880 1 2245 2673 2 17037 4728 2 16926 945 1 5645 252 1 13743 5551 1 7155 1307 1 9394 883 1 11786 2727 1 3329 1296 4 822 1707 1 3111 1686 1 4860 2708 1 13684 1089 2 5266 4954 2 6348 917 1 4208 1661 1 7188 1610 1 16096 1239 1 13132 574 1 19763 3637 1 4524 1707 2 783 5254 1 4820 6473 2 5548 6183 9 7105 4435 1 899 880 2 17014 4029 1 9597 1237 9 10724 7409 2 6966 3585 1 781 1801 2 745 6297 6 4574 5288 8 11619 2256 6 2046 1798 2 8967 6064 1 10331 4105 1 14010 3645 3 7763 5611 1 11826 942 1 4749 5503 1 19759 132 1 15247 1995 2 6292 5659 3 1927 910 1 13507 5594 1 15673 1685 3 10447 2675 1 9033 2710 2 16625 4518 9 7297 214 5 18089 2382 1 14187 1743 6 10575 892 1 12299 1234 1 2100 6229 1 11238 7439 2 18136 1145 1 12491 4436 2 13051 1406 1 9316 1710 4 13634 6477 2 20019 1932 3 15896 4204 2 10693 5098 4 13648 1897 1 382 2383 1 20172 1416 10 15875 7750 2 20275 7067 1 3618 7965 2 14370 6540 1 13993 6084 1 178 1235 1 12984 5418 1 19352 140 3 6544 1881 3 12802 5997 3 11336 3766 3 9285 1504 1 12142 1454 2 4555 3743 9 6664 1681 1 12 535 4 18724 3308 1 1832 4945 1 18561 8117 1 12339 215 3 11336 2673 1 11278 5005 6 14888 2626 2 4358 2680 1 784 1737 1 16099 5352 2 19246 4217 1 6125 1237 1 2139 2331 1 7147 6435 4 8080 2450 1 12361 3314 2 1467 4916 1 15227 514 1 10169 5878 1 10000 4392 1 16190 4603 2 15517 1245 1 8225 1965 4 1704 2167 5 11097 7922 1 11658 4591 22 19725 1784 9 8729 5738 1 13327 385 3 8522 6021 1 19643 6713 13 6091 545 1 14727 3511 2 15824 3432 1 16837 207 1 10319 222 4 12262 7614 1 10064 191 8 2021 6402 1 13461 1695 2 27 1646 1 18703 5020 15 14114 822 2 17954 236 1 8856 220 2 2494 203 1 13764 5234 1 10399 10 3 15993 931 1 4001 205 1 2880 2479 1 1339 518 1 7354 4597 1 10371 1732 3 2694 4400 1 2911 274 4 19494 7542 2 9304 7256 2 19355 525 7 6538 4351 1 5082 6819 2 7133 3619 5 12322 910 3 13787 2109 1 18353 4500 1 18263 533 1 13731 5253 1 10856 6591 1 17789 7542 2 17198 7542 2 12811 6584 3 13444 187 1 5863 3074 1 5090 2541 1 19326 498 5 1223 6692 1 15394 2366 2 8905 2626 1 7363 438 1 15419 1251 1 3128 2786 2 1904 2013 1 20231 222 1 9429 3180 1 1117 5283 1 12582 2552 1 19656 2678 21 4446 5922 1 3397 2591 1 20 1291 1 7625 5444 1 1727 4312 1 3358 2663 1 10222 1343 1 15412 229 1 14400 197 1 8250 2656 1 20 1375 1 367 1825 3 5695 1686 3 13267 220 5 1500 6192 1 6403 190 1 2143 7538 1 575 871 1 9027 1780 1 17647 2517 1 12155 690 1 5453 436 1 9714 4041 1 7399 2582 1 5047 2363 1 1915 1482 5 2504 2252 3 5380 2673 2 8255 1764 1 18546 1736 1 13224 7734 1 11065 1726 5 983 2307 1 12918 4510 2 8298 525 1 7566 5408 1 8208 7528 7 7985 203 6 4832 304 1 4985 1762 2 4057 6818 1 15220 534 1 18836 687 1 15272 7734 6 12817 461 2 15364 385 1 11164 4266 4 7884 1395 1 13490 4845 1 7181 903 1 13520 3414 29 3025 207 1 11 400 1 2061 207 1 7657 219 21 13961 2989 1 121 5278 1 19326 2241 1 2186 3556 7 5491 3425 2 14552 1819 4 14063 252 2 16817 7980 2 12152 606 1 19995 1238 1 6313 7945 1 13187 164 1 3456 1345 7 7816 93 1 16690 5786 2 7382 800 11 17331 2889 1 18847 829 1 10447 1007 4 18544 2626 3 4249 206 2 3871 1236 1 13205 1978 2 17298 3512 5 9279 1755 1 9628 728 1 4527 1755 3 18182 207 14 10488 214 1 3323 6407 3 130 592 1 2250 2635 1 17273 7920 1 12716 6219 12 11379 2708 11 5515 1464 1 14900 1768 1 9894 6083 1 4023 1774 1 12303 1147 1 9178 5559 1 8361 219 5 1304 207 7 1062 2219 17 6690 1740 1 101 4593 1 13302 4963 3 9784 1785 2 12764 1995 2 6819 5996 1 8585 3263 2 6516 6053 1 869 3689 1 4397 969 2 11131 2130 1 9733 303 5 522 4266 1 2377 623 1 873 7282 1 14162 382 2 12817 519 1 14218 6539 2 8419 7135 4 17153 2649 1 1744 6414 5 6989 186 1 8851 4992 2 18804 842 1 6215 1591 1 5202 1825 5 6459 8182 4 2471 225 1 9388 521 1 12324 518 1 886 5207 4 6228 554 1 835 2322 2 8388 3058 2 12602 5325 3 19026 1244 1 18344 74 1 10176 1883 2 10866 6220 1 15040 1245 4 17781 7655 1 20012 2909 1 14727 2006 15 17996 1251 1 18922 5504 5 14085 7912 2 1026 1322 1 18799 8135 7 12319 225 3 11306 350 13 16488 203 5 6314 3864 1 12077 1275 16 12077 1253 1 19760 3699 4 14416 519 1 1059 3015 2 8995 4285 1 6532 409 1 14149 336 1 6277 232 1 17736 5804 1 6630 7797 4 4634 206 1 18106 6207 1 11585 1707 2 8744 1658 1 4154 6714 1 6514 512 3 1904 1775 1 9674 3898 1 17774 207 1 13740 8139 4 18187 186 6 19528 518 1 16493 5323 1 8895 821 2 12406 7857 4 3902 1234 1 32 1811 5 17891 4956 1 10166 1128 1 9042 1748 1 8585 205 3 15201 3032 1 19848 6620 1 5326 2068 2 2432 6037 6 1302 4992 1 8911 2528 1 2928 4446 3 8082 794 1 7000 2018 2 16798 3751 3 11818 2765 1 18659 6268 4 12102 7174 19 16728 2541 4 11111 1727 2 17557 1340 1 4299 1268 1 2636 3230 2 2171 1707 1 11786 4280 3 5961 1757 1 616 1150 1 4734 5463 1 14005 5037 1 18806 473 1 13358 225 3 11504 3492 6 5916 3471 15 12077 4369 1 13891 1046 1 5953 4279 1 3972 5393 1 19718 2087 1 11699 1431 3 5758 2877 3 8378 5346 1 2590 190 5 19243 7022 1 12583 805 1 1597 714 1 16472 3399 1 16428 3478 1 19872 8141 1 19823 214 1 6140 5023 2 8368 552 1 7519 795 1 12836 2651 1 10549 1363 5 15217 1342 1 1226 1364 3 13601 5437 4 12139 385 1 19293 1464 1 5007 4447 1 2911 395 1 299 5355 6 12986 1730 2 4093 5618 5 1985 2068 1 14197 4998 1 5078 7229 1 19165 3825 1 9626 2626 1 17508 206 5 243 863 1 17953 891 11 2832 4175 1 375 6235 1 4076 4796 2 7870 7995 1 11270 3851 1 6835 3351 1 10105 7022 1 17736 3741 1 121 808 1 5370 4181 2 7893 1582 4 8544 3333 5 12464 252 1 4030 1256 1 565 1078 1 17918 3592 1 8410 1369 1 14906 200 9 8494 201 1 873 3711 2 10462 4704 2 14724 5327 1 16925 477 2 10632 1464 1 367 5289 1 6983 4112 1 9128 6331 1 14114 902 1 17771 201 6 16043 203 14 8489 3909 5 5063 1819 11 15376 470 2 12328 5369 1 6733 2058 3 16039 2675 1 9438 7128 2 15300 534 2 4898 1251 2 5860 1464 4 9954 6204 36 15795 2353 2 7145 201 1 3534 4730 1 1296 6105 1 19340 3693 1 7769 229 3 2665 6334 1 14688 1496 3 12595 4963 5 3408 200 1 8826 6192 5 19781 7027 1 177 232 1 7970 6278 2 1160 1703 3 18876 669 2 11473 3232 6 1712 5310 1 14773 2355 4 4259 514 4 2062 759 2 13480 6380 3 11949 46 1 7931 7896 5 12317 1722 3 7765 1954 1 11872 1137 2 3313 4231 2 11822 3164 6 8027 532 3 6340 581 1 13014 7542 1 14151 7554 1 4372 2542 1 16265 1705 1 20145 1734 2 4614 5255 1 5604 7570 1 17521 5758 1 14412 3511 3 379 505 1 4663 788 1 16997 3203 8 18197 3979 2 20039 5219 3 19017 6152 1 9224 577 1 1787 7519 5 7245 789 1 1469 4976 23 397 364 1 15692 891 6 3962 2675 1 3754 3679 1 15197 2385 2 14446 1781 4 9551 2678 5 8965 1719 1 14833 6213 5 1665 489 1 9865 1721 11 18944 3216 1 1577 528 1 2643 863 1 17903 232 9 12846 3558 1 19872 203 3 5307 1779 3 17293 1825 1 1763 6231 1 7727 7404 4 15890 1661 7 19019 1712 1 1965 581 2 16591 3233 1 11498 2355 1 111 5007 1 6712 912 2 5357 2953 2 17893 381 13 14364 5379 1 7774 1498 5 6712 682 2 14165 3511 65 5781 3511 1 17188 1710 2 14174 1686 1 19538 2351 3 14720 6225 1 13476 995 8 4496 1756 3 13964 1249 4 18116 3175 4 770 964 1 15792 6727 3 1115 207 2 1058 1248 3 13267 418 3 6848 214 7 10799 1727 1 19586 4538 14 9835 3869 3 593 220 2 1604 214 4 13009 412 6 19664 225 1 16395 1698 2 12427 200 1 19012 8051 4 5132 6259 1 17472 4557 1 18866 5551 3 6814 203 7 9072 6107 3 1222 165 2 153 7113 8 12231 864 2 10620 4245 1 15329 611 1 19959 903 1 7010 3684 3 19639 2114 23 3072 7855 1 1489 220 1 5329 3298 1 2791 1240 2 15579 532 7 10592 1866 2 8760 1184 1 8281 196 8 62 3018 1 18344 863 1 16041 4351 1 2765 6724 7 6540 1903 4 15855 1611 1 8716 5690 12 4009 5505 1 16767 5243 1 9421 1573 1 7527 6581 1 12392 3775 1 16809 215 2 12406 200 1 14711 156 1 16057 1328 1 1864 6339 1 16645 3088 1 14120 6756 1 19156 1734 1 10948 6527 2 4843 718 2 8240 3973 1 16546 1464 1 2980 2503 1 10698 827 1 7444 4563 1 6230 1828 12 1870 3748 1 15011 4237 1 8117 2699 2 9261 6414 9 18386 2931 2 7876 1621 1 7413 5425 3 4599 3086 3 7124 3719 1 6111 2668 1 11327 197 1 2483 3059 2 6323 1296 14 17273 5011 1 5424 457 1 18879 4267 3 14326 1270 1 2181 3813 3 7916 1726 1 19636 1259 1 16731 1818 2 8327 219 2 10244 528 1 13122 5357 1 5769 364 2 3521 5558 1 9485 165 1 10499 4635 2 7750 7719 12 1178 884 2 6018 1287 12 686 997 4 13055 6519 1 18538 196 6 10176 1825 5 4880 3570 2 12 225 3 14213 3827 1 31 1780 7 14580 1363 7 9853 3298 10 13351 910 1 16741 244 1 11381 512 2 86 3975 1 9835 7466 2 10651 1698 4 7380 526 1 2393 1246 1 16084 206 4 19057 5102 14 6506 7965 5 20071 4622 2 10254 153 1 7455 500 1 13429 15 1 15717 2698 1 4663 718 1 8963 6259 5 11932 3671 1 8260 174 1 4234 656 1 4979 1275 1 3140 505 3 4166 8026 1 16302 792 1 9224 684 2 3715 6457 1 12716 6238 5 7769 1663 1 16087 2419 1 13446 4986 9 16473 867 2 9177 1764 1 14063 1302 2 16561 637 4 1059 375 2 18398 1450 1 3044 292 1 17826 3448 1 95 4345 1 4364 1747 1 694 7673 1 10168 1686 3 298 6567 1 7589 6254 1 8969 6152 1 3765 6263 1 3540 1383 20 12902 1615 31 2905 6517 1 6749 6078 2 20134 215 1 3655 3331 1 8326 5040 4 12897 3389 1 9093 1258 1 16843 3400 2 9493 6242 9 8622 136 1 4663 853 3 17191 2344 1 2198 2938 10 1139 2369 1 19267 201 2 7679 7083 1 2413 1942 2 12330 8057 1 18883 5332 1 19143 947 1 11693 518 3 9605 1482 2 15318 2534 1 8537 516 1 15548 2480 2 17825 5027 5 3472 4992 1 6289 4441 1 4879 1339 3 757 8172 1 11891 47 4 6668 8096 2 14692 5574 2 6711 1567 9 9421 1990 1 13302 219 20 12350 222 1 5475 692 1 8471 5550 9 9824 869 1 17322 207 1 17202 6629 2 4785 232 12 15398 767 1 19394 3648 1 12141 1190 1 16431 3604 1 4092 1727 1 2198 4383 1 13526 1374 1 5866 7643 1 11804 6116 2 15329 5741 1 6907 5908 1 19031 6377 1 1118 220 1 7756 7596 1 16545 5009 3 15683 6513 1 5675 7642 2 19199 1642 1 4036 1184 1 3159 7668 1 2497 1308 1 15817 3916 1 17580 6192 1 16674 2511 1 600 7298 4 12009 1275 1 12970 4448 2 19470 4352 4 11857 184 1 7451 6897 1 9031 519 2 4193 201 6 10960 292 1 19742 3613 1 13 694 6 6105 95 1 3908 207 2 7203 4794 2 2966 220 4 4788 1275 8 3900 4384 2 16249 1277 1 16315 3337 2 13076 11 1 9626 8057 2 7304 3619 12 3712 6219 2 15228 6252 5 5617 2508 2 2922 1369 1 18753 3036 1 7640 2104 1 17818 1062 8 10584 1395 4 1908 3511 1 5306 2155 1 74 3470 1 11317 222 1 14729 1743 1 10698 498 1 11478 1739 4 7812 292 1 15629 894 1 112 5018 32 4468 7407 1 14696 863 2 5431 156 3 6091 7094 4 15023 3526 1 11259 493 1 593 1374 1 7099 57 1 19878 6164 11 881 5557 1 18356 4540 3 17337 292 1 905 3411 12 16700 243 1 6183 156 1 17009 4635 2 17 1117 5 1167 4090 2 13119 5439 4 17665 525 7 7298 3258 1 17631 867 3 2952 233 1 6255 3426 1 8198 3796 1 19872 196 6 13765 1771 2 194 169 6 15870 6663 1 14813 3959 1 15192 874 1 7463 493 2 19774 488 1 9807 167 6 3496 173 1 4429 3230 1 14718 4357 1 787 1251 1 4057 919 3 7221 276 1 1344 1252 1 6644 221 1 8656 5903 2 11230 210 1 3301 6031 1 13619 215 1 2385 8062 1 15536 1707 1 3750 7096 1 4180 6041 1 14326 1244 2 7210 1274 74 12560 222 1 16775 7726 3 12387 203 5 14691 1751 1 9080 6231 1 11211 481 1 11066 6105 3 4194 7397 1 5365 3253 1 18252 395 1 13647 2881 1 11872 489 1 4138 6806 22 2998 497 1 12645 6320 1 9995 7859 1 6810 2591 4 17440 6515 1 17088 1776 4 16974 1495 1 8394 1365 1 12182 1991 1 15321 1704 1 1720 3442 1 9235 2355 2 17884 7229 1 13809 3164 2 5602 452 1 12406 863 1 17141 5820 1 4519 3081 1 1013 5686 40 16334 6122 3 20031 1762 1 18244 6673 1 4128 171 4 7569 3876 3 9234 1732 1 12777 7554 5 3806 7890 1 13957 5162 2 10948 1282 1 5890 602 1 11561 7008 1 8269 926 1 4183 1757 7 8324 1778 28 19486 3367 1 6463 5252 1 10856 723 1 824 229 1 16263 3903 1 7607 3283 1 19470 883 2 195 496 2 13461 252 1 5478 5554 5 873 243 1 19826 2489 1 14597 1403 1 4898 2675 1 3347 6091 2 8890 2896 2 9702 3767 1 7214 5562 1 1576 496 1 4769 4312 2 2570 95 1 10586 206 3 4811 385 3 11786 6671 1 6177 200 4 3981 518 1 3826 869 3 2543 1248 9 4147 893 1 14549 1705 2 5981 7596 5 15468 6480 3 14349 8127 1 12312 4936 1 1831 5518 1 8198 5989 1 16242 338 1 14219 244 2 8645 1035 2 1570 1383 1 5117 804 1 15210 8091 1 17878 5758 1 3696 1248 1 15832 252 50 14193 529 27 2672 2668 3 12240 7512 1 20224 7427 1 10730 1695 4 17988 913 1 14235 7958 1 9310 7655 17 4234 3872 1 17686 199 1 17172 2150 7 13644 2496 1 5524 1705 4 19568 864 1 17224 219 1 5100 3081 2 13262 1625 1 11277 7602 1 5769 3558 3 6145 1783 1 11380 489 1 4716 502 2 15314 7611 2 8274 7761 2 127 5734 1 3871 2357 1 19184 1054 1 13 848 1 10815 5260 1 9044 3615 2 17066 449 1 20268 2737 1 13845 1187 2 655 1764 1 11216 200 5 11954 8167 1 11900 745 1 17992 1718 3 12668 4559 3 15091 1245 3 15016 2675 5 3118 4951 5 3980 206 1 725 1811 1 3045 1474 1 16645 1251 1 18420 3483 1 105 4720 1 1384 6343 2 19511 1743 1 6191 1319 9 12850 221 10 16496 1752 1 19136 3221 1 8439 1146 7 19941 219 2 14753 679 1 17416 1644 1 19872 4460 1 15015 6101 7 8451 1242 8 10655 2437 2 14200 1548 7 8647 1251 13 2643 6022 1 94 4258 1 878 495 1 1383 1979 2 9894 3699 1 7149 498 11 7610 857 3 3258 1357 1 6357 2934 1 15419 4435 3 19239 1241 1 10774 1703 3 15441 3073 2 10245 2632 1 16254 4623 3 164 7454 1 10236 1301 2 100 4484 1 819 3391 7 5132 214 5 14776 4944 1 8643 316 1 1068 3633 1 727 1363 1 412 2646 1 16388 4446 1 6186 3540 1 4494 204 2 13174 1890 1 8018 6532 1 4326 6481 5 17088 1686 5 7235 490 1 14289 5309 1 18946 5888 1 9743 1241 2 19760 5379 5 14059 3741 1 19486 7556 1 2377 355 1 4492 214 1 18073 3081 1 3844 2858 1 13425 687 1 7363 2869 2 6997 3840 1 2271 2369 1 9062 1342 27 5588 3255 1 4623 1770 2 17850 367 1 1153 1373 1 16997 8189 1 17086 2626 5 1873 8141 5 12493 1965 1 4223 525 8 6932 74 1 19952 4351 1 15708 219 3 15746 2834 1 2175 1417 1 4023 1113 2 4079 4945 4 2345 7018 19 4147 925 1 10056 3333 1 18409 5011 17 1625 6366 2 19807 4945 4 15614 1482 1 14202 221 6 14114 4246 1 15591 4196 2 124 5563 1 8175 4996 1 13705 1734 1 10155 1342 14 12248 2969 1 9604 1760 2 10602 1062 3 9614 6053 2 12491 1755 1 10245 128 3 14485 168 1 12217 5306 6 1465 3825 12 13537 4562 1 16784 6288 5 11572 7643 5 10301 6370 2 17550 6783 1 3048 768 2 18246 508 1 15017 2356 1 18122 206 4 912 3536 1 5010 4107 1 7527 4601 1 5464 206 1 7827 2181 3 15520 1825 236 18413 5413 7 18462 581 1 7994 4105 1 926 685 1 4840 1707 1 7245 2488 1 15970 861 1 9666 6398 1 10815 893 1 1927 173 1 1092 3202 2 6135 1703 3 5809 532 1 9595 6480 1 16130 898 1 6772 214 3 1674 1416 2 12680 6374 1 5449 7955 1 2418 1561 2 3121 2912 106 13891 4009 3 17477 46 1 11613 5269 1 5854 6776 4 14900 519 1 1065 6435 1 15948 1752 2 7034 7424 1 9290 6341 1 19234 1827 11 8532 891 1 7893 1610 2 10297 512 1 2710 1768 1 15508 229 1 2598 1644 1 100 4545 1 3135 6269 1 1506 7278 3 9915 911 1 12392 520 1 1469 203 9 12412 590 2 11080 7573 13 5969 4918 1 14147 1251 1 10988 3389 1 4178 4636 20 7058 952 1 18619 219 1 12042 1726 9 4387 5003 1 18115 5737 3 305 232 3 16321 2114 1 17564 5162 2 1356 2566 2 14226 7538 2 16841 3972 1 18178 10 1 3134 314 1 18976 7719 1 9809 7643 4 18431 1695 1 8115 4059 3 12548 7752 1 12573 1825 1 14443 3957 3 17141 1635 1 633 6214 1 4030 548 1 3083 500 26 16114 514 1 7137 7495 3 17291 1282 3 13009 6537 8 8720 1761 8 15025 3247 1 1499 5701 1 11316 4992 1 10988 1248 1 14964 1768 1 19520 7556 1 6146 4706 1 7135 1737 1 11017 4764 7 672 4293 1 4665 1779 1 1969 2645 3 1904 219 9 4734 6600 1 7994 784 1 3949 6252 5 11250 207 10 5821 892 1 9512 4202 1 12320 3494 1 3589 545 1 2062 214 4 17353 1686 4 3025 3649 1 16180 2354 1 7484 3759 2 1767 88 1 11562 6135 2 18979 2727 1 14711 378 1 525 489 1 6359 3824 1 6469 3334 2 9827 2674 1 7000 877 1 10382 11 2 3606 1903 1 8408 1235 1 15881 905 1 11226 4029 2 5185 4595 3 10602 5058 1 13714 4555 2 3309 310 2 20182 2981 3 107 4773 3 7165 577 1 6109 4276 1 1975 864 1 19428 82 1 8456 8071 1 17340 340 1 6134 4020 1 11844 7216 17 6453 6252 2 12125 3616 1 4525 5379 10 6183 534 3 17184 4459 1 6200 6268 1 7517 1721 148 4678 6082 1 2559 2936 2 1133 7096 1 13040 3516 1 6997 5296 1 19649 214 4 20060 1819 1 1197 8041 6 3358 316 1 13743 5397 1 11756 1643 2 2113 214 1 4354 867 2 4257 6682 2 11904 1968 2 12921 6473 1 1435 6059 6 11694 562 1 20090 2737 1 8006 520 1 8699 7961 2 3048 650 2 7065 455 1 3285 380 1 9080 2648 1 6650 365 1 6449 222 2 17347 3610 7 15509 4221 1 3085 1277 3 6299 545 4 150 6748 1 9657 6343 1 2600 3511 5 5176 233 1 1331 1239 1 9351 7651 1 8438 1324 1 13779 615 1 18855 520 1 8125 3693 1 14425 2727 2 3269 4221 14 6553 865 1 13216 8126 12 432 1727 2 19352 382 1 3181 1568 5 11839 200 1 19267 6777 1 744 3937 1 16020 3511 6 4021 1789 1 20156 2407 1 6796 5762 2 2112 5002 1 116 792 6 2694 1275 1 18014 615 1 12476 1246 5 19786 7466 3 4163 3558 1 19953 1751 1 13017 2132 1 17393 550 2 11463 3706 1 3496 1757 1 6809 1105 6 12225 6108 10 15600 292 1 19602 3284 2 127 3782 1 3293 3471 2 5773 74 1 7135 215 1 1581 2256 1 12468 510 1 17171 1183 1 5340 215 1 8250 5441 1 16406 1156 1 3304 2963 1 17331 4998 5 835 1825 1 12574 470 4 6894 6346 3 1710 1797 5 13234 520 1 12603 3983 2 6773 4732 1 13472 7703 5 12817 1698 1 18357 1721 1 13684 1303 8 18184 3663 5 19184 411 1 605 2097 4 1043 3334 1 5142 1990 1 11746 496 4 3826 814 1 10525 2698 5 10451 367 1 8930 1819 8 17220 604 4 16366 7754 1 3048 566 1 4 139 5 712 2671 2 14639 3227 1 11859 4039 5 19972 3820 1 1667 1819 1 7455 494 1 9655 2571 2 10311 548 1 14657 975 1 18925 3208 5 3159 6363 1 527 879 1 11926 223 2 48 2448 2 17958 5379 2 20084 1734 7 4113 2522 5 3031 1235 2 13743 1369 3 2479 6077 5 5884 7232 1 4267 1762 2 9919 5292 1 6183 23 9 2024 3518 1 3589 843 1 5108 776 1 3111 4792 1 17151 5550 1 696 1705 2 7461 773 6 1289 5275 1 7017 4859 1 7997 1395 1 15763 5325 1 18265 5344 33 9279 1748 2 11846 691 1 19485 5905 2 18102 3059 2 139 6330 1 6740 5957 1 4057 850 1 62 3014 1 10327 1717 4 15318 23 1 13601 2584 1 5023 1776 2 18633 2404 2 10010 5518 2 13543 761 5 9236 2009 1 1073 6945 6 17960 523 2 11616 46 4 13156 514 1 11900 8141 5 824 1752 1 877 2126 2 5725 1907 2 171 7737 3 15128 1761 22 6617 452 1 1964 7526 2 16223 2780 1 18866 8141 13 17505 2815 2 2149 1784 2 9773 6053 1 6328 232 1 4387 4013 2 2377 7477 1 11890 1201 2 16887 1021 2 9284 1819 3 7186 3612 2 7165 7005 1 19010 4656 1 5773 4669 1 10856 1062 1 1505 903 1 14481 3338 2 14218 2262 2 10812 2065 1 1204 4258 4 9891 1781 3 10895 1721 2 19604 5440 1 387 2068 2 6513 3669 1 15339 201 2 14221 2131 2 16697 833 1 1485 7237 1 9614 23 6 5650 6897 1 2742 1712 5 14037 6719 2 10385 3221 2 8343 233 1 14834 7786 7 11687 1339 3 11072 184 5 4160 5130 1 1255 776 1 18286 165 1 15939 2085 1 14048 3354 1 3548 1264 4 7744 5260 9 5477 3489 1 8394 2010 1 4364 8029 1 2474 1877 2 7663 634 5 6240 6115 5 1423 4183 1 19005 1201 1 7509 207 47 4332 411 7 6556 7351 1 1764 4992 1 5963 4963 3 15010 4107 1 20262 4761 2 7417 1779 8 4047 853 1 11019 1695 1 12237 184 1 1606 6779 1 10187 534 2 7871 3492 2 3416 6515 1 8967 6006 1 1764 6086 2 8152 10 2 15639 1732 2 904 2981 1 14369 4933 2 7312 7703 5 4361 411 1 3581 232 5 6096 5501 1 12362 541 11 16636 6064 2 8211 215 2 6766 4862 1 91 4088 1 17518 7477 1 124 5533 2 5468 1917 1 16391 1747 1 16817 3895 6 9653 3570 1 19568 8235 1 1507 5758 1 12480 367 2 13697 1720 1 5453 1271 13 20106 1780 1 2992 905 1 40 2068 1 18314 214 1 8478 4333 1 3472 1234 1 20 1321 1 10442 4653 10 7469 2748 5 12294 518 3 138 6314 1 12645 4732 1 17968 500 51 4067 7424 1 9695 6880 2 14428 3164 8 739 525 3 3207 1686 4 4778 1610 1 18353 3233 1 19723 32 3 12343 2089 1 19136 8146 5 17132 510 1 7121 194 1 2804 167 1 17416 4333 1 2647 214 2 5879 4621 26 2386 6139 2 5023 2143 1 19504 1332 1 12364 1778 1 15608 57 3 11952 2620 1 10452 804 3 6556 4020 1 18204 1944 2 15415 7630 14 16977 1283 1 14673 7586 7 5962 3510 1 5022 7533 1 8054 6032 4 7910 2646 1 18308 3536 1 17127 3600 2 12429 219 2 16930 5299 1 6535 7018 2 3947 2686 1 13278 4923 3 8701 2297 2 13730 1732 2 18525 197 2 19272 4638 1 11488 6330 1 13111 232 3 16154 1721 1 6009 1730 3 19857 1561 8 8458 214 3 17298 2649 4 12548 3909 1 8942 2291 1 17440 2388 1 7576 5981 1 13356 6600 2 684 1772 2 15888 2639 2 4184 1758 2 9178 1760 1 5195 225 4 3797 7995 5 5205 316 9 9002 206 1 2541 535 1 19239 6487 1 6452 3427 1 14886 203 2 95 4361 2 17906 1235 1 9521 214 1 592 375 4 1259 3896 11 12757 6568 1 7034 4258 1 1964 4274 2 3395 1658 2 16301 1369 1 4500 8086 3 3571 1909 19 130 5923 1 15798 308 1 15513 495 1 11956 1275 3 19223 935 1 14906 3338 1 5843 1395 11 15318 533 1 14284 233 2 1882 1296 5 13100 2366 13 5647 3761 2 6333 4451 1 6915 3203 13 9051 1814 2 7888 5631 1 6769 3750 1 2468 6576 1 18561 7946 2 14730 3400 1 153 6864 1 4739 1728 4 1488 4086 1 7785 342 2 19601 1727 1 7560 1139 2 20252 4963 3 6587 2056 1 15724 8160 1 7231 229 1 1698 6109 6 2962 682 2 954 5413 2 8532 1238 2 17812 206 3 17902 232 1 2693 4382 7 1232 905 3 7062 219 7 16688 3512 1 1597 4453 1 10228 1207 1 6375 6780 1 4696 3357 32 555 6957 1 4716 1776 1 121 5330 6 4405 2508 3 10631 1789 1 15674 8184 2 19802 1243 3 11395 3911 13 3372 4721 1 12453 6541 1 12090 931 4 19745 1728 1 14312 231 1 8088 679 2 9883 2139 1 13071 7440 1 14770 4320 1 8082 7719 30 8614 5505 11 18171 206 1 9155 5434 1 14915 1070 2 7751 173 6 2962 3589 1 9604 3233 3 14593 6198 1 14196 218 1 9341 1116 1 6867 818 1 6945 5468 1 20126 1332 2 325 2993 1 604 3056 9 10684 4476 1 4672 2869 5 16130 3556 1 9797 4599 1 6839 1235 10 4832 1007 15 7437 381 2 18339 6252 2 9037 1333 6 5720 2058 1 14049 534 1 7369 3655 1 6099 3338 13 40 2116 1 10994 1561 1 4556 6259 3 18725 3357 1 17506 5921 1 16040 1995 2 8608 470 1 17 1086 1 16195 1827 2 5540 545 1 17918 2388 1 11853 1761 2 16271 3838 1 19720 5018 15 17591 7229 1 3358 674 1 16267 6342 5 9663 1710 1 7194 2975 1 2744 3697 6 19993 164 4 11271 2883 1 6130 329 1 8134 1705 1 7780 3592 1 18520 199 3 14335 222 2 2690 134 1 11900 5018 33 4785 723 3 7147 2953 1 7147 2746 3 5896 215 2 1271 3795 10 14472 7830 2 3755 6677 2 9137 7652 1 6028 7727 1 1395 1356 1 14200 4351 6 16773 2519 1 1604 1312 1 19401 235 2 10999 363 1 13906 3135 2 8969 719 1 14020 3833 3 6183 506 4 98 4434 2 15364 944 5 12897 3411 2 296 235 1 17157 7117 14 19205 514 3 14970 877 1 14522 828 2 62 2774 1 3327 6719 2 13031 201 5 6818 2958 1 6995 3511 1 822 95 1 16740 7316 1 9431 668 1 12670 6670 3 16592 3523 12 79 3536 1 5066 4382 5 7768 2424 1 14753 1034 3 18542 1776 2 2832 4124 1 15316 200 1 5076 1991 1 13745 2095 1 16925 2721 1 18623 1703 3 123 5362 6 4230 3855 2 1745 2663 1 10107 6581 2 17368 3987 1 4573 2422 14 8625 4166 2 6644 4343 2 7886 1236 1 16389 1037 1 12021 5299 1 9977 1752 1 11349 184 1 8475 3892 3 5848 4732 2 18852 2046 1 4371 2517 1 9865 1739 9 13649 4470 1 17290 6756 3 1774 3906 1 4410 5517 1 2237 481 1 10427 153 2 3671 336 1 9359 7204 1 17891 1719 2 19701 367 1 9546 766 1 15098 638 29 20046 6561 17 5301 2357 7 7500 6204 7 20209 1131 2 15874 5767 2 12064 1334 2 8851 1712 2 15825 2991 2 4807 3512 5 8155 6226 4 3681 1146 1 9281 5335 1 2181 2902 1 16016 4498 1 1206 535 1 9134 1903 1 13868 8139 2 15140 4636 2 2004 3511 4 11695 867 1 17058 555 1 19747 2645 3 3633 1109 4 11032 4090 1 19629 2969 14 127 564 1 14741 5037 3 17493 5309 2 4361 378 1 9155 3059 1 13097 364 2 18237 1738 1 15046 3058 2 2341 214 1 11839 223 1 12105 1251 1 13328 557 1 17343 1825 1 10440 1834 7 5806 2981 1 15364 5333 1 11545 5554 1 6867 7900 2 2332 1342 2 4309 5997 1 4190 2068 1 18792 420 1 6114 6507 2 18761 3578 3 4739 244 2 18886 834 1 1816 367 2 755 1184 1 12829 3167 1 15776 6268 1 16154 2552 1 18826 4884 1 11766 232 2 18383 244 1 9348 6204 2 12988 1698 2 1141 2343 1 18119 4280 1 11238 2737 1 10436 5414 2 1491 7267 7 11693 733 1 2007 863 1 16090 7052 1 11820 1661 1 17940 6819 4 127 796 1 18784 6048 5 10529 1184 1 8779 4313 2 259 1374 28 17774 498 5 5409 2737 2 6810 6714 3 5424 1103 1 3504 2729 1 12486 3511 1 7886 944 1 9435 3573 6 20197 1450 1 15471 568 2 799 3409 1 15391 7429 2 6603 6135 1 1647 2443 3 1284 1931 1 2308 3333 2 8225 336 1 5996 73 5 4691 190 1 19590 23 1 1566 1707 1 19520 5993 1 14683 2938 5 12410 201 19 18230 517 2 2214 2678 1 16347 5408 2 925 2949 2 15421 489 7 17084 1760 1 11663 743 25 15408 1277 1 7750 1244 1 8343 214 5 11270 2641 2 6853 4207 1 14881 936 1 16204 1399 16 1123 4063 1 7933 6602 2 3768 2698 6 6861 148 1 8539 813 2 18326 679 1 15822 2338 1 13414 1464 1 3384 1748 1 7968 3007 1 14292 952 7 15987 1356 2 15980 296 1 3106 508 1 18886 6668 1 18207 952 1 18204 1707 5 11935 6761 1 16078 6603 1 5540 510 1 9390 670 1 5385 4202 1 4147 5769 11 18721 6668 5 9605 1751 2 3247 215 5 17130 545 3 2256 3532 1 4677 421 1 16176 23 10 7347 822 1 18237 13 3 8620 2648 1 8475 4014 2 2150 225 1 16857 1717 1 13910 517 13 5264 1736 8 4250 5740 1 17062 898 1 5424 2949 2 5232 1464 1 3331 743 4 2331 214 1 4219 4935 2 14931 5905 1 9586 190 2 18408 2678 2 5380 203 1 19865 4370 1 13699 2247 1 20179 1681 6 14522 1722 3 18237 1251 4 2772 6793 2 2517 200 17 9604 184 9 17156 706 1 11230 7750 5 6492 4403 1 11404 769 2 349 2867 21 11131 2079 1 8830 225 1 163 7396 1 15850 4787 1 12889 244 1 6907 4245 1 2826 1703 1 12221 1738 1 16086 995 3 15329 5843 1 8266 2581 1 12422 2938 1 6867 2821 1 16063 252 5 13957 2363 5 1062 4961 11 13084 184 1 8515 1829 21 16643 673 1 8604 215 1 4331 2146 8 4684 222 4 1666 8188 32 6314 3724 1 11591 186 1 201 1356 2 6313 3631 6 6332 561 1 13829 518 1 9859 534 2 4617 842 1 13 930 2 10654 3919 1 665 471 3 13490 436 1 2214 23 9 9674 2729 1 3887 6510 1 5738 7218 2 8198 6500 1 13174 1979 2 16488 1324 2 10707 6014 1 4735 3313 104 1650 7859 1 11738 190 1 279 7829 1 108 687 1 12679 7848 1 5445 514 2 7765 1879 1 13799 496 1 15683 708 1 5843 1772 2 18781 4075 1 711 1238 1 18697 676 1 14619 6952 1 16861 4470 1 10959 4992 1 2980 3128 1 2758 6152 6 7147 1529 1 19019 3886 5 19822 3972 5 14114 1338 1 5979 6342 1 1007 628 6 7452 6517 1 2803 3819 2 6183 1378 1 1150 416 1 1677 3109 1 7609 1721 5 20275 1756 1 3061 1146 6 1016 962 1 8137 1245 3 2884 7082 3 10997 366 1 14333 5069 1 8582 3540 1 9656 7576 1 349 770 15 16925 942 1 7059 2691 1 8525 6228 5 17135 1778 1 7879 3421 1 17160 1146 1 12633 545 1 10516 1679 1 8052 1191 5 19912 7846 1 3972 5521 2 11200 201 4 5709 3331 1 8965 2678 1 3395 8122 1 2844 1046 2 74 3440 1 11270 4203 2 7760 1261 39 6686 6052 1 16491 1304 4 18667 1729 1 10960 2964 1 156 7161 41 4332 1829 5 16137 5690 1 7824 5523 1 17662 1248 3 7010 8235 2 6711 3411 1 3258 2959 9 15272 883 1 5875 4455 1 17734 4242 6 14055 1932 1 6402 37 1 1489 1730 3 18882 6500 1 15980 6140 1 745 367 1 1907 914 5 12777 3005 1 17384 235 6 6532 2588 1 11266 1259 1 1618 2251 1 10733 2512 1 1531 1037 1 15773 4293 5 7493 7461 1 16301 398 2 10975 7484 1 19590 1342 1 2386 2407 1 3697 5362 1 7769 1751 3 5823 1748 1 15468 2366 1 4196 525 1 3289 473 1 17846 4403 1 7006 3048 5 4403 5439 2 1185 2673 1 9402 8026 6 18807 569 1 1457 574 1 14827 1734 8 15289 4295 1 14443 3206 1 9875 532 5 6579 320 1 15537 947 1 3123 2889 5 15538 2680 1 6650 3293 2 11276 8183 5 17367 3070 1 4337 3887 6 12884 4930 1 1443 2962 1 15448 7746 12 11656 2508 1 3804 5945 1 18546 2727 1 12593 1732 3 13970 3937 1 15429 5137 1 16594 4540 4 16564 620 1 16378 3911 2 1504 1748 1 9921 2849 1 11781 3653 2 8406 863 1 2345 1732 6 14645 7182 2 12104 6398 2 1141 1374 1 19325 100 1 1864 6487 2 17540 1734 2 18657 5321 1 3663 5282 1 17597 1719 2 17634 7454 2 16860 5251 1 348 4807 7 8217 3511 6 14778 1819 2 6563 3361 1 3900 409 2 16980 3799 1 18815 1251 1 7917 1251 1 12601 5576 1 7179 670 2 4492 5758 12 12854 8139 3 6570 3431 5 5132 2331 1 17326 1737 3 10657 4662 3 15549 889 2 15630 1990 1 19387 1395 2 19666 2555 2 11863 136 1 14949 1819 1 15709 6793 2 14114 1426 1 1935 1122 1 20086 1656 1 4821 3464 4 1665 2889 1 13461 4403 1 7886 1821 14 14387 214 4 7858 1897 1 2674 1443 1 14237 3347 29 10381 7850 1 611 52 1 1066 1685 1 19026 1717 1 496 173 1 9891 1743 2 11215 7740 1 14377 6644 2 18289 236 23 5510 219 2 17275 5972 1 5840 2626 3 13083 7398 23 12040 3511 1 18056 3747 3 9245 883 1 7980 1707 1 18524 2369 1 15462 4529 1 16664 3511 2 18174 947 26 6642 2636 1 13 892 3 3189 1147 1 3094 1887 1 12152 1819 2 10911 895 1 9432 704 1 4309 1825 5 13369 2363 1 5877 190 41 15471 773 2 13216 4945 12 15098 1238 44 11639 397 9 18973 1359 14 4593 798 1 850 1703 14 18797 777 1 10013 3911 3 13650 2964 1 6690 696 7 20041 3492 1 10290 1184 1 18118 235 1 11786 3548 1 8687 221 1 8198 3974 1 2443 8060 1 15529 2076 1 17416 4460 1 11363 225 1 16083 214 2 98 4448 1 1575 514 2 5765 3509 1 19022 203 62 1251 2584 3 8004 6880 24 11708 823 1 19724 545 4 15685 4949 1 11270 379 1 19557 1705 6 698 2698 1 13267 3085 11 12231 794 1 6510 3366 22 14270 1743 1 11288 4489 1 11687 3525 4 906 3081 3 18258 5150 11 12895 2087 4 11935 1757 3 9894 597 2 6907 1116 1 4305 141 1 544 167 1 9760 4435 3 5152 7823 1 12053 524 1 14900 1748 1 3031 2678 1 13806 841 1 19957 708 5 17703 242 1 8269 812 1 4631 1714 3 10601 3900 1 11502 141 1 6896 3009 4 17182 719 1 13899 6053 15 17682 532 1 5031 6874 2 12638 5425 3 7850 4559 4 35 1960 1 19957 5513 1 14434 1760 2 16895 1825 68 12054 1170 1 143 5395 6 1570 214 4 10404 2089 1 4553 1657 2 11458 2432 1 11882 1042 1 6947 1417 5 9719 2698 2 479 1909 1 10565 5301 1 3287 573 1 14380 7318 1 18115 199 1 16921 220 1 2509 4283 1 4446 3987 1 10543 957 2 7072 162 1 11531 5596 3 9688 5559 2 16055 336 6 563 347 4 13581 5302 5 11057 1977 1 5380 2363 3 246 5005 4 3109 7857 2 10592 214 1 14853 1698 3 15376 524 17 11645 3679 1 4453 1649 1 15313 1015 2 17382 1728 3 3189 3535 2 16767 786 1 604 339 1 14798 5922 1 5252 497 1 8384 1251 2 9456 4949 5 8362 1760 2 4483 74 1 1633 2648 2 18696 4816 1 3471 6721 1 20 668 1 18511 916 1 18946 215 1 16593 2012 1 12826 6487 1 14005 3079 1 8909 6710 1 7404 220 3 1999 659 16 2984 3070 1 3571 2247 1 19995 794 1 5646 4534 1 17491 1724 1 8597 5187 2 15619 232 5 10342 1209 1 1853 8016 1 2486 4041 1 4376 1222 1 8450 1827 11 4178 23 1 8552 2671 1 8250 6979 1 15368 4528 2 15065 541 1 20071 4976 1 13477 2340 1 12 515 2 314 6053 1 15426 5674 1 7857 184 1 2827 7462 1 12571 252 1 4960 7672 2 16960 2592 1 464 2708 3 11367 2396 1 3310 1295 4 5568 3114 2 16036 1245 4 11999 7643 1 4859 236 1 5255 200 7 16643 8000 1 9562 8200 1 18580 7491 2 11747 867 4 4156 1271 1 1155 4489 1 8662 2673 1 18263 7167 1 3466 6673 1 14896 1747 1 15924 4789 5 195 1395 2 15269 5491 3 7975 1827 5 8189 5453 1 19115 5531 1 15959 203 2 8787 3399 1 5659 7125 3 16020 225 1 7760 6068 2 15683 471 3 17560 841 1 18821 7022 5 13730 6610 1 5271 1901 2 14610 1747 8 15098 3081 73 18147 167 1 13758 2083 1 6244 7815 2 20212 200 5 17645 3416 2 13909 5488 1 16645 2815 1 18344 867 1 5075 10 1 4174 6640 1 13277 4016 3 10382 1052 2 3307 3138 2 4376 7772 1 13105 1350 3 135 6125 1 12163 3511 1 1053 867 2 11979 3242 3 16894 974 2 12112 2056 2 8599 4724 27 10224 1912 1 786 6179 10 16109 214 11 12332 1150 2 13347 3540 3 10202 8182 3 8101 7167 2 11629 868 1 12464 1743 3 2103 1062 2 14549 3747 2 1028 4567 2 509 1932 2 16881 7928 3 8528 1764 1 5822 510 1 7065 4831 1 4379 899 1 9672 6793 10 18366 437 1 12345 4314 6 14517 5517 2 174 7893 1 2421 6845 1 6683 859 4 5515 2632 1 9750 1922 15 14174 3085 1 4234 2897 1 6634 4723 6 19848 258 1 20 1245 1 8751 5440 1 6556 4609 1 9287 1469 1 14970 186 1 5905 1764 1 5663 1302 1 12959 1772 5 13433 833 5 1435 6046 1 10883 219 2 1022 2678 1 2951 23 1 12085 2591 2 14602 6874 1 7592 235 1 3376 1146 5 10019 505 22 11520 7237 1 1004 4986 1 19033 257 5 6781 1271 1 8004 541 12 18797 225 3 1 78 1 16636 7008 1 130 5809 1 17189 1768 3 12864 5392 1 3195 3726 1 7823 2129 4 17587 221 3 6352 1721 1 6056 506 1 10534 74 1 888 433 3 11999 4016 4 6048 8141 3 1011 1374 1 13494 4632 1 124 5560 1 16412 1374 19 838 1236 3 6501 1416 1 5252 1719 1 9168 1339 1 17917 7510 2 5837 7651 1 10653 4206 2 16731 5758 2 11832 1991 1 8159 643 1 16137 7929 1 14564 3563 5 1663 4998 6 6724 5026 1 19486 169 5 10709 5107 46 11211 7719 19 18254 2878 8 17034 3592 18 9596 2511 1 1801 1055 1 1568 1649 1 17285 233 1 14807 5975 1 15888 4557 1 4089 6868 3 1263 545 3 11131 3021 1 12821 201 9 12320 3931 1 12292 7457 1 2239 1871 1 1789 2022 1 3233 7594 2 16447 1681 12 15192 820 1 4779 5538 2 18237 1482 2 15175 4011 4 17088 1714 1 19317 1764 3 2027 1727 1 130 5947 1 15075 756 1 19517 4085 1 13402 6050 1 17753 910 1 20224 4816 1 2143 1756 1 15321 412 1 1754 7586 1 14089 4047 2 10242 3485 1 12895 6338 1 8068 6025 1 631 1775 1 7832 1251 2 17420 293 1 17730 1234 1 3981 1573 17 19645 1253 2 2480 7259 2 19171 368 5 6738 4367 1 5294 201 13 110 5004 1 18807 236 1 17340 1249 1 14001 1737 1 126 5713 2 6966 3627 1 5425 1717 22 14845 244 2 17708 1043 1 1555 3800 1 16474 3898 1 3841 2653 1 978 2938 1 15832 1781 1 2923 3255 3 19822 1234 4 13480 7807 1 9068 4653 1 15858 6697 1 13676 206 3 12728 1995 5 11513 6139 1 4309 2409 1 19243 2889 1 14642 1770 1 10540 331 1 7786 6091 1 3714 3171 1 384 5036 9 13224 5353 1 8080 2447 1 16328 23 1 723 2369 1 11430 4992 1 13320 199 1 11349 1275 6 4111 3471 1 11903 207 1 14658 4435 2 51 2521 2 17066 411 1 13299 1062 1 16327 1825 6 19089 1235 2 14738 7901 4 8391 732 1 11349 23 12 3406 1043 1 9805 7603 1 18637 714 1 1232 845 2 13122 5384 1 18989 871 1 2994 2337 1 2560 2560 3 7184 1761 1 11446 7013 1 10239 4995 5 7948 207 2 3521 4959 1 6801 4489 1 18543 539 2 19688 2682 1 11044 4508 2 11134 3721 1 8460 2063 1 11709 5061 9 2308 1395 1 3116 7073 1 13601 5516 1 19282 6288 2 11569 7532 1 14250 1661 9 6687 2058 3 2141 219 5 14673 295 1 19868 1955 1 9035 23 1 10213 1752 8 9638 6633 5 730 4508 3 6922 7857 4 7526 2993 1 18200 6131 2 12800 6225 1 1296 5584 1 3248 1342 2 2019 7508 1 11493 1244 4 5515 1973 3 14534 6797 1 12994 1819 3 108 4827 1 14893 1751 1 10570 5018 1 1549 7240 2 13097 229 6 19225 514 4 15969 4290 4 8171 1248 12 623 201 22 1712 4877 1 3381 3785 1 9017 891 4 17330 5997 1 6526 3676 1 435 8192 5 2611 4064 3 1455 470 1 10554 4342 1 16029 2010 1 17615 6039 10 420 3227 8 3045 1464 9 5100 6152 1 8760 2521 1 15726 4987 4 16914 1732 1 16090 2468 1 17403 404 1 6538 5049 1 8254 236 1 3189 7901 1 11845 4563 4 2308 232 2 4092 1244 3 9639 1607 2 19604 3268 1 5015 3228 2 8371 1104 4 16494 505 3 818 874 1 15203 1243 1 3504 3954 3 18705 501 1 8211 1681 21 11342 1245 5 10203 1662 1 10611 4351 3 15852 4428 3 10911 944 7 679 1304 3 12680 826 2 18140 74 11 7590 207 1 2087 7517 1 6630 7618 1 16221 7204 1 4718 1692 4 1530 3511 2 17454 1700 1 407 3490 2 16080 470 1 13777 229 2 11158 457 2 7993 23 2 12057 1784 2 19544 4092 4 501 4986 9 6776 5291 4 10152 2889 1 12686 2552 1 17066 390 1 18939 207 1 7256 1825 2 1059 1613 5 1828 2043 1 15507 1903 8 9778 3807 1 17746 929 1 11530 4803 9 5996 1342 1 18871 508 1 8223 1032 2 5871 2683 1 935 1705 6 2030 1417 1 11591 1703 2 7154 6321 1 17555 496 5 14035 6667 1 13201 201 1 14663 1785 1 6538 1756 1 4880 816 1 9589 23 5 16063 5243 1 857 4023 1 8716 3020 2 3718 2352 7 4769 3973 1 13817 215 1 10498 4283 1 8313 918 1 6838 836 1 8644 6231 6 13997 627 1 14564 1747 2 14757 1224 1 15707 2555 3 20154 2360 4 7800 3970 1 13097 470 1 12888 1247 1 20278 5922 7 8341 2423 1 14091 235 1 5499 6226 1 4451 834 1 19334 7542 3 9649 1921 4 10429 1277 1 8202 525 1 17169 1235 1 3606 534 1 5738 2936 1 13993 411 1 15676 7178 1 2152 5325 2 20090 360 1 18717 826 2 13666 4022 2 14871 3011 1 1835 1731 5 17547 5997 2 1325 1755 1 12837 1990 10 2045 244 2 6570 1018 1 12766 357 1 108 4872 1 8327 7853 1 124 5530 1 17637 4065 6 10224 201 4 1479 3202 1 19382 7554 4 6801 3827 7 15878 5820 1 2374 8184 1 7075 291 11 5049 1149 1 4185 4024 1 8192 1748 1 2341 496 1 3790 2671 4 19069 2560 1 6256 5513 5 16604 2675 5 10300 1825 1 14672 207 3 19487 498 6 14275 4998 2 19222 2179 5 13624 2539 5 16102 910 4 11798 229 1 15009 6099 4 8995 1444 3 10264 4298 1 20128 2298 1 7348 5962 4 13680 2539 9 1825 167 17 9733 1719 7 5246 6252 7 8223 609 1 18899 7245 4 19722 3992 1 17753 520 1 10122 5319 1 13880 3557 1 16894 2980 7 62 1819 2 3550 1836 1 18382 5256 2 3376 7538 1 17075 1564 1 13257 4609 1 7180 4380 5 14091 1252 1 14700 929 1 16051 2291 1 7787 6067 1 5372 3399 2 11458 7646 6 13781 554 1 18797 214 2 6749 6907 2 330 629 1 20032 828 1 2850 1827 2 13744 8139 3 17331 4618 1 9199 2368 1 18508 1308 1 5745 1571 10 2811 3907 2 2935 6199 3 10355 1739 2 18916 7560 11 5773 4557 5 2345 6713 22 6772 200 1 7867 187 1 18142 3729 2 14065 1643 2 1884 4992 3 1 54 1 1316 2100 2 4610 5276 3 1145 7765 3 18082 85 5 11882 1239 1 18968 3971 2 14011 863 2 819 3851 1 11889 3748 3 9925 232 1 12686 4606 1 3953 2392 1 17824 3556 1 1949 3556 2 14326 7853 1 9663 2262 1 20101 2678 1 6021 4447 2 7933 4435 1 17268 7788 1 20114 827 1 10362 1150 1 10121 244 2 15263 1151 1 4016 3540 2 19988 3057 2 13042 2228 1 7411 1675 3 17383 1421 2 16567 1710 1 12935 3647 1 14769 4266 1 4570 514 1 12731 1686 1 18557 4603 1 13557 4355 2 19160 7619 1 13445 1275 2 9168 1731 1 7899 13 2 5313 6257 5 9810 1190 2 3505 1707 2 13893 4409 1 1743 494 29 10741 2256 3 19822 1495 1 16089 215 3 16802 6754 1 2386 6529 1 11634 1916 1 15003 188 5 13095 7162 2 6055 1247 1 9725 400 1 7769 1146 1 17662 2352 1 1171 496 2 1590 6912 1 1935 5738 2 10256 8194 1 3974 2675 35 11827 6285 1 105 4697 1 2566 1949 1 10499 2027 3 712 4105 1 9303 3233 2 7920 203 10 4161 3314 1 9429 8141 1 9651 5903 5 15549 2522 5 11349 1450 1 5963 891 5 10879 1748 1 10000 1629 1 16773 1443 1 5113 3590 1 15811 525 1 19538 1241 2 7496 7243 1 19919 2960 1 18671 1395 5 16626 363 1 20261 3520 1 18671 6278 6 13647 70 6 6551 4563 4 1962 4841 1 4902 187 1 11388 7494 1 5785 2671 4 9736 6710 17 14778 510 1 14842 2680 3 6164 368 1 20204 5494 14 14722 1731 3 739 532 3 15150 1275 1 12054 2737 6 16161 186 4 6481 175 7 10499 214 1 3963 859 1 10337 1062 1 6969 2276 1 1837 6620 1 13878 4711 1 3250 5618 1 4382 1482 1 9741 385 1 7449 7213 3 417 2056 1 3747 1703 2 11663 3743 27 2323 7199 1 11736 6517 1 7455 4022 2 3985 7 9 2966 541 1 9816 1990 1 5060 1631 2 8408 1243 1 3533 8030 1 3973 552 2 15429 200 1 2116 2534 1 16604 498 1 2902 508 1 12513 3230 1 10490 5858 1 8751 5924 1 14376 134 1 317 6697 1 236 6237 1 9604 1814 2 19990 4102 1 18841 2699 2 17406 637 1 17935 3787 10 11331 1582 2 12593 3519 3 17297 1812 1 14221 1374 1 9701 646 1 16916 723 1 9832 1383 1 12954 1738 1 1498 807 3 14738 2772 1 3173 4060 1 19848 498 2 17298 1238 1 18651 523 2 16777 1917 13 16029 3353 4 17505 23 1 7286 3666 3 2286 1784 2 174 7888 1 20180 5903 4 3190 1613 2 8767 2106 1 2087 1537 2 17764 219 7 3792 910 1 18604 518 1 4389 1242 2 7632 5408 1 869 4293 6 7439 3485 1 13699 3333 1 1491 539 1 11606 479 1 17892 5221 2 15852 4723 11 1801 1239 1 9508 5326 1 19930 7809 1 16340 6343 1 15486 1758 2 17880 244 2 17544 524 3 15870 2737 2 3207 3625 1 7719 4585 1 10590 3368 1 8134 849 1 2149 4979 1 5854 5969 1 8153 46 22 11938 1341 1 8537 2981 1 334 1230 7 712 514 2 9767 578 2 1198 1334 3 6518 3547 1 11279 1731 12 5623 6539 1 4273 6618 1 12763 215 2 16881 341 2 12363 336 1 5773 4501 4 7211 2512 1 8969 2727 2 6125 1241 1 10423 3049 2 1225 162 1 809 1296 3 2013 2271 1 16805 1825 2 1062 3811 1 5464 541 1 12551 1464 1 4137 5285 2 6325 1251 9 7823 3954 1 14322 223 1 12077 506 17 11545 5496 1 7326 6204 5 13103 1730 4 4824 10 1 12532 3840 4 1143 1781 11 16569 4459 4 16789 7815 1 10678 7440 2 6031 810 1 9449 1751 1 19881 4344 4 5939 7601 1 18809 320 2 9154 6170 10 14087 5983 1 13250 1819 1 4570 1450 1 9052 5674 1 14395 8022 1 12853 2617 1 8831 1186 1 1292 1131 5 17821 367 1 15870 2743 2 19341 4761 1 20209 4156 2 14686 1643 2 18465 1686 1 17185 4389 1 3239 887 1 9322 605 1 6458 4044 3 3419 6346 5 100 4555 1 15596 2683 1 4265 4333 1 14722 1783 1 6746 81 1 19503 1103 1 19512 891 1 19524 1277 1 8300 500 1 8004 2722 1 13925 8071 1 16819 621 1 13144 5447 18 6570 8251 1 7509 1731 1 6387 1277 1 9935 2424 5 18258 6652 4 5468 3372 3 8328 4479 1 384 1466 8 12764 224 1 9778 3006 1 20170 1695 1 12851 1713 1 9695 7166 5 9279 498 5 2657 7621 9 10599 74 1 19326 1247 1 16279 1740 1 16832 207 1 6143 7222 2 13807 1243 1 18876 5298 2 16491 5862 1 8530 3068 2 6091 2653 1 11161 3059 5 14342 2343 5 16136 1747 2 16063 307 1 16645 2058 1 9776 2626 7 15535 1781 1 7545 8184 2 10079 5104 2 9589 6031 3 17472 7621 1 2598 514 1 11065 1738 3 14522 5996 1 239 4606 2 18320 724 1 2936 3744 1 10382 379 1 8728 656 1 19759 407 4 10189 8203 15 15537 751 2 14667 201 4 1821 4031 2 11312 2459 1 10553 458 12 19008 7719 1 170 526 7 9663 1342 2 17091 1363 1 9251 1888 1 6912 6330 1 9910 4403 3 9364 2349 3 13183 6515 5 16668 519 1 277 6697 1 1389 7809 2 17197 8203 1 16476 691 1 12397 1751 1 1948 2727 8 1986 4794 1 3557 3637 7 13195 6561 4 16018 2499 1 2197 136 1 1 35 1 2046 7705 1 4429 6665 1 3630 1277 1 16249 608 1 6867 710 1 18805 776 18 6183 4992 3 10570 3911 1 6145 7964 2 13349 316 1 9593 7345 1 15599 2154 1 15978 3511 2 11202 8075 2 8193 6897 2 16600 893 1 17255 874 5 542 4207 1 10617 1772 1 2274 4206 1 8092 256 1 16111 6751 15 12371 2487 2 16346 6687 5 18635 6914 2 8458 411 7 8756 506 1 6370 8048 1 17995 3799 9 4294 6533 1 19110 339 1 9347 2749 1 5110 7616 1 9808 5446 1 18536 4120 1 8317 1718 1 14773 236 2 16611 201 1 15943 6945 1 4020 4314 17 18814 229 1 7721 252 1 20215 205 1 3137 6683 1 8343 3811 6 8933 2648 3 13237 4056 5 65 3141 1 3892 8241 1 17169 1814 2 10592 34 1 15748 2675 1 13799 1721 1 16770 2266 1 11072 534 2 7750 201 3 19026 8141 15 19729 1710 4 11483 3276 1 10668 5325 3 20009 1687 1 7382 2992 6 4963 497 1 17264 5007 1 19406 232 2 5668 7525 1 17208 477 1 10052 8079 10 16068 5252 1 384 38 4 12055 540 1 20174 524 1 7837 5328 2 14095 720 1 19932 2574 3 10824 533 2 1666 6152 6 11202 3783 1 2917 1703 1 8342 1176 1 9444 2355 1 11804 1453 1 991 1482 1 10218 8060 1 6123 3511 5 1506 1184 1 40 2115 1 4763 496 1 15819 1752 1 15368 559 1 349 803 4 7995 867 4 9504 2580 1 18688 6983 5 19246 6238 1 797 3070 1 12052 2352 3 16925 2497 2 62 2826 1 5549 1760 1 2980 749 1 4376 1239 6 18790 630 1 952 1236 1 19562 2206 3 7672 203 6 1130 837 1 6404 545 1 2795 201 3 17507 8146 2 6258 3635 1 4913 2132 2 5789 1721 1 540 229 20 16539 2356 3 12603 8139 1 2024 5391 1 19115 7397 32 787 1359 10 12984 1729 1 3852 1560 2 9604 1827 1 5892 4615 7 12501 190 1 15400 3921 3 3003 196 3 6591 6334 1 2956 223 5 1565 6234 1 7151 2386 1 2116 7719 1 6437 1342 4 535 5114 2 17428 6252 1 19745 1383 1 10703 1249 8 19852 748 2 6269 4779 1 10119 1304 3 904 1284 1 20180 962 1 3695 541 2 10470 533 1 19720 4436 10 8943 4407 1 9672 7530 3 2911 331 3 6076 1183 1 3118 2981 1 153 911 3 3334 4467 1 130 5960 1 14836 1658 1 8119 520 4 12014 1783 1 6773 3256 3 10201 6675 1 5601 3477 3 17850 184 1 16668 7412 1 18329 3230 7 2886 2208 1 16655 6039 3 11147 2560 16 19380 3705 1 14527 2675 1 19606 1251 1 9566 1242 1 3967 1986 9 17307 6845 1 32 1798 1 14301 4676 1 20180 603 1 4941 3952 3 4427 1726 1 1718 207 7 1194 7291 1 3484 2444 13 6130 734 1 19861 4842 1 18872 1307 1 4417 1748 1 14284 237 1 868 1363 1 14211 193 5 19796 173 1 1782 590 1 18748 1369 3 8478 4649 1 10312 1244 1 201 235 3 3608 200 4 15572 215 2 1908 8184 1 4942 3233 18 1029 1755 1 5258 5219 2 7498 1395 3 3308 1294 6 6749 7046 1 15041 519 1 1454 4731 1 11144 200 1 18582 1548 2 1587 789 1 1206 5165 2 5044 2584 1 8189 5477 1 8495 156 13 15923 506 1 806 4952 1 14253 5036 1 18540 5522 2 13972 4653 3 2560 2662 41 4263 3238 1 18045 2097 1 5246 227 2 886 3399 1 13919 570 1 723 404 1 8649 1881 1 19872 4301 1 17983 1727 2 8050 203 3 2634 2737 4 14513 5251 1 12971 3992 3 17066 201 3 2915 1717 1 133 6015 7 17413 6408 1 15155 4069 1 18852 7229 1 11952 1728 1 15689 184 1 10119 4505 2 14522 3333 1 19115 1573 2 10782 6777 1 17416 4459 3 56 203 2 2450 709 1 2783 2678 4 616 1193 2 4452 6022 11 3 131 2 4553 5725 1 6689 5390 5 11161 74 1 8198 3802 1 13872 534 1 11615 844 1 15712 1726 1 8767 2009 2 12819 4245 1 9725 4282 1 17965 912 1 11299 3175 1 2637 3600 2 1845 3563 1 16997 225 1 5195 6938 1 12373 1172 1 9017 201 1 13358 1784 1 16834 2363 1 49 2472 1 10595 1719 1 10553 3419 1 11344 8060 3 8260 6341 1 6983 3634 1 3665 2065 1 18183 219 1 3540 1573 13 1417 1727 1 15662 5018 1 11329 4245 3 13077 910 2 19326 512 1 6773 1761 1 12493 645 1 1706 3661 1 2833 3072 1 10256 223 4 13384 1277 1 11417 6084 3 18040 155 8 3755 1819 7 9552 303 1 15408 5758 1 12150 215 12 12112 4227 1 17491 1760 1 9194 7237 1 12576 1827 1 1206 2800 1 9610 867 12 13735 910 1 6152 2522 1 5010 5130 7 4161 224 1 13290 1698 1 7670 4007 6 9898 1351 1 18797 252 1 17803 7476 2 12459 1244 13 15314 4620 1 19415 1676 45 11111 221 3 14803 1247 2 3701 1968 2 18487 759 13 19350 5516 1 14102 1695 1 2866 1482 1 330 7419 1 5717 207 2 15154 3483 19 13102 365 1 4386 2449 1 2473 1277 2 5685 470 1 17886 799 1 14836 1238 1 17652 214 1 9816 420 2 7000 2129 1 2404 1239 1 8868 4814 1 8925 6363 1 124 5543 2 4634 877 3 13546 7895 7 15300 5559 3 17571 1342 1 8051 6024 2 7498 4616 5 14305 567 3 16592 2522 1 9666 375 3 17686 4383 1 7480 5738 1 4581 8139 1 14522 8184 1 11385 6633 1 349 5310 1 4940 4601 23 3046 4936 5 19597 2998 1 17120 3751 1 11230 2376 1 19438 4435 1 11220 7824 1 6211 1775 1 20090 452 1 14484 203 8 11581 1246 1 3629 374 1 13957 219 1 5821 728 12 19489 1705 1 691 219 1 15567 4010 1 6503 936 3 7904 329 1 18066 421 1 2980 5961 1 17298 303 6 6010 5962 5 1609 431 1 3841 3872 1 13490 3808 2 9422 1781 1 16765 8054 1 2375 46 5 16467 8141 3 4500 1245 2 4482 2681 1 9919 2415 1 143 6679 1 9586 7235 5 15712 1677 2 12299 2352 1 6158 1275 1 10245 7216 3 1273 7962 2 4546 545 1 9784 1395 1 182 1531 11 15270 4929 1 9055 3851 1 16179 2292 12 12894 200 6 7682 1277 1 14875 2671 16 11901 1035 1 7568 8071 2 11616 3403 3 5510 223 2 15637 1895 1 6770 5567 1 14881 3298 2 17003 420 1 4106 4619 1 19537 203 1 16908 4949 2 3085 1531 1 2747 5428 4 10233 3840 2 2676 7424 1 48 2419 2 18140 3060 12 76 3501 15 7008 2030 2 611 4606 3 5556 751 1 3636 3660 11 224 4435 1 11430 1248 1 3550 741 1 10027 6957 4 4879 1383 1 14293 1715 1 6240 1146 1 19910 3621 2 4539 1184 1 6681 1484 1 11798 4325 1 2156 3483 1 11072 3556 2 11392 1889 1 9947 8026 4 13209 1815 1 13919 3799 1 993 229 1 15184 4015 6 11418 3059 1 12361 1304 6 11786 1921 2 18821 2514 1 6244 1395 1 12817 1322 3 19982 2265 1 13773 7258 3 20119 5922 1 4309 34 1 4428 1719 1 7412 2488 2 3188 5408 2 16887 1166 1 4705 3856 1 15107 219 6 19949 3775 3 19401 156 1 2738 5276 1 7750 2241 1 7969 8174 1 175 1741 1 16270 670 1 3878 2255 2 18180 6534 3 12895 3904 16 2777 1819 2 547 6549 1 832 4274 5 10354 214 1 6142 1778 17 18666 5083 1 3765 5477 1 17548 817 1 9384 4293 1 17555 6442 7 19960 1249 4 10179 6481 1 11968 4009 1 19218 2385 1 10883 829 1 15104 2653 4 15635 3216 1 16815 667 1 19344 506 4 11199 3556 13 17609 1818 1 19241 740 1 10771 4508 3 56 2256 2 19286 1779 1 14146 4435 1 4939 1502 2 20225 604 1 3181 3907 1 4049 4135 3 13520 374 57 2143 224 1 14296 6435 25 11504 484 1 143 6675 1 153 6922 3 11014 244 1 7020 7184 1 18625 7672 1 11108 2958 1 19812 6325 1 6598 1275 2 17257 4008 1 126 5608 2 12406 5277 2 11663 215 1 630 6596 1 92 4167 15 2777 207 7 18853 2992 1 8506 2280 4 1150 5297 1 14542 2608 3 11766 74 1 9399 4623 3 6876 184 1 7476 870 1 16008 7117 2 13002 6242 1 5826 7542 1 4545 6570 1 6805 3318 1 8939 196 1 15700 545 1 6450 3324 2 2505 8091 2 1054 3558 1 19850 863 1 4525 6091 1 4941 3984 3 12779 1252 13 6675 169 1 17652 510 1 7728 84 3 7969 2724 1 9525 1357 1 8291 1251 5 591 7225 10 2410 1287 2 1220 3916 1 18420 3511 6 10766 2896 1 15272 187 1 3152 7933 5 10896 1996 3 19089 235 1 17755 5413 1 4524 5559 2 10448 520 3 12169 4825 1 2584 3715 1 1900 4389 1 6152 689 1 8614 5423 1 18215 1717 2 18386 752 1 12819 2708 22 5898 3748 1 15208 1707 1 9724 1686 1 20114 2722 1 11678 7576 5 3867 2728 1 349 126 4 19032 2682 4 7536 5408 1 6564 6659 1 1498 610 1 12873 6723 6 8532 411 2 11411 2488 2 8167 1357 3 6519 7521 2 14988 4597 1 1551 510 2 18332 506 1 3344 8117 1 8223 404 3 873 6968 1 18536 3754 1 16531 4954 1 4403 7167 3 2907 3408 1 9793 1740 2 18720 5814 1 8636 2542 1 16020 1758 1 9200 891 1 13758 4404 2 18465 2316 4 15682 2508 5 16491 2488 1 259 7235 1 11011 7148 1 18523 5740 1 17434 235 8 71 3326 2 15926 8145 17 6512 5902 1 19856 4811 9 5515 1814 1 2699 1264 1 14483 7261 1 5844 4086 1 8408 1827 6 4811 3176 1 12431 4245 1 15209 4435 1 10147 196 1 11428 3650 4 16385 1341 1 5409 6066 5 15547 203 12 16787 498 8 12783 6341 1 13235 203 42 10609 23 4 9865 1781 10 15779 304 16 4536 7117 2 7065 2502 3 6598 1482 6 16421 2727 1 9276 2352 8 56 244 1 6460 6583 3 3827 190 1 747 1723 4 8719 1277 1 5769 1659 1 12149 4013 7 10224 6701 5 7560 7402 6 1931 1320 1 18391 3920 2 11850 2480 5 14278 2068 1 5243 6053 24 6744 6088 1 3703 3679 3 6690 2661 1 11968 463 1 8269 600 1 1229 2097 1 13115 3669 7 12949 6488 2 16615 1721 2 18108 2955 1 6492 3333 1 17463 631 1 10 315 1 15383 4538 1 16036 2484 6 17825 336 3 16036 4407 2 11890 206 3 8332 501 1 6364 514 1 6183 1784 2 20106 5246 2 18681 7642 1 9402 6105 4 659 200 7 7750 1707 1 3843 303 15 14825 8224 1 1977 7850 1 15507 23 2 17788 4280 2 1262 1995 2 4006 1739 1 11967 470 1 19912 1363 3 11377 5488 6 7362 3230 3 15932 8157 1 7197 3087 33 124 5557 1 12800 6229 2 1631 184 4 11306 141 1 16727 1146 17 19090 2513 1 10119 514 1 16378 186 1 1831 4009 1 6376 7642 1 2384 6541 1 6102 2970 25 16020 1755 1 17459 4435 1 8978 7698 1 14836 1740 2 6990 1248 3 12677 3404 3 11432 7907 1 5495 2990 1 7461 3454 2 7577 6084 4 15703 1464 1 5017 7597 1 19862 2675 5 15856 1078 3 15091 4779 3 8843 2614 1 14468 4459 1 18262 1703 2 259 7224 5 12972 380 1 19500 1761 1 6478 524 2 14011 230 2 14323 7829 1 13586 5046 2 2526 5618 2 10933 506 2 16058 4342 1 11497 2614 1 12688 6032 1 14837 1728 1 14894 659 13 8815 532 1 1552 1781 4 3530 8002 1 470 7510 2 5884 638 6 7059 4929 1 11818 4615 2 15534 470 1 9773 244 1 9580 203 1 14726 1991 2 3472 173 1 18081 2269 2 2970 4963 1 13183 928 1 11147 498 1 6783 6106 4 237 1036 6 627 2575 10 861 341 1 2738 6064 1 2704 6561 1 15561 3868 1 11168 1276 1 18080 201 1 4092 502 14 13705 4992 1 4615 1374 2 15074 5986 1 8635 23 2 19239 6618 6 9791 206 1 13721 1729 1 12638 231 21 6564 1917 1 18576 358 1 15098 1727 1 10557 3334 1 18693 4408 5 3051 5060 1 16299 3819 1 11925 4296 5 4310 1721 1 17850 7091 1 12149 156 1 2308 4599 1 184 5245 1 2021 1740 1 10374 5636 2 14746 4597 2 5097 1768 6 8012 3511 1 15151 3969 1 808 1796 1 16955 4623 16 8513 637 1 19417 3610 1 2729 3143 1 3396 4589 2 6183 1748 6 20218 2626 1 802 1825 5 12913 8065 1 16141 7215 1 13185 5897 2 6254 982 1 13534 4026 1 16140 1136 1 5939 8029 1 4061 5486 1 13531 6150 2 1634 6776 2 17983 222 2 7780 1136 1 19649 4998 1 13335 5102 4 4244 6744 2 18841 518 1 9178 3998 1 7575 23 5 17412 7636 1 13743 6246 1 17748 577 1 2931 221 2 1677 2918 2 4927 3590 3 17675 2555 1 8416 234 2 4620 520 5 3505 1669 1 15832 225 2 13865 5549 6 40 2098 2 10114 4762 1 14517 758 1 1717 3634 1 10916 186 2 15311 1239 1 19246 1909 6 18501 6597 1 17444 8141 1 14226 5917 1 11518 5325 1 6164 5559 1 115 5155 1 11341 2026 2 4271 1275 2 12973 7714 1 3253 7136 1 3371 899 1 18758 880 1 2984 2935 12 17977 223 10 19328 8141 3 1580 2653 20 19026 2419 3 26 1558 1 9883 2888 4 14906 545 1 11238 1704 1 309 1248 4 16719 8190 1 16662 1363 3 19490 5487 1 7769 734 1 1002 1239 1 44 2309 1 4082 6080 1 6965 2339 1 15167 4060 1 18029 1688 10 5586 710 1 13991 2508 1 592 2595 1 1112 2114 1 13928 229 1 19975 206 2 2303 4780 8 6654 5538 3 6749 5739 1 15117 1707 1 2832 4166 2 812 2555 1 18931 5025 1 18968 156 5 8117 1825 2 8966 1236 2 525 2089 1 17996 1724 1 1245 3430 1 81 3645 1 15978 6363 17 19313 3164 4 4050 1237 1 143 3079 2 14951 745 14 18408 524 1 126 5686 1 31 1773 1 13521 7815 6 4417 1251 1 18932 721 1 19503 4207 1 158 7219 1 4519 4610 2 14631 4746 2 8950 1361 2 3090 23 1 11151 496 1 56 2658 1 18668 1197 23 234 1342 2 16700 618 1 7910 2829 3 15620 23 1 15615 6118 2 3498 2676 2 5470 1275 1 13883 148 1 14326 4992 1 16916 1138 1 4963 1207 2 311 2792 2 12115 6268 1 13076 2686 3 5821 1111 9 19776 132 1 12710 6029 2 3123 207 5 812 2959 4 9395 1296 13 2152 7102 5 13700 5809 3 2801 4554 1 10733 200 1 3416 1188 2 2643 864 1 6724 684 1 3406 6920 1 4756 1342 2 7574 5202 3 43 206 2 15180 235 3 3777 6640 1 9281 2721 7 18661 8185 6 118 5241 1 4496 4029 1 17682 200 2 17127 223 5 12817 446 1 11736 709 1 4492 6341 1 6152 3583 1 4087 2372 1 3397 3595 2 349 3006 1 15700 368 5 5364 5559 2 20180 1395 1 2738 5011 5 19395 1253 5 3822 637 1 8345 1739 3 13145 8191 1 13670 4657 1 6597 3871 2 7317 850 11 13118 2209 3 6152 2894 1 1344 1784 1 17220 232 4 14837 244 5 16464 3194 11 1376 284 1 13508 1104 3 18730 4325 1 56 220 1 17801 5120 2 10149 7602 2 18609 1748 4 6808 496 1 5775 1243 1 873 644 1 2091 7128 1 15885 5795 3 14611 2646 2 18485 3071 1 6305 4877 2 5443 1122 1 17675 498 2 6082 6210 2 16500 1245 1 2321 4636 5 815 397 1 10398 506 1 8528 4735 3 4527 3693 2 20007 2595 1 12035 201 1 12669 519 3 5738 1518 1 15202 7541 10 6131 8183 1 16740 2411 1 8082 360 2 948 3471 1 8965 1399 1 9392 1772 1 222 1184 2 1798 3283 1 7604 1721 1 15184 1357 7 8581 3921 2 15429 3741 1 1165 3826 3 10916 5956 1 9678 206 3 5344 401 2 7806 8054 1 17008 3150 1 4092 1290 1 5775 1734 4 9947 8072 4 15206 7853 2 3358 899 1 19380 7271 1 6202 4185 1 16109 1724 3 9610 3929 1 1499 1630 2 18149 7029 1 79 962 1 10601 2655 1 19111 186 1 14436 4949 3 13466 6586 1 19218 863 1 19326 525 7 17505 306 3 16604 1825 5 1304 1757 4 690 7206 1 16570 404 1 12333 1986 3 3464 3058 2 617 6414 3 14435 3077 1 1590 2923 1 12452 2388 1 1618 1739 6 11085 1785 1 8980 3071 17 12351 1341 6 19158 7586 1 14931 1770 1 6459 7189 2 18183 1453 1 9446 5257 2 851 1271 5 14009 4366 1 12142 5254 2 9418 3778 2 62 2962 1 5395 3638 1 17809 3669 1 18284 215 12 17549 292 1 10862 4382 1 14679 1946 1 6789 6065 2 15321 883 1 1794 1439 1 4198 6007 5 14639 74 1 435 215 1 5336 3426 2 16980 624 6 3355 1395 1 4491 1706 2 17932 3647 5 4632 834 5 6183 4012 1 19146 6278 1 18748 221 3 19843 201 33 18487 1717 5 19432 336 1 19475 1825 1 3670 5428 1 15781 5419 2 7853 788 1 3031 1721 1 7498 2373 1 19076 4969 1 3164 1247 1 11346 479 1 4290 7844 1 13724 3058 1 18716 7752 5 9168 1743 2 8943 1417 2 10537 4730 2 522 7883 39 7127 7832 1 11362 224 5 5495 5648 1 2181 7750 5 17110 219 2 9726 3804 2 633 6225 1 4742 4382 1 14745 597 1 9568 5603 13 19104 1137 1 891 2509 1 2850 1245 1 18863 2782 7 7227 3705 3 13845 6066 1 14955 1119 1 19730 3000 1 878 5326 1 13758 3110 1 15364 4500 1 85 378 10 19991 638 2 17580 3512 1 13905 3645 1 1106 2543 1 16645 4459 1 14050 6197 15 17665 1727 1 19614 4653 1 10852 6135 1 3530 2271 17 207 275 1 2885 206 3 11200 1464 1 133 6052 4 3440 4029 2 13097 4344 1 15408 1245 1 535 3714 2 19115 4245 1 15418 2739 1 4493 6953 1 2591 6135 1 18578 4792 1 16254 5014 1 11900 1417 3 18176 1851 1 12737 4204 1 12343 2720 1 17682 6400 1 7994 4196 1 9270 7602 1 15769 518 4 12600 1621 1 12135 2879 3 13043 4411 4 17680 219 1 18814 5435 1 13405 1782 1 7962 1770 1 16866 8154 1 9876 23 1 19338 2675 1 19760 3849 2 616 2327 1 14015 3851 1 7340 3647 1 7673 4337 1 11559 1331 1 10799 1734 2 6375 1307 1 1 63 1 11216 411 2 1263 3758 4 7065 1054 1 14809 4574 17 10544 5130 1 6668 869 4 4901 1946 1 15656 1714 1 8108 8224 3 6570 6884 1 5365 3508 1 16471 233 1 8082 5736 1 3437 3693 1 12456 5607 1 8271 2937 1 20177 3287 1 1128 1244 1 12361 721 1 2393 3618 1 2873 1987 4 3471 214 6 7184 534 2 6327 1722 1 12614 524 6 3048 934 1 4055 283 1 6510 3864 3 1158 2636 1 8937 533 1 16817 1736 1 812 1748 1 15791 417 1 10107 6669 3 3946 3908 1 12124 6963 1 11882 861 3 14578 1395 1 7012 8196 4 10429 4248 1 9178 4992 1 15993 4029 2 11246 2433 1 1141 1706 3 160 7274 3 13200 4998 1 3842 5730 1 11345 220 1 17962 4867 6 5963 2584 2 10482 6135 1 5836 2493 1 6527 4280 1 16149 1757 1 1588 443 3 3397 597 1 4812 512 1 14299 201 1 14464 7953 2 14526 4029 1 7721 1783 3 2621 1407 1 2060 1253 1 11261 914 1 1866 4064 1 11082 559 1 14505 219 2 6636 3308 4 10078 2407 4 8443 1529 3 14996 7895 1 18232 2959 7 17257 2342 1 12177 5060 1 18144 1740 1 13076 206 5 9116 1776 3 18644 229 2 7879 7210 1 17835 5553 1 970 4378 1 16423 7817 1 11923 2356 1 9242 1758 3 8001 6417 1 8368 1238 2 8435 690 1 15100 678 1 16751 7381 3 11669 3909 33 19693 8190 21 14265 4019 1 14326 1699 5 19508 5559 1 7109 3702 20 4784 1757 1 6312 206 27 2689 200 60 14974 2555 3 2457 3510 4 10693 90 1 3466 1644 1 8732 4174 1 15248 2460 1 5877 1747 9 6561 4996 4 16158 671 5 11212 1234 1 19428 1719 2 9305 1573 1 16357 1250 1 5732 429 1 74 3453 2 14798 8008 7 13257 1363 1 19602 1103 1 11036 3434 1 15559 3148 1 13405 3012 3 10692 780 1 121 5316 3 8832 367 2 6217 229 1 3120 1881 1 16491 809 10 6218 2072 1 10327 4511 4 12190 377 1 8048 100 1 5176 3511 1 11693 534 5 1055 5837 2 13266 4120 10 1066 3414 2 16912 6597 1 14063 836 3 8528 2686 1 7586 2111 1 10029 2661 1 18528 378 1 7527 4476 1 3972 5556 1 17610 4245 3 135 6099 3 15169 4311 1 13943 411 4 17404 215 1 5518 7404 1 7181 185 1 7755 7299 4 12399 910 1 10772 4609 1 8704 2869 1 1171 1731 2 17263 4543 1 7308 3625 3 20107 3578 2 12453 6603 1 14152 234 2 11533 5413 1 10604 177 13 17252 4314 5 40 2063 1 18696 1726 11 14975 3872 1 18944 7295 2 5104 398 1 4530 7307 3 2353 7424 2 5630 663 1 12244 5294 1 1783 6238 1 1359 2675 5 130 5946 1 1288 2662 1 2316 244 14 14144 3569 1 11 373 5 16233 3794 2 10302 7562 2 6061 2712 1 9178 4132 1 4773 363 1 12190 4305 2 17143 715 1 10393 4320 1 11798 2097 5 11402 335 1 16857 2082 11 6164 2344 2 9128 4795 1 2708 597 1 941 236 1 13995 3629 9 17587 532 3 14758 3551 1 7211 2908 5 7832 1756 1 4050 863 2 1086 2184 3 16042 1631 1 15978 534 2 4493 911 1 5262 1121 2 15055 6673 1 5574 3939 1 17019 1239 3 10361 1764 1 8658 275 1 3215 1825 4 6710 1471 1 15396 60 5 15573 5639 16 3806 3671 3 3485 5436 1 4452 5859 5 8530 5097 2 12356 540 1 12755 1741 2 15432 4000 1 8831 923 2 13 797 4 13353 443 1 15689 308 1 717 200 2 8303 5477 2 5984 1762 20 10502 7642 1 1185 6341 2 1620 2353 1 9229 507 1 6332 624 1 10964 3631 1 479 4638 1 5738 5290 10 2205 5144 4 18328 1825 2 18939 6482 1 17521 1825 1 4869 235 1 14660 5324 4 20145 1730 1 2103 1814 1 8077 374 2 18285 4528 2 13537 1304 1 8025 2691 1 87 4008 1 18211 2068 3 12826 7058 2 16752 5139 1 17084 1710 1 10544 4357 1 10144 2640 5 108 4867 1 6300 7232 2 3399 915 3 944 2240 2 13800 428 1 13918 379 1 1665 7349 6 16570 481 1 7663 696 1 15676 7397 1 1999 4274 2 18089 2540 1 1504 5806 3 11373 1707 1 13578 1252 3 12589 3443 2 14553 3945 1 1129 1752 3 4694 1990 12 9597 1743 21 12817 2519 2 7443 5319 2 7217 200 2 4234 7672 1 2348 207 1 6515 1825 1 11417 724 5 10249 877 1 15561 612 1 11660 1728 1 1013 37 1 11899 4403 1 17167 23 1 716 501 2 3991 7296 5 19062 7706 12 350 2868 3 11549 1239 1 7685 461 1 19656 1603 1 20265 3276 2 14813 1748 13 15664 514 2 15472 1404 1 5784 1369 4 2435 879 1 3386 4248 8 13919 736 1 19549 6417 1 11046 1328 3 4311 3671 4 6341 349 2 17046 2261 1 7249 206 1 6961 2675 7 13586 1826 8 2149 5502 1 9468 1251 2 2071 393 1 9917 5413 3 15676 5319 1 5329 3277 2 12378 308 1 17476 3620 5 17778 5478 1 11699 6597 12 18795 7410 1 19508 1247 1 3376 215 2 6332 785 4 14305 2936 14 11877 197 1 526 1979 3 19552 7860 1 10171 70 1 5896 4615 1 9912 2927 2 19602 3307 5 14753 2111 13 5939 8171 5 11029 496 1 391 4075 1 87 220 3 177 8156 1 8458 533 6 6697 1466 2 15351 3058 4 13807 541 1 16815 4540 6 8634 8013 1 11458 7819 5 45 2329 1 3483 1979 1 1822 5883 2 19535 4049 1 1664 10 2 15388 1184 2 10948 5389 1 2630 3575 1 13084 219 5 18742 1249 4 11192 3578 2 13750 1286 2 18140 215 15 11763 3842 1 13626 1823 8 4278 214 1 1625 425 1 7217 6207 1 13067 3619 5 13694 1706 1 4500 596 4 11693 532 2 15338 5070 3 15630 1991 1 6676 2635 3 19352 645 1 6732 4622 1 2186 46 10 11882 7878 1 8997 6099 1 12049 3255 14 18415 4013 1 17399 2144 1 20007 5855 5 5977 5425 1 17521 3911 1 17505 4351 1 13 574 3 9224 656 5 18099 7506 6 18498 6988 1 2772 360 4 8969 201 5 19776 1291 1 1590 623 2 10033 2993 2 20043 5994 3 18039 662 1 18364 1717 1 11158 481 1 6816 4042 1 6050 603 1 12076 2336 2 9408 5553 2 7395 5674 1 4362 1282 1 1479 1505 2 8153 5575 14 11656 2580 1 12434 6759 4 16857 1244 1 7328 5871 1 15321 7525 1 13635 7727 1 14157 1728 1 6991 1748 3 967 1734 1 10911 770 13 2194 810 1 6265 1423 3 18932 837 1 15346 6713 45 8585 1991 1 7507 1751 2 14012 910 2 7009 467 1 5877 4992 2 14187 8178 1 9159 533 16 4985 4311 1 6357 5220 1 11941 1321 1 8890 223 2 2181 4732 3 2801 1717 1 14428 1743 3 17384 274 2 135 6146 3 6597 3797 2 8974 4343 1 17403 4667 1 17498 1239 2 11353 7641 1 12598 3575 1 3270 890 1 14301 467 2 13733 4789 1 9702 2254 1 3642 873 1 163 1334 7 11156 1698 5 5328 1705 1 7571 6558 1 6091 1728 1 18485 5618 10 3358 4473 1 11551 4945 1 1735 950 1 4055 3203 2 20120 779 1 16330 203 52 11367 8194 1 4935 4566 1 13065 501 4 48 2377 1 17517 7420 1 17894 2727 8 2228 367 2 20275 3724 1 17672 1466 2 15732 3056 11 3219 676 2 17009 1995 2 5554 1037 1 17909 394 4 8547 3484 1 3075 3547 3 6089 220 1 7157 1257 1 1012 3230 1 13310 541 4 817 629 1 15800 2099 1 6263 7104 1 1927 1235 2 18807 743 1 19241 768 1 44 2314 1 17324 4404 1 18705 221 2 10297 498 1 9369 23 8 342 411 1 108 4833 1 17173 505 1 19219 2131 5 5341 4653 1 11050 1282 2 7011 723 3 14864 200 2 544 4623 1 16662 910 1 15989 5325 12 13520 101 6 5576 3480 1 3833 1710 4 10452 590 1 18534 4849 1 19264 1296 1 14493 7009 1 7211 3540 1 5610 292 10 19911 500 12 6172 1757 1 11820 2273 1 108 589 2 14658 1814 57 691 2953 1 6618 52 2 18173 164 17 5842 2363 4 17662 1739 2 6089 5060 1 15385 4011 2 2944 4555 1 11069 4085 1 19383 4379 5 3770 1246 8 10240 3778 1 18693 1768 1 7755 7347 2 19782 3346 5 8946 641 1 872 3747 1 10730 4435 4 16168 4227 5 5775 1727 1 16364 1280 1 6112 3059 9 29 1680 2 16591 203 13 6307 274 1 17259 5897 1 8438 3016 2 12851 1302 3 1112 1153 1 4812 1717 1 7268 667 2 3494 2254 1 1801 370 1 10582 148 1 17635 2555 15 9364 452 1 18182 524 10 15895 6892 2 7821 1751 15 15244 1593 1 20068 2208 1 14011 411 10 5421 4387 2 1276 4435 3 12698 1728 2 4815 3879 1 14587 402 2 20062 7201 1 12934 520 1 17388 5737 1 9581 541 3 7147 2718 4 525 861 1 11562 7340 1 16057 3081 1 17293 890 6 8735 7612 2 6539 953 1 18548 746 1 4320 1717 2 15429 558 1 16896 498 5 13503 696 1 5846 7003 2 15653 639 1 10692 740 1 19900 1903 1 18255 8174 1 10760 541 1 20020 3949 1 15885 5920 4 7507 1529 1 12322 536 4 11987 1360 1 15599 8043 1 15356 4011 2 5287 1081 1 15091 1333 6 12765 8090 2 10391 3333 2 19356 206 11 74 3435 1 745 1203 8 6090 186 1 2716 3823 1 5836 4992 1 8594 491 1 5140 834 1 18968 2642 1 1530 3510 1 13681 5332 1 8203 2671 1 11259 3851 1 20078 1244 1 5293 518 1 14748 6457 1 20256 2011 1 3397 895 1 11310 5278 1 19822 5596 1 404 2633 1 15940 7441 1 4393 169 3 4647 3492 6 19450 7539 1 12853 6341 2 12065 3478 3 18675 495 1 14114 2087 1 4625 3281 1 7516 4982 25 1763 3081 1 5645 5016 1 20152 200 20 16791 1831 15 11058 7102 9 5424 420 1 2046 297 1 10792 1686 6 10416 883 1 17937 6451 4 5041 6159 16 15314 3069 1 16951 1151 1 18237 1732 1 5873 4727 4 10948 1383 2 7750 1718 1 6840 818 1 13898 1251 1 14465 23 2 13573 1819 1 12060 745 1 4627 2561 1 835 4961 6 1052 2832 1 4863 1718 11 18281 6064 4 11780 6320 1 7715 4372 1 4851 2543 1 1277 214 7 16183 496 1 17992 509 1 6387 7292 1 1466 2253 1 16592 7313 1 15530 5612 1 5775 1757 2 12499 1247 3 16684 2495 46 2156 4007 5 385 8167 5 10123 6819 1 18377 837 1 13482 1357 1 6191 1062 3 14253 1903 11 18748 219 3 19862 206 2 10170 6632 10 376 23 4 5036 2353 1 6916 6179 1 12237 6016 1 6070 6635 1 9444 6488 2 13278 1378 5 13750 502 1 5899 670 1 20041 2534 4 4496 221 2 17226 1741 1 7994 581 1 17195 6446 2 18164 1561 2 18426 3077 80 7799 3748 2 16624 4963 1 18797 1241 1 19878 3610 1 9628 841 2 4023 1819 1 4602 1363 1 14958 519 1 4327 219 1 18589 5018 4 11226 1825 10 16408 313 1 16768 6159 1 7994 685 1 8531 4435 4 4386 5255 1 812 4486 1 13281 2885 2 14544 5762 19 19298 46 3 14927 2339 1 10285 6757 3 1587 4511 2 6256 6152 5 11777 229 1 14951 885 1 7490 5271 1 17091 7395 1 9303 5846 1 16612 1333 2 19953 1695 2 20249 1146 4 92 4015 4 9894 4314 3 16333 554 1 6419 529 1 11809 46 1 12375 802 1 6622 5730 1 6135 2056 1 9322 7353 2 6323 3502 1 11900 23 2 19868 3078 1 164 7474 1 12030 381 3 8730 473 1 9187 4299 9 7575 1249 1 10305 2257 2 18261 5022 2 4112 948 1 2583 235 1 16043 2319 2 1659 1374 1 13707 190 5 19286 955 1 2782 867 3 16417 6080 7 8786 6360 1 11573 2675 1 16532 207 1 3491 512 2 5775 1825 12 12126 6640 1 16546 3471 2 18193 1275 1 873 779 1 11468 220 1 792 1368 3 13649 4016 1 6228 919 1 13461 1770 4 7184 864 2 8148 5922 1 19193 1482 1 15004 1898 1 2886 3671 1 1858 302 9 17909 3530 1 16767 164 1 7535 2260 1 8228 1703 10 2905 871 1 7916 3953 10 19974 3329 1 835 1714 1 1852 1910 2 174 8071 1 2271 422 2 171 7732 1 19578 1658 1 14261 4012 2 18902 3564 1 18669 203 29 9093 1395 7 12257 2815 1 15180 2969 3 2102 1703 1 10586 2269 1 13866 215 3 12152 2614 1 17156 6383 1 6252 470 2 14055 207 1 13159 3454 2 6152 709 4 16104 445 1 2795 2555 5 11952 7594 3 1135 2788 7 14926 327 3 19655 5251 1 500 5327 1 8199 2376 1 10302 2481 1 174 8032 1 9261 6262 1 1551 8002 1 4025 5594 4 18906 7758 5 2890 852 5 8588 1751 1 13873 1245 1 4251 7630 15 3573 6512 1 13999 411 1 3483 1480 3 1043 5922 3 9407 532 7 4195 1235 1 11798 2559 5 6645 201 1 9538 7257 2 4868 229 1 824 4617 1 570 5105 1 18149 3556 1 12077 3721 5 17809 1146 3 9443 506 2 3025 505 2 17534 4985 1 18277 2708 1 8767 1698 3 6256 214 6 2020 5066 1 15408 34 1 17112 1726 3 7789 1705 1 11072 759 11 19857 4549 1 19347 3854 1 7481 2662 6 115 5215 1 13012 1747 1 11502 6922 1 7862 4008 1 2700 536 4 990 7359 1 8855 4706 1 19602 7855 1 10396 6626 3 13490 1248 1 1535 2653 20 21 1387 1 6912 1727 1 2937 1704 2 1040 505 1 3117 2355 1 16694 3334 1 8394 1322 3 16787 3155 26 2108 6268 1 11854 7860 1 19952 3556 1 16740 5137 2 18286 497 1 4694 2640 1 18941 220 1 8641 7830 6 12281 173 1 6752 6505 1 14968 385 1 6120 247 1 17172 6669 5 12199 7776 1 13031 2958 12 835 222 2 15398 569 1 2081 2829 1 14539 11 2 1725 6321 1 4498 1663 1 902 4325 2 17788 4547 1 11866 3882 1 3755 2534 1 14505 524 1 14939 532 1 19480 7022 1 10587 6397 2 17953 1897 6 7208 3813 1 14908 6527 1 14161 6758 5 1678 7586 1 11750 1246 1 16880 206 1 9764 1638 1 18386 4090 1 1733 1748 1 7667 532 1 18833 6618 1 143 75 2 16921 536 2 19189 6341 6 6322 1768 1 15769 1771 11 16934 6139 1 4156 1762 1 15286 6361 1 15056 4403 1 16617 519 1 11494 2605 1 9820 1737 1 17388 867 12 19272 3488 1 16649 512 1 16267 2953 5 1330 967 1 6125 3320 1 3881 2869 1 6314 2342 1 18139 222 1 19434 1747 1 10909 1019 1 1054 5445 1 14610 6713 4 94 4257 1 15873 510 5 15329 7910 1 6997 3742 1 14824 5015 15 7778 510 7 3358 881 1 18633 95 1 12378 6618 1 19872 7466 1 15027 1819 1 15290 4427 1 17460 3024 14 13558 2142 1 5389 721 1 7301 525 1 12375 3275 1 2432 6107 4 15 999 1 15937 225 7 18524 3352 1 14767 541 1 14313 7638 1 11786 299 3 16730 482 1 10717 4207 1 5113 1495 1 15075 4428 2 13711 248 3 18883 5051 1 18040 4507 2 9745 1239 1 19117 219 5 10060 1710 3 8106 1987 5 17432 156 5 10159 4615 1 16230 708 2 18193 3512 2 8051 1076 2 16964 7345 2 1045 1369 1 2352 3878 1 6645 2131 22 11857 1703 1 9540 200 8 11544 3618 2 4092 4013 3 16101 2254 4 7258 6341 17 1114 225 2 17194 1752 2 1542 2555 9 981 1707 1 18429 6690 1 10948 7216 1 1881 3077 1 5938 215 2 15619 1305 1 16819 889 1 72 3335 2 15882 385 1 14095 662 1 4850 5346 1 15701 23 5 12904 5254 1 11411 1819 5 19178 1656 1 6854 3172 11 7910 1363 1 18585 1710 1 2905 1659 2 7184 506 3 2964 492 1 6210 4435 5 3792 3515 2 1528 2422 13 16052 3621 5 14881 4698 1 13 760 1 5738 6043 2 13549 193 1 2103 518 3 1808 5294 1 804 419 1 10237 2256 3 2665 2675 2 15195 1863 8 4560 508 2 6907 3353 2 10297 1239 1 6028 2262 2 19568 1740 1 19605 1752 1 4133 3899 1 18070 6047 2 334 696 10 12056 498 10 5938 234 1 12030 7542 2 4940 4803 2 535 6414 2 15248 2410 1 14062 1251 1 8074 1243 1 11399 221 1 8939 219 9 18968 1052 1 17300 2584 3 6183 3338 4 18450 1248 2 18069 5922 17 19319 534 2 6678 203 20 141 4623 7 7585 4946 1 12318 3432 1 3150 1764 1 11622 4435 3 14162 2111 1 7769 258 1 14127 831 5 17697 2143 1 20091 1249 4 13684 64 1 10545 203 19 9419 164 1 12177 1369 1 20221 1827 18 4677 7695 2 3384 804 1 8761 859 1 454 4487 1 15572 6150 2 8832 545 1 8322 6473 1 11461 235 1 14278 6776 1 4523 5537 1 10357 883 24 2181 5221 1 18696 23 5 19590 159 15 16871 5515 1 11363 244 2 3848 2419 21 5873 1642 1 2629 221 2 16300 5097 2 18222 1990 2 12281 1243 7 6089 221 3 796 2167 6 7020 2767 2 5763 1342 1 11497 1593 1 5169 327 1 7089 219 5 631 4780 1 7109 609 4 1132 3642 8 12320 3619 1 12826 6971 2 14243 2561 1 1705 2800 1 12977 2366 1 17753 6457 1 14100 3138 1 19216 4019 1 658 385 1 3118 1714 1 8255 3049 1 12614 867 13 307 2503 1 15896 1819 9 13252 1658 1 3358 804 1 19219 2080 2 3406 7144 1 8937 4436 6 8965 498 1 9857 3822 2 10948 5474 1 11733 588 1 16267 3480 1 1145 244 1 19034 1819 7 6702 3397 1 19737 500 4 153 7006 1 2186 7614 1 10985 1796 1 12311 4343 1 7245 825 1 6644 2883 1 5428 2889 1 3878 6713 3 10452 616 1 855 2056 2 14055 196 1 15304 2675 1 6197 6599 5 6435 3900 1 11588 4427 5 11786 4373 2 3134 3591 2 12119 2646 2 17866 2127 8 8271 7948 1 18528 470 16 16002 590 1 2164 8192 1 163 7398 2 9989 313 2 3397 756 1 9014 128 1 2246 3910 1 7683 1771 1 12740 1770 1 18101 1466 1 16884 4316 2 109 4975 1 622 164 1 5893 6080 1 11458 2411 1 4829 497 4 8614 5475 2 14617 6683 7 9459 7705 63 17780 1692 1 325 7222 5 1558 1714 2 527 714 1 11357 2319 1 13073 7606 1 42 2159 2 6650 3444 1 3521 7670 4 18253 1529 18 417 2250 6 17384 214 2 15682 410 2 6045 7638 13 3855 2488 2 4092 5425 2 6894 2021 6 16597 1464 1 11697 3464 1 12974 3637 2 5211 1185 1 7060 1770 2 4525 7624 5 8814 6949 1 16930 2993 1 10121 316 3 653 7515 1 9389 2610 3 1706 3596 1 20147 5018 8 12389 2671 5 16843 5298 2 16608 1819 1 19026 197 1 3181 850 2 724 496 1 9039 1573 4 17417 2683 3 9448 2263 1 16827 215 1 19243 6100 1 18619 1334 1 8824 203 3 1615 3697 1 7778 215 2 16379 3181 1 2795 3516 2 11742 375 3 4307 1825 22 8532 1760 2 19822 1147 9 12636 7027 1 9947 3824 1 11360 2290 1 12279 1191 2 2587 3432 2 8801 4935 12 6033 1450 2 525 7699 1 16002 617 1 1519 1253 1 7986 244 2 1575 2488 1 10046 221 10 4055 6751 5 13730 4850 1 16020 1062 4 7823 1037 1 17662 1726 2 11736 5952 1 18034 6238 3 17662 187 2 2120 7413 1 15140 2678 7 18299 5054 1 727 4609 1 13600 3932 1 14730 3380 1 8099 4252 1 13091 525 1 17720 4807 1 14777 8178 1 10000 6256 2 17223 5506 1 15041 1728 1 19494 218 5 7099 200 2 7235 5008 1 17382 1147 14 17606 4011 1 6055 7494 3 6420 2172 2 48 2437 3 9178 1383 1 11335 5018 25 7823 2500 2 18847 3222 1 6707 3147 5 11509 1146 2 4761 4077 5 5216 4286 2 2462 6429 3 13556 1727 1 8439 496 1 9188 816 1 3548 299 1 11766 519 4 18950 1369 1 100 4509 1 1385 1720 1 8071 5568 1 11585 1721 1 19026 525 1 5963 3146 2 11024 6692 2 15192 2944 1 8472 1238 1 17300 308 1 15648 1775 1 16354 4427 1 326 1251 1 13759 1401 1 2726 471 1 19284 6204 6 17742 232 2 19182 589 4 7439 665 1 411 2671 1 6433 3956 3 6166 1208 1 10531 6532 1 17036 629 1 13645 545 5 12807 74 9 16096 2743 1 15043 5332 4 10538 23 4 5364 1296 1 7267 7213 1 16129 6493 2 19140 5480 3 15879 1244 4 14758 6435 1 467 1819 1 10518 3634 1 13055 3255 2 15412 1719 2 15743 910 2 8786 4325 1 9119 4006 1 10396 6666 4 10116 1548 1 4460 891 3 6617 2493 1 16239 1991 2 8546 1251 1 5326 8141 1 876 8171 2 3558 4245 1 13488 831 5 303 5005 1 12826 651 1 15978 128 4 10830 1249 2 7905 1248 2 17521 1717 1 2113 2424 1 3540 190 6 8934 1509 2 17916 203 32 3214 4979 1 1989 3337 1 11058 1778 2 4679 1751 4 5401 871 1 19238 874 5 14578 1621 1 11243 23 1 6064 1545 1 15841 1245 1 14682 6252 9 3521 4276 1 15502 4395 7 15943 809 2 19360 2908 1 13997 441 1 19753 6192 5 6705 3454 1 9935 445 3 13021 141 1 1322 3193 1 18672 1070 1 15559 514 1 604 409 1 14011 7210 3 3140 514 1 4625 1686 1 17174 2957 2 6348 307 1 15053 7440 1 8483 5420 14 4898 7815 1 9224 588 1 14621 937 2 8171 232 1 6437 1363 1 3826 1137 1 6412 4467 1 2071 4673 1 15871 621 1 4663 912 2 19655 2115 2 1307 220 3 5199 470 3 10931 229 2 9173 1302 1 5674 200 1 17662 221 4 6144 6585 1 13377 4204 1 915 1888 1 9431 3710 1 8977 519 1 787 1518 1 496 4277 1 4493 7012 1 10453 214 1 8311 1236 1 100 4548 1 18959 5546 2 13490 1269 1 16048 2141 4 4376 2504 3 121 950 1 11251 6933 1 8211 520 2 2737 6637 15 15629 907 2 2408 2758 1 17208 1277 1 16681 5325 1 10000 2495 1 9452 6434 5 19137 5254 1 4868 235 1 4638 2682 1 207 2449 2 4678 3748 5 10360 5881 1 11674 252 1 3695 1740 2 1706 2172 1 13249 5820 1 2834 2353 3 12388 1691 2 10404 7542 2 3532 1361 1 5470 1781 2 7638 93 1 525 910 2 7028 3556 3 5643 7603 13 2004 1244 4 1526 1752 5 3372 4760 1 3075 215 1 18320 4692 1 7985 3511 5 5980 1827 5 30 1695 2 10907 5324 1 19433 3287 1 8599 4967 12 11570 436 1 85 219 11 1139 2488 1 10508 4373 1 12737 1819 3 19259 574 1 15950 1775 1 6341 6875 2 9081 1300 1 12174 4264 6 4519 96 2 17003 2370 1 4552 2118 2 14139 3193 1 4742 3071 4 1171 745 1 11616 1324 3 16837 23 2 2580 1691 13 17812 221 3 9864 8072 1 15534 532 3 8250 2953 2 5519 6673 2 6339 535 1 6871 2165 7 16649 7734 15 8934 411 1 4298 1463 1 16730 394 1 6503 868 2 14132 207 1 5049 4062 1 6661 4412 12 19951 3448 4 12256 1991 2 17635 201 1 1730 6806 1 2201 1825 1 2685 6436 26 8418 5502 3 15651 3159 1 9323 205 1 9546 2841 1 14812 7121 1 11846 225 3 16878 6493 1 15610 899 1 5458 4902 1 470 843 3 19022 1423 4 11195 1748 1 1706 6722 1 12059 1775 1 9705 1243 1 3701 5020 11 19602 5274 1 16449 214 3 4106 2512 1 95 753 3 4153 1244 5 1705 707 3 8055 5090 1 8391 7655 1 13520 438 1 10498 3510 3 14021 4333 3 13696 1955 1 17758 2969 1 17250 4422 5 5903 1244 3 15534 1772 1 7285 4737 1 9474 3230 7 3432 1772 1 16977 4366 5 11574 1734 1 16314 7404 1 4106 4026 2 593 891 1 15550 1967 1 17997 7683 1 2407 8192 2 3423 4076 1 9534 5022 4 14517 3301 1 174 3421 5 7366 3747 1 16815 1296 1 9468 2016 3 14662 3504 1 7208 2363 2 15376 1764 1 10739 869 1 15404 5257 1 11968 5730 1 10161 1688 19 268 1593 2 14731 3652 1 9848 1819 12 11018 223 6 10435 336 3 8378 263 1 16700 790 1 8452 2123 2 13652 484 16 20145 864 1 15391 232 2 1306 5730 46 9395 1146 1 15936 5957 5 16546 1342 1 16090 3960 1 17331 2683 1 16622 1657 3 21 1389 2 3145 1827 5 635 8017 1 1527 461 3 8334 3076 1 11506 1703 10 12633 4373 1 12236 1253 1 16016 6473 2 5890 6268 1 14522 1724 2 18836 891 2 12045 3593 5 10436 773 1 11943 8168 1 12164 4511 2 7382 3512 10 4315 200 2 1689 23 1 1872 7214 1 11346 7666 1 10821 2068 1 1651 234 1 11576 1778 1 8435 3573 1 19730 4963 1 80 3569 1 6473 7643 1 5408 6058 1 1140 1244 1 11261 698 1 14865 5807 1 8546 1757 1 11651 2968 1 20262 2737 4 5431 7466 3 19776 1317 2 143 4370 1 6516 177 10 19790 3364 3 9250 709 1 7728 6023 1 1435 4940 2 1435 206 5 18207 534 1 954 6713 2 4936 2029 1 4069 3685 1 9479 4293 4 4547 1732 1 5304 1239 1 13170 7477 1 3919 745 2 1952 6990 4 3981 1819 2 20019 167 1 863 3419 1 11396 2519 1 9050 3900 2 8200 2844 1 6024 2671 7 817 1303 1 2888 504 3 20106 34 4 2651 3586 1 667 4728 1 15256 3163 12 6676 6619 1 17135 2197 2 20248 1246 1 8435 578 1 18210 3576 1 5053 5179 1 9566 762 1 7435 1275 1 7135 1237 1 9652 4404 1 18653 219 5 16340 4795 1 16229 6457 9 16456 186 1 8899 6200 1 6954 336 3 18264 1861 1 11683 1897 1 3939 6949 1 9246 6159 1 15614 219 1 344 5478 24 19764 6618 3 2876 206 8 9642 244 3 8198 649 1 9650 3512 7 9266 1788 5 6734 637 1 13200 5036 1 14657 4467 3 18610 1692 1 14055 5416 1 4052 1718 2 16491 467 2 12423 200 1 14091 6737 6 5773 2481 1 18211 52 1 4663 1232 1 13896 7639 1 13845 6854 1 3732 1714 1 20191 1238 5 10290 498 2 2405 325 1 19259 1239 1 6058 474 13 4018 5187 7 85 223 1 12525 2605 2 6053 507 1 12447 3202 1 12992 258 4 7157 4623 1 11024 4964 2 12053 6341 5 12162 1995 6 3175 510 1 9937 398 1 17572 6599 2 6535 885 2 1530 46 1 17076 6197 2 10207 1482 4 14540 1995 1 944 6677 3 19642 6185 1 14162 1301 2 14738 6445 1 2674 6229 1 2444 497 1 15709 1743 1 2296 2555 1 9640 1714 1 16730 842 2 2535 3074 1 12022 3596 1 12406 8184 1 7451 6711 3 18968 1777 1 873 7027 1 8654 6574 1 456 6341 6 963 7215 1 9628 920 1 11430 232 1 2313 3747 5 8343 8072 1 4663 2118 1 6740 4239 1 10584 6342 7 1302 853 1 10316 73 1 2531 3213 1 954 3854 2 4034 1249 2 8591 7406 2 99 4468 1 3020 521 1 17738 356 1 16249 4468 1 955 470 3 12861 4575 1 11867 3337 8 4268 2534 2 9725 430 1 14284 5945 1 46 23 2 16924 629 2 19944 2606 8 9684 1412 1 1973 935 1 16104 1164 3 7000 5294 1 11846 260 1 171 2025 1 2991 223 37 3483 1757 1 7012 5419 1 7723 1738 3 15073 1781 1 20007 2495 1 8438 4489 1 9745 5254 1 9999 2495 3 5709 3135 1 15009 8110 4 19418 6721 3 14114 823 1 1133 759 2 5863 4519 1 11372 2254 6 9367 4325 3 17254 221 1 3122 8227 1 16123 244 5 3378 991 1 16810 794 1 1882 7176 6 64 2989 8 4583 2835 5 8488 206 4 3536 3278 1 992 4604 1 8094 274 7 1618 23 9 18066 1302 1 17767 7565 1 8223 1604 5 3536 48 2 10169 5789 1 3397 108 1 8904 1719 1 19872 6335 2 2714 1727 1 1589 461 1 18866 196 1 16373 133 1 8981 1747 3 4764 201 4 439 215 1 16096 4022 2 16378 1747 1 10097 471 1 16076 506 1 8299 6576 1 7385 676 1 16199 1190 2 11194 3005 8 19159 1799 1 15272 5820 2 17176 903 2 7359 1363 1 13806 381 1 17260 7098 1 3351 4019 1 5993 1507 1 8423 1251 2 15295 1324 1 19713 8113 4 13615 5292 1 16593 1757 6 17039 1756 3 1993 3322 3 8015 6892 3 2546 2922 1 6463 1055 1 10897 196 1 4992 1726 1 6610 1507 15 8410 5385 12 17507 3287 1 834 7231 2 19822 4264 1 17259 8036 1 18211 3578 1 10688 3556 1 18615 1537 1 4593 610 1 17833 7996 1 13167 3327 10 11502 690 1 16700 344 1 13623 5398 1 4574 6507 2 14606 1277 1 9661 214 2 4410 4435 1 17232 7184 3 11629 903 5 7614 2064 1 19379 316 1 5714 5115 1 8088 5762 1 14645 6139 1 15143 304 2 15759 231 8 14114 2127 1 16664 952 1 20123 799 1 2827 1001 1 15833 2030 1 19428 5896 4 19084 4998 5 9305 1062 7 160 7289 3 3957 7565 2 12711 658 1 8232 2497 1 2197 5538 1 387 460 2 8134 4325 1 9387 3175 12 15866 206 2 16684 2115 5 1839 827 1 489 8022 2 5117 627 1 9429 2698 1 8405 2864 1 7604 1243 1 16276 2356 1 1946 4796 1 3845 1700 12 3703 1369 1 12197 2708 1 20036 2016 3 14837 1649 1 14416 1307 1 7597 1362 1 8051 5271 1 13072 6139 3 6292 410 1 22 1417 2 13371 2216 9 2724 4162 1 7033 6682 2 9701 606 1 5385 441 1 4552 1042 1 13 937 1 8087 6826 2 9920 5262 1 12414 6591 6 18357 200 2 4499 4502 1 6420 4670 1 8735 1763 1 3846 3595 1 14564 6756 7 15012 553 1 14221 2076 1 5117 853 3 5624 1324 1 17014 2511 2 2847 225 1 17928 4262 1 18797 883 1 8742 206 1 8528 1453 1 7721 3563 3 13 965 1 6821 910 7 1171 186 1 18014 1649 2 5684 3358 3 9558 2626 2 8273 520 3 17096 1235 1 35 1962 3 359 3525 1 3467 1399 1 16587 7308 2 11099 5345 1 1586 1237 2 8180 1226 1 3533 2735 2 2853 2861 1 2373 2955 3 19034 5391 1 15687 229 2 17431 723 3 15608 1611 1 4425 2747 1 5141 207 2 16860 6949 1 13874 1757 3 1507 6341 5 7068 7612 1 18613 372 1 9714 1744 2 18524 235 3 15491 6492 2 7800 410 1 13857 1756 4 10670 1242 1 7397 186 3 1629 6154 1 1689 1991 1 11687 164 8 6538 6423 1 4788 4363 2 9547 1699 2 14926 3747 2 6819 1239 1 15249 1356 1 18371 4013 2 5373 2885 1 9768 197 1 9531 3180 3 7536 219 2 4496 201 8 11931 429 1 1397 6288 1 4283 1658 2 2297 2097 7 16585 4944 2 17960 2561 1 9965 6741 21 16924 597 1 1665 5461 3 4429 2883 1 14295 3230 5 1608 6564 3 3491 191 11 19942 1757 1 19775 2675 1 15940 7053 1 926 2087 2 7073 7178 1 7869 6536 1 13252 1705 2 17766 4588 2 5773 3808 3 19728 2662 1 5281 5816 1 15211 1706 2 6577 3206 1 18847 1116 1 20218 1649 1 19193 4998 12 10499 6217 5 8643 555 1 6684 6912 1 1510 925 1 15618 8057 2 10010 804 1 8276 3511 16 12030 1420 1 12958 2552 1 19604 5531 1 11231 6484 3 11504 206 2 3175 1322 1 702 4983 1 16674 1819 1 11898 1188 3 13212 6078 1 15427 4258 7 4194 1770 4 8245 2620 1 15608 1644 1 8348 2356 1 17618 1707 2 11388 3146 1 9512 12 1 18515 3057 5 9178 6502 20 9321 1101 4 4963 2646 1 1379 395 1 9250 8065 4 11360 865 1 19097 7777 1 13683 4312 2 4663 578 2 9322 331 1 18279 4262 2 8358 4029 4 3817 2343 2 19859 1700 31 1357 6228 1 872 1357 1 4064 184 3 2519 3462 3 15635 6663 1 5074 4792 1 7334 1268 2 12641 1072 4 12299 4930 3 16438 4622 1 18377 766 1 10763 6349 1 19822 3219 4 6851 3242 1 4154 6140 1 4509 4387 9 14578 57 1 19073 219 2 16165 1819 1 13328 554 1 3418 759 16 7205 2253 1 13644 196 6 13208 4615 14 14062 5253 6 9546 569 1 8214 525 1 2646 1471 1 12967 1729 1 18981 214 8 13614 3318 2 14558 3580 2 8327 316 1 2712 1818 16 1041 173 2 127 5723 2 18667 3511 2 8717 184 1 10458 4946 1 6492 1658 1 15069 184 2 19418 6701 3 13646 6952 6 5379 3845 1 15636 3467 2 9976 2955 10 14489 2632 3 9528 1242 6 3249 1734 1 10046 5408 1 15043 3634 1 5554 7102 1 270 1752 1 7610 600 1 17460 7787 2 1693 2191 4 11332 1482 6 3593 4914 5 5639 1576 1 6835 6902 1 18273 6776 1 9947 383 1 15634 1242 2 19135 5852 1 7728 5259 1 1907 7820 8 19233 4435 1 4107 4163 1 11156 6207 1 12030 1211 2 6375 1287 1 80 3634 1 18635 150 1 4050 502 1 1973 1365 2 12417 5270 1 20148 3361 1 12952 891 3 2744 7572 12 8466 7837 1 8930 5362 2 3815 6288 3 3931 534 2 5005 2584 1 17977 252 1 7994 624 1 13691 5097 1 2161 6546 2 6449 2150 2 4519 4591 2 10078 156 3 12633 1363 1 3 130 2 13527 6330 5 19833 1103 1 1671 2671 10 3005 663 1 152 6850 1 94 4306 7 1456 4612 1 3580 7976 1 4995 1770 1 16788 6602 6 7783 4262 3 11030 1464 6 13800 409 1 3399 2605 1 12077 545 16 12392 417 10 2157 3901 1 5969 409 1 20187 514 2 6449 1466 4 13893 6522 1 4425 871 1 17405 499 1 10060 220 1 17664 4780 2 14945 3911 8 6260 1250 1 19262 3909 1 803 3972 1 19806 4672 1 14007 303 12 5459 1819 24 19353 253 1 7203 252 2 15065 2606 2 115 5143 1 6502 1789 1 17169 8183 1 17158 23 6 1198 6108 2 7469 6214 1 7409 3101 1 20106 158 14 1940 2355 4 18202 4663 1 3664 5021 3 17744 534 1 11615 512 4 2135 1380 1 11709 1332 2 18193 1757 2 7018 2949 1 8987 1308 2 19930 3810 1 1103 219 11 7716 28 2 12913 3361 2 15996 518 4 20090 379 1 2917 1745 1 20241 4740 1 4736 2486 1 4524 6957 1 19259 5419 1 17310 385 2 4512 1769 1 935 1718 5 113 3507 5 1565 6169 1 745 1251 2 16636 1053 2 20007 33 12 7994 915 1 16843 411 2 18973 4998 32 18626 3367 2 11103 664 1 2004 883 2 12240 2069 1 18338 5272 1 11327 1751 1 11861 1235 1 2560 23 42 1866 1703 1 4338 4930 1 4234 805 2 770 229 1 14970 4916 1 19402 5955 11 4792 1981 1 7455 475 1 7726 4019 8 19486 782 2 5503 2014 1 12148 6522 1 2497 1237 1 5129 324 1 9722 215 3 18876 3050 2 13383 5584 1 15015 4453 1 11591 519 1 13490 823 2 6740 2065 1 17674 215 1 1464 4996 2 4940 1719 2 14400 1695 1 2778 1776 3 9545 6714 1 7692 995 2 10236 8099 4 10900 5437 1 1689 4314 1 16220 534 7 15358 203 1 11912 2849 1 6413 525 2 13361 855 1 20039 96 1 18340 5561 6 5495 3227 6 1801 705 1 15001 6099 1 13626 214 2 11760 896 1 13880 244 3 9790 1240 3 5769 219 1 2480 745 4 14230 5120 1 17261 214 2 6776 2817 5 5176 1762 1 7681 3244 13 5171 7829 4 4884 3228 5 6612 411 1 9968 4014 2 9978 3370 3 8860 728 1 5161 1582 1 10132 2155 5 1733 173 3 9525 1249 14 8742 215 2 498 244 18 14679 518 1 17252 482 12 16884 2636 1 4301 201 8 4299 1720 1 496 222 1 16645 4394 1 7738 7412 2 9462 452 1 14988 1727 1 16739 222 3 8388 4653 1 8895 235 3 522 8060 3 18604 1025 1 15272 3337 1 16090 983 1 8732 3462 1 17918 2831 1 16244 303 1 11790 1507 20 5301 2949 5 13278 4010 1 10311 765 3 19769 3584 1 14881 535 1 4838 553 1 9808 225 4 3715 1819 1 1569 2706 2 17174 2497 1 6481 5362 1 9157 1722 1 14466 6113 7 10529 867 1 2674 129 1 8913 6669 1 2805 210 3 15269 3540 1 16588 2380 1 4927 3598 6 17455 5874 1 8665 1342 1 8636 1076 4 15124 2970 1 7625 1248 1 15116 7466 3 7943 244 1 18938 1257 6 4268 4623 14 14114 2958 1 11632 518 6 8547 5762 1 9783 5252 1 2914 2559 5 15139 2721 1 3240 5051 1 19156 207 1 7107 4266 19 11727 1146 1 16684 823 1 5632 5905 1 3798 1748 1 13521 5081 2 4946 3842 2 2552 1955 1 12631 7411 1 9535 196 1 3651 6868 1 12913 7948 2 13173 2671 1 5737 5353 5 9935 2341 2 7966 2800 4 10813 2403 1 9749 409 1 4512 2501 2 4869 1253 1 9390 8235 34 4935 7425 2 16096 5486 1 18980 4351 4 7088 1950 2 9584 7672 1 15683 7572 1 15991 1523 9 2073 1965 1 2803 390 1 6388 74 4 14175 3632 1 1191 206 6 18887 1363 4 14957 4692 1 13 920 3 7682 646 1 9171 1367 12 5430 3788 1 13804 6414 11 4311 6801 4 17995 6414 1 19634 820 3 9642 3333 10 6361 354 5 9374 4956 1 17151 6615 1 10145 842 1 4143 219 3 15171 23 2 11903 3915 1 7682 548 2 19848 580 1 6801 1249 1 6235 6856 1 12614 3697 6 12736 3011 2 44 2280 2 14473 4623 1 11634 2315 1 14664 187 4 13183 732 3 9534 46 2 4220 1748 3 5997 6892 4 1795 1062 4 5616 1109 1 7994 665 2 16799 196 17 8156 1827 6 16913 6058 1 13044 7446 1 13055 964 1 3300 4998 5 3562 1695 1 8410 3764 4 11265 5234 3 18713 1764 1 12777 3370 1 17996 7878 5 6377 5686 1 5842 952 4 12230 2353 2 18821 4258 1 8709 4065 1 11784 777 1 15435 2675 1 18847 6434 1 7010 1863 2 12141 5105 3 13697 206 6 2900 494 1 16730 2821 1 10242 200 10 14793 4435 1 1081 7311 8 2732 6902 1 2551 3333 1 14011 1308 2 15653 3558 1 16090 1990 1 1849 1702 3 17575 5162 1 2316 1275 1 12934 6196 1 343 1238 5 156 7165 1 11766 3625 2 9347 65 1 19797 5971 1 15622 3180 2 6787 1731 1 2758 2549 2 13758 422 1 16809 200 5 14079 190 2 11026 1761 1 7780 392 1 15254 200 1 7769 519 3 2674 2651 1 17954 1660 2 17756 222 12 3036 4620 1 130 5851 1 8053 5333 1 11 391 1 9579 3065 1 185 411 4 14920 2662 14 5803 117 1 1889 7901 1 11343 4015 1 3962 1740 1 887 1015 1 4579 200 9 5636 196 11 5479 8217 1 7205 156 1 14344 1378 1 11360 746 1 19654 4097 2 8734 3693 1 12325 7450 1 5681 1247 2 17 1150 5 12988 193 2 7217 23 1 15234 1416 1 2892 7221 5 15321 5389 1 17141 1714 2 6479 1819 1 10537 5698 7 18893 1615 3 14087 5834 3 19664 214 2 11557 2203 3 4787 13 4 16674 4402 1 16435 7313 1 19786 4944 5 19428 6993 1 16860 708 1 19658 3695 1 13928 6408 1 13601 3491 1 12819 867 1 15608 954 1 99 702 1 10482 6413 1 5576 4684 1 18690 4435 1 11964 6051 1 2380 5290 1 9857 130 3 3976 3267 1 94 4232 1 9525 534 2 9298 1587 1 15473 1333 34 10416 2736 10 1571 23 1 5982 7008 1 14532 3635 1 7956 1275 1 15270 1825 29 11131 5839 2 1060 2410 1 19730 4489 3 725 2980 1 12249 1240 2 20110 1686 1 3406 5972 1 3939 6945 1 19210 891 1 4092 4873 1 13854 534 4 9248 2138 4 16434 4002 2 17169 6748 1 6278 2746 3 2886 2931 1 2624 4667 1 1472 2354 2 17133 4603 1 4498 529 1 10204 3230 15 9495 2584 1 15908 6481 8 7849 2247 2 121 5317 1 15095 1643 2 3573 6555 1 4524 952 3 13922 411 5 7707 3425 5 17314 1742 6 153 6892 5 583 4689 2 4663 1339 1 14114 670 1 18706 1244 1 4462 1930 1 7670 244 5 7455 7772 1 16456 359 1 4109 7467 2 17495 6484 1 6830 221 2 3035 184 3 5775 3916 1 2850 2409 1 18935 4949 1 212 1772 7 11684 6449 1 1279 1975 2 4020 1871 1 983 2493 1 9778 822 1 9865 1695 11 8419 5413 1 19019 3634 1 17887 3669 2 7350 5341 1 18381 347 6 2716 4085 2 13414 518 1 7028 1720 1 13069 1954 2 15346 8142 34 17014 1582 2 6032 7094 1 1397 292 1 1499 7431 1 12658 222 25 8343 960 1 17753 225 1 6913 769 1 8286 1241 4 4773 3710 2 7555 3190 2 16895 207 32 871 7484 1 4541 411 1 11465 8041 1 8438 1292 9 3902 3482 2 12777 339 1 5303 1072 5 18053 2675 1 1999 4062 18 8853 461 1 8682 200 10 1780 207 6 5952 1784 3 3027 6211 3 3516 7672 1 4898 4366 1 1313 3899 1 4232 6435 1 20169 8031 1 7899 6023 1 6795 1747 1 3012 618 1 2430 6382 3 11598 7029 1 13405 221 1 10757 3276 5 11300 164 1 7017 7522 3 3896 6052 1 3105 7980 1 1706 2415 1 13569 1482 1 10168 2686 1 12535 5105 9 492 2889 1 869 1745 1 17086 1147 1 13517 1244 2 3759 5589 1 18149 1703 8 13521 5043 1 14055 6225 4 13027 696 1 15164 5517 2 1870 525 1 6540 201 3 14381 1600 1 11886 4884 2 2738 48 1 20191 570 1 6719 2361 1 987 4869 1 15184 5255 9 15180 1239 1 12337 944 2 127 933 1 3485 361 1 9395 4345 1 11766 314 4 13817 4816 1 15948 1772 1 10828 23 1 3394 200 7 37 471 1 2990 5115 1 4709 911 4 10833 853 3 18738 4511 1 107 4815 3 14658 3058 13 7986 22 1 5936 3885 3 20135 6170 2 13383 2354 1 8649 637 2 6421 6080 1 10632 2151 1 1109 2353 6 10145 326 12 4299 7396 1 5463 2353 1 3351 4804 1 12000 7424 1 49 2486 1 13706 1734 1 5328 1357 1 12375 725 1 17694 4764 1 7099 1247 1 9168 232 1 7179 1606 1 5960 3051 2 2057 200 7 18164 6868 19 2646 2569 1 12464 214 5 6976 270 1 4072 1242 2 10457 3591 1 12078 4293 105 9642 3875 1 5267 173 1 15307 3603 1 13675 207 2 3801 902 1 17476 5686 1 6642 237 2 1777 1691 1 19891 1631 1 18155 1076 1 717 505 1 121 5322 2 527 2618 1 3817 1751 1 5982 1248 1 899 871 1 18593 3019 8 6551 2025 1 7948 3511 1 7147 7188 14 12569 1727 1 7859 1342 3 10469 6487 1 65 3099 6 792 4307 7 5840 3645 1 4330 6240 1 13013 910 3 1132 8008 1 6332 6622 2 3806 1234 2 1864 1317 2 8247 2528 1 5596 221 1 15933 581 1 19145 367 1 6130 616 4 19348 229 1 9803 541 3 16109 252 3 2041 3206 19 8560 1025 1 684 244 2 7380 3660 2 4051 7477 2 8799 5325 2 8189 5521 1 16016 331 3 7619 1715 1 11132 1755 3 2917 1785 1 9729 5060 1 4850 7399 1 19396 6534 1 12619 2082 4 17416 6051 5 7620 3581 1 13430 1482 1 1899 4929 2 8620 1685 1 10172 809 1 20060 759 5 9816 2497 1 5169 1287 1 14682 638 6 15180 1342 1 17682 236 1 7882 1951 1 11121 4403 2 11452 5048 6 14818 3540 10 14143 2578 1 1291 3208 1 1107 6702 32 11216 7719 5 8114 103 1 8391 685 1 16853 2897 6 11509 7531 1 5494 3600 1 13096 514 1 5290 3203 5 101 4591 2 12784 5565 1 4022 4591 1 1192 6157 1 6145 1067 1 20144 3540 1 5591 6557 1 2179 7719 2 10810 2252 5 314 2343 2 6858 5256 3 19152 3804 2 7017 4490 13 12725 6674 1 18184 84 5 10534 1903 1 19451 1464 1 9481 1369 8 16388 1473 1 4536 6038 1 1705 452 1 13132 885 2 15041 203 20 5112 1246 1 14511 1710 3 19990 200 7 7569 6470 1 7046 2633 1 6485 936 1 13039 5776 1 15718 2649 3 5241 215 2 15608 8111 4 44 2270 1 19037 2151 1 3133 5256 1 16978 197 8 14596 6170 2 3945 2351 5 7003 3671 4 12686 52 1 3894 2721 1 13208 2847 1 10649 4105 1 17451 234 2 8340 6591 1 11461 220 1 3424 5294 5 18016 867 1 2879 3684 1 3759 6230 1 20219 1829 1 4961 7565 5 4498 7809 3 13510 3573 1 16744 308 1 19569 1778 18 15679 1767 6 4092 1295 3 17428 4262 2 19058 1342 2 19197 4441 1 572 3612 1 19286 501 1 19079 2095 1 4784 6469 1 8226 3278 1 11872 2367 2 11663 3416 2 113 5031 2 16123 532 3 6630 2031 1 4074 2675 1 1884 184 13 6311 308 1 10498 449 1 9680 3592 1 1676 1101 10 9743 290 1 18465 7008 3 16882 7193 1 6658 5105 20 16392 525 7 174 6470 8 11786 289 1 11941 4683 1 10762 1369 2 4092 2388 3 14791 7261 12 18283 7850 5 322 221 4 4859 23 4 10864 411 1 13014 1698 1 19735 944 1 2928 5000 2 13764 7342 1 14738 6273 1 17809 1748 3 11678 2774 2 11188 2356 1 19500 229 16 13897 1275 1 8087 6793 3 15753 519 1 18989 232 2 15858 23 1 2302 132 4 7047 3876 1 14806 723 3 1191 2439 8 19393 2115 2 6048 1752 7 9273 7427 1 16090 7275 5 20225 243 1 9988 230 1 2041 2343 15 15102 2552 4 9583 2378 7 12152 4090 1 8130 501 1 4023 559 1 17414 2541 3 19489 2559 2 11842 6557 1 12230 3613 3 1927 1789 1 2619 5255 2 13675 5362 1 2956 1867 1 246 1019 32 5234 1770 3 16742 4764 1 6835 7466 1 812 8033 1 5084 1498 1 1408 688 1 17601 7210 11 3234 23 1 12101 1182 1 16199 926 1 3337 4665 2 6741 1234 5 8335 1736 4 18915 3298 1 3224 4635 1 13019 6334 1 2045 1234 5 19924 187 1 256 2269 3 6907 3308 1 17298 1658 4 11835 1046 1 11965 4333 2 4379 1338 2 4709 874 1 19872 1704 1 888 2712 2 5379 1716 1 4691 4351 2 9743 2362 2 16109 871 1 2748 231 1 3989 844 1 6769 1756 3 2009 6414 1 312 6139 1 15608 8047 1 19102 6541 1 16270 838 6 4614 5323 1 4448 2799 1 7846 4176 1 19054 1728 3 12660 1707 10 4217 759 7 16355 1825 12 6848 2686 1 15405 7394 1 16090 1650 1 5188 3920 1 20016 6705 23 2690 3749 1 12897 3397 1 19899 214 2 8597 3058 1 19149 7207 1 7745 3113 1 6644 766 1 7132 910 4 5731 4391 1 13535 6091 1 14075 5077 1 4057 1239 1 17939 3494 3 4134 7668 1 4713 7238 1 17778 793 1 951 3980 5 1654 8235 1 10843 945 1 6700 1728 7 5602 910 1 16740 1720 1 16919 6125 1 8394 4207 1 1028 452 1 9432 934 1 1433 6150 1 8403 1751 1 6703 368 1 891 5516 1 9894 3723 7 618 7174 9 5653 1698 2 9674 1695 1 3668 2646 2 11355 642 3 11786 2399 1 14423 5018 1 10733 3233 1 12831 348 2 16057 7831 1 15821 727 1 4731 2958 1 19324 1740 8 4072 7529 1 4694 1904 2 10599 952 1 1783 903 3 7853 2584 2 9886 1450 1 16458 3556 1 19782 1341 1 7962 15 3 2811 232 2 4552 207 6 19124 1583 5 11855 508 1 16130 1819 1 11766 11 3 5448 501 1 18264 2016 1 15713 1573 5 11956 2789 1 5294 7008 6 8520 1132 1 9579 2353 1 16821 6754 5 18389 4322 1 3015 1166 1 5688 5690 1 2709 6032 1 160 7278 2 14517 5385 1 13351 4067 2 1783 1403 3 10272 6520 1 16562 5547 1 16029 1728 2 18667 3512 6 19957 870 6 4498 3710 9 8965 367 1 19602 8058 1 13461 3333 2 7000 8113 1 12765 7898 7 7431 84 1 19594 3457 3 14948 2727 1 3031 6630 1 14080 3488 2 1986 2675 1 12872 4202 1 1875 1296 3 18836 844 1 19971 3945 6 19655 420 1 20051 2675 13 13559 409 9 16648 1702 1 1576 2671 1 5746 1247 1 19272 1135 3 4216 2992 17 10535 5550 1 9666 871 2 8051 6090 1 133 6075 1 684 186 1 3668 5302 1 9358 2995 1 16408 898 1 9433 6776 1 8987 7220 1 17776 804 1 16530 7850 1 1430 2363 1 5798 911 6 9671 223 1 9815 6545 1 18554 2729 1 13787 7213 1 8051 4120 2 8034 1747 1 20013 7531 6 19057 6345 4 5676 1251 1 13865 3619 6 8361 506 1 15415 8057 1 1374 7005 2 1223 4945 4 17945 1781 2 14402 23 7 3485 1236 1 13574 6320 1 12853 6062 1 1520 2058 1 9449 3898 1 8268 3138 1 2818 2542 3 17666 1613 11 9460 4096 1 17966 1779 2 10926 215 1 122 5348 5 8110 3358 5 11345 7029 1 3434 2082 2 5422 2058 2 18285 1606 1 10146 3626 1 18573 273 1 351 422 2 8641 4432 1 14026 410 1 16917 1374 1 14063 577 6 5631 3585 1 19790 2917 12 13036 5387 1 251 1594 1 12995 3086 2 437 215 5 3360 7256 12 17561 235 3 11054 6091 1 18623 203 134 5773 4392 1 14883 1395 3 2585 514 1 12036 8194 1 6987 1745 1 17753 6588 1 14992 4299 8 16645 2918 1 10961 2363 3 3218 7638 2 2458 1537 1 10135 4937 12 11900 207 1 8793 765 1 15495 1736 1 6325 1756 9 1055 5879 2 18203 514 2 3947 702 1 8345 1339 9 12984 499 1 2414 390 8 9976 3314 4 9639 3576 1 3421 1416 4 9535 4992 1 14173 608 1 9114 23 3 6716 6059 2 2843 5105 2 7184 4428 1 14233 2735 4 18693 3525 1 17922 635 5 3398 6916 2 6907 1247 1 596 410 1 19380 3578 1 19113 218 3 17850 5446 1 8843 2351 6 160 7314 3 18858 5121 1 8117 2534 3 5431 7182 2 3797 1698 4 11139 2103 1 3516 3220 3 14225 1764 10 13891 1921 3 3025 1776 1 19981 6341 2 16509 335 1 3112 7597 1 3613 1342 12 1322 1753 1 20001 2678 1 2009 7582 1 17987 365 1 17285 6673 1 92 4168 1 16921 7243 2 12175 5517 5 4495 8067 1 14400 6342 5 3111 6139 1 14678 2584 1 9432 3278 1 7947 219 1 14406 4310 1 83 762 1 3007 3794 1 10178 5086 1 15923 541 2 143 6584 2 16519 5421 1 3043 2894 1 8973 1782 1 12996 3731 6 9864 4879 1 17392 524 4 3694 5674 7 2737 3114 1 3337 3050 4 13075 390 4 10546 2522 1 2357 1340 1 1524 6549 1 94 4250 1 8082 5874 1 8829 8070 1 13491 372 1 12231 837 1 16539 1727 5 232 186 30 5100 4796 2 11440 514 1 3255 1244 1 11396 1248 2 5223 6481 4 7612 929 1 18351 3530 1 15115 274 1 16303 129 2 19494 2065 2 3765 7750 5 18672 3851 1 16078 6526 1 19725 7592 2 133 6090 9 7647 7235 1 11601 2268 5 14504 5758 5 9577 6754 1 6731 4657 1 6989 917 2 12071 5923 1 11798 4807 1 6198 3477 1 18637 173 5 14617 4427 2 14727 5018 3 17321 3522 1 13669 3682 1 4250 292 2 4426 219 2 834 532 9 8969 524 8 11041 3484 1 16649 534 2 13044 6053 5 4591 1038 1 4539 4974 26 11091 3512 5 156 7157 3 13731 4739 5 1841 4355 2 10114 1255 1 14721 1747 4 10161 225 1 18438 23 1 9431 1926 1 16417 6713 7 5858 1654 1 9432 2511 1 9534 4623 1 46 2358 1 10065 1235 1 2027 5018 68 17415 8200 4 19645 5291 1 11020 4490 7 10015 2373 1 17563 6162 1 6228 767 2 7915 6557 1 7685 5379 4 17662 2356 2 1831 5400 1 13705 3248 2 4694 1969 3 2824 629 1 13922 1728 1 20225 557 2 3446 6868 1 13278 368 1 14236 7874 1 18727 4998 1 4482 4974 1 209 167 1 1582 3062 7 18228 4977 1 8361 3394 1 4817 7232 2 20098 292 1 10153 7596 4 12766 707 4 9390 5302 17 6646 3511 1 3058 502 2 124 5405 1 4268 1085 4 15291 5018 1 19744 7206 28 12902 7220 26 19500 1707 3 12760 7594 2 17454 6487 1 16366 532 2 9978 7600 1 2759 2338 2 15161 339 3 6556 6669 1 10911 722 1 5074 7988 1 6899 495 2 17400 367 2 15895 475 1 19409 525 1 10613 6001 1 7445 1695 7 17335 670 3 14689 5325 1 1171 244 1 16991 4944 1 17152 1771 2 10371 1796 2 13204 941 3 19385 3840 12 9793 6680 10 15220 3591 1 3397 398 1 11654 7936 2 8614 3922 1 11006 3949 1 5520 1781 1 61 756 2 5938 1715 2 2917 1021 1 5296 6340 2 13684 5922 1 10110 3371 2 65 3142 1 14615 1778 1 11848 1770 1 17151 1931 1 135 2966 2 7302 504 6 9168 4022 1 1849 4065 2 13806 363 1 314 1698 2 6244 506 1 18747 200 11 5873 7404 1 18014 783 1 19090 422 1 13542 200 5 2885 201 6 4960 1237 1 20181 2639 4 9446 5817 1 10555 2727 2 81 3679 4 19690 184 2 5769 1238 1 4180 6036 1 5294 885 5 9255 3558 5 153 7066 2 17250 4923 1 7976 2528 1 19724 4998 10 11591 647 1 9919 232 1 15727 1244 1 12959 221 20 2265 235 2 14569 4014 1 4589 5532 1 9093 3351 4 3543 1814 1 2443 1721 2 16285 2407 2 20089 223 1 16612 74 12 1467 440 1 12392 8099 1 4388 5835 1 6925 524 1 14826 2650 1 11644 6535 2 10721 1644 5 7858 6344 1 8668 5607 1 17174 5468 1 16491 7542 5 124 5428 1 12245 215 2 8674 46 1 4627 3155 1 15913 1072 1 15274 2671 5 8707 5150 2 13928 663 1 10749 8141 1 1142 4607 9 6690 936 10 5213 2056 1 6084 4884 1 340 423 1 4817 7228 1 46 303 1 7823 3635 5 4249 1781 3 17559 3119 1 5424 382 1 19730 1752 1 6012 4453 1 9969 1091 1 14932 158 1 2643 6074 1 16094 46 3 3796 6150 2 10354 197 1 7036 4957 1 17104 46 5 2369 5293 2 4530 880 1 3004 650 2 12570 204 1 5903 5536 1 1783 1700 1 4954 1642 2 5326 1727 2 5147 1996 1 8069 1333 26 16111 1819 1 3581 244 1 7481 525 2 15599 6633 1 542 1383 2 2803 4673 1 7810 1727 1 2135 5465 1 17506 481 25 2302 5591 2 3600 2542 18 8585 1523 2 977 1819 1 11983 4107 1 2913 541 3 2892 7224 1 1138 2918 1 9783 455 1 5658 1150 2 17960 680 2 19727 926 1 11372 1146 2 1488 5670 1 5884 696 1 15092 3175 1 17758 7512 1 1711 3493 1 5652 4435 3 6275 339 1 14053 1250 1 12 502 4 12175 4941 1 11162 536 2 11046 1748 1 4092 4383 3 18052 8194 6 7000 3775 1 3414 3457 1 16579 3714 5 419 1019 1 4764 3910 2 1759 1643 1 1886 1898 1 9768 2795 1 10839 2727 8 7769 637 1 11764 1519 4 12251 4996 1 16334 1229 1 6796 327 1 3397 813 2 20013 3328 3 3536 8222 3 14842 2881 1 8582 7542 1 19649 1707 2 2488 1363 2 950 525 5 4002 214 1 7219 7091 1 77 3518 1 15372 6618 1 3324 184 1 12062 3298 1 16768 1473 2 18390 4603 1 15607 470 1 9399 225 1 15992 1395 1 12913 8043 2 9580 3892 1 6982 6001 1 5959 5437 13 19221 6799 3 5625 206 1 17753 2949 1 15849 1363 1 5645 23 2 6987 222 2 9976 200 1 2181 7073 1 5065 1529 10 108 4857 1 19695 219 1 11542 1936 1 15269 297 2 7412 2360 1 3340 7730 1 3536 4325 1 6070 1307 9 13624 517 14 6158 7185 4 15566 5324 1 6263 5460 1 10635 223 1 4627 1965 3 9919 3408 2 2863 1825 1 4938 3073 1 11072 1416 5 18798 518 1 997 6533 1 2090 692 1 16183 6278 1 2998 225 1 5444 201 2 9759 1341 1 725 316 2 16590 2010 3 6096 1256 1 14052 2992 4 7054 4636 2 13414 1703 1 8394 823 1 12485 5432 3 16292 1643 12 5681 206 1 826 5054 1 14646 1185 1 19268 95 36 16976 1363 13 10233 530 1 16674 475 1 18781 1277 1 14633 8148 8 12817 1757 2 6556 6758 9 1505 6435 1 15098 3065 1 11212 215 4 11958 2964 5 5159 205 1 655 7666 3 15818 411 11 10777 1612 1 19774 1366 1 17172 5453 2 7152 5550 1 8611 215 1 14928 1342 1 12821 232 2 6018 523 1 7080 1357 1 14172 4266 1 2234 6343 1 5062 5008 75 17578 7083 3 11187 221 1 212 6435 1 661 1752 3 5860 470 9 269 6053 1 16249 604 1 7817 1378 1 1874 1721 17 2980 370 2 1583 3625 2 4020 2653 15 8069 3882 1 6288 4610 1 20051 173 1 18535 3371 4 1150 6137 1 15393 470 10 19776 7911 5 11208 7913 1 4030 898 1 18826 367 1 14466 1672 2 13601 7105 1 13993 8060 2 9168 910 1 12299 7980 4 3777 214 1 61 2767 1 16250 252 6 10371 4222 18 14958 3621 2 863 2088 2 19914 4506 1 20249 5897 1 5891 1990 1 1178 1267 1 5257 200 6 7266 6152 19 2886 4597 1 13134 7 7 3432 1110 1 6907 409 1 17716 525 3 64 529 4 9446 4387 4 9247 2721 1 1386 6669 1 7637 1761 1 14758 2488 1 8620 235 2 939 220 2 15743 1681 1 15427 400 3 17369 1819 1 3847 498 3 19872 1658 2 18211 1732 1 16933 1960 1 14773 1724 1 4606 8184 1 8054 6030 5 3536 3886 1 2154 2257 2 7384 1599 1 4860 1302 15 15713 4683 1 6102 1342 8 6818 169 10 7682 799 1 12753 1992 8 17152 1743 1 12262 7420 3 15794 1772 4 6821 214 3 17809 1764 2 7165 1662 2 8903 1705 1 10239 4145 5 12212 4918 1 19244 470 1 3223 7819 1 16276 7020 1 20007 365 5 14755 6933 1 209 5847 2 6228 711 1 14599 947 1 647 1763 19 6983 1535 6 5713 3771 11 8088 749 1 4302 23 5 19380 162 1 5738 669 1 11523 316 7 8207 226 5 14120 5472 5 7765 1927 1 16618 1250 5 2590 3591 4 8833 5363 3 8250 7467 2 17 1035 1 8959 910 5 8877 2880 1 8006 6607 4 592 427 1 19131 496 8 7245 5324 1 2443 616 1 12757 7352 3 17258 1819 1 1945 1727 5 513 1263 1 10497 4792 15 5775 1234 1 349 869 11 591 3698 2 3070 2352 2 6325 6793 3 2830 1904 2 8054 3972 5 20248 4622 1 6313 6793 4 13891 364 3 174 7946 1 17485 1342 5 8634 4559 1 8935 214 1 5273 1751 3 12231 785 1 17088 1761 1 35 1853 14 2136 4933 1 18705 1783 1 7168 4284 1 20194 1825 1 8967 6061 1 16547 4803 1 18481 5325 15 10245 1717 17 2147 3333 2 2345 1250 19 19965 3193 1 18855 3854 1 10388 5522 2 11512 526 1 1279 6983 1 12090 7497 2 15943 6126 6 16365 169 3 14271 366 1 6983 5289 1 8643 617 2 1435 7446 3 18400 197 1 1711 819 1 4149 3113 2 5411 6684 5 15112 606 1 7397 867 3 6587 206 1 8757 23 1 18264 1926 1 8965 1731 1 12457 758 1 3111 4636 1 4688 646 1 8550 1296 1 17088 1243 1 7507 1146 2 26 1563 1 9144 7308 1 19683 2559 1 18530 4992 1 4770 2717 1 16587 8221 2 12330 336 1 7385 533 2 9354 65 1 9836 5132 1 32 330 3 787 534 1 19656 3512 15 7278 222 2 18791 23 2 3376 2829 1 17662 1761 4 18705 519 1 4709 799 1 1922 6540 1 17033 2673 2 6752 304 1 16389 1184 8 10664 2774 1 7800 2351 4 2980 2641 1 1792 1917 1 11098 4870 3 1443 23 3 14877 8057 1 12206 215 9 3395 1738 1 17354 1416 15 3014 2671 1 3491 1464 1 3813 7201 4 703 7846 1 15471 1272 1 7653 4178 1 16096 5472 1 13252 7027 1 1499 5262 1 12740 1450 1 12599 1271 1 13 619 1 16468 2404 2 14695 3627 1 8196 23 2 15937 7597 4 127 2580 1 3397 704 1 19972 4380 1 453 7498 9 16790 1719 1 6809 10 6 4822 2699 1 9210 4435 1 9554 533 1 9332 74 4 19034 6441 1 16662 201 3 11154 514 3 8489 2450 1 3075 2016 3 8815 6620 1 6894 3621 3 9631 1464 1 10360 1687 1 17399 7461 2 14131 1313 5 18968 6538 1 9572 4214 2 13097 2488 2 2182 4730 1 1483 4312 1 19455 2261 1 17083 4022 1 13827 1757 2 16421 4954 2 8801 6009 5 2040 1772 2 10418 7554 1 12433 6557 1 27 1635 1 11591 852 1 15007 1453 8 11899 4090 1 2485 535 4 19005 4043 1 1733 541 1 13602 905 8 13571 5571 1 11619 2257 1 15722 2356 3 13330 5356 2 9444 196 13 6783 2552 2 8528 3113 1 6078 6951 1 8244 3219 2 124 1283 1 13475 1995 1 15629 1464 5 7127 23 4 15047 10 6 12837 1237 1 8457 1752 1 6769 6502 1 19283 4976 1 158 2290 2 2420 1745 2 7249 506 1 5860 173 4 6178 13 3 10554 605 1 19346 4726 1 5454 1724 2 42 2240 5 2139 2341 2 7746 6512 1 20 222 1 13414 6743 2 1886 1237 2 299 891 6 5158 548 5 2094 2382 1 7336 3647 6 3705 1909 1 14549 2488 1 8463 1825 5 1110 3693 1 8264 526 1 6894 5289 4 12000 3642 2 1804 3421 3 13217 1571 1 6125 1728 1 6183 2356 2 13069 1962 2 873 363 1 19517 2860 1 4779 5108 5 17432 4435 5 19641 498 3 17246 507 1 7481 532 1 19319 952 1 3941 6860 1 31 891 3 13398 1780 1 13779 654 1 13430 1705 3 15723 6424 1 14836 6793 1 14101 3311 2 17946 6047 2 6668 316 5 4151 3595 3 11848 519 3 12307 2885 20 12774 1686 1 12074 5022 1 2385 496 1 12121 222 1 11239 297 4 17698 8148 4 16156 402 10 11919 4429 2 18320 755 1 4397 1295 1 135 6236 4 11097 1737 2 6188 2557 3 13268 2367 1 114 5119 1 11051 215 1 10027 7410 1 7545 1213 1 4760 4622 5 17242 5826 9 17244 4557 1 7769 274 1 2995 1776 1 10665 799 1 11835 7381 1 17120 536 2 9390 7528 1 11694 676 6 17746 718 1 17635 500 11 3485 516 1 446 3119 3 14826 4607 2 8613 1190 7 684 2555 1 14564 545 6 7179 725 1 10291 3426 39 9503 2555 5 6166 1168 1 13349 6999 1 7484 3570 1 18526 3081 1 7432 6252 5 7418 5234 1 336 6723 1 9566 1119 1 6524 4623 1 19136 7229 1 15041 1275 1 14108 292 1 16097 1748 1 3206 1703 1 15331 2645 3 452 7570 1 18475 728 1 15447 203 1 13516 3647 2 3807 1244 1 1780 6341 1 18033 6510 1 17734 5018 3 2871 7997 3 11540 4967 1 3887 5440 3 16590 4248 1 791 6237 2 15429 222 2 16493 2087 4 4251 4964 1 11629 4623 15 4399 7165 2 14863 2138 1 17 1055 1 15079 4296 1 2733 4874 1 452 1238 1 17458 1788 6 12136 4528 1 15180 237 1 6588 2439 2 7834 1146 1 1498 3619 2 15343 199 5 3147 5496 1 6979 519 7 1304 253 1 1530 1184 1 3796 221 2 13530 4963 5 8097 215 1 14773 1363 3 15492 1703 7 7287 6826 1 11631 1249 3 10999 367 2 6630 1474 1 10730 6116 3 2986 7167 1 18921 1163 5 13237 3602 1 12731 6910 5 766 525 2 8960 833 1 12434 944 1 4546 1357 1 4381 2699 1 13328 943 1 6342 173 1 17662 1921 30 17011 5408 1 9482 2656 1 4943 4411 1 7944 4647 1 9667 533 9 18427 215 1 15313 1424 1 2701 4010 1 6630 6931 1 4831 2618 1 7179 852 1 3904 5408 2 1585 4963 4 12013 8200 7 3064 223 5 14250 244 2 10988 1938 1 6939 411 2 13238 535 2 11480 23 3 16275 222 3 15548 215 3 3505 497 1 15323 501 1 9224 292 1 496 177 1 12406 1453 1 18815 225 5 6183 1761 3 10741 200 1 10553 3368 1 7610 869 1 11536 8141 1 5671 521 2 5454 6777 2 3304 967 1 13490 1146 1 17086 7936 3 6665 6059 14 15371 1825 1 19863 3786 1 11213 5037 1 5278 5771 1 11072 577 4 15817 5486 2 9725 2514 1 5305 1729 4 18397 4010 1 18461 3212 1 11804 8200 2 14092 2009 1 15608 157 2 19107 2721 2 16444 1235 7 11309 1101 1 8051 2005 1 17551 2730 2 15004 232 1 12279 508 2 4425 6875 1 4109 7624 1 10114 1727 1 20133 7061 1 18066 7934 1 40 2082 1 1551 1238 2 16109 5418 1 3097 1955 1 14597 534 2 3907 1720 1 18944 7951 2 12832 4995 1 13911 232 8 1026 712 1 6368 1691 1 16975 236 1 56 1788 1 18334 4013 4 12747 976 5 19134 3622 2 17886 2936 1 1031 4998 5 1576 1717 1 18862 1891 1 4799 5138 1 8586 954 1 935 2352 8 4694 7187 3 17 1176 2 225 6435 1 9921 368 2 15513 7201 36 19792 3531 34 5372 6484 2 14504 6204 5 10670 7491 3 8636 890 1 4743 23 4 6533 4281 1 2365 1819 1 13091 5513 1 9604 411 8 12403 5575 1 1950 6100 2 9883 1248 2 715 2001 3 5977 4401 1 14522 1464 2 10165 718 1 1617 4972 1 12737 2698 3 4068 6164 1 17605 2958 1 736 244 1 3455 4963 11 10814 1342 1 6644 347 2 2045 46 6 9749 1887 1 7451 1820 24 11424 3022 1 14410 6640 2 13765 2354 1 17404 4929 1 1962 665 1 13459 3625 1 4050 1245 2 19521 4380 1 3250 5115 1 1551 235 4 5651 631 1 18739 1266 1 104 4668 2 14060 3921 7 16535 2292 2 492 8194 5 1642 4366 6 11730 1278 3 7498 7972 1 5926 8051 2 2282 1682 1 11687 4723 22 8547 6777 1 12897 3920 1 4015 409 1 2622 995 1 10579 8088 1 4663 477 1 10661 7734 1 15982 262 18 8952 5972 1 4593 5333 1 19401 1770 1 10830 184 3 393 7101 1 6451 1341 1 12337 5051 1 18637 890 1 8531 4615 1 4316 3512 1 5653 6164 1 4049 274 2 16564 3733 3 14931 1342 1 6508 4043 1 4779 5433 1 12856 4607 1 2019 426 3 15429 3316 1 17169 23 2 19034 6769 2 10078 164 1 10462 3007 3 18190 521 5 14619 2164 1 1867 1374 4 1458 4098 1 5793 2352 2 15164 2722 1 16249 1296 1 171 7806 5 15270 6155 11 19306 4584 1 13961 514 3 14497 214 1 2414 7212 3 421 1062 2 10595 1743 1 19568 2683 1 6771 235 2 5744 1763 1 4092 227 1 7900 3088 1 12829 2608 1 1824 4728 1 6987 6197 1 4913 4612 1 18133 2362 2 16000 1760 2 2271 1277 2 13619 1695 1 19438 5758 1 14052 3213 6 87 4016 1 15100 840 2 9552 1242 2 6509 4465 2 8390 2966 4 6242 5130 14 1666 2548 13 3430 7815 1 13388 6127 1 19511 5548 2 19872 1664 1 10997 7474 1 7340 48 1 2371 1247 1 12026 1282 1 16697 203 6 10847 5734 1 14746 418 7 13076 4245 2 19556 1247 1 14601 1714 10 7020 8141 1 9281 2949 1 130 5815 1 5318 5670 1 1764 200 1 14114 6482 1 9803 1244 2 17596 221 1 3649 1710 1 15904 200 2 9437 1752 2 9672 1311 3 20080 6380 1 2674 4245 1 6228 7320 1 15932 1073 1 5623 2945 1 11786 871 1 7823 724 1 1464 196 1 11848 207 1 735 690 5 9595 2030 2 4691 1357 2 4935 5866 7 16945 6890 1 11687 1363 3 13045 6517 1 9521 7853 1 12501 2686 1 15211 5734 1 496 206 1 2360 7302 1 17995 5758 2 2936 7204 1 2208 2663 3 7188 1714 1 6761 1752 1 1863 2444 2 18391 7207 59 2909 1374 2 3282 4615 6 13681 4540 1 7652 1238 3 4822 1747 3 11996 207 1 19649 232 2 2871 5150 1 10381 197 1 9767 262 4 10401 219 4 9531 1751 6 6740 755 1 14898 4703 1 18780 5346 11 3273 2097 1 5587 232 1 19326 534 6 2041 1752 1 6848 6183 1 18459 1819 6 15379 4297 5 97 215 2 6456 6037 1 15398 581 1 7610 893 1 944 6673 2 16828 308 1 14318 4811 1 12400 1373 2 17105 2662 39 11766 1748 3 5136 2354 1 16700 604 1 12434 1914 2 12325 643 1 4639 3533 1 9680 4560 1 5188 4379 1 667 7317 1 7029 874 2 17404 3563 13 17027 3239 1 4860 1184 6 1359 1374 1 821 3301 1 6158 6185 3 6413 1784 2 3501 3661 10 3700 2639 4 11787 1407 1 1026 604 1 9316 3875 1 12482 2584 1 8452 236 1 15743 4436 1 7568 3627 1 17825 1718 7 12625 7008 1 16291 4592 2 10903 184 5 9628 292 1 19997 3699 3 786 2649 6 15983 203 5 6145 4807 1 9891 13 2 9073 4230 1 18008 3684 1 3323 1987 1 11052 4107 2 6229 6252 1 17804 5347 1 13436 5798 1 6113 6957 4 6640 1982 1 13777 1972 2 17807 2710 2 108 779 2 4551 200 3 10597 172 1 18957 7275 5 11458 7636 6 7116 1720 5 1203 3255 1 2752 1249 1 2953 5276 1 7179 926 1 1296 6697 10 1102 1990 1 15116 4290 2 18574 7259 2 7964 3019 2 12985 1401 16 12903 6252 1 743 1395 2 3442 4266 1 14637 1819 1 279 4950 2 4311 5472 8 11545 1691 2 16927 7411 1 3000 4441 1 10723 6342 1 17392 1781 1 14896 2353 1 5626 3233 5 8993 219 8 10821 536 1 12213 2431 1 9661 1729 2 6683 229 10 8201 1898 2 12286 1770 8 16490 6680 1 9314 411 1 19165 759 2 9920 2691 1 6131 7808 1 13672 820 1 4857 3512 2 15429 385 1 10539 3833 2 18237 1450 1 101 23 5 16714 1402 1 11397 2653 2 446 4811 1 5251 4293 1 20191 177 1 19671 47 1 12009 196 7 1831 871 1 15405 1236 2 19671 2409 1 3968 4299 2 12902 220 10 14400 244 2 13429 3275 1 2770 3076 1 9816 2118 1 12041 6481 5 16146 1721 1 18508 4673 1 19604 7398 1 16481 7001 1 121 623 1 11074 4019 1 9319 6396 1 20145 1727 1 1059 1658 1 7732 5284 1 5873 1737 1 15138 1319 1 19663 4967 1 3073 1686 1 13806 869 1 8094 604 1 13570 383 1 6211 220 2 5675 510 4 1542 200 4 20154 7936 16 1150 842 1 5373 2138 1 17927 3417 2 14696 6719 1 10772 532 2 14174 2899 2 2813 2729 1 2726 4012 4 5909 815 1 9724 220 7 10055 1243 13 1867 7857 1 8088 4317 1 381 595 1 18284 7809 3 10916 857 1 108 4903 5 20074 3212 34 15157 545 1 7667 5448 1 13212 4105 1 18743 6059 2 13185 5253 3 9703 1649 5 9661 206 1 14519 5517 1 19967 2575 1 4463 1776 4 19193 1827 1 15530 4466 2 3804 5766 1 105 4724 1 3150 2663 5 7135 1736 1 14524 229 1 13428 1643 28 12957 6018 1 19663 4998 1 19602 3051 1 18479 561 1 14244 4648 1 7173 1707 1 9660 471 1 15429 3625 2 1009 4303 2 12491 5559 1 16348 6169 1 7644 382 1 13700 1227 1 13938 2111 1 9998 153 1 3340 1825 2 3059 3408 4 939 1769 1 4770 1703 1 2571 1955 1 14018 1251 1 7111 525 3 18150 6031 1 6008 125 1 1045 225 1 3442 3591 4 16403 442 1 7034 2767 9 19634 3203 1 3796 616 1 19079 5620 7 13661 1294 1 5875 4727 2 12665 6494 1 3704 221 3 10320 3247 1 42 2178 1 10549 1784 3 19760 6091 1 13187 8041 2 259 164 1 19006 6564 1 9162 5506 1 1663 1757 10 15075 1611 1 13046 1729 1 83 3739 1 14897 1907 1 9989 3431 1 16372 6538 3 16494 1819 1 18229 3473 2 12445 1384 2 12330 153 3 13671 3909 1 16434 229 1 13919 7522 5 12222 8096 1 9245 4614 2 9387 2204 1 3755 6564 1 9626 6038 8 12343 4882 1 4566 3980 3 17738 5270 1 2959 2488 1 12709 3021 1 14162 385 1 6781 6180 1 153 6396 2 10460 7229 6 7823 792 2 9399 4041 1 6742 1334 15 4011 402 1 7328 5917 1 8641 4713 9 12934 23 1 17887 1752 6 13078 833 2 2992 4525 1 2360 6309 2 7948 7719 5 6624 314 5 604 1316 1 12456 5594 1 6606 1882 1 12417 3512 1 7599 1251 4 3908 232 5 8835 4176 7 10313 2369 10 14558 3156 1 18690 232 4 379 3697 1 8411 510 2 3569 4996 6 591 2632 3 10879 184 2 2851 1334 6 17771 461 1 1206 1042 2 13207 3081 1 2083 2572 1 19430 6334 1 4960 702 2 5940 4755 1 18974 3895 6 1794 299 1 10179 7674 2 9894 578 1 6341 2938 3 17850 2883 1 9273 5446 1 4804 1396 1 811 3625 1 14336 1342 2 467 724 4 8062 220 7 18207 7447 1 14826 7629 1 19331 2534 1 16063 5402 1 2990 4435 8 5453 1241 15 16176 3158 1 6305 229 7 18377 6780 1 7336 3521 10 7459 1903 2 15471 3493 1 9187 6080 1 19034 5940 1 18465 1313 4 4539 496 1 2274 4304 1 10947 501 1 2127 6720 1 9160 7672 4 17355 7232 2 2760 581 1 18447 536 4 13126 4805 1 12384 5583 2 12529 3364 5 6261 1424 1 1587 708 2 1576 532 1 15318 2626 2 4898 1236 1 18581 5058 1 9519 1761 1 4332 1728 1 4796 3238 4 9871 4691 1 2443 3892 5 13231 7420 1 822 4304 2 9319 1190 1 1816 4251 2 121 967 1 11450 4120 1 2911 4343 5 11738 1359 1 3817 4459 1 14905 1823 1 12722 939 1 7000 5888 5 17567 1524 2 17296 8036 2 16141 2270 2 4037 8196 1 2284 1288 1 17816 504 5 10694 222 1 13589 495 1 8547 6473 1 10879 7596 1 9155 2655 1 8552 7091 1 124 5493 1 6510 1103 1 19331 1252 1 1002 215 1 3485 1748 1 11008 3074 3 17341 2792 1 4006 2354 1 14130 874 1 16931 4383 1 10339 520 3 18372 2889 1 339 1116 1 17847 682 1 15558 525 1 8383 1768 2 4277 1453 1 17762 5019 1 33 1818 1 6533 692 1 7203 6480 5 1783 3634 5 4057 3389 1 13570 915 2 14318 4635 1 4165 1128 1 12370 4865 1 18538 6494 1 2008 3699 1 6801 6892 1 13187 7929 1 17096 2695 1 1150 5943 1 17992 1507 1 19140 6527 1 10907 320 2 12710 4429 1 17461 6577 2 13615 3399 1 17735 7995 1 9465 1774 5 7737 6657 2 16891 518 1 5444 1164 2 20201 5750 26 1806 1752 1 17788 4544 1 6769 196 5 12262 23 1 5993 335 2 20215 7495 1 2678 2529 1 5936 2349 24 1369 6623 1 1733 411 1 15677 1788 1 10554 4258 1 13290 6213 5 19223 197 1 19428 1716 1 115 5183 2 13654 5570 1 4328 203 3 7879 4074 1 7426 7238 1 2669 2355 2 9178 1710 2 8506 8195 2 15220 1981 6 16825 3899 6 337 215 1 18371 6155 1 6091 501 1 15468 1718 4 15874 3595 2 13294 1745 8 7846 4131 1 19518 1703 1 174 8018 4 18879 1999 2 2891 3899 1 7857 201 3 7761 1955 3 2739 2729 1 11861 545 1 12610 6246 1 20217 6669 1 873 2367 5 14560 937 1 18983 211 1 11846 1342 2 7112 4622 8 15075 6779 1 1635 7060 1 11122 3815 1 13012 1450 1 822 215 1 5158 911 1 13119 6618 1 8832 4359 1 18568 719 4 14621 1203 1 6406 201 1 80 3615 1 2288 5104 1 11218 23 5 16899 789 1 16886 1247 1 822 316 1 7701 3492 1 6654 834 2 1453 6016 1 4993 2439 1 9412 1296 3 7245 4554 2 18116 6036 1 3514 3866 1 83 3772 2 9315 1717 4 11212 514 6 3626 7410 1 16644 7216 1 18543 6898 2 17458 8012 13 7361 6941 1 1204 1209 1 601 2350 14 6183 2938 1 13238 5903 1 2154 910 3 9432 693 2 3337 7586 22 4214 5724 1 3712 4284 1 141 2065 1 10026 1369 1 11461 4322 1 18575 1768 3 9808 1235 3 13857 235 1 1039 5138 1 19504 7751 2 6589 57 1 4092 2675 6 19568 1035 1 6473 6047 3 16645 5654 1 18976 2591 1 14202 3167 1 12615 1818 9 17763 8192 1 12913 1251 1 19468 1781 1 8833 5369 3 572 1247 6 18289 3248 5 16931 2409 1 9187 1243 17 17372 4479 1 11790 1286 3 14087 1757 1 5616 7102 1 15398 7244 1 1513 1122 1 10579 2729 1 7219 6225 9 5025 2817 2 15992 3479 5 140 230 1 13303 2262 19 324 7414 6 19369 207 5 4691 84 1 7670 616 1 17562 5539 1 11882 498 1 19475 5783 1 10082 7840 1 9889 4929 46 3972 1369 1 8332 2662 1 2452 231 2 14441 6170 5 5617 7520 1 11388 8069 1 11677 1737 6 3703 1785 1 2905 412 1 18476 4186 1 6556 5453 6 8714 470 1 4774 1235 10 5349 1342 5 11935 4303 1 17778 4383 1 11925 6204 7 6137 215 2 5860 3188 1 9996 5165 1 6926 422 1 13697 7229 1 1584 2675 6 11461 244 2 6781 4012 3 10274 193 1 1751 3206 1 1858 3175 2 17953 4022 8 15952 2009 1 4307 207 7 14208 2294 5 954 2413 1 525 7726 10 19902 4722 1 4970 919 2 9946 523 1 7823 6084 3 16436 33 2 787 413 1 2284 363 1 11156 6107 6 10835 1374 1 20225 945 1 111 5012 1 3594 3908 1 19602 644 1 15360 3907 1 1904 207 2 135 5672 2 19686 3578 1 3119 2655 1 16967 541 1 3480 1150 2 12897 244 7 6527 1367 2 13238 4013 2 13187 2492 1 427 634 2 11663 534 1 8566 6508 21 18517 840 1 12618 1110 1 11722 3510 1 17487 3969 1 4058 1946 14 17144 91 5 12142 7410 3 2407 214 1 4072 745 2 4806 6108 1 13346 2138 1 31 506 3 4539 3637 1 566 6680 1 12034 4427 1 11998 1730 1 18895 2827 1 15816 7788 1 5613 617 4 7452 846 1 15025 2580 2 13410 676 8 15836 8108 1 10337 23 1 1962 935 1 16062 1887 5 20123 516 1 8502 4431 1 18159 1146 1 2575 4591 6 6199 1824 2 9276 1315 2 1462 2727 1 6403 2955 1 4332 186 1 17606 4411 1 11985 230 11 14429 3757 1 7991 5121 1 4273 5422 1 18116 1239 3 19632 512 3 1302 200 4 19125 2297 1 6010 84 4 1060 2384 1 7034 2662 4 15708 4024 1 7404 5859 1 6348 597 2 14402 219 1 11591 707 1 7227 5922 1 5591 3148 6 4570 1482 5 11920 1667 6 17324 906 2 12009 1364 2 10923 1743 10 16187 175 1 5758 4436 3 121 5314 1 14840 5674 2 1969 3948 1 4263 1108 4 9872 1717 1 5303 3618 1 11804 1507 2 10522 6874 2 341 3113 4 4716 2683 3 16768 4467 1 13415 1986 9 9462 505 2 9607 1289 1 17141 4300 1 7723 1253 7 3726 3992 4 17650 3059 4 5244 4245 2 3895 1423 3 13084 1737 1 10813 2671 1 5817 426 1 6885 1116 1 8311 2571 2 17098 219 1 3395 1734 3 8198 6922 2 15594 4805 1 11928 1928 22 5391 638 32 8913 7200 7 3306 5810 1 13066 5490 1 10049 1726 2 413 3476 1 5390 2316 1 3253 274 1 8733 809 2 7853 466 1 6485 4543 2 19457 7085 17 12171 3255 1 6854 7997 29 20248 1241 1 10579 57 1 86 3954 1 14552 6897 4 20229 1001 1 16096 519 3 679 6482 4 3685 1788 2 8951 2500 1 5246 229 4 20269 1354 2 2866 188 1 14808 1324 6 14092 1146 1 17036 704 1 17856 3315 2 10565 5878 1 13126 1366 1 13711 1643 1 15529 2131 1 6151 3464 1 9816 7534 1 252 2737 2 14408 2478 1 3088 6557 1 20078 1698 1 12133 418 1 17726 905 1 153 682 1 19286 4949 10 10253 5228 2 1893 4882 1 16531 1762 1 18177 7839 1 10486 214 1 2643 1305 1 5128 883 5 18559 5054 1 9894 842 1 3663 221 1 7620 404 1 15485 1995 5 6808 4585 1 11890 7503 4 17827 6260 1 16997 5768 4 17816 5036 13 19481 2369 1 157 3477 2 16741 394 1 9864 400 1 2583 2464 1 8913 2683 1 2077 1464 12 8435 5502 1 10105 1237 1 11192 1662 1 19252 4189 5 19319 519 1 10528 4500 1 12099 385 7 2025 4285 1 8608 4995 1 105 4712 1 1609 1657 1 17331 520 1 153 6904 7 10265 1946 1 1172 270 1 18427 1736 7 4663 5255 1 18087 1416 4 10735 3801 1 5340 2327 3 862 1239 1 13315 3045 5 18976 6640 10 1801 5897 4 18946 1235 1 4022 1203 1 15082 8056 1 11864 3167 9 15712 2260 1 3832 1246 3 15732 221 2 20157 4511 1 9531 3163 1 5461 6481 1 496 220 1 14746 6204 2 16111 2678 1 4630 2694 5 11125 1357 1 14472 911 3 7670 670 2 7463 2516 1 5943 626 1 17803 1175 2 2424 1060 2 13046 498 1 6290 1704 4 15041 1244 2 16881 232 1 17298 2534 1 11195 235 1 8721 8200 1 13328 1241 1 11252 164 5 2477 3491 1 1916 7597 3 2508 35 1 12640 7145 3 16234 6663 3 15025 128 1 14255 1703 1 10 269 1 8468 8183 2 13078 173 1 17954 1312 2 15895 743 7 8934 5262 1 10242 532 1 19935 3685 1 18358 2247 1 7952 4827 1 9597 232 19 1538 4992 4 15903 6717 2 6712 828 1 17962 4858 1 17651 7184 1 12808 3175 2 19503 1170 1 16442 1395 1 13262 1307 1 877 3794 3 8884 201 3 9148 2651 10 9524 759 1 13972 867 1 1155 1287 2 4180 794 3 593 215 2 6832 184 10 85 3896 10 9093 1264 1 19570 6793 1 3376 7531 4 13800 1277 5 575 1269 1 8760 2528 1 9045 229 1 11906 940 7 17905 4022 4 16002 812 1 9750 2938 1 895 6481 6 8389 3255 1 14171 6561 4 10606 5400 1 6504 1478 1 94 4311 1 12325 856 1 10759 2216 1 11882 2720 1 17600 1819 1 17788 6473 1 12727 1399 1 7003 525 3 7688 4077 1 18183 1757 1 7099 441 1 14997 659 1 19815 3811 5 2629 2355 1 13732 203 1 12421 3916 1 12715 2675 1 17323 2667 1 6943 3228 4 12970 1085 1 2870 1147 2 2143 496 18 8994 6341 1 3043 8146 5 14553 6603 1 17791 6486 6 9237 501 1 9693 304 1 18671 6054 1 9551 6979 1 7823 4252 1 5004 5938 2 11740 2671 1 7910 4789 2 6088 2291 1 16989 5054 1 12620 1235 1 802 6979 1 4362 1692 1 4616 2646 1 18736 3085 1 2848 458 6 8362 1235 2 3894 1635 1 11933 3079 1 2246 3899 9 16809 411 1 15321 4673 1 5117 850 1 16810 186 1 13792 4204 41 13829 910 5 17802 201 1 15825 6481 1 138 6317 1 14791 1705 4 122 5353 1 3309 3899 1 7799 4333 7 4210 1686 6 12063 4366 2 19984 1245 3 4593 819 1 16268 543 1 12355 129 3 9474 1342 3 17404 7815 1 3570 5531 1 1893 4446 1 135 6176 2 8709 581 1 2349 524 2 14162 673 1 4309 7201 1 11354 200 1 11002 1751 3 16140 403 1 1119 7511 1 11480 1244 1 18561 6457 1 48 2413 3 11678 3874 1 20110 214 1 3963 1700 1 6109 4478 1 10698 203 4 13099 1710 2 13220 5586 35 14700 1779 1 6889 1783 1 7411 1374 1 13706 1450 2 16287 6527 1 3134 201 1 6568 1449 1 14200 1235 6 6964 2904 3 10901 4299 1 12048 4146 1 16836 2834 1 17555 1237 5 87 498 1 5341 3972 1 12739 852 1 18257 2639 2 612 4006 1 14233 8141 1 5440 1737 1 11799 1681 6 9421 279 1 18259 1209 1 18351 1686 11 2962 916 1 12057 508 3 3739 164 3 11399 1067 2 739 498 1 19996 605 1 9894 4623 24 2006 7412 1 6897 203 7 10617 7719 4 17184 4156 2 15787 7844 1 17166 5539 3 11243 303 1 1079 235 2 11638 1718 2 10949 4056 4 14578 72 1 10264 7911 1 7117 402 1 200 8152 1 17388 5690 31 12206 336 2 2752 2132 2 7017 1245 3 6032 1453 1 15101 3248 35 8174 222 2 855 7427 1 6420 1019 1 5161 2539 1 7157 3234 1 15307 3402 2 19809 524 7 6527 4384 1 5319 743 2 14632 6075 1 6697 3323 1 8969 7229 2 12007 200 10 18791 5097 1 18740 514 1 2135 221 2 2917 5425 1 17615 7533 1 8760 1211 2 12893 4293 1 8982 1710 1 18085 3615 3 8343 3540 1 2228 1103 1 179 1677 2 7817 1610 1 10233 3596 1 11255 3464 5 4282 367 1 15099 5820 1 12181 2971 2 19982 4996 1 16569 4018 1 12152 1732 2 3615 2327 3 18821 7300 1 7905 3399 1 8156 1751 4 1689 7586 9 14234 867 8 83 3740 1 10521 2276 6 1560 6666 1 18280 1271 1 9437 2373 1 739 232 1 19422 2649 2 6544 2559 3 12802 1730 1 488 2422 8 18311 214 2 13167 1939 5 1238 1781 5 4566 6640 1 11353 2653 3 18762 1819 3 1191 197 1 5977 206 1 8447 2410 2 14951 7643 2 17676 5018 2 6701 292 1 5681 1245 1 4716 903 2 18110 4033 1 7334 1337 5 16581 5245 7 8427 1363 1 14240 1922 1 19654 383 1 14375 7734 1 13534 1578 1 86 3941 1 15787 5952 1 1625 1344 1 7538 7621 1 42 2246 1 12029 719 13 4009 4949 22 9254 1342 3 12104 4201 1 20106 3903 1 13601 540 1 835 303 1 4701 568 1 18884 1248 7 14990 2571 1 16006 5996 1 20133 481 1 11087 5531 21 7956 4253 1 3426 1760 2 12623 5970 1 8564 1769 3 13127 7446 1 17662 1244 3 17962 2896 1 19995 2995 1 113 5040 140 14236 3351 1 5893 519 1 1198 1328 4 7065 379 3 3915 4242 1 15025 65 1 8683 336 18 5838 910 1 16683 219 1 13445 3113 1 4131 7933 4 1438 6501 7 19825 1342 1 18867 3554 2 8231 5336 1 6452 4307 1 19872 504 1 13734 6662 1 5221 330 1 17331 1250 1 4092 3922 1 8363 6682 5 6086 532 2 7501 1675 1 12870 2363 7 792 1248 1 17771 4280 2 18179 1593 3 3976 1710 2 3702 1762 1 7135 723 1 16697 524 7 16887 1194 2 3668 2829 1 1443 200 1 9687 2618 1 19854 8167 32 1120 4313 15 4046 23 5 3703 225 3 18989 3096 1 1618 1764 5 17014 1305 1 12821 1363 2 2936 1243 1 4278 220 5 19870 3823 1 3531 2428 2 9702 3331 1 17327 7937 1 1969 3855 2 9880 2678 2 6707 498 1 14295 2460 2 17155 7671 1 18023 7473 4 8658 6723 1 10783 5441 1 19975 534 5 18271 498 6 10457 7473 1 1691 1717 4 14163 5162 2 3111 1249 1 6746 505 3 14110 6370 2 18202 6637 1 19131 1226 3 15821 222 1 11953 7994 1 18340 1740 5 5208 3364 9 3233 1715 1 189 1689 1 4264 1248 1 11766 173 1 11846 566 1 9879 452 2 4072 7750 1 17541 548 1 5986 1537 2 2723 1251 3 1540 215 21 445 759 3 2046 70 1 15258 4446 1 15895 2727 2 16718 7407 5 7918 3591 20 12328 5368 1 13770 6340 1 7151 2276 12 8083 5253 2 18459 2675 1 2197 3430 10 14812 4002 2 12067 788 1 18968 723 2 10309 3790 1 6070 6591 4 3189 1395 1 4309 200 5 7956 6992 1 6152 5506 2 5023 867 2 15450 2137 1 1551 1770 1 6061 1361 1 7269 1827 7 8995 8037 1 18667 496 1 1986 103 1 6887 1244 1 4998 314 2 8530 2413 1 10826 3589 1 242 1707 1 11967 3592 2 17731 2056 2 16320 4006 1 1636 6252 2 9422 188 7 17763 219 1 19162 2632 2 9639 4204 1 6010 1721 9 11415 2104 1 15109 1926 2 4305 5251 2 4234 6777 4 6228 567 1 12753 5758 1 7135 7850 1 19649 5903 1 9079 222 2 10831 7836 1 18074 5922 1 19331 201 3 12903 6207 3 1443 1737 1 1907 1734 8 7455 448 1 11794 1116 1 3134 7018 1 8840 3697 2 16625 1245 6 12055 4015 1 2697 5737 1 16270 911 1 11717 1743 3 16967 2559 2 14114 2893 3 1760 4274 1 18325 148 1 15943 4104 1 2299 708 1 383 8144 1 6059 3356 1 10825 3106 6 4773 379 1 460 541 5 3044 355 1 8074 1748 2 17124 5897 3 13490 482 1 3972 5549 1 8294 3353 2 7334 2107 3 268 1760 2 12619 6629 1 15850 6204 5 3765 2969 19 10382 2595 1 16548 5255 1 2905 2721 2 2133 1383 2 8746 365 5 18843 2729 1 1361 5989 3 10953 2448 1 17783 5285 1 7237 1354 1 2829 6714 1 13587 453 1 382 4306 1 4517 5524 2 1439 328 1 6483 6209 1 11614 8043 4 7412 5325 1 10113 4304 2 17559 1399 2 1660 1272 1 13620 1719 13 18097 2370 1 9536 3705 7 17392 1164 2 5294 1253 1 16442 3572 2 2352 1105 1 16418 1121 1 13328 5536 1 19579 4680 4 2526 347 2 5588 5306 1 352 2463 7 14040 1518 1 12894 215 2 10663 2261 1 5524 545 1 1222 4427 1 11708 665 1 7980 2675 53 1556 5903 1 14988 1999 1 10856 880 1 15932 3741 1 8961 3512 16 11933 5810 1 19919 3036 1 59 2709 1 139 6338 1 16977 1369 2 7194 501 1 14448 1518 1 7692 263 1 11170 7672 1 7417 221 1 14177 3333 1 6889 1711 11 1370 4721 1 7208 1686 1 11634 1930 1 98 4443 1 18289 4382 1 14233 411 18 580 5023 2 1418 215 2 17058 927 1 9159 510 1 12692 1819 1 1571 6345 21 12594 148 1 164 1241 2 13705 4363 2 12325 5333 1 228 7415 5 5463 2001 7 2112 1737 1 6570 2139 2 10879 4019 2 9930 3575 2 1518 1751 1 14899 1363 3 16109 590 1 7335 7230 2 9878 6777 1 3281 200 5 15629 646 2 2962 3622 1 12116 3145 2 2828 8184 1 1109 5445 1 190 7243 1 4747 23 1 18164 4303 1 4072 7674 1 16091 5043 1 19991 2898 1 11402 4023 1 16984 939 1 1520 1063 1 11402 3479 1 18193 470 1 17273 2980 1 9322 2632 1 14719 1781 1 6509 3634 1 1535 4013 2 1986 232 1 6996 4789 1 18526 1729 1 15296 164 4 15743 2678 1 11820 6641 12 17730 124 4 16800 489 1 4396 6226 2 16568 1638 2 4065 1761 4 10308 3637 1 7409 3155 1 4617 5556 1 16378 1748 2 19069 1311 2 5332 7943 1 5866 1758 1 1999 3333 8 11063 200 1 15151 2600 5 2271 2492 1 16506 7829 1 15999 7407 5 4208 2663 1 3503 4333 1 16547 4399 1 5738 698 1 5214 184 2 12131 5829 1 13922 7850 1 9466 470 6 15712 4407 1 19028 153 3 7853 3389 2 13082 690 1 17296 2626 1 12521 852 1 13217 5788 1 17223 1267 1 10757 1342 2 14010 3822 1 18730 2068 2 397 1736 13 13309 4245 1 8015 6037 2 14025 2488 3 15817 4352 4 14908 7022 1 14009 3431 1 3581 1244 4 18279 4232 2 16481 1990 1 9606 510 2 8801 259 2 15408 1363 2 11807 2248 4 64 2565 1 1638 3097 2 17206 898 1 13402 3388 1 15552 3549 5 10146 2863 1 950 979 5 12435 4949 1 17410 97 2 17595 1282 1 6876 1703 1 527 692 8 216 5115 1 10267 1985 1 460 506 1 1935 2790 1 18634 1700 1 18133 1819 3 5634 336 3 18954 1729 1 19708 382 18 13743 545 1 11183 277 1 6563 2564 1 7515 2534 2 6980 2193 1 14336 7097 5 17019 3247 1 8251 1755 3 9190 5253 2 10973 1305 1 12575 258 2 1684 7864 1 20140 7319 1 11250 235 1 16705 7824 1 4898 175 1 1684 1762 1 291 4534 1 14046 5505 1 11001 1280 26 9388 3422 1 12361 356 8 14642 7238 1 950 8122 1 6533 4305 2 12496 5294 1 14253 411 1 9221 1253 1 7045 1764 2 3189 4282 1 7010 3679 3 5452 3617 4 15701 1244 1 6283 1757 4 16754 4614 6 4539 2261 16 18289 849 9 17809 534 3 838 6500 1 15865 1313 2 13734 2003 1 7144 1334 4 5789 1709 1 16474 861 1 5123 3330 3 16578 871 1 19019 1710 1 16779 4398 1 11216 1993 1 7994 710 1 12412 5724 1 18942 2876 1 14274 3203 1 6510 2107 1 927 518 1 7933 1455 5 314 1717 2 11990 926 1 10225 3869 1 19607 7857 2 18968 2491 1 8278 215 10 16227 5202 2 2083 3492 1 16056 498 1 12664 3522 5 48 2462 2 6228 5224 1 3531 6078 1 12208 505 4 8183 917 6 18601 7404 1 12171 6065 1 80 3591 1 7587 863 1 6070 1665 9 2361 7642 1 18133 203 2 6099 8171 3 7625 7350 1 4553 2920 1 9559 5767 1 14686 1273 1 15368 4483 2 1904 6204 1 7587 1705 6 4002 215 1 16736 904 1 2917 2688 1 6682 5408 1 8082 804 1 4716 1184 1 12009 512 3 11663 2930 2 2152 4789 1 2171 229 1 14011 229 4 9658 6901 9 18792 431 1 6769 8255 7 174 8113 2 8017 2980 1 171 3721 6 4282 4404 1 19865 960 1 152 6840 1 12322 1727 2 3578 163 1 4090 3491 3 4170 1990 1 15683 6028 1 11900 495 5 20275 418 2 12817 425 1 16554 191 6 8232 460 1 3268 222 4 143 6635 8 1291 1410 9 18375 2208 1 14430 2146 1 6350 7414 7 12988 6527 1 19153 1751 1 14522 569 1 19033 291 5 11461 1363 1 11634 1950 2 1526 1250 1 6752 3742 1 16096 4448 2 16600 617 2 4930 514 1 5216 169 3 19596 2043 3 10 318 3 11218 510 1 6668 6303 2 4868 8174 5 11451 7902 1 5815 3921 1 593 508 1 16845 1147 1 5494 845 1 19559 4280 1 18074 1146 1 2072 2005 1 6191 5336 1 17872 1748 4 18750 891 1 12126 1023 1 11938 2801 4 14095 595 1 6918 203 10 14515 23 3 828 200 1 10815 6747 1 5542 891 1 5435 676 2 4574 7432 11 11896 2980 3 6332 1399 1 16777 308 1 11574 1724 1 4273 7101 1 13365 200 3 1893 1357 1 3115 1564 1 16476 1833 5 14767 214 2 8837 4591 1 14121 4069 1 3437 5506 1 12286 498 12 3338 1416 1 4199 5443 1 18599 5963 2 11332 2686 1 12757 187 1 5659 4803 1 7507 2676 2 2458 2058 2 4457 1737 1 17284 1496 7 15885 7542 1 13589 1731 1 10783 1658 1 17850 156 1 1949 2327 2 3860 4653 2 3521 1331 1 576 2560 1 9713 4972 1 712 2241 1 9307 5336 2 8077 458 1 8077 3378 2 11882 631 2 13508 4877 2 18214 6334 1 3048 108 1 17786 4031 1 17610 8252 2 8665 223 10 19510 1789 1 19708 2591 1 19085 1395 1 10856 3211 1 15270 891 3 8025 1209 1 8268 1236 5 19322 4394 1 3199 3117 1 9825 5353 2 9250 652 1 15980 6239 1 5158 581 1 3630 2369 1 334 336 20 15825 410 2 8548 184 1 916 89 1 17092 903 1 7018 3021 1 15108 6922 1 12263 676 1 94 1310 14 13731 4606 6 12130 3629 3 18199 7520 1 2529 691 4 16257 2342 1 91 4094 5 3337 934 11 13860 7259 1 13601 1344 1 3337 5333 1 17525 303 1 17814 6754 1 17518 11 1 11990 148 1 15313 4432 1 15614 1985 2 14256 7037 1 3677 23 1 15409 1703 1 4016 1237 1 12405 7271 1 9782 3693 4 4013 502 1 11124 219 1 4490 201 1 12888 1249 1 11156 1271 4 19646 3228 2 20017 5275 2 14086 1237 1 9983 4764 1 8833 6892 3 3304 4640 1 18083 2955 1 10452 3847 2 13358 7229 1 1465 6539 1 4784 1777 8 19455 864 1 12864 759 1 20245 3558 1 7000 453 1 10179 81 179 12570 1342 6 7484 4339 1 15220 2127 2 3676 134 2 11213 23 2 9109 2665 2 19267 935 1 2072 3399 1 7444 6031 1 14752 1652 1 11878 939 1 8853 840 1 15711 6692 1 8531 6710 1 8751 3813 2 1975 3227 1 15458 1944 1 8664 197 8 18462 906 1 19608 1686 3 12550 8141 3 8343 2422 1 1354 1757 1 10143 2351 5 18696 1246 8 2367 6955 2 10285 4476 1 6043 258 2 15733 2907 1 18524 46 12 18089 545 1 10405 621 1 18260 1756 3 9224 5804 2 2067 5071 1 16265 498 2 4945 175 1 8732 1750 2 12139 382 3 12384 1244 1 16376 1825 9 17816 5517 1 6322 412 1 16111 1723 17 10 302 1 1609 5448 1 14079 187 5 3176 4310 2 13387 787 1 12443 46 1 83 3707 3 11793 4794 1 10883 812 1 3872 1775 1 10489 1153 1 5247 6640 1 7739 3216 1 99 4473 1 15818 2268 1 15605 4616 1 11148 2626 1 18211 5892 2 1355 4987 2 8192 2362 2 12078 4963 9 9511 2495 1 5618 495 3 10399 3697 1 10460 1311 1 18115 3167 25 11069 2646 2 19188 6343 1 13162 714 1 15508 4014 1 5488 200 20 14931 864 1 11947 3760 12 11820 2415 1 3673 2488 3 6703 1395 3 13060 2085 1 8156 3252 11 19748 1946 1 14350 3239 1 2726 597 1 5215 4777 5 18775 3945 1 19626 888 2 16006 497 2 17516 197 1 19991 1781 1 9865 1247 13 16816 5470 1 19671 1344 1 14758 2981 1 9090 441 2 17537 6064 1 11035 1164 2 16156 8141 1 5347 219 2 9310 292 3 9712 203 20 9916 214 2 12323 3070 3 20100 535 1 671 1751 1 20064 1339 1 15236 3462 5 17285 2591 1 93 4193 1 14473 8148 2 17953 7601 1 14205 1471 1 3907 6268 1 13908 4299 1 16483 382 1 14098 6368 36 1093 1825 5 3973 573 2 5495 2600 1 4510 35 1 18676 1555 1 4472 201 1 4262 5335 1 18865 2143 1 3255 234 4 13461 232 5 15778 4669 4 18296 1990 1 16732 235 2 6520 2363 1 16378 201 6 19306 7850 2 12725 4538 2 160 7285 2 1853 1664 1 8051 545 2 2385 8051 1 8332 518 3 16645 2804 2 2635 5670 2 13320 1755 2 13994 2111 1 14077 2360 1 5916 5588 1 20145 1745 1 5945 1756 2 4966 292 1 4530 1721 2 14396 6159 1 201 5035 2 20172 244 3 2448 4653 1 15394 4967 5 11418 5922 1 7671 6713 2 6614 6609 1 7473 5385 1 18476 7022 1 5910 1101 2 9916 534 3 12060 4096 1 17011 532 3 12441 2626 1 7966 2541 2 13006 219 1 17884 4963 1 10382 1238 1 8492 201 3 10698 228 1 2284 215 1 7911 2556 2 17488 3909 2 16138 533 17 6536 2686 1 1319 2026 1 18833 3511 5 7764 203 6 130 2489 1 12283 2671 1 5952 905 4 14362 6599 1 411 8195 2 8052 5495 1 8569 3910 1 12444 5513 2 232 3619 1 10322 23 1 11612 7408 1 15653 1035 2 15025 1769 1 18696 1928 6 3199 7427 1 1234 3321 1 16167 223 1 10462 409 12 13084 1772 2 5327 5018 3 1028 2821 1 18467 6011 1 3496 1146 2 9889 1775 26 1712 2836 1 10676 1267 1 6952 8121 84 16491 1238 1 7568 6027 1 15100 935 1 5358 4574 2 102 201 4 4289 3671 1 11018 5538 1 8388 1312 1 2918 3036 1 7243 425 1 18184 6338 7 8801 356 4 782 1761 1 5453 1249 18 6388 7689 2 19352 861 1 2135 5427 1 15270 6705 10 17647 1518 1 19967 1991 6 16723 1814 1 14441 4716 6 7549 2663 1 106 1023 1 20 1360 1 2917 950 1 1322 7494 1 19940 1695 2 9433 1333 1 4930 532 1 12956 5528 1 19090 394 1 16524 3657 11 18533 235 3 16497 4379 2 13271 2068 1 2027 4380 1 2898 3752 5 6452 771 1 2321 1649 1 4253 228 2 13405 7005 1 3004 3928 1 7028 2665 1 163 5071 1 9941 339 1 1837 6091 2 11841 1710 2 15644 4711 2 462 6777 15 13 787 2 2554 6535 2 13720 804 1 15056 719 6 17822 1542 1 18979 1911 2 6801 721 3 9506 2229 3 19899 6900 1 15096 5018 1 14062 903 4 11465 719 6 1361 1343 3 14006 3522 1 5041 221 3 11678 597 3 9804 5545 1 7498 22 1 5709 1236 1 11336 1345 1 4323 8041 5 6125 2268 1 15712 3333 1 4869 52 3 12946 5347 1 11846 232 2 19251 5505 5 6164 2331 1 3892 2646 1 7065 7779 1 16063 5488 1 15214 575 1 3249 1357 2 19606 1235 3 9432 5839 1 4538 1721 9 3119 2653 8 14335 221 7 1012 7586 6 2274 638 1 12757 1734 1 5228 1635 1 16546 7840 2 17166 5443 1 11742 6777 5 6533 594 1 6813 4678 1 13 578 1 8946 780 1 2453 1717 1 13802 3402 1 2574 959 2 10694 186 3 6622 60 2 600 6225 2 845 1037 3 8179 1146 1 1705 943 1 14037 7020 1 19547 1303 1 15726 292 14 16674 201 21 6987 7596 1 8175 1357 1 17302 1871 5 4859 495 2 3124 233 3 18417 1814 6 20269 187 1 17392 190 1 17160 1395 4 13998 1999 1 15814 7788 1 8361 2569 16 16903 520 7 17954 5493 1 5873 4998 1 11884 303 1 13900 206 1 6674 1705 1 9433 7022 1 16016 3994 6 14754 173 16 10586 2058 1 16176 3201 2 10042 6602 2 15063 287 1 8098 221 3 16427 411 2 9695 6187 2 18207 283 1 11687 1342 8 16602 167 1 6347 4428 5 11024 3875 1 18760 244 1 18293 2008 1 4738 2043 1 15861 525 1 4716 1775 3 18698 1717 1 171 7645 1 7728 6607 5 11367 4312 1 8271 6442 47 19714 5550 1 5373 1492 3 427 891 2 2502 2731 3 3644 947 1 1752 5996 1 4057 869 1 8195 3073 10 15468 1236 3 13813 7169 3 1677 3283 2 4963 525 1 13125 1298 1 4252 8167 2 16607 5419 2 13252 7089 1 10510 6707 1 16229 2646 2 3813 2053 4 1863 3348 7 11326 181 1 19176 1700 1 10670 1743 1 11516 1444 1 14462 682 1 19284 3258 5 6789 1705 1 15719 5486 1 1872 244 1 17180 2344 1 891 3298 1 8128 2645 1 4081 3888 1 4597 1388 1 15501 3947 4 14474 2626 2 2336 1897 1 5074 1859 1 5927 411 1 6502 7235 1 17088 505 2 7548 7424 2 11086 508 1 17367 7821 1 19737 4473 1 923 3464 1 8010 6152 3 17585 1713 1 13016 495 6 1211 7895 11 3635 339 1 19800 628 5 15488 1251 3 10153 6001 5 19101 1451 1 18291 248 1 19224 3475 1 7524 6361 1 17184 709 1 7249 7663 1 1044 380 7 16687 4525 1 11545 3679 1 10851 3798 4 11786 6626 1 11857 6640 1 4946 6053 10 10153 164 4 9094 1819 2 1996 8013 1 2744 5820 1 15272 2662 1 18876 243 1 12090 766 7 1794 1437 1 3307 1965 1 14910 4059 1 9812 4179 3 12988 1764 9 7971 7216 1 6487 2955 1 16681 3330 2 11968 7735 1 2226 7668 1 17569 2097 1 9104 10 5 2959 1768 1 8614 4619 5 17249 1788 2 14692 508 2 15782 1999 1 8614 5281 7 4935 712 1 5476 2367 1 869 1717 2 8657 6580 1 16851 7884 1 5725 3388 1 18282 1739 2 3853 3287 1 18705 1789 1 17696 4254 1 15411 36 7 5312 7029 1 891 2720 1 8799 537 1 12979 5360 1 4696 1762 1 14196 1824 1 9638 6714 3 16829 5031 1 3972 5505 1 1780 1825 6 11058 5408 2 20189 7772 1 649 3184 1 6414 3971 2 14028 6719 1 9674 713 1 8052 431 1 8053 801 1 8376 545 3 109 4936 1 18896 5513 2 19160 2028 1 18243 6701 12 17030 202 1 6452 4446 3 16625 1814 1 20275 3086 3 14729 1686 1 15165 2698 1 17942 561 1 8528 533 2 12690 7920 3 16689 6451 3 19961 159 1 3413 5052 1 10875 411 1 174 7944 1 5428 4977 1 13829 5018 2 7985 1729 1 6242 7346 3 5738 5781 1 20 1359 1 1871 8178 1 7721 520 1 4756 1751 1 11857 1727 2 7500 552 1 12619 214 3 15700 3050 1 121 5296 1 482 1677 2 863 4540 1 727 5561 1 3191 1781 1 7615 4807 1 15632 2109 7 7729 1507 5 18132 5305 3 886 1207 3 17416 1395 6 13 770 3 2887 1850 1 15576 5376 1 8587 201 2 11746 1761 3 13445 8183 1 16397 944 2 18868 5385 1 11187 1482 2 6332 4811 2 3545 3602 1 11072 506 2 1173 885 1 19822 7238 1 16916 3909 5 4943 2316 1 9745 7089 1 15220 506 1 2758 219 13 632 7829 1 171 7766 7 7165 2608 2 16870 1991 1 4216 6638 2 17986 188 1 14213 5897 1 5424 3519 1 812 3058 4 9263 23 3 2938 747 1 19975 2378 1 8599 165 7 11411 502 2 174 6957 4 16213 103 1 19679 2534 1 4726 1714 1 4267 2969 1 3956 5348 4 17449 7850 2 4332 223 1 17124 235 7 4812 1184 1 19492 201 1 19628 3294 1 5617 363 1 65 2261 3 14753 1017 1 5882 3378 1 14894 2488 4 8444 3905 2 17261 3430 3 2081 201 1 18773 4979 31 15322 6868 1 12789 2353 1 14416 861 1 5012 2668 3 4092 372 1 8599 4960 1 14362 5052 1 18056 382 2 4963 571 1 10106 222 1 3249 1724 1 4811 3192 1 17903 1764 8 14600 206 1 8334 4228 1 18020 2720 5 17195 6366 4 12458 1714 3 13395 745 15 5495 858 4 954 1153 1 5322 631 2 2997 589 4 164 7508 1 8198 4277 1 6681 1358 1 668 1248 1 19980 1772 1 2143 1380 1 1638 2256 3 6402 6662 1 3718 5673 6 6564 308 1 14064 4187 2 9987 3078 11 12196 4334 1 6781 6209 5 16802 7256 2 13881 1312 6 7312 1342 3 17 1186 1 10507 669 1 12741 1730 1 2317 7719 1 6446 3727 2 17284 6162 1 6420 2981 3 16944 2119 2 17850 2499 1 17715 3068 2 17917 1734 1 11955 57 2 7555 3161 2 13967 4945 1 11509 7527 1 3014 2522 2 6588 7216 1 130 5899 1 314 3215 1 7768 3005 3 2405 1474 1 15635 709 1 2122 201 1 12860 186 1 4446 4481 1 5426 1245 1 12064 1779 1 8076 449 2 17500 2727 1 15689 232 1 18822 8130 1 8787 2514 1 130 5803 1 16895 1324 5 7090 3398 2 15856 7823 2 8362 214 5 18845 506 1 12278 5389 1 1551 5036 1 72 3340 1 14381 4380 8 14212 1470 2 7333 4956 2 16442 1247 1 7029 1315 1 11583 190 2 11865 1775 1 7573 1734 1 11360 747 1 12705 1274 1 6821 2727 7 2045 223 1 16769 5945 2 19203 4258 1 16391 1453 1 19237 5486 1 7764 2363 3 12954 223 2 6449 3109 5 7805 201 1 10078 510 2 6700 1748 11 8362 4363 1 19607 4207 1 126 4781 1 12966 766 6 7538 6925 1 11844 7714 1 73 95 1 18914 3048 16 442 2810 2 6867 5339 2 3607 366 1 12537 4411 2 3584 162 1 13607 3603 2 121 962 1 1002 1277 1 10525 23 4 14053 1761 1 7733 512 4 14974 6053 2 3496 235 2 7823 4435 1 7849 5090 2 873 5277 1 7385 2534 1 13327 1757 2 15726 4998 4 15437 220 1 19822 7236 1 8024 590 1 16557 6140 2 9255 4939 1 18896 1739 2 890 6681 1 5307 11 1 3964 215 3 12984 7412 1 20173 4935 1 13458 7689 1 4417 3556 2 11671 6150 2 8832 423 1 12472 6705 12 151 6775 1 17574 230 2 11317 2860 1 5494 197 1 712 4069 1 153 7118 12 14684 3423 1 19645 2598 1 6754 7101 1 17681 3596 2 12464 520 5 20117 1786 1 4238 1529 2 8930 2727 2 4421 4922 4 12243 502 5 8841 1332 3 15708 1482 1 10999 1416 8 16817 244 1 6244 215 10 8437 981 1 17633 4139 1 8028 6238 2 4176 164 6 14312 219 2 5407 3876 2 14549 3059 1 12648 7986 1 14184 5071 1 13916 4157 2 6105 6754 1 13906 1356 1 10996 5037 1 20040 1647 1 17484 7714 1 2629 1239 5 5738 7350 5 8828 1782 10 14644 904 1 7017 520 1 18202 7201 1 11574 5064 2 14633 3603 1 9014 1036 1 11422 1441 2 432 7235 1 12442 203 2 7871 219 1 16767 235 1 9444 1909 4 5214 1658 1 18538 3069 1 13569 3492 1 213 6259 5 5725 1879 1 14326 1545 1 14022 518 1 7872 207 30 18175 2743 1 5990 1278 8 10487 1464 1 1150 6178 1 7261 541 1 5141 4635 7 531 4325 1 18876 967 4 2367 1610 1 16089 1762 1 10770 4681 1 719 649 3 8846 1244 1 11131 1304 1 7705 252 1 9213 7586 1 16090 4000 2 3427 804 1 11612 6252 15 14599 654 1 16018 3235 2 18692 303 1 8260 5386 1 9954 885 4 812 3630 3 6887 6540 1 15743 1315 3 6644 5389 1 14427 937 1 7767 6500 7 8615 1596 1 1654 1593 1 19322 7719 1 4620 214 2 12702 3216 1 4234 4376 3 19643 2302 1 6396 207 2 5010 4173 11 6468 3557 1 10030 506 1 5285 6588 1 2383 926 1 7179 554 2 18709 187 1 10852 7340 1 8799 3333 1 13657 898 5 11377 221 1 16963 7955 2 8324 1789 4 7572 7448 1 16894 723 1 17418 5352 1 17014 2869 1 11075 205 1 8209 175 1 15495 3715 3 11549 1249 1 19910 6077 1 992 763 1 11381 1825 2 17135 2447 3 11451 7018 6 5142 5612 1 17778 2721 1 17809 1191 1 1789 1707 1 20202 70 11 19178 1383 1 9321 1491 1 8810 5506 1 4188 910 6 7153 536 5 13134 1614 1 8416 634 1 757 201 1 12099 201 4 17220 229 5 31 1237 1 13752 759 1 19755 1253 2 17675 214 1 16436 103 2 4190 2246 2 9007 1454 1 135 1357 2 11519 2146 1 4283 3518 3 18843 3230 5 4594 1203 1 8982 1146 2 16832 366 1 6603 1728 4 12521 659 1 3337 648 1 18443 3622 5 992 252 1 17909 6697 2 10498 1375 1 7620 960 1 12294 223 5 11045 2668 1 17011 231 1 15776 2040 1 12096 411 7 4068 1995 1 4815 4293 4 5428 7961 1 11738 4400 5 6089 502 2 17954 6502 1 3025 1707 1 4711 4019 1 1839 7972 1 2274 4500 1 6772 2419 1 2345 2636 15 15314 7614 1 16741 1303 5 17074 7489 1 11317 215 1 171 1834 1 2513 1395 2 6687 3406 1 4199 1247 12 18324 1305 4 18489 5018 2 14385 230 2 10393 867 1 4183 2504 1 1878 1827 9 10305 1781 1 7065 3070 1 10856 681 2 8433 2315 11 17662 1374 4 18951 4232 1 18398 514 1 6887 196 11 2003 233 4 3562 1235 1 9951 5281 1 9477 23 2 3936 6170 6 5108 4366 5 8129 316 1 3471 221 5 3463 1374 3 6607 5063 2 4188 3081 1 174 8025 1 10920 6220 1 2985 945 2 17500 201 5 11511 8190 1 3582 5792 2 10274 7165 3 18608 3434 2 105 4701 4 16884 864 1 1962 2009 6 16426 541 3 8751 3069 1 17477 4623 1 11645 8141 2 13 554 20 6770 3020 4 18014 505 3 12135 716 4 11271 1703 1 8011 251 1 12619 2423 1 9104 173 1 121 5310 1 11912 5528 1 8651 1395 1 8838 7398 2 11458 7615 3 15139 1464 1 20175 3155 6 10731 7997 3 17020 1150 1 16151 2892 1 2985 565 1 10835 367 27 2851 6098 3 1304 4884 2 7750 3081 1 1988 214 1 1028 779 4 9883 4511 1 10404 669 2 3180 995 1 19732 2661 1 2219 4103 1 7856 935 1 19246 6053 5 9936 4274 2 11615 7536 1 12882 164 6 710 471 1 5128 6705 8 3442 521 1 6676 7616 1 3117 1357 2 18359 8171 1 18637 2003 1 11616 4267 1 1610 2668 2 10693 6669 1 13743 207 1 18376 2147 1 6705 2562 1 562 2077 1 20009 3666 1 10837 1276 1 19137 1338 1 16881 3652 2 12592 5814 2 2927 2626 1 15485 186 1 2829 714 2 2888 3492 2 18432 220 5 10681 3491 2 17791 2831 2 873 1294 1 6012 1775 2 8139 935 2 7461 7719 1 8072 4075 4 17866 4306 1 11964 1768 1 14953 4967 1 20219 4811 1 19872 4383 2 12427 221 3 19486 1242 1 7761 4818 1 5557 215 1 19331 1827 1 1558 1727 5 14326 1572 1 14993 74 1 12934 1726 1 4370 2653 1 1181 5537 1 153 6966 1 12023 1729 5 10043 6639 1 9877 8029 7 19823 6120 1 10247 274 2 6656 232 1 19318 5763 1 3526 4992 1 9031 1745 1 15133 1819 1 11637 790 2 18526 74 1 171 7701 3 10146 665 1 18637 2534 1 20009 3391 6 3324 173 2 17803 4267 5 17884 883 1 929 5105 2 3634 964 1 17550 1113 1 8126 3070 2 10608 1730 4 13734 6595 1 15376 533 1 6668 5319 4 27 1607 1 13082 5002 1 4000 2815 1 8906 344 1 5561 3516 1 1106 203 8 8961 1505 8 20078 203 1 7498 2380 1 10179 461 1 17535 525 1 5890 46 5 13329 2989 1 17084 185 2 1985 4258 1 5977 7492 1 16346 365 3 17633 6863 1 9924 2665 10 17977 7850 1 337 6334 3 15791 4621 2 14797 2860 1 3337 558 2 1064 1721 3 18119 6077 11 16493 5298 1 10926 4963 1 14118 2558 1 14089 411 1 12811 1990 1 13027 708 1 15523 676 5 16222 6081 1 3985 1898 3 4688 606 1 5738 744 1 12373 7013 4 416 252 4 10111 4278 1 12457 215 1 5653 1728 5 16853 2896 1 18251 2998 21 14186 1153 1 18538 308 6 12686 4595 2 16443 5513 1 14691 3511 5 19159 6278 2 4429 214 1 5952 187 2 135 6150 2 11122 4511 2 10031 5319 8 19428 2735 1 11195 207 2 18411 2735 1 12756 1348 1 8054 3973 6 3419 2675 5 9937 863 6 16246 834 1 13800 5256 1 18339 7392 1 14669 4766 1 11882 3006 1 3331 1293 1 7099 867 1 10123 4703 2 16238 1757 1 135 6119 3 2152 5379 7 15108 6442 1 14063 4600 3 15681 3619 2 20005 532 1 4268 3389 5 10733 524 1 14892 2727 18 12489 5922 1 1622 5345 4 1345 6226 1 13961 1748 3 11591 1770 4 20066 5560 2 11948 173 2 4259 7890 1 8513 960 5 18729 336 1 3258 1245 2 14092 4379 2 16695 5950 1 10325 3382 1 13740 4325 1 13999 534 1 2999 1368 1 12566 6023 1 15507 498 1 18278 3962 2 73 3411 1 16924 4504 8 8198 6993 19 20158 385 1 4521 3592 2 4454 609 5 16853 1582 3 7597 6270 2 10447 2727 1 6289 2294 2 9697 1399 1 3643 7586 1 4023 1714 1 9408 4014 2 11333 1100 4 13412 2062 5 153 6941 1 2419 2737 6 6783 3694 12 7452 177 1 9332 3380 1 9212 489 2 6012 1404 1 6836 7241 8 17833 4183 1 757 1357 1 13602 755 4 14151 634 1 10562 8183 1 11572 1342 7 148 6713 9 12638 4992 2 5252 4376 1 5211 201 1 3667 1003 1 4965 1022 2 3853 5348 1 6536 1743 1 7837 5274 2 1697 2698 1 17135 3511 1 9188 785 1 11973 4245 3 4537 1814 3 3397 652 3 11605 2097 6 593 1757 1 9935 1283 5 3991 545 13 7034 3688 3 7219 960 1 11388 1252 1 2969 7632 1 9778 3050 1 15980 2650 2 17768 6697 1 14145 525 1 14931 1241 1 20123 4375 1 12082 466 1 7823 6754 2 5914 164 1 19602 3038 1 2755 1454 8 14762 222 1 12897 3840 2 6283 514 1 7970 634 1 11844 2424 6 10664 7981 1 17526 5018 1 11637 7936 1 15697 203 105 2375 4204 1 8369 4508 1 18287 6343 1 1218 6992 1 15501 5610 1 10947 1824 1 2262 3859 2 452 3399 2 15732 1296 19 1837 23 1 14800 3545 1 135 6217 1 15996 6663 6 12988 4938 1 18508 4501 1 855 1395 2 2899 8029 1 17881 4221 7 2962 3032 1 7696 207 1 7835 2801 2 16539 1751 4 803 4964 1 14202 4963 14 10290 506 1 6269 215 1 7885 4245 1 6928 1781 1 12112 2338 1 14632 1172 1 14732 4109 1 17213 4261 2 113 5090 3 4950 891 2 1064 2671 60 143 6506 3 10165 3397 1 18212 5018 1 12903 7601 2 2978 134 1 11077 1243 1 2582 1726 1 7685 1321 14 3551 201 1 15054 1277 1 7019 206 1 12309 5122 1 40 2106 1 9645 1768 7 19438 1819 1 3000 3411 2 7515 38 1 18473 1085 1 4735 3909 2 10036 1924 2 2047 4312 1 5459 1238 19 4263 1193 4 3002 735 1 14950 219 1 8620 1245 1 17896 279 5 14479 4226 1 13615 928 1 5884 5077 3 19523 1094 1 15306 1740 1 12503 3477 1 7746 6198 1 6364 1718 1 1255 1753 5 16848 6288 4 17500 214 2 126 5613 1 11525 5567 1 5982 1482 1 11551 7013 1 8528 4743 2 5199 2743 1 17494 2636 1 1551 1296 3 1999 615 4 2805 207 1 7538 3518 2 17998 219 1 10495 3512 21 16284 1184 1 5493 6228 32 13972 1825 1 1699 220 1 4841 1207 4 14160 7367 5 17811 36 2 16772 200 2 14703 1781 2 11292 6084 7 12929 871 2 12801 3511 3 5453 5920 13 1852 1879 3 13187 6052 1 19793 23 1 8614 5482 2 15502 2777 2 3702 1727 1 18535 470 1 12339 222 14 8344 1358 5 14899 1762 1 12941 7807 1 62 2843 1 14010 1147 6 15573 5658 17 2255 225 2 3643 3334 1 8152 3593 6 6053 8029 1 4925 1814 8 1588 4476 5 11916 1705 7 3014 5083 1 1866 7465 2 16159 517 14 7640 880 1 17405 445 1 2019 394 2 13384 7050 1 15645 623 1 18760 1764 7 11388 6011 7 12520 8060 1 12837 1571 2 15411 1757 12 18311 222 1 8655 7094 1 14745 690 1 14474 1242 8 2653 3133 5 18330 7477 1 10119 634 5 11336 4435 1 15079 5162 1 11555 207 1 9903 5694 1 10471 505 28 19554 308 1 3703 7240 3 17696 3910 5 7555 532 1 18431 8161 1 1013 3071 1 4884 519 1 104 4669 1 7261 532 10 6084 6469 1 7034 88 1 386 8183 1 19573 3358 1 12292 23 2 18357 225 1 18893 2792 1 7184 1417 1 5369 3838 1 12817 2353 1 17331 580 1 12380 411 1 16588 2397 1 16346 6793 1 9187 1450 1 3560 1505 1 4307 223 3 7991 4357 5 15990 3691 2 8690 2435 1 12005 3233 1 5931 2555 25 19088 7337 1 12970 2494 11 16924 3705 5 17007 600 1 15619 2605 9 91 4009 1 16018 2115 1 17957 1209 1 14616 502 3 19287 429 1 31 1709 1 11581 34 1 1296 3225 3 14660 6435 26 12737 7853 5 2661 4233 1 17345 8186 10 3485 6626 1 14777 206 1 8150 4366 5 14698 2561 4 15144 7098 11 11619 1883 2 13626 3510 3 19733 1985 1 19590 1887 1 10792 6993 6 16636 1523 5 13906 2600 1 3031 1627 1 11441 555 1 18396 8117 1 14284 4380 2 7962 221 2 1512 1757 2 5639 825 3 14060 1819 15 1420 934 1 19063 4435 1 5745 5814 1 12408 1762 2 18246 867 1 10850 2655 1 17155 3809 1 1857 7586 1 5056 2549 1 11230 2413 1 20060 6699 5 3796 411 2 9819 1399 2 8015 3042 3 1276 1819 3 11118 5397 1 6332 5485 3 17101 203 1 19940 2436 2 14599 575 6 18939 3121 1 19408 3511 2 15296 7224 1 9347 3492 2 2590 1825 9 17311 2673 1 7147 1287 3 3782 2889 1 10595 1244 2 13587 3540 1 19990 6091 1 19085 201 2 18880 4104 1 11585 1235 12 15346 1662 47 9374 2109 1 4583 263 1 9672 6706 25 15858 2109 1 17506 4890 1 929 5523 2 10000 2517 1 5285 7948 1 12847 3869 2 18893 6527 1 10675 864 8 16470 470 10 6327 1235 3 3815 1567 2 10203 6098 1 8350 3505 2 17181 1752 4 17424 3622 3 10436 4657 1 8594 944 5 6769 385 1 17647 367 1 9597 1251 2 16954 1303 1 16351 336 2 94 4231 5 19021 1415 1 12456 4379 1 2113 1724 1 14623 2678 5 83 3864 3 13607 6545 1 18175 3554 3 7452 219 2 809 1756 1 4490 1720 1 20168 4022 1 17995 1135 3 15850 3486 1 1801 4404 1 11912 4019 1 1363 215 1 12564 2114 1 11411 3230 2 803 365 1 135 6212 1 19603 6164 4 9891 1296 1 11545 1642 4 340 2508 1 1999 5219 1 11388 173 4 4213 3239 1 3499 1993 1 8641 6341 6 14590 3537 1 5318 6047 8 19523 1148 1 1706 903 3 460 510 1 869 501 1 7485 6190 1 7140 1686 3 18455 5465 1 2041 6190 4 5100 390 1 2818 1245 1 19027 2913 1 13626 1971 2 11403 2736 54 3975 5281 4 19878 3600 8 14758 363 1 19322 667 2 14447 6897 2 62 2845 1 4967 1727 1 13329 1661 1 5911 5687 1 14602 2536 1 2282 641 3 11761 3163 1 19591 2523 2 6193 616 1 2135 1726 2 18511 5686 10 2860 1819 9 4886 8147 3 12464 512 6 10374 1128 1 7440 233 1 1050 1751 3 11788 8057 1 13674 5820 4 934 3705 1 15115 6391 1 14400 6422 1 9722 1770 4 10244 219 1 143 6613 1 5961 225 1 6115 642 2 12502 520 1 9484 1762 1 4162 229 2 7543 5758 2 15192 5849 1 6775 7603 5 910 7098 1 475 5306 1 6357 554 1 1945 3511 1 15355 2691 2 1611 833 5 1839 863 3 6737 6231 1 6431 4043 1 11593 6697 6 20256 7772 3 10400 203 2 11976 5814 1 8033 2356 1 14480 6701 1 4716 3113 1 4092 1656 3 15098 508 2 3985 7578 1 12272 200 3 10608 5060 4 18082 5740 1 3613 203 6 13549 1242 1 2995 797 1 19167 7197 2 19461 4297 1 12619 3216 3 10750 3333 11 8137 1748 3 5501 205 1 6755 225 2 15311 6690 1 8620 4792 1 12268 688 1 10244 1745 1 6914 5016 45 3440 2559 1 8366 1007 5 12644 1691 1 2905 700 3 171 7759 5 11074 7473 1 15834 1269 1 458 1784 1 171 7668 1 7682 881 1 17428 521 1 18434 1369 1 3954 614 1 14003 7254 1 15423 498 24 7005 4738 1 10647 6723 2 4617 2396 3 16790 863 1 12029 2139 9 2284 2008 1 14983 3366 1 11559 6152 2 81 3648 1 11220 889 1 15636 2885 1 17953 2737 8 5792 6213 24 13729 173 1 19272 3743 2 16594 7534 5 16885 3446 1 1698 2179 3 850 1724 1 15965 502 1 10456 1818 5 13 808 1 9342 533 1 726 541 2 1017 805 1 7577 1314 1 3395 1249 2 7559 533 1 9027 3518 1 5645 1727 1 10454 1356 3 10212 685 1 2419 3389 4 1816 4280 1 18528 3251 4 20191 557 1 1923 1063 3 3607 6612 1 14936 6900 2 19781 2602 1 177 200 2 10953 2447 1 8870 5132 3 2168 3600 7 416 2555 20 13543 904 1 6913 3231 1 13974 6946 4 12393 3316 3 16473 500 1 19263 477 1 19669 2584 1 7080 508 4 12646 7407 1 3361 7060 1 15680 221 1 13777 232 1 15172 4792 1 18195 5584 1 3059 3380 1 17351 7395 2 3705 4367 6 7181 5408 1 8082 4211 2 8710 1042 1 12614 792 27 5495 57 2 18705 74 1 18672 5950 1 10057 6480 1 6795 4296 3 12375 702 3 1872 3298 1 14132 5443 1 19940 3892 2 138 6303 2 10728 1251 1 2267 4236 5 18845 214 8 17585 70 1 5476 7089 1 11591 3015 1 92 38 2 9401 1467 24 6533 3219 1 19017 3181 2 10940 505 1 10699 1722 1 19898 607 1 18624 2675 1 13733 221 2 18733 2828 2 15531 1717 1 4550 1466 2 17215 874 6 9503 5686 5 14622 2970 1 4798 2531 1 7652 1737 1 15824 5016 1 5495 3849 10 13626 4033 18 15712 1247 1 18957 2836 5 10588 219 1 13671 1739 1 17091 8184 5 4498 2580 2 4386 4043 2 6888 506 6 5951 67 2 361 7674 5 11769 1950 1 6065 3356 2 15752 333 5 17966 3516 7 8097 1762 5 16408 3464 1 6929 2350 1 17257 5374 2 7439 4156 1 5301 23 7 7701 8066 1 12790 5516 1 8425 8183 18 3348 4306 1 13800 1269 1 9374 1761 10 16674 7853 1 18634 640 1 4840 4120 1 3083 5325 10 8332 191 3 11917 2369 1 12296 6690 1 3584 6185 15 6492 514 2 7369 910 1 9284 3007 1 13329 3145 1 8054 5127 4 8061 23 4 16327 7018 5 6807 410 1 8832 2013 1 14537 529 1 5870 4385 5 17881 194 4 4234 1825 1 18964 7831 3 10914 23 8 8114 5584 1 2584 2488 1 4332 3980 1 13672 874 1 10821 4915 1 803 7066 1 4717 883 1 18797 184 2 17392 201 2 20123 1378 1 7165 6629 1 13594 4306 4 12322 1246 3 12496 5115 12 12654 5420 2 873 4489 4 3043 502 1 16048 368 1 17996 2352 4 9463 100 1 16235 1739 1 6002 2488 1 6868 1908 1 874 2530 5 15413 190 1 5977 2675 9 16063 412 2 13293 4444 1 133 6085 4 18909 541 1 1047 201 2 14109 3621 1 8417 2552 1 10360 1658 1 11263 3666 1 19170 207 2 11032 2636 2 6015 2497 1 7296 207 1 18968 2789 1 14368 824 1 9639 1555 2 15529 1321 2 11773 3558 2 18814 368 1 2363 1043 4 19644 6053 2 11032 367 1 8184 6512 2 13880 803 2 19270 5379 14 18154 5686 1 10575 794 2 7455 7210 2 11399 7533 1 5264 5018 5 126 5616 6 6650 395 2 3817 4992 4 9245 5091 1 4688 802 1 14036 4388 1 11343 1757 1 348 2653 15 11738 2343 3 10156 1344 1 85 1342 3 10313 545 1 2501 5256 4 18815 221 6 5216 1991 2 524 2578 3 6256 512 1 11769 792 2 164 7456 2 10340 382 3 1906 5182 1 9437 4059 1 3864 7586 5 15524 410 1 8573 6442 6 4527 7554 3 6313 7928 3 6091 4963 1 4165 169 1 13508 8072 3 5349 244 2 5540 1721 1 4670 3132 2 3356 5008 2 94 4273 1 812 1713 2 17066 96 1 16847 1929 10 17855 2649 1 1919 1753 1 904 2344 1 4840 470 1 14762 1720 1 124 5443 1 11066 8141 10 55 2648 2 17084 1705 1 13 959 2 8444 1766 2 14522 874 1 16431 4582 1 9922 1740 12 15888 4248 12 11663 1244 2 6528 5337 13 873 789 2 16142 4411 2 15122 3967 1 19825 545 1 8301 5504 1 12620 4303 1 15766 496 8 6789 2145 1 12568 1714 1 140 6420 1 998 201 1 3391 3357 27 13057 368 1 2635 4982 1 3001 1885 1 6824 207 1 4356 242 15 2726 1085 1 15230 1730 8 10730 1271 4 9276 1734 16 1854 411 1 17748 933 1 9295 206 1 7273 7404 1 10584 3556 2 14993 3074 1 14162 1108 8 873 2080 6 11675 203 2 6452 225 4 8343 1729 2 14147 7256 1 12489 6897 3 1059 6484 1 6063 398 1 5515 2197 2 11557 2155 5 4094 1761 2 631 2484 1 13 956 2 1899 545 5 3703 514 3 1887 6192 5 18921 1141 3 1172 1788 4 17039 2271 9 4368 3558 1 6420 3423 2 16812 4452 1 18262 3333 1 14127 4533 1 15175 3062 2 8481 200 1 9767 270 3 6050 5150 2 14560 698 2 16346 395 6 5684 2626 2 18113 5466 1 12303 1156 1 17257 1658 1 10933 5081 3 2131 201 1 4147 2729 3 4860 1092 11 16090 4022 2 3027 2982 2 16446 3510 1 15303 4578 3 11786 2022 3 158 7224 1 7029 4029 8 16775 1783 7 17981 1751 1 18204 1715 1 8223 1194 2 5195 1738 1 6415 1762 1 4924 215 3 8987 5866 10 18285 2079 4 15419 1770 1 7186 751 2 9463 940 1 1586 1244 2 6912 10 4 7006 6064 2 9598 4635 1 16843 3349 1 18183 3113 1 9919 6585 1 6714 6640 1 711 2056 1 5407 2444 3 300 7433 1 10730 2992 2 2920 214 2 15607 1818 1 4498 225 2 8580 4027 15 14285 470 16 14504 7719 5 16625 190 1 8288 3979 1 8083 1247 2 13834 200 1 19190 867 1 1914 7117 1 2231 3231 1 14998 3236 1 899 95 27 7251 4378 4 7993 1454 3 13925 4078 1 17170 215 1 14968 8067 1 11863 6812 1 13829 1779 5 6120 3511 1 4791 6713 12 3966 1903 1 4276 4293 2 11868 2743 1 18536 2517 1 16346 2718 1 19378 2575 1 11287 2935 1 11798 4307 2 17262 1263 10 11573 506 1 17530 8145 2 10736 507 2 7933 6701 1 17 1070 3 6346 4959 6 18345 5022 2 5102 4278 1 14805 1893 3 13441 6132 1 13046 2351 1 6838 3809 1 13 740 1 17634 1036 1 10720 227 1 19282 130 2 16471 1235 2 16299 1240 1 10106 5420 1 3817 219 1 19865 225 1 62 2805 1 19538 3399 2 14695 3595 1 11195 1395 2 8528 5550 1 1391 5437 1 14767 3193 1 16406 74 10 6142 1726 1 3145 4204 6 20257 6541 3 5773 4963 1 6642 1359 1 13055 1430 2 7780 467 1 6511 206 4 13023 5690 1 13405 5356 4 18559 7267 10 9209 1369 2 1232 644 1 3650 7606 2 2820 95 2 2319 1659 1 12014 1705 1 15272 2025 2 7251 3492 1 11156 6231 5 891 417 1 8930 4811 11 17781 4796 4 164 7498 4 6854 510 4 14769 4355 6 4368 484 1 18091 2076 4 8347 2146 1 14062 4373 3 5938 34 1 7557 5686 5 17463 4026 1 2458 7888 4 9937 6561 9 10845 6539 1 17505 1989 4 6866 1783 5 20183 6338 2 12725 6019 5 917 6610 1 12172 215 1 15061 1042 2 19489 1990 1 8992 3632 1 824 5718 1 4054 1705 1 15895 505 2 20019 1978 6 18397 7853 4 10973 235 1 15974 883 5 13457 232 1 4354 303 1 9270 2653 10 19354 2541 1 13346 221 2 17345 1834 4 7439 874 1 712 1245 1 5169 316 1 3505 1737 1 14144 7477 1 11270 2511 1 8395 3538 2 9959 303 1 3556 2989 1 2498 4955 1 4491 6897 3 18081 184 10 1622 3637 1 2885 3146 7 16800 1251 1 11786 6616 1 16235 2673 2 9397 4956 1 11789 3511 9 20262 3645 2 991 431 1 7962 1739 4 12620 2686 1 14666 215 8 19630 164 5 1678 840 1 5031 6397 1 3505 165 2 11392 7425 2 19776 7230 1 8382 174 10 6676 1819 1 11981 96 1 19460 3425 1 6587 229 1 3581 156 6 3570 534 1 6123 6801 11 3557 207 8 874 6716 3 9058 1997 2 18194 509 1 15753 3657 5 13220 5700 21 10025 1314 1 954 7003 2 11020 284 5 14685 1727 2 19322 2581 1 20170 537 1 11032 3399 1 4287 173 2 3472 232 1 19578 3870 1 3801 3187 8 10879 3599 3 12805 4992 2 12841 2508 1 3614 5806 2 4496 514 2 115 5213 1 9617 3842 1 107 4787 1 8437 4779 1 877 1695 2 4673 1356 1 12819 187 1 16945 344 1 11080 382 16 19163 7497 1 3921 2710 1 9457 7336 1 8735 523 2 6458 8102 2 6240 2151 1 135 164 2 13997 656 2 10000 3824 3 18797 1757 1 16132 148 1 14178 2439 8 10643 6874 5 18916 6009 11 10665 919 3 6658 1334 1 1986 1249 3 10720 237 9 17153 204 1 5433 3526 2 8526 4919 1 1131 7021 6 18739 2068 2 7662 4484 1 8425 2357 6 4498 385 1 5305 1363 4 10502 1312 1 14861 4723 1 14899 1482 1 16222 2349 1 6808 7250 2 16756 1272 1 12408 1771 1 20154 8006 3 17184 735 1 9194 507 27 12357 173 8 2452 4351 2 3782 2149 1 12437 4293 11 2886 481 1 16831 200 4 16557 7411 1 7670 585 2 2509 5301 2 18420 518 5 13543 2842 1 19271 3736 10 14824 1926 1 19870 7719 13 14010 1175 5 6451 4473 1 19165 944 3 4022 1734 1 15281 867 1 15456 514 4 8704 1182 2 8930 6334 1 235 1146 1 15527 995 1 13750 3151 1 12986 1726 3 4859 201 5 11352 4623 1 19306 4783 1 14660 5051 1 3755 201 9 18972 7599 2 1872 214 1 12015 1718 8 15040 1399 5 2545 789 1 12731 4067 1 8833 5674 1 8811 4478 15 8286 3820 2 9213 203 3 14522 1695 2 7769 5496 1 11456 38 1 14313 5726 1 351 1740 1 11131 5254 2 14470 6868 19 11687 1762 14 3069 470 1 4026 2423 3 8325 1649 2 101 4589 1 944 2787 1 10671 504 8 12712 11 1 13716 1062 1 5151 5538 41 18455 5130 1 1244 253 1 12009 2665 3 16368 1783 1 5709 3114 1 7380 6125 1 2002 220 2 15530 522 1 14099 4293 3 44 2300 6 17093 1775 2 19273 3920 1 7135 1248 1 10113 2009 2 5105 219 1 804 1193 1 18797 2357 1 10604 6304 1 8835 498 10 4471 847 1 1772 792 3 11994 3608 1 1792 1909 3 10137 4366 1 19138 314 2 6118 6663 1 11018 225 1 6611 1380 1 19320 908 1 4570 1164 1 12563 5504 8 19761 2095 2 6676 5837 2 4218 5565 2 14896 2675 1 16196 5887 1 6518 3578 1 17184 794 1 6957 2484 2 6018 3578 9 13644 3275 1 12408 1960 4 5961 692 5 13994 2570 2 16397 684 1 8361 184 10 13718 201 1 14117 2831 11 4503 1241 4 31 1724 2 8975 224 2 16236 2683 1 6070 7240 1 5684 214 3 17859 207 1 5823 4615 4 121 5328 1 3406 3545 1 16741 5327 1 8944 471 1 15969 1482 3 9546 316 1 8405 2019 4 18414 2715 1 11367 1731 1 5939 624 1 15974 46 6 3026 184 2 18206 207 2 3672 219 1 17548 4811 1 12757 4774 1 17577 5175 2 706 1955 1 13392 6564 1 11914 867 2 15939 937 25 4496 3909 2 14161 184 1 15214 872 1 12793 3666 1 1138 1380 1 11955 4600 1 1905 5254 1 12614 508 1 6293 219 3 14010 6995 1 8813 6417 10 18909 4196 1 6716 6152 1 74 3457 1 174 7870 4 18273 2581 1 11577 1338 1 19774 4085 1 8411 23 1 16236 1241 1 19202 1705 1 7882 220 5 14951 7266 4 13342 5187 1 1839 7466 1 10398 1705 3 15587 4484 1 10381 3161 1 6617 416 1 9881 6473 1 15599 1466 2 13362 219 3 5244 2396 1 5482 2343 3 10236 1506 2 12737 2366 1 19649 3233 1 7964 4386 2 4579 3492 2 18757 4757 15 19144 1243 2 6913 5826 7 3718 3057 1 3536 3885 3 13919 5262 5 4850 3824 1 15318 4435 1 13627 545 1 18344 1453 1 3253 1235 1 9609 413 4 17531 4563 2 16777 7601 3 9082 1243 12 3668 6262 7 3257 5297 15 13699 1247 1 15448 7227 1 14748 4397 1 5903 222 1 16683 2675 1 4016 74 1 13886 1239 4 12453 1721 1 181 8256 1 7000 367 1 9600 1322 1 16584 5517 1 160 7291 3 171 7807 3 7135 1686 2 12026 2542 1 6776 1235 5 20202 164 11 18281 22 1 4427 341 1 2098 1755 1 18814 5446 1 1539 1244 7 19503 1226 1 6206 206 1 20275 1171 1 7289 5547 2 8921 5886 1 9890 2343 1 20060 2842 5 15943 336 1 12680 1949 1 10382 200 1 8980 156 41 11047 1700 3 10313 5305 2 357 2316 1 4905 4963 1 6588 1990 1 10783 4274 6 10079 5037 3 18144 541 1 95 4351 1 10677 3135 1 13 252 1 3279 4623 1 151 6796 1 4731 3910 1 18492 70 1 11195 1717 1 7988 3583 1 14 973 2 19604 7380 1 4375 1249 2 12373 1338 2 2391 235 1 1527 7674 1 2443 916 1 20163 5310 2 12165 4378 1 11338 1416 19 5264 413 9 9978 458 1 15845 1254 1 2405 4653 1 1203 4660 3 16841 518 1 1957 201 1 7751 3318 1 17839 5257 1 1335 8121 2 19063 5018 2 167 7558 1 6738 2555 1 14596 4001 20 3484 2457 5 3822 5566 1 17746 766 1 10855 1655 2 14769 229 1 13076 5758 10 14458 6780 3 12817 411 1 18405 2981 1 12995 1271 3 14512 4582 1 3414 1271 1 20244 963 1 5389 4218 1 19034 4498 1 14351 219 6 20085 7266 2 1506 236 1 12 507 7 15948 220 6 7184 903 1 18643 7153 2 3723 498 1 14758 808 2 3053 1245 2 11615 1154 1 6437 2877 1 10143 2549 4 12879 207 1 18887 196 1 1270 7419 5 14549 2089 1 8343 821 1 5894 1296 4 16055 8184 3 16999 542 2 13293 855 1 658 3119 3 16137 4635 2 13640 1234 1 3716 5677 2 6535 5673 1 10014 3167 3 6332 1334 1 13644 1357 1 11019 5612 1 6107 4274 7 8903 1251 2 15310 3634 7 5577 3337 8 182 1995 2 1771 201 2 1555 6153 2 17488 470 2 13287 6132 1 4663 4402 1 9962 2528 1 17871 2514 1 5175 3522 1 16607 4435 2 14443 1705 1 4302 215 9 15318 470 1 14400 1728 1 9721 128 1 10030 1780 1 17062 5219 1 188 206 1 7832 2034 1 143 6561 1 17992 2449 1 13012 4992 1 11908 4998 2 19234 199 6 13519 6702 10 12913 3358 2 7001 659 1 13755 3903 8 11786 7022 4 5299 1396 6 12745 498 1 1495 3477 1 8183 6470 13 3397 186 1 17405 1295 1 5891 1363 149 14406 4253 1 15078 3743 2 13590 4528 1 5591 3155 3 3567 173 2 14602 3617 1 8832 4077 1 19538 3255 7 9512 2604 2 16063 1956 1 2965 3397 6 11658 4245 5 20261 3511 1 15429 716 1 13806 785 1 10661 1396 1 16621 508 1 10919 7614 1 222 943 1 1304 6705 1 17373 236 1 17304 203 9 973 1251 132 16491 1244 7 10123 5648 1 6966 4400 3 5585 4027 12 658 5506 7 6429 1794 1 6932 4982 1 448 1342 7 1867 1732 1 2953 5316 2 19223 1703 1 3236 4120 1 5863 431 3 4681 1147 1 5983 534 1 16535 1721 4 10825 3135 2 6339 7085 1 7348 7139 2 19687 7886 1 165 7529 4 10088 221 1 18409 5996 1 8831 5427 1 13598 2982 5 9874 8192 2 5424 1153 1 13845 7450 1 4944 2534 1 2695 2646 1 1551 7018 1 18149 4615 1 6776 1724 4 76 3499 1 382 4026 1 15743 3233 4 5407 1776 1 140 6369 1 15192 607 1 1073 1314 1 17583 422 1 452 201 1 19334 7538 2 3824 1172 1 11150 3423 1 13947 4025 1 2413 2736 2 1367 2343 1 17135 1450 3 15340 196 1 15514 4123 1 1828 7229 1 18431 1740 1 20252 3464 1 5785 221 1 12328 2143 1 16862 2735 1 4264 232 4 8425 1789 4 1830 221 2 16090 2932 1 13 690 11 8962 219 4 3536 3880 1 17135 184 4 9770 207 1 12108 3262 1 20221 1334 1 6137 2727 1 2386 8111 10 8548 23 6 5111 470 3 1443 1784 1 3321 2671 5 17263 7044 1 19594 1686 5 14970 365 1 592 4282 1 11019 2662 6 20278 4304 5 2800 7542 4 1702 364 1 9964 6723 3 8351 4998 1 4593 691 3 3796 1247 1 12918 534 1 10565 5332 1 1744 3497 3 9133 203 4 5685 215 2 3532 4111 1 18172 7570 3 17182 550 1 6865 3628 1 16991 4951 1 10160 5881 1 12667 1146 1 10525 1782 18 14377 6603 1 11282 223 9 4049 8096 2 14917 4385 1 1746 659 1 14512 1277 2 8704 1292 5 18237 1374 2 591 7826 1 349 3863 1 11461 1734 1 17809 910 3 16152 201 6 9763 164 1 14710 3799 1 6579 7457 6 5866 490 2 16018 4298 1 10575 931 1 17904 5018 17 12550 3660 7 16283 1374 1 16637 7226 3 9395 1239 2 14299 6793 1 13405 344 2 16702 2260 1 6588 3911 1 8362 1150 3 10047 3251 1 8818 1985 1 14059 3851 1 17452 1237 1 6406 3234 1 13865 2355 3 9440 4623 1 17078 221 1 19504 800 1 15184 221 3 11073 5009 2 6504 2237 13 8621 3147 1 1138 5000 2 14828 3615 2 18809 4992 1 7461 3482 1 18081 2013 7 19217 1655 2 6418 558 1 12725 6053 1 4620 3625 3 7663 4288 1 14731 1762 1 13636 1718 1 9518 1275 1 15743 883 5 9019 4352 7 1464 728 1 8797 867 5 13843 481 2 5352 2789 1 11363 1395 1 14018 1776 3 8692 6051 3 6922 3539 2 18355 1788 6 9322 4435 1 14453 3684 5 1986 11 1 3562 201 5 452 7542 1 18020 7448 1 10179 3742 2 4688 610 1 558 396 1 850 23 10 11238 8033 6 3901 2731 1 15322 545 1 6708 1729 1 14292 203 1 9594 2698 3 13341 6596 1 19857 453 1 14726 1663 9 11798 6394 1 8969 2534 2 20107 7872 5 7198 4369 1 11938 3911 1 20090 4518 1 8520 1039 3 19853 1734 1 5177 1819 1 16530 1251 1 5499 2276 2 3090 4945 2 5228 2668 1 11072 1731 1 413 4022 1 142 6489 1 353 4363 1 435 6710 25 4283 7633 6 20256 7670 3 2511 654 2 16670 1956 3 17373 214 1 8142 4397 1 3075 1342 2 15083 6482 1 5934 5758 6 19428 7797 2 12119 6152 1 14269 3922 1 951 1395 3 13100 2534 9 4247 184 1 14549 452 1 7769 812 1 5574 505 3 14347 2140 5 19218 876 1 16924 649 1 9725 4404 1 14305 306 1 42 2219 1 13834 5504 1 15794 221 2 19135 8122 1 10586 3167 1 4023 2103 1 9968 7397 1 11852 74 2 9353 203 5 3972 5520 1 17026 1748 3 6617 423 1 4892 2296 1 914 228 1 1434 3460 1 20028 2043 5 16548 1740 1 14692 3911 7 6980 1757 1 18237 1731 1 11678 912 3 3715 1037 10 11216 4435 2 1922 3572 2 9039 385 1 7042 13 8 899 5251 2 15405 382 1 6064 3364 1 7712 3253 1 17184 904 1 17922 596 1 8255 1778 1 11086 502 1 3406 2559 1 17416 8066 5 9188 5468 1 7179 900 1 3082 206 4 14994 4459 7 6853 7528 1 11138 1567 6 153 6900 1 16397 4471 1 4234 1251 3 10424 6252 1 12029 8034 6 8193 1736 5 17952 3600 1 9127 1832 21 7452 709 2 18438 883 5 18941 8184 1 11155 1359 2 11843 23 3 15489 6368 11 1837 1721 1 7716 5310 1 10947 6375 1 15272 6897 1 8339 1244 1 7990 519 1 15597 3770 1 18089 4796 2 18042 1112 1 15593 2708 4 18404 7477 1 4573 23 5 15326 6615 1 2204 481 2 19566 6578 7 4678 206 3 3871 1829 1 14186 3632 1 16063 5478 1 11946 787 1 17664 2534 1 14583 937 1 9094 867 1 1554 200 1 4429 6588 1 9609 4297 1 9444 4320 1 11402 200 19 6588 2422 2 16762 4363 1 10598 274 1 7858 5271 1 17184 788 1 16016 2338 1 6211 534 4 17404 7240 1 15364 6482 1 11549 7632 1 94 4238 1 7682 899 1 11905 6719 2 9395 2138 5 9652 8081 1 326 4408 1 455 367 1 13530 5018 1 4619 769 7 15184 4460 4 11562 6106 1 3182 205 2 16255 3334 1 4358 2111 1 18043 1019 1 14897 6139 2 12573 1758 1 8787 4501 1 19538 3063 2 65 3095 1 15041 1710 1 7034 65 2 14376 2675 17 9709 6092 1 2306 3954 2 14890 1245 1 15865 7398 2 8299 6539 1 4485 2100 1 18310 1282 1 10843 597 1 1948 1539 36 14649 532 1 4006 519 1 4575 2542 1 15368 4514 3 7450 1739 2 18667 23 1 2529 893 1 10670 4470 1 16236 1762 2 4371 1556 1 7293 6677 1 10847 2942 1 14284 2206 1 13843 3813 1 7577 512 1 121 292 1 11287 7085 1 18791 1955 1 18949 4022 1 8135 4190 1 3498 7089 1 10441 2959 5 6907 6091 1 11564 3699 1 18300 5905 6 2395 200 5 18703 6615 2 2045 1751 3 5195 1305 1 17472 6377 1 13370 3540 3 174 7995 1 11108 5256 1 2234 1707 3 7203 474 1 17742 758 2 15939 6954 1 18053 3233 1 3315 4307 1 16315 670 1 15743 864 1 369 1772 1 8088 724 1 11543 1739 1 19760 307 1 6418 314 1 7750 206 2 14578 505 4 10554 884 1 13329 70 2 14908 2655 1 18344 1238 1 10373 8170 7 19898 595 1 13928 2055 2 12737 4427 1 9776 617 3 1597 3283 1 14957 6673 1 15742 719 1 8343 1019 1 7228 1238 2 13383 5594 1 3837 5512 1 9624 6491 2 12685 4199 1 17517 1788 1 5972 2424 1 17992 1247 1 7194 1595 1 108 4830 1 10114 1305 1 7503 236 3 9659 1184 3 3173 5252 1 2414 6291 1 1043 1154 1 10000 360 2 13521 1960 2 17152 2355 6 14006 6192 3 5252 153 2 16666 220 1 14751 1775 1 3934 60 1 5659 506 5 18818 6037 2 1325 6080 1 16997 6013 1 15530 6065 1 13244 4669 1 7412 6252 1 18212 203 2 14855 5048 5 15412 510 1 10595 1729 2 16123 1369 4 3258 423 4 19094 1582 1 7152 1003 2 2209 1261 37 7498 48 5 10254 4789 11 10887 1768 2 20 1374 1 14385 5538 1 120 1239 1 5638 45 1 16961 6632 2 2231 7632 1 16836 7448 1 12923 7986 9 13262 2696 1 14925 3509 2 18431 206 1 15896 1762 1 13574 2263 3 2778 6839 6 4020 7859 1 1526 5019 3 521 844 1 13031 1770 4 18237 1721 2 18960 4582 1 4238 1641 1 9713 1727 2 3000 3460 1 18587 1986 1 7868 3954 1 6942 496 1 7470 6454 1 7527 200 1 17751 74 4 16557 308 2 604 2964 1 19648 6663 1 1722 2534 2 62 2923 1 1875 5922 5 12099 23 4 14369 537 1 10799 3515 2 18989 863 2 94 4332 5 151 6779 6 17328 4721 1 16020 1244 1 3199 1753 1 171 7792 1 11263 6198 1 17996 8099 4 15504 1757 1 6987 4640 1 13891 7641 1 12350 514 1 16033 2879 1 5433 6128 1 13173 1731 1 19500 1235 1 9269 596 5 13827 1788 1 5266 5307 1 5908 5051 4 15649 8141 8 1263 6047 4 15662 219 1 14628 5390 1 7270 5324 2 3310 5105 2 19588 2353 1 15629 718 1 16776 200 2 14895 5253 34 8735 3203 11 13328 561 1 2816 534 1 16861 4467 7 14758 381 1 13329 1237 3 11968 2344 1 15116 4944 1 6642 3906 1 9591 329 1 143 5031 1 2449 5291 4 13815 525 2 18413 506 10 3926 229 3 11367 524 1 7181 1721 2 17807 505 5 5237 1698 1 5738 316 1 16202 653 2 9463 6826 4 16881 5319 1 19504 1753 1 5432 5771 1 12212 4487 1 15526 3686 1 12496 2853 2 11066 867 1 4329 3012 8 10447 3642 1 460 1737 1 1039 1788 1 11935 7407 2 16618 4572 1 3395 6152 1 7908 571 1 11098 800 4 2279 7874 11 18637 234 2 1861 3056 2 15468 184 8 18083 2496 1 3332 200 3 6229 5343 1 8034 1235 1 16690 1183 8 12763 206 1 9628 684 1 11319 3504 1 2678 1252 1 6468 7857 1 3826 426 1 14907 206 1 17946 2317 2 19593 1250 1 4314 3882 1 867 1286 38 11558 1250 1 20043 5350 3 11744 6983 2 13312 10 1 3310 426 1 17578 3378 24 3360 1738 1 1439 1421 1 6630 3203 1 7502 7542 2 17652 1312 1 153 347 1 7588 1631 1 10856 667 1 9437 2410 2 3557 7895 3 513 3405 1 877 8009 3 14985 235 1 10549 6342 87 19319 525 5 17662 236 1 19334 7422 3 5638 1082 1 3340 2026 1 11591 2382 1 7877 350 2 1555 3679 1 9651 141 1 19428 7524 3 16230 905 2 15182 650 2 1752 897 1 18488 1582 1 2748 6519 1 16286 3634 1 10724 3234 1 3357 34 1 739 1342 1 11671 6268 1 16958 4670 1 5018 3333 1 13750 1401 4 2905 1369 2 3667 7229 1 1551 4622 1 18902 5368 1 11305 235 1 10013 1814 3 3199 2056 1 9326 6824 1 3283 1467 1 14305 713 1 18576 7210 1 5401 228 1 6126 1751 8 13739 3897 1 13734 682 4 4886 1610 1 857 2353 1 6813 6341 1 19507 4599 9 10051 2514 1 19649 5425 1 16055 197 4 13372 3588 1 4121 6192 1 10799 2356 1 10065 4815 1 5171 867 2 19850 876 1 7933 4476 2 14679 3522 3 4767 194 1 9868 367 2 16497 5420 4 1385 6441 2 3826 754 1 3189 6013 1 14385 7403 1 19267 819 1 8198 5740 2 15314 6560 1 18888 1772 1 4963 3827 2 2835 206 3 5445 206 2 15280 221 8 3734 4693 5 13130 5245 6 12794 1713 1 20146 5560 1 98 4442 1 7420 2580 1 10354 225 4 11323 232 1 12987 2683 4 19822 1410 1 14695 1707 1 2818 3989 3 8358 3851 1 16730 941 2 12378 1529 2 5318 164 1 9639 550 1 10633 190 2 5821 692 5 15363 645 11 1571 206 1 5652 3511 9 9745 4267 4 18457 1703 4 11463 6979 2 6016 5395 1 7851 2025 8 10193 2935 1 13626 1834 3 95 1969 1 7464 6363 7 12071 201 1 17195 6035 1 3829 222 1 5082 1235 1 3169 214 1 8950 1743 1 10570 201 5 348 3275 1 14948 3317 2 20202 2678 2 7198 3907 2 17531 2015 1 17184 710 1 14683 6053 12 4029 2676 5 15627 4395 1 3509 1718 1 7050 528 1 16253 3275 1 6539 854 1 16059 498 6 7892 4344 3 269 1314 1 6881 5128 1 3404 390 1 6545 3391 1 16916 4262 2 11786 292 1 18815 1244 3 17257 5368 1 12322 1819 1 17964 189 12 16567 1776 1 10453 518 1 17403 4328 1 15975 3685 1 8337 200 5 18220 1454 1 1891 6113 1 15719 4337 1 20257 1649 1 13568 2259 2 15881 708 1 6291 1687 1 2466 167 1 7440 190 1 20126 858 1 14318 4662 5 15870 2027 1 5364 1251 2 14698 2591 1 6513 5386 2 14719 206 1 7507 510 5 4465 5116 2 11882 6430 1 9639 3606 1 10338 1561 6 9341 769 3 5638 2089 1 3246 6603 2 14110 3427 1 2385 3621 14 3945 7225 3 16739 1399 1 18161 173 1 15265 235 3 6244 173 1 4305 3417 1 5185 7647 1 9026 1731 4 19776 4299 1 15091 6107 1 2274 1396 1 17797 184 1 19920 6268 1 11192 1145 1 11279 219 1 1699 6484 1 11493 4411 2 11044 3406 1 10095 4090 6 7575 1730 1 446 1407 5 3201 3799 1 11461 1743 1 5117 788 1 6516 1710 4 15328 1359 1 5258 1691 1 13185 3827 2 15140 5612 1 15110 6663 4 379 6754 1 2829 1333 1 20180 5251 1 13847 1745 1 12822 203 2 5675 3671 3 6668 4090 1 18557 3869 3 11633 3212 1 18681 814 1 471 5571 1 1361 726 1 11458 2413 1 7568 2993 1 18437 3896 38 108 4848 1 2078 524 1 18847 3007 2 14615 184 3 9864 4296 1 12055 717 1 10390 6534 8 1530 132 1 15362 220 1 18608 214 1 6091 1464 1 16128 201 1 15815 5212 1 11107 4794 1 2839 6484 7 18293 1044 1 9809 28 2 17250 7583 1 7452 1659 1 17038 215 2 11104 1657 1 19312 206 1 5119 23 4 6748 231 1 16720 4443 13 6926 471 1 5131 1298 3 7152 8184 1 13239 7237 1 6045 2879 4 8875 509 6 10579 3049 1 14299 4397 1 11533 374 1 19634 2931 1 16727 6047 14 15094 6769 1 9270 496 2 16869 3512 1 15195 598 1 13985 3567 1 19486 442 1 14522 2727 1 18756 825 1 5849 8192 2 17 1039 5 11871 1455 4 1772 214 2 2274 843 2 6229 5922 1 7718 910 2 9609 6758 1 8957 6587 3 18885 219 1 17405 243 1 10402 5824 3 591 1825 1 19975 2444 2 11621 510 1 17 1024 1 15314 3079 1 15343 541 4 9809 4601 7 15182 690 5 18338 633 1 11730 1761 1 12274 3953 1 2898 244 1 11898 1589 1 15595 2618 1 18190 2358 5 5878 3732 1 15107 203 12 12484 2636 5 8763 5400 2 3297 1409 2 6362 634 1 4815 3878 2 14438 4603 7 2999 5763 1 485 3408 1 16028 4059 1 956 6480 1 7023 1816 15 18915 4780 2 18428 1312 1 1642 1518 5 4162 4436 13 13 687 1 9093 520 2 592 3813 1 18593 520 15 14376 5120 5 2341 203 12 16891 3558 1 18876 801 2 12620 6139 2 16417 198 14 5453 232 12 17502 6225 3 10127 7246 2 272 1763 2 19975 4085 5 821 528 5 13234 5551 1 16481 7301 1 11502 201 1 13518 1118 1 11487 6702 1 13825 184 1 14227 1747 3 11243 4944 1 11533 2820 1 15940 3417 2 6132 2363 1 18652 1784 3 13462 1266 2 8492 1251 2 13358 219 44 605 5310 2 17291 5559 1 8078 1331 3 14010 2817 1 276 7118 1 17027 2626 1 1130 7815 5 9279 225 4 174 6074 1 7205 1721 1 163 3694 2 2800 235 2 15114 229 1 10517 5345 2 35 1945 6 11577 6199 1 13640 2356 1 5494 6868 1 10143 151 10 19713 232 1 4236 3518 3 17403 1239 9 861 3404 2 12603 74 2 13526 4022 1 105 4718 1 13574 244 3 17961 219 4 2718 23 1 12337 514 2 5140 235 2 2401 2827 1 9195 234 1 8730 604 1 3175 2505 1 3879 3581 1 11214 4976 1 16229 8117 9 19798 2815 1 17664 1243 1 11240 82 3 14519 723 1 4592 2912 1 16063 6520 1 18383 6207 1 17337 2097 1 868 510 3 11348 514 7 4055 715 2 4519 6252 1 2980 3562 1 19401 220 1 1660 1996 3 3668 3972 2 6072 1751 5 13905 5271 1 16882 786 1 14685 2261 2 20145 200 10 2886 2963 2 15346 1775 14 2709 6040 1 17998 4071 1 11192 790 1 9178 507 1 14114 840 1 4695 1719 13 17988 652 3 17003 5146 4 8330 5922 1 2528 3679 2 18781 382 1 17705 219 1 17899 6355 1 10380 916 1 629 6979 2 12619 3697 2 1041 5798 1 1062 2415 2 15451 7850 6 12702 2268 1 19030 95 8 16090 1991 1 15614 365 1 11301 378 1 16295 1399 1 10165 752 1 14001 1282 1 11863 6018 1 3562 1760 1 11129 4435 3 6733 2076 2 5739 7586 1 7212 2549 3 4958 1793 1 14780 23 3 11349 1357 1 3826 649 1 94 4323 6 8606 3698 3 8099 3820 2 15885 320 1 5645 1734 1 6556 5407 3 6111 929 2 1603 5325 1 18067 1647 1 13021 3258 1 4841 3558 2 10918 1380 1 19344 225 6 826 207 1 12 545 1 7205 7408 1 7065 5336 1 16798 1755 4 2437 821 1 19774 2506 5 2147 2478 4 15116 1045 1 17331 2727 2 13040 236 6 8391 659 2 4694 7101 4 13342 201 1 7532 367 1 14566 3684 1 15837 4597 2 13117 3870 1 2566 1814 11 16399 347 1 10912 4276 1 17777 520 1 3715 221 5 6848 6219 1 16373 7930 1 10123 3932 1 13015 1695 3 2834 6256 4 688 2661 1 1421 4604 1 4960 5584 10 6111 2677 1 3189 3583 1 16728 1245 2 7750 156 17 2004 1691 1 444 1727 1 1768 3511 5 18446 274 2 645 6341 1 2985 664 2 10394 4763 18 4454 754 1 6752 23 1 18989 861 1 14349 1770 1 16970 7076 1 11786 3685 7 11931 3278 1 15752 1211 1 18755 1724 6 15549 745 3 16431 1418 1 17809 1752 3 10697 3649 3 98 4446 1 11465 6101 2 17184 148 3 570 3511 5 11344 8076 28 822 1466 2 12803 3502 1 13427 3456 1 15102 1825 12 18115 5819 1 13595 7355 2 1444 3081 2 4320 235 2 2413 3161 1 13066 1417 2 9537 2375 1 17109 5253 3 62 2899 1 10942 3020 2 11838 7067 1 13778 2021 1 18209 8057 1 13305 191 8 18042 2497 1 19360 2863 2 18892 5523 1 1125 383 1 16249 1720 1 5421 2493 1 1522 1695 8 11155 6165 3 12897 2175 2 15069 1707 1 11928 7259 1 814 4590 6 2739 36 1 6183 5385 2 13711 1184 2 1171 498 1 143 6519 1 525 5255 2 640 6480 1 14905 3333 2 10757 23 2 6730 5007 1 2198 470 1 672 1819 1 548 2297 6 12608 1399 1 14136 2186 1 4515 6341 2 4212 219 4 8652 3511 2 5076 6669 1 11098 381 5 5117 6386 1 12072 2584 4 279 6106 6 15945 8113 1 107 4770 1 11035 1431 14 19180 4557 1 14537 5432 1 7000 3637 6 11196 910 3 18887 3511 2 3921 5148 1 9038 5972 1 2643 6035 1 5216 3460 1 12097 1235 3 1372 506 1 9168 5767 1 13543 816 1 15100 642 1 20123 1283 3 14289 6406 2 349 879 2 4970 1403 1 4411 5513 2 13305 7719 5 1391 499 1 12399 964 1 18706 229 1 11551 5388 1 14567 1914 1 1963 3468 2 11912 2344 1 31 1395 3 10074 3621 7 5097 1238 2 7069 2677 6 6750 1846 1 4828 2534 4 19562 3464 4 130 5913 2 14061 4245 25 17736 714 2 16844 3979 1 11890 1819 1 18661 4622 49 11402 850 1 18425 5026 2 17406 359 1 16435 4555 2 4992 498 6 14857 1747 1 1711 4579 1 18613 368 1 3277 1788 2 18029 2862 1 19193 1248 1 16299 6952 1 4234 1399 4 9826 1342 2 1145 6368 1 17472 2014 2 10246 7427 1 122 5350 1 19272 6252 7 15443 223 1 4805 5758 1 7625 609 3 19293 173 1 11301 1814 4 5269 382 1 14552 6252 1 7450 1751 3 10553 489 17 1322 1782 2 16645 1819 3 7403 519 1 4793 8174 1 1565 6125 1 100 4493 1 10220 1957 1 17189 1246 1 17019 262 3 8934 134 1 13490 367 4 19693 5451 12 11312 1243 11 3584 7291 4 14612 7674 3 14318 7573 1 13962 2645 1 2965 1703 3 10684 244 1 17336 6781 5 3515 48 1 153 6935 1 7550 6522 2 1564 7022 1 6449 303 3 7636 3175 4 12496 5018 5 15009 7098 4 10054 2380 1 10079 4620 3 3324 336 2 12970 5014 2 10733 3287 1 7566 1719 1 8913 7791 1 14415 4268 1 3090 1234 2 15741 4320 1 2168 1091 3 19714 3056 1 7168 7643 1 8022 3492 3 17078 1827 8 16625 2488 1 11789 528 1 2820 3697 1 5738 5281 1 3408 222 1 20007 6990 5 4273 3992 4 12846 2138 3 6801 6256 1 4756 4041 7 4788 2261 1 62 2804 1 14499 4603 2 6556 2889 5 18247 1100 9 19193 867 20 7472 222 1 2078 901 1 9426 1729 1 14044 222 1 18548 3567 1 18596 129 7 15654 1147 1 4691 507 2 4519 844 3 10721 7474 26 7994 804 1 3214 3511 1 1241 867 9 4857 219 3 760 5294 1 8182 1721 6 10080 251 8 19080 3391 1 4970 4684 48 17741 3371 1 2 112 2 15352 4945 1 16501 825 1 10761 6946 1 9279 190 1 6415 1718 1 8632 5305 1 71 3331 1 5775 203 2 15133 303 17 14578 716 1 14087 1240 1 13690 1726 27 10207 1244 1 18737 1729 10 17494 1374 1 4651 2990 2 7147 1338 1 14290 397 2 16285 2912 1 17209 4486 1 6389 1235 2 7994 348 1 12453 6519 1 174 841 1 12272 4740 1 14690 518 1 11459 203 1 15084 232 3 7769 541 1 12857 320 1 6528 2338 11 10179 5326 5 12159 1695 1 10584 1250 16 19358 2618 1 11001 1105 13 1391 5565 1 6597 3735 2 4236 7573 2 10498 1382 1 4546 1751 1 5870 2780 5 14698 498 2 11353 339 1 309 613 1 3070 167 2 18976 501 2 9297 2725 1 5749 863 1 2824 4404 1 6612 1448 1 863 6048 1 6866 534 4 4979 3647 1 3432 679 4 818 4307 1 1945 523 1 5266 4635 1 7965 156 3 6332 7602 2 10899 1895 1 4814 7073 1 15468 1784 5 13490 4868 1 18251 3464 2 14661 1956 6 1022 6203 1 17859 1825 1 15973 3233 10 5659 220 1 5478 203 6 5767 785 1 3395 1775 3 14157 7279 1 9302 4600 1 12354 827 1 19930 7485 3 19913 498 5 13800 2595 1 19195 1464 2 6510 1019 1 19380 7527 1 6024 4949 2 17811 523 1 8438 1247 1 10584 1239 2 6195 1531 1 4267 1825 1 17746 310 1 11509 1466 17 12209 510 3 7991 4019 1 1276 517 2 19193 1312 1 15267 941 1 20090 3813 1 2891 3556 1 8430 1784 5 10165 841 1 17652 235 1 9104 1146 1 3472 215 1 3338 8184 1 5338 532 2 760 1112 1 14522 1395 3 16073 548 1 12899 7961 1 1635 874 1 7802 3423 5 12009 910 1 11627 2542 1 7943 223 1 12379 7187 1 15713 537 1 6997 3583 1 992 1769 1 14965 981 1 2863 292 3 11415 2488 1 2181 2508 1 18968 3285 1 1488 1342 1 14888 4318 1 19255 3250 1 3195 4307 1 1462 2747 1 12541 1243 1 16096 1590 1 18253 1307 5 4935 6482 5 15474 336 1 8290 198 3 10838 3483 3 5799 2120 1 10554 3564 1 5830 2459 1 18704 329 2 787 514 2 3243 197 1 19074 1598 1 17493 48 1 17487 3997 2 12715 411 1 15407 861 1 12345 5297 6 19182 1946 4 6791 867 1 1586 7735 1 40 201 1 18076 642 1 2321 6180 1 13267 957 2 4092 863 3 9046 3043 2 17920 3135 2 6198 4304 1 11351 219 2 340 4280 2 3048 5700 2 5571 2056 3 121 3368 3 8212 1660 1 13564 1717 1 18276 659 1 1002 1772 2 17960 505 13 10880 4963 1 11502 833 1 3663 5256 2 13734 1664 1 18237 3333 1 9762 1122 1 7028 7853 2 7676 3389 1 9449 7850 1 17218 200 1 13490 2114 2 8581 303 22 5326 506 1 9404 201 4 19494 7471 1 8416 2955 1 6219 7857 47 11666 864 1 14688 1341 2 12327 229 16 8057 2968 34 8735 5060 2 1988 7427 1 4644 1142 1 10145 959 2 4387 1938 1 6611 13 1 14771 6237 1 7018 201 8 14719 4998 6 2851 7367 6 17645 74 6 4577 8173 3 12817 475 2 4566 4807 3 4483 4807 1 15785 575 1 11535 4728 2 16012 805 1 4498 2605 4 16886 2009 2 5688 2686 1 2882 197 1 16561 786 3 16557 1757 1 1312 6011 1 3461 510 1 83 3767 1 11460 2363 1 8826 1183 2 11958 461 5 44 2312 2 4494 205 1 9904 3972 2 17864 4490 1 7879 6102 1 2442 1150 2 19826 7622 1 15359 2727 24 17960 834 1 2176 4365 2 10377 23 2 11865 214 2 3424 191 1 5472 8141 1 100 4577 1 7636 206 4 19079 4771 1 562 2072 1 6746 2712 1 16185 2485 3 1446 4204 48 13962 3512 1 19026 1779 1 3133 5996 2 18203 203 9 17936 194 1 2094 1721 2 4106 3672 1 14746 1245 3 15731 1245 1 14599 625 2 7799 870 5 9300 6144 1 18639 3813 1 855 215 1 17129 3230 1 19219 4578 5 1551 1893 1 1171 1241 1 4107 3081 1 13743 8190 1 15263 2675 7 17509 7256 1 20221 1905 1 9051 1342 4 5158 881 1 8278 4395 6 1677 70 10 2834 4206 2 19080 7263 1 4215 2636 3 7994 2710 2 7241 3074 8 18293 2494 1 11455 1450 3 2765 4956 2 4354 6710 13 5356 367 4 2584 1237 1 4236 4303 2 9543 3748 1 14604 1776 1 17040 177 4 13909 2352 1 7515 5036 1 9831 7346 18 2816 4640 1 4649 5016 1 3655 203 1 13103 201 6 12121 23 1 8914 2269 1 3513 4101 1 9063 1703 5 3827 6665 1 16736 2620 1 3647 6288 2 5478 826 1 1361 5839 1 10034 5301 1 113 5104 1 17257 5376 2 2151 7554 6 11291 2260 2 9372 7446 43 10732 167 2 2560 5018 25 11335 411 10 19848 2632 1 11994 3932 1 18232 203 23 512 5274 1 198 7265 1 9666 5768 6 18846 7857 1 15030 3155 1 1922 201 1 18538 158 4 8298 10 1 10189 4287 1 15778 1537 6 9642 1275 6 11615 3477 1 15138 1226 1 8448 3838 3 11530 1245 1 5461 1280 2 65 3137 4 14826 2114 1 15104 6341 1 20179 3311 2 6690 334 1 4089 244 1 9178 7466 2 13770 2580 1 15896 3522 3 10670 5758 5 5364 1713 1 4561 253 12 16854 786 1 4030 846 2 20210 203 1 14330 6152 2 14522 7881 2 2630 6257 1 64 2559 1 15015 6341 8 11459 3661 1 452 3263 1 16890 1147 1 17662 233 1 17049 23 6 3258 2016 8 7994 5313 1 14184 3667 1 16346 7105 4 9104 2356 3 16815 5254 2 692 232 2 4279 448 1 9445 1234 1 19660 7601 2 20276 4948 1 19286 1244 1 3781 501 2 1109 723 56 12142 1484 1 14808 1191 1 14683 2508 6 12064 8183 4 15776 4369 1 14441 5137 7 3072 2175 1 10856 2363 2 20085 1770 2 436 1572 1 3240 5077 1 9453 2747 1 17992 1342 1 20130 7884 1 12686 1251 1 19538 7213 5 5827 2508 1 5931 1197 1 11890 207 2 14184 7407 5 16366 7829 5 6769 339 1 14957 792 2 543 1606 1 3954 4601 1 17058 5333 1 13964 2256 1 9435 203 2 1444 2256 1 270 2675 1 10859 911 1 9195 502 1 15272 1825 2 6490 3230 1 4410 1720 5 7000 2964 1 17245 1728 1 19289 5356 1 10619 1315 1 5775 1363 1 17151 6670 1 872 443 2 5573 3770 1 14516 3845 1 4815 2691 1 8327 23 1 13837 3675 2 10279 3152 2 12645 3763 1 16213 5071 2 6697 8217 1 12436 2190 1 15542 1193 1 13811 1416 1 6091 1705 1 5787 338 1 3863 7128 3 12152 1383 1 15742 550 1 1587 749 2 17 1143 1 4425 4022 1 10152 6716 6 5595 2878 1 18324 5425 1 17595 1729 1 8077 3368 2 1263 1728 2 3003 3113 1 14010 2027 5 19981 6204 5 4889 1464 8 18594 4447 1 12663 3476 1 10240 6648 2 4165 1121 1 11569 11 7 14886 2653 2 7613 2686 2 9432 2814 1 4969 6705 18 5213 74 1 5326 46 1 7778 2327 2 10313 2517 2 15941 2995 1 8639 6097 1 11353 2734 1 1766 5245 2 808 3579 1 12550 1007 30 6544 867 3 18372 6481 1 18874 5986 2 18247 1147 1 2194 694 1 17485 3287 1 3416 5945 3 11219 7606 5 8001 7701 1 6668 5899 2 20180 1124 1 19185 1729 2 4524 6537 1 913 631 1 14522 677 2 13 903 1 15091 4585 1 11032 5769 1 17837 3836 1 18939 7220 2 8179 2107 8 13121 1245 1 19390 3899 5 222 1103 1 16249 5305 1 17866 6060 1 13635 2691 1 4886 7857 1 11276 502 3 9778 967 2 15211 7674 1 12349 6633 46 17486 2356 1 8401 4172 1 3372 4339 1 11299 3117 2 8907 6335 1 11153 5551 1 3455 3879 1 14632 6030 1 6769 3855 1 9417 1328 3 11162 4296 3 14698 6591 1 4251 3563 3 18371 7008 1 19445 23 1 14318 4661 3 1444 2686 3 16445 84 1 1689 3334 7 8735 1296 1 15 995 1 14283 3411 5 13730 2353 1 19428 4394 5 18363 4467 1 16096 2104 1 17228 6132 4 9891 1730 1 135 6245 3 17003 5153 6 20040 3556 1 6010 197 11 6998 336 1 19409 4992 1 18143 2581 5 12449 3480 3 1370 2649 1 10499 3511 7 7912 1771 1 15791 749 6 17828 1819 1 6202 7946 1 6820 6334 2 7349 2992 1 5797 6192 7 15159 1924 5 9587 926 1 7640 5495 1 992 5468 1 19193 7853 1 446 4807 6 11985 35 1 11548 3138 2 19573 5269 1 496 6330 1 17392 4653 1 15419 5018 1 7731 3229 1 14292 2341 4 13829 4403 1 17011 2263 1 16700 545 1 2782 670 2 259 3175 1 12009 1737 1 15618 1691 1 18420 191 1 1254 864 1 10586 1781 1 15136 669 1 9861 1734 1 12994 194 11 19767 2363 3 12686 1352 1 13015 156 10 126 5680 1 8747 3161 1 19649 880 1 16777 3278 1 13664 2938 1 9971 3331 8 18182 517 1 6259 545 1 6420 550 3 15634 1753 2 11314 5566 1 3189 1290 1 15138 3399 1 432 2350 1 4829 200 3 1673 2068 8 6690 1054 1 11235 6163 1 14722 5826 3 19909 6716 1 2582 222 1 12085 1339 1 7914 2146 1 16546 2737 2 19530 200 10 18471 6084 1 11594 870 1 11798 1211 3 5274 5018 4 3397 3404 1 14765 1247 6 905 1374 3 13728 6187 4 3181 7073 3 13359 1128 1 10145 5203 1 7252 2005 1 13601 1345 1 4330 7317 1 9279 1745 2 1939 3598 2 5873 1595 1 3226 5448 1 121 5309 4 1154 3222 1 18413 2697 1 6183 1698 4 5794 2686 3 3397 3655 1 5252 4378 1 1386 2045 1 8214 1747 5 5890 4203 1 7656 5783 71 14335 6714 7 15382 2360 1 570 3558 5 10940 6198 1 14597 3634 2 410 201 7 5646 4203 1 135 6160 4 12439 2603 3 1606 2392 2 1824 4307 6 9304 11 2 7203 407 1 14652 2534 1 14719 3511 2 9978 3029 1 7574 3274 2 13325 1557 1 16327 3065 1 4898 3916 1 17488 6038 4 10625 4266 2 14990 3426 2 18986 1145 1 7110 1624 1 1602 303 9 11156 4950 1 2803 1208 1 6723 7599 4 11472 4230 1 2439 7976 11 9134 236 1 5052 6192 2 16776 4737 1 5556 5737 21 8458 1730 2 11352 7199 7 19883 721 1 11126 3748 1 13461 1464 2 8471 3906 1 11252 4534 1 1771 4877 2 74 2360 3 13195 1743 2 19757 3900 5 1712 6494 1 11658 1324 17 9124 232 5 16286 1747 1 7634 2262 3 5863 2150 1 2529 725 1 7433 201 1 709 5543 30 14806 833 2 1397 4258 1 7070 6435 1 14682 903 2 8850 1424 1 14027 3284 1 19234 5077 4 4519 5294 2 15958 1147 2 6164 23 2 12361 3423 5 8591 1731 2 899 890 1 5359 244 2 12753 2963 1 13615 1360 1 16670 1564 8 15499 3197 2 4012 1635 4 17302 1374 2 6152 5558 1 1802 2569 1 548 6245 1 17331 1737 1 3431 206 14 5280 1747 13 3397 604 3 6164 7735 1 16035 3361 2 8975 3637 5 4716 1374 1 8605 4111 1 10575 799 1 14590 2610 1 10080 7359 2 12678 2930 1 2693 1946 1 6465 203 1 20257 1245 2 12660 219 3 1539 4352 1 1871 1719 2 9193 5297 5 18508 7726 1 13410 7598 2 2629 7878 2 1565 6164 1 16742 6434 1 13085 5758 8 13462 1184 2 9093 1769 5 17403 2013 1 13919 5288 1 11955 3731 1 5653 1711 1 10586 201 4 16016 1138 1 19424 1984 1 18405 690 1 19820 1184 6 7663 206 1 3822 8190 1 10102 1374 2 4870 1561 4 15758 3484 1 5841 6692 2 11020 4522 1 2479 1721 1 15294 7857 1 19959 7419 4 2679 6053 1 2598 1645 1 17743 6196 1 9075 7850 2 1825 6530 73 11231 4673 1 14145 3155 1 1590 948 3 5276 5052 1 9745 1310 2 8094 325 1 11830 804 1 10776 3884 1 9319 128 14 5025 1775 2 20133 406 4 5827 10 1 18876 441 1 855 1772 3 1013 215 5 19650 8200 13 10693 2889 20 9143 2392 1 11272 745 1 1530 1357 2 13216 5322 2 9877 8093 3 15011 5971 1 8367 6457 4 2345 7347 21 643 6714 1 13126 4301 1 13927 952 1 10999 379 1 2262 3749 2 9449 1593 7 6820 3466 1 16303 7101 6 10535 215 6 8117 765 1 20014 2495 1 8969 1737 2 8772 1184 1 12883 6754 2 15870 5341 1 6990 505 2 13084 1727 3 17578 5737 2 15318 2056 1 15640 2729 1 19026 4996 1 8965 1747 1 18149 1248 1 17014 2056 3 18698 1342 2 19788 1727 2 18170 1658 4 5048 7401 5 2509 5285 4 6439 221 1 3380 184 9 1744 4172 2 12097 1242 1 11477 4508 1 14917 364 1 7979 6106 1 10666 5297 1 7266 8178 11 6859 1093 1 3774 1726 1 15984 8051 1 12700 638 1 12985 6633 1 16853 4306 2 11805 8174 6 4574 1234 16 11796 650 1 8443 5277 1 16688 308 1 14520 5617 1 17734 200 22 5298 3444 2 31 1244 3 7876 386 1 8528 1825 1 9640 1788 1 7038 1992 1 5212 1704 1 6587 1819 10 11336 7853 4 15530 232 1 4883 1403 2 17372 471 1 6283 1707 1 20 1334 1 13207 2254 5 2045 1695 3 11427 2407 4 7407 411 5 1973 819 1 1 42 1 11882 2791 2 10401 3512 1 9815 314 5 6563 3608 1 9473 1891 1 14108 595 1 5464 7210 1 16706 3845 1 6198 1113 1 15543 874 1 3872 2552 6 17088 6232 4 10888 6151 3 18298 2392 1 3853 4019 1 6878 1147 4 3505 1781 1 3505 956 1 572 4280 1 13812 1363 1 7947 6705 1 3793 2668 1 2166 4930 1 13465 899 1 9883 4105 10 8361 1967 5 6564 1698 2 15826 1076 5 10176 1955 4 8159 670 1 17019 5120 6 4689 411 1 4446 5619 1 17500 1775 2 8114 7989 1 18409 861 2 13537 5253 1 14350 504 1 18887 2675 10 1020 578 1 6024 2409 1 15501 353 1 20013 470 3 19078 2698 1 5631 6204 5 5827 2007 1 12406 8141 1 7351 1726 1 7194 8154 1 16267 74 5 12363 1718 1 1081 1739 6 13328 5519 1 5455 3184 3 14786 4963 1 18462 662 1 12821 5385 1 9061 4567 9 3505 2290 1 15261 2645 1 1440 3204 1 14108 5540 1 34 1844 1 17935 6047 11 1964 1328 4 19590 593 1 17886 3015 2 18411 308 8 5208 4343 4 4609 2542 1 16570 943 6 12083 1482 2 1005 6132 1 679 3697 1 19267 5311 1 11666 223 1 8419 7308 2 15507 184 1 10331 6690 3 18384 3540 1 514 3749 1 6801 5254 8 15144 3138 2 18935 191 1 14668 1344 1 6676 6636 1 16944 3480 10 4170 506 1 18705 1788 1 3350 2155 3 10496 6022 1 18054 5486 1 745 173 2 7991 4702 5 18874 4567 1 6116 222 1 17954 5391 1 12716 525 2 8746 1727 1 11976 5018 9 5771 3618 3 2292 1342 3 19970 151 3 17872 223 12 5771 2580 1 11192 573 1 18389 1045 1 12603 3771 3 19871 2014 1 18614 5390 1 333 2419 3 4968 1395 1 18667 1825 1 6133 274 1 19227 175 1 6452 7719 2 7056 8126 2 16388 8183 1 12035 1707 1 18714 2294 2 19851 4085 1 7180 5063 5 19916 4102 4 19448 6912 1 19881 156 1 10242 1245 1 2625 6120 1 15796 6793 2 13835 1776 21 4914 6242 2 7000 4834 1 16190 3425 1 9610 4929 2 14828 5734 1 15071 1342 3 20193 447 1 10314 1699 3 8439 1825 1 10549 3972 1 15782 1686 1 3214 4038 2 18320 870 1 1902 2261 1 12097 4811 3 8653 6540 1 16719 518 2 19286 879 1 7956 4229 1 6801 367 2 611 1987 2 8532 1453 1 13412 973 4 19480 6892 1 16775 229 12 18760 1825 1 8860 2166 1 4410 3540 24 11192 492 4 2902 206 1 17010 8045 1 1361 759 2 18132 1277 5 8668 2675 8 10234 220 1 9081 597 1 15405 4499 1 10843 3617 2 15169 5480 1 5657 534 3 906 3046 1 18804 844 1 7474 219 1 13734 3637 2 9606 1752 1 15978 6108 20 19132 200 9 17124 2234 1 4542 2676 3 9954 1748 3 16018 2509 1 9050 3660 2 6492 510 1 18263 7377 4 19080 3206 1 4985 7599 2 1116 4090 5 6068 3248 17 17652 4343 6 1283 4367 1 11619 2653 2 4620 3444 1 10282 8131 1 18791 534 4 3243 2423 1 20090 668 1 9660 1253 3 19566 6562 19 6556 530 1 11615 7522 2 1498 7570 13 2803 2981 5 12979 3266 1 914 3493 1 11178 2762 1 5378 4336 1 10418 1147 1 18360 4090 5 1864 23 1 15620 1783 1 18002 4409 1 14992 1428 2 297 1146 1 18091 2065 3 10090 625 1 10242 1251 2 4572 1244 5 13890 4912 2 18937 1635 7 13764 2407 6 15300 222 3 9187 46 1 10119 3422 1 9359 579 1 11598 814 1 7868 1756 1 4467 201 5 16860 385 2 8832 1193 1 10549 1758 13 20020 232 1 11912 228 1 17879 1776 3 13927 200 3 12300 3921 2 13236 6097 1 9763 230 1 1394 3954 1 9451 5483 1 5725 3403 1 11562 7275 1 16674 23 21 3562 215 5 11192 1208 1 19203 1118 1 13898 4403 1 14412 1814 1 9388 6179 1 8511 4659 1 5675 2552 3 130 5892 1 10698 207 1 9029 6067 2 15712 502 6 11602 5672 1 5271 507 2 163 7422 5 12188 7086 1 6240 7525 1 4963 5131 1 12649 5504 1 1231 1421 1 4373 1129 1 3549 5325 1 16500 6204 1 349 100 3 18743 7189 2 10354 296 2 3395 7905 1 10553 3609 1 17943 252 36 17125 759 8 458 7269 1 15065 1251 1 14642 215 2 16006 5425 1 7577 392 3 10176 7719 26 16740 2448 2 6207 1747 8 1125 423 1 15192 945 1 1801 5327 1 9978 1277 2 16895 1768 2 6064 4288 1 14081 3949 8 19729 1247 2 9898 5911 1 16943 520 2 8278 235 2 13857 412 1 1864 804 1 19713 74 6 893 860 2 20009 3078 1 3634 1644 1 6588 1987 1 3589 3293 2 6061 6875 2 7867 13 2 1673 6777 2 13785 524 50 16328 1740 4 8361 524 14 153 7031 1 15497 883 1 11544 10 1 9836 3626 11 16784 3671 1 16089 525 1 13217 5945 1 9279 525 4 11554 1772 3 6510 3711 3 15435 3474 1 13534 324 1 7397 1416 4 6314 3795 1 812 2369 1 14424 329 1 1014 221 1 1167 6690 5 19428 366 1 17174 659 1 14062 7719 33 1562 313 1 4699 4394 1 18138 6152 6 217 2068 1 15300 1784 3 11938 4987 1 16186 2799 1 15428 3540 3 18656 4333 1 19608 676 3 16997 5018 3 11131 4674 1 19608 572 1 8135 2099 2 12026 1453 1 19666 1743 2 7872 4435 6 12126 8192 3 2414 270 1 6630 1125 1 17000 2631 2 3801 876 1 3318 2360 1 11502 4761 2 2395 3911 1 11900 201 2 10361 637 1 13046 235 1 9759 4339 2 19938 7846 1 3189 7025 2 8322 481 1 10799 6192 3 6973 5352 15 3041 8102 1 12068 6231 1 2276 2356 1 6570 3608 1 909 2419 1 4532 897 3 11774 1642 1 4815 5704 1 18089 640 1 15721 825 1 10 353 1 5960 4509 9 16057 3121 1 10234 1266 1 164 7484 1 3661 4029 1 6116 206 40 12457 1110 1 6595 1757 2 13777 1428 26 1547 186 4 416 206 2 4655 8029 14 18738 244 1 873 4582 5 8208 5950 9 835 6713 1 2346 2953 1 17555 843 9 6332 5553 1 9 238 5 13110 6031 9 20222 1788 1 268 336 1 1035 219 1 11764 1545 4 8582 508 2 9393 235 3 8195 219 15 107 4796 3 17527 1738 5 3055 2345 1 14089 3502 1 17 1154 1 4525 1313 10 15564 719 2 2701 409 2 15307 916 1 9283 1453 1 1946 4963 3 14114 1304 1 554 214 1 8824 4998 1 6539 401 1 19288 495 2 8585 4972 8 12742 4266 1 9492 23 1 8833 10 1 19710 304 1 17199 1364 2 14276 2772 1 5258 6074 1 7682 765 3 7051 517 1 11465 1325 22 9058 7407 2 1198 4369 5 2385 6059 2 5854 6487 3 11872 3907 1 17663 1593 1 19428 70 2 87 2127 1 8995 953 1 7452 1345 1 2443 74 17 6332 2883 1 12817 3491 1 19483 196 2 31 1752 3 11246 2836 1 13199 201 10 9390 6082 3 16767 74 1 13185 6462 1 18450 3378 1 8150 186 1 6538 3370 1 6215 1721 1 15100 355 1 10693 1750 2 11882 6990 1 16895 3333 4 11364 8041 1 19476 7456 1 5827 800 1 5205 5300 6 10123 691 1 3085 1238 1 18357 825 1 18386 975 1 10240 2881 1 269 5853 1 10685 506 4 3752 6954 1 14410 2193 1 16473 2636 1 16481 23 12 14755 6385 2 6107 2938 8 2127 6161 1 15376 214 7 9279 2686 3 4063 6957 1 164 1768 4 4249 203 24 9596 1482 1 976 1482 1 1630 524 2 13035 201 4 5312 1239 1 18561 7767 2 8242 4555 10 18232 6480 13 16765 1239 5 12367 4015 6 67 3218 1 11763 707 1 15296 206 20 18631 8141 4 3380 223 4 1989 3148 1 14753 1721 2 8280 220 8 8028 5642 2 11861 7925 2 14556 23 7 1922 2990 3 16004 5813 1 5617 2511 1 4935 2511 1 378 6949 5 20119 532 1 17538 2676 2 4593 713 2 8890 7655 1 5588 506 1 18698 7404 1 1519 593 1 17713 5708 1 16361 1698 1 8626 1745 1 7415 5077 11 1838 1705 1 9374 1769 1 9435 4467 1 14367 303 1 5976 6752 1 3459 3058 1 14183 502 1 10948 8145 1 1949 1417 2 5185 6484 1 3270 164 1 15205 1265 1 10119 4566 1 9639 339 4 19258 200 3 4851 6091 1 8714 3043 1 9093 156 1 9486 411 1 14427 6288 2 4277 203 1 13417 2977 1 8129 951 1 152 6827 1 171 7719 6 17331 1781 1 15230 23 22 4629 4648 2 40 398 1 17589 4169 1 15346 2737 49 10967 5089 7 707 219 2 665 385 1 3988 2010 1 18748 5099 14 14666 3453 5 17738 535 1 7591 3287 1 19996 606 1 19865 2721 1 10565 7719 1 11461 1752 1 13157 844 1 9503 233 3 4657 867 14 6740 928 2 11323 541 8 6995 5407 1 11805 3021 10 6511 201 5 6712 804 2 2764 3147 10 4483 222 1 19822 204 1 2905 2409 1 16071 6278 1 16659 8012 1 572 165 1 14010 7085 2 11020 3705 1 237 3378 3 3423 4711 29 7245 2080 2 91 4091 1 8569 3276 1 16117 7901 1 808 5686 2 13829 13 1 17388 5016 1 7179 709 2 10912 2889 4 15984 6002 10 6055 4972 3 2917 7936 2 10586 1770 5 1580 3263 10 3082 215 10 19223 510 1 15006 7313 1 524 4178 1 12594 745 9 5485 7404 1 19578 225 14 1084 1484 1 14465 1727 1 13829 3333 4 4282 3799 1 10852 6288 1 17335 23 1 7098 2525 1 9604 201 20 15683 5261 1 9224 710 2 9309 1464 4 10354 2675 24 4151 1455 2 3233 4796 1 19713 3920 5 8528 2550 1 3996 1290 4 15713 3477 1 18087 6473 3 3238 5332 4 3215 1756 1 11687 2294 3 15744 8141 9 14686 605 4 3411 7424 2 135 3175 3 3355 411 1 1028 2496 2 6130 656 1 13909 5513 3 15100 822 1 16583 5305 1 10374 5982 1 18771 525 3 18676 7020 5 933 3671 2 1711 4473 1 18720 1328 1 10967 1938 1 1653 84 1 20219 201 1 12141 13 3 8654 3671 1 5251 4303 1 20080 207 9 113 5046 1 11574 3175 1 5122 164 2 10694 23 5 12291 1715 2 9957 1781 3 19206 5467 2 759 4214 4 7815 657 1 10766 2868 1 7705 284 2 19185 1730 1 127 5726 1 16018 2938 1 20225 810 1 18986 5996 1 2889 23 6 314 214 1 10502 2662 2 12740 244 1 16222 5960 1 10202 1721 1 3397 606 1 5298 5285 1 19223 3540 1 12525 2016 1 14400 236 2 16725 2317 2 4984 1311 2 13540 1804 1 1625 3827 1 9572 7937 1 3547 1738 3 17578 769 6 18275 219 46 8778 2661 1 4504 5018 1 7426 1768 1 4620 2881 1 19054 4929 1 10153 1246 40 7535 2013 4 19834 1466 2 18610 23 3 5876 190 1 17938 201 7 16990 6900 1 13 711 1 15653 3225 1 12903 1252 1 5017 1731 1 4163 5396 1 8031 1582 2 19826 1245 1 19579 1250 6 139 222 1 14758 379 1 8707 5162 2 6636 3433 1 16809 2671 1 352 175 2 6492 2626 1 1698 6124 1 4254 183 1 11422 817 1 10481 3512 1 378 6716 1 6556 6900 1 16604 225 1 5210 1237 4 9817 207 2 6091 214 2 17664 210 10 11884 207 4 8704 4903 9 10455 3634 1 13546 3024 10 10595 220 1 7868 3974 23 14642 7624 1 91 4109 1 2319 1331 1 915 1105 6 15272 1241 1 16857 1401 2 17061 7047 1 16645 510 1 1361 3720 4 15307 857 1 11205 7342 1 19822 4718 1 15088 4041 5 4787 524 5 17954 1276 2 47 223 1 8771 2218 1 2108 7473 1 10245 1529 15 1413 7208 1 12438 1091 1 15061 4268 5 8525 6165 2 19115 203 1 914 861 1 2020 6697 1 18887 422 1 110 1719 1 14789 1303 1 18804 476 1 14036 1909 1 10672 6467 1 6007 4951 2 19267 714 5 14644 5336 1 16336 647 3 481 7893 1 2643 219 1 27 1648 1 895 1769 4 11830 3332 4 17809 1250 3 12542 903 11 2316 6341 5 16719 3911 1 3168 496 2 13374 479 1 80 252 1 12815 258 2 13730 1649 7 1962 7021 1 17257 5817 1 659 222 7 4851 501 1 13465 847 1 18933 1752 1 1907 2424 6 4034 1819 1 17174 1824 1 11313 792 1 5602 6754 4 6723 1573 7 18721 6619 5 14080 580 1 15471 3382 1 4696 3366 10 19090 1035 1 12137 6637 10 19085 638 1 815 5105 2 12043 5051 4 11363 2331 2 9440 4312 7 17816 3525 20 9725 2012 1 4840 1726 4 559 881 1 18211 6270 2 2605 4352 1 11160 7029 1 16399 1779 1 6647 3757 2 14738 1277 1 6510 4587 1 1330 23 1 20078 23 2 5863 3946 2 17739 235 3 2266 2093 7 6811 2443 3 8965 1770 2 13587 1112 1 12168 5703 1 18711 4258 1 3822 6622 1 1308 6706 1 215 3818 6 65 3149 2 9920 5320 2 17843 2831 1 8568 2250 1 5486 1454 4 16090 3216 1 10160 3336 1 16525 903 1 10404 1328 1 869 1450 2 4180 7840 1 18808 2691 1 18156 7602 3 11448 225 1 15013 4351 1 16835 1781 2 4998 1757 1 16018 1251 1 19602 779 1 17766 690 1 18534 738 1 3012 204 1 7648 411 1 18836 867 10 20016 1722 3 14298 308 1 3725 676 1 13757 4996 3 19818 670 1 6588 2897 1 7578 6571 2 428 4357 1 13857 1748 1 16366 23 10 12878 864 14 13653 3826 2 10111 1199 1 11542 2541 2 19069 1235 2 9636 1819 1 954 1307 1 17705 2880 1 4734 5570 2 5873 6806 2 130 5800 3 4572 3255 3 14142 3621 2 16471 6370 1 6332 2127 3 10471 891 1 11418 421 3 8137 1479 1 10377 1721 2 11375 1247 3 4968 2649 1 9736 164 20 19502 6252 1 6953 1991 1 13032 471 15 20034 2356 1 5282 1677 2 8475 2863 5 15426 2671 1 3307 2256 1 4390 1715 7 5921 203 5 16274 225 7 19601 762 1 8478 687 1 352 7489 5 15566 1710 2 2674 4266 1 135 2650 3 15041 222 5 13648 1887 1 7572 4293 1 13 857 2 18623 215 2 13922 1827 6 4474 1686 1 5943 1893 1 3858 207 15 8237 4739 5 15041 2727 1 3025 1730 1 11171 4684 1 17026 5879 1 290 805 1 18115 2139 1 3877 2697 1 9432 652 1 6645 4903 3 6539 574 1 7575 510 1 18040 618 1 12384 219 4 17362 4375 1 17946 1732 1 18887 201 3 9470 3691 6 11365 2955 1 5738 726 15 17930 156 1 1368 156 1 7914 3766 1 1844 7524 1 6700 220 9 9915 331 1 12392 2953 5 2047 390 8 2909 6604 5 6755 222 1 16746 3391 1 9435 4156 2 19282 3224 1 8853 449 1 411 6534 1 3794 5950 1 17989 1146 1 9258 1296 1 755 510 1 12569 1248 1 14746 4591 1 4947 1987 1 8571 533 2 2168 7205 2 8298 3699 1 14960 6340 1 18111 501 2 12459 108 3 4734 2252 2 11072 519 2 19434 1995 1 17066 4280 1 1065 4288 1 2598 4642 1 9638 1751 5 5993 214 4 18968 5466 1 17953 724 31 15605 7809 14 14818 219 8 3430 8167 1 4263 1272 1 15801 5447 1 6544 1814 2 14599 5300 1 3916 164 2 6510 4879 2 12014 2559 2 4072 4621 3 4616 5345 7 19319 6675 1 12848 1058 1 2368 4995 1 8717 23 1 15307 2018 1 14011 164 2 1035 4286 1 5424 225 7 19655 7687 1 3920 1400 1 4492 508 1 3507 1738 3 435 244 3 11449 411 1 13466 3903 2 18998 4936 1 17868 1734 6 20014 4203 1 14691 1244 1 7507 1734 1 19085 1764 1 5848 3357 1 15869 4761 1 5877 3167 11 5117 656 2 15025 1631 2 11177 3909 5 18623 745 2 18258 375 9 8183 885 1 12680 1247 1 13201 1819 1 685 3570 1 3891 2150 1 10294 510 13 12701 467 2 13743 1363 3 15615 1464 1 10480 148 1 17488 4727 5 2020 792 1 8198 1099 1 9244 1721 1 17746 685 1 15949 6523 1 12475 1395 1 9224 682 3 17171 3945 1 20144 1732 1 6721 6239 1 4471 135 3 8709 3353 1 1538 1482 1 8911 1399 4 4435 23 1 13586 3135 15 18357 1770 2 337 1479 1 14087 2056 2 7251 1910 2 14400 534 1 12206 2727 24 3488 2151 2 79 3534 1 20275 394 1 17474 6363 5 11082 5206 2 87 1783 1 15982 1804 8 7477 1388 4 6332 935 3 19355 60 2 6233 6259 1 87 4023 1 10876 2572 6 8275 3181 15 13212 4615 1 10783 3324 5 18681 564 1 8096 2559 1 3821 5254 1 3189 1064 1 15648 3516 1 12701 4518 1 17406 792 1 6016 244 1 9554 1751 1 19009 1146 1 16379 1342 24 4498 2353 1 2091 4156 5 2490 2946 1 8405 6440 4 2348 3427 1 14214 200 10 12790 381 1 6371 270 4 19866 169 15 1995 6839 1 1725 6865 1 9327 1613 6 10880 23 1 13731 6990 1 4749 1307 1 3323 4738 5 13660 3233 1 19193 2247 1 13084 6219 1 17014 6084 2 19500 4992 1 5132 220 4 4734 6552 8 1586 1703 2 4309 1373 1 608 2990 2 8447 6197 1 14583 5951 1 5266 3389 12 5759 236 1 10316 2396 2 19727 5757 2 18144 221 2 3090 1819 1 15483 7265 2 8435 614 1 2128 4607 1 41 2151 9 17331 4902 2 10720 1309 10 755 891 1 6690 3016 1 16338 436 1 5171 5034 1 7099 6912 1 18713 411 1 3705 2935 20 13040 743 9 2836 5133 1 18474 550 6 18508 1382 1 13430 6268 6 15145 6334 1 11190 223 18 19979 1729 1 12464 84 4 10218 8030 1 19722 5141 1 1531 4000 1 15553 3983 2 14965 974 1 16810 604 1 19769 3842 1 1202 7621 3 12171 206 3 5140 1738 2 10813 10 1 17070 2017 2 18201 7769 2 6249 573 1 4193 1250 3 13829 206 1 13262 6716 1 16678 7244 1 14996 2448 1 12058 221 3 3189 2715 2 356 1374 1 11786 3065 6 14692 1743 2 7952 4246 1 1568 2800 1 13925 6880 2 5573 900 2 1228 4245 1 8250 3651 2 4296 4998 2 14519 2058 11 5342 2897 1 2458 495 1 18434 3511 1 4267 2260 1 3505 5952 1 4181 6355 3 5304 1234 7 9924 206 2 12225 1686 13 14757 95 2 5680 5266 1 12623 8122 1 16873 489 1 13786 6407 10 11581 2206 1 9555 1105 4 10850 2392 2 8462 215 1 11691 8156 1 10592 237 2 11352 7733 20 17477 1814 3 8644 2151 1 16018 5686 1 18568 1116 1 14797 225 2 5611 1734 1 3414 1686 2 1863 1705 2 13537 7576 4 3963 6897 8 11345 4099 1 18698 2675 1 18528 3258 3 160 7286 5 15608 3836 1 420 4172 1 755 1747 1 1088 7665 2 16815 3510 4 16308 1696 7 798 3627 1 5307 1644 9 8658 1762 1 17062 934 1 1763 3696 1 18992 673 1 1666 1482 12 7082 3865 1 5677 355 1 15474 1718 1 18755 4796 1 15169 1359 1 20145 1334 1 12159 5425 1 8343 8031 1 11545 191 1 16869 7543 15 8751 1308 11 17154 1779 4 14755 6536 2 10579 6994 2 8476 532 5 17333 243 2 13159 1424 1 8438 687 1 16668 7112 1 11122 6210 2 2360 7320 1 171 5922 2 12197 790 1 2319 2109 1 9462 205 2 12817 479 1 13986 2894 4 20123 1276 1 17748 814 1 1322 6343 1 2365 3233 1 18462 707 1 11400 3482 2 6221 3736 2 19949 5379 5 4663 642 1 12706 514 3 16172 38 5 11259 89 2 9910 244 3 10792 5397 1 19489 805 1 12970 2488 3 19731 1751 1 20225 650 2 10404 423 1 14270 3666 1 15036 3230 1 7530 215 4 16837 5394 1 16148 201 1 7799 2722 8 6938 1827 5 13363 892 1 8311 508 1 2699 8154 3 10960 165 11 9429 380 1 11112 2216 1 1749 2261 2 2271 3049 1 14770 235 1 135 6096 2 4025 1768 3 6681 6442 1 9759 4179 13 12682 5757 1 5991 5097 1 15376 867 1 11333 589 3 13321 1245 1 7258 4996 3 3934 4877 1 7410 1638 1 4435 185 1 13920 190 1 1457 725 1 3927 976 16 94 4320 1 13461 215 9 9725 1338 2 7152 5054 1 12258 7536 1 3081 1101 5 7452 5526 1 6269 221 1 2985 685 1 15812 535 1 10554 4321 1 3845 7035 3 19287 4996 1 713 2542 1 7679 3999 2 18431 6538 1 3037 1762 1 3597 173 12 9374 3287 1 8778 2675 11 13328 5447 1 13779 1877 5 6644 1420 2 8484 1474 3 5728 525 1 19090 401 1 3397 752 1 7549 1070 1 11044 3642 1 6524 15 2 7245 3945 1 1216 5427 1 15407 2305 1 9723 1243 1 5785 883 1 3279 495 1 2646 1146 1 18042 4342 1 12893 3911 1 633 3787 1 5742 2534 2 11252 2633 1 3871 609 1 18307 2022 1 3639 6341 1 10842 7213 17 11360 737 1 19092 3074 1 8761 229 1 14986 1781 1 14905 3057 1 13002 2619 1 16164 3619 2 7475 874 5 7670 148 1 12003 3156 4 822 394 2 17968 1050 1 130 5253 1 20104 2555 5 12988 244 10 11375 3170 1 16426 173 2 932 6161 1 6983 4951 1 7016 2633 2 9457 2413 2 6603 2662 5 15689 891 2 13972 1250 7 3892 1452 1 17173 1688 1 16090 3972 5 496 244 1 8013 5905 1 6690 4527 1 4840 2969 1 1992 200 1 1875 169 2 952 512 6 13722 4622 1 875 1727 4 8486 470 1 13399 3283 1 7956 4268 1 16630 7998 1 5088 1464 1 14187 1747 8 4569 3444 1 16873 3492 1 9628 798 1 15796 4403 4 17172 2216 1 15001 6120 1 8944 390 1 11502 4303 1 14062 1374 3 16881 3556 13 6099 4320 11 1145 1751 1 4498 4877 1 4279 708 1 11181 2402 2 14211 1236 4 16961 858 2 12279 2103 2 3058 1704 1 3103 1825 2 18288 3554 1 6611 3285 1 9894 3032 3 133 6072 4 19760 1825 1 20026 534 1 6867 3731 1 6003 4992 1 11428 223 2 18267 1714 1 5877 196 9 1625 4302 1 1836 484 1 6989 1762 1 19194 8216 1 2558 1718 4 17184 803 1 16185 5736 3 3044 2915 2 18260 4383 1 15778 4528 1 3768 498 13 10366 196 8 9662 3334 1 7634 3669 4 4995 7260 7 14184 1247 2 9250 654 1 16434 180 2 16176 5485 1 7688 5858 3 4662 1796 1 6589 100 2 18014 1772 3 16805 156 1 12710 7795 12 41 2149 1 2715 5252 1 9318 23 1 18750 779 1 6324 1717 2 9418 6892 1 11769 3221 3 216 4139 1 17171 3627 1 5344 7073 5 11793 295 2 12040 4992 1 18833 6570 1 2917 2003 1 1649 1995 2 6776 1404 5 7312 1707 4 18188 500 1 6922 6687 5 18807 863 1 15553 232 5 14238 1417 3 15895 921 1 3134 177 1 16 1007 5 9916 1825 23 20030 764 1 19619 219 1 8299 5952 1 17014 449 1 11113 203 1 18620 3460 4 121 839 3 11452 1736 9 10321 2542 1 19348 7800 1 9322 1465 3 7243 4280 1 2729 7355 2 4850 5524 5 11773 7022 4 13868 7829 2 9666 2016 11 14722 995 89 676 1342 1 1132 6713 4 4147 1662 1 1003 4316 1 15025 2863 2 15152 4059 1 1712 3909 1 3922 148 1 13110 7455 2 3927 1243 10 13623 94 1 2249 2443 3 16996 1381 1 1792 7420 2 14985 7750 1 13335 221 1 4259 2801 1 7558 2578 2 1973 1121 2 9072 512 1 6952 8065 1 7994 728 1 6360 1819 3 13603 5420 5 9421 6690 1 6449 1379 1 12566 2980 1 18380 1955 12 1277 6517 4 10531 1741 1 4870 3074 4 5490 4653 6 9647 2388 1 3147 6502 1 9833 336 1 812 215 1 17388 1341 2 86 3218 1 18026 1304 3 8316 3748 1 8645 863 1 14059 2495 2 2094 1898 1 12654 1707 2 14658 3659 1 37 2000 1 83 3790 1 13501 10 1 16197 1416 1 11844 6177 1 18043 4251 1 10316 792 1 6650 804 1 2095 4435 1 4726 3023 1 6876 336 1 17746 1686 1 1404 1631 2 16035 3352 2 7449 497 1 8015 7448 1 12364 222 1 3544 366 1 17120 173 1 18408 2671 2 13829 1755 3 14518 1732 1 19023 190 1 1528 3081 1 2315 4477 1 954 1658 1 11499 4794 2 8286 1403 1 11973 1249 1 8665 200 2 6145 6152 3 18193 200 15 16481 7857 1 1262 524 1 5596 1756 1 5663 1248 2 10402 5974 1 3193 220 3 7653 2459 1 12818 5266 3 11314 4383 1 18968 366 1 20225 656 1 2917 274 1 9945 1572 1 153 6882 4 1062 7844 2 15138 1146 1 12112 2169 4 15520 173 4 16219 2292 1 6813 1618 1 10682 3270 1 16791 1078 19 16395 1705 3 5983 4995 1 2320 4355 2 847 5516 1 1011 2363 1 15815 1245 1 10463 215 6 6998 43 1 538 132 5 873 1689 2 18193 1740 1 19486 660 1 17275 2588 7 9406 303 5 8894 6798 2 10132 3693 1 7147 95 4 2560 6179 1 10575 959 1 2626 224 1 2535 5036 1 15664 5437 1 7455 451 1 15385 3669 1 2596 198 1 31 1738 3 15818 74 1 9916 1234 7 11818 3181 1 14094 3516 19 15054 2369 1 3755 524 2 13705 4344 4 3617 4963 1 19963 6159 1 7385 6341 2 4906 1099 1 8273 3314 1 9868 4321 1 6692 5508 4 16625 520 7 11489 1295 1 6762 334 2 1238 1784 3 7910 1743 1 19352 758 1 6989 748 1 15216 2013 1 8183 934 1 2724 3522 1 6661 4147 1 13965 190 1 8068 2771 1 873 3735 2 3521 6500 1 13781 5874 1 9043 626 1 17550 1184 6 17886 3132 1 873 132 1 13411 7591 1 14218 6435 2 17426 2338 8 3397 2827 2 5728 1707 1 9130 327 1 834 525 24 12984 2143 1 17716 1819 9 7029 33 3 6646 1781 1 17356 7948 1 1571 244 2 17954 6687 1 13705 518 2 9535 2522 1 14218 5888 1 18082 3283 1 12508 5018 4 9942 4357 1 3596 5903 2 2108 225 1 15427 3174 2 19104 422 1 15712 4038 4 174 496 2 2036 204 3 20262 1482 3 8831 625 2 17077 1245 2 10433 3378 3 4956 6257 1 16833 7534 1 11951 1036 2 12320 1781 6 14114 1277 1 16626 5478 1 7765 541 3 62 2960 1 448 214 1 2710 1374 1 6875 5557 1 6 198 18 16674 1093 1 1504 6064 3 15947 46 1 17449 3481 1 4661 6355 1 6308 184 1 9322 3557 1 3496 232 2 13601 6139 1 1488 534 2 14660 1250 6 10355 1771 2 18165 5555 1 11985 7670 3 14588 8174 10 11150 1139 1 8821 308 1 17180 5398 1 3794 153 8 2730 7671 1 1526 214 1 3330 23 8 20254 324 1 4605 4979 1 9127 7726 1 12088 4983 1 13144 7820 1 1904 303 1 13825 1764 1 15220 258 1 2553 5670 1 15789 1312 3 11477 3074 2 19734 219 15 6889 3311 14 17368 4099 1 7560 1768 1 8151 1827 10 6726 6604 5 873 3724 2 15666 3827 1 12817 1453 1 1498 2636 13 18183 528 1 116 2675 1 3485 1719 2 3207 2057 2 13 791 2 16373 3632 4 18140 2355 12 6269 7226 6 9 245 6 14135 2980 10 14329 1590 5 11599 35 6 8983 759 1 13640 201 7 5636 1825 5 6617 942 2 16500 1251 2 20154 2319 1 7135 2056 1 15979 1245 2 6088 2636 12 8895 631 2 14454 1239 1 2716 533 3 5052 4250 1 9695 4122 1 6310 2671 1 5116 2887 1 19166 1076 1 832 1236 1 5493 4022 9 1273 3366 1 9270 1363 2 9066 2307 10 17907 223 11 8165 167 3 14015 3840 1 16504 1747 2 4960 81 3 19369 303 1 10692 783 1 12404 5559 5 9717 3556 1 1964 235 1 1249 4006 1 13069 1907 1 9628 818 1 879 3117 3 2135 5505 1 16500 2678 1 13829 1748 2 6673 3511 1 13459 3127 3 11014 1730 2 8840 6549 1 9753 945 1 10119 4547 2 9855 2043 1 4674 5259 10 16089 3233 1 1548 168 2 6796 3732 1 1936 3660 2 13730 6536 1 15649 167 2 17607 3378 2 4012 2027 1 19401 517 5 18457 221 7 19006 1781 1 13672 148 1 7184 1453 1 2288 5408 2 10948 6197 1 13547 6207 1 26 1513 1 6553 581 1 10320 4385 4 16704 7477 12 7754 1516 1 725 5121 1 5688 545 2 14908 1109 6 13783 1380 2 13994 3715 1 7312 1716 2 7075 223 14 14035 7466 1 5491 3233 1 15614 6268 1 3891 5271 1 2911 214 1 9616 4404 1 9264 270 10 17835 6527 1 8505 219 1 2744 655 2 14900 2356 1 20106 1727 1 11282 1825 10 13990 207 3 11008 5798 2 14599 691 2 16500 2529 2 1133 7769 2 15124 4638 1 3116 7857 3 16609 1819 4 4880 3389 1 15102 3886 1 3550 6601 1 9587 275 1 17353 470 3 11912 3285 1 9797 4807 2 17007 778 1 6023 1105 3 10038 3682 1 20180 3618 1 12418 4498 1 354 23 2 10313 2496 1 18413 5206 7 6280 4183 1 16860 5255 1 12392 365 18 15941 4996 3 11131 3737 1 2917 1366 1 9763 5496 1 8831 597 3 11308 2811 1 10218 6013 2 9217 1023 5 11863 484 1 1746 3557 1 1604 1748 3 6183 545 3 11895 3463 1 20119 2356 5 19594 2552 2 11 403 1 18578 7346 1 4267 2424 1 3854 1007 27 163 7402 5 16267 6684 1 14405 5018 16 2726 3916 1 6911 3021 1 95 4347 1 296 506 1 1703 514 1 17516 1745 6 16886 3827 1 19322 5203 1 10492 7719 15 17713 1186 17 17261 910 1 9657 1313 1 11877 1395 1 135 6198 2 14777 7227 1 19908 2068 1 17015 883 16 10542 1537 1 8475 2331 3 19222 1825 7 4334 220 7 15909 1274 1 18806 2647 1 18476 4059 1 3796 220 2 14599 640 1 4933 2175 19 17825 1738 16 3044 627 2 13415 7948 4 18885 3081 2 713 7527 1 17370 694 4 4386 5335 2 4368 6716 3 1412 197 2 4769 1903 9 17250 5275 1 14504 745 10 153 7054 1 612 5482 1 15447 6224 1 20048 881 1 18214 3464 4 4180 6065 3 8416 206 3 6670 23 3 19128 4616 1 16205 776 1 1663 6662 7 3728 157 1 14828 2097 2 18756 7351 2 17263 684 1 7115 4435 3 10103 6139 1 11402 275 1 18740 5077 1 6641 519 1 15564 2542 1 7452 751 1 11562 692 1 6320 562 1 3498 7222 1 12490 1282 5 17762 5021 1 17631 1751 1 17308 7576 1 18462 605 1 2917 1518 1 11097 4266 1 13328 5396 1 5253 876 1 2917 2012 1 8833 1328 1 17053 229 2 8891 892 1 18014 637 1 5424 1406 1 5950 164 3 14685 3540 1 4018 1936 1 15651 1368 1 6867 4299 1 10584 203 1 18543 23 1 572 2565 1 5808 2661 1 10693 7602 2 18232 215 16 20042 6025 5 6907 6288 1 17518 637 1 4146 5082 1 19627 302 4 6570 6544 1 9597 2676 2 16919 3666 1 9946 4144 1 269 82 1 16645 3973 2 17388 7018 2 5301 3691 5 822 3275 1 1705 813 2 3657 4963 8 12457 23 2 5074 2484 1 4663 3293 1 538 7536 1 4941 3578 1 3311 1737 2 10565 5341 1 135 3512 1 8282 2521 5 8309 1244 3 16869 525 2 2710 1395 1 13131 959 1 10053 3255 2 11393 839 1 11949 2708 1 8116 4711 3 19287 3423 1 6063 5432 6 4197 667 1 12063 4041 2 12375 3889 2 11702 2495 1 6337 903 1 18187 899 1 4509 4338 1 18307 1146 1 2784 843 1 45 2339 5 4561 1338 9 16276 8060 3 873 1373 1 4913 1237 2 3934 53 6 13758 385 2 13799 214 1 18366 429 1 27 1615 1 18087 222 4 3694 411 1 9249 2955 2 19972 3791 1 17547 225 1 13442 2577 1 20207 4716 1 15307 6457 1 9432 673 1 2413 3206 10 2180 910 2 3407 7120 1 11212 2777 3 6570 6209 1 6521 7542 1 18418 2015 1 2288 5099 4 11271 395 1 1553 232 2 15506 1505 1 18933 229 1 12623 867 1 2443 554 1 19722 3685 1 12118 514 1 4504 203 16 13031 2995 1 12615 6150 1 13557 1466 1 1898 220 1 17603 1237 1 15270 6868 21 17736 2415 3 171 7632 1 13026 6761 1 6422 7506 2 18219 864 9 16825 1721 1 633 2982 1 15608 3647 2 3096 7295 1 4625 2677 27 4138 219 1 17331 252 1 17877 3896 1 17865 926 1 15758 2646 1 12054 1269 6 5172 4431 1 16439 3563 8 4659 2998 1 15045 4811 5 18033 1613 8 15468 23 28 2725 4961 3 12613 533 31 13535 510 1 20206 517 2 7359 1775 2 14028 2591 2 5478 1990 1 7135 186 1 6096 7761 1 9740 7603 1 19336 1395 3 13997 916 1 1712 2012 1 10242 2675 1 8882 3163 2 19600 524 4 17010 2938 4 15102 1747 2 9491 5018 1 15683 290 1 16682 203 2 1065 903 3 13865 7157 1 15376 156 3 7340 5477 1 189 7843 1 7410 3477 1 14047 1632 1 11384 190 1 458 1675 1 14368 5604 5 764 2673 4 17384 743 4 8182 4796 1 4868 4312 4 8950 1298 5 7455 430 1 15499 3804 9 7181 1722 1 1928 6286 1 19447 2608 2 8943 1395 2 6236 882 1 13255 1954 1 12320 8139 3 14034 883 1 11498 1242 20 4098 5159 1 12760 4394 4 16063 5547 1 1585 222 1 9395 638 1 17746 837 2 12753 2953 1 18520 7815 3 592 367 10 18667 533 1 1005 4807 5 12946 4204 8 17342 394 1 3826 2443 1 1156 4951 1 936 3146 6 4195 1825 1 14211 1537 4 12841 4250 1 15056 1756 1 16933 5081 3 10785 5444 1 11344 6914 4 11591 184 1 2678 3519 1 13613 4623 1 9666 7972 1 18115 4288 12 15456 1374 1 10450 5903 2 19775 495 1 19924 2143 1 2470 6561 2 10966 3298 1 18762 221 3 1718 6231 1 12480 447 1 4713 7255 2 6781 1721 4 18821 3592 1 143 6603 3 12623 496 1 14522 173 1 15139 4002 6 13544 1250 28 4147 2591 2 19042 6341 1 835 4637 1 15321 5018 1 10747 200 5 12190 1184 1 4265 3970 2 496 1308 1 1993 1721 1 5022 548 1 11143 3323 1 9724 1734 3 4268 842 1 8269 790 1 15125 7953 7 8582 2488 8 15982 2735 6 6024 5531 3 8932 6588 2 13743 1658 1 17946 303 1 6265 201 6 8004 2678 1 13640 219 5 6712 769 1 4199 3164 9 13928 670 3 10670 4345 1 222 428 1 872 1234 1 16167 498 5 18609 534 4 15895 3367 1 14257 5294 1 14805 1764 1 2553 147 1 13137 5783 1 16233 2896 2 12322 2352 3 13397 382 2 20009 6706 1 19724 356 1 170 7594 1 18359 301 1 10616 5187 1 14814 1695 1 13461 7815 9 16322 57 1 9346 223 1 3978 5089 1 4267 7222 1 1631 1242 37 14997 877 1 20278 823 5 1386 1757 2 15364 4577 1 8793 818 1 11468 1772 1 14193 1743 1 11052 3584 1 10105 23 3 15881 5332 2 1337 3747 1 7703 1304 4 11585 1719 5 12753 2881 1 7278 2338 2 11877 1146 1 7856 797 1 15515 7848 1 19643 3163 1 16029 5325 2 14190 4325 4 9802 1825 16 2804 151 1 2905 681 1 11442 215 1 1801 883 1 19314 3135 1 2045 1781 1 16561 233 5 7455 436 4 3651 3104 1 11354 5120 1 2985 2841 1 13389 253 4 1671 3135 1 15220 1707 1 18183 4029 1 12361 1400 1 8287 3882 4 745 1342 2 15495 2056 1 13069 2247 1 10988 474 1 6310 867 6 1861 1881 1 10865 232 15 1086 203 3 12397 7456 1 561 1357 3 3856 4242 1 8532 2363 3 14290 6213 1 18866 7925 1 11343 1251 2 2360 7319 1 18876 3397 6 11241 3334 5 7450 4090 1 3075 2671 1 8121 1234 4 8462 23 3 9432 1151 1 7017 4544 2 12071 5137 1 17790 200 2 11050 1740 2 17399 3378 1 1760 2530 2 3397 5506 1 727 1659 1 4565 7191 4 20 1296 1 4133 1718 1 8654 5071 3 7312 534 7 9445 496 1 10740 1719 1 7147 7818 2 5938 833 1 584 1561 1 87 222 1 10720 313 1 7548 7420 2 1191 225 4 5100 3315 1 13146 937 1 18336 6649 1 10772 2419 1 13838 20 9 20080 4936 1 4512 8041 1 16057 7439 1 16653 4245 2 18375 880 2 12509 1269 1 7380 5016 1 17365 169 3 17953 221 9 3043 1717 1 11014 470 13 6584 4314 1 17358 236 1 5214 220 2 3681 1819 3 15466 1184 3 8891 215 1 3881 2501 1 382 1331 1 12831 727 5 15272 609 2 16844 6640 2 19902 6991 1 11026 5120 1 7967 7018 2 8435 225 1 1789 1274 1 8077 3352 1 20090 415 1 6007 3556 5 10966 201 8 6135 941 1 15284 3633 1 3901 855 2 886 2721 6 19649 1757 4 13244 7098 1 6147 7652 1 18042 422 1 7432 1374 2 13490 382 1 10183 508 1 474 1713 1 9685 8066 1 13881 1267 7 2602 4505 1 4492 3492 1 12361 704 7 14239 5564 6 12919 2682 2 15314 5439 2 11072 769 3 18926 4361 5 3012 342 1 15895 467 3 5201 2478 1 18623 1342 1 6466 1185 1 19085 229 1 5013 3227 1 7452 552 1 10102 1727 1 19740 2081 1 109 4957 1 19937 2559 5 12688 2668 1 8067 4395 2 679 5897 1 16942 244 1 14549 3842 2 5632 1751 2 13302 8183 1 19715 262 7 14234 560 3 18211 5203 1 17150 4559 5 11111 225 1 13829 1769 2 13490 370 2 7194 4292 1 12727 1883 1 14730 7512 1 94 4302 1 17554 6107 3 10836 23 1 2874 545 2 16016 6484 1 4632 631 63 12755 2675 1 14055 1827 1 7165 636 1 16021 7231 1 15439 4013 5 14990 1518 1 11563 4792 2 12470 7848 2 17633 604 1 10069 7655 1 3606 7491 2 10997 740 1 1752 2600 1 7196 2213 6 12783 5465 1 15594 2678 1 4627 23 1 18508 5187 2 14906 495 1 11658 7076 28 1466 1245 3 12970 6993 1 4826 6520 1 18289 723 20 8699 7881 3 2418 2423 3 18887 215 3 15418 834 4 10715 46 6 9546 5257 6 20177 2938 1 11987 952 1 4488 4949 2 13182 533 1 10000 436 1 16810 329 1 1537 380 1 18488 6383 5 4304 2353 1 14918 203 19 9553 2480 1 19826 3748 15 8953 1147 1 1 92 1 19282 5445 2 20219 1246 1 17794 5320 1 6976 967 2 20278 5814 6 1444 2299 1 12186 5202 1 7585 4075 7 20182 437 1 140 6367 1 12443 808 1 14626 7860 1 5585 1783 5 7941 1357 25 18096 1714 1 17243 1718 1 18149 221 8 94 4207 1 6758 2089 1 10612 5018 4 13 967 2 19078 1416 4 18737 1718 10 18855 5567 1 17032 1518 1 5310 810 1 18301 5628 1 9429 1778 1 18096 5520 1 10655 2392 1 16480 214 1 13702 5341 1 7934 232 2 5949 200 2 15072 4065 1 10319 3230 5 9025 1342 1 3505 1338 1 7970 2746 1 5205 3595 13 16838 308 3 20090 705 1 6437 199 1 12821 519 1 14788 214 4 14179 1755 1 13035 1756 4 5851 1685 1 9308 219 50 6990 1231 1 48 2445 1 20016 5997 22 11521 2517 1 16719 5466 1 14906 3511 4 14562 3338 1 9879 4597 1 4339 1251 1 812 3590 2 17586 504 1 14970 470 1 13116 7948 3 5944 3693 51 18737 2319 1 5071 186 1 18635 47 1 5252 1235 1 314 891 3 3407 1982 1 4264 201 11 1825 1657 1 13758 367 1 17752 200 53 17015 5060 1 8217 5758 2 17199 6027 1 12103 3135 1 4268 6053 2 8217 470 7 3871 1814 2 135 6108 2 18862 441 1 2117 2534 2 2213 7526 1 6460 3525 2 4963 2562 1 10454 1743 1 10590 3414 1 4382 532 1 17556 3411 1 8105 2057 1 12726 512 3 6794 7569 3 4539 1719 1 5115 1835 1 19982 539 5 8606 4996 2 1704 4728 1 17868 2262 3 16647 807 1 10050 4245 1 7261 502 1 8763 232 1 8150 3788 1 16596 7544 1 17661 1245 1 6987 5550 1 4320 214 5 8867 1734 2 8710 7 1 15338 2569 2 6332 614 1 13392 1741 3 19952 34 1 19801 1357 1 5193 190 1 8497 533 5 17344 185 14 4137 995 4 14011 5068 1 14872 864 1 16044 2712 1 4225 1730 2 2843 3206 2 14998 367 3 19027 200 1 9894 1076 1 10449 189 10 12817 4139 1 3886 169 1 20193 1278 4 9885 219 1 17328 1990 1 1059 2294 2 1787 3464 4 15502 2780 4 20009 3145 2 7461 842 3 7184 1779 2 15471 186 1 11912 7412 1 6422 759 5 5121 3629 1 3819 2279 2 15133 347 1 6673 5783 1 19805 2316 1 16133 2021 1 6519 214 9 10817 6252 1 2835 6702 2 15108 6920 1 13468 4967 2 3991 74 1 8201 1346 1 4683 2610 1 14834 1342 1 1711 690 2 4376 3338 1 3793 4336 1 7127 203 6 17092 1244 1 1 39 1 3516 5903 1 11861 2737 17 8116 6553 3 5668 4231 1 658 7245 6 11889 5353 7 15192 982 4 2629 2626 1 8361 3492 6 15619 229 1 15035 5120 35 6107 2401 7 1296 2998 41 10610 2889 1 18406 2379 5 14921 470 1 11917 2710 1 10041 320 1 5491 3334 39 19594 505 1 19809 537 1 12660 3569 1 2321 1611 1 20219 883 1 18091 1453 1 17226 512 1 10973 7660 12 16140 386 1 11694 348 1 14755 6636 1 14896 171 1 11072 7920 2 17867 1250 1 15648 1471 1 18206 304 2 5768 4379 4 14721 413 4 17195 28 6 19578 2653 5 7707 4732 4 5033 229 2 18366 374 1 13192 539 2 18968 407 1 19822 992 1 10725 7427 1 3763 1743 1 85 2355 1 543 2852 1 13626 1890 1 2325 2675 1 12190 4228 1 1520 2534 1 19722 3556 1 15880 505 8 4389 2635 74 14406 4621 2 17195 6400 3 18986 1000 2 14542 2138 4 14870 7250 1 15212 2549 1 525 5077 1 3233 6023 2 18682 3230 1 11721 4029 2 91 2617 1 15691 4366 1 13363 4597 1 3846 385 1 9213 7419 1 15749 2325 1 153 7068 3 14784 206 1 17952 5385 1 4451 631 1 13999 7614 1 8210 4397 1 6556 365 1 11088 2844 2 19219 3231 1 16931 4944 1 11247 2021 1 3043 3276 1 5801 1251 1 9321 229 1 5938 500 4 17525 1819 1 16447 7606 32 2990 193 3 12967 5018 2 18761 3206 3 8278 23 1 11169 536 1 12194 2261 5 11369 1985 2 1049 4245 1 20220 223 1 7560 745 1 14624 3685 1 14232 1731 3 3985 6639 2 460 525 2 10730 229 9 9329 3633 2 15015 4177 14 2749 3159 2 11818 3898 1 18668 1080 15 12838 1324 2 14234 758 1 19419 4653 1 6781 1275 3 13414 214 2 7177 2810 1 9439 2271 10 7376 367 1 8921 1825 22 13436 5972 1 954 7311 2 15970 4600 1 4389 23 1 4178 220 1 54 2602 1 11367 1482 3 11786 2584 4 6611 5093 5 8482 6683 1 11014 1770 4 857 128 1 14599 656 1 7471 6252 1 3249 1707 1 13134 6657 1 6865 1755 1 19065 3151 1 16156 1244 1 8633 1332 1 5161 1781 1 7811 206 1 3206 2552 6 13710 532 1 13909 4038 2 13461 196 7 6483 214 1 15136 810 1 977 2826 1 1551 4972 3 17983 1789 4 6589 3050 7 17156 1721 2 11343 6868 1 11072 1743 2 20103 2229 1 10498 5309 1 11786 6663 4 4858 3146 1 16368 7173 1 467 3311 6 8860 2285 1 16643 6696 1 11078 225 1 18716 1743 1 65 3192 2 6059 4380 1 1838 880 9 15074 5897 5 14043 5400 1 14748 361 1 4806 4242 1 2505 8029 2 14740 506 6 3312 3176 1 12327 159 2 16378 519 2 3237 3518 2 14710 4056 1 9133 3510 1 15266 4428 27 854 5995 17 11959 7348 1 12322 1752 1 16470 1993 1 16812 6174 2 19715 23 1 12064 1781 2 873 630 1 1807 397 2 5926 222 3 18888 1480 1 14929 2322 1 18909 1658 1 6903 1235 1 1875 4572 5 160 7300 1 17066 7750 1 2058 1751 1 8211 519 1 6942 6993 1 9446 132 2 1843 839 1 6410 74 1 7539 1717 1 13071 1924 1 136 6268 4 12826 2494 2 15681 258 1 16931 4011 1 3112 3972 8 16754 203 1 15931 1252 1 19602 3796 2 7495 2647 1 9720 6690 1 6802 1363 2 834 863 1 16700 148 2 15497 5253 1 18533 3464 2 3586 3879 1 19510 1467 4 19393 1757 1 19573 1814 33 11554 2263 2 15935 2602 1 760 4296 1 11262 5051 6 12574 4435 10 727 233 1 10579 482 1 18485 2735 2 16063 5398 1 9891 1728 2 3485 520 2 16855 378 4 9862 214 1 4337 2777 1 16994 3512 11 3826 258 1 13212 3911 1 12167 382 3 9325 2541 1 19721 4392 1 15288 1184 1 14254 100 1 16267 1814 5 8956 1253 2 109 4982 1 18381 1698 4 270 520 1 14075 23 1 14202 196 5 3328 1292 1 8872 532 15 17939 220 1 3953 2064 1 15412 1755 1 18644 232 2 15608 6013 1 12273 310 1 4299 2980 1 16710 1751 3 14642 7234 1 1198 2760 2 3018 1695 38 17603 3669 1 6140 2656 3 5634 2698 6 16625 184 6 11665 4589 3 6854 173 5 12067 3629 26 2998 1249 1 20183 1760 2 6564 1250 1 18584 8051 3 1359 1275 2 16158 5468 2 9864 5164 1 13238 1228 1 342 1814 1 16340 6557 1 9718 4604 3 11282 1819 9 2795 1758 1 16084 7136 2 7996 2173 5 4938 84 1 8299 5874 2 7513 95 5 11253 1757 1 11937 8031 1 10128 3937 9 17305 2567 3 9989 4383 2 6347 6933 2 11529 518 2 8082 4559 3 13602 2006 6 9484 2350 1 2087 8217 3 12618 5674 2 812 2363 1 10699 200 8 20159 2307 3 7224 6122 1 13382 6341 1 7590 2257 2 5028 6635 2 9104 1331 1 15850 2953 1 18937 2143 2 18325 284 1 4180 955 1 11533 2087 1 8501 3482 2 13239 7255 1 6164 4343 2 13333 7128 1 13082 5674 1 3395 201 1 18576 23 2 19174 4435 2 11852 5757 1 8546 903 2 6796 1737 2 10974 3378 2 9463 4716 1 16159 1450 1 12305 6858 1 16697 4245 1 4282 7840 1 10611 219 4 17889 225 1 16548 2369 1 14194 6848 1 8475 6510 1 8690 2423 1 6887 6507 4 3432 6210 1 4572 1307 1 6355 2367 1 7450 225 3 14095 691 1 7853 1739 2 140 1522 1 18070 4047 2 1002 1246 1 2338 1249 1 6206 1243 1 124 2424 1 9848 2880 1 4498 1259 5 14908 4293 1 11935 1740 3 2575 2635 1 13640 1296 1 496 57 1 15016 5341 1 19302 1703 1 5840 1819 1 3411 1374 1 4348 8184 2 8090 2355 2 4128 1313 2 16831 1464 1 100 4485 2 17436 2515 1 8653 1687 1 19055 206 1 4148 1799 1 143 6668 1 14522 1342 2 5952 6031 8 4898 197 1 11121 3706 1 19568 201 7 16314 219 6 12583 5940 2 14059 2951 1 8435 221 1 19344 214 6 14811 7830 8 16249 839 1 16395 1762 5 5565 3057 1 8275 2746 1 68 3255 1 12778 2698 1 8006 7658 5 8094 3596 3 14312 6634 1 8110 5516 2 13302 1762 1 12128 3234 3 4678 8051 1 11487 203 2 659 3233 2 5174 397 10 10838 201 2 11658 1272 11 2953 101 1 13919 574 1 4593 5674 5 6135 220 14 1468 6122 2 18092 2488 2 8051 2807 1 10018 6731 5 14236 2514 2 9437 1714 1 7382 1814 32 18178 7404 1 10122 8203 2 145 6690 1 8246 6047 1 18556 2614 3 5840 412 1 5473 6410 1 20031 336 1 3724 4363 3 3295 4034 1 1400 1249 1 10382 399 1 3654 3503 3 19812 6220 1 346 939 1 4985 8160 1 13698 4300 1 15807 2605 3 6471 2403 1 19738 3058 3 16201 5398 1 2267 7521 3 133 6058 3 2739 1768 1 12663 3798 2 5624 1756 1 3419 3510 3 5777 2239 5 13343 6065 4 10000 442 1 10783 5253 1 19334 7529 1 18968 516 2 171 7757 3 2406 1717 8 13427 1245 1 17550 4856 1 3008 392 1 17087 2737 1 127 677 1 2428 5414 1 1801 2004 1 13417 1685 1 20248 1724 1 16388 4616 1 1261 5336 1 13461 8194 1 14114 390 1 9975 252 1 13045 3558 1 17719 382 3 16626 7091 1 12934 7235 1 254 1555 1 19578 5263 5 2227 5265 1 1867 4716 1 15310 1612 2 12897 6363 1 8198 7054 1 6999 1237 1 5258 7352 2 14758 6418 1 2459 5742 1 6271 1721 1 5752 303 1 14250 1757 2 12399 237 1 5960 4503 2 12192 1245 1 3258 206 1 4985 23 1 8198 4280 1 14765 3333 1 4265 6170 1 20004 2262 3 15396 1321 21 17241 702 1 18665 7683 1 4353 6892 2 15409 6009 5 6729 3671 2 3749 2595 1 4898 1726 2 11188 6140 1 16258 3256 8 7034 4884 1 3544 7837 5 17088 1728 2 6824 6434 5 11931 546 1 17602 209 11 18287 233 2 19217 637 3 18263 7396 1 7348 5884 1 17328 4716 4 5717 534 1 7044 2930 1 18115 3278 11 12047 6219 1 2305 5020 1 7348 5824 2 15063 322 2 5172 2737 1 15975 1768 1 5892 2356 14 11282 4293 5 17304 1345 2 6164 1704 1 18091 2058 3 18932 746 1 1160 237 3 16768 274 1 18251 682 3 6471 2413 1 8198 7916 3 5914 1060 2 5828 6237 3 18615 156 10 16090 6180 1 50 2501 1 4963 6480 1 153 6917 1 11341 5097 1 7952 4849 1 15893 6711 1 2222 200 2 19026 1695 2 7257 201 1 74 3473 1 5172 6993 1 13111 1729 1 8012 520 2 13750 3225 1 11090 5255 1 17120 5255 1 17003 366 7 3305 3909 1 14053 7231 2 14376 5255 1 2750 667 3 4053 4310 1 9195 525 2 12489 1980 4 20114 1695 2 16458 203 4 572 962 1 16069 2276 1 19906 4427 1 14297 5363 2 7165 623 1 2545 215 1 13490 1277 3 11900 2013 6 7774 1423 2 6313 8119 1 12149 470 1 13646 1328 1 9195 3666 1 18843 514 1 6742 5432 1 11230 449 5 6106 6400 1 7822 7857 2 1390 1356 1 3663 390 1 6371 331 4 7205 4963 1 727 863 1 10931 236 1 17112 4949 25 14219 6845 1 1024 7350 1 19864 2488 1 14600 449 2 781 1315 1 16276 1245 3 4195 2698 1 12435 3012 5 4181 7268 1 5695 742 1 1801 457 1 16519 2860 1 17713 4332 3 6313 4198 2 4023 1881 1 19378 199 3 15304 5435 1 14145 2357 2 5287 504 1 19565 365 1 16002 344 1 4038 3939 1 8818 4516 1 3733 5281 1 11259 1278 3 6371 274 3 8343 235 1 3142 6500 4 2927 682 2 85 3905 1 18144 1738 1 1712 4051 3 1551 207 2 7373 3909 1 7184 1249 2 10249 926 1 2255 6084 1 13927 23 1 15750 6769 1 10902 1757 2 13343 2556 1 16117 6421 3 16751 7477 1 2432 4635 2 18089 510 1 10459 5989 1 3195 4601 7 16178 1296 7 19500 520 1 18843 2534 3 3414 46 1 9841 2727 11 3358 1734 2 15714 4312 1 6712 790 1 10205 1687 8 15826 6515 1 9747 1235 1 1636 3464 2 5884 220 1 17210 520 1 14115 1757 1 12647 156 2 7226 3903 1 11035 4912 1 17017 7774 1 9760 518 2 5103 6341 2 2395 1664 1 9764 2958 1 13077 231 1 684 1720 1 127 5731 1 14685 496 4 7610 694 1 16811 23 3 1028 4285 1 5142 3526 1 2412 3029 1 19471 1146 1 10632 4427 4 20238 4293 80 1520 789 1 365 6949 2 10254 6170 4 19921 6723 5 4859 534 1 11297 46 2 9546 814 1 18132 89 3 15453 6169 1 18614 2572 2 5171 383 1 20007 5740 1 6876 206 1 16641 2916 1 13613 329 3 5626 501 1 5385 1537 2 15288 749 2 11637 748 8 6892 554 1 15486 1775 32 9041 2595 1 2385 7020 2 7179 5137 1 2776 7412 2 11367 1247 1 15216 1762 1 815 1740 13 17558 7498 5 10488 215 1 5026 4274 1 11529 5018 3 107 4813 2 16037 1760 1 10514 7570 1 1420 6158 1 17955 1342 1 6415 1728 1 4018 4405 1 16456 1658 1 9924 303 3 181 8249 1 13106 7397 3 5873 6252 1 13582 759 1 848 7688 2 6697 1739 6 14142 6031 1 16291 1904 1 3613 1244 9 8831 3389 1 11766 3604 1 7928 1638 5 1186 751 1 17220 1466 1 4452 5321 26 13375 1153 2 20059 3911 1 18413 6603 1 7012 1241 2 15354 3167 1 1875 8192 1 10214 7710 3 14366 863 1 15998 524 11 1906 1307 1 11515 6278 1 16900 6751 6 11820 4603 1 5486 201 2 6284 501 2 11191 207 1 5430 200 4 3878 220 1 12367 5141 1 17696 2368 5 15778 2107 1 10976 3907 1 15189 898 1 2629 2673 1 16624 7235 2 5899 7498 1 9648 1736 1 14549 4312 2 1206 436 3 15943 844 1 17849 1037 1 5426 205 2 298 2327 3 486 1757 3 14537 7367 1 9597 1762 13 7245 4981 1 15909 5011 1 2607 6754 6 10103 4296 1 2292 1007 5 7384 1774 2 151 6768 1 4779 2572 1 5963 1713 2 8856 1731 1 5467 235 1 19967 3522 1 8156 222 5 9724 1244 4 14230 7853 1 17809 1776 2 9412 637 1 10946 7245 1 9865 3919 1 9717 2343 1 15463 3378 4 3975 1172 1 6211 1955 1 11718 35 1 10674 36 2 850 2686 5 4701 554 1 12777 3378 2 14746 420 3 4170 1275 1 5102 3612 3 5745 5940 1 998 3048 1 12853 2508 1 2927 3634 1 7266 501 5 3384 232 1 4189 4296 1 7742 207 11 14975 2295 1 12469 1781 1 20090 427 2 10856 5391 1 10623 8096 1 17884 5903 1 379 2675 1 754 6170 1 8287 6957 3 11658 3956 1 9865 1729 1 4854 4132 3 9676 2559 12 4446 2488 27 19538 262 5 9777 3945 2 3269 3163 1 16002 877 1 12074 4343 1 7184 1247 1 16827 6047 1 20044 7708 3 10498 2508 1 9701 892 1 14610 2801 3 11277 3301 1 3304 4257 1 12740 8054 7 2748 1237 1 16300 2571 1 696 1768 1 13788 4070 1 10115 283 1 4492 1768 1 9445 1744 1 8969 4992 2 9374 1450 1 9211 5536 1 13178 6446 1 4985 2055 1 10279 1237 1 158 215 1 9029 1312 1 10146 8183 1 4542 394 1 12196 453 1 17891 4807 2 18244 6744 17 3447 4435 4 10718 1695 3 4921 1395 1 17058 650 3 14406 5827 1 16754 219 1 17027 219 1 15025 3429 1 2139 4014 2 10381 1357 1 2370 4022 1 16049 3308 1 13126 1613 1 527 2943 1 15367 612 1 8918 5460 1 15300 207 14 12152 1023 5 6777 4944 5 12817 221 1 5266 5260 7 14872 1239 1 10843 873 1 8716 1420 12 11617 1843 3 5903 5411 2 17622 7423 3 4329 6135 7 9891 229 1 13312 23 1 455 2009 1 18232 3721 6 5831 525 5 1331 509 1 15011 658 3 20009 193 1 18303 2736 1 19688 7466 1 11168 2951 1 5132 4411 1 1432 1772 1 17746 616 1 1668 2983 2 7181 200 14 85 3923 10 9168 173 1 9732 595 1 14335 4613 1 14053 214 1 4663 1273 1 10786 395 1 10994 857 1 19778 4304 1 15015 2415 1 5051 4992 17 19486 6482 1 14036 6294 1 4249 6414 21 12063 1955 3 36 1747 25 15202 1365 5 18197 7667 3 4305 177 2 9659 2582 5 2922 3650 2 97 23 8 17879 1814 1 1962 1277 7 11863 3232 3 3008 454 1 11 429 5 13909 236 1 897 3029 5 13674 5915 2 2969 23 1 10826 5737 1 13596 1985 33 8730 666 1 13857 4377 1 1204 1303 1 15058 1760 9 9582 1743 7 14633 1046 1 2792 1752 1 18386 244 4 13829 1736 2 8183 872 1 11810 4074 5 6536 244 2 6403 184 1 19833 3808 1 15513 3155 3 6126 1747 7 6332 793 3 3833 5043 3 11752 375 3 39 2048 3 7326 910 1 15683 2867 3 6403 1686 1 13402 6040 1 14890 764 1 7354 201 2 1702 1768 1 17065 883 2 2754 495 8 6704 2151 1 1084 7424 3 11843 1764 1 5185 3399 4 10474 5082 1 18893 533 5 13302 1238 1 5100 1245 3 14404 6069 8 3405 2844 1 4754 201 1 19293 74 1 17128 5118 1 15140 4643 1 10113 7659 2 16708 1369 1 6630 2024 1 8367 4069 1 17752 2699 3 19414 6259 10 19996 690 2 18965 214 5 3240 200 1 17152 1244 10 4663 632 1 6781 4436 6 4573 2675 5 9105 7418 1 8421 1313 4 4455 1531 2 13619 6027 8 7625 4996 2 13 746 4 11387 4047 1 1007 2158 1 11895 1363 4 11270 367 4 10720 205 2 873 3798 1 9477 303 4 10525 1707 5 18815 184 5 11857 3333 1 19929 1417 1 18186 3625 1 13 674 6 4469 867 10 9115 863 1 13084 532 4 12897 3638 2 19792 3602 2 9188 581 1 11441 5187 1 1650 8091 1 14325 2520 5 6207 3635 2 13723 4333 1 1924 581 1 10795 501 2 4841 1775 3 9525 1453 2 12067 7009 1 4859 2678 4 102 23 1 6580 528 5 2962 3592 1 15756 2517 1 13042 3070 1 7316 1773 1 11837 1973 5 17846 5332 4 13635 2106 9 4220 1772 2 11291 1417 4 13234 5496 1 7923 411 4 18860 7515 2 6809 1910 5 11985 1304 2 15429 1100 2 6645 3748 1 10135 1407 13 12489 1903 2 10587 7509 2 19648 5253 1 7585 4101 11 4418 46 1 3867 6083 4 6429 1796 3 1051 2485 10 61 2760 1 8884 397 1 15562 3540 1 16203 3685 1 5923 1580 1 9445 1244 2 12765 639 2 15112 3488 1 6503 4543 1 4493 6487 1 6437 1331 1 18214 2126 1 17439 6510 3 5615 718 1 12288 3065 1 10852 274 18 9091 2356 4 19160 751 1 670 3050 1 115 5192 1 5440 207 10 6398 533 5 2803 1032 1 4495 5129 2 9343 684 1 13132 606 1 16423 1508 1 8150 184 1 6643 3163 6 6991 194 1 6381 702 16 19916 308 3 11183 4306 2 17088 1721 6 4572 1137 1 6811 5037 2 8532 1237 5 9406 10 6 9174 1942 2 7586 597 1 18755 3164 6 14530 1493 14 5117 615 1 1 34 5 7296 533 1 16625 3113 7 11458 2379 1 11533 889 1 11336 519 1 6509 7938 2 8751 3191 1 13807 1246 1 4050 508 3 19743 5434 5 6749 5441 1 11338 883 3 14341 2492 1 9281 3748 3 13035 3328 1 8585 1803 2 15685 4929 1 18718 1686 20 9644 1739 1 9025 519 1 16158 8071 6 7019 4293 3 14515 3058 1 13103 3671 2 8406 1734 2 12530 52 1 14006 7406 4 15509 3287 2 19234 1677 6 2240 330 1 15429 6050 1 4268 3380 1 3481 2881 2 3877 7677 3 16266 500 1 16857 3058 1 1609 2993 1 9224 917 2 18893 842 1 20009 539 1 15272 1363 3 5322 6164 1 3111 2897 3 6560 910 2 11177 2683 1 18876 817 1 6793 1916 2 9195 2254 16 10503 8141 1 11854 6037 1 13411 1727 1 12231 2421 1 14432 1307 1 2917 6442 1 15818 1814 7 297 910 1 13349 3203 8 5136 1729 1 19225 1245 4 1620 5874 1 9950 4615 1 2629 232 4 19239 5090 2 10871 2097 5 14678 1277 1 4220 5560 1 1106 2528 5 3181 4433 2 17732 292 1 15094 2497 1 6853 2505 1 17985 532 3 952 3464 1 6685 1814 1 11411 498 2 572 8176 7 14200 3065 1 7252 474 1 14102 1334 5 12987 5466 4 13183 3557 1 1806 225 3 7267 1927 1 5974 6897 1 4278 3525 4 12669 1827 25 16184 5312 1 5781 3882 1 3878 2883 4 17084 3233 27 17664 1819 1 15192 689 2 19608 5258 2 3395 1146 1 17218 5540 2 15241 505 1 10590 1163 1 5010 425 1 9518 215 9 10670 8093 1 12385 4949 1 13640 232 6 8611 1157 6 1413 6341 1 14447 4864 3 3982 4065 3 9421 4284 3 1822 1368 1 44 2302 5 16016 2068 1 11130 6122 1 15858 4041 5 10374 6014 1 14615 1466 1 5959 880 1 1922 1740 2 5514 4345 1 5454 6633 1 20158 1035 1 1154 1752 1 9543 437 1 107 4767 1 15865 4290 3 2074 6661 36 3368 3845 1 8435 5736 1 15885 4202 1 10247 1610 2 5972 1814 1 6539 6943 1 18876 571 1 7907 1037 3 19680 2767 1 14351 207 1 10905 1771 2 9464 3951 4 9093 3892 2 18006 7816 1 18205 6192 1 6063 2512 1 259 1747 1 9789 6743 1 18381 1395 3 1986 203 1 4955 23 4 11445 4266 3 19408 6665 1 15265 910 1 17645 1407 4 16815 207 1 11155 6107 2 5408 6011 3 5773 890 1 2877 5275 26 13313 467 2 2062 1778 11 6878 3366 4 15323 3511 1 14664 221 10 19991 963 1 10591 2246 2 16327 1768 3 19019 4800 4 11574 4986 2 9279 1728 1 11890 2109 3 14727 1910 1 6611 1715 1 77 3522 3 10730 1275 6 13970 927 1 6841 3626 1 6394 1204 1 592 436 1 62 2930 1 17634 4092 1 12365 5379 1 10398 6897 1 18089 2343 1 6089 2068 2 17571 23 1 2705 4577 1 19757 6538 1 3189 7036 2 2980 6181 1 1606 574 1 6152 853 1 12817 1093 1 19340 2150 1 16016 716 1 10670 506 1 6385 2367 1 7721 1775 1 6510 1113 1 8217 2555 1 10308 5379 1 13507 2829 1 5516 1146 2 13731 7545 1 18876 648 2 113 5069 5 130 5793 1 6858 5 7 7219 3493 1 17375 4015 1 11239 629 1 20202 1726 1 65 3199 4 1206 4597 5 15906 363 1 5401 230 1 16126 1980 1 12541 2363 1 12231 233 1 14968 6868 2 19360 103 5 19216 206 14 17165 2730 5 17409 23 1 6647 385 3 13995 1755 7 5104 2493 2 31 1756 1 13134 4884 1 3029 1082 1 10519 533 5 3991 2626 7 8930 4026 1 557 6059 1 15648 8149 1 4972 1399 2 3382 92 6 17392 3511 1 8835 910 1 7535 3892 3 8439 244 1 16669 4706 1 10422 5897 7 8615 7962 3 13352 931 1 18462 7021 2 9845 525 2 31 173 3 873 2731 1 9366 7229 1 13622 222 2 2189 3262 1 13800 4203 1 1890 4204 1 2459 5765 1 11263 4427 1 13974 34 2 1043 3274 1 3085 4246 2 15681 5306 1 14865 761 1 9279 3511 5 11165 5513 1 270 1775 1 7770 244 1 9052 1307 1 18160 861 1 10266 861 7 19770 7573 1 12655 471 1 8435 581 1 6510 4490 1 16096 6744 1 18528 2678 23 12414 758 12 6589 5420 6 12009 1784 10 12392 2746 7 11374 6406 2 20275 3671 1 19607 1990 2 11896 1814 1 15752 276 1 10333 8126 3 15943 1303 1 8969 220 2 8191 4615 1 873 950 2 1663 1342 4 19719 6997 1 13000 2632 4 8895 2789 1 955 1819 4 9332 1182 1 18531 6992 1 14013 2528 1 12851 1116 1 5965 2043 1 1002 1784 1 5796 995 8 9808 244 2 17748 623 5 16057 1752 1 14493 2614 1 9368 4312 4 7763 8154 1 96 4400 1 15692 3917 1 2958 82 1 1054 1331 1 4886 2270 2 5453 880 14 15448 1675 1 745 1705 1 18432 1703 1 4685 1474 2 7334 431 4 18285 905 1 10610 4572 1 13357 3078 7 10525 1770 6 19723 23 1 9876 4869 2 15220 3605 3 17575 3601 1 7243 2505 1 3031 2721 1 10463 7427 1 7186 885 1 14657 4459 6 16199 2795 1 15661 4380 1 16096 364 1 18513 205 4 14289 1991 1 5444 3884 5 7313 215 2 17088 225 1 6323 1772 17 15530 2692 1 8608 303 5 7435 4244 1 19823 200 1 19091 5048 1 19313 3972 8 1638 2565 1 11510 1751 1 11784 1146 1 487 3301 1 19870 3219 1 1079 3648 2 1190 2443 6 18730 1319 4 173 1150 1 17996 1755 3 12543 1482 1 10923 1658 1 13961 336 1 2328 1717 1 15850 3911 5 18973 525 4 18486 5325 9 3822 5496 1 6124 7477 1 6781 2256 4 6291 8009 1 3337 1156 7 16743 3138 5 5132 3230 2 10193 6510 1 10595 1752 2 19967 1990 2 7421 6226 1 11247 3920 1 2643 6933 1 11131 26 1 3613 5018 2 15162 1453 1 18456 7231 24 6767 303 2 16175 1007 1 15701 3511 2 9310 347 4 11020 331 5 7177 207 1 12320 1641 1 13223 7097 5 1136 3669 2 14059 4404 2 4068 186 1 1029 1724 1 14226 7534 3 11713 6031 1 3175 5256 1 8162 6263 3 3207 1825 1 11545 3068 1 2625 6242 5 11018 2184 1 829 46 6 4545 5036 1 12903 1780 3 7460 219 4 19486 809 2 18197 6900 7 8321 519 4 7575 222 1 6748 5468 2 18734 3389 4 15975 336 1 10268 23 2 8643 950 1 9604 5366 8 5273 4796 2 14578 135 1 15579 219 1 1077 1236 2 12278 3911 5 8094 194 1 950 3261 1 5775 1731 1 6183 1242 3 11402 207 4 6657 676 1 9519 6692 2 12764 2929 1 16249 969 1 16243 3633 1 15313 2020 1 9006 6052 1 2432 5162 2 7901 2675 1 4443 7466 1 16065 1828 3 3715 3511 17 11240 5296 16 12988 498 3 12705 7244 3 13669 3083 6 3426 1707 3 14652 4098 1 14321 411 3 4880 2951 1 13329 3694 2 11066 4615 1 19097 1249 11 80 3613 1 17 1025 1 10923 7027 13 10474 1776 1 17760 1757 23 13673 5108 3 83 3727 1 17960 3146 2 2509 5341 6 3691 2343 3 4100 3487 1 4106 833 2 7777 4187 1 1150 7576 1 3931 82 1 16548 5251 1 948 6374 1 2983 6690 1 124 2344 3 17462 4085 1 11885 5009 1 12278 6091 1 762 2369 1 16426 5052 2 13329 714 1 17508 498 6 15861 5571 1 15502 411 1 18358 6557 1 16390 1356 1 19822 8175 2 6857 1352 2 14484 207 6 8250 7112 1 16963 2686 5 19805 1760 43 18172 7407 5 10887 33 2 2842 3233 2 1603 4695 1 8663 6415 2 4153 4540 3 10242 1703 1 8250 6252 1 19857 420 1 18175 2103 1 12278 23 1 14533 207 2 8137 6723 2 299 7722 11 19710 4077 1 13706 2860 1 8538 3662 14 153 7115 1 19494 6132 17 7065 1241 1 16692 709 1 17992 498 1 79 3568 10 4489 1401 4 2356 304 1 13697 1150 3 14504 4623 5 14048 1104 8 3045 2980 2 6623 1721 1 1065 508 5 16394 1078 44 12378 6509 1 4718 526 2 9415 534 3 11341 2889 5 7640 13 2 12055 722 1 403 988 3 5887 214 2 3665 6484 3 5488 8184 1 5723 718 1 19131 411 1 12995 5175 1 11857 1761 1 17184 649 1 2886 186 1 2490 912 1 15883 320 1 4831 219 1 11964 1740 1 13684 1153 12 9566 870 1 6084 84 1 2643 3285 1 13351 7155 10 10196 2682 2 36 1992 19 5890 229 1 12744 6204 6 5174 4944 3 12737 514 1 15665 2736 5 4716 186 1 9110 7419 6 2643 4446 1 9981 2290 1 14939 523 1 11964 4615 8 2647 1657 1 6905 8113 1 6749 2807 1 2204 492 1 16676 1256 1 7994 904 1 1128 215 1 16090 259 1 19193 1104 1 1886 1321 2 10558 2559 1 3815 314 2 10290 1334 1 6198 5294 1 1969 1717 1 8851 2737 3 17384 575 1 6424 6541 1 8220 6601 1 16130 4204 6 11250 470 6 18745 2691 1 17132 1356 1 11645 5448 1 3005 7083 1 6113 1164 3 19294 215 1 19149 7934 1 9998 1464 2 9309 7830 2 16600 718 1 13518 7022 2 16464 4508 27 19783 1761 4 13199 5425 12 15314 1718 6 5922 1724 1 8513 5409 2 766 1751 1 15213 188 1 8198 230 7 14400 3512 6 15593 2712 4 9743 2353 2 7616 2832 2 18999 1718 1 2861 5017 1 3337 4670 2 3232 1243 2 11169 2106 20 2917 710 1 13060 2128 1 11306 470 2 14072 4366 6 18398 2671 1 8406 1374 3 11077 498 1 9115 3050 1 9947 2506 1 15211 4039 7 10422 2065 1 14522 894 3 6458 3531 3 27 1610 1 7176 1771 1 1931 3667 1 10856 4343 1 12631 1572 1 17252 6779 1 6098 1072 10 8121 512 4 2041 502 7 18662 1595 2 11687 2401 4 1883 3481 1 15043 5319 2 7587 7427 1 580 5187 1 14753 5466 2 14841 5903 1 5662 219 1 1999 329 9 12922 4919 5 11656 2958 1 8619 1596 1 15166 5259 1 6414 197 1 16368 1730 1 7024 5957 1 4498 4879 2 10498 3865 1 7823 2030 1 7729 6704 1 4527 6207 2 11610 220 12 675 4079 1 17953 507 5 2676 3493 1 301 867 5 87 4019 1 9628 599 1 13041 1146 1 11723 2240 1 448 518 7 1530 1352 1 4648 1770 7 17407 867 8 11842 4352 7 2996 2179 1 5176 514 1 3313 6588 1 8299 7840 2 19401 6120 1 10861 2620 1 1171 1464 1 10078 7210 3 5667 1729 8 8875 5559 2 835 8210 14 7135 313 1 5631 1333 1 13852 3511 10 17592 5575 1 15059 3675 2 10875 7410 2 6200 6900 1 48 2397 1 334 7802 6 13804 6705 6 16442 635 2 7461 891 1 16781 2626 5 5494 7860 6 11965 1732 1 15608 1249 1 16471 2671 1 6834 3907 6 6501 510 1 8859 863 2 18404 2966 1 2931 8139 3 10132 2244 1 17412 3824 1 783 6706 1 9586 1606 3 20039 5257 1 289 3408 1 19268 834 2 5477 2065 1 527 626 1 6632 6898 1 130 5940 1 15426 184 2 15471 715 1 157 3433 1 9372 219 5 699 1395 9 7293 1752 2 14091 1877 1 1618 1241 10 14063 3308 1 14633 4029 1 2229 2989 1 13042 7624 1 18746 1205 1 14773 514 7 19638 864 1 5681 1482 1 8532 1357 2 5652 4436 1 8689 205 1 19578 6154 4 9366 2728 1 14162 7659 1 7404 696 3 561 2699 3 19211 607 1 4138 2068 1 4183 3809 2 3739 2452 1 18667 1761 1 836 1969 3 8735 5083 9 13633 4998 12 9917 1823 1 4778 128 1 1618 1819 1 6305 1286 4 10225 1765 3 11011 1282 3 16894 4568 1 18200 7130 3 18157 2743 1 13800 2495 1 14280 2949 3 874 6721 3 8268 7410 5 1838 2889 1 13436 4623 1 3544 3146 1 10864 1703 1 3331 232 10 1822 3721 2 1793 1718 10 3794 1286 1 3912 7395 7 7452 203 2 19017 1995 2 4461 2016 1 8599 1772 5 16695 1296 1 14288 8017 1 7127 1757 1 2045 2675 6 13634 1238 14 10514 5099 1 9407 219 9 18237 545 3 19141 8235 4 8622 6009 9 7750 6150 1 9388 1267 1 8895 2009 1 11388 194 5 20248 1458 1 6032 777 2 15495 5252 4 6018 394 6 7613 7466 2 7356 6053 1 18042 375 2 11377 7380 1 5929 3558 1 863 5737 1 7003 517 4 8172 3778 1 6160 4274 1 3417 4623 28 2313 2771 3 11505 3494 1 7498 3494 1 543 6908 1 1654 7677 1 3523 4855 1 18534 3787 1 18931 1464 2 9546 768 1 7254 1275 4 20141 952 1 10166 605 1 9639 3630 3 14685 4972 3 8161 2443 1 10539 544 1 14173 752 4 1705 2963 1 14773 1731 1 8832 2012 1 3957 1101 1 8938 1738 18 2559 7461 1 18286 805 1 1472 1236 3 2384 974 2 11529 222 1 19641 3146 3 7545 86 1 5068 7309 1 9724 5559 2 5387 1215 10 7961 8195 2 16109 233 2 15213 1342 1 979 2883 1 5561 4189 5 757 509 1 2985 2800 1 15221 5382 5 20237 2206 19 11836 4307 2 4869 220 1 15171 4170 1 11989 229 1 6842 5016 53 9816 4557 1 15824 6683 1 62 2914 1 19137 5986 3 18873 164 1 9546 951 1 7610 919 1 7564 498 1 7610 935 1 15818 3135 1 15047 169 1 18042 5583 1 18377 6486 1 5685 214 1 14218 861 1 5960 3609 1 2361 1764 1 15263 222 3 999 7210 1 6515 5518 2 44 2290 2 9551 903 1 2513 5318 22 6287 4105 1 13262 7346 1 10600 552 1 2913 1827 3 4804 2675 1 11418 2519 1 10459 10 1 6132 2743 5 10413 5031 1 12777 6032 9 18563 880 1 17162 1897 1 1634 1248 3 3815 1172 4 10000 1042 1 7943 5909 4 11008 2626 1 12774 2552 4 16320 6697 2 7030 1342 1 18981 519 6 9445 2488 1 11246 3163 2 6062 2575 10 13829 203 3 4647 4761 6 996 2708 1 6275 4144 6 15530 4403 4 17014 1019 1 8946 804 1 108 4890 3 16963 5312 1 174 8020 2 14722 207 8 12949 2344 6 5855 191 1 10394 194 2 10948 520 1 126 5683 2 14890 564 1 7303 816 1 1452 187 1 16417 1146 1 9671 5388 1 18932 7142 1 1273 2710 1 7886 2271 1 17710 1751 3 17416 545 4 18797 7719 1 1559 3892 1 43 2255 3 20233 4040 5 14970 6039 1 14707 207 3 7534 5062 2 3353 5730 1 19575 8154 1 9463 1529 1 9568 1352 1 17495 4486 1 10772 802 1 4550 2632 1 18968 3211 5 138 6308 1 658 3193 2 3358 642 2 12521 662 1 13347 2138 10 16645 3972 3 4335 829 1 16458 1244 2 9412 201 9 13526 2447 1 17816 8126 3 19470 3892 5 15567 2580 3 5185 415 1 11243 8148 4 3258 534 1 11331 4379 2 10718 207 1 5060 3542 5 11484 6100 1 993 4918 2 14976 2292 2 17572 5037 4 3310 690 10 8383 2889 3 14170 1253 9 14798 274 1 10615 203 5 17285 6677 1 15722 514 1 18699 3647 1 19494 3726 1 9551 1238 1 15288 4924 1 2067 2698 2 8369 5931 2 17954 3298 1 19319 5083 2 4052 336 1 4057 916 1 6809 1482 5 19776 4885 1 9551 5345 2 16444 197 4 8241 3135 2 13373 2982 1 7529 6728 1 3090 1705 1 7632 1745 1 11944 751 3 15940 906 1 2154 5097 1 9736 2970 4 15364 150 1 5412 5018 3 15881 392 1 4812 1775 2 1581 1363 1 9989 1777 1 580 1833 5 873 1305 1 7995 745 10 10984 206 2 10520 8185 1 11411 1849 2 17997 7808 1 11438 1591 7 770 230 1 13543 3371 1 5074 5324 3 16339 7222 3 8097 411 8 9478 7237 3 12592 1699 1 16857 1184 4 12449 6341 1 1551 3036 1 174 7857 1 2221 651 2 8746 6669 1 18074 1819 1 16950 1756 1 1931 7668 1 13880 4459 2 14193 6080 4 17884 518 1 1539 2678 1 9204 5561 1 9322 650 1 19032 6512 1 15230 1726 16 11381 1247 3 17920 3184 1 16310 950 1 11130 6196 2 13004 4307 6 16360 3230 6 10401 533 1 5322 1374 2 12362 8183 1 10416 1244 3 5208 3742 11 2002 7379 2 17208 6850 7 12127 5737 2 14566 4332 2 222 489 1 9300 2209 2 15726 1814 1 11786 4902 1 8851 201 4 19656 2636 7 10754 518 1 19990 2620 1 3049 1082 1 1975 564 1 5377 1664 5 10684 1686 7 11478 1062 1 13710 1417 2 8053 711 1 498 532 5 18281 6080 1 14578 137 1 3579 6341 4 11872 457 1 19487 184 1 10111 2010 1 18913 284 5 4614 1323 1 13231 5150 4 4283 976 2 13244 1361 2 17494 5740 1 2121 523 1 9056 1737 1 19791 1007 12 14993 3032 8 592 385 1 16378 5018 14 6496 1108 1 17751 3058 2 36 1990 3 6997 689 1 6801 1357 6 13983 2354 1 3275 883 3 14489 3206 10 7065 1237 1 10978 800 1 17436 4628 1 8614 4038 9 17 1220 1 19993 4658 1 7905 6482 4 13829 232 3 4393 1184 3 7857 1342 2 16363 6229 1 16691 2970 2 9741 6262 3 19775 8183 1 8291 3890 3 14086 1593 3 8419 6027 1 18939 225 2 18186 201 1 19030 1791 1 10762 7229 1 16625 7598 6 857 6552 1 3720 1356 1 3238 1007 2 15683 6032 1 18968 1103 1 11014 23 3 7166 6341 2 9894 4245 2 7167 6702 1 5624 4481 2 11316 6683 1 7868 496 27 18064 1508 2 7653 2426 1 18992 1116 2 19123 843 1 5358 8127 1 6070 5559 3 8479 1464 1 12469 1764 2 16346 1296 3 17088 221 7 18778 6204 1 2795 445 4 15053 203 5 11837 5018 1 16861 3573 2 9603 800 2 14724 4280 1 7010 1973 2 580 4702 5 39 2032 1 1819 4428 1 15564 1695 3 14744 1356 1 7016 6546 1 2842 676 1 12934 6527 1 12184 6046 4 8577 6322 1 15123 6414 1 886 3755 4 5025 1146 1 7593 2562 6 11020 8026 1 10166 3760 2 4279 1182 1 17946 6204 5 9152 3867 1 14200 497 7 63 3046 1 15314 3681 1 6854 3338 1 13829 1758 3 4052 1730 1 18462 558 1 14018 2675 3 2460 498 2 18631 1334 1 14291 2179 12 303 7958 1 15202 604 1 8675 1747 1 11126 1613 1 13304 3367 1 15712 6517 9 18520 445 5 12571 2344 1 1723 1464 3 5692 6174 2 14958 2089 1 10948 6658 1 3020 3024 1 8921 203 16 10131 7433 1 11430 221 2 11535 4727 2 16877 3163 7 67 3238 1 887 84 1 3705 1698 2 1552 1745 1 10573 2632 31 140 6365 1 18869 2686 2 7210 1328 1 5167 3233 1 16222 5325 2 16036 8067 1 6250 2517 1 2274 839 1 14335 215 14 17061 8081 1 14738 2930 1 19034 1740 2 13335 3155 2 8192 1726 1 6183 1722 2 11471 2877 1 19402 5884 5 6457 244 2 12370 1269 1 7773 7210 1 13238 2675 4 13210 197 1 13340 4979 1 19730 2372 1 441 5018 2 9373 509 1 11571 3973 1 6519 318 12 18946 5818 1 16465 380 2 12136 132 1 163 207 10 6596 2678 1 12286 910 1 1706 3411 1 13238 4528 1 7850 4670 2 8593 6166 1 9552 2419 1 6642 5730 6 4095 1247 2 13178 1337 1 6631 163 2 11354 5404 1 8394 2917 2 14658 5018 2 3397 1369 1 1519 36 9 15614 1745 1 9836 4452 1 10517 7997 6 1582 7475 5 10838 4029 8 18462 629 1 19512 320 1 17 1169 1 17572 5051 5 4683 1776 1 1028 5672 1 4963 1251 2 18226 1762 1 10272 6680 1 17690 1730 6 2806 6276 9 6595 1184 1 11611 1629 2 12840 2801 2 6602 7210 1 15089 2484 1 18019 3109 19 13461 222 5 13647 1361 1 12166 7246 1 15893 1589 1 14146 6697 1 83 3805 1 13450 2838 1 11786 863 5 20090 5256 1 5775 504 10 11106 5252 1 10011 1705 3 9224 694 3 11094 1304 1 7483 6957 1 18737 5385 1 12843 2671 1 6418 2936 1 4963 3328 1 9334 2698 1 992 1757 1 5070 7216 2 10465 534 5 11571 1234 1 11279 7207 6 127 5761 1 94 4230 1 745 6361 7 13383 336 1 18802 5004 1 17331 1303 1 18181 4225 2 7498 2635 1 19995 7531 1 13285 1740 2 13522 6031 1 5863 4406 1 2057 203 10 11325 1250 1 17819 4258 1 20191 126 3 6556 4789 1 15996 1239 2 3701 2502 1 11442 2883 1 18932 274 1 11717 2270 2 13283 467 1 7686 203 1 14826 3920 4 2647 525 1 19732 1781 3 18925 670 1 1531 7559 1 44 1985 10 4092 5767 1 11354 203 1 14060 525 1 16322 1332 1 19620 1738 10 11092 4269 1 833 3698 5 8128 200 1 10 281 3 3189 1474 2 10525 100 32 17257 4056 1 3082 225 1 17109 6673 2 19181 3909 2 243 1686 1 2513 1721 2 13003 1665 1 13672 8167 1 15211 1184 1 11773 7020 1 13586 5109 3 11278 5757 2 1705 752 3 14427 1118 1 15213 5077 1 8530 6630 2 17603 8195 1 19115 34 8 15230 1395 2 8573 3222 6 10953 203 2 6024 1247 3 11362 1742 10 6973 601 2 6922 5016 8 19629 2662 1 8450 6484 1 14626 2465 1 17298 3511 6 5356 2641 1 18026 6484 1 15429 2001 1 18092 7474 1 4234 1482 2 15318 46 2 14708 5165 1 19368 418 1 3826 4248 1 19742 3578 2 18026 184 2 14117 505 1 4252 518 1 13708 1040 4 2405 7599 1 19308 1464 1 3516 229 1 6651 5018 1 18836 1652 5 8258 8212 2 14011 234 2 4460 201 2 17746 3663 8 3396 2760 2 11705 534 2 8532 1242 1 6650 292 1 17872 496 5 11849 3493 1 256 3685 5 13221 6946 2 20170 7216 1 9400 201 2 7943 7317 4 6348 7818 1 11504 4105 2 9290 1705 1 15289 82 2 11629 2998 1 15303 2111 1 14091 1785 1 1107 5016 8 10548 1295 1 17389 7506 9 8051 1277 2 17442 2980 1 12376 200 1 8264 1561 1 12925 8036 1 11854 1250 1 2985 872 1 14489 3171 1 1604 1482 2 15318 304 1 10064 7368 2 18672 4369 1 7756 5417 1 18877 1981 9 14580 7683 1 3871 1819 1 9474 34 5 1090 2064 6 618 7185 16 4539 4635 22 11047 3206 1 18307 4476 8 1571 525 4 12807 1783 1 9809 1313 1 13246 2899 5 15660 7924 1 433 6368 2 19128 5985 1 8611 3892 1 17801 4572 8 7065 5950 3 19338 7980 2 9290 1762 1 17167 2363 1 18769 5513 4 19217 3858 1 5799 5477 1 604 5270 2 16033 4256 9 15030 5103 1 6535 1239 1 9921 1720 1 15896 1374 2 19027 4992 1 6375 4911 1 7065 7005 1 2911 284 4 12619 2029 5 19330 1396 1 19730 1209 1 11255 2640 1 12470 2297 7 10684 215 1 18048 3684 5 13891 2580 1 5254 3414 3 13212 203 1 14325 6009 3 7991 6589 1 9116 520 4 15988 236 2 14877 5362 1 15507 532 1 17526 1819 1 12147 1908 1 4124 221 4 11271 1251 1 16137 2029 1 7320 1308 2 15368 1292 1 1026 7883 2 10583 963 1 6510 3800 2 2194 962 1 14027 2322 1 17675 5051 2 14892 3128 2 14965 584 1 8763 1331 1 5550 1505 4 3853 3542 1 14376 3762 1 11857 200 1 301 514 2 135 6004 2 3796 200 6 6776 1737 5 18735 4314 1 15471 3715 9 8070 4732 1 9063 883 59 17265 4716 1 5482 998 3 16861 5468 3 7946 534 1 1499 2805 1 15171 1717 1 17973 1728 4 8311 541 5 17379 2505 1 17319 3882 1 6085 4038 1 14633 134 1 15573 3275 6 9493 1072 1 20180 1250 1 14711 5488 1 9873 203 103 13412 3669 7 14642 4622 1 9558 1237 1 13386 5591 1 10398 4314 2 14079 207 40 4288 1686 12 16204 194 1 14790 4825 1 9920 4136 1 12856 3619 2 17068 536 2 12959 23 10 5304 10 2 12796 2141 1 20013 2918 2 5007 8200 3 9598 6434 6 3755 532 1 17940 7946 3 6645 2056 9 9310 1132 5 2792 8140 7 13185 366 2 4483 1781 1 7543 1757 2 4764 4992 1 11683 5505 1 10856 2383 1 1474 23 3 8585 952 2 3484 2427 12 8860 5279 8 3910 1718 1 452 2636 1 16564 937 1 18968 1226 1 11250 6342 5 16934 2650 1 19808 2678 5 6630 279 1 5354 8191 1 2045 3911 2 11407 6779 1 5646 494 1 2935 3065 3 14881 2942 1 20158 7654 9 8481 1464 1 130 5916 1 7769 1717 1 8265 7425 2 11402 222 3 10575 5820 1 13867 3106 1 3376 4615 1 5249 1736 12 14011 7632 1 19648 4595 1 6014 207 45 5738 6349 1 11367 1925 1 10236 2139 3 1814 5897 11 641 3896 1 3189 6038 2 18128 3667 1 11180 910 1 9181 2897 1 16669 1247 1 18089 1369 1 19272 805 2 11597 5594 1 14694 1410 1 10814 1453 4 6801 6993 2 10881 779 2 1650 191 1 9597 514 40 20013 1239 4 3070 1245 2 3696 201 4 19512 1782 5 235 3625 1 10728 3540 8 8198 231 4 13845 1134 2 4818 1991 6 13422 336 1 5251 1454 1 11585 5420 11 15608 6777 3 5753 3333 2 7166 3331 1 16921 4589 1 3521 4589 2 7034 8192 24 1193 3516 2 9279 1722 2 91 4098 1 8439 203 3 15147 5153 2 6476 3329 8 4170 162 1 16096 5389 2 4615 5498 1 94 4203 1 15323 173 1 11158 1362 2 19054 244 1 19286 3276 1 7577 4107 1 19486 1248 3 7200 4998 6 8895 1781 1 15092 7463 2 3332 2889 1 2816 1751 1 122 5354 6 7699 504 6 9654 4325 1 13110 2980 1 12361 896 1 153 7014 1 5926 6754 2 5389 963 1 11433 1820 22 13789 4610 2 2900 4560 1 13653 2079 2 8021 1331 4 4469 2675 1 7501 1676 3 1500 2671 10 18791 220 22 20225 590 1 15107 1663 1 1051 66 28 18526 508 1 6332 604 1 8345 221 6 18357 532 1 15272 2626 1 7017 4559 1 3309 1623 3 12883 1357 1 3447 6207 1 12310 2862 1 7262 2228 3 6387 2001 1 13058 5305 1 19060 498 6 17820 1402 2 5212 2758 1 10720 1658 1 65 2268 9 11212 4245 10 11895 3486 1 133 6074 4 11411 2089 1 1631 4597 2 13806 624 1 10341 2360 1 10692 597 2 11854 7929 1 2300 1781 2 6829 204 2 1625 477 1 824 201 7 13270 1753 3 7307 231 1 11467 1692 2 4539 215 18 2413 3073 1 18992 1190 2 11461 505 4 6013 2269 6 19322 859 3 19731 1245 1 7991 2536 1 12740 520 1 2985 641 1 14728 1825 1 16768 3661 5 11499 28 1 6183 1416 1 7601 5612 1 349 3799 1 413 1104 1 12988 5385 1 3972 5398 2 11562 1990 3 4930 220 1 15192 348 2 9421 4789 3 8398 8072 1 1335 6435 1 10690 7817 1 18213 7961 1 97 225 3 16385 253 1 604 5275 2 12037 3557 1 19177 3248 1 9269 691 1 9666 258 6 13964 2114 4 15794 1705 1 6448 7986 1 2900 5763 1 4701 848 2 2598 1624 1 17121 6692 2 9759 219 1 2350 665 1 8534 8192 1 14558 3766 2 94 205 7 16524 4640 6 16044 1825 4 18743 4868 5 349 3389 2 17416 6083 3 12566 1697 2 17746 654 2 17104 1153 1 880 1034 1 14965 3016 3 4660 1995 1 3664 3697 1 1289 829 3 15397 220 5 18852 1190 1 9283 6620 1 10339 526 3 17514 1250 4 12865 1769 1 5643 692 1 2478 1775 1 17306 5783 1 8719 3715 1 16589 1695 2 6983 2787 1 5033 863 2 1927 6205 1 20 1307 1 3110 2465 1 5854 3007 1 4167 203 8 17562 207 2 15258 5425 1 17198 1453 7 14372 57 2 1169 4090 1 11220 4798 1 451 223 2 3925 1703 2 11372 2831 1 15108 7052 1 2906 221 2 8398 6140 1 930 3159 2 11616 1289 1 16236 1242 1 7121 491 1 12436 2382 1 11377 4936 1 12190 1304 2 11969 6206 92 873 2743 2 8751 5083 1 9824 2307 1 3189 3578 5 4763 218 4 8451 1251 6 15429 2516 1 19870 1241 1 9109 2656 1 12988 225 2 14561 2831 1 10201 1747 2 5056 7850 1 4224 198 1 14946 219 1 5647 1374 3 12305 6435 1 10778 4396 1 7853 1703 1 263 512 5 6164 4589 1 4568 235 5 11769 7512 1 15573 1404 9 14947 4567 2 7179 8082 1 14580 6599 5 2566 2385 1 5195 1752 2 3367 3621 3 5709 532 2 835 4274 1 12337 3225 2 15936 5257 3 18524 1324 1 1948 3020 44 7553 4358 1 8782 3608 1 10862 6107 1 17485 2662 1 9809 5480 8 16890 577 1 11395 6342 2 7451 236 1 9493 4967 1 11687 545 4 15940 3411 5 5344 122 1 14692 7229 6 14311 6107 1 16259 1369 1 15635 4713 1 1498 931 1 2962 648 1 11956 499 1 2646 5535 1 3798 225 1 8989 6922 1 2951 1724 1 14289 3074 1 10978 3155 1 4132 6170 1 2767 7467 1 2345 3596 1 8935 74 1 6078 2980 1 10103 3625 1 7912 3896 1 14669 6946 9 8793 243 1 8015 4372 1 4495 1531 1 12659 8141 1 19724 1761 4 19503 4392 1 14906 232 2 13758 3954 1 9212 2955 2 2363 5294 1 18791 201 12 1360 6053 1 9212 1315 2 12945 1253 10 19500 3512 19 10123 521 1 1551 1747 5 19727 3540 1 8633 2958 6 13358 1770 2 14858 2991 5 17116 1208 1 8683 687 2 11695 2759 1 4036 1068 1 8394 2514 1 4482 183 1 9746 3236 1 11108 1819 2 4254 4293 5 10138 3519 1 7011 1475 3 17807 1104 1 9640 2356 1 13283 1145 3 19889 2708 2 270 498 1 5132 2662 1 17672 1721 1 19470 5453 5 14320 3345 10 852 1776 16 15429 23 3 3743 7424 1 2917 2419 1 15810 184 7 3581 1745 1 18599 5853 3 17635 215 1 11932 1450 1 17086 3731 6 19520 6107 1 17257 6897 1 6936 6170 1 3147 2584 1 1374 7735 1 20042 6017 1 10442 1210 1 8938 1729 24 3734 4720 10 16518 6344 1 15374 3990 1 3650 6330 2 11786 910 4 12430 3059 3 124 5418 1 19115 1764 9 16529 3961 2 4860 7670 7 676 3512 1 1189 2353 2 12228 304 8 13550 2034 1 3667 4307 8 3561 1313 3 5097 205 3 46 1721 1 14271 3853 5 334 663 7 11956 7752 1 4612 303 2 11573 1779 1 1665 2555 1 5185 5862 1 13263 166 1 15549 4998 1 19533 3899 10 8284 4992 1 899 235 1 12496 5762 1 11645 4435 1 6988 6937 1 10599 4351 2 10565 3634 1 417 524 1 1273 1054 1 8952 7217 1 9445 1241 1 15605 4508 11 3240 4620 3 1191 1241 5 5132 6680 4 15435 8141 1 6768 223 2 18705 1760 1 7974 1311 2 4815 4818 1 9409 4090 1 9433 2853 1 17155 3769 1 19648 4600 1 1931 5105 1 7844 1217 1 19030 90 1 73 3400 2 9764 1703 2 6130 689 1 1488 520 2 16695 7131 3 2341 200 1 18000 1721 1 16426 23 2 10549 1728 3 12988 910 3 19154 510 3 17743 2881 1 4530 2013 1 17941 2552 6 607 5121 5 5185 7476 3 16914 329 1 787 1732 1 16925 367 12 4870 3747 3 10060 165 13 5659 6231 1 4162 1341 1 11932 2559 1 3288 2981 1 1638 3206 6 2811 7311 1 9988 4511 2 6532 3230 1 19613 1748 2 1564 6933 1 873 1112 2 13705 2531 10 1963 2983 1 4092 3285 2 1759 1615 1 5539 2578 1 17014 3322 10 17436 4206 2 11611 1720 2 593 252 1 3619 519 3 679 3367 3 4841 2777 1 7317 674 1 8732 1778 1 12132 219 1 12913 3378 2 15794 1356 1 15970 4606 1 10333 1728 3 4978 4945 14 12206 1729 1 8654 5108 20 13 696 1 7600 215 1 18132 4560 3 10143 1909 6 3550 3371 1 15140 2295 8 19486 6897 1 7528 1001 1 710 4233 1 116 411 1 14108 4406 1 15608 2557 6 2735 3693 2 3545 7853 1 8329 2791 1 20229 534 3 13000 926 3 12104 536 1 19104 367 2 9408 78 1 10831 5052 1 5752 7719 5 7308 1342 5 9718 82 1 14583 3366 1 8760 1825 4 14292 4344 1 7507 891 1 10392 2713 37 4629 6504 2 9199 765 1 14658 4351 17 8343 631 1 14271 4610 1 8223 2496 2 4609 6341 2 12817 1715 1 2698 203 1 13126 819 1 16978 6692 1 5435 5115 1 1616 6897 6 48 2460 1 1296 7414 4 18049 3024 1 6055 1761 1 19875 6925 1 13345 1731 1 11786 2031 3 7269 1450 1 10488 229 1 10856 463 1 20269 1250 1 1747 1183 1 45 2341 1 8150 200 25 1713 6231 3 11467 848 2 3545 1567 2 13289 164 11 15552 894 1 2962 625 1 12710 3023 1 4023 407 1 3613 232 9 10108 6683 32 3072 4622 1 13490 1571 1 12777 1199 3 15374 4794 1 9406 534 1 17733 184 1 4512 7023 1 4337 3333 1 749 74 6 17335 2710 1 19713 1745 1 13427 7117 6 9224 671 1 12312 1737 4 27 1586 1 5897 6164 1 14695 3654 1 4536 2729 1 10044 1764 4 16363 5949 2 7363 2103 1 7556 5043 3 1171 1248 1 16690 844 4 9322 184 3 15952 394 2 12065 1991 5 6681 7672 1 19554 8146 2 15717 185 3 10043 6551 1 4688 691 1 13925 6059 2 7688 7689 1 8665 533 1 19517 6701 13 11336 7146 1 4394 6441 1 15140 3536 3 11591 3537 2 10274 167 1 877 1341 1 4181 1768 2 1059 6185 2 4498 3163 4 14987 525 1 19740 597 2 13363 52 1 16392 1530 5 15065 952 3 1055 8013 3 326 3488 1 2672 6661 1 1853 1610 1 4905 1720 2 19578 3810 1 7607 700 1 12341 7250 9 18404 1422 1 13730 3595 1 15196 1282 1 3195 3600 1 5242 7234 5 3043 4609 1 11239 201 7 11510 1698 1 11243 1054 5 17086 1692 2 5709 8195 2 18705 1242 2 5169 3036 2 1073 4563 1 6390 5538 1 19957 505 2 4281 743 1 5712 4811 3 2674 8126 3 7914 5740 1 12745 8122 3 5610 588 11 2480 3333 2 15682 346 1 6332 765 1 18191 759 25 18702 2810 1 395 2645 1 19234 1363 3 18825 1818 1 10225 6545 7 1436 13 2 14865 6488 1 4960 1798 2 9188 3807 1 4671 1907 1 8209 1307 1 18144 1244 1 15852 3911 1 1571 3511 1 3022 2263 1 6275 4029 1 13587 363 1 2228 4242 2 18149 1252 1 15211 4640 3 283 1315 3 412 4940 1 2647 2683 2 12501 1762 1 13780 1539 1 11097 970 1 6661 4124 1 5688 1685 1 503 2957 2 20126 5820 3 18336 1726 1 1838 6059 1 18357 2413 1 12451 7162 2 17953 7948 14 11644 6562 2 4189 6268 1 1719 3404 1 3971 4788 1 14196 1423 1 18476 6170 1 349 682 3 2008 719 1 17481 23 1 7910 3890 1 15920 207 12 8211 8079 1 10179 3849 1 14412 207 2 8641 214 2 16925 4246 2 19180 2964 1 14350 3056 3 15060 4572 2 16665 235 4 19727 1705 1 4493 2246 5 9978 3411 1 10811 4221 3 1250 191 1 6686 5874 1 15869 559 1 6046 1781 1 14307 1184 9 6990 6013 1 13916 7132 1 6851 2502 1 8223 7689 17 11835 6085 1 94 4304 1 15321 1728 1 17298 5385 1 19862 1482 3 11460 4751 1 3775 2635 11 7203 46 7 15670 2675 2 7480 3798 1 8761 743 1 16368 3138 2 8757 723 1 16684 482 1 1237 206 1 3103 6341 7 6158 1342 2 14087 7570 8 7481 1728 3 6560 1118 1 16745 1062 2 14522 1769 1 6345 348 1 1125 7525 2 16470 2969 1 7540 6341 1 1092 7232 2 4623 232 1 13672 7411 2 2528 1745 4 13975 190 6 18755 200 5 11598 6470 3 5416 1909 1 11830 7556 2 13806 2014 1 16897 2921 2 3228 6635 1 18633 2445 2 3168 8167 2 5964 879 1 15206 3026 4 18323 5437 1 7927 429 1 7306 684 1 7028 533 57 8884 5435 1 17724 517 3 18508 2109 1 12675 7948 1 17820 3699 59 7243 4040 1 7582 7397 1 745 761 4 16458 534 4 20014 3378 1 5725 3009 1 10719 1745 2 19513 1736 4 4458 1994 1 17143 600 1 1587 706 2 15081 203 12 17219 5288 2 2560 891 6 6914 5557 1 10272 336 2 8638 1734 3 9248 1819 3 5414 1615 8 15412 6135 1 4685 1747 1 13690 8182 7 19486 407 1 17031 23 1 2437 5758 3 8146 2618 1 3203 496 1 13672 5082 1 18431 1752 1 14797 1278 1 14135 702 5 1795 4386 4 17072 1721 4 2197 6031 2 19338 753 1 18593 534 1 6840 926 1 12481 220 2 10340 1374 2 3447 519 1 11388 1235 1 16265 5018 1 18106 1252 1 8174 533 14 45 2333 1 2198 5480 1 7188 525 1 12755 4293 1 7994 148 8 2886 4606 1 5433 1164 1 13323 898 1 2985 3837 1 682 5325 1 873 7829 1 15896 73 1 19219 452 1 11187 1721 3 17404 7592 2 7879 6293 1 8863 1252 4 9144 6157 2 19710 1342 12 17252 6545 1 10966 3019 1 1744 3493 5 6281 207 1 13117 1378 1 6853 443 1 14530 5612 1 702 2982 1 5458 4868 1 19270 3208 3 8086 3869 2 16216 2208 1 17761 232 1 17019 1740 1 18944 7948 3 822 3460 1 19708 2864 2 6417 2263 1 15049 6177 1 5561 507 1 6551 1190 1 10155 1736 4 7640 7872 2 19068 2443 3 3347 5017 1 7532 532 1 1024 531 1 18613 1727 20 14600 3233 4 8281 3283 1 1125 6585 1 5145 4986 2 18252 1623 2 5573 4557 1 10355 1729 2 10452 7880 1 2330 1146 1 9872 2661 1 18614 4013 1 12510 1965 1 8329 130 6 15479 6387 2 6073 6118 3 14053 510 1 19222 1819 8 7057 1582 236 15434 3458 5 14212 2071 3 7010 1705 3 10472 477 1 3715 2138 1 11367 4403 1 15608 3397 2 2431 5443 1 5464 215 1 19379 595 1 6806 1760 3 4767 4963 1 19694 5108 4 17159 1928 1 20219 303 1 17518 876 1 17995 4379 15 13069 5022 1 9551 7719 5 2446 148 1 11786 368 2 11277 827 1 16270 778 1 10843 3611 1 155 7138 1 19026 1775 1 8023 851 1 7527 1882 1 14187 1724 5 56 2661 1 19293 201 7 15272 229 1 5246 5737 13 5394 3651 6 15025 1474 1 13042 910 1 4561 1266 10 15689 1897 1 13474 204 1 16886 1238 1 18193 187 1 9319 888 2 1489 184 1 5488 336 2 19223 214 4 181 8231 1 2239 2617 1 11277 5003 1 198 596 1 17242 6053 1 8475 5553 1 4997 3911 5 9310 7497 1 17710 2698 1 8895 910 3 8082 4672 4 10942 7073 1 8001 2863 1 2733 6383 1 18010 7707 1 15553 5763 1 11 392 1 3553 201 7 4902 1768 1 17137 4951 1 4778 5814 4 19760 1819 1 13743 215 1 15964 235 1 16295 225 4 3471 1760 1 18538 3512 5 16427 3892 1 15432 2903 1 17459 7033 1 6164 6533 1 17946 1245 1 14412 4179 1 8760 223 1 1813 75 4 4602 4156 15 14612 952 1 3385 1593 2 2606 2920 1 3089 3163 1 1199 1341 1 13827 221 1 12592 2076 1 11072 1736 2 3934 2620 1 11277 6588 2 11789 1659 1 9188 564 1 4005 413 3 14522 325 8 9224 813 2 5756 4458 1 10302 1359 3 15346 1661 45 12982 214 3 10145 344 2 13800 419 1 14341 4245 1 14360 3275 1 4619 3287 1 17581 5438 1 11388 1739 1 8009 789 2 15549 186 1 2017 6066 1 3425 5559 1 10391 367 1 3505 2646 1 15855 1647 1 12897 3794 1 10975 23 3 6544 206 8 787 3909 4 7471 304 3 12685 4500 2 19579 6484 7 7267 525 1 15485 2068 1 4623 524 1 3161 5390 6 20227 6341 1 12315 1235 2 5739 4623 1 4505 1718 1 11587 196 4 12208 201 3 15272 1720 1 14381 2316 7 2583 234 1 12726 1190 1 13857 4040 5 3015 4321 1 7980 867 1 5688 13 1 12194 1642 1 7361 6644 5 2583 232 1 13183 6481 1 10916 605 1 19170 4435 3 7144 5097 3 9010 4902 2 11374 6641 2 696 3920 1 15699 2787 4 3973 5290 1 5624 988 1 6871 533 1 16024 1801 1 5205 1102 24 16398 6169 1 10340 1121 6 16126 207 4 4007 3647 1 14828 6697 8 12064 1720 1 17088 252 1 15579 1747 8 17078 220 1 4496 541 1 7537 6139 1 2030 200 10 7898 4388 2 18094 509 1 121 5255 5 18587 291 1 18099 708 1 12476 3980 1 2375 7719 12 11461 1751 5 13977 7404 1 1384 2363 2 15527 3516 1 7533 8057 1 991 235 3 6889 2557 1 18364 1037 2 19315 5612 2 17766 4783 1 14753 1396 1 14612 2103 1 2091 23 1 17298 1244 1 1114 541 2 19679 303 2 17558 2307 4 13285 1146 1 6712 318 1 7354 3464 3 14541 207 1 5928 7786 1 10973 514 19 4015 1184 2 18471 6480 1 2079 411 1 2879 1780 19 6061 5516 1 4667 888 2 13684 5951 1 2273 1774 2 8209 1751 1 5662 225 1 5446 3896 1 9717 612 1 16900 6744 1 2876 4427 10 8439 1357 1 1968 3060 15 9147 1768 1 12919 7116 1 863 5343 1 8920 5691 2 18909 883 1 19267 2888 1 19139 639 1 14218 1827 17 14507 4022 6 14753 3823 1 16921 206 1 12291 5162 1 6703 1825 1 16670 2959 7 11545 7407 3 13893 6587 1 14657 4254 1 1465 221 1 8451 1445 1 7055 6084 2 20177 1531 1 11443 3747 3 143 6578 2 9571 6481 2 8469 5708 1 172 7837 6 17298 368 1 17870 1342 2 16123 1150 5 16843 3419 4 20123 3558 2 19000 5747 1 10604 341 1 12337 206 2 3521 1780 1 13951 2495 1 4397 696 2 19872 7407 1 10696 5674 1 9930 7491 7 10256 533 1 11418 5789 1 44 2306 1 18671 197 1 12663 2734 16 11585 4615 1 12799 3928 1 12559 6585 1 1839 723 1 1494 201 25 17332 6723 1 9138 4992 3 13295 7477 1 15596 2240 1 16425 3670 1 15918 1295 1 16236 1717 2 2480 1146 1 8225 184 1 15356 1242 1 7796 222 1 14239 534 4 10920 4732 1 18554 1294 1 13539 7994 1 12082 5018 1 3175 7122 1 4013 2353 1 7943 6892 8 171 7623 1 13450 2683 1 6989 6027 1 3536 5272 1 2682 200 1 10862 1482 1 9188 344 1 15396 2353 65 16829 206 4 1130 1076 16 13202 186 1 17238 232 2 3597 6274 6 17633 654 1 6357 556 1 12116 3135 2 8614 5450 2 15909 349 2 19962 5730 1 11327 891 1 11979 3998 1 13195 1720 6 14607 318 1 6332 1710 2 13732 200 1 10106 8091 1 4399 1764 4 602 433 1 2153 1761 21 16141 235 1 19579 3238 1 18427 222 1 153 6404 1 8367 7529 1 9077 2362 9 20090 1019 2 15753 7859 2 247 2360 3 10730 207 1 7609 1781 4 10152 1622 1 12525 156 1 4340 1250 2 14522 735 1 18260 952 1 5753 7853 1 12700 883 1 10518 5888 1 415 891 1 7409 3135 1 17226 719 1 15396 498 69 18285 903 2 19839 2675 12 10399 4929 2 2782 6699 2 12765 7249 5 6772 304 1 770 4065 10 12740 1235 1 18157 4259 1 18071 4276 1 18880 4257 1 2374 5466 1 11072 914 3 16771 1713 1 3150 196 7 13711 2114 2 16625 2673 4 3485 6500 1 20053 5385 1 15858 3128 2 15532 5788 1 13912 638 2 10700 3489 1 19428 7112 2 8643 969 1 20214 3511 1 2638 156 1 11295 1208 1 18222 1454 1 13046 1717 1 12934 1730 10 15853 411 1 4600 1296 1 11612 1312 13 890 1784 1 18357 1251 2 2643 1251 1 15845 1109 1 15546 4967 1 15587 2647 1 16476 8148 2 4045 1740 1 8930 1383 1 10581 6018 1 13532 23 3 12493 5506 1 9810 4708 1 17403 219 1 18730 14 1 12075 5336 1 9776 752 1 6953 3433 1 802 6268 1 2373 449 1 2647 4610 1 16473 537 1 12104 421 1 7208 461 1 13425 2641 1 14580 1548 8 2935 3869 5 9066 2757 5 17742 365 1 7029 221 5 103 4629 2 3900 2351 1 3116 6198 5 13108 5327 1 6089 1399 7 13201 581 1 862 2370 27 19259 1719 2 19668 7424 4 15943 3006 2 3708 2257 2 8582 1248 5 19982 4054 4 83 3817 1 18192 6481 1 3485 1760 1 6420 4298 1 10907 4996 1 10106 2350 1 17088 1466 2 8940 1760 9 4165 4919 1 1031 219 2 15214 710 1 11422 3895 5 10393 3027 1 17809 7410 1 6712 648 1 19302 5648 1 13603 498 3 15791 2569 5 922 353 2 16723 8141 13 9722 3412 6 6259 867 8 3420 184 2 9902 3622 2 2732 4692 1 9508 1203 5 19602 371 2 15041 1825 2 17408 7602 4 170 7599 7 4223 2356 4 1464 3485 1 5357 2747 9 20258 1772 1 13922 6204 1 11309 4107 1 16201 66 1 5748 7901 1 6749 496 5 3391 1116 1 8173 1419 3 16787 6546 1 12242 1359 1 7127 1105 4 2938 714 1 8882 3723 2 16509 2938 1 18915 3671 2 11687 8178 2 2629 367 1 19813 186 14 3413 229 2 1843 916 1 5066 5495 2 12838 1138 1 10679 214 2 9485 229 2 1361 7119 2 1799 4992 1 11183 7469 1 2905 6554 1 18756 638 1 10912 1375 4 13697 1718 2 641 223 17 3712 3129 1 10179 3813 1 14011 6482 1 19193 2353 1 2065 64 2 6256 1453 3 13185 3840 1 6211 5325 2 10757 199 1 6458 200 79 17088 5758 1 11613 925 1 14599 615 1 20225 873 1 18568 7799 1 17416 1907 1 2590 4794 6 11687 7222 5 19239 6332 19 2941 5487 3 7735 5787 1 5311 84 1 4277 1295 1 11956 223 1 1046 1333 5 4307 232 1 9146 5940 1 10341 1721 1 8211 1245 2 5952 7045 3 10599 2620 1 4239 303 12 10042 222 3 8279 4099 1 7435 1357 3 13302 1738 1 272 534 1 16075 8145 1 35 1983 5 5246 7201 1 2902 411 4 8093 1557 1 15178 6683 2 10078 6759 3 17034 3365 1 3042 1184 3 10923 231 7 5352 5418 1 4036 6754 1 17372 7929 3 7988 6545 2 18939 3399 1 17761 6896 1 15084 499 4 2228 5571 1 1465 7843 1 8757 417 1 16391 244 6 18814 952 1 14086 3647 2 13829 1710 3 18859 3799 16 2803 2129 2 18718 1888 17 10719 1721 4 16060 1717 1 147 6710 5 15781 7466 6 14226 6576 1 11119 1404 1 9609 4540 1 6861 2013 1 7827 1819 2 4200 23 2 9941 877 1 926 1295 1 5123 6508 1 18791 1747 3 10071 7254 2 7633 2671 3 1171 1776 2 15705 1704 1 1062 3255 2 1043 14 1 7188 1707 2 15926 519 1 4530 6880 3 10245 3452 1 6313 676 1 7127 3135 1 7487 214 1 10146 5451 1 8004 5767 1 11018 229 1 7251 1395 11 1551 1342 1 10589 3911 2 12108 4653 2 2127 6793 1 5773 460 24 17738 284 1 14778 470 1 10479 382 1 11502 548 1 1551 1250 1 17833 4132 1 11277 3275 1 7179 590 1 6007 3430 1 15576 723 1 147 1681 2 17404 1743 1 16183 7895 35 16857 1252 1 16787 6510 2 14828 3713 1 143 6656 1 10955 3345 1 2147 4411 4 14587 475 1 4346 883 5 17088 411 1 1155 57 1 17023 1707 4 8863 4992 1 8299 3380 1 8198 2061 1 5361 223 3 10080 4774 2 10620 449 1 7323 411 2 877 1788 3 937 1946 1 13430 4379 11 1686 1999 1 886 367 10 17560 5694 1 13512 1734 3 16003 2990 1 2701 1656 2 14522 194 8 2345 6523 1 17960 1695 1 18344 1234 1 9457 712 2 11008 3715 1 6340 3364 1 174 5131 3 3285 1239 1 9961 1078 28 10579 2958 1 5490 2990 9 15091 3854 1 4104 524 2 4548 220 8 283 2677 1 12988 2424 3 4376 5897 3 18919 767 1 10586 5051 1 3185 1198 1 9423 304 1 9153 1450 5 2417 6736 7 7058 1776 1 3755 3512 5 5972 5465 1 2782 8156 1 8464 4780 3 11059 514 1 4282 3973 1 18797 190 1 14200 1768 6 2250 1825 1 387 101 1 14135 1755 1 12535 2645 2 6433 864 1 3075 4992 1 10155 514 8 15564 706 1 1275 5513 2 4779 7642 1 10097 385 1 1133 7159 1 676 1720 1 5639 214 1 13777 5115 1 12755 3900 5 6706 518 1 14745 207 1 4691 1695 1 20 1347 1 18056 5513 1 1991 1418 1 16208 941 1 13461 1649 1 17491 173 1 8757 3584 1 16901 1092 1 3940 1757 1 153 7078 1 12963 3403 1 14497 221 1 2498 576 1 15242 2534 5 2204 8172 5 15940 720 1 5828 4992 1 2896 4761 14 5721 7414 3 9604 1342 2 8391 657 1 13510 4459 1 5304 733 3 13922 1357 2 10327 671 1 9778 629 1 17555 541 5 5824 2109 1 9546 694 1 10670 524 1 3515 1594 2 7133 5970 1 15677 7972 1 19602 481 1 3014 4969 1 5626 533 5 7725 333 1 1136 4012 1 16626 1363 1 19649 1249 3 7340 1986 3 1114 1814 2 8735 1172 4 4898 203 3 4207 510 7 16108 7427 1 4735 5737 1 15910 6817 4 334 1199 7 251 244 2 15344 214 4 4603 2019 1 19898 2374 1 17219 2123 2 926 2708 1 6721 6157 1 17712 1243 2 2354 1342 1 7283 4961 1 4616 8064 3 1379 433 1 1028 5760 1 2274 4225 1 6564 334 1 20238 2690 30 1533 6137 1 822 442 1 12142 4933 1 97 173 1 19592 16 1 8086 1374 4 15144 244 14 13601 907 1 17644 1271 1 4023 1064 1 2922 4707 1 18734 1732 1 8684 3540 1 4092 5414 2 4651 1334 3 5449 4458 1 2990 3491 2 4948 6946 3 9680 5977 1 6263 6645 1 9777 3685 1 35 1871 1 4742 6607 2 17835 5490 1 20225 718 1 19306 3263 1 19614 4454 1 1783 698 8 4236 1824 1 18160 2836 1 14144 1610 1 11148 853 1 7226 3939 2 2848 4245 11 4902 1825 1 2345 407 4 2950 2016 1 467 1770 2 10856 228 1 20167 2590 1 17606 5420 1 9220 2671 1 7165 4919 1 322 502 4 11629 525 6 4688 902 1 10179 1228 1 4458 2675 1 5185 1346 3 19940 5557 2 188 5090 1 8191 2993 1 19930 2089 1 4092 2959 1 15464 1739 1 18462 4231 1 760 374 5 18385 1741 2 6989 872 1 20177 3979 27 18530 207 1 2169 203 1 10009 2912 5 1171 3333 3 2382 1658 8 2154 5081 2 5185 3276 1 6057 215 13 11336 5003 1 15147 6274 2 17765 3135 1 14751 4136 1 7681 7937 13 1379 7540 1 12642 7308 4 9945 6421 1 7568 2649 2 12817 4023 1 3037 1755 1 2543 3239 2 11844 1184 10 19950 5996 25 139 6345 1 19246 1154 2 11733 746 1 384 5351 1 19878 7018 1 1244 1654 1 12325 2656 1 16815 3706 8 14981 244 1 14330 196 1 14048 6102 2 18626 1248 1 97 1752 2 13436 2087 1 12792 7237 1 5213 1714 1 16524 7477 1 13126 4384 1 18973 3554 1 4305 2645 1 3278 3592 2 15163 336 1 5424 4363 2 12882 8022 1 7130 3899 16 1133 7381 2 9802 6868 5 18629 1271 1 10302 3840 3 7029 103 2 16378 3492 2 340 385 5 875 498 2 1191 6394 9 16176 1981 8 11270 4280 1 6624 7206 7 9104 2649 1 12267 5555 1 3337 3333 2 17713 3029 1 712 520 1 18282 7300 1 6989 553 1 138 6312 1 11183 4835 2 5721 497 3 20145 187 1 19774 5769 1 1385 221 1 16843 5270 2 16096 1644 1 3841 452 1 18476 7670 2 16537 6073 1 7312 7689 3 7338 6757 2 8200 200 5 11015 8250 2 615 2066 1 6989 828 1 6668 722 3 1303 11 1 11551 5244 1 4309 6343 1 4773 3873 1 16817 1724 1 2175 1721 2 7682 615 1 19578 5385 1 8383 1990 2 11417 4252 3 17295 7201 1 11693 1781 2 4492 4196 2 17788 8034 1 15117 233 2 11256 822 1 19916 1732 1 13898 1740 1 7574 7512 5 9693 214 7 11781 3113 2 14114 375 1 17382 514 3 13886 187 3 19807 1713 16 12890 232 1 5977 6053 3 18546 4929 1 5023 5485 8 340 2062 3 17004 201 8 18479 874 2 4850 7176 4 8212 130 2 4143 524 1 9920 8158 1 4923 6888 6 8924 510 1 7886 2679 4 13734 6541 1 9721 3283 1 19128 7136 1 17918 1333 1 252 1245 1 684 1756 1 15091 6257 1 1359 533 1 13874 4618 4 4314 3989 1 6000 7005 4 12013 6688 6 16805 4056 2 11549 2635 1 16282 5289 1 7090 3366 9 14906 524 1 3819 2548 2 8629 1819 2 14522 2450 1 10598 1932 1 4357 5304 1 17797 1729 2 18434 2266 2 9141 470 1 11312 637 1 8913 232 1 6090 229 2 14993 4394 2 1566 545 1 9604 525 2 5970 534 1 16236 1755 1 13644 2698 1 8342 1173 1 14798 8108 5 13729 220 6 4416 84 1 16689 7404 1 15528 5018 1 2135 97 3 787 500 1 525 1816 2 19870 3327 2 11591 7212 3 2086 4992 2 16790 2626 1 11390 95 1 10905 222 1 8342 1111 1 19293 2488 1 16557 1727 1 17987 3263 1 1596 3216 2 5601 206 15 19425 1251 2 181 8206 1 3397 525 5 9776 3602 10 6327 206 6 8239 597 3 8532 1235 7 14218 6880 3 1498 747 1 3685 7291 1 14694 3109 2 17731 201 1 1824 1100 2 8421 4935 2 16314 525 1 9741 496 2 10267 173 1 5950 1990 1 874 4012 1 2434 5969 1 5172 197 1 6305 184 11 6180 6164 1 13534 2173 2 19286 417 1 7455 4673 1 10948 525 2 8407 1734 1 16951 1772 1 12638 1780 5 9536 5737 6 3694 23 1 433 325 2 7994 7933 1 6723 7597 3 19957 3698 97 12740 203 47 2960 1743 1 17948 867 1 3081 5301 1 6892 1367 2 19731 233 1 5245 3895 18 5775 3492 2 5409 232 2 10999 4107 2 18116 2652 1 1147 2262 1 3509 3909 3 10948 667 1 18748 1819 3 4495 1825 55 7097 6480 7 11820 227 2 12049 2270 7 6570 6761 1 14735 214 1 7197 5994 37 124 5515 1 13699 5289 1 13880 571 1 19455 7850 2 4245 382 1 15555 2775 2 12843 6091 2 1191 524 19 10914 532 3 11428 15 1 6919 857 1 8082 7313 3 9077 1302 5 745 935 1 4561 768 7 15925 2392 1 17871 4306 1 6037 1404 1 5312 2508 3 13314 4998 3 12817 890 2 11140 2478 2 4092 2737 3 5624 1658 2 10457 3493 6 9431 5097 1 15091 4077 1 5792 340 1 436 1128 1 19058 3635 3 1866 1743 2 11346 842 1 5686 765 1 6938 191 5 1120 3661 3 6273 2742 5 5834 1464 1 17533 524 7 6386 1784 6 19710 2355 3 10692 828 2 15960 411 1 3979 4603 1 10670 2109 1 11549 597 1 17662 506 6 7931 912 3 11196 235 1 1416 2357 1 19626 883 11 9120 1832 1 9125 6655 3 6144 5829 1 10065 8083 1 17168 1342 1 18177 4232 1 11386 712 1 8779 4331 1 16831 201 14 455 6578 2 9046 7101 1 71 3327 1 15060 46 4 13788 1677 1 19241 596 1 171 7616 1 11034 3964 2 11080 2953 12 101 4605 1 15415 2358 1 1689 5730 1 12935 23 1 9753 289 1 12799 1250 4 5423 1959 1 4525 2548 6 12064 6342 1 4165 518 1 6748 7529 1 13363 2114 1 272 2356 1 15775 1211 1 12967 1784 4 11807 1341 2 121 5325 1 17321 232 3 19863 5878 1 15761 223 2 8733 6897 4 14993 2930 1 15424 1825 5 12404 3147 4 2546 914 1 2641 2379 1 18004 5292 1 8733 3799 3 5748 692 1 15272 1760 1 20121 6435 1 4572 1249 2 1969 1240 13 19470 3647 1 1582 7229 1 2308 2363 2 8564 4493 1 14522 525 2 13700 597 4 1819 4987 2 8088 4567 1 5478 1796 1 8826 5187 14 9606 225 1 15750 2504 1 16864 6360 1 8027 525 3 12753 4128 2 17488 1720 1 18971 1755 3 10653 4489 1 13234 7308 1 565 3275 1 3871 763 1 9879 1324 2 3718 1404 1 16705 2799 1 2803 3824 1 2693 6706 2 16033 438 1 12453 5289 1 17476 1363 1 18675 1576 1 9285 5098 1 1465 1489 1 5744 222 1 15411 206 1 11656 3687 2 12181 1482 1 8021 1686 3 18360 8081 3 11072 532 3 16726 3611 1 5826 8250 1 10518 1274 1 6556 314 1 525 7702 7 14114 796 1 16271 6288 2 11374 6415 1 5753 200 11 13162 622 1 10916 2009 1 5821 578 14 10032 223 34 15932 948 1 19517 5390 1 16148 7368 1 153 7016 1 4572 6053 17 4901 3203 33 9014 7351 1 8475 5555 1 6907 3378 2 7778 1965 12 4708 745 2 19022 1825 33 3426 1775 1 6519 177 1 15599 3276 1 17682 1235 3 11146 1737 1 19871 1340 3 13745 4972 1 19461 679 2 10765 1342 2 153 7035 1 15233 4996 1 2693 499 8 4113 1819 2 10911 810 1 17416 796 1 124 5433 1 7994 6088 5 11615 6912 1 2886 3747 1 4608 3369 1 5088 2056 2 7244 1164 1 13055 6525 1 10743 5564 2 787 380 1 12030 74 1 19115 498 22 12406 74 1 17561 1643 1 2247 1688 2 19405 3694 1 18286 7921 1 12819 232 1 10585 173 10 16877 47 3 62 2614 1 16894 7554 1 18071 3954 1 2231 3399 1 5200 7205 1 271 190 1 9187 215 18 8629 4600 1 5483 6220 1 4886 175 7 15220 5016 1 863 6032 3 13857 1251 3 11872 7859 4 10886 1363 1 14845 1567 1 3383 609 2 16776 901 1 11215 3402 1 12742 2707 1 11935 1003 1 11608 200 1 19673 1783 1 11985 233 2 5738 3361 10 17252 1954 8 19193 2979 2 4442 1707 1 11533 7953 1 12184 545 15 2071 7528 1 19620 3175 23 9924 1760 3 14801 6059 1 10078 6396 6 12334 1245 1 5934 5550 1 19990 502 1 14402 200 1 9709 3515 2 15722 1238 1 349 816 1 2083 2580 1 17389 2575 10 17731 3263 1 6563 5009 2 18992 2131 2 3020 1343 2 13425 1740 1 16921 4306 2 13076 3556 2 959 182 1 5155 6546 1 13278 175 1 18546 4397 5 8047 7830 3 16774 2584 1 17652 496 1 18639 2139 11 18501 2671 5 15687 637 1 165 7519 1 9597 1726 41 8122 924 1 19537 1482 1 13217 2603 1 9781 2661 1 16474 361 6 7483 8099 1 5753 4695 5 14573 709 1 5049 3945 1 18534 1582 2 18589 3230 2 15970 6025 1 18058 2944 5 10362 735 1 8051 1243 2 2449 844 2 7107 6231 4 873 4500 1 340 2495 1 6449 7597 1 16701 1781 1 16368 219 2 5876 222 1 7564 8139 2 18535 136 3 6982 7224 13 4055 852 1 6535 7774 1 18711 5879 1 8916 1909 5 5706 50 1 19935 2552 1 3253 3540 1 14955 6899 1 6867 995 3 3043 5442 1 1280 3511 5 1905 1017 1 6096 333 5 1705 2626 2 493 4304 2 18363 8153 4 5344 6083 1 11208 6662 1 518 5080 1 3414 4245 1 8747 3900 1 174 7968 2 8937 4559 1 17662 1781 3 11306 7351 1 15937 220 3 14762 1721 1 6520 8071 2 12987 3540 1 4870 1548 4 13237 1341 1 9604 1235 5 14504 219 3 5971 1246 3 10251 395 1 6331 4656 1 14515 532 1 17490 6334 1 2237 595 2 17475 3096 8 11303 2184 1 1089 215 1 11020 2005 13 7560 4279 2 11684 6445 1 3395 505 2 17033 1407 2 3939 8203 6 20 184 5 2345 1043 11 18257 1484 1 20249 1764 1 3484 1775 28 17146 5099 1 3901 6012 3 8332 5496 1 2017 4792 1 5695 1747 1 7769 2795 1 10320 5245 1 15140 1237 9 6697 4967 10 11509 6159 2 454 3378 1 3270 2708 3 16722 1734 1 17986 4379 2 10203 6192 2 2345 3578 1 7267 3227 2 9759 6868 1 9930 1271 5 108 870 2 12817 416 1 15313 6159 1 4963 3263 4 8928 2876 1 12054 1222 1 44 2297 1 5142 4954 1 19634 95 1 2716 2626 1 8438 719 1 12897 688 1 11809 5935 4 6824 8188 4 17759 1648 1 4092 252 2 2980 4672 1 5223 4274 4 11388 88 4 16916 6108 1 9099 2571 1 16624 1454 1 2891 1681 1 6990 2938 1 1638 2577 1 83 3786 1 2852 769 1 17549 1713 1 1738 6900 5 17416 5758 5 14232 2150 1 3643 3511 1 7135 4029 1 10579 5810 1 10862 3591 1 14786 4407 1 1005 8012 2 11795 6477 2 15817 4619 2 16557 910 1 2392 4525 1 5132 5018 1 1764 874 1 19777 874 1 7219 3193 5 5478 194 2 17399 3400 1 11026 2735 5 13734 1277 1 4753 5922 11 4541 308 1 17104 5321 2 1867 7414 1 18633 2447 3 4013 2641 1 19740 4411 1 15640 1555 5 19071 910 2 4405 942 1 15530 222 1 11463 2897 1 15792 1955 3 4663 567 1 11443 2098 1 14553 939 1 11742 6538 2 18873 6102 2 9178 5071 1 9194 3625 11 16107 6936 23 14935 3999 2 18968 436 1 11952 5758 48 17223 1464 2 13031 1825 12 1505 4411 1 8117 1369 2 1090 1883 5 5229 3593 9 4843 807 1 1353 6986 2 17790 411 1 18454 10 1 10415 2541 1 19369 3233 2 2990 196 6 7412 224 1 5315 1356 1 8946 718 2 19140 1416 1 13016 3247 5 11615 2114 17 15791 1184 1 19182 903 1 5353 1738 1 7914 1423 1 73 3403 2 135 6094 3 3536 4818 1 15439 5493 1 3397 612 1 4162 5559 1 19635 534 1 11914 2675 1 18798 2671 1 18089 2290 1 6741 203 1 12514 5093 4 124 2789 2 17315 5156 2 17120 1649 1 4883 6120 1 14313 7604 1 496 3824 2 14599 796 1 10593 1778 1 2886 3590 1 13461 1772 4 2743 215 3 4617 1344 1 17084 733 1 3037 2461 1 13323 3588 2 6987 4174 1 3218 7719 1 18353 3016 1 17460 6692 1 7397 1707 4 12988 1727 2 16029 1363 1 8597 207 1 18526 236 1 2568 2354 1 6527 4562 1 19240 510 1 6332 463 1 13 646 4 19872 2419 1 7020 221 4 12019 514 2 4283 23 4 17371 4789 6 137 6284 1 14826 1272 1 18408 5018 1 9533 201 1 13600 2360 1 2796 7244 8 19685 200 1 3749 1296 1 18628 578 4 1609 1378 1 19786 1731 4 10402 7120 1 11261 864 1 12882 2939 1 170 3012 3 13543 600 1 6370 207 2 26 1530 1 7641 1991 3 15561 900 1 13526 3906 2 1671 8184 5 9188 3584 2 19890 883 15 11787 5071 2 559 6434 2 7109 682 1 2956 1881 9 6645 206 2 14558 4996 1 19849 2938 1 8875 5020 3 17134 3545 1 11371 5090 3 17083 1819 13 3419 175 59 13992 506 21 1246 5253 5 6449 7881 1 6997 7257 1 15791 7089 5 10856 1871 1 15918 8171 1 2609 7522 1 8129 7883 5 17 1056 1 1315 1717 1 7811 221 1 16018 7105 1 13922 1736 2 11387 1357 1 4492 1728 1 11835 5853 1 10833 1770 1 17636 1357 2 17872 3228 13 2078 201 2 9224 5873 1 3907 4436 1 16935 1492 1 5252 4065 1 6463 2602 1 15227 506 1 14772 1741 1 15782 1727 3 11899 6690 2 6707 1247 3 7870 910 28 9063 3639 5 13476 4179 2 9519 7950 12 8665 1738 1 1551 1761 1 4132 6674 1 7876 8203 5 4768 225 7 150 6760 1 19434 532 1 11317 4280 1 17184 778 1 18471 2832 4 13800 2499 1 5801 6527 2 18849 2860 1 15949 6624 1 12299 519 1 13 637 2 7498 364 1 11786 4868 1 8305 2969 1 6854 2555 4 17323 2251 2 9120 1245 71 5356 1166 1 4629 6237 1 11160 535 1 7267 4271 1 2866 519 1 3324 196 3 13182 6341 1 1361 3368 1 9366 3113 2 11718 7003 1 7063 719 1 4614 5317 1 9235 1296 6 4233 759 12 17156 687 1 18561 2653 1 1040 496 4 17318 6460 1 7545 1708 1 1663 6801 10 11399 2721 1 5216 944 1 14218 6139 6 6998 3081 3 11248 382 3 13888 7101 1 13046 496 1 9805 7895 1 719 1396 2 1677 4284 1 12434 6557 2 10017 1692 2 5914 1236 1 11629 2246 11 7928 1770 3 1677 6158 3 17655 1275 3 4573 200 36 2879 1703 10 13963 6756 3 12213 2437 1 10739 707 1 2511 3389 3 9818 347 4 15092 3206 1 10909 2367 1 13908 530 1 7184 3333 1 9210 1829 10 18290 191 1 18548 5312 1 7000 4472 1 6651 1730 5 6907 3634 1 314 498 4 5936 3880 1 7064 4992 1 7774 1321 1 1112 3023 2 9792 5328 2 13711 1819 7 15323 2799 1 5293 4623 1 16835 6677 1 2756 3961 2 6690 891 3 70 498 1 4100 6268 1 7780 2485 1 164 7457 1 12836 4306 2 11214 1747 1 15096 203 1 13034 1736 1 2934 1757 1 5921 2254 1 19165 948 1 4935 1273 1 6612 498 1 5290 1664 1 3279 4293 2 5566 5193 2 1711 6053 8 8740 1296 2 9364 789 3 17 1227 1 18696 1739 4 3242 4922 1 19240 1453 7 3078 1631 1 8508 331 3 15252 4603 5 16674 2981 1 11854 1249 1 12262 3694 4 7853 1250 1 20191 467 2 17120 220 1 5318 3647 1 17285 229 1 11354 728 1 857 5851 1 19975 5020 2 17340 1245 1 10633 1244 1 14412 4142 1 19781 616 1 11678 2581 2 15597 3540 1 5092 2869 1 13829 5758 4 5173 8141 11 688 778 1 4170 1698 1 18530 1814 1 6369 7343 1 7194 2832 4 7380 1395 4 17418 4944 3 9400 5538 1 3515 6139 1 185 207 1 12544 253 8 19764 5099 3 15687 2097 2 17637 6899 3 19114 6065 1 12510 3686 5 12542 1296 4 12095 7147 18 3395 1243 2 8802 340 6 6589 6039 7 14587 5255 1 18986 7953 2 4106 5767 1 11936 2626 5 127 689 1 4050 1453 1 2674 2017 1 6950 834 2 15205 1537 1 16488 200 10 7065 1314 1 4915 3697 1 1540 235 5 12453 3634 1 12688 891 2 7050 1314 1 18227 5551 3 16687 3971 11 19168 3414 4 822 5551 1 3972 5547 2 15471 4467 6 7135 525 1 7823 1019 1 759 2588 2 7109 628 1 18499 2114 1 14139 3119 1 9556 1357 1 3910 1789 1 17114 284 1 10448 5077 3 13352 5468 1 9626 3540 6 4492 3645 1 7632 1882 1 14826 126 1 10852 1037 3 3549 4142 1 15739 1994 2 18899 5060 2 14108 5570 1 2321 4629 3 19957 755 5 2210 1366 1 103 4662 3 19961 4435 3 15948 519 1 18514 5258 1 4417 1705 1 2865 6225 2 12807 3180 5 12121 3556 1 17474 3588 1 18220 153 3 4606 525 4 12822 7439 2 14730 5307 4 8763 952 1 529 334 1 17252 1882 8 410 244 2 10283 13 8 3505 3431 1 14764 7732 1 4242 46 7 11333 719 4 16463 5294 1 13157 843 1 1612 6874 1 3106 506 3 8938 1722 18 4595 5356 3 17310 5518 1 4954 5487 3 8832 5252 1 6841 3423 5 15957 498 2 19830 4325 2 4099 6241 2 11957 3955 1 6741 6342 5 8410 4949 1 16292 3896 2 4492 6635 1 18886 743 1 11106 6632 1 10783 1119 5 4495 5138 1 17736 840 6 18533 3439 1 16678 7229 1 12049 6106 1 16272 223 1 15164 4022 1 13159 6192 5 5263 3693 1 14892 2361 2 4305 842 2 229 6091 3 3898 4029 1 3491 2528 1 868 1466 5 19537 3073 3 12592 2974 3 17 404 1 15411 4877 3 13789 529 1 7652 2980 2 14944 7915 16 15395 525 4 20256 1292 1 1513 1732 7 9126 5783 1 2303 7498 2 5264 545 1 9566 6075 1 19322 3772 1 862 5257 1 11837 1453 8 5216 4251 1 6659 200 16 3595 214 2 12079 13 1 2985 819 1 10019 1244 3 3176 4996 1 3725 939 5 14317 1727 1 11896 6363 2 15323 1719 11 1520 2786 3 13215 353 1 1477 207 2 14436 47 1 19298 2068 1 13873 225 50 493 370 1 16390 534 1 14951 2737 1 17736 582 1 17708 6609 1 18183 1243 1 3204 6680 1 16954 2493 1 879 5897 1 12251 2977 1 4946 23 1 16292 366 4 18579 5115 2 8585 3476 2 8082 444 2 18040 4403 1 1352 203 2 14310 1328 2 5836 327 1 17142 1816 2 18875 5401 1 1389 868 1 14646 3511 2 17574 5903 1 11637 4245 6 17575 3046 5 11693 1776 2 15599 6012 1 4503 3707 20 2886 3471 1 11533 2869 5 16365 2645 2 14074 2626 6 10254 214 4 3406 6530 2 8105 3065 1 18767 6508 1 12361 3399 6 6089 792 18 6513 4976 2 14756 1238 1 10732 8141 2 787 196 5 16029 3520 4 17485 365 1 413 6152 1 5003 3972 10 1397 2635 2 3906 2138 1 3436 7225 1 11370 5353 1 17797 1771 2 8710 1745 1 5140 3669 2 1233 2980 6 1500 2362 1 10014 1814 1 5801 789 1 11050 6150 1 3025 223 5 4376 6053 14 18082 2109 1 14593 6242 1 4371 596 5 18866 7890 1 7372 7677 9 11430 536 1 13535 203 2 12569 1116 1 788 1315 2 9435 4138 1 15714 3460 1 12751 2076 6 15691 3509 1 8913 2608 4 4524 6127 1 8806 3982 1 12054 3741 1 5720 7929 1 17040 885 4 2732 6980 1 18081 498 3 14610 6363 2 11577 206 1 13287 4727 4 8859 2517 1 11190 1247 17 10889 1357 2 15055 3999 3 8987 3827 3 1894 1247 1 14144 796 4 12505 4352 1 171 7764 2 11744 7606 1 2046 5187 1 17953 1779 5 18017 1769 1 9395 1440 1 3362 8200 1 14114 46 1 10309 655 1 3206 1466 3 3734 1114 3 18978 1727 8 11550 7642 1 3852 2647 1 11283 1407 2 8135 2980 1 15722 1745 2 15893 7527 1 12580 231 5 16363 8139 1 10862 5740 1 4856 7693 11 16776 207 6 18968 2369 1 17475 6006 1 9512 7216 2 4493 3276 4 19509 4653 2 5626 524 15 11826 4304 1 824 3750 2 19864 4262 1 5892 1825 2 14510 1548 1 18821 1350 2 18033 378 1 19069 206 1 10206 1363 2 15133 200 12 684 1717 1 9572 4208 1 14346 194 3 10553 3771 1 13952 1745 1 4333 1995 1 14549 2494 4 17220 623 1 5775 534 3 5877 1404 9 5519 1881 3 19158 6754 4 16657 1728 1 11503 508 1 9718 2360 1 18761 588 1 12215 3227 1 16057 1172 1 17378 3230 5 13055 6421 5 928 2246 3 11727 866 1 14671 1529 5 15202 6441 1 19685 3732 2 6819 1234 1 12345 1395 4 17816 498 23 470 728 1 1853 1663 1 7647 3511 1 1327 935 1 8664 3705 1 12205 2966 2 12888 5016 6 3580 1784 1 10038 1819 1 3986 207 1 19222 7229 9 5663 1304 14 13508 4246 5 10770 4710 1 1563 903 3 3309 895 1 4858 910 2 27 1634 1 7380 5325 1 14 978 1 7070 6415 1 8137 214 2 18526 2352 1 1932 5940 1 8869 3473 1 12371 2485 1 19229 6632 3 9478 8200 2 6592 4540 3 13616 2678 2 13409 1825 1 2935 128 1 5159 2552 1 3880 7352 10 18916 3671 13 17518 236 1 15822 2363 1 6998 7896 1 10728 452 15 19378 1247 3 2423 7296 1 13700 3382 1 8969 73 1 17763 223 1 9773 1342 1 18546 530 2 13203 2012 1 3323 805 1 6483 2488 4 5863 1099 1 10568 200 10 2985 597 1 4678 2552 2 13615 2675 1 17873 3019 3 19687 2478 1 14492 8238 1 10916 2641 1 13325 5016 1 16952 5400 16 6511 1298 4 14587 367 2 807 1235 1 7530 545 1 10604 555 3 4273 134 8 19331 223 7 10926 508 58 1617 5037 1 19872 3337 4 10080 3602 12 4304 7477 1 11706 190 1 13100 4963 1 18888 1949 1 3362 5054 1 14692 5737 4 1384 6164 1 15537 232 1 4913 4673 1 12469 1282 1 19326 903 1 11506 514 19 10880 1751 1 1455 1672 2 13644 303 1 13328 1956 2 15974 200 3 7991 5439 3 12062 1275 11 17327 2569 1 12509 4591 1 260 4680 1 6244 1965 1 2284 221 1 11086 514 1 13 847 3 3471 1762 1 3395 1236 2 5248 870 3 15714 2678 3 3642 629 1 19378 207 1 5882 1091 1 6966 3572 1 19429 8192 8 11207 3411 2 8410 3791 1 2985 864 2 10841 502 5 19705 6640 5 9224 966 1 6372 5016 1 13770 1649 1 17529 6414 1 4538 6053 39 11558 525 2 19608 1538 1 17014 1395 2 16016 1701 1 7349 200 3 15649 1685 3 17037 3617 11 2670 3453 1 18508 1044 1 11415 579 1 35 1980 1 1607 1388 1 7337 3453 1 15071 244 3 17395 4856 2 862 1582 7 7034 3502 1 10537 205 1 19863 5862 1 13 580 2 591 6673 2 15881 589 1 14664 1784 5 4748 3567 1 19784 6533 1 10360 5281 1 18139 4262 1 1815 23 8 12529 1287 3 4172 7850 1 13346 6640 2 1423 4165 1 927 1819 1 612 10 2 10391 292 1 20009 529 4 15294 6908 1 2367 2356 1 19590 745 5 19920 539 1 2377 6389 1 174 3697 1 4287 7601 3 12851 398 3 19 1255 3 9419 5000 1 16655 1743 1 6433 1328 5 12890 4033 3 11235 1657 1 14682 1717 7 13054 1247 1 8212 1946 1 9877 2666 8 8892 201 1 14778 2747 1 19060 3113 9 2934 1740 2 13417 84 1 8594 3558 3 5064 939 1 1663 1745 9 15709 2149 1 5769 6533 1 3694 3898 1 14990 7857 4 5254 1245 2 15619 505 2 6420 2809 1 20219 533 1 8088 3061 1 17664 206 1 14947 1721 1 12168 5639 1 15108 7948 1 5522 5402 7 10967 1748 2 745 840 5 5588 5341 1 13201 883 1 14818 4013 2 12255 2508 5 12923 2889 1 5162 3373 1 4870 73 4 1945 6341 1 13602 2704 2 14348 5826 2 12080 3485 1 11218 7852 13 9757 5265 2 12817 1365 1 17799 2089 6 8969 1827 6 8716 8260 1 10089 3006 1 11165 1825 2 4611 303 1 65 3165 3 9395 843 1 15970 57 1 75 1819 2 13214 3275 5 19826 1277 1 14617 3915 7 15599 1312 2 16368 1789 1 5769 3827 1 13797 2539 1 11072 6666 11 12458 308 2 3214 5505 1 15497 5897 1 14 972 1 1366 1464 1 2529 818 5 18856 4811 1 3383 4380 2 15374 1105 1 11844 910 4 14722 1710 3 20048 1825 5 4092 5003 1 3390 1244 1 9678 1707 3 159 7258 1 101 1744 1 4170 6839 1 19143 885 1 9752 510 1 15284 497 2 19633 1466 1 13743 1458 1 6513 3180 1 10408 132 1 5478 1686 1 19030 46 8 18211 5174 2 1103 3308 1 11086 1731 1 2955 1743 1 10452 3803 1 5812 157 14 1814 1003 14 9014 5820 1 11300 3020 4 18173 1482 11 2962 4383 1 16370 3182 4 7912 2734 2 8585 3671 1 17566 1770 1 17287 3242 2 3572 1067 5 18470 4085 1 3326 3510 3 2012 7381 9 19406 5105 2 17249 2966 1 1464 289 2 19774 2508 1 5010 429 2 9879 4600 1 11502 597 1 16835 1245 1 840 411 5 17394 4242 1 18018 223 5 13131 342 1 12373 5737 25 18862 2872 1 7626 3358 2 16509 156 1 3390 2423 1 1170 4998 1 16601 221 2 9722 184 3 16046 7140 1 18026 3328 2 5599 6185 1 7099 188 1 18669 5758 15 8594 5561 1 13623 2849 1 9978 481 1 12476 2673 2 9630 1814 1 9553 1710 1 13818 2509 2 3801 863 2 6380 201 1 18538 207 7 17351 4451 1 7756 2764 1 6428 505 3 11585 1239 4 16539 1721 4 3048 2800 2 14926 2061 2 11746 1775 5 19995 1001 2 2384 597 3 116 5223 1 15970 1245 2 17585 2981 1 13384 952 1 6449 6192 1 9628 662 3 19888 659 1 20085 3190 2 19174 3911 1 14416 514 1 16309 3334 1 16570 395 1 5519 7424 3 10997 7920 1 19781 581 1 11549 4394 1 10912 6945 1 7188 1776 3 18608 2295 1 12632 1054 13 18756 1261 1 4833 1724 4 4061 229 1 2123 1478 1 9007 2852 1 10730 1995 6 13727 6341 1 9796 1363 1 14312 292 4 2100 1287 1 17984 6845 1 9026 1736 5 12679 2980 1 16768 4156 1 10276 1268 1 19870 891 24 5411 6161 4 3114 2829 1 16674 496 1 320 1686 1 14055 200 1 13891 861 2 17034 4105 5 17013 1324 2 2410 8141 1 8643 564 1 9412 929 1 15508 6428 1 464 505 6 5385 2951 1 7555 4614 1 6555 3476 2 3188 1778 2 2738 4681 1 85 3276 1 19947 1826 27 15025 6332 6 4234 186 7 14892 1781 2 19509 1206 1 4178 514 1 17383 2737 1 6450 2528 1 7914 659 1 11597 1373 1 11898 46 1 13634 5252 2 2905 1658 1 17384 6170 2 174 7898 1 15726 4967 4 10852 3926 1 6468 95 1 2474 6108 3 13891 491 3 11223 3478 1 11786 6640 2 5408 7410 1 18091 1877 2 1834 6637 1 17381 6167 5 10575 650 2 2065 3851 1 10760 1745 1 2443 3911 63 8841 5883 1 525 5035 2 2947 5346 1 11786 6507 1 11216 4245 5 8870 314 2 18447 1781 6 3540 3317 4 19588 1641 1 18986 4841 1 481 4489 3 1465 1751 1 11458 1718 1 19455 7853 16 12008 7353 1 10046 1738 1 19735 8143 1 708 3257 7 12682 3417 1 18174 312 1 18276 759 1 845 225 2 2194 873 1 17789 7534 1 8005 195 2 13880 1054 1 6007 5120 3 19022 200 43 15323 2747 1 20134 190 1 14876 1251 2 2284 367 4 6556 2276 1 15582 1509 2 14787 1505 9 906 1309 1 16788 3663 2 10575 4278 1 553 514 4 12174 6897 1 121 641 1 3587 664 5 4505 1363 1 11512 1726 1 820 4653 1 8719 393 1 11139 3384 1 9921 2534 2 1053 5004 1 15791 4206 3 2269 347 1 9651 134 1 5112 3230 1 13752 763 1 10064 3153 1 2274 370 1 14694 7876 1 6670 2247 1 15818 2935 1 4663 7060 1 454 4566 1 7639 207 2 6269 1681 7 6882 1649 2 11890 3556 1 2782 578 1 19193 1742 5 10752 1482 1 1527 3813 1 5588 6446 1 3268 7424 1 5835 2360 1 5950 2270 2 10078 198 2 2716 864 11 16176 7232 1 10909 1112 1 16843 470 24 8165 3012 5 4092 4619 1 1742 1819 1 14439 1748 1 13944 220 1 19110 6053 3 4338 4088 1 6749 1396 1 6420 4220 1 9657 2291 1 18628 931 4 2593 6561 1 124 3888 1 3898 2555 1 9604 232 7 3261 489 2 5884 3113 3 15622 1483 1 17394 4919 1 6574 2263 4 14385 6602 2 14892 2881 4 17260 74 2 17716 8127 2 14791 2542 13 8919 638 1 12901 5054 1 8003 1819 1 6669 5319 1 14064 3479 2 5143 2480 1 16670 2673 7 16109 1717 5 3324 3516 2 19916 3697 1 13397 5017 1 11611 3276 2 433 7552 1 20007 1073 1 5947 6031 1 199 2079 6 15314 2810 3 15009 2653 1 11877 207 3 16847 1707 1 2739 6257 1 11314 4617 5 10393 303 48 4530 347 9 5656 1717 7 19716 3792 1 9638 2355 7 18397 8057 1 6521 995 2 11809 232 1 9388 6196 1 7581 863 1 15107 1482 1 2148 2980 2 18026 23 7 7822 5629 1 13633 2341 2 12548 5758 1 4976 2357 1 20145 4029 2 16150 3106 1 7974 5445 1 15180 1756 1 17675 520 1 19698 7411 1 16182 7701 1 9672 1681 13 19338 6327 2 17253 197 1 8924 1770 1 5982 501 3 2237 2748 1 5468 2097 1 9639 638 1 127 641 1 9990 7895 1 16358 2895 1 7026 1236 1 17682 207 3 11783 207 3 4650 1726 3 283 2944 6 1171 156 10 15932 629 1 15530 1342 1 19957 7719 15 10245 6283 1 3826 911 1 13363 596 1 5118 3067 1 5592 7419 1 10884 1758 3 15395 1726 2 7574 7096 5 18771 4796 4 17091 1150 2 17645 8071 4 2386 6192 1 18973 5480 25 3485 201 3 13027 903 1 19720 4949 1 17290 6135 1 17436 7413 1 727 203 1 4232 530 8 17302 508 2 7778 1726 1 11411 3556 4 12209 244 8 5088 4016 1 14513 1756 1 9984 3946 5 6461 336 3 2519 1995 1 16516 203 1 10179 1076 2 13530 7889 1 3085 2562 1 7610 5996 1 4767 1379 1 17954 491 2 11158 23 2 10725 3991 2 5472 151 4 14503 7308 1 20017 417 1 10586 1184 1 54 2623 14 10948 2836 5 16180 7187 5 12380 495 3 540 3146 1 6813 1746 1 4810 219 1 5781 3878 1 60 2736 22 12762 519 3 19655 228 1 20182 443 1 14590 4630 1 13873 3283 2 3337 3806 1 17180 5495 1 2951 496 1 7914 2087 3 4940 1324 6 18424 4242 1 8340 1707 1 3973 329 1 13097 84 6 1141 2626 1 6209 833 1 10883 207 1 2544 2360 1 16984 881 1 9693 496 2 13014 3283 2 7879 6250 2 10789 205 2 2888 303 1 17078 5352 4 14196 3477 2 5279 1825 5 13891 7213 1 15590 759 1 17051 681 1 19759 8066 4 1625 366 1 14087 6480 1 18696 215 3 12370 1698 1 15344 190 1 14238 2671 1 1590 5333 2 11353 6994 1 6556 5130 2 10347 4436 1 5824 219 1 6925 5256 1 16924 1183 1 3250 514 1 6734 5398 1 1059 6677 1 13131 243 1 16020 525 2 10467 3899 1 4208 3625 1 17384 5202 2 6158 193 2 15322 74 1 140 6460 5 5588 1995 1 19730 2175 1 16090 4186 1 11461 4132 1 11409 2270 2 1607 498 1 17555 175 2 16847 2350 2 12434 1931 2 18976 1776 26 8735 891 4 19466 7997 6 4167 2534 3 12902 3057 27 4985 5418 1 15084 229 3 2319 2009 2 13857 4280 2 16328 3540 1 14881 15 3 3414 214 1 3841 755 1 939 864 1 13026 5550 2 2852 1825 2 11367 1827 1 1059 6713 3 5433 6207 1 10664 1235 2 1786 225 3 4963 7825 1 15368 4267 1 9776 7883 3 188 1743 1 14690 2423 2 9168 236 1 4933 1217 1 8852 3478 1 13404 23 2 17736 4557 1 17362 3427 1 12404 2561 4 14423 3497 1 153 7057 1 15497 5018 2 42 2218 2 8985 221 2 2997 7853 1 20141 368 1 1907 225 8 18485 2528 1 9315 1762 3 11629 5518 1 11250 3556 1 16669 3889 2 17210 236 1 15286 3728 9 6327 1698 6 8435 5082 1 3496 1245 3 14185 2001 1 12029 281 9 12419 1209 2 4128 1290 2 13461 1242 4 14857 520 1 1385 4275 1 10692 770 1 464 6414 1 6016 3660 1 16604 207 5 3146 7101 2 13925 4713 3 2674 3626 1 14125 5758 1 20082 888 3 3532 477 1 2143 2777 8 6748 4459 3 10311 839 1 18462 561 1 9244 1450 1 13951 4992 1 12470 6242 1 2905 2364 2 11072 512 3 14780 201 6 1403 3027 1 20090 419 1 10641 492 1 10182 2828 1 20207 2676 19 9261 3426 7 7966 6630 3 17988 926 1 9146 6406 1 15909 2773 8 7208 2104 1 7861 3080 1 16875 841 1 917 4476 1 15284 2760 1 7000 370 1 10859 1443 1 13119 5567 1 2488 1243 1 1668 1341 1 4207 199 4 4534 1781 1 17703 314 1 18679 1356 3 16844 229 7 11380 4099 1 11882 1961 1 17388 3950 1 3976 7829 1 14738 6481 1 16969 7911 5 14748 415 1 15978 1649 1 7195 512 1 8388 1705 1 17189 1898 1 5021 7256 2 5748 7946 1 16671 5866 8 15841 2362 2 4607 2480 3 12184 6047 16 10953 2411 1 18548 865 1 2352 6702 33 18946 4458 1 12903 3979 1 5980 173 1 5148 7232 1 14050 4689 10 5144 4080 5 13855 23 7 11422 477 2 9660 2170 1 3360 3155 5 1722 1825 7 19200 4297 1 3264 6510 1 11158 6415 1 1147 3442 1 17995 1775 3 15603 7701 1 3258 244 7 12972 1374 2 19655 8127 8 13417 4996 1 1677 1305 2 11431 3335 1 18730 6486 5 6535 163 3 7099 207 1 12049 2351 6 13585 8139 4 11387 3474 2 10813 3691 7 19990 2675 1 16527 4077 4 10916 946 1 12279 2897 8 840 207 1 2181 1701 1 17135 2540 2 9793 6658 3 959 1070 35 14690 1761 1 13373 6135 2 17999 1826 5 817 3382 1 4273 1241 1 1814 338 26 481 8028 2 9125 6481 3 11596 517 3 9741 6238 2 11693 3430 1 8921 2878 2 3133 5817 1 3496 1251 1 13 926 8 1081 892 1 14694 1744 3 11243 1717 3 19067 1582 4 2436 5489 1 855 201 8 15315 4460 3 18481 6868 2 2013 7215 1 4071 4062 1 13601 4468 1 10977 8041 13 17198 99 2 19266 4623 2 4449 7425 6 16994 1819 3 7876 3029 1 6105 640 2 3801 4258 7 1607 215 1 16263 495 1 7334 3219 1 17384 723 5 4106 6554 3 2428 7624 1 7644 407 1 18287 6713 1 2174 7037 1 12283 1237 1 19289 6091 1 5089 4199 1 349 2922 1 12322 3556 1 10325 648 1 1795 4400 2 1571 1466 1 14560 948 1 17541 931 1 1444 8137 1 10452 735 3 2986 3683 1 11616 1054 2 3118 5758 1 6504 361 1 9945 651 1 7331 1727 1 11261 2923 1 12004 3525 1 11 381 2 13970 5294 1 12328 5382 1 3358 3840 1 16899 803 1 19112 633 1 19373 3486 1 16557 860 2 17662 367 2 9067 2555 2 9714 879 1 16270 186 1 1734 8154 2 1075 2276 1 1065 825 7 159 5077 1 16518 534 3 20108 5757 1 15364 3370 2 16369 2626 1 1612 1235 1 16026 5233 6 6265 7189 7 20154 5797 4 1773 1695 1 14686 419 1 3117 196 4 174 8006 1 279 2646 7 7344 1784 5 755 201 1 18132 3851 2 14690 2385 2 5748 660 1 8950 4266 9 1518 6649 2 324 1756 14 4014 221 1 862 3170 2 8141 6139 1 17065 2438 1 7227 8026 2 8203 215 1 4346 4992 1 6650 4456 1 9275 865 1 1794 276 1 17917 1724 1 17947 201 23 4599 4949 1 11327 1250 2 10813 1464 3 7 223 1 633 6099 1 19719 7008 3 7354 1248 3 16238 1721 1 11336 6552 1 1465 6561 3 11158 1019 1 15307 3491 1 5453 233 13 135 6135 1 14604 1374 1 10079 2571 3 12953 196 1 7732 3621 1 11593 1482 3 17909 7955 1 8083 6102 1 6091 7850 1 7530 1334 2 3051 169 1 13078 6561 1 15288 5971 1 1337 5951 3 13461 5758 1 2203 898 1 13487 3445 1 17416 5325 6 3525 2541 1 10100 2352 4 13462 6065 2 17392 203 13 2980 3005 1 4933 269 2 8710 6666 1 20064 5526 1 10410 639 1 6670 184 1 16096 6640 1 1509 936 2 5309 1613 9 6504 6633 4 4259 7881 4 18119 7719 5 17804 5353 1 5261 2626 1 2772 5127 2 7557 3879 1 14658 2760 9 7943 1747 7 6089 2659 28 5806 2958 1 2458 8096 3 17973 1691 13 5310 738 1 18795 4983 1 3700 1664 4 13305 4037 1 62 2835 1 12212 949 1 413 2990 2 12790 4029 1 1 2 1 17803 3263 4 2181 4721 2 14695 2488 1 5408 2996 1 399 7165 1 15993 1768 1 19649 156 5 10171 2138 1 5837 1253 2 5212 516 1 11400 2150 2 4979 520 2 12231 816 1 15699 6162 6 14746 8026 5 17887 1667 1 16933 5041 2 16697 3026 1 9121 3882 1 1790 1846 2 11605 5522 4 20256 6772 1 6078 3471 1 6942 2648 4 13361 2392 1 10587 4120 1 6979 3660 3 14233 5538 1 6410 184 1 5018 2534 1 11158 1037 6 18336 3079 1 15755 4436 1 19854 316 1 13206 1506 1 1706 694 2 17372 259 3 19160 524 1 1686 4987 5 2198 2918 1 7132 5243 4 3940 4567 2 7739 1234 1 7917 1296 1 4383 2141 1 5423 2257 1 8913 5339 3 2955 4929 1 16916 236 1 2829 23 1 3331 4435 1 12149 5245 6 14731 2554 1 11156 6014 17 65 3156 5 10730 7174 8 3687 903 3 6919 926 1 3536 6739 1 9453 878 2 121 342 1 1602 4992 3 314 1770 3 15726 1797 1 138 6299 1 6332 7412 2 11263 3554 10 15807 7005 3 15007 4761 2 13233 6551 3 8735 3412 2 2072 3946 21 14045 5432 1 11817 2287 1 5126 23 1 13520 6435 1 9597 215 16 17633 5696 1 9462 3856 1 3390 567 2 8538 5425 12 20019 1613 4 11266 6743 4 19755 3770 5 19762 498 1 7731 1484 1 20275 2367 18 314 4621 3 1683 5258 2 4743 235 1 3817 1819 1 591 5252 1 17764 222 1 4747 6682 3 18815 229 2 12841 1338 2 7786 797 1 17984 2855 1 5809 169 2 3822 952 1 14625 517 2 3023 3368 1 3705 6231 1 19530 1395 2 1389 3540 1 3978 5053 1 10381 1747 1 17628 3556 4 13382 4105 6 11787 1715 2 20070 3171 1 6412 4156 1 17257 3799 1 15669 644 1 1571 1722 1 14226 7840 1 10961 1247 7 16189 761 2 7020 1730 1 12502 498 1 11504 7735 1 11135 4245 11 17736 477 2 13199 1380 16 6510 5532 6 15318 3172 3 85 411 5 8959 508 4 1976 3508 1 13183 937 1 15387 4774 1 10160 4163 2 12412 642 1 14908 7665 1 11746 2253 2 12904 6053 20 4482 224 1 14780 184 1 10 279 1 10267 561 1 79 3543 10 15092 6256 1 11188 6139 1 143 6551 4 15568 1761 2 10313 374 1 17110 6198 1 9250 873 1 234 236 1 899 7600 1 8944 214 3 18289 2679 12 8294 2131 1 9204 4761 1 5630 7460 4 540 3228 10 15893 2097 1 13994 1193 2 6463 1322 1 3152 2686 14 2972 6207 3 5659 1573 3 1745 3167 1 19912 6162 1 19033 5837 2 12257 4963 1 2646 1907 2 7772 2571 2 4462 1984 6 18341 929 1 6667 4992 1 1727 1699 2 3621 1833 1 7912 8183 1 18134 6756 13 143 6569 2 618 490 7 2213 7521 1 10482 6935 1 17432 3230 5 958 5245 9 14211 1245 5 4467 925 1 16570 4209 2 5540 235 1 2109 46 9 8027 1241 1 9935 420 1 1962 4741 1 427 201 2 13023 1464 2 1898 215 1 11207 3364 3 9454 5253 2 18556 1660 3 2321 2228 1 11899 1321 3 8638 1729 1 7709 6341 1 3659 1991 4 9758 6181 1 9705 3331 1 17332 2305 1 16890 3416 2 16549 222 1 2680 2881 1 8273 7609 2 3037 496 1 3822 3715 1 5752 2541 1 11786 7299 1 19782 2584 1 12361 202 8 14908 2097 1 11250 3911 7 5200 5881 1 14348 1646 1 2523 8043 1 4528 1728 2 5379 1285 1 15940 807 2 13922 8141 4 16395 205 4 18752 4949 1 10268 1245 1 2917 498 1 6109 4199 1 6806 7734 26 1839 545 1 9999 2721 1 4801 6039 1 9725 5252 1 113 5111 2 4688 695 1 10508 214 1 10867 5595 1 17457 1203 4 7190 158 2 13264 995 1 8560 12 1 16166 2565 1 19338 904 1 15508 7091 1 17 1163 1 4886 6602 2 17273 6167 3 19972 4304 1 9558 1238 2 15436 1718 12 7955 5121 9 16157 1819 1 16500 745 1 5264 498 13 7916 1751 1 15759 200 5 17825 8194 39 6687 2225 2 7774 2552 2 18623 4006 6 2198 5394 1 7359 411 6 873 4013 1 8921 7207 5 8311 5086 1 15220 519 1 14348 221 17 13350 3972 1 6274 3426 1 1609 5436 1 12237 1755 1 7460 1416 3 16742 737 1 18 502 1 14890 2800 1 13997 385 1 9270 221 2 5390 1374 2 11687 1583 1 15429 2797 2 17498 2115 1 9166 5569 1 433 1738 2 19563 1324 1 2416 220 1 7157 7719 1 6854 1752 2 8582 7522 1 17662 1756 1 3504 2922 1 6060 5783 1 18511 196 2 4429 8190 1 695 7466 1 18755 207 8 19053 846 5 4106 554 1 11898 8096 1 6867 822 1 140 6458 1 12904 4985 1 19973 6125 2 8198 6100 1 8258 5673 1 5316 3850 1 10179 5339 1 17805 2559 1 6444 867 5 19754 4085 3 18504 1707 1 6403 23 1 460 2686 1 13764 1774 14 4083 2931 1 16548 7565 1 18874 8002 2 18690 524 1 153 841 2 4079 223 1 2990 5505 2 6063 533 1 11789 6537 5 9651 3430 1 9684 3911 2 19518 222 7 8887 7843 1 11675 1760 2 11386 4302 1 3931 7853 1 16792 2683 1 12917 525 1 6468 6053 1 17135 1770 2 5973 23 9 5025 7353 1 10801 2971 5 3697 1789 1 4097 2734 5 17019 1466 9 19870 719 1 2350 5294 6 13031 545 6 16674 1110 1 6265 2801 2 16327 682 2 12883 526 1 3499 3511 15 2209 867 2 3397 894 2 15785 899 1 3903 514 7 17191 5517 1 6556 4185 1 12178 2649 1 19208 5120 9 5659 40 1 14580 1898 3 3459 2410 47 8923 7216 2 3715 7098 1 8051 6922 2 14766 5768 2 1551 1710 1 6492 506 1 3901 558 1 11968 2555 5 19780 1642 1 13312 4963 1 15712 225 12 10859 7531 1 13775 397 1 4620 35 3 7136 3970 1 11622 1780 2 5127 2360 2 16575 203 15 20017 377 1 17290 2656 1 9159 197 2 11787 1719 3 9978 1751 2 18651 1453 2 16963 1621 5 15870 1312 1 3120 508 7 7908 215 1 811 6538 2 8237 6270 5 12350 23 5 8438 4307 2 10808 1037 1 6228 1284 1 5410 1783 8 8983 5654 5 18472 518 1 14892 1245 1 11554 2488 1 9422 23 2 5364 11 1 9577 1728 1 6478 215 3 18156 4755 16 7675 7404 2 12637 1296 1 10947 7857 1 7930 1582 1 9917 4383 15 13023 5670 3 6540 3219 1 11882 421 1 5241 203 1 17712 1819 15 9891 496 1 17725 1453 1 12242 2877 1 13244 1371 1 19109 1241 6 14239 2673 3 10538 1719 3 17127 1775 1 19663 201 9 2886 2626 1 9063 2305 1 15343 853 3 11808 4264 2 15359 1275 8 14010 4296 1 12304 2801 10 9541 926 1 14301 4992 1 2629 1450 2 6913 127 1 20060 2246 11 13205 2241 1 15329 135 2 108 4921 1 18465 7407 7 5981 3511 10 20255 6278 1 14060 3155 7 6183 891 4 15749 533 14 1296 6363 6 1593 7731 1 16776 374 1 14906 1829 1 4236 4077 1 15800 6706 1 13312 1350 1 10119 3253 1 6271 1757 1 4498 6604 2 8022 1981 1 1132 500 12 12971 473 1 1551 184 6 15758 203 1 12601 1140 1 13827 232 2 4910 3511 6 3117 156 8 16234 1401 1 6024 3895 20 13806 670 1 19060 7124 1 10814 6561 3 19760 3742 2 171 7692 1 4368 1891 1 16726 690 1 10391 3534 4 17298 1758 1 6057 1707 8 1024 4692 1 4278 510 4 10693 7668 1 1275 532 2 15180 3684 1 9364 749 4 19476 4373 7 16180 910 1 1551 215 3 13636 5432 4 6939 215 7 13132 582 1 7000 949 1 10287 411 15 18563 385 1 8625 4129 1 19779 7564 1 15461 6708 1 18944 4796 1 18508 4267 6 3175 5887 1 9522 215 3 5519 1877 12 10138 214 2 10339 7446 4 13261 6341 5 11341 1768 1 1872 7636 1 4111 232 1 14591 525 15 17505 4065 3 7575 232 1 10544 46 1 4372 205 2 19026 514 3 15999 4040 5 9168 5243 1 7564 1247 7 17127 207 1 5362 1416 3 13997 186 1 10247 6285 1 8071 5424 1 9609 7008 1 2103 524 19 4880 260 1 10733 201 1 10796 201 1 9520 2014 1 6158 2673 5 17311 2695 1 17406 3283 1 9538 2569 2 19119 3188 1 15471 709 1 9224 865 5 2284 4704 1 2274 4554 2 8066 1293 1 13829 1761 2 3215 1374 1 174 7953 2 7147 3729 2 7795 1736 3 4065 221 3 11786 982 27 16761 1363 4 7879 6164 1 11714 682 1 15229 199 2 12841 735 1 4609 6375 1 174 7960 3 5076 535 10 20128 1692 1 10688 602 1 11985 5243 2 6906 6225 1 3520 2254 1 15629 812 1 19181 219 7 2853 3334 1 17 1062 1 7991 6754 1 3888 6688 1 17336 2276 4 14964 1751 1 11388 514 1 6073 6286 4 14899 911 3 8889 663 1 1488 2675 1 18821 481 1 1405 3618 1 17150 5575 2 16963 1537 1 11990 261 1 1297 5559 2 7726 5477 1 506 1390 1 15323 7013 1 3504 2324 1 5199 7112 1 8597 479 1 16016 48 1 11585 1768 5 6441 1306 1 591 2562 1 15004 235 1 17664 1783 1 19671 1253 1 100 4567 2 4382 525 1 3142 2228 3 4385 3564 1 109 4653 1 16925 2000 1 633 2352 4 14248 501 1 7392 1312 1 11656 2494 1 8952 757 1 5784 1703 5 18954 8197 2 12941 6202 1 2526 5315 11 15041 2256 1 8673 2699 2 7778 7823 2 18968 3027 1 8440 6702 4 15318 3883 3 17916 1164 1 6970 5259 1 14683 5704 5 2892 220 3 9572 1312 1 15167 3366 2 6109 4479 1 14766 2013 1 18843 220 9 5246 964 1 8158 1548 2 10152 6627 1 8004 2953 4 12990 518 1 14211 1965 1 14850 4013 1 19776 7522 1 11151 2600 1 5859 2880 7 8853 5810 1 13461 23 19 16140 383 1 6468 2869 5 15649 3 1 9322 1709 3 13859 7030 2 218 2645 1 8870 6290 4 17676 5011 1 1770 223 10 108 4825 2 14840 728 1 4245 2721 1 6489 7243 1 16245 6744 1 4556 4363 2 19991 2661 1 3877 7716 1 14666 3926 4 2152 4466 1 12952 3612 1 11272 2068 4 5704 1730 12 17218 219 1 1614 2495 1 5185 3322 1 11192 4845 1 4565 6252 2 153 7084 1 6715 1768 1 4796 1184 2 9041 1110 1 5032 545 1 7060 214 2 18667 6150 1 4298 1982 10 16714 2617 1 18852 3464 2 13750 7704 1 20226 2683 1 16732 232 1 19316 6747 1 9999 6532 1 2796 1898 1 4524 190 1 13017 1210 1 16670 5105 4 14102 1369 3 4012 6621 1 10772 5474 1 3309 2555 2 11562 6121 1 14935 1076 5 10389 7600 5 15104 233 1 11072 320 16 16071 3511 1 2284 201 1 18042 2503 2 18634 1253 1 13800 7083 2 11044 5887 3 6341 1371 8 19489 74 1 8550 1825 5 17194 2555 17 14037 1312 1 15415 2559 1 13444 1739 1 10114 6207 1 7556 1960 11 4689 776 1 1086 219 4 62 2898 1 9650 6106 1 13084 205 1 5676 1721 2 8323 1153 3 19638 5554 1 1551 336 1 8966 1342 2 13601 1331 1 19872 915 1 11195 5016 2 3749 438 1 4274 954 1 16501 719 2 18751 1981 1 483 1070 1 3561 5897 1 3765 867 3 14906 4998 1 18134 6132 1 2024 4006 1 8363 1482 1 8974 514 6 14890 3382 1 1062 3629 1 4470 2729 1 13697 534 4 11843 6527 1 5996 15 1 10595 184 24 5699 10 2 18357 221 1 2486 2030 1 6684 4983 2 9745 7027 1 8573 3512 1 7476 845 1 12258 7520 2 18538 3682 5 17406 1664 1 14651 1154 6 16775 2569 26 6591 3855 1 2689 1740 2 1872 1747 1 13065 221 1 4195 6414 2 523 2581 1 4204 2619 2 10462 1072 6 8582 132 1 5467 2363 1 18904 2357 1 13190 130 7 4857 4435 1 2443 1779 10 2708 761 1 2197 1296 3 15267 5788 1 7099 642 1 18632 916 1 7899 2729 1 413 1312 2 19019 2705 1 7117 2488 1 1999 2951 1 3215 2831 1 14210 1740 4 18668 1796 1 11096 1441 137 3765 518 5 2526 5309 1 8388 1747 1 15468 221 4 8865 6510 1 3536 1040 3 19736 3905 1 7660 2863 2 1500 1898 1 240 1819 2 17792 23 1 3547 3167 4 16479 3151 1 14027 1523 1 14375 3492 1 19900 6256 1 10603 3170 5 15286 6481 2 5879 1740 18 19590 4245 5 4329 6268 4 1850 186 13 373 3613 9 11678 148 1 17253 1247 1 13824 229 2 18667 1244 2 10209 40 1 18197 2557 2 153 6997 24 14218 1582 1 9978 3353 7 14694 3881 3 5365 3138 14 18793 7178 1 10408 219 9 13698 221 2 6021 2542 1 5266 694 1 8987 5800 2 18876 5903 9 12997 1752 4 12858 6510 4 19585 911 1 15885 6949 2 5407 2480 4 10765 7643 2 2274 789 1 19236 6415 1 16606 3697 5 939 1246 1 868 6680 1 13922 501 1 1986 4947 1 2796 1819 4 19223 232 1 9011 6755 6 11793 3954 2 9626 2979 1 224 221 2 6411 4955 2 14836 3474 2 15289 955 1 2997 5686 7 20123 670 1 2666 7409 1 18785 1380 1 7363 196 1 15676 1752 1 3399 4621 1 12626 5120 10 12982 6363 1 14773 2675 7 11392 1969 2 8498 4761 2 16346 3789 4 19869 3337 1 19916 3684 5 12322 3233 2 8201 1747 1 2405 3167 1 10371 1986 1 8842 8240 5 3485 233 1 9024 8139 2 11502 6063 1 9432 3373 1 7934 5769 1 5449 3491 1 6080 196 1 3303 2831 3 18679 219 1 8564 4412 1 18042 3564 1 2716 524 1 15923 1770 1 20163 5274 1 8082 4304 1 9462 2016 2 19981 2675 1 672 4706 1 838 3113 2 17290 7267 1 4817 7213 2 18202 1651 1 10449 2270 4 15390 100 2 7892 6681 2 18270 200 13 15264 1322 2 19306 1964 2 4764 5758 45 13972 4599 1 10242 520 1 1704 4703 1 7317 652 1 10693 3070 7 11730 3024 5 5464 1324 1 8010 501 5 17359 2559 9 13758 314 2 1057 3146 3 11225 8175 1 6749 6015 1 17585 4242 1 9465 1294 1 9887 219 1 5087 2675 6 16084 526 1 6228 817 1 59 707 1 3673 6865 2 17429 2626 49 16265 6549 1 10452 646 1 11055 3794 1 4493 1095 1 8632 1184 3 6697 601 7 6274 6442 1 14522 3556 3 133 6063 8 9889 2653 27 13425 4099 1 509 7408 2 17507 3275 1 13494 7200 2 19090 4343 1 16554 1768 2 8083 3591 11 3931 1246 1 12459 244 9 11656 6481 10 5571 1775 2 3963 1104 1 9281 1747 1 1252 609 1 4774 1734 14 7631 3666 3 14275 508 1 8082 422 1 9315 1719 7 15221 5361 4 15119 1464 1 11786 3812 1 8665 3540 2 6390 200 1 8170 526 1 1312 5243 1 5632 1312 4 15085 3973 1 5610 652 1 15485 23 1 16847 1357 3 856 4789 1 11786 4916 1 15712 514 11 6340 770 1 16464 219 3 3794 5798 1 3150 2362 1 3358 200 1 1953 2731 1 1461 215 2 11129 8172 5 12988 3645 4 19498 1672 1 7520 197 5 19865 316 1 11406 10 2 15788 191 4 8732 5018 1 17237 4998 4 2693 6554 5 12327 4980 7 768 4789 2 5213 220 1 19781 417 2 1711 657 6 19256 7857 5 6969 8141 1 10313 4246 1 5176 1184 2 16063 8037 1 11084 3892 1 20028 1082 4 4136 1100 2 12902 7708 33 7400 2559 1 3164 1762 1 1611 2336 1 13089 2488 1 14031 200 1 12700 533 1 14330 23 4 14335 8029 16 5493 1395 3 13543 2952 1 4663 943 2 6269 1672 11 2674 6179 1 7245 4206 2 9933 6204 21 2744 521 2 18487 411 1 2045 1424 1 3262 5018 1 17825 5352 21 14492 3733 1 56 13 1 143 3570 3 11254 1707 3 1025 3767 2 3397 670 2 17849 3637 5 16203 7714 3 6177 2863 7 252 842 4 11278 237 35 4583 258 1 2917 2894 1 15599 6993 2 7846 4148 1 8895 964 1 5911 2649 1 11266 5524 1 4106 7735 3 16360 6776 13 16726 186 2 17142 1742 5 2007 222 3 5741 3202 3 9962 2571 1 14278 5972 1 20193 2649 2 18214 6031 3 5684 822 1 15205 644 2 1576 1987 2 14753 5253 1 3031 229 1 10973 498 1 13443 7225 1 19503 4233 1 4945 6330 1 5273 1275 2 10486 292 3 9638 6564 8 5621 3012 3 6504 1658 1 17634 4623 1 18902 2981 1 12393 2748 1 7711 5440 1 10670 1829 1 20023 1818 3 2321 6121 1 62 3009 2 12054 7508 1 11072 207 18 15266 541 34 11467 357 2 9857 6213 1 4338 43 1 13127 848 1 10649 875 1 188 1363 1 6199 5018 54 15184 2097 6 12167 318 2 19239 3729 2 116 3617 5 12406 7943 1 2913 770 1 16971 1816 29 15153 3441 4 7527 5518 3 11334 2736 3 14795 1747 1 11007 6204 38 17791 2254 3 10539 6719 1 14686 4501 3 3934 5015 5 3939 6633 1 11525 3649 1 9773 3382 3 15448 1816 1 14772 3921 3 1783 498 5 16655 6713 4 11422 722 1 4777 1388 12 10997 3974 1 3941 7073 1 7548 2541 2 17703 200 3 2777 3911 2 18886 1539 1 8215 4019 2 9424 4427 1 13852 200 12 14198 659 1 13461 367 3 15646 6396 1 1890 2663 1 13683 235 1 18667 3230 1 15166 5316 7 10911 752 9 9916 1803 5 5124 7895 3 3803 222 1 18159 1717 4 10485 508 1 18681 934 1 5617 399 1 1189 1548 1 8306 2543 1 14811 4345 2 9434 7101 4 13 318 1 7950 203 1 20202 23 1 13757 7353 1 8710 6595 1 18561 2838 1 12667 23 2 4147 1121 1 16497 364 2 4130 3573 1 16136 6135 1 9281 6708 1 6098 2664 5 10595 1705 2 6125 3163 1 11026 6152 2 17792 1498 1 14720 2881 7 11458 2384 1 16238 1727 1 1466 2691 3 1397 1551 1 10394 1751 1 19193 2419 2 13 918 1 625 3972 1 16964 3909 1 20090 1819 1 4016 471 1 19625 1727 1 14699 502 8 2382 1657 6 4660 1762 16 15750 4905 1 16333 4107 1 14915 184 1 18374 7216 3 4050 903 1 3710 8200 11 16471 219 3 10146 2662 1 19649 1244 2 10631 2354 1 4784 1658 10 4305 665 1 20017 409 1 12198 7229 2 7138 2935 5 16204 4790 1 1016 3749 1 3432 4935 1 7847 325 1 15046 1893 2 8035 1826 2 7347 2443 3 15778 3357 2 9671 1827 2 4195 1728 1 1468 7073 1 4251 545 1 13445 1395 2 7769 368 1 6749 5729 1 14727 168 1 10500 193 1 12190 1302 2 278 4284 1 8690 2392 3 6496 798 1 6876 1738 6 9511 2498 1 2853 3338 4 8680 5522 1 62 2780 1 5222 207 2 2768 828 1 7089 3570 1 18400 207 5 5244 1601 1 7234 2662 4 7045 1724 3 7768 197 4 3044 853 1 11550 244 3 13928 4796 1 4967 3081 1 12777 7719 7 9547 7624 1 13806 817 1 11921 6342 15 17778 1184 12 153 7029 1 5695 1705 4 14011 5106 2 4149 411 2 17940 1010 1 11306 1274 2 16974 1781 1 8177 205 4 13 748 1 2643 364 1 12693 220 2 12623 3876 1 18635 4357 1 4734 2382 1 13896 7652 1 13891 875 1 12071 3648 1 8490 2356 3 12114 5255 1 3822 1656 1 14618 2737 1 10358 2691 3 5380 498 2 16832 2671 1 20248 499 1 4025 1241 4 16643 203 5 6397 3872 3 14767 2116 2 14753 5356 1 4081 1658 4 7994 1519 1 6556 2970 1 13160 2881 2 153 7003 7 10977 4019 14 7188 2294 1 15041 1241 2 19053 945 1 17055 2415 1 18681 794 1 16018 3900 1 15374 7533 3 15536 411 4 14466 1504 2 9936 1991 2 4050 1741 1 6091 1761 1 4573 2439 10 3516 232 1 19776 5323 1 13425 367 1 6750 207 4 17608 5099 1 4092 1686 1 19810 225 1 3286 5034 5 13042 206 2 10522 449 1 3416 2636 2 14583 339 1 15381 6007 2 18656 2838 1 9432 186 1 4498 3231 1 584 4933 1 19655 6058 1 19255 1757 1 14145 5487 21 12657 1727 1 8793 692 1 5016 3526 2 10608 2354 5 7065 2369 2 5809 1236 1 16817 1282 1 4307 1323 2 4274 2732 1 14027 4617 1 4370 1721 1 15385 5105 6 10783 215 1 7135 1249 1 11755 1745 1 11215 2876 1 7652 1489 9 6021 6145 1 10218 252 1 12695 5018 1 17746 670 1 6024 8194 7 15193 199 10 2985 916 1 6322 2296 2 14553 4288 1 15041 3661 2 8450 3024 2 20270 169 2 20039 460 2 1467 3756 2 9661 2534 5 14479 3564 1 16343 656 1 2598 2677 2 17440 604 1 5643 222 3 7413 1788 2 13779 6754 5 18213 219 2 2674 4789 4 983 453 1 977 2980 5 2081 367 1 4815 7677 3 9935 1745 1 12623 8013 5 17813 2668 1 353 1909 1 1818 7983 1 13301 3389 1 6437 1695 2 11377 4024 1 15524 3637 1 14913 3732 2 1922 233 8 542 7327 3 4216 4240 1 14305 2800 2 5854 3232 1 15602 702 1 8878 786 1 10766 6091 1 326 6159 2 19401 7229 1 4092 1741 1 19905 5180 1 12361 784 1 18681 869 4 5818 7594 1 15101 470 2 18400 1417 5 16762 200 1 2742 3693 7 5659 4816 2 10676 409 1 8805 4641 1 4223 1363 4 18459 910 2 19864 7406 1 3632 1136 1 17298 169 1 8073 2698 1 4779 5430 1 19994 4961 1 11212 1164 1 10021 2362 1 1345 6659 2 11127 524 5 17555 516 7 10575 258 1 2395 5737 1 7769 2917 1 4932 545 1 4018 2998 3 19507 4306 3 13171 379 1 5771 5131 1 18320 687 1 5884 398 2 3874 2895 1 16303 6454 6 9386 6435 1 1013 7130 1 18543 4761 1 10923 545 9 5034 1567 1 19429 159 1 11854 891 1 8155 1721 3 98 4441 2 15499 7601 23 640 11 1 17072 2528 1 6554 1952 1 13711 6064 4 91 4116 1 10290 1772 1 8317 1771 4 9974 7980 10 17133 533 2 6695 1732 2 17093 291 3 1443 222 3 5977 508 1 19601 1146 2 4663 618 1 16238 3511 6 339 207 5 8198 3713 2 14359 4343 2 9358 1247 1 6740 4235 1 14522 567 1 4632 861 6 15718 1808 1 14625 201 5 14698 789 1 2308 545 1 10994 7461 1 8088 6485 2 15299 6185 2 12166 7603 1 5827 2009 1 10302 5820 1 4049 4171 2 15296 4120 2 1679 347 14 12542 1757 3 14741 6677 2 19349 1007 1 18665 4240 2 1636 1780 1 115 4455 1 15813 7167 1 4092 5518 1 1457 702 1 4337 1692 1 349 2888 1 20032 744 1 3939 267 1 9648 413 1 4503 3156 5 17740 4271 1 10190 1721 7 5141 518 1 15778 4667 4 16951 2503 1 16468 5372 1 7725 2378 1 8340 2591 2 94 383 1 7888 6330 1 20016 3180 5 1606 300 1 16831 496 1 15474 1722 6 16140 2743 1 17491 2109 1 9165 1760 1 1133 530 2 1883 3454 1 16056 1248 1 16403 3588 12 13607 6621 1 4708 23 1 4303 303 5 3505 4281 1 3150 1728 1 6414 190 1 12174 867 1 15804 1555 5 6124 3519 1 12697 3426 1 16857 534 1 8192 7624 1 8620 6434 1 565 3649 1 7065 5972 1 3198 4803 5 15683 6040 1 115 5173 2 12625 3540 5 16906 330 1 1308 1717 1 11988 7915 2 6781 2307 3 7328 5788 1 3553 6345 9 16857 1921 1 11349 201 5 10080 3213 1 15471 5254 9 382 4274 1 4156 7284 1 11863 1946 1 18119 1737 2 2876 2678 1 4616 1246 13 2951 215 1 7117 4107 1 19286 8141 15 340 262 1 13741 6046 1 702 2981 1 8649 1715 3 9110 883 1 17850 6025 1 11175 1774 1 7707 4719 1 15576 216 1 5250 2675 4 15366 1776 1 17961 4245 1 19344 3610 1 1957 127 2 14301 1043 1 14296 4413 1 15468 1825 7 19359 2696 1 12654 1248 1 7319 497 1 6310 207 5 12055 5286 1 14753 2853 4 1237 1710 2 1361 6808 2 13023 4773 2 12235 7792 1 4121 3879 2 15948 223 1 14758 2061 1 12501 233 2 2389 1737 1 12198 4992 2 1647 4241 1 8730 6153 1 8004 496 23 6583 6311 1 6976 4653 1 9935 2383 2 8537 1276 1 14557 5595 1 3015 7689 5 10862 525 1 1305 1236 1 9252 2675 1 9266 4660 6 845 1756 3 3940 843 1 13671 2206 1 11702 8034 1 174 7967 3 4667 5915 1 9717 270 4 10145 2025 1 11428 4022 4 8509 6480 2 2127 1239 1 6273 5202 1 9886 4427 1 4897 6009 3 16018 7834 11 18893 6780 1 16236 1236 2 10340 1938 1 3215 1251 2 11391 2535 3 296 204 2 18924 3445 1 10565 5789 1 14575 4764 2 3056 7426 1 5188 626 1 19290 4963 5 2284 379 1 17662 1783 2 11195 1747 1 6342 1726 1 3095 3360 4 715 35 1 13711 2151 1 4311 6675 4 1931 3911 1 5213 1243 1 2040 411 1 16363 4355 1 13071 1464 1 8286 1780 3 15858 165 5 1133 7216 4 13557 7146 2 7943 235 2 9556 232 1 7943 6268 2 5233 1257 1 16700 709 3 18149 3230 1 11786 4879 1 1363 5182 13 13951 608 2 17892 5737 1 10948 206 1 9463 8127 6 3763 200 15 5873 534 1 12892 1170 2 4840 589 1 1739 8183 12 2341 1825 1 14890 652 1 4868 7719 1 16109 1275 3 10318 3511 1 7994 683 2 17210 770 1 6970 3408 7 5550 3892 1 12958 5294 1 174 7985 1 4713 6640 3 2647 2699 1 13281 2990 1 6690 580 1 16562 867 2 19649 5408 1 3432 1705 1 18635 5258 2 19076 1682 1 19727 3267 1 8889 3969 2 4691 215 4 16000 470 2 16417 452 1 8844 1764 1 1618 506 5 19033 6252 1 5263 1731 1 10947 5445 1 7256 1250 1 1309 3536 1 16330 8194 6 17302 7406 1 9802 132 4 19374 3426 1 16224 4261 1 19823 206 1 7147 6256 2 11131 3775 1 10927 6669 2 8735 1450 4 11503 7801 4 8731 6152 1 163 7412 3 4348 1726 9 20266 4915 1 13343 206 1 6535 6090 1 997 545 1 1704 2241 5 9763 7731 1 13 784 4 17771 214 3 4 144 5 11887 1308 1 16858 6710 51 301 1814 1 13857 519 1 1619 1564 1 1438 7184 3 17416 7050 2 10511 3482 2 6683 8030 1 8376 331 1 19401 7884 1 10080 581 3 6033 221 1 3267 6014 1 18754 6754 2 5174 6053 1 19739 2671 1 13928 3230 6 3110 6649 1 12845 186 1 9950 6852 1 4691 7850 1 14471 6912 1 16087 2836 1 1299 5545 2 1024 410 1 1872 201 1 3449 3908 1 18262 2626 1 14625 203 2 3561 2256 1 18207 7455 2 17809 2691 3 10010 6159 1 9952 3533 2 14701 2701 1 8989 4792 1 4572 1238 4 8692 4635 1 7194 1759 4 2996 6231 1 18101 184 1 19222 203 7 13051 647 1 16218 4987 4 5513 3843 1 9420 7215 1 17781 244 1 5532 617 3 14540 5054 1 11366 891 9 3536 4524 4 7994 401 6 15517 2983 5 19272 7534 4 19250 2974 1 171 7771 2 10350 411 2 2356 7266 1 7956 4988 1 6159 1236 2 9585 4807 2 727 2938 1 17610 2964 2 5211 4923 1 14694 1105 5 3327 5575 1 10698 220 5 4937 203 5 10561 398 1 19846 7857 4 2374 6703 10 19063 1825 1 19872 132 1 15222 1814 5 20135 4985 1 15429 5285 1 18188 3920 1 17423 2906 1 17157 215 1 1613 173 1 20027 232 1 4873 1302 2 7780 7229 15 2607 1312 1 15104 723 1 4121 8254 1 9999 3475 1 10177 3954 1 6656 506 1 712 1235 1 15139 5078 1 10105 3697 1 18548 3236 1 10466 220 10 17110 244 77 11086 891 6 2829 844 1 8579 2363 1 18608 6402 1 1007 477 1 7776 196 1 10246 5730 4 18514 3963 1 16459 4716 1 12766 7586 1 10611 203 14 2556 7412 1 9017 2671 5 15713 1035 1 17010 7946 1 14725 1265 1 4615 5905 1 13026 5395 2 4880 475 1 15564 7648 7 2778 6777 1 13603 506 3 11964 1733 5 2807 2056 1 4085 3889 1 17403 5420 2 12104 3813 1 13540 1699 17 17850 173 1 19135 292 1 4709 244 2 15028 6487 1 20074 1495 15 17909 3597 1 152 6838 1 11415 1239 1 19600 8141 1 14539 1819 1 3659 367 1 7876 2955 6 2781 6362 5 10856 6568 6 1111 5120 1 13187 6035 1 6800 244 5 13932 2448 3 1351 3464 1 16417 1582 1 18462 770 1 7769 5398 2 8174 5325 3 3418 2915 2 12452 3032 1 10554 2006 1 13415 1633 14 2262 3850 2 17476 528 1 5395 3589 1 2212 6406 1 7823 1341 4 18320 1190 3 873 4531 2 15615 3617 3 6287 2303 1 6552 1779 2 17321 637 1 8250 7295 1 18198 5325 1 8001 6496 5 715 7850 1 7691 164 8 15021 196 2 19115 6200 10 13731 3552 1 19115 7184 1 16577 6345 1 6913 745 1 1580 6692 1 5358 3588 1 7823 5517 26 15619 2109 2 7444 3230 2 12745 3216 19 6188 3666 3 3815 3361 1 3822 364 1 16674 5305 2 8614 4946 7 19970 1739 1 15979 1464 4 11853 1724 4 14519 1239 7 9783 2641 1 14099 7511 1 7500 871 3 19973 1778 2 16568 8133 1 12803 1464 5 4425 270 1 19879 5573 1 6198 382 2 10942 6714 4 10355 1277 1 17395 4868 6 16141 3227 6 1009 8150 1 6486 1122 4 5617 1277 2 3785 4641 2 5285 1649 1 13 148 19 9427 7294 1 10749 1903 1 296 621 5 13767 2958 1 1791 5234 1 8751 452 1 3485 2363 1 5281 229 1 15440 4764 2 4615 1656 1 7286 1372 16 3180 3334 1 4256 6897 1 14306 863 4 2886 6484 1 7020 1695 3 13829 2686 1 18665 2915 1 3029 7101 2 1663 6192 10 1045 173 1 14489 506 1 9865 2662 11 12856 7986 1 12400 3204 6 14253 3909 1 4747 1771 6 17703 219 3 852 3679 2 270 1251 1 9722 1789 5 16111 4476 12 3324 495 2 9288 6386 1 11454 2141 1 8681 2356 1 10146 5385 1 158 7214 1 3606 7221 2 8384 724 1 14218 5871 2 5944 3163 2 817 649 1 14326 4264 1 10803 6346 4 1846 6515 1 8946 627 1 6857 4595 1 17473 4363 2 11714 914 1 12725 5193 1 11519 4215 1 7640 7022 1 1618 519 12 4123 4460 1 10973 215 1 11637 694 2 18899 1342 5 15833 6031 1 10334 5670 22 10972 1771 1 10454 3230 1 11107 397 3 16091 5041 1 18071 4489 1 4709 215 1 9444 3167 1 6611 4756 6 13907 6100 2 12085 1909 1 4076 910 6 10792 1753 17 19233 206 4 12037 3493 2 3925 2053 1 130 5802 2 14946 1402 1 198 203 68 7436 1770 1 16645 3954 6 8926 2564 1 12753 2646 1 4253 1109 4 163 156 21 7564 2563 1 6749 95 2 17570 1917 1 15127 23 2 11055 1209 2 10503 1242 1 2345 936 1 19887 1751 13 5104 367 2 5431 1357 2 5335 8175 2 11549 3408 1 4092 498 3 16442 963 1 12134 3911 2 6105 8081 2 18858 200 1 12547 6758 1 9521 232 1 6656 2626 1 9415 214 1 17328 2385 4 4688 751 1 13227 2831 1 1503 1981 14 6538 203 1 27 1598 1 14937 23 1 11968 1146 2 6765 132 2 9198 233 2 11919 6019 1 9464 2143 1 3826 768 1 17127 221 1 3536 1288 2 4307 7229 1 19675 1734 4 5018 84 1 14599 646 2 6556 2260 2 3875 232 12 17705 1751 2 3406 6801 1 16179 3653 1 16997 175 6 2111 10 1 14060 3101 8 1834 3970 1 12902 7753 54 2194 5269 1 18346 1474 2 114 5138 1 855 1740 2 100 4550 1 15651 3747 1 18524 1366 1 14834 1990 1 19197 7201 24 1 30 1 392 4996 1 217 206 10 9215 749 1 13856 5021 1 5938 5301 1 12759 7201 11 18293 475 1 8974 6192 1 6397 631 2 2024 4310 1 1945 8161 1 13740 2401 4 11438 7307 4 15893 863 1 18279 2832 2 15376 514 5 8599 8012 1 9250 2086 1 16130 6765 1 15681 44 1 13460 6677 1 15818 1825 11 13600 1728 1 9901 6579 1 452 7528 1 19557 3630 6 18453 533 6 2357 5737 1 12547 7167 1 838 3058 2 15090 3827 1 17845 4343 2 2870 7096 1 13750 5352 4 7245 2087 4 18671 7244 1 6308 220 1 6198 505 1 6513 214 1 16730 7529 1 1586 6122 1 8159 892 1 19489 1666 1 121 874 1 10692 995 10 20007 1015 1 1233 7222 2 5531 334 1 10324 7597 10 13314 1681 88 17966 219 1 10554 252 1 13581 1611 6 3046 4609 5 14318 2333 2 7317 846 6 4054 1718 2 9836 186 1 3924 6943 1 18254 845 1 19032 225 3 174 7920 1 6279 3233 1 19829 1133 1 9672 1251 10 12998 498 13 11502 6066 2 17382 1946 5 12111 1286 2 13404 5522 1 2739 2722 1 19670 203 1 11294 7597 4 5994 844 2 18420 500 2 11967 1721 1 9993 219 7 8464 5988 1 5691 221 1 4509 4215 1 6711 1072 1 15981 1779 3 1043 7586 1 4832 2626 4 19760 5258 3 10245 6037 7 19272 2016 6 12731 6361 1 12823 7988 1 8220 1454 1 3472 910 1 18340 1344 6 6275 2899 2 14900 1731 1 11360 712 1 14900 506 1 19322 743 3 8958 4342 6 8190 4929 1 13541 1996 1 14660 327 7 1462 2291 2 13825 1728 1 19654 6826 1 16591 7206 64 10934 8141 2 19660 2863 1 9619 6508 10 15468 314 4 16604 4825 1 16564 655 2 18792 859 1 5870 4386 16 10380 953 1 4183 4591 2 6140 2362 1 1698 6174 2 17856 1025 2 16417 2488 1 17392 1312 1 9195 7597 1 1300 558 1 16674 2641 1 18634 1359 1 14435 861 1 17954 2584 2 14032 1082 1 12737 2484 1 765 6274 5 18366 3298 3 10407 1303 1 890 1907 1 3262 219 1 5208 7961 1 8710 2255 1 15510 23 2 12897 627 1 2204 2489 1 16227 214 2 11609 7654 1 15712 506 10 5312 203 6 7553 1721 2 4338 253 1 5769 2831 1 1361 3874 6 15599 1531 4 8934 6276 1 11882 6285 1 19569 1771 1 2249 510 2 15471 4460 5 14135 7101 2 107 3877 2 6802 4992 1 8087 6633 2 8237 3433 1 19822 3024 1 17914 1718 2 3962 7411 1 153 7053 23 8232 1238 1 7148 1682 5 2359 2786 1 8965 1772 1 9898 3924 1 9093 1245 5 14992 215 4 11164 190 3 5854 809 3 3083 1814 17 17151 1963 1 8674 6071 2 10604 6316 1 17615 5285 5 10113 3956 3 13928 1328 1 10830 220 1 12493 395 1 20030 666 1 18761 736 1 11798 3571 4 18887 3333 4 164 514 3 18082 1237 2 8479 533 1 17369 3855 1 19591 203 2 16732 236 1 309 4403 6 15709 1740 2 14109 1253 1 2543 3755 2 5085 1244 1 19115 1721 4 169 1582 5 1456 6615 1 4822 3071 1 3508 3795 1 18807 5082 7 14652 5794 3 16739 1342 1 17518 1898 1 12550 1363 2 2803 2869 1 14440 6743 1 12280 1736 1 4294 1342 2 15398 148 1 17809 1032 1 18828 3485 5 340 2114 6 5303 1046 1 6213 5559 4 11239 4635 7 14204 2767 1 6611 5814 3 5632 2746 1 16236 3972 1 10973 6368 4 14998 5150 1 15683 1271 1 538 843 2 11925 1761 4 18899 3309 1 6904 1681 12 7638 1284 1 4860 3813 5 11308 6697 3 19734 23 4 3048 5586 1 12775 3540 1 3913 7189 6 15383 1445 11 8573 496 8 9052 585 1 7181 3512 1 7349 203 8 8369 1439 1 13087 3946 1 7557 8184 17 18390 6467 1 14221 2355 1 17917 4468 1 9543 2488 1 20023 1242 1 534 825 1 4972 8013 1 8035 207 1 11367 1825 1 16227 506 3 7363 3900 1 8063 1205 1 15895 7597 5 10730 1488 3 8488 523 2 17882 3519 1 5132 223 88 12281 201 3 15102 2691 2 19390 206 2 113 5110 1 9840 1374 1 6524 1729 1 18500 201 1 12591 3168 1 10149 5496 1 19960 3444 1 15343 2626 1 9525 4566 9 20114 776 1 11687 534 4 8946 794 1 16674 3819 1 12853 3808 1 12192 1774 1 9327 5558 1 5745 3219 2 3850 6035 2 4680 7395 1 94 4303 6 3147 5437 1 1005 4956 4 3814 7234 1 1847 5288 3 16177 685 1 9125 1703 3 19616 214 3 1705 945 3 87 519 2 17889 6211 1 2292 3058 2 877 6414 2 494 1503 1 9834 7430 1 19409 1731 1 844 5030 2 15599 7948 4 7740 1732 1 16018 5804 4 5610 916 19 10452 3822 2 11341 5036 6 436 2175 1 14753 706 1 9744 2292 1 14326 4232 1 19726 5669 1 9897 7018 1 2406 1772 4 12821 3298 1 19536 7076 5 8080 4732 1 8166 7008 2 11014 417 8 11111 514 1 1011 8141 3 2803 2504 1 16857 2478 2 11616 2951 1 18679 2104 1 16059 3511 13 4218 4086 5 14344 4011 3 2709 521 1 5087 1819 1 189 409 1 18432 232 1 13184 46 5 6556 5559 1 12293 1730 2 10930 3117 1 6420 374 1 18761 3705 7 10999 3741 1 2674 1999 5 3237 8185 1 1530 3029 1 13581 1241 8 17742 6036 1 1635 6366 1 2429 3070 1 5185 7670 4 10832 4361 1 1 95 1 18133 1237 1 16768 545 1 948 5008 27 3764 1466 2 349 2842 2 16835 5105 4 10738 8139 4 16355 418 1 11430 3338 2 16792 1732 1 19718 2080 1 10274 156 7 16730 2016 4 14722 7530 2 4788 223 12 8555 2123 2 10160 1164 2 5146 1819 3 4615 1703 1 3186 3847 1 12581 6382 5 15805 3228 3 9930 867 2 8015 4960 1 10180 903 1 9543 393 1 7454 1825 3 17372 4579 1 11713 164 1 15725 7351 1 7820 207 11 17220 601 1 4054 1789 2 5021 7238 2 12497 1722 1 2336 3146 1 5643 2500 2 6790 303 1 6265 5737 1 4755 4713 5 3397 5000 1 13 662 2 11592 1296 1 160 7319 3 18915 1369 1 10313 4207 1 133 6044 2 1315 3694 12 17008 5332 1 17308 536 1 9868 3824 1 14165 46 35 17872 23 4 9155 2488 1 18954 1150 2 12704 3591 1 7003 214 2 3630 4877 1 7135 501 1 16822 4954 2 19477 7244 4 16308 6596 3 8985 222 1 4305 3349 2 15743 2675 4 4833 1244 17 3458 8171 1 19683 1146 1 16887 6844 1 17918 5255 7 6997 3588 5 20278 1301 4 2560 3255 2 10334 3535 1 5804 6716 2 15177 3882 3 3272 514 1 10313 4022 1 6176 4572 1 1631 2626 1 9259 506 1 15075 5730 1 1717 3540 1 18940 510 1 11820 6053 1 15608 6341 1 14114 425 1 15326 3590 1 7184 525 3 10502 545 1 4407 70 1 14896 2056 1 13871 800 12 8532 1788 3 658 4363 1 12584 4877 2 2931 4013 2 7286 2357 4 5953 1703 1 11097 207 1 9857 1242 9 15750 4841 1 12361 258 9 757 2360 1 10948 2193 1 5463 367 1 5690 4343 1 9646 6423 5 7279 5031 1 9901 6557 1 7088 6701 3 5752 867 5 17273 521 2 5390 5421 1 18874 4501 2 5659 6692 2 62 2781 1 18251 3318 1 5433 6142 2 5111 2363 6 11899 1731 1 4467 221 3 6004 207 1 8969 1239 1 15773 203 1 822 1193 4 13639 623 1 787 5398 1 857 329 1 5997 5220 1 7306 934 1 887 2649 2 13733 1824 11 8088 891 2 4095 5420 2 11698 855 1 2045 219 2 11674 508 1 14552 7201 14 5091 3799 1 6617 449 1 14341 2114 2 9778 565 1 6690 4359 1 2531 864 1 7601 4077 1 114 5113 3 6647 7616 1 14566 6457 1 8751 1103 1 19731 5725 1 16765 75 3 5379 2570 1 14162 822 1 5961 1280 1 9759 6225 1 121 571 1 2529 930 1 1590 744 2 6492 508 1 12190 6053 1 16090 6234 2 19246 7101 8 17863 6252 2 10815 4199 1 5638 8072 1 9841 1252 4 2458 1403 1 16758 4012 2 1416 2921 1 2140 71 2 17058 711 1 16276 496 3 4850 5447 3 15781 235 9 864 3851 6 11629 809 4 445 518 2 2439 207 2 18963 3494 1 9999 6065 2 7369 3081 1 15704 5420 1 18818 201 2 16236 1757 1 17910 222 1 19538 6632 1 583 2528 5 19210 905 1 7835 6705 1 6749 46 2 16027 844 1 18589 411 2 2585 410 1 4294 1732 1 20063 7699 1 4780 5136 15 15409 1776 1 5104 574 1 6798 995 3 109 4941 4 5601 5531 2 8560 4635 2 9639 4623 1 12361 813 2 6014 1734 13 10429 5767 1 4072 4397 2 12500 3366 1 8021 521 1 11915 1466 7 14906 220 1 15973 222 1 19289 3512 1 13230 3432 2 11978 6669 2 3695 962 1 12988 1726 4 16767 4963 1 4077 506 1 4170 2043 19 1303 4467 2 13459 3206 5 15159 6172 1 973 1756 30 7691 4024 5 8471 2263 10 12329 8178 2 11985 5018 4 4477 3012 7 16231 3393 1 16673 2251 1 13977 2955 1 12319 728 1 19713 3494 9 8157 6723 1 1666 184 9 16500 156 5 6021 150 1 17596 1357 1 18115 3192 1 13997 765 1 13699 6245 1 4708 3135 1 7452 822 1 12637 1245 1 13687 1086 1 6221 7683 1 8708 214 2 18022 3890 2 735 573 1 14824 3074 5 17224 3453 1 15839 199 1 7990 153 1 555 1236 3 14301 5518 1 16689 1702 1 17328 2269 1 1983 8167 6 6078 7007 1 3227 1356 1 14084 6414 4 174 7987 1 16416 302 1 18312 1263 2 1379 402 1 12809 477 1 17133 196 1 18876 3849 3 13 865 5 13922 3511 2 8343 525 2 2204 1698 1 4935 8144 1 12870 232 1 12669 364 3 16916 834 1 9366 1499 1 164 7475 2 8001 2172 1 13490 1138 1 20256 8026 1 9967 614 1 5142 8210 3 13590 1990 1 11345 421 1 4384 1825 22 85 3298 1 3122 307 1 8687 4363 1 9091 3653 3 8772 2626 1 17218 1752 1 14493 1664 1 11183 7450 2 18082 6383 2 9998 6414 1 9168 1250 1 951 1752 1 7056 1753 2 7134 89 1 13685 8121 2 1214 5058 3 12838 1053 1 19362 497 5 4670 367 1 16254 5481 2 5004 2709 1 4671 1954 1 10145 3398 1 12821 1819 2 15791 5037 2 4328 3556 1 20120 8225 1 6208 1063 2 2529 5266 7 2483 3980 7 359 3298 2 3972 5514 1 496 2990 1 1109 46 8 10456 519 2 9457 5156 1 15480 2653 1 14642 225 2 10948 496 1 180 8198 1 3442 1417 1 15683 903 1 5877 1784 33 17947 1296 2 13928 1824 1 19034 1395 6 6871 1752 1 2906 7404 1 11952 1721 14 18083 4077 1 11384 2920 2 8892 524 1 6570 3742 5 737 7089 1 8391 764 1 18973 4992 8 9890 411 2 2886 722 1 18867 2673 1 13 869 6 19921 3892 9 3695 2867 1 3878 2191 1 8278 8043 1 14906 512 1 11306 1072 6 6402 6519 13 18979 5437 1 7363 8174 5 5052 4659 1 15092 1352 1 8183 6207 1 1490 6725 2 15676 6201 2 3514 410 1 12406 1757 1 3581 3537 2 12054 6979 2 12169 1768 3 8241 1752 5 12325 3591 1 13289 2352 6 16161 867 2 9720 2363 2 13404 2419 11 46 1740 1 9535 2555 1 20148 7521 1 8368 696 1 8965 201 1 19314 173 1 1255 1235 1 17555 1374 6 7446 253 1 13928 2974 1 12055 431 1 14393 4120 1 14022 175 2 6556 7466 2 13126 471 1 124 5467 1 9535 200 13 15314 2354 2 11739 3706 2 3893 6120 1 10382 5018 13 4283 3203 11 17678 2881 1 12917 5837 1 135 6199 1 20219 2683 1 20191 5286 1 7463 4518 1 7541 1184 2 296 1464 1 13732 207 2 564 5826 2 17121 1557 16 7838 710 1 6724 799 1 14447 702 1 17171 2131 1 19512 214 1 16625 501 1 13427 1195 1 12656 3947 2 7235 5255 1 9511 425 1 4451 28 1 19030 63 1 9235 3572 7 10988 4308 1 2562 3275 1 11647 207 2 8080 253 1 9670 1184 9 3375 2123 4 19802 910 2 1551 1183 2 8332 7639 1 2676 1781 1 11654 3775 2 4280 3229 3 8665 274 1 12553 3511 1 5637 1784 2 13706 1742 1 3175 5730 1 7095 2896 1 9284 5349 2 5459 4448 18 7188 1814 1 17432 8183 5 7571 1464 1 13114 5992 1 17014 4000 1 20238 2691 27 7006 253 12 2240 4792 1 3283 8183 8 2925 864 1 10452 665 1 5738 3045 4 16090 3234 2 171 7689 1 16158 251 1 12097 1719 3 15272 8194 2 4054 7415 1 8752 2671 65 7612 3590 18 6213 1282 2 14497 514 1 6545 1482 7 8594 6517 1 14093 5440 1 16561 861 3 482 4998 10 9973 3534 1 17381 8174 5 11367 7850 1 12176 532 3 6292 1195 2 7435 2561 1 2943 3905 1 4519 5531 1 19034 8043 1 8629 2106 1 3947 74 2 16857 2013 1 7994 316 1 18204 514 1 8978 3760 7 8197 1747 2 16110 1383 1 11136 1352 1 4265 1909 12 11996 411 1 6545 6414 6 2377 1686 1 13002 7313 1 2646 3639 1 1070 2698 2 7970 753 3 14065 5243 2 11883 2341 4 8540 6777 2 1198 1762 2 95 1882 1 1755 2151 1 11239 696 1 16981 3563 8 5815 2357 4 456 1814 2 19655 1903 4 12017 4490 3 8378 967 20 9055 5301 1 8394 2369 1 9865 229 1 19972 419 1 14143 3621 1 17454 6053 4 812 223 1 5413 6701 11 11402 223 2 3857 4960 1 1711 4504 1 11331 1606 3 10553 6074 2 11277 3888 1 15047 2675 8 7646 792 1 11050 2571 1 16987 203 2 18576 4268 1 15193 2205 5 15352 2964 1 26 1573 1 1773 1748 3 9551 2560 1 19664 1721 1 20072 1244 1 6830 1399 1 19222 883 9 16630 449 1 18667 1249 1 11008 5950 2 9224 721 1 8549 215 2 15011 327 1 6622 7621 1 19184 2254 1 18089 2555 1 4417 496 1 4165 96 1 2213 7524 1 8001 3760 1 4249 3648 5 12996 2318 2 1083 1748 1 16675 5774 1 14565 1898 1 15551 219 1 8264 3884 3 12427 1244 1 2901 76 1 14471 4949 2 10604 263 3 723 366 3 8708 7859 1 12821 244 1 15736 2056 1 9726 3588 2 13739 5299 1 13596 2987 1 11155 2728 18 7861 23 17 2739 5005 1 18821 5325 4 17244 890 1 13017 5945 21 12491 517 3 14782 3429 1 15629 877 1 1104 3909 34 18692 2555 1 9256 1356 2 15513 2268 2 15429 7986 1 6946 6106 1 850 519 11 4023 4827 1 14162 335 1 6752 848 1 8677 2240 1 19193 1283 1 592 4680 1 2391 2520 1 3924 6949 1 4492 6207 2 9322 6568 1 15383 349 11 727 5461 7 1562 244 1 12994 4798 12 12685 422 1 16151 184 1 15870 7857 3 13536 3992 9 16176 7244 2 16327 1237 1 5269 769 1 11765 1284 7 8339 4992 1 4077 7465 1 11131 68 1 9374 1758 2 610 1252 1 7823 127 3 14929 2656 5 8528 173 3 3106 214 4 18475 930 1 5581 2883 1 14894 1395 6 18258 1630 15 6688 519 1 11218 1333 10 3712 1769 2 1145 2675 2 11358 2836 1 10994 6066 1 7790 2415 1 9765 222 3 3344 3953 1 12619 3058 3 11044 3820 3 16557 5011 1 19358 3666 6 1914 3230 6 3258 222 1 3551 1247 1 16739 1721 4 1672 3511 2 19101 1704 1 4386 7719 38 19241 1911 5 3726 207 1 10290 510 1 7041 2534 3 4721 193 1 17726 708 1 12219 3958 1 4236 386 1 7527 219 1 9052 236 1 17843 2958 2 8291 937 1 18452 7101 2 19524 425 1 8161 6213 1 11766 7229 1 16021 1952 2 18940 1743 1 5185 201 1 3507 3167 1 15486 534 24 2397 1245 1 8198 8117 1 15398 316 1 12433 3719 1 17220 864 1 3025 1768 1 7800 205 2 4810 1369 1 7187 6340 6 7545 3164 1 4452 5322 1 9432 648 2 12725 3570 2 15397 223 2 3337 822 2 17418 221 4 19229 2521 1 9661 5402 1 30 1691 1 12208 7531 1 2960 7234 1 14341 6944 1 7182 6862 1 14382 5021 4 7149 2268 3 11952 1369 6 19112 1732 3 4188 4385 1 2344 1246 1 9178 1450 26 4500 963 3 12817 4458 1 16431 7517 3 17181 2268 1 11265 3621 1 18149 7229 3 18703 6897 3 121 782 1 15159 1768 2 16602 1695 3 6762 200 5 17305 4498 1 18548 3233 8 13733 2542 2 7054 3748 1 11360 935 1 7995 4988 1 16099 1776 1 19691 1073 2 7147 7643 3 8915 1147 1 2828 509 16 17257 269 1 18968 3283 2 14624 3899 1 9027 2698 1 19401 518 2 4810 3697 17 1623 3873 1 4843 766 1 9911 6640 1 9375 1755 1 9216 1241 2 19026 232 1 1355 5083 1 8571 6677 3 17525 495 2 11697 1967 11 124 5438 1 14305 626 2 8581 1745 12 17944 5523 3 124 5472 1 16569 4156 23 10579 2501 1 17999 223 2 18391 1374 5 7285 1714 1 16836 4954 2 13049 1495 5 12128 3813 1 7783 6341 1 9989 3621 1 14823 1794 1 10772 630 1 2982 4949 2 4056 5264 1 12550 1781 4 7268 2097 6 10245 3487 5 11837 2317 1 62 2953 1 6444 2565 1 443 3453 1 18818 232 1 11775 7739 1 2641 2380 1 12933 207 5 18331 500 1 15599 8083 3 3516 6826 1 5692 8022 5 4880 592 1 17112 1593 2 21 1395 1 16557 1498 2 6647 2075 3 812 4635 1 4963 766 1 4121 8250 1 11964 2241 1 20066 6532 1 3406 6642 2 14145 2528 3 276 947 3 561 2831 5 9455 3575 2 6752 953 1 1053 141 5 5596 1740 2 373 1698 1 4382 526 2 4060 7576 1 349 810 19 737 7570 5 9296 5002 1 14243 3525 3 14758 6288 2 1265 2109 1 2418 1699 1 5860 4622 2 6588 3261 1 10692 917 2 5207 696 1 1558 7021 6 62 2910 1 10309 1568 1 5385 2795 1 8179 1548 6 6343 3570 1 13574 227 1 15570 3074 1 1465 1814 1 13466 7222 6 8192 502 2 19660 1007 17 1638 227 1 9511 2641 1 12988 466 1 13709 6334 1 3520 2261 1 18948 2541 1 17121 4363 2 14773 1761 6 14474 7411 3 6975 1416 1 18875 2368 1 12037 692 1 8129 674 1 12406 2356 1 10693 3190 2 12704 3511 2 17169 222 1 7607 23 1 16338 2626 1 14964 5255 2 14897 2646 2 18276 745 12 1382 1395 6 17886 617 1 10740 232 1 9187 2352 1 17416 4172 1 8532 863 2 2319 247 3 19069 3898 2 11365 2216 2 12357 3236 8 20262 3230 2 2293 2341 3 7486 8102 6 12052 4986 1 1029 1395 2 17909 6150 1 16884 1868 1 1801 5673 8 17303 895 1 4898 221 2 14993 1390 5 3663 2003 1 6796 6446 1 7273 541 1 5918 596 1 7264 1707 1 8242 7902 1 10730 225 5 19568 1825 1 11344 6058 3 10225 5296 6 17304 5043 1 6607 2259 1 18518 411 7 20105 201 1 3089 3998 1 5476 1304 1 9864 401 1 6332 573 3 6742 6610 12 5447 3408 11 7241 1236 4 16130 2443 10 74 3421 1 16090 4567 2 2333 6705 4 11775 1670 2 3390 4945 3 18170 5105 60 4459 7705 1 4298 1907 11 6260 1104 2 15712 303 2 5428 3707 6 9331 3619 1 13490 2869 1 10973 442 1 3240 541 3 7625 1717 9 20090 2012 1 10676 2743 1 108 4511 1 8895 234 2 20256 824 1 15485 1734 1 8934 4588 1 4935 5919 4 3871 470 6 13865 173 1 19217 5051 1 15091 1908 2 17291 2341 15 10693 3145 4 6175 3088 1 17937 3531 1 17960 541 1 2706 334 11 15916 505 1 16941 1421 1 11579 6897 1 1839 233 2 873 1643 1 16163 46 1 6357 1661 1 12406 2662 1 15791 3595 1 13430 6561 5 3536 4773 2 107 4801 1 2194 916 4 11177 1965 5 17917 7788 2 14908 2093 1 17738 318 2 18196 2478 2 5207 310 1 5301 1965 1 13402 6075 1 7571 1245 2 5755 903 6 9117 8191 1 14780 506 1 14254 3452 2 12336 3485 1 15414 4612 3 10813 207 3 8129 714 6 12612 11 1 15394 2698 15 2418 2461 3 5078 1825 2 12245 1748 1 15432 3698 1 11675 6434 5 5877 4811 12 1500 2541 1 5246 7719 4 19822 1788 1 15211 214 1 6509 8002 1 11131 104 1 10179 2686 6 4828 523 3 6091 1737 17 4268 4902 1 4039 4105 1 10119 3578 1 4147 5517 7 19619 207 1 11956 501 2 32 1808 1 54 2600 1 4688 732 1 2488 867 6 8613 7142 3 3085 156 1 9733 1779 5 9393 941 5 15356 3540 1 1584 4221 2 10274 207 90 19444 221 1 18159 219 2 11678 5251 2 5185 4587 4 14668 5495 1 11626 235 1 4265 1898 1 10283 1464 2 337 190 3 14993 3408 1 2969 3221 1 11230 905 2 15472 23 1 18132 3423 1 14312 7036 1 679 2072 6 2675 1965 1 11388 4173 5 19663 46 1 9310 3884 5 9337 5253 1 3934 518 4 19731 505 1 2404 1296 31 15327 2541 4 16090 6026 1 18116 3671 6 9247 219 1 7203 1131 2 15318 215 1 4538 534 6 19582 7621 27 5100 201 3 18754 3842 4 12501 1755 1 9606 520 1 15761 7198 4 18232 1818 15 16517 6031 2 5738 1104 8 4960 3313 2 1330 3760 1 7164 1776 1 4013 5135 1 15149 5513 1 8481 206 4 207 660 3 18079 205 2 14805 5484 2 9776 8065 1 12037 690 2 7045 533 1 188 214 6 10948 1072 1 525 849 1 19802 4314 1 4044 6434 9 4954 5135 1 19635 1244 12 10780 7586 1 3010 5513 1 1443 1244 1 15861 1751 1 3759 3262 1 994 5511 23 7691 7418 1 10684 221 4 13579 5255 2 8869 5271 1 18548 3760 1 1606 258 1 11250 223 3 3644 2588 1 18245 1775 9 12067 148 1 1740 214 1 5807 1747 1 16714 2415 1 19649 4623 2 10907 7425 1 18082 530 3 17651 1244 1 3459 2384 42 7702 7724 1 10916 395 1 7527 7182 1 3011 4603 1 19079 4785 1 17283 1757 2 8597 1105 17 2345 4333 1 7610 548 1 7796 48 1 286 531 2 13568 1724 1 7721 1728 1 7039 2671 10 9624 5162 4 289 201 1 3734 4685 5 7340 2478 1 19837 7125 1 1542 8175 10 9416 1416 1 1466 222 7 3081 944 2 16805 4623 3 13152 5975 1 13351 220 1 10390 3669 12 12757 7350 1 11490 2352 2 12573 1244 4 13234 401 1 17220 756 1 14818 411 5 18754 642 6 1779 1996 5 31 1741 1 18263 5430 1 10078 7594 2 5401 843 1 11357 1779 1 5172 7593 1 7147 1757 4 17500 342 4 3521 108 1 7184 2686 1 4966 2056 5 7088 6407 1 394 421 2 11845 1613 1 19732 1244 3 6781 3135 6 11581 3452 1 10404 1691 3 17630 60 1 14554 1751 1 12692 995 3 12620 244 1 982 3511 13 14512 953 1 4817 3672 8 19828 1063 1 15018 1670 1 6091 3212 2 13751 200 1 18313 215 11 1551 221 2 14583 3423 1 16792 6607 1 12312 219 7 372 200 15 4164 3643 1 14561 4096 1 152 6857 1 160 7338 1 11849 627 2 15119 525 30 3130 6520 1 12380 1814 9 5506 2730 1 5431 7178 1 5959 1752 1 280 5763 2 15398 736 1 13015 1529 2 15230 501 1 15662 7206 25 9581 6705 35 2691 237 2 7640 4653 6 10043 443 1 5688 1698 1 19227 5507 1 9432 7792 1 8686 4323 1 11678 2114 1 16345 6534 1 10297 1784 1 307 2488 1 14507 4454 8 982 2875 1 10010 1649 11 6732 3356 1 11260 1147 1 559 3573 1 16778 4204 1 670 5468 1 12116 3161 2 16434 4427 8 4051 213 2 633 1824 4 1146 4967 1 493 4343 1 18809 514 1 5703 1784 11 6750 3224 2 17451 200 1 13171 436 1 8198 1276 1 13916 4182 3 1831 6139 5 11269 207 11 13353 2488 1 12521 894 1 781 6334 2 15485 215 1 14307 1689 1 17623 5574 2 6314 4307 2 13683 236 1 3855 891 2 16238 173 2 1713 1762 2 12009 1184 1 6712 926 1 17365 3511 5 18614 7181 1 19090 6270 1 11192 752 1 9150 4123 1 8340 2021 4 7309 6632 1 1746 386 1 13185 1718 1 5671 3899 5 6158 5565 4 6403 1366 1 174 7998 1 17440 829 1 19872 1757 1 6997 2415 1 12176 334 1 18004 1781 2 8532 1752 1 9455 3911 2 2389 1751 3 2777 5018 3 3411 2378 1 4298 1474 3 16736 2797 18 6589 5704 1 12304 1146 1 5287 2128 2 13383 1738 1 6332 767 2 16185 94 1 17889 2897 1 16920 2027 15 4681 8203 5 6840 915 1 1171 501 1 16259 6692 1 15742 749 1 2990 4460 4 11593 7519 3 6907 3219 1 6593 215 1 4267 2250 1 674 3602 1 7396 196 1 593 232 1 15471 912 1 3965 1335 1 17525 2261 1 6252 1703 3 1926 1290 2 672 2797 2 11241 2675 49 4446 2089 26 756 1234 1 15771 411 1 2413 3184 3 3329 7215 2 15622 2237 9 9144 2179 2 11929 2675 5 4804 3747 1 7799 4132 1 13619 1154 1 14599 600 2 7943 206 1 16808 1828 5 16232 2618 1 15288 7583 1 1289 6441 4 4094 2501 1 8439 1755 1 2251 2444 1 2404 6321 1 640 1768 1 13586 7256 4 9868 379 1 17273 4951 1 10679 233 1 10016 3421 2 4057 879 1 16774 2678 1 4050 1722 1 2818 1757 8 15903 6677 1 12443 6477 1 1602 1727 3 2362 1768 2 2357 4890 1 11611 6192 1 10452 916 1 12175 3895 4 12676 507 3 11170 6486 1 16686 1877 2 13638 1662 1 3762 1825 1 11363 8139 1 16016 1357 1 18666 1245 1 163 6602 3 7221 4603 2 1970 1342 2 6979 520 6 11451 4559 1 6039 6900 1 8683 4567 1 3826 569 1 4257 4621 1 2149 221 2 2262 3817 2 433 2836 6 8580 3979 8 554 8184 1 13501 7521 1 7173 1245 1 10771 200 1 7653 7101 1 7312 3180 8 7692 5546 3 16009 156 60 4705 4623 1 4489 1384 4 10410 4607 1 5637 215 1 14748 4085 1 19789 5245 2 5740 335 1 17 1136 1 5358 3581 1 10055 3477 11 13513 6644 11 15760 2385 1 19135 5818 1 9310 1775 3 2734 6210 1 3826 804 1 19486 3592 6 18197 7231 1 3535 4435 101 18589 4992 11 19996 864 1 18098 6142 6 18461 5938 1 8982 1251 2 12412 4456 2 9178 2767 2 4409 1982 12 5158 186 1 11886 2860 2 3871 6178 2 5454 883 9 2698 6341 1 11984 6206 1 14773 1241 1 2898 533 18 2931 4792 1 5908 193 6 10669 3733 1 3145 1247 1 7020 215 1 1321 415 3 19160 269 2 19822 3954 2 11354 1428 3 9252 440 1 13825 7237 2 13238 3323 1 9741 1021 1 14900 1356 3 10852 344 7 18533 162 1 3750 6545 3 11919 6382 1 9150 4458 2 1211 8190 1 11935 8141 5 16571 3619 1 6697 214 1 4767 4266 1 19864 1743 1 16845 533 5 9520 1312 1 7387 6106 2 14028 232 1 9770 200 4 6183 292 1 10004 4451 1 11149 2027 1 5335 6901 4 11212 1105 1 17736 918 2 13183 3770 2 12731 6355 1 13699 4996 1 10313 6213 1 3309 23 1 8340 2351 4 2834 1768 2 4555 3423 1 5117 933 1 11243 4006 5 40 2136 1 10277 3412 6 3048 764 1 5069 524 1 18689 15 6 9152 1250 3 12032 6481 7 3792 3168 1 5243 1756 11 13 932 1 6721 232 1 6363 4093 1 12231 214 3 5145 6754 1 5281 1237 3 726 1706 1 17910 3483 1 1764 7414 1 6070 8183 1 1964 6346 1 5847 219 6 2123 1468 1 11384 4937 1 17130 233 2 8490 215 1 812 5573 1 2738 4665 1 4524 244 1 791 8057 1 1977 7976 2 73 3389 5 1435 3694 1 20231 7850 1 12837 6541 1 12991 2878 7 13954 1613 1 2546 6252 1 18404 3869 2 7181 6159 5 5494 187 1 10217 6510 1 16982 2295 1 13905 4013 1 12685 436 1 15905 2268 2 5455 6705 1 7111 1342 3 5744 1593 1 6642 47 1 14758 6925 1 16548 4325 3 8031 234 1 2647 524 1 19220 1244 2 13751 1819 1 8915 524 1 18910 1962 1 10071 3464 2 17662 206 7 4489 1566 2 4876 3446 1 9139 7138 10 15885 235 2 15247 190 5 19490 1334 2 18634 707 1 7523 6510 1 13538 1105 1 10313 200 5 12988 4014 1 15759 1250 8 4519 452 1 1551 1780 1 8153 6252 25 2992 2581 1 12440 5730 2 6058 23 9 635 496 1 5784 3306 3 14617 3129 1 9180 4411 1 19720 3909 1 10245 3257 29 12523 910 7 1191 3057 7 130 5967 1 9322 8167 5 3739 6342 5 10800 5324 5 11600 3682 1 9755 6868 4 14775 496 4 7099 3532 1 10251 1331 1 821 5385 1 4259 214 1 7115 4132 1 7039 514 4 12541 1727 1 2800 2747 1 9195 3263 1 14790 6178 1 9025 1721 1 7750 1745 1 8435 804 1 14899 6192 3 2748 6621 3 15025 6945 6 13035 1716 3 17142 2557 4 13520 201 6 4267 6039 1 16122 1287 6 18771 2356 5 6357 1256 5 18516 1928 1 16828 7201 10 2629 1721 1 6997 4540 2 4189 228 1 200 1772 1 7795 1783 2 314 201 2 4898 6688 5 5361 2675 1 7597 4312 1 6420 4315 10 3972 6200 1 13774 225 1 10555 3510 1 2234 1760 3 3310 148 10 16150 4009 1 14742 3442 1 6658 1432 3 3249 244 1 14458 4905 1 12 520 6 13361 1819 1 2198 519 1 5785 6341 3 18260 2645 2 13126 5375 1 6587 1395 1 3705 1328 1 5007 3425 2 16397 709 1 15317 520 1 17406 6150 1 12572 6107 2 20180 3494 5 9783 379 1 15713 14 1 15561 829 1 3007 2737 1 18289 230 10 16427 223 2 4320 1312 1 4831 750 1 9386 1245 1 11932 506 1 1265 3699 1 7847 1252 1 4115 3679 2 3739 4796 4 14059 4203 2 143 6542 3 314 519 2 10674 173 1 1139 5391 1 7528 5420 1 19069 4622 1 124 4240 1 160 7327 3 19171 2260 1 3432 5809 1 16432 1734 1 153 7065 1 227 3747 1 1345 6556 2 11223 3129 1 6342 225 1 4779 5482 1 12075 457 5 15874 447 1 11072 206 5 16428 5086 1 1787 1537 1 6561 413 2 5352 4987 1 14824 3204 11 17019 5758 1 3544 5257 1 7643 5115 2 4200 2633 1 6348 881 1 15596 3253 2 3134 1698 1 17368 4501 1 1521 2118 1 18381 74 8 12970 409 7 8946 935 1 4946 201 1 8833 929 1 9989 5036 1 16862 2155 1 9759 203 18 10443 4830 1 12795 1105 1 17314 1724 3 1361 6791 2 121 751 1 17818 1342 28 2704 3833 1 572 3997 1 13182 196 6 5977 876 1 849 353 1 109 4956 1 7361 6519 4 19886 4409 5 16570 374 1 17084 1146 1 3846 7212 1 12187 6260 2 14847 1739 1 18792 4226 1 19632 7477 1 16842 7925 3 2086 1827 8 17819 1482 1 1861 1756 4 9849 2151 1 16185 814 1 11296 2635 1 11002 863 1 1130 1507 5 10065 5686 1 13350 701 1 143 6573 6 13815 1734 28 19752 526 1 893 495 2 15693 2633 2 11554 1730 1 13110 6080 2 2961 200 4 13602 3747 3 9759 1237 2 3921 1732 2 9891 541 1 2094 5036 8 8439 2109 1 10386 148 1 16364 1354 1 15917 792 1 12619 498 1 2834 4511 2 9893 1990 1 999 2555 1 7943 1474 6 2787 2512 2 18760 2691 2 15634 2263 2 5250 1243 3 10743 4590 9 3057 6661 1 6776 1719 4 2158 4363 20 5712 7976 2 18286 759 1 4429 237 1 13 597 6 6107 1473 10 16096 1632 1 14811 7120 1 2985 873 1 2442 1779 4 12054 7050 1 12159 1814 3 8831 1756 1 6283 1695 2 2020 4516 2 7445 2485 1 3091 2675 1 13547 223 1 18042 7245 1 15944 2248 4 9279 2626 2 18926 7485 1 13993 7937 4 65 3191 17 17736 745 1 15706 5767 1 3589 2718 1 10000 409 1 9279 1244 1 17372 394 1 10245 7512 3 10848 2657 5 9773 597 5 4767 1739 4 2814 3906 2 153 365 1 13765 2443 2 6942 1766 4 5951 4249 3 5950 888 1 18182 1712 8 16484 171 1 16016 5322 2 1356 8141 2 8003 2670 2 4052 1789 1 5993 221 3 13524 1819 1 8893 1718 2 5596 1374 1 19052 489 1 13279 7754 1 5049 5792 1 1445 205 3 82 200 6 12042 7237 4 18534 1304 1 11478 23 6 10886 2675 1 18460 3059 6 124 4383 2 12049 2646 6 3815 505 2 10 344 1 4813 2573 4 4757 4312 1 5675 6276 3 14805 1745 2 1551 6204 1 10101 336 10 18158 496 1 20145 1242 2 9402 6118 11 16259 10 3 2810 1307 10 2683 2366 1 8952 5336 1 15185 1990 2 18885 5425 1 8051 2737 2 7625 8217 8 6686 5943 1 8090 222 8 19009 870 1 11709 201 1 9288 3904 8 10837 2804 3 16192 1819 3 16395 6031 1 3763 1363 1 1065 4029 2 17083 6440 4 4590 531 1 5858 2980 1 3017 3869 1 18015 3113 2 1160 7401 1 2885 229 1 12462 7309 6 18402 6225 10 992 187 1 3564 786 5 108 4889 1 2886 929 1 13829 863 1 12279 4312 1 8448 3701 1 279 520 1 1344 1342 1 13 628 1 9840 2633 1 14837 1752 5 5361 23 5 12614 229 2 9767 258 9 16536 4075 1 9638 4929 4 5454 4351 10 14682 164 8 18637 190 6 18518 3836 2 17079 5897 1 17329 220 2 1834 229 1 3796 3230 2 16682 207 1 14332 1737 4 8961 231 1 2225 4411 1 12757 4981 1 18755 4967 2 19543 1450 1 4757 3425 14 5800 1846 3 7607 6533 1 9969 74 2 10730 6200 5 17066 363 1 2648 4992 8 3197 7222 19 19574 3921 1 12951 1732 3 803 6441 1 14896 1146 2 3503 4528 2 4158 190 2 20111 2360 1 5657 532 6 14897 6677 1 557 1190 1 11875 244 5 8124 4661 1 2388 3213 1 658 2261 2 16599 496 1 9469 6334 1 10530 1278 1 857 4462 1 17057 7011 1 9875 1342 5 19845 164 1 10499 7583 1 8269 808 1 7397 2488 1 6161 5478 4 2819 184 1 8087 3411 1 19868 3518 1 18828 6534 1 4339 1296 1 19489 6065 1 4355 196 1 11842 2317 1 3432 3729 1 3293 6711 1 5949 601 1 14522 6192 2 12075 2831 2 13219 1705 8 4095 207 5 3002 7098 2 565 5517 1 14035 1721 1 7135 1357 1 1861 6697 2 11956 190 2 9079 2343 3 3295 215 1 259 2265 21 3426 512 5 18250 3596 5 9287 6204 6 12726 3973 1 9531 244 1 16378 303 2 1642 470 5 1037 5550 1 9341 1280 5 99 4452 1 12961 1755 1 4880 2497 1 9919 954 1 2582 206 1 19579 196 1 12078 5350 12 1898 3468 5 3274 1862 1 10604 2145 1 9749 8064 3 2797 3879 4 8735 173 5 1951 2969 1 1071 3164 5 5911 5981 1 1847 1802 1 15819 532 1 14617 1721 1 3683 1745 4 16238 221 3 5532 6086 2 4253 1757 4 17035 184 1 15140 1548 3 9224 553 1 16189 5219 1 13711 3592 8 4615 3081 1 3173 1350 7 1128 184 1 522 205 1 9007 3191 2 16504 1519 1 9321 5077 2 14553 3045 1 9157 1789 1 1604 2671 6 18909 6434 1 6224 3113 1 3187 1726 1 812 225 1 18387 751 1 19371 3632 48 2810 7717 2 19336 1331 4 10966 5466 1 17168 4391 1 6800 7714 2 9188 604 2 3703 1252 3 10361 545 1 18667 201 1 13590 4571 2 12007 1249 1 11964 1482 1 3817 6675 2 10875 1638 1 18508 793 1 20 1333 2 2797 1781 15 9773 1726 1 20229 3072 1 7179 785 2 4512 165 3 8872 3147 10 3982 2132 1 8597 3442 1 3313 8190 1 5626 2969 1 12104 379 4 1003 6192 2 594 7401 2 714 1112 1 2440 5130 1 15211 6993 4 4023 471 1 19356 1613 2 889 707 1 14372 514 1 18607 1804 1 16958 4681 2 4716 512 1 340 2129 2 98 4412 2 18499 3191 1 1919 4006 1 6420 382 1 9283 5018 5 6457 512 2 16827 1705 2 18876 3401 1 923 947 1 14612 3156 1 1949 200 50 14700 274 2 1831 412 1 8614 3888 3 13721 2357 1 16439 6705 6 2237 5586 1 8835 506 12 19057 271 1 15791 4827 2 17261 3570 1 1683 7887 1 19026 3641 1 14247 1449 1 11273 4333 1 5205 477 1 11852 417 2 179 8187 10 442 6036 1 14696 470 1 3196 506 1 17250 7275 1 14599 553 1 16057 3378 1 14079 2480 2 5909 7486 1 14193 8137 11 4343 5294 4 16267 3460 5 17088 6178 4 6091 4363 1 13737 1277 2 14035 3020 1 2811 4296 2 2480 3625 2 9573 244 2 6032 5251 4 16881 2678 2 3335 8181 1 12119 1752 1 14722 1991 2 4956 638 4 9281 5855 3 12954 2357 1 992 2686 1 14908 470 35 18413 6013 2 6089 4010 7 4350 1742 1 9091 3156 4 19345 2728 1 18846 657 1 5674 3203 1 6236 347 1 42 2194 2 1705 926 2 15329 730 1 19957 845 7 16840 7379 5 39 2053 1 14457 6241 3 2474 1881 2 19735 4538 1 18183 1698 1 17124 4351 1 10587 2990 1 16881 1756 1 6655 6106 1 5668 1396 2 1579 952 4 16693 8173 1 18133 200 2 16777 625 4 4773 1312 1 6127 6839 1 9894 4573 1 1546 4435 1 475 5301 1 11619 203 6 2566 344 2 3236 374 1 12592 1740 2 5588 7235 2 7060 5036 2 13706 501 2 16160 7958 3 4547 1703 1 3580 1246 1 14227 2363 1 106 4745 3 19034 225 6 12991 23 5 16355 888 1 6655 164 4 2970 2653 1 3169 23 1 14906 2675 5 6855 4464 1 5040 7244 1 18296 1518 1 6749 7066 2 4376 1819 1 11175 6701 8 4492 1779 1 11275 1717 1 312 203 3 17825 1061 13 5763 23 28 10892 5291 2 7566 2352 6 14678 1239 1 16219 6192 1 18854 6663 2 1551 1416 4 7790 1580 3 17384 230 5 124 499 1 94 4201 13 1087 1643 1 11935 612 1 4874 8013 5 5445 1785 1 14344 5538 1 11786 2841 4 14790 7342 7 6640 1907 1 5340 7308 1 3464 6054 10 3686 7735 1 2546 5708 1 979 3276 2 14822 2661 1 17569 496 6 1641 1825 1 19219 2056 18 13813 6567 1 3877 1775 4 15405 2508 1 6360 7474 2 124 2869 1 2044 1758 3 19428 84 4 1623 817 1 13490 2499 1 15883 361 1 12534 2141 2 17203 8082 1 16156 1235 1 9701 6473 1 9028 3889 6 7934 7602 2 17228 4026 3 10192 2922 8 4130 6152 3 15515 207 8 12241 3256 1 6913 2027 4 6808 3421 1 12933 1734 1 13895 1752 1 11341 6567 3 7362 1705 1 18021 2675 5 7312 1721 7 6256 6343 8 17242 1740 5 450 3497 1 8211 1686 3 1585 3167 3 13886 5730 3 5739 95 1 14583 26 1 10852 6945 2 9935 5398 3 16087 7414 1 17008 2552 2 15752 6873 1 11818 7210 6 15970 4591 5 19833 454 1 19434 1334 1 14108 23 1 3668 4120 1 11493 7586 1 18 1247 2 11368 292 2 7750 1235 1 15618 2714 2 1906 516 1 2045 1734 1 4884 1783 3 1275 8041 2 13267 2881 43 18871 5425 5 13 703 1 3571 6713 32 5197 7401 1 8709 2821 1 1839 1743 29 15576 3433 1 2801 7807 1 15157 2360 2 19293 206 3 5200 4146 1 1581 7231 3 18675 6334 1 17803 1328 2 5245 1775 11 18276 3163 27 8842 2138 1 11216 2555 2 9099 502 1 1025 3522 25 9973 2369 2 1551 1252 1 16834 4266 1 7610 707 1 745 6252 3 18637 1827 1 19069 3171 1 10362 7612 1 10692 676 1 13605 8127 1 5597 3970 1 3038 7213 1 3004 4025 1 8676 6346 3 149 6733 9 16208 1965 1 3307 6692 1 19731 1813 1 7597 521 3 2962 381 1 5261 4189 1 11573 203 54 15828 647 8 19011 274 1 19472 198 1 10964 4343 5 4498 4404 7 10696 2424 1 16307 8184 4 6835 3411 1 279 507 1 4158 200 3 12900 2443 3 9319 103 2 18728 510 1 5977 743 1 4674 1072 5 5298 6368 1 2797 4818 4 19993 647 2 3048 718 1 9908 1762 1 1560 2404 1 4955 1751 1 4368 1972 16 17827 6213 1 10422 5270 5 1198 4615 6 18070 74 8 16611 1781 1 12753 1727 2 6740 339 1 8420 1023 17 6349 2586 3 4299 3511 13 2443 1245 1 11615 7538 2 6740 4291 5 9112 48 1 11786 7511 1 8991 858 3 14730 6937 1 2087 3748 3 7245 4543 1 11694 284 1 4493 1242 3 19342 4724 3 7718 229 6 17127 1727 1 18 1248 1 3243 952 4 8633 7701 1 17645 512 1 2477 4670 1 5496 944 1 1969 460 2 13 618 1 17700 5018 42 7578 1931 1 15075 1665 1 14558 1723 20 15429 5331 1 6545 196 2 18922 7210 5 10740 1686 3 14074 545 17 2320 5315 1 6867 1199 1 6329 3608 1 13126 379 1 15291 3446 1 8013 274 2 4332 3637 7 16895 222 2 3029 1713 3 2525 5600 6 14283 2769 1 15502 2786 1 15815 3005 1 19286 787 1 19826 4248 1 1265 5847 1 12680 1967 1 6244 201 10 2525 1537 1 10670 1728 4 10670 34 4 5862 1269 2 9773 796 2 3663 5327 1 2966 74 1 7780 6698 1 10267 7012 1 4688 912 2 19445 1707 1 822 402 3 16431 6140 2 11559 2817 1 20276 1944 1 3765 429 5 16980 4436 1 10360 1440 2 9536 976 3 12970 890 6 16057 7946 2 181 8236 1 7780 4435 2 15727 207 6 10403 6561 3 19331 536 1 2991 203 1 2419 4409 3 7089 3593 1 1742 1332 1 7184 233 1 2728 6633 3 12539 1720 1 2962 914 1 14993 409 1 11637 722 1 8599 1692 1 14892 1819 2 5656 1466 5 15635 839 1 400 223 5 11277 7104 1 18668 407 1 10839 6933 2 10650 6482 1 4223 532 2 10463 495 30 19193 3600 1 17956 6363 1 2680 4653 1 5373 2646 1 12524 3621 1 10206 1705 1 11050 5557 1 15094 657 1 73 629 2 1170 200 28 1593 197 10 4960 5607 10 16356 805 1 11687 1752 2 2428 2076 1 113 5101 1 16458 3671 1 17585 2476 1 2194 2963 2 9055 4552 1 2819 215 3 11086 201 1 15321 2678 1 5560 3615 1 4960 4988 2 1869 222 1 11194 1249 11 14505 1751 1 13195 188 46 15313 279 1 14055 6209 5 533 5156 1 3479 8194 1 4815 5672 4 745 220 7 1969 6482 6 927 8057 1 536 2708 1 4838 864 1 9566 1314 2 16826 4578 1 1565 6129 4 11882 2433 1 18534 4470 1 10398 523 3 3149 5566 1 11461 236 1 3701 4549 2 4485 1440 1 3189 1655 1 9433 1245 1 3044 957 3 2744 7583 5 20267 214 3 5540 910 1 5185 519 3 1770 203 15 152 6829 1 6754 3263 5 20191 823 2 2986 1564 1 14189 1990 3 9539 2542 1 7147 447 1 16123 534 3 5515 6058 1 13650 2239 1 10718 1768 1 18250 7446 1 10238 1804 1 9697 1252 9 3822 2008 1 5 154 1 455 6526 1 5145 207 3 17809 5234 1 7700 355 1 17003 1747 1 16253 184 1 12024 4579 1 821 491 1 15329 148 1 1401 235 1 14881 719 1 7270 514 1 4026 2428 1 13613 262 1 11678 3873 1 14758 2491 1 15056 870 8 12006 7222 1 19585 512 13 18798 196 1 12372 2277 3 12077 1757 5 16636 4252 1 8913 964 1 6314 571 4 19016 535 1 10028 1147 6 8973 2969 1 18582 11 2 5873 2885 7 153 6965 1 11559 4609 12 3064 207 5 6510 3592 28 18887 417 1 17014 3997 1 1071 1721 13 9263 1743 2 11354 4156 3 12619 6424 3 10730 2478 6 13628 3511 1 13383 184 1 19476 8153 1 6751 2355 3 7949 3389 1 9572 545 1 13628 229 1 1101 824 1 7451 23 2 13796 6375 1 6492 1244 1 17448 4487 1 1710 2675 2 17372 1732 2 8840 6669 1 17865 274 1 12782 1731 5 9733 1686 10 5863 7730 1 114 5142 1 10498 57 1 15364 4513 1 3241 219 1 18122 207 1 17711 365 1 10879 23 1 19316 2839 2 12817 3493 1 5258 4409 2 3830 659 1 4659 235 1 17678 11 2 17552 7883 7 18204 409 1 7301 1687 1 6793 203 1 9764 308 1 83 3715 1 12060 4836 2 5688 2356 1 3662 2541 2 3505 1238 1 14688 2793 2 19757 728 1 10821 95 2 90 4059 2 10031 4653 1 10584 505 3 8198 3418 2 19317 7238 1 3680 1168 3 3360 1508 2 14230 411 10 4795 504 1 6403 1277 1 17436 6106 1 12006 1927 1 5276 5058 1 10061 2297 1 14350 3747 4 12121 203 1 15054 5294 1 13373 367 1 3460 7597 1 2674 1987 1 3175 2489 2 6144 6544 2 18520 4012 4 13672 1151 1 11530 520 1 13462 2626 4 1142 944 11 17662 1731 1 6120 4085 1 3397 644 2 4257 5036 7 18880 3315 1 3117 3869 2 12765 202 1 18548 3705 1 5860 1737 1 873 502 3 6854 1724 6 15732 1184 13 10498 5883 1 10252 1664 2 16938 2363 1 12343 6091 1 15259 1727 4 10723 1949 2 5973 1454 5 19774 4107 1 320 2407 1 15271 3167 6 3050 200 5 69 3263 1 11687 2424 3 16299 6485 1 10972 8194 9 10218 8013 2 10717 8054 1 6071 4388 1 14097 3266 2 4305 1203 4 5050 883 30 9574 1717 13 17400 422 1 4389 891 1 1009 1147 1 17416 215 2 13694 7468 1 13080 206 6 54 2636 4 171 7683 1 8815 397 1 6595 502 1 19802 4299 1 13899 222 2 14317 1703 1 3687 870 1 14357 3338 39 10502 1658 1 885 3698 1 15025 6198 1 13110 509 11 8870 7411 3 4092 6488 1 7777 4751 1 6510 95 15 13839 6320 5 9167 575 1 4055 4547 1 11786 6580 2 17142 1731 1 11854 6068 1 8469 5414 1 9090 3007 3 787 244 1 11854 4387 1 8549 1722 1 1092 167 3 9111 206 15 6533 870 1 17954 4010 1 17505 4723 13 13238 6460 1 10135 3632 23 17066 2507 1 18844 291 1 7119 196 1 15712 1695 9 18887 1358 1 15686 1705 10 17208 7112 1 7273 537 1 10631 184 1 17886 1037 1 18939 1782 1 17769 6449 6 13743 1275 1 10549 506 5 7586 3077 1 19667 3050 1 4188 214 1 17491 1743 2 8001 1063 1 13384 2012 1 1866 3132 2 12614 2626 6 5673 2836 1 5124 1275 2 4358 1370 1 18033 3888 1 7851 1445 8 9029 4257 1 11898 3882 2 13891 871 3 16860 471 3 16925 823 1 13178 2930 1 8853 3220 2 19101 2419 1 12483 156 1 6907 1182 1 6058 390 19 19233 5715 1 12196 853 5 14650 1453 1 6332 602 2 11131 644 2 16719 5558 1 18232 3412 1 13329 2270 1 467 532 1 2509 646 1 17353 1705 1 3414 1996 1 1218 1406 1 380 5389 2 5116 3798 1 18548 223 1 7466 1903 4 13 709 7 15471 4201 1 16448 6457 1 1190 1974 4 11872 4297 5 9279 1781 1 8376 232 1 138 6292 2 6250 2737 1 11258 234 1 7392 1146 1 5701 3699 1 19586 4274 1 10692 1568 1 6059 5343 5 13046 1730 1 9525 526 1 13084 520 3 7295 1986 1 17883 4077 1 3581 1611 1 2990 3020 8 6145 5790 4 19870 3231 1 61 2756 2 16993 6207 1 17549 2649 1 10670 84 3 201 2560 5 4804 3570 1 13205 2240 2 9720 162 1 12279 2552 6 8709 1686 1 3239 6713 1 17911 2943 1 10916 3973 1 15206 4206 2 19932 203 1 10966 214 1 19030 2184 5 10219 6793 1 16222 2488 1 135 6253 3 16837 2671 2 1519 3081 7 13623 215 1 3700 1257 2 9470 4435 1 18015 2559 4 11687 206 8 19385 903 1 13721 1730 1 9659 3629 9 19331 215 5 9477 7360 2 11509 7427 1 808 467 2 1672 3230 15 1609 7091 1 7821 411 2 17296 868 1 6108 3924 3 16792 723 2 8740 1740 1 6369 223 1 14011 36 1 10396 1768 2 15307 761 1 7277 7182 1 9864 380 5 12344 4299 3 5207 589 1 4026 2444 2 7914 244 1 351 2955 5 20248 700 1 13000 7213 4 15394 201 4 10724 3652 1 8999 1826 1 6463 1021 2 2978 4999 1 8946 577 1 14284 821 1 19649 184 1 10973 4040 1 12064 191 6 6789 2481 8 10959 1296 1 19265 7184 1 8417 46 1 4691 3516 1 5745 1146 1 6482 6232 2 4883 5136 1 18096 512 1 152 6846 1 13354 4974 1 15022 4499 13 12376 201 2 7490 4615 4 2204 4673 1 15818 3228 1 1002 219 9 2886 4201 1 11270 5305 2 19671 1760 1 7179 606 1 13088 2552 2 15102 1712 1 4397 955 1 19585 1545 1 374 6065 2 14218 514 3 17611 206 1 4496 6957 1 6040 4086 1 15614 4367 1 729 3620 3 18613 743 1 14968 4793 1 10663 74 1 5140 502 2 18792 230 1 16943 2555 2 651 7560 1 3693 7337 1 11955 5252 4 2198 5558 1 6302 4276 1 10382 1021 1 14005 5052 1 13374 916 2 7868 1531 16 17331 1247 1 19389 495 7 7899 2953 2 53 2568 2 10132 361 1 11638 517 9 12530 73 1 15320 4345 1 12491 7586 2 14870 6216 1 174 8011 1 13337 207 4 6611 2353 1 6123 184 9 15354 1728 1 13872 1739 1 12979 7520 1 11522 1208 2 8250 6993 2 11218 6632 1 5613 505 2 80 3614 1 11629 2876 1 10000 7336 1 20 1358 1 12603 194 1 35 1857 1 17103 3287 1 8159 839 1 8020 5586 5 3768 3589 1 5244 3518 3 13097 227 1 13779 3794 5 2087 339 4 7884 6252 1 3358 612 1 151 6785 1 19530 3941 1 13997 4304 1 2087 295 1 19069 5356 1 10595 2354 2 11742 46 30 1745 2271 3 10499 1369 2 19654 379 1 18340 5420 5 15350 6164 1 17743 3639 1 15854 1356 2 10245 3970 1 17088 506 1 10916 767 1 14068 5513 1 975 1726 3 8268 4929 2 17952 2671 1 15055 1827 1 14234 3602 21 12267 2863 1 15982 2356 5 12647 2678 1 17436 687 2 9445 2662 1 15841 1190 1 15230 1244 19 16977 1295 2 2442 1742 2 6973 4245 2 3817 1681 1 16925 374 1 16270 785 1 13022 207 4 13195 3678 8 19649 2352 1 5898 4623 2 17734 203 15 17898 7230 1 12821 5436 1 10988 5253 1 10598 514 1 17494 883 5 13589 1667 3 10570 1752 2 9045 1428 1 15424 2675 5 11523 1719 2 1638 6599 1 18230 4992 3 19309 5008 3 14184 411 5 914 38 1 11631 4387 1 2803 2495 1 17700 200 67 1969 4557 1 11471 1771 2 2345 1907 4 18795 7146 1 17954 233 1 2035 1031 2 10262 1703 1 11867 196 3 15992 1253 24 13148 4251 1 15511 3230 8 16609 1713 3 7251 221 2 13309 8135 1 12299 1995 1 1133 7361 4 11844 201 12 91 2955 3 5617 383 1 4879 5341 2 16924 6861 1 15635 4740 1 18465 3012 1 19822 1824 1 12190 177 2 4061 378 1 12768 3853 1 7160 4257 2 13649 3590 1 7842 536 7 4268 2675 1 16314 201 3 12301 891 1 5645 1751 2 19149 806 1 3310 489 3 14517 397 1 5612 5257 1 7432 3515 7 737 7050 1 9376 3951 13 6221 5460 2 16643 838 5 9215 537 1 10385 4930 1 9508 5576 2 5934 3685 5 19680 4096 1 1556 1825 7 8298 510 1 3697 3081 2 8975 1742 13 16592 6973 1 8510 2670 14 11154 1792 3 9713 6237 2 16825 2777 3 11080 3233 1 2922 470 1 12431 4069 1 124 5440 1 18237 2363 3 16938 1804 1 5745 1184 2 10613 3180 1 8212 3231 1 14849 8251 1 8735 215 3 17236 1455 1 17311 1829 1 19544 6150 2 9535 6527 1 16857 2056 1 5617 1136 1 6509 6536 1 7933 3648 6 1685 3444 1 17549 2666 1 15849 1730 1 16938 1743 1 9886 2608 2 506 210 20 4451 637 1 19222 6129 1 19812 4563 3 643 35 3 5004 8013 2 7750 4435 6 3607 5971 1 2087 891 3 71 2428 1 12856 2528 27 9029 604 1 18371 1727 5 766 3694 1 4898 2363 1 11938 1535 5 18195 745 1 7699 517 4 19183 4105 5 18977 7750 2 6854 7352 2 83 3853 4 8532 2683 1 15265 196 2 8361 201 6 19759 3516 1 13032 5903 14 19720 520 1 3638 223 1 3343 1244 1 11382 6286 3 2879 6625 1 7776 524 1 11327 3228 12 4767 3981 1 8918 201 1 19038 7734 1 5482 2749 3 4851 200 1 4377 136 1 7076 3222 1 5172 7596 1 13526 2397 1 17730 6761 1 20019 1164 1 2902 1727 1 11821 8030 1 10247 1474 2 10957 223 1 524 6231 1 17574 1146 5 3351 1363 1 15968 2353 4 9317 3005 1 4326 2830 10 19648 634 5 45 2342 126 12262 7424 4 6269 3540 28 4382 1736 1 8419 3389 2 4767 196 12 11693 219 2 19210 1395 1 6332 491 2 6658 6579 5 6079 2673 1 9770 2675 3 11473 4944 6 13845 6430 1 6617 3824 1 14291 7227 1 9937 1898 1 10381 201 1 19871 2370 1 4745 1764 12 14377 6551 2 18149 495 3 754 3133 1 18286 1996 2 10862 303 1 16492 1895 1 7369 1448 1 8343 2260 2 2778 3287 3 11645 1736 4 14935 3511 2 5302 8203 2 1421 2729 1 18043 1395 1 4322 202 5 3689 4945 5 7473 201 5 1801 371 2 9733 7672 5 11933 3323 1 8006 1685 1 12972 233 5 9619 6705 5 13948 2653 2 5763 4723 5 14808 937 1 1381 2748 5 16895 1239 1 19952 3511 6 1191 2422 4 9310 1742 2 1130 4307 15 8457 8183 3 6113 4795 6 6228 841 2 12780 1781 1 15881 789 1 5116 2511 1 17519 7101 2 8105 1615 1 969 3135 1 16358 1814 1 10815 3906 1 6690 878 1 2205 2128 1 10376 880 2 5405 1828 1 5303 1198 1 8451 1388 2 12064 3911 8 8129 3493 19 14301 1035 1 3664 4345 1 20122 2815 2 8128 1150 2 10314 3421 1 3958 2853 1 13103 5108 3 6357 7507 1 15634 1849 5 14064 1975 2 7158 390 1 6320 23 1 7374 5758 3 113 5033 2 8863 1805 16 14805 5396 2 4832 3584 3 14416 4698 1 17491 2683 1 19681 1312 1 18193 4955 1 19217 7705 5 1706 1819 1 18706 225 1 47 2366 1 14756 215 1 3647 4300 1 14890 684 1 8991 505 4 13647 7427 3 2102 526 1 7182 5559 2 8439 23 3 14696 2534 3 19223 2662 1 2111 4623 1 1683 8104 1 11371 3060 16 7186 3519 1 6564 201 1 9865 4998 18 3020 3032 5 6946 6231 1 19300 1561 1 506 2569 1 11895 1417 1 13757 34 3 9806 1007 1 8323 2497 28 17046 1779 2 6611 94 1 14994 7949 1 8394 2519 1 5495 6122 1 3699 215 3 6640 7397 1 5624 2414 1 16083 222 1 13543 3807 1 15056 4580 3 16266 512 1 19649 2626 1 9375 4306 1 11387 2360 2 10553 442 18 6536 1453 2 6515 201 1 10832 6824 2 13574 269 1 6147 5564 1 88 4035 1 1469 523 1 8013 306 1 13589 1775 8 13350 6640 2 822 3029 1 14015 186 1 2329 3600 1 9815 5296 2 15648 2256 2 4572 526 2 10977 743 5 8674 6034 2 9310 1788 4 15468 5054 2 11900 3081 6 14471 7067 1 5669 5997 1 18665 364 2 8488 1748 13 745 1710 1 12977 7201 1 18986 7136 4 8620 221 5 1866 681 1 18546 84 3 9883 3399 1 10382 203 6 151 6158 1 6907 74 2 12903 7215 2 174 8036 1 9244 1819 2 13182 3233 1 12721 1658 1 10916 676 1 4207 252 1 9193 1762 3 1659 5798 1 10357 7422 53 14429 5009 1 3136 74 3 6420 696 2 6420 5276 2 12034 2362 2 19747 539 2 9660 855 1 13110 6754 2 18339 1535 1 13122 3013 1 17518 128 1 5294 7005 1 6250 4075 1 14181 5150 7 6564 532 1 2834 4531 2 10071 330 2 18230 1819 1 5176 2663 10 18357 1244 1 10846 5339 1 15426 4435 6 18568 4293 5 17120 2068 1 18113 4944 1 13 763 3 12140 184 9 5025 1482 1 5776 826 6 5352 108 1 1389 2712 3 20068 5798 1 4181 2353 2 11968 758 2 13183 814 8 15112 2969 5 6973 3685 1 1912 532 2 14232 6334 1 17104 8224 4 225 5288 3 12297 5618 1 11631 4662 1 7856 6141 1 5022 2595 6 9639 676 28 18340 792 6 16925 2132 1 3417 1362 1 5038 74 1 19905 745 3 8735 2256 2 15916 253 1 7245 2756 3 4037 2343 1 3109 2477 2 17431 1069 4 7708 4248 1 7673 4208 1 15782 1724 1 6355 1103 1 5617 477 1 10647 1990 12 8554 1657 2 16561 758 3 13681 3840 1 9110 6974 1 83 3768 2 19724 2013 1 7184 252 2 16636 1298 1 18634 843 1 15 1003 1 20146 1703 1 15712 1761 4 9054 840 3 174 7948 2 17738 234 2 11932 203 1 8969 4623 3 15318 225 1 10733 834 1 7952 7089 1 14080 638 1 2646 5571 1 17638 744 1 160 7348 1 10297 1357 1 12441 6059 3 18534 730 1 10165 671 2 334 1048 14 3571 470 1 4717 1770 1 7907 3625 3 15833 723 1 15192 2930 2 20191 608 1 6647 5157 1 17633 727 1 13492 207 8 14305 791 1 12777 622 6 4631 1781 4 9261 7271 1 14305 5333 12 160 7333 1 6478 1728 3 12901 1741 2 5188 7900 1 10695 3485 2 20186 7542 2 18846 2889 1 7999 3945 1 6180 2940 9 19000 855 1 2024 2383 1 4348 200 1 4867 5400 1 13323 1043 5 9985 4567 1 1857 676 1 13916 4129 1 7366 7216 1 20147 1342 1 5876 1747 1 20017 3824 1 4185 1593 3 3581 2632 1 10412 6768 1 15009 1350 4 8578 6231 2 1306 211 4 13432 7965 5 2985 666 3 7556 3511 3 12947 214 4 13 589 1 27 1621 1 1663 6541 5 4004 4435 1 5588 1284 2 9048 4019 1 15061 6053 14 7876 4107 12 19779 5685 1 14106 525 4 10385 6535 1 314 3590 2 17711 1454 1 12965 1769 1 5588 4998 2 3498 3558 2 3660 6168 1 10961 2271 5 12385 1460 2 2439 4261 2 12985 2013 1 13806 557 1 9429 498 1 15260 2257 1 4963 4397 1 6083 2745 1 1866 206 2 6496 6946 1 11430 156 2 593 1728 1 8680 206 1 7823 3891 16 12935 1719 2 7864 2671 2 1289 595 2 18792 723 1 12333 215 10 18197 1670 4 16570 2495 1 73 3366 2 86 3925 1 16012 484 1 2114 200 85 11757 2743 1 17293 1153 7 3269 1412 1 11694 745 7 3686 2673 1 6152 5448 1 2249 190 2 10156 5389 3 11789 4352 1 12819 23 2 479 8170 1 4337 5586 1 10105 7953 3 4644 745 13 19379 690 1 16994 223 6 16777 1703 1 2286 207 1 3309 762 1 19713 8199 3 17863 2297 11 8040 23 1 4868 1728 1 8525 2986 1 5744 1715 1 153 6916 1 9085 4513 1 4094 4404 1 1786 525 2 9527 3954 1 18968 2479 1 9315 1714 2 8074 501 5 13967 4815 6 5468 2488 2 17 1181 1 8983 2651 8 7707 6862 1 3807 4245 1 17127 638 2 6063 5091 3 488 5858 1 3907 777 1 4968 3600 1 10111 386 1 11271 1751 3 8754 7460 1 11415 1277 1 10599 7234 1 14632 6049 1 53 2552 1 11208 6595 1 7144 2555 5 6292 7117 1 13574 779 1 13534 1453 3 6145 7134 1 2805 196 3 4941 5691 5 6292 1034 2 3081 4103 5 8409 1583 1 13948 509 1 6341 6979 1 18728 2789 1 7288 220 1 13131 2338 4 15896 1717 1 9432 1129 1 12500 336 1 4663 684 1 9288 207 31 16700 869 2 19234 498 3 10254 1147 2 20262 496 2 13038 4619 1 2571 1700 7 12282 1324 1 1905 4501 3 12241 5284 1 11985 1250 2 18169 4274 1 18526 6152 1 6617 2014 1 6137 175 2 35 1912 1 4910 235 1 819 7615 1 20267 1781 3 12818 5341 4 8346 505 1 182 2265 1 3079 3742 5 7194 6135 1 14722 23 4 18610 4771 1 13117 7002 5 15272 3571 1 17127 156 5 19395 8096 1 11249 5514 1 13083 5523 3 7922 496 1 14837 1747 4 4716 1235 1 7327 7308 1 19331 6150 1 9743 7432 1 7958 7346 2 7328 5943 1 3695 682 1 10452 894 2 12680 2404 1 873 1245 3 17818 496 45 3739 1573 1 3973 839 1 18245 6047 3 11014 184 2 543 1985 1 442 3747 1 12432 518 2 14395 8131 2 19855 4590 1 16002 606 1 11882 8122 1 3004 1333 5 3963 4303 5 15493 745 5 15398 574 1 6926 2503 3 6744 4985 5 19655 1635 2 17867 3697 1 15974 4245 6 15439 1709 16 11861 6012 1 6555 35 2 7805 1717 1 12970 4314 3 4081 2260 1 19568 4403 2 18939 2675 1 14890 872 1 5195 1734 2 12322 1758 3 7353 2499 1 2939 790 1 20085 3693 1 2087 696 1 9017 66 6 11773 1257 1 7119 4954 2 13059 1707 1 11392 1982 1 6697 221 2 10221 3364 4 11556 5817 1 17781 1728 3 19993 3911 1 16372 4098 3 18734 4258 1 8608 1825 5 3558 2715 1 15570 5758 30 16184 603 1 15230 924 1 1999 2419 2 13057 215 1 19507 204 2 3090 3593 2 15075 6065 2 2840 6058 2 3376 206 2 19625 2555 1 5197 7419 2 15255 2792 1 18876 948 4 3641 2262 3 10808 215 4 4804 6091 1 18706 1342 1 370 1985 1 19812 4559 1 10228 1342 3 9913 196 4 14082 4623 1 19470 4375 5 8588 1772 2 19040 219 8 3877 2262 1 5872 2981 1 18561 6442 1 12268 735 1 126 5691 6 6228 590 1 14529 3163 1 17454 3549 1 17748 5223 1 19472 364 1 5326 1747 1 13910 8184 8 90 4047 1 2087 204 1 9281 5860 5 5431 5425 1 15411 6630 2 8013 304 1 20145 234 15 11091 1245 1 5977 227 1 19811 3427 2 3519 5575 2 8599 186 4 8326 244 3 10608 1718 5 1551 190 1 9660 3441 3 11005 1692 4 11769 2353 2 7725 1779 2 4092 4014 1 11559 1453 2 7032 6532 1 17104 8238 3 2197 411 13 17613 7013 1 10688 853 5 3808 4869 2 16055 223 2 8585 7601 7 3258 1243 2 15673 292 1 11058 1738 3 16900 7127 8 8242 1686 6 10961 2356 2 17548 571 1 11136 3510 1 1229 1199 1 13323 5275 5 6882 1814 1 19826 4501 1 1902 1734 1 13153 200 2 12322 229 4 19326 2239 1 13628 7610 1 8969 46 4 1839 153 5 3748 3775 1 2223 252 1 5515 2192 5 13655 1245 1 12796 1341 5 11898 7542 1 19747 6238 1 6740 6018 1 284 1990 1 5132 1305 1 18780 5583 7 1831 34 5 15518 6188 2 10661 4794 3 14130 3276 1 658 5350 1 41 2140 3 13405 1748 1 13965 4326 1 9879 4591 1 10554 377 1 2306 724 1 191 367 1 2459 4959 1 4858 6702 4 17656 2635 1 6144 2068 1 64 3089 7 15376 23 2 17658 523 1 6152 186 1 10416 4435 1 10429 743 14 18656 720 2 12261 6152 1 11158 1277 1 4663 801 1 18688 2968 3 2935 256 5 10856 1153 1 18709 1780 14 9245 4623 1 224 534 1 7173 1241 1 151 6767 1 124 3684 1 8532 1751 1 7492 6038 3 11999 5461 1 17174 838 1 5878 4266 1 3196 1243 2 8036 130 2 4960 2355 1 10205 5995 12 2048 1236 1 8104 562 1 6652 4996 2 745 1819 1 17616 959 2 10292 4345 1 13461 1728 3 13411 215 2 4529 1450 1 17939 206 1 14926 1208 2 15750 4845 1 5079 5896 1 20123 2898 1 314 10 1 16887 7750 27 11458 6252 1 6313 6544 4 3261 4517 1 15329 5724 1 8938 2354 9 15663 210 3 11131 5202 1 2778 814 1 8735 3315 4 861 953 1 9050 2793 4 17338 1395 1 7091 4439 5 15199 206 5 8751 3073 4 6305 88 10 3178 1237 1 9257 5086 2 2886 1597 2 9543 489 1 12184 6207 10 2917 8122 1 5952 6334 7 3698 6578 1 4977 6029 4 17597 4806 1 13170 2353 3 19470 2908 1 16140 3540 3 4242 7556 1 15943 6086 2 15648 225 7 8419 5162 1 2046 282 2 15184 7847 1 8865 3684 1 8426 519 3 13182 524 1 6183 1739 1 17897 8117 15 14211 4939 1 4998 1275 2 5364 10 1 821 793 1 18431 1772 2 2596 4996 2 9924 539 1 19434 200 46 8144 1278 1 8391 243 1 3547 1718 3 4221 5009 9 20226 4761 5 7181 2355 5 16083 1244 1 42 2173 3 2127 5256 1 7034 3285 1 13183 5741 1 20076 6557 1 9975 5245 10 5611 4967 1 6332 2662 1 16700 754 1 6090 2013 8 18787 337 1 12766 648 1 9319 41 1 9648 532 1 11446 2722 1 17738 3419 2 5574 2712 2 18442 1728 4 11545 164 2 3892 899 1 9015 222 6 19930 6013 2 10422 5957 7 83 3761 1 6032 1303 4 4399 525 2 8585 2478 2 19590 8141 5 2928 843 1 1105 7624 1 12638 3526 2 18212 2678 1 3679 1731 4 2621 1062 1 3697 411 1 1817 2698 3 496 1756 1 19857 2271 6 18682 5356 1 3189 1737 5 18958 3338 15 16847 3516 2 17500 7948 1 15374 3015 1 15960 340 5 5709 3161 1 1179 2216 1 16374 7466 1 13705 7404 4 17 1084 1 7899 3596 1 4898 1727 1 12522 386 1 10508 1245 1 16459 525 22 20112 1309 1 1472 23 2 18386 718 2 13829 3233 5 7127 1395 1 1460 5251 4 6956 207 1 9346 7189 2 6437 229 1 8792 6139 34 74 3442 1 14630 1721 1 784 1482 1 2461 3512 6 15618 1035 1 15775 753 2 18149 7105 1 8683 679 1 2428 3842 1 5433 3853 1 3852 1917 1 10824 223 1 9978 3364 2 13768 4803 3 11131 366 1 12436 2897 1 12680 3496 1 5798 7710 1 12075 816 1 19278 1829 2 6853 392 1 8251 336 7 3878 23 1 4250 314 2 6661 6166 12 16109 5568 1 19401 514 3 5264 4707 2 13873 3511 4 12772 4435 1 19331 533 6 17009 225 1 3283 207 1 17788 8099 1 11253 1728 1 5813 1363 9 17734 1825 19 3521 5526 1 3579 2675 2 17393 809 2 12054 6925 1 3279 5018 1 16312 199 15 11428 5018 39 12078 2777 1 17887 1995 2 2962 7936 1 5 180 1 15196 514 5 7803 7989 1 8965 1762 2 15261 6537 1 20177 518 1 15091 237 1 12112 6897 6 3310 3684 1 108 4910 2 2234 946 1 1546 1658 1 11157 3221 1 19602 905 1 4175 6058 1 745 1420 1 19606 891 1 1013 4466 2 17220 3006 1 1330 3807 1 14633 132 1 16886 8183 8 13480 46 1 15886 525 4 16471 1236 1 20218 4261 1 18568 496 3 13417 1713 2 18038 13 1 18917 219 35 3178 3954 2 7099 1825 1 14156 3558 1 15992 7518 1 1036 2369 2 10691 1760 14 6570 3699 7 14244 3645 1 16631 219 1 6045 6256 19 13982 518 1 93 4196 7 15785 841 1 7535 206 1 12831 261 1 18582 7512 1 12621 1328 1 5424 1817 1 19809 175 1 10670 214 6 14259 7719 20 11987 1184 1 15548 203 8 1705 3356 1 15374 7216 1 9137 5064 1 14478 1866 1 11872 8095 1 19781 5804 1 20275 5977 1 14522 670 3 5963 2815 2 15419 4049 8 13058 4696 1 711 173 1 11705 519 1 18636 5670 1 6341 1361 5 14986 167 1 18646 7629 1 2405 1734 4 7977 2356 1 3472 2661 1 15589 253 1 6473 7933 1 8406 1722 3 3360 3135 2 6076 1737 1 13405 4572 1 3358 641 1 12384 5612 2 15060 3163 3 4503 2575 4 17197 3701 1 15160 891 2 11728 6677 7 1509 550 2 143 6567 1 130 802 1 4536 4643 1 9922 1251 29 13698 2003 2 3504 2864 1 7152 1363 2 13602 845 6 5245 1249 3 8830 206 2 5131 1755 1 4447 1710 2 174 7855 3 4054 6704 2 13541 2897 1 1801 2493 1 7853 548 1 17556 4243 4 4054 184 1 19602 377 1 8597 514 5 17764 215 6 14002 7229 5 18243 308 6 10413 6560 1 16914 1344 1 12755 3057 1 17013 5254 2 3375 5248 6 7588 4977 1 1312 720 1 4850 5305 1 18909 1235 1 10391 3796 3 5357 2936 1 14877 7305 1 4583 1705 2 7780 46 1 4731 7963 1 16645 843 1 11054 496 1 15608 1714 2 2338 1206 8 7702 863 1 20090 443 1 19808 167 1 3055 757 1 11938 1364 2 16092 545 13 9604 4079 1 585 184 1 16407 6746 2 7563 383 1 74 3426 4 10234 201 2 19990 1721 1 10221 201 18 2120 6200 1 135 6183 2 17764 1244 1 6856 514 5 16669 867 11 201 6241 1 13097 1713 1 18546 1784 2 8237 4307 1 870 2670 11 10562 201 7 19867 4792 1 15746 7915 1 14218 6346 3 13182 1829 1 37 1999 1 6064 394 2 15314 1539 3 4273 1237 1 3471 220 1 3536 7878 3 591 366 1 11852 5018 1 4252 5082 1 11600 1997 5 6504 229 1 19143 625 1 14602 867 1 7404 214 1 6016 4033 1 4267 4015 1 16894 6051 1 14800 7586 1 3945 6038 48 3694 6500 1 5495 6053 3 7309 5527 1 4772 2595 3 5929 2938 1 14836 74 1 877 477 1 6383 3698 4 5076 1310 1 12466 232 2 17257 5961 1 15599 2747 2 18971 207 5 13909 1770 1 14346 2363 5 14124 4427 1 18694 6231 1 14375 3511 1 11926 442 1 7065 6355 1 16090 6188 1 16524 7020 1 838 3070 1 16336 2678 1 8654 1706 2 3663 461 1 13778 2555 15 9987 2356 1 10471 5758 1 4984 221 1 5025 952 3 754 6127 2 1677 2651 1 13735 1724 1 5421 4579 2 4970 3629 8 9999 769 2 6001 219 10 17150 4954 1 9624 4789 3 80 3629 14 8123 1056 1 12433 3349 1 19026 3511 23 6021 6230 1 17257 5365 1 8806 5108 1 15084 871 4 10596 8127 1 13029 1782 1 11344 8066 3 13013 1955 1 8183 575 1 17019 314 1 13292 3421 31 14372 1826 1 15022 398 1 17410 7639 4 9725 4211 1 14524 964 1 18237 1342 1 10170 1352 1 126 5599 1 10721 6414 7 12783 4761 1 5877 1742 24 5401 6053 1 2378 6550 1 12580 2686 1 18357 6152 2 7179 783 1 17748 759 5 11521 402 1 995 3119 1 20085 8195 1 7656 1686 5 9609 789 1 14102 1703 4 11786 1898 2 6377 1539 1 15225 385 5 16568 2030 1 11346 4903 1 7666 1573 1 7567 165 3 4880 5156 6 9864 3146 2 17141 4269 1 4667 5791 3 4371 1085 2 6543 1649 1 4935 7726 3 18536 394 1 17723 206 2 11849 676 2 15663 7466 7 74 3434 1 11081 6557 2 13490 6487 2 15943 368 1 14582 4107 1 8180 1170 1 3907 1247 1 13087 579 1 10309 819 2 19649 1724 1 15405 4674 1 8463 7988 1 10536 308 4 1132 6534 2 9266 2935 1 4525 5036 1 1 99 1 15187 1726 1 16173 5945 1 579 4013 1 8269 582 1 15041 3620 1 7245 5444 1 15028 3729 7 1453 7905 1 643 1245 1 15885 392 2 38 2020 3 14967 470 1 7943 1023 3 12141 3840 14 14565 60 1 3037 5413 1 10509 1721 1 6001 1772 8 16147 7220 2 14958 6713 1 1165 4252 1 10728 3612 1 16090 6883 1 15470 2801 1 14748 365 1 4076 1062 5 3775 221 2 9288 2639 2 17416 5517 1 16468 2953 8 14312 3639 7 13602 663 9 13411 201 2 11072 2831 10 5966 2605 1 9070 2588 2 1576 207 3 15307 608 1 11616 4567 1 1676 3896 1 15868 184 1 12231 676 1 16950 8108 1 4801 975 1 17391 687 1 13789 4825 1 6061 7520 1 12619 1062 2 10202 1482 1 15652 5260 4 6387 5970 1 2959 223 3 16881 8002 2 17736 919 5 6492 5413 1 8510 327 1 19839 201 1 3564 5013 1 13734 885 2 3903 5251 27 4180 5766 1 14617 1466 2 14813 3493 3 10160 5985 2 11145 6334 1 9998 2852 1 3049 155 1 4148 8141 2 1361 889 1 9596 7105 3 1672 523 2 12706 229 22 6150 520 1 2611 5715 1 12268 853 2 15373 7738 1 13620 1399 3 5158 893 1 13640 1726 4 9566 5293 2 3437 1760 2 6749 6917 1 10143 4266 2 16771 1245 1 18390 6415 1 10525 1706 5 1115 200 6 8239 201 2 20191 2595 1 12322 1245 4 19727 7525 1 4112 2016 1 11008 2057 2 10960 3903 1 6540 5686 1 269 4987 1 18258 5916 21 11208 7212 3 19817 205 1 1551 1738 1 143 6640 3 7596 7606 2 10973 3748 3 6808 4266 1 19680 3228 1 8716 5594 7 19425 203 1 5278 3602 11 19336 1184 1 13684 2795 1 14906 1681 3 75 3498 1 13114 4363 3 7537 537 5 8557 266 1 8989 6051 1 14979 3918 1 17233 2569 2 9707 939 5 4688 799 1 5264 3057 9 10161 7085 1 4796 2951 1 10133 164 6 8730 659 1 19520 2061 1 747 7422 22 1065 2107 9 2470 2662 4 11189 714 1 3152 5020 1 14669 1341 2 7505 4336 1 2689 316 1 1428 1819 1 4769 3910 47 3173 5257 1 13183 818 1 3972 5476 1 2126 3842 8 8417 2678 1 12514 6622 2 5117 581 2 4305 2415 6 4629 5310 19 9268 870 6 19136 1334 1 11998 1819 2 10246 7915 6 17633 690 1 16087 1363 2 10585 3370 1 476 1247 2 9878 2519 2 2690 7471 2 17407 4721 2 1141 1235 1 2508 3297 1 18692 23 20 7293 5550 1 14646 201 1 13536 3096 1 10595 532 3 11473 127 6 17179 498 1 12669 512 3 13777 6106 1 13436 2076 1 3549 207 2 10902 3827 2 10243 6252 5 1812 207 1 4088 6714 1 15559 1827 5 18812 1967 5 445 207 4 4276 3512 1 15853 2529 1 164 7514 1 19257 2619 2 16779 216 2 7010 2727 3 15192 568 2 19751 1448 4 35 1881 2 6824 4963 1 13829 1686 2 15672 582 1 14657 3573 1 725 2522 5 15839 1235 1 14583 660 1 4183 1063 2 2209 5882 1 6848 1768 1 5884 7815 6 994 5503 10 11533 4303 1 17342 1036 3 3176 6328 6 18072 1752 1 10287 23 1 18408 883 1 6692 5257 2 7653 2411 1 18814 1732 19 13405 5348 2 260 448 1 8358 2626 1 14682 6108 8 16152 7189 8 7165 3907 2 9663 1729 1 7184 1739 1 6271 506 1 13532 1781 1 5358 1124 1 14325 1710 7 7469 206 1 16965 4245 9 11592 197 1 1520 1296 1 15686 1990 12 11428 4992 2 8979 5905 4 12636 7412 1 2126 3596 1 9921 1363 4 15736 859 1 4936 8108 2 15954 7292 1 113 5092 5 3249 1416 1 15967 3338 3 11106 206 2 15937 5051 10 2394 3511 1 15162 6268 5 11 368 1 4943 3685 1 3186 3725 12 17965 629 1 8031 353 1 1781 2517 1 1173 629 1 15186 2357 4 4134 1237 1 16791 4033 6 6772 8192 6 13427 4413 1 8891 1819 1 3935 7206 20 13745 6371 2 15750 1145 2 108 4888 1 17490 1775 1 3887 191 5 15112 841 1 8369 128 1 9457 4591 5 9657 440 2 6300 5060 6 3867 1784 2 5199 2885 1 7181 1738 4 9432 671 2 6317 5202 1 16754 34 1 13 630 1 19496 1031 1 3775 214 1 859 3569 1 6307 8154 1 3411 308 1 10404 769 1 4268 4877 1 16059 1752 6 18226 786 1 684 1758 1 8859 4019 1 6501 197 1 16104 2256 1 18434 1728 2 12412 658 1 1705 669 1 1714 349 2 7318 1755 1 3484 2399 17 13975 1734 2 11548 23 2 9792 28 1 17416 6933 1 12816 3351 3 16121 6434 1 18437 533 71 9054 578 5 19137 5257 1 2857 453 1 2267 1053 7 1435 496 1 787 1658 16 6492 2662 2 4796 1604 1 7019 235 5 3390 200 1 20090 1055 1 11168 2917 1 5831 4435 6 9180 223 1 12841 982 1 8991 937 2 15617 1007 2 17477 6520 1 11070 5420 2 19370 5531 2 13570 597 2 16849 6197 7 14602 232 2 14053 1727 1 5185 15 2 17960 8171 1 16647 792 1 17953 34 1 4322 4027 5 6503 550 7 1733 363 1 1608 1748 5 13818 235 1 12951 229 7 3687 905 1 17757 2316 1 10152 2184 1 10996 1416 2 12603 6334 1 3322 1395 1 18512 1825 1 9813 219 2 16842 8054 3 6152 1704 1 14358 1931 1 13792 4245 23 2068 2548 2 15398 2338 1 12844 184 1 10135 1801 1 16786 4492 1 19816 35 1 7493 2488 5 6371 1023 2 15611 1991 3 14150 409 1 12378 3227 2 10910 73 5 14685 215 3 10591 7541 1 2643 7968 1 6559 2474 2 5160 5441 1 1212 706 2 12010 7525 1 5823 1827 10 2221 252 2 3344 2880 1 11248 1825 7 20106 2169 1 4452 2779 21 8389 78 1 17141 4322 1 5064 600 1 6066 5813 2 6644 349 2 11562 7023 1 6928 3511 2 3432 4303 3 8164 1783 1 588 7162 1 15514 4458 1 13266 7542 3 2202 6030 1 11730 3113 4 5292 3911 2 2071 2118 1 7000 3824 1 16130 7534 3 9235 534 64 4505 1757 1 979 201 4 7956 4015 2 1806 3647 2 9401 201 15 13590 4522 1 18526 7850 1 3201 7466 1 11367 3233 1 1993 4764 1 10824 2884 1 12190 4623 3 17833 6341 2 8539 803 2 16265 1729 2 74 3449 1 2743 1727 2 9917 7775 1 11243 5518 2 1418 1244 1 13430 1253 4 17389 3980 4 5505 1482 5 7772 5037 2 18519 2555 1 14114 366 2 822 6279 1 11860 1235 1 15211 222 1 17903 3708 1 873 2131 6 18835 5774 2 3213 1342 1 16137 1732 2 16812 249 4 15493 498 1 19034 94 1 14522 275 1 18886 2605 1 11764 3855 1 2140 73 2 19663 200 2 11327 4998 2 6642 3167 2 12225 3199 15 10644 219 5 12037 745 1 6341 7027 1 12817 2727 1 14522 1277 1 8273 7777 1 4735 745 6 10640 1235 1 6344 507 1 5606 4623 1 17003 3798 9 8322 1332 4 19332 6192 3 9780 1881 1 18535 252 1 12776 411 1 10876 1752 1 13543 2146 1 14894 8060 3 4570 173 1 2509 4310 1 11458 108 1 15288 3367 1 2428 2087 1 2454 6225 2 2321 6184 2 3214 5442 1 4273 219 2 18048 3689 1 4061 514 1 20068 564 1 566 5874 2 17252 642 1 3347 1240 6 17761 23 1 1837 7616 4 4410 470 2 5602 6053 6 17336 4615 1 14580 8192 1 10608 5090 2 17659 10 1 9525 200 5 18994 5447 1 97 1245 2 15688 7670 1 20247 174 2 15152 1783 1 4720 7210 1 1618 214 9 9628 5286 1 3731 5195 1 14818 223 6 7207 2542 1 6337 4107 1 19562 2307 10 3878 5053 1 2723 3427 1 4038 201 2 1999 766 3 13871 2089 14 14758 6415 1 19736 2665 2 16096 6527 2 6712 873 1 5293 1070 1 19724 4245 1 2255 3219 1 10182 7142 1 5304 1531 1 19464 4623 4 12353 1109 2 15619 1710 1 18508 137 1 8294 1781 2 16645 7657 1 6854 222 4 4092 5466 1 100 4508 1 19190 2727 4 19590 528 5 2886 683 1 15742 4199 2 45 2328 2 19143 817 1 3521 4918 1 6063 5391 2 12545 215 5 18363 2259 4 124 5469 2 2405 3138 1 13660 200 7 1504 2068 14 17013 583 1 10601 1728 5 10698 184 3 14036 6629 1 1801 381 1 19079 5914 1 9595 6845 5 3000 1203 6 9901 3663 3 174 8013 1 3397 707 2 3440 2355 1 16129 158 4 1788 1732 1 13684 5814 1 6070 2760 1 2886 6159 1 7780 792 3 5358 2921 7 17416 4123 2 20225 636 1 5835 3432 1 5589 1783 1 6420 7022 5 7035 7098 5 6630 2832 1 3118 1658 1 13115 6132 11 7490 1985 10 20231 3338 1 4305 1245 10 5349 1290 3 10783 688 1 19414 7085 10 1825 3275 1 11020 2011 15 13924 4274 1 9325 1613 3 5856 7708 1 11678 482 2 17728 1250 4 4080 1359 1 18027 6260 1 11786 3069 1 14384 219 2 16924 1287 1 3822 3558 2 16704 2353 17 10791 5485 1 11366 2555 5 10325 626 1 5821 714 1 8989 4972 5 3823 1737 13 2306 891 1 10408 199 2 16564 1150 1 16910 8194 5 2439 4996 4 4060 2981 1 10565 2481 17 7362 1669 2 10225 4059 1 3468 4069 1 17439 232 2 5048 252 2 19713 1191 4 15672 5267 1 17809 23 4 4064 23 6 7943 910 2 13971 407 1 115 4481 3 3871 4312 1 1705 2838 2 11345 6622 1 8332 1078 6 9916 1237 15 9168 1779 2 14327 1771 4 10676 7096 1 8609 525 1 3606 6380 3 3188 4435 1 6332 2584 1 11099 5468 1 5873 3308 3 11287 314 1 18995 2736 1 6313 1251 4 3343 470 1 5928 2881 1 13543 7865 1 2980 2999 1 12576 5018 3 7530 1727 1 13148 916 1 1564 3697 2 8818 84 1 6089 1239 23 9463 792 1 121 5253 1 515 336 4 6838 636 1 10728 3907 2 4868 7831 1 4896 6019 1 11766 1287 1 19530 2727 1 16777 1363 1 9978 3003 1 20087 5120 1 5015 1649 1 5059 207 1 20278 1253 6 18431 524 1 4267 3908 1 11786 6769 1 10354 219 1 2330 5517 1 6673 184 1 8793 930 1 5843 201 9 11844 7829 8 6869 74 1 5929 568 2 12292 302 1 386 2529 1 16303 3389 2 886 6772 1 19463 7237 4 10297 496 1 14929 6700 1 13304 6482 1 14051 7769 3 5246 3634 2 17157 2047 1 7445 524 5 8826 3917 1 10730 4019 7 14221 1781 1 2818 214 5 2342 4592 1 7603 3203 2 15544 7719 1 12716 215 9 17198 6754 3 12262 5771 1 8614 1369 4 13503 809 2 10404 2493 1 3447 7404 1 15726 6345 2 13461 200 1 13671 207 1 17586 2256 1 3178 65 1 9743 1775 1 12818 1788 1 6577 244 1 4565 6164 5 4650 2399 1 1518 4373 1 878 976 47 15429 512 1 9809 4320 6 7046 1078 1 14578 3239 1 12859 1814 2 19833 2015 1 9762 7994 1 4114 2208 2 13223 1762 5 18064 2722 1 6183 303 3 18755 1743 6 10204 4435 2 17805 1245 1 4960 4075 1 11283 5202 6 14610 6719 4 9807 1819 2 126 5363 1 15184 702 9 16114 496 1 16886 1705 4 12728 207 6 5588 4323 1 8271 5120 1 13215 888 1 16430 4469 6 17009 3135 1 18320 1267 1 13148 4944 1 9747 219 1 1527 4621 1 13500 2291 1 8015 2572 1 2718 784 1 16286 7541 2 10376 3442 3 2384 1103 1 19964 4363 1 6758 2679 2 10931 2655 2 3947 1724 1 17413 3484 2 16509 1611 1 5851 412 4 10717 1824 1 13991 1773 1 873 6875 1 4875 2508 6 18968 400 1 4731 7655 1 12375 670 1 12541 6179 1 1411 5018 1 15662 4992 1 17141 1646 1 12614 5294 2 17939 10 6 5294 1239 6 4492 545 1 10015 1764 1 11620 4950 1 6850 1573 1 2843 867 1 7841 7427 1 4500 660 2 11798 64 1 10646 3992 5 9791 1751 2 4002 220 1 3765 6380 1 6211 1239 1 121 1751 1 11804 6702 1 15251 3525 5 19645 4653 1 12679 1739 1 11001 3058 14 814 5417 1 9056 545 1 18909 520 1 1 69 1 6945 4459 3 10219 292 1 10921 2100 1 9007 2460 2 14165 1825 5 8384 499 1 5100 1105 3 16838 1999 1 8085 2354 2 14968 3408 3 6683 5243 7 17768 6875 1 12934 505 1 3329 81 1 7934 199 1 8930 5324 1 8918 524 1 18357 4101 5 13023 4780 2 18092 5018 1 16744 1130 3 4242 5251 1 16557 6139 7 1296 5424 1 1040 497 5 10324 6546 2 12209 1728 2 16016 5700 18 14008 23 2 8259 1244 2 14193 3684 1 11842 5488 1 5624 33 1 10160 4181 2 6051 4524 1 1665 962 2 127 5745 1 13997 2012 1 17388 2675 1 1839 1356 2 101 4595 2 7306 763 1 11882 5550 1 6180 1774 2 6872 1827 1 14696 861 1 16263 3679 1 11882 3954 3 8811 4479 5 19510 8181 1 19810 4436 1 9162 6537 1 16780 2534 5 9838 6596 1 7097 911 1 2405 4976 1 7264 1313 1 15016 2123 4 18110 638 1 15403 601 1 2917 200 11 11057 6342 5 12819 215 2 15785 812 1 19637 148 1 4919 509 5 12817 4120 2 13553 4307 1 16943 3180 1 18706 411 5 1461 6777 1 2704 6481 1 8534 214 2 14089 277 1 90 4056 1 10057 2882 3 12850 222 6 1383 1703 1 9329 1245 1 2541 7282 1 3853 6527 1 6645 891 2 110 5000 1 15122 1302 1 5251 4288 1 7822 1234 1 16776 3085 1 12501 1728 2 2223 1245 1 16949 561 1 8263 6770 2 15677 4470 1 485 3448 1 9868 23 1 6712 148 2 8394 438 1 16948 6018 1 2619 1076 1 7312 3511 10 14164 1743 1 8762 4468 1 7452 1363 1 12826 8034 1 9669 3233 1 7092 2633 1 14599 804 2 19632 1772 1 1495 1027 5 15071 510 4 8220 4453 1 19486 4204 1 12365 3656 1 13018 867 6 19271 3684 12 19920 5319 1 10587 1991 1 12205 4266 1 11908 7403 1 10212 906 1 15454 4029 4 2548 4397 2 939 2356 1 18014 1728 1 19330 7347 2 4080 1756 1 5023 4383 1 13551 81 5 9057 10 1 16856 2263 1 8225 2354 1 4893 3653 2 8683 867 40 14060 6561 2 14227 7531 3 11312 2570 13 5117 3382 3 1733 532 11 16471 4029 1 174 7951 2 2501 6897 4 12097 1710 3 524 1406 11 4283 1999 1 11386 606 1 11323 1768 1 13053 3188 1 3392 3494 5 14127 421 1 9808 5002 3 10320 4400 4 2072 3367 4 18211 3715 1 5388 1357 9 8024 4333 1 83 3788 3 14089 190 4 7980 2889 5 4263 57 2 18164 1250 1 14223 1888 1 3261 367 1 7315 292 1 8591 2352 1 9315 1247 2 12055 630 1 7184 891 1 18320 809 11 5184 1399 1 5176 1248 1 2367 5571 2 16472 2057 1 16077 4363 3 10393 4435 3 11900 219 44 7457 3370 1 4279 663 2 19286 5478 1 5624 409 2 6526 3689 9 12575 310 3 2614 235 1 9710 470 10 13328 5333 1 8808 4706 5 3168 5346 1 15719 1282 1 18946 3567 1 8792 1888 1 4716 891 2 4902 6581 4 17852 926 1 18431 4245 1 5234 1363 4 13 771 2 7886 8200 11 3041 1363 1 16595 3331 1 8320 2392 1 16057 2488 1 18022 354 2 7051 5721 1 16565 5466 2 9192 8149 2 164 7510 1 9512 2097 4 17822 1538 1 501 5487 1 8961 1827 6 17612 609 3 11694 207 3 3381 4269 1 17578 5256 2 12184 1719 12 17909 471 2 6722 4014 8 15759 1825 39 18681 548 1 1395 1457 1 2782 692 5 15756 3839 1 14745 7397 1 13009 1331 6 2542 220 2 6314 3800 1 5742 2747 3 2045 207 5 11224 2666 1 341 213 1 10334 253 2 16231 7237 1 20090 4277 2 19720 196 3 915 3480 1 15683 5740 1 460 498 4 7188 1743 2 13402 275 1 3817 7600 2 6420 4246 3 10692 819 2 2648 215 13 1240 7101 2 11196 3138 1 17124 4411 1 2002 7668 2 2755 1629 4 12322 244 3 20107 1253 3 5775 219 9 11319 232 8 8305 4695 1 6595 1235 1 19957 81 1 16625 7734 15 270 534 1 15277 1587 2 18189 2056 1 10837 1740 3 13472 509 5 8394 478 1 951 1775 4 13270 2573 9 592 4233 1 16644 1466 1 7065 3974 1 19774 370 2 12948 3366 1 5515 2167 5 13400 2678 4 3273 8129 1 4436 6744 2 16907 5806 1 11844 1243 3 130 5992 1 6870 4013 2 826 2299 3 15599 1779 5 13 561 11 15364 3006 1 13858 2653 1 8250 2571 3 16890 566 1 16590 2014 4 16825 201 1 10404 571 1 18270 7937 3 14284 7844 2 17030 327 3 5266 5331 13 15812 5756 3 9395 555 1 12865 4237 3 9104 1762 4 4290 2632 1 2911 312 5 12669 498 2 7785 5509 6 8159 770 1 4294 1715 2 18656 930 1 16468 2964 1 12494 3876 1 4550 6541 8 19401 253 1 8597 1827 4 10439 6719 1 17778 8026 1 1571 10 2 15535 201 3 19875 1184 1 10335 7520 2 7602 303 3 1062 2626 2 6088 6152 4 9864 5940 2 8001 3411 1 10298 2968 1 15429 3605 1 18207 1250 2 5442 2552 1 2318 525 1 1530 6537 1 18144 1253 5 2117 219 1 19793 7412 1 18847 4342 1 7158 1702 2 6348 661 1 20099 5511 1 2922 3489 1 19835 3656 5 11046 1713 1 15901 5981 1 6150 519 2 5861 763 1 10143 164 27 291 4248 1 16824 2676 2 7741 7229 1 9836 206 1 11103 1990 1 6007 7848 1 19286 737 1 17831 2959 1 6834 1686 3 13865 3020 3 12265 6031 50 5932 5518 1 4781 2552 2 18169 5817 1 11034 1939 1 14519 5011 3 3616 23 1 39 2038 2 2941 5513 2 1725 108 1 413 2636 2 17802 23 1 1719 3133 2 3985 1237 3 7823 803 1 3906 1691 1 6614 6545 1 3427 4789 1 133 6036 1 11863 1740 1 7000 3813 1 7801 207 1 13527 207 6 12702 2487 1 15289 96 1 6625 1275 1 20171 4708 1 9836 1244 1 3122 202 1 16484 1967 16 12785 1732 1 10682 6107 1 14522 837 1 13160 6473 1 17084 6106 1 10015 4695 3 18755 5105 2 18052 2354 1 11925 4945 3 13649 5730 1 650 2677 2 9445 2362 2 7652 947 3 14416 4393 1 19344 863 1 15479 3621 9 16917 867 1 10835 7023 5 10254 380 3 8867 1718 2 1481 5420 2 17736 4501 2 2830 2883 1 12519 1717 1 1484 6481 1 10289 532 3 15374 2114 4 2313 4022 1 15159 2584 1 10843 1768 4 9937 3511 1 171 6178 2 15709 4794 1 19649 1726 1 13699 5517 1 9744 2555 1 14664 190 10 7879 6120 1 11976 203 3 13042 2646 1 8754 7585 1 702 1658 1 17558 3391 2 853 1240 1 15939 3631 2 17404 5487 3 11295 514 6 16834 2601 11 12357 3221 3 14772 221 1 5195 1249 1 14990 805 2 3327 7326 1 2297 3826 7 8441 2971 1 1814 4065 19 19385 3699 1 16094 4245 3 6776 229 8 16484 1973 12 17871 6129 1 15576 4566 3 2643 910 1 984 1818 1 6444 2114 11 142 4615 1 98 4410 1 18119 3911 10 2962 761 1 4369 229 1 14494 7689 1 11794 407 1 9512 1191 1 7807 2668 1 14575 5162 6 4843 895 1 8678 429 1 4616 3206 4 11282 533 2 157 3730 10 6668 945 2 9671 203 5 18202 6252 1 18133 7512 3 98 4439 1 16079 2676 1 8476 518 4 10165 5734 1 18159 320 1 9369 11 1 2870 6199 1 15986 4086 1 4012 2698 4 7540 2534 1 8439 2675 5 8597 3024 1 19645 5979 1 3107 1692 1 12032 141 1 9308 1729 6 17847 869 1 1904 533 5 11633 173 1 16765 2729 1 12614 619 3 17590 1768 1 745 6390 5 14727 6682 2 79 3551 1 7750 514 1 1325 13 1 7147 5517 2 6211 1271 4 8904 4425 5 7817 233 4 3283 1247 1 13539 2815 1 8826 1665 1 62 2812 1 17391 7850 1 13997 418 1 5909 7447 1 17076 536 1 7944 2584 1 9324 1897 1 189 6539 2 8314 3954 1 18441 2636 5 18507 4796 3 19385 4361 1 10833 517 50 417 203 1 153 4379 15 14485 6714 1 2459 4476 1 3726 168 1 15024 1751 1 16443 3021 6 5162 100 2 17585 2479 1 6813 6540 1 16902 3705 1 9171 3714 11 3316 4096 5 16808 1681 1 2642 537 1 19740 556 1 13015 7188 3 10698 222 5 16061 2534 2 6524 7859 3 4311 7596 6 13363 4606 1 7411 235 1 454 6874 2 1985 957 1 5218 5570 1 5254 3913 1 8580 7859 9 19005 1104 1 15712 4435 3 9042 910 2 18033 6276 5 15313 1755 1 3694 6591 1 164 7490 2 10847 712 2 14342 1761 1 8909 1748 1 5801 1582 1 6661 1248 29 19134 5098 1 4307 2109 1 11951 3203 5 12312 5450 1 5208 501 2 5738 5780 1 14780 1374 1 13328 2860 1 179 359 8 5158 689 1 11732 498 1 19053 652 2 20 1323 1 9093 910 3 17713 6772 1 8380 223 1 2345 498 11 8591 6140 1 13777 2650 1 18260 1105 2 6298 1244 1 7360 2649 16 17328 2378 1 5517 1710 1 1858 6335 17 4084 4496 1 14053 2315 1 9258 5758 15 14851 4713 1 9717 5105 3 9274 647 1 15588 186 4 9155 6622 1 11549 3159 1 16375 498 1 17012 1613 2 19872 794 1 20098 2343 2 123 5358 26 8913 6512 1 7991 2407 1 11935 759 4 16548 367 1 6597 6484 1 15633 3911 2 5287 6534 2 1043 330 1 2917 1685 2 4765 1726 5 8897 7800 1 1927 1275 1 179 8195 1 6390 1829 32 591 5254 1 19486 3626 1 11554 23 5 6390 219 7 2886 5763 1 19483 7229 1 2274 5858 1 3882 91 1 6469 7596 1 10795 4090 2 3085 2009 1 9534 6532 1 4086 284 1 5117 799 1 14999 6021 1 11866 2653 2 3934 6500 1 1978 1999 1 19877 6649 3 19331 1686 2 17935 1700 40 15948 502 3 13350 6450 1 18232 3074 12 19524 453 1 13601 1259 1 11500 2287 1 3603 1703 1 13277 353 2 2045 7850 1 10828 532 1 8930 505 1 19601 2290 111 5653 7254 1 12988 1357 1 83 3568 1 778 361 1 3571 2355 2 4860 2979 2 6483 6363 4 20136 222 1 8582 7531 1 2020 2655 1 16197 3462 4 4401 1631 2 3427 1234 1 11148 7633 2 19725 1719 7 9883 3220 2 5003 809 69 11152 3231 1 10575 600 1 1009 3547 1 20180 467 1 4703 2887 1 7390 770 1 1624 4012 1 17519 919 1 9431 292 4 8226 1283 1 7135 1769 2 3427 1740 1 11300 215 1 19354 7529 1 19897 4780 5 1152 509 9 19324 219 1 19503 5951 1 17176 6077 1 17230 1990 9 4701 963 1 8198 3973 2 6664 1751 2 2218 5758 3 16254 5507 3 5963 184 5 10381 235 1 3296 6663 6 8946 931 1 15664 2341 1 19649 4403 1 20102 7346 1 1133 65 1 13096 65 1 2385 6423 3 18215 84 1 10360 3742 1 14848 207 1 18042 477 2 157 7188 3 15091 4314 3 3337 7799 3 15599 5561 1 4307 5425 1 8528 8196 7 4610 4572 8 174 7966 1 15890 1658 2 7152 7474 2 14449 7210 3 17521 2671 2 8939 6903 1 4561 7469 25 2066 1245 14 18252 1634 1 4985 952 1 5195 534 1 16257 6053 1 12501 4819 1 15920 3233 16 12228 5674 1 593 606 1 5117 685 1 17662 1253 1 557 2915 2 4305 3368 2 3668 1654 1 4050 220 5 8055 7400 3 7071 7961 33 15272 4811 1 9215 7689 1 17585 2743 1 13614 1105 1 15681 2556 2 16810 728 1 10403 1704 1 1638 2571 2 3612 3170 2 11687 1356 1 11629 23 1 19648 4825 1 15058 219 8 2419 7215 4 572 7671 1 13758 489 1 11314 6517 1 10973 2626 4 4094 1710 14 4720 23 1 11694 2675 3 16512 3645 1 8560 4375 1 1 83 2 626 7859 6 13652 6897 3 4454 1261 1 6245 342 1 6712 555 1 455 5253 1 2217 1203 1 7286 3905 11 135 5612 1 19760 270 1 12951 910 3 17142 23 1 14589 4992 1 16557 1146 2 20106 6723 1 11687 524 10 19470 336 1 9310 3605 2 2150 23 1 11688 1026 5 6943 8029 3 16852 6013 1 12013 7741 2 5863 4187 2 11458 2423 4 9216 4156 1 8343 2964 1 2743 2542 1 19865 4013 1 16796 1396 1 4385 6047 1 11637 581 1 17870 2419 6 268 6368 3 15691 200 10 19134 2057 1 15642 7455 2 7168 204 1 20148 3411 2 5775 173 1 16564 3278 1 7527 6669 28 6932 3230 1 11606 385 1 14516 393 1 16557 7524 3 19964 2663 1 13462 4314 3 6364 2356 1 13891 3603 1 16881 6013 1 2160 1819 9 8109 4998 5 2994 1104 1 3019 4096 1 724 5768 1 10043 75 1 15929 2009 1 8849 845 3 10595 1747 1 10309 561 1 9178 3036 5 19137 2009 1 7527 4006 2 1620 1545 1 19663 4635 5 8506 4795 1 9756 3155 6 18321 7830 1 4593 709 1 4143 1235 6 18363 1742 6 2125 3669 1 8142 2806 1 5132 7642 1 2592 1775 1 1178 1357 2 16676 657 3 14197 221 4 13412 3225 5 17436 940 3 10105 769 4 13424 4737 2 7765 1914 1 17440 203 5 13829 3230 2 9722 1730 4 4234 1751 1 724 1395 1 16675 5048 2 9046 1641 1 10149 10 3 4746 64 1 10147 3020 1 15128 3164 2 5298 3414 1 379 3672 29 14082 867 1 5494 905 1 9702 7407 1 11585 207 2 389 8058 1 3910 1738 1 496 7658 1 11487 7229 6 19402 4950 3 205 449 1 10452 926 1 11349 1779 1 14562 4245 1 1391 952 1 17160 6058 3 6592 4489 1 19996 835 1 40 2107 1 9572 7216 5 10522 762 4 18507 6708 3 15932 1711 5 14561 3266 6 7644 416 1 8388 8171 1 19250 4435 3 18206 200 1 13922 236 2 10509 3072 1 11239 1757 4 9947 252 1 17572 5031 4 1039 258 1 5370 4134 2 12988 1717 2 3484 2386 21 13941 156 2 6541 6100 1 19022 1248 2 14773 1235 6 12975 3588 1 14926 1290 1 17406 5398 1 4146 7597 1 17996 1734 8 20272 1251 1 19655 743 1 2306 789 1 11338 6091 2 3407 7188 5 10855 368 2 222 1277 5 7395 561 1 14415 5119 1 11591 953 1 8786 2040 1 11195 541 1 10321 6396 3 10249 573 1 15084 743 5 14221 165 7 2860 2269 2 1779 4085 1 9104 6027 2 14824 5940 3 15629 3050 1 19494 5011 5 11343 2403 1 16090 2772 1 2182 1621 3 11790 7809 1 18681 595 1 8031 5690 1 8017 2522 1 16675 1347 1 1631 2087 1 9865 1752 1 8226 7884 1 4422 2297 2 18118 3549 1 14599 765 1 17260 506 1 10695 1734 1 7688 5963 2 14731 6126 1 7568 3464 5 3851 6204 5 19051 502 13 10351 1819 2 18204 8102 1 17456 1752 1 6953 3212 2 17589 7143 1 16310 357 1 11211 4477 1 12743 835 3 6407 2443 2 18038 6435 1 373 1737 1 2915 745 5 7943 74 15 13786 2428 10 18423 2897 1 8097 1747 2 10217 7401 1 7630 1007 44 12838 4587 1 7280 7750 1 6506 891 1 1064 1498 1 378 838 1 14282 1781 1 17850 1729 1 6895 3764 2 12921 2399 2 15997 4635 1 7868 4236 1 19641 5052 2 4530 1761 3 11629 936 1 10781 1705 1 11709 3937 2 9672 1667 3 13928 743 1 10188 2675 1 5025 2355 1 2546 432 1 4984 2127 1 9503 1751 16 4519 3827 7 7568 1443 1 6741 214 4 8182 1727 5 10298 4623 5 4512 3578 1 12676 1781 1 15364 853 1 18230 3906 1 15676 207 15 8690 7189 2 10365 6435 1 816 1395 8 14312 863 1 10014 533 10 10498 6421 1 18237 84 3 7883 846 2 1133 7171 1 17809 1740 1 7148 7928 3 18762 498 2 105 4709 1 107 4817 2 19160 232 2 16427 5018 86 10754 411 1 9833 7162 1 8382 8141 1 15888 1798 1 13928 2173 3 124 225 2 13743 5495 2 39 2039 2 4811 3364 1 14561 1147 4 1065 232 1 8323 4510 1 1204 1116 1 2514 6278 3 12984 1062 1 273 525 14 7520 196 1 1811 222 1 9279 215 2 7082 4307 2 10486 331 3 15144 385 7 18122 1726 1 9414 3155 6 6819 2692 3 18556 1656 3 13922 186 1 7979 4940 1 4369 1395 1 12128 5945 1 12822 1164 2 3550 7898 1 17331 840 2 2094 2571 2 115 5217 2 18085 470 9 18637 3511 1 2486 4366 1 13665 4992 3 4483 215 2 9177 6746 1 14358 1879 1 7994 7922 1 16577 222 4 108 1292 2 9581 225 10 83 3758 1 15041 1243 1 6334 1474 1 18967 1396 1 14193 952 1 14326 3849 1 11106 2256 1 7179 652 1 15937 214 11 12646 4407 1 723 5256 4 19843 206 11 16285 4293 6 7502 235 3 13334 1729 1 4773 402 1 2121 867 1 6825 7271 4 522 1747 1 7881 244 5 7872 1761 4 4276 1727 1 8077 3349 1 6716 3526 3 5775 2671 8 1203 4655 3 6442 262 3 19428 269 3 4841 2480 1 14592 173 4 8965 1764 1 1125 4404 1 3106 10 1 3441 5004 5 4386 5315 2 14962 3416 1 13488 944 5 8421 3639 1 470 3050 1 17298 3230 4 10404 902 3 6540 2542 1 9370 3483 1 8382 3315 5 12379 162 1 14465 496 1 13369 534 1 14471 2271 1 14870 3770 1 857 2068 2 8367 1365 5 11574 8175 1 5695 506 1 2540 1244 1 1773 5105 1 19870 1207 6 13649 154 1 10373 1333 6 4694 151 3 11388 5440 1 19807 7427 11 16133 2470 4 6431 128 3 19872 3283 2 8695 2296 3 1714 7730 4 19117 7601 2 1741 5031 3 13183 1324 2 14566 891 4 10692 761 2 3894 496 1 20261 4296 5 19253 2399 1 13984 2258 8 2886 625 1 6591 1697 3 18435 207 4 2404 6402 1 5198 3511 2 14942 1779 1 13028 1147 3 4779 5450 1 19246 1208 5 11432 46 1 17369 7883 1 8479 883 6 2643 838 1 18507 2559 5 13219 6204 5 17772 201 19 9571 8201 1 7701 4619 1 745 7210 17 4512 3534 5 1969 2737 1 15451 2355 3 16109 616 1 4283 532 1 19908 4090 1 8464 7498 2 12365 8034 2 17220 5286 1 2207 1710 1 10309 642 1 13684 3746 1 19428 7542 5 8294 4572 9 7315 274 1 164 7501 1 19874 3211 1 11371 1928 8 14510 1237 1 5406 539 5 7206 207 1 1045 229 1 13320 2411 1 6741 225 2 17785 3146 1 4554 843 1 16173 904 1 5036 220 1 2451 5591 1 16191 7632 1 13582 411 2 717 411 1 14990 1982 1 15713 3029 1 9886 3921 1 12275 219 1 16945 602 1 18410 1112 40 174 945 1 4592 4521 2 19967 3071 3 7652 1815 3 3718 1762 1 20 214 2 4232 3939 1 7430 3012 2 167 7555 1 1710 5472 1 16884 1871 1 8343 4609 1 7480 5254 1 19296 6793 2 18536 1044 1 13157 5878 1 1296 2069 11 10105 4288 1 1 45 1 18262 3671 1 819 6758 3 11441 1732 6 9033 2708 2 20085 2799 1 2100 5199 1 4963 2076 2 7469 7543 1 11577 3715 2 14522 635 1 9129 313 2 4600 184 1 16287 1345 1 10667 4019 2 10664 4971 1 20197 4012 1 4205 6482 2 6332 6645 1 9044 6662 1 9224 399 1 16570 1103 1 14906 3230 1 20210 360 1 9815 1721 9 15059 1863 1 14087 1207 1 1092 5074 1 9495 1523 1 7267 514 1 20148 5270 1 6501 495 2 1996 74 1 16417 2633 1 4734 7182 1 11968 3283 2 10803 4615 1 18237 184 1 17358 6342 10 14946 4600 2 10472 420 1 8367 1274 1 15589 7076 1 5333 1286 1 14275 2552 3 11416 5709 1 5059 220 2 15220 1296 1 14515 206 1 2308 4945 7 8332 7451 1 822 1253 2 9063 6363 2 18020 4145 1 13613 580 1 2267 1757 1 17717 3729 1 15794 1946 2 14690 3670 3 14099 156 5 3545 866 5 11577 5517 3 4877 1990 1 6534 7593 5 6021 6130 1 11766 504 2 17453 1040 1 17014 2769 5 12322 1739 3 135 6186 3 8013 4453 2 7459 2889 1 15052 1707 13 13734 3853 4 19008 6933 3 6149 1755 1 1400 1732 34 8751 2362 1 13602 3386 2 17873 3135 1 2479 3621 1 17615 6609 5 1026 2746 2 903 1247 3 9935 5385 1 17416 6058 1 14059 4680 1 15669 1999 8 9832 1665 1 8211 223 15 10772 6047 3 5102 5120 1 9435 5119 1 12 220 8 5743 1717 1 4397 4531 2 15722 1761 1 6026 3676 1 18413 4501 10 745 5281 1 8693 335 1 144 1736 2 1582 1834 4 13867 7255 1 8573 5730 37 10100 1758 5 11276 209 1 15785 926 1 19286 1996 1 17334 4610 5 16910 4435 1 473 526 3 1277 206 6 15732 175 1 8198 871 4 16388 3591 1 19526 385 5 3841 708 1 8638 1748 1 2938 761 1 18049 867 2 19322 452 2 7030 1352 10 1084 1454 3 10054 2386 1 11809 313 8 35 1966 1 9318 215 4 9650 6120 1 13404 776 1 5038 7661 3 6708 3430 1 124 5412 2 5590 4296 6 13096 541 1 798 3549 1 11145 184 9 15722 1734 2 3673 299 1 19649 1736 3 9104 4963 1 18933 219 1 18875 6557 1 5244 73 3 8965 236 1 8537 2509 1 6101 545 2 19026 5249 1 17638 797 1 18927 3903 2 7208 4446 1 6290 1728 3 11183 3537 2 14168 2554 1 19727 682 1 2175 1729 2 20120 8036 1 13329 82 1 1590 3865 1 19022 6993 5 8398 8076 2 2231 1302 1 8220 4599 18 469 235 10 15608 3256 1 2224 200 1 15449 510 1 10813 219 3 15956 1442 4 18465 2860 1 19493 6187 8 4956 333 10 3780 2021 1 14975 196 12 17061 3865 1 8104 4555 1 1677 4261 1 635 1695 3 344 5009 21 2842 7830 4 17734 263 1 1414 3464 1 5029 6278 2 18968 1032 1 8183 187 1 9783 84 1 18137 4365 2 1171 1249 1 1495 6065 1 4634 632 2 121 5260 3 8465 1497 5 12775 4944 1 11035 3146 1 12982 7477 1 17649 1721 1 5574 562 1 3486 911 1 17653 4704 1 14298 3464 4 6000 4944 1 926 379 1 18385 2908 2 8237 5820 1 13701 1661 7 13027 891 1 4574 2097 18 8914 1897 1 6332 7821 1 12387 1450 1 17573 4827 1 9885 3230 1 19629 2368 5 9096 6570 1 12030 7210 4 7293 2727 5 791 390 3 5196 6844 1 11150 341 1 16212 3182 1 12945 4967 1 18705 1296 1 17850 4966 1 13827 910 2 20106 4367 1 15778 2651 2 4425 545 1 17827 4090 1 3487 495 2 17156 3477 1 12345 897 3 14988 2107 1 19833 2367 1 18847 1303 1 6333 3211 1 7319 6640 1 12275 4460 2 7750 167 11 5538 1348 1 5207 706 1 7219 1339 1 19625 1946 1 4778 175 6 19158 2360 1 13205 2859 5 4121 6046 1 10074 716 3 9901 2683 3 18615 8141 36 17120 221 1 46 2351 1 6234 779 1 41 2150 1 11024 4780 4 18289 7167 1 12009 1685 1 11008 5940 3 7220 7601 4 8779 6276 1 11755 3027 1 11786 3257 13 15744 2336 1 18027 3897 1 2273 23 6 13671 2495 1 7882 3324 1 2488 334 1 8205 6897 20 5207 903 1 4137 6204 5 16587 1990 2 3755 5335 20 2886 244 2 15883 222 1 9947 545 1 12222 8250 1 14167 4774 1 13513 233 13 11585 173 6 12440 839 1 14561 575 1 4885 3613 1 9429 203 1 13091 3078 1 11387 1781 1 19770 4653 1 1953 1757 1 9227 7734 13 5812 545 1 19467 3081 1 16546 5292 2 7549 2252 1 90 4050 5 16916 1395 1 16185 935 1 11309 5071 3 11215 3733 1 1349 1282 1 12842 184 1 10380 574 1 1933 6577 2 1337 1898 1 14686 3072 4 16674 1703 19 230 947 2 19031 2351 3 13640 1732 1 1838 1242 17 10076 5099 1 1013 4004 1 11697 2356 2 6018 1319 9 6855 6575 1 6109 874 3 5977 23 1 7644 4605 1 15936 3798 2 9763 536 1 11386 342 1 10661 2742 4 7738 2671 3 15364 5009 2 120 23 2 12361 7670 3 10123 582 1 11131 1377 1 18122 1781 1 17560 6826 3 3409 7177 14 4826 3956 1 13631 5574 4 349 3244 2 19495 1819 2 45 2338 1 1448 2639 1 62 2844 1 5808 303 8 9178 7027 6 5882 759 1 19455 2355 2 19538 1066 1 1002 1705 2 7184 508 2 3569 2542 4 16358 4128 1 17194 1996 2 20056 4333 1 18509 867 1 1551 1752 1 2370 207 4 56 1721 3 9726 7145 2 12926 8141 5 7986 411 1 12496 2917 1 14813 3981 1 10439 786 1 4805 3821 2 13461 1771 3 2942 1170 1 16887 7512 4 5407 2686 1 7355 409 1 10604 841 1 5564 196 1 17798 6776 1 13 786 2 15993 7229 2 9435 4016 4 16921 3648 1 2258 35 1 8439 1748 1 19217 4692 1 5464 498 1 13676 163 1 1481 2982 4 7025 219 12 6222 1229 5 19000 2494 1 1456 6687 1 5356 1226 1 12821 1369 1 2917 816 1 8340 2509 1 8475 5485 1 19380 4303 3 3697 201 2 18828 7254 5 19033 6343 4 6769 6078 1 6021 396 1 11619 3578 6 3548 5048 1 9146 5927 1 18214 6011 3 16844 214 4 11538 445 1 8273 7792 1 17184 935 2 11502 206 1 10166 926 5 16137 1711 1 8094 3584 1 8107 4623 5 14307 4299 13 7218 2834 1 20059 2580 5 887 6352 1 6673 2671 1 2310 204 2 80 3570 3 1459 7591 1 31 206 7 7586 8072 1 11033 1686 1 10717 5698 1 18279 1235 2 8549 1825 6 7910 5162 2 12378 411 5 14584 7299 10 10435 589 1 6846 3181 1 10603 74 1 138 6307 1 13290 1237 2 12888 471 1 11183 3502 1 465 524 1 9201 207 12 19918 6053 3 14992 2089 1 7455 383 1 10496 412 1 435 1582 5 4106 2419 2 16891 5389 1 5471 1529 5 6030 203 6 19144 7809 2 2848 4237 1 9436 1703 4 14926 1241 15 14375 207 1 3485 1739 1 2652 1252 1 3644 764 1 14035 5422 1 18132 4597 3 768 1342 2 12715 215 6 15063 1979 3 1009 695 3 5237 6161 1 5821 558 1 19649 4435 7 3324 5350 3 18758 4944 1 2845 1776 2 1083 525 5 19667 3511 1 10935 2355 4 14055 3911 1 9978 3365 3 3733 126 1 11216 5018 1 608 4203 1 10519 7639 7 17298 6591 1 2488 6192 1 16020 1275 1 8886 2016 2 10 259 1 153 6063 2 15205 1300 1 9077 5837 3 12365 6025 2 6544 2678 2 19034 871 1 6111 1982 2 11187 496 2 1858 4792 7 18526 3515 4 7371 7788 1 15429 1117 1 8650 8139 25 1576 2258 1 4309 3979 1 5819 5806 9 1723 2966 2 16245 2980 1 13694 220 2 5078 495 1 8234 4065 1 8930 4956 10 2345 1122 13 3427 2990 1 484 724 9 8538 581 15 14890 186 1 6501 2678 7 11352 1296 1 14458 3564 1 9058 7719 24 18866 184 5 19601 4274 3 7928 501 2 3815 3373 3 15497 1042 1 5 181 1 6990 7013 1 19510 7231 1 109 4988 1 12831 84 1 2197 3346 2 4572 471 1 15915 5763 1 10916 6481 1 2359 2702 1 2926 1687 1 20274 5051 2 4417 525 1 10873 4603 1 5706 4245 1 7542 1734 7 100 4505 1 2244 5234 1 8746 4304 1 11574 3113 3 14244 1928 5 2731 4096 1 16238 4325 1 314 1482 4 4014 4589 17 7395 6793 1 3337 4822 2 3468 2320 1 7662 4949 2 4105 1695 1 12121 1359 6 19470 519 1 8830 1342 1 6449 4944 3 3498 2678 3 12103 7236 1 739 1761 4 9589 7907 1 13384 8054 1 1562 7853 1 5204 921 1 18909 2671 1 18132 52 5 19833 4107 1 343 3799 1 20218 23 1 8728 737 1 6478 4391 1 18985 3876 1 6681 390 1 135 6166 2 19397 3554 1 9147 1751 1 5375 244 1 1711 573 2 1711 6205 1 246 2061 2 18221 7222 3 19246 5252 1 14516 3957 2 3607 347 1 3972 5411 1 6063 1768 1 6034 1213 1 176 8145 4 3426 1720 1 13148 1249 1 19578 6018 9 17869 219 1 16994 8186 3 4663 747 1 8826 6493 1 11480 2521 1 570 1363 6 4163 3333 2 9737 3798 2 15437 1249 1 8268 1770 4 15427 779 1 8198 545 11 280 6679 1 3847 292 2 14060 3689 1 5319 237 2 18879 2686 2 2351 3029 1 16951 402 1 7776 6341 1 4747 222 11 11507 2632 1 15615 3072 10 14143 3900 1 18547 6192 15 18263 5525 1 99 4474 1 2198 214 3 14120 7184 10 17822 5203 4 20170 200 11 17850 387 1 9964 3843 2 4217 4897 3 8291 353 2 10541 437 2 15364 1188 1 15123 253 5 6519 947 8 6564 7545 1 11866 1775 2 19613 2626 2 12511 411 24 11023 2798 1 14753 1169 3 12941 1249 2 10514 881 1 18370 6407 4 12817 5305 2 1633 2645 10 2709 6059 1 8080 2431 1 18431 232 5 1927 1752 1 19601 4001 5 13672 215 2 13642 2439 1 15051 6602 11 12399 821 1 12378 1630 1 16902 1242 1 14451 4509 7 10337 1235 4 14506 2937 2 7375 3477 48 1823 23 2 12322 1732 3 46 498 1 20013 1825 7 5550 2727 4 16371 2543 11 8004 7105 8 11558 1755 1 4268 5270 1 6120 5594 1 14290 5315 1 14284 7840 1 543 1464 1 387 890 2 17983 5995 10 7940 166 2 6228 557 1 8081 766 6 8950 1328 2 13127 1689 1 109 4971 1 6570 8031 2 18545 8141 1 20191 5272 2 11637 3705 1 14985 1249 1 13434 7237 1 17457 219 1 17324 4501 1 6386 6534 5 18059 514 1 9212 4119 1 9883 4582 1 13 895 4 19954 3536 1 9527 470 5 4602 4467 15 17388 222 1 8867 1778 2 13935 5513 2 14132 235 1 6496 402 1 15091 6013 3 18015 3526 2 13972 842 1 14620 4929 4 17507 1660 1 3318 7518 3 11510 1251 1 10920 3175 1 18659 3512 4 4629 156 3 19640 5121 1 699 496 13 15861 3621 2 5276 5097 2 17841 201 1 3841 365 1 5976 6749 3 19056 5011 6 8641 1295 1 20007 505 2 5742 532 1 14468 745 5 4493 853 2 188 1705 3 4106 3900 1 11122 5123 1 18663 545 1 3485 5413 1 6479 3972 1 17076 175 1 18696 1761 1 16829 1695 1 3915 74 3 10245 7020 1 1989 1738 7 9750 3453 6 13363 746 1 12193 6156 1 10270 2662 1 17870 3679 1 6893 453 5 16843 3417 4 15307 925 1 5358 6816 1 12526 1417 33 20049 1720 1 8795 1469 15 4912 158 1 4451 863 2 15782 35 3 12592 4623 2 151 3608 1 5589 7297 1 6287 2588 1 14301 1208 1 8842 6127 2 16176 6705 8 3426 506 1 19666 236 3 5053 2013 1 14896 5052 1 11625 2114 1 7734 1771 1 12817 1374 1 18353 5432 1 18410 663 14 17444 4813 4 15314 1 2 8730 601 1 15270 497 2 6090 941 1 6796 3578 1 20029 2832 1 19534 4800 4 436 1538 1 1964 1298 3 16981 2980 6 11192 602 1 4146 1721 1 11520 1717 1 14718 514 1 899 467 1 6913 2057 1 13866 2549 3 13017 4077 1 13264 7406 4 2880 4582 1 20222 4789 1 7261 510 1 14868 8057 2 787 221 6 1756 5018 2 19259 214 1 17382 215 1 11377 3916 1 8723 1548 1 9591 670 3 15015 148 1 4593 943 2 19923 8235 4 13461 7798 3 10599 3558 1 3580 4242 2 12900 7120 1 12667 1827 2 493 2011 1 1491 5446 5 9999 2722 1 11117 126 1 17664 867 2 9457 1249 2 8594 1283 1 15229 5466 2 9310 6107 1 7267 4196 1 11985 3707 1 14052 3411 2 15211 2936 1 6684 4609 1 3763 338 1 15615 4977 2 16857 541 3 13244 1271 1 19957 1296 4 1162 2899 22 7548 1726 2 15184 506 4 13857 1658 3 19621 664 2 4407 2478 2 1752 5002 2 5606 1359 9 6644 1745 1 7095 6303 1 10119 7174 1 6420 4676 1 18459 4998 1 12209 1769 13 15943 7533 1 15692 2633 9 2905 2614 1 910 4969 1 12125 2003 1 9178 6537 7 6599 4764 3 6381 4357 1 1677 8153 1 7872 4974 1 301 1703 2 655 1573 1 349 5761 1 7442 7422 1 4517 6368 2 744 1691 1 11336 5398 1 5176 545 1 17302 2698 3 18091 3619 1 858 6520 1 6522 339 1 14566 870 1 3058 2567 1 14580 2600 4 1906 519 1 8989 5291 2 14721 2361 2 1443 232 1 488 1819 1 18805 5545 1 15952 5945 1 1270 219 8 9597 1775 2 18876 651 1 17135 5228 1 8870 1008 7 3822 2364 1 10344 201 2 3705 7018 23 17542 2731 38 9454 2818 1 2481 631 1 4082 1184 2 2116 207 6 655 3086 4 15307 2808 1 19620 203 4 16860 7012 2 10966 512 1 15411 1449 1 1212 552 1 13780 219 1 17109 2179 1 15943 5712 1 9894 3423 5 6333 316 5 4779 5510 1 20191 821 1 20090 2981 1 10457 190 1 151 244 1 10978 5294 1 5540 1747 1 18982 2676 4 17 1168 1 13251 2575 4 14211 4998 8 2437 234 1 2752 448 2 13927 7477 1 2127 3992 1 10525 3909 30 5863 5740 2 11866 1747 1 3344 7216 1 15096 410 1 16057 4293 1 18116 2356 5 18826 6031 1 10622 7189 14 121 5338 8 2914 173 27 6091 385 18 11930 793 1 16860 845 1 17521 3113 1 13872 5414 1 15618 1116 1 6890 1740 1 16623 7569 1 4376 335 1 3008 3710 1 12337 506 1 2465 7915 1 19234 5356 2 1361 558 1 14730 3405 1 2891 1593 1 17431 231 2 10821 3610 1 13123 4427 1 13085 1819 1 19158 1416 3 19055 201 1 5249 1743 12 3683 2331 3 19428 380 1 6183 1721 4 12525 2639 3 16171 13 2 3853 2884 1 6644 2031 1 5265 5485 1 14599 931 6 10850 2380 2 16826 201 1 17522 1146 7 10305 6428 1 436 5804 1 5424 381 1 1575 1404 34 5990 4938 3 19546 6226 1 4680 5452 1 18546 3949 13 14664 5495 4 16355 1417 2 121 5324 2 9279 1277 1 4623 514 2 424 7420 1 2778 4444 2 16378 1717 2 11561 1781 1 6570 688 1 4061 496 2 1820 6355 1 14669 1363 15 16647 223 1 14921 5251 2 18639 3278 1 13638 5466 1 16278 7322 1 17141 841 1 11842 2141 1 14238 1734 3 13384 415 1 14172 7201 8 14619 1863 2 8833 1877 1 15076 1649 4 6158 2138 5 6927 869 1 17014 6480 18 379 3233 6 314 1184 4 130 5857 1 1711 4479 1 9920 1596 1 14021 5018 1 702 2764 1 7893 1312 7 7577 7008 1 5943 2292 1 3642 2951 1 10586 6670 1 6342 186 9 7651 7958 2 7970 1095 1 7251 1916 2 15782 235 3 10856 2993 1 1059 1401 3 2943 1236 1 7823 937 10 11530 7128 1 2328 6334 1 16481 6435 1 6630 349 4 127 5719 2 10862 74 1 9298 3512 2 4171 500 21 2529 665 2 6332 2743 1 10539 153 1 9433 6484 1 16444 1501 2 18056 442 1 15496 4022 2 6769 1388 1 5271 498 2 6671 4075 6 15608 2760 2 17512 1652 6 14487 1312 1 6453 4274 2 12629 1037 2 11835 7502 1 17631 6053 3 582 856 1 17440 4728 4 16978 5444 2 17500 3263 3 11938 470 1 94 4337 1 13388 200 3 18466 5433 1 20257 189 2 6579 4261 85 13398 7210 2 14084 1705 3 12438 385 1 20107 3096 4 18797 525 1 608 395 1 15041 1714 1 17129 7883 1 4307 2146 16 6769 1246 1 6336 6738 1 18113 6527 1 7456 3552 1 14526 4796 3 19765 167 1 7432 5397 6 12274 1244 8 6116 1748 13 15429 1752 2 13786 4428 2 13721 1726 1 19115 1772 4 14916 6682 1 15209 5995 2 9224 869 2 14940 3908 1 447 314 1 12947 225 2 11004 5411 3 8989 6414 1 15105 1732 3 19509 2082 2 9120 2156 3 2496 1434 5 16808 1675 8 16774 6421 5 347 2138 4 19286 6500 1 10940 2990 4 6848 534 1 6452 6697 2 727 181 7 1498 1244 13 14224 5513 1 2694 23 1 16916 5305 2 6830 4792 1 20158 1190 1 8326 1775 3 6259 7850 4 1552 7379 4 14986 3511 7 11156 190 4 2300 2377 1 3532 1629 1 6692 5252 2 18546 519 2 1084 2357 7 8435 4156 1 18040 808 2 14238 23 5 2962 963 1 14418 3247 1 4806 8026 1 9930 1685 3 525 7752 1 17973 3021 6 14838 1821 4 2488 3234 1 15329 5747 1 9949 471 7 2917 399 1 18040 921 1 12844 1814 1 12054 207 8 8038 4996 5 19594 6031 4 4597 496 3 2447 1453 1 20219 200 5 5176 1781 1 8170 2328 2 6337 386 1 1062 215 1 16674 1032 1 13570 4500 1 3081 4098 5 2611 4615 1 9104 2250 5 2459 4974 5 19738 23 1 3936 4435 12 19030 19 2 97 498 3 2605 2884 5 19776 2931 1 16185 4476 1 2860 1453 2 20062 7695 3 19515 6434 1 13084 1363 1 8952 3917 6 2902 1819 1 10498 5959 1 3777 203 1 7769 6091 2 9281 4022 3 19387 952 1 17073 6252 2 11086 3333 1 10580 3581 1 16998 23 5 2917 1600 1 17809 1995 1 10539 2398 1 4663 367 1 1839 1331 1 3980 222 1 11134 3625 1 8699 232 1 19857 2641 1 6857 4600 2 14618 8141 1 4751 223 1 19286 709 1 2010 1756 12 7577 6933 1 11312 2655 1 15412 190 2 4621 3820 4 9628 767 2 2583 1829 1 6697 6268 2 877 6082 3 17647 4254 1 7607 880 1 15472 2263 1 13206 609 5 2479 244 1 6191 1253 8 17850 3654 1 5117 573 1 6157 4622 1 16642 4977 6 10806 925 1 14597 4284 2 15405 2964 1 17086 8026 11 9826 5579 1 5303 22 1 1898 221 1 12297 1587 1 19069 3134 1 7666 6490 1 18968 6430 1 12296 820 3 6611 1775 1 115 5200 1 19807 6047 3 13312 1374 1 12599 7189 12 665 941 1 19160 532 2 16635 6159 1 10944 207 11 16764 525 1 11139 4397 1 8629 8008 1 4812 7883 1 7220 219 20 14514 3239 1 3182 5162 4 3126 194 3 3398 2053 1 897 698 1 16183 1743 29 16793 7466 1 6934 6435 2 466 13 1 3397 869 2 19568 1246 1 130 5837 1 118 5230 2 8158 244 1 19724 1707 4 11523 910 1 5391 883 2 1693 1714 1 16433 3263 1 9535 2528 1 11845 1685 5 6624 356 1 10452 853 2 755 244 1 1606 1400 2 13302 235 1 11040 1118 1 2258 2671 5 7749 6170 1 7600 1917 8 19331 518 3 10143 6226 6 4963 3316 1 9310 1686 1 5290 2147 1 6977 23 1 10498 5866 2 11277 3684 1 7046 191 2 9437 8201 6 14691 512 1 4185 520 3 10225 201 1 8591 7427 5 13952 1736 1 14720 7235 1 113 5089 4 7193 1247 4 11072 1770 2 11372 1312 1 4069 200 2 19284 2276 5 9796 5051 2 17391 7859 1 3207 230 1 15288 7980 1 9339 3376 1 4954 4307 1 11407 5757 1 9479 7531 1 13881 7013 11 14227 7533 4 3485 365 1 1568 2676 1 12366 1718 6 12096 2675 7 8863 919 2 14993 3850 6 15629 918 1 5906 4122 1 11243 7466 1 11444 1657 2 19973 222 4 1520 1755 8 140 6360 2 105 4716 1 8735 3641 7 11360 722 1 15151 2422 6 1829 7471 1 20120 7878 1 745 1703 1 10312 4635 3 14921 2016 1 13908 3316 4 12638 1819 4 13126 8022 1 6942 6640 3 5859 2262 4 19468 7210 1 1780 3511 6 7312 7236 1 11639 1695 8 16671 4716 9 8832 4280 1 20249 1296 3 1969 4245 1 17995 633 1 16087 380 1 20219 3230 1 11508 1309 1 13 913 1 19711 225 2 13645 6793 1 6332 1312 2 2046 1713 1 19182 1424 1 572 2534 2 12848 1534 1 14953 1121 1 6979 1290 1 5464 5018 1 10997 2606 1 1036 1277 1 3417 891 3 16024 7470 2 18608 3438 1 19781 404 1 16810 656 1 371 5922 1 17886 856 1 2284 382 3 56 510 1 8266 1917 1 15451 2555 1 6596 171 2 13063 5511 1 626 7884 11 11848 2363 4 17507 470 1 11499 205 1 12565 7970 1 16977 6701 1 17061 2030 1 5205 2938 3 7427 3792 1 18614 5488 1 8370 5320 1 8636 438 1 3020 1243 4 5638 1825 1 3949 5016 1 10552 3511 5 11026 3694 2 5738 1717 14 13 934 2 10733 5496 1 13850 1756 1 4689 4007 1 6403 7144 1 5661 4299 18 2375 910 1 19222 2534 9 12284 8051 1 14795 2559 1 17331 5957 1 16254 3434 1 15098 1768 36 8821 1249 5 822 449 3 7306 329 1 5727 203 8 7525 3426 1 6070 2534 1 11159 1695 9 14495 1755 1 19900 3511 2 18410 1103 22 2525 46 3 6615 5370 1 4629 5274 1 2826 7184 2 2842 3547 1 14292 215 1 5756 4473 5 15307 752 1 12909 995 2 5449 5518 1 4851 1825 3 12614 5333 2 13117 3806 8 6614 3603 1 6471 2141 1 3347 43 1 7463 743 1 12625 4992 4 267 236 2 19649 8194 2 13591 1184 1 7455 4258 1 13705 1761 8 5010 7552 4 19667 367 1 8532 23 4 10176 2396 1 11769 1893 1 14120 3905 5 6364 3233 1 4615 5783 1 13131 790 1 17283 2030 1 999 1145 3 11678 665 1 19751 214 11 2792 3694 1 233 2488 23 5562 6914 1 10715 718 6 2844 3476 1 13015 3679 1 11599 3939 1 12693 6903 1 19131 796 8 14532 1936 3 15811 6341 5 11822 1761 5 14519 524 12 19602 7266 1 17379 6082 1 6033 3666 1 14294 5995 1 16784 1245 4 8323 4575 1 6995 867 2 12837 4675 10 17716 4343 1 14796 4578 1 8046 2949 5 20060 3602 1 11687 1738 2 7245 3058 2 1834 2591 1 18152 5018 2 7213 3523 8 16740 4005 1 2803 6213 1 2279 207 6 6014 1784 1 842 5341 1 3150 214 1 20013 3327 3 6593 23 3 6966 4476 2 15423 541 1 737 4343 1 4976 220 1 5471 6677 1 3997 1727 2 9696 223 5 822 3371 4 3570 23 4 11156 1769 5 9167 263 1 11739 335 1 13513 2656 3 11593 3855 1 628 1396 2 4963 3323 2 20245 7507 4 8182 2552 1 8991 3840 1 13835 7772 1 14985 1770 1 5202 5018 5 15926 4435 8 15693 440 1 5548 1244 10 1206 1895 2 8571 1643 1 8849 5686 1 19883 5466 1 2204 5336 1 10476 1253 2 2902 3922 1 16994 215 1 17449 1728 3 10325 470 1 17803 365 1 17184 799 1 20129 203 5 9319 11 15 20258 411 2 17664 46 2 9733 8122 2 9041 2499 1 11222 21 2 10346 1819 1 2292 7381 1 15687 308 1 17743 1474 1 1150 2388 1 9677 6757 1 4490 864 1 13314 4435 1 10501 201 7 10956 201 1 19032 1827 5 5280 244 1 615 129 2 7566 4774 2 16493 215 1 5646 2513 3 8251 194 2 13262 7716 1 15740 497 17 7834 2480 4 1997 4258 1 6739 6268 4 5337 2013 1 18263 6534 1 14511 7498 2 1654 2262 1 996 1784 1 9320 188 2 9199 141 5 592 3741 1 3360 2268 7 19228 676 1 17904 7596 2 17389 1395 2 18198 7998 1 9693 5674 1 1935 7993 1 18316 334 1 8532 74 2 17073 534 2 4873 8121 5 11571 3972 1 4110 4963 1 9290 3164 1 9287 532 1 481 7991 1 1551 1275 1 12514 6645 1 15276 223 1 4691 303 5 14719 214 1 11533 1277 1 1904 514 1 13430 1146 6 7591 2736 6 7828 4404 1 13601 1745 1 17555 3180 4 6509 1235 2 2422 225 1 1143 2419 15 13195 6341 56 3697 1710 1 16847 4590 2 1019 1962 1 14351 1814 1 816 1561 1 8939 8188 11 85 3909 11 19267 707 4 13647 1686 2 12430 1150 1 6780 207 1 19182 4559 1 13590 2100 2 54 2622 5 18281 1205 1 1446 1727 1 19722 4436 1 11562 4782 1 988 3510 1 9535 6500 1 9346 3511 1 393 5294 2 5541 1102 1 19319 2727 1 17384 329 1 62 2798 1 19111 6027 1 10145 341 1 4796 5444 1 13883 329 1 3043 7402 5 10730 1827 1 12456 1374 1 4939 1489 4 9403 6125 4 10586 1703 1 8198 4380 1 15665 1725 1 11020 2139 1 611 8040 1 7458 2111 1 14560 744 2 10152 6268 2 14334 5594 5 81 3695 1 5684 6013 3 4908 3065 2 8425 2256 1 17984 6285 1 9733 426 1 14049 6161 6 8243 7491 1 19360 1 15 10110 1819 6 19239 1705 1 11736 6515 2 17218 505 1 19456 5518 1 3131 206 1 2954 2268 4 7928 3516 4 17467 7096 2 9778 3703 1 6987 5549 1 17873 3147 1 10119 2107 4 1555 3724 1 11815 1278 1 2834 4489 2 2905 3533 1 7719 2581 1 9607 5251 1 9030 7200 4 6524 1235 2 14485 4732 1 8952 655 1 7701 8122 1 10325 3772 1 4606 6225 6 6781 1745 3 6000 1572 1 10916 420 1 15147 1831 4 15599 3287 1 10699 519 1 13201 6268 2 796 6252 23 17298 5758 6 8532 1305 1 8088 6484 1 8621 3327 1 7999 3224 1 13997 2503 1 13058 597 1 15567 1623 2 15530 229 1 6570 6545 5 11795 8111 1 11567 1248 2 1870 1308 1 4876 6250 1 93 4190 2 13423 303 1 16674 164 10 12075 4246 1 19108 203 1 3663 1322 1 2330 233 2 11755 3275 2 8738 1707 1 7039 1395 16 5756 4467 1 15945 310 1 10447 220 10 2204 1329 1 19295 2392 1 16530 5018 1 2267 5272 2 19401 2678 1 11254 2662 4 12988 7530 1 14758 669 1 10602 5104 2 19621 1707 1 5972 7156 1 10398 1356 1 8498 3591 2 1875 10 1 11032 3741 1 13731 3057 1 7498 7933 1 15683 46 1 18572 6345 6 19160 1357 2 20225 627 1 2298 1756 1 9432 801 2 6744 7998 5 16726 4448 1 672 7690 1 723 5252 3 63 3053 1 9699 1314 1 14100 1681 7 1119 1321 4 14558 7466 1 10183 206 4 979 498 7 2629 229 3 9160 3163 1 19184 2686 1 11526 387 1 13252 3969 3 6552 4977 1 5970 1772 1 16662 1249 3 3311 1714 1 12682 1253 4 2818 6502 1 17132 1747 1 3358 8217 2 15635 641 1 4748 4578 1 5860 1783 1 9224 816 1 13116 3660 1 18334 2883 1 100 4492 2 14294 6207 2 8732 3081 3 19950 621 37 18861 221 1 784 866 2 10096 3421 5 17416 5768 1 19981 1751 1 2676 3511 1 12258 392 1 17088 214 1 6407 6252 1 13147 1687 2 12147 5097 2 3924 3726 2 9250 203 10 17652 5566 1 13085 518 1 871 1835 2 18852 981 1 12688 5099 1 5677 828 1 11693 4435 5 13 960 1 11786 927 1 1262 411 2 4057 917 1 17548 2839 1 7619 1768 2 1717 2488 1 8394 1021 1 18149 883 3 725 3644 1 14313 5720 1 15397 6561 1 6776 10 17 18989 6164 1 11935 3868 2 18293 453 1 12117 2626 2 3847 514 2 18193 1776 2 11694 3812 2 13638 519 2 439 206 1 19434 7961 2 17756 1498 2 11733 7913 2 16368 7128 1 5739 1442 1 13829 1342 2 18705 1241 1 11367 225 1 18893 3799 1 17039 2858 1 4489 6512 1 4951 200 1 133 6034 1 17302 5515 1 15651 1354 1 19314 1946 1 7730 8170 1 12152 200 2 661 2674 1 9145 6213 3 4092 207 8 17224 6139 3 8537 5425 1 5095 5596 1 5025 3913 1 19944 1732 2 18161 229 1 13868 7237 2 19047 3656 5 3896 1742 2 17505 2292 2 15314 5473 1 18431 6268 1 2546 2852 1 18237 2662 2 18344 1502 2 19493 7661 5 15394 1757 1 1679 7101 1 11344 7995 3 5431 3206 10 4015 5294 1 2129 1150 1 3806 8012 3 7882 6700 9 9839 1737 1 6983 1154 2 14838 7815 1 6816 270 1 14385 6600 2 13328 812 1 9063 1251 1 14905 23 1 16649 1716 1 17781 1411 1 15974 3230 1 14326 1524 1 6146 1150 2 11591 2894 1 16159 214 1 16373 4518 1 13892 95 1 1981 5502 1 14091 3766 1 6183 514 3 11394 201 1 16254 7719 3 17109 1453 1 19872 6488 1 10647 1932 7 9737 2743 3 2977 2263 3 15297 3884 1 14357 3233 1 18462 911 2 4524 1995 1 11499 4202 1 527 690 5 5589 510 1 8269 5749 1 4171 3540 74 18193 230 1 16914 670 1 8211 184 1 10966 232 2 5770 5014 1 7454 1732 1 20106 498 1 6305 7815 9 9941 2918 1 18431 214 1 11336 6549 1 13914 3138 15 8655 297 3 8863 1827 11 13480 3903 3 4121 1772 1 3173 7098 17 7455 7706 1 9310 2261 2 1019 1914 1 14568 3233 1 2890 219 59 6543 4352 1 6979 1664 1 857 8045 1 14773 1781 1 19256 4980 5 13 635 1 18817 2254 1 10730 221 7 7879 232 1 1686 2651 2 4397 779 2 6280 2728 1 11491 1649 3 16625 3228 5 1642 365 1 3695 53 1 8211 3511 3 8332 3191 5 12032 481 9 20275 3497 1 5013 184 40 1826 4484 3 13675 203 2 13392 2632 1 12733 3104 1 11964 471 2 8681 74 2 13463 5115 1 65 3182 1 13829 2356 2 13857 1359 1 10943 502 4 10856 2718 1 137 6277 8 14184 5428 1 1529 4400 3 11937 1271 4 4547 215 1 14522 880 1 17622 187 1 27 1650 1 6892 5286 3 6551 1423 4 3296 1304 5 15881 845 1 12097 1705 1 17092 6064 1 1558 5336 5 620 215 1 13185 219 84 2101 2880 1 5173 207 2 3185 5165 1 4095 1235 1 13 785 10 18752 156 6 6680 1700 1 3146 4884 1 8105 1241 1 150 6755 1 5574 2708 3 10047 3600 1 19078 7350 1 14305 785 3 19567 1166 1 9713 1363 5 7944 6477 1 19872 7719 1 124 3558 2 12888 6716 5 7774 1286 1 6125 2559 2 8726 1819 4 11736 4446 1 13800 1273 1 6091 5517 1 3784 2986 1 5203 637 1 16148 6484 3 6638 6342 5 11907 236 1 7626 3356 8 19220 1239 1 16185 864 1 462 768 1 2470 7407 1 7165 742 1 17194 6018 10 929 6486 5 2340 6009 1 5955 6242 4 3092 495 1 634 3317 1 232 2827 2 12909 6159 3 17944 5457 8 2980 5333 1 16057 2581 1 13899 207 10 7193 1244 1 11336 1745 1 16870 1369 1 11705 3159 1 3189 4653 1 13267 2520 1 20 1339 1 9285 7829 1 14753 809 1 19601 1705 2 95 540 1 1631 222 3 19266 4967 1 12128 5740 4 2803 2503 1 14947 4531 1 174 7993 1 2359 148 1 4677 5161 1 14321 200 5 17331 904 1 107 4807 1 11415 6993 1 16096 2774 1 1734 2351 3 17778 4382 1 18548 2626 1 12830 2727 1 2267 1151 1 19725 4807 5 19649 5272 1 9767 3556 12 18408 8194 1 7306 605 1 15062 6250 1 11388 217 5 8893 1688 1 9968 1363 2 5451 745 1 127 5738 1 3712 3056 1 3397 3285 2 9725 2495 2 14522 1246 2 9893 4024 1 724 1035 1 4838 682 1 16246 4807 2 19223 1146 2 12638 6687 1 74 3452 31 15437 222 1 18163 2903 1 18132 769 3 7994 828 1 2432 2246 3 17851 5992 2 143 2409 1 18553 207 4 890 1873 1 2186 380 3 1013 3619 2 48 2456 2 15879 214 1 16622 6511 1 11243 867 26 5117 946 1 9457 5193 3 5480 1302 1 14931 4623 5 164 7214 1 11591 912 1 8870 6623 4 13827 1238 1 14778 1707 1 7754 5873 1 7910 1807 1 15159 1182 2 9951 4435 2 3874 6908 1 513 3607 4 19428 214 3 787 1664 22 18431 234 1 15323 508 1 5877 1695 10 19137 4308 1 7065 732 1 4897 5120 1 14474 200 1 8458 1235 12 19486 804 1 4514 1363 1 18119 4992 1 16029 1704 2 12617 171 1 17688 867 24 1962 962 1 11786 645 3 15044 519 2 8415 5887 1 9762 2310 1 15654 6286 1 14538 5398 1 19887 1482 15 20120 2582 1 14990 4824 1 9709 1704 2 18893 2806 1 19679 5325 1 3149 1728 14 2073 6645 1 16406 5928 1 13800 23 1 4165 5306 1 16490 5466 2 4706 1469 4 9947 817 1 2668 7948 1 16530 6396 1 10693 2767 2 6742 6655 1 7856 765 1 20221 1946 3 11592 1740 1 18472 5770 1 711 184 1 2238 4322 7 2962 4299 1 19780 1464 1 5352 8148 3 3543 5774 10 12680 1732 1 543 7259 1 718 826 1 504 3364 2 3009 3317 1 6990 201 2 7221 323 1 531 7229 1 2850 659 5 13883 926 1 14748 374 1 3202 6635 1 11987 3156 2 17535 5496 1 14047 1703 1 13031 1727 7 11649 200 1 19939 5559 4 7651 7494 1 3189 2908 5 256 2184 5 453 1825 13 16113 3685 1 13993 665 1 15564 193 2 13789 128 3 12142 5817 2 7017 4555 4 2629 1464 1 7382 2488 13 11183 621 1 12847 2016 4 6228 785 1 7780 5091 2 8982 499 1 11525 5522 6 7450 1711 5 10032 2671 34 18630 1240 1 10330 638 3 3614 3464 2 5389 2712 3 17085 5139 3 343 235 1 2962 2888 2 13537 4479 1 11451 1299 1 5022 2132 1 3282 3511 1 10410 4606 1 11812 8187 1 10374 7448 12 15779 2343 12 2530 1727 1 7853 525 1 8947 1328 1 214 23 4 17365 229 2 4809 2509 24 19805 1781 3 15364 4509 1 5202 838 1 11885 6663 2 17911 6342 5 2539 2994 1 11291 4395 1 15518 7821 1 19814 1748 2 2223 910 1 14438 6164 1 6758 132 1 8255 2290 4 14403 616 1 9482 3421 2 6061 7527 1 13011 3516 3 16270 5162 1 5829 1054 1 3812 196 1 11052 360 1 16983 3138 1 8260 1917 1 20219 1720 1 5515 3651 1 14653 207 2 14218 1240 5 4970 692 12 7317 912 1 8913 202 2 4293 154 4 697 7468 2 17771 2494 1 10037 2385 1 18685 6341 3 723 1238 3 17281 4882 1 16817 13 1 20123 1453 2 9931 6066 1 8831 712 2 873 8034 2 1351 6717 4 3715 2428 7 4932 5517 2 15041 215 7 7154 805 1 2609 1319 1 14554 3204 1 13600 3696 1 4565 1395 3 6253 206 1 16786 5502 2 14813 3671 5 16773 1440 1 143 6531 1 8826 4591 2 11742 4915 3 11542 1062 1 17677 3444 1 15215 7850 13 18626 3399 2 17395 4034 17 62 2978 10 6183 1681 1 6088 6714 2 778 10 1 14305 914 6 14704 156 2 6658 514 1 6327 5418 1 8716 2260 2 333 5401 2 11148 915 2 5052 1825 1 18014 422 1 4811 2206 1 4696 6396 1 11895 502 1 12506 5324 1 8269 766 1 13800 1022 1 17354 1395 3 126 5600 1 9503 1976 3 19569 336 1 15393 411 3 16544 84 1 18470 6690 1 11145 1717 7 7109 1182 16 4728 184 2 15251 38 4 17767 23 1 9528 219 4 6867 260 1 12298 6459 2 6473 74 1 18267 214 1 12375 378 7 9989 2173 1 10319 223 1 13053 3190 1 8969 156 8 3655 207 1 2450 2344 1 10531 6217 1 9055 6884 1 11023 2889 2 18362 6880 8 17049 3972 4 15910 4039 5 10450 1313 5 6538 5251 1 9730 489 1 14238 1758 1 4820 1464 1 4323 1990 7 9783 3534 1 18736 7894 1 15097 8175 1 15992 244 21 4179 196 1 11852 5905 2 452 1303 1 8852 1996 1 17789 6053 3 16984 8154 1 13425 891 2 7099 7155 1 14532 617 5 5675 3180 3 9917 203 3 9224 4657 1 6855 597 1 8183 590 2 19227 4105 3 3581 3475 2 1278 3155 3 4264 7532 5 1927 532 3 4716 4029 1 4519 1726 1 19849 5425 1 5540 1772 1 1968 2250 65 5294 3556 1 5208 5800 5 11458 184 1 4089 7485 1 3593 4217 3 2855 871 1 4902 3138 2 17809 1779 2 20058 6169 1 16592 6927 1 11238 7089 1 1645 6557 1 20241 6341 1 4522 1676 3 18265 1621 9 5912 506 1 1202 3872 1 7444 4473 1 9816 668 1 20191 612 1 5745 62 1 2801 110 2 878 6645 4 9445 1747 1 1911 3351 3 18648 6999 1 17896 7994 1 3694 6673 1 15314 6366 1 6197 155 3 19037 164 1 11387 891 2 15782 1743 1 1 85 1 10649 899 1 8735 6957 1 18144 1331 1 7886 2567 3 6152 6607 1 6410 3073 1 2228 6675 1 9281 7201 1 20059 1464 1 452 2626 2 8417 4312 1 6713 5390 1 2931 6159 2 20049 6884 1 11164 1788 2 16767 2343 1 18285 3400 3 2962 1656 1 16471 1727 1 4449 3684 8 8001 46 6 5863 1655 2 771 1738 1 7823 1251 1 15133 3556 1 6074 7251 15 18071 7672 1 12952 1146 2 14931 214 1 11412 495 3 2701 4501 1 9395 4794 3 2499 1246 5 6051 4568 1 3397 5264 1 1551 3715 3 14795 2681 1 3548 1420 2 2613 7753 9 10123 4718 12 15943 6949 1 18893 7870 1 6987 5465 1 11348 1727 7 6647 579 3 15960 498 4 13459 498 4 3227 541 1 8416 5301 2 10730 1491 5 15406 3333 11 1127 534 3 8137 7216 1 19727 418 1 19486 3409 4 5201 3478 1 16162 1747 2 4486 5314 8 10103 1312 1 3734 5820 6 19871 2111 1 17760 1287 13 10175 2691 1 11545 6106 5 9760 2555 2 11349 2555 3 6305 973 11 11421 6159 3 10554 292 1 5053 274 1 13332 1904 2 1747 603 1 12817 4015 2 4592 6556 3 19144 7850 1 777 220 2 18132 1946 1 1079 519 1 12968 2276 36 5023 864 3 17181 3681 1 3491 1745 1 1816 5767 1 13982 1818 2 11098 292 4 10690 7745 1 11687 1747 4 12171 1658 1 9699 5206 1 9945 15 1 6166 606 1 17796 3462 2 17375 251 1 6953 1495 2 992 1775 1 7441 2197 11 9180 2584 1 17662 1760 4 11402 2343 7 4552 215 6 9727 6207 1 6015 2958 1 16394 1423 3 5950 4603 4 3326 3578 13 7334 2768 6 12320 3952 1 18307 541 2 3349 6188 1 8323 4513 3 19763 23 2 18915 7597 4 16590 2605 6 592 634 1 4425 71 2 9913 1726 1 1554 3230 2 4701 904 1 5909 3623 1 2657 334 2 20132 219 1 14292 1929 17 9077 723 1 17279 5332 19 2526 6442 28 8267 4988 2 17894 7018 4 10633 545 1 17887 1715 5 11170 10 1 2983 181 1 9543 418 1 19268 4403 4 13731 7689 7 6561 4941 1 6133 156 5 12814 1771 1 18621 484 1 16542 203 1 4234 4227 1 17662 2056 2 7702 2877 1 6198 6644 1 2834 1241 3 18481 3511 1 7868 2488 1 3189 1665 1 7992 2411 1 3921 1332 9 12128 2517 2 15679 6704 1 17267 1753 5 15013 3227 1 6692 1739 1 10396 2677 7 12919 491 3 14400 1239 1 6333 2254 1 11065 2357 5 18206 1880 2 19026 1819 5 11458 2373 1 572 2508 2 19267 930 3 13014 1374 2 13580 6156 2 17556 47 1 16006 1286 1 229 3189 2 9816 467 2 44 2301 5 10851 385 4 3715 6716 2 6934 4612 1 9921 6640 1 18081 8235 1 20126 5795 1 17589 4176 1 8327 252 1 17708 4349 1 19538 1632 3 7754 5544 2 16090 2040 1 9661 4992 1 8406 219 1 1712 4902 1 16736 943 1 9805 4145 2 19448 1113 1 13065 2356 3 134 219 21 10684 23 1 7626 7098 4 5469 207 1 19892 6697 1 16159 1729 1 9064 1819 2 2143 7657 1 4449 3679 7 1449 4761 1 12506 2373 1 9402 2338 1 1709 296 1 13546 1698 4 16236 1464 2 12158 2646 1 18847 219 6 9535 1789 1 126 5678 1 14954 6541 1 10586 5104 1 17700 3666 7 17705 4919 3 17480 8017 1 19437 737 1 11349 219 6 6749 5735 1 19178 6517 1 6987 215 1 877 3671 4 6482 7257 1 14326 1337 2 5659 1883 17 17659 1715 1 17789 2353 1 16048 3556 1 18976 1909 1 16430 6077 5 12925 3426 1 13114 1280 3 7883 2028 1 16249 864 13 8211 6204 12 18528 3248 4 9093 7427 1 2475 4986 1 18418 787 1 9319 957 2 10920 7752 1 1491 1981 12 10078 3605 3 592 2517 6 164 7471 2 3150 526 1 5061 929 1 18216 162 1 7498 2392 4 13640 1342 8 8886 2917 1 9767 498 1 7933 6618 1 4983 1721 1 7322 1859 1 8167 3222 16 5386 2103 1 17120 1450 1 19486 10 1 11726 8261 1 5866 1184 1 15613 7506 1 14298 1705 2 12991 303 9 16491 7632 3 11336 5452 1 174 4465 2 19572 4724 1 9068 2599 1 1337 4380 2 6809 230 8 20194 339 4 7962 203 2 14731 2141 2 17506 724 1 12897 3706 1 7070 1774 1 20046 6268 19 7020 4761 1 19770 3660 1 3703 5437 3 17405 2993 1 17662 1252 4 151 6797 1 2401 201 2 2772 1302 7 13415 232 2 19568 512 1 11613 803 1 14632 1465 3 6752 2821 1 17251 3081 6 9116 3494 1 8228 2560 55 2199 5347 7 128 5767 1 7528 1659 1 10826 690 3 12330 6021 1 103 4659 4 9830 6043 1 16361 3557 1 869 1369 1 8878 1428 1 12009 4266 1 4 137 6 11881 3414 1 4683 6349 1 4527 3230 8 19568 1761 1 10664 3799 1 151 6803 2 18213 858 2 14030 6207 1 2490 817 1 8451 1247 3 17646 5783 3 2824 575 1 14958 314 1 18039 557 1 18792 681 2 2429 5561 2 4346 1256 3 14957 5420 3 4663 3021 1 12361 348 1 16180 667 2 15197 8140 5 15079 7008 1 16925 4298 2 4498 5432 8 12766 662 4 4525 2626 1 11938 235 1 19649 1775 2 15124 1751 1 13779 7505 1 13543 2963 2 17383 2064 1 17449 219 1 4492 502 1 18666 514 1 19222 6171 2 13051 4796 1 1118 201 6 6644 5451 1 17607 356 2 5997 187 1 6834 7514 1 4231 6481 1 1347 1454 1 14415 718 1 5064 694 1 1476 656 2 17572 3206 2 11705 201 2 16013 1734 8 16739 1453 1 17002 2175 3 17088 1146 2 17414 1901 1 16584 3203 1 11786 3601 2 7872 74 1 6979 1334 2 11081 34 1 62 2961 1 1750 6451 1 10179 4803 1 5878 1732 1 1043 197 5 2605 3496 5 6974 514 1 16916 964 1 239 1037 3 2632 1589 1 14035 6593 1 7750 222 1 14111 3464 1 16180 1721 1 17601 6252 1 16288 223 1 9181 252 3 10433 4366 1 16841 7846 10 4052 2354 1 14619 1783 1 9907 6053 4 8327 1751 1 4840 225 1 18393 2938 7 494 3156 1 174 8047 4 14446 229 2 13420 1888 2 7036 6021 1 16365 7083 1 1359 203 5 11270 1277 2 14428 3462 12 7560 5245 2 18705 1720 1 12829 4343 1 4998 766 7 4926 128 2 1002 1238 1 1831 496 3 17084 225 1 11428 2743 2 504 3532 1 16474 1307 1 7455 2514 1 14522 607 1 94 4243 6 1078 8158 1 377 4601 3 10966 5437 1 6339 5285 5 14633 1072 9 3565 2165 4 5757 1241 10 14694 4599 3 16587 1996 2 8443 5840 1 18990 6031 1 1491 8178 1 6623 4012 1 1705 694 1 5955 1082 2 18921 696 3 17828 1730 1 19789 207 1 14619 3233 1 18193 186 1 17258 3638 5 17329 1738 2 10695 3172 5 11220 5661 2 7682 727 1 16517 4296 1 16916 3572 1 9628 803 2 14343 496 2 177 8161 1 2012 5097 1 12410 2542 4 19955 2673 2 11637 562 1 2103 1275 2 1659 4447 1 15895 910 4 2204 8235 8 364 4132 1 5444 471 3 11261 801 3 16259 502 3 12322 2353 4 17578 3798 2 7699 1247 16 20009 4972 15 16440 863 6 11744 1469 3 6008 110 1 8561 6334 1 888 589 3 3380 3540 1 12603 5655 1 20225 581 1 18496 5022 2 16267 2678 5 17827 7647 1 7056 6494 1 17 1101 1 15241 1770 1 9275 714 1 7165 948 1 3747 411 1 35 1936 1 1060 7728 5 10659 2827 1 16192 203 19 6929 340 1 379 2636 6 13645 1184 4 10100 197 5 20033 367 1 15446 1643 1 6776 87 2 14306 723 2 1019 2269 2 10684 235 1 9924 1252 1 6269 534 2 3716 1727 4 13203 437 1 11523 237 1 6853 366 1 19092 3747 1 5015 6741 3 15672 954 1 11458 2402 1 4846 4998 10 4601 2307 1 18754 4534 6 13384 5292 1 4335 877 1 11820 6592 2 9341 5879 2 474 2262 1 18478 7104 1 6408 6565 1 2619 5332 2 19447 1999 3 4848 2880 1 9453 1267 1 2571 7021 1 15562 23 1 8373 5574 1 1130 749 44 12545 4436 1 8969 336 1 1133 6052 1 18334 6618 4 10610 7655 1 19407 207 1 5422 3219 1 6752 824 1 15468 220 6 14348 2305 1 1825 2885 1 259 2633 3 159 7242 2 17507 203 1 13881 447 5 19871 6269 1 10 349 1 17217 6127 3 18385 2341 1 14758 823 2 19568 1244 1 3426 1464 7 18149 1752 10 6750 5018 1 16806 1781 1 15785 650 1 7295 4038 1 4772 482 2 15515 6085 1 17340 7598 1 8177 3256 4 13543 943 1 6792 2685 1 9437 7205 4 3485 236 3 14602 7622 1 5264 2559 11 2423 4779 1 4705 2896 4 19637 656 2 36 1996 3 873 4192 2 455 6666 2 14826 1251 5 8826 3074 1 10897 1819 2 15853 506 1 15819 3654 8 10815 4242 1 14845 5302 2 8088 4511 1 7498 1629 3 13088 7244 4 9050 6241 2 3117 3074 1 17658 203 10 4519 5254 2 2657 1893 1 2529 926 4 7184 1184 1 1094 7381 2 18691 6584 1 7017 1365 2 9572 743 1 10105 1721 1 11554 1726 1 18568 2795 1 11367 2363 1 12125 448 1 8233 3511 5 9081 274 1 10519 3689 4 15323 1991 1 2639 5575 1 8426 411 9 13302 1146 1 727 1290 1 18879 1116 1 7165 1657 2 18595 201 16 16848 6484 3 3031 3869 9 15406 6925 1 7006 3036 9 5244 173 3 15943 792 1 17152 2727 2 7326 206 1 16184 1134 2 12540 837 1 7498 3227 1 13750 3525 1 4488 957 1 10899 429 1 12638 3556 1 4901 7229 1 1609 6658 1 16468 5382 1 10941 2297 1 19893 4214 1 5421 3519 3 11973 175 1 17135 3660 5 4463 1342 1 4940 258 1 7609 7840 1 18119 6107 1 1328 203 1 18568 891 4 7758 1788 1 8369 5882 2 11542 534 1 5806 5943 2 6654 1344 1 12331 7829 1 1741 215 1 6892 6245 2 17662 1728 3 6001 5018 2 4050 1247 1 18939 219 1 6890 1365 1 11145 1734 1 8361 1241 1 11131 5991 1 10072 5097 1 18214 6052 2 17328 6220 1 13951 141 4 3432 868 1 18174 745 35 9072 537 1 587 718 1 18355 3425 64 12863 976 3 8264 5420 1 17221 207 2 2070 1995 3 1171 545 1 18938 5023 2 7203 508 3 3051 1240 4 6074 7238 4 5870 1782 4 15599 1721 3 2553 4446 1 16590 1703 1 10354 5133 7 135 6164 1 1250 1421 1 15957 235 2 7440 880 1 96 4385 1 14633 46 25 5414 4618 2 5433 876 2 8712 525 1 5519 3464 11 19921 3516 1 2213 3333 1 20044 16 2 8218 2688 1 14239 173 3 13652 397 1 14770 2863 5 13700 5791 3 7208 7701 1 734 5480 1 14629 2953 1 16694 99 1 14062 7672 3 14758 882 1 17633 243 1 3715 5757 4 10525 1946 6 16961 335 1 10423 2605 1 13337 372 1 4378 6421 1 11153 4008 1 14957 8223 5 15248 5468 1 13900 222 1 19926 200 1 12856 2742 15 17120 1751 1 20275 7763 1 101 89 2 10161 2875 2 15158 1257 1 5688 232 1 121 935 2 9215 7576 3 15363 235 12 14532 4248 4 2917 869 1 8933 1707 1 1050 4033 1 4610 5007 1 7653 4692 2 14939 514 1 16828 2817 1 6213 1736 1 1677 2127 2 1866 849 3 7331 4807 1 4713 1714 1 3991 512 3 10839 165 1 11020 8031 1 5199 7999 1 16034 2478 2 4667 844 2 8811 4303 6 19705 3648 8 18905 5356 2 9351 5379 5 16238 206 2 12052 1313 1 17477 1783 1 13993 3216 4 19770 545 1 14939 4623 2 7750 863 1 12505 4041 1 2663 4955 1 4731 419 2 3327 973 1 7600 2591 2 18829 4245 1 5061 4051 1 11106 1726 2 15396 215 144 443 7533 1 6929 6192 1 9279 1695 1 4566 1208 1 11 408 1 11188 2966 1 8209 1657 1 42 2189 1 13734 911 1 880 1131 1 19660 23 2 9551 7474 1 207 3600 1 20180 5255 1 4573 2455 14 6979 244 3 7279 6615 1 1553 1686 1 8238 65 1 9014 1686 1 7062 6053 4 164 7505 2 15085 461 1 10935 1727 2 5811 545 1 4854 4065 2 1309 1184 15 1235 6192 4 1834 2351 3 3026 2354 1 3306 1582 2 18713 1745 3 10544 578 1 11964 472 4 6893 2518 1 16314 1760 1 3901 1184 1 5515 5538 1 8128 4963 6 14758 46 10 8636 3065 1 14554 7686 6 14153 1780 2 14758 2415 1 18108 1825 3 15549 3889 1 5714 826 1 3593 3972 7 8015 6022 2 11165 3338 1 5950 889 2 1663 3639 4 15611 532 1 19306 5673 1 17444 6267 1 4806 38 1 7290 7750 9 13031 1356 2 19651 5474 11 13402 292 1 9891 336 1 2646 201 3 17363 5586 1 11329 7617 1 16766 336 1 6656 4435 9 18568 903 4 19810 220 2 3536 2507 1 11562 7136 1 15905 3147 2 5052 626 1 20191 798 1 13262 8127 1 301 5018 5 8624 6009 1 17084 4344 2 11570 2595 2 18450 611 1 7228 1239 2 18807 798 1 19489 7216 2 8256 2978 1 18230 7255 2 612 1705 1 3485 512 2 10552 1613 1 12149 196 5 1397 1365 1 17629 219 1 4216 7466 1 7487 910 2 18533 6167 6 11230 708 1 2461 3113 2 19206 826 2 9999 931 2 1713 3619 1 1870 3388 1 14203 897 2 17872 1776 1 10804 4357 5 16096 604 1 7871 2385 1 5613 409 2 7656 204 13 348 3909 6 15796 4621 2 7980 6204 55 2838 95 2 7099 1374 1 4524 3164 1 16827 2646 2 140 6379 1 4305 5290 3 17555 1548 6 2201 7229 1 17918 4575 1 19131 1917 4 17361 7642 1 19404 23 2 17228 2662 1 17141 2488 1 8108 5262 3 19398 3906 2 8798 525 1 9074 514 5 5882 2016 2 3803 6341 1 53 2573 1 1275 3911 1 4103 5698 5 14710 6303 2 160 7310 1 9939 203 1 3076 3333 3 13646 2542 1 18420 6058 2 16625 219 46 9279 201 1 1127 1814 1 1630 3998 1 16249 1706 2 4998 47 1 19478 8015 1 16708 1932 1 20107 1819 3 12063 88 1 15511 525 1 18170 5285 76 9876 4882 2 314 1706 1 19326 853 1 4486 512 1 10467 6252 1 1799 534 1 18303 3203 5 14778 201 7 2985 348 1 10730 6754 3 4860 7522 1 10597 3167 1 11392 4242 3 3045 6144 2 19031 1444 2 2124 2555 2 12378 2565 1 455 6641 3 13640 521 13 753 3882 7 7682 549 1 16916 4232 1 17695 1366 2 18404 1768 1 3041 8029 1 11999 4462 1 153 762 1 11980 5488 1 14778 229 4 17911 903 3 1886 5282 1 171 7685 2 4841 2353 1 12634 1247 1 5349 1728 1 1864 6288 3 6312 2510 2 15576 1919 1 15776 6615 1 16844 2488 17 1412 2017 1 10311 7136 1 3253 2482 2 9520 6415 1 17120 1244 2 3336 3911 1 17705 1819 2 17310 1760 6 19047 411 6 18520 1985 1 6712 656 2 1923 1402 1 17224 7215 1 4092 3114 1 18510 200 4 12851 1190 1 19331 2727 1 15497 477 1 3500 2653 3 1816 5879 1 135 1705 2 19364 524 1 11391 221 1 12420 6341 1 15321 430 1 10882 6141 2 126 5595 1 11327 1782 20 3358 219 1 8884 471 1 15834 2600 1 12196 602 1 4525 3155 5 15915 2930 8 17009 1720 2 2426 2715 1 4583 2488 1 4225 5420 1 13405 2206 2 11251 3877 2 12077 1296 9 5425 1778 6 9155 4085 2 12603 3950 1 15923 1237 2 8514 2500 1 4764 200 39 4634 954 1 11073 7182 2 9677 5490 1 10976 8054 2 6767 196 1 15943 719 1 13577 2247 1 7621 1464 11 10875 3916 1 14906 1814 5 1812 200 1 7550 178 1 12371 2486 1 6570 5903 2 12496 672 1 8301 4983 1 12576 207 3 5132 219 2 2672 1996 1 13628 6159 5 4174 3684 4 11956 207 1 15135 1696 1 6729 5743 1 14762 1243 1 20016 1747 1 11585 2353 6 6781 8091 2 11728 6602 2 12646 4950 3 19855 6334 3 1604 4983 1 4503 3101 2 8023 939 1 17774 203 1 5216 2151 1 2367 1561 1 18526 1995 1 13587 418 1 16160 2748 1 12538 1884 14 8910 1987 1 1940 1739 5 3915 3556 1 18797 336 1 147 4484 1 822 7222 1 5646 443 3 12064 4435 5 6741 3591 3 11755 542 1 1013 201 1 6888 1722 5 12378 5221 5 996 609 3 5796 1244 2 20016 4986 33 15365 692 1 2731 883 2 13619 8076 1 18320 708 1 13322 6880 1 15011 856 1 18517 7403 3 2284 458 1 19602 5310 1 8356 203 6 9401 2559 16 18134 6768 1 4601 1887 2 17736 939 1 9160 6537 3 222 390 1 259 2327 5 17084 219 3 4805 6460 1 18021 4615 2 2461 1703 3 1135 210 5 18533 6220 1 7847 330 1 2697 759 1 2219 2182 1 1978 3893 1 18561 5341 2 6596 5137 1 15924 3571 16 18386 168 1 9224 615 2 8036 4903 1 12817 1267 1 9722 1738 4 6907 205 1 9432 2620 1 8418 6105 1 19284 2533 5 20070 4961 1 2139 175 2 17100 759 11 14800 373 2 11238 952 1 3090 1717 4 6997 654 1 16994 1150 6 10452 3841 2 17257 7878 1 711 3081 1 9868 488 1 1677 5425 2 7481 4006 4 16129 2001 1 8083 4252 13 19930 381 1 6000 8040 1 12152 344 1 11744 3669 3 661 1743 1 9674 637 1 3653 5498 12 1323 1734 5 12208 1054 6 16645 3556 2 1263 252 2 13670 2416 2 10201 1751 1 13574 3138 1 5132 509 1 3828 2902 1 12351 7526 7 17454 461 1 16539 2555 2 4246 883 6 11160 3276 1 11258 1819 1 7670 3774 3 15480 5447 1 11985 1244 1 11933 3328 1 18893 3685 1 17302 1778 2 3153 512 1 7455 2340 1 17664 1781 1 18375 2378 1 17344 314 19 15430 5022 1 8169 248 1 13845 2739 1 14488 7822 1 7943 507 3 8548 244 1 6213 413 1 3287 736 1 151 6769 1 7661 1686 7 8982 201 2 14790 218 56 9099 214 1 10821 4789 1 12934 4012 1 12535 4357 1 10309 808 1 4346 151 1 16018 1128 1 3038 5730 1 10160 7138 1 11964 910 1 10855 1656 6 8082 4101 1 10692 817 1 4049 4131 1 12804 3216 1 9465 7686 1 10663 523 1 5515 6532 2 334 2127 1 6064 3410 1 15471 5256 12 18257 2444 1 12226 1341 8 13270 2823 1 18089 6228 1 6535 1312 1 19529 2907 2 6341 380 15 8362 206 9 2274 4518 1 16594 764 8 18604 8176 1 8358 910 1 12614 3741 3 6553 5853 1 2190 215 1 840 380 3 3491 3911 1 2605 3540 2 18845 2332 1 18301 3474 1 6929 3693 1 428 3258 2 8008 3887 1 7034 7491 1 19319 1768 2 13900 23 1 19864 221 3 4521 3622 1 1544 4599 1 326 3482 2 3847 219 3 19331 470 8 1989 2355 1 1904 4435 1 6854 3980 7 6610 7663 1 12209 1361 2 19063 524 5 12233 2357 1 12817 2007 1 5190 4261 1 9577 541 3 13881 7342 1 16674 3892 5 235 214 3 3324 1965 3 1941 5020 2 17773 5737 1 9281 4366 1 14376 5532 1 4218 7346 2 19322 6038 8 10883 4090 1 479 7196 1 2480 1252 1 10049 221 9 4259 6081 19 12262 883 2 1460 6469 5 19676 1328 1 10090 3373 1 18654 520 1 16082 166 3 8443 1779 1 1839 6574 1 4614 3939 1 16230 644 2 20244 676 1 7498 2378 1 8376 353 1 873 2065 6 3945 1464 12 18568 787 5 6164 2620 1 86 3982 1 11654 3701 1 5285 4386 1 14892 3048 54 7532 6086 10 18040 4446 1 18391 2555 6 2885 3065 3 9322 2969 2 2134 7439 1 18724 1191 1 10584 6706 12 6998 449 1 18185 504 1 3371 597 1 8532 1755 1 17578 3050 9 9056 1252 1 873 6342 5 5812 5150 1 13227 8034 1 17168 4400 11 16674 222 5 12722 1819 1 17191 519 1 9764 2567 2 87 4002 1 4554 888 1 19331 6341 1 18964 4312 2 8826 5862 2 13619 7423 2 7359 3911 1 13358 2258 2 3724 1399 4 1310 3697 3 7795 6680 3 7143 1819 6 15780 7411 1 5863 4751 1 122 1406 1 16266 200 2 13631 8181 1 7237 794 1 15502 519 1 3886 196 2 14760 2919 1 18887 4998 5 5318 194 9 17388 1769 1 16492 2580 1 14682 891 1 100 4575 1 11533 869 1 1443 1748 1 3376 232 1 1551 223 2 8793 571 1 1852 4601 1 17756 1244 5 18425 2571 1 8602 203 6 347 232 7 8266 6013 2 7455 2493 1 10307 5271 1 2665 508 1 8274 325 1 9160 2636 5 1322 197 1 10309 852 1 19770 214 2 20082 905 2 4194 7404 6 5331 6006 1 6404 215 1 15791 1296 2 6867 392 1 11898 5306 1 19679 1737 1 456 8141 6 4018 5650 3 5180 2798 4 6075 4490 1 5445 201 5 3822 6645 1 1617 3263 1 298 206 4 660 6268 1 12930 5355 20 12032 6816 1 3505 6617 2 3048 828 1 12985 1685 4 16693 3896 15 9370 2567 1 4960 1705 2 1993 1417 1 19259 1373 1 20076 186 4 9244 1751 1 13111 5758 5 13601 74 2 19494 2087 2 13417 2647 1 11533 646 1 5890 4649 1 3369 3331 1 3972 2767 1 14870 6243 1 142 6488 1 4918 8120 1 3436 1339 1 19510 1771 1 8015 7679 2 17900 1718 4 17422 4041 1 6193 608 1 17382 191 9 18634 1319 1 20035 3494 1 15940 791 1 6313 5791 2 2046 2998 1 19024 1242 13 19568 1249 1 19278 4792 2 9604 1716 6 3249 519 1 12576 867 1 12346 533 1 11861 532 1 5769 680 1 7246 8183 35 14968 1988 2 2459 1664 1 4401 103 1 723 7629 1 9462 5180 1 5532 7848 6 10520 3576 1 19101 6723 15 5304 1147 2 9947 5011 1 19152 1328 3 7769 933 1 373 3049 1 9146 5814 1 18665 6207 1 3829 1363 1 109 4954 1 17742 667 2 406 1350 2 16417 1727 7 16227 880 4 17474 6538 1 16408 4338 1 17562 3540 7 3368 4246 1 10536 6635 2 3651 2097 1 7440 1755 1 18045 1965 1 16378 244 3 10385 6606 1 8193 214 5 17453 6207 2 498 1760 4 5281 6225 1 1551 1729 2 9110 891 2 16063 5555 1 19404 7604 1 9051 2626 2 2893 6200 5 3466 6591 1 17889 876 1 6942 1464 1 13131 718 1 17184 575 1 18483 4386 5 13323 720 1 14196 100 2 8251 220 2 2507 415 5 18843 6059 1 11929 897 1 1801 4518 4 10692 649 1 7573 1731 5 19401 498 1 13060 6764 2 8221 4459 2 16549 1404 1 7501 507 2 14500 3684 1 3560 7237 1 15702 3441 1 13997 661 1 16580 3326 1 16159 1363 1 7227 3477 1 13899 248 2 13239 215 1 9454 4084 1 13578 1453 2 19029 441 6 13523 6363 3 806 867 2 8678 7502 2 16790 5408 2 15728 316 1 1488 3633 3 4622 8141 1 6781 1482 5 3975 5391 1 7000 34 1 8599 5325 1 4676 6000 1 873 724 6 14539 3221 2 6894 2148 2 3853 1451 5 10797 7447 2 13400 4019 1 10838 4245 3 8581 1707 11 5422 3032 1 5145 3511 7 16318 2606 1 9937 1241 2 17771 367 2 10396 1613 2 15618 1235 2 17174 707 1 3358 709 1 7205 1342 2 19516 6418 1 18056 471 29 13617 2029 5 17716 1191 1 6460 6579 3 10309 5737 1 5465 207 2 1711 4459 3 17250 5362 2 15406 292 1 10037 7890 1 9005 6322 4 4498 1271 17 9998 6220 1 11749 5064 1 5949 4325 1 19159 8203 3 4574 1445 18 15314 157 1 8965 1724 1 15064 4186 1 17110 3050 10 7020 6183 4 7902 1508 1 12602 6099 1 11259 4591 2 10676 4280 1 14338 7955 1 3074 3239 1 5806 5871 2 12051 1995 1 7496 7240 1 20145 1769 1 3447 5530 1 349 640 2 19601 1903 1 16614 169 1 13183 8081 1 6656 200 9 5176 8141 2 1090 1193 1 4205 3367 2 1453 8022 1 10973 5507 3 159 7229 3 9564 2378 1 2430 411 2 6514 550 9 12064 891 1 11882 825 1 10988 4402 1 14079 2958 1 8118 3191 1 10245 7651 1 17616 741 2 62 2928 1 1870 6415 1 13527 537 1 3079 2534 2 16287 6533 1 10670 497 5 17810 2889 1 10027 514 9 1361 844 2 5838 517 2 3822 4014 1 12609 1356 1 6712 37 1 15588 1284 2 9547 1251 2 16445 508 1 10080 1988 2 4804 46 11 6362 415 1 873 395 1 3976 6152 2 14233 3072 2 11877 6341 3 10019 3729 23 5032 7029 2 5019 7427 1 14161 4936 5 17298 1734 2 8946 3547 1 966 1056 1 2447 6245 1 1824 6482 1 4960 7414 1 16473 5504 1 4547 545 1 7471 235 1 16781 1240 2 273 6102 1 12464 3167 4 1013 2827 2 8646 3067 2 14114 969 1 430 7381 1 560 4119 1 8503 8057 1 4299 5097 1 13615 6482 2 14745 694 1 14668 5558 1 16388 4528 2 19226 3900 2 439 1721 1 1708 1738 1 5612 5256 1 7968 5825 1 7278 23 5 8191 4800 3 15695 2508 1 968 252 12 578 445 1 12361 261 2 11461 412 1 11676 201 1 3411 7420 1 1864 1567 1 3419 2918 1 10152 1237 1 15192 3671 5 4887 2009 5 16695 2057 1 11786 4622 1 3735 3463 2 14365 7703 1 16754 5031 1 9826 4785 2 6544 1825 1 5355 5696 1 6207 5051 2 12378 6190 1 12577 869 1 1361 3810 2 15052 10 36 7404 708 1 7469 3308 1 8793 3411 1 19316 3062 5 12723 3909 1 11388 631 2 16354 5162 1 130 5957 1 13598 205 1 18042 2869 2 14062 5272 1 10507 3760 2 11591 3234 1 20114 5385 1 17753 1593 1 16321 100 3 10783 6252 1 4960 1374 1 140 6413 1 3334 1819 4 3665 1269 1 16535 378 3 4760 6705 7 15851 1681 24 13800 374 2 11932 7602 2 18937 3903 1 15194 647 4 15343 1720 1 3947 3351 1 10469 3907 3 18193 232 8 9243 4320 1 18145 193 1 12989 1535 5 8692 843 3 14155 6706 1 17225 2422 2 19385 1895 1 15044 219 11 14922 1296 1 4057 4344 1 19241 1083 2 6634 340 1 1840 5513 1 14524 6252 1 5870 215 7 3463 203 11 9556 6031 1 5733 4367 1 1620 1548 1 5028 496 1 20133 1031 1 2177 2058 2 457 1762 1 18001 3014 1 16335 2676 1 2528 1638 29 5987 3899 10 6853 367 6 16590 467 1 12663 203 9 16739 1253 3 15167 5895 1 19951 3467 2 19005 864 1 19880 7414 1 18309 883 1 9341 1707 1 2204 553 1 14552 158 27 16391 3693 2 7251 1893 2 14522 2354 1 4441 4937 5 4092 4011 2 8798 23 1 10106 863 1 1760 532 3 17194 1714 1 14992 3540 1 17836 7008 4 156 7159 3 7251 1783 3 10057 1788 1 11080 6059 23 7397 2353 5 5179 5051 2 18428 3228 1 809 130 6 17809 6105 2 121 5281 1 3012 581 1 5646 409 3 18122 7455 8 16107 335 2 3924 1019 1 7923 1747 1 20191 2618 2 9556 1482 1 19395 5757 2 8001 1211 1 6806 4998 6 18030 2305 1 10804 554 1 5504 1062 19 8327 7850 1 10080 244 1 10406 573 1 13598 295 1 9865 215 20 10312 568 1 4660 3175 1 18740 23 1 11169 607 2 5433 3911 4 12789 1322 1 13841 3899 13 14791 910 8 8851 2509 3 5285 757 1 5718 7105 1 11091 997 1 15649 1695 1 4273 2104 3 18211 5215 2 11020 8072 1 1686 194 1 15440 3040 1 13183 598 1 8057 5226 5 1908 4992 1 12779 6435 44 13634 4589 2 9213 4245 1 655 220 5 10179 2710 47 13986 2853 1 8989 5315 2 11072 711 1 20250 2379 1 6406 6027 2 14359 2949 2 8210 5961 3 4316 2651 1 8416 3856 1 4910 1757 1 1302 411 1 13445 512 1 11554 206 2 15681 2419 2 4769 792 8 10152 2970 1 8710 4653 5 4870 4245 5 16016 4284 1 5592 1404 1 12375 865 1 8684 1692 4 362 1752 30 2786 1241 1 6411 8137 1 708 3956 1 14114 5441 1 4322 3375 2 1791 2552 2 6770 5549 4 19293 1724 1 16410 5972 1 18902 461 1 9224 768 2 7613 221 4 17803 6084 18 3940 2675 6 12506 3253 2 9453 905 1 12695 524 1 958 215 17 8933 221 2 3015 1322 3 6517 6575 1 4371 1081 1 10786 7105 1 2377 2859 1 11414 567 12 6063 1757 5 204 6645 1 16856 3133 1 18507 1990 18 2198 883 1 11864 4996 2 20064 2722 1 1551 4949 1 15722 1710 1 8709 1312 1 3491 2522 1 5831 6107 1 18748 46 5 4688 2922 1 7765 1893 1 16201 3393 2 3053 15 2 12777 6192 2 2237 1369 1 177 8160 1 13342 57 3 8367 392 1 18387 660 1 6533 4332 1 16327 225 2 10887 308 1 18631 7848 1 1013 1670 1 2629 1784 1 14522 2056 2 17328 5058 1 9269 2392 1 8080 162 3 18946 6585 1 14679 1826 4 6568 6670 2 20120 4284 2 17915 7424 9 7463 876 1 9866 3890 1 7588 1757 1 7554 1753 1 12799 5257 6 12602 6139 1 16938 759 2 1607 206 1 3749 3638 4 1241 745 1 2704 4600 2 9130 916 1 7927 7571 2 11231 7670 3 12184 2363 17 14048 4972 10 2437 960 1 19193 4375 1 12763 1342 1 19872 2836 1 10161 3320 2 9835 4379 3 4307 411 1 7275 4673 8 5645 2363 1 7364 6793 3 18861 206 1 7943 2552 2 9310 6957 4 12727 2671 1 18926 1573 3 19468 3477 1 15090 719 1 13723 4314 1 11927 3636 8 19710 411 13 4216 1781 1 3576 3906 2 5657 525 3 11598 1137 1 12705 1271 1 13544 3267 3 16668 7689 1 1717 381 1 8965 1244 1 1422 3230 37 12159 4653 1 14711 4435 1 11928 1752 4 16798 5203 2 18821 6892 5 20010 2343 32 4898 526 7 6178 5757 1 12453 6548 1 1935 4578 1 6664 219 3 465 883 1 7454 6102 1 11461 1776 1 527 1128 2 17966 512 1 5955 3522 7 6753 6204 5 10254 6225 5 74 3469 1 9708 498 3 6130 568 2 14299 8034 1 13636 1778 4 3484 2430 6 1636 1341 6 12152 5537 2 5636 3511 5 904 952 1 12361 310 9 7260 3329 93 1464 7358 1 13638 1238 1 9632 1638 1 9110 6220 2 20132 200 1 6775 8109 1 17485 5819 1 1368 2225 1 18879 2542 3 14522 1245 2 9606 1241 1 2985 177 1 17665 6192 2 16642 3494 5 1422 3671 1 5649 925 1 12603 6338 7 5379 7658 1 9466 2349 20 8096 2531 1 8789 3408 1 19355 1241 1 17263 7060 1 14298 1328 2 592 2118 2 11755 2016 1 12501 7466 1 3432 4274 3 6670 1710 2 10242 229 2 19740 568 1 13743 863 1 4021 1718 2 9178 3301 1 18854 6719 1 3203 1340 1 8269 877 1 9572 910 2 12459 6801 1 10469 7285 1 9854 5002 1 6781 214 5 668 3400 1 5124 4519 1 5428 6743 3 8564 7096 3 19981 1772 3 19602 1303 1 11077 5105 1 6645 4436 3 944 1751 5 5528 1240 6 2465 7997 2 14104 196 2 484 749 1 262 4984 1 19531 3203 1 15920 5108 4 115 5161 1 16914 4314 1 15429 525 3 7306 549 1 8729 8019 1 3648 1315 1 9095 498 2 165 7534 5 19825 2104 1 15988 4984 1 5058 3192 3 11295 6065 2 18103 1251 1 5316 4411 3 8815 3519 1 14655 2504 1 20152 499 1 11702 2498 1 7391 1769 1 1150 1749 1 13423 5480 1 8356 5018 2 15343 156 18 12445 1406 2 18149 524 2 5364 3980 1 11250 2671 1 5716 534 4 102 4615 1 12916 5018 1 5132 3167 2 9419 4723 2 19500 1374 12 713 1781 40 1308 1740 1 10548 575 1 3687 724 1 276 411 5 5734 2584 1 4665 3637 2 8715 8017 15 14691 1752 1 19871 2998 1 15318 2938 2 19226 378 1 8459 6702 6 16135 225 1 16497 3077 15 18012 7533 6 15993 1249 1 12511 3199 2 16176 207 6 16388 2854 1 14658 1819 1 15970 2499 1 1968 514 7 93 4198 1 9850 5174 1 9097 5928 34 8889 870 1 15474 2354 1 13347 4019 1 14312 6999 1 14114 867 1 2326 8243 1 9149 7101 9 183 164 1 17664 2678 2 14080 931 1 14517 1660 1 433 1771 2 17003 2964 1 7527 1962 1 5132 153 2 1885 3882 2 10555 5063 5 822 375 1 7020 470 3 8028 5677 2 1884 506 1 9181 2552 1 19923 74 3 2698 4435 1 16989 1363 1 7347 877 1 19368 4321 1 4216 1719 1 14706 543 3 14813 4391 1 12325 7996 1 9633 1245 7 4782 5040 1 5969 4920 1 4713 3331 2 5017 1685 1 19494 3220 1 4111 2646 1 18037 7996 2 11158 5329 1 14773 1748 1 2772 5759 3 3427 4824 1 17471 6471 4 19322 7830 2 14438 2982 2 10482 1253 4 6510 6263 1 10587 3045 3 86 3948 1 12680 4998 1 7750 203 17 18703 498 7 10480 4803 2 3982 2514 1 4647 4967 6 8687 7801 10 9063 3511 7 14086 1946 2 15772 2134 14 525 5254 2 6055 7235 2 11135 449 1 17549 1732 1 1467 958 1 18534 2649 3 12099 471 7 12766 243 5 18846 7931 1 20209 1819 2 14694 1331 1 13429 3298 1 7418 7077 1 17103 1781 1 12480 3552 1 6894 1253 1 10592 1356 2 9375 7207 1 6697 1751 2 161 7356 1 16978 4824 8 4995 6092 6 15123 7522 2 160 7298 1 14360 1721 2 15061 939 1 12541 6169 1 3241 200 1 12041 1302 3 11968 203 20 6863 198 1 3532 4773 1 14487 6030 1 11687 1658 2 17135 1751 1 16719 5419 1 5638 9 1 2373 2508 1 16183 1752 16 19472 5561 1 8831 5391 3 18489 4228 1 3313 7008 2 12496 6260 1 6094 200 10 19826 1234 1 19009 1079 1 16735 519 1 5169 1266 1 6942 6615 2 9733 3230 5 18993 931 1 4382 502 1 11603 2263 1 17182 2336 1 1207 7583 2 13445 1747 1 1530 3109 1 14418 7509 2 13570 864 1 11786 2111 1 12821 4013 1 12618 341 2 18416 3625 3 8159 5268 1 9679 524 1 18724 982 6 15371 2880 1 14629 425 1 1986 7719 1 8408 4204 11 6206 502 1 6273 4436 1 5329 7624 1 9721 2127 1 16860 7058 1 12985 2114 2 8620 203 2 14196 1615 2 2993 6470 1 3607 1227 5 1535 1707 1 1054 880 1 18999 1277 1 20017 4704 1 19185 336 1 3572 5547 1 15850 3438 1 8471 7060 1 1794 1443 1 13668 2362 1 473 6011 2 13066 411 2 3936 3220 2 19380 2407 10 17560 835 1 19872 5493 1 12967 2555 1 9847 749 2 3259 2652 1 16109 1814 1 12046 65 1 10498 1360 1 4768 1753 1 2795 4436 1 17436 891 5 18540 1781 1 3366 3253 1 12501 220 1 16916 4249 1 1551 164 6 18064 5182 2 14522 186 3 11301 7597 1 18033 3511 4 9638 1776 8 11602 526 4 15954 834 1 19261 200 5 11303 203 1 10576 6139 1 2891 6252 2 13234 148 3 16678 1275 1 7766 525 7 1091 237 1 8528 863 1 5158 4822 5 17495 4529 1 5630 6077 1 171 7756 1 4449 2747 1 9421 7291 1 10404 2497 1 12337 23 9 1002 23 1 13046 519 1 13178 3432 1 3152 5525 1 7139 1686 2 16880 1819 1 4386 3032 1 17306 2369 1 8416 3634 5 18924 1720 1 19602 4591 1 83 3851 5 18871 3887 1 115 5204 1 17881 207 5 20123 5555 1 1635 947 5 1863 2639 3 19401 3911 1 6570 4508 1 18859 5203 2 16089 1722 1 6327 3684 4 12337 3206 7 11757 6159 5 6154 214 1 105 4683 1 9457 4595 2 10316 66 1 18373 4944 1 16862 2239 1 3348 3570 2 16814 7734 23 1838 3540 1 12628 509 18 12372 3294 1 11611 3287 1 19316 4522 1 9104 1710 1 1841 2639 1 16994 3097 6 7822 3973 1 19255 3255 6 1551 252 1 19725 7925 1 11096 173 2 19460 7138 2 11678 1160 1 4278 498 11 16236 221 2 94 4208 1 5246 5398 1 16548 3364 1 14881 5315 1 20180 7862 29 420 561 2 18144 1739 1 7256 742 5 526 4944 3 679 870 1 10046 1771 1 4688 608 4 20110 3167 2 12208 7538 7 16442 5325 23 4106 3909 2 10942 2143 1 16950 1332 2 10381 1715 2 8305 343 1 11849 605 1 13089 1241 1 17633 3283 3 16674 2505 1 3834 5020 3 3141 4948 1 9406 353 3 8236 1342 1 5 168 9 17556 7643 3 19991 1271 2 6769 1145 1 4315 534 1 9224 818 2 171 449 1 6781 1704 1 16018 136 2 12858 244 1 9473 1932 1 6570 942 1 9624 6609 1 9935 2507 5 10871 1825 2 19340 6714 2 11388 215 5 3054 1783 2 5565 4606 1 8966 518 1 10006 5826 3 9659 674 1 8416 230 1 11397 4724 5 16087 4409 1 16063 2528 1 17628 1424 1 2807 1184 1 10692 788 1 17163 1207 2 20275 3107 2 7615 5021 5 15159 5961 2 14284 6192 1 6683 2732 1 3331 236 5 3480 207 5 15314 296 3 18398 74 1 3253 1407 1 11976 1736 4 3372 2726 1 4716 1717 1 16140 5879 1 5617 2595 1 5199 5332 1 4979 534 1 13937 2353 1 15698 1722 3 4281 1909 4 18707 1827 5 11663 514 2 4504 1818 2 17664 3882 2 8567 5257 1 7203 394 1 11297 203 2 16912 1687 1 6414 1250 1 11000 4073 32 10792 1235 16 10839 3135 1 4234 921 1 14695 3693 1 7185 3378 1 19985 7217 2 11296 6225 1 10078 221 4 7509 23 1 20256 5737 1 712 225 1 14606 2502 1 9141 1752 1 4573 203 10 6976 7350 1 10677 3070 1 19032 2632 3 6108 2302 2 4851 510 1 7868 6342 6 6840 682 1 12375 621 2 11362 4296 9 18366 1745 3 17859 1707 2 4612 1714 1 1970 1752 4 18968 5243 1 15622 4019 2 8604 1825 1 12297 5594 1 15284 4996 1 10926 220 83 19912 2775 1 6423 1955 1 6347 6817 1 7823 5308 1 14599 573 3 6228 5336 1 15409 541 1 14907 222 1 9160 1995 3 6010 1404 9 13844 2675 3 6277 231 1 4283 3671 6 8210 366 1 8361 4069 1 3905 57 1 4716 1250 2 11261 1248 1 5925 1721 1 524 5783 1 20120 1037 1 16619 5538 2 1172 232 1 18696 2673 4 2982 6705 7 648 2636 8 16443 1245 1 12807 498 3 8503 3045 1 3867 6053 5 5342 3227 1 18037 3633 6 10187 232 3 5058 4428 3 3840 3021 7 4709 219 2 11894 3971 1 8969 5425 1 124 5409 1 19223 1771 1 11747 1104 1 9655 214 1 4017 3540 1 18968 3974 1 7392 395 1 14344 4941 5 18393 214 9 494 3097 1 11014 2916 14 1435 1275 6 8220 6004 5 12212 2720 1 14811 1283 1 15198 2254 1 13035 1129 1 8528 225 3 5475 3556 1 3481 6231 2 9939 524 1 18518 1776 2 13076 6150 1 19273 2943 1 14117 3775 6 11572 4996 4 16914 8057 1 14298 8017 4 1825 199 1 17004 4388 1 4449 6139 1 4015 2488 1 6844 575 4 1481 7601 3 2513 4366 1 627 3987 2 9946 5048 1 6697 1703 2 8580 514 2 16236 505 2 5144 237 1 18413 7668 1 1138 3283 1 13126 785 1 11388 6091 2 1465 223 1 6018 1301 7 19730 506 2 12097 1727 1 10677 514 3 14696 849 1 15791 6481 1 18623 541 1 16638 1762 1 4606 6139 2 4794 23 1 3324 1150 2 10257 2534 1 10187 164 1 6229 3576 1 7560 4980 2 1899 3193 1 12975 1613 1 605 1819 1 18859 8081 15 11346 1288 2 1519 1748 1 17084 1762 16 5374 2356 1 4543 1332 1 5821 899 1 11354 3658 1 160 4274 1 10852 950 2 4124 4065 5 1722 3911 1 143 53 1 31 1250 3 12987 219 2 5009 5332 1 5385 1116 1 121 5265 1 13601 700 1 5214 173 1 9503 6127 2 6153 5245 5 1067 5292 1 4055 780 2 17257 4062 1 16554 2353 2 18 1238 1 4856 3061 20 9099 519 1 16090 6321 1 13997 370 1 7945 5783 1 18106 3563 1 11176 1211 2 8170 4367 1 12790 379 1 9431 4308 1 19648 2369 1 390 507 2 17746 1374 3 9395 7521 1 2354 1751 1 6116 1399 12 19626 6924 1 4018 1768 4 2126 3364 4 17950 206 1 19960 1720 1 6724 7967 2 13190 505 8 16089 1374 2 17226 891 2 201 5051 1 1837 1695 2 12102 3163 1 16698 2248 1 17047 1695 1 6644 201 2 19494 1705 1 12775 3208 1 14519 1374 2 17812 23 2 18755 6700 1 11857 156 1 18938 2563 2 18050 1758 3 7962 3540 4 18585 200 1 14730 5290 1 11336 4413 1 19635 1707 1 10584 2097 7 60 2731 15 17658 541 2 368 510 1 12126 2883 1 5773 443 3 4773 3705 1 14051 3163 2 311 4242 16 14003 1498 1 3480 7419 4 16178 1307 1 13023 8229 1 7846 4140 1 3693 5162 5 20275 6793 1 19512 5420 4 7943 7018 4 4234 2363 3 2647 514 1 1773 4344 1 1544 2338 5 7149 232 11 4870 964 2 5854 1338 1 12341 1374 1 13618 3337 1 15509 4403 1 1296 3338 1 12821 365 1 10714 258 4 16649 7683 1 3963 5256 1 6059 1904 1 19378 2170 1 20044 3086 4 20166 1825 5 8920 3880 1 13172 861 1 3166 46 1 7065 4248 1 3002 2633 1 14795 3671 1 5326 1453 1 19136 523 4 16236 1703 2 14512 2488 1 18936 1531 1 456 524 6 12737 3851 1 8936 1734 1 9243 1814 1 34 895 1 19602 6854 6 12024 1146 4 61 2749 1 542 1825 1 7778 219 5 3768 3511 1 5661 3464 18 17259 1238 1 1854 1819 1 8135 411 1 2883 5018 2 2902 519 1 20136 1244 1 14692 525 1 16759 2167 1 17298 1464 3 19792 4992 3 130 5929 1 11164 6152 2 4135 3747 1 6867 2542 2 18372 7915 1 11931 7586 1 8718 152 40 17034 4724 1 4487 5077 1 10187 3230 1 18232 4490 7 20 1284 1 4445 2669 1 1291 6190 1 15718 3427 1 14146 841 3 10246 164 1 3075 1781 1 11317 4949 2 11961 3590 6 14760 1193 1 291 467 1 11392 6374 1 5905 1482 2 8585 6031 2 13857 500 5 7934 3027 1 3290 833 1 2709 3482 1 6228 2128 1 15825 634 2 19341 5133 1 13313 1734 2 15159 3827 9 10041 1147 1 5423 7522 1 14527 505 1 14606 1137 1 10772 1146 3 1145 3699 1 9930 1752 1 5389 2864 2 12835 6150 1 12316 4623 1 1178 385 2 6524 2555 1 1466 7774 1 6687 1373 1 10332 3485 1 10249 899 1 19386 5670 18 7231 1399 1 16921 5048 1 5834 4950 1 12541 1747 1 12064 7570 11 1422 3375 2 11736 260 1 10272 1736 2 1738 6196 1 18625 3174 5 9797 3554 2 17835 4336 1 8897 7234 2 19102 6666 2 7919 6669 5 17537 3308 7 11 426 1 18486 4944 5 9133 3932 2 10648 1529 1 14541 411 6 19770 221 2 15184 2626 5 17953 496 11 7034 207 5 7564 1357 2 11780 199 3 5424 374 1 9468 1679 4 11924 2676 3 17475 637 1 1767 5090 1 5860 1719 6 2384 629 1 1050 201 1 7735 6406 2 1105 390 1 3580 397 4 15579 6192 21 3406 1768 1 16815 5257 3 4963 2065 3 17191 6198 2 56 2683 2 2890 676 1 19115 5552 1 3579 8161 1 1839 792 1 16513 3518 3 17572 4620 7 18762 1275 2 16887 60 5 6064 6013 1 19829 4318 1 16690 1199 2 10725 3997 1 3607 1167 2 15371 200 14 13017 1582 3 12449 3230 1 8845 2221 1 4711 2665 1 9279 1710 2 1053 709 6 298 23 5 11964 1246 1 1689 7086 1 11817 229 1 1814 6470 12 11746 1164 1 5205 874 5 14646 7719 1 15101 411 1 3847 867 4 13997 4022 1 19881 3025 1 13543 848 27 745 1247 2 11562 6229 1 5589 1686 1 16740 2373 3 11192 3460 3 92 4172 64 4838 650 1 19222 207 8 4940 4956 1 11266 5532 1 7535 8076 1 2253 200 5 8158 7687 7 8621 5020 1 13404 2698 6 6549 4945 1 17467 1248 2 1154 1762 3 5877 3333 50 11014 1718 3 16090 7657 2 9458 3634 20 7029 1303 1 5276 2571 1 8768 1814 2 10585 1748 2 2585 203 16 4570 6092 8 6228 7112 1 13754 7937 1 17962 995 6 6983 1333 1 17463 364 1 279 1824 31 2234 590 1 9869 848 2 10473 2821 2 13326 2056 1 4998 1714 1 5408 2082 7 3215 5737 1 17881 6331 3 7440 910 1 5769 7953 1 8002 5304 1 8906 3488 3 11789 7105 1 2907 3351 2 6769 1296 1 12070 222 1 8870 5052 3 9275 644 1 6164 1814 1 13694 6901 1 7111 5105 2 435 1247 1 5432 8183 2 16788 903 10 17945 1043 1 6892 684 4 11358 7229 2 7799 1332 2 4023 3556 1 9864 1022 4 11632 7127 7 201 7272 1 18103 23 2 3397 258 1 4767 2363 1 2387 220 4 16 1005 1 11787 1721 6 7080 215 1 7596 4009 2 4397 2343 1 19194 1338 2 104 2132 2 11124 1965 1 6183 1751 4 9733 910 12 4046 206 3 5709 5090 1 10495 1747 1 9922 1757 4 7802 7251 1 13 342 2 20273 2008 2 3099 2261 2 18608 3463 1 3397 626 1 74 3391 3 787 1745 11 19864 1724 1 5409 501 7 6332 636 1 3505 6423 4 7945 4467 11 11156 6164 3 11370 5350 5 17368 4295 1 6510 1112 2 6164 7602 1 7991 5182 5 4539 1275 19 18602 1482 1 17664 303 2 13075 5137 16 16238 1184 1 9306 745 1 12316 3423 1 5624 1416 1 2492 7911 1 10140 5379 16 1499 5676 1 9638 1752 5 15893 7538 4 11877 7964 1 10721 1645 4 6269 17 11 16439 4807 1 14788 2698 6 10155 2355 14 8477 6380 1 13623 7466 2 18336 5086 1 4873 100 1 14305 177 3 6611 5940 1 8370 4436 1 7286 1722 2 9533 2087 2 16816 1916 2 9351 7397 1 16698 467 4 14424 253 1 6538 1126 1 9791 1147 3 18064 5349 1 13035 1740 4 13351 3042 1 10788 3414 1 5829 6260 1 11141 7403 1 15634 3998 1 17362 1741 2 17872 4623 2 5399 8135 2 2922 232 1 7966 2632 1 6116 1235 1 4543 2132 1 1638 3152 1 19633 2027 1 18980 1246 1 12492 4949 2 9886 8109 2 5424 2600 1 18060 1712 1 14196 6257 2 14825 2288 1 6412 1819 1 15812 1784 1 8930 4792 6 5636 223 10 5877 2698 12 9204 2541 1 10348 2254 10 8394 1137 1 16192 4397 1 12233 1729 2 4898 207 2 20085 191 1 12685 868 3 6750 130 2 7390 3367 2 6440 5406 1 4663 1277 1 5662 207 1 7229 175 2 20166 1242 2 14035 2305 2 18415 60 1 10221 2635 2 19136 1399 1 16768 292 1 135 6136 1 17321 3062 14 19626 6031 5 18809 200 1 10473 2737 1 119 5249 2 11365 7576 1 11230 687 1 20201 1748 1 17303 3382 1 6219 3959 1 10693 1307 1 9549 4385 2 3154 7466 1 18056 390 1 9467 411 10 3659 1827 24 10327 644 3 17662 4029 2 8462 1781 3 5653 2138 1 16705 1235 1 6690 823 1 12580 201 1 612 2539 1 8291 409 1 16201 3749 39 10790 931 1 8969 1710 1 7016 4179 1 3485 4013 1 3199 84 3 2529 616 1 1273 934 2 18413 1747 1 4045 1078 1 126 5642 1 19900 518 7 1747 7098 2 6564 1246 3 133 6039 9 7281 3686 1 18968 1208 1 4634 4369 1 17996 190 2 17482 200 2 13975 1731 5 14304 1772 1 92 4163 10 4023 399 1 11725 200 1 1867 1991 1 2917 416 1 15930 1775 2 5401 863 1 19223 1761 1 18431 1765 1 8884 758 1 13750 7701 1 9187 1146 1 3071 1242 5 15995 5897 3 17436 825 2 15754 411 1 10905 7573 1 18398 219 1 7603 6906 1 15634 1248 1 824 495 1 3102 8113 1 19193 7138 1 5977 1184 1 19595 8081 1 13 669 1 9793 4621 2 526 1893 1 11028 1244 2 6165 1819 1 3730 156 4 4369 2562 1 8764 203 2 4305 5342 3 12603 3937 1 6506 6494 12 7952 77 1 8356 523 1 6369 541 1 6294 1244 1 9305 1748 7 14344 1312 1 73 912 2 8298 5082 1 11082 5172 1 5849 7229 2 13561 4022 3 6059 5404 1 4199 883 11 4250 689 1 14441 3907 1 10426 2683 5 7700 920 2 15411 1740 3 8494 4935 2 19870 244 2 19268 6793 6 4722 4555 2 2724 4175 1 11172 4649 1 10799 7240 9 9941 3267 1 12064 1482 4 2209 3378 1 14794 3222 1 6449 2691 1 5610 728 13 13464 5293 1 1513 1519 2 4498 60 1 385 190 2 6570 5737 2 8952 3973 1 14197 6680 2 16563 7821 2 10658 1995 1 6613 3512 5 13631 1752 1 19500 200 16 1465 206 1 11354 5132 1 4688 770 1 153 6944 1 1706 895 1 7966 1031 1 107 4802 1 3358 4460 4 2139 1764 1 62 919 1 11026 1695 1 3549 1730 2 19939 193 1 14842 6268 1 7028 1740 1 8519 46 7 9672 8183 13 14041 2626 1 14457 3414 2 19246 4447 1 170 7601 12 7478 501 4 8088 905 2 13619 205 7 14861 2588 2 5132 1248 3 18085 1072 1 153 6015 1 9639 755 4 15614 1771 1 12757 1244 2 16452 4103 1 13123 6697 1 15424 223 10 7560 863 1 16985 2969 2 5394 6106 3 12 203 26 19069 3679 2 13645 1146 6 6144 6032 2 19970 3684 2 778 3888 1 5696 325 1 862 2635 1 954 3101 1 18265 1824 10 10698 1819 2 16747 1326 1 5615 1781 1 6493 4361 16 5136 1771 1 1705 770 5 12348 8184 8 7898 7466 8 14558 219 2 2643 3869 2 15688 4077 1 13238 219 6 11533 5798 1 5752 3512 5 17557 3399 2 14522 501 3 4495 6442 2 745 2388 5 8435 244 2 8546 1332 1 4031 3338 1 1922 7309 1 13857 5446 5 4301 3074 5 6911 884 1 7632 1969 1 20045 1325 3 18717 6001 2 3663 244 1 8457 510 4 18974 203 15 5977 536 1 19901 6610 3 18091 7671 1 7868 4022 1 8708 520 1 15352 7854 1 11384 995 5 1865 3491 1 13924 496 2 1224 6077 1 1530 6533 1 7252 1208 1 5792 1247 1 6618 1324 2 15409 2953 1 17296 4120 10 322 6488 4 8811 4517 3 6907 2086 1 6533 1955 1 11536 6884 1 3941 7062 1 18191 5922 1 2582 3333 1 12166 7245 1 6692 5253 2 4387 534 2 106 874 1 13873 1305 4 10472 2000 1 19346 6933 3 2114 1775 9 19602 4577 1 1464 670 1 12826 3231 1 17746 355 1 11835 7487 1 10584 891 3 362 1734 14 13302 207 1 16603 1748 1 17488 1814 1 18405 2354 2 16914 4387 1 1653 3464 1 16802 1816 12 20068 5023 1 18049 4460 1 13733 6711 5 1552 7591 2 5662 23 1 3329 7471 1 8051 2071 1 12853 6100 1 10000 5767 1 17525 219 1 19270 2261 1 8211 1374 1 16339 6152 1 14566 5997 2 19613 404 1 18507 3049 5 8343 8036 1 8582 3367 1 3406 6550 2 9935 225 5 13484 3962 1 11667 1819 1 10311 648 1 8965 3333 1 19983 6031 1 12901 220 1 15875 5820 1 13244 1561 1 3111 805 1 7507 2363 1 9604 2555 1 17088 220 1 9633 2534 50 11346 579 1 3443 1761 10 1389 2137 1 17615 1146 1 17169 3904 4 2917 3911 5 694 6394 3 2828 184 2 18798 5502 1 16276 1580 6 12491 1236 2 15766 8122 7 4960 745 1 174 7970 1 6312 215 32 1672 215 2 5943 521 1 1339 3682 15 16225 6139 1 3313 4022 1 3952 6382 2 11817 3262 1 15272 3511 1 13234 200 5 8532 190 3 16761 5083 5 20262 1721 3 11467 243 1 19727 4029 2 20137 7222 3 2629 1236 2 12462 863 8 5659 6725 3 7745 3633 1 17504 534 4 6451 4059 2 6144 1699 1 11781 5538 2 5877 3138 11 12236 935 1 1006 219 5 6539 4518 1 6375 1319 1 12506 1967 1 6741 512 5 8439 1768 1 5602 863 1 174 7943 1 18149 1237 9 13631 215 1 12807 3516 5 17923 1769 1 2930 4582 5 14063 914 1 18061 4435 26 7349 222 1 8250 3900 2 12078 4391 1 10633 214 1 2274 708 1 12711 1403 2 4985 8171 2 7611 2561 1 8450 2534 22 547 314 1 8591 3901 11 17953 2478 4 5388 1464 6 14900 8192 1 11967 8140 1 2710 5043 15 786 8145 17 13881 395 10 10739 186 1 786 6161 10 12072 6993 2 2866 1783 1 12491 235 3 13905 4038 1 16971 3892 1 3472 23 1 8198 7041 1 18099 552 1 5695 505 1 9680 4012 6 7455 1727 1 19880 7633 1 11921 7105 1 7147 1267 1 16000 1721 2 20218 1764 1 13695 7233 1 11504 1417 1 12717 5474 1 6433 57 4 14124 6204 11 5671 2358 4 8303 3686 1 18914 292 2 13787 1967 8 10337 4391 2 10733 7662 1 7065 2012 1 83 3721 4 3207 1819 10 1172 1779 1 8375 4972 3 873 2943 2 10396 863 3 6344 4379 1 14308 532 1 712 203 7 314 520 2 14736 4389 6 10856 4336 1 16378 215 6 11786 1655 1 13923 203 12 10372 1184 12 6312 2606 1 12157 7235 2 15576 647 1 4092 545 4 8082 2012 4 15192 4029 1 14886 1778 2 4970 718 1 19247 3202 1 14745 797 1 42 2177 2 14011 5061 1 6646 221 1 16358 4623 1 16259 8095 1 10845 689 1 7640 7450 6 15033 7137 1 10708 5284 3 5128 3911 5 2336 7724 1 5636 1815 1 1263 5730 9 4812 1250 2 13800 2118 1 7608 7471 1 62 2864 1 6449 4939 1 17664 7850 3 4932 2737 2 9935 1344 1 12199 7701 2 16084 1431 2 16090 7018 1 11550 5810 1 11617 5332 1 9809 4761 1 10747 5439 2 26 1556 1 16063 5534 1 12548 1830 3 5792 2534 14 6547 3076 1 11208 6551 1 4554 4293 6 13590 663 3 11960 6995 1 8289 5016 1 17589 4811 2 19995 367 2 12094 1704 1 9000 207 1 1304 235 3 16576 7427 1 5821 917 1 2797 3878 4 4954 1352 1 6304 3526 2 4984 220 1 11321 5521 1 7625 5370 1 3360 4986 3 10733 3230 5 1647 1046 7 12367 201 21 2445 5505 1 14261 214 2 19936 4379 5 11594 903 1 17331 214 1 7359 3600 6 6567 331 1 12925 1724 1 19136 378 1 2768 714 1 3693 1775 1 16471 1367 2 822 1094 2 496 184 1 17775 1278 1 16844 235 4 1223 3163 1 1174 196 1 10984 411 1 13986 2011 4 914 2995 1 11458 2378 4 5158 558 1 19722 13 1 17019 1825 1 19872 427 1 11428 2639 1 12424 4411 1 7573 520 1 14500 5433 2 15307 934 1 12118 6152 1 5684 1249 2 11050 2675 1 16179 2277 1 1612 200 3 18909 2675 1 4782 7719 2 4092 200 78 11832 2542 2 4616 46 1 11597 2029 5 16252 1615 1 10078 1762 2 19620 1465 12 1713 3426 5 14600 2661 1 11987 484 17 11871 6677 4 9465 3202 1 7147 6066 1 15147 4469 1 7862 1707 4 138 186 1 15109 314 1 19872 682 2 14284 232 2 11598 363 1 9911 1747 1 3411 1658 1 5408 3619 1 5378 220 1 12080 34 1 15041 6204 6 8269 813 1 12464 501 3 2646 753 18 11111 173 3 1986 1184 1 12569 4224 2 6298 2641 1 15106 3430 1 9637 200 2 11615 1250 5 20225 885 1 4512 3865 1 20195 3355 1 16852 2655 1 3058 4351 1 5358 2839 3 13453 222 16 20014 4266 1 1507 1728 2 12384 215 27 12322 1714 5 167 825 1 89 4044 1 17195 8041 2 19338 411 1 15789 7521 2 15307 6539 1 19826 4277 1 19369 223 6 15940 8148 26 14921 74 4 13674 1025 2 8323 4504 4 19705 15 1 11420 2737 1 17154 525 2 930 2114 2 4211 7021 1 11986 196 1 5963 2673 3 15314 6658 8 3536 6368 11 18149 1737 13 13746 191 7 5052 2241 2 4124 1275 1 4032 3819 1 12007 1235 2 17165 3190 1 9647 46 3 94 4307 2 7000 2945 1 4382 508 1 4268 642 2 18062 2653 1 9996 3945 1 10943 497 2 60 2738 15 4898 1464 1 5187 5031 1 10664 664 1 19026 8185 1 18944 7995 2 13397 390 1 8070 4179 1 19615 3845 1 16633 2683 37 3151 225 1 5838 4976 1 18258 1635 3 8036 126 1 256 401 1 18944 8054 1 8794 1814 1 19788 5115 1 4331 7891 1 3258 1758 1 19434 520 1 15075 4441 3 20122 6473 4 3796 316 2 4701 718 1 10301 6897 2 14864 510 3 8102 6145 1 11658 200 5 14784 2678 12 18056 407 2 4982 3511 1 5364 1772 1 13091 203 3 15216 2686 1 14495 3230 2 14350 229 1 18958 3233 10 1120 7554 1 18837 672 1 6806 6338 4 12243 1606 1 18914 525 1 4846 524 47 13117 7948 1 18282 3427 1 13609 229 4 745 1453 1 11809 11 1 12190 3811 1 15020 6557 1 18381 6031 3 5710 3511 4 4970 896 1 12573 1734 39 11574 1593 2 9567 188 1 7469 3584 1 3408 201 1 6854 883 7 6510 4600 2 17662 514 8 3074 4600 1 181 4844 2 10533 7136 1 3365 221 1 13547 8183 2 17855 7591 5 18866 1474 4 1631 2710 3 4930 1244 2 4559 982 6 4493 3298 3 11667 7397 2 13786 2246 2 7331 501 1 6256 1110 6 7868 7041 1 19002 7606 3 121 4203 1 108 4878 1 15950 5672 1 7480 1239 8 6332 1295 2 19797 6702 1 9447 903 1 4859 533 1 9445 367 1 3516 7809 4 7135 1760 1 16691 347 10 9433 3367 1 171 4397 2 6478 1995 2 15791 6772 1 4475 8229 1 1198 2292 5 6259 1482 2 16575 207 3 13727 533 1 19393 2971 1 6983 7541 3 527 610 1 12824 4411 1 8969 1745 1 14962 8071 5 3025 23 3 15954 5451 1 5971 4992 1 9511 3710 1 15157 3452 7 2418 2447 3 3422 2312 2 10027 1698 6 5601 200 1 13865 1363 1 1866 23 2 15882 3367 1 872 3072 2 3236 3824 2 6003 1275 2 13918 4246 1 11293 6633 1 5014 4944 1 6420 2497 1 11296 1383 1 14253 470 2 18733 714 1 8129 919 1 4498 645 1 8076 4617 2 11094 1240 1 8793 650 1 5821 710 1 1809 2269 1 8952 643 2 13543 5874 3 19026 5105 2 8198 6924 1 16709 4933 1 12182 5265 1 1986 6204 1 6867 722 1 4330 2443 1 153 6954 1 2004 1698 1 11098 508 2 3647 4367 1 10166 652 1 7815 4450 1 19996 7788 1 4157 1891 2 2886 2888 3 11841 1775 1 18315 4956 1 15870 2205 3 13437 207 1 6564 215 1 14688 1698 1 1072 1737 5 20275 3493 1 5495 5945 1 9050 2749 2 7433 8071 8 3182 7518 1 13827 1737 1 9791 196 3 3041 7413 3 10698 1302 1 10445 995 1 8054 5131 6 11585 512 8 7726 3525 1 11960 4593 1 14540 1946 1 5431 3516 2 4382 221 1 3675 225 2 14326 200 8 15920 2675 13 14755 7085 1 16777 1756 1 13613 589 1 8559 8185 1 7644 433 1 8100 6716 9 149 6742 5 4544 4145 1 15683 390 1 15750 7098 1 14836 1237 1 17028 1342 3 4363 23 3 9695 1475 1 1576 1722 1 8658 506 2 1 57 1 8264 2292 5 19608 670 5 16081 6632 2 729 308 1 6073 6140 9 5723 386 1 14015 649 1 4044 6700 20 15502 2683 1 11502 4724 1 7386 6946 2 19018 545 6 16130 850 1 19903 1755 1 18043 884 5 12345 4819 5 9598 6371 1 651 5420 3 7268 863 2 3958 785 1 19661 5390 1 18779 7831 1 1246 443 2 15146 2678 5 10772 1369 1 16502 5010 3 8397 2584 2 10930 3113 1 18091 1932 1 17171 3600 1 1279 4794 1 11786 3853 1 11349 4013 1 17383 2626 1 16943 3526 2 18936 7244 1 17163 3444 2 16560 6564 3 14077 4295 1 8242 5896 83 6726 6577 24 19131 4386 2 12136 3920 1 4146 5531 1 19764 2528 1 3488 3464 4 171 7728 1 12283 173 3 11253 1756 1 16155 7244 1 3765 374 1 2783 3257 1 10834 7518 1 19259 4944 1 15870 2191 2 4009 4383 1 10000 438 1 12459 1358 1 11294 1727 1 10391 2602 3 2914 523 7 18762 523 1 14990 3605 2 14421 1686 1 8210 4621 2 3132 7439 13 8150 3707 1 10018 1236 1 4181 6435 8 13365 1761 18 14593 2881 1 19078 6456 1 16185 4524 1 3128 4060 1 16192 507 5 379 6451 1 1600 1243 34 3638 8183 1 2772 904 1 13676 1945 5 2202 4836 1 1193 7895 1 16797 5583 1 12868 8037 1 2865 2120 2 8321 6011 1 18091 1863 1 16002 243 1 669 214 2 4708 4325 1 16943 1827 1 16817 8013 2 16630 7701 1 5407 496 1 17375 4459 9 4784 1292 1 979 3492 2 6676 6617 1 8500 470 1 3323 6252 2 445 222 1 9332 3352 1 10396 7250 1 16278 1904 1 15630 225 1 16006 8057 1 8735 6663 1 6374 207 1 6750 303 3 8368 638 1 11786 5560 3 14278 2016 1 11678 584 2 6641 13 1 3287 912 2 11059 1251 1 17855 318 1 1433 1241 1 1905 1338 2 10156 2600 5 1212 638 2 1908 235 2 8137 206 1 13076 2176 4 4268 2647 1 19143 718 2 5346 6059 11 1738 4431 4 15427 719 1 15405 404 1 19061 7693 6 13306 3081 1 8439 1781 1 4582 232 1 13696 4543 1 8709 5837 1 8450 514 1 12301 5738 1 11402 283 1 8478 679 1 7610 829 1 7387 6145 2 3718 1184 1 14722 1761 1 10426 23 6 13631 1706 1 14818 46 8 17915 1738 1 7780 423 1 11615 2488 4 3940 2491 1 18502 5994 3 4768 6025 2 819 1222 3 13961 7448 1 10283 6107 3 15323 4954 4 16887 2964 3 17152 1249 1 10051 890 2 3233 5538 1 12967 184 4 16199 2528 1 5147 1990 1 15648 2056 1 19225 498 6 15750 3411 1 18881 3742 17 1597 2869 1 17392 952 1 12147 2559 1 8866 4967 1 17819 6897 1 8322 443 1 6936 6368 9 10051 494 3 15304 1703 1 19302 3511 2 14828 2930 1 16103 534 1 8256 7127 1 18965 1747 4 17077 1374 1 11733 2338 1 14173 1369 1 11996 995 1 116 596 10 10692 893 4 15657 827 1 17378 1775 1 18692 2260 5 3826 656 1 7325 415 1 6425 1344 3 10670 6341 1 10875 624 1 19034 7995 3 11499 4274 1 18115 3763 6 9117 4629 3 5809 1240 8 1498 6970 1 15845 3416 1 11878 737 1 7049 1508 1 16848 3399 3 15608 3408 1 4138 1825 9 17889 463 1 6867 590 1 18656 3371 1 11467 839 2 13175 7244 2 6152 952 1 16050 4662 1 2832 4182 1 1715 7581 27 12267 7740 1 2046 7660 6 17726 696 1 15896 1768 1 17188 1244 3 7691 1374 5 5702 2542 1 14778 3511 1 5042 6579 4 340 2012 2 14278 4622 1 19437 898 2 8369 1237 1 13000 916 7 19123 4596 1 2545 903 3 3581 2493 1 2931 2982 1 9138 207 1 670 6544 1 18852 347 1 15858 995 20 5176 1871 2 18393 545 10 4872 1449 19 13459 3151 4 14239 1747 3 9046 2677 2 9999 3050 3 4371 6161 1 5938 769 1 3359 5325 6 5560 3233 2 15875 1183 1 2350 1277 1 4449 6192 5 14379 1707 5 8934 1907 2 10694 3167 1 14278 5255 1 8614 5477 3 11687 6150 1 13072 883 29 4693 295 1 13697 3686 1 6332 864 2 19163 1710 1 18476 4600 1 11952 411 6 9239 7600 1 10536 7408 1 17850 8190 2 15248 2380 1 12322 236 2 349 5311 1 18202 6607 2 6418 5290 3 9952 1909 11 19781 5940 1 2936 2422 1 5195 201 6 11164 48 1 124 5483 1 17930 1819 7 12553 1819 1 20119 6738 3 6912 1732 1 7769 46 1 13825 214 2 17 1103 2 15229 2953 2 12812 1761 2 9660 863 1 9999 7008 3 12528 1990 4 289 6213 3 8378 1054 2 11616 7556 1 9743 338 1 2406 4949 2 877 6231 2 5000 764 1 15653 3219 1 1269 1715 1 19912 2636 1 11137 2591 2 19471 6031 1 12423 1727 1 6944 2502 1 15683 5817 1 13534 1593 1 9537 4019 1 14867 7257 1 5326 173 1 15708 7161 2 1507 205 1 15274 1098 1 9660 82 5 11592 1251 1 19023 3869 1 13821 219 16 1065 3170 1 18237 1736 1 12196 5995 1 1498 3584 1 5515 1909 5 11327 1728 2 1078 8153 1 16481 1720 1 11327 1464 1 3739 2431 1 19380 5005 1 10883 6091 1 13750 3097 1 19381 5015 1 11835 6035 1 4332 2675 2 8721 5077 3 4332 1692 5 16244 4325 1 5177 223 1 18462 1242 1 18404 7222 2 10223 2141 5 10000 1288 1 11216 2880 1 18207 1304 2 1712 4845 1 12212 231 1 15769 2263 1 5132 520 1 1488 910 1 2704 3900 1 6544 203 175 122 5346 5 4106 700 2 16876 1819 2 19023 1692 1 4288 199 6 11450 7241 1 11595 2262 1 310 4613 1 4057 6943 1 11323 8008 7 13526 2427 1 15506 6702 24 12775 7734 1 10693 1344 1 1706 1707 1 6089 225 2 19567 4402 1 1740 7803 1 9463 3999 1 9708 57 1 8969 187 1 8528 2671 1 16570 7658 1 18500 395 1 16089 518 2 18289 4262 1 14345 2698 1 14906 4992 2 15520 1955 4 14522 320 1 5390 141 2 18001 7839 28 15619 7474 2 6184 7719 4 14998 379 1 6684 2927 1 15807 5547 2 14645 7425 1 5069 8012 1 12800 2351 1 7001 1275 1 1622 496 3 954 2488 2 14232 190 1 6649 759 1 19705 1342 13 4360 4950 1 7598 1781 1 483 3433 1 9168 1252 1 4954 382 1 9652 2061 1 1825 490 20 16699 3172 1 2951 1761 1 99 4465 1 580 6793 4 138 6315 1 3416 594 1 19331 411 17 16565 1703 1 2646 7167 1 19195 5162 6 14773 2671 1 19307 5708 29 7296 203 1 2169 1703 1 18244 2953 1 8371 7298 3 3315 3072 1 16837 5472 1 4448 1310 1 17191 5409 1 9700 3634 2 2596 1184 1 15111 5471 2 12157 7189 1 14162 442 2 20 1317 4 17748 807 1 10631 2357 1 3715 6288 1 8528 223 1 8513 680 1 11400 1146 1 7916 214 2 16978 6756 13 16464 3911 17 11766 7237 1 17392 5932 2 19272 1253 2 7400 7221 2 13389 8146 1 3396 4403 1 5357 6288 1 17390 3689 2 933 1721 2 3484 2392 10 3058 4363 1 17152 1748 7 16833 2352 1 18200 4617 2 19160 1424 2 13586 3186 11 11345 4203 1 16442 186 1 988 1182 1 2924 4998 5 13941 502 11 5676 3556 1 16997 1724 1 4183 3463 2 13865 372 3 8113 867 1 1178 5945 1 1994 6341 18 19240 1311 6 2025 4241 1 4985 995 5 6111 3602 1 12219 3981 2 12856 1280 6 14553 6595 1 1755 1737 1 14970 6383 1 20258 883 1 14923 2165 1 18158 219 1 18689 3275 2 6568 521 1 7726 3134 1 15629 962 1 1275 1707 1 7188 2649 1 6914 6106 5 4519 409 1 9415 1726 1 10404 3585 1 3043 7418 1 10498 2633 1 14516 366 1 12686 5905 1 10594 6341 1 157 7193 2 529 883 14 14643 6557 1 16472 1825 5 17816 6435 7 12782 2675 12 17662 4435 1 15881 4288 1 12030 2488 1 9402 4581 2 8278 821 1 5424 2969 1 1677 297 1 11297 3230 4 11797 2569 5 954 3652 1 12592 7719 3 13151 5517 1 14587 447 1 2452 84 1 7176 1722 2 10525 510 5 96 3019 1 3863 1710 1 9530 4309 5 14892 6826 1 10841 7152 6 70 3281 1 19833 375 2 62 3002 2 17224 944 1 3861 861 25 18763 201 1 5914 4599 1 10480 3895 10 7992 6252 2 6152 5385 1 18363 3573 1 12917 541 1 20078 1730 1 16130 718 1 7774 1768 1 16090 7291 5 17939 201 1 18427 1282 2 4170 3453 1 17378 5018 1 17406 6574 1 17302 252 2 10604 927 1 2646 1247 1 18444 1778 1 5236 2206 1 19999 2423 1 822 493 1 7359 1399 5 3200 5325 1 13060 2133 2 19840 7964 5 19231 6084 4 12615 200 19 1631 517 11 83 3782 1 3818 1496 3 7853 5303 2 1088 4395 3 11195 223 3 19579 1895 2 6261 6847 1 12821 516 2 12431 867 2 1264 1245 1 17812 222 3 19030 1672 13 13414 206 1 13972 2276 1 19872 4936 2 18371 6220 1 3435 692 1 3478 5786 1 1586 1788 1 14629 394 1 14694 2817 1 17954 408 2 1097 2683 1 12044 1748 1 605 3511 2 11022 532 7 3859 253 1 17372 5848 2 16514 6268 36 14727 5234 3 15896 4022 1 11532 3965 2 13455 4954 1 8571 3648 2 12800 7222 1 12592 2083 4 15873 1724 1 19913 201 8 486 1756 4 8587 1367 1 31 1716 6 17809 1726 2 3505 2966 1 10832 1638 1 12541 534 1 1210 4427 1 17930 1642 1 18347 2030 3 17930 1769 6 16158 5135 1 14522 502 2 14646 2068 1 9061 845 1 10280 3333 2 3634 667 1 11346 840 1 10940 597 1 2857 4394 1 15122 1173 1 18711 903 1 16546 7313 5 1801 2505 1 3781 499 1 564 8150 16 3025 1781 1 11173 5733 1 3934 401 1 14516 964 1 7123 5783 1 16403 95 41 840 4992 1 14935 3729 6 3963 5270 1 16941 1440 1 16428 1104 1 18353 7586 1 9767 1328 1 15642 7423 2 8431 1197 5 6649 3393 2 3329 2173 1 6940 477 1 9017 1825 4 3154 1339 4 18408 7719 1 15970 204 1 6837 232 25 9271 303 5 19283 5207 4 5837 8017 2 113 3229 1 4691 1464 3 73 3390 1 5433 6106 1 1653 1727 1 14690 514 2 18454 7158 1 14621 5587 1 931 776 13 17777 215 1 20275 8031 2 8386 1332 1 1814 7411 15 8110 2953 3 5882 316 1 14489 2197 5 16090 7270 1 2674 1104 1 4620 3512 1 94 4292 1 6091 206 1 20235 1819 1 5863 3775 1 5963 1921 8 16137 201 2 18696 173 3 4656 6690 1 509 4476 1 14758 2003 2 1305 1446 2 5495 892 1 20189 7658 1 5399 520 6 11314 5398 1 18270 1772 1 775 5888 4 11786 4856 2 7923 7421 2 19373 6225 1 15205 308 1 19990 1251 3 9998 1473 1 18526 1761 1 18538 3230 6 8799 4006 2 6588 3294 6 1922 7339 1 18341 342 1 10393 411 2 17343 6481 2 17279 190 1 1465 3343 5 1453 3751 1 11852 2743 2 15634 1146 4 12934 3973 1 14193 2645 10 7217 5999 4 19609 6683 6 3197 49 2 17054 1853 3 12918 3587 2 17652 7105 1 7868 471 14 13106 5499 3 16381 1315 1 8017 3900 2 935 1721 6 19649 1253 3 12269 1783 1 4771 1819 1 5464 1825 5 15324 3079 1 15258 2109 1 8013 5853 1 2652 4792 1 4946 46 1 17996 1779 13 5185 3287 1 15117 863 2 3584 4387 1 6594 759 2 14219 875 4 18158 3293 1 15886 1369 1 11866 4780 1 304 6324 1 14286 8099 1 3779 4577 1 17369 5890 1 16700 728 1 3332 2620 1 13345 4262 1 11754 1464 2 7176 1743 1 5441 1762 1 16997 2801 4 2512 1681 1 5486 3233 5 16378 2639 7 13779 3642 1 6319 7601 1 10941 3164 1 16684 1021 1 14778 1721 2 1661 3556 1 14722 7128 1 19655 375 1 6617 375 1 2716 4435 2 2552 1252 5 17379 6776 1 4898 235 1 6473 4635 2 2291 1194 1 19102 164 4 10948 2620 1 19740 937 1 9710 3511 10 18829 495 1 11333 184 3 5303 3576 1 17760 220 1 4881 1357 1 812 1296 1 7882 4903 2 15945 3551 1 17909 1453 1 14059 5305 2 13914 1996 15 7502 910 1 10575 713 2 10399 1762 2 12663 411 11 12399 859 1 7017 4591 3 15932 4703 1 2985 810 1 17872 203 1 17625 5082 2 13373 438 1 209 5904 1 8378 2098 1 12685 4554 1 8153 6779 3 12409 6213 1 5637 7719 2 6513 3766 3 18052 1722 3 11769 431 2 5778 4967 1 4505 1752 1 19030 173 3 3304 442 1 6724 837 1 12766 650 1 6867 467 1 4880 648 1 2784 1245 2 5704 8184 1 13075 6914 6 2293 6663 4 10025 1796 8 3249 221 12 7073 6552 2 17505 158 1 6621 1509 1 10019 1184 52 12662 201 3 15429 4680 1 2596 1076 1 5842 225 2 16197 207 1 12928 2356 1 10684 5395 1 10245 8047 10 19091 3679 1 15103 5018 1 16566 1760 2 11726 2132 1 2123 3901 1 9315 2356 1 123 5364 6 17159 3410 2 4498 413 6 14259 1769 1 16378 2675 10 11964 1757 1 4356 519 2 18939 7746 1 13542 206 1 16189 2963 1 6834 1242 6 17813 151 1 2885 541 1 8995 557 1 12312 236 8 19761 2902 8 3663 842 3 17001 3621 1 15272 498 1 14055 4447 5 10724 2877 1 12023 5408 43 7838 218 1 16612 531 1 8840 5814 1 18286 164 2 13508 461 1 2458 4979 1 13574 7689 3 3703 1695 1 7853 659 10 15932 1250 1 6521 840 5 12350 4027 4 18422 8017 23 4305 5323 3 17416 184 1 340 7106 1 12269 2559 10 11637 3775 1 13384 2514 1 10119 367 1 1943 4352 1 19840 883 1 4969 4949 1 5541 1380 1 12143 3693 4 19069 3177 1 16836 6107 2 11823 935 1 4716 534 1 6552 205 1 164 7515 3 17120 2727 1 3793 330 4 10436 1357 3 6579 4935 1 8926 2542 2 135 6162 2 16279 201 2 9195 1359 1 19995 4107 1 16057 4280 1 18263 1741 1 19648 367 1 9187 1235 1 2508 4447 1 6966 4389 3 4853 8184 2 14773 867 8 11549 108 2 9763 3511 3 18608 252 2 14632 1184 2 4045 1482 1 9721 4937 11 1530 4404 1 18071 3006 1 10754 883 1 5695 2731 1 5977 219 30 17058 817 3 14522 4764 2 17809 496 3 17861 4199 3 9894 2014 1 2 106 1 16767 6152 1 1279 3605 1 12821 793 1 3805 4957 10 16119 8203 1 2980 7531 1 96 221 1 18508 1317 1 2480 6268 2 124 5400 2 6051 4579 1 14813 7850 3 11511 191 1 222 488 1 17662 520 5 17763 5018 1 7750 3911 9 18101 7911 1 3683 203 5 10879 6334 1 11687 6198 4 453 1775 11 1997 214 1 9534 207 3 6957 235 2 16659 3113 2 8088 825 2 5688 1737 1 9511 5922 1 4708 1706 1 16417 3798 3 20268 5513 1 4626 6993 1 1612 4413 1 9660 5903 3 6889 4435 1 10681 3493 1 65 3108 4 2726 3660 1 10135 1758 2 4715 201 1 1905 1151 1 4625 4274 1 10811 1241 2 7089 809 3 16378 367 1 13346 1737 2 18526 1342 3 19480 1464 1 14544 3361 1 8594 1344 1 1864 545 1 18619 589 2 18408 232 1 2799 3637 2 2560 525 22 10455 433 1 3100 1146 1 5982 1677 1 8930 1752 1 20202 1921 46 13526 6231 1 14993 1312 1 4307 1718 1 19605 1356 1 5033 4245 6 13027 1110 1 9511 2702 1 2048 7238 1 4763 2232 16 1551 1739 1 14234 228 3 6232 5020 5 4237 7719 3 3233 5672 3 8198 4022 8 5944 220 1 17066 7535 1 8639 6181 2 5672 889 1 4332 219 1 4368 1466 3 83 3858 2 1654 1395 2 4323 3378 1 1748 6758 1 17607 3195 3 9909 4597 1 1464 1374 1 12384 514 1 11098 1401 1 7815 4623 1 6348 722 1 5478 6783 1 6323 2074 1 14492 8162 1 309 1172 1 7437 219 1 11220 4784 8 1518 222 1 18691 3511 3 20170 3511 1 14988 380 1 2223 222 1 16052 6609 1 2833 1743 1 16090 5324 1 18778 4293 1 17257 769 1 17188 7201 1 7137 1769 1 16860 891 1 190 4258 1 18603 2981 1 12440 954 1 11786 1909 12 15238 1096 1 10136 2880 1 3581 5036 26 13046 1761 1 16406 1727 1 6364 3333 1 4524 2699 3 9854 995 1 16694 5715 4 17414 4459 1 7315 2256 4 5404 5018 5 18465 220 1 18544 1244 6 12053 3233 2 11354 238 2 6309 5153 1 16175 1721 1 6589 7474 8 2911 7027 1 3524 959 1 6756 205 1 3556 6053 5 853 1354 1 12817 1366 1 2942 4090 1 10584 252 1 7154 4351 2 10840 3911 1 16797 8155 1 17134 3897 1 2341 1250 1 20191 856 1 4388 5779 4 16994 219 46 18751 888 2 1757 4963 1 17068 3477 1 17850 4435 3 10049 3230 26 592 1121 6 2602 1814 3 7565 1819 1 2343 1774 2 8668 201 18 13 663 1 5659 5953 2 7952 2129 1 6183 1814 3 3406 2552 1 15680 296 1 8013 252 1 1151 1965 10 1963 3915 1 6183 471 1 14979 4366 1 10417 1244 1 9224 629 2 17892 919 1 8102 3909 1 18113 365 1 18259 2608 2 17494 1741 1 3824 7881 4 13928 7857 1 18850 1245 1 10650 214 1 19489 1312 1 6758 1164 4 16388 1904 3 8022 308 1 4054 6705 14 18198 8071 1 17566 3679 3 11084 1781 3 9693 252 5 2473 5286 1 17440 5292 1 19523 1199 1 16067 4268 1 5433 723 2 7916 5571 1 10720 7308 1 4840 4748 1 31 23 7 14376 95 2 9431 188 15 18447 1312 3 9797 5265 3 18071 7931 1 16249 5132 2 857 1245 1 6749 1235 2 1379 365 1 3380 1245 4 5204 765 2 4894 520 9 3826 665 2 171 6777 2 16590 4501 1 12592 525 1 13 572 1 3837 1471 1 15177 4780 3 18314 215 2 7774 164 3 16754 2569 6 19855 2673 1 9640 23 1 4620 3227 2 476 2880 5 15608 1747 4 17505 331 2 4311 3911 1 9546 565 1 7685 1240 33 14146 577 2 1711 911 2 17884 411 1 14171 3619 6 17771 4384 1 94 4328 5 10605 2443 1 10050 223 1 10 346 1 4767 10 1 3323 1996 1 15429 514 1 733 4723 1 18981 151 1 10240 350 2 4716 1247 4 17461 6661 2 3189 6057 2 19726 1654 1 19532 1996 1 15318 5018 1 1883 2363 2 469 3909 4 15934 6435 2 433 1789 1 18133 223 2 958 3276 8 6712 671 1 9628 764 1 13306 3916 1 4498 477 1 13535 532 1 914 681 1 17058 6969 1 4660 6342 44 13965 7094 1 8076 3813 1 8575 6167 1 14993 2169 3 11935 5572 1 9909 4595 1 8585 8178 4 6451 5917 1 19594 2739 2 8723 7477 1 14322 7976 1 17331 1363 1 6332 284 1 6524 5559 3 3264 507 1 412 2632 1 2304 2675 2 8614 7172 1 13126 2508 1 9783 2494 1 7641 7695 3 14552 6132 1 18211 5863 1 10709 1342 9 15223 5054 1 4934 5399 5 11385 1781 1 17563 6231 30 17848 2249 6 19859 6442 32 6259 7422 2 13097 534 4 2911 5266 1 13042 1374 2 13320 2384 3 6269 1816 1 9246 7406 1 4218 6404 2 7029 498 6 14406 4334 1 19908 615 1 15618 1190 1 7575 1721 1 15064 273 2 1178 7840 1 2174 6107 18 11253 2027 5 15508 2344 1 3992 1007 1 16513 1407 2 10554 785 1 10734 4779 4 10416 1748 2 2322 6190 1 626 7988 9 5507 2355 1 16266 1249 2 14197 411 11 16490 5553 2 17913 5090 2 12814 214 1 13467 3891 34 6706 6710 1 17058 653 1 14964 6999 1 13115 5083 1 14618 4060 1 6228 955 1 18549 1778 7 9477 3020 1 18781 419 1 4812 505 1 18320 4252 1 13672 4366 1 3175 471 1 13184 1307 5 1520 891 1 803 7515 1 14018 7238 4 19486 1819 2 18112 2184 1 10266 1885 3 10213 2645 4 9828 1747 6 10442 1095 1 9725 2602 1 12811 4088 2 2885 1548 3 113 1776 2 4299 361 2 9597 1731 6 16096 1819 5 8680 201 2 4305 884 2 11968 2877 1 16979 203 1 2900 4501 1 105 4710 1 12337 1235 2 3501 4365 4 3915 1727 2 10549 215 6 4305 2618 1 14173 1307 1 12543 1784 4 3250 4803 1 1900 7403 1 9604 4312 3 18226 229 3 15852 7120 1 2079 939 1 14296 6288 1 15184 529 6 10636 1740 1 3829 7461 2 9897 663 1 18440 2908 1 17983 1718 3 18913 3432 4 19232 2358 1 3698 3504 1 13646 1082 2 652 4967 1 6313 5819 1 18590 1244 5 14120 1741 6 1948 952 9 10584 2143 8 2284 1784 1 452 2661 1 5756 5468 2 542 1303 1 5833 1244 2 992 1729 1 12745 6457 1 3397 719 2 11312 201 4 8099 6756 1 181 8222 1 8017 524 3 177 8165 1 20108 893 1 2559 1649 5 2377 3694 2 17331 3743 1 17369 7672 1 20002 206 4 12393 3329 15 19393 60 1 9104 4803 1 18866 1407 1 45 2346 2 6769 370 1 14298 7424 1 8528 6342 5 17322 5550 1 14778 221 6 19485 1312 1 12837 6551 2 12985 2138 2 19155 423 1 10064 525 8 14800 718 1 15807 6252 1 948 3865 1 10969 2560 1 16093 4949 1 3751 2357 1 7879 3117 1 9188 5311 1 3434 2058 4 8196 7594 1 4417 207 13 19632 7404 2 7736 3697 1 16652 200 1 18176 8184 1 139 1734 1 7463 399 1 11914 840 1 5315 6640 1 4330 219 1 9584 3972 1 19033 4373 19 10993 5297 1 12629 7834 9 16775 1062 17 17843 3702 1 9364 7136 3 5315 2883 7 15687 61 1 9453 706 1 14158 6658 1 9104 1363 1 8535 3114 17 8327 3235 1 13091 7227 1 17399 5774 1 4472 1249 1 17992 3827 1 6428 2488 1 540 3081 3 2803 3851 1 3521 2849 1 873 885 2 18516 982 4 10887 2044 1 17174 6103 1 2282 205 1 14558 7404 1 12140 1729 9 15544 2645 1 16645 207 3 4318 1146 1 5019 3696 2 12824 3206 1 11267 6270 5 18986 3278 1 3287 818 1 171 7672 1 18575 2729 1 19278 1779 4 5199 7486 1 1551 4621 1 17703 203 2 6431 7477 3 20042 869 1 8351 7420 3 1300 1606 1 14196 1747 1 3213 1150 1 121 5285 1 13111 6659 1 17120 2363 1 17740 3117 1 9231 5099 1 10223 2351 2 1625 548 1 4115 8156 1 2334 7636 1 8598 5538 3 11145 15 2 16427 167 9 2723 3455 1 13778 2881 1 15362 1243 1 8362 3671 7 414 3287 1 5065 499 2 8074 1728 1 19272 244 3 2079 3355 3 11476 225 1 9714 6107 4 18407 1198 1 17078 526 1 15864 519 1 9521 2512 1 9242 1710 10 13164 995 1 16916 5315 1 7599 4403 3 12690 4206 2 12837 1518 8 11192 6505 1 12112 3005 1 15263 3167 7 15128 2356 2 20248 3854 1 16610 7950 1 7564 3020 1 745 1424 1 16048 70 2 19645 1193 2 5752 223 5 10883 200 2 20120 1537 3 19602 1128 1 68 3248 4 10883 7275 5 18149 1729 1 19324 523 1 413 7105 1 3337 841 2 5100 3622 1 19286 498 2 10051 3627 1 10670 6784 1 13519 5690 7 6899 3511 8 11367 1184 1 11928 1667 1 19217 917 1 6700 1946 4 113 4613 6 1529 4435 5 19229 2969 1 18415 7680 1 17436 6543 1 13779 925 1 2839 3409 1 2153 519 8 10202 244 1 4970 939 1 6789 6713 1 4538 3397 6 6483 530 2 13634 792 6 1025 6232 1 13358 244 2 9776 582 4 11984 2870 1 8374 3445 1 10916 933 1 4599 244 1 4898 6181 3 15932 1309 1 16169 8109 1 16240 2296 2 7604 1137 4 939 201 1 2917 3534 3 9904 1453 14 6876 519 1 12337 222 3 14358 1916 3 14298 2686 4 18654 232 1 6088 2424 5 12403 1717 12 1677 8159 1 5469 3430 13 13517 225 1 17828 2521 6 11346 2062 1 4886 1237 7 11766 1244 2 7070 4069 1 16278 7343 1 11799 4312 4 160 7279 2 4132 919 1 7751 5532 1 6856 1764 3 15740 2353 4 15750 443 1 20211 1416 4 4454 7598 2 11786 253 8 10319 1764 7 8108 7271 1 16429 6414 1 153 6057 1 10176 1903 1 7028 223 10 4784 525 3 15585 6480 1 133 6066 10 12064 167 2 5264 3024 5 16984 802 1 8515 2686 6 15936 1238 2 3520 470 1 19136 221 4 9011 4218 4 14966 2869 1 8872 2109 1 18944 496 2 7136 4573 1 17127 2735 1 15098 252 26 11987 1748 1 3962 2103 4 14055 8183 1 10961 541 5 314 1757 4 17756 223 2 16600 931 1 12413 191 2 11461 1715 2 19460 2356 1 19930 3540 1 12693 23 1 3900 4037 1 4092 2419 2 18149 1732 9 9144 1685 1 7435 541 13 13246 2803 1 17498 1338 1 8934 3840 1 4947 6574 1 19759 489 10 2267 5256 1 12529 1266 3 8105 1217 4 17586 2675 1 14611 5516 2 12868 7410 1 140 6453 1 9430 5391 1 2371 6159 1 8415 7131 20 5660 201 4 9367 2327 2 11577 2065 2 413 2739 1 3417 495 1 20275 4308 1 4327 1730 2 7622 4783 1 13730 7710 7 2198 7397 1 3397 906 1 689 4961 2 19538 7477 1 4532 1253 10 11899 6669 1 950 6247 1 7299 1819 6 5250 215 1 14700 4284 1 16531 338 1 12491 853 3 18561 2515 2 8394 2517 1 8255 10 1 1689 4288 1 4095 2836 5 13180 6278 1 13312 6682 1 1308 1762 1 15566 184 5 14810 6150 2 81 3230 19 18348 6713 1 13857 1249 1 14052 244 2 5634 4375 16 17523 3410 1 2670 1343 1 1712 7824 1 18060 496 1 18508 3786 1 1884 1819 10 11714 625 1 17885 1630 1 19989 175 7 8323 467 1 12615 5441 1 5140 6993 1 18158 4706 1 5573 4248 1 19725 6152 11 3607 2481 2 18721 6631 5 2819 206 1 11279 167 3 11890 3334 2 6922 205 3 5448 519 1 8761 2097 5 12369 1955 2 2243 3911 8 13264 5997 3 1172 292 1 18533 2611 2 15471 656 1 11956 496 3 684 2626 1 19250 4006 3 20071 203 7 14946 1332 2 10973 524 15 6591 1357 1 873 7536 1 3333 6640 1 4493 336 1 11080 5444 13 15456 5019 1 10967 5100 2 13203 2369 1 8729 7947 1 3749 3587 4 10973 1363 2 67 3227 3 16546 344 1 5501 5696 1 17846 6632 1 6283 5559 1 14889 1983 1 15052 2686 14 1769 1647 1 13088 1363 1 10633 2416 1 4573 6418 1 2445 6600 1 7652 1731 8 18914 23 1 11192 3787 2 8076 7701 1 16059 23 6 17772 1250 2 9677 5513 6 9104 3161 1 1771 7245 1 15939 232 1 4287 2262 3 6535 5730 1 13824 5783 1 18754 8168 1 5785 4325 2 7560 7336 3 19309 1188 1 15272 225 1 2807 351 1 2006 7259 5 724 6442 1 9596 891 1 7573 1747 1 17432 2675 6 15940 2242 2 17379 2686 1 15712 4979 5 16254 1131 2 3100 524 1 1987 1455 2 11877 1710 1 2143 201 16 2249 1745 1 5117 820 1 4092 947 1 11592 3823 1 10114 4264 1 6644 3974 1 16267 303 5 17887 1686 2 6611 3326 1 17946 719 1 3963 95 3 16018 7013 1 18053 1751 2 17505 252 2 15996 1748 2 8518 1236 5 12818 5127 1 12373 763 1 7560 3338 5 911 1539 21 6966 1748 3 13920 200 32 2735 6488 1 135 6237 3 12345 1743 9 7286 1703 10 20 1286 3 12279 1275 10 384 2569 1 297 7542 1 13829 252 5 462 962 1 1862 3467 3 15238 4884 1 14446 3511 5 1824 1946 2 3086 792 2 6513 196 6 9462 7534 1 4631 2552 3 91 4110 5 12592 207 1 13 316 7 10554 2981 1 14143 8035 1 19085 1567 2 94 4246 1 124 5551 1 14059 2118 1 8890 867 3 13905 7187 1 11990 599 1 12166 7233 2 1958 2691 1 19135 365 1 594 2735 1 6527 377 1 4458 2114 2 15429 534 2 8760 382 1 2127 7355 1 3029 1747 2 15471 5257 5 8154 1424 1 8780 2958 2 15743 229 2 2087 225 1 7721 1374 1 7363 2626 11 11496 5999 1 12184 1471 1 10947 1747 1 20185 5690 1 4960 5594 3 81 3643 21 2175 514 1 1326 1990 2 13432 3647 1 8872 3531 1 8118 191 1 20082 644 1 6230 1296 2 11335 5758 10 3972 6542 1 1372 206 1 19186 207 1 16768 2433 1 12909 6754 2 1712 1145 1 265 5999 1 7278 6220 1 9714 3840 1 2853 5586 1 7674 5328 1 12081 2407 1 5813 7980 20 778 637 1 19058 6185 3 19393 2968 1 14233 2480 4 1969 4499 1 15147 4454 2 4490 173 1 15982 1761 16 3302 2980 3 4844 2534 2 10967 470 19 105 4723 1 9803 1770 2 7832 1757 2 15542 425 1 19160 7940 1 8212 3219 2 4499 219 2 8361 1768 1 3189 1307 1 4631 539 5 6433 1999 6 3311 1688 5 7742 1710 4 16036 1685 2 704 378 1 4796 1076 2 3423 6053 1 16925 1277 6 6677 1314 1 35 1890 4 1198 2356 7 7166 3308 1 17946 6029 4 9912 7998 1 16878 187 7 14023 1416 3 473 6741 2 8544 4818 1 8913 84 1 12201 173 1 19578 3799 1 5677 6539 2 5075 6715 1 11297 4623 1 9473 1019 1 18886 667 1 8676 4059 1 17494 1756 2 18081 1783 2 9606 910 1 10313 191 10 8525 6214 1 16775 3942 12 9919 665 1 322 1334 3 8624 1271 8 8129 8121 5 10176 500 7 20191 1717 2 8694 2845 2 10957 4998 5 11786 227 1 9445 1707 1 14079 3883 1 15718 3884 1 3287 893 1 18687 200 10 11237 898 2 9639 3590 1 7297 508 5 4320 2534 1 17005 1962 1 6159 5054 1 2560 3869 2 12553 470 1 110 5003 17 1454 3715 2 13865 1395 3 18150 4616 1 2103 2356 3 16130 2488 1 10698 743 1 17591 7244 1 5804 2384 1 18968 2383 1 8394 371 1 5316 449 1 7991 1249 1 12970 3140 1 8438 4206 4 20090 4404 2 16844 4142 1 2533 3911 11 1142 7191 11 18681 674 1 19072 1777 2 18992 6480 3 8391 746 1 7710 716 1 5436 203 5 5505 4952 1 10472 4404 1 19774 367 2 11714 3378 3 2458 6370 1 11099 411 1 18169 6139 1 3915 173 1 4629 7413 3 4778 1466 1 9071 1062 2 6333 4729 1 15364 962 1 15832 1748 42 20180 225 1 14522 785 2 850 1764 16 7208 910 1 6618 215 6 5213 2749 4 13905 1764 15 11465 1337 22 8435 881 2 4147 1658 2 992 4452 1 11387 6164 8 14434 3119 1 3765 1819 8 5172 518 3 13209 7703 5 1670 4635 4 348 199 16 1241 4623 1 10333 221 1 1584 7801 6 7415 3669 3 17757 1091 1 171 7631 1 8913 1046 1 6806 215 1 11238 1267 1 1758 200 4 5863 1208 1 3474 3143 1 16259 1450 1 10254 1762 30 9743 3283 1 10146 883 1 12904 481 1 11756 1613 1 19752 6198 1 8321 2656 1 10171 6065 2 739 1721 1 14522 559 1 11179 4245 1 14836 7850 1 5817 5266 2 18639 7570 2 7252 422 1 15909 6102 1 6427 1848 5 3580 2401 4 17988 1700 1 8754 2295 1 8597 221 6 18999 506 6 7613 7986 1 16961 1091 3 18687 207 10 1389 226 1 6510 1302 2 7065 1193 1 10734 8217 2 4976 1718 1 14861 7381 7 5993 1743 4 10979 6168 1 11181 2445 2 13320 1710 3 13721 184 1 1078 8154 1 8975 1235 3 2535 2571 1 18859 3863 1 83 3843 1 4018 216 1 15850 2743 1 4305 129 1 759 4250 7 10787 2316 1 13816 1705 3 10316 3645 2 6425 5187 1 18696 7427 1 12919 1664 1 8118 526 4 16700 615 1 6774 6349 1 13252 2109 3 1145 3556 3 11411 303 1 4292 8194 22 19744 1311 2 7286 2392 4 10791 1736 4 1242 206 19 4284 200 12 15585 5294 1 1316 1145 3 13280 561 1 6724 8108 7 2876 3540 127 16388 4444 1 16636 1170 3 4237 3421 1 18879 201 1 16887 4909 1 2384 975 3 18608 512 1 11017 6334 1 14729 23 2 14814 1663 1 2985 814 1 130 313 1 13537 5941 1 3156 490 12 15368 4486 1 4685 1686 1 3524 471 2 15192 648 1 587 411 1 143 6524 1 15041 4245 1 2771 2191 1 15932 8122 1 16137 1245 1 5709 3163 1 18445 5298 2 11202 7967 2 1036 2508 2 18689 4351 7 15138 3367 1 2221 3608 5 2376 4296 1 113 5070 12 9186 2227 1 7471 995 2 14296 682 1 14560 712 1 15599 2181 2 5865 6922 8 1009 367 2 12087 5043 1 19470 5730 1 10404 3358 1 19637 5874 1 2583 508 1 17475 3143 4 17290 2114 1 5911 3885 1 17060 200 3 19029 6108 1 11914 7895 2 10856 876 1 108 4847 1 11362 1252 2 6686 5292 2 5453 536 15 14527 7030 4 11479 8076 1 18982 2632 1 19863 6892 1 11253 4328 1 17950 545 3 1592 4724 1 9508 5268 1 6003 190 9 3397 5289 1 9050 372 1 5468 4512 1 10498 6561 1 8377 5826 1 3014 6756 1 17153 2980 6 99 2980 1 16311 634 1 9412 1238 1 5031 476 1 7805 1751 2 18450 959 1 2473 616 1 13941 3682 1 9250 917 1 9948 23 1 13017 1231 1 15712 3275 6 18546 4217 1 19688 206 2 14059 2000 1 14908 1997 3 18906 903 1 18187 6102 3 70 220 1 19821 7105 4 1842 4311 1 18510 3511 3 20057 6167 3 16500 219 6 13628 7415 1 16853 1341 3 16546 1203 1 14170 2786 1 1790 7018 3 5907 7382 1 17502 6229 4 17404 8158 1 1312 2344 1 19816 222 2 11871 2636 1 12819 1647 1 6202 6442 1 1296 3069 4 16726 5741 1 8406 1738 2 13387 7583 2 9359 2439 2 4030 7840 1 2917 5398 1 2772 6482 4 17700 3311 1 5823 215 4 148 6718 9 939 1758 1 4593 881 6 14211 1784 6 10664 267 1 14926 1250 12 16395 1737 2 9891 506 1 15065 7761 2 14773 411 7 8198 3604 1 18390 1449 1 11890 197 2 3397 956 1 4346 4435 10 20074 6167 20 16700 656 2 164 7453 1 13254 6268 1 4332 4325 2 7334 643 1 10973 4724 5 15881 4303 1 17132 3011 1 15310 5341 6 1995 6330 3 5126 5432 12 6760 1315 10 12141 441 1 15470 1819 1 9700 165 20 9389 3255 1 6776 6414 15 616 385 2 18890 2675 41 1884 207 13 12279 1695 6 6993 1990 1 8580 1407 6 12207 221 1 12431 6897 5 18876 3266 3 5681 252 5 14148 2184 3 49 2478 1 4232 1367 1 6100 1363 1 3337 5325 2 10978 941 1 15579 1472 6 12286 229 3 11164 205 8 17662 184 3 5943 6435 1 91 4120 1 16646 10 1 8820 718 1 17046 3059 1 11478 2894 1 815 505 9 17664 1814 1 14377 6639 1 18370 1164 1 19237 4392 1 7849 1356 2 4825 7997 1 18822 670 2 7183 4929 9 10307 3956 1 18415 6537 1 5337 207 4 16755 6481 1 12464 1748 4 20029 7624 1 1421 1737 1 13928 837 1 12184 6204 12 18852 8017 2 13821 6132 3 18289 4284 10 19143 578 1 9141 411 1 14037 6663 1 11008 1781 2 3484 2412 8 3085 1366 1 5787 219 5 16588 2402 3 19995 709 1 4977 1399 1 18211 2133 1 18862 1972 2 16539 1990 1 4417 203 18 2302 2626 13 2645 23 2 3797 2508 5 5179 1825 2 7481 518 2 8859 2369 1 787 4033 1 61 2751 1 14300 7054 4 9566 5730 2 14091 7167 1 4561 4022 12 16816 5515 1 2980 2118 3 15830 6225 1 178 173 1 14522 2662 3 6690 201 3 5124 5873 8 1175 7593 1 4092 5829 1 11453 227 1 10856 534 1 14767 3188 1 15618 1259 1 1952 3602 2 15199 545 1 12521 727 1 5265 6690 1 8552 203 1 12306 7706 1 13280 4245 1 17762 7210 1 9660 4653 1 17173 2114 3 11533 872 1 1517 525 1 9574 512 9 11561 1248 1 3416 5888 1 6983 1612 2 1056 6533 3 3725 2497 5 9547 1296 2 9568 354 2 9603 215 1 14462 252 5 77 3510 1 13 765 11 11 385 2 11322 2132 4 17664 7570 2 5854 5253 1 3023 6341 2 7455 1166 1 3005 905 3 12149 2675 1 8438 1342 5 745 1707 1 689 4959 19 11026 7928 1 14877 2481 7 1302 4296 1 8343 8026 1 7910 6253 2 6891 2736 25 12254 533 33 9916 891 7 1612 3276 1 6717 1721 4 5048 1342 3 5731 1747 1 16327 2350 2 6561 3679 2 2792 215 1 11591 656 1 3879 1623 1 12739 5292 1 16560 1342 2 10837 4403 3 14728 745 1 4092 4006 1 14381 219 15 7052 6702 12 12013 7829 1 6630 8040 1 8806 3742 5 17258 95 1 19239 1244 1 18248 3168 1 1070 3180 14 340 371 1 19504 184 12 19655 6744 2 3128 5559 1 19835 5362 5 3395 1720 1 337 1731 2 185 5058 1 3119 201 4 7184 1764 1 10340 164 4 14857 3515 1 11878 7705 1 13602 891 11 551 4436 1 10684 1770 1 19316 7805 1 8243 7511 1 12765 94 1 2570 457 3 13850 5245 5 16881 6343 4 1191 1751 1 1507 411 1 3823 4599 7 4389 2355 16 12481 222 2 2515 3059 12 17522 231 6 10333 1363 1 16294 23 1 17865 258 1 19306 1234 1 14124 165 1 3561 5253 1 18410 519 28 14060 2860 3 9947 692 1 19332 6231 2 92 4130 3 8867 23 2 17257 2997 1 153 2552 10 17806 3172 16 83 3826 1 17431 229 5 7760 5328 2 2333 6086 1 18371 3913 2 6835 416 1 6798 7924 28 3352 7665 1 18133 5541 2 14089 197 4 15593 1081 1 19713 6059 4 6940 7769 1 11814 6220 1 7527 7399 5 13546 8012 9 9168 2344 1 6912 2555 3 9771 1610 1 4268 2082 1 15614 1969 3 17555 1703 6 8966 4614 1 63 3045 1 333 5394 1 16242 1345 8 7896 7229 2 8318 2351 1 17655 2356 3 6489 7240 1 19185 2357 1 4888 1518 2 5573 375 1 76 3509 2 18878 2534 1 6907 3370 1 18071 2815 2 6183 1730 2 16653 1629 1 6838 2936 1 337 1734 5 17555 187 5 11243 10 6 2885 2899 1 14896 303 1 19060 495 8 8067 6345 1 7245 1374 1 16348 910 2 5738 862 6 11345 4518 1 6421 957 6 7652 6150 1 19984 188 2 14297 3937 3 16626 5428 1 13112 1731 2 4880 926 1 3968 2097 1 8737 4006 2 11086 864 1 1484 1497 1 14001 11 2 19760 5126 2 15930 2552 1 12870 2338 17 16683 4992 2 17597 445 2 10264 5852 1 14349 1395 1 8629 7809 1 12326 883 1 17589 8230 1 11198 1593 1 1062 4657 3 9768 2853 1 7227 1720 1 15188 2860 1 348 292 10 14 981 1 13537 738 1 3168 1757 5 19416 7734 1 2708 930 1 14406 4322 2 5617 4518 1 19910 1743 2 6859 1137 2 3708 3425 5 5174 10 3 11220 2409 1 4763 1518 6 17378 2250 3 11156 6196 5 16090 1043 1 19814 1236 1 9604 206 10 11938 1703 7 18772 1729 1 7194 2759 1 16331 2678 5 6018 2890 11 8621 3228 1 19351 5331 1 2310 659 5 4603 1304 3 2529 652 2 4575 385 1 12977 225 1 14682 3972 3 9515 1395 3 16758 5451 5 18325 737 1 15657 227 1 2318 1788 3 9433 1302 2 10297 1717 1 16308 855 2 2964 416 1 6497 7098 3 4189 5725 1 1026 407 2 13 704 1 15306 1706 1 16870 3027 1 1706 2355 2 13126 2511 1 10036 4807 4 10150 2338 23 7291 3276 1 8833 5670 6 20215 6101 1 872 2019 1 17521 7719 1 4860 5254 1 15412 1758 1 4640 47 1 17382 3219 2 11546 1717 3 5459 2729 10 10498 2516 1 4082 252 2 12064 252 1 15180 793 1 18887 1728 2 5156 6213 2 16321 2885 1 5111 2649 7 4093 201 3 18587 8171 1 10391 903 1 17896 7094 2 9567 4378 2 17950 1249 1 8323 3711 1 12812 1235 1 10404 5330 10 8946 778 2 7188 232 2 19872 6897 2 10145 1176 1 171 5047 2 14295 8172 3 15326 4314 1 8342 1197 5 4670 508 3 14168 880 1 3468 74 10 6173 167 1 14409 1776 1 3491 1775 1 8819 3921 1 2067 4435 1 17428 2360 1 8110 878 2 11489 1342 1 4735 1342 2 113 5043 2 9445 903 1 10049 1761 1 14599 848 2 6458 214 1 11766 5820 4 4683 5243 1 4050 723 1 16355 2626 7 11122 4387 5 3877 3885 3 7524 514 1 9847 203 4 17083 2730 1 16636 5532 13 16303 4427 5 10890 1305 2 5319 229 3 11418 1239 1 13680 2897 12 4095 5395 1 1847 4810 2 5776 291 4 11702 420 1 10090 4597 1 9432 2342 1 13858 6865 1 934 8099 1 10349 1825 7 7382 1720 12 17541 1428 1 4977 6152 2 1544 6383 1 7181 2312 1 14381 4622 2 2414 5425 1 140 6446 1 7383 7506 1 94 4288 5 5943 6159 1 16109 398 1 15653 4657 1 14519 4635 5 14945 244 3 4078 4012 4 7184 863 3 6690 2246 1 10661 1245 1 8671 776 1 16719 200 2 19344 7091 1 3189 173 1 14301 1116 1 10361 221 1 12757 47 1 15141 8153 1 7147 2056 2 6535 379 5 2701 3851 24 2801 4498 2 6570 2829 1 7443 8116 4 7306 310 2 17177 389 1 15706 2383 1 4147 1660 1 3536 1884 1 18546 6102 1 12731 7210 1 19069 3161 1 9935 2720 1 19428 2020 1 18933 1762 1 12725 3414 4 6541 4090 1 14784 201 1 1292 7353 21 5103 7178 1 11014 2013 2 14473 809 2 18367 252 9 86 3981 1 11085 545 1 14692 523 1 17395 3572 1 4620 1761 2 909 2316 4 8528 4998 3 1597 690 1 10536 3011 1 14901 634 1 8397 6658 1 19558 6100 1 1021 1454 1 1206 7022 1 17 1087 1 4847 6680 1 1962 3760 1 18174 270 1 14321 3492 1 13192 1184 2 4627 3145 3 14196 2577 2 19820 4566 2 11709 7612 3 15220 357 1 4092 7844 1 14595 1147 7 8548 232 1 7820 7883 2 16440 3109 1 4304 1737 1 17199 1464 1 996 6545 1 13302 867 1 18508 1304 3 17474 7570 1 13735 1757 1 18705 173 1 5696 2438 1 15691 1317 1 542 5566 2 5631 3787 1 18681 828 1 9093 229 3 7994 864 2 14287 3894 1 103 4661 3 15613 2804 1 3962 512 1 3617 6031 1 9521 1416 1 17797 1738 4 8965 1728 2 14412 1 1 12429 5386 2 1035 303 1 18765 534 4 11835 7518 1 3239 5422 1 11461 514 1 7312 1482 2 16321 1269 1 17767 6482 2 18455 5685 1 19774 6943 1 761 2360 1 2959 1724 1 15001 6106 1 14059 4107 1 1363 1677 4 11981 4606 1 14834 2557 1 8435 702 1 16546 3538 2 3882 5476 1 6773 5486 1 8528 508 2 5025 525 6 787 5000 1 5185 437 1 5685 634 1 19538 6484 4 8509 1175 3 8555 470 5 104 4681 2 189 5212 1 3939 2682 1 3085 8183 1 12280 1781 1 3602 175 1 19331 222 5 16238 3556 1 16758 2357 1 11517 6252 10 6554 5538 1 7983 4311 1 19156 194 2 5452 2409 1 12311 1395 1 3309 1656 2 4550 6717 1 5908 1770 3 4481 219 1 12109 7883 1 17983 184 2 6749 8010 1 15405 2493 1 6601 3748 10 8920 995 1 10397 1792 1 3755 4615 1 16028 1245 1 3849 1956 2 14823 3531 9 3286 3367 1 17998 3909 1 15757 3020 1 9445 23 1 12936 533 3 1073 1178 3 12299 221 1 6815 665 1 83 3713 1 11066 1707 1 19315 5583 1 2333 5345 9 18526 1247 1 10783 1307 2 19570 1819 15 4998 661 1 8014 7466 3 4429 365 1 19678 1054 1 6152 5243 3 11857 4998 1 11077 2653 3 17772 634 1 12543 2552 1 11899 1250 5 8101 10 1 14617 1743 1 13461 1416 20 2439 3466 4 17194 1727 14 15409 4012 1 17078 2675 1 701 3540 1 7432 526 1 13734 3408 1 12746 2671 2 16790 525 3 11450 1253 2 14522 206 1 1752 472 1 18536 4246 1 10698 861 1 16930 6025 1 5322 6122 1 2004 2653 2 9195 519 1 9801 381 1 2418 723 1 4012 6500 3 12376 15 2 8716 4245 1 9074 910 2 4010 3494 5 7453 23 15 5756 318 1 6997 2126 1 6314 3762 1 12530 1324 1 3278 928 3 16700 578 2 20145 1243 1 14657 4156 3 19486 336 1 11028 4274 1 3705 292 3 15521 7643 3 1225 4427 1 2441 745 1 7756 5399 1 19468 6415 1 12156 2891 1 16340 1719 1 10244 207 1 4428 4111 1 4054 809 2 3092 291 3 19137 891 5 19286 3113 1 18385 5494 1 15428 519 6 9429 1775 1 8735 1706 4 15288 437 1 4307 1342 1 1087 10 1 19302 2534 3 14773 223 7 6322 4012 1 18852 7896 1 6914 1247 1 10316 4201 1 5407 7961 1 1689 3939 1 878 8183 4 7685 164 20 8435 5463 1 16692 676 5 17169 5447 1 16265 5121 1 16790 2352 1 16332 6288 1 16136 74 2 17607 4392 2 3765 853 1 259 525 10 2125 5060 1 17906 1747 3 14544 2319 6 6935 200 5 13928 1573 5 873 1779 3 1085 6053 7 1412 1731 1 4843 736 1 10176 3684 1 3000 874 1 18634 816 1 2036 792 2 16483 385 1 1706 1768 1 17432 5758 1 15926 3287 1 10346 219 3 8090 207 8 17608 817 1 20122 5000 1 7084 7018 1 20009 5245 6 1242 2520 73 18479 665 1 7354 7244 1 16781 5018 2 6504 1472 1 6437 545 1 11169 1269 1 9395 1307 1 13676 514 1 13088 8178 1 5626 867 5 14219 1291 1 12202 2749 1 11 474 2 9964 1342 4 10471 5446 1 952 2248 3 20098 1710 2 8356 206 2 4093 2305 1 2794 422 1 11786 1145 3 5386 2079 1 4688 624 1 19625 1770 1 14683 6013 2 10309 657 5 8926 3073 3 3581 7593 1 12363 524 10 12690 4498 2 12623 4800 1 7341 4905 1 7859 3298 3 15181 3575 9 3695 201 2 15608 5837 3 2171 235 1 18809 23 14 12851 3109 1 14297 3932 5 19324 1747 2 5977 1146 1 2267 467 2 11131 6484 1 11877 1825 1 2204 5712 1 314 1727 1 5675 3911 5 1359 1247 1 18534 588 1 5176 1727 1 16755 2494 1 7626 4258 3 14385 253 5 1028 3847 1 3005 698 1 11896 3070 1 20191 564 2 15812 252 1 19678 3364 1 6483 4427 1 16104 8094 1 10439 229 1 7440 1731 1 6681 1395 3 13427 1210 1 4619 3593 14 5424 2489 3 10398 6064 1 10110 8096 7 3915 1482 1 19601 440 1 13 652 8 10960 2869 2 16090 1040 1 17249 1949 2 12032 6132 1 16747 1480 1 13777 6234 1 11314 5488 5 7780 1322 1 6966 4401 5 2886 316 3 3629 4297 1 3005 553 7 3898 2678 1 16355 201 3 10494 1747 1 9881 864 1 6506 7235 3 12995 7802 1 1201 1457 1 11837 206 2 12603 7643 4 6072 4022 7 11467 595 3 18968 3747 5 16272 187 3 19729 519 1 16790 5082 5 13076 3645 1 14749 5427 1 9976 23 1 11384 718 1 11779 6404 1 10498 1396 1 10924 910 4 16894 2370 5 16943 3515 1 4107 1743 1 16032 4810 2 9457 2810 1 11461 1784 2 14522 1239 1 3927 7878 8 12807 5994 3 15297 1769 1 35 1984 1 11097 900 1 11061 8054 11 5954 5837 25 7719 3511 1 2274 905 1 15374 2727 3 2690 4029 1 2782 263 1 17939 5137 1 20042 3626 1 14826 1184 4 494 2671 1 17710 1328 3 15923 498 3 3378 2261 1 15364 6559 1 16857 381 3 15229 397 2 11922 5546 4 16055 219 7 18879 3556 1 11934 7597 11 2133 1277 2 3355 1374 1 15567 1634 2 16185 4597 1 17839 1239 1 8151 1722 6 247 99 1 5304 330 2 6916 6139 1 9641 533 11 5884 1715 1 10057 481 5 18207 1705 6 3521 4902 1 218 219 1 113 5084 1 1519 65 5 18232 1251 10 16873 3494 1 6757 1307 1 1537 491 1 9707 2953 1 8345 2673 8 11014 2555 5 17805 514 2 5898 4204 1 18898 1242 10 4332 1737 1 8528 3512 1 15627 6826 2 11270 441 2 12383 1727 1 14161 1911 1 391 2646 5 10404 5737 3 349 177 20 174 8114 1 6463 2981 1 18040 1248 1 9725 3845 1 14296 6669 1 18900 597 2 11649 74 2 301 5559 1 15870 6632 1 18043 659 1 3734 1785 1 7881 1703 2 3175 5879 1 18936 1779 6 9757 192 1 8009 4199 1 19030 1076 1 12819 3892 1 2590 3625 9 15218 6436 2 18946 767 1 6591 2001 1 2998 1420 1 4055 4090 2 10361 6677 8 417 8081 5 100 4504 2 62 2878 1 11179 199 1 7352 1668 4 1830 3081 2 452 2115 2 19725 304 40 4095 6933 1 4181 3058 9 16518 1897 2 8398 6246 1 204 2344 1 18856 334 1 14892 1464 6 964 5574 1 10948 229 1 3650 5090 1 13047 4713 1 456 235 1 10302 78 1 16026 2367 1 9836 201 4 14210 1757 3 5701 6917 2 19579 1302 6 3768 6150 2 6564 1728 1 13503 1441 2 9210 196 1 1370 225 1 19730 1331 2 8632 219 1 11388 223 1 16493 46 21 16365 1341 1 3431 1150 13 18118 3869 1 8786 219 1 10355 3074 1 13705 2350 3 989 6721 2 12787 7863 1 14681 3763 3 19332 6988 12 13169 1755 1 3768 1775 1 6937 1037 1 5312 3525 5 15683 385 4 14949 4435 1 17273 3852 1 13549 5806 6 13731 2011 2 6144 2146 3 10554 5943 1 19608 4271 3 7012 1298 3 14580 6649 6 7358 164 1 15853 215 4 7530 220 1 16536 2735 1 5612 3798 1 46 532 1 3376 4085 2 8452 148 1 17273 4252 1 4767 3996 1 18185 5820 1 8218 1819 1 392 219 22 7407 223 1 19659 6330 1 1801 5767 1 5778 383 1 17761 244 1 9432 658 1 16786 4946 1 2101 5271 10 19966 7701 1 10575 785 1 12818 5136 1 8740 8203 5 19793 3283 1 1412 4996 3 11467 737 1 7229 3058 1 11877 1814 1 9864 1296 1 15714 3556 1 20245 2970 2 16847 225 10 31 1715 3 35 1879 1 13113 1731 1 17738 6993 1 7390 3702 2 3074 5972 1 17746 3824 2 6612 1462 1 14313 6689 1 11127 1717 1 4417 2675 1 7376 4280 1 830 867 1 1465 3333 2 13384 2503 1 14612 2354 1 9947 678 1 3309 4658 2 11900 853 5 17211 7419 9 13167 5018 1 8982 7763 1 17013 6487 2 18304 1986 1 13358 8029 2 8948 946 1 11786 6914 1 14522 1827 1 16259 8102 1 7390 3399 2 6105 1091 1 14861 4663 2 3536 7640 2 10815 225 2 7455 438 1 10664 769 2 1890 4312 2 7769 828 1 7728 175 1 8966 1730 2 1687 712 1 17416 5792 1 12862 447 1 10787 1363 1 13596 1720 1 7154 6164 1 7028 3642 7 5166 3216 1 13477 1974 1 2163 205 2 13320 190 2 16427 2030 1 14011 1776 1 776 3412 1 10018 1884 1 12051 1249 1 8870 7190 6 7551 988 1 18836 903 1 13389 4041 1 8376 6714 1 6982 2671 5 9919 717 1 143 6596 1 15573 8213 9 873 1758 1 13922 1650 2 5364 7850 2 18197 5428 3 13057 7473 2 19355 5820 8 17589 5804 1 16881 7942 1 18989 834 1 1468 1582 1 12529 1301 1 5375 200 1 14811 3304 7 388 3431 1 13797 6154 1 7 220 1 5360 6706 2 147 6701 1 2312 184 4 10199 2269 1 19033 4379 3 15055 491 1 2905 1912 1 15427 706 1 17662 190 2 2973 1748 2 3188 3337 6 3718 1278 5 5943 1143 2 5466 4511 1 11687 1295 1 13587 494 1 14232 1764 4 4376 1253 5 14890 934 1 7366 1209 1 9384 7404 1 11964 495 1 7382 23 11 5207 719 1 11229 4269 1 13800 443 1 19833 2602 2 14780 232 1 18046 2673 1 1505 1798 3 2209 3592 14 7568 509 13 18633 4231 1 9650 6231 1 9930 1717 2 13291 6286 37 3085 2061 1 8310 23 2 4211 687 1 15182 484 2 4030 931 3 467 1717 3 6164 215 2 19568 6031 1 11614 3216 2 873 57 4 4330 1248 1 3258 514 1 7539 164 1 16378 1721 1 9037 3511 1 6840 5817 1 8469 1380 1 8525 6169 1 494 3135 2 7571 2881 1 9571 3767 1 4085 4342 1 9456 2247 3 1548 2140 1 19726 1294 1 19637 765 1 5523 46 1 12158 2881 1 6371 318 4 9763 6682 2 10795 3635 146 3881 6687 1 1214 4595 1 20225 917 1 6644 2022 1 19204 3980 1 9566 7448 1 4832 2080 3 20181 7085 4 6654 667 1 19382 1756 1 12422 5517 1 8373 7945 1 2284 1732 1 8071 5513 1 10043 411 3 1948 3516 66 19034 4905 1 7020 510 1 4056 3148 1 1858 320 1 349 6303 4 2980 1322 2 19182 3625 1 12396 2413 1 8946 604 3 16096 3005 1 8735 3693 6 10230 1404 1 9110 1334 1 6689 1334 1 8890 6031 1 19826 740 1 16422 1938 6 7010 1369 1 15459 6611 1 4541 1813 1 14773 3333 1 8469 5513 1 11259 6036 3 15472 497 1 13636 361 1 8969 519 1 17989 495 3 1712 428 1 18887 184 1 19558 776 1 12592 132 2 17152 519 1 12929 5517 1 18270 6457 1 18268 1252 14 12696 6627 1 20053 7734 3 13402 307 1 2709 357 1 2147 4600 3 6772 201 12 1698 7506 1 10486 329 8 3718 194 2 2145 2559 1 9051 4623 10 9743 7987 1 18798 6500 4 7635 7494 2 1790 1852 2 4452 6088 15 15383 7692 12 15342 859 2 20244 587 1 17390 1241 1 2288 5051 2 11363 7220 2 6736 7616 8 7712 8251 1 6269 3743 2 7025 883 1 10309 2964 1 3613 200 7 9170 214 1 9485 2317 1 127 581 2 789 219 1 19386 165 9 12913 577 1 6656 8183 2 18353 3065 1 14522 6341 3 4459 816 1 2182 6206 1 12603 1710 1 73 3360 1 16837 2325 1 11926 2076 1 18048 3697 1 5579 638 2 9031 4144 1 17227 1244 2 2104 2361 1 11590 42 2 7734 2671 3 6514 4508 1 16546 594 1 5621 532 2 100 4552 1 14643 3518 2 15208 7020 1 13132 605 1 17449 1239 1 12660 790 2 1111 2522 1 15059 6620 3 11411 891 1 1631 2369 1 1356 223 7 14753 3781 1 7415 498 1 20145 1247 1 7186 4591 1 8528 891 4 19913 534 1 10862 244 5 14746 1374 3 11387 3482 2 7555 3163 3 2413 1945 2 19994 2247 2 4493 603 2 12817 6100 3 7985 524 5 3025 1747 1 17349 5289 4 14453 2403 1 10791 1644 6 14236 5276 3 11786 3569 3 13303 4964 2 2292 1783 1 17529 6053 2 11192 5314 1 15216 1357 1 17742 2729 2 7356 609 1 27 1642 1 16998 514 1 3075 864 3 17835 863 1 2025 4215 1 12807 1237 8 3140 1466 3 17726 891 1 16492 7525 1 5124 7983 2 13205 2167 6 8395 7847 2 19004 2649 1 11947 3748 3 13126 3494 5 11846 1062 1 16176 222 5 18557 7522 2 19543 1752 1 19902 4097 1 1361 2675 2 17413 308 1 18589 196 1 18428 2549 1 828 1007 5 18241 186 1 16117 1250 1 18968 6527 1 4505 219 1 8451 712 1 328 995 25 412 6673 1 100 4225 1 3078 60 1 9104 6231 3 130 3871 1 17877 6493 2 4443 589 1 2772 659 1 3667 7652 1 16210 3206 5 5205 3065 2 14773 4245 2 15312 6615 1 18634 770 2 604 2602 5 2962 2088 2 9187 3977 1 12322 7850 2 18734 3256 1 15978 7213 1 6164 1717 4 10701 23 1 2275 6874 2 18071 228 1 4884 5105 1 15211 3617 1 6781 6246 1 15576 5363 1 16276 1395 5 17218 5407 1 2801 4218 1 14906 3423 1 3683 470 3 19174 7895 5 5851 6665 2 6154 1729 1 4870 227 7 15488 1296 1 20139 4060 2 9252 4789 1 11668 532 13 1355 5775 1 14891 7542 1 15468 1781 3 1476 5259 1 1199 3834 2 253 5402 1 64 3081 6 3915 3081 1 18876 625 1 17788 6569 1 12711 479 1 8383 2741 1 17477 3686 10 3090 6204 1 16180 723 2 15881 1788 1 3025 5553 1 9077 1819 2 18149 2363 8 9109 4761 1 5796 215 11 13800 2148 4 5696 2704 1 12007 236 1 14292 1704 1 7039 4436 1 18095 6102 4 1608 2030 1 2629 4403 1 6416 1738 6 11384 1734 2 13415 2938 3 11877 1731 1 13305 7229 3 604 5342 1 8991 850 1 16059 1780 7 3219 251 1 14906 1819 2 2512 4983 1 8410 5904 1 6437 1785 1 19588 3596 1 107 4799 1 7415 3685 1 9250 818 1 10911 2488 2 6607 1742 2 12988 221 1 9657 837 1 3642 2126 2 11047 3480 1 7451 827 1 19934 1487 2 15396 1995 1 4148 2352 1 6590 532 1 11637 939 1 10629 2356 1 1103 2980 1 1263 2358 3 11709 3081 1 8992 5439 1 17988 3378 3 5724 5305 1 14664 3172 3 3181 4428 7 10852 4258 1 5916 2824 2 15192 48 1 16057 173 1 16881 2317 1 14970 5517 1 16847 3391 8 9492 303 3 6446 7719 2 17920 3669 1 12777 915 1 7862 1776 6 17436 4511 1 1601 3671 1 2402 235 1 9485 6023 2 19494 5260 1 20180 6540 1 4804 7576 1 2925 690 5 4660 214 1 8863 1342 7 17439 723 1 14117 3192 2 2045 6470 3 19331 4992 4 15819 498 1 8391 2889 1 3284 2144 1 19602 3786 2 14758 385 1 11947 2599 1 19115 6510 6 16491 5332 1 17195 2066 3 1002 3233 1 8913 6677 4 13740 5105 4 8760 442 1 9296 3255 3 5141 7573 3 13343 283 1 15558 3657 1 4181 3305 1 16124 1244 1 163 523 1 16557 1535 7 2742 6723 6 5602 3526 1 4197 3590 1 694 4275 1 7991 3630 1 20080 4076 1 19596 3625 16 16358 3856 3 679 6484 3 17655 8141 6 3822 5506 2 3414 200 12 6238 532 1 10911 766 2 15471 4470 3 10446 6361 3 18285 719 3 19211 3557 1 7135 4555 1 11 372 1 18984 2276 1 14297 3941 2 11912 2721 1 11175 3480 1 11461 4261 1 19391 3487 4 10975 5817 1 5685 186 1 15756 4403 1 8408 512 1 7835 219 86 1522 1721 1 12856 2831 1 1045 206 2 15943 6250 1 739 1724 1 17518 2251 1 4234 5619 1 3395 8043 1 19031 2108 1 20120 687 1 10665 969 1 1635 578 5 95 4350 1 1152 3684 1 4498 521 3 1109 1243 9 16770 167 3 16831 206 6 9730 382 1 17548 648 1 14754 1997 1 16879 152 12 18201 5297 1 6233 6107 1 5771 175 1 5199 2729 1 9576 288 2 18460 7250 7 20007 7089 1 146 4582 1 10498 3029 1 14522 900 2 12060 4880 4 19979 7599 8 4847 1748 1 18533 5078 3 123 5374 38 6089 1825 1 12860 38 1 106 4756 1 16249 1779 1 7937 3230 2 878 215 1 1665 709 1 467 6704 1 17415 1666 20 5370 4140 1 5892 7215 5 7613 23 1 7359 2727 1 12685 1377 1 8080 2423 1 11773 6513 1 1999 4728 3 3521 219 1 11418 782 1 4873 3629 5 12866 2675 2 14421 203 2 17884 3338 6 18310 156 5 8090 883 8 2198 203 6 12030 1978 1 1066 689 1 8391 867 1 11733 8076 10 18976 3693 1 17141 4243 1 6305 743 1 9072 1731 3 18384 1814 1 13626 7682 2 19448 6482 1 16938 2352 2 7495 1685 1 13970 3930 1 11820 6595 2 1629 4521 8 3872 4795 1 10351 4325 1 10966 6634 1 7165 6949 2 13294 3649 4 16491 2114 2 9294 1259 1 7188 215 2 11913 7136 7 17645 514 7 11388 191 1 16703 303 2 7322 5325 5 4898 1666 5 3330 223 8 13 331 1 106 4757 1 9718 6812 1 1304 2363 3 8712 200 1 1647 4338 2 14253 5097 11 12138 2605 1 17446 232 1 11148 3378 1 15907 1736 1 18635 679 1 20068 512 1 53 2559 3 15634 3859 1 15706 1363 1 905 6793 4 992 206 1 2523 3885 1 7878 506 1 9374 2662 1 17901 95 4 1746 855 1 5104 1941 2 3964 5253 2 16997 2964 2 8023 874 5 16271 6607 1 6832 8184 1 909 3903 1 13244 448 7 9112 6064 2 264 2089 1 7568 6225 1 3112 3446 4 10590 3405 1 13004 3989 1 1320 4435 5 12614 244 1 6055 1764 1 5621 3666 4 19995 2118 1 7333 177 1 2935 197 6 14790 1292 2 19470 2953 1 10341 225 3 1149 867 1 26 1550 1 17298 4002 1 8354 3493 1 7742 1841 2 15691 327 5 16674 2004 1 20179 6703 4 10015 383 1 6063 4202 1 13920 203 3 16336 1237 4 16590 6382 1 9759 1374 2 916 81 4 7966 1464 1 8078 1738 12 3550 1046 1 19737 4460 3 8735 7688 3 12190 3367 1 12335 348 2 18197 4933 2 6262 4357 1 124 5398 2 10692 787 2 17262 6449 1 16717 91 1 16775 3516 11 14522 8230 1 4489 6677 1 4179 10 1 19602 7863 1 20107 1814 3 9423 292 1 6422 1705 12 7220 3263 3 14146 237 6 19833 2519 1 16508 520 1 4565 545 2 17752 1705 12 17664 222 1 14191 867 2 10381 1734 1 745 877 1 4054 1782 12 12817 190 1 2558 1722 4 4267 3493 6 10316 156 2 9341 2114 1 5373 200 5 11181 2385 4 15906 402 1 954 949 1 1912 470 2 11008 5810 3 5809 2114 1 9525 1748 7 7245 4582 2 17988 819 1 92 4149 1 4984 637 1 2629 2676 1 7780 3174 1 17252 7705 1 7907 2097 2 7426 5037 2 8787 2016 1 16196 3697 1 4922 23 2 17505 8051 14 5821 665 1 15943 4411 1 611 4591 1 14472 931 2 7918 7359 19 95 545 1 2194 813 3 5414 184 5 7210 411 1 13730 3585 1 447 304 3 11485 889 1 10832 6435 1 6724 7894 2 14504 2675 2 8500 5496 1 4734 2761 3 12055 1295 1 9546 568 1 11766 3901 10 10485 1363 1 16448 2345 2 16236 2354 2 7556 514 4 963 5036 2 13517 1253 2 6348 794 2 5352 952 1 605 5023 3 4654 4986 2 13601 397 1 9261 23 2 6007 1313 1 18012 1243 1 17125 6723 8 7205 3230 1 8629 8073 2 252 6011 1 12014 200 1 9674 23 1 18628 1705 7 3396 539 1 1043 1265 2 4050 1768 2 10732 196 4 14907 220 1 8497 514 1 130 5948 1 15389 6276 4 2020 6423 3 3397 2104 2 20016 523 1 17871 4534 3 3826 752 1 4847 1752 1 17932 1245 4 3734 4697 4 13520 360 1 2152 3944 1 13451 6278 11 14325 3904 6 14255 1714 1 2298 1063 1 13787 4198 5 163 7408 4 3214 6620 1 7344 190 1 16346 7089 3 11122 3005 3 10883 673 1 14964 687 1 1665 6995 1 15022 375 1 15960 292 4 6884 3660 3 10692 766 1 4239 1760 1 11900 6207 3 17614 7150 1 10593 3058 1 2750 2567 2 10191 1505 5 16417 7531 3 2443 953 1 13700 1175 1 8970 244 1 10684 1707 1 3071 207 5 17261 4005 1 10667 7412 1 16079 1718 1 2045 470 3 9912 1555 1 18526 3653 4 12317 2671 1 18334 6521 4 6090 874 1 3169 1727 1 1146 187 4 4444 2774 2 17555 1705 9 259 3330 4 2969 6486 2 18893 3475 1 236 316 1 13705 203 7 4259 6342 5 18530 867 1 16577 1772 1 10760 1764 1 3971 4807 1 1801 1182 10 10661 2714 1 13927 1164 1 4305 7843 1 2735 6322 1 18561 3386 1 11881 7853 7 15417 1762 1 10948 3540 1 5304 8013 2 522 221 1 13835 1234 1 13624 221 9 16961 1990 3 16325 5016 1 16776 223 1 11057 1781 2 14629 2511 1 16925 2504 1 16346 489 2 14344 1783 1 12046 6278 7 7490 4998 1 11773 1819 1 7284 1761 3 7176 4019 1 2633 1234 2 7152 7471 2 12335 260 2 1145 6341 1 19642 3694 1 19459 4252 1 18736 1207 1 2133 2614 2 3374 200 1 15669 724 5 17415 3258 1 6539 685 1 5109 449 32 16329 2963 1 14629 1208 1 11769 1903 1 16380 4949 5 3258 1251 2 5318 6001 1 5591 5401 1 1131 1245 1 2390 342 1 4861 2855 1 6983 5642 1 11851 6983 1 19458 84 1 7369 3263 1 39 2033 1 17592 6237 1 19156 7411 4 1852 1954 2 18635 3393 1 14806 470 1 15225 471 3 166 1007 1 11418 2499 5 9445 1764 1 6889 2933 1 15728 6394 1 5424 2982 1 13203 5327 1 4204 6591 3 873 642 2 20082 825 1 1858 7440 1 3901 66 1 1334 1147 2 7692 1675 1 2292 1703 2 8812 4341 1 12142 531 6 2762 1747 2 4332 1721 1 10136 5505 1 12723 500 1 276 1814 5 9374 1395 1 16890 3050 1 7362 1399 1 694 2588 12 8394 2501 2 3861 2480 11 6208 2677 2 8532 1698 1 17886 648 1 6740 4425 1 10597 6269 9 14653 3285 1 18110 1788 1 10416 219 4 19052 4297 5 9896 1775 4 553 1762 1 8051 5326 1 20055 4268 3 6781 6192 1 6749 5263 1 6796 5270 1 12013 3305 2 18727 1731 5 19734 1825 2 15495 1357 8 4473 7642 1 13743 5000 1 1391 431 1 15699 204 5 3147 519 1 6543 23 4 7285 3571 1 14731 1464 1 873 1991 1 9224 930 2 2748 6666 1 3606 7128 5 8952 2246 10 16197 8188 6 11194 6647 1 14140 5955 1 18969 7401 1 4305 5331 4 11214 1772 1 12717 1356 1 14059 3059 2 11786 4076 3 5383 2481 1 15634 5090 5 18173 5997 8 16984 3557 1 8439 4435 1 835 2401 3 13806 796 1 8014 4653 1 787 1768 1 7593 1782 2 16238 1237 1 17298 215 2 15233 670 1 3397 4498 2 5959 4024 1 10385 3632 1 5441 7857 3 5758 2969 3 8451 554 2 3397 7731 1 19268 219 12 950 2862 1 13131 8109 4 12356 1450 1 18840 4792 22 10422 7698 5 11535 1642 1 17917 1707 1 2803 393 1 2605 3747 1 2068 605 4 15321 792 1 4802 5324 5 20068 1357 1 92 4121 6 9104 6723 1 11238 6692 5 15943 382 1 10676 2369 1 7286 23 13 3113 498 5 143 525 7 2580 5567 4 16594 4025 1 10240 4572 1 8718 285 1 15185 7210 1 230 704 3 15822 2506 20 3583 6192 1 11877 1705 2 7135 1241 1 5588 8096 5 8965 1242 1 6504 3669 1 1635 6454 2 11786 723 1 18169 3283 1 7728 2580 1 15537 631 1 4767 2699 1 14788 221 1 20003 2255 1 6213 5499 1 1068 631 1 3295 7143 2 9559 4656 1 16650 7750 1 8609 6346 2 15622 534 3 7950 11 1 14279 6330 1 3542 6383 1 179 8197 1 6595 910 1 6496 2009 1 13477 2889 1 16747 6946 1 16041 1783 4 12548 196 1 7610 846 1 2281 201 1 8921 219 12 10160 1719 1 6584 4333 1 13428 1138 1 14724 6002 6 14474 1251 4 17887 3331 3 9639 867 2 1464 776 1 9231 6040 1 12458 4293 1 17404 4723 3 7020 4012 1 17066 1248 1 2825 1404 4 14289 6484 6 12419 1303 1 15885 7533 1 10725 5574 1 32 1809 1 13830 4246 1 174 8017 4 2331 7128 15 42 2183 1 18559 4761 6 16500 2520 1 1171 1710 1 1236 1450 28 135 6174 1 2442 23 1 873 870 1 18680 3161 2 9909 443 1 10971 995 2 10931 7463 1 18805 5482 2 19872 5905 1 939 2877 1 62 2884 1 10807 2645 1 13925 232 1 9263 1720 3 12279 1946 3 16504 222 1 15681 4123 1 12676 201 2 682 5661 1 14522 3422 1 13652 2401 1 12422 360 1 8435 2761 1 1323 1647 8 20123 1728 4 7427 546 6 6492 2877 1 3697 5826 1 9043 822 1 19993 2737 3 10254 206 6 17088 4403 1 7822 5640 1 14141 7599 18 1794 2026 1 6513 219 6 12510 1770 2 12918 2662 9 17353 235 2 14188 3477 5 17090 1582 1 11516 1340 1 8163 2897 2 5407 1146 15 15429 1248 1 3059 4305 1 11591 762 1 97 514 8 9397 197 5 18765 23 14 6697 3913 3 8286 903 1 16367 200 1 11786 6587 1 17713 4922 1 15367 865 2 16678 6500 6 19317 5054 1 19355 4635 1 17280 5011 4 8142 2103 1 8650 3175 26 11789 1359 10 4498 2499 2 65 3133 5 9680 2014 1 12020 7612 2 6656 3492 1 322 1236 3 31 1369 1 3645 2316 1 10327 7045 2 20055 6341 1 737 7027 1 10865 5036 3 19865 2419 1 9216 2353 1 12322 525 6 8528 5060 3 189 1732 1 16844 237 5 16740 7344 1 14973 1373 1 6142 225 1 77 3512 5 2098 197 1 17778 1785 1 3286 57 1 11786 156 5 1779 1997 5 6622 1529 7 2726 228 1 17776 7508 2 1654 6058 1 5791 193 1 7564 4589 2 9849 13 3 14564 2193 1 12592 2727 1 1968 88 8 8381 3685 4 3175 5305 2 9104 2488 3 8303 10 3 14881 679 1 10878 3570 1 17556 4944 3 18340 5810 4 11406 3909 1 7251 1907 2 12140 2357 2 10688 870 1 14530 1523 20 6932 164 1 2642 3467 1 2982 3637 1 10579 8176 1 15211 2922 1 8891 200 13 10996 2269 2 834 2701 4 7943 3434 1 11270 2595 1 8368 304 2 7331 7825 1 15496 4380 2 2288 184 2 12817 4013 1 20261 7614 1 8952 2831 1 3556 251 1 6776 2777 12 18872 2508 1 15549 1677 2 5785 206 1 19092 5127 2 9321 7228 1 19966 201 1 2375 3911 1 10218 4029 1 19502 1431 1 143 6670 2 14894 3707 8 5774 263 1 8889 644 1 14131 4306 12 15016 1190 6 17124 3167 1 19223 186 1 9695 6343 1 11059 532 1 13389 3421 5 11303 831 1 349 243 3 20274 2569 1 14583 3570 2 9178 1743 1 19272 3836 1 17113 834 2 11663 1247 1 18406 3663 6 11365 6198 2 6312 2132 1 12704 411 1 6638 401 1 380 6457 1 13865 1771 1 388 4944 1 10815 873 1 5132 1781 2 14213 5257 1 10943 23 4 14700 1824 1 12559 5804 1 1706 5945 1 5516 5016 2 899 743 2 787 1358 1 17713 4739 16 11562 6186 1 7917 3809 5 17618 1729 4 4488 2009 2 9279 2357 1 4706 1829 2 857 1237 2 2239 2663 1 10135 205 8 15192 2296 1 20107 8108 6 834 1739 7 12817 470 1 5115 1838 2 13760 6320 1 8229 4939 1 5873 207 1 6511 510 2 9077 229 1 62 2970 1 7797 6471 1 7432 4972 9 6420 6518 1 14655 223 1 14758 4443 1 7165 2639 2 8580 3109 2 14059 823 1 15685 3309 1 17778 834 1 12198 3745 1 8730 840 3 16303 7831 3 11297 303 6 12688 6441 1 12252 2704 1 18416 6129 1 5709 1965 2 16914 4284 1 7780 2009 3 12757 2360 1 4832 745 1 5378 3416 1 835 6625 1 9375 6546 5 7224 263 1 1775 4622 5 9864 1705 1 2274 3338 3 10560 2992 1 4376 4274 1 6838 3734 1 5246 3430 1 19373 6897 1 4561 4189 23 9395 7731 1 8925 2727 1 671 5253 1 9481 1466 5 15269 1007 1 10192 532 3 12892 1053 2 6485 2126 6 4663 5267 1 62 2794 1 1495 23 1 14599 917 4 13986 3316 6 6641 864 1 6139 7601 1 8047 207 1 2237 847 1 10570 207 1 4768 6127 1 4797 141 1 3801 2998 1 4701 713 1 15143 3954 1 5173 1825 1 3090 5332 1 7363 1101 5 6406 2118 1 3970 3972 1 922 1745 1 20015 221 2 2103 3058 2 5726 291 2 17454 1819 2 19429 2653 13 11918 1739 3 3862 4791 6 17 1092 1 7734 214 1 4511 5755 1 3544 1757 1 105 4741 1 2959 638 1 2813 438 1 8337 757 1 19649 1755 2 2905 2729 1 12666 7477 3 12477 6731 1 12333 3233 5 1551 1776 1 4948 6867 1 3199 3147 1 12104 3516 1 3888 220 1 11507 2205 2 3238 314 3 3348 1361 1 6676 336 1 15674 3081 1 11014 206 1 6496 722 1 18836 888 1 848 3146 3 6125 2729 1 9713 1707 2 650 3525 1 19494 646 1 18727 1718 1 5652 2675 1 8791 6229 3 13619 4077 10 1669 7769 1 1142 4600 8 2818 2980 1 4110 2488 1 9503 1768 1 18597 2709 3 11859 229 1 1011 1466 2 11964 1764 2 15865 2760 2 839 3308 1 2623 156 5 3395 244 1 16024 203 1 8831 764 1 1879 4266 1 1193 526 1 17154 2662 2 27 1608 1 8582 2089 1 14011 4612 4 18890 5325 3 16583 2519 1 15885 354 5 9669 7586 1 13185 2832 1 8080 2386 1 2180 3660 7 11314 4036 1 19145 8141 1 4232 2860 5 17736 6747 1 15429 7012 1 10287 1819 1 16394 7682 27 19115 214 4 20072 534 2 16391 3684 2 7857 1245 1 6332 819 2 2856 2619 1 54 2610 1 4913 5135 1 5447 3602 1 11591 534 2 13462 5971 3 17828 3197 2 6164 2789 1 16581 3138 2 19387 290 1 1713 1732 1 4716 1450 2 5930 3600 2 17790 2671 1 20225 918 1 10815 892 1 12821 1458 2 12438 5513 2 18230 303 1 7399 4554 1 18142 229 2 5873 158 1 11303 1245 1 6473 1775 3 12829 6053 2 10309 899 1 20049 6714 2 11145 500 2 11107 5757 2 12312 5392 1 10469 3956 1 10337 4811 3 12783 2027 1 15178 4949 12 5433 225 8 14532 7020 4 8779 2979 1 16768 573 1 6682 1778 2 16153 231 3 6658 3101 4 799 7374 1 8621 7204 2 2427 470 5 1277 1283 4 6867 557 1 4843 785 1 13755 1727 1 11559 6341 1 7020 3167 1 684 203 4 11706 3193 4 794 3228 3 10263 6683 1 7768 2626 1 679 5020 1 3059 870 1 6171 525 3 13055 6666 1 4663 953 1 565 2969 1 18122 184 8 10090 4595 1 7193 7184 4 14727 3009 4 18163 4743 1 10916 4877 1 13110 7655 1 17730 1734 6 18103 1775 1 8965 215 1 17195 8081 20 4533 2540 1 3472 2673 1 4498 3219 1 4817 520 5 18316 219 46 20225 966 1 2249 1450 2 50 2507 1 19772 518 2 13117 3421 3 16345 1529 1 10632 4002 5 19972 95 7 14926 1891 1 6811 484 1 5341 3954 1 391 6192 1 16427 200 6 2599 34 1 17302 1328 1 1272 207 1 933 1829 1 19026 3639 2 4458 2322 1 16195 525 2 12835 1829 11 15480 506 1 15411 3177 3 4708 864 1 12749 1819 1 9457 4688 4 2554 6551 2 9281 2626 1 3380 1243 6 7662 175 1 3485 723 1 15909 165 1 17713 4295 1 13252 1352 3 7445 1237 1 18014 1781 3 17123 10 1 9195 230 1 1262 5105 1 16151 890 1 3630 2009 1 1653 1747 7 5734 789 4 14157 4274 1 6774 368 1 6750 200 1 4425 5763 2 16533 1707 1 9165 4963 2 6402 2521 1 17783 2009 1 2937 1762 1 7241 1736 2 4110 2671 27 5449 5468 1 18843 5686 1 3185 3535 5 10630 197 11 4812 1146 1 17941 232 53 19313 1743 1 18784 3726 1 18149 532 11 11846 8171 1 12595 5347 7 121 5294 1 18040 918 1 2699 8071 3 6100 1342 1 19319 225 6 8260 1863 1 15328 7850 1 11795 135 1 2571 651 1 7757 2760 1 17604 207 3 12821 5400 1 16707 6957 2 16003 2580 1 8853 676 1 251 6488 2 8198 5445 16 17552 2367 1 4165 4288 1 16909 5999 1 553 1718 8 13967 4792 1 17353 1357 2 7074 1761 1 1727 867 5 18484 190 2 5884 3167 1 18027 4737 1 11122 1250 3 11842 3230 6 19158 4967 6 15166 3757 1 12506 1986 1 13772 1341 1 4355 4436 3 15083 7670 1 4057 165 1 7221 3605 3 10575 765 1 18079 204 1 15367 2896 1 7904 652 1 322 532 4 13961 2010 10 14864 219 1 7663 525 1 11259 6049 3 1853 8035 1 4667 1659 1 10376 910 1 6934 881 1 1432 1707 1 18551 207 4 13997 650 1 6002 4392 1 1445 1732 1 15235 196 2 13998 937 2 15648 1191 1 19178 4083 1 15199 2729 5 3134 6949 5 1065 2302 1 1270 184 1 3668 4317 1 4239 196 17 15159 2883 1 1645 7297 2 8261 2082 1 9586 1705 10 4530 4792 1 18043 4195 1 16458 1703 1 7594 2881 1 20090 390 1 11693 3163 1 8341 2321 2 3059 4281 1 10730 7603 15 654 2353 20 11912 2877 2 8346 1788 1 19702 6683 2 19602 89 1 94 4256 5 1171 4245 2 1224 4311 1 3272 1743 1 5370 4077 1 618 1703 3 19669 6322 1 15635 4727 1 2524 235 39 5637 1235 1 14877 5975 18 4791 4448 12 15722 532 2 15885 7539 2 152 3869 1 14928 173 1 1747 3399 1 259 4020 1 19370 7441 2 10435 1184 22 1485 7829 1 127 578 1 788 4006 2 8751 7674 1 6362 1019 1 15886 7596 1 16840 1606 1 9713 1881 1 3806 8166 1 9902 1736 7 12678 3304 7 17846 201 6 13721 2673 1 11409 4379 1 16239 609 1 10350 4311 1 7756 5421 1 3536 8201 4 9363 7275 1 340 3007 1 1839 1662 1 5745 4305 1 4868 1768 1 18551 303 1 123 5377 1 6050 5916 2 3397 5128 1 1328 219 1 10817 4760 1 4337 4179 1 17133 5356 1 712 1819 2 11965 1737 1 6070 1954 2 11297 2447 1 18761 3389 4 17843 410 1 12716 223 1 8405 5206 1 2848 385 6 14730 3419 1 12142 3715 2 10720 5740 1 9519 7904 11 8709 441 1 18357 7440 1 7560 5444 2 11601 6710 107 24 1468 2 6449 244 1 15932 1769 1 6093 6260 1 7286 206 1 2405 222 23 4514 184 2 9755 7769 2 7780 3315 1 9922 6793 5 2146 596 1 13014 6047 1 14897 2270 1 14055 4090 1 1467 4556 1 13678 411 1 7099 214 1 13909 5475 1 17999 2633 4 7708 4404 1 17416 1238 1 2533 501 1 19455 2356 1 7853 2626 3 10201 3511 2 16196 1669 1 8842 626 3 17814 4287 1 15502 3287 2 6560 2628 1 16006 4446 1 9236 6435 1 18382 5961 1 14964 2312 5 2966 514 1 8323 4502 2 15853 206 1 10997 5048 1 20172 236 1 8913 3356 3 16723 203 2 16242 7606 11 16969 4955 2 7850 1997 1 10183 214 1 5059 2675 1 11297 6150 1 5631 2632 1 18534 3945 1 9394 6705 1 10309 740 1 80 3602 1 11196 1719 1 14522 895 2 8412 1819 2 2211 5524 1 2143 2646 1 6422 6363 1 4036 650 1 16288 1751 1 13358 541 6 15939 3570 6 3834 1999 2 5761 4427 1 5610 945 8 11267 6260 5 15025 4930 1 3739 6219 7 6722 5507 1 4092 408 2 5278 156 5 10856 6103 1 17705 1464 2 103 4630 7 19428 2953 3 10514 1191 5 1546 1755 1 13891 7313 5 15610 857 1 3539 1704 1 150 6753 1 4806 5950 1 5355 2552 5 13974 2356 1 18215 7829 1 3826 1146 1 2362 3065 1 10670 545 1 3199 7597 2 13122 5380 2 18431 220 2 4076 4400 2 18792 361 1 6689 5502 1 10137 533 1 7065 4252 1 18859 6064 1 16093 5997 2 10967 2599 3 13414 229 2 18822 4172 1 8872 2250 1 19549 4933 6 15721 496 1 13 234 2 15364 6202 1 1447 4803 1 17911 3283 1 2748 6595 1 11848 1236 1 6539 713 1 9815 1245 1 5775 867 10 11418 6933 1 14327 2675 36 15151 1492 5 124 5526 2 5718 5740 1 15615 6278 6 13967 2187 10 17218 3459 1 18501 167 5 14328 5020 7 6855 761 8 15541 1774 1 6387 1137 1 412 1863 1 12851 5551 1 12267 6252 1 135 6151 3 9935 1660 1 6723 6001 3 11629 4498 3 12406 1342 1 14949 2881 2 10738 7235 11 10391 1363 1 10879 2996 2 4667 5819 1 9432 584 1 2159 6141 1 6269 3592 38 12970 4288 1 3776 214 14 3581 3122 30 18524 889 2 8782 1751 1 14758 4211 1 2159 525 2 6397 7098 3 17939 5132 1 1853 1657 1 3175 1275 1 5477 6430 3 3427 4062 9 12619 514 1 8858 925 1 12283 2626 2 9877 6751 6 6524 3511 1 20039 1271 1 813 863 1 15429 1245 1 18501 5058 1 5903 1717 1 18887 1172 1 13183 862 3 13245 1072 6 2850 804 1 4716 2360 2 19683 13 1 16124 7353 3 12603 7677 2 16921 1685 1 1844 7522 1 18283 7976 3 19145 2673 1 739 496 1 5352 2810 1 12087 6047 9 17369 6596 1 3147 4026 1 10961 6682 4 270 197 1 716 1722 5 9717 4599 4 12773 532 1 5745 3706 2 8083 6167 7 19718 1771 10 16674 474 1 8136 3881 4 4282 5203 1 3397 809 2 15205 7853 1 8400 23 3 14541 1062 1 6703 505 1 18847 1153 1 12984 2443 2 6753 411 4 1258 1710 2 2597 215 2 18986 4496 3 17644 1374 1 2643 398 1 5773 4297 1 36 1993 2 5916 844 2 10247 175 1 787 1464 1 4305 885 2 6988 3511 1 1509 4623 1 19053 615 1 17748 1103 5 15148 4967 1 8278 4386 1 11256 704 1 15192 3535 1 13787 2665 4 11467 893 2 14772 1359 1 8620 5814 1 18232 1740 10 10195 214 4 12682 38 1 19957 7953 2 14753 1740 1 15326 1732 1 15568 2534 6 10233 1244 3 19649 1717 2 6878 46 1 10290 201 1 7792 3617 1 11556 220 1 13997 2504 1 17172 4946 5 18285 2107 5 19579 7750 48 7289 2572 1 2891 229 1 6510 4919 2 12194 1761 4 2178 3909 5 17607 1194 2 6183 1745 1 635 6183 1 14759 525 8 17850 1344 1 20218 498 1 6916 6229 1 8083 578 10 11772 8197 2 6393 5522 8 16057 233 3 15718 3482 2 2886 912 1 6015 203 1 4142 1561 1 15855 2668 1 5630 5391 1 13881 46 7 17469 867 3 8088 638 2 12184 6640 17 17290 5730 3 802 5559 1 14805 372 1 3583 4996 1 4098 1031 1 10486 578 6 13302 2353 1 6749 1250 3 14257 3840 1 11072 2534 1 4939 1678 1 6035 261 1 11489 200 1 14663 519 1 10065 1737 1 12491 2260 6 14582 1819 3 15175 523 1 10360 4694 1 2443 7190 63 979 536 4 2587 164 1 2942 71 1 4874 219 10 14836 1374 1 16219 1464 2 1635 87 1 2134 2727 4 16088 5586 1 3739 2400 2 4875 365 1 1552 7342 4 1935 3632 1 6668 5266 2 747 4983 6 11846 7403 1 18861 1752 1 1637 236 1 1986 6481 1 6105 670 1 18000 7850 2 5234 2520 1 10507 942 2 16271 690 1 19346 3399 1 10044 2150 10 8281 2734 4 3449 853 1 4891 46 1 143 6621 1 19193 224 3 8816 3634 1 2382 411 4 5132 1819 1 1635 4284 1 251 4649 1 130 5795 2 9039 201 1 9204 4382 1 3470 4992 1 8493 6204 1 5696 867 6 3704 201 11 18501 1703 1 2653 5018 272 11050 1379 1 19840 156 1 18237 2683 2 550 1893 3 7487 3083 1 12378 2271 1 7780 6925 1 17871 2651 1 7034 171 1 4279 4673 2 5901 1244 5 7702 2918 1 8614 5535 2 12817 793 1 17414 1743 3 8318 5086 3 10447 3167 5 8082 693 1 2739 4711 2 11786 3590 1 5744 519 1 11533 715 1 15185 184 1 19748 7746 1 14797 3168 8 14146 912 3 12623 5919 1 13417 4062 1 8083 1367 2 1712 2813 1 16828 230 1 15003 5040 12 19428 1762 2 454 4551 1 3515 6204 1 10852 263 1 4000 1712 9 14211 3684 5 65 3135 12 10482 8066 1 171 7664 1 7968 885 1 12337 7596 1 16312 903 4 9051 1777 2 4155 6375 1 17596 496 1 8069 745 3 9270 417 2 14758 7522 1 17886 2488 1 20114 1276 1 4399 3138 2 14080 6084 1 8082 639 1 1361 6794 5 296 665 5 2405 365 1 15480 219 3 18679 7489 2 6841 1037 3 13001 5255 1 11774 4692 1 18543 4713 1 4629 2270 1 3117 3556 3 13613 904 1 19449 1737 5 12470 4431 9 5080 81 1 826 1775 1 10137 1701 2 15200 8158 1 12620 1251 1 1539 2636 1 12777 3717 1 2748 3554 2 20256 6779 1 14143 225 1 17405 2877 1 109 4992 3 6783 6174 2 19000 1239 1 8221 5467 1 1858 197 19 12187 126 1 10911 602 1 3982 1366 1 18099 927 1 10233 1284 1 4279 1228 1 16857 1246 2 2874 1705 1 1839 1531 2 1348 1946 1 13425 1019 1 18812 5052 1 16800 458 2 7823 3378 14 7481 1247 1 18040 6793 3 10188 411 1 10221 7404 9 11772 4245 7 3545 1717 1 9865 1482 12 16018 5887 16 2160 7427 3 10501 3998 1 7078 1007 12 109 4987 1 809 3747 2 334 2104 1 20009 1710 1 11545 1638 1 14900 1734 1 6939 233 2 16199 1035 1 4095 4271 1 14255 498 1 12501 514 1 232 1772 6 8054 3974 2 83 3771 1 19399 5023 1 10916 756 1 18534 7096 1 2285 1381 1 19949 8026 4 1564 6899 1 1304 1756 1 8730 6897 4 384 2577 6 8250 496 1 4785 2403 1 1665 8096 3 992 5664 1 18587 203 67 15310 6280 1 14250 1745 1 3581 7980 6 8311 518 1 445 411 2 9166 2931 1 16306 1763 2 18974 223 55 2826 4409 3 14774 470 3 12424 6031 15 3916 1603 1 5132 4003 5 8914 1887 2 6870 23 2 9178 6053 1 10692 963 4 2930 499 5 9840 508 1 18939 1769 1 2126 1757 2 11826 2821 1 17017 1245 1 14140 3474 1 5186 6057 1 7493 964 1 1171 1738 1 14355 6130 1 12995 3057 3 18575 2115 1 9591 837 2 19029 2951 4 12603 5586 2 5907 1808 1 14900 1252 1 8138 503 3 992 220 2 1872 221 1 4425 234 1 10633 1721 1 17988 925 1 11760 656 1 4311 1772 4 15703 1991 2 14358 1328 1 1711 688 1 1445 2069 2 4273 1548 5 6270 1600 1 12013 1670 1 1444 2982 1 2225 3308 16 16238 222 2 3231 6210 1 17490 207 10 11656 3074 1 4901 6702 48 17322 4310 1 10741 1772 3 15188 1783 2 11935 948 11 1171 1781 1 7613 13 1 4208 1307 1 1727 470 5 10912 6288 1 3801 407 1 8269 869 1 1445 1245 1 8532 1707 2 20130 793 1 8490 6150 1 3985 6535 1 14800 3361 10 12984 4382 1 14845 219 1 18879 200 6 19731 1399 1 19362 265 12 5312 1583 1 18867 2480 1 7385 2801 3 979 8183 6 11441 1437 1 8719 5305 1 5290 4669 8 4581 7597 1 12149 1401 1 379 4572 1 2282 4266 1 8356 3511 1 15683 696 1 11520 8139 1 9547 1757 1 8558 207 1 14226 2415 1 13885 5108 3 20262 1247 1 9572 2581 2 6125 1768 1 19673 35 1 14514 5156 1 19883 573 1 3757 7250 1 6854 3512 2 7246 1908 17 3258 1235 1 12064 1417 11 171 7678 1 14072 5551 20 4183 2490 1 1190 252 3 4705 3431 1 7261 201 17 16918 5467 12 17302 1877 7 10828 4653 5 15509 3911 1 7455 3813 1 7769 874 1 18170 149 4 13126 2369 1 19920 3020 1 15669 696 2 2512 8141 1 4132 6697 1 15329 554 1 9698 6835 3 13777 5105 6 8191 340 1 10815 329 1 19822 3231 2 8580 190 3 2 113 3 3765 489 6 19489 3164 2 18149 1267 1 6242 1715 2 8735 2883 3 7914 347 1 5145 3138 4 14064 7222 2 9395 81 21 15940 595 3 4492 7178 2 6534 2581 1 3471 514 4 13141 2736 6 4547 186 1 13743 1695 1 15791 1775 1 18939 1727 1 16281 225 13 6341 6993 3 7994 656 1 14890 810 1 10353 6481 3 11327 4296 3 4092 47 2 16836 5730 1 10219 1707 5 14822 861 1 8498 3625 1 5066 1474 6 3414 1814 1 578 518 2 10312 4653 1 17578 3405 2 135 6132 1 9522 524 3 11025 867 1 6812 1783 1 19865 554 1 12177 1709 2 7088 1454 3 4758 4391 9 7527 203 1 5922 506 1 15940 5820 2 11336 2656 1 14113 6130 2 17383 1757 1 16831 207 1 7941 2895 1 7988 5278 1 10783 2614 2 222 665 2 14514 5186 1 4887 6289 1 5600 3896 5 2017 3585 1 17633 899 1 6517 6571 2 5616 8100 1 17811 5019 1 4472 186 1 16399 2686 1 19267 852 1 14234 7770 2 11461 1703 2 16286 382 2 14387 2555 1 4158 2626 1 13100 2567 3 11604 864 1 3838 4664 4 10671 519 6 3476 495 3 10309 730 1 6400 7275 1 15568 3511 5 130 5870 1 16245 6011 7 2525 327 3 11461 2056 1 3824 3911 8 19379 912 1 16270 637 1 19160 348 1 15641 4067 1 12469 413 1 7714 2386 1 16420 6108 1 13715 2877 1 14464 7477 1 15014 6754 4 4734 7117 1 10340 214 2 9954 682 1 13224 7598 1 11964 2698 4 3555 2552 1 10034 937 1 862 1193 7 7231 1250 1 3066 263 1 6259 2247 1 5868 4470 2 8343 7920 1 1922 1762 5 2131 3056 3 18320 47 1 5401 889 1 5696 3333 1 17676 200 2 19289 1716 1 2384 2509 2 3505 4963 1 9572 6687 1 18698 4949 1 10999 4280 1 19679 3333 6 11014 1363 1 19453 292 1 7426 163 2 143 5794 2 10551 2675 2 15647 200 1 11705 4389 2 18056 1250 1 10389 4099 5 12537 3447 1 10895 7216 3 16593 2488 4 18487 1244 4 8251 5353 1 18154 2889 1 12766 690 1 10290 1250 1 8028 5583 2 3023 4728 1 7309 6549 1 14367 219 1 12363 6363 7 10022 5422 1 13461 156 6 13 798 5 5004 7937 2 12031 3913 4 9883 3370 1 3123 223 5 6333 2345 2 15775 808 1 17147 4540 1 12817 441 1 14211 3669 4 4784 1747 1 15456 1450 1 3665 1304 12 14525 4056 1 8599 2355 9 3059 1184 1 18555 4047 4 3517 1687 4 15785 670 1 10221 1721 1 7772 5097 2 6314 3797 1 17300 4655 2 12913 5014 3 16715 1043 2 19323 3946 2 16674 4680 2 3170 1243 1 9445 201 18 15812 552 1 1263 4992 2 19871 4518 1 8383 883 1 11901 1768 1 140 6362 12 9408 5485 2 8497 8102 1 1668 3295 1 133 6012 1 20269 219 1 11854 5288 1 5433 6229 1 13384 3558 1 15943 981 1 11533 4098 1 5369 3847 1 741 194 8 2937 206 1 174 8028 3 18523 1560 3 18325 5871 1 11188 6122 3 13148 2721 1 9586 225 1 5927 5018 1 6763 4967 4 9224 777 1 15969 221 1 14703 200 3 12127 4099 1 1816 453 1 16636 1015 1 17678 8076 9 15352 3956 1 13401 4992 1 873 4246 2 10461 1310 1 3704 1739 3 1950 2620 1 2916 5824 1 1886 2998 2 18056 1184 9 113 1946 2 74 3429 2 8904 501 17 638 166 1 2079 2061 1 11823 7629 1 6063 244 1 11956 3909 1 13595 221 1 14958 4572 2 772 4490 1 2980 4667 1 7775 1820 8 4811 3140 1 3397 6520 1 100 4494 1 12766 591 2 1536 867 2 7301 23 22 1899 1734 7 5132 3488 1 6213 1764 2 9423 7080 1 14623 8111 2 19437 554 1 13601 5442 1 18939 5054 1 10391 2876 11 11599 2356 2 2646 2263 1 7896 200 1 6011 2514 1 10997 3963 1 115 5186 1 2910 4587 2 4185 5077 1 18174 263 1 812 3592 5 10211 5576 1 944 6278 13 9680 3587 1 10035 1770 2 12922 200 16 2723 1638 1 148 1752 5 7529 2557 1 1665 1403 1 15703 223 2 17762 4458 1 8561 1731 1 5979 3454 1 591 7731 1 244 1825 2 13579 1244 1 11678 629 2 17778 7936 2 19724 196 1 9805 4968 1 18847 200 5 12112 967 1 8975 2332 1 13905 1334 1 18986 8099 1 10258 3903 1 6519 769 1 6072 6682 1 12812 173 1 12221 2671 5 12638 4435 1 19272 10 9 7433 4998 1 15858 7603 1 18681 656 4 18887 7624 1 19160 1760 1 12020 1955 1 11351 3742 1 4924 244 3 14560 617 3 15398 841 1 10391 2511 7 12159 5105 1 5843 1146 7 15398 810 2 2418 6546 1 62 2837 2 14522 780 1 15608 639 2 10360 5602 1 4948 3457 2 18623 1729 2 4573 225 1 9305 233 1 19319 3101 3 5261 1296 1 15315 4470 2 7363 1740 1 19026 6579 2 13842 4158 1 3324 5014 10 2539 5253 1 4577 2675 1 6687 416 1 1443 520 1 11657 3905 1 15608 5150 1 6644 1423 2 17743 6231 1 6275 1898 1 8907 219 1 1697 1711 1 130 5827 1 9449 1757 2 13461 2316 1 19602 52 1 10507 764 1 5659 1707 1 8751 3639 1 10319 5674 1 2284 4107 1 11252 6936 1 6617 2517 1 20225 929 2 10328 525 1 92 4176 19 7334 6053 1 10914 214 4 1007 3969 1 4155 4211 1 10943 214 2 1948 508 25 496 96 1 12757 7976 1 18711 5817 1 17416 4343 2 5486 207 1 83 3846 4 10928 2671 166 10667 1776 1 14554 232 5 9433 4572 12 1157 2290 1 9358 184 1 11820 6637 12 18628 7946 3 3149 753 8 16259 1752 1 142 6494 1 10340 4065 1 1344 215 1 9258 2250 6 5884 8168 1 19504 7486 1 12717 4375 3 6235 4201 1 9346 3119 1 1870 6435 2 126 5718 1 2228 425 1 2267 7719 1 3962 6150 2 11727 3715 1 5160 1267 1 156 7177 5 15761 2338 1 5658 3511 2 11614 1037 1 7928 5755 13 14495 3693 5 27 1639 2 181 8205 1 13806 616 1 705 2355 3 5356 5327 1 7705 671 1 11237 2742 4 6389 6334 2 12982 1705 4 16292 5254 1 6159 7788 1 14230 3617 5 18159 1247 4 11207 3842 2 17296 4698 3 14341 2516 1 12343 973 1 4341 2316 1 14201 768 2 5993 3228 2 15314 5408 4 19336 976 5 8532 518 1 8957 6639 4 1727 219 23 9388 3895 1 8832 4557 1 7701 2401 1 3407 7336 1 16382 4967 1 14998 1340 1 89 4038 5 7975 508 1 3911 2697 1 12817 4099 1 8132 5020 1 7795 4992 1 13647 7525 1 12035 1752 1 91 634 1 4519 4120 1 10741 5144 3 9862 8171 1 4520 1995 6 7239 4816 1 8082 1163 2 6878 3378 1 4368 2364 1 19782 1769 3 1464 7902 8 11086 510 1 11136 1554 1 13800 4402 3 9762 1474 1 8757 412 2 8199 2437 1 4902 1739 2 12766 673 2 14428 1686 4 2067 274 1 2803 3552 1 9061 3608 4 4867 1505 1 16057 1698 1 19428 7352 1 4614 6933 1 14049 6129 4 7837 1644 4 9538 7815 2 15211 1228 1 14253 23 5 17786 5543 1 7170 536 1 9150 6101 1 11964 1305 8 891 7105 2 17176 6204 3 12821 215 6 20180 650 1 2509 3414 1 9708 3074 3 4812 1728 1 16602 534 4 130 1302 12 4026 3234 1 7470 5162 2 12322 252 5 13819 7689 2 12817 1234 1 17517 1751 2 14012 3227 1 14204 4435 1 18879 4245 1 12071 1384 1 12142 6517 1 12325 148 1 13671 1700 1 14664 4992 1 20240 1723 17 14825 4599 1 6286 3505 2 525 5257 1 16534 1756 1 14826 3615 1 19355 3074 3 209 2114 1 121 656 4 4841 223 1 15307 939 1 18250 2653 1 7756 5536 1 2816 6826 1 12361 846 13 6624 2639 1 10601 3206 1 835 6124 1 16705 844 1 5498 6983 5 8614 4979 5 20133 11 1 5537 2649 1 18286 4312 2 2878 545 1 18894 1286 3 7058 5400 3 13891 6517 1 3089 3298 1 8986 1990 1 14326 2831 1 196 553 1 375 1825 2 5397 223 2 7743 7302 2 19254 2676 7 18634 605 2 1790 7965 1 8329 663 1 17404 4013 1 18296 1237 4 19088 4967 2 9224 820 1 8071 2860 1 3215 5814 1 6164 5490 1 2833 3193 1 114 5118 5 14305 603 4 916 759 2 20096 534 8 18237 228 1 10247 4011 1 151 6789 1 7065 4302 1 5251 1278 2 15817 1307 2 18116 2251 2 7630 1374 2 16310 263 3 3049 7583 1 17434 232 3 10849 963 1 6007 6898 1 6110 1775 1 14053 6914 5 19789 6121 1 13839 679 3 17500 1769 1 18168 206 2 4889 6196 5 12194 3967 1 5297 1954 1 19613 3731 4 2345 4508 7 17331 498 2 5653 1234 5 8440 2671 6 16925 2004 1 4784 244 3 17256 1275 8 8568 36 1 8080 4306 1 15186 1718 6 19180 3617 1 14621 4105 1 8654 2584 4 15119 6880 1 10228 134 4 5088 4029 1 17638 816 1 2593 1739 1 2905 1307 1 5617 3851 1 5737 5350 1 878 3528 3 11572 2969 1 7361 2935 3 2629 1743 1 18057 4796 3 7756 4986 1 62 2991 1 2215 1717 2 15322 1245 1 6519 948 1 2483 1705 6 9826 470 2 11326 628 1 18258 1560 2 6654 6202 1 14086 1241 1 17466 164 2 9445 3626 1 15482 1135 1 12112 7411 4 18484 1715 1 15443 6084 5 5863 7705 1 14881 3276 5 13728 207 1 10579 383 1 153 7004 1 15242 6053 5 1397 1533 1 15870 2632 7 10240 2676 1 2801 3081 1 5214 532 1 10916 712 2 5361 745 1 19760 777 1 13123 200 2 14898 3575 1 9993 745 6 18667 7229 1 16645 6931 1 9972 2343 1 3890 3511 1 17736 5120 1 6520 1772 3 13412 2981 5 8667 1091 2 8818 4120 4 16033 4304 1 1552 1751 3 12078 4401 1 15396 1752 58 19026 533 2 9660 3613 1 6597 1304 1 9945 4622 1 1677 4446 2 19140 6687 1 9887 303 1 387 7700 2 8994 4274 1 1064 220 5 4769 6517 2 7306 911 2 16403 6545 1 3796 2241 2 10411 4361 2 14838 508 1 15776 1638 1 10285 1788 2 58 2700 4 2007 1719 1 2198 5490 1 10851 2918 2 5373 5999 1 5873 1443 1 15221 4306 1 14312 232 1 48 2402 2 12959 532 4 5185 6481 5 6496 5256 1 9795 2355 1 12375 907 1 6310 411 1 12919 6526 2 18025 3412 5 7858 5457 1 7823 4983 1 9949 4622 1 10404 666 6 70 3303 1 9043 920 1 15247 222 2 9554 1717 1 17151 3262 4 4488 2369 1 12626 7498 5 8452 6268 5 140 6359 1 19565 2364 1 140 6400 1 4231 15 1 11667 2880 1 557 907 1 17409 1710 22 958 1814 2 3423 5070 1 10610 5243 4 20201 4314 24 19432 223 7 5889 1830 3 4880 894 3 19957 4402 4 15087 7665 3 15699 2707 1 4452 8057 10 6269 3412 2 19068 1573 14 9287 517 1 19594 7096 1 9604 7719 10 973 961 189 11890 745 5 1499 1649 1 10999 2513 1 5299 2056 18 18133 221 8 6213 4435 1 52 2543 1 9488 3554 1 4976 4407 1 5638 130 1 10399 229 1 9660 1643 1 312 6596 2 12644 3334 1 9014 7534 1 1631 4304 1 7099 4435 1 19272 5922 3 4050 1758 2 899 2514 1 3906 194 1 11981 1190 1 1371 1729 1 2674 3023 1 15858 572 5 6809 1936 9 1499 5608 1 174 5738 1 4333 6231 2 20036 4283 1 10198 225 1 15144 2704 1 12343 1182 2 13916 4135 3 7463 383 1 20016 7018 25 18877 1003 4 5581 3554 3 6165 2675 2 19743 1738 3 10187 74 1 1865 186 1 7082 4543 1 12642 5365 13 126 5634 5 19637 586 1 10948 676 9 17870 1395 1 73 3351 2 4435 1221 3 10334 2887 1 6283 1764 1 11844 1239 7 7849 5451 1 14335 2569 1 11146 6007 4 10228 200 7 12935 1827 3 19760 4172 3 10245 4188 1 12717 6534 2 17213 5715 7 13871 1243 13 17347 1132 10 6800 201 4 5954 1649 40 10493 517 6 18450 2481 3 2507 2076 1 10452 812 1 17778 545 1 17228 23 2 1133 6903 1 1737 5011 6 19034 481 4 13234 5807 1 8343 7878 1 11769 1663 4 1059 2144 1 2345 6714 12 314 1748 1 7363 1748 2 3697 1819 3 4554 205 2 15726 3911 1 11617 3356 2 4030 223 1 455 6595 1 16843 1007 1 2803 367 7 19252 4590 2 4768 3070 1 6449 1251 6 3337 3862 4 2390 304 1 4390 5817 2 8911 1825 14 9551 4245 10 16842 8012 3 13983 5408 1 7519 1304 5 20241 5162 8 6533 1737 1 171 7802 1 10494 207 5 12821 1704 1 15826 1277 1 15560 5329 1 6611 2742 1 4414 5037 1 9543 6897 1 12457 235 1 10080 2355 2 6524 1737 1 199 4555 6 9050 6487 2 19115 1751 4 13601 244 1 7324 2728 1 4462 1982 3 15400 1724 2 10631 1771 1 15975 5758 4 19881 4025 1 7421 1863 2 18289 4996 14 12644 3421 1 12763 532 1 1752 1422 1 3996 210 14 19856 1235 17 5537 6231 1 11057 5903 1 16467 7726 1 11185 6880 5 397 1755 1 2413 2327 2 2905 1664 3 3090 3608 1 20053 545 3 8645 441 2 4619 1991 7 11581 4065 1 493 2510 1 10410 1340 1 19503 367 2 1631 2981 2 8763 1660 3 1143 2877 1 8734 5490 1 11654 8072 2 19584 1198 1 16523 1629 1 11765 545 5 10733 2869 6 8458 6598 1 3593 4142 1 525 201 1 4580 187 2 4390 7594 9 12897 1305 1 17223 7857 11 10311 665 2 17754 1721 1 7528 1660 1 4779 397 1 10790 578 1 11046 1246 5 4593 837 3 1206 6892 1 1711 3573 2 12766 963 2 9815 1395 6 14413 8245 1 16857 1752 1 13003 164 1 13970 3941 1 2179 7687 1 7817 478 3 2079 1208 1 1214 2297 6 1002 207 2 14114 702 1 18201 5334 1 4898 1758 1 13601 5495 1 14522 1698 2 866 2522 2 1789 1424 1 7366 2951 3 13109 207 1 10244 1466 1 6997 2388 1 7516 2261 30 14382 5019 4 3214 3352 2 19401 232 2 141 6483 1 13646 186 2 143 6672 2 4285 3752 3 8713 7586 1 14427 1762 1 2643 2841 1 10737 235 2 1231 2656 10 5093 6567 3 16157 2801 1 1555 340 1 15517 3074 7 4056 1308 6 101 4600 2 9656 5945 1 11404 1846 1 1763 4740 8 4825 3333 4 18183 222 1 8394 2495 2 19030 80 1 7857 1775 1 19510 1718 2 605 1357 2 18381 2815 10 9097 252 5 7498 7958 1 11032 4369 1 12373 7953 11 15108 6087 1 18320 1893 1 13123 7515 1 17661 5249 2 6144 502 3 4917 7172 3 17088 232 1 15091 4333 2 1803 2712 2 683 244 8 4862 1819 4 11827 1644 2 13252 2580 11 19566 4610 5 17578 5328 1 16669 6342 5 10525 470 23 6183 4403 1 1024 5369 1 19177 3648 1 9120 7244 2 9717 3525 2 12128 2415 1 12317 1729 6 16767 3894 1 18706 200 6 10946 196 1 11392 1916 1 7498 3531 1 9548 8076 1 5128 1681 40 16916 7831 1 16135 219 3 4251 2449 1 12134 223 1 4861 4429 1 11515 7597 1 7224 4992 1 2272 3334 1 4568 3411 1 2153 4796 18 15759 960 6 18366 5553 4 12082 1819 1 8393 4811 1 8063 3491 1 14283 5036 5 15507 203 1 11755 6517 1 18613 5385 1 11156 1298 5 10441 1771 1 12375 1508 2 2691 871 3 9519 215 1 11926 2056 5 18500 2424 1 4511 5090 7 8416 2641 2 12104 2022 1 12231 769 1 18576 840 1 8439 1724 1 593 1247 2 13023 5703 1 12975 2488 1 1344 23 3 11205 6053 2 15948 514 5 11111 201 2 17163 2727 1 5117 828 2 96 4386 1 8212 1147 16 1576 3148 1 3189 1777 1 10146 1369 2 10706 6515 1 5860 1453 1 8458 1244 3 18275 2671 1 5407 2373 1 5588 4436 1 955 1825 2 18285 365 1 11879 23 2 10702 5531 1 837 6408 5 13898 6793 1 13234 834 1 18974 4435 21 9345 327 1 4012 8141 12 16338 2508 1 17693 5019 1 14402 3531 1 16468 5786 1 449 1184 1 14350 505 1 9724 215 6 18902 2641 1 19088 3021 8 1930 4245 2 5859 7431 1 7186 4616 1 4115 8166 1 12434 2673 1 6183 501 3 16504 1734 2 18197 2343 15 7700 267 1 13574 2028 1 2917 670 1 822 2010 1 13134 4521 7 392 6713 2 16288 3619 4 19178 2614 1 16894 3353 1 5841 2552 1 4512 726 3 10311 4456 1 8740 5253 1 11756 243 1 5934 4988 3 5025 502 2 8895 863 1 12777 460 5 19304 7719 3 296 206 8 863 7510 2 17676 6826 1 13792 4312 2 18680 1340 1 3075 1770 1 19400 197 1 6749 6057 1 13227 7689 1 19600 514 1 13619 1328 2 20115 6228 24 16477 6418 5 10569 196 10 1264 3661 1 153 6885 1 3395 496 2 14962 6127 1 5059 498 2 18293 1277 1 18667 1395 1 6540 2297 1 18214 7350 1 8746 1660 2 5909 806 1 14957 6908 1 4572 496 1 10973 1356 3 5216 200 10 3855 800 1 53 2565 5 6089 364 15 10555 1776 3 18876 1213 1 6301 7320 1 6533 201 1 18381 1388 7 4287 1825 4 16198 1638 1 14512 732 1 2189 5595 5 4092 2662 31 446 8012 10 15405 1032 1 18666 1251 1 5588 1737 2 6962 6607 2 17326 3563 1 4439 714 5 8594 5413 1 14773 169 2 15753 2632 12 6692 532 1 10394 1150 2 12951 5020 1 3548 1296 1 2716 1157 1 12275 3573 2 15310 3591 2 8798 206 1 1883 789 1 4773 1042 1 11741 3907 2 15307 2807 1 11629 878 8 11435 904 1 19270 5922 1 17448 4522 3 1923 1105 1 14728 3230 5 4050 1779 2 10578 4320 7 12695 1825 2 6183 2789 2 14522 847 1 6140 303 1 188 1769 1 6824 1698 27 13296 4992 1 7892 1755 3 19664 502 1 6707 3459 1 12424 867 4 7995 864 2 8214 2058 2 7111 214 3 7991 5820 5 3851 3492 2 705 221 1 2959 1374 1 1246 2661 2 384 1401 2 11108 7674 1 5515 3693 1 16355 1819 2 19000 474 1 6650 8183 1 4256 8183 2 906 7997 1 15853 1730 1 13187 4266 1 4683 2584 1 10340 1752 1 16199 2276 1 5117 148 2 3133 5969 1 6907 716 1 13936 4363 1 3110 2739 2 16700 737 1 14992 303 5 8077 5343 1 6070 1982 2 8957 6522 2 13779 765 1 9581 229 7 19085 4403 1 2937 215 15 18968 5460 1 5287 48 3 9565 2243 5 4305 8022 2 3080 471 17 13764 7282 1 521 5339 1 19735 4528 1 18462 3386 1 12530 4591 1 10457 7009 9 5830 2444 1 1839 232 2 14519 964 2 5770 2333 1 2869 7439 1 1133 601 1 745 4341 1 8232 4023 1 9406 4435 6 8519 223 1 7991 6609 2 8082 732 3 17088 1752 1 8013 5858 1 1612 3301 1 8343 4619 1 13697 1472 1 13820 1757 1 19352 834 1 8853 3219 1 11992 2600 1 19157 6936 1 18876 591 3 3059 4324 1 413 2668 1 18526 638 1 9969 7972 1 18158 1404 1 6534 4303 1 17647 399 1 10309 937 1 10231 1244 2 4514 1718 1 13430 5513 14 5835 4763 1 12149 5467 1 5145 1244 1 14305 946 2 9563 3999 5 15586 314 1 1147 1762 2 1558 4339 4 14903 8145 4 6059 3715 1 6418 5275 3 6570 3705 2 18363 4172 1 4216 8141 13 14522 1732 2 7000 205 5 2218 378 1 1229 1020 2 3382 5251 16 12128 3819 1 8285 1727 1 19993 2721 3 17342 957 1 11872 6543 1 18473 288 1 18876 329 1 7701 8043 1 1510 4459 1 8452 2626 3 19579 2831 37 6752 1301 1 18470 166 1 7037 3426 1 126 5695 1 11254 4436 3 12856 4489 1 7145 541 1 595 2639 1 6063 6925 1 11772 6692 2 19410 4615 2 19222 867 10 7446 7201 1 11557 2193 3 15608 318 1 5138 2897 1 6070 1764 1 2886 874 1 1760 5434 1 15307 6082 1 4791 4919 4 6152 1659 1 772 3707 19 11461 1707 1 7577 1365 2 2882 6633 1 4828 952 4 138 6304 1 14794 6128 1 6273 876 1 14292 6340 1 1466 545 1 19420 2964 5 12958 521 1 6340 3326 1 1114 214 3 15635 318 1 2529 718 2 9808 910 2 9051 5090 5 2394 200 6 9894 4211 1 3161 7614 2 16976 3900 1 16339 5259 1 2932 201 16 16740 6201 1 196 197 1 16191 3367 1 201 500 32 9909 367 1 17662 1695 4 7623 877 1 397 2488 3 10020 2109 1 14629 4591 3 4850 5477 1 13096 3114 5 12715 1825 1 8694 1242 4 8884 6623 1 5229 5858 1 9743 6558 1 6441 3707 1 5834 4409 1 5307 1632 7 4020 5352 2 7071 1742 4 4492 520 4 1608 3608 5 1761 5004 1 11458 2380 1 9279 1245 3 11598 3815 2 387 2786 1 15896 1780 1 9387 207 1 12496 3351 1 14427 196 1 14617 519 1 3277 1482 5 12941 614 4 17841 2184 2 11326 2701 1 11673 73 4 17725 6899 1 6076 2534 7 6154 1164 1 10585 1482 3 9695 1445 1 7359 214 5 7331 3263 2 16192 514 2 6183 1665 2 2890 1819 5 4662 203 10 1086 6480 3 14936 4996 1 15762 6365 2 16316 2229 1 95 4373 1 1694 2254 2 9215 936 4 10452 6576 1 18358 3629 1 4382 1251 1 5234 1785 3 4153 6059 2 9579 8154 1 10806 597 1 1405 3636 1 14883 1775 2 10926 2799 1 17488 2897 1 16292 6591 1 5649 652 1 12740 8060 1 338 95 3 3307 2971 1 2095 2670 1 19293 221 2 16971 7259 1 504 3842 2 15429 2990 1 18138 1995 9 15315 4453 1 11353 6914 1 18595 1507 18 15143 3973 1 11816 8151 5 9269 505 1 12774 2980 5 5589 4824 1 14758 2642 1 3008 4383 1 11773 1312 1 11729 1464 1 18499 3007 1 9432 367 1 2569 6481 2 16266 1814 1 4417 229 1 12875 6231 1 5837 1298 2 3397 810 1 12376 867 2 11730 8102 3 16036 7531 5 4826 3916 1 873 2892 1 8651 1724 2 15786 1780 2 4234 4279 1 13578 6564 2 301 23 2 3596 201 31 3532 3881 1 11221 6139 2 16484 7144 5 17013 201 4 5328 1146 1 15303 1146 2 3826 479 1 15163 5515 1 1870 5187 1 1122 4312 1 6907 2951 1 16631 207 3 5185 4209 1 7530 6741 5 8969 1760 1 2045 5018 3 5970 200 1 19516 7469 1 19095 7486 1 8323 409 9 4382 864 1 8471 385 18 3991 3481 13 9134 2618 1 12436 1985 1 19489 4306 3 14495 1772 1 17934 4179 10 10311 925 1 16904 8156 1 16881 1245 1 5749 8058 4 19104 370 1 6551 6083 6 4033 214 1 11533 8099 1 358 3556 2 19872 935 1 8735 1757 10 4498 36 1 5859 3882 5 11080 234 8 16548 3838 1 19645 524 8 18562 2097 5 18397 7491 2 4889 3516 6 19133 2489 1 13302 864 1 12954 1234 4 19355 589 12 2486 2029 1 1 53 1 6906 3250 2 115 5185 5 14560 742 2 18979 1342 2 12638 203 1 2024 1519 1 2547 1314 1 17047 10 1 10625 7138 1 19664 508 4 11472 2678 5 8411 1736 3 1708 222 1 18635 706 1 3003 3193 3 873 1271 1 1335 3554 2 5586 615 1 19326 214 1 3406 7224 1 10913 214 2 17306 1151 1 983 2089 1 13583 4262 13 18037 677 1 17298 1236 1 7180 409 1 9708 6882 1 19937 7210 23 16789 203 2 11078 220 1 16018 2743 1 11323 173 1 10330 1755 3 12596 6673 3 12260 8139 1 6437 1305 1 16639 1981 1 4566 141 1 6032 8000 1 6726 2729 3 12244 7657 1 11573 1732 1 6105 844 1 10738 1703 1 19145 214 1 7498 530 1 12098 6207 1 1231 2024 1 83 2595 1 5597 1819 1 4315 219 3 6259 1275 1 1263 7098 2 7483 4299 1 11937 1990 2 16107 253 43 11957 2353 5 3794 7217 1 18518 232 1 19319 2938 1 16482 2691 1 13638 880 1 18211 3729 1 7446 308 1 3255 3113 2 6501 910 4 2284 1734 1 2019 442 1 15699 8203 3 17958 1237 1 17027 141 1 16468 3775 1 9935 470 2 10554 4384 1 9711 502 1 15144 8096 15 17 1152 1 18301 4812 1 12144 4616 1 12541 510 1 13488 200 4 10847 2774 1 15056 7216 3 113 5077 4 19833 2014 1 16202 4596 2 11885 1955 3 9279 1249 2 7135 1453 1 18667 1250 1 16278 7301 1 6138 550 2 11367 2678 2 8517 7583 1 3168 1296 2 12821 6517 1 10246 207 11 18681 561 1 9248 3454 1 12777 13 1 18252 1645 1 3925 1737 2 1667 3578 1 18614 5549 1 5190 1190 1 9776 618 4 18785 520 2 13640 1784 6 15896 6817 8 18179 5207 1 3044 822 1 1962 1026 1 10912 1643 3 18462 947 1 3484 2450 32 2454 1686 10 2592 4555 1 16096 4394 1 16961 2407 6 14837 1981 5 18404 498 4 762 181 1 1519 1762 14 6038 7512 1 6587 233 2 780 1677 1 850 514 18 19489 1762 1 5752 203 15 13857 1312 2 616 5105 1 5824 6473 1 9271 4435 1 7112 203 6 11668 517 2 11568 23 1 18711 1757 1 15932 3824 1 16388 4490 2 17958 219 1 5725 262 1 7741 200 34 4495 963 1 12817 5769 2 8532 496 3 2126 8008 2 7065 6090 1 7626 651 7 18089 219 1 10856 821 1 4688 914 3 17403 1350 1 7765 1781 1 17938 1211 9 13540 6368 1 5424 5391 1 13623 184 1 19751 2560 7 435 3619 1 86 3989 1 15882 471 1 18814 7642 1 4044 7188 15 5990 74 6 17534 6368 1 5624 2114 1 18909 719 1 13182 7719 1 5172 196 1 13402 7571 5 9659 2097 1 14825 3634 1 19476 2336 3 4377 891 1 12640 4716 1 16857 498 4 8109 3899 1 14079 3884 1 17120 1728 1 19939 5402 1 2434 3847 1 18586 2674 3 15534 1721 3 2689 1756 2 2709 292 1 3071 5404 1 20145 1781 2 19217 718 1 856 6341 1 3515 7222 1 3170 1737 2 11556 215 1 1222 4367 1 19834 3330 2 1926 1424 1 10912 1234 1 12963 6019 1 1437 1967 1 18536 409 1 11294 498 3 16776 1825 1 14196 8140 1 16604 196 10 19569 1730 19 11170 825 1 15622 23 1 16312 1720 22 340 2502 1 2420 3492 1 4701 580 1 13544 2736 1 16942 207 1 15168 219 1 7065 4587 1 3630 2641 1 11366 200 1 1666 304 6 16605 7349 1 8004 883 5 17595 5018 1 5131 3432 5 15712 207 3 5001 2678 10 13883 609 1 19247 2540 5 6859 6083 1 17385 8235 6 17008 4293 2 15209 997 1 20262 2254 1 12084 51 5 2619 5341 1 2562 2969 5 11354 692 1 7281 2079 1 16609 4333 1 2525 5255 1 16816 2673 1 3414 4998 2 6749 3410 1 8895 960 2 7670 3836 3 16828 6675 1 15905 3184 1 18188 1307 10 11544 3591 1 1008 1007 3 9565 7054 6 16099 23 2 16192 1764 3 19265 534 3 13646 1573 1 1839 7905 1 3817 4976 1 104 4676 2 5531 6196 6 12519 4500 1 16508 1747 1 16123 23 3 8860 937 1 9543 2009 1 4374 1464 6 18154 787 1 3471 222 1 13665 207 2 15220 2675 7 16314 207 4 4141 8183 3 1606 770 1 484 888 1 10933 4382 1 3902 6072 1 5569 2285 1 19389 1576 1 7822 23 1 11912 6527 1 14114 925 1 15220 1748 1 17449 3167 5 4275 2671 2 13591 1169 2 18511 221 3 18534 1395 1 6217 1695 1 13621 2729 2 5705 203 34 13182 4435 5 1852 1916 1 5638 498 1 11562 6080 1 19009 401 5 5925 4944 1 394 5294 1 19134 1105 5 17477 532 5 8291 467 1 3797 1396 4 12523 232 6 1276 4351 1 65 1825 1 2704 2620 1 19385 1556 1 4368 1814 1 2405 5002 1 12457 1722 1 10858 2356 1 7470 3371 1 14783 1825 1 17311 5931 1 1824 4597 2 16310 289 2 1689 1193 2 6519 252 11 16675 7552 1 165 7540 1 1030 2671 29 6769 4403 1 18071 6847 1 13922 197 1 13800 1338 2 14089 1139 1 6834 4653 3 9168 1775 4 14632 1103 1 19549 7009 1 7956 5485 2 7361 5022 1 10732 6341 3 18508 5435 1 18226 188 1 10943 3059 12 12770 197 7 6720 5446 1 18149 4435 3 633 6160 1 4166 449 1 15920 1275 8 8226 7013 2 6403 6744 1 683 5328 5 6387 5910 1 14231 292 1 13 617 3 13880 638 1 6069 1245 14 3081 669 2 8934 5288 2 9546 813 1 5720 1650 2 5118 1960 2 16921 3649 1 6630 319 1 525 234 1 7485 1819 1 2454 2646 9 13601 952 1 1026 148 1 3304 7980 5 4880 444 3 1279 5806 9 15820 5000 2 14576 3480 1 15974 8141 5 16789 7652 1 10114 3462 1 15893 7533 2 11126 7876 1 16090 6383 2 17548 707 1 9572 4337 1 7397 4174 4 3484 2448 14 8587 2499 1 593 1703 1 11113 3230 1 6806 1825 5 15527 5018 1 13252 1664 1 15992 845 5 17142 512 8 13997 819 1 9677 4949 5 12692 1829 1 14380 4592 1 5124 203 1 18687 411 5 2735 1450 3 11727 545 1 5626 4245 5 11001 1248 20 6039 4303 1 341 6135 1 4121 3884 2 17689 805 3 7994 765 1 11545 1728 2 18040 2422 1 13861 1523 1 15020 1184 6 7795 1745 1 15325 4949 1 9869 776 1 10591 3705 1 2111 1784 1 14640 46 1 1519 510 1 9144 2650 5 16675 4274 1 3189 7948 1 2525 5708 6 18017 3794 1 11130 3836 1 12296 3592 1 18492 1713 1 17042 292 2 4189 6239 1 6047 534 2 1145 1244 1 2045 206 1 7246 1282 1 133 3072 3 7804 5018 1 11529 512 2 6867 864 1 9529 1253 2 6058 2350 3 14861 180 2 15398 925 1 4552 545 1 16439 186 9 18750 755 1 9093 1482 1 7592 1184 1 2818 4245 4 14474 4403 1 10591 236 1 10065 2657 3 15100 710 1 2845 6268 3 18340 1756 5 3633 7297 1 1237 4945 4 14730 3620 1 6857 2488 1 10586 514 1 8098 1776 12 604 867 1 19463 3669 1 7213 792 1 15982 304 12 9446 1239 3 5281 841 1 15192 329 1 8626 6991 4 19742 3597 1 6776 2555 9 17627 2671 3 3146 2355 1 9865 222 2 13328 5407 1 17431 230 1 3505 525 1 12208 7013 4 604 5323 1 6314 3799 1 409 232 1 2194 684 2 456 541 10 19993 2604 1 9920 3626 1 10245 1556 7 17578 5310 1 10396 1617 1 12955 6683 2 17175 4312 1 10436 1819 1 4337 7491 1 6885 3278 1 17223 2737 1 4527 883 11 6781 2268 2 13 666 1 6064 1027 1 12284 7222 1 1765 8172 1 9881 1059 1 15537 1603 2 19156 1466 1 4382 214 2 11346 407 2 1596 519 1 16063 5502 1 12941 4299 2 2081 6198 1 19874 219 5 10625 891 3 10274 2665 1 15952 2369 1 11120 520 1 4054 221 1 4100 1296 2 14896 167 1 3309 1649 3 17027 5340 1 19626 1705 3 12510 504 1 7613 220 2 14686 2262 2 7537 6120 1 20068 1464 1 14612 3813 3 18446 1473 1 12279 232 5 8212 127 1 2546 3869 1 19287 6260 5 6236 5026 1 8620 541 1 11148 1244 1 14606 1282 1 16156 214 1 19014 1245 2 18711 1338 1 314 6793 1 19597 7245 1 1288 1776 1 14755 1631 1 8982 3949 1 18398 883 1 16482 1825 9 6380 215 1 8179 6756 2 10613 219 3 5996 274 2 5878 1824 1 1710 4944 2 11374 6330 2 16428 3457 2 10115 3486 1 3797 2931 5 3794 4903 2 6997 6480 1 10451 1138 1 1141 1760 1 14758 383 3 326 1757 1 5631 720 1 3724 1946 1 10695 6682 7 6560 1484 2 6183 525 8 17682 4223 1 13152 5913 1 1391 5499 1 10911 1781 6 130 5902 1 7652 660 2 12050 70 5 13222 907 1 19231 232 1 12942 207 1 9240 5253 4 18558 215 5 15873 3275 1 14301 883 11 19608 330 2 11388 1999 1 18382 5969 1 11300 7269 2 270 1235 1 19267 934 1 11277 6645 1 11854 4766 1 462 244 14 17 1065 1 2748 6592 1 4691 1235 1 7065 420 1 9188 5128 2 17850 379 1 12954 1819 6 14330 1730 1 11094 3213 1 20130 8093 3 2886 6892 2 4567 1703 1 3698 6620 3 10697 509 1 11215 3577 1 4492 1252 2 5076 156 1 12451 7185 1 10781 4604 3 3239 867 3 4935 6484 2 2792 7413 1 4779 5394 1 4851 1705 1 11394 2821 1 14629 7658 1 5294 6777 1 17995 519 1 10170 1721 3 14527 292 1 9883 316 2 16910 5791 1 5306 1514 1 10876 1686 1 113 5106 2 11020 716 1 690 141 2 11882 4345 1 5540 1464 1 6989 6022 1 7042 5532 1 11700 5018 2 3547 4938 6 280 1770 1 15982 3216 8 6776 3625 4 17738 230 2 10452 764 4 11855 1703 1 8082 763 1 6907 7012 1 17939 5123 1 2874 3180 2 16016 471 1 15289 84 1 13581 4632 1 7376 2799 1 16203 6178 3 4486 2960 1 11154 470 1 2629 1995 1 7147 1290 1 8490 7237 7 16689 4944 1 4330 7278 1 18572 23 2 20086 2439 3 7841 593 1 17536 194 2 15791 4849 2 4530 1695 2 15400 514 1 4221 5547 6 15159 199 1 18275 1703 4 18140 545 14 13139 7719 1 10397 6784 1 4208 3591 1 18690 1727 1 18132 4606 4 16431 7102 1 14968 3371 3 16646 1739 1 3896 2261 2 18860 759 1 3395 6058 1 9056 1277 1 5329 7213 1 13778 4811 1 5632 365 1 5977 1667 1 7032 2584 1 16916 6713 2 2824 519 1 6873 1893 1 18694 2646 1 4519 521 1 6420 638 2 13623 206 1 6795 5604 1 13178 3454 1 18189 3907 7 8055 5060 1 4734 1295 1 8634 4102 1 5745 1368 1 1393 2013 1 15850 3472 1 15108 7018 1 7028 1698 1 14359 1110 3 14906 236 1 11849 6053 3 17938 3056 7 4763 6346 5 18476 148 1 3640 4947 1 1866 498 2 17961 393 1 12592 3840 23 3659 2699 1 9597 903 1 20235 1755 1 11025 690 1 13971 2675 33 8769 2517 1 18676 1740 1 7132 964 4 62 2964 5 10498 7674 2 5884 534 1 10290 1726 1 12895 6488 2 5453 390 3 20173 1687 1 6095 4562 3 5424 4392 1 48 2438 1 12815 7089 11 14463 2662 3 14318 792 1 748 5730 7 10323 2424 2 16351 1738 1 20276 219 11 8863 3109 7 18072 4436 1 4806 3842 1 6047 470 2 11270 438 2 4768 2727 13 20068 1363 2 18822 4470 1 1397 1714 1 8391 5737 1 11727 4746 1 11314 545 1 11855 1748 1 4967 7001 1 12196 431 1 20145 244 1 5449 5715 1 15419 4079 1 12999 3666 1 7891 3863 1 5424 6167 1 19295 1819 1 15307 3493 5 12541 910 1 18869 3070 1 16018 5517 1 13190 2712 1 8878 863 2 5310 656 3 18140 532 12 17058 946 1 9717 244 2 16102 235 8 4843 654 1 8349 3494 3 15484 207 13 17198 1146 2 4154 4635 1 12332 202 2 3748 7936 2 420 4657 1 10447 4351 1 18749 892 1 12424 6027 12 8103 219 44 13402 6949 1 7991 7869 4 19326 864 1 2061 883 5 9759 1282 7 18273 7670 2 18373 793 1 5261 1250 1 593 532 2 11697 6164 6 14275 220 1 3906 198 2 16283 1711 5 16815 1825 4 8967 48 1 9572 1779 1 19857 379 1 14114 895 1 15263 4998 5 5996 1720 1 12172 1352 1 5859 200 2 8125 2287 5 2 107 1 2882 5674 1 4373 3961 1 2156 4435 1 1604 206 3 4509 6278 2 3268 4996 2 10527 273 1 17995 502 1 10670 1453 1 9883 3799 3 6933 2073 1 13891 681 3 18144 4403 1 4524 1698 1 174 8079 1 2243 5420 4 19607 2369 2 20058 6250 1 9074 1757 1 11797 5245 15 16090 6193 1 4539 532 2 16438 8066 1 16623 891 2 15936 132 2 174 8039 2 10635 10 2 2395 945 1 3585 2564 1 15740 1698 5 8191 5353 1 5162 629 2 14791 244 15 1114 411 1 5952 1564 5 14733 6155 3 12014 215 2 1256 6986 10 17983 5487 1 7528 1658 1 9044 3570 2 15816 1772 2 11947 1296 3 3311 82 1 1091 5407 1 11338 219 1 19626 528 5 2197 3979 4 14867 6701 1 16063 398 1 17664 23 2 16856 5570 4 10519 1251 2 15794 7788 1 20039 7670 2 16971 6241 1 13 783 2 14055 7719 1 8820 4404 1 16736 963 2 9437 8169 1 9875 1781 16 96 4397 1 12184 2686 12 5494 6990 1 4162 1726 2 10133 719 2 8278 7612 2 496 1757 1 7653 4137 1 6373 2479 1 5025 891 1 8343 1726 2 11786 6722 2 7271 1370 1 8205 2710 22 9055 2839 1 7882 1296 1 4905 1728 1 18644 1245 2 15075 1658 3 11594 845 1 10991 5575 5 49 2485 2 18014 1756 2 10312 3213 1 19713 3536 2 11598 2641 1 17298 74 1 7118 5289 1 13 644 1 17733 2247 1 9224 557 2 12893 100 1 10209 7127 3 15687 2104 1 1948 7640 1 171 7641 2 16278 7345 1 42 2201 1 14256 6152 10 6867 3389 2 1491 7245 7 19193 4929 2 13429 615 1 4183 52 3 4488 3684 1 7625 5332 1 2980 1303 1 17677 2671 3 2292 6150 1 11660 1243 5 9605 1357 1 7684 2571 1 17129 1333 2 6478 219 1 3352 508 1 18656 791 2 4506 508 1 9891 2449 1 12968 230 21 5148 891 1 2567 5325 4 5855 3556 1 2473 732 1 16283 3429 1 12972 3900 1 8053 636 1 6587 911 2 3613 532 9 15834 2353 1 4696 1146 1 9799 7220 2 7245 4567 1 62 3000 1 6686 3572 1 3948 545 2 9566 1248 2 1013 3234 1 5647 7446 1 18545 5774 1 18014 4446 1 18325 6874 1 15006 4559 1 8176 4395 1 6523 1741 1 18359 5472 1 8773 5408 33 4688 653 1 6070 6552 1 12345 1333 9 970 5940 2 9224 641 2 2561 3206 1 17434 880 6 3557 7958 1 341 7446 1 3417 223 1 557 3081 1 16979 223 11 8483 5301 2 16568 7616 1 1384 2261 2 124 2584 1 11008 2747 2 12952 7419 1 6423 8071 2 1138 1241 2 745 898 4 19409 2995 1 19957 3512 20 14006 8139 3 14599 969 1 1719 4391 1 15902 719 2 12539 3491 1 8938 1730 3 1520 1819 8 9836 23 1 5364 7595 1 5145 1781 2 17891 7890 2 5877 506 11 17405 906 2 5729 252 1 891 1342 1 7700 283 1 14464 7878 2 7125 3434 1 13728 2488 1 19458 956 1 5243 663 6 18285 789 1 15573 203 4 4545 7615 2 4791 23 1 10096 883 2 15724 3338 4 1578 484 1 3109 7502 1 1083 225 1 1551 502 1 6166 5995 1 745 874 8 5349 504 2 8160 220 1 16448 6398 1 11852 1267 2 19267 791 1 5347 1721 1 9619 7707 8 1571 222 4 10401 411 1 3348 1034 2 3602 7820 1 1882 6510 7 12618 7705 4 14326 2675 8 17039 2459 1 6420 7573 1 3501 1312 1 5653 1357 2 812 1717 3 14745 1188 1 13010 3023 11 16817 4618 1 16626 445 1 10060 3642 1 3059 3352 1 11589 3304 3 19833 2514 1 5928 3337 4 2500 1762 2 17799 7022 2 8890 3088 1 10325 825 1 346 1247 4 18885 220 3 7164 2789 1 3408 532 1 9358 4064 17 18777 5389 4 9025 4974 1 19693 6574 18 9993 5480 1 8091 867 35 1262 200 1 12735 1271 2 11924 1374 1 5358 3595 1 15264 438 1 314 1275 2 8591 411 2 2713 2352 1 15670 205 1 12988 5391 1 9572 3708 5 17310 7419 2 19606 1743 1 5738 7021 2 8541 201 4 2839 3367 8 13667 206 1 15229 5048 1 7390 769 1 8970 5325 6 2354 23 1 11108 383 1 15743 6414 1 4387 3138 2 13349 3869 3 1889 1819 4 14201 1395 1 17224 2970 2 5831 235 1 6478 1760 3 5188 3704 1 11070 364 3 18909 1990 1 16403 3631 1 19009 809 2 18225 6342 20 3593 496 2 8528 910 3 1690 3138 1 3521 452 2 613 6897 1 3532 5207 1 4634 5301 1 3181 3516 1 14841 5427 35 10857 3799 2 4773 2729 1 7917 3800 5 14965 1239 1 5869 6395 1 2748 75 1 13927 6092 23 174 7980 5 3985 6005 5 428 7830 3 11877 1613 1 18428 2250 1 14002 2729 1 11854 3262 1 10490 1054 2 8760 175 1 13195 4992 6 17088 910 2 7534 5814 1 3963 3798 1 7404 1967 2 11678 6244 1 4015 452 1 2902 1235 1 14037 225 1 2274 420 1 19314 541 1 15241 2656 1 16833 1146 1 10912 3283 1 8890 4387 2 17911 663 2 10000 2151 1 16592 495 1 10248 1614 1 19538 1898 1 7934 1720 1 5205 676 63 18968 1380 1 14369 4060 1 7991 2855 1 6776 23 9 19451 1535 1 10171 5673 1 17567 6555 3 14193 4706 7 849 1781 1 13498 3138 3 19275 2885 1 7620 1363 1 4467 3672 1 3324 4877 1 4480 1695 1 11047 2575 6 8019 1995 4 9609 57 1 4425 3308 3 14731 2881 1 467 1681 14 9642 4791 1 4850 4203 1 8532 197 1 16412 508 2 20092 219 2 19776 374 2 9178 3051 4 19578 5757 7 19019 3072 1 8604 3899 7 9017 7414 3 828 1819 2 13865 1764 1 8917 4118 1 7823 433 2 8408 1466 1 18039 624 1 5104 4948 2 2488 13 1 12412 953 1 2704 6754 1 4049 51 1 4309 506 2 9437 5089 1 6069 3600 9 20119 40 1 270 6054 1 98 4425 1 14876 6481 22 15923 5972 1 11402 184 2 4397 4877 2 14113 6142 1 10254 6132 3 4058 4012 2 1588 4501 3 14632 6040 1 15796 647 1 1690 1464 1 11965 6100 1 8749 219 2 15130 3084 2 7318 1734 1 2521 6700 3 906 1946 3 2573 3850 4 13797 6226 1 1849 2994 1 17753 2683 1 1586 207 1 18921 225 1 18525 7592 1 9521 203 1 14824 1296 13 18623 252 2 12470 7504 18 5383 2352 1 12141 48 2 19401 175 1 5815 1150 3 11305 792 2 7053 4758 1 16036 8103 1 1234 7257 1 9407 2350 5 19094 624 1 8720 207 13 19221 1309 1 5446 6268 1 11758 536 1 3044 331 1 2905 1891 1 17608 6623 1 14724 4343 1 4092 6517 2 16645 2827 2 12208 5441 4 16076 1751 3 4334 292 1 7010 1374 7 15833 2027 2 12620 505 1 11392 5780 1 4424 2619 2 3718 6120 1 9 242 6 5264 2729 7 9407 3203 5 14227 7520 4 20145 1695 1 5117 737 1 15473 2862 1 18042 6900 1 5462 8227 1 11827 523 1 14992 2355 1 4662 220 1 5252 6908 3 19946 219 1 15982 292 10 9432 914 1 13461 502 4 10467 2571 1 13183 5917 1 13789 11 3 6630 1326 1 1043 7814 1 10584 6494 8 2226 3494 2 19217 863 2 1361 596 1 18446 803 7 16491 550 1 62 2815 1 19286 395 1 416 3425 27 5132 1721 1 8997 308 1 7267 206 1 7760 5278 2 579 1771 1 15967 6708 1 4030 665 2 10010 961 1 10186 4090 1 3505 385 1 3712 1824 1 15214 344 1 14765 221 2 16378 1736 1 15995 864 5 466 3511 1 13644 634 1 5190 1116 1 19800 2494 2 1506 220 3 14028 5248 5 7135 1762 1 803 3974 1 873 336 8 3064 6127 1 17228 340 2 17154 2737 2 18354 2711 5 19764 5052 5 18696 225 3 8732 2730 1 3111 5162 2 12660 196 1 20145 1363 3 4309 2268 1 19999 3951 6 7550 2678 1 6437 7412 1 11111 1244 2 11857 4389 1 14225 2555 9 2374 2266 1 3526 1182 2 6533 3057 4 3474 3096 1 6332 952 2 3945 235 2 5624 4120 11 14131 205 1 2900 3652 2 8705 244 1 18490 2704 1 17066 1184 1 10240 1644 1 8737 6658 1 12131 608 1 5632 519 2 2616 1235 3 4426 2851 1 2310 1349 4 5681 525 3 12903 7232 2 10950 2114 4 8332 4774 1 12325 13 1 11727 447 1 20224 222 1 10146 1307 1 19014 1252 3 18698 2261 4 5455 173 2 15070 3919 1 7010 5048 1 3159 3070 1 1603 1255 1 1551 2269 1 16861 3895 1 13520 200 1 9439 4367 2 14865 46 1 16091 5040 1 18546 5607 5 822 891 2 3581 6687 1 16484 4408 6 3858 1760 1 13183 6434 2 6776 3175 6 10916 690 5 15071 3685 4 10225 1046 7 2571 5879 2 14292 5105 13 18182 498 1 4495 659 3 907 4792 26 9408 7740 2 5775 1236 3 10792 6152 8 1852 1453 4 2376 7485 1 5943 6496 1 8419 175 5 74 3488 3 2771 1342 2 8261 3648 1 12217 5301 6 2008 5903 1 17392 3512 1 15028 3399 19 8208 2369 1 15497 4979 10 2557 1764 1 5279 3895 5 17962 95 1 17358 6705 7 7147 7474 3 19733 2879 1 3318 706 1 2371 6731 12 1581 6207 1 6183 367 2 4655 1814 1 10592 9 1 11212 1775 3 2807 3706 2 15683 1114 1 13258 7006 7 1843 817 1 11007 2980 41 19360 60 8 9269 1780 2 11846 6091 1 8004 2980 1 3160 6793 1 521 5315 1 2488 1250 3 4979 1450 1 3090 545 3 14084 5078 4 62 3017 1 17166 5532 4 12835 7229 1 16140 4534 1 12510 74 1 1462 6758 1 11549 722 1 8644 6134 1 12283 235 2 14047 4796 1 15384 7964 1 7232 2271 5 12970 3549 4 16089 367 1 16618 6334 1 8528 470 2 16130 788 1 2274 1991 1 15998 8194 10 2282 599 2 3999 7541 1 10173 1663 1 13633 4980 1 14413 8221 1 10 335 1 413 545 2 19190 1498 1 1691 23 6 4791 3558 8 13319 3905 1 17088 219 2 18574 1241 2 7555 3151 1 14892 2534 1 252 5478 1 3818 3081 2 3028 2213 22 10522 5281 2 452 134 1 6617 4667 1 256 6340 2 15778 5825 1 3427 1775 1 4688 709 5 14164 2708 1 12983 2555 5 18668 1798 1 17504 184 4 8591 519 3 16851 5258 1 17698 203 4 4941 2144 18 7034 1191 2 1053 575 2 7625 1441 2 1218 203 3 17954 2789 1 343 5175 2 10943 201 2 11216 6213 2 3193 411 1 3029 3854 2 2754 3228 8 1857 5275 2 8938 1771 13 14177 5922 5 2319 929 1 12955 2322 2 7750 235 1 16767 1752 1 3091 2822 1 16924 1239 1 17800 222 1 15943 7098 1 9325 2569 1 11107 7210 2 1521 2495 1 5639 816 1 15046 799 1 5358 2979 5 18115 2354 3 10078 7349 2 18687 156 1 18181 4511 1 2268 7888 1 9716 3255 3 15988 3906 5 4191 6171 1 5652 252 1 5886 1529 1 978 4944 1 7125 3461 1 644 616 1 3826 728 1 10876 508 1 9111 3511 1 5476 1571 1 79 3567 1 17736 3029 1 2733 4847 1 7575 225 1 8439 1757 1 17714 2831 2 5142 5262 1 15224 6675 1 16072 724 1 4960 1829 1 12818 5131 2 83 3787 1 13891 26 10 10404 948 6 18183 1745 1 19101 960 2 17996 1783 1 10025 3732 1 759 7410 4 13522 3685 1 2024 229 1 19596 1698 4 3775 7597 3 6114 6504 1 1838 4803 2 5938 1871 1 6689 5505 33 13252 3928 4 7650 201 6 8972 1245 1 1948 2648 33 13570 4511 1 14988 2968 1 17995 219 1 17379 6085 1 12796 7614 1 130 5797 1 4080 4403 1 2059 1991 2 16815 5256 3 279 1762 2 11693 517 4 8051 7088 1 17747 5852 1 4207 1721 4 20009 3058 6 13461 3745 10 105 1642 2 16346 4397 5 7179 646 1 8198 849 17 4015 420 1 19149 4299 2 13451 1647 1 56 186 1 13205 6677 5 18154 4342 1 1677 4794 1 17669 5730 3 2710 545 1 3191 3591 1 745 207 1 17143 931 1 19990 1464 1 18268 225 7 11340 206 1 16484 1530 1 9194 1761 9 10137 518 2 6602 5313 1 19702 1829 12 14425 4967 3 12397 502 2 19780 1147 1 1506 6413 2 95 4369 1 9295 1745 2 2138 5180 1 8438 5319 1 13644 1819 4 16382 4293 1 17760 134 4 14218 2388 1 8250 2559 2 17252 2493 1 4299 215 2 15278 5466 2 10267 1721 1 18389 1643 1 6431 1241 5 13994 1384 3 9346 6414 1 5390 3693 1 445 223 3 17664 4623 1 9715 7097 6 5141 1819 3 10796 1296 1 15776 3621 1 9704 4803 4 6997 3255 5 3581 1625 1 16278 1470 1 592 4667 1 7334 803 3 1114 215 3 454 4516 1 18549 184 7 18431 1298 1 9764 5513 2 10165 603 1 17318 141 2 10473 383 2 13472 6330 1 7910 6913 1 4064 534 26 143 6615 1 14753 589 1 15488 4403 1 10855 1663 7 17894 197 2 14350 964 1 13414 3911 2 5195 1747 1 140 6426 1 869 3679 1 2962 1103 1 14279 4168 1 2228 3855 1 6139 3212 1 2863 8141 1 11308 3545 15 7252 363 1 5611 197 2 220 6414 2 17369 6151 1 17159 518 1 7181 1761 1 11937 3775 2 18546 6271 18 7838 798 1 9104 1739 1 16347 1726 3 5432 1782 2 10304 203 1 14184 2656 1 2059 4349 2 60 2443 4 11786 2096 1 9323 1334 2 7188 2632 2 10855 1777 2 3498 7596 2 13174 1906 1 20200 47 1 10770 875 1 14759 5506 16 7110 1644 1 14726 6723 2 13925 617 3 10668 2338 1 2776 1345 2 3505 2488 1 10595 1250 1 6158 378 1 15896 229 4 14336 6656 4 6556 833 2 15722 3333 1 11980 5440 1 12064 2683 1 1964 880 1 19572 3230 1 11616 638 1 7786 223 1 19523 449 1 16426 6649 1 5320 7102 1 7188 6192 1 8082 4623 25 15712 6557 2 19401 3180 1 18142 5243 2 5834 201 1 14900 3671 1 2619 5420 4 20180 6545 2 16869 1721 4 1378 4660 1 13076 203 2 15952 4207 1 127 5755 1 7819 1695 2 236 3405 3 20113 4132 1 4040 165 1 17501 1993 1 18922 1394 11 4483 2675 2 126 5587 1 19233 477 1 16591 207 1 18064 2721 1 446 5506 1 19635 2008 2 2310 6156 8 2798 411 1 11402 186 3 1445 175 1 17777 225 1 9325 4614 1 17470 3909 1 124 5416 1 19428 7692 4 3582 5212 2 3027 6165 2 13995 2296 1 3397 1612 1 13302 4029 1 12369 883 1 14236 4674 1 19735 690 1 14784 3512 1 19801 1250 1 3204 4993 1 15940 5298 3 496 532 1 15724 6210 3 1465 2595 1 7298 5337 1 11467 297 10 17058 3032 1 4642 2555 3 1655 500 10 12841 5730 1 6452 769 1 14059 4280 1 4425 849 1 14109 3347 1 1839 880 3 12405 7312 1 10231 5536 1 2283 883 5 15339 910 1 1529 2356 2 6428 7494 3 9235 1762 2 3925 206 1 11196 3081 1 19204 4274 6 8295 4280 1 6034 23 1 13741 6120 1 4721 1362 1 1725 87 1 17435 7406 1 5898 3065 2 14722 526 1 20090 428 1 10188 1244 1 7651 7221 2 14587 573 1 19133 2317 1 14330 1748 1 11502 5674 5 13601 2344 3 8266 6241 1 6390 4726 2 10318 2355 4 9700 529 3 6631 215 8 18081 3899 1 1743 7424 2 11261 742 1 18820 3433 1 7989 201 1 13190 4029 1 12715 184 1 73 3387 1 14786 214 1 8398 6139 1 13 907 2 525 442 1 18932 791 1 13960 4941 6 1625 6577 1 11334 3484 6 14421 229 1 4662 38 7 7761 173 2 16506 4930 1 16574 2104 1 20032 914 1 19776 3849 5 14668 6128 1 5290 4680 8 10518 1190 1 10720 1991 1 18524 1273 2 6021 6154 1 12054 2938 2 8859 7363 1 10959 4955 1 11678 6086 1 15159 6112 1 10245 194 1 14136 1872 10 14549 125 1 6459 5036 3 13363 4456 1 17061 4312 1 7249 1505 2 10467 1341 2 11746 4266 2 12375 1721 2 17556 4213 3 2189 4792 2 6515 1764 2 12438 3370 1 19842 1236 2 17170 201 1 11926 2065 1 2448 1728 1 3501 1707 2 975 1730 4 2036 1685 3 6298 215 2 10079 5097 5 17331 229 2 2546 926 1 143 6651 3 8778 1814 5 1738 689 3 17690 520 4 18284 1743 1 2385 1567 6 16600 926 1 5738 5820 3 14731 6139 1 18244 8146 10 120 235 1 18563 952 1 1173 892 1 17598 7223 3 10912 2342 1 12837 3087 3 6521 7213 1 4657 5279 5 2385 5673 18 18471 1755 1 10355 525 1 20275 382 1 14694 7498 1 16857 507 6 8370 470 5 2463 335 1 9568 6714 1 6172 4578 3 11635 200 1 18797 1342 2 16861 1119 1 7943 4998 2 11020 2708 1 15307 275 1 8394 2497 1 10916 5737 1 3146 5278 1 1218 3540 20 15344 1734 1 15804 470 5 5548 6564 10 19809 23 1 5695 1762 1 17416 7931 4 1404 4299 1 5424 2009 3 5280 557 1 4705 4387 2 14935 3946 2 19608 575 5 8965 1450 2 16554 1237 1 1387 2022 2 14706 1450 2 7552 1705 16 19053 720 1 20172 3637 9 9680 3287 1 9930 4623 1 12208 1245 5 2905 2383 2 12687 2360 1 15091 5289 3 17862 2666 1 7637 1686 1 3637 7967 1 5675 229 4 17291 169 2 6233 2686 1 19901 3167 1 12681 390 1 2030 1819 1 7685 6892 11 18122 1730 1 336 2549 1 73 3352 4 17784 8168 1 1023 533 3 18258 2581 1 11238 2690 1 3154 1728 1 8762 676 1 15810 3511 5 9941 724 1 17778 5560 1 2529 916 2 18137 7145 3 18428 4196 28 3024 6651 1 6007 5016 2 5840 219 4 3008 5327 1 14753 1195 3 8534 6394 1 9760 534 1 14926 3685 1 7146 6717 5 17617 3613 12 6317 6390 5 16109 1664 1 6228 784 1 2237 791 1 26 1522 1 15592 5356 1 17662 1243 1 12949 3916 3 5564 1247 2 16315 937 1 9773 648 2 1609 5000 1 521 4672 2 12280 7474 3 12929 834 1 8077 2502 1 10313 1366 1 7956 6931 1 13371 4956 3 12821 5532 1 13594 1183 1 8815 34 3 5364 526 1 11932 214 1 1117 1788 1 11247 46 2 5936 3432 13 15996 2254 7 4862 2675 3 11430 206 2 19895 5558 1 2731 3851 1 9225 316 5 5657 23 2 14557 1044 3 9883 3775 3 218 215 1 62 2976 1 8548 498 1 17562 244 6 5776 2151 11 14430 282 1 1038 4609 1 8410 6633 4 4663 2923 1 11239 4029 2 1465 1669 1 7065 4402 1 6319 4603 2 7017 4484 8 7521 5222 1 15481 1745 1 8798 514 1 11417 5670 1 13087 3956 2 14055 7207 5 18927 3869 1 7999 3220 1 16303 1567 1 19999 1484 1 6425 220 1 12401 5393 1 16622 53 1 13177 1819 9 10582 2493 1 5023 1339 1 12244 6487 2 7414 4490 3 788 1784 1 16135 23 2 10878 6561 1 18866 525 1 17610 4572 1 3000 2921 5 6776 2478 6 171 7687 5 3581 4248 1 11033 7246 3 3694 8013 8 14087 4623 1 14549 3239 2 8218 207 1 121 578 2 2089 220 1 6070 6714 3 18797 221 3 6528 1721 26 12828 196 3 17300 1996 1 18370 1819 1 117 1342 9 10498 7602 1 17664 1717 3 11580 4992 1 950 7561 5 6723 7503 1 566 5105 7 18320 2360 3 18207 1293 1 2674 1423 1 6749 1399 1 17736 429 6 2179 2797 1 9374 1714 1 5056 5774 3 525 390 1 9989 7450 4 17670 8002 1 16065 1816 7 15608 1649 4 11190 997 11 8922 1726 1 5266 3352 34 16063 6552 1 13457 5030 1 16546 588 1 4696 1987 1 19267 656 1 6420 3460 20 8528 1236 4 19872 4400 2 1801 1246 3 73 3348 4 6595 1778 1 7682 673 1 10203 1655 2 16831 534 1 9178 8178 1 17324 705 1 17228 1356 2 7020 397 3 11885 6756 3 16554 1241 2 7248 521 5 71 3314 1 16403 394 1 16693 2992 2 20249 5517 2 16553 4245 1 8969 1248 1 18023 4796 1 4634 595 1 8278 4401 2 18847 2853 3 18681 186 1 16861 4023 2 19063 4992 1 7780 156 2 170 2727 3 14170 773 3 19240 1752 6 19223 1732 1 8061 1453 2 1996 1698 1 1706 3371 1 14522 202 2 10340 2795 1 12665 7267 3 13418 207 2 130 5908 2 153 3373 1 4593 670 1 17578 1287 10 5956 3239 5 17585 367 1 7158 6721 7 18232 517 17 5230 3576 1 18427 221 1 18386 671 3 9743 6756 1 9937 7512 1 10542 1237 1 16481 3487 5 2283 2959 2 2379 1243 2 2569 1208 1 2198 229 3 12859 2675 2 7520 219 25 18730 684 2 8665 1658 1 5567 712 1 9457 5186 1 4233 803 16 9324 2714 1 7406 215 1 375 692 1 4092 2415 4 2678 1768 1 9725 6925 1 12717 1282 1 455 402 1 9358 221 1 3104 2356 2 9714 4307 1 14661 6054 4 9044 7684 1 10661 2560 20 16412 1686 33 2977 5083 2 293 6031 11 39 2055 1 13743 223 1 7309 222 20 7850 4681 1 10123 5692 1 10730 910 5 18760 4242 1 10442 6107 1 18042 4501 2 17260 1745 1 13504 1712 1 6987 1482 1 8398 2179 1 13203 458 1 171 2692 2 7786 1757 1 3056 4227 1 19713 2633 12 4841 792 2 2931 1342 5 322 2555 5 9623 1658 29 19090 2495 1 17687 1740 4 7433 6108 1 12514 2256 3 19085 2673 1 17934 203 5 18734 3378 8 8622 7807 1 4292 2671 13 15691 297 1 16784 23 3 6446 363 19 19608 4996 1 17684 4428 1 11399 888 1 14610 304 7 13715 6500 1 2576 6080 1 126 5645 1 11846 3923 1 13928 5332 2 16681 1403 3 1167 4706 5 12067 5686 5 8674 6440 1 7721 303 1 10105 235 1 6907 597 3 13132 689 2 16642 5497 1 4595 1529 10 19946 2760 1 3207 45 1 6781 1770 3 12690 4252 1 6078 6998 1 5837 1732 1 143 5385 1 2914 228 1 6700 156 7 1582 5814 1 7380 3896 4 16463 4245 3 8371 3605 3 15634 1275 1 17082 4101 1 15307 5917 1 13850 8034 1 1464 8203 1 14219 597 2 1439 4623 8 15383 2121 1 12955 221 12 14837 1399 1 3181 7460 1 1866 1726 1 11141 1796 12 12551 252 1 18704 1946 1 9257 4620 1 7142 196 1 15608 334 1 11792 1247 1 7642 1247 6 18919 835 1 15106 3230 1 2704 3213 1 8410 1784 6 12625 1825 1 9043 767 1 17188 1698 2 18237 1714 4 15673 2338 1 13461 207 41 15318 1772 2 19901 7915 1 5441 206 1 17284 1762 5 18679 2791 1 6526 5047 1 19807 1737 2 14064 6213 2 14782 4245 31 14874 3053 6 8296 2312 1 4619 214 8 62 2847 1 4505 3518 12 5471 7614 1 9952 5302 2 2274 644 1 16604 200 25 6714 6633 1 3699 206 1 4561 706 7 14549 2639 1 9093 1312 1 1366 470 1 14079 197 2 15364 6874 1 1801 6343 1 168 7574 1 17956 524 2 14664 7352 1 6241 495 2 7135 201 1 2980 2089 1 377 1736 1 15047 303 18 1401 1320 1 5863 1277 1 3012 656 1 10473 2718 1 15495 5254 5 6869 670 1 10156 477 4 15850 3747 1 15535 207 6 11354 2436 1 593 1819 1 143 5909 1 7986 3074 1 5108 4020 5 1780 203 11 7621 3175 3 4709 1755 1 4843 662 1 12412 662 1 12412 765 1 10952 1991 1 6793 6534 11 19995 2514 1 9941 4498 1 10171 8136 2 13845 6170 1 19881 188 2 11592 1756 1 15909 347 2 6697 3283 2 8821 3424 1 8435 1772 1 5863 4392 1 3549 1726 7 8083 1277 1 9199 3922 1 13307 3308 2 13853 7924 1 16426 8192 9 12055 4123 1 18587 4945 1 15272 496 1 17829 5477 1 15220 5559 10 5008 5922 6 16348 593 1 17320 3522 1 19680 171 1 14035 4476 1 14915 745 10 13394 1286 5 70 3301 1 12793 5002 20 12414 6564 5 7155 5054 2 12906 2995 1 14808 2647 4 6070 7735 1 14284 5202 2 4620 4293 4 19944 2864 8 17120 235 2 9054 316 5 2693 445 4 10413 5026 1 10770 7880 3 15442 8138 1 11522 1184 1 13928 334 3 18432 5060 2 7398 1251 1 9636 2675 1 18424 4652 1 11370 7586 5 160 7283 1 15829 5820 1 14999 6368 3 5018 541 1 14660 1352 1 322 1776 2 6307 5302 19 8670 8141 1 9743 225 1 20039 2831 2 130 5965 1 18360 1261 5 18900 316 4 16159 1745 3 19857 4667 1 1466 2697 1 1593 190 12 2710 1705 1 6332 574 1 3197 1721 1 6587 1779 2 6007 4998 1 19776 4496 1 19009 339 2 6184 1321 1 13107 3621 1 15975 4246 1 13160 4640 2 1364 4623 2 5532 3351 12 12532 3729 3 11646 7489 2 7749 2881 5 8110 2120 6 17135 2216 1 10396 6676 6 18133 1827 21 4561 8111 1 9463 1104 1 14562 2534 1 12730 4132 1 8735 8183 3 12753 6207 1 17246 520 1 2086 1776 1 13315 2247 1 11345 411 1 18939 2057 1 17992 35 3 4970 5114 1 15679 2525 1 10611 3021 1 2413 4582 1 15314 7651 1 822 1137 1 8803 165 1 2325 470 2 9412 6410 4 9375 7101 1 7904 1239 1 15693 164 1 12262 500 1 1143 1662 1 8614 4609 1 16600 548 2 18115 1104 2 12757 4173 7 1469 5130 14 16002 665 1 13797 1278 1 4092 431 2 2959 982 2 5808 2534 10 14120 4173 34 2863 304 2 3806 524 2 2035 200 2 2935 1710 3 8628 7915 1 12506 3445 1 12940 6303 1 19512 491 5 16329 898 1 2761 5783 2 6606 440 1 19200 2955 1 14222 263 1 18096 834 1 6180 1019 1 16160 8083 2 3712 94 2 787 395 1 11622 1725 1 5142 5677 1 5271 1726 1 9457 7632 3 6164 1658 2 547 1935 7 6749 728 1 9759 1814 1 6952 3629 89 18198 4293 20 1043 3642 1 15230 1781 3 11353 2575 1 5624 6751 2 8624 1573 5 9044 6545 3 19026 6583 2 19822 990 1 10087 2806 1 1389 1731 1 19722 5686 1 5399 23 2 13845 4291 1 11822 188 27 4435 506 2 18431 6435 1 10856 910 4 15782 2650 1 14290 5309 1 2809 2532 5 3536 3578 3 10498 2369 1 8060 7874 17 10188 1825 1 305 876 3 2735 1956 3 2709 6010 1 14196 3584 1 6332 5516 2 18608 213 1 16841 7201 1 130 5987 1 10177 4108 1 19161 1739 6 8312 221 1 6938 203 5 31 1766 5 4511 191 5 16726 4383 1 5264 6993 9 5176 1755 1 2371 6706 12 7718 365 5 9816 1312 1 5230 3598 1 2248 3911 1 9315 23 2 17474 1531 1 3268 2584 4 14321 470 1 7194 2702 5 11066 203 1 15814 380 1 14698 6620 1 246 2969 1 9986 1184 2 13252 1665 1 16409 4867 1 14519 4933 3 406 5905 2 16468 5670 1 16397 869 1 109 1731 1 1551 1239 4 34 1839 1 17995 3086 4 4647 1282 10 20194 5712 2 8237 905 1 19485 2737 2 15807 2019 3 10562 5977 16 10272 498 1 1892 4613 2 11467 917 1 16115 1251 1 20020 23 4 5848 136 1 11267 2671 7 6812 5513 2 10082 2517 1 29 1678 1 11151 173 1 12663 1275 1 4943 23 2 13372 1072 1 999 7672 1 15618 5301 1 11458 5261 1 14596 3591 1 15682 3029 1 16279 1251 1 9245 523 1 19975 200 5 6097 1742 4 9809 5531 1 4748 3596 1 9628 721 1 94 4210 6 4793 2109 1 12322 1277 1 8084 1734 2 15637 7414 2 11935 715 6 17133 197 2 16715 4266 1 10472 5253 1 3094 37 1 6473 196 1 2386 6176 1 15360 4297 1 6449 2336 3 13500 4367 5 12208 5306 2 8198 69 1 18574 7477 1 16464 7537 2 18681 1342 1 19729 3957 4 1988 215 1 11938 200 5 745 1238 1 5271 1938 1 2772 3369 4 3471 252 6 9117 229 1 18533 6252 1 15480 533 2 12817 2003 1 17463 7112 1 18573 2291 1 15752 6839 1 9891 1784 1 18 471 1 314 6777 2 11550 219 2 4539 3222 25 9510 848 1 13430 6252 6 7602 1464 9 14994 4996 1 1296 1955 3 4102 1781 3 13601 660 1 9755 2299 1 15572 1399 1 2925 840 5 19053 864 1 12 540 7 16644 3526 1 16715 1737 2 14375 1814 1 15564 3921 2 2194 6860 1 3695 2439 1 11075 235 1 15881 5294 1 4609 6139 1 12806 6677 1 9601 220 4 15832 206 1 6346 6146 1 12709 23 1 20107 601 11 14778 2671 2 4397 845 2 1059 1721 2 6814 514 3 3287 767 1 12464 1775 7 17198 7533 5 7000 5203 1 9160 2622 5 12777 3676 1 11827 2836 2 16698 177 1 1288 5758 2 16137 2647 1 16482 4992 1 6796 3920 1 5573 783 3 14618 1571 1 10175 2646 1 1964 4297 1 4821 2294 5 1054 4363 1 16921 1537 2 14758 5327 1 19455 1395 6 18183 3326 1 12396 1518 1 8244 126 2 10886 1784 1 15472 7665 1 9038 682 2 18105 514 1 19368 421 1 658 1704 1 17589 4140 1 11786 236 2 15144 6288 6 5205 4233 2 2973 1374 1 6414 1617 1 958 1720 8 3031 6543 2 9449 1342 1 7145 6670 1 10591 1686 2 5884 23 5 3399 3916 1 2698 2675 1 15879 944 1 5621 1748 1 5863 506 1 7905 7670 1 2624 5294 1 11436 6457 1 6000 222 1 10500 4267 2 5621 1729 4 1629 6341 9 8118 3666 3 14336 5618 5 7716 5858 1 8129 925 1 9457 2450 2 16290 6541 1 6703 1239 4 9446 5957 1 1204 6874 2 7465 4805 1 13997 3534 1 9321 624 4 17 1192 1 2241 1761 1 75 203 2 15184 1396 6 2729 3371 1 12361 670 13 2519 6341 2 10225 3546 2 13638 6527 1 10772 1251 1 6757 232 2 17140 1464 1 4527 3012 2 19302 1731 1 11795 547 1 16057 205 1 3147 821 1 15085 7750 1 11239 6053 1 8094 289 1 12913 1245 1 16368 5082 1 18960 589 5 7371 1672 6 3311 2956 1 17892 931 1 17537 225 3 4634 57 2 11411 7850 2 8323 2342 2 18193 2450 1 4763 6983 3 3542 214 1 19493 6361 8 16924 705 2 13909 304 7 16291 6624 10 10785 842 1 906 1211 3 130 5858 10 17273 6955 1 6796 4314 1 10439 1658 1 14859 7769 1 1312 2662 1 6434 721 1 17550 4013 1 9404 220 4 950 499 1 13590 706 4 2857 438 1 14087 5828 2 2413 1983 2 3037 499 1 6553 783 1 6776 6084 11 14993 624 1 9027 206 8 13316 141 1 11626 411 2 3568 5442 1 19775 200 1 7568 6139 1 4455 3920 3 6687 2953 1 8196 4395 1 7796 1717 1 6894 4411 1 12311 7995 2 13461 1246 4 5959 1775 1 14522 933 1 16063 2522 1 926 766 5 5235 445 4 7325 57 1 10706 235 17 7369 7830 4 11238 1331 2 19342 3676 1 12856 2731 21 1296 6167 1 12783 843 1 12382 6564 11 7931 3263 2 6236 5091 1 16754 6682 1 9188 5132 8 19957 1999 3 9789 7407 1 13623 8037 1 1275 222 5 4678 244 2 162 7391 1 10966 1719 1 19722 2449 1 18154 2404 1 3817 525 1 17889 1741 1 5952 1342 5 9294 5555 1 3924 1194 1 2917 2002 1 11086 214 1 17472 2549 1 7045 4945 1 16481 1104 2 70 221 1 15362 3480 2 7994 899 2 1251 498 1 14726 6160 3 15203 3016 1 5113 3630 1 15659 314 1 16898 904 1 6183 495 1 3947 5468 2 5315 7232 1 19292 4792 1 16090 6460 1 12532 1250 13 6749 5765 1 8183 1731 1 15339 1721 1 19547 1172 1 8549 2675 2 2794 3408 3 11947 201 10 13567 1249 1 18885 6227 2 14658 745 1 17813 5264 1 17895 2021 1 15098 1296 1 7750 1357 1 10324 508 7 17589 7834 2 17370 665 1 10399 4713 1 19104 382 1 5185 7689 1 11553 5234 5 11951 6139 6 7893 1707 4 17737 3556 1 14400 1776 1 14196 498 2 17302 1862 2 4634 841 1 12816 2555 10 14196 6053 2 1904 4623 1 13700 5444 3 10555 1453 1 2271 2720 1 8242 5255 3 1667 4540 1 13986 7604 1 6762 526 1 18978 2356 1 4912 7342 1 3411 2399 1 868 1695 7 14746 1244 2 17603 5487 1 11695 207 1 9492 3167 5 18548 2010 1 20192 518 1 6889 1245 4 8343 186 1 17879 470 2 17638 737 1 9051 1319 1 15572 3414 5 10770 4676 1 6575 525 1 3596 4403 1 83 3855 1 12614 504 1 4877 1991 1 9287 3020 1 20148 505 1 15720 2484 1 16643 1216 2 19118 1482 2 8935 1880 1 15989 7601 1 5308 3309 1 18625 1237 3 6913 759 5 3532 6865 1 19156 7466 3 17736 2508 1 5508 5018 4 7226 46 5 11602 521 2 7354 2325 9 3015 1342 1 13827 1698 1 13 620 2 5677 2013 1 7683 1946 1 8438 1321 7 19504 7532 1 19596 5138 6 3882 5494 1 11820 758 1 18705 1249 2 19501 3216 2 14448 7924 1 2997 1342 3 11772 8091 1 7419 23 1 2473 894 1 19346 6209 3 17400 1052 1 4949 6597 3 17837 3774 2 1509 5594 3 12851 1373 2 15009 403 7 1132 372 3 18232 6053 1 6932 7362 6 14960 656 1 12121 4998 1 17315 1401 2 13000 7911 7 11461 197 3 12892 1108 2 11238 6665 1 17961 1209 1 10690 7846 1 1608 3951 1 1618 502 9 7709 1305 1 6854 1719 6 16109 6517 1 7226 87 1 19204 6027 1 13865 3642 4 8519 786 9 8409 8141 5 4542 2296 2 12191 151 1 18423 1991 3 9178 5436 1 15257 3283 1 6504 2184 2 1564 1396 1 1141 4963 1 13 955 2 3638 207 1 280 1924 1 8343 229 3 18526 3197 5 4552 7541 1 16561 964 5 18587 1184 1 17256 221 6 19105 1062 1 20084 510 6 11023 5052 5 15025 156 10 5724 3554 1 106 4758 2 13770 1610 1 3925 514 1 245 354 1 10817 2552 2 8952 2889 6 11840 5325 2 11444 244 7 14350 3748 2 12690 687 1 764 222 1 388 1203 5 13574 1236 5 11422 5766 1 6884 3088 2 4862 1829 2 2886 4135 1 16927 308 5 3659 1707 1 15091 5011 7 17360 244 1 7765 534 7 3384 501 1 9522 510 1 15714 926 5 18866 8139 6 12982 184 1 19486 3361 1 19298 5251 1 4993 398 1 15025 1761 1 10554 5349 1 6314 1119 33 20096 6001 1 17581 1334 1 127 1658 6 8088 936 1 4429 519 1 15192 132 1 10948 167 1 7527 7402 5 20 1370 1 9697 3193 2 8704 6486 6 3532 3878 1 5028 224 10 5313 1265 11 2461 164 8 17954 5566 1 7850 4677 1 18637 206 10 15180 4333 1 3505 4516 1 6613 219 5 5659 6705 1 11708 642 1 14286 4258 1 8744 200 5 1738 7433 2 3704 6659 5 11415 2399 1 10116 1705 1 14758 549 1 12493 1703 7 11080 3351 7 4250 6436 1 4061 506 1 16798 7830 5 9935 863 1 12376 3556 2 13361 4956 1 1580 2656 4 16844 3625 1 5573 666 1 10698 681 1 16039 200 1 11588 6662 2 6154 5438 1 16327 496 3 10258 2363 3 7392 3603 1 15146 5090 1 13809 1788 1 15635 692 1 19259 222 1 2133 494 1 19722 5477 5 10553 2487 5 6641 229 1 10 320 1 6533 4263 1 15318 883 5 13241 6728 1 14908 381 3 12208 4098 1 16741 6482 1 6045 5639 1 12193 3693 1 12592 505 1 2806 6442 9 4488 1751 1 3530 2027 8 3801 6937 1 2905 1777 1 19911 35 1 4811 1991 3 11525 15 1 14011 871 2 15618 805 2 5213 1719 1 288 2591 1 7952 2490 1 17246 206 3 3821 5252 1 5205 604 1 13097 3525 1 1090 1564 1 15948 229 2 7850 4521 5 14015 3742 1 19380 1256 1 7870 1761 26 12185 3442 1 12363 2889 1 10105 3748 1 13752 874 1 12837 4670 10 4502 34 2 2013 1606 1 19137 1169 1 3663 477 1 15535 203 9 17918 8027 4 12673 1251 1 4941 4314 1 143 6577 1 11423 2802 1 16692 339 1 963 1416 2 8327 201 10 13754 1234 2 14394 5922 10 5798 2797 1 3324 3337 3 17850 1747 1 20177 6231 1 6070 5478 1 6089 1658 6 17368 4404 1 16779 4405 2 16464 1757 4 9638 1829 19 2254 891 1 10381 1150 7 682 6834 2 6332 3536 14 14744 215 1 15682 4297 1 16674 1277 7 3924 390 1 9556 7013 2 5276 5099 1 15272 1758 1 3471 1747 1 19331 5141 1 952 545 2 10851 809 5 3818 6224 1 15849 1991 1 9531 23 2 581 3630 2 727 2419 1 17746 1732 1 3496 1764 1 8051 7052 1 2797 8145 8 6035 5674 1 16769 1188 1 17491 236 1 7403 6688 1 16773 613 1 11373 1564 1 18410 4951 13 11562 7293 2 887 6897 2 10902 3715 2 18647 534 6 17476 3511 1 13358 545 2 18277 7617 8 5464 3770 2 19760 3608 1 15919 2636 6 2879 1395 12 4634 221 2 10281 3338 9 2414 374 1 8108 5288 3 17141 1624 1 17743 1762 1 6332 761 1 16584 7105 1 6966 3181 3 11336 336 1 15823 1710 1 2902 1734 1 4455 6434 7 11097 7933 1 15144 2815 14 3471 534 6 8853 404 1 19567 2089 1 1843 683 1 19054 1247 4 13461 512 4 7169 1621 2 17360 318 1 7961 5052 6 11412 5472 2 19602 3047 1 656 1321 5 5312 441 1 1111 2521 1 4898 2978 9 3048 5607 8 2002 236 3 1107 6204 17 17119 4355 1 4811 1825 22 10570 2675 1 11848 5052 3 17903 6584 5 3356 4877 1 6587 534 1 2985 316 2 3764 1781 2 6681 3050 3 6710 1247 10 9099 7890 1 9628 612 3 18634 2088 1 14951 867 12 557 1801 1 5108 1814 6 19511 1777 1 6907 3365 2 14833 1026 1 5543 203 1 16275 1731 1 549 2444 1 10123 1991 1 20169 498 1 17753 1253 1 17953 545 10 19721 3081 1 10976 7937 1 14786 1750 1 2198 498 1 6235 2168 1 1393 575 1 2359 690 11 5572 7205 1 3173 5254 1 14798 3840 10 7415 1576 1 7594 2636 3 17946 87 5 17088 2352 1 9224 7844 1 13866 235 4 3189 5792 1 6749 2729 1 6704 6268 1 17638 813 1 4339 1825 31 12737 4369 1 20248 1758 1 617 6224 1 18547 7684 2 19154 1760 7 2284 2370 5 5346 5129 8 3663 1277 2 5185 763 5 8174 220 2 14672 3080 1 17169 219 2 10781 308 8 18844 1104 1 13185 222 1 8640 5999 1 18404 6259 3 9444 1613 2 11591 225 4 16554 1898 2 19380 5468 1 7469 4783 1 12801 5018 1 8328 374 6 10165 917 2 4646 1304 1 2302 1819 1 174 7954 2 95 4342 1 18634 3361 1 3823 1658 4 11233 222 1 3044 603 9 163 7423 1 353 3648 2 10308 3228 1 9637 6150 2 5519 7101 1 15286 5276 9 7780 3067 1 6570 3824 1 1223 890 1 6235 6467 1 9044 6637 1 6024 1450 2 17991 1724 1 6687 164 9 9415 184 1 4632 234 1 450 4123 2 140 6392 1 6063 1743 2 17331 190 1 5025 3072 2 13581 4658 1 15932 224 1 18880 467 1 10677 2521 8 9650 7989 6 16965 72 1 9915 899 1 10733 4321 1 10887 3502 1 13743 365 2 11613 943 1 12740 3510 5 3217 6482 1 16036 4818 1 551 5775 1 140 6353 1 9598 7572 1 3871 7719 12 8057 5325 5 2534 7355 2 18573 4723 1 5827 1322 1 10176 225 1 15139 1872 1 2247 7566 3 19234 5427 1 11296 1573 4 9567 3869 1 18730 1287 3 11786 6644 3 7506 4629 1 10670 3493 1 4272 5119 1 19498 7255 1 4555 489 2 6603 2355 1 18004 5255 4 5685 1244 2 1663 4344 7 8097 5090 4 9417 1471 3 4263 5883 6 3397 5419 1 14411 308 1 18548 903 1 8174 1290 1 4520 2338 1 14504 303 5 17314 6231 3 13059 165 1 11629 57 2 8394 5305 3 19966 1819 3 12325 732 1 14043 7424 2 1328 508 4 20188 1645 2 153 6908 1 3053 3276 3 9007 505 1 18262 1296 2 988 1314 1 10183 359 2 16482 4435 3 18320 6004 2 583 546 1 15779 23 18 16636 2803 2 542 680 2 14055 6124 1 10221 1642 1 16448 4623 6 8405 3576 1 7208 1373 1 1682 222 1 1638 2878 6 11640 1761 2 16249 794 1 19637 6945 1 6561 3684 3 171 7619 1 2954 220 2 6813 8086 2 12320 5463 1 5366 4990 1 600 2646 1 8439 1783 1 10856 235 4 174 8072 2 12493 5391 1 14522 3474 1 2046 1809 2 1414 1755 1 94 4333 5 3337 6890 2 9930 4245 1 85 3911 32 19420 4258 1 4163 7716 2 2087 2567 1 11687 184 6 15559 7412 1 10313 4029 1 2507 2080 1 12258 7541 1 10764 6777 2 4616 7486 2 15429 4781 1 3571 552 1 1114 4992 12 19033 1903 6 1122 4870 1 878 1946 1 11877 1245 1 9335 206 3 8665 793 1 11182 7735 1 19649 186 2 5171 7309 6 14807 1130 1 4452 5914 20 16935 2138 1 5841 3510 3 19014 497 1 18992 831 1 15785 762 1 9743 70 1 5310 685 1 18887 7213 1 979 523 1 1171 1238 2 7043 2853 1 20063 8200 2 19486 696 1 17776 3617 1 8129 795 1 10299 46 1 14630 3146 12 13 728 3 13780 1454 1 9440 7719 1 2073 1345 2 19152 597 6 2570 4231 2 8242 4559 19 17195 4521 2 4452 73 5 2292 7989 5 5093 4614 8 2418 2460 4 18526 2626 2 3939 5375 1 20174 1245 1 6931 510 9 15567 368 3 18148 74 1 5290 1307 2 2096 719 1 15386 535 1 8448 3700 2 8665 3671 2 12704 5553 1 13353 1190 1 11545 3537 1 4302 1751 7 14992 1825 10 8931 4983 9 17083 1352 1 991 6659 2 4143 1772 2 15130 4204 2 18968 385 1 15123 1399 1 14711 2767 1 15858 1561 1 1168 347 6 2197 1472 1 24 1463 5 5877 219 12 7099 1286 1 8438 1720 3 1618 520 9 5658 525 1 4742 1718 2 5801 1295 1 15130 7719 7 16018 1450 2 1306 3979 3 3898 1827 1 1481 7989 7 18679 5532 1 17514 3058 2 9466 3135 1 11194 6551 4 10047 2881 1 9446 1238 3 6580 200 15 4014 5018 3 14727 4427 1 4663 929 1 11497 2396 1 13337 1659 1 153 6943 1 2204 4209 1 6740 6812 1 392 2366 15 16689 1822 1 4933 460 1 17173 4299 1 3117 6152 1 18360 4630 1 4287 6064 3 1520 1034 1 6664 1743 2 13684 2495 3 2833 1705 2 11621 3909 6 11384 3634 2 13130 7233 2 6870 519 2 14372 38 6 592 4298 1 14114 370 3 12443 4578 1 8614 5424 1 13550 3317 1 11675 892 1 16886 7410 2 16156 910 9 11828 6252 3 4678 201 1 4679 7591 1 7962 8195 4 16626 5499 1 8918 214 1 11855 1707 1 3484 2377 11 15523 470 5 8097 2881 2 2674 3853 1 194 5346 2 11769 3569 2 15091 88 2 4111 6141 2 7802 3164 8 8229 7410 1 171 2696 3 8735 3592 7 17552 3693 1 2579 6669 1 6892 340 2 13219 4585 1 6650 2675 1 14357 2661 3 16428 6992 1 1683 7974 3 3348 6226 1 8495 6716 16 14102 1781 5 6907 684 1 1726 865 1 140 6406 1 1444 702 1 8524 201 4 745 1724 1 10601 537 1 16592 7036 1 17730 1374 1 130 5915 1 15092 1827 2 5789 2549 1 17644 235 4 17405 778 1 10728 3011 1 7555 184 1 8892 533 1 16494 1304 2 11244 1346 2 3190 3233 1 12283 1772 2 1522 5119 1 16643 688 5 19759 3525 2 18526 510 1 14826 3621 1 63 3051 1 4468 2536 2 12853 367 1 8663 2618 3 13631 214 1 6622 3426 1 19286 865 1 20193 304 3 3719 5502 1 395 7570 2 19626 215 3 14900 74 1 15722 1736 2 12509 4606 1 5424 1042 1 16666 1681 15 7798 2133 3 4606 1374 4 4648 5543 1 19841 221 1 10095 168 2 1366 6908 1 8632 6925 1 13384 1331 1 14423 718 1 15166 5266 1 1065 132 3 3171 207 3 17954 3283 4 7881 7244 1 3581 2000 1 13734 2864 2 15960 194 1 17234 3476 1 846 4614 1 1233 3511 2 16471 1342 1 20216 4713 1 7611 6440 1 19293 1334 2 17767 1248 2 8217 2671 1 16661 4378 1 9074 6527 1 1 9 1 8615 331 1 2803 2003 1 3323 8040 1 18122 1244 1 10664 635 1 19380 367 1 2858 652 1 456 532 5 16793 3851 1 13093 2376 4 19871 1571 5 19854 23 1 11445 689 3 4709 221 1 5701 7018 2 16057 6537 1 18581 6649 4 16539 4187 1 6966 2780 4 8576 2139 1 8198 3777 4 2546 2388 1 15608 608 1 6451 2945 1 13465 243 1 20 1331 1 16378 1417 1 10494 3671 1 16853 164 5 6004 196 7 20255 528 1 14301 3460 5 6653 1736 28 17861 7639 1 1653 207 23 1962 742 3 13228 8183 5 85 3910 5 9861 1112 1 4149 1648 1 9854 5133 1 14621 158 1 11786 7216 2 14609 1363 5 174 581 1 8308 223 3 15716 7497 1 9783 5305 1 16557 1770 1 6574 3669 5 3515 4662 1 5775 1334 4 4197 218 1 18961 4132 1 6328 367 1 16036 496 1 15098 2350 1 1506 1247 2 14583 6481 5 6687 976 2 387 5251 2 13247 3851 1 16332 2760 1 4113 2528 5 18157 2817 1 3881 379 2 19643 3021 1 1986 3596 1 19886 1374 1 4720 3448 5 15943 1662 7 16426 200 5 2911 6925 2 12507 2191 3 12636 550 1 4068 1247 1 18058 7085 4 10339 3446 2 3984 4128 2 8031 1328 1 1607 229 1 6388 883 1 16645 225 3 11574 5098 1 13714 1768 1 6517 1372 1 9713 214 3 4106 6925 1 2696 206 2 4130 4807 3 1045 1721 1 12747 207 5 11015 3482 1 5863 364 1 4057 6837 1 14824 1368 1 17477 2356 1 10677 7740 1 17217 883 2 687 153 1 15249 251 1 1554 1772 1 135 6213 1 9927 1770 1 18462 316 2 1308 4796 2 5424 8033 1 8314 1234 1 4906 201 2 10442 3328 12 4711 1207 1 4113 1275 2 2858 712 1 4374 1333 11 2878 3059 1 18286 7511 1 9868 1312 1 6463 6964 1 9093 506 1 4389 221 2 6625 3980 6 12522 2955 1 13995 7964 1 18536 1322 2 1302 203 4 18462 3634 2 340 1253 8 20017 821 1 6668 5698 3 841 1877 1 12041 46 1 17243 676 2 15926 1731 1 1620 1571 1 10477 3653 1 16096 4274 1 1021 1600 1 15608 3361 1 10869 207 1 3167 5488 1 8699 1235 1 7987 6259 2 6704 2897 1 19053 767 1 12663 7220 2 12281 214 2 16827 1779 1 17377 7975 1 4708 1721 1 6867 1184 3 4498 1768 3 9266 1474 7 7613 1819 5 4675 1278 1 3917 3230 3 3945 1600 1 13587 370 1 19822 6185 2 4498 11 1 1560 2386 1 3500 4789 3 18033 1474 1 15936 7404 3 15941 2001 3 11598 4209 1 18939 4204 5 10659 524 1 3536 7266 1 16248 205 1 17809 252 7 18115 4303 11 8362 2555 3 1510 1804 1 6611 5081 8 10855 1990 2 10746 5121 2 18404 497 2 16776 2494 1 222 6687 1 19601 5379 6 6697 1736 2 174 8030 1 4620 1704 4 19594 3464 1 1520 5897 1 2687 206 5 500 1990 2 9117 4656 1 18968 4233 1 6697 7474 2 13409 3478 1 1265 1884 1 14492 5288 1 6526 8184 1 14376 3262 1 14145 2559 2 17404 7235 1 10112 1240 2 6316 2409 1 11439 2632 5 6153 232 16 10553 5317 1 1684 444 1 7252 2493 1 8649 229 4 16797 221 1 9546 816 1 18431 308 1 618 3138 5 19149 3715 7 4124 3464 7 13928 876 1 6382 201 1 120 5257 1 1704 5999 1 19700 5363 10 2860 1969 4 19685 8173 1 11973 5257 1 382 205 1 7575 3074 3 5401 876 1 20124 470 1 4669 7928 5 14141 3559 1 13730 6549 1 4960 5567 1 12119 1762 1 12331 6554 1 15183 1342 1 4963 3050 1 12777 809 2 6806 207 11 2020 1319 1 10966 506 1 19380 4333 4 19518 532 1 694 1721 3 13299 201 1 8082 4669 2 19972 5255 1 9689 670 1 11422 946 1 18637 4435 1 17644 3591 2 19313 7231 10 16557 825 1 8439 880 5 14916 1738 1 185 652 1 15943 1154 2 6781 8141 11 11626 6132 1 83 3733 1 6096 7803 1 8620 7659 1 5236 5097 1 17749 2659 5 2198 2419 1 4242 4266 2 16580 7146 4 100 4491 1 9588 5394 10 10447 3716 1 6278 7853 1 15205 663 2 8260 5484 1 2894 5730 1 6939 1781 1 11357 1724 1 2403 207 6 10946 215 1 14861 5011 1 14458 1145 2 1584 1825 2 3059 3382 2 10377 525 4 19468 6361 1 13891 6674 2 8546 505 2 17056 13 1 2951 221 1 5983 291 1 12784 7146 4 9480 1518 2 16963 1042 1 11928 534 1 4886 7402 15 5213 233 1 2002 880 4 15061 5760 1 9709 3892 2 4561 6058 6 739 221 3 19504 2089 1 13271 759 1 1075 3338 1 9760 1752 3 8458 1751 1 2861 206 1 13229 1780 1 7455 415 1 11714 397 1 12731 4085 2 6987 6170 1 8088 4623 6 9275 689 1 7540 3911 1 1689 1249 1 8473 233 2 4076 3511 15 19286 1357 1 15896 534 1 1631 441 1 15778 1325 1 15355 2779 1 14921 1296 1 2869 8093 1 1606 554 1 18905 3475 1 7452 652 1 10689 1587 1 18462 3748 2 1469 223 4 11968 2104 1 13 862 1 16111 3766 14 9737 5389 1 6473 5582 22 3189 1664 1 16459 1363 21 15394 200 5 3442 7308 1 18232 5737 6 14797 3097 3 18489 867 1 3118 4658 2 7910 2649 1 8528 1745 1 2175 1707 4 12262 1909 13 65 498 6 8209 184 3 5177 23 7 7410 4038 1 3061 4986 11 13857 430 1 17099 4183 1 18115 4515 14 16471 1417 1 7284 225 2 17615 581 3 8952 3705 1 9244 1760 1 4492 1374 1 18558 1492 5 2542 4188 3 11577 5162 1 4975 1819 3 391 7187 1 19820 4680 3 7165 1307 2 2198 5446 1 10313 823 2 20096 4444 1 20163 173 5 15599 6677 1 11932 5083 4 19995 5253 1 3319 2168 1 12208 340 1 1180 541 1 16019 471 2 105 4721 1 13758 4291 15 6781 5245 5 12893 1995 1 14793 5427 1 63 3055 1 8278 8122 1 764 221 4 15769 206 1 17171 2087 1 13291 3466 11 11796 935 2 8695 1729 6 1705 244 2 7404 845 1 2013 4428 1 18667 4435 1 349 5286 2 4335 767 1 10712 7600 1 18367 6414 1 6642 10 1 19286 1737 1 18232 3747 8 3330 7368 1 4303 263 2 17475 1502 1 19162 6591 1 19686 514 1 11306 306 1 15102 7446 2 2385 4530 1 10340 1721 2 6862 5399 5 12426 1816 1 4386 1251 2 10078 1334 1 10307 3999 1 19871 6481 4 19336 4490 2 10092 693 1 1065 976 2 17385 2488 25 18820 1164 1 6689 1907 3 135 6224 1 40 2075 1 11849 7840 2 19372 4142 15 2133 4704 1 14800 8184 1 15608 2626 5 9509 4929 4 9945 7216 1 5160 6252 21 7821 1776 16 8581 4983 2 14695 201 1 1135 110 2 3817 23 1 54 2632 2 4883 3421 3 14790 5054 2 4092 510 1 5214 1764 1 7559 536 1 79 3556 1 18331 5018 2 15722 1755 1 5635 1235 1 11877 1407 1 5197 203 1 10824 1649 1 16236 244 1 904 1721 1 7147 5905 3 259 4933 12 19090 392 1 9535 1247 1 7988 6544 1 4268 3368 2 1065 2639 1 14380 3602 6 379 7411 1 15314 5386 1 8656 8058 1 14753 1076 2 4549 1363 2 2886 6968 3 11882 8036 1 2764 2549 2 15576 5950 1 14114 458 1 3075 206 2 15419 2356 1 4496 3333 1 8041 3911 21 6003 1752 3 9110 3425 5 14683 249 1 3749 200 2 19596 1234 7 19731 2316 1 6468 4099 1 19608 350 2 18408 2256 3 45 2325 1 19727 3574 1 16021 2949 2 15096 3842 1 12128 1209 1 10034 6806 2 18581 5104 3 16437 2155 21 12353 5263 1 6475 6200 4 8251 3900 10 17742 3522 1 17771 5930 1 16319 1863 2 4502 1758 2 3338 225 1 1743 4549 19 10245 3122 4 13199 5090 1 4049 4167 2 11702 634 1 9534 1245 1 10664 7964 1 17416 8117 8 2231 1248 2 5433 3227 7 12132 8184 2 18232 3571 9 12316 5053 1 5967 8067 1 3697 23 4 70 23 2 2430 1251 6 8287 2478 1 4884 1707 1 19927 518 1 158 2559 1 15677 496 1 16666 207 5 5903 2331 1 12859 7381 1 14436 8194 13 16090 6946 1 10728 505 14 3940 650 1 9807 206 2 13746 5496 1 4681 5036 1 3419 5769 1 14881 5339 1 745 244 2 7502 4597 3 17824 4193 1 4089 3785 6 7626 4314 8 10482 1301 1 17138 4242 2 95 4375 1 17795 7583 1 4546 6979 1 6861 2686 1 24 1470 1 12265 4221 6 8105 4247 2 10651 7456 3 15866 222 1 3531 5505 1 10730 7612 5 770 507 1 12007 206 1 16977 528 5 15997 1788 1 3673 5341 1 18090 2224 8 17953 74 5 8905 224 2 626 8095 7 3864 203 7 19187 3999 1 16736 4499 1 17037 1642 2 10423 1405 1 7822 5707 1 2101 7402 1 6211 7012 1 640 6719 3 11440 2662 2 19029 2273 1 14981 7408 1 16965 4623 1 713 7534 1 5725 2606 2 1886 4870 1 17931 1731 2 4307 6150 1 7057 1825 28 18806 2602 1 1300 557 1 15159 5413 7 4898 883 16 9047 7976 38 13909 4983 1 20 1278 1 2221 5332 3 20073 4538 10 11332 1761 2 11158 4107 2 3972 6132 1 10873 5011 1 3109 2483 2 16033 7407 3 19384 7972 1 933 4998 1 2372 4621 2 19688 2508 1 2962 804 1 12856 948 8 11280 6235 1 367 962 1 108 4860 1 13436 2131 1 9029 608 1 1805 2443 1 2386 2605 1 4824 2885 10 7235 6400 2 5692 232 1 11698 1927 1 17962 153 1 6539 2369 3 12238 3119 4 6314 2731 2 8833 8071 1 107 4810 3 8654 1663 4 4192 307 5 5021 995 1 6183 5568 1 16674 5256 2 17859 219 1 9245 3698 2 672 200 9 18792 960 2 1683 5341 2 4018 7336 2 10750 2661 7 7393 3049 3 10735 6252 1 18995 4435 5 3313 6945 1 15478 1593 1 19818 3584 1 1711 954 9 15169 1734 1 18232 541 4 12399 743 1 4597 5446 1 10370 1455 1 13628 7809 1 10916 1184 2 14284 23 1 24 1464 1 14876 1302 2 2452 234 3 5357 4343 6 16040 224 3 4880 3399 1 13546 514 11 10911 670 1 15340 3155 1 977 524 1 1789 623 1 7274 5559 1 8798 4518 1 12883 3632 1 2367 3693 2 366 2072 6 19578 5215 1 104 4675 2 8975 4963 3 7386 2360 1 6265 1757 7 12394 222 17 9605 3180 2 7991 335 1 14645 1859 6 12375 263 3 11214 1758 1 13666 5141 1 10985 221 1 6485 3016 1 12897 6260 1 3075 1751 1 7240 3023 4 19254 23 3 18202 5288 1 14005 5104 1 19418 5550 1 13601 4459 3 19972 3798 2 5582 7535 1 11192 640 1 6894 335 11 18207 239 1 8376 3361 2 7098 5413 1 18040 1740 2 19282 61 10 8872 1770 5 14145 215 1 18089 2789 1 10057 3630 19 19263 1271 2 15145 197 2 6926 419 4 4554 2253 1 7861 3888 1 10146 804 1 18506 4963 5 17812 1333 1 12737 3660 1 18989 880 2 1824 891 5 3056 5945 1 4563 1282 1 14532 205 4 12237 1252 2 963 5349 2 13224 745 2 19268 233 3 8180 391 1 5136 1789 1 15206 2801 1 11912 364 1 14794 2649 4 17328 2447 1 3491 173 2 3175 3921 1 16403 382 1 12591 203 5 19801 4134 1 13797 2646 1 5784 6658 3 15608 3227 1 16281 6026 15 19578 3828 1 14355 1728 1 9288 1711 6 5458 4845 1 1089 223 1 4796 5972 1 3414 2206 1 17030 1606 1 19149 7975 1 6473 3522 4 5904 152 1 11746 6102 2 13758 443 1 17886 926 2 11574 8178 3 10844 2618 1 1650 6957 1 18546 2698 1 11008 5257 1 19056 1037 1 8974 7125 1 16130 1017 1 2505 6957 1 5653 2657 1 17500 1698 2 48 2418 1 1794 7618 1 19568 1235 1 517 1784 1 18377 2787 1 8233 1748 10 20221 3666 5 8470 7189 2 6755 203 1 20225 764 2 14558 1955 2 18122 1729 3 8261 1917 1 3734 952 1 18369 335 1 2969 589 1 16484 5020 7 2586 840 1 7780 1401 1 532 4601 1 4288 1701 1 10517 6536 15 12305 2435 1 4956 550 1 13039 3456 5 16676 514 6 3613 1721 8 16003 590 1 4092 230 1 5326 3275 1 8012 5730 1 4446 5640 1 12442 2889 10 13 968 16 12164 7054 3 3752 6816 1 9945 2993 1 9628 639 1 12897 449 1 15354 1748 10 19270 7707 1 17585 385 1 19794 826 7 3969 219 1 19163 554 1 8892 23 1 18548 4779 1 1151 7865 3 19509 1752 1 9310 975 3 1706 5858 3 4681 1649 3 2370 2438 1 12530 1184 10 18791 225 3 10673 1249 1 12457 1695 1 10592 2450 4 4831 200 1 5378 4528 1 14412 6220 5 20154 2139 13 3949 3745 3 14682 3893 5 15647 219 1 9661 8192 6 13243 1374 1 8546 4211 1 13324 199 4 13363 4600 1 5791 6723 1 18573 5379 1 2980 7073 1 5749 7952 10 17 1197 5 7010 6714 2 612 2883 1 6641 2686 1 15429 3856 1 3053 5251 1 8795 1729 2 2269 2254 1 16459 805 1 18706 196 1 1033 1755 2 4209 574 1 15683 1116 1 18637 1752 6 4697 7509 2 7387 6193 1 7536 1880 1 7703 2019 1 10536 4981 1 8890 3203 9 386 6719 1 14004 23 1 17521 196 1 17819 206 1 9815 5573 7 1832 6644 2 19026 2407 2 15369 4649 1 1 58 1 14561 127 3 14331 935 1 10455 2595 1 6890 1757 2 15471 865 2 14176 234 6 1832 95 1 16674 2510 1 15889 6912 1 16339 1727 2 19425 23 5 3177 225 11 16158 1244 1 2267 4325 2 5058 3400 1 6506 1404 3 8061 1738 1 16952 1434 1 3797 1184 3 14762 525 1 9566 5321 3 7338 6961 1 83 3789 1 13800 403 1 18255 7537 1 19637 1340 1 12708 5054 6 12879 219 1 2153 2727 17 778 3057 1 836 2407 1 9941 4833 1 2027 274 12 7122 2552 1 3134 2290 1 8582 7098 1 19759 1717 1 11703 205 1 6645 304 2 1457 713 2 9925 910 1 5204 692 1 13459 3056 1 18976 690 5 1711 934 1 4901 3375 1 781 5002 2 2898 524 1 13928 880 1 14077 4873 1 11101 624 2 19872 5400 1 2674 1091 1 9458 7826 8 12212 4483 1 18226 7342 2 9007 4189 11 8321 638 3 8191 203 2 6517 6596 2 3398 7617 5 793 519 5 474 3798 1 364 6596 1 14134 1275 1 19139 141 1 12549 4992 1 1231 1395 7 4282 4192 1 1349 5515 1 17992 5077 1 2204 2980 4 3478 1467 1 5340 1146 1 12378 4272 1 9332 1250 1 11072 4998 6 14818 1707 1 1705 673 2 4970 148 2 15896 638 5 11544 157 1 20234 4486 3 5264 1770 11 3038 164 2 12971 4105 6 9554 1416 2 8223 1581 10 11295 7809 9 11461 1739 1 5384 2549 2 8110 5698 10 4573 6486 2 18919 783 1 13542 1743 1 16732 834 1 18033 2197 7 2080 3522 1 20131 5297 1 1986 4060 1 11113 200 1 10192 5060 4 14923 2170 2 1821 6721 1 10050 665 5 164 7513 1 16109 1658 1 19428 2022 2 6504 1741 1 11444 1663 2 6420 3787 2 6 192 3 5993 1505 2 2004 2261 1 14646 4245 1 13055 6662 1 14682 2548 7 11065 1771 4 40 2128 1 18625 1717 2 5375 8141 1 14970 818 1 9525 4436 3 4967 3446 1 222 210 1 15676 5474 2 9767 4963 4 1490 2555 9 15890 1610 1 14358 1962 3 14578 1775 1 2405 2559 1 13374 2109 1 4064 1985 20 1839 680 1 171 7611 1 5579 550 2 9171 3283 8 9224 6585 2 16130 5120 2 12520 7995 1 9630 913 1 19626 1775 5 18748 4992 1 20080 4101 1 91 4083 1 7012 1339 1 16597 203 1 15199 2938 4 15011 590 2 6749 6966 1 1711 919 1 17003 3827 9 1865 554 5 19061 1247 3 7262 2650 16 11332 512 1 4870 1825 5 18724 164 3 11844 221 1 11764 1538 4 15325 221 1 18285 870 1 14157 3522 1 20249 6342 1 12350 6256 5 7739 1245 3 14177 4242 1 10828 7573 14 11072 1778 2 4005 517 3 3680 1739 1 7176 883 12 81 3671 1 13387 1464 1 16561 871 3 4600 497 5 5056 4427 1 3391 95 5 11687 1023 6 3406 6630 1 6183 1253 3 6253 2649 1 944 1644 2 1428 2639 12 13329 964 1 5420 1632 1 12312 5534 1 10079 5058 2 14175 268 2 14727 6874 1 6776 514 6 2546 2415 1 176 1814 1 11483 7808 1 6420 2494 2 2522 1781 1 10339 1504 2 1697 2013 6 7632 6754 1 20262 534 3 1301 331 1 16956 5950 4 16561 236 5 12555 6543 1 14350 516 1 13928 755 1 8709 692 1 9133 4562 3 15417 2636 1 496 2595 2 16500 496 1 9790 227 3 5649 892 1 3697 236 1 9444 221 1 17207 6546 1 14753 1302 22 10728 7672 3 8899 6510 1 6749 5127 2 8546 589 3 1026 581 1 5344 106 2 175 8140 2 14326 87 1 2672 6283 1 3590 1334 1 9403 5559 1 3549 7949 1 572 669 1 5494 903 2 20007 1249 1 17774 200 1 5798 5221 1 16587 204 2 13823 1827 6 13789 3426 1 11400 7371 3 633 6139 1 17545 1424 3 19063 495 11 19865 1728 1 17436 3016 1 6597 3795 1 13111 220 3 5815 7175 1 15107 3027 1 5986 1069 1 9916 5826 14 15144 1239 15 4778 236 1 18876 566 4 16352 4412 1 17996 1649 1 12765 690 1 561 1235 3 3581 173 2 7966 2614 1 5062 8203 1 2978 4029 1 15343 6901 3 16566 207 1 15192 6954 2 17748 2146 3 10 278 1 2571 6435 1 14994 1819 1 4561 631 1 7462 3670 1 151 6784 1 440 6225 1 153 597 4 20081 6192 3 18929 3065 1 13574 863 2 4072 201 3 15429 496 1 9081 7210 2 18650 8066 1 4205 7670 2 3397 5485 2 10814 3275 2 6672 512 11 11418 1819 1 12459 206 1 17383 1251 1 10839 5150 15 5915 411 16 10269 7881 1 11931 46 5 16462 7931 1 18193 1769 1 19037 7617 3 11744 1965 1 13379 8083 1 9484 8197 1 18814 5400 1 9181 6414 1 15467 2555 1 1803 1991 1 17220 694 2 16299 6484 2 4815 2262 5 19594 3023 5 15997 313 1 10056 592 1 11277 2489 1 6149 3334 1 13302 203 1 7665 2241 1 6164 4024 1 3644 2675 3 15909 3009 1 73 3408 1 10583 219 5 12337 5066 1 1065 4547 1 4556 1827 10 14761 7997 1 5567 1203 1 10161 6697 1 19579 1872 1 12000 6721 1 886 6481 3 9957 2292 2 1295 134 2 6263 953 1 10931 366 1 68 1529 1 8735 7738 1 6418 935 1 7131 1747 2 3037 1738 1 9835 2092 1 13743 4944 1 7285 1685 2 2902 1703 1 5859 1407 2 5224 579 1 1156 1661 1 6950 235 1 14618 3562 1 15468 222 12 3508 2853 2 7480 5817 1 9624 1000 2 17910 7414 1 20275 7674 1 6769 2620 1 15802 553 15 19621 5686 1 1491 2970 15 12594 2551 2 10228 3326 2 42 2167 4 7930 1104 1 5385 4306 1 18026 1241 3 8716 512 1 10703 3408 1 7506 7007 1 94 1289 14 13 912 8 1857 3233 1 13453 2645 5 18115 3775 1 8332 7823 2 7590 219 1 4178 201 1 3536 6358 10 13699 5341 1 18878 3556 2 4519 699 3 3207 92 1 7728 6046 1 7269 525 1 11238 4022 1 4583 57 1 14302 5385 1 5936 3884 3 13466 1788 2 2526 2686 1 4935 7417 1 12159 397 1 8965 1241 1 17544 1995 1 14658 8183 85 20044 498 2 10013 500 2 5124 867 1 14753 1210 4 19585 719 3 6793 2977 2 11820 1658 1 16137 936 2 11354 1363 2 19530 934 1 14183 1705 1 2889 244 11 13922 4615 1 6774 5627 3 3089 4849 5 15363 231 9 9174 1342 1 73 3364 1 1764 3511 1 10696 3033 1 3397 2943 2 14516 433 1 9884 225 6 17712 1825 7 8463 7229 2 919 8029 1 13035 572 1 1021 1611 1 4404 65 3 19265 4967 5 1519 221 1 10887 7512 3 2911 4022 2 2179 7830 2 3189 4792 2 19766 6434 1 7624 3227 2 10253 3619 3 10844 200 8 16798 7818 7 4446 1243 43 2905 6502 1 20123 1458 1 17068 7624 1 6228 656 2 7432 6226 8 17577 6031 1 18526 215 13 10179 1537 1 11533 7818 1 10966 1760 2 3008 5257 1 17172 5488 2 18408 3511 2 15807 4496 1 13461 3230 1 20032 6661 1 10156 60 3 2710 1722 1 14127 967 2 1944 502 3 8369 1424 1 4868 1237 2 9169 3906 5 4399 1739 1 7165 566 2 16408 4268 1 2598 2351 2 1626 1898 1 49 2467 1 16841 221 1 17220 707 2 12378 2650 5 140 6437 1 16810 578 1 2067 4375 1 18706 3556 1 14019 2815 2 9953 1482 1 14920 3113 6 11607 519 3 6139 4427 2 3354 2276 1 13472 7272 2 12870 2649 7 19182 6159 1 8860 5290 3 15460 4559 1 18697 3813 1 3139 4325 1 19737 702 1 20051 8183 19 15720 512 16 15431 3438 1 62 2938 1 17463 368 1 18680 3114 1 17710 1395 3 10692 670 2 8198 370 1 15551 2853 1 13207 1296 1 13315 518 3 18670 2325 1 16489 3526 1 5285 3516 1 13966 745 1 10910 6342 5 5482 5379 4 873 4534 1 10340 1271 3 9374 502 1 17283 1740 2 19924 4929 1 13881 1421 1 13548 1045 6 6776 520 7 682 5658 1 18400 4351 1 6748 3796 1 11354 5550 1 15691 6703 1 1620 6006 1 15202 2043 3 7461 936 1 7944 6207 3 1904 6342 1 16697 1825 1 5712 1995 1 8662 3258 5 9815 702 7 20209 4467 1 716 7606 2 3198 3058 4 18388 1147 3 9598 861 1 2100 8002 2 8546 2505 2 15539 6644 2 9859 4746 2 12458 1788 1 4158 4274 1 1089 765 2 4246 1564 1 19698 3532 3 11502 951 1 10374 137 1 13619 1764 12 15228 3057 1 6418 4062 2 1933 3595 3 16328 1287 2 6668 7244 5 7725 268 1 17088 1771 6 15307 3382 1 1519 7769 4 16797 7612 1 2721 2156 1 11876 1819 1 11313 927 1 1948 205 1 4784 378 1 14579 1889 1 17719 203 2 2483 2653 2 19711 1758 2 5150 2168 1 13994 1250 1 10988 4107 1 1190 222 61 18331 5259 2 7912 4436 1 16639 2355 1 10580 4635 1 6835 366 1 6456 215 1 17705 1275 1 7378 1814 6 15886 5563 1 593 1770 1 16022 1116 1 4722 124 1 7600 201 1 17066 3029 5 3847 1784 6 10053 6139 1 11857 201 11 7270 2699 1 1810 3911 27 11768 222 9 10936 4662 1 15124 1372 1 19331 5051 1 14785 3694 1 18227 1796 3 4232 1658 2 824 7410 8 6894 6434 1 3991 223 1 1816 433 1 3827 132 1 9604 229 4 15688 2151 1 13496 2980 18 19595 649 1 11678 3817 1 1228 1247 1 13728 5950 2 7559 4949 1 6218 6161 1 10208 3494 3 8135 253 12 13238 3338 1 684 200 4 16535 3275 2 2267 7565 2 3036 5031 1 16231 5164 1 7473 1331 1 15520 3511 1 2367 4653 1 7966 6581 1 12529 3072 1 15376 3827 1 8226 2869 1 13967 1363 1 2207 2352 1 4850 4207 1 10244 1767 10 14755 6661 3 18413 6587 1 7257 863 3 20022 679 1 18674 8117 15 14975 4955 3 17645 4816 3 14754 7477 1 15314 2859 1 9012 2476 1 16963 5425 1 18852 7900 1 17675 2571 1 9793 2584 13 9745 493 1 5223 222 8 12035 1244 1 12817 4304 2 17494 7296 1 5863 1657 1 8664 1755 4 18856 6164 1 10313 4308 4 6397 888 3 11400 244 2 19487 7595 1 10973 5022 15 592 419 3 12935 214 1 7463 4304 1 15817 2969 1 4165 4333 1 3059 625 1 19486 2029 6 4399 1734 3 12221 184 2 7318 6331 1 9017 11 1 4898 1827 1 18 1234 1 1719 215 1 15653 1303 3 1816 2508 2 3417 6777 9 6103 3632 5 10589 223 12 745 2662 1 12343 5253 2 6510 2496 1 17450 5837 1 4330 1827 6 16492 4119 1 1880 4179 8 1241 1748 1 19585 3972 18 4935 916 1 6640 206 1 11541 1757 1 19293 532 1 19932 867 1 3940 101 1 13100 517 4 16016 7308 1 1059 3848 1 1106 2522 7 8088 3919 6 10953 5574 1 18118 964 1 19924 2256 1 9446 3069 2 17945 3511 3 15631 2541 1 3496 190 2 6830 7184 2 17175 4998 1 5427 7222 3 138 6322 1 16130 800 1 5246 637 2 19239 197 2 1801 399 1 16176 8192 9 9315 2363 1 5191 5329 1 12425 3251 1 1026 7658 1 18171 1698 1 8540 1454 1 12443 7671 1 14194 6139 1 12457 1748 1 1973 8096 1 8751 5389 1 11956 1369 2 5523 1277 1 12694 1299 2 11418 481 1 1811 525 6 9395 3444 11 17500 263 1 17753 2262 1 7188 203 6 4530 2980 7 19092 3840 1 3362 7267 1 14326 3411 1 16063 5392 1 1798 2540 3 7663 1698 1 725 7479 1 8528 7850 2 19429 3924 4 2045 1244 1 2552 5559 3 15396 867 1 16533 7190 1 2650 664 24 2194 790 1 2265 1269 2 3936 6091 2 2215 2673 1 5277 2017 6 12110 570 1 9394 10 1 1519 1739 5 16846 1466 1 31 222 3 15429 7470 1 3397 602 1 2112 3554 1 13027 417 1 9511 4280 1 8372 215 1 18613 7739 1 17667 833 1 10283 4728 1 4954 2097 1 16159 1770 2 4190 550 13 16109 1781 5 12141 3893 1 14010 995 1 18799 1921 8 7670 797 1 8228 4998 12 19293 223 3 479 8159 1 8377 3176 1 18696 508 3 14059 7528 1 14971 1235 2 1079 6528 2 4670 5247 1 6125 1482 13 18703 7117 1 12376 4616 1 14408 82 1 13685 2990 2 3594 525 2 9587 335 6 12986 244 1 593 1244 2 1551 5005 2 2439 200 2 17960 220 1 7769 1721 1 174 5752 1 19240 6532 2 14298 1737 1 12376 883 1 12311 6925 1 6332 6979 1 14294 745 2 1705 917 4 7295 3177 1 13373 890 1 10670 8137 5 16806 6721 1 18184 6132 1 11882 3973 1 17378 1758 1 3573 2591 5 768 1518 3 15056 4564 4 1665 2290 3 14618 4011 1 7105 1345 1 11715 186 69 9810 316 5 12836 1233 1 15601 3135 1 17442 7231 1 17015 1728 3 12821 1251 1 18781 4103 3 14773 225 1 12493 952 1 19646 997 1 8332 3208 1 12784 7720 1 19990 1729 1 8403 1877 1 3765 3211 2 8019 4262 22 11275 3167 1 10004 2356 1 15751 5018 5 20055 5186 6 16895 514 4 12361 766 2 5843 2261 1 2046 1796 3 8422 1703 5 152 6854 1 14666 4963 168 12615 1681 1 8760 8135 1 3037 1747 1 12813 207 2 16693 4311 1 13999 4555 1 19409 296 2 1551 1247 2 9027 4299 2 16346 382 4 17872 6192 1 4171 411 77 9806 3900 1 7325 4587 1 17708 4296 1 4002 1235 1 5613 5315 1 15140 7512 6 5003 1150 2 17066 3365 1 7039 4351 8 10908 200 1 19185 1778 1 653 5016 1 10015 2341 1 18517 1727 1 2878 381 1 2255 3220 1 5336 843 1 1783 1764 1 11360 6957 1 6664 1747 2 10953 4466 1 14957 8226 2 12248 378 1 10619 1062 2 3337 3753 3 9546 604 1 3008 2495 1 14938 4306 3 13601 8081 1 10832 5833 1 5570 7605 4 18447 2721 3 4449 589 5 4672 2369 1 14537 1036 2 18518 7184 2 19152 6890 4 15001 7989 1 11003 3337 18 3765 776 20 18466 539 4 7179 765 3 12400 3992 3 6983 1365 1 11755 6500 1 10398 1721 1 8229 200 1 8763 776 1 9072 3890 3 16618 6340 9 17073 1482 2 32 302 3 17843 460 1 19322 1703 1 4475 5689 1 4046 1453 1 12633 8178 1 7653 4167 1 7769 1781 1 19293 3081 1 19805 215 1 14612 3147 2 16639 207 1 13613 4262 1 16378 219 1 9645 3697 1 7669 8094 2 1073 46 15 14471 2798 3 11530 7955 3 4716 23 3 12730 4967 1 11252 537 1 5851 5460 5 5827 7222 1 11562 6209 1 908 7857 14 11708 5879 1 16458 883 6 4095 1369 1 3612 5271 2 2370 5440 1 7246 2635 8 13126 398 1 15940 641 2 15177 1775 4 2373 5294 1 4880 477 1 4552 1734 1 18183 292 1 7147 5257 1 19740 1755 2 10856 6561 1 13806 877 1 19518 520 6 14711 5502 15 86 3932 1 42 2213 1 11736 690 1 9457 6435 1 7717 3511 10 15752 605 1 15585 3540 2 18115 676 2 18827 206 1 13874 1251 3 18123 7724 2 9347 504 1 11968 2109 1 18576 4384 1 14888 4332 1 14664 1356 18 171 2031 1 19813 1775 5 3877 2480 3 16364 4201 1 1276 1769 5 2993 6339 1 8391 618 1 7571 6629 1 10555 5413 3 6183 203 12 1444 2899 1 15998 411 10 20191 5897 5 8110 7029 1 18418 4293 4 13 586 2 3491 206 5 18251 1908 21 14859 2575 5 6332 4022 3 18593 1704 4 6813 1022 1 542 4619 1 4197 1321 1 1214 10 4 7632 1982 1 140 3920 1 2868 156 1 17864 517 1 6003 207 3 10105 229 1 11478 215 5 14990 2897 1 5075 1146 1 16459 1991 1 17586 207 1 2905 431 1 10341 1342 2 7675 6368 116 5596 525 7 10316 1292 2 11763 847 1 17578 636 3 11544 6053 2 13 614 2 13574 5750 1 3822 1695 1 7054 1464 1 5972 1358 1 8636 1277 1 9978 7622 1 16702 3916 2 7369 6993 3 18198 1235 4 11410 73 1 14894 5253 3 11928 1672 3 12303 3760 1 11228 244 3 9865 1829 35 3915 8029 1 16916 219 2 17258 206 1 13570 912 2 3396 526 1 9187 197 1 9325 1649 1 12337 173 2 15082 8019 1 9546 709 1 1 81 1 5675 215 2 12071 2167 2 16161 3464 1 14956 2254 2 11436 8060 1 2319 5446 1 13586 5032 4 284 1959 5 14918 23 1 17135 2600 22 12457 743 6 7653 2374 1 17195 259 1 2699 7968 1 18425 7408 1 13800 2494 1 14476 5243 5 473 347 1 13142 1529 1 16140 433 1 16394 2062 33 19600 506 3 7363 5243 5 17379 8043 1 418 952 3 14522 627 2 1380 490 1 16557 7419 6 11856 501 2 15371 219 13 6818 1814 1 15640 2721 1 6524 508 2 17298 1761 4 7227 4245 9 8590 1819 1 46 1250 1 100 4568 1 12897 235 1 2289 705 1 4778 6769 1 3358 616 1 7109 7556 1 14344 4344 6 4259 4296 1 7916 3479 20 10117 7102 1 160 7345 1 13040 860 3 1165 4489 1 19379 814 1 1504 1747 1 4287 1732 2 151 6764 1 16008 372 2 7317 881 1 11475 1471 2 18334 221 10 18323 3912 1 2637 3312 2 4435 225 2 7769 728 1 1520 5957 1 13888 7222 1 18557 1239 2 6538 39 7 7451 7410 2 4310 23 3 10182 7788 2 5863 2921 3 5757 534 21 16448 5639 1 16778 6736 5 19072 3285 1 19401 4229 2 11795 1761 1 8523 6371 1 6806 1737 1 2350 201 1 18557 1819 2 872 792 4 9119 4040 1 9116 292 2 8218 1863 1 2367 4403 1 5049 6213 1 7484 6545 1 13461 534 4 6733 2424 1 11314 700 1 11709 7665 1 13035 1757 3 10146 1373 1 3629 2595 1 14036 4390 1 10554 1990 1 1090 1717 1 8695 222 1 17308 1747 33 2274 4543 1 6032 7120 1 4519 1769 1 6285 4187 1 15819 1703 1 9911 84 2 8915 3556 2 4492 2529 4 11377 2150 1 5253 5115 1 349 636 1 4309 4383 1 15108 6964 1 10554 2491 1 18705 1722 1 18711 5961 1 8055 5559 9 19127 2759 1 6589 6126 1 17610 1193 1 12337 3899 9 6858 1474 1 6538 3081 1 19118 8168 2 9628 814 1 10523 6102 1 11714 892 1 14680 6214 2 19428 5302 1 19607 428 1 9236 3477 1 18270 1464 2 19578 2104 1 7255 7094 5 717 1251 2 16363 6208 1 5067 2290 5 1743 3799 13 2336 7178 4 16916 2014 1 18771 1686 3 12014 1748 2 20256 7936 1 14327 336 5 17448 4492 1 2221 7021 2 19565 2383 1 6801 5817 7 10161 1956 1 5337 292 1 15870 2591 6 10202 215 1 4987 3361 1 4210 4614 2 14363 6758 1 18944 8045 1 17388 3705 1 1871 1146 1 684 1241 1 16090 816 1 6813 496 1 12821 1244 1 6202 496 1 115 452 1 5449 4123 1 9836 4462 3 13649 3491 1 12988 5428 1 9535 1738 1 15224 3921 4 4749 1374 1 11890 303 6 16197 3408 9 7352 520 1 6236 723 1 18527 3474 1 12401 1093 1 9345 1717 4 16503 82 1 18320 936 1 11786 60 2 4459 3062 1 15074 366 3 4688 837 2 2791 201 2 711 221 1 11786 7730 3 550 1954 2 10698 214 5 9601 2534 1 3992 5269 1 8394 1166 1 10722 440 1 130 768 1 11336 5509 1 19875 1251 1 153 6947 1 15130 1304 1 15618 1612 1 15041 225 8 18056 1445 1 13697 1731 1 15269 5105 2 14900 3653 1 787 1717 8 1542 3230 1 601 1738 1 10543 659 5 2666 3684 7 7336 1995 2 16855 1770 1 12817 447 1 19568 498 1 10225 3570 7 11882 417 1 5959 361 2 5172 521 2 19054 4803 1 7356 1721 4 5997 5888 1 16636 3851 2 12090 575 6 19718 206 13 15468 5903 4 16916 2646 3 18091 431 1 8859 4901 1 7313 1819 1 590 6228 2 19382 7570 1 18866 6152 2 8818 2114 1 7455 2118 1 6207 1686 3 6318 1564 2 10772 3869 1 15329 608 1 8014 2832 2 4147 365 2 5949 2989 8 18563 382 1 821 4041 15 723 370 1 18941 518 3 11173 6970 1 17246 1995 1 15298 3219 2 8530 3747 1 2935 1682 3 2321 1613 2 140 6431 1 19680 2671 1 14307 5156 1 10811 4029 2 7555 8194 1 20106 2450 1 10525 2555 6 15633 1825 1 13534 5108 1 2929 1740 4 20180 885 1 4943 201 8 8837 89 1 17120 1686 3 16213 2569 1 19879 2663 2 18115 1718 8 20016 1235 1 17632 3554 2 2498 4998 1 14108 837 1 2359 89 1 12439 1621 2 1706 3625 1 11018 184 1 8406 1761 3 1125 7538 1 14059 2501 2 7605 382 1 14641 6125 1 18968 2737 2 7278 3494 1 12740 5144 5 152 6853 1 13677 525 2 5559 1717 1 16471 1245 1 17946 6067 1 17736 921 1 258 230 1 18628 1395 1 14064 4378 1 5278 219 29 6769 1331 1 14276 4493 1 5478 1038 2 17272 3592 1 19246 2361 1 3685 1714 1 1906 5436 1 13733 805 2 16096 8004 1 8969 520 1 13916 2318 1 2887 1698 2 14633 3631 1 11847 3909 1 11502 912 1 15712 1241 4 11440 1747 2 17711 1877 1 19486 3619 1 130 5845 1 12695 23 1 12051 1772 2 11981 5559 2 153 7021 2 14915 449 1 10378 196 6 16997 3070 2 19511 235 1 10350 1781 3 16767 497 1 19434 1775 1 19879 6268 1 3906 4944 1 14881 825 1 133 6056 9 11817 1250 1 13 731 2 13844 3233 3 4299 2356 1 13490 5879 1 5238 6170 1 18201 1271 2 6889 522 2 4887 3946 2 4688 767 2 18631 4944 4 1771 3228 5 10267 1751 1 11585 84 6 2283 7265 2 7956 325 2 17218 1776 1 10049 498 2 130 5780 1 10447 5994 2 6268 1396 1 14415 3491 6 14344 2331 6 14432 2633 2 11798 4275 1 16175 188 1 11058 1753 1 16843 581 1 16028 7583 1 14632 1174 1 7582 3684 1 15363 861 9 10001 4643 2 9779 3872 1 12353 336 1 2594 4132 5 3801 5243 1 1964 1243 3 12138 1739 3 10933 1946 2 19029 3715 2 16872 6259 1 6197 2577 4 9743 3618 1 19801 3012 1 12007 215 4 11020 2107 7 12793 190 1 16075 5488 1 19713 2021 5 12694 1390 1 19993 6213 1 18072 2727 3 18639 3775 15 15046 4628 6 6835 3817 1 11968 793 1 11 398 1 5216 1762 1 8636 4302 2 17083 203 3 13503 1367 1 127 5720 1 16727 1703 14 16180 827 1 5036 1734 1 6503 719 7 10939 3273 1 2988 6793 3 314 1718 3 11827 207 11 6520 2478 5 7670 1082 1 16022 657 1 11367 3168 2 781 4761 4 9857 628 6 5463 23 1 10485 1395 1 12014 2575 1 11320 2096 3 8441 6706 1 289 6106 7 18705 534 1 13683 1169 12 13405 1380 2 452 4079 1 2174 4847 2 11574 5035 1 1050 6716 2 8367 505 1 7109 3375 1 8444 2439 1 16474 5561 1 17664 863 1 856 4162 1 18149 8122 1 6314 6457 2 8024 4314 1 4691 6705 18 9486 470 7 17160 1743 1 16569 4460 4 6070 6219 3 6652 8194 1 13328 5521 5 8311 5097 1 5953 1305 1 5778 3600 1 7306 865 2 6715 3065 1 140 6403 1 15006 4555 1 2584 367 1 132 6007 1 17354 1710 5 1919 844 1 12505 412 1 346 184 6 3025 13 1 982 8141 1 2629 2686 2 14800 840 2 334 845 11 8710 7047 6 15790 5480 1 8374 1342 2 14148 6414 1 13895 252 1 14212 3170 2 9883 670 8 17664 1844 1 12818 270 2 6111 7101 17 1801 2009 2 18671 7972 3 10906 6257 5 6752 1116 1 16412 232 35 314 502 3 17708 4343 1 9935 1736 1 8724 5022 9 2611 1814 1 12378 3578 1 19030 1374 1 6244 103 6 7940 3612 4 7432 6670 1 8969 6341 3 7432 153 8 4195 3556 1 18614 1707 1 10825 1738 8 19246 443 1 3746 5389 5 10404 453 1 11254 74 3 11402 220 2 7570 4098 2 16568 7696 1 4853 3649 1 13909 5443 1 19319 864 1 14942 3570 1 5630 811 1 19041 1927 4 19131 2632 1 17892 1994 1 11497 1286 1 14236 234 1 5303 6558 1 13097 1903 3 8865 3228 4 6333 2646 2 435 4325 5 745 1236 1 5421 3578 5 18375 2398 1 19360 86 3 8860 7297 2 14522 6204 1 1553 4945 2 5801 870 1 1660 1675 6 11502 7642 1 8218 200 1 12903 6152 3 12406 235 1 19601 4427 1 11122 4531 5 580 1615 2 13373 1277 1 4688 734 1 62 2855 1 8875 2584 2 4898 200 2 886 910 1 17240 256 1 18281 235 1 18908 6435 1 9836 4018 1 11 487 2 15522 4779 1 3090 1751 4 15149 5471 1 1344 2068 1 8744 1732 1 11415 505 1 17454 6091 2 18634 3368 1 19538 1825 1 1996 1241 1 15718 1710 1 8125 2966 1 1296 3065 2 5538 2355 1 17751 988 1 1928 4695 1 1134 1825 7 10536 504 2 15765 200 15 12322 1728 2 11297 219 3 10590 3389 1 13542 225 4 3759 6136 1 11786 4387 1 6288 5574 1 16847 1956 1 2754 7769 1 19863 5951 2 333 5536 1 1576 214 3 11668 2662 1 19995 2488 1 2402 233 2 2221 1271 5 1322 8139 3 10218 134 1 18974 495 5 6819 512 4 17342 782 1 10027 506 3 1689 1244 6 12575 1629 1 1211 7958 1 19611 222 14 1758 7259 2 8675 6341 1 19381 5853 1 2231 1304 2 11463 6341 2 16768 5269 1 17867 1656 3 14816 3854 3 7361 1201 1 4092 1363 6 14890 4619 1 8923 2980 2 15726 271 2 5420 5761 2 18132 4196 1 5157 23 1 16605 8200 1 14906 1742 1 12893 7477 1 3397 1373 2 9650 2881 1 18524 229 1 30 526 1 16084 1482 1 2886 2817 1 4189 6187 1 11019 6142 2 12049 4628 2 4385 2518 1 3110 2151 1 4990 500 1 17159 3684 1 16024 207 1 11190 8167 8 14778 225 5 6418 1085 2 7746 545 1 16356 156 1 1768 200 5 1443 5502 1 13865 1305 1 8878 4081 1 20011 517 1 992 1720 1 2804 6278 1 16956 890 2 2588 1277 1 85 3170 1 3573 1236 1 12316 3421 1 3480 3697 5 14251 5758 18 14400 508 1 15834 128 1 14990 1979 2 4156 455 1 18968 199 1 16647 5531 1 10692 916 2 1904 2555 1 10498 1571 1 13829 502 2 19671 514 2 19138 1234 1 13090 7850 1 5954 219 1 10320 4389 6 14826 3220 1 15364 6044 2 7132 7761 18 14301 1190 1 1635 6446 2 11502 2268 1 13096 1908 10 3227 1241 1 15208 7210 1 14493 2646 1 13152 527 1 11078 1692 1 12283 532 2 11072 1703 3 15587 204 1 17676 207 2 9555 2010 1 7967 1278 1 5993 1146 3 4606 4096 2 10630 1235 1 7817 2580 1 16727 233 14 13674 2588 1 7188 1374 1 7805 1743 1 2282 1685 1 9440 100 1 9854 1784 2 14001 7512 3 1551 3074 3 4344 7769 1 19390 5051 2 322 215 4 2726 5418 1 17142 534 2 13121 2508 1 25 1509 4 3467 7980 2 7884 23 10 13633 4325 1 16849 6150 2 15895 2559 2 15729 514 1 6603 2789 1 11155 6207 9 2758 532 3 18344 2683 1 12142 3789 1 2135 1658 1 19515 937 1 10694 221 2 5724 2488 1 17350 1357 9 16914 5420 1 4068 411 1 16016 1128 1 12257 196 10 18237 233 3 20137 4366 2 14414 7754 2 13328 4038 4 10730 1761 5 4183 3400 1 127 670 1 4843 808 1 10117 3851 1 5615 703 1 85 2836 10 6647 1362 1 9594 8141 12 3818 4183 1 11585 1752 16 15143 6342 5 19223 1770 2 40 2074 1 15542 2495 1 14838 1663 2 536 6713 1 1187 1825 7 19840 4811 3 4044 6670 5 10340 6343 1 16536 4105 1 8082 839 1 15922 5206 1 10396 667 3 8211 1743 1 8362 587 1 6428 2013 1 4683 7397 2 576 1244 2 16950 3239 1 14059 2508 1 16584 2930 2 15342 2571 9 7769 893 2 10422 5879 7 143 6598 1 8330 1104 1 886 1243 5 1067 1203 1 9527 200 14 4606 197 1 19092 1090 5 16006 5673 1 12281 7250 3 10245 5276 17 17518 1241 1 14663 5418 1 8341 4390 1 7645 5758 2 572 7811 1 4056 3151 1 19666 2338 3 13925 6031 1 11491 1721 1 4195 1819 1 9189 4591 1 17015 194 2 18447 220 6 4384 3371 2 6749 3351 2 19990 222 7 19272 6696 1 19331 5018 9 5454 3109 44 5837 1140 1 6183 1776 5 18887 3693 1 113 5044 1 15181 3172 1 6570 4394 4 2140 169 1 6929 1379 3 7000 7840 2 17772 525 2 5601 4103 3 2986 5607 1 4410 199 1 12915 1416 1 6940 2982 1 13640 1703 3 14048 497 1 18936 2880 5 7065 621 1 1086 7719 1 12412 570 1 14599 812 1 13239 6334 3 9946 3012 1 12818 219 1 16825 5066 1 12613 207 32 1238 1244 17 3833 1417 6 13024 3170 5 4805 6897 2 15372 221 1 8294 2935 2 1175 6591 1 15423 220 21 7557 1763 2 124 5466 1 3807 6239 1 3504 5719 1 992 471 1 4556 1063 3 11283 229 6 11283 4811 1 13 348 1 5602 4258 1 17490 1734 1 121 1396 1 16914 1454 6 17983 1453 1 14305 566 1 14156 8142 1 130 5876 1 6164 4903 1 8704 1941 1 12938 5479 1 17228 1727 7 13865 198 4 12829 2542 4 10374 3933 1 4678 3511 1 16806 229 2 9051 7719 5 9000 2995 1 16308 7883 1 1912 6139 3 2194 893 3 5208 6252 12 17404 5490 3 15230 197 2 108 4917 1 1040 4369 1 10610 1241 1 135 2228 2 14686 365 2 6824 765 1 20076 2138 2 1616 7411 3 1173 930 1 2886 767 1 143 6646 2 5557 4508 2 16776 489 1 1935 3811 1 12457 1730 1 3200 7240 4 9957 5054 1 19293 1743 2 8864 11 2 9486 5036 1 6929 225 2 12124 1991 1 2758 1275 7 4444 6268 1 15205 779 3 16141 1990 14 3123 3233 5 3574 7319 1 8330 1261 20 15507 3184 2 6673 3262 1 17850 2729 1 19242 524 1 18890 5018 1 3147 3898 1 20191 911 2 1520 5757 1 17078 6150 1 11083 2730 1 13 737 5 8732 4615 2 15192 780 1 10360 4963 1 2674 299 1 9195 6640 1 4042 3021 1 12019 385 1 8562 1237 13 8519 2353 15 15782 7222 4 3570 1739 1 413 6414 1 1697 222 1 14911 6552 2 18362 3408 5 16643 5486 5 8209 7167 2 15648 7513 1 4159 7266 1 10227 508 1 11338 47 3 19282 2813 1 6178 6080 1 6325 1740 7 4791 7423 1 11919 1440 1 14908 1706 1 1908 3669 1 1958 501 1 5785 244 1 18968 3198 2 16548 828 1 10879 1246 10 9868 2006 1 4055 46 10 4961 6355 4 7690 1827 2 9657 578 1 10580 2208 1 19870 426 1 18465 197 4 18072 1755 1 8860 2409 1 15996 1819 5 9424 1616 1 6254 995 1 449 1769 1 15350 2480 1 17463 5497 1 12837 4076 1 9865 4245 1 11826 5257 1 11978 6549 1 6802 215 2 8703 3629 1 14577 3393 1 10580 3987 1 18206 3180 1 4985 5420 1 4505 2993 12 11482 7958 2 5566 7101 1 13743 236 1 14053 5362 5 13731 4600 6 7653 2379 1 9952 5451 1 5257 203 1 19047 803 8 12051 910 1 13205 1932 2 9451 2971 1 1839 8043 2 6724 557 2 18389 4301 1 10509 203 1 17581 1748 1 16645 1395 1 18080 785 1 12740 6440 5 15133 5018 5 5163 5808 1 3106 1751 2 4498 6577 1 15016 4245 2 12177 8195 1 5522 5532 4 405 221 3 14474 8033 1 1002 303 2 10111 3569 1 15230 1727 10 12413 1195 2 10792 1728 2 12984 520 1 1843 342 1 8837 2633 1 2425 5128 1 17910 1548 2 6953 4716 1 6556 4716 1 5630 7249 1 17376 411 1 16586 1752 1 4156 370 1 12275 4459 1 17978 4123 1 13586 3228 7 1009 5332 2 11416 7495 8 4092 491 1 15940 3796 1 3694 201 1 15856 2062 3 4143 207 1 4425 36 2 7515 40 1 19102 2589 1 18876 5317 2 11289 4992 1 14046 5453 1 15001 8013 1 3683 6680 2 1825 6584 1 15146 206 2 8573 6683 21 11672 925 1 13825 1727 1 6835 3842 1 7853 1253 1 8431 1023 10 11968 2409 1 11525 1474 1 3008 3558 1 16974 3212 30 10948 2352 1 14758 458 1 55 2656 1 7870 3216 3 14164 1724 1 4734 6557 1 3406 6627 1 501 6801 1 6987 3020 1 13994 1110 1 1246 1244 2 19662 1734 1 1636 2702 1 13000 3351 7 1143 5419 1 15693 497 1 1889 4024 1 8886 5730 1 6305 1695 2 15314 128 1 4222 1184 1 17808 2571 2 2923 4779 2 13732 8192 1 109 4989 1 14051 4792 2 17062 5313 1 18821 7045 4 5601 1818 21 887 2248 1 9980 2040 1 16259 1275 2 16091 1960 1 2542 235 2 20256 757 1 693 6213 1 10847 2915 1 14951 1489 2 18912 1363 1 14768 962 1 42 2198 6 46 501 1 6844 839 1 17481 207 1 13574 3071 1 373 76 5 7951 7847 1 5675 2333 3 14308 196 8 6848 498 13 10746 3146 12 4382 1146 1 13480 2925 2 14289 3834 6 15884 757 5 9180 1245 3 6152 398 3 10911 767 16 9432 2827 1 859 1446 2 7823 668 1 4482 211 1 12039 3197 8 15001 1531 19 13966 274 12 8299 4657 1 460 215 1 6381 596 1 4163 3474 1 18431 5999 1 17003 4304 23 10629 206 2 17899 7818 1 16063 5531 1 7363 1986 1 14108 6933 2 1801 482 1 13329 1734 3 12985 1703 3 12883 1154 2 647 1363 1 4584 1692 1 18393 1244 7 1499 1595 5 12715 1819 1 13358 1469 2 17652 1395 1 879 6150 1 6781 4379 7 17261 2815 1 9572 6234 1 15289 2783 1 10900 219 5 11709 214 12 13343 8197 1 14377 6621 1 16135 7222 1 17988 6159 1 6853 5243 1 17088 1666 2 14010 11 1 15211 201 6 17061 4602 1 5817 203 22 9210 883 5 15844 5001 1 13717 6564 1 12737 518 3 18149 1251 1 19520 1015 1 17946 6059 1 12892 3913 2 11388 7221 2 17015 534 1 14108 220 1 18681 7029 1 2885 1819 1 3931 2129 4 3776 5138 1 18667 4245 1 6255 1910 2 17682 7976 1 869 540 1 850 1245 10 10341 532 1 7312 520 1 12361 263 2 15118 5255 1 17 1173 1 19030 6480 11 85 500 5 16627 7624 2 17165 3516 6 4117 5738 1 4371 204 1 7564 214 3 3484 2428 9 17436 550 2 18754 943 1 114 5134 1 5323 2260 1 13706 2356 3 1118 514 1 12079 1184 1 13097 1721 2 10692 713 1 5258 2639 1 17957 779 1 20154 7989 3 4305 5518 1 19874 867 5 18747 505 2 12723 2260 1 15372 1784 1 8649 520 7 3761 4156 1 18211 2513 1 5060 6248 1 5381 184 1 12118 4293 5 3390 2403 1 12501 1717 1 12172 2691 1 18130 219 1 2721 834 6 6783 1909 13 17399 7474 2 4898 1499 2 2321 6242 1 3181 1149 1 7246 3155 3 5424 3949 2 6228 893 1 5163 5858 2 3817 6341 4 17198 4333 2 18116 320 1 14285 190 7 242 1234 2 3471 5674 3 10442 4877 1 11052 2012 1 7780 833 1 6269 4320 6 9606 3653 1 19776 891 1 15159 2913 4 4970 578 1 8012 173 2 126 5665 2 4943 1819 1 18690 173 1 9219 7997 9 15229 2109 2 9566 666 1 13635 3011 1 19588 1722 1 10948 6520 1 1645 244 1 18607 2021 1 4195 1768 1 14049 6231 4 552 1745 5 10015 867 1 105 4700 3 20248 6607 1 5775 3911 1 17574 1249 1 17865 304 1 2412 2626 3 3491 1241 2 9737 1249 1 6568 4411 1 4222 7411 1 5048 3685 1 19967 2881 1 12816 2110 1 115 5194 2 8749 5526 1 6509 3610 4 4131 8203 4 11597 4276 1 15015 7840 1 10793 1877 5 14770 5018 10 10948 2401 1 15986 223 1 10686 2344 1 8229 207 1 13985 35 1 14165 200 5 153 6893 6 12328 5249 1 15796 1757 1 19026 2173 1 17753 3725 2 8184 6677 1 3651 523 2 15269 1756 6 6995 2534 1 5773 5935 1 6325 2103 3 11444 1383 2 809 126 5 5478 1819 10 6982 3061 1 5257 493 1 1711 5135 1 19766 2356 1 10766 5336 1 20005 6442 2 17403 1450 2 11755 5385 3 1717 6197 1 1495 6288 1 16726 5412 1 15025 1235 1 1278 6727 1 1174 203 1 9308 3275 1 8872 2256 8 6657 690 1 12626 5325 1 16449 6500 2 2284 474 1 3694 3276 2 787 2662 1 3504 623 1 12850 6334 7 3694 2356 2 16479 1245 3 7149 4933 10 13579 2357 1 19507 1537 4 15214 766 1 5624 4333 1 18140 2488 5 7422 4105 1 17220 8145 15 11974 4090 1 18637 220 6 10693 2561 1 10015 5987 1 6885 1190 1 11276 3427 2 5742 1150 1 3871 5905 1 6966 5531 1 17756 6132 1 17331 2675 2 20211 207 5 17809 6259 1 715 6358 10 18581 1539 1 19930 2488 2 19980 13 1 2784 7431 2 18053 8184 1 11705 2329 1 9865 502 10 2886 3358 1 8334 3225 1 9344 867 20 17132 506 1 13403 4992 5 14778 219 6 19746 2240 1 787 8037 1 8317 5408 4 4880 3710 1 5961 201 3 228 874 1 7768 2789 1 15159 8068 1 2733 4906 1 17298 3911 12 7948 219 1 7020 200 20 18768 203 2 198 7470 1 8965 1062 1 17846 6238 2 20114 4008 1 16674 1707 1 3619 3907 10 19326 1729 1 16926 1282 1 16278 2209 1 6855 688 1 13 724 1 19428 7612 2 19776 1967 8 17585 1635 1 7986 1646 1 3130 1745 1 13681 1768 1 19346 6374 2 6837 1756 1 10803 1737 2 19857 1277 1 17640 7271 3 12704 6243 6 15112 554 1 2008 7824 1 10584 541 2 14924 482 1 1927 1781 2 18159 1747 1 8134 3540 1 8108 5320 2 592 379 1 15318 244 1 6895 3818 1 7470 3466 1 18801 416 1 5243 201 9 3057 6027 1 2031 13 1 4267 3337 1 15750 630 1 19238 5018 20 10490 607 1 14465 1717 1 9587 1324 1 6420 3741 5 17173 3856 1 19735 753 1 19380 3573 1 13909 5415 1 4030 4718 5 11786 880 3 13044 207 1 12685 4498 2 2284 5294 1 333 5402 1 13624 3304 3 1361 3753 6 15832 23 1 1756 7670 1 2748 861 1 19005 6339 1 11238 447 1 19319 7606 4 19404 6649 4 3000 6585 2 6963 7238 2 17753 792 1 13831 207 1 7327 1399 1 7256 1323 3 13070 2004 1 5604 7586 2 5005 1758 10 15322 1788 1 13711 671 2 4273 7576 1 9989 491 1 10676 6943 3 7151 2464 1 15229 5243 2 15702 4369 1 18581 2730 1 3521 1769 3 16151 3585 1 3840 200 1 9110 2636 2 1206 6988 2 10565 148 2 6058 5294 1 11622 917 1 14131 4929 9 12346 3155 1 11349 910 3 10297 5550 1 7838 508 1 16406 2295 1 6168 6946 1 3123 29 9 4941 3605 1 12572 219 6 18593 4395 3 5977 1738 1 17507 3900 1 16833 4314 2 13436 2058 1 10057 563 2 3940 4681 2 6244 3685 1 17894 545 6 454 1691 1 19822 3894 1 1361 3380 1 158 7215 1 14906 867 3 6510 3769 3 13148 5428 1 16223 1772 2 9154 7129 7 5142 7187 18 9978 2864 1 15343 1718 1 5561 3086 10 1465 2146 3 19342 1450 2 4879 3634 1 9404 1686 5 18140 1748 9 6867 814 1 3624 8141 1 13983 1771 1 445 1819 4 18875 5394 1 3024 3999 1 7987 2653 1 1453 788 1 11562 7138 3 16889 6286 12 10361 505 1 478 2665 3 1625 670 1 15025 7005 6 10371 518 1 3407 1930 1 12777 712 1 17652 215 4 19056 411 1 2156 4156 4 18848 8150 1 15932 4727 1 2696 3275 2 11502 23 1 5199 1249 1 12224 201 2 7750 4623 7 3004 3969 1 314 2698 1 3189 8221 1 19607 1193 1 18386 684 2 13427 634 1 5523 6414 1 12134 2869 1 15339 1244 1 317 911 1 18980 910 2 8324 1729 26 13119 1741 1 15429 1184 2 14682 2675 2 7566 1734 5 12894 203 1 12128 4077 1 16700 852 1 7769 8037 1 9604 1251 3 873 367 1 8860 3378 2 15952 2746 1 2303 3883 1 19246 2867 1 9395 306 2 17328 6217 1 8294 6892 4 10828 1770 1 16684 4404 1 6164 2953 1 10583 207 1 148 440 9 18404 4098 1 11353 6883 1 11388 4963 11 2980 5817 1 12541 4635 1 19794 524 1 18902 2367 1 5023 5222 1 14754 541 17 5841 3748 3 18413 8033 1 745 7618 1 18968 6349 1 18016 196 1 17512 6031 2 12 516 8 135 225 1 2345 5420 14 3427 4403 4 19324 2675 1 4688 590 1 16283 995 2 18320 905 7 17324 770 1 18623 1721 1 7219 2720 1 18706 498 1 16780 200 5 15570 7719 1 7011 1321 4 7980 222 1 7165 6543 1 17615 2097 3 19774 5120 1 8528 1395 2 3021 1635 1 2120 1909 2 11333 1200 2 15267 7834 1 1141 1995 1 13071 720 1 8768 2729 1 11533 600 1 15471 1277 1 15471 925 1 5246 6484 5 13302 4623 1 3384 689 3 6166 1982 1 9686 5018 1 10531 7216 1 5643 3216 3 12268 554 1 13624 197 1 20116 6150 9 4868 196 49 18476 3799 1 11265 2021 1 5435 766 4 1207 1881 1 314 224 2 19634 2030 1 10488 225 1 15144 5256 8 19137 5897 3 1171 221 4 3268 1450 1 8969 3511 4 10549 1234 4 19655 960 1 10862 867 4 7597 2131 1 13825 23 2 7147 132 4 7682 713 1 15634 1321 1 7941 7815 1 7734 1789 1 11165 3742 1 5022 4672 1 9791 2355 2 2631 206 1 16447 222 10 343 6716 1 2734 411 5 7065 479 1 14441 5325 10 19241 5771 1 11106 7829 1 1705 2981 2 3806 3708 9 20275 3112 1 18064 227 1 16548 5272 1 7490 2920 1 802 4435 1 4498 62 11 17616 1342 2 19383 1650 5 4163 6554 1 2796 201 5 13797 6139 1 6661 1408 18 6014 200 7 15897 535 1 9037 8141 1 1466 197 1 18992 912 2 7179 548 1 16476 1564 3 3439 3338 1 1314 4314 1 270 1751 1 161 224 4 14745 447 1 6161 2331 3 8137 2881 3 14218 510 1 1551 2056 1 15778 1247 22 18992 130 2 18337 201 1 5804 2448 1 17761 3476 1 12822 46 1 14804 1698 1 6421 5264 1 1123 931 1 3925 1698 2 11196 2698 2 869 1729 9 13993 7901 5 7354 4607 1 5216 3510 1 17404 3921 1 10452 935 1 11637 1531 5 18546 6167 2 1345 6541 6 13701 3511 1 7358 7611 1 1870 3751 1 5036 7470 1 11 395 1 11094 910 1 14089 253 1 2492 8047 1 11543 219 1 14006 156 1 10783 2964 1 5073 1040 1 9250 747 1 17207 186 1 1454 5019 3 5251 633 1 19337 1732 1 9577 1748 4 14900 508 1 2420 2970 9 16190 203 7 9438 910 9 5701 3417 3 16800 867 1 14504 5018 19 10438 3760 7 10119 4314 1 19939 1677 1 787 1244 7 15879 1248 1 17487 5253 1 2726 629 2 6052 1363 1 2962 240 3 2922 5490 1 5148 497 4 17066 2641 1 10591 6897 1 9572 5285 5 15103 274 11 13803 514 1 5972 5520 1 7346 5011 1 7725 3283 1 13445 1940 4 5451 867 2 7440 232 1 11352 6793 1 14533 1782 1 18045 200 1 19872 4998 1 2285 2605 1 12895 7128 4 17371 1819 1 18672 3239 1 18932 1629 1 2674 2001 2 7849 1720 2 7168 206 3 11877 6414 6 4819 2907 1 12312 7406 26 14672 2993 4 3039 7809 6 13638 7104 1 12053 3477 3 9279 184 1 3491 235 1 2762 508 2 3204 413 1 7235 184 19 3826 2893 1 11898 335 1 4268 6630 7 16482 524 2 4742 23 1 2826 4411 1 4472 156 1 7095 6197 1 17166 2860 1 6001 223 7 9725 651 1 1389 4256 2 1005 4451 5 8311 3916 1 1154 6201 1 14087 1756 1 18478 427 2 17228 3512 2 7184 1146 1 10272 2354 1 12399 233 1 1322 519 1 10856 6723 1 7966 7651 1 14612 1752 1 15115 1257 3 3120 4014 2 18666 1374 1 3581 2602 1 9511 1093 1 19341 7848 1 5356 2501 1 14350 2071 3 598 167 1 4885 282 1 6907 696 2 5023 5398 2 2520 878 2 4267 233 1 3376 1781 1 1878 7830 2 19317 1275 1 7463 433 1 8269 783 2 4051 4948 1 8533 5894 3 3827 1395 1 5770 505 2 6617 1946 1 9525 215 1 7360 1784 1 14906 225 1 1024 5376 3 16176 1686 6 19937 6361 5 7392 5255 1 7331 7826 1 6261 4511 1 13851 8145 2 17756 3914 5 4859 505 2 16916 2877 1 17859 1164 1 3337 3373 2 6437 5490 1 11615 2552 1 10245 2633 1 11793 8083 1 1672 219 6 13351 502 3 6133 341 1 10035 517 2 11072 452 2 13134 2591 1 11115 3809 1 12669 74 2 15885 4763 1 18797 207 12 18284 1698 2 711 367 1 3189 4314 5 16921 1951 1 16471 214 2 13743 5413 2 2152 3980 2 5773 409 4 13266 4649 1 4072 2087 14 3853 1478 4 18669 1827 8 16859 3669 4 12252 1018 1 19711 215 3 17983 1726 1 16603 1482 1 122 5351 1 745 7619 1 18293 7701 1 12474 952 1 9875 520 6 17953 1986 7 121 647 1 1147 219 1 3397 608 1 8061 184 2 17084 1687 1 17662 1755 2 3826 933 1 3516 1241 14 19504 201 21 11091 7601 1 16570 1239 1 14599 728 3 3923 1037 30 8057 5698 6 113 5088 1 17415 3071 2 13015 4435 3 16272 1731 3 4030 688 1 19713 6225 3 9573 6897 2 2666 5402 1 8965 1238 1 1040 1721 1 4490 1760 1 664 4988 1 9998 4378 1 7817 5435 2 19486 640 1 16321 1 3 4673 7734 1 5120 1502 5 16132 557 1 7295 5398 1 13778 205 1 6668 6343 4 124 5426 1 4106 94 2 3463 23 1 13699 2480 1 12727 4041 5 17560 5314 1 13798 5018 51 8799 5414 1 1422 1611 1 17324 683 2 11968 4026 1 4886 1996 2 27 1627 5 15078 675 1 10447 2878 4 14762 184 1 15384 1747 5 15227 3916 1 6917 1991 1 30 1692 1 2526 843 2 580 1661 3 14233 6047 3 3822 1660 1 17519 6880 1 8343 225 3 6503 3016 2 9223 621 1 16303 500 1 14951 5837 2 10102 1752 6 56 200 1 482 1730 3 12541 232 1 4867 1734 1 6641 2488 1 16493 3358 2 12503 6355 1 13928 3256 3 1238 197 5 169 2675 3 13714 4281 1 10245 3247 16 16827 8192 1 2035 219 5 4931 4979 1 7725 2404 1 11 365 1 16417 4589 11 14087 3233 1 6492 3167 1 3812 1537 1 3240 3511 2 7432 6132 3 11094 3220 5 13551 3685 1 5817 382 3 8191 412 1 3760 524 1 17338 8083 1 16205 1252 2 9457 3367 1 9358 1363 1 4987 574 1 8989 5264 2 2640 460 2 8514 1146 5 12913 759 8 1591 5670 6 2413 1774 1 9024 1685 1 11860 215 1 15314 2908 1 5794 534 2 5688 5315 1 16016 854 1 17182 2885 1 15858 4935 2 9406 510 2 15192 838 1 7080 1872 1 9947 5312 1 9758 6123 2 4236 1717 1 10692 791 1 7994 616 1 9122 6341 7 42 2190 1 10961 197 14 19448 4869 1 18161 232 1 1551 4144 1 15682 634 4 12170 8174 1 3655 3669 2 12903 15 7 17376 1721 2 15726 187 3 16375 219 1 7769 6924 1 17168 8167 1 4688 850 4 86 3952 1 14151 696 3 2091 568 1 18069 7461 1 16493 5317 1 6887 3337 3 4267 1991 1 12406 203 7 17290 3198 1 15804 3909 5 7672 5370 1 16801 5082 1 16042 3526 2 10451 3327 1 7516 6152 22 10891 7350 1 16982 7869 3 17933 3556 1 6090 7844 1 19957 550 5 9501 8175 2 20191 7266 5 7241 1332 12 17089 7521 1 19494 889 1 10856 849 1 3085 360 1 11478 232 4 13117 6885 1 5049 6041 1 19663 3590 3 15300 1572 4 14375 5018 1 13172 46 1 3882 512 1 6561 201 4 6059 5804 1 18382 5252 2 9639 336 3 11024 3884 1 1533 23 1 7385 200 1 4568 3364 1 3493 4188 3 4416 1761 1 7144 1707 5 3130 6512 2 18457 23 4 13182 1814 1 1725 1482 1 1390 3454 6 6873 6150 5 968 1761 7 12784 5440 1 15975 3910 1 5721 2549 1 8391 5336 1 11411 223 2 11235 2636 1 13508 2980 1 18573 3474 1 15044 336 1 6001 2675 11 2146 5243 7 7896 3916 5 18850 7313 3 14494 4176 5 2037 1717 4 13909 5477 1 9464 3589 2 12817 4246 1 18226 308 1 8094 5285 4 8835 2648 1 13750 6340 1 1 72 1 18012 2653 1 7861 1341 5 56 2680 1 9315 2559 11 11366 1234 5 10752 3138 3 14115 809 2 6547 867 5 16481 6128 1 11772 1251 1 10816 3255 10 10852 927 5 17559 1761 1 4660 512 1 11346 545 1 13864 7425 2 10038 207 1 939 1732 1 18689 2109 2 4520 512 1 452 7522 2 3428 5565 1 2140 4870 1 11868 2363 1 18790 3585 3 2935 6170 5 18884 7091 1 17998 7466 1 7943 1338 3 12371 2256 1 7754 1454 1 1389 845 2 11559 3175 1 14509 186 4 745 184 3 3474 3109 1 14790 7234 1 1797 7852 1 7154 2897 1 5662 1781 3 5172 2542 2 10119 4514 2 8716 3263 6 17328 2386 5 3505 87 1 6588 7583 4 13607 6606 3 6219 2649 3 100 4483 1 18946 5829 1 16741 3370 1 12865 7580 1 12318 4269 1 18128 3203 3 10340 6167 2 4023 4549 3 18066 8084 2 1389 7719 1 2699 6080 2 2665 1150 1 725 1702 1 18287 3644 1 5738 5325 1 16955 1756 1 18474 601 3 19117 2560 1 42 2217 2 4716 1737 1 8416 1781 1 10852 70 2 14115 201 1 11614 186 1 4936 6309 1 11943 431 2 3112 1582 13 15318 524 17 12818 1714 1 1653 4960 1 10554 854 1 17081 5940 1 4137 313 1 17850 1244 1 14015 4029 5 15599 6561 1 11314 2127 1 4491 23 1 2935 6106 1 17038 200 10 19319 219 1 5873 6029 1 18587 1825 2 18876 4540 1 5661 667 17 11781 2424 2 11450 2151 1 65 3162 2 1577 5486 1 19751 215 6 7577 7528 2 17959 5315 1 5588 3625 1 8768 5060 1 1732 1359 1 10498 1643 1 4298 6108 1 8224 3426 1 20029 201 1 15251 4979 1 12424 1995 1 784 3337 2 8327 4266 1 79 3557 1 3097 73 1 11274 2072 23 520 200 7 10431 411 2 17120 1715 1 7966 6669 3 10391 3029 44 3397 785 1 18344 184 1 1554 1453 1 13026 6552 2 836 1893 4 7914 2080 3 10575 5809 1 7065 7569 1 16754 7410 1 8832 634 1 456 1825 5 13148 874 1 415 1248 13 6694 3921 3 991 540 1 4573 1825 5 20091 5234 1 17965 4623 1 19057 1731 3 19730 1742 2 2885 1241 5 2637 3494 4 13115 1965 1 14522 1334 1 6796 2021 1 5252 5379 1 8884 2626 1 4604 519 1 950 2635 1 5663 7670 1 15860 2139 1 12267 6510 1 8082 377 1 15419 8183 1 15800 3573 2 16347 1729 6 16570 5810 1 3031 214 3 11649 1031 1 10176 3084 1 4211 367 1 8330 186 1 3472 1768 2 17938 5023 8 124 5547 1 16984 8238 1 15103 7215 9 5725 5547 1 17911 4317 1 7575 244 1 50 2504 1 300 3917 1 9713 3511 5 5592 883 1 11026 3511 5 15419 2678 1 270 1747 1 6058 792 10 9275 734 1 9364 4616 1 7910 1260 2 5470 6197 2 62 2997 2 6515 1357 1 4963 7767 2 16500 2352 1 6001 1247 8 6764 244 1 4804 1243 1 1695 874 1 396 6150 1 19872 1369 1 4933 3710 3 7417 4792 1 13584 524 2 5245 6683 5 6202 2478 1 1612 173 1 8860 625 1 14918 5018 1 233 1146 27 12685 4317 1 41 535 5 4214 2150 1 16417 1036 1 12670 3016 3 11029 1752 8 12821 525 1 10766 1328 3 8476 1464 1 12818 5138 1 18739 4720 1 6989 790 1 18338 719 1 6753 23 1 8957 6551 2 15819 6523 3 696 1241 1 9670 2369 1 484 3797 1 3750 7101 1 13158 1973 6 6866 1724 16 1085 7018 1 18814 4014 1 20170 7599 1 7532 864 4 9374 221 4 13674 5851 7 8588 998 1 6371 284 2 13995 4773 3 6278 365 1 17681 3991 1 413 1267 2 12389 3909 5 12702 6633 1 14362 5104 1 6769 2107 3 14212 404 1 17223 3633 1 11933 4009 1 3397 814 1 5767 656 1 213 506 3 19401 7471 3 601 336 1 3462 2680 1 18526 1748 4 16167 3203 5 20120 3284 1 16825 2552 7 14376 1319 1 5838 410 1 3290 95 2 9891 723 2 12812 3113 1 8710 6532 1 4772 1042 3 7780 4075 1 3799 219 1 11702 2005 1 7045 6675 4 8806 7407 5 164 7512 1 11086 1146 1 10078 1023 2 4631 173 3 14778 411 2 10497 520 1 3835 3104 1 904 429 1 222 455 2 1416 221 15 8260 2584 1 19605 220 1 13173 1734 1 7455 453 1 10218 2018 2 7136 1241 3 8946 564 1 7769 5485 1 11272 8020 2 9086 220 1 713 1946 1 12919 6535 1 11637 5268 1 6105 3704 1 3826 651 1 8798 244 1 17589 2789 1 4189 3071 1 16640 2337 1 2629 2353 1 9433 6295 1 12496 2963 1 3668 2044 1 1479 1489 1 10176 2138 1 15795 220 11 7264 4320 2 12592 1729 1 15300 215 1 15409 5425 1 18500 214 1 8361 508 7 11799 4491 5 385 2699 2 7994 561 3 11882 3169 1 13403 5225 2 14883 8171 7 4277 1819 1 18300 292 5 12244 5911 2 15184 6633 9 13755 232 1 6228 310 1 10133 1374 4 379 5532 1 1730 4877 1 17960 498 1 15276 3911 5 15519 2581 1 15339 1762 1 10105 252 1 8255 2969 1 5624 2848 2 15880 3062 8 4464 2137 3 16388 1589 1 9446 5256 2 18014 3558 1 4930 221 1 1252 718 1 19019 4797 2 11264 1470 1 8061 1363 1 4815 1474 5 14197 196 7 19047 3540 5 6157 506 3 19787 658 2 3236 2877 1 507 1716 2 4385 6226 1 3146 3234 1 6608 6629 2 15501 5648 3 13939 165 7 7194 2179 1 6390 201 46 16916 2721 3 8952 7701 1 17732 186 1 4833 1359 4 19705 3693 4 9972 5292 1 8308 1819 1 8941 1764 1 13290 5715 5 393 5312 1 10498 1308 1 580 6213 4 19272 7701 3 8912 8203 1 5812 2632 14 6058 4392 1 17897 7235 2 3455 5268 1 16578 3732 2 16267 203 7 17283 4618 1 19195 3512 7 15360 3903 1 4023 1348 2 10 342 1 5863 4579 1 7435 173 1 11987 7672 1 16869 23 1 2803 460 2 1007 4207 1 7557 2325 1 11738 3511 3 15107 5437 1 7853 3356 1 18350 4715 1 16438 1975 1 18061 5407 3 1900 2661 1 11938 5054 1 18730 5182 1 8517 647 7 12104 449 1 5590 429 1 2678 2520 1 197 5346 2 14301 7995 5 16704 128 13 13349 1249 11 18492 1737 1 11928 1717 4 3358 5468 5 6527 899 1 14143 7456 1 20222 2578 1 13952 13 1 16594 768 1 8322 3423 4 17716 395 1 5577 6635 2 6907 937 1 2172 7229 1 6942 23 4 9968 1764 2 10821 937 1 8735 1105 1 15693 6144 2 14119 2079 2 11336 5402 2 9704 5391 4 20202 1687 19 18762 184 1 63 3036 1 4315 221 1 5716 200 55 16784 1751 1 5078 4435 1 2066 8139 7 13919 7705 9 1496 8190 1 10238 4458 1 18836 957 4 109 302 1 10855 6278 11 59 225 1 11935 720 1 19113 203 1 4234 5302 1 14688 8178 4 16828 871 1 15520 1249 7 14400 1234 1 3936 223 7 2133 1664 2 15957 5397 5 19272 7029 2 697 1235 3 14233 6278 23 1322 502 2 18411 4077 1 18508 3239 1 10272 1726 1 2723 308 1 7433 2541 1 3603 203 7 7756 5475 1 16820 1824 1 10661 7450 2 12937 73 1 17652 6502 6 4689 528 5 9965 5325 1 834 3175 2 19995 6349 1 74 3476 3 3681 5517 3 13964 508 5 8111 2107 2 10931 1817 2 10053 8041 1 5356 2489 1 12550 5559 2 11769 1979 1 15202 765 2 7011 4825 5 16388 1234 2 4397 5951 4 8211 84 1 11521 1277 1 1784 200 1 19601 826 1 543 1742 1 5644 1275 1 8614 1739 1 15076 5009 1 5821 931 1 13244 316 9 17328 5037 1 3581 4207 1 17726 870 1 4546 1756 1 1349 1736 1 8347 210 2 7991 3606 4 5585 223 1 13735 1239 1 19068 7599 6 5449 874 1 11947 2581 3 15091 2173 1 9178 1775 2 13829 1721 3 18893 1145 1 16789 223 4 16965 3825 1 1355 4945 2 10899 1244 5 9451 1374 1 17045 1731 2 17578 702 1 2189 2664 1 524 6645 1 16505 1724 8 954 1777 1 331 2675 6 14151 934 1 11598 2000 1 7893 5105 5 13484 3955 1 12740 1779 17 9743 3603 1 1910 325 2 1488 790 1 10839 7342 2 13526 6687 1 26 1555 1 7116 1342 1 12652 3233 5 15314 5527 1 5872 417 2 2570 7108 1 1465 912 1 3337 1017 1 5233 4077 1 952 8167 7 6332 4013 1 18534 4459 1 151 6807 1 2191 1825 52 5601 1207 1 16523 1687 1 17248 1474 11 349 943 2 10584 225 1 14939 23 4 8622 3024 1 12663 6705 6 15364 4495 1 8508 252 1 10446 6406 2 1760 200 1 17494 1727 3 16977 2829 1 16590 2513 2 3988 3558 1 3607 2129 2 5297 4944 1 5478 3511 2 18880 1244 2 5647 1713 1 3306 3367 1 8540 3774 1 8325 3999 1 18508 1332 1 8877 1775 1 15220 1717 2 6085 4179 1 8532 520 2 17384 341 3 74 3456 3 2359 6320 1 5132 200 2 1088 7808 1 10455 367 1 6327 1738 1 4384 215 1 14667 23 3 3935 223 1 7995 1755 1 17683 7295 6 17909 3619 1 12536 3065 1 5993 1275 4 20138 3222 1 11928 1739 1 2003 1309 1 14698 6512 2 17134 1482 1 6995 470 1 18175 2656 1 16092 484 1 1466 2693 3 6712 911 1 20233 407 1 8082 695 1 8061 514 3 20090 2089 2 2204 1101 3 13908 7809 1 13590 870 2 16463 124 1 12450 6164 1 14182 23 1 8915 1756 1 10865 7740 3 4056 2792 3 12006 1930 1 12208 7937 1 16327 7474 1 3663 428 1 3858 303 1 3139 5018 6 5675 1761 1 20039 665 5 408 6105 1 4057 912 1 11030 6106 1 11769 6807 2 6997 6558 1 19364 500 1 19982 7322 2 12213 2427 2 8692 505 1 19298 1720 3 755 534 1 3768 6481 2 8982 4290 1 13488 7614 1 15376 207 2 456 196 3 3532 5757 2 4586 1999 1 14778 3327 5 7401 5503 15 8654 2626 3 13187 2132 1 10048 2246 11 16869 4133 3 20007 35 1 1173 244 1 19326 1234 1 9044 3626 1 14788 1150 1 13028 2354 3 17596 1342 1 14694 6744 3 19494 4827 1 18414 520 1 14593 6139 2 8776 1246 7 333 7167 1 4371 3612 1 15495 235 2 19319 5144 1 7241 201 11 17328 3671 1 16354 6286 2 10826 854 2 18025 2792 3 9155 2653 1 16770 171 1 2498 6721 2 18711 905 1 14626 2386 1 17388 989 5 3014 1236 1 13922 3167 1 3205 3060 3 2140 1321 5 3397 3624 2 1705 5735 1 9451 3422 1 13865 864 3 19870 471 1 10693 498 1 14567 3247 1 15397 1752 1 2635 3227 1 7188 1656 1 4716 367 1 73 841 1 19018 7149 8 19655 1732 1 13640 910 3 9545 4320 2 9778 768 1 9527 3427 1 4831 1131 5 4539 1748 1 12369 207 1 263 1707 2 2140 1286 11 20168 6087 1 10069 2609 1 3200 2661 2 14539 71 1 6814 7189 2 409 937 1 15970 7945 1 16926 1166 1 1976 3048 2 7344 7419 1 1229 437 1 15564 1045 1 11156 6174 3 576 3693 1 14602 5877 1 11096 523 7 4437 2534 1 14791 524 45 3189 4386 1 6701 304 1 8237 5379 1 4448 5349 2 2886 822 2 9546 383 1 16100 3021 5 7961 1450 3 8934 292 1 16645 327 1 8051 4022 1 11702 2508 1 19054 1739 1 17485 1331 1 5775 1703 1 14060 219 1 9857 316 1 17474 1072 3 10575 626 1 5851 4306 3 7502 2419 2 16555 3639 1 4013 521 1 17562 545 2 19872 732 11 10630 1772 2 5315 2881 1 8180 1152 1 18014 571 1 7034 308 1 3472 201 2 9432 5700 1 16199 3313 2 6486 4380 3 6514 1184 9 7395 554 1 14034 218 1 8351 4992 1 5514 4614 5 5383 197 2 16778 3556 3 5642 4041 5 7709 219 4 8260 4006 1 4716 1747 1 9593 7322 1 566 5952 2 13909 1253 1 12648 1282 1 14010 6053 19 14951 2626 2 17926 5313 1 9699 2126 2 11346 7220 3 16348 2459 1 9268 696 6 3118 5275 11 19663 7599 1 2852 1772 1 9390 6072 2 3668 3522 1 6749 5719 1 18977 7719 5 18711 1740 1 14695 2878 1 2891 207 2 18304 2057 1 14479 2146 1 16513 1235 1 19137 4029 2 8673 200 38 15211 5413 1 2488 1234 1 15231 3333 1 3865 5292 30 18445 867 2 3801 861 4 12224 184 4 1029 1482 2 15802 2316 1 5419 8137 1 7527 1967 1 9745 7050 1 18939 6053 1 6801 308 9 6622 3903 1 7321 4411 2 16833 8022 1 10 292 2 1462 7603 1 9766 876 1 17099 6101 4 2664 1076 1 6286 8006 8 91 4087 1 7527 4648 6 5173 2141 5 16813 7159 3 7965 223 57 10566 198 1 9694 7751 1 9869 5341 1 14862 6527 1 2374 1282 1 12711 752 1 13267 514 1 10925 1967 23 4670 7189 2 6154 108 1 18115 6457 3 7376 4295 1 19380 1277 1 8163 2169 1 2630 3163 2 6851 573 1 12146 5350 2 14758 1350 1 9300 2652 1 1462 221 1 297 4029 1 10866 1719 1 9566 201 1 9419 1721 1 6336 6726 1 16232 4648 11 17004 4006 1 8394 2795 2 6309 6663 2 19137 8108 7 8458 3511 1 13075 136 28 14125 3227 1 7835 5413 1 11024 100 2 8211 236 1 18320 696 1 19567 3293 1 3597 1775 1 1636 2349 3 12103 4351 1 16238 1342 1 4614 5307 1 11108 2367 2 4265 1745 1 2204 7535 1 427 154 1 8142 1756 2 2197 2419 3 12267 7507 13 10462 2172 1 20114 2424 1 16313 5692 1 5068 5774 1 20202 229 1 15870 7190 1 9649 3895 1 18561 2774 1 3565 2229 1 18734 3945 1 3048 869 1 296 8221 1 12412 837 1 10257 6007 1 13734 1109 1 17246 229 2 14351 8184 1 8056 3494 1 6007 1247 1 3734 8096 1 14985 6185 1 11097 6111 1 1811 220 1 12913 8067 1 4820 6383 1 18272 3430 3 3178 3973 3 19212 2649 5 12995 4369 1 18981 2930 1 3303 2964 2 2151 1535 1 12543 4998 3 16089 214 2 17010 215 5 13165 22 1 5153 219 1 5314 4366 1 14318 1613 2 17788 8072 2 15895 5175 1 7986 1819 1 14037 575 1 143 6642 3 14377 1548 1 7527 1914 1 19854 548 1 13445 3653 1 5582 2361 2 6596 1781 1 17243 874 1 15787 7840 3 11769 7477 1 502 5245 1 1379 3003 1 9259 1236 1 18515 1757 2 6907 5266 1 3469 3228 10 14548 2727 1 18615 1782 10 16184 3741 1 13750 3813 1 15180 5767 1 14162 1105 1 18530 1760 6 6990 2084 1 11933 3062 7 130 682 1 11059 244 1 3548 349 1 13363 1594 2 14078 5995 1 2345 1374 26 18211 5256 1 12140 1783 2 16843 203 1 7599 3754 1 4082 234 1 16114 1235 1 12756 4056 19 4767 4983 2 9539 4006 2 10482 1266 1 13806 846 2 12723 1307 1 2403 153 3 14569 207 1 10091 1502 1 8942 23 1 5734 207 38 8286 638 1 1928 2711 1 7603 1340 1 10200 380 1 14798 409 1 8448 3841 3 17039 460 1 6717 3635 3 16792 7545 1 6473 1747 2 640 3869 1 5213 1249 1 15401 206 1 16860 201 2 16096 1634 1 3309 2522 5 2391 229 3 1905 672 1 8358 2013 5 19725 1761 13 4859 524 4 19158 6341 17 18237 1252 1 4850 5439 3 18462 2407 3 9919 4400 1 1144 1666 1 4914 6139 2 2560 2316 4 12623 1825 1 16083 637 1 767 5672 2 15364 624 1 17850 5625 3 3337 2670 1 14599 790 3 11331 4447 6 16984 8158 1 9793 199 2 18567 500 3 1504 7857 4 12585 444 1 416 5417 8 10303 4333 1 10610 7313 2 10311 689 2 6183 232 6 79 3538 1 70 3291 1 13899 3122 6 337 225 1 7210 4929 22 12441 467 3 14553 805 1 7822 623 1 3238 1776 6 6976 525 1 17637 1287 2 15276 2699 1 8663 4075 1 16452 2969 1 3043 1372 1 15192 864 5 10611 5129 1 9596 3851 6 12438 2708 2 4902 5018 1 209 536 1 15740 74 1 18854 6988 5 7440 1342 1 16792 1399 1 54 2614 2 4234 5320 1 1686 1710 1 2906 173 4 18940 4929 4 17534 5603 1 4279 589 2 6524 229 1 18193 206 3 17258 219 6 1247 5018 80 18637 2889 7 17809 173 3 2058 225 1 3655 23 1 1499 3142 5 15997 3045 3 3168 1997 1 6924 2971 4 12459 2055 1 2834 936 5 5775 1758 2 5906 2413 1 4467 23 6 8447 2373 2 17257 2837 1 1667 316 3 17084 2675 42 13865 1781 1 10948 6283 2 5463 1809 1 19779 654 1 19284 7524 1 10329 1737 1 19855 302 1 15992 7462 1 6337 7142 1 9270 1045 1 15975 1719 1 14162 2172 1 4279 905 3 2458 460 1 3505 1243 3 14128 4240 1 4259 910 1 3872 8096 2 7536 3490 3 19353 7201 1 16130 853 1 20236 4694 2 8025 8093 6 7587 237 1 13347 496 2 12882 4972 5 3825 502 2 8015 6252 2 6892 561 1 4044 2792 15 9339 1357 5 15895 2708 1 8947 244 1 4037 235 1 4498 206 8 8608 500 1 8407 7586 5 13543 2989 1 8087 232 2 6533 1698 1 11057 1973 3 9307 1311 2 24 1457 3 9614 8194 6 11889 4407 1 19160 215 1 14211 2675 3 6367 1256 1 16700 607 1 19320 1112 2 9457 1324 4 18750 4252 1 17014 634 1 18797 1721 1 14194 409 2 17550 1250 1 4793 219 1 10786 7029 1 20268 4006 1 13873 1631 9 12340 7353 1 4313 2343 9 26 1512 4 13896 1499 4 60 23 3 15248 3511 5 6895 1368 1 5196 5062 1 4267 5135 1 6410 2626 3 13697 7414 1 6506 1788 1 7507 1238 1 15992 1184 1 16416 7554 17 5421 1277 1 17171 1199 1 7135 3333 1 6244 723 9 2927 244 2 6829 1245 1 1423 2205 1 3014 1656 1 9283 223 5 11321 1991 23 15657 4060 2 17347 1986 6 2778 4619 1 195 221 3 6012 891 3 9463 6545 1 11471 2898 1 717 519 1 16134 3389 1 4691 1740 1 15948 1395 3 43 2253 5 11019 1450 1 15534 206 2 571 3255 1 11504 23 3 6726 6661 30 11502 4947 2 3165 1484 1 4180 843 1 12519 4511 1 19876 5031 1 9580 1686 1 2003 8203 4 4189 3448 1 286 609 1 18729 5408 1 3134 4303 3 3432 3389 1 16463 7305 2 8530 3083 2 19223 4312 2 15530 184 1 16270 931 1 10338 508 4 11940 1248 1 5428 1242 1 445 1241 1 4870 23 2 17668 3803 1 15651 3109 2 12775 1721 1 11533 5427 1 12399 229 1 7182 718 1 2337 4499 1 8636 6396 1 10593 8200 7 15870 2747 1 7454 1440 1 1389 6446 3 1198 206 4 100 420 1 13358 5036 12 2949 3592 1 13097 36 2 1526 203 5 18752 1345 1 6104 7601 2 14516 370 1 6848 1703 1 4092 235 2 10692 829 3 4384 396 1 337 4967 5 3233 5690 2 12136 7672 1 1666 382 13 15405 823 1 17685 6278 1 15330 219 1 17477 1772 14 127 785 2 11539 5077 2 14296 1296 4 7856 602 1 16848 7098 3 12922 419 1 745 689 1 2274 2626 3 6647 3369 1 12835 1356 1 2199 1754 2 11283 7890 2 158 7223 2 13032 4963 5 15537 660 2 13328 5530 1 9231 7619 1 17810 2271 6 4998 510 1 17932 70 2 11736 735 2 20179 1824 3 12058 2270 3 20039 1825 19 17519 7895 1 10615 2675 5 4539 2343 17 11467 556 3 8391 683 1 19724 751 1 12237 2357 1 14931 2488 2 9231 6599 1 3484 534 5 1973 7535 2 1604 7216 1 16254 3146 2 4868 891 1 16473 1119 5 8407 3233 5 10585 201 1 4256 496 1 14376 1156 26 7121 5420 1 2834 2022 2 5389 1352 1 7109 698 1 3133 6713 1 19537 860 1 104 4672 1 18378 3462 1 5048 3230 1 2368 822 1 11035 203 18 2082 7167 2 16310 768 1 5088 1715 1 2292 4014 1 4696 7270 2 18000 1342 1 14322 1783 1 15061 609 3 15411 205 2 8718 1454 10 17605 2508 1 6403 8184 1 18487 4312 4 9566 755 1 17198 6396 3 11852 2873 2 8751 3954 1 11338 2989 3 3759 6235 1 4701 148 2 19180 3536 1 6769 1780 1 12739 734 2 7799 4922 1 301 4998 5 17013 420 1 5597 201 1 5254 937 1 6524 203 6 7484 4695 1 4539 3462 72 14948 3211 1 12316 498 3 13684 441 1 17772 5903 9 18893 4877 1 12322 1250 3 124 5498 1 9920 3615 1 13535 1946 1 8528 1241 2 13023 5614 1 6261 1367 1 11999 1344 1 14522 470 2 7142 5018 1 11621 23 1 8581 23 6 4429 5082 1 14773 1772 1 16223 2552 1 17073 6793 4 2546 5618 1 4305 5292 3 104 4666 2 12717 6713 2 17902 3519 6 10692 853 1 17120 1703 1 2877 131 1 7406 1105 2 4325 2109 1 171 7810 1 9606 5642 1 3950 6640 1 13601 3283 2 20264 1734 1 1551 7490 1 18478 7091 1 14010 7020 1 18360 568 5 5918 1366 1 10238 2626 9 6871 1819 3 18775 5205 1 11786 1814 1 13574 891 1 17405 225 1 14059 3007 1 4880 4404 1 2857 4387 1 19641 5060 4 15180 5817 1 11303 816 1 9660 4320 1 5952 2935 2 18788 2832 1 819 7210 2 20235 4029 6 8423 1247 1 13024 3541 1 4181 7741 1 19331 532 3 8707 4761 4 3173 5256 1 12929 1378 1 5104 5253 1 7111 1275 5 17713 4228 22 9988 789 17 16048 3045 2 11411 505 1 1109 215 19 10902 8034 1 15866 506 1 20196 186 2 13583 229 1 5720 4246 1 5884 1764 1 16190 200 2 27 1587 1 8594 5451 1 17966 203 1 2858 258 2 2951 184 1 18699 1758 1 14048 1780 3 8643 718 1 11971 2881 6 5218 8102 1 1530 792 1 8034 1731 9 10105 1146 1 330 3233 2 18960 809 5 11668 502 1 1399 5618 1 11778 3670 23 17596 2407 1 4913 7856 1 9759 1714 1 9760 1743 2 6966 1897 1 5003 1104 7 1114 1146 1 11155 8145 22 6145 1995 2 18949 7948 1 13601 431 1 14587 6692 3 824 7216 1 338 4996 1 1972 4435 6 10103 3970 2 10486 246 2 14109 7021 3 4735 597 1 8614 5385 2 16074 222 1 8908 2671 4 1387 323 1 14365 7654 2 1554 7614 1 13402 284 1 1043 7803 1 1744 229 2 2265 5036 1 9444 6343 1 1711 2360 1 13572 4325 1 10907 8171 1 18634 403 1 7000 6539 1 16592 1724 1 2914 3391 16 6341 2743 3 13326 2355 1 2925 704 1 1672 207 3 4829 3011 1 2152 5575 1 4614 436 5 17127 7719 6 2385 647 1 19246 2635 5 109 4946 1 12998 4559 8 5635 1719 1 712 470 1 146 2494 1 11877 3180 1 14816 1742 12 20274 5097 2 11794 1303 1 17381 3551 1 3429 6510 8 14617 520 2 20039 2815 1 5952 512 2 8843 1290 2 1777 5538 1 6664 1275 2 4009 7229 5 3671 5018 44 18754 2661 1 19418 23 3 1446 169 1 14106 1707 2 4963 1764 1 7917 4403 1 19294 184 1 13384 8060 1 7446 682 1 3593 2817 2 3309 2303 2 9537 1342 5 11168 1035 1 2674 2649 1 5264 3221 2 11899 1758 1 6752 3699 1 13751 46 4 19069 3145 1 114 5140 1 17083 1827 5 4072 512 4 2784 844 1 12280 6025 11 15206 3478 4 18732 5099 1 6025 4992 3 6889 502 1 11635 5557 4 9832 4711 4 10416 1388 1 18363 4460 1 14689 1827 13 7497 8184 3 15778 3326 2 1171 1757 2 13807 532 1 4330 2363 1 12775 2993 1 1999 1824 1 926 1357 1 3907 2917 1 5950 1727 4 3017 2971 1 17717 5294 1 11032 1136 1 13624 3660 3 32 1790 2 3138 5792 2 13845 5720 1 16844 821 6 18938 215 4 783 6714 1 4984 4446 1 767 6591 1 17747 200 1 6970 5011 1 14219 3774 1 17379 6072 1 3411 1235 1 17757 3219 1 10655 4647 1 7578 1889 1 8269 665 2 5145 1707 1 2316 7235 1 15104 173 1 20051 1781 1 20079 195 1 17678 206 1 2070 1235 5 8913 6591 1 11220 4787 1 51 2524 2 6459 3667 1 16886 201 1 12128 1366 2 4331 867 1 5007 411 5 14052 5762 11 13628 2620 1 8636 1110 2 2015 3167 1 16932 1367 1 13534 3557 2 17135 507 1 2020 1825 8 18750 696 1 8251 2653 6 18115 1342 1 44 2307 1 11354 8082 3 8182 2268 1 2128 1377 1 8475 5478 1 12988 6993 1 14295 776 1 9599 2980 2 152 6844 1 14767 2889 2 745 4403 1 14500 6675 1 10705 597 2 8969 1731 1 4158 7630 6 6781 6129 2 13 608 6 13 845 1 2922 2143 1 6960 1188 2 14522 1453 1 4460 2889 1 17658 223 8 9566 8238 2 5778 2169 6 18204 5774 1 13520 382 1 12231 2413 3 17494 6018 2 8431 5006 3 8649 3736 4 6506 1464 1 4299 6591 3 16018 1740 1 5379 461 1 12066 3693 1 877 1342 3 14236 4248 1 4195 1751 2 5497 46 1 12739 308 1 20073 1188 2 18493 200 3 10316 4204 2 18844 152 1 100 4511 1 16860 6713 3 19378 3899 1 7336 1266 2 1130 7754 5 5242 1184 6 14146 1007 3 11251 5904 1 11550 1752 1 1145 4029 1 9885 303 2 7294 1242 3 4735 604 2 18548 4404 1 16002 710 1 12077 496 5 10351 753 1 11523 2653 1 1433 232 1 13558 6167 13 11256 892 1 6082 4112 3 10028 1401 1 1235 4274 8 601 1770 8 3611 6806 2 6733 2519 2 9332 1700 3 14313 7190 1 4954 1250 2 15874 2678 1 16096 2768 1 10080 1235 1 895 3767 4 17405 652 1 11965 2649 3 11835 1109 1 3093 3382 2 18287 1757 1 10228 3323 1 8082 2132 3 15272 1267 1 11391 74 12 2571 3365 1 17762 1768 1 1246 219 2 14052 3219 1 251 1007 1 19486 527 1 320 2727 1 12003 65 3 17556 4250 1 4572 225 2 2985 2915 1 17218 6897 1 12592 4258 8 5185 840 16 1172 304 1 15896 236 2 5358 28 1 16806 2632 1 8650 3745 138 10297 1751 1 19171 7188 5 3941 7103 1 10376 233 1 13202 1950 1 20238 4431 4 16869 7504 1 19774 444 1 11363 509 1 4061 201 2 17799 1234 1 114 5126 1 4784 509 1 18504 1146 1 9519 7859 1 13952 6100 1 2319 650 1 6388 385 2 6279 3906 5 15074 5961 1 13514 5413 1 16090 6435 1 7535 1235 1 15025 2362 2 445 2488 1 3774 7206 27 18815 532 1 16774 1768 2 10692 850 1 13790 219 5 1506 221 2 3516 1324 9 4466 2676 1 2629 1745 3 13652 3389 1 13636 235 1 2772 765 24 16674 1170 1 3168 1078 1 621 4972 1 11644 3956 5 1625 12 2 3015 169 10 11931 210 1 10382 1825 30 16678 156 10 12995 7666 2 5424 2367 8 5424 2789 1 14705 1332 12 13720 4435 1 17019 1374 3 6145 7426 1 16378 2019 3 12758 7292 1 869 1707 1 14657 1559 1 6089 1772 1 2173 1717 9 11110 6490 2 18157 793 1 11195 545 1 2174 1245 1 16397 943 1 3615 6080 3 3405 1615 1 19115 3180 4 9737 3551 1 16220 5162 5 4708 206 1 10 264 1 14318 313 1 8010 1719 3 11144 203 1 10966 220 2 16043 7076 1 13069 1979 2 9523 6192 1 3703 3684 3 17 1158 1 15177 3879 3 17191 4009 1 18053 1150 1 19000 379 2 5557 2132 1 13758 415 1 15514 5502 1 16936 6697 1 8946 659 1 16018 2747 1 1194 5618 1 16750 1450 3 7445 2969 6 13232 6252 3 15998 5018 39 4778 4961 7 1638 1078 1 10029 2675 3 2223 1747 1 1296 1 6 9183 533 39 17076 1607 1 10145 1132 1 1638 5097 1 2709 6028 1 3023 7308 1 7065 1032 1 4276 1342 1 5413 1342 3 17317 3685 1 16928 1719 1 9793 6615 2 11783 517 7 5950 5979 1 20269 232 1 9945 4275 1 19359 2556 1 6183 1719 2 9819 1758 1 11296 1996 5 10019 6487 48 15936 2098 2 10092 3170 2 8411 2560 1 3873 2428 35 13274 442 1 8457 23 4 6425 3778 2 3512 4672 2 11192 912 1 9318 200 1 7653 4635 6 9250 641 1 16674 4233 2 74 3455 6 13939 6204 12 10111 454 1 4192 252 6 13461 1395 3 572 381 1 14954 6526 1 547 3794 1 4488 201 1 11647 219 3 19053 689 3 8481 244 2 3414 6213 3 16665 501 5 14805 1282 1 13429 344 1 2266 4306 3 17273 6361 1 11833 7181 4 4870 4297 1 10969 5294 1 1028 5376 1 20076 4122 1 18287 1781 2 2172 883 1 6644 7805 1 8619 8057 1 16911 1996 1 19511 6588 1 15368 936 1 647 3168 20 6509 4803 3 1189 128 1 1073 1037 5 3775 1707 1 4764 23 6 2805 2675 1 16254 1245 2 9432 1377 1 10000 2493 1 16728 2166 2 13699 2747 1 8878 861 1 5903 5450 2 17002 6880 1 5884 512 1 16057 2979 6 13490 4296 2 7306 186 1 12351 859 1 15725 1164 2 10228 3596 4 16199 1450 1 10720 6170 11 15075 1655 3 13126 3851 1 10547 21 1 13225 1880 1 16056 2340 4 264 2949 2 1887 6949 1 608 7611 1 6533 3220 2 113 5098 2 15272 7552 1 19568 1755 1 4495 3216 3 1002 184 1 5605 2673 1 16109 3081 8 14800 3432 1 18178 1734 1 10842 3260 5 5100 7189 4 4316 470 2 12468 207 1 10864 1751 1 14261 1718 5 7670 3743 3 382 5398 1 17720 512 1 12854 1995 7 9864 95 1 16881 7927 1 16618 6754 4 19996 767 1 20120 4444 1 2 120 1 8291 2894 2 9657 591 1 18175 2626 1 5138 219 5 3923 380 1 12595 1726 1 9437 6286 1 19548 3022 6 7690 203 7 11445 7493 2 611 1769 1 12945 3247 3 13262 7677 1 13 633 17 19478 6807 1 19578 6126 1 12060 1037 1 6464 1721 9 9693 6469 1 4210 5052 1 19245 514 11 17431 5018 27 12286 1356 3 6796 559 1 2242 2262 3 12585 4280 1 18386 2919 1 2845 4019 2 6849 5249 1 14147 2522 1 16790 1729 4 16089 1728 1 6018 2776 5 14084 2363 4 2292 2424 7 15496 7105 2 7823 2729 5 1415 3556 1 5591 5552 1 7872 6204 10 9281 4312 1 2890 411 33 9193 4789 4 10297 2013 1 18805 4996 1 16494 5186 2 16951 1696 1 17478 7863 1 9146 5937 1 8255 3263 1 15644 6567 1 2658 3605 2 4296 214 1 4003 1037 99 17716 447 2 13017 275 16 11222 6490 1 19272 2175 3 4784 2512 1 389 3748 1 6125 2938 1 12496 5251 3 8709 4213 4 7141 5060 5 873 481 1 7960 1482 1 5494 3626 2 18944 8043 2 4133 7606 2 553 184 9 19626 1748 6 12618 442 1 5730 2894 2 12708 7689 12 7034 7098 1 16128 382 1 16308 1757 1 5185 1342 1 14837 1727 8 6433 1271 2 3691 1252 5 6152 793 1 6645 4779 1 13174 2671 1 4734 5527 1 9044 7 1 10967 5053 6 14221 910 1 13880 1901 1 16205 1772 2 18133 1743 19 16625 7511 1 11626 6278 1 17957 708 2 16499 7120 1 5841 2656 8 20039 349 1 12464 2693 1 16500 8141 5 16719 1741 1 5112 524 1 5008 3464 2 4373 4890 3 17505 4144 2 18283 3894 10 13813 1383 6 9590 1738 1 18582 4103 1 4716 187 1 4720 3453 5 20002 156 1 6139 3980 1 65 3195 3 12800 6139 3 5433 233 4 10235 3477 1 1387 1441 4 5568 2699 2 8198 4186 2 17772 2058 1 1631 3778 1 5478 6697 1 12242 4944 5 15147 1418 1 3485 864 1 15601 1692 7 14780 1721 1 11606 407 1 8532 2360 2 6503 663 6 16825 4391 1 18 1243 1 7261 1464 1 17988 818 1 18341 4962 3 19872 4459 2 9224 673 2 16353 7976 2 106 4754 2 14415 874 1 2103 5031 5 12592 3405 3 14046 5504 1 7179 945 1 6749 5120 5 3723 6663 1 8720 219 1 654 3333 1 19332 1762 3 18508 3367 1 19503 6687 1 20214 2667 1 1973 8081 1 5269 248 2 7965 534 9 5638 3778 1 15870 6633 1 19046 1250 3 19368 3132 1 13126 2009 1 8895 880 1 7315 1428 2 8088 4849 7 5576 5031 1 18846 509 14 13634 4963 4 7708 1732 6 6711 15 1 15656 6120 1 12279 6018 2 20180 1531 1 5749 1703 1 17011 645 1 3036 1369 11 716 5093 1 2444 180 1 2640 2409 1 15451 4992 1 17020 4436 7 10313 477 6 6275 340 1 12392 1244 1 4092 1249 1 11418 4107 1 4805 449 2 17242 223 6 1701 875 2 15211 1150 1 16828 5425 1 4458 7701 1 12817 5135 1 8643 931 1 14853 1788 1 20216 1751 2 5641 1081 2 13461 3637 1 14685 3480 1 17125 3511 1 15261 7606 1 8376 7020 1 13328 5432 5 514 3850 1 10959 1757 1 316 2169 47 5823 232 1 1586 498 1 19649 233 2 717 3911 1 11467 791 1 19272 2519 2 10633 232 1 18593 3637 6 19486 3380 1 11131 4020 1 14358 1910 2 10346 1825 1 12921 2378 1 15634 220 3 5896 5367 1 460 1769 1 18545 4955 1 12688 6806 5 11591 4456 1 6083 3748 1 2287 3320 4 808 6343 1 2985 765 1 6654 1257 3 4840 1613 1 3058 1480 1 14469 8062 6 17828 184 2 4362 534 1 2950 4996 1 10692 606 1 5631 2686 1 16844 1728 7 15529 5911 1 5734 6680 1 10146 4623 10 18133 207 2 5657 1363 2 10499 1783 1 9368 2980 3 7942 1343 1 1607 222 1 6989 573 3 3054 2549 2 5280 4013 1 19144 6065 1 11732 215 1 19518 525 6 12685 4582 2 15044 1150 1 3516 3409 2 7670 969 1 11827 200 17 106 4759 4 863 788 1 10415 2970 1 10014 6341 2 171 7610 2 3727 6753 1 18387 947 1 3866 3464 1 2726 1146 1 9740 1728 1 12348 1825 5 4312 201 1 17506 1987 1 7412 1721 2 15845 3946 3 12258 7533 1 2566 704 1 18089 2256 1 17103 2992 1 8128 2352 1 6781 2363 4 11326 719 1 12184 5672 15 8376 270 1 8268 4014 1 6853 2369 3 20275 201 2 17088 8141 1 17668 6335 1 10736 1474 1 8962 200 2 4183 4317 1 8735 6342 5 6742 6534 9 10486 2013 2 109 4991 1 3821 3827 1 9834 7787 3 9120 1833 1 684 506 1 5775 6897 2 4058 2671 17 9757 1164 4 18431 496 4 9614 2863 1 10043 7083 1 8297 8103 1 10066 367 1 7664 6943 2 3048 904 1 1026 7531 1 11375 1772 1 19310 398 1 5877 1235 9 864 2981 2 9511 467 1 9210 3556 1 8821 7005 1 7646 198 2 9386 7210 1 17195 6455 2 9741 402 1 9135 7427 1 8151 3523 3 16777 1184 6 15845 2869 4 1638 3184 1 15885 7536 1 18164 6979 2 18653 186 1 19400 173 6 10597 5018 1 11957 4741 7 3484 2397 3 18118 871 1 17682 1249 1 17258 6793 5 17932 1334 4 7007 4998 5 47 2372 1 18431 1825 1 18515 244 3 6713 1339 8 5124 1748 12 14633 6558 1 1973 713 1 17406 4992 12 16768 7902 11 15579 1748 24 18833 6669 2 14753 3358 1 14905 6776 1 18992 3366 1 8391 682 1 4450 1277 1 3581 8188 1 10589 7401 2 11282 2691 1 13841 1573 2 134 207 6 20203 7819 2 18944 7937 3 4796 1251 1 19195 316 1 1143 1703 19 17963 700 2 16666 4268 1 12773 5774 2 9859 6744 2 549 2428 1 1912 23 1 9810 7308 7 7357 6634 1 1519 1482 1 3357 1884 2 787 1146 1 16188 1996 1 14768 258 1 5117 945 1 9589 1990 1 12343 6993 1 12888 1243 1 8991 3408 3 5191 5879 1 1993 2576 3 9173 2123 2 6113 3669 1 6411 7229 2 869 3276 8 1091 4003 1 593 225 2 3397 7657 1 7428 8203 1 9463 6609 2 8083 194 5 10999 2056 1 11709 3930 1 12519 749 1 8956 208 1 1465 633 1 18386 159 1 17539 1244 2 15491 2505 1 10166 916 1 9393 579 2 12299 201 2 14780 207 1 9816 1193 1 10692 765 3 18556 431 3 56 1719 1 14541 203 1 4382 1781 2 18708 7501 7 7310 4599 2 19376 4622 4 5424 1277 6 15339 184 1 1089 524 2 954 4067 1 15098 2626 61 672 3707 1 2508 5468 3 10876 1730 1 5898 936 1 13234 1757 1 6907 2990 3 4885 6596 3 3199 1246 2 14685 2737 3 10441 1718 1 5266 186 3 3426 525 5 18371 35 6 6070 1950 2 14599 817 2 4688 777 1 12933 2219 1 3225 1241 1 8439 5408 1 18015 1724 7 11238 2722 1 10883 4132 5 14755 6674 1 18526 220 2 10529 3729 1 121 784 1 19877 2569 10 6259 640 1 4332 533 1 10046 336 2 17259 127 1 43 1770 3 12856 2068 4 12281 1244 1 10168 1727 2 16859 7168 2 13721 2354 1 546 2977 1 15140 7552 1 5801 1747 1 3205 2675 1 15970 4890 1 4750 2224 5 14522 1146 5 6083 1286 1 17078 2225 1 711 1751 1 15524 692 2 388 407 1 15866 201 1 12227 3856 9 7425 1470 1 1687 5026 1 100 687 1 3677 219 5 20078 1482 1 6979 1665 2 15634 2626 2 16827 6777 1 991 5496 1 14522 8141 2 4696 597 4 2646 545 1 9169 5404 5 17260 1819 7 6748 683 1 13298 7719 1 19293 1374 1 9178 5826 2 13472 1692 1 6068 4435 12 8294 1700 3 6622 2626 1 19401 2268 3 19523 1212 1 8481 1819 1 18733 8057 4 19267 627 1 18676 1942 1 181 8229 1 124 5459 1 19500 214 1 145 6691 1 6503 845 5 10887 2140 5 14114 1302 1 12777 3419 1 1523 6180 1 7961 206 5 3874 6225 1 14334 172 1 15423 229 1 9066 269 1 18555 1997 1 1028 644 3 8710 4003 1 6932 1748 4 8451 3371 1 11268 5355 2 14027 7583 2 9148 545 2 4468 1944 1 11543 3596 1 19432 4992 1 15787 5736 1 18118 637 1 10692 746 1 2882 6553 1 13909 5403 1 11072 891 2 4519 905 2 3168 1311 1 3853 3647 1 4869 3316 1 6622 1917 1 3308 7332 4 4708 1819 2 6584 2134 1 8597 4085 3 8014 5480 3 16587 2897 2 3581 2443 6 5326 215 1 7184 2354 2 13035 618 7 74 3489 1 9395 2721 1 15608 3920 1 18197 2883 1 19410 1340 2 15063 1927 3 7691 536 4 7655 7976 3 6023 1054 10 7690 3228 3 15278 3758 1 14906 3492 1 5573 715 1 511 1132 2 14828 5996 1 17464 5099 9 17469 4435 1 4263 4964 1 13829 207 1 8199 1721 3 14060 5402 10 13502 1363 1 9811 6197 1 15318 3206 1 62 2839 1 6581 2726 1 13384 7105 1 14305 685 1 12614 4363 3 9847 867 14 11768 510 10 19637 4369 1 6158 7215 1 16493 2080 5 8281 6200 1 12489 1416 2 12945 2748 1 16190 1752 2 19268 46 35 8313 7995 11 11567 550 1 13117 6959 6 11532 23 3 2726 2884 1 9310 2659 2 10575 929 1 15425 3575 3 8159 813 2 9557 8064 1 8083 6135 2 6056 7021 7 14906 3203 1 14026 7466 1 1621 5117 2 11035 1243 3 14108 916 1 13405 4425 5 10786 2953 1 2481 3685 2 2309 229 1 12874 6979 1 12244 2488 6 16916 4343 1 15956 1661 1 2075 1965 1 5195 190 2 15718 1734 3 12730 8148 5 3351 1762 1 7261 1251 3 11658 4595 15 10553 3358 1 15841 173 6 5153 203 1 17995 506 4 19500 1727 4 5652 46 2 17331 1184 7 7568 8029 2 8351 1909 3 18523 1713 1 14746 1239 4 11687 496 3 9349 4131 1 10247 292 1 11082 1314 1 4448 418 2 4691 219 1 4572 2503 1 11461 367 2 6983 4708 1 12521 737 1 1801 2508 4 6690 3894 1 15618 6027 1 14255 200 24 7455 3798 1 3322 682 5 8519 5018 1 8068 496 2 11489 1729 1 17884 1395 1 17 1097 1 7344 197 1 14820 1686 1 27 1649 1 2977 1236 2 63 3048 2 4963 1721 1 10830 8194 10 13400 1715 1 14740 197 3 7627 3057 3 4911 2261 1 10326 5762 1 11122 218 1 8835 3163 6 7288 1728 1 16839 1819 1 14336 1663 2 14396 3629 9 5500 3167 1 3918 7850 3 16128 1740 1 19579 448 5 7943 7216 1 151 6806 2 15047 4998 10 1147 7431 1 15235 867 1 4859 2056 1 26 1540 1 3146 5007 1 7990 4266 1 12506 4013 2 2350 2869 1 66 2889 3 559 6402 2 17416 3573 1 16493 2376 1 10244 1286 2 4095 4310 1 18888 4255 1 3550 497 5 4060 2370 2 6183 5400 1 7556 3114 2 7188 3697 1 6327 3512 1 1131 164 2 16584 1267 1 19200 659 11 3033 201 1 4498 6783 1 19729 8174 3 13017 1034 18 10327 2175 2 12452 2010 1 3309 819 1 15429 130 2 9109 221 1 3569 7902 3 6228 573 1 4256 541 1 4294 5442 1 8422 1751 13 4492 3113 2 8761 228 1 8088 7719 1 12968 169 67 12658 3972 21 7413 94 3 18491 3748 1 14372 200 7 14827 222 1 18976 1296 8 2363 4490 6 19826 4204 1 14574 1742 15 18722 6448 1 10381 4386 1 13553 6167 11 4454 5135 1 2072 1208 1 13206 1819 1 2635 2483 2 18518 2332 1 8514 4204 2 16072 878 1 6560 6761 1 6818 500 3 15041 252 1 18165 545 1 3233 522 3 4183 6263 1 2824 646 1 15075 6719 1 16941 1226 1 2563 1819 1 8532 1363 2 17077 1727 1 15106 4628 7 14770 759 1 527 728 4 85 3922 5 8697 1529 5 3449 6494 16 14584 3511 13 1666 1729 11 5636 8192 6 15647 1752 1 11523 1751 2 15468 7614 1 14758 828 1 17585 1277 1 10902 1296 2 6144 825 1 7398 5281 1 8128 1054 1 7369 1468 2 6488 5082 1 15403 3230 1 1986 2265 1 17372 1352 1 15323 1707 2 8129 627 1 11502 316 4 8226 4120 1 2428 4013 1 17572 1539 3 7354 235 2 817 648 1 787 220 1 3874 1771 1 8312 1772 4 3892 6690 1 8793 763 1 20123 4511 1 9941 6256 1 6116 215 45 15522 215 2 14400 5018 5 11835 3588 2 18884 6482 1 18639 461 1 6091 1743 1 9390 5293 4 11510 1246 1 153 2938 1 161 1772 5 7531 1482 3 14036 229 1 6307 3979 1 14767 6500 1 5105 203 1 4739 506 3 8451 2896 1 14034 7570 1 15367 962 11 18968 6622 1 2546 6576 1 13407 7182 3 3012 584 1 17889 2984 1 5556 1466 1 11461 215 3 107 4804 1 17257 89 1 15396 506 60 5026 1737 1 13634 5768 3 17527 1539 42 7997 2600 1 500 308 1 3085 1814 1 3090 745 1 18924 2150 5 18176 1748 1 14618 5349 1 14504 3233 5 1905 5253 1 6692 3056 1 6552 1995 1 18039 916 1 3173 1242 2 1844 2132 1 5482 6682 5 14670 1826 1 18237 1784 1 16869 3167 3 10047 1271 6 6371 202 3 17485 1664 1 11354 2407 2 9623 3922 1 1735 670 1 3521 2542 3 5890 478 1 5060 4247 10 5365 1995 1 9188 4156 4 12690 619 1 19699 6107 1 16570 1172 1 2348 3552 1 9888 2896 1 5025 534 2 2813 1183 1 17404 5436 1 7607 2409 1 7220 201 14 16375 203 2 3580 1235 2 1927 225 2 15520 809 6 7386 3745 12 8 234 2 14124 3181 1 7415 524 3 10247 229 1 963 5018 10 56 2682 2 19534 4818 6 16073 5518 2 18486 6368 4 3847 186 1 15654 5971 1 1118 214 3 19555 1827 2 9816 2369 1 3554 4268 1 4867 1399 1 15366 2633 2 17939 8113 4 16726 5444 3 4873 4521 1 8325 2559 5 18681 8141 3 2146 6281 1 6544 883 6 15137 6523 1 12594 692 1 13842 4145 1 8532 367 1 4913 4582 2 7135 1714 1 13503 5256 2 3280 207 5 3485 408 1 11252 1762 1 16470 4998 5 17300 2659 2 9322 336 1 9187 6682 1 8114 7994 1 6960 1909 1 8730 954 2 11786 231 5 2845 7815 1 4691 1814 1 13414 1728 1 12104 4684 1 11344 8043 3 122 5355 1 5672 4869 1 16645 184 1 16018 2367 1 13183 96 1 14201 5253 1 15779 519 15 8624 3333 6 14718 8091 1 19512 4987 1 4708 1748 1 8004 545 22 16851 2114 2 7853 3349 1 19033 6228 1 3638 3511 2 17945 10 4 18287 2407 1 7323 470 1 13238 2680 1 1690 3163 1 812 3698 4 7147 175 16 196 4023 1 10553 5331 1 19267 23 1 15608 5018 1 9553 6345 2 56 864 1 16090 7788 1 16192 3525 1 14695 6569 1 5444 474 2 9197 7450 1 1445 981 2 12414 2938 10 2344 2001 1 18393 470 1 5775 3230 9 8198 2743 6 2375 231 1 12175 1780 2 12641 7565 3 80 3590 1 862 5837 1 17556 7853 1 86 3986 1 8356 2392 3 18609 184 3 1532 3255 1 11426 1745 1 1922 7474 1 2885 225 2 3579 23 4 14326 3972 1 10576 4967 1 15100 329 1 2062 508 5 13747 196 5 1106 207 1 14748 8118 1 8078 184 6 2883 207 11 15191 917 14 7401 7174 3 169 7584 1 11333 3333 1 9260 1762 1 10179 371 2 19286 1239 1 183 1298 1 10455 438 1 17388 2831 1 4253 1037 2 4049 4181 2 7545 2974 18 13564 223 1 7799 719 16 14316 4640 24 6501 23 1 20002 200 7 6656 7719 2 2646 5531 1 7614 4030 1 12783 6368 1 15634 526 3 11899 201 3 8174 8029 2 6509 5258 1 5368 4789 2 12493 408 1 9946 4107 1 16797 1719 1 3219 2569 5 18056 1138 2 11060 2686 1 11932 5496 2 14005 2992 1 8597 1146 1 13647 1274 1 14906 1732 2 15256 6200 10 4565 1235 1 18731 7235 1 250 6807 2 17401 3856 2 91 4072 5 6926 4282 2 13111 6091 1 536 2068 1 16548 2508 1 2550 1244 1 18578 7410 1 5208 6687 5 13203 390 1 10586 2571 1 5039 4403 2 7296 867 1 18856 1714 1 14663 2789 1 3485 220 2 572 5917 1 6091 219 2 13115 532 1 11570 1994 5 4092 5559 1 14823 1691 1 13183 592 3 13825 1686 1 19822 1731 1 1093 1101 1 18379 7358 1 13743 4020 2 7893 175 8 5500 1247 1 11818 1416 1 9815 6609 4 2082 7182 2 4811 1747 1 2413 3151 4 12592 177 2 9954 229 10 9468 222 4 3471 1729 1 1344 203 1 19286 7602 1 16409 1157 2 8608 222 1 16322 3748 2 2542 2619 1 17647 386 1 15726 1755 21 14079 6341 16 15100 606 1 3032 2993 1 17820 6719 13 2127 206 1 7876 3206 1 7017 6486 4 13619 1737 3 20175 6709 15 1772 545 5 4011 4392 1 19069 1729 2 18544 201 7 3789 5018 20 7435 206 3 16982 4376 2 10354 3338 1 10870 982 1 5977 1395 1 3343 2675 1 18890 2555 1 2671 4258 3 6656 2534 1 12496 2795 1 18309 533 36 13058 5730 9 2284 426 1 12703 7423 2 10849 5888 1 5589 1788 1 15419 5296 6 17144 7419 4 7685 7772 1 2985 575 1 9958 8026 1 14879 1404 1 19034 4531 1 17163 2698 1 7943 1727 1 803 7468 1 2385 4649 3 19456 575 3 752 3556 2 5994 201 3 15706 1339 1 9064 745 1 1638 8178 1 11938 533 10 15208 6268 1 5128 196 33 5336 6252 1 13963 497 8 11968 5437 1 3504 5255 2 4619 506 1 17127 196 11 19946 1729 1 9546 2504 1 5025 2360 1 855 883 3 9288 7725 1 4375 225 1 10774 225 1 6364 74 1 17 1144 2 20090 2511 1 16090 6973 1 15750 5257 1 172 7835 3 5701 1717 2 9077 6481 9 14463 6014 1 11736 3442 1 16514 3333 1 2955 3563 1 15092 23 5 1663 2734 39 4767 2319 2 18359 5002 1 6784 6159 5 110 5001 1 13784 6748 1 9858 7237 2 5324 4947 1 16090 6684 1 18359 3918 1 17520 203 1 13212 2783 1 15383 1159 1 15229 793 2 5977 1251 1 397 1283 13 899 236 2 1029 1235 3 11898 1774 1 8797 2356 1 4435 2799 3 2907 1629 9 1017 3595 1 12194 2343 3 2913 514 2 12125 7963 2 12933 214 1 15248 2459 1 9722 2357 6 11882 7937 1 4801 3351 1 5484 724 68 16457 1026 7 787 776 1 5433 171 3 18375 863 2 14917 4448 1 1791 6754 1 5617 823 1 19309 657 1 6651 23 5 3505 2415 1 8609 3427 6 17867 2564 1 12135 7719 10 1714 841 1 10595 1249 2 16249 1235 1 2929 4366 2 19820 4490 4 6664 7915 2 70 1342 1 13676 6860 1 14059 4254 1 7261 206 13 17454 7701 1 18154 5874 1 2140 97 2 11766 1774 2 16014 223 2 19952 3682 1 14921 201 4 9536 173 9 18694 1714 3 11848 514 2 11131 620 1 3925 1775 1 5983 3074 11 15471 676 6 14685 203 1 12796 2863 49 16347 519 1 948 229 1 2646 3901 1 13627 46 1 6636 6058 10 13081 3767 5 1040 3768 1 1568 1825 1 2078 745 1 8201 4977 1 4913 1139 1 17664 1238 1 9245 2841 1 9262 2439 1 3313 5495 1 5466 8174 4 9807 207 2 13711 4920 1 11406 207 5 10329 2343 1 17 1159 1 8966 6508 1 3536 1296 2 15704 215 3 14168 7191 1 11375 165 2 12313 751 1 16627 525 2 9394 4992 1 18149 1399 9 4165 1996 1 19237 1785 1 12808 3113 2 2826 1751 1 18790 6408 1 1241 3081 1 10416 2555 1 17379 890 2 10525 4622 31 906 4076 1 6460 6655 4 4492 1762 1 68 3250 1 4153 518 2 160 7301 2 8060 5325 1 14114 3399 1 7306 846 1 4090 5461 2 14917 2572 1 15508 367 1 17947 534 1 10599 219 11 5769 5256 1 7663 4387 1 3947 599 1 6681 5686 2 7331 7657 1 17662 1146 4 10034 5895 6 12136 2100 1 16192 219 2 5204 560 1 14740 1755 3 20143 2392 1 16103 1819 3 8515 173 2 35 1863 2 1721 1298 1 3037 525 2 2213 3224 2 5254 6252 1 18459 200 3 11784 916 1 67 3236 1 9092 5774 10 10554 5852 2 10537 1147 2 916 2854 1 14994 4458 1 12737 1748 3 4058 1965 1 10783 1942 2 11156 197 6 11349 3516 1 10033 32 2 9457 7999 1 19904 2352 1 20148 3377 1 4417 1235 2 19693 1236 8 4496 5408 1 340 422 1 3261 358 1 5723 4297 1 16070 1237 2 17899 7210 1 10192 1236 2 10447 1695 1 10165 770 1 10137 2106 2 12962 3840 2 18054 6177 2 13893 6666 2 14606 7105 1 4886 234 1 14341 4204 1 1078 8164 2 4305 5933 1 5738 578 38 14146 597 3 1610 1625 1 1551 4620 1 19063 1829 14 17746 652 3 835 1932 7 5148 3961 1 19293 1251 1 100 1147 2 569 3333 4 2643 6081 1 4985 194 1 5074 197 1 9669 3078 8 17321 2072 1 1600 1341 9 143 6597 2 5769 4026 1 4057 3037 1 12598 3109 1 4016 1395 1 12949 3921 1 1395 1467 1 100 4562 1 5088 891 1 1570 2104 1 13928 4855 2 11277 6488 1 2181 2955 1 7242 1581 1 17284 6225 1 4457 6527 1 13663 6179 1 16546 4657 2 2418 2376 5 5744 1771 4 7099 7571 11 19864 4807 1 9104 7410 1 17888 7433 1 20157 638 3 2818 1241 9 13629 2248 2 2190 201 1 5893 4604 1 1206 1324 5 11441 2633 1 616 1449 1 15594 2385 1 64 3064 6 17912 1819 23 3946 4352 1 1029 1768 2 17155 2106 30 2679 23 2 1223 533 2 3090 512 4 16509 2040 1 14457 639 2 1138 7920 1 334 903 9 3258 336 1 13023 5658 1 14926 1237 1 13479 4479 1 3772 471 1 17909 2810 1 15718 2270 1 7017 5234 1 13234 2831 1 1743 4312 6 14011 5922 4 12552 3220 2 454 1307 2 4552 4060 28 15061 619 2 852 1369 1 16655 6084 1 4072 1756 2 2048 1734 3 15993 1713 1 6556 5004 7 17753 1727 2 15776 821 2 140 3471 1 12999 8192 16 2156 3599 5 4992 184 1 19013 1762 4 4082 6064 1 14798 4560 1 10308 7256 3 9731 3471 6 6278 5254 1 15209 5414 1 4225 5325 1 13640 3113 6 4400 8141 5 9317 2357 1 19825 1658 1 3975 5794 5 1714 698 3 8844 6527 1 13132 746 1 3020 3220 4 9536 7809 5 8808 1357 2 11904 4582 6 3529 3674 2 19241 1249 1 20011 8188 2 1927 5524 2 2611 718 1 15295 1342 3 16362 7213 3 7904 911 1 13 962 9 19607 823 1 7498 7083 6 16780 207 5 17167 411 77 4385 4738 1 10146 6665 1 3630 5294 1 7780 379 1 5459 5266 3 2818 215 13 15560 810 1 16916 1695 1 17260 6868 4 4348 2354 1 17420 219 3 15932 2838 1 1908 220 1 16406 3510 2 7461 2349 1 12821 225 1 18748 2844 1 4050 576 6 1719 6059 1 17406 1770 8 13343 151 2 16431 6396 5 321 6801 1 11230 1227 8 13569 4615 7 4264 1703 9 20 1352 1 6152 3431 1 17920 5060 4 1445 6214 2 1395 7400 1 8833 5382 3 5290 2132 9 18635 6880 1 10548 1703 1 12775 5551 1 15743 1714 1 3749 3774 24 2146 5265 1 770 236 2 6129 626 5 27 1643 1 11935 747 1 17373 4998 3 965 1145 5 20262 3167 4 10785 579 1 15447 1819 1 13750 3152 1 16082 6013 1 15405 394 1 10127 2392 3 11933 1740 1 16546 6053 1 16332 719 1 14753 1063 5 14645 5505 2 4985 5133 1 12273 6454 1 2152 3736 1 15727 4972 1 16797 2263 1 18845 508 5 13365 3135 4 10687 1717 1 12817 3573 2 6894 3596 1 1705 873 1 14377 6535 1 12501 4029 2 17896 6126 1 944 8203 12 13 805 2 5712 194 1 13792 215 25 18090 6170 3 18727 3333 2 7006 3051 16 642 4069 1 3892 6056 1 16152 530 6 19911 244 1 7400 6276 5 18289 7182 1 3117 903 7 4055 4566 2 10217 3908 5 9887 245 1 10826 2864 3 14287 5019 3 11817 863 1 5738 5303 5 6275 11 1 5111 1917 3 5117 951 1 5378 518 2 11560 7238 1 349 270 1 17088 205 5 10703 1863 1 15743 1417 1 1663 3684 11 18056 1000 1 13078 220 1 79 784 1 8250 532 2 19646 2009 6 10158 2673 1 19678 759 1 7780 214 1 13065 411 6 11497 2268 3 8031 2704 1 455 425 1 20123 728 1 13821 1416 4 17013 6826 2 5667 1778 3 6292 7695 1 8914 6623 1 19318 502 1 2348 5713 1 1779 7883 1 15792 200 1 17015 4363 9 1698 6151 1 6058 1776 4 11890 222 5 3613 4992 1 13374 426 1 4688 819 1 8532 1239 2 16860 696 1 11122 903 3 14056 1707 1 1111 3557 1 11247 4348 1 3927 3221 2 15863 1342 13 11353 7213 1 17771 200 26 9414 7597 2 18748 411 1 12327 1146 1 6580 4946 5 2692 1091 1 3111 481 1 14599 604 2 10632 4077 2 10664 4774 1 13165 2982 1 835 6103 1 19246 6162 3 12453 1647 1 6449 4293 5 10339 7604 4 8920 7719 1 7042 7466 1 11155 1731 5 3787 656 1 7467 231 2 10933 8195 2 1897 184 1 3048 6332 1 16416 525 3 3082 3425 1 11964 225 2 14152 228 6 15456 308 1 9593 7333 1 1241 3338 2 4730 937 1 4561 1253 12 8683 868 2 3327 4451 1 16792 1246 1 18696 3689 6 13566 554 5 16806 496 1 5696 3132 1 2387 525 7 17392 539 1 4667 1383 3 3390 219 1 16408 6454 1 2324 222 1 18580 1334 1 4563 5446 1 10498 380 1 496 6484 2 2104 5229 1 3151 4447 1 11 451 1 904 2383 1 9894 67 1 2045 6150 1 12262 4998 1 3908 200 5 8878 1903 1 4935 1304 3 19104 4107 1 3665 1302 1 13543 732 1 13126 745 1 9720 7135 1 6449 4344 1 8191 4623 1 5293 4245 1 5748 7905 1 13806 661 1 7571 4555 1 685 3731 2 2717 2656 1 1325 1783 1 8620 5549 1 19486 4563 1 11156 4555 9 4840 755 1 2453 2580 10 20168 2807 1 1171 327 3 1109 3849 2 3351 4382 1 10977 863 4 18184 1825 17 10064 2354 8 14218 7843 4 12982 4077 1 1864 153 6 11259 4595 2 3980 5543 1 951 2559 1 2890 867 12 7994 934 2 9322 316 1 9280 1770 4 557 252 1 4092 1203 3 14517 5048 1 130 5990 1 2703 6625 1 20114 2894 1 11507 2238 1 2237 662 2 56 2687 1 18206 520 2 8965 74 1 15364 750 1 7693 7342 1 12753 2827 1 8051 6927 1 9141 520 2 14662 2673 2 6869 2352 3 4880 7776 2 16970 5877 4 2075 1760 1 15940 1145 1 7883 1443 1 10014 74 1 18260 5022 58 3059 755 1 17733 4643 4 17676 219 2 8444 3569 1 4092 1369 19 14079 3881 2 2956 1912 1 626 8102 6 7859 199 4 4072 1825 1 11882 6875 1 4219 5447 17 17308 2016 2 11277 793 1 20090 1338 1 11877 1995 1 4898 7227 2 34 1843 2 15642 1717 7 9372 2633 1 13623 6488 1 3698 5916 2 79 3559 5 915 2887 2 18706 156 5 2968 517 1 3694 3909 1 15832 1736 1 12953 219 15 1073 2146 1 1671 3065 1 6003 222 4 7487 1251 1 9421 6887 2 4530 5996 5 17506 6700 1 11848 1903 3 8747 500 8 2413 1959 2 19195 7415 1 3536 4568 2 8989 1330 2 20248 1778 1 824 3414 5 14524 5654 1 19020 1698 4 3982 23 2 10763 1762 1 19523 3056 2 19043 1328 1 17850 203 19 6855 6053 5 3287 284 1 7973 6448 1 9145 4187 1 9816 2595 1 19316 7020 2 11607 2653 1 6903 1245 1 5464 8072 1 19984 2363 21 14318 5480 1 17111 2671 10 15363 1464 6 6339 1145 1 4563 5523 3 17885 1649 1 8211 1666 1 11489 7643 1 10916 765 1 1620 1543 1 16063 966 1 587 2072 1 11207 46 2 19272 7535 3 9464 981 1 9061 5285 1 4171 1814 22 19894 1046 16 14785 7439 1 12427 5018 1 4371 3411 1 11939 5607 1 16657 201 1 9188 917 1 133 6055 2 2724 2907 1 5329 2556 2 21 1384 7 4309 1745 1 6000 7466 1 2148 74 6 9306 203 3 15639 3333 4 9399 4245 2 9934 6167 1 7188 2591 2 6089 532 2 2223 1453 1 19502 6294 1 14597 1824 2 4180 148 1 19173 2114 1 17383 443 1 11164 4974 4 13619 1035 5 9567 6908 1 4000 2645 1 11708 595 1 15557 3693 1 11844 7228 3 18165 1658 2 7135 74 1 6738 38 5 18649 1529 1 14599 727 1 15303 4676 1 3025 1764 2 4946 3840 5 16063 5466 1 15012 214 1 1822 3074 1 165 7537 1 16775 2968 9 8898 3540 1 4561 2139 1 6588 156 5 1444 340 1 13743 408 2 18790 1439 1 5276 6649 1 6567 252 1 73 3386 1 7490 5903 1 14085 4363 5 16458 1877 22 14892 3721 1 5806 1825 4 9096 1703 1 24 1466 10 13623 4019 1 7266 190 3 12685 1234 4 9374 1374 1 11877 7404 1 9700 4264 1 17195 2111 1 154 1886 13 6348 689 1 12831 342 1 12520 3216 1 1499 5582 1 135 6126 1 1139 223 1 4496 1453 1 18949 1732 1 9546 382 1 20068 5003 1 14522 4435 4 4718 4563 1 14797 7886 1 6313 4062 11 7352 7829 4 16810 869 1 18883 3192 1 2748 898 3 12174 1734 2 7780 3333 1 15061 7467 1 17548 4067 1 9199 4366 1 37 2019 1 14547 1776 1 9511 2821 1 8771 6716 1 19420 1395 1 9604 2678 1 2021 6361 1 1636 7661 1 18164 3945 1 8152 541 2 2462 6432 4 3446 5162 1 3954 7201 9 5717 6588 1 12674 190 1 2913 4473 1 7711 6159 4 14810 3910 5 17736 409 2 3188 8195 2 17281 7332 1 3853 1458 1 13328 4983 2 3289 200 5 10575 606 2 5926 6238 1 12619 5491 1 11951 6793 1 19621 5341 1 11923 184 3 2425 1721 1 17423 3364 1 11835 1101 1 3869 1737 1 9312 411 1 6421 3558 1 19690 23 1 18455 1342 3 4425 1395 1 18902 1825 3 6124 1296 9 19029 3592 8 11598 3808 1 62 2886 1 18935 1505 2 18338 5018 1 10338 517 55 19249 5730 1 2796 3518 1 1973 367 1 18664 1724 2 8051 6487 2 15548 1742 2 14147 8194 2 15205 4489 1 9983 4987 1 5141 1244 1 1722 23 2 1986 1101 1 14147 1758 1 6515 223 1 3085 4251 1 10341 221 3 13928 877 2 16898 5700 1 4197 5054 2 12067 639 7 19069 506 2 4620 3511 15 7952 26 1 15117 5996 1 1682 1246 1 14975 5566 1 9660 6400 2 16971 7255 1 4327 1752 2 19995 934 1 18320 749 1 12264 203 6 4338 3429 1 3014 336 1 7966 2591 1 17544 6345 1 11591 1743 3 13302 2727 1 14791 215 21 19178 5389 1 13090 1312 1 11255 4974 5 18320 845 11 6524 7603 2 9786 1328 1 6600 207 1 19916 6663 15 4530 3535 15 16815 132 3 13201 2971 2 17478 7855 1 7363 2552 5 3677 7734 1 20202 7466 9 14522 330 6 14746 1366 3 16860 7705 1 4428 3792 1 5388 6342 47 4601 8047 3 2311 1523 1 7951 1286 1 4713 1781 2 4050 1736 1 12841 804 1 16356 2552 2 2917 261 1 17143 874 1 15784 6252 1 3442 3461 1 5425 7859 2 16674 1198 6 3806 1252 1 19737 4284 6 16955 4107 1 9642 1724 2 18526 1758 1 19264 7719 1 11702 383 1 1743 2068 6 10539 2399 1 12609 1757 1 17696 2863 1 18175 7463 1 1571 1726 1 4644 1731 3 4252 244 1 17365 214 6 171 7669 13 6918 2089 1 6160 2647 2 12638 4245 1 10856 6108 1 2341 1819 3 7849 2676 1 6754 1101 5 9596 458 2 15432 1561 1 337 4435 12 16470 3512 6 13829 867 7 5943 2710 1 14202 291 1 12459 525 5 11616 5875 1 4671 6062 5 10856 4379 3 17392 1464 1 10346 8184 1 18924 5385 1 12149 2343 2 1988 508 1 18416 5162 4 17960 3367 3 4161 8197 1 3358 837 1 13492 222 1 15181 1686 1 19272 2146 3 109 4970 1 1986 506 1 16016 4306 2 16965 3540 1 2428 1752 1 4493 4224 1 13705 1704 3 5095 6537 4 2930 2889 5 11890 1247 4 17856 404 1 11238 8091 6 11249 7772 5 9937 1146 1 1700 207 1 2834 11 7 9549 4393 1 5756 4016 1 17120 1770 2 12406 1253 1 17522 6424 1 8307 2413 1 18113 1369 1 759 2386 1 252 6979 2 16201 46 2 14994 3491 6 3521 2344 1 2618 367 1 5866 5515 2 3794 1321 1 14221 397 2 7205 1772 1 10382 2353 1 18374 2363 2 2413 3148 1 4055 946 1 10071 6231 1 1689 3333 11 19242 2534 1 14114 2494 1 6074 1763 5 3888 1965 1 18665 1756 1 1524 4476 23 3851 745 1 11107 789 4 14599 329 2 15935 3370 1 1511 215 1 19382 201 1 4195 200 2 11099 6697 2 4804 5858 1 9152 1126 5 12053 4325 3 18781 4742 1 12892 1152 2 5117 707 1 15693 6107 3 13312 2869 2 9759 6139 3 16575 1251 1 3688 200 5 7596 1784 12 17413 3485 1 15721 2246 2 16016 3902 34 19282 1146 1 4910 203 1 5681 532 1 18711 1296 1 7165 1777 2 1176 401 1 1713 6378 1 5652 495 1 4554 1150 1 7109 7825 1 5626 4303 2 13088 3337 6 17983 532 2 1141 4945 2 4004 7240 6 12817 1285 1 7757 6527 4 13254 4357 1 7585 415 1 58 506 2 4918 1788 1 17631 524 2 14278 1568 1 4631 6490 8 9096 2683 3 18871 1112 5 5878 4202 1 14968 1278 2 1519 523 7 10293 1752 8 18982 6632 1 1069 2267 1 2617 5245 4 17736 557 1 5557 769 1 8571 2556 1 13490 2509 1 16894 3502 1 13490 2232 1 1237 2407 3 10177 1234 1 16093 3138 4 1757 1429 1 17869 200 1 3991 6237 3 17983 2354 1 16675 401 1 6402 1973 1 10391 169 10 5996 2894 1 10498 4099 1 1319 4813 4 8202 7013 2 18098 501 7 19137 3798 1 3411 4766 1 9195 1453 1 13462 2068 2 6303 7422 1 13821 335 1 5324 1296 3 10014 2737 1 5296 6339 2 1747 1248 2 8320 5036 1 14504 46 5 10871 863 1 7119 7512 4 15653 3757 1 19754 5235 1 7985 219 6 13537 2139 1 5431 6754 1 2885 3840 7 12688 2572 1 19535 4065 27 9630 4029 1 3239 7850 2 14059 4236 2 8393 2331 5 11933 647 1 15192 3743 1 12924 3494 1 7866 2099 2 2345 4132 1 1576 1247 1 508 7597 1 9533 910 1 5202 4792 1 7426 7815 2 10583 223 2 7952 2511 2 5446 1363 2 16030 2565 20 5659 1705 2 16546 3104 1 10000 427 1 2772 2626 5 10370 3068 8 7138 1717 10 10635 2355 4 4023 1184 2 14502 1753 8 17716 553 1 9987 1703 2 17405 219 2 7137 1060 1 16019 7809 3 7991 969 1 13131 1421 1 9275 3278 1 9255 4101 1 14558 6341 1 10988 2071 1 3221 5097 1 12055 738 1 4943 200 2 7966 6635 1 264 800 1 2638 4980 1 11868 1748 5 14114 761 2 3821 1238 1 4663 713 1 2738 6047 1 7175 2620 2 9568 6713 2 19578 2127 1 5960 6000 6 17891 1407 1 3806 4811 1 15561 5307 1 20027 964 1 11631 6198 1 4482 219 1 12053 2666 4 17682 2344 1 12507 3979 2 7147 1661 1 17957 891 3 7502 743 2 10315 2290 1 6755 1764 1 10397 2635 1 14828 1100 1 2643 6037 2 8051 1740 1 4634 707 2 7221 349 1 18360 893 1 5088 3573 2 9485 8217 1 16546 633 1 9925 1686 1 4978 4977 1 17732 252 1 11155 7235 7 9993 4996 1 7206 2879 2 5292 891 1 20241 1235 12 17719 1779 1 13814 1706 1 7273 4567 1 20 1348 1 11562 1727 1 10287 1257 1 9957 7623 2 18631 4761 1 696 4649 2 16190 6705 22 5827 2746 1 13919 5532 1 7284 525 2 8298 5674 1 7182 1407 1 10553 474 7 11406 2515 2 745 1721 2 4354 1772 2 349 7437 1 130 5823 1 2275 1768 1 7587 6334 1 743 165 3 3442 5670 6 8528 1740 1 7529 2559 2 19317 4933 3 16894 6407 1 11914 3233 1 8083 6777 2 15485 1242 1 19990 2671 1 9894 852 1 15158 665 1 17833 5700 5 13363 3382 2 18647 4059 4 3203 6457 3 13706 1703 2 5344 6075 3 1410 2056 2 2715 891 1 18220 6053 1 7376 5905 1 18500 8037 1 19990 505 1 19193 84 1 1602 220 5 1469 3511 2 18524 2342 1 5108 2368 1 793 867 13 724 6457 1 17554 2636 1 17004 1107 2 3268 3138 2 13698 4269 1 2874 7937 1 19489 519 1 9589 225 1 17491 2352 1 126 5650 1 10102 2686 4 18670 1783 1 54 2639 6 2678 1105 8 5373 7648 1 8117 22 2 9047 8012 2 4547 2662 1 7946 1995 1 8004 1312 1 16029 4363 2 17960 1356 1 4298 3020 6 4072 1296 1 17765 3331 1 13631 1363 1 13185 3849 1 18152 6414 1 1414 1745 1 121 5295 8 17836 6238 1 3337 207 6 6572 7986 2 15629 935 1 17331 244 2 19669 4986 5 1420 347 1 13699 4132 1 19556 1728 3 15134 8145 2 17009 1751 2 683 6209 14 572 768 1 3146 1622 1 5566 5156 14 4385 4083 1 11737 1244 2 7065 4280 1 4159 4543 1 10385 3257 1 8128 23 4 364 6179 2 3211 2924 7 12542 7953 7 10374 2731 1 1302 963 1 20174 3556 1 17088 525 4 20235 1825 1 14296 6758 2 8004 5018 1 6308 514 1 9224 560 1 17633 1312 2 11882 6457 1 19180 3626 1 174 8014 1 5631 1431 1 18836 2076 1 719 891 1 8831 3278 1 14055 4795 2 5117 911 1 13662 1304 1 12740 23 5 450 2911 1 17478 8106 1 15208 6192 9 108 4873 2 3549 7857 1 2917 1137 1 6198 2009 1 12901 6754 1 6627 508 1 19957 4303 3 520 8139 1 7745 1724 1 528 7415 2 7705 935 2 7990 292 2 16270 2662 1 18788 5445 1 5388 225 5 12890 1729 1 8482 888 1 4449 2489 1 12609 1363 1 11912 6554 1 6479 5612 1 17224 525 1 3683 517 2 10549 3645 3 802 5538 1 5637 3333 3 3801 5253 1 12291 3869 1 12378 6713 1 16997 3602 1 17298 1784 1 17560 4428 10 17727 2443 2 16189 3837 1 14669 2363 91 1448 2605 4 3189 34 1 8844 1736 1 6681 5341 1 8909 223 13 1022 1070 1 1778 220 33 18886 2513 4 18418 3409 3 4092 23 36 7733 1146 1 12949 7418 1 16645 1154 3 13132 916 1 14680 6160 2 16639 196 3 12322 1253 2 5911 6140 2 15677 5274 1 9873 3575 23 2913 1707 3 4784 1740 1 5326 3540 3 13084 502 1 8464 5130 1 11248 2056 2 8458 6150 10 3892 3536 1 17969 201 11 1534 2580 1 3427 6857 1 4092 2614 2 9421 1475 1 8354 5654 1 6527 1249 1 17696 2955 1 6231 1190 1 4492 1462 1 11577 380 1 5060 6144 1 3886 411 1 479 4632 1 10325 625 1 2368 186 1 174 7982 1 1178 7530 3 7194 1746 1 8229 3571 1 13518 372 1 12353 6227 1 3853 3545 1 18054 2312 4 1838 863 18 13010 5425 15 17219 1480 1 6061 5329 2 10590 1237 1 10999 3337 6 1221 201 3 6661 36 32 4935 2089 1 17061 2146 1 19137 3840 1 8547 4674 2 8174 3921 1 1705 5290 21 6544 524 6 18615 1440 1 5310 670 1 17913 1236 1 14908 167 1 3017 497 1 1546 534 1 5432 3666 8 10636 6152 2 7139 2019 1 19476 210 1 8503 229 1 7267 1307 2 10837 2111 1 15192 304 1 879 2327 10 19449 23 6 7769 496 1 6890 6793 1 18737 23 11 18125 1819 1 10766 523 1 7219 510 2 16857 1728 1 11880 2480 1 2062 3113 5 17722 438 1 9894 4303 2 8965 1757 2 12592 23 4 12850 1707 5 17459 783 1 10676 1996 1 13412 6486 4 17652 4383 1 3550 8090 2 3742 2270 1 5684 4540 1 7432 2649 8 16096 5003 1 9758 7714 1 2898 3511 1 19993 38 1 6509 4796 1 12403 1779 1 14881 3275 5 14900 1363 3 17954 645 1 10786 5767 1 9793 5026 2 538 2831 1 13427 1034 1 13039 4411 1 1649 1762 12 15011 784 1 11044 7975 1 14051 3686 1 12858 536 2 6741 2559 1 6801 190 1 10975 3939 2 16016 4257 1 4691 1242 1 9049 5935 1 19399 7681 2 17917 207 6 4207 470 6 13359 3593 1 18775 1720 1 17224 4300 1 15668 2741 21 10471 2511 1 13225 1454 1 9597 1705 1 9783 5257 1 5977 1825 6 433 2354 1 6684 1440 1 4572 1752 4 18334 6549 6 11720 689 1 4525 203 26 1500 1913 3 13148 575 1 4412 1035 1 14301 1691 1 17918 1699 2 15893 5266 1 5601 3328 1 19060 215 2 17263 853 1 4267 5744 1 12785 3065 2 1263 200 13 12731 7076 1 3150 971 1 1398 3012 2 13233 4065 2 3744 5922 6 7602 1888 2 9659 6487 1 12757 1707 1 15368 263 2 8125 7604 9 7914 765 1 20277 1338 1 7390 95 2 10373 698 7 8615 631 2 7015 219 1 5837 8022 2 19476 1772 2 18014 3298 1 4327 4245 3 19360 1237 6 5863 2652 1 2030 1686 1 5056 8197 1 6545 1745 2 18743 5009 5 6006 1345 1 24 221 6 15107 834 1 13888 2290 1 4165 1324 1 9642 1784 3 868 6371 5 19073 660 1 873 4231 1 13860 7234 1 13427 1732 1 17589 2415 2 7815 2709 2 16234 6435 5 2580 3971 6 15818 4610 5 5860 506 1 4667 7689 5 8482 1751 2 15712 1357 4 4092 365 2 12663 220 1 9447 3611 1 17010 1727 1 4632 1769 1 10684 197 1 12424 1731 1 1276 502 4 7197 3556 12 14658 3911 3 14114 2963 1 16489 5177 7 35 1869 2 15314 2995 2 15016 7719 1 6853 1322 2 4821 1454 3 11744 1448 2 12227 2606 11 15269 1740 2 15397 5758 18 6283 510 1 7881 4623 17 2831 3258 5 6897 1738 1 10586 3138 1 12060 4848 2 10727 1781 1 16170 4972 8 16695 4029 1 3213 3298 1 62 2874 4 8620 84 1 11450 52 1 3907 3007 1 11985 7632 1 15595 875 1 83 367 1 18386 839 1 12729 219 1 6749 7088 1 2283 1191 1 14278 514 1 8795 1356 2 6543 207 1 10918 1359 1 5994 8122 1 14522 1399 1 17165 7229 2 15726 5133 2 9596 1757 2 11577 698 3 17953 173 10 6250 505 1 19975 875 1 13797 1062 1 4867 2549 2 10258 7200 4 12548 338 1 9752 196 5 1689 5446 3 8494 1825 9 1922 1374 1 5449 429 2 9286 1564 5 7997 3911 1 2220 7047 1 7211 4619 5 6357 6544 15 18538 470 5 11634 3648 5 16036 3876 1 8394 4308 1 4236 6059 2 2094 498 2 4305 6515 1 889 869 2 12782 6707 3 13231 3591 2 15687 5206 3 17088 1710 1 17432 1829 5 5863 6100 1 19875 2626 2 7413 219 6 10948 3916 1 3732 495 8 6776 1245 4 3258 1761 3 3581 2489 1 6403 1249 1 13602 903 10 11485 888 2 12850 4949 9 8008 5600 1 1125 3798 1 1172 910 1 19428 1705 1 13857 7511 1 7135 219 1 1011 756 1 4176 4555 4 7099 196 1 3031 6633 1 10016 3637 1 14633 3592 5 9098 6225 2 12075 6294 1 11871 4655 1 3910 2357 1 222 794 1 4311 4640 8 9718 929 2 10632 4824 5 65 3197 1 14046 6600 1 14968 2815 1 15537 229 1 470 578 3 16096 5248 1 11072 1775 3 6260 709 1 15683 6605 1 1481 3434 3 10547 26 1 2371 1960 10 6348 953 1 5775 470 5 5515 1912 2 15599 1453 1 12096 203 8 7530 6716 2 5837 6980 2 7669 3431 1 15548 7023 2 8674 1147 1 11029 1743 9 7610 873 1 7495 593 1 19319 514 10 1304 1583 5 18193 173 1 1337 5940 2 13131 5129 3 143 6509 5 2406 1731 4 1551 512 1 18898 6718 7 6801 3005 1 7409 203 19 4236 4136 1 15397 6150 1 1606 817 1 4826 3971 1 6807 4105 1 18036 4967 1 1904 1752 1 664 6334 1 2697 7098 1 9693 215 1 3902 8057 1 6715 1 1 10728 3552 2 775 5141 5 6256 197 3 18315 2165 9 15693 495 1 5379 5306 2 8145 2351 1 4307 519 1 16278 7312 1 19737 5461 1 7750 1727 2 14161 5488 1 4057 3821 2 15885 409 7 8022 6140 7 930 3411 3 6538 5255 1 7685 169 16 1928 3632 1 115 3077 1 17275 2665 2 19996 554 1 10862 947 1 3043 206 1 8851 7446 4 18357 1146 1 14120 6618 1 9639 3601 2 6392 568 1 4304 5005 1 1499 1781 1 15844 3635 2 17135 398 1 1625 6455 1 10928 5304 1 15965 206 1 18116 5319 2 11042 4245 1 1212 679 2 8742 1665 1 9319 1 6 4183 1296 4 9353 5018 1 1652 2575 5 16332 5820 2 10555 1593 1 4373 276 1 7256 1325 2 19152 2626 1 15943 4427 1 14320 3343 10 10957 982 4 9712 1758 1 18262 1247 1 3773 1760 1 10841 201 1 9051 3556 4 6920 1748 5 10330 3230 23 16183 6963 1 16696 2686 1 3659 4963 1 6857 7616 4 15041 156 1 11190 1743 14 5321 6534 8 1382 745 1 15778 4516 1 16016 2647 2 14289 7197 1 8597 4252 14 13009 2993 6 9322 2357 3 9284 1827 1 18291 1251 1 13730 6558 1 85 3233 1 18635 891 2 3906 1825 5 1145 5903 1 13205 6512 3 19319 5060 1 19168 2930 2 5424 2743 1 7228 5254 2 17756 5513 1 1850 7853 6 15647 1770 1 12489 1881 2 7449 2708 3 7468 1705 1 6465 219 1 19649 532 1 4530 4761 1 12740 496 22 14946 4333 1 17285 6632 1 4664 910 1 14896 6784 2 9374 1705 2 3355 214 1 11842 7543 1 2588 1990 4 17665 5082 9 9242 6341 6 11458 2387 3 19272 7533 7 896 1245 1 16676 3909 1 14211 504 5 1418 1762 1 16712 6557 2 18881 201 12 4356 1751 1 12244 1250 2 18501 5084 1 1964 290 2 916 5852 3 2531 1755 1 362 1758 17 17654 418 36 10953 4069 1 2998 1582 2 7060 497 14 8419 1721 1 1867 1990 1 7857 514 2 3326 16 1 6144 1257 1 6524 524 11 4386 1396 2 3630 4258 1 19740 197 2 567 888 1 13909 2935 10 13628 1819 1 15025 308 2 85 2880 10 787 3684 7 15343 2348 2 2718 215 1 11155 5670 3 13025 1991 4 9645 470 1 3233 2727 4 19724 867 1 10452 7975 2 16468 2392 2 8947 1695 2 18768 3321 1 19588 314 1 170 7606 4 11461 184 3 8657 2993 1 16860 7033 1 16231 3369 1 8944 474 1 14005 6597 1 2548 1251 1 6704 7279 1 215 5266 1 8439 2354 1 7442 268 1 19101 4446 1 1370 1994 1 3742 219 1 19143 929 4 10633 1751 1 14350 2662 1 9104 1466 1 1109 303 2 3765 524 2 340 2494 1 16232 3476 4 13302 1743 1 2899 3024 2 16196 1689 1 11104 1659 1 17014 3283 6 5652 7029 1 2698 867 7 19922 8145 5 8475 7642 4 1138 222 2 16881 5738 7 124 4009 6 14114 2488 2 19464 745 3 9660 1250 3 12026 6677 2 1591 5637 1 18267 7424 1 8408 1751 2 14522 512 4 15530 15 1 17827 6110 1 5754 1990 1 17947 203 5 18413 5420 3 10046 1789 4 13461 235 2 2772 1635 4 13035 566 1 1280 223 3 10272 1296 1 3681 6007 2 65 3098 2 14149 1778 1 1141 1482 1 10401 3511 1 19184 634 2 14566 3693 2 3090 3233 1 15922 893 1 8500 1342 3 2158 3163 1 6709 900 1 4786 200 5 19562 6723 11 18431 6363 1 14570 1404 1 16200 3972 4 5022 448 1 11956 510 3 20191 7565 11 8050 200 5 4199 10 1 4940 1025 39 15940 867 18 15970 4274 1 5041 1471 5 9865 1772 7 253 1743 1 10915 1334 7 5652 2671 1 14522 506 2 9604 867 1 12299 8254 1 4822 507 1 12570 1685 1 15510 519 2 1866 5242 1 8614 8155 1 8789 4379 1 11635 5071 16 11775 200 1 1618 417 1 9902 5005 46 3277 4903 4 4147 175 2 8560 3569 1 11733 982 1 9959 2686 1 7519 623 1 5174 5105 22 6907 2098 1 658 1752 3 19480 261 1 7882 910 2 19355 5023 9 18968 3511 1 16453 1745 1 891 2737 2 16886 2662 1 1699 1764 3 10430 2413 1 19409 5325 1 7174 8194 2 10943 235 7 6740 210 1 13749 6262 5 14506 2692 1 473 5341 1 15960 3011 2 14603 5223 11 16327 7512 1 7399 6050 1 3397 935 1 9199 659 1 8962 1819 6 10923 1655 1 13165 13 6 10815 872 1 6533 6131 1 4211 789 1 14081 207 1 3947 864 2 14191 252 1 9990 1714 1 15826 344 1 19833 1338 1 16674 375 1 17014 3872 5 20090 363 1 19500 1762 4 6524 3647 1 8643 785 1 4620 1990 1 3824 510 4 12280 3639 1 16474 2834 1 4619 348 1 15861 534 2 8183 945 4 19455 1253 4 171 7697 2 1004 6080 1 16474 1398 1 14377 6548 1 3485 1778 2 2950 4980 6 8294 6816 3 19648 169 2 6435 5704 5 5734 5329 1 19181 498 1 13340 2635 1 14136 1747 1 3516 6065 1 18470 1453 9 4206 6377 1 4662 1390 11 13123 1955 1 7769 1342 1 1171 1825 7 7785 307 1 11336 5525 1 8549 4998 5 15981 6058 1 2911 3293 1 19637 5844 1 18591 203 1 2382 1781 6 15629 205 1 7325 4595 1 18104 7089 1 17563 2645 3 2984 2556 3 5701 519 1 8438 4554 4 6434 553 1 10245 101 9 3447 3138 1 18534 4799 1 6059 3351 1 11131 4314 2 15466 1249 2 7184 215 4 2902 221 1 10531 2330 1 2645 236 1 1647 854 1 171 2011 1 16676 1395 5 19316 1266 1 9249 530 1 10007 2268 3 12817 493 1 4072 2011 1 19122 1762 1 14305 817 1 19094 1190 1 3137 517 1 745 1296 1 16130 2786 1 6236 6890 1 19822 2691 1 6095 5254 1 296 1685 2 140 6468 1 4790 2729 1 5560 3338 3 2126 3460 4 16057 4022 2 1893 1903 6 4410 6629 1 8198 880 12 16847 1958 1 16500 1698 1 9388 3472 1 17911 2600 1 8311 411 1 415 800 1 17743 6047 1 3822 516 1 954 3664 1 12706 7537 4 3890 409 1 1355 222 1 4825 4204 1 19505 1739 9 11387 3895 4 18169 2262 1 156 7185 1 11526 8062 3 20194 1895 1 8017 3909 2 18986 1732 7 7764 1827 6 13587 2118 1 43 2260 5 18442 6865 1 925 1788 1 19809 470 1 17088 1722 1 11047 7734 15 2194 872 1 7991 1996 1 880 1705 1 12267 6680 1 8113 745 1 16468 3697 8 2488 411 6 16828 1780 5 7257 1742 1 3803 3573 1 4076 1707 6 5813 5113 2 1437 1424 1 19616 203 1 2860 2584 5 1461 853 1 14814 3592 1 6235 974 1 5658 206 2 16783 4996 1 6975 4609 1 14084 7410 10 9793 6602 5 14328 343 9 8978 1707 1 5795 232 1 11446 6993 1 5778 197 1 16948 5783 2 7962 5060 4 3898 3685 1 8439 3338 1 2540 1729 1 11318 2351 1 16625 867 3 3739 2386 2 19144 219 11 5826 4326 1 12841 2367 1 201 308 3 17685 7354 1 14476 1827 10 11687 3888 4 13093 2407 1 9408 3649 3 6228 5286 1 10684 1664 1 11435 5222 1 8618 201 3 16841 201 2 252 3206 1 14957 7112 1 4328 2668 1 7757 2608 1 861 300 1 5100 1995 1 5983 1539 15 17696 7701 1 8444 2633 2 4037 228 2 8097 1946 2 12280 3492 1 14952 341 11 17954 2993 1 15960 8145 15 7524 1535 3 11824 3535 2 659 3556 9 16844 4395 4 5731 4395 1 3801 5517 2 13725 4103 1 13667 214 1 10205 7422 1 10783 4534 1 19872 5411 1 20202 184 1 7756 2758 1 3488 1309 2 2842 840 2 9776 657 10 782 532 1 14471 1082 2 5453 1250 15 10279 2268 1 20100 6074 1 6149 2661 1 20263 7234 1 18481 4992 9 13622 23 1 10501 477 2 16568 3871 4 12602 2646 1 6033 244 1 8626 8051 2 3871 1399 1 3322 3974 2 16138 1243 1 124 5496 1 9781 6554 1 17788 8026 1 13 639 5 2998 1238 2 15755 4977 1 15280 225 5 3786 6713 1 5763 221 2 11343 2428 1 19340 1783 1 7136 3946 1 3100 1825 1 756 1775 1 12736 7769 1 15948 1775 3 1719 3132 2 7135 1758 1 15640 233 1 14011 645 2 9046 1285 1 11516 99 1 8626 1332 1 9993 533 1 5531 3511 1 15726 4981 2 6283 221 1 5032 741 1 1590 759 1 126 5620 4 11786 319 3 11637 5156 5 9269 4248 1 3593 4000 4 16476 6495 2 17761 1407 1 12817 6213 1 2803 3845 1 18946 562 1 314 1739 4 13266 7520 1 6724 671 5 3793 1801 1 8117 2786 1 9977 7562 1 6929 3230 4 2795 1237 1 5356 1725 1 4985 3512 1 7994 939 1 48 2382 1 18530 2704 20 6845 3666 1 12684 7182 1 16775 3203 2 868 6561 11 16881 1751 1 13909 1717 1 16994 5018 7 19278 2573 13 819 4299 1 8528 1164 1 9072 3227 18 11889 1146 7 15753 1686 1 12196 4241 1 9714 840 1 16431 2358 2 9096 1781 1 2151 6088 1 9426 2620 13 14994 4969 1 9548 6868 1 7916 222 2 5023 2344 3 16016 8251 2 13050 2013 1 17296 201 3 4301 505 6 8528 3511 2 322 1721 5 4796 404 6 2858 906 1 15943 755 1 6504 8181 1 16292 5256 3 14296 1819 1 13322 6276 2 7241 6150 1 6776 1357 9 6137 1734 1 6228 357 1 4376 7542 5 13743 7735 1 5653 2645 3 13928 6012 1 6690 496 3 12521 581 1 9606 23 2 7625 3426 1 747 3679 4 17738 1602 1 2552 234 4 13893 1474 5 12712 88 1 12900 2498 1 5775 8141 1 15339 519 1 5565 89 1 18487 3387 63 8484 3608 6 11214 167 1 3337 1282 1 1670 7446 5 6060 518 1 13787 1942 2 5866 6415 1 11114 6945 1 4237 943 1 16016 5339 4 19820 335 1 12394 1374 26 8416 1239 1 12453 5332 1 13126 2290 1 17159 4998 1 1228 207 1 1338 7342 3 3805 4943 12 8022 5162 5 6164 502 1 18115 864 4 8872 525 1 10771 1103 1 6769 1734 1 74 3484 2 10329 3516 1 6199 518 3 12817 545 2 15025 3477 1 14818 4745 1 4632 227 1 8064 505 1 9881 1351 1 20276 1164 1 10270 6682 2 19993 6551 2 7096 165 1 14159 303 2 7994 6011 1 18933 2671 2 3742 2166 9 9065 6723 1 19461 4672 1 13734 785 3 17960 6402 1 14908 4314 1 4584 8192 12 3093 7920 5 10799 4051 2 6332 3287 1 5588 4296 2 15754 6286 2 7893 2747 1 6781 498 1 13662 3367 1 443 7520 1 12815 1779 3 16270 665 3 7781 5803 1 17847 2915 1 15530 2555 1 3287 4459 1 16700 661 1 4815 2696 1 13345 1644 1 847 2877 1 133 2807 9 17600 1184 1 3569 6892 7 121 568 1 10843 571 1 6892 939 3 13404 500 3 17947 6210 2 14356 517 2 12261 201 1 18982 1972 2 18546 6680 1 8478 357 2 19929 1734 3 4260 2343 1 11607 1717 1 16643 6861 1 13193 910 1 12575 1464 2 16147 3225 1 7774 205 4 13046 505 1 822 6925 1 18115 7948 3 14778 4351 1 18487 1756 6 16767 4411 1 11896 3540 1 4408 4992 1 20 1341 1 12322 2675 2 4519 633 7 5871 235 5 17257 201 1 10548 1772 1 1013 6691 1 8001 1107 1 107 4795 3 19731 1395 1 5690 8091 2 4030 694 1 11598 2118 1 6753 7851 5 5972 5390 1 19633 3138 2 5176 1246 1 4992 222 1 14700 880 3 18353 4531 1 12548 1760 1 19282 6481 5 14459 223 140 16109 6622 3 552 5420 1 140 6399 1 6647 3799 2 18656 646 2 7251 1985 2 16288 203 2 9007 2404 3 8174 7826 2 6070 1909 1 4437 514 7 11277 2849 1 16484 5564 1 17377 8093 1 5884 5425 1 1589 936 1 12393 3333 2 965 4902 1 11053 514 1 19991 1450 1 5370 4152 1 9572 821 4 3379 7980 1 11024 7859 2 7974 1303 1 15101 519 1 4146 4792 2 8275 4400 20 1422 3637 1 3440 132 2 10245 3459 1 11399 1548 2 2021 1296 1 17719 503 2 10382 367 1 13705 523 1 145 6688 1 14210 891 1 2429 232 3 4170 1991 1 15011 853 3 14845 5379 1 10114 4232 1 11082 562 1 16048 5730 8 10165 853 4 3296 561 2 14114 2504 1 9651 4029 4 8591 1395 4 20090 4211 1 6717 6082 5 7556 3155 1 15802 1332 1 13925 4585 1 4837 7101 4 13985 432 1 9755 1234 2 16518 1717 1 17742 645 2 12893 2262 3 8087 910 1 4688 4459 1 15497 7807 1 135 6170 2 9215 4199 2 5124 1731 1 13062 5285 2 6084 1104 1 8001 5005 2 2886 577 1 16471 6091 2 6906 1518 1 7350 3591 1 6515 533 11 2905 792 1 13238 6398 1 6687 3715 1 10452 1184 2 9718 3216 1 5681 1242 1 10503 3642 1 6021 1109 2 10897 8109 1 10996 2698 1 10098 6713 1 6332 397 1 18144 2683 2 1852 1979 2 4223 518 1 18400 347 5 15204 1720 4 5881 2678 24 18766 5513 4 18690 739 1 12118 7890 3 18812 5016 30 10528 936 1 9941 4380 1 8282 2528 5 4867 506 3 18792 834 3 15558 2571 1 14599 709 1 11042 23 1 3718 7682 1 17960 520 4 181 8202 1 8893 303 1 16314 1992 1 14517 6875 1 13735 4623 1 10579 2089 1 10720 7021 16 17157 219 92 13634 6457 2 2096 4531 1 14539 100 6 3515 6080 1 1032 3685 5 1617 10 1 18049 2671 1 18538 6342 5 8036 4681 1 18946 225 1 9596 492 1 1 89 1 183 233 1 16202 759 14 5637 203 4 15103 6080 4 15818 292 1 14393 3279 1 11467 177 1 169 7585 1 16431 2650 3 8906 3570 1 455 2981 1 19822 3973 3 17977 215 6 7507 1247 1 10452 6262 1 6556 5504 3 1428 6499 1 6154 222 1 2071 5312 2 19955 998 7 13175 1748 1 2529 690 3 16787 2563 25 11760 1245 1 1809 5757 1 19200 329 18 16440 2899 11 11441 6714 1 62 2771 1 5280 1761 43 10500 7576 2 8261 502 1 15100 558 1 4071 1994 1 10549 1739 3 10160 5692 2 6539 590 1 18546 1643 3 18939 5036 2 164 7434 2 7098 7240 1 16100 541 1 10783 460 1 1389 870 2 16863 533 2 9573 219 10 2739 3471 11 8673 2357 3 17089 2280 1 15427 3144 2 6431 1613 1 2946 7921 5 18155 5525 1 14591 3596 24 10999 475 1 15194 5314 5 19289 4245 1 15202 1184 4 16270 709 1 5449 4342 4 12872 223 5 9773 822 1 19533 1829 10 4489 6564 1 5294 1054 1 12051 235 1 19565 574 1 5335 4312 1 9546 656 1 2970 1752 1 171 7769 6 8702 5549 2 4898 1816 1 13313 101 1 4192 6108 3 2703 6106 2 19026 203 15 6070 1610 9 17865 704 1 10740 235 3 14253 502 3 151 6801 2 18563 5897 9 1206 2864 1 10356 1271 3 18137 193 2 3742 2656 17 2724 1990 1 5202 690 5 19183 5648 1 13185 1946 4 3505 5254 1 5528 502 6 2791 1420 1 16423 6163 1 14024 1685 1 4898 167 5 4208 167 1 1609 1704 1 79 3553 1 1290 2315 1 1839 6588 1 31 1739 2 270 505 1 10439 236 1 12060 3447 1 17053 859 2 8223 7772 3 14114 814 1 7663 809 1 1019 6560 2 14633 5903 1 13441 2534 1 15307 3431 1 10060 6635 5 16513 8012 2 16457 982 1 19822 4320 2 7112 2560 5 12412 5311 1 16404 7420 1 12052 1755 2 11411 1752 1 6712 819 1 14522 734 1 5850 2676 2 140 6383 1 6806 6150 1 3799 1779 2 20114 222 2 3485 1784 1 15429 5260 1 19993 1955 2 18092 200 15 19846 10 1 18202 6494 1 2531 5324 5 11469 888 1 13363 4591 1 11388 65 3 8435 148 6 10591 1357 1 3924 3392 1 15468 1146 4 12929 964 1 10453 215 1 11782 6484 1 15346 888 48 11592 61 1 10358 7439 1 15159 3734 2 14222 1819 1 6502 5053 1 10948 2240 1 3826 1153 1 14102 1383 1 6208 1706 1 4147 2721 2 10228 6053 3 3485 1714 3 3871 46 7 19130 1909 1 19305 2935 1 16373 7576 1 19822 7997 1 11279 4065 1 15952 2005 1 10948 1267 1 5804 2410 1 13374 1757 2 243 4451 1 10518 1643 3 12789 3824 1 14845 2675 40 1741 1235 1 18944 7946 4 9419 7231 1 11817 4588 2 9886 1705 1 7227 4606 1 10088 3309 1 19147 3884 1 17907 2675 1 10105 496 1 12753 7282 2 171 7811 2 2786 1768 1 4446 6155 7 6861 1253 1 9117 4411 1 2886 798 1 19596 597 23 19250 4983 6 17132 1776 1 17935 4796 6 11020 1201 8 16361 1261 17 15870 6640 2 16345 2635 1 7568 4796 4 9244 532 1 1690 190 1 10720 295 1 12698 637 1 117 411 13 6906 171 1 14507 5153 11 15870 792 3 1983 191 12 4389 1243 1 12988 5537 1 13727 502 1 3368 4099 1 2183 184 2 16479 1445 1 18819 303 3 18843 4615 2 3059 4219 1 1286 2591 1 18909 252 1 11132 7235 3 11371 1509 2 5877 1399 2 5598 6704 1 2413 2762 5 4299 1782 1 5124 4050 2 7498 6868 16 12079 1721 1 13152 4585 1 3239 2970 2 14416 215 7 19045 214 3 2196 1770 2 18149 520 8 1774 4989 4 5185 3304 1 11238 8095 3 17906 7948 3 2003 6159 1 70 398 1 14318 2399 1 1966 7512 1 13723 1072 5 19532 4716 1 20063 7604 2 5171 869 1 5414 4403 3 12000 7404 1 5798 7125 2 10593 6268 1 11189 1010 1 13735 471 1 7368 3840 1 40 2119 1 17486 3842 69 16176 6097 1 18421 411 1 11544 4562 5 16417 2711 12 17088 498 2 3945 2239 1 18866 4807 1 13383 5586 1 11195 498 3 19382 4811 11 4552 2352 1 9017 7477 1 11317 1331 1 19561 1151 1 2550 2661 3 7041 215 1 10103 3666 5 16989 4435 1 14671 1132 3 12274 3330 9 5531 3636 5 15978 4738 1 6652 6204 1 3397 605 2 9168 7550 1 2865 6928 1 17007 682 1 12291 244 1 18237 221 2 7851 4397 4 10268 1397 4 7905 7632 1 9124 7558 6 8128 84 1 16926 4460 1 5004 496 6 14954 6592 1 5412 1282 1 9187 1234 1 19916 1245 4 1137 621 1 19284 8141 2 11654 5737 2 10555 4363 4 17143 698 1 9886 2407 1 4309 3666 1 10829 4656 1 13116 8103 12 4234 3895 1 20054 206 1 9792 5278 3 18357 903 1 1908 411 2 4954 1153 3 19097 883 1 17 1139 2 20222 2646 1 4671 2563 1 3016 3138 22 14678 5385 1 6183 6588 1 8350 1956 1 11154 6192 1 3127 1721 6 5515 6130 1 5059 303 1 10355 2395 1 11404 193 1 10730 3512 1 16491 954 1 19193 1743 1 1801 5312 2 3075 219 2 8532 4029 2 12410 4296 1 14 976 1 18431 910 3 9007 235 1 114 5136 1 16036 7901 9 8086 2737 2 2271 1271 1 7828 203 1 954 1105 2 16997 1101 14 1807 1612 1 1483 3956 2 3247 7229 3 6513 5446 1 124 5410 1 14721 2369 1 17172 4936 11 18542 1729 4 689 6754 2 10128 1758 1 20034 239 1 11497 2488 2 11853 520 3 1710 1688 1 17370 207 1 7986 6080 1 7851 4403 4 2081 229 1 7392 2743 1 8268 1728 6 3795 2675 9 13683 534 1 804 2508 1 7575 498 1 3485 1727 5 14197 304 3 16019 426 2 19380 2369 1 18785 1305 1 3390 5420 1 12317 223 1 1752 4245 1 15833 743 1 15979 253 6 18546 5413 2 3149 1657 1 12147 232 1 19154 541 5 10575 926 1 13645 3742 1 7943 1104 1 630 5794 1 7904 712 2 16719 3011 1 3316 1256 1 3911 8069 1 15012 6751 4 14685 3317 3 18681 1288 1 9908 206 1 12723 2863 1 12992 5018 1 9652 7772 1 15750 2489 1 9168 1770 1 9596 7520 2 4667 4252 1 7532 1304 1 5263 2381 1 11074 3430 1 16249 232 1 4465 4803 5 19378 201 2 15940 597 1 7135 1719 1 11721 295 1 682 5597 1 10051 4560 3 9865 523 1 7493 5018 14 13714 1237 1 12793 6220 1 7166 1728 2 14643 3 2 12740 526 2 12035 508 1 6668 1403 6 13238 4029 1 9025 2043 1 12433 3358 3 4546 221 1 15634 2653 2 19705 3670 18 8268 413 3 17571 215 2 11343 2413 1 1821 6591 2 17518 5234 1 13960 2727 22 11461 1721 1 786 4320 7 17416 6457 4 14828 3863 1 3427 553 1 13935 5484 1 14647 2356 1 15790 10 3 2056 1745 1 17760 5878 21 2271 3950 1 1154 1245 2 5791 197 1 18543 1825 1 1666 1453 22 755 1743 1 9622 7525 1 4519 1332 1 19344 1728 3 11697 5325 23 7956 1747 1 7173 1239 1 3147 1269 1 9224 771 1 443 7534 1 4995 3156 1 2611 3556 1 10534 214 2 13315 6721 1 2529 912 1 5980 200 6 7065 1615 3 5856 7666 1 16924 3722 1 11687 500 21 1635 2647 2 19719 4339 4 8237 2649 1 7769 700 1 1005 2270 2 2274 571 2 14626 7862 1 12638 233 3 19770 1779 1 13809 5288 4 17506 8127 6 1263 508 1 5652 2620 1 1465 1784 1 3806 1184 2 17746 502 4 2198 221 5 11018 1235 1 65 225 2 11882 5255 1 3557 222 1 10498 7719 4 15893 3591 1 7700 275 1 9309 249 8 16081 6591 1 5791 297 1 10327 7510 5 14896 229 1 12169 73 1 19122 6099 1 10731 4967 3 7111 1814 48 4187 520 1 10413 5051 1 9186 6268 2 3025 510 2 13352 907 1 7376 470 1 17168 184 1 5172 724 42 20145 1244 2 1875 1184 2 4495 8060 1 7355 889 1 10916 1538 1 6617 409 1 10730 4320 2 16046 7885 1 1746 2494 1 12139 5837 2 19881 219 2 18404 1023 1 12168 211 1 15865 1121 2 15429 6751 1 2104 552 1 15896 1250 2 5992 6723 3 14219 7287 2 18171 221 3 10692 912 2 12619 1748 3 18821 1244 1 9194 6009 14 13842 4137 1 4267 1806 1 218 7468 2 5307 1613 2 324 504 9 6241 6334 1 18585 4983 1 4371 545 1 10741 4204 1 19943 534 1 4756 3230 5 15318 3876 1 6958 1193 1 8952 7220 11 18681 2606 3 445 2671 1 5785 532 1 476 2584 3 10413 6615 1 824 6692 1 9864 5320 4 1494 5425 20 5264 5090 13 12841 23 2 17553 1591 3 9468 7576 2 270 2667 1 1159 1906 1 17473 8203 2 18999 1730 1 9025 3512 1 1677 7573 1 153 6891 24 19082 5325 2 811 1236 1 17803 5989 3 5589 1731 1 11751 3330 2 10912 7657 1 6400 497 5 6343 1184 1 8656 4029 2 6519 545 9 15581 8183 2 183 237 1 14276 3601 1 3581 2317 2 10145 8144 1 11 416 1 5303 6674 1 19955 4435 1 7828 4391 1 13795 4345 5 13289 1539 9 2084 3625 1 3391 5063 5 9132 203 11 12954 2354 1 1741 5575 1 4492 470 5 7001 207 2 5661 1151 47 2690 921 1 5999 2559 3 2752 4667 1 15445 5557 5 10554 341 1 14416 23 1 13997 4282 1 15130 4312 3 3396 495 1 6070 1745 1 5491 4716 11 2663 222 7 16706 5312 1 11773 7205 2 18133 214 8 809 2626 6 1799 244 1 17069 2392 2 2917 203 11 20191 3400 3 19872 1785 1 5801 823 1 4549 1757 1 19348 2355 4 8233 1781 2 5401 173 1 11020 267 7 3312 219 8 17359 6512 3 8717 7726 1 5985 6980 1 18578 4274 1 5385 1035 1 4135 2146 3 4544 7433 5 4995 5021 1 15025 6468 1 4 148 5 19872 243 1 4452 1740 6 3177 4022 14 20019 1781 7 16073 219 1 20090 365 1 17788 2864 1 1465 5945 1 11545 464 5 2937 1548 4 19792 1046 2 8878 7227 1 9457 4597 2 15005 23 23 11091 3920 1 3106 1721 1 3966 7819 1 13266 229 1 2390 666 6 12770 7976 14 18524 957 2 4455 2582 1 5049 5374 1 12030 1881 1 19405 6361 1 9511 479 1 17884 2708 1 20180 716 1 14519 638 1 6896 716 3 1130 3729 3 17808 167 1 13566 6141 5 9192 3512 1 7823 1017 1 1130 1184 58 3581 2668 3 143 6500 1 5205 148 64 3414 8194 2 8174 876 1 7919 7402 5 8980 1363 12 5916 1274 1 20126 3061 2 3100 6341 5 8819 1754 1 17252 3622 2 20085 3134 1 7194 6236 1 1043 7935 1 11981 5555 1 11796 577 1 593 367 1 15281 3911 1 4620 215 7 6107 1698 7 16639 1247 3 3701 409 2 16288 201 2 9432 3735 1 18748 495 1 19235 3517 2 5728 2256 2 6475 1781 4 5612 5252 1 12244 201 1 4370 3315 1 14298 1416 1 16274 5026 2 14555 6286 9 12363 327 1 422 4156 1 3872 1788 1 2442 6414 2 712 3911 1 16691 3262 4 4519 1825 4 12133 1032 1 1387 1421 12 4963 1705 2 5632 1727 3 11360 5172 1 6137 4011 1 19888 533 9 15601 3333 1 4851 221 1 18976 2196 2 1580 1154 11 15722 1237 1 15439 184 13 1181 2882 1 9161 7497 3 471 4242 3 8884 4037 1 12888 1764 1 19063 203 3 12517 7101 1 16436 11 1 17536 1686 23 2834 4312 5 2223 1743 1 9784 1482 2 15332 3324 18 18064 7643 1 13863 236 1 20050 2299 1 7956 510 1 9337 2513 1 162 525 1 10365 2710 2 16474 1334 1 19156 1710 1 14810 2968 1 4806 3411 1 140 2647 1 11671 1484 1 14048 6164 1 18278 6801 1 11072 2370 3 19680 2968 1 7996 7101 5 5456 3869 1 7734 5408 1 159 7252 1 7269 510 1 5899 7575 1 1030 533 15 2484 221 1 12619 1271 1 6502 1466 2 4791 274 1 9518 1716 1 1321 7674 1 14629 1277 3 14502 1783 12 18725 3374 1 12715 214 6 7270 1783 1 2101 5018 1 18993 4283 1 3426 4435 2 9989 5561 1 14989 533 11 18071 1147 2 20174 196 1 1939 1495 1 10830 1738 2 15849 505 1 1966 2069 1 9344 1253 1 7474 888 4 9546 804 1 6656 6341 2 14063 4274 1 1145 2127 1 1701 7222 11 15722 1771 1 18033 6546 1 9201 1379 1 4400 5018 10 7469 2668 1 8117 4455 7 16795 3671 2 13097 2534 8 115 5188 1 3617 8083 1 1897 1825 1 6152 365 1 7268 4325 2 2430 500 5 11270 942 2 1996 6204 5 17647 379 1 18593 1727 24 7279 292 1 18325 7834 1 13204 782 4 18886 229 1 8033 225 1 10340 7235 12 7354 52 1 9934 2234 2 2204 3230 8 379 1239 5 18821 4132 2 1386 519 1 13684 467 1 6244 203 15 14568 5325 6 3175 5759 1 14612 186 1 12320 1707 1 15722 1242 1 1050 3619 1 10645 1342 1 4346 4998 6 12737 173 2 14778 498 4 5176 2992 1 12634 1986 6 6327 880 1 13148 6051 1 11261 5333 2 5372 5266 1 13971 452 8 7780 1314 2 174 7981 1 19637 818 1 1782 2641 1 16629 3172 1 4832 136 1 6740 594 5 17724 1187 2 1650 219 8 819 232 1 4106 4013 1 8207 1727 5 19331 1788 2 6864 6285 2 18409 1280 5 6322 1764 1 14668 368 1 18193 1582 1 10874 261 1 10026 7898 1 27 1612 2 17374 5115 1 8362 501 3 16742 235 2 13234 4075 5 520 4186 19 9468 1776 1 14661 2675 21 17571 221 1 9816 5905 4 9193 2356 2 8255 2586 2 15948 201 10 11392 3266 1 5860 1395 1 17995 5063 3 899 5445 1 1812 1819 2 8174 1164 3 5642 4366 5 10179 7622 2 13069 1916 2 18008 509 3 1912 4792 2 13517 3685 5 7641 252 5 6228 885 1 19360 7614 2 6191 577 3 8650 1504 26 9984 3999 5 17389 7097 6 3669 2708 1 17061 3748 3 9188 962 2 17633 2729 1 18976 219 1 42 2216 1 6058 2027 3 17066 2508 1 7127 5491 3 19204 4266 4 19387 1686 1 10763 2617 1 19160 6204 2 840 5018 1 6465 200 3 6556 5016 1 6077 203 3 7361 4706 1 18293 437 1 18370 7085 1 8878 637 1 6512 5904 1 11481 7477 1 15365 1531 5 6073 6201 2 18681 690 1 13290 1768 1 5739 223 13 8278 6457 1 15926 1718 3 6332 629 1 3544 1740 1 3037 2577 1 15485 201 2 13356 6542 2 10448 1743 1 1263 4998 1 18431 525 1 10494 1278 1 18730 2115 1 5436 1789 3 18508 5193 1 4095 3065 6 11516 2415 1 4627 3114 1 17697 7404 9 635 1342 5 15297 2477 1 1839 1779 4 4601 3462 1 8586 917 1 334 3283 1 17889 2292 1 9693 341 1 16941 870 3 16674 403 1 2750 6330 2 15776 3399 1 15599 48 1 16261 2687 3 15180 6072 1 18879 1209 1 10850 2444 1 7640 1480 1 18660 1091 2 16426 5507 3 8714 6714 1 3509 1454 1 510 1590 2 3523 374 1 7296 524 1 5072 5996 1 17141 1147 1 10856 6640 1 9224 599 1 4410 7832 1 18876 874 2 3521 943 3 16022 3557 5 12933 23 3 5573 780 3 3027 1714 2 62 2883 1 118 5229 1 14474 223 1 8123 308 2 18267 8235 1 19982 4065 1 14698 2668 2 127 5747 1 12988 4609 1 8982 4609 1 11581 173 1 3037 1342 1 3934 2108 2 1783 219 5 4599 1965 4 5093 2569 8 10495 6099 1 6479 889 2 20145 502 2 15948 1730 2 18518 7853 1 18040 2792 8 19602 4199 5 15088 219 2 3516 52 1 11509 6204 2 11789 7602 1 9945 5586 1 4331 840 1 4050 501 1 11473 6053 2 18968 4478 1 10303 3748 2 19100 6322 4 12424 1036 5 5478 3333 1 3106 1770 2 8687 207 2 3073 1483 7 11363 2966 1 5483 1717 1 15272 508 2 9937 5036 5 7362 2265 3 10641 214 1 7138 5022 1 16819 1946 1 14957 1369 1 12067 831 1 4259 5994 13 6088 1752 6 3531 5004 2 15573 5370 5 4674 1260 1 10639 1776 3 10511 3494 1 10650 604 1 13768 4764 3 11072 221 5 13436 4204 2 2980 3626 1 8679 6064 1 5356 890 1 10197 1105 1 7802 1829 1 56 1726 1 14275 1374 4 19486 1338 1 8080 2387 1 17260 6023 2 15920 6705 35 5336 4763 4 4183 3361 1 1013 2343 1 4068 1738 1 13790 200 5 1677 2104 2 16228 6665 10 3705 5262 4 18353 3023 2 5813 3629 21 1050 1399 1 72 3233 3 13437 3179 1 14036 3907 1 9270 6137 1 4753 1239 9 19461 719 2 17243 221 1 15247 215 2 3175 1658 1 1291 3900 1 9141 5022 1 2922 500 1 6302 1116 1 649 1946 1 19594 3483 7 2174 4893 1 8687 4077 5 17569 452 1 19283 1247 6 16570 2003 1 12806 6512 1 14839 482 1 7267 1656 1 11705 4448 1 51 2531 6 17524 8158 12 838 214 3 7757 3190 4 18092 219 3 9762 8053 1 12806 2632 1 5162 2363 4 7999 7632 1 484 1728 1 18078 1209 1 11698 1950 1 18421 207 1 10402 627 1 15364 3549 1 5624 1288 1 16236 525 4 3687 708 1 11949 5575 1 3487 2056 6 19182 2355 1 4555 897 2 15091 4508 1 19881 3900 1 10187 4303 14 6357 867 1 4615 1373 1 19872 1380 1 14951 225 4 15206 4257 3 3265 1686 19 19470 1378 1 17062 676 3 13574 2895 1 11203 533 1 6348 720 1 3555 5018 1 3759 6109 1 15044 8184 1 18286 1259 1 15898 1235 12 83 3863 1 15620 219 1 17056 1819 1 16775 1236 16 2374 2325 6 2381 1672 1 16036 3880 1 19169 235 1 19811 1819 1 3025 498 1 7868 7091 1 3326 1818 5 12837 8040 3 10561 1251 1 12925 2144 6 11905 3453 2 1653 2250 3 3647 6897 1 6013 5099 7 12521 857 1 4382 215 1 19930 604 1 16892 7976 1 16921 2331 1 10205 3905 1 17664 196 1 8580 8012 11 4223 233 1 13600 2675 8 18574 1666 1 12209 7998 2 4959 4090 1 16192 498 6 5477 6490 1 3505 2056 2 42 2243 4 6204 6697 9 2045 3619 2 406 4623 15 18635 1720 5 12303 1070 1 174 8009 1 6592 1825 1 3817 1482 1 613 5259 2 2576 6174 3 16024 4967 1 18286 1747 1 18587 3556 2 12865 156 1 13999 1993 1 5398 2569 5 18183 880 1 4371 4918 1 4759 2714 1 5595 4643 1 5124 1703 2 4615 1358 1 15056 891 4 6907 3810 1 17849 6237 1 2003 6252 1 20225 728 1 12898 2257 1 19233 2889 9 17392 23 1 4980 1946 1 7604 2528 1 8621 2993 5 3992 2378 1 11122 706 3 6774 3635 1 15945 7981 1 11846 203 1 6071 2009 1 10105 1245 1 515 5758 1 3118 5150 6 9250 629 1 12392 2747 11 5273 2355 2 7568 6130 3 1466 1727 2 14404 5550 1 4166 2675 2 14346 1710 5 7228 5291 1 9337 6761 1 3229 1464 4 4967 2710 1 15194 897 9 4452 4403 1 10684 1334 2 1461 3263 1 5144 3273 1 2093 2855 1 5271 6727 2 1810 23 3 13711 6783 1 13465 2922 1 684 23 10 2186 225 1 16600 586 1 16754 6597 2 6556 7515 5 14306 235 4 9927 1827 13 1424 4060 1 6183 1726 3 6545 3686 1 16938 1695 2 9441 335 1 18535 312 1 5956 5258 1 14583 1643 4 14933 203 6 18843 1829 2 17870 2966 1 1054 5532 1 14218 8036 3 12686 4591 1 7555 7368 1 15296 1062 18 524 5618 6 3180 7273 23 17680 2968 1 909 1958 2 15323 1748 1 14118 1122 1 8628 7929 5 3025 1828 1 15676 3167 2 17327 506 12 10671 1658 11 14037 1374 1 15776 235 1 3376 2931 1 9209 1738 1 19729 1727 1 10604 761 1 14826 2554 1 19246 2626 2 5677 597 1 6184 7809 1 7230 7869 3 3879 1645 1 6453 2653 1 20114 2419 2 5952 222 5 7306 893 1 9762 3227 1 5847 203 8 14544 947 1 2186 1250 1 7010 2351 1 8687 201 1 7535 6047 1 14230 207 5 8735 214 2 14753 201 1 8609 2653 1 8495 7216 12 11368 1721 3 16450 1091 3 9191 5245 1 17021 1243 1 8055 508 2 2704 7530 1 20126 2480 2 12916 4623 1 8268 206 2 954 6309 1 14769 84 1 18115 1726 4 3281 1246 1 10098 7690 1 6848 201 4 1760 5502 5 16041 214 2 16527 6242 1 17562 381 3 7480 7831 1 6283 1251 8 8860 3352 1 15426 3228 1 12680 1772 1 3394 203 4 19055 524 2 1677 4306 1 11279 4135 1 10341 214 3 4236 3464 3 9553 1244 5 6525 4811 2 1464 341 3 19248 237 1 153 596 1 7495 3568 1 12328 5364 1 16828 4085 1 17263 915 1 2146 676 1 19170 200 1 16036 8043 1 5972 2673 1 19025 6320 1 14157 190 1 17523 2981 1 15853 1729 3 9875 525 22 1056 178 5 4569 5002 1 5155 3695 2 5357 3749 6 17191 445 1 17361 1658 1 10864 1342 1 15397 8175 4 1326 805 1 19993 524 1 16714 526 1 18171 367 1 4091 4274 1 4898 5054 2 16117 3391 1 14629 448 1 14079 518 1 18682 7471 1 16288 207 2 18408 303 1 6387 4092 1 19156 1358 3 11366 1825 1 4165 4564 1 17394 953 1 164 2187 1 2619 5301 1 6829 4284 1 4870 834 3 12357 1885 15 7758 6192 2 19487 7189 1 557 164 1 587 939 2 14968 5916 4 7057 1903 3 14471 1985 1 10328 6484 12 12135 1211 11 36 1774 6 9029 6059 1 5763 6139 17 16109 1707 5 1059 2488 6 8503 863 1 712 1747 1 8946 734 1 15128 7517 1 19188 5115 1 1535 3892 12 8009 2635 1 19528 1819 1 15534 200 7 1218 2646 1 3734 2424 1 2674 1441 1 31 863 3 10772 541 2 8286 1251 2 9376 528 5 6111 667 1 11416 390 1 4337 2353 5 3613 184 9 19794 3540 3 17699 3445 2 17066 52 1 15429 165 7 11754 2146 1 8597 7799 1 7910 4127 5 9166 108 1 5025 3653 1 10660 4187 2 3695 4303 2 9875 498 5 6676 888 1 359 5389 4 2111 2362 1 15823 1342 1 11277 1380 1 16896 5385 1 11537 1342 2 4496 525 1 6452 99 2 19592 4245 6 14055 1814 1 2179 1760 1 18444 201 1 745 1252 1 11239 912 1 7179 682 1 18885 225 2 1090 1184 2 10640 4992 7 10459 5414 1 14418 207 1 12542 2686 4 8998 7422 2 4528 1290 2 7921 3207 1 7482 1748 13 4050 1331 1 9692 3880 1 9587 682 1 17416 46 6 18291 221 3 18175 2367 5 8091 2494 3 4603 880 1 6387 7629 1 1926 2885 8 580 2114 4 8609 2363 1 11191 8200 10 7824 4391 2 17962 206 1 9432 1226 1 2875 1453 1 48 2458 2 3765 200 7 16369 7542 1 12935 215 1 173 1748 4 12682 5763 1 15987 1146 2 14209 2573 1 10582 2515 1 135 6249 3 12344 3021 6 3483 1342 6 12078 1246 15 6527 2519 1 19732 1760 1 13932 7231 2 2689 2146 1 8206 4649 1 2338 73 9 19286 2560 1 19286 863 1 16471 1251 1 14946 1324 3 11198 3916 1 6347 4379 8 11561 1464 1 14301 2875 1 1437 533 12 7834 203 1 14117 8031 4 14040 3902 1 314 3591 1 9911 6713 1 6833 1955 1 18334 6602 9 11445 6880 1 19145 6602 3 17395 2488 3 2313 730 1 12820 244 1 3870 1312 9 10236 1745 8 14710 3751 1 14699 222 31 3284 7583 6 121 5305 1 14599 300 2 4963 5251 1 10988 2602 1 19161 7850 2 5589 1246 1 13302 2675 1 17005 1950 1 12464 514 1 17379 4907 1 9374 1745 1 4323 3477 5 7823 7060 2 17816 520 5 11428 3900 4 15034 8155 1 14211 411 2 16354 5996 1 16825 3019 2 1141 1315 1 10315 5649 1 38 1440 3 6515 3556 1 153 2380 2 5364 8034 1 6668 893 5 17454 2847 1 17331 1358 1 8895 637 3 13952 1282 1 19930 844 1 3110 4603 15 1260 1333 3 13910 206 1 1605 6139 2 14921 505 1 1677 5000 2 10783 2496 2 1999 578 26 11305 409 1 2204 907 1 344 3330 7 10625 4274 3 13891 232 3 2384 525 1 15943 374 2 2905 5555 1 11451 1374 1 19319 498 2 15471 8013 5 10758 6204 5 4092 5844 1 17992 7124 2 6853 5437 1 16529 3532 16 1026 2118 1 3462 2880 1 2953 4681 2 1551 4623 1 3322 764 2 11222 2636 4 6332 348 1 14307 6693 2 6074 3920 1 19286 74 1 7562 3980 6 7966 4032 2 17331 1334 1 2244 7342 1 8760 690 1 18626 7670 1 17220 1814 3 9928 220 1 15993 5255 1 20115 6342 11 2608 4013 1 16176 826 3 13219 5817 4 19800 2367 1 1308 1705 2 3602 421 1 267 1241 1 14109 2897 1 11353 6935 1 4092 1664 1 2596 6343 1 10199 1416 2 1095 2588 2 10457 5325 2 7769 1707 1 14748 201 6 10025 7474 1 11585 1748 13 14702 1732 1 6341 1278 6 1631 6480 1 13897 203 10 19346 6713 1 1625 3044 1 17324 766 1 4072 867 4 15211 3653 2 822 1825 1 16767 7427 1 8009 449 6 10247 7231 2 11836 4623 1 17333 2675 41 14837 2488 6 10382 2497 1 17960 4447 1 812 1277 1 5775 2626 3 12740 6677 2 12843 6640 1 6579 207 42 2509 357 1 3405 222 7 14086 1703 1 7635 3563 4 15684 221 1 10949 304 1 10661 6262 1 6070 2331 2 8494 883 1 10307 3697 1 14547 308 1 3796 203 6 18043 6699 1 3438 1739 1 10631 336 1 269 1755 1 15502 4436 3 417 2488 4 10870 3771 1 572 5945 1 11344 1732 1 15535 206 1 101 4604 1 1864 4312 1 2834 4974 5 582 715 1 17583 7018 6 16130 6779 10 10645 206 1 4721 2990 1 8747 1881 1 20225 857 1 19338 624 1 1576 4059 3 4550 6640 1 17433 3663 1 9680 7719 11 11551 95 2 6697 5513 8 4637 4613 1 7369 2671 2 17813 1871 10 14400 525 1 5114 3523 1 3372 7271 2 4143 4268 1 9104 1975 1 9930 7965 8 7870 3637 17 6956 3135 2 3663 1267 1 6650 5767 2 2445 5410 1 6571 4660 1 5080 4366 2 17953 5247 1 9715 2880 5 17873 173 1 1736 3818 13 9788 457 1 12760 4387 3 6313 4006 5 9224 568 1 10728 1193 3 13008 1321 1 5244 1342 1 4899 4435 2 7478 6699 1 578 1399 1 17140 197 1 9985 3939 1 5301 1007 4 19176 6723 1 10605 6884 5 929 339 1 12941 232 1 17078 518 1 7469 5532 1 17996 3278 2 11046 1271 3 10245 4674 2 17753 236 1 18115 4120 1 11277 2419 2 19745 5016 1 13093 2392 1 16705 2562 1 11384 4987 1 11882 1380 1 3189 5488 1 11990 962 1 143 6594 1 19690 1357 3 11530 165 18 18681 917 3 123 5369 7 17633 790 1 11 384 5 19877 5031 3 171 7716 1 7396 5018 1 13779 7497 2 3494 1450 1 18878 500 1 1025 3515 27 143 6592 1 11020 2100 7 11736 2012 1 8895 681 1 19881 524 1 6143 5008 18 15463 2172 8 10994 6897 1 18821 494 1 7951 774 1 1366 4653 1 5225 4345 1 7245 3313 5 19501 6442 1 436 1524 1 1720 2504 4 2354 220 1 15732 498 6 7432 2276 2 13446 6495 2 18724 205 3 5133 1757 2 10529 1076 1 3395 1757 1 5423 1983 1 8096 7853 1 19822 4526 1 6556 5505 16 2985 948 1 11820 3535 1 10360 5365 1 11935 2175 5 16292 3798 3 3048 944 5 15318 156 1 14117 2964 1 5205 916 17 9534 4245 2 4546 4623 1 3607 2146 1 18353 2287 1 13777 6184 1 15788 3263 1 14544 2363 12 17260 84 1 873 3024 1 16336 1691 6 1189 100 1 11411 1726 2 18301 8171 1 11388 3669 3 4606 2980 5 9815 6442 4 12357 541 8 18937 6717 2 8368 903 1 14691 2355 1 7751 6527 1 14509 1235 1 19495 1686 1 3426 1727 5 16299 126 1 6313 6545 3 18045 203 1 11878 689 1 17954 412 1 14421 1743 1 7817 849 2 11368 3526 2 17112 3676 13 6433 1342 4 13910 495 5 8084 214 1 409 5243 1 10879 1312 2 16463 2788 1 5588 4824 1 2962 577 1 3274 164 2 18274 501 1 14432 1504 2 17633 766 1 31 1464 3 7359 1761 4 10838 1757 1 407 3456 2 2477 1774 1 1029 3081 2 14161 4038 1 7960 214 1 2722 1649 4 2902 1686 1 9304 3512 1 12659 520 3 18017 2093 1 7750 516 1 20123 214 1 17097 6892 1 1989 1771 1 13479 3717 1 7382 411 5 11783 8195 1 17710 3511 6 7168 244 1 14161 1738 1 15376 883 8 1794 347 1 11252 365 1 12121 1331 1 5265 3442 1 4619 15 1 18742 5181 3 5459 3596 19 20130 512 1 4880 4304 2 9374 23 6 14035 2676 2 5717 5758 5 15267 5945 1 18134 2673 8 14804 3334 1 17223 2676 1 11666 689 1 701 1748 1 17720 2352 1 11769 1237 2 10376 308 4 10935 6330 1 6346 2265 133 11943 1764 1 15444 1356 14 12817 2006 1 1915 1781 2 7897 5574 2 16844 4400 4 906 4724 1 10791 3649 2 5705 5083 3 3674 3879 1 4893 7401 1 91 4076 2 16089 46 1 18949 1819 2 15599 2225 2 10730 7060 1 11216 8030 1 6838 934 1 15885 1629 1 18237 514 1 14512 740 1 340 1021 3 4126 207 5 16355 1211 19 15652 1245 1 1402 210 5 12471 6713 2 1358 1955 9 14301 7931 1 6166 2789 1 1905 2415 1 15192 6716 1 16739 498 1 1711 7629 1 13290 2362 1 9329 5259 8 7245 724 1 14194 3511 1 6570 4387 4 20191 790 1 5873 4738 1 13626 1855 7 3260 2140 1 15697 200 4 4179 1781 1 3037 1718 1 2596 3023 1 222 401 1 5144 1732 1 13636 7351 5 14162 2426 1 6292 415 1 7786 4403 1 3778 1986 1 153 7085 29 5122 303 1 14266 3485 4 19415 2935 5 12897 7824 2 6692 220 1 1102 545 1 15691 1250 8 42 2169 1 10394 4477 1 3281 512 1 1580 2562 7 11445 7073 2 5707 4351 3 12876 201 2 14618 1663 1 1794 1441 1 17308 1819 5 7313 6220 1 10847 744 1 19705 3679 1 727 2344 1 1443 229 1 10233 1169 2 9324 6775 4 18785 4275 1 18893 7570 1 4498 3074 12 567 553 2 9165 520 1 4797 561 1 5310 570 1 10169 2635 2 12091 6334 1 1839 3216 2 5881 844 17 12676 4397 2 5844 4105 1 13234 769 1 12613 1453 4 16403 1046 1 17169 196 1 7767 221 1 3954 172 2 10965 7609 1 20127 207 6 8240 1245 1 15530 501 1 1262 219 1 18193 1244 1 12760 153 1 17314 167 5 1068 2509 2 16170 3787 3 5355 1464 5 19425 7278 2 7140 2018 2 18850 534 1 6432 7915 2 3397 554 1 4376 3417 1 4536 3255 1 14146 769 3 5243 696 10 11727 366 2 11542 3666 2 11606 390 1 17477 1374 1 6509 7867 1 5741 3908 1 13023 4791 2 12900 1201 2 3985 3956 4 6461 1726 3 14606 7091 1 7533 2114 1 12320 3600 1 9941 2030 1 19241 651 2 2346 7368 1 18399 223 25 5815 5393 1 17583 1025 1 10232 4398 1 10579 7865 1 10442 1034 1 7017 1332 2 18353 1548 1 3504 649 1 4486 7938 1 5994 6091 2 20191 555 10 9743 1898 1 1444 6064 1 19085 1717 1 18734 2581 1 8878 631 1 4617 2252 1 15473 4015 1 15429 2151 1 13093 1962 1 3821 5256 1 9549 1688 4 16240 7605 1 4508 207 2 20090 3026 5 1372 1686 1 4545 6610 1 11597 7565 1 1551 200 4 15708 3132 3 8318 2240 1 9919 911 1 6039 4884 1 14193 1331 2 1568 879 1 11941 1292 1 4063 2369 1 1727 2671 2 98 4413 1 13323 1072 3 20082 316 5 9752 6150 5 3243 1656 4 12837 1996 13 12922 6527 1 5431 82 1 17218 2683 1 8305 544 1 18515 201 2 10584 1498 13 1579 2317 16 17988 715 2 18633 2464 3 12373 6338 3 10498 3757 1 16238 23 3 11864 4941 18 15753 3539 2 18535 1775 12 15106 6721 20 6163 7857 18 1831 6231 5 13022 210 1 2213 6697 1 2321 1471 1 1872 3662 5 12261 508 4 7750 6341 26 13811 162 5 11251 2581 4 2181 165 1 9395 6252 1 3397 710 1 8249 4972 7 11533 7820 1 18033 411 2 18418 717 1 7124 3752 1 677 2338 1 13095 2355 2 18687 1825 9 7088 1727 1 19604 6570 1 40 1757 3 6431 3763 1 15468 200 36 7832 88 1 1527 449 2 18866 4811 1 15486 7128 2 413 6090 1 10391 1042 1 15477 659 8 13357 159 3 18363 4369 1 1929 510 2 19803 532 1 4806 6177 1 17960 1164 1 19920 5649 2 17013 377 1 17217 1772 1 2391 849 1 4165 129 2 4614 8072 1 11336 3020 4 15462 8141 3 3822 2817 1 5434 1727 1 4743 2356 1 18246 7808 1 6867 1944 3 9388 6162 1 3892 2247 1 6681 394 2 15549 1653 2 1986 451 1 19648 4404 2 8174 229 4 2045 6341 4 7488 3081 1 3024 3971 1 17710 3021 10 10730 6238 3 10856 234 1 64 498 5 6598 3113 8 6819 1363 1 6907 888 1 7387 6154 1 13607 200 1 10109 519 1 15138 1302 2 1212 1250 8 11396 3409 1 14632 1208 1 9249 1711 12 12430 206 1 10779 6682 1 11156 535 7 13788 6421 1 4060 1644 5 7203 3840 1 2570 6994 1 16196 4303 4 3416 805 1 16833 6011 1 1534 2392 1 10482 6102 1 14301 5570 1 4057 2247 1 7109 46 4 12882 1751 1 10661 2353 2 8579 23 2 16739 2355 3 5032 846 1 7574 229 1 1705 553 2 16674 1193 2 14114 669 1 15318 3879 1 9608 2553 1 10179 6053 1 16930 5496 2 18425 411 1 20191 869 1 19485 506 5 1384 1464 4 14558 5427 2 10143 5086 4 13770 1656 3 6944 367 1 14753 3378 1 1421 4572 3 374 4716 1 19872 4992 1 6625 1742 1 16185 2372 1 13423 3916 1 5309 1772 1 4772 8051 1 108 4893 1 10676 8251 1 1798 8173 1 16278 1927 1 18289 5439 18 20180 201 1 19478 3811 1 1638 7221 1 2445 5504 1 4474 4065 1 7331 4811 1 2039 4246 5 572 504 1 1767 2355 1 18885 520 3 14567 1893 1 9886 7351 1 9604 220 12 7626 3431 1 18101 720 1 4971 4623 1 3506 4610 1 17760 1250 5 3829 203 14 11549 3096 1 19807 3571 1 1986 1747 1 10957 1745 1 5995 3338 31 4410 2721 2 3029 189 6 2690 8091 2 4133 1771 4 9281 5880 4 7780 4343 1 15618 1991 4 873 2068 1 7560 1070 7 9793 4620 2 6757 173 1 12363 1457 1 162 7392 6 661 7591 1 6183 1740 1 7956 5431 1 11523 3050 3 1224 2678 26 14162 2175 2 2181 164 1 4387 3766 1 8370 201 3 9374 1717 2 6536 1719 1 7188 910 2 20275 7779 1 19331 219 8 950 8060 1 14428 4963 2 16137 7933 2 18821 4518 1 19872 6612 3 7324 1451 1 17410 23 2 161 6001 2 9935 5478 1 5157 184 1 13601 2683 1 16743 6534 2 2488 4245 5 2830 1138 1 8873 197 1 15512 647 2 592 2508 1 3315 1305 1 4631 5146 2 17066 1104 1 1480 200 5 20160 7355 3 16346 394 5 9743 4446 1 13373 4102 1 9973 2009 1 14037 2653 1 11538 3285 1 7363 1277 1 13714 7313 2 11018 1827 1 17066 1242 1 8594 1338 2 5352 2877 1 19575 1909 5 1931 1770 3 8050 1776 3 2992 1304 2 1705 3405 3 15567 1663 4 19645 4954 3 12753 4706 6 2625 4352 1 11393 5747 1 10068 1770 1 18637 201 10 11172 5700 2 83 3831 1 4593 941 1 12957 8203 7 11852 2721 2 15642 3333 15 7599 927 2 3342 1755 1 18604 3592 1 11769 1907 1 7135 1238 1 3898 3540 11 5597 219 2 4076 1788 4 14527 3393 1 17217 6602 1 2942 3442 1 10813 2460 1 15593 2839 1 18982 2747 1 86 3987 1 15886 3715 1 6046 6152 1 4698 4789 1 18630 6252 5 1296 5607 1 6556 4027 3 9212 3851 1 16661 3176 2 16844 1406 1 19990 1819 3 16739 2686 1 11827 1825 1 12367 303 1 1904 1717 1 15025 8150 1 18310 1692 2 18260 491 1 9445 1703 1 7318 2352 2 822 4616 1 3256 4458 2 5645 196 1 5738 759 1 4867 1719 2 2917 3845 1 19355 7216 3 8019 4967 2 13 573 4 140 6389 1 19713 6625 4 5199 2747 1 12311 3958 1 8617 7734 8 17416 5763 2 19861 7086 6 1691 1781 5 14131 3464 1 18000 3910 1 18778 3512 5 14522 768 2 17710 221 2 12025 7474 4 5199 1267 1 6152 6558 1 14935 6470 1 10988 3540 1 2980 687 1 17696 3025 1 16727 173 28 7099 5018 1 153 6868 1 6312 1742 11 8761 758 1 8384 5420 1 10806 864 1 2026 5126 1 17555 888 6 18211 5862 1 542 518 31 4415 5325 1 2186 6897 1 5798 7830 1 3359 3536 1 10300 782 1 6021 308 1 12159 5472 1 13560 1248 12 17405 365 2 13800 2000 12 7221 328 2 5208 6091 4 6650 829 1 20104 1742 1 18281 894 1 105 2542 1 452 1582 2 17142 1739 1 15367 4667 1 17400 4203 1 20248 222 1 14651 6252 1 6183 2419 3 991 1369 2 5303 3578 1 3134 4022 1 704 3558 1 11860 1737 2 3668 679 1 18489 4179 9 12242 7408 3 12322 223 1 11008 1877 1 2570 2932 1 11072 229 3 8083 1146 2 5202 1112 1 527 982 9 17271 4233 5 7626 3368 1 2527 1164 1 19272 7007 2 15412 1482 1 9556 230 1 17507 1721 1 10927 743 4 8717 6170 2 18797 411 1 2170 2675 3 3134 7522 2 19310 2118 1 15214 554 1 13 640 1 13925 2711 1 13335 222 1 13461 6330 1 9165 1464 1 9700 471 1 2619 1589 1 15930 4792 1 18067 4884 1 14836 201 1 4256 3147 1 18346 6334 1 19649 2357 1 2546 652 2 18096 496 1 18990 6633 3 19193 1758 1 15964 188 4 11122 779 4 17954 5559 1 9488 1395 2 3581 1245 3 1141 1146 1 99 4458 1 11020 962 1 11091 1686 1 11929 1288 1 35 1876 2 18954 7229 4 267 6683 2 15383 6507 1 6794 5136 1 12790 489 1 17753 506 1 10130 3612 4 126 5667 1 10452 685 2 5602 7655 15 15653 959 2 13023 4818 1 10613 1681 2 809 3972 2 5303 313 1 12041 6414 1 5219 7101 1 20248 3980 1 484 3899 1 4098 1969 1 6517 5442 1 1010 7586 12 3516 7665 1 19590 156 5 6091 506 1 8161 4516 1 2026 8109 1 14958 237 1 17788 3775 1 13280 7719 1 48 2428 3 16761 1675 4 3447 5407 1 18678 518 4 9778 2915 1 18518 498 4 16355 889 1 12209 1081 5 16674 4298 1 15374 6534 2 9086 221 1 15986 196 3 9887 2969 1 5075 397 1 3667 2880 1 11212 411 1 1964 4299 1 6690 718 1 11320 1082 1 19573 765 1 7135 1252 1 15648 5408 1 7019 2691 2 11019 1060 2 7994 5362 1 6275 451 1 6630 4779 2 4859 910 2 15948 23 9 14847 4435 4 1735 554 1 19770 6065 1 539 1604 1 8946 2841 2 5616 8058 1 19630 2542 3 11164 6414 9 1257 168 1 9980 2552 1 12883 3611 1 10298 1292 1 7071 6150 1 17960 6482 1 1459 6204 1 9460 8064 1 4267 654 1 9695 3021 2 5594 4351 6 7310 4623 15 12104 461 1 18446 7216 1 7527 1893 1 2114 5060 10 1906 3603 1 16348 4961 4 6411 4796 2 7666 1464 1 3188 1718 1 11336 447 1 62 2853 1 19016 3980 6 2896 4982 3 7116 1649 1 15001 7994 1 4345 4428 5 11336 5396 1 56 2663 1 15826 2495 1 12050 1768 1 18080 817 1 8957 6644 4 14993 3747 1 1625 581 1 394 4303 1 18149 891 6 2593 7240 1 14156 7826 1 8268 1282 5 8439 1705 1 1000 215 1 12585 2491 1 5431 6756 12 19731 1779 1 13706 1721 1 1498 595 2 13237 205 1 10149 1482 1 15743 1819 1 174 5759 1 15849 4126 2 6867 3352 2 2929 4621 419 4072 2103 3 7670 710 1 14891 620 1 9010 1332 1 12594 1576 3 9533 1236 1 4496 206 1 25 1500 4 9732 1007 1 251 1819 5 9250 581 1 13126 5670 1 17360 221 1 4549 519 1 5250 1698 1 7525 7182 1 15948 1244 6 3008 1277 1 13254 5131 1 20037 6276 2 15534 219 6 1558 6880 1 15261 191 5 11545 1717 2 7487 244 2 12958 2712 1 11597 3972 1 7417 7948 10 2905 504 2 5453 1278 19 4001 1367 1 13638 445 1 15429 891 1 15009 4333 6 17449 1729 1 1551 2778 1 12680 1695 1 1937 1143 1 3395 215 3 413 1878 1 13433 883 5 14678 1383 1 4670 23 1 14522 222 2 4267 3573 2 9887 3558 1 6371 233 5 4943 4379 1 8036 3224 1 13922 3916 1 84 3879 1 153 7032 1 11705 3671 1 9603 3892 1 14818 378 5 6855 6697 1 11080 1727 1 3663 1055 1 17818 215 6 14194 5550 5 9310 329 3 9199 623 2 17356 6341 1 8585 507 1 17604 219 10 6452 944 1 14128 4950 1 13986 1247 4 1013 5325 6 15021 5077 20 17716 201 1 13 705 1 14052 7350 5 10688 825 1 1204 2712 1 19282 2481 3 11629 1328 2 7750 4615 3 12 542 1 12474 5446 3 8191 7498 5 13543 885 1 153 6710 53 1439 5798 1 6433 1658 4 322 219 4 9287 5531 1 3676 2958 1 15830 3476 2 16327 2356 2 1345 6519 2 4946 215 2 15266 214 14 17819 2970 1 5328 1768 1 9368 6334 3 19381 2591 1 7568 4977 3 2772 316 2 17141 5700 1 569 1772 1 16472 2921 1 18581 5037 2 17163 6897 2 13461 1248 3 19740 5686 2 9948 6785 1 10371 5524 4 9597 1747 5 13233 6603 3 17719 50 4 14037 1727 1 16513 73 1 12050 1374 6 19262 3109 1 9604 470 4 8248 1333 5 1889 4059 9 16535 1720 2 8016 5996 1 15020 4087 1 6187 489 1 6556 2920 2 13789 3175 11 4463 7546 1 349 813 7 8938 1789 7 17477 200 10 2345 7736 1 12704 5 1 7869 6596 2 19063 3556 1 4425 6568 1 17650 1498 10 12823 203 5 85 3897 1 14671 1176 2 8082 963 1 18587 1881 2 15935 1757 1 18852 1788 1 10684 1729 2 12541 186 1 697 5064 1 19967 2248 4 19586 6426 3 6183 7229 1 17507 411 1 6049 794 1 18247 524 1 8510 581 1 1178 203 3 17659 3057 2 16140 5252 1 124 5529 1 17433 6602 1 11082 273 1 4055 838 1 4181 1762 1 5246 3409 4 11914 2322 1 18087 2748 3 13174 6343 1 18296 1996 2 1612 5414 1 11336 2419 5 18171 1769 14 1002 3230 2 17282 4972 2 4960 5559 5 11562 6355 1 130 5859 1 15079 6140 1 18476 201 1 6233 6000 1 1214 7622 2 80 3584 1 5994 2881 1 18381 7008 8 4448 1184 22 1191 219 111 6363 1731 2 15960 2671 1 17767 1283 1 6630 4102 1 4870 2367 1 16176 164 2 5310 746 1 8416 4640 4 16694 889 2 13105 2109 1 341 203 6 5859 512 3 11615 1249 2 18646 461 1 10997 5419 1 5877 512 8 3734 7013 1 749 215 1 6183 235 2 153 6937 1 12641 7719 1 12187 127 1 6485 878 1 659 7572 1 20148 3843 3 13171 477 1 9684 1417 9 11839 3298 2 10676 2748 1 18071 2361 2 845 1249 3 7763 5945 1 9827 4120 1 4330 23 2 7664 3747 10 787 1695 7 6528 2542 1 19602 8003 1 10686 225 1 14729 7798 1 7933 6655 1 19872 3536 2 7515 7127 1 16618 6091 2 19331 1775 4 9102 2014 1 130 5862 1 12412 575 1 2992 505 1 11837 411 6 2332 7735 2 3806 4984 1 11223 3909 4 13437 196 3 158 4304 1 20014 7011 1 18431 6597 3 153 6973 1 11634 1882 2 14818 23 2 359 15 1 7994 2468 1 8683 4489 7 160 5362 1 157 7211 1 7194 7433 1 146 6693 1 3917 553 4 1325 1466 1 6490 1721 2 17083 3132 1 13165 48 7 16408 4229 1 8591 3492 2 11504 1236 2 18516 3230 3 15135 4019 1 19193 532 2 20177 214 1 4886 1290 1 7352 225 1 1989 6702 35 135 6244 8 20090 425 2 8641 6897 2 18688 6164 1 6011 2507 1 10575 7910 1 1422 609 4 18785 229 1 554 3542 1 13 548 3 13994 3074 1 3813 3168 14 12269 3899 2 11158 137 1 12934 466 1 4016 1245 1 7583 6477 5 17664 1482 1 10670 3511 1 8275 2729 7 19711 302 1 8343 1745 2 1296 3998 4 12317 23 2 18755 1965 1 20174 545 2 12741 1745 2 3755 1825 8 19246 125 1 5922 4635 1 11929 223 5 12821 2584 3 14089 1734 5 13075 4258 7 2374 1692 1 6247 1244 2 2809 2582 5 9415 201 1 10172 550 1 13845 2479 1 12009 1707 1 10383 2399 1 1706 1193 1 9797 1995 2 4486 1751 2 15750 2488 1 5769 7210 1 11917 1364 1 14055 4409 1 7571 4009 1 11106 6591 2 535 6897 9 5421 4394 2 3008 7736 5 15691 5332 4 13299 1246 1 6750 196 2 10785 1814 5 2845 497 11 6473 2261 3 7285 600 1 9941 550 1 19453 225 6 7352 1707 1 7065 2509 1 6404 1244 1 2413 1876 2 278 4274 2 112 5020 1 12858 2549 2 19874 1825 5 13185 23 8 18760 1734 2 6829 6106 4 5437 2671 1 9879 6408 1 13636 1771 1 1277 7221 5 17379 3621 1 8763 4609 1 640 206 3 18001 2501 2 20184 2510 1 13535 1827 7 14225 1770 1 6670 525 3 17077 1747 1 18417 4041 5 15072 2964 2 2617 7633 4 2710 1241 1 8419 1762 2 12851 2056 1 15376 4435 1 153 5516 1 4075 1037 40 19014 1719 1 12569 3712 3 11363 1736 2 6789 4907 17 15022 363 1 17676 5673 1 6107 6880 6 4205 3972 1 13517 5737 1 17664 215 4 7361 2608 1 3420 1342 2 2734 500 6 4950 339 5 15314 8194 1 4493 74 1 5285 502 2 6575 232 6 2803 7027 1 19401 1825 1 6934 925 2 2604 6694 1 11363 7735 2 7306 587 1 4895 207 1 14582 4316 3 7855 2651 3 17742 229 2 3677 2572 1 13839 706 4 6463 363 1 8886 2853 1 12468 3675 1 2462 1356 2 12760 6518 1 4314 4812 1 16280 2645 4 11362 2261 9 19671 1342 1 6511 1363 2 15882 1324 1 16285 379 1 16185 689 2 1543 1404 5 18911 2895 1 8191 1775 6 14619 1781 1 6540 7410 1 20026 1686 8 15156 2114 2 3187 5408 1 13922 1720 1 11232 6737 9 14164 23 1 5052 2239 1 7254 1742 1 2545 719 3 5720 4099 1 5818 5031 1 17406 1776 1 5140 6925 1 6265 2139 1 12548 3540 1 13244 545 2 13100 203 3 18885 2363 3 3250 7410 1 18988 186 2 16199 1239 1 16881 3634 1 15308 8184 5 17809 1395 5 15995 4280 3 4492 221 1 8728 331 1 18303 7949 1 9232 201 1 19289 5018 1 18580 221 2 7923 3619 5 18469 1718 2 5132 6131 2 18762 1342 4 5252 4411 2 14427 3400 1 18686 2731 1 1191 1251 1 18237 1243 2 452 1250 1 14227 520 3 18081 2268 1 5596 23 7 14292 7511 1 2735 525 1 4068 1724 1 18226 2640 1 10245 1051 6 14190 6576 1 7931 8103 2 14644 7338 1 7307 880 1 5126 3135 2 17799 2649 2 880 1210 2 11502 901 1 12231 23 1 20048 2930 3 5208 1740 20 8328 3589 1 1488 5162 3 7522 593 1 2818 1582 1 11336 5502 1 8035 1819 1 17685 4816 2 17927 3378 2 12024 3464 1 4050 214 1 6007 304 4 2336 7751 1 9824 5692 1 9353 303 5 6452 150 1 6332 6152 1 16869 5477 1 19267 885 1 3270 4517 1 4925 2559 2 14358 1954 2 16817 518 1 16222 5955 1 9407 1453 5 16249 702 1 6617 182 1 11306 664 2 13123 4411 1 17088 1732 1 16825 3637 5 3351 8037 2 5739 411 3 14558 6503 1 13829 1717 2 13445 1243 8 18852 1153 1 8643 788 1 4005 5496 5 10203 6900 1 9946 84 1 16512 2419 2 1288 4990 1 7933 333 1 13461 1731 4 12240 5316 2 2079 3394 2 17328 2403 3 7560 1416 1 523 8203 1 11786 6666 4 3846 5327 2 16185 425 2 9170 225 2 16925 5327 1 6650 1312 3 10960 418 1 7480 5957 1 1335 8081 3 1133 5504 1 19395 3625 1 3230 6754 1 15948 184 5 10399 200 3 18344 232 1 19764 490 1 13299 1751 1 5013 2357 81 4063 23 1 20045 3231 6 94 4275 6 13416 4653 2 19572 7244 1 12934 194 1 15605 95 66 15424 411 5 9056 506 1 16090 6056 1 9374 5408 1 9061 1589 2 1229 5903 3 17319 4773 1 18147 5996 1 16371 2667 11 4829 507 1 9702 1252 1 16197 2139 1 10549 23 6 15144 2056 20 18942 237 1 12766 899 1 8655 313 6 3314 3619 2 624 5046 1 20049 7489 2 4285 1070 4 4586 6108 1 4580 520 1 15653 919 1 16176 1676 1 8519 207 1 19826 8026 2 8048 2741 1 19754 6963 1 11550 519 2 9139 526 6 873 5271 1 19954 312 1 13353 583 1 18532 3891 1 1922 1296 1 10110 1028 5 4561 3951 13 5980 496 1 5662 200 1 5295 5018 6 11457 8012 1 10999 5175 3 17257 785 1 6492 23 1 6379 1757 1 290 1698 6 10316 4508 1 3822 1741 1 2899 1829 2 4276 6105 1 1607 184 1 4817 7593 1 19877 1717 4 12667 410 1 8930 7925 7 19434 221 1 3715 769 2 9270 6952 1 14055 1762 4 18944 6442 2 19322 1234 4 7454 7809 3 14758 800 1 3654 5487 5 4910 545 2 14798 7934 4 5124 7857 1 18211 1757 4 5911 3876 2 4716 536 1 13672 7740 1 17261 3590 1 5114 2534 1 14059 392 1 13121 1631 2 19862 7668 1 15376 223 1 10916 632 1 8117 3494 1 11964 2356 6 5264 1561 11 1589 2817 1 18089 5495 1 9945 1658 1 10705 911 1 7728 3494 1 7801 3211 2 14753 4403 3 9281 5252 3 9947 654 1 120 366 1 9642 1747 4 11259 6030 2 1764 7769 1 7764 173 1 10114 84 1 18765 3685 28 18563 6533 1 13892 4623 1 8343 7735 1 2962 1188 1 2911 2721 4 7241 532 1 12275 633 1 1227 2240 6 133 22 1 10707 2980 1 3356 6897 1 5619 1782 3 13691 7570 1 6521 7535 1 16843 3352 4 14890 2104 1 10931 5897 2 6556 2572 5 15772 4400 11 4373 6993 6 1571 1721 1 11472 8164 1 18869 3526 2 5261 219 11 15156 4217 18 9279 221 1 963 5673 1 11548 532 2 16981 1769 8 17120 5903 1 12209 1342 5 105 4695 2 4699 206 1 17736 618 1 5588 3250 1 8458 5077 23 15697 518 1 1469 1718 1 12003 2268 5 10114 7432 1 10128 4956 1 7051 1236 1 786 1755 6 8901 223 11 20275 7750 1 14108 709 1 15629 709 5 10692 794 1 9745 1395 1 19945 1307 2 4961 7470 2 9441 7045 8 18489 23 1 15101 7857 1 10622 23 3 3824 1275 1 7015 1286 2 16180 2686 1 13461 6341 13 6154 196 1 14362 2522 10 4503 5018 2 18391 4380 2 9886 5858 2 17290 3692 1 6752 148 2 17116 2600 1 2832 4183 1 12464 1995 2 7099 95 1 13734 3404 1 1625 2606 1 8921 2675 12 8803 4245 1 8930 7512 1 11877 385 1 15932 5814 1 14155 190 1 7934 1369 1 7977 3464 1 12841 3287 1 5118 3073 1 14275 1752 1 5230 1495 2 8987 5252 1 5776 2438 1 15364 6855 1 9432 362 1 15577 1705 1 314 1736 2 3217 467 19 8136 3879 6 5615 5224 1 17210 864 3 10318 200 1 16674 385 1 5864 1278 4 14586 647 1 5472 1743 3 14633 5255 1 17966 2353 1 7188 4827 2 12807 367 6 11131 4478 1 17713 4597 1 8283 3496 1 8743 6572 1 15608 2676 4 9515 743 2 16600 252 1 152 6830 1 10407 493 5 1743 4534 10 12209 2698 2 17257 2086 1 18637 46 11 10536 2636 1 7876 2869 5 7968 2519 4 11430 196 1 15057 4363 2 12517 443 1 4147 770 1 2960 4436 1 9986 452 1 135 6233 7 15056 550 4 135 6117 2 9331 1101 1 14146 895 3 3118 742 2 381 835 1 4496 190 1 2801 105 1 4898 1775 1 14730 5323 1 8793 894 1 4960 3771 8 9008 164 3 11469 385 3 15932 5322 1 15472 1926 2 13636 1105 3 10553 2486 1 2803 2510 1 8223 3856 7 16743 5439 1 13987 2691 1 14549 7467 3 19466 3980 1 11717 3175 1 15879 1368 1 16929 235 1 7991 2619 1 6420 716 4 18968 5810 2 13290 128 1 9178 6527 4 11629 663 7 4688 899 2 19213 219 1 13492 1489 1 9436 6152 5 13121 5187 2 10824 219 8 15106 5995 7 18054 6172 2 11312 5302 1 1239 4065 2 16483 2494 1 8082 1348 1 9816 386 2 19937 7697 2 12614 8082 3 90 4064 2 6248 5108 1 19823 203 1 6091 1374 2 17023 3909 3 6328 1244 1 9628 2841 2 5058 3159 2 7135 1783 1 2315 4611 8 4867 1464 1 10916 7098 2 19889 2710 1 2716 2495 1 12764 4266 2 3048 3714 1 19495 132 1 1143 4013 1 18089 6574 1 3855 1184 2 20106 1060 1 4660 4963 2 1801 367 12 171 7736 1 1699 4391 5 12995 1704 1 18415 7832 1 957 7188 2 13425 4673 1 13800 383 1 18436 6278 1 4593 148 1 8895 4181 1 17 1162 1 16697 6228 4 5738 3389 14 8458 1342 5 9432 5855 4 1045 2424 1 10307 5315 1 11668 506 9 8178 3980 1 8406 203 1 8629 5036 1 15886 2737 1 4998 4435 13 5591 4038 1 19857 5327 1 8969 1748 2 10676 4277 1 3771 3593 1 3432 4314 3 2907 8025 1 5953 6777 1 12112 21 1 2367 1740 1 19698 5466 1 2908 541 11 6332 5543 3 745 1239 1 13246 5690 5 15885 6030 1 17887 2266 6 14844 3772 1 1517 283 1 8532 1779 1 18416 5420 2 10590 8065 2 19720 187 3 3871 1714 1 12883 1328 1 13994 418 4 3274 853 1 3026 8194 6 11192 852 1 1780 2675 2 20270 3021 21 2229 166 2 3021 1649 8 11485 13 2 10730 867 1 212 1239 4 8591 7530 2 1237 1395 5 15025 3811 2 6928 3745 2 16267 100 2 14307 2799 3 14147 1250 7 19577 3570 1 5877 3586 1 11334 1338 1 18727 7949 2 1418 1717 1 15202 2824 1 12971 3709 10 4135 7018 1 9677 5997 2 3337 1705 16 5290 1610 1 14931 223 1 5695 6252 3 6513 336 3 7557 244 3 7455 2369 1 19530 2815 1 17083 3287 10 11080 3417 5 4696 620 1 18545 4603 6 6064 7525 1 707 215 1 12035 498 1 17495 7670 1 3337 4600 1 8895 4693 1 5195 1707 1 19817 1755 1 18534 6163 1 13427 1818 48 12643 3332 2 15234 219 21 14843 1296 1 18427 206 1 101 2665 1 1946 187 1 9105 4059 1 5753 1717 1 13574 3058 1 5459 2509 20 11985 3788 1 8416 3827 2 3538 4951 1 18171 5319 2 12918 4983 3 17954 2849 2 6867 7520 1 13319 1339 1 6318 903 1 11219 1509 4 18215 1784 2 3109 211 1 11292 1160 7 14048 526 1 18709 498 13 5929 704 1 753 1727 2 11288 1023 2 12851 5000 3 12897 4225 3 8378 761 1 4699 2338 4 5161 2109 1 18814 6517 1 11786 2982 1 1972 303 23 16427 3911 51 14087 201 6 5833 525 1 2117 536 2 16236 1334 1 307 428 1 10499 4367 1 13 836 2 17747 219 2 1625 3046 1 13922 229 1 12669 3591 3 8553 907 21 8189 2025 1 6632 6910 1 2732 8203 5 12817 4470 1 12897 623 1 26 1552 1 19822 6754 3 5561 7532 1 20013 4479 1 10462 4233 1 19500 1464 23 8730 847 1 6046 221 2 19552 921 1 10554 888 3 11238 365 1 7991 982 1 1344 1239 1 5774 794 1 7326 223 1 16653 5772 1 10966 2344 1 1893 708 5 16683 203 1 10170 506 1 10124 223 1 19854 670 2 7719 3011 1 1605 5721 1 14118 7098 1 10351 8026 1 2135 496 1 14109 1028 1 5290 1665 1 9743 1046 1 2317 5999 1 9978 3652 3 4320 229 8 16781 1729 4 19713 4789 3 12510 3120 1 18465 1781 2 17127 4623 1 8948 5293 2 10164 3213 1 8528 5090 2 885 1561 1 10110 6777 1 14055 411 2 8683 2114 3 6990 435 1 10456 6487 5 1043 5757 1 5202 223 5 2473 895 1 15242 5130 1 10962 5264 1 8530 1320 2 11072 3818 2 3862 2017 1 11655 6245 1 11 482 1 10847 5333 1 7726 4344 12 1465 173 1 3358 656 2 6073 4789 2 13383 541 1 11957 11 5 3786 6561 1 5478 1705 11 10086 1827 1 8714 2138 3 13649 4458 1 12777 3783 1 10447 541 2 19223 1244 1 3694 223 3 13640 1453 1 15054 382 1 15125 876 1 17771 1277 1 18380 3135 12 20031 532 1 19050 1363 5 9807 2860 1 18405 1466 1 1644 1703 1 2543 3233 16 7227 1721 1 6867 848 1 15530 2262 2 18431 631 1 9245 1276 1 19250 7216 3 11587 4976 1 16471 232 1 14905 172 1 17360 23 2 11371 6135 1 12288 60 1 16096 2771 1 11227 2760 1 1679 7980 1 1689 6899 1 7991 4662 1 73 3383 1 10923 2729 9 6183 4383 1 2640 5419 1 340 1067 1 8395 2043 1 12312 5243 1 13984 2255 4 11967 23 2 9131 2508 1 8493 4992 2 12783 7554 1 11292 7045 3 11687 201 8 15718 4780 1 15807 6945 1 6589 7222 5 10114 7815 1 4874 3531 7 6819 2261 1 14579 7202 1 4417 3869 4 17369 1707 1 1516 6308 1 6091 2478 2 19320 1819 3 15849 225 1 15468 207 33 3188 2357 2 14833 1212 1 4372 497 10 7183 2424 1 16804 1952 1 13058 5269 3 2186 74 1 15726 1801 1 8678 7441 2 9390 7201 3 48 2410 4 13601 5486 1 12861 419 1 7452 799 1 10953 6630 1 12686 4597 1 20278 1791 4 17368 6482 1 9415 1729 1 349 3410 5 16016 724 1 4883 8096 6 3853 3689 1 12152 1656 1 878 3834 2 10723 2364 1 11496 1775 8 13928 2018 2 8730 1688 1 4908 1474 1 10316 6754 1 17514 201 10 1237 6027 1 19360 3323 3 13881 365 10 140 6445 1 5938 3634 1 19443 4230 1 16876 215 1 8907 23 2 5859 7427 1 3373 4945 2 16374 3624 1 20007 7719 1 9754 243 1 1499 5623 1 10967 7127 8 6412 766 1 19671 1741 1 8551 2955 1 6180 1582 1 12614 745 1 5306 3970 1 15619 1781 2 10341 201 3 9835 189 5 11051 214 1 3358 4023 3 6338 292 1 17658 207 11 1969 1368 1 659 220 1 8169 5253 1 16159 3666 1 8043 6719 1 4298 775 1 9758 6097 1 6403 2626 1 130 5963 12 2350 7538 2 133 6025 1 18064 4022 1 464 4616 2 28 1665 1 655 3203 1 17404 7850 1 13781 795 2 17005 201 1 19921 1495 2 12766 621 1 2834 1237 8 11592 2093 1 19652 219 50 5828 1681 3 19478 6563 1 6642 4278 1 15325 1739 1 10741 5180 4 16805 618 2 15975 203 3 124 3020 1 5863 3159 1 7267 1769 2 16776 745 1 14527 785 1 2598 1649 1 11854 8235 1 7034 1908 12 484 953 1 13842 4369 1 20207 6716 1 13229 952 1 1886 7512 2 11352 505 2 1510 4016 1 15055 524 2 19782 2787 12 3076 7719 2 11576 2331 1 3992 1819 1 14730 3356 1 17599 874 1 5849 1747 1 1793 184 12 18669 3911 30 409 252 3 16132 798 1 6779 7531 1 1546 1707 1 17391 2265 2 15354 222 14 15858 1739 2 625 3834 6 3417 7719 5 13329 2362 1 17404 5446 1 1087 1464 1 6878 3361 1 12131 4531 1 8787 7576 1 10732 3230 6 16603 222 1 15039 5040 2 11727 5961 1 14975 3248 1 15006 7201 8 7879 184 1 11056 3512 5 6979 1917 1 724 8067 1 9741 6473 1 13829 496 4 405 235 4 102 4614 1 2917 235 1 19822 7850 1 13 812 3 4484 1743 11 11235 1595 2 18141 2665 2 2072 492 1 3482 7518 1 701 2355 1 5140 229 3 12354 236 1 10464 2382 1 18508 4226 2 15932 2931 1 11216 4320 1 4541 495 1 210 6899 1 873 253 3 635 1747 2 13928 719 1 8001 3785 2 1708 1235 1 11938 1717 1 2020 2993 1 1459 4706 1 12765 413 1 52 2538 1 18334 5432 12 462 215 1 9287 509 5 16924 3050 4 6578 1150 1 17901 545 1 17431 347 1 13814 508 1 13865 1715 1 6192 2661 1 4015 3511 1 4121 4935 6 17494 2883 1 7587 6421 3 14811 1740 1 11020 642 1 1204 2708 1 18284 4389 1 2463 5210 2 19336 1825 31 5801 779 1 340 800 1 10201 1819 1 8082 2606 1 14218 2114 25 13023 6052 1 15374 5674 1 10482 8229 1 4047 690 1 16539 244 4 13450 2774 1 5172 4037 5 19953 244 4 352 4933 1 15676 2678 5 2333 1826 4 19999 2246 1 14114 879 1 42 2233 7 7750 1703 2 10341 215 3 15943 6031 1 4687 186 1 4036 3409 1 13 963 6 12066 4266 1 6716 1698 2 4271 2645 1 14573 770 1 1720 4379 1 5977 1783 1 3261 4528 1 3058 7492 1 7937 196 5 8368 644 1 16442 252 3 14430 6785 3 5959 1732 1 11158 4606 1 1145 3338 2 17548 810 1 6230 1757 2 11768 197 1 10876 1164 1 18511 3511 1 94 4251 1 6357 8030 1 16887 7857 1 7463 1137 1 11937 6268 1 4498 498 1 1043 244 1 14928 2338 1 13 761 9 2013 2971 19 5537 6106 1 1725 6029 1 6091 3024 1 3892 6943 1 12970 4803 1 15300 2355 2 2205 3074 1 18797 495 1 12378 3591 1 6206 6901 4 8873 6210 1 327 942 1 12159 3005 1 4374 1235 3 11678 547 2 6452 398 2 13768 7293 2 6816 3962 1 20 1344 1 14992 2008 6 3815 7020 2 3296 1248 35 13743 1373 2 6124 73 2 954 2569 1 19655 581 1 2303 4818 1 13131 893 1 13060 410 1 15895 3399 1 7435 100 1 13030 694 1 7186 3175 1 9451 3454 1 18069 1991 1 4050 1705 2 7656 205 14 11663 1256 5 14587 790 1 10940 2649 1 15367 306 1 17404 6004 1 256 3910 5 14648 4692 1 3000 3408 1 10313 2490 1 11231 1304 3 17664 470 1 5252 188 1 8006 1407 2 527 712 1 5344 6030 2 3880 7489 14 4875 1019 2 19242 219 1 534 724 1 6595 1251 4 5252 5513 1 13944 203 34 7214 4065 1 8268 186 4 18914 514 13 2453 1707 1 12397 1827 1 19014 2555 1 13857 502 2 14294 3895 1 5045 1703 5 12888 6200 8 11375 4998 5 18549 5758 2 7065 2869 1 10523 1759 1 6774 4355 1 8334 8103 1 2620 5730 1 11882 235 2 10202 7689 1 10371 1921 1 17825 1778 7 616 2908 1 17983 221 4 17585 6922 1 8060 3619 1 15313 1775 2 10473 381 2 20180 3603 2 3694 5686 8 16580 8012 1 2079 8031 1 4264 1286 5 16530 1296 1 13911 6185 4 13778 6140 1 19491 4325 4 14522 7850 3 15296 532 28 17877 1509 1 9212 2132 1 17617 1764 5 13301 8017 13 13916 4168 2 6511 1271 4 10360 4686 1 19523 7750 1 15396 1237 68 12168 5685 1 10161 4028 3 15943 3842 1 108 706 1 9826 411 3 1713 6099 2 18450 2172 1 19401 1244 1 3695 5738 1 9700 252 1 10703 7408 1 11987 2089 1 4234 5115 2 11844 1315 3 19400 1328 2 16090 4708 1 6795 3175 2 18485 2522 1 5875 2413 1 10650 6484 1 4498 3586 3 135 6189 2 20089 8200 4 5188 5686 2 42 2209 1 1686 190 1 5408 442 1 18314 4609 1 13449 6084 1 13916 4161 1 1107 495 1 4676 6320 1 15530 6093 1 7481 6341 4 1907 2419 1 15823 1784 3 8628 2681 12 2929 1756 5 13829 1715 2 11263 335 1 7259 3164 3 1492 6355 1 13003 1453 1 14660 1184 1 19943 2665 1 5963 1699 1 14696 723 1 379 4567 4 6564 3326 1 8327 7404 3 4536 2897 1 2431 7259 5 10749 210 3 9853 1776 5 16442 7815 1 12633 1752 1 5421 1292 2 388 3442 8 11084 517 2 20262 206 4 3090 6705 1 5916 5583 1 26 1572 5 13219 225 15 14445 3798 1 3493 232 1 11052 3276 3 2009 3749 1 17463 2894 1 11755 4036 1 19461 1208 1 130 492 6 17734 916 1 916 46 1 2412 1184 1 15948 1717 2 17097 74 1 17736 657 1 20 1322 1 7473 8190 1 17917 3230 5 3522 5686 2 11746 6152 4 14478 1983 1 2230 5425 1 4987 725 2 9380 1518 2 9933 4963 27 11637 148 3 18635 663 1 8674 3762 1 17999 3331 1 19182 545 1 6644 7797 1 6158 1465 2 2980 1146 1 12361 728 6 12537 1627 1 1161 3233 3 5009 3050 1 19399 5187 3 1705 3361 4 992 498 1 153 6931 2 8104 4572 1 10079 5036 21 11297 863 1 16363 6018 2 12592 1698 1 4549 1747 1 5636 411 5 20143 7326 1 12817 1727 1 661 1783 1 19820 3732 1 10343 1734 2 56 2678 1 6144 523 1 17585 2486 1 2748 6656 2 1976 6220 2 136 6266 1 14233 3610 2 18024 203 10 13770 2677 1 15572 188 5 3250 3203 5 822 905 2 17638 761 1 14313 6685 1 11614 5768 1 2758 3324 16 5896 232 2 11580 2353 2 7328 2635 2 17331 4403 1 13130 2555 2 5148 1184 2 19348 3525 2 3781 235 1 6960 2818 1 11786 647 1 6781 286 1 13925 6380 2 3875 3263 20 3416 4657 1 2288 3079 3 12856 4357 5 9921 411 2 13212 3891 2 15427 589 1 5280 7138 1 5659 3339 3 4570 3671 1 9247 5715 1 15635 8054 1 17331 1649 1 1303 1401 11 7800 2636 1 1986 1328 2 12992 1028 2 15682 2955 1 6869 1146 1 6357 4789 1 4402 4105 1 10883 1660 1 17109 6632 1 15981 5730 3 10636 864 1 5725 2115 1 13115 206 6 3427 718 1 2629 4029 1 13416 235 3 7532 6012 1 10236 8031 4 7354 2353 3 8408 186 1 19920 221 1 20210 6597 1 2611 853 1 4172 196 1 8999 2260 1 13886 7008 3 9939 2534 1 20042 612 1 1104 534 2 1215 1466 3 6322 516 1 12217 1250 1 6341 7816 1 17678 3308 9 6024 4252 15 17449 1736 2 3626 1728 5 17886 728 1 5542 2016 8 18367 502 39 5952 1707 2 16726 5127 1 19739 219 2 12082 225 1 8763 2849 1 16063 5483 1 18278 340 4 9783 7542 2 6452 836 1 15718 7964 3 15685 6322 1 3903 1775 2 15576 1121 8 9543 4203 1 7298 6571 1 4371 7672 1 18266 3358 2 15307 548 1 19467 8053 1 5519 2027 1 15473 3980 21 7850 4491 5 10251 225 1 4445 1895 2 10783 7188 10 2164 1345 1 10839 347 2 12055 548 1 6650 916 1 17302 184 19 14778 3326 5 18258 6606 8 11243 903 1 10879 2566 1 8828 132 1 18806 6236 1 13238 203 5 8223 1137 1 13829 2357 2 7486 1772 3 7835 3531 3 12003 1955 2 16924 1269 1 12392 7029 7 7577 1146 3 13503 366 1 10698 910 2 2158 1704 25 17661 1646 1 745 816 2 2024 5537 1 7251 6192 1 9374 1707 3 19678 441 1 16430 4603 2 17578 5903 9 11503 2403 1 15707 863 1 18910 6564 2 10381 7997 1 2306 3972 2 373 1188 1 2530 1037 2 2483 1146 2 6314 8117 1 5368 3992 2 19319 871 1 17486 3328 163 10983 1416 166 7506 1661 1 3625 1727 4 559 6061 1 3788 7531 2 4213 3714 2 4084 2990 1 16495 7177 1 6914 1313 1 24 1462 2 17404 1692 1 15093 525 1 11763 665 1 1752 1342 2 16234 6754 2 17494 132 1 11065 2354 4 17524 2552 1 10554 717 26 18829 223 5 6726 6507 23 2998 7018 4 16124 23 6 15767 2665 2 8829 6874 1 3768 518 2 11955 5266 1 7179 574 2 9283 2234 7 70 3275 1 1528 203 1 19759 3519 7 2691 834 3 4435 2355 1 15542 444 1 1783 3747 1 9446 5897 1 3496 6150 2 16137 6714 2 1133 4427 1 19833 393 1 1185 222 12 5954 6585 1 6988 7614 1 19677 1145 1 1364 4245 1 10431 1772 12 5920 7401 5 16614 7455 2 9868 4211 1 4098 3606 1 19232 2349 1 13544 2017 18 16140 1146 1 12255 4296 5 7261 910 4 16490 514 1 20180 757 1 12351 1990 15 12064 1775 1 11384 3953 1 18160 1745 1 1753 2181 2 7610 930 1 3442 1685 1 16275 207 14 6928 1750 7 5684 3316 2 16844 516 2 1908 4325 2 2075 523 2 3447 4153 1 18149 173 1 695 2307 1 16244 6268 1 5100 3198 1 10105 225 2 10462 1035 2 3981 3645 2 1705 3400 1 14909 1751 1 10192 3669 5 8211 2363 1 7559 4059 1 4658 23 9 17172 5463 1 10927 233 2 2260 7844 1 16143 252 1 9699 1140 2 6380 23 1 19461 634 1 19190 7259 1 18042 5740 1 4620 2392 2 19069 1716 1 10099 23 1 1465 1244 1 7731 5025 1 3490 2591 2 19393 2114 1 821 2729 1 9966 221 3 10243 1618 5 4055 3578 1 6341 1298 8 10333 1482 1 10267 200 2 9785 2549 1 166 7543 1 10691 2271 5 18978 1730 1 6380 225 1 9432 5253 1 18623 4653 8 8279 4246 1 9978 919 1 14276 3572 2 11636 4257 2 9224 348 1 5943 1184 1 18044 1251 1 6059 1284 1 13827 1277 1 4346 2656 4 6668 5127 4 11753 1670 2 15022 420 12 17405 5559 1 3512 4710 2 18002 221 1 2004 1775 1 15041 470 1 19101 6554 1 5614 827 1 13545 1929 1 1641 5018 1 10099 2343 1 10677 4998 5 2976 4040 1 954 101 1 15932 379 1 13797 1727 1 822 4534 1 19404 498 1 16189 616 1 2925 601 5 11827 2678 2 6183 1734 2 10060 534 13 3008 6460 1 6966 3595 1 4687 631 1 665 1341 2 17135 1334 2 15895 8031 1 1465 5077 2 6813 1788 1 988 6710 1 4049 4157 1 7158 4223 2 12734 5302 1 5216 4245 3 11345 2675 1 16777 912 4 3893 2646 4 296 4792 2 5117 597 1 15932 8251 1 6183 153 1 18900 2148 10 6753 7997 1 13758 261 1 10948 5506 1 13105 2501 1 16870 2743 1 6130 967 1 17728 5082 1 3718 4810 3 15530 221 1 18366 1736 5 745 1762 1 16514 200 2 12959 1707 2 14211 3334 1 17252 1757 1 19360 4388 1 16860 4511 1 19090 4308 1 2208 3644 10 6906 6059 2 5185 6480 1 13707 5002 7 12996 3698 53 6332 3276 1 10826 1568 1 899 375 1 15272 200 1 19331 3391 2 18876 460 1 13924 4249 1 6415 1686 1 8560 2949 1 2783 2676 2 17626 5016 1 10245 5738 1 151 1756 2 4688 783 1 11581 222 1 14292 2343 3 19914 3243 1 2419 173 4 11461 1770 1 12104 7797 1 15591 2860 1 19504 532 1 14459 156 10 19865 2993 1 12525 2019 1 5022 4680 1 19790 4309 2 8751 880 1 18148 1903 5 6332 7466 1 14486 1721 2 19 1257 26 2629 3333 2 4097 23 5 19256 777 5 18422 4763 14 14367 2993 1 13623 398 1 16894 2090 1 18657 7142 1 19738 2646 2 3586 5022 2 12599 225 1 188 3640 2 14162 3140 1 7221 2179 8 7870 7432 2 5582 1278 6 13637 7829 1 15279 87 1 1773 5003 1 3697 1482 1 11428 2969 1 5645 6053 1 19707 534 1 174 8065 4 19273 5203 1 12969 215 11 18010 3208 1 6188 3323 1 462 2068 1 8435 220 1 3860 7465 3 17719 7829 1 16669 15 2 6275 4589 1 5667 5408 1 9725 201 4 1656 8102 2 11018 201 1 10919 4648 1 14811 23 1 27 1632 1 3255 5537 1 8831 1374 1 8438 204 1 8344 5472 3 5261 7652 2 2827 8057 1 7778 7708 2 1653 534 1 16666 411 5 9451 7850 1 17405 863 1 3545 3567 1 16484 6542 6 5221 1801 1 18933 545 1 5821 912 1 6091 1724 1 19348 2561 1 3791 6334 3 11950 6930 3 17760 7672 6 1743 1357 1 15419 3233 2 20049 1761 1 14204 5502 1 8191 3878 3 9860 3811 2 8738 3132 5 8182 498 3 11709 3799 3 6536 501 2 19877 5091 3 1231 6442 13 18193 215 8 4357 8170 1 5863 4098 1 7524 910 3 5202 722 1 15160 2261 2 15460 297 1 9652 1181 2 12506 1887 6 14639 1328 1 20173 6286 1 14835 6743 1 1570 5490 1 4883 4774 1 19814 4963 11 14955 1191 2 11606 426 1 2321 2013 1 12280 6013 2 3206 6099 2 11296 1661 1 6225 2645 1 15508 5496 1 17705 200 1 6477 214 2 83 2342 1 5830 2373 1 9756 1439 1 7550 6548 3 6339 6899 2 33 418 11 7096 867 1 18543 1642 1 4046 519 2 6063 2743 1 8609 7245 1 9805 6278 6 9334 2350 1 4498 4841 1 19031 7962 1 3337 3874 8 11357 204 1 15144 891 7 3898 2363 1 16705 1775 1 2143 200 1 8832 1055 1 9883 4199 4 12824 1740 1 14175 867 6 4009 3511 5 10498 838 1 9598 265 1 2333 1829 11 3085 2595 1 14357 536 1 14629 1304 5 1893 4573 1 5397 1720 3 19107 4022 1 6492 1727 1 14522 4805 2 17195 3696 3 15932 1222 1 16751 3069 2 18027 8114 3 4403 3645 7 31 1754 7 14738 4879 1 7461 3432 2 10404 4215 1 3774 2671 2 16167 173 3 7083 4446 1 5408 394 2 18876 1396 1 9096 5410 1 474 4365 1 16922 7674 7 62 762 1 6437 3684 1 20123 5516 1 10399 1705 2 4050 1153 1 17954 4009 1 7762 6062 1 3467 2138 6 18892 5502 1 121 721 2 12971 239 1 5806 5923 2 955 397 2 15935 482 1 13652 7853 2 16249 7665 1 17347 2659 4 14610 235 2 4092 6537 4 14166 4578 2 12687 723 1 7966 6127 5 8001 5559 1 10017 1395 1 18992 1594 1 8013 2146 1 14055 4085 1 5087 7407 1 5882 1288 1 19296 1664 1 9281 7586 1 15314 6567 8 6195 2647 1 954 4104 1 17710 3591 2 19289 207 6 4397 679 2 19625 506 2 3005 8026 1 3935 1721 2 13654 5447 1 6064 383 2 10718 1727 6 10060 221 3 13461 903 2 4385 386 1 19566 2241 5 7898 4006 7 4572 1748 6 189 5873 1 3358 7624 2 8080 2403 1 3496 74 2 6496 7868 1 11736 3522 1 17543 574 1 14612 201 1 15408 207 4 18061 157 2 10703 6290 1 20180 752 1 9604 1706 6 19241 618 1 6013 4950 4 13699 927 1 10636 505 1 2328 2352 1 14522 300 1 5637 200 4 19267 5009 17 20182 2505 1 6099 1245 1 10554 274 1 13039 3782 1 3189 7102 1 13621 7013 1 19675 7368 1 11763 3364 1 12592 134 4 10663 541 1 10435 4307 3 7585 2316 1 3763 1726 1 4799 4453 2 7778 3070 7 10948 2679 1 5302 2484 2 18566 2032 1 899 4534 1 13829 1718 2 4391 381 1 6989 8062 1 17711 1917 1 6469 4986 1 2452 36 1 5041 5310 4 12777 6885 1 16674 206 17 1435 4314 1 1875 490 4 18290 1819 1 13601 1730 1 16485 4352 1 2731 5403 1 1866 3812 1 4583 61 2 17779 7414 1 7317 660 8 2814 4563 1 7336 3230 12 16548 696 2 2887 4408 1 11656 1657 1 13581 1751 5 7259 6946 2 135 1761 1 16330 6334 1 11715 3432 6 17580 1758 2 13087 1910 2 6937 3253 2 14466 6706 23 12150 1734 1 7821 1345 19 2134 1164 1 5982 1275 1 17100 6758 1 5211 1484 1 8606 214 3 10218 1182 1 15647 1736 1 15331 2735 3 5524 224 1 4155 3552 1 14423 1819 1 13131 892 1 9577 74 1 3469 23 1 3268 1863 1 14522 252 2 3924 1571 1 15383 2092 1 11968 5389 1 11188 2982 1 10313 2869 2 1860 6826 1 4357 7351 7 14196 5600 1 6848 1764 1 60 2720 1 14173 159 1 465 1755 1 18247 833 1 17174 650 1 73 3361 6 18817 518 2 17434 667 5 17743 3604 1 9123 7404 8 1469 519 9 12620 1748 1 5711 223 1 13065 4245 2 16391 525 5 113 5107 1 719 3373 3 17995 5994 2 4880 942 1 141 1248 1 1907 330 1 15934 891 1 3399 5908 2 3514 5255 1 6348 569 1 1409 1356 1 1866 3305 2 18946 221 1 19605 506 2 11890 2055 3 12009 1244 4 18610 3013 1 17625 1146 1 12212 4490 1 9937 200 3 4691 520 1 17454 3634 1 19786 2478 1 10610 1986 3 18672 2383 1 14325 223 6 13601 1205 1 3915 1955 1 14800 2810 10 1660 1991 3 5515 1863 1 19810 221 1 8532 532 2 6752 581 1 8180 1053 1 4691 665 1 14037 3621 1 9433 6772 1 10330 222 2 10376 229 2 7318 190 1 12513 303 1 6533 3729 1 16989 1721 1 18058 7083 2 6681 7809 1 10080 1244 5 11246 3901 16 1150 7840 1 2180 5480 3 4112 2076 1 2978 132 1 11276 3682 1 1551 2396 2 6999 7477 1 8327 8156 5 9374 508 1 16428 4030 1 7377 3267 2 2801 6320 1 5169 1301 1 6188 3411 5 9639 5349 10 3180 1244 19 17616 610 3 9312 6053 7 12464 1250 1 6647 4741 1 114 5116 2 301 1748 1 15862 4789 1 11212 292 1 17850 230 1 6883 1286 3 18260 200 4 13821 3167 4 18976 2760 5 17627 1778 8 12262 4085 2 20116 5018 34 16861 1116 5 17894 6778 3 6536 1342 2 16726 1453 1 13787 196 6 4165 4494 1 12194 3966 1 10831 6185 2 1155 4307 3 14157 1731 1 6796 1245 3 2619 5561 1 7012 82 2 1868 1363 1 15839 1253 1 11914 207 1 12064 303 9 2321 4639 2 11327 1146 4 14999 1774 5 17331 1726 1 3995 7983 6 9432 4366 1 6263 910 1 260 4667 1 18635 789 1 8614 5401 1 14376 66 5 16090 4867 3 3132 7643 7 16090 1727 1 11943 156 1 19091 6532 1 6492 2686 2 1937 6931 1 7737 6541 3 19528 203 48 5171 2014 1 9074 3320 4 8164 1738 3 724 1116 1 14968 506 1 5213 1275 3 13476 385 2 10078 1910 1 1999 670 10 435 1880 7 6473 1274 2 9604 3511 1 12447 2852 2 13614 6500 2 15561 2626 8 2020 5688 1 9266 5565 1 14834 7859 1 9564 8044 2 17962 544 1 12924 6689 1 16523 196 3 13490 4853 1 12821 1665 1 9178 1981 1 11497 3074 3 14881 4543 1 11417 6126 8 1466 7716 9 11681 2969 1 13829 1775 1 2199 3391 1 15796 897 1 3468 225 1 17709 525 3 17886 621 1 2388 3476 1 4279 779 3 15879 201 1 14606 363 1 20016 4963 13 9295 1482 2 9586 222 1 16696 6058 1 140 6422 1 218 5435 1 4195 1776 1 19626 1717 7 3796 206 2 3562 232 1 13923 6341 7 15936 4929 8 19534 1775 5 16700 945 1 18593 4391 9 3338 2653 5 12817 420 1 14683 347 1 19661 6756 1 16998 1798 2 19063 200 1 6681 853 1 15013 225 1 11820 6368 1 306 1898 2 7354 1241 1 8478 5311 2 19590 3519 1 5338 1946 1 5330 1245 1 17521 2013 1 9835 5020 1 10758 7421 5 13099 1252 2 5862 1819 1 11079 3676 2 11250 2675 6 11179 2087 3 12140 23 4 381 720 1 15404 1424 1 8620 3526 1 8641 207 6 13023 5262 1 20262 1379 1 12610 103 7 787 5385 1 18886 680 1 7933 6552 1 17120 215 3 13126 1312 1 1092 4060 9 16294 2949 2 19057 197 2 4553 715 1 9178 3163 9 5359 8029 1 15552 916 2 13266 6663 4 135 6120 1 3432 452 1 1483 335 1 2998 1146 2 16529 5820 1 10027 8093 5 12817 3824 2 17839 1338 1 7907 5513 1 4527 1742 2 5985 2492 1 9901 6552 3 5793 2675 1 7768 1717 2 19710 4620 1 18654 840 1 4490 1748 1 12779 1775 11 3285 3337 1 10472 1387 1 904 3301 1 1161 1981 1 16759 2155 1 7751 1245 6 17713 82 1 7390 46 2 3031 7583 1 1548 4491 16 15992 789 6 14558 867 1 8793 656 2 5476 429 1 9660 2392 1 16090 2973 1 7010 1751 10 6047 3511 2 10579 4263 1 1445 3227 1 17252 1756 1 4055 6496 1 6520 1784 1 8190 1761 1 1157 1523 1 17995 1251 11 15530 1752 1 6622 4505 7 10356 6225 1 10909 942 1 20177 5999 1 16669 7422 1 31 1783 2 1041 3748 1 133 6067 1 14876 764 4 17135 6564 6 20140 1252 2 10116 6064 1 9168 1698 1 12072 2677 8 11120 2635 4 18633 2398 4 10977 6073 1 18174 2013 3 14232 2860 1 11014 221 3 11336 3138 1 5459 853 8 16378 1995 1 19872 1339 1 15214 915 1 7750 5272 1 10253 1726 1 596 7843 1 5587 215 3 14229 222 1 15229 7396 2 19506 1374 2 8789 4428 1 2905 2883 1 1722 1819 11 18573 1407 2 10579 3203 1 7188 1645 1 3486 6772 1 12167 7210 17 14412 500 1 18323 1363 1 17992 73 2 6802 2256 2 19774 4231 1 16509 1632 2 16583 2743 1 13993 6442 1 13619 1153 21 1337 2502 3 2135 6200 1 19774 2602 1 1322 6683 5 2280 2362 1 11162 7427 1 7416 1909 2 9695 1423 1 14939 1739 2 19395 6238 1 14032 169 27 11419 6170 1 12851 229 2 19604 6749 1 9865 214 2 14304 2216 1 5391 1747 2 19159 8139 1 4044 833 1 17080 4447 1 12362 1748 1 9808 5018 1 13265 223 3 7178 912 1 9250 1059 2 17553 5758 1 12826 2633 2 151 2815 1 10694 1727 1 1993 3318 5 15466 1311 1 12995 7217 4 15833 964 1 326 2349 1 19422 6591 1 7688 4498 1 18053 219 13 16187 6534 8 18857 7850 1 11848 2649 6 1825 6669 2 20142 1037 1 17705 1591 1 18916 3468 10 17300 3667 2 9081 2787 1 25 1510 6 69 3267 1 19055 1251 1 15377 23 1 95 4379 1 13123 203 2 8461 530 6 6855 683 1 3397 6441 1 13748 6675 1 621 5573 3 10329 3911 1 20128 7564 2 14970 2490 1 19379 168 1 17780 533 9 18791 514 10 7186 1324 1 12870 1312 6 13577 7734 1 12594 6939 1 6342 1245 1 14111 5245 5 13705 7412 3 4193 1703 2 6556 2768 1 19400 3338 1 19655 863 2 2973 1239 5 13439 448 1 19733 8152 3 8454 1783 1 16449 1703 1 9224 746 1 19707 2841 1 126 5659 1 16179 4877 3 13619 7146 40 8528 1827 1 16109 203 1 4338 2905 1 12922 3366 7 11365 7131 1 10452 747 2 8999 303 1 712 495 1 18510 1707 2 418 164 1 5165 1710 1 2212 418 1 1365 1768 1 5684 3327 2 1862 8117 1 9152 3698 2 7279 2561 2 425 2662 1 5374 1523 1 15328 1334 1 19567 3748 9 251 6899 1 10080 7352 1 13923 2534 5 9429 2256 1 15622 1771 1 4779 5495 2 15571 5018 1 1564 1245 3 2524 6338 1 19182 4929 1 14210 1251 2 11920 7258 1 18790 6481 1 10851 508 4 5132 221 6 5912 2562 1 19286 788 1 15245 1185 1 3822 5400 2 1 82 1 15014 7184 5 398 1714 1 10942 7530 3 18530 223 1 13994 3220 1 15743 3059 2 1369 5066 1 15599 7105 1 16464 2549 1 5382 2935 2 17555 6457 9 1230 2691 1 6697 5531 2 16192 220 1 8629 1250 1 15003 3228 2 17215 5206 1 19849 4105 1 12805 1986 2 494 3151 2 19511 1312 1 20081 2373 84 10713 6445 1 5049 712 2 1320 1825 1 4451 4373 1 15164 3275 1 17816 172 17 18212 1819 2 11933 2577 2 18331 6914 1 19380 278 1 14350 453 1 10966 173 1 16839 1781 4 10908 1363 1 15560 2493 1 19683 5341 1 9506 8141 3 19486 7632 1 8419 1252 1 17257 299 1 17039 6954 1 14658 207 2 4273 398 3 18226 6201 1 81 156 7 5872 5769 2 17927 3400 2 11918 3135 5 4305 863 2 11949 2710 1 19193 501 5 19626 4972 9 9715 490 1 15321 4014 1 873 3864 3 991 1344 1 9398 5712 3 12288 7313 1 19679 23 1 16887 488 2 3650 1898 4 19872 225 2 2271 7252 1 12988 8037 1 15622 2233 4 17378 10 2 633 6337 12 6340 874 1 19131 1271 2 19872 850 1 4240 2392 5 12279 1898 3 16857 1450 1 5553 2555 1 11212 7881 7 13517 3910 5 1472 244 1 252 6659 1 14437 5102 2 10447 1715 3 10452 790 1 18075 7167 1 17152 1342 2 13282 7576 3 20191 654 1 1866 79 2 5983 505 5 11369 6649 1 8174 2087 1 6416 1771 6 2359 304 4 13306 1760 1 2336 7688 1 7774 1466 2 14055 6125 1 481 7930 11 2818 1250 2 11935 566 19 9479 3891 1 2811 8191 1 12037 5224 1 10222 1073 1 19517 244 1 5621 1706 1 15192 1825 4 16690 1089 1 17345 3502 4 15303 2079 1 5492 1052 2 823 6648 1 523 4120 1 13703 5011 2 3890 2254 11 14218 201 2 5176 501 1 19649 1764 1 17389 6957 3 13040 12 1 15605 7542 16 8521 411 14 19645 4220 2 18042 2004 1 15882 394 1 4268 705 2 15211 452 2 1540 3540 14 10294 1760 14 12453 3596 1 11024 74 7 9178 1208 1 4223 244 2 19604 4476 1 9077 1921 2 3093 896 2 18082 7489 5 7768 1250 4 10265 517 5 11549 2510 1 19707 215 1 7253 1296 1 17242 6512 1 15534 1770 2 7498 8041 1 12054 2367 67 16087 3540 1 2104 5120 5 162 7372 1 10339 6244 1 1293 7520 1 1609 5905 2 11333 1730 4 8056 4422 1 1593 8095 12 7943 1825 1 5952 1334 2 98 4409 6 3832 1734 1 9094 2580 1 798 3960 1 19848 4540 1 13779 3896 1 9966 184 1 15364 3009 3 12249 5427 1 3444 5410 3 100 4515 1 9262 6572 1 11866 844 1 764 6341 13 6016 6506 1 11742 5251 3 6256 1731 2 4986 5989 1 6196 3767 2 13829 1724 3 4553 6351 1 1663 184 7 5637 4245 1 9215 5349 1 6135 1244 1 3983 1582 9 18140 3669 11 15778 2132 1 4072 7536 1 16214 2037 1 1969 169 5 8831 3170 1 394 2581 1 17556 5518 6 5815 2448 7 10214 347 2 15346 2358 1 5618 219 6 6137 201 3 2077 215 8 16625 1738 1 13152 1037 1 19169 5441 1 17135 2362 2 3985 1418 2 890 5686 1 14522 581 2 15088 200 2 15205 589 4 557 6892 1 10948 1655 3 18285 2605 3 17124 187 1 8159 787 1 16501 4554 1 18418 6543 1 2204 404 2 16674 3540 2 11498 4363 1 6164 3285 2 4145 1244 1 5588 219 1 14883 4998 6 18761 402 2 4106 542 1 15468 4616 1 18580 5036 6 10207 213 1 12467 502 37 18933 523 1 17368 3998 1 16574 1764 1 13011 470 2 7137 5325 1 18797 1249 1 2764 3663 3 10590 3378 1 14773 1776 1 9320 5591 1 18027 833 1 976 530 5 13750 7629 1 7910 3153 1 20256 8036 1 16021 6620 1 5882 6132 2 10043 6595 1 16379 4385 1 8229 214 1 18161 203 12 4940 4776 6 10717 43 1 13496 5249 7 13006 5020 10 8500 3957 1 19566 6656 7 15468 1244 9 19241 4603 1 2891 1715 1 19537 1238 1 16366 1507 3 4182 183 1 6536 1399 2 3491 4447 1 10110 3410 15 7182 5420 1 5426 4266 2 6207 2069 25 79 3563 5 20003 3345 1 790 3353 3 13636 5393 1 18039 600 1 9453 4022 1 3290 46 3 11676 512 1 4277 1881 2 19144 496 1 5602 877 2 3411 2398 17 16515 196 17 13127 7414 2 18933 367 1 1690 222 1 7717 2671 5 17 1208 1 18067 1634 1 15220 1779 1 1481 6252 4 16090 1104 2 11201 2710 1 11640 4807 3 15676 1702 1 7028 222 1 8082 8031 5 11681 6484 1 11726 2708 3 15330 7570 1 7771 1595 1 4403 1307 3 6308 229 1 862 5860 2 1130 2649 2 561 1416 3 12857 4818 1 15296 4653 4 16901 23 5 19160 867 6 2128 169 1 1324 4343 2 15092 2877 1 18286 7340 1 18968 3638 1 14537 723 1 881 5599 1 5172 366 1 20035 4351 22 5954 4518 2 6812 7410 2 18271 206 2 1397 7005 1 16016 6047 1 4440 1691 4 1853 2619 2 18484 7976 4 19606 4807 1 3668 2286 5 11968 2383 1 18705 2662 1 373 5923 1 7152 2671 1 6113 7786 5 1628 23 1 14922 6900 1 17703 6777 1 9213 200 3 12189 6609 1 15314 2591 1 16570 423 1 11999 2307 1 7761 3878 1 18289 359 1 16704 11 28 15647 5018 5 15836 2683 5 11392 5791 4 3025 4014 1 15694 4476 3 1911 8143 2 2911 2722 2 19476 4935 1 126 5714 1 20275 442 1 17298 533 7 18279 1198 1 2013 2366 1 9395 565 1 2393 790 1 4663 841 1 14758 6954 1 2586 4575 1 18771 502 3 19737 1606 13 9497 1755 2 9830 6882 1 8926 3910 5 8248 7591 2 13418 502 4 9725 2118 1 6740 941 2 13184 470 5 5991 3279 3 15599 2238 1 11598 4673 1 12283 196 1 3143 3216 1 14257 800 1 16491 4056 3 16491 682 1 3841 870 1 12947 1748 1 7843 6027 1 8710 3909 1 12706 184 2 6403 410 1 19611 1781 10 3376 1418 1 18251 2439 3 9557 7997 1 12817 1728 1 3460 207 1 1304 203 2 12361 6484 2 13698 5518 1 14038 3263 1 13490 2369 2 17120 1771 1 4886 7399 20 916 904 1 20123 201 1 15691 4085 1 11593 4435 2 12623 2484 1 6597 3724 2 48 2393 2 2479 197 1 11932 1363 1 1389 2927 1 13793 7881 2 9508 982 2 7476 891 1 18750 870 1 4074 3233 1 6818 3276 4 16805 956 2 1401 1296 5 15385 5083 2 525 1338 2 9374 229 1 8014 3855 2 13267 1328 3 8599 7352 3 4307 1374 1 4634 4920 1 10605 410 10 16894 3374 4 14643 6600 1 8261 23 2 25 1485 1 8559 1752 1 3822 420 1 17 1225 1 1556 7788 2 6811 5031 1 5981 23 1 4339 6793 1 8132 2056 1 9467 1245 1 4353 2542 2 6332 590 1 14630 411 10 11773 6933 2 988 1740 12 4223 1458 1 15074 1745 1 10672 3399 2 16197 5832 1 5531 1760 2 12640 5497 1 1889 6884 43 7899 6012 1 8801 1130 10 3963 558 5 10554 842 1 15230 201 20 17725 956 1 5076 4309 2 6070 1879 2 401 3824 1 8878 880 1 11320 5949 2 17310 265 2 15823 1246 3 14617 1781 2 11001 1304 5 13321 1274 1 6539 8034 1 9977 7643 1 72 3342 1 135 6180 2 7203 1706 1 11014 3586 9 5253 1319 2 13241 1271 1 2817 7498 8 19218 2392 1 1948 1417 1 17986 6502 1 4124 7187 2 7197 7544 2 12072 82 3 8744 1245 2 5074 1407 1 4913 4248 1 2900 2010 1 2710 200 3 8324 200 18 8944 4974 1 20159 4717 1 6798 2350 2 8532 1771 1 7147 2138 1 13301 3378 5 5969 1076 1 12459 330 1 11192 6779 1 12971 3946 1 4417 5121 2 4597 534 1 16070 2675 1 16941 1423 5 18821 3589 1 651 1464 1 5244 1580 1 2020 394 3 3536 4495 1 13156 5018 1 12911 520 4 9993 200 7 7898 6487 1 14790 6486 1 11274 1245 7 7912 1253 5 12501 1453 1 15049 1787 1 15202 942 3 16090 2802 1 174 7937 2 18646 449 1 2980 5897 2 18981 1704 3 1962 426 1 17998 3679 1 11246 5423 3 1009 3408 2 7832 43 1 15159 1659 1 8022 5221 1 17376 1251 2 19602 6949 2 2860 470 1 270 1244 2 15732 4877 19 16698 4357 2 7653 2647 15 5780 533 1 16921 5559 1 6645 1700 1 5696 1734 1 18226 232 3 19526 1303 1 2984 2216 1 19368 1594 2 9838 3617 1 272 1716 1 4884 1739 2 10225 2126 2 2271 335 1 6113 7606 4 7028 1184 1 7610 243 1 10194 2569 2 3081 935 1 4620 6192 1 15530 2416 4 4410 2953 1 11533 461 1 5074 1734 1 19025 1757 7 8862 5507 1 9504 2863 1 9433 3227 1 9132 3338 1 6 189 2 2204 561 1 5128 3311 22 19423 8146 5 17077 1755 3 4720 335 2 3536 1757 2 8585 2913 3 17738 6971 2 9495 5806 2 9525 1250 2 12435 3167 2 19764 1311 2 9347 215 13 17813 1973 15 7444 2727 1 8373 7942 1 17459 3367 1 411 502 7 18250 3255 1 9429 1395 1 101 1324 2 16626 2409 1 11434 206 3 8614 5004 1 10218 5252 1 6007 1819 9 8152 229 2 20114 23 1 1128 2155 1 5775 7719 2 3446 8013 1 3008 7245 1 14436 2331 7 4419 2613 1 4648 387 1 7065 457 2 14985 1658 1 296 853 5 13289 7397 7 13764 2363 1 14890 869 1 10966 1399 1 3404 442 1 12170 6192 1 9445 1760 1 10699 1269 1 15318 745 2 5281 359 1 13852 6744 1 16109 205 2 17 1051 5 9378 1474 1 213 203 17 15851 7229 6 1357 7432 1 6183 1781 3 11846 397 1 8294 553 1 7571 2353 1 6183 74 4 873 23 2 4599 1764 3 4423 682 5 7545 4933 1 9110 1719 1 527 596 1 53 2571 5 18615 3596 7 7452 567 1 15383 2025 11 19193 1450 1 16299 3377 1 11304 6610 1 14581 5446 1 14416 3181 2 462 201 16 4976 1726 1 14150 1121 6 5179 541 1 17736 690 2 9501 4345 4 19779 1089 1 1315 1244 1 19420 2071 1 15471 4107 1 8762 690 2 10051 443 1 17084 545 1 19187 6657 1 18059 7686 3 9652 1363 1 20056 188 1 19894 1072 52 661 7689 3 13388 6228 2 7431 8154 1 13055 1616 1 644 552 1 13482 6132 2 5613 443 3 17919 6011 2 3396 2899 5 9919 5267 1 3972 5395 1 6689 4614 1 11509 3526 1 14958 7948 1 18791 6091 2 6459 2266 17 19607 7013 1 19923 1983 6 19487 1734 1 6287 378 3 19120 236 4 11057 1972 2 13 883 1 11591 1747 1 16493 201 3 2876 1752 11 15662 1819 1 7473 200 1 4030 690 2 83 177 4 15495 6338 5 4232 4796 1 13 877 4 19174 1748 1 8416 1721 1 18878 207 1 4089 1942 1 4314 4780 1 15599 15 1 20019 3422 6 10948 5243 1 12212 2489 1 4601 4298 1 13490 1193 1 5326 411 3 3902 6022 1 16238 336 1 835 205 1 18925 5222 5 4898 7625 1 710 5256 1 4815 5583 2 12728 1731 2 10559 235 10 19321 7216 1 8264 1233 1 23 1441 2 5993 1731 1 10332 3896 1 9930 197 3 59 2707 1 19326 670 1 1518 2056 1 14208 1571 1 18169 7216 1 12736 3477 1 3358 877 1 9670 5826 8 17505 6343 1 15390 7641 2 5557 698 1 1433 1747 1 4193 184 1 2442 929 8 12358 4268 1 130 5825 1 8051 6907 1 10080 274 2 10733 4623 1 16513 1399 1 10954 1770 1 2739 2683 1 20042 764 1 15102 3694 1 1435 3903 2 14738 1827 10 12449 248 1 19754 3442 2 13715 6527 1 6164 3888 1 11183 2885 1 503 4612 1 3048 5477 1 6907 4224 1 4522 536 1 17742 3142 1 19663 95 1 12121 7466 6 17303 912 2 13928 622 1 15971 206 7 19649 1827 2 3878 6744 1 162 7374 1 9894 1000 1 5860 1245 1 4940 1761 1 13085 220 1 100 4506 1 3665 5335 2 8591 3563 2 6089 534 1 3258 1324 5 16466 1214 3 4935 5883 1 4099 3337 1 4546 229 1 580 7210 7 3711 4369 1 6533 308 2 7245 5104 3 16593 1296 4 5424 2497 7 1361 89 1 10799 7097 1 4995 4204 1 5403 1769 1 11912 4008 1 1719 786 4 1278 3177 2 2818 1752 2 13731 4587 6 20175 3135 1 7780 1717 1 1828 496 1 6813 23 1 17653 2097 2 6818 7719 1 578 499 2 8754 225 2 83 3762 2 7176 1275 2 4774 173 1 542 1508 1 6381 738 2 16447 3333 2 14590 2600 5 16479 2031 1 143 6536 1 16457 941 2 10817 1762 3 9661 1357 1 13442 6683 1 3310 4105 1 77 3520 1 16160 1464 1 16236 1770 1 4964 201 2 12890 7530 1 14748 6690 1 2902 1244 1 7866 3194 2 16231 512 2 9202 1184 8 5838 518 3 221 5105 2 5402 2626 1 16881 214 1 13586 5029 2 3906 1784 3 17890 6342 10 13313 7670 1 6726 156 28 10462 1367 1 9185 1240 4 5354 4222 5 18363 1374 1 17655 1827 5 14779 4085 1 1050 1357 1 7950 74 1 4799 7963 2 9185 523 4 1642 4025 1 13320 2373 3 19946 336 4 12030 6777 2 12133 6533 1 10245 1548 2 10354 883 8 10442 844 1 13529 7222 3 1141 1742 1 18307 1464 1 12361 872 1 576 2575 7 727 4026 1 8327 222 2 16806 1762 1 3581 1726 2 802 318 2 10988 1194 1 15870 7089 1 12639 196 1 8100 4562 1 8528 232 2 969 2877 1 13850 3511 5 2336 4903 5 4913 4591 1 13711 340 2 3189 2021 1 6855 4296 1 2451 2992 1 8017 411 2 1608 792 1 19877 5026 4 12777 1249 1 4979 1730 1 4070 1825 10 568 2392 1 7187 222 1 16768 300 1 1097 1277 1 18442 7881 2 16529 6527 1 382 2424 1 14818 519 2 11213 3168 32 153 6964 1 16638 1464 3 452 1305 2 19872 202 1 20235 1363 2 8646 530 6 6711 2671 5 1327 4996 3 3155 2584 1 4572 5327 1 12947 184 1 16676 4467 2 17449 1252 1 15086 7210 18 10433 3417 1 11179 1909 1 1866 222 2 4012 6535 2 19538 132 4 19822 3787 1 16526 1196 1 5376 5557 1 7578 6987 1 4503 5348 1 10316 7206 15 9311 215 1 11457 1235 1 5860 1710 2 15610 670 1 15957 519 4 20223 2591 16 3715 5783 2 7392 5728 1 13384 2595 1 15313 7674 1 65 3114 6 1858 1464 3 9015 1775 5 5444 3855 6 247 282 1 12377 2341 1 12592 4575 4 9406 200 15 19177 2601 2 13460 1613 5 4595 5348 11 8499 6435 3 19765 1416 3 1973 7534 1 4880 2009 1 2898 2382 3 15807 6406 1 12817 5327 1 7256 3556 4 2837 4312 1 2418 5730 3 3972 5534 1 17505 2793 2 5075 134 1 5688 1251 1 19415 3425 5 17841 222 1 11424 6427 1 9511 367 3 14145 1784 1 11645 219 6 6332 575 1 9644 532 1 16925 4667 2 7556 336 1 2126 8042 2 3991 3482 1 18040 1241 1 3138 212 2 13343 5289 1 15411 3230 1 660 194 1 19084 3121 1 10054 2398 1 2094 103 1 13636 5417 1 18763 184 4 15806 3308 3 14824 6934 7 15143 2889 1 8134 2488 5 4887 525 4 17416 169 1 12481 214 2 95 4353 1 10525 514 5 11591 235 1 14666 1300 1 11220 5608 1 4184 995 5 12408 1828 4 11872 3401 1 16019 716 1 14873 367 1 121 599 1 13623 2409 1 11614 872 1 6975 5820 1 6563 7491 1 4234 1518 1 19366 639 1 4346 533 14 18667 4615 2 13941 1334 7 7718 1307 5 2284 4120 1 14581 6457 2 819 2557 2 378 867 1 14629 444 1 7165 1655 2 17391 550 1 3131 3670 2 3312 995 1 1064 502 1 16925 433 1 7864 4792 1 3180 7586 2 2817 2480 24 7780 1275 1 8653 1046 2 16674 6343 12 9663 7881 5 19085 207 1 9383 5353 1 15691 577 1 1875 6705 1 15797 6053 2 1545 2678 1 11312 5409 1 4346 156 3 18815 1235 3 1629 4069 1 135 6208 1 10499 6402 1 18606 1870 3 9743 4296 11 4429 792 1 5424 428 1 4146 7599 14 1587 550 2 16768 1312 2 10341 232 3 14539 518 1 7582 534 1 7774 3511 5 17575 2415 4 10721 1649 19 2072 2499 6 12582 3788 4 17335 1768 1 14883 2356 2 5025 200 1 18886 645 1 18205 3512 11 7267 1893 1 5817 394 1 3806 4963 4 4525 7530 2 7285 7546 1 15619 6042 5 19760 341 1 18696 2662 4 992 718 1 1927 1720 1 14973 1656 1 6441 1340 1 4619 2129 7 1849 7425 2 5401 3849 1 15629 585 2 18940 1724 1 13875 449 19 13754 1395 1 11678 2068 2 4991 206 8 6407 2885 1 18069 228 1 4050 1743 1 16222 2001 4 9188 768 2 14322 1751 1 4784 4922 1 16306 1706 2 19808 171 1 2181 2144 5 19468 6402 1 3472 1748 1 13199 191 4 9566 7632 1 31 1762 1 18390 973 1 5963 514 4 7914 1445 1 6089 4792 24 1514 2829 1 16899 4603 1 3937 1987 1 15181 3980 2 9595 6427 9 6070 6673 1 8211 229 2 837 7586 3 1681 7368 5 140 6419 1 4151 1307 1 4784 1730 1 8753 213 1 6750 3425 5 3557 495 1 7943 6213 2 12864 5515 1 4493 705 1 4283 1967 4 6337 589 2 14988 2273 1 3432 1249 1 8884 1184 1 1711 605 1 19872 8190 1 993 1296 2 5048 4059 1 11559 495 5 19190 7603 2 5464 1357 1 11889 1629 9 10763 2151 5 10010 3840 1 788 4266 2 845 519 1 5775 411 4 15391 3748 3 4784 520 2 3687 589 1 1524 1334 11 9457 5165 1 13489 5263 2 12666 1241 1 9341 903 1 19568 2673 1 1572 214 1 16021 6632 2 2643 570 1 18076 682 1 5389 2708 1 14681 2338 1 9498 1764 2 1059 5036 10 739 197 1 15164 2555 2 11156 5740 3 4182 185 1 12864 7457 1 8760 7316 2 10937 7565 1 19399 1615 2 6219 4584 1 18915 5003 7 7966 1635 2 4613 223 5 10967 2254 6 628 5264 3 12128 824 5 16852 1445 1 14786 6588 1 14618 7292 3 3143 7861 1 15818 5060 1 18859 757 1 592 2869 7 1713 2554 1 3515 1698 1 14592 1695 1 13743 2849 1 6452 3285 2 18744 1819 4 4615 1333 1 15233 869 1 20024 1184 4 19200 460 1 5294 206 2 9033 2027 35 218 821 1 4498 229 1 13117 2831 1 3847 534 1 11044 385 2 13055 46 3 10593 514 2 16549 5325 2 18352 7857 1 6091 1245 1 18263 1707 1 474 2478 1 10060 2355 1 16432 1825 3 1752 6383 1 2786 2353 1 259 2559 2 2360 2209 1 15025 5162 1 10929 5020 2 11898 4726 2 16319 206 5 5371 218 10 881 1726 1 17060 716 8 18792 2721 1 19070 7963 1 11211 3482 2 4688 746 1 7467 910 4 164 3878 1 13089 2980 2 18110 471 5 16490 1342 2 4369 743 1 7751 3900 1 822 4404 2 19872 1721 2 11761 1770 1 11861 7948 11 174 7866 1 13492 184 5 13570 575 3 10834 4128 1 16886 5257 1 4223 1739 5 7855 3476 4 11354 1205 1 11026 5341 1 3286 2648 1 7991 1253 1 9185 1243 1 7945 6585 1 6425 3666 1 11687 235 7 11192 4920 1 444 6669 1 12116 3171 2 15300 1713 17 12 543 8 8705 498 1 19508 1745 1 7872 512 5 7524 1247 1 20086 4022 1 10327 870 3 212 3468 2 19428 7520 2 14492 8158 1 11387 6338 6 17917 1751 1 12068 7120 1 11122 5115 1 20145 3511 1 14793 5730 1 2135 6602 1 17640 7201 1 19179 1729 1 8358 861 5 14227 6756 5 14400 5737 1 3156 4941 3 11456 2649 1 1587 3016 1 4547 1249 1 12929 5425 1 12930 1368 3 10150 207 1 16159 3511 7 2905 3645 1 17 1099 5 13728 196 1 9892 5814 1 15471 935 1 13694 222 1 10654 1128 1 19937 1499 3 10912 5264 2 6977 204 2 18821 6288 2 15198 3911 2 16240 5522 1 8343 7953 1 2951 498 1 15896 805 3 4329 6229 1 9449 2686 4 18419 5999 3 4631 2258 5 7639 1819 6 16885 1820 5 15128 7096 1 11687 519 4 14659 5637 1 4170 4614 1 11343 3511 3 9953 206 1 6818 336 5 4090 4471 1 8170 2320 2 12654 3621 4 984 1649 1 14786 502 1 3881 6051 1 6386 6755 5 15788 196 2 8831 1305 1 5515 1721 2 3680 4245 1 7555 3155 1 11567 2132 1 1009 814 2 5926 2675 2 8915 7531 1 5688 1245 1 2778 589 1 14108 682 1 3427 2888 1 7994 626 1 3240 3331 1 4090 4470 1 3330 222 1 13644 3909 2 8946 670 1 16132 2363 1 14632 6487 1 19562 7254 30 17110 6777 3 14196 1955 2 17550 244 1 3448 3464 1 3197 4387 1 9695 6543 1 3996 1662 3 15577 1453 1 7725 2384 1 6755 1464 1 20173 1245 2 9354 1237 1 6459 7237 15 12660 3464 10 11919 4738 1 10105 6185 1 143 6533 2 10635 222 3 18783 2770 1 19158 5325 3 9979 536 7 12453 5341 1 8517 1755 2 1577 500 1 3296 3511 11 5411 4242 1 1114 3900 2 4213 2403 1 19428 7013 1 19082 7101 2 5212 4383 1 16022 1153 2 8087 1757 1 10338 6260 1 3816 1991 1 10720 4924 1 7005 5319 3 17459 1304 1 9050 5379 1 16730 757 6 17281 383 1 16236 501 2 19865 498 1 15463 3355 1 2960 6692 1 9419 1146 1 8211 13 1 6641 74 1 10238 935 1 10949 3913 1 17464 6157 1 2529 865 1 7850 5276 1 18371 2305 2 13020 73 31 7640 6933 1 8439 3333 1 140 6443 1 2513 1745 1 2937 1727 3 20145 184 1 5588 1752 2 8372 878 1 18876 691 1 334 4321 6 8808 4279 2 10941 4945 1 12569 1897 1 14824 6793 21 5100 1371 1 8082 4673 4 4346 7259 6 3106 1764 1 19180 5874 1 5254 5820 1 18795 1752 1 4691 7994 1 11411 203 14 14350 386 1 2020 390 3 19026 1235 1 13574 2026 1 12975 4314 1 15619 2639 11 9116 7769 8 18587 1328 1 5748 7995 2 1553 1374 1 9446 153 1 116 879 5 1802 4614 1 8517 2363 2 6841 2126 1 8766 4613 21 8585 1627 1 8703 6272 8 9512 61 1 7688 4699 1 11050 1745 1 4451 5278 1 121 4043 2 6164 5391 1 4892 6038 2 19862 525 1 18320 4006 5 16487 8167 1 786 3571 6 7991 1632 2 10676 2595 1 109 4949 2 4473 3649 1 19814 1753 4 2980 96 1 9271 1946 1 10765 3421 3 10613 3911 1 5486 23 1 6987 3911 1 9415 1751 2 5436 2671 20 3796 2353 38 5617 2821 2 12292 5535 1 8343 6295 21 3414 1762 2 5424 1185 6 11188 6179 1 15314 1789 1 2056 3391 1 6007 6084 1 4267 1341 1 2533 6801 1 1188 225 4 19627 325 1 14330 1739 2 10236 3275 1 11195 1775 1 10988 2003 1 4449 453 2 6793 1914 2 9835 5018 4 9658 1838 1 5352 935 1 10650 1304 1 435 2633 5 14144 2813 1 11562 7317 1 18338 7814 1 16844 4393 4 9457 1032 1 7184 1710 2 5662 1728 2 4267 4470 1 19217 688 1 15826 579 2 6662 3511 8 1735 694 1 18748 2355 4 9607 1727 1 13230 5550 2 15448 203 4 17662 2556 8 13071 8109 2 12375 274 2 14645 2588 11 16339 304 5 6705 2349 1 18408 3233 1 12680 3892 1 17814 1535 8 12807 1245 4 7233 2343 1 13960 4436 1 763 1819 1 10155 219 1 16287 1331 1 12561 8224 1 18492 2478 1 6408 6856 2 13607 3009 1 6673 1761 1 7329 4591 1 16694 936 1 4639 2021 1 4880 2495 2 174 7927 1 10361 510 1 12276 2542 1 6536 505 1 13675 7297 1 4791 3549 1 1507 519 2 12037 4156 2 19417 186 3 15504 1756 1 10301 219 2 5868 4023 1 4428 70 8 12378 57 1 3491 3333 1 10521 1250 12 6089 2552 9 8332 1788 1 10553 5985 3 1689 7022 1 5933 943 1 2441 5783 1 4624 6375 1 13994 1100 2 14094 7261 1 17868 3337 2 16002 5686 1 14899 5137 45 19092 1173 5 9865 220 1 9637 534 1 14203 647 2 4223 3671 4 2479 3563 2 8832 1125 1 9784 5495 1 177 8163 1 10464 5446 1 1934 6053 1 548 911 3 19043 3612 3 9310 316 1 8969 215 5 13733 1673 2 19649 1825 1 15669 789 2 12209 1718 1 5212 5532 1 2211 7851 1 1518 224 2 4561 4511 3 388 6215 1 10928 310 6 6160 3798 2 4259 2768 1 4034 510 2 15817 380 19 7252 404 1 2769 3602 2 16809 219 5 16809 6091 1 9797 7895 3 1133 6757 1 7928 1236 3 2022 46 1 9400 215 5 16834 205 3 5860 496 1 17250 3600 1 13928 1658 3 9000 1751 1 16018 4022 1 18969 7216 1 2257 4202 1 4516 7228 10 11898 1775 1 11461 1768 1 11313 559 1 3846 360 2 19910 7227 15 20154 3278 15 7778 7802 2 14047 1611 4 11653 883 5 8853 130 1 19087 995 2 7359 4992 7 6757 1235 8 7769 223 2 6670 1239 2 11533 573 1 17191 1373 1 10999 235 1 11786 46 6 4333 6164 1 8416 2708 3 4400 2322 5 10111 474 1 8323 3871 2 15907 221 1 3640 6487 2 16494 2514 2 18179 4204 7 3085 436 2 17475 6064 1 2569 2731 1 5038 3233 2 7647 1707 1 7417 2352 2 1746 874 1 3329 6692 1 314 2559 3 4716 215 5 15018 1675 1 10170 4198 1 11358 1489 5 7545 292 1 1638 3228 1 5542 3819 3 20035 7582 1 10067 498 3 19467 6363 1 2056 1764 2 11401 5350 3 2914 1770 9 8779 3305 1 3189 8083 1 10354 320 1 12329 1732 1 2813 3834 1 19240 3979 6 19250 5995 3 8544 512 6 16956 467 1 7490 338 1 16925 409 3 17 1174 1 7498 1305 1 9478 1482 3 7010 4628 5 18091 2131 4 12337 1342 1 3521 4856 1 17475 5699 3 17084 7470 2 8174 46 2 13424 4813 1 17495 1304 1 10065 3404 1 18078 1303 1 2 115 2 11788 1184 2 2809 6149 1 18016 3338 1 14546 219 1 18480 3669 1 8658 4555 1 5144 1341 1 7554 1282 1 8183 853 1 4299 3899 1 6564 2276 2 8730 624 1 5356 2869 2 3243 4796 1 3694 3180 7 13827 1772 1 11985 235 2 10724 6527 1 13998 8047 1 4299 4012 1 4124 1747 4 7750 244 1 15009 6225 6 2529 602 1 19029 2175 1 3544 6808 1 19562 497 7 16817 1531 1 1773 215 3 4180 8089 1 19872 1315 1 11327 534 4 417 201 1 17633 2938 2 15473 1838 2 6394 863 1 138 6319 1 12071 4508 2 8735 7593 1 17120 6053 1 11854 8203 1 8261 215 1 19789 7368 1 10404 3615 3 4851 883 2 10761 3050 2 143 6630 2 216 1727 2 10353 100 3 12421 7586 1 20 201 4 9216 7512 1 14099 7746 1 19016 5004 1 16392 354 10 4282 3963 1 7639 200 6 2379 496 3 18862 2004 1 2186 500 1 14099 1778 1 1606 562 1 1100 1743 1 10385 5021 6 1073 4582 1 13461 219 194 17198 1732 6 5773 7912 1 4572 514 1 15346 90 31 4971 524 1 17141 5600 1 9168 864 2 14610 2649 3 5394 2216 36 140 6385 1 11619 219 1 6437 1282 1 13490 2012 1 5860 1721 1 5823 23 1 11938 3511 11 17129 1191 1 3037 184 1 4779 519 1 13058 3589 2 17384 1758 1 3580 1731 2 12602 6278 3 20 1297 1 5769 5257 1 6535 981 1 18548 4203 1 18593 2256 7 7493 1561 2 3765 3626 1 11984 5008 3 19538 6677 3 1407 1243 5 13859 1705 1 11314 3275 1 12654 809 1 7281 1825 2 9935 6537 2 4868 244 1 13619 36 3 8683 903 1 17783 2522 1 6781 2555 1 1824 2636 1 5983 74 1 14835 1745 1 12537 1991 1 17937 7853 4 12569 409 1 11416 4964 8 11386 575 1 159 7259 1 5304 7201 1 14800 887 1 11449 207 1 6173 2663 1 12821 1312 1 1038 470 1 16494 957 2 18175 6697 12 17760 1251 2 1416 1150 3 8228 4992 2 2938 665 1 15718 3875 1 12745 1755 3 12517 535 1 4954 2504 2 14629 3534 1 15379 6754 1 4132 556 1 8970 1748 5 19448 1996 1 12470 7508 1 14059 5312 1 6956 3228 17 770 1685 1 11860 2662 1 3733 5595 2 9800 1731 1 12882 1781 1 11208 1248 1 7109 1169 1 6960 2701 1 7051 3641 1 16223 4389 1 11170 506 2 5425 1726 6 2134 1752 6 5470 1466 2 18450 7531 1 17454 6705 5 14317 1760 1 8904 6142 18 6327 4009 1 18893 7336 1 5911 6144 1 163 5108 1 11786 1692 1 3881 2129 1 6275 1686 1 1649 7924 5 11987 1250 1 10586 5031 1 19265 1819 2 15799 205 1 10245 5294 5 6793 1930 3 3358 564 1 14060 221 3 20 1371 1 5743 3334 15 1443 1252 1 416 4441 8 19707 8026 3 19655 5259 1 1037 1764 1 171 7686 1 11168 3007 1 13097 5413 2 18214 3600 4 12273 707 1 16780 5018 5 19067 982 7 4976 6705 7 12064 1710 1 18006 274 1 15499 2350 8 8279 4394 1 9252 219 1 939 2363 1 2906 220 12 6796 3697 1 17813 1891 21 19243 898 1 13278 1659 1 18346 759 1 8321 7463 2 11388 1407 1 15180 3888 1 10670 1732 1 8255 3511 1 2796 6374 19 14184 1745 4 3037 2459 1 9001 471 1 14184 1369 1 6840 728 1 15009 4303 6 10145 7145 1 13513 6993 8 15047 4992 2 37 1277 2 2106 6414 2 15026 4303 1 6811 2132 1 5176 13 1 13042 6534 4 3056 2388 1 8688 23 1 13553 825 2 7731 5065 1 2220 6127 1 16500 1756 1 2236 1775 1 19693 4012 32 5632 7029 1 6959 532 1 17892 689 5 12638 235 1 11649 811 1 4841 3329 1 7390 252 1 12043 1363 4 17889 1331 1 11964 1710 1 16129 3869 2 12679 4801 2 8946 685 1 10765 3489 2 12148 6528 1 10677 1827 5 6867 6031 2 16442 1721 1 15040 74 4 4609 7182 1 15726 1758 12 14756 2675 8 13022 533 1 9528 7853 6 8735 2494 2 12603 3855 4 10664 1437 1 10240 1762 1 4980 5054 1 19239 1722 3 4207 1342 4 16894 3288 1 96 232 1 18122 1772 1 14648 3038 1 10501 6793 1 13589 2573 1 16347 502 2 1585 1235 3 17547 4279 1 19013 1744 2 6501 1819 3 14696 5013 1 15885 5785 4 5065 6946 14 14448 7769 1 17476 2460 1 11929 3338 12 8083 3596 4 5498 3569 8 16421 1752 2 14060 244 1 1300 918 1 11801 197 2 3472 222 1 17549 910 1 3822 5385 1 11072 461 2 847 1695 2 2529 549 2 7273 1507 1 12053 2880 3 9567 4723 1 7899 3593 1 16809 214 2 4307 173 1 19600 8145 1 91 4104 1 16330 6640 1 9989 955 2 15712 2671 4 2571 7342 1 19724 1751 6 7714 6150 1 19895 1363 1 14881 706 1 6152 231 1 12476 219 12 16645 4460 1 20081 6721 1 3292 5227 1 14375 5120 1 9039 1742 1 3797 2937 1 4960 1243 2 11708 453 1 7455 382 1 528 6107 3 16538 7948 1 1131 5297 6 17099 3249 1 499 1781 4 340 2089 7 2284 498 1 5521 35 55 17886 3206 2 17150 235 2 17803 4411 7 7275 4672 8 15007 1296 1 8910 1518 1 5868 702 1 16493 3844 2 19585 7098 1 11461 519 4 18792 863 9 2459 5728 1 16857 218 1 13697 1730 2 10953 5575 1 833 7474 6 10838 534 1 160 7313 1 10000 2009 3 9603 3899 1 6907 1209 1 16832 200 1 6989 4473 1 388 2407 1 9188 895 1 4653 3621 18 7994 956 2 3384 2686 1 1641 1257 3 4985 3556 1 12329 5490 3 18501 5066 1 4987 736 6 7910 6286 1 3236 865 1 14323 1784 5 10500 190 1 5879 4618 11 1355 187 1 14191 2013 1 15357 1613 1 4490 1363 1 14157 1751 1 188 5758 2 4061 1722 1 14738 1145 1 16602 3167 5 14753 3825 1 17803 1898 1 14632 4308 1 11626 1252 3 12458 205 1 20117 6649 2 17027 3456 1 4212 586 1 16860 1037 1 16739 470 1 5801 2718 1 18268 6139 10 158 7217 1 121 791 6 15090 903 1 12325 561 1 15146 910 5 15272 303 2 17335 5950 1 6565 6324 1 2646 5259 1 46 2355 2 8053 902 1 3319 6632 1 10900 203 5 19034 8066 3 12215 7994 2 9920 2920 4 143 1046 2 11212 223 13 3590 7229 1 9965 2636 1 19193 1838 1 4429 960 1 2010 6793 1 19246 5282 1 18039 310 1 20064 1344 1 4791 581 1 20044 1308 3 3756 2996 1 3061 505 7 17446 4299 2 19172 2216 4 18985 3878 5 15075 443 1 989 1342 6 13078 215 9 12412 617 1 1554 2969 1 9328 4245 8 4397 1211 1 7914 2131 3 3263 193 1 7214 440 1 6688 1334 1 19019 2352 1 16847 214 7 18862 6721 3 7046 7235 1 4050 201 2 17107 2261 8 9386 7260 2 17147 1934 3 3800 3453 5 6793 1982 2 18560 335 14 702 5260 2 793 338 1 2704 3328 5 7135 1234 1 12007 219 5 13278 1657 3 20085 532 2 734 7466 1 9433 4274 1 18262 7706 5 6942 1727 2 4011 5294 5 3315 74 1 13748 1663 1 2797 1995 5 19883 261 1 7415 2569 1 17713 4224 11 14305 627 1 749 1760 1 18833 1334 1 7577 7531 2 8291 244 4 19494 7313 2 2661 1172 2 5853 4293 1 2045 3511 16 11857 534 1 4263 4600 2 4068 1827 1 2752 4672 1 5431 5522 1 16674 420 1 4815 6198 7 12856 3974 1 11096 2663 1 10308 3073 2 14658 1757 1 6726 6631 4 16385 1537 2 11898 3779 1 15192 829 1 2227 6031 2 14011 74 3 5443 7956 1 10399 186 4 18625 1825 2 8083 1505 2 17654 1253 1 14906 3911 2 17713 1997 1 11989 6018 1 11194 1727 9 19996 670 1 1500 184 1 18393 1278 9 8580 8091 9 18230 3331 4 18175 6705 7 9917 2355 9 20 225 3 12521 703 1 8316 7953 2 12353 1236 4 16575 3892 5 12373 8099 1 9279 1783 1 2351 2118 1 13195 1764 6 8632 385 2 13543 5852 1 13169 1718 1 4693 5568 2 17761 7358 1 7458 7355 1 580 995 5 16048 1293 1 7300 6055 1 5863 368 2 11156 3484 14 11860 1781 1 20123 1410 1 2207 214 1 9111 6152 13 5445 502 1 13031 5991 1 15 996 6 4539 244 1 19732 200 26 17662 207 6 14768 6231 2 19054 4796 2 12328 3049 1 2917 5312 3 18267 4393 1 17260 225 1 13613 314 1 16270 1728 1 8088 89 1 19385 6037 1 12942 3887 8 17548 1463 1 11781 397 2 12343 5516 1 9656 3384 1 6587 3389 3 20132 3911 2 326 5021 1 6264 3400 2 17703 244 6 1969 1312 1 1066 665 1 11467 563 1 10313 7750 1 10916 926 1 11629 1464 1 19747 952 1 17058 682 1 14549 3592 1 9856 1784 13 12574 1686 2 8335 2665 20 7284 1705 4 16674 1052 1 10995 2698 1 5354 1731 3 16063 637 1 17052 206 5 15101 3511 1 14632 404 1 2772 7670 4 1677 4653 2 18633 2410 1 18692 1245 7 6183 1762 3 5818 3163 2 8944 7020 2 13993 8083 4 16472 5022 5 6057 4816 1 19134 7679 1 883 2635 3 1565 1686 1 7822 2276 2 19624 6176 1 12322 1363 10 20027 637 1 4775 6706 26 19134 2482 1 467 5257 2 7278 201 4 10044 5404 13 11411 214 1 9630 2636 5 14161 1718 1 18203 3333 1 11968 1698 3 4545 1334 1 10905 200 5 19213 3079 1 1204 235 1 15025 7117 4 14025 1153 3 9742 7915 3 16132 597 2 19068 1249 6 13266 93 2 13989 2352 1 19286 1242 1 7769 1752 1 10593 7890 6 18366 6488 2 14161 4611 1 16984 8224 1 7179 677 1 143 6534 4 10525 3208 24 4786 4601 2 1464 7487 1 10800 1518 1 12594 690 1 15896 719 11 1861 2671 1 18185 543 9 8223 4099 5 875 3163 29 11585 1825 21 12821 1729 1 1028 7701 1 14738 2015 1 13220 5325 9 3975 3283 2 7181 2534 5 8526 4664 2 13126 499 1 3642 3382 1 17932 1333 7 10923 5748 2 2583 4242 1 917 1334 1 15091 7102 2 2943 7165 3 3153 6677 1 3258 229 1 3465 3571 4 3581 1721 2 16441 7750 1 8299 7843 1 7374 4204 1 2413 6711 2 17628 1357 2 7677 8013 1 7573 1719 1 4376 5260 1 3886 3973 1 19393 3906 6 74 3424 1 152 6847 1 7931 252 2 16614 4595 1 18623 214 1 11900 203 4 10830 6487 3 4301 3352 1 11558 1728 1 18014 5312 1 5519 152 43 8102 188 24 12725 6418 3 16089 1755 1 15979 2488 1 11445 1037 1 276 5698 1 11736 318 6 3127 910 5 9760 514 3 12629 3471 1 7617 231 1 624 5067 2 15683 755 1 8843 1383 1 8831 911 1 6332 769 1 2209 5871 2 3782 203 101 2428 4010 1 5854 5879 1 2309 1312 1 19056 1342 1 7956 4459 1 19643 3892 1 17463 700 1 4574 5690 14 2896 8171 1 2045 1482 1 16777 252 1 3813 7857 10 16491 616 1 7498 6115 2 17992 2708 2 7566 330 8 3277 6341 3 745 7850 1 174 8024 2 5036 3333 1 12190 1108 1 13242 200 1 12609 3906 3 62 2827 1 8948 911 1 9537 3652 2 121 554 2 899 876 1 7682 794 1 14305 874 11 6135 498 1 11354 3493 1 14744 23 1 15881 4333 1 16921 5245 2 8614 5556 3 18387 204 2 16774 1705 3 16057 3798 1 13734 6526 1 4387 1960 1 7442 7914 1 14176 1781 14 17556 4210 8 10445 4706 1 9451 2302 1 4976 219 5 15398 916 1 5631 728 1 8104 200 1 14632 6342 4 3826 837 2 5249 1686 9 9937 5051 3 18902 243 1 6476 5326 1 18410 845 10 891 7027 1 11671 335 1 17557 4925 1 4092 1342 2 14838 1341 5 1087 197 1 10999 1246 17 2819 221 1 6556 4824 6 5014 6754 1 12725 1072 13 18331 2324 1 10730 1692 4 2678 2645 1 192 5325 7 14060 1825 6 16491 742 1 7948 1825 13 19044 525 1 13035 742 1 8716 5142 3 5641 1466 5 12826 507 1 3489 3798 2 16625 1374 2 12951 1334 4 5312 2488 2 1720 1303 4 9574 4998 22 13642 2448 1 16777 7878 4 1587 719 3 11392 4237 1 10349 200 5 10730 4980 2 17730 1582 5 6676 1638 1 14238 1707 4 12280 3698 5 2233 4387 1 2197 200 10 5213 1717 3 15098 498 3 17778 6868 2 19605 759 3 11034 1876 1 16959 1352 1 18821 4501 1 1442 6077 2 15326 3598 1 7017 1286 2 12060 3556 2 5131 205 1 17958 4972 5 8291 186 2 7835 3522 1 16481 1312 1 15279 4405 1 18916 3181 8 14164 1244 2 10316 1184 2 19141 6716 1 13613 846 1 18193 207 5 2385 678 1 979 3146 3 3801 4246 1 19993 2747 3 8957 6590 1 2626 7915 10 19277 6341 2 3463 891 2 5884 3012 4 19865 5082 1 7966 1721 1 17716 2747 1 15192 3797 1 19872 1373 4 10325 6324 1 12585 229 1 21 1402 3 19600 220 2 18561 4288 1 290 164 42 17500 1755 1 873 617 3 6987 1727 1 19219 382 1 18701 1729 2 926 2710 1 1848 1253 3 13101 4373 1 812 8083 3 16922 3518 2 1391 1740 2 4880 1046 2 8735 7734 17 14758 382 1 81 3673 1 16502 201 1 1711 7237 1 4693 2118 1 14578 1305 1 9652 3748 5 5831 214 3 925 2799 1 1597 6515 2 17232 7720 1 20218 5408 1 5994 1737 1 12213 7769 10 19433 2416 1 18968 6588 1 17224 1342 6 1638 3181 1 1714 1323 2 17736 2955 5 16153 5253 1 17936 200 1 13932 2460 1 6673 207 1 59 2703 1 10338 1825 17 10441 1778 1 18278 3466 1 3258 1730 1 4825 3338 6 5785 495 1 2508 4156 1 522 7515 1 11509 36 1 2947 7562 1 314 5559 1 14740 194 4 8915 3707 1 15419 1819 1 3352 6479 1 6611 960 2 2463 5670 2 13591 7522 1 6112 6719 7 19358 4096 1 73 3406 1 9701 571 1 16022 2114 1 7460 3197 1 3617 3637 1 13677 214 2 12499 222 3 19136 4029 1 8260 5524 1 42 2245 2 17398 8051 1 9828 1714 6 12324 1776 1 13460 6718 1 16448 7946 1 8813 589 2 13412 4325 5 7522 1948 1 5826 481 1 14218 6585 7 11317 3571 1 9395 3596 5 13697 4998 1 952 1234 1 18646 270 2 19525 7101 4 4316 1440 2 1978 7583 1 12760 7474 2 140 6450 1 10973 6649 2 3043 219 1 20262 545 4 1174 1819 1 18792 680 1 10394 2698 2 6752 694 1 15041 1236 2 12908 2270 1 19591 1296 2 3024 6241 1 20262 1710 3 3817 2352 1 12060 5732 1 6867 481 2 14632 6041 1 4282 6039 1 94 4315 1 11867 2355 2 6658 222 8 20144 458 2 13213 5064 1 4716 1253 1 10353 4623 1 12233 2557 1 19739 3492 1 8547 4699 3 15740 952 2 20125 5569 1 8831 684 1 17216 3190 1 9917 3337 1 15993 7477 1 9015 1772 6 6332 943 1 15329 6515 2 67 3216 2 11720 953 1 496 514 1 8215 5507 1 5437 8194 1 17774 1819 2 8656 1323 1 19391 2256 12 11634 7489 2 12181 2980 3 17470 4862 3 15599 6517 1 13384 743 7 12807 1241 4 13734 571 1 9505 1631 1 9534 2534 1 5266 2841 1 9405 3432 2 18998 6758 2 11937 3444 2 13718 6027 1 8036 1304 1 19352 667 1 7944 2319 1 1009 963 1 8773 1764 5 11990 292 1 13183 939 1 11470 244 2 14701 2056 2 11843 545 1 20204 7406 13 6535 48 1 9639 186 11 14350 1311 1 19303 1710 1 2795 2630 3 5424 3545 5 7527 1688 3 18893 5187 1 7820 2260 5 17331 3706 5 19489 1898 1 3189 1658 1 7943 2686 4 18538 1400 2 162 7378 6 20246 3197 8 11353 2686 1 5863 4513 1 12009 1814 1 10882 7291 1 4970 874 3 6273 8072 1 19160 2013 2 8262 1731 1 7965 3138 9 861 929 1 13 841 8 10943 1719 1 16063 6697 1 2405 5428 1 4394 6749 1 18535 1146 1 593 1686 1 16989 6207 1 1401 5750 3 13544 1760 6 9580 2678 5 5357 365 8 4716 1739 1 10610 645 2 4678 7266 4 12353 7240 2 16321 1768 1 7354 1825 2 19810 1781 1 11183 1245 6 19210 6442 1 18099 891 1 19648 2488 1 18006 704 1 11826 1615 4 15570 1819 4 382 1610 1 9475 6102 21 15750 1076 1 17929 4085 1 15546 1357 3 1147 4764 1 488 2363 10 8275 910 1 18101 200 6 783 5252 2 9647 4096 1 8299 3419 1 13126 5940 1 17499 1374 1 2075 3276 7 7564 2268 2 11290 944 5 4305 232 2 6332 736 2 17171 1230 1 19565 3634 6 2035 3216 1 4495 7534 2 10973 2076 1 4782 4623 1 8051 782 1 19872 387 2 454 4845 2 7760 1781 1 5441 1781 2 10498 4112 1 3200 3333 1 8269 691 1 19920 1247 1 3697 1825 2 10361 6537 1 19115 4942 5 5882 2772 3 9713 5253 4 11230 2404 2 14125 6493 1 3411 1539 4 9061 6933 3 19486 3399 2 18873 505 1 8843 1657 1 18443 7489 1 17589 7840 1 15974 5018 4 19901 1737 1 12373 1819 10 2657 2329 1 5078 7245 1 1468 5924 2 6208 4622 5 7778 7682 2 1114 196 15 13830 4387 5 19069 3667 1 4634 785 1 12760 4206 1 18465 320 5 11334 5108 2 17855 2269 1 9930 205 2 3258 52 5 13647 205 4 2778 1278 2 14339 5107 1 13055 6563 1 553 6140 1 391 6219 2 2615 220 3 4018 4396 2 11935 4591 2 5399 3087 1 3484 6152 24 604 4199 1 4305 5874 10 16270 847 1 7073 5550 2 18548 8072 1 14114 665 1 1420 528 5 5421 3836 1 18207 221 1 20 496 1 6913 883 5 3270 3539 1 6193 617 2 5631 3595 2 11996 5758 5 17061 7380 1 17033 5434 5 9533 229 1 83 3751 1 8330 745 5 13993 8043 1 4629 1781 3 19671 2743 1 11585 1781 2 12943 2299 1 15192 927 2 19486 467 1 13126 714 1 5242 6974 8 15722 229 1 8778 1672 3 5126 533 14 4199 1784 4 10649 2638 2 14806 753 3 18833 1814 5 15628 6946 3 6926 402 2 9811 1736 1 2096 706 1 17825 201 1 5473 6365 1 16625 4029 1 7449 3077 3 15618 4156 2 4496 84 1 18329 1688 2 342 4623 1 1513 5018 2 16553 1252 19 19688 1772 1 15785 624 1 7498 8217 2 16580 664 1 17954 8190 1 18485 5700 2 9322 4436 1 14822 2739 1 4340 855 1 4183 4276 1 8334 7477 3 7484 3603 1 11798 452 2 2596 4723 1 6517 6436 4 19246 7020 2 2086 8184 1 5494 779 1 8528 2263 2 17 1020 1 14330 7404 1 13736 1755 1 19835 7275 5 20 1377 7 1506 222 2 10313 6150 1 18089 207 1 151 3946 1 5 177 2 16230 1999 2 14524 2827 1 10553 5307 1 8947 1271 2 12156 232 1 9058 220 3 17424 3649 1 12952 6047 1 5179 4589 1 13412 3135 42 5705 3175 2 2420 199 5 18226 4371 1 14886 3203 1 7575 229 1 17406 2993 1 7034 5245 1 14199 4706 4 4717 3155 2 2219 2268 1 16090 3763 1 15476 2995 1 5219 1703 1 13865 1717 1 1638 5026 1 6363 325 1 76 2271 1 9978 3374 2 16789 8192 1 3100 1244 1 1729 6082 10 126 2827 1 16878 4981 1 8632 2006 1 11769 1518 5 10370 4436 1 1489 6561 1 6089 2691 6 19003 200 1 2616 2407 1 16887 7292 1 10054 2384 1 7663 6682 2 11581 497 1 873 3625 1 16857 508 1 10136 5458 1 10655 2384 1 12851 2109 2 11122 38 1 9546 177 1 15306 1251 1 14632 6050 1 11121 1250 1 11773 1235 1 11823 670 1 19872 2127 2 18809 1819 5 18301 2970 1 11297 6341 2 5560 3378 1 8419 4274 1 11926 407 1 9891 1775 1 3581 520 1 19554 4884 1 6594 2356 2 2379 2877 1 16182 1819 1 10838 3263 2 15429 2511 2 18918 1756 1 6212 222 1 17560 4411 2 14211 198 2 3315 644 1 11231 4669 1 5774 5326 1 6801 6897 2 822 1019 1 17662 2683 2 14082 5018 3 213 7110 7 6587 234 1 7244 6903 1 5947 7829 1 13205 3901 1 18872 601 1 5264 97 2 8965 1146 1 6221 1720 1 8198 823 1 7445 3545 1 17946 6026 2 11786 270 1 6083 3865 1 687 7491 1 18382 5897 1 6556 1418 7 35 1907 7 3870 1518 1 12771 5379 1 18980 6983 1 2488 745 7 12584 1253 1 6197 4443 3 4331 874 2 13119 3163 1 1191 5051 4 8391 4268 1 6270 536 1 12367 6335 2 19717 4555 1 9379 3487 1 15895 1719 1 18350 3411 1 5117 4572 1 6440 2767 4 1517 575 1 17015 2350 3 7065 7525 1 1884 1150 1 11663 1760 1 19607 386 1 4538 222 1 10701 201 2 14842 526 1 292 4029 1 9305 215 1 15547 6620 17 9531 1363 1 14655 4704 1 18637 3101 2 9650 1642 1 2831 3910 13 11718 7162 1 1884 1751 13 17574 7542 1 9836 244 1 4640 222 1 18434 1965 1 19739 200 2 12257 8200 23 14196 2488 2 9463 655 1 18183 2354 2 8786 745 2 17331 3007 1 6126 1724 6 2989 2559 1 13451 1611 1 5443 8119 1 2062 3058 13 8539 3540 2 18472 2636 2 18607 200 1 7099 6341 1 18939 3519 2 17662 1717 2 13513 232 13 9524 411 4 14161 173 1 2036 5750 1 15184 5402 6 13201 7895 1 9224 716 1 1764 795 1 5312 4404 1 2201 219 6 15329 547 1 9029 6075 1 9543 2118 1 5661 215 18 1586 1737 2 4362 1739 1 2646 4877 12 1221 3225 5 15100 714 5 9364 1249 2 13587 2514 1 6859 1217 1 7398 539 1 19160 203 7 11988 4622 1 2390 2931 1 10581 7829 1 19530 501 1 5542 7576 7 20090 2369 4 6539 5294 1 6191 5292 1 16059 1764 5 16597 7606 1 18705 1277 1 7841 4803 1 14522 684 1 13425 550 1 11399 1017 2 12412 646 1 3090 4653 4 14970 4649 1 9479 4245 3 1295 5903 4 4057 738 1 17378 1755 1 18743 3794 9 171 4033 2 9826 7216 2 17642 1518 1 113 5056 2 15022 219 1 7176 534 2 11996 1710 1 15814 2240 1 5860 6252 2 2739 3518 2 631 7498 1 12231 2452 1 11018 514 2 8672 1909 2 7537 2646 1 18366 401 1 6269 6440 2 17009 1770 1 5859 6756 1 2809 7881 1 65 1724 11 8510 566 1 2202 2352 1 16137 4373 1 3583 2534 2 8888 4601 2 8000 8167 1 19023 3511 12 9720 1109 2 97 232 3 10684 1734 2 5390 4105 1 1866 214 2 11287 239 1 16603 2691 2 10463 1752 33 13358 3087 1 6749 810 1 6068 4929 2 1717 8036 2 2308 1743 1 7213 2633 6 11853 1743 1 1598 1784 1 11202 4815 4 10642 3998 66 11597 4325 1 4796 844 1 7306 599 2 10138 1698 1 2834 550 5 16561 859 3 2947 1103 1 4964 225 1 4163 5527 1 9708 2889 1 12252 252 1 7380 1146 2 873 753 1 18523 7980 2 7166 6618 1 15339 517 10 17055 6585 1 3694 1464 4 14384 203 6 11786 3970 19 15993 911 1 12549 501 2 19624 5025 1 10422 1184 2 3915 411 1 1216 3524 2 10857 1844 1 5860 3163 1 5903 506 1 6462 2247 1 14445 7542 1 3258 508 2 7231 23 1 13741 1147 3 15791 5018 1 5894 1424 1 19597 1762 2 8876 1341 2 14278 1314 2 16016 3556 3 6043 660 1 12823 8093 1 6226 2120 5 19029 1991 2 9808 1251 2 2267 3866 1 9661 1333 5 2386 1762 2 1986 1239 4 5199 23 5 6990 6059 2 5695 669 1 1790 224 1 3504 89 1 6111 334 1 12113 1712 1 14595 1595 8 15943 845 1 16309 1341 5 7884 2363 1 6776 4599 6 19171 1458 1 7994 548 2 11458 2392 3 1552 3503 6 4984 1796 1 9957 225 1 19034 7564 1 926 505 1 9045 5115 3 6781 5573 3 1576 2255 1 359 7213 1 10850 6697 1 18257 1454 1 19707 1482 1 9283 2675 5 114 5133 1 10601 498 6 9457 6484 1 11094 1242 3 11502 344 1 11352 4849 9 19217 229 1 107 4812 3 8707 1357 3 9884 232 3 4608 5337 2 13797 3483 1 15778 957 1 17995 8184 14 13004 1819 1 12874 4386 1 7310 7719 18 14587 752 1 6327 1275 3 3257 6447 10 861 894 1 1711 5591 10 10399 23 1 1130 5064 17 15588 1342 2 164 4764 1 14385 5559 1 15802 1211 10 16021 6568 10 18734 3009 1 13743 1660 1 19724 203 1 14852 1703 3 2364 5298 35 1969 2710 3 19486 3358 1 3044 673 1 8528 4693 2 9709 1243 5 9066 6007 5 443 2360 1 15180 2649 2 12142 4428 2 7023 3590 50 7117 7013 6 16057 1732 2 19134 4833 1 3358 4467 1 6166 603 1 11416 7223 1 5981 3211 1 9883 2367 1 15490 1 3 15286 1757 6 1109 23 1 572 769 1 2673 8091 5 17968 4306 1 3265 7857 12 5185 3298 1 2885 1726 1 12399 228 1 6204 6882 5 18525 408 1 17 1230 1 2297 6555 1 151 1145 1 20182 668 1 8614 6635 1 3009 7206 3 6503 825 6 11126 8042 1 11956 219 1 3236 4557 1 15508 2504 1 18968 1363 1 6527 2006 1 9150 6278 2 12962 190 1 14755 275 1 18089 447 1 6551 2031 1 8567 201 1 17150 6374 6 19241 582 1 10733 2495 1 18133 23 8 11871 4662 4 20212 203 5 15511 3058 5 6650 3661 2 7034 3663 2 6932 215 1 16592 162 1 13878 1555 1 20177 200 1 19263 558 1 11371 7263 7 9060 470 1 7646 1105 1 7611 3024 1 20112 13 2 19649 525 3 9178 506 2 2629 4963 2 7486 2760 1 12267 7443 1 13441 7101 1 16218 1710 3 2146 834 1 5086 6620 5 3134 6414 1 13216 215 2 2584 4992 1 5621 7518 1 6463 5253 2 6651 1909 7 5738 6347 2 13314 8139 2 12322 1781 4 11598 1366 1 5253 637 1 3583 219 1 11921 7857 46 19703 2254 13 4307 222 2 4462 1950 2 16033 7712 1 8950 4929 1 19434 6618 3 8953 169 4 7165 4499 1 4514 23 3 8934 3255 1 9117 308 3 13304 2129 1 15230 225 18 6979 7227 6 3673 381 2 18833 6610 1 17903 8054 1 14363 7190 5 18184 1023 4 2858 670 1 11151 411 1 9945 4213 1 16877 4944 2 6381 814 1 4995 4627 2 2587 3463 1 9572 4273 1 16574 1363 1 13750 506 1 18214 7998 4 2818 4435 1 18132 1582 1 9520 413 1 5695 244 1 14089 6341 1 7378 4179 1 1997 5018 1 7679 3045 1 16319 229 1 11002 186 6 10270 6723 1 20208 1247 4 2140 65 4 3581 1648 1 4552 4384 1 10670 1737 1 16686 1932 1 385 5356 2 10148 2651 1 14999 6744 1 18070 2363 2 452 638 1 9571 3617 1 14114 473 1 13350 3410 3 18885 1296 1 13114 6769 5 6449 224 4 9690 3496 1 8975 3586 5 19316 5387 1 17896 3234 1 15098 6132 1 15608 959 1 13835 4266 1 18936 2549 1 19324 3206 4 10689 5326 7 5890 89 1 15856 7753 1 7879 1762 1 16684 1277 1 12231 893 1 12925 2151 3 3181 1650 1 15818 8195 1 18408 1724 3 1524 4067 6 1506 689 1 4274 5758 1 19131 3775 2 3134 253 2 439 1827 5 17548 3902 1 9978 4254 1 18099 903 2 3581 474 1 6925 5253 1 13587 4404 3 3889 1772 4 10452 617 1 10999 6743 1 13743 2981 1 5659 5043 1 19034 888 36 17768 401 1 14126 220 3 12812 244 1 121 768 1 11478 221 3 2423 427 1 6158 4992 1 15168 223 1 5877 5105 7 14509 304 1 17402 6150 4 13740 397 4 1791 1076 1 13519 6064 4 11536 4764 1 8231 963 2 15321 6607 1 9853 7462 2 1028 1643 1 3547 534 6 10114 5506 1 2472 3058 1 11489 207 2 4902 1334 8 6389 508 4 6712 329 1 9450 1778 3 16978 4411 5 10942 198 1 5962 1732 2 6033 1356 3 6318 809 1 13023 6230 1 9464 164 1 7181 1710 1 7682 702 1 19218 2691 1 15850 1555 5 8895 2666 5 3509 1729 3 17207 7407 1 17909 314 1 1376 202 1 1608 825 2 559 728 1 6307 8017 17 7996 7298 8 17599 718 1 16002 5286 1 13560 6897 4 19002 13 1 18404 380 1 1942 2881 1 11259 7020 1 12514 1729 3 3832 1731 1 10816 2027 1 4338 308 1 17705 1251 1 19630 3526 2 12984 6192 1 15313 4065 1 16625 5020 8 14892 505 14 16471 201 3 5476 2415 1 9279 2683 1 19368 3792 1 18608 1363 1 1839 228 1 5380 252 1 18019 2106 19 18795 2348 1 17018 6380 2 20148 1732 1 15471 6954 1 17001 1010 1 2199 3330 3 18089 4992 2 290 4629 1 1790 187 1 756 8091 4 11882 3913 1 3384 233 1 12619 5903 1 4092 1305 1 6830 184 2 3947 1705 1 12784 1703 2 494 6486 2 10886 1729 2 4512 3748 2 11699 6670 5 6524 2321 2 6251 1564 1 35 1915 1 1464 7848 2 6449 5531 1 1722 1719 1 2957 6199 1 11450 1340 1 9508 7090 5 5132 1770 3 14758 890 2 6519 1143 1 2542 2649 3 15726 1739 15 8228 214 1 16578 1732 2 17207 219 1 12489 6756 13 19281 7509 1 19809 207 6 19924 502 5 14896 236 1 10787 1703 1 94 4217 2 14162 6058 2 19602 8049 1 15254 203 1 153 6913 12 16250 385 12 6415 1778 1 11887 4069 1 2828 495 1 19857 5814 1 4034 2522 2 19193 1761 4 10691 10 4 4061 1758 1 15090 385 1 19633 201 1 525 3840 2 15098 206 3 18316 1721 4 18894 2116 1 8930 7603 1 2367 210 1 9971 232 1 12758 6330 3 12027 3074 1 279 1828 17 13752 901 1 9393 633 10 2669 5051 8 13461 1724 5 8333 1357 1 7701 1395 1 6593 5052 2 8429 1761 14 6857 4591 1 19628 514 1 11820 6514 1 3662 2290 2 14876 3399 2 1958 132 1 8832 4107 1 13490 5291 1 2499 303 3 18307 514 1 14012 1987 1 5009 1755 2 4009 5428 2 18679 5496 1 18229 2017 2 475 1614 3 19760 3840 14 8438 4922 12 10879 3012 1 11591 1342 1 2153 1752 20 778 4383 1 4095 2908 1 2267 3714 1 15743 1707 1 6189 7229 1 9249 203 1 13749 8217 1 6359 819 1 14201 221 1 1461 673 1 5141 200 5 11306 607 16 13899 5278 1 2970 74 1 16941 64 1 19501 6009 4 18546 6697 1 16462 1237 1 5825 1768 2 1638 5084 1 11122 4069 1 11141 2349 6 16026 3085 2 8798 910 1 1865 702 1 13024 4403 4 10579 2512 1 6656 201 1 9743 4034 1 11461 525 1 6503 4511 4 12060 94 1 684 207 2 10522 46 1 12652 7719 1 94 4271 3 20148 7524 1 14970 803 1 3472 1695 1 19872 690 7 4554 2262 1 521 6051 2 1935 7991 1 17766 6681 5 11314 23 2 9935 1276 2 11769 60 2 6963 7256 1 3931 1825 5 17548 662 1 3242 2998 1 15608 1632 1 13320 2410 6 8088 755 1 14522 1740 1 7750 303 10 19310 458 1 15169 302 7 65 3121 1 8965 1248 1 7204 5881 3 11846 156 1 15896 1991 3 19537 1689 31 3189 1367 1 873 5326 1 4495 6457 2 18813 3477 1 19368 1302 2 121 5303 8 14775 220 1 309 3570 9 8687 5546 3 9625 5271 1 7322 4252 1 16547 4764 3 94 4286 11 8965 207 1 2943 1339 2 5641 8057 1 14755 6371 1 16966 6614 1 12089 308 5 14212 2118 1 10463 1164 11 16090 5339 1 18564 7424 5 8240 1234 1 16155 5077 14 3758 2739 4 16759 2240 1 409 863 1 14726 7124 1 2239 2223 1 15614 7291 1 3544 201 1 16978 3854 1 14810 6108 1 12817 4248 1 2232 4868 1 50 2492 1 3570 4976 1 8994 6192 1 11985 1248 2 4805 883 3 365 1201 1 17436 2497 1 17429 7411 21 18797 1722 1 15070 259 4 11300 3036 2 3535 1748 1 15535 23 2 10064 3892 5 10927 7117 3 1670 1275 1 18998 4946 1 17816 3599 1 6990 3540 1 11034 1866 2 10145 3777 1 13333 1710 1 5385 3007 1 13779 244 3 14951 5897 1 16548 724 12 18883 5301 1 12827 2595 1 4808 2248 5 18193 891 2 20114 1358 1 2877 6693 1 13302 2354 1 13601 1247 1 12007 225 1 705 1827 1 8278 777 1 5148 8200 2 10267 498 1 4389 1146 8 17036 812 1 778 1295 1 10272 214 1 10038 214 5 18149 518 3 11998 4618 1 9725 392 4 12618 562 1 3759 5653 1 1032 7586 5 2865 2885 1 18547 2555 2 3178 1955 1 11935 1296 6 124 5522 1 3344 5758 1 16886 498 1 10681 4473 2 12322 867 5 30 1694 1 17654 4543 1 4805 150 1 162 7368 1 7551 303 1 15599 1720 1 12790 4402 1 5052 2166 1 5557 5252 1 5531 2980 6 9891 3660 1 783 3089 2 11441 3990 1 7167 5567 1 11277 235 1 12283 1720 1 5818 3684 1 4492 1756 2 17257 885 1 10758 4293 1 42 2164 5 17078 219 10 7040 5420 2 13185 5257 2 10519 3684 1 17299 1245 2 6172 1717 2 10265 7397 4 11374 6563 1 13715 2969 2 9747 5281 2 15471 881 1 15608 629 2 20210 3596 1 14055 1770 2 10994 880 1 1933 3627 3 12821 910 1 12919 2855 3 16238 1756 1 15426 1743 1 6412 689 1 5116 517 1 2104 274 1 3100 6053 2 10788 3351 1 1528 157 2 14131 4789 1 14758 899 1 5646 4499 1 1073 484 1 11248 4029 3 3771 665 1 13023 4737 3 14920 4103 16 3111 2747 7 9400 3492 1 2797 3876 4 16860 7002 1 17660 1278 4 44 2271 2 17143 243 1 3509 1453 1 16476 5502 2 153 6977 5 3890 4435 1 13676 3672 25 1418 184 3 19820 535 4 792 2076 1 13 969 1 13412 2027 2 6575 206 7 15855 1613 1 15805 8192 7 20114 94 1 19186 200 1 6983 5672 1 2071 452 1 9983 1731 2 13779 4037 5 19504 2256 2 7679 1967 10 8325 1474 5 591 1253 1 991 199 3 19315 5677 1 11801 1731 1 9908 2071 2 17872 6705 24 5706 3953 8 5258 5574 3 9503 1762 6 19759 3518 1 4700 7403 1 5362 23 4 10803 5324 3 1849 2646 1 12316 1182 1 12484 7216 1 8965 1239 1 2519 5325 3 15321 929 1 8510 316 1 8438 5863 1 16861 4172 2 143 1466 1 18667 184 2 17087 1342 1 4870 5771 5 6989 6011 2 10686 4382 1 11614 7901 2 12828 3138 1 11945 4615 4 16781 6053 1 18833 1756 4 3901 7660 1 13970 501 1 6422 3625 3 7452 3109 1 18567 4929 2 12261 867 1 18357 232 2 2483 6109 1 8229 3610 1 1025 1309 3 8001 1254 1 8702 883 1 3344 1299 1 1013 1615 1 12778 1767 1 11786 7797 4 8599 2699 1 9493 5860 2 4357 1769 3 16780 4998 5 18676 1757 2 10886 1775 2 13293 1206 1 7838 893 1 14059 2488 2 373 1734 1 12710 1484 2 8468 7439 1 6867 1250 3 4092 499 3 5199 1275 1 15800 7440 2 18628 496 3 19840 5420 9 19925 1825 40 2197 5120 5 9774 1271 1 314 3135 2 6705 3482 1 1887 1582 2 4376 7474 1 6509 3431 3 9200 1188 11 18257 2384 1 13119 6758 10 9745 4779 1 14618 169 2 18132 4404 1 11562 6164 2 10346 221 2 14628 867 5 712 1244 1 8990 2251 2 9638 520 4 17551 7466 1 11857 1245 1 2687 490 1 8961 7127 1 8286 1756 2 3567 2575 1 14738 1751 4 12496 3096 2 7211 554 1 12271 5314 10 13661 1518 5 6111 2935 3 15721 8057 1 18499 3074 1 3786 153 1 12154 200 1 4841 1296 3 2226 6363 2 1 88 1 20225 186 3 5952 8158 2 15288 1303 2 3532 3884 1 83 3728 2 2588 444 1 126 5660 1 1488 1721 1 2027 425 1 6105 165 9 2103 1721 7 2813 2491 1 5020 2619 1 7014 6242 1 8150 203 1 17068 508 2 16102 5264 2 12064 2691 1 2538 6150 2 712 525 1 6479 5669 1 4032 375 1 19326 933 1 3734 637 4 18821 2102 3 16758 1738 11 10287 470 5 15549 265 5 10693 4024 2 869 4963 3 3679 470 1 73 3414 2 15982 23 9 3439 1772 4 19272 7565 5 11999 4156 3 11687 2885 14 17604 533 1 31 1788 2 31 244 3 17886 691 1 20160 7593 1 6739 4372 6 19286 1698 1 14522 2708 1 8105 5600 1 8911 6584 10 11132 4563 2 13806 292 3 5257 219 1 630 3840 10 11786 1423 4 3261 1042 1 7988 1046 2 9881 3955 1 17992 4012 1 14522 235 1 18286 357 1 16921 5478 1 19490 1752 1 4165 89 1 5720 8111 1 3115 4306 1 6718 4803 1 14233 3556 1 14617 2355 1 1571 6334 1 13806 955 1 11585 87 5 19191 6136 1 17974 8200 1 15281 5018 15 19568 394 1 11490 501 1 2761 6434 2 3447 4262 3 127 1290 8 16647 1247 1 11122 809 8 17809 1184 2 5290 1250 1 19838 3222 5 17705 4868 1 5169 6457 2 6397 3973 3 4279 4206 1 10452 6585 1 14081 6204 8 12640 7466 2 384 1271 1 19382 7556 5 2867 6252 1 4679 1706 1 10572 1732 30 19293 1784 1 26 1536 17 20033 1703 28 16437 1748 1 15460 338 1 6152 244 3 14685 6010 1 7864 8166 1 10554 945 1 16944 7719 2 717 3540 1 4650 2423 1 15791 1235 1 16495 553 1 7278 3600 1 7791 9 6 15026 633 2 9230 4202 1 3442 5690 8 10670 128 1 12745 1779 1 15699 1996 1 19306 5912 1 416 525 18 16626 2877 1 5947 6204 2 897 2599 1 10999 404 1 11834 201 1 8083 867 10 5804 2676 4 7577 4951 1 15943 4112 2 14541 200 1 17255 3697 1 4749 1334 2 13543 752 1 17331 3016 1 18366 3275 3 6699 221 2 17180 5504 1 5025 1781 3 1672 883 11 19715 243 1 3483 3234 1 222 2500 1 10241 7815 2 17516 252 6 6502 338 1 694 74 2 8129 886 1 13787 200 1 5431 1713 1 7286 4986 5 5696 196 5 1029 235 1 6554 4059 1 17647 2014 1 15318 5517 1 5380 214 1 6090 252 1 15776 201 1 11835 4669 1 3759 5620 1 3938 514 8 15072 1208 1 11738 207 2 19225 173 6 1337 3643 1 9284 6167 1 2424 2261 1 6521 3882 1 8159 746 2 3196 3161 1 15648 502 1 18508 4591 3 10452 204 1 16766 222 3 10973 1184 1 12468 8194 3 15819 3645 2 11084 1062 6 873 1103 1 8343 1736 1 9120 8070 1 4370 7774 1 13829 229 1 2483 2881 1 7750 1814 6 10948 219 2 9745 5253 1 176 8141 4 2771 2698 2 14674 506 1 14076 4411 5 20044 3081 2 3448 196 6 3243 205 1 9330 2933 1 17352 7424 1 19135 1244 8 17127 2241 1 12638 8031 1 745 2056 1 8615 334 1 5918 1706 1 4279 1063 1 7254 1388 1 2782 745 5 8560 4409 1 16844 7602 1 10123 3869 1 13182 4245 1 19871 949 1 1721 6502 1 15328 2354 1 10553 6219 2 10106 23 8 14515 5379 5 7952 3770 1 8034 1705 5 15816 3202 1 9168 532 2 15497 200 2 9256 191 3 6769 5594 1 1744 5468 5 1378 7895 1 17250 6884 9 5199 4665 1 9072 7554 3 6259 6150 1 10452 612 1 13086 5871 1 9725 2517 1 7718 3483 6 4357 8154 1 7237 1184 4 15691 6713 2 15091 5212 8 2879 6126 3 13574 876 1 15192 7576 1 6224 495 3 16925 2489 3 9000 219 6 19632 6368 1 12412 720 1 20039 6510 3 16546 3096 1 14059 5516 1 504 4242 1 15394 3911 6 6533 3184 2 15085 7767 1 10747 7572 2 13254 331 1 4314 3966 1 14766 6442 3 12502 1748 1 10587 134 2 17496 814 1 12758 7380 1 14790 8167 1 456 4963 6 17835 1184 5 1098 1256 1 7829 891 3 19991 543 1 15508 4383 1 1844 6902 1 8153 2068 12 17886 8013 4 6197 3449 1 16185 2889 1 65 3180 1 15618 5341 1 3347 1819 1 17404 194 5 3985 6518 1 9212 6427 1 10724 6299 1 17238 6993 8 954 4383 2 1272 733 1 12230 3632 8 7122 2191 1 12392 1241 1 15993 3382 1 11674 201 3 18909 1342 1 12361 134 2 12279 3518 2 6327 8141 5 3996 1663 1 15687 4306 5 1733 232 1 17954 1305 2 12626 4297 18 13574 1271 1 9835 6130 3 11622 639 1 10874 6225 2 14114 566 1 12715 23 8 9507 1638 1 15993 274 5 17685 5730 14 717 2353 3 5486 7708 1 4309 4012 1 3387 1464 3 4299 199 1 18449 1518 5 14553 1369 3 8231 944 1 10933 73 1 10786 2722 1 13416 5202 1 20078 1783 1 16956 1289 1 4296 525 2 3694 496 2 347 308 2 7336 1243 6 15321 4979 5 17580 1991 2 4087 7726 2 10553 4333 1 745 225 3 13581 1399 10 2602 23 1 5775 1726 1 358 1819 1 378 596 1 8733 1304 2 6219 6231 1 14565 3065 1 20202 1819 1 4058 4227 1 32 1799 3 174 7974 1 4330 3492 1 13986 3321 1 4092 6588 4 6687 2003 1 8525 6121 1 10881 755 2 5495 1137 1 11354 525 1 13945 5903 2 20219 244 1 12765 652 1 13097 3519 4 9445 891 1 14691 1146 1 19794 3492 2 9421 6120 1 15352 7474 3 14710 650 1 11230 339 4 7071 2261 4 8965 880 1 1221 1740 2 2829 46 4 2072 4597 1 2917 428 1 15498 1096 1 17726 903 1 14645 6053 5 16241 449 1 19102 6662 1 7176 1718 3 16215 629 1 2947 7311 9 17454 3706 3 16054 910 6 15735 2676 2 7042 6080 4 12888 221 1 3677 4979 5 12753 6213 2 2739 158 1 18462 763 1 10354 4320 11 3855 3220 3 19319 6607 1 15722 186 1 5634 219 1 4305 692 1 5943 5257 1 20275 366 1 14824 6268 3 1191 525 1 7012 2584 2 4462 3848 10 15394 4397 2 19047 470 5 1406 4366 1 7742 6335 3 13323 885 1 18281 225 4 14218 411 8 1355 3233 1 3041 6957 5 8094 206 6 6221 1298 1 3740 3701 1 1171 1745 2 20228 1910 1 10168 3016 1 4634 1113 2 11735 2966 2 1542 496 12 11108 1825 1 10355 5494 1 10279 3114 2 17535 23 3 20158 5077 1 9433 2111 5 11085 2514 1 15713 745 1 4506 2321 4 4370 2262 1 5053 1245 1 15741 7407 1 8532 336 2 9489 5018 1 1964 2097 3 12579 200 4 9699 385 1 14856 5084 1 463 4941 1 15929 5810 1 14951 1250 2 4960 1747 1 17487 4000 2 19267 585 1 20117 5036 1 17605 1406 2 10123 4115 1 802 727 1 12282 78 1 12710 6252 15 8644 7127 1 10665 4892 1 11660 225 7 10233 1146 1 2016 221 3 18860 1150 1 11512 2016 1 1796 4944 1 8082 409 4 17405 431 1 16462 1985 1 19865 597 1 5441 1996 1 12378 4274 1 7334 1657 2 2512 194 16 17650 6268 3 745 1374 1 12294 156 5 15100 934 6 16619 7414 19 17 1018 1 4444 768 1 3013 4320 2 3533 2771 2 6667 532 10 2629 1717 3 16137 1825 2 1719 3371 7 6028 2697 4 17218 534 1 4273 4446 2 4236 3605 1 8730 316 1 11357 3248 2 14118 5712 1 8532 2678 1 8539 381 2 5400 554 1 13642 7659 1 11297 2534 1 11545 1244 2 9002 1450 4 6338 2626 1 1733 1686 4 15397 5048 14 5424 3191 1 17337 342 1 13647 1300 1 171 7718 1 11562 6134 1 14184 23 1 12641 4623 1 14089 1731 3 16736 6481 1 9378 6210 1 9462 3061 3 9070 1717 5 14079 4818 1 7721 883 1 9864 7878 1 7483 5060 1 15965 3464 1 7799 7461 4 14234 848 6 9969 201 1 4960 7853 1 19315 5690 1 3045 4789 4 469 1664 1 12489 3333 4 9168 74 1 17724 1756 1 18274 1060 1 17353 1784 1 62 2982 1 1465 386 1 15284 7188 4 2567 6053 1 10242 1730 1 8614 5503 1 7853 243 1 9535 1761 1 17675 10 6 6598 3135 2 9176 7117 4 6630 299 2 843 531 1 11020 6049 5 456 5226 3 12045 891 2 3354 7167 1 1489 5018 2 655 3190 1 17439 227 1 3160 5321 5 14805 5524 1 17507 514 1 8406 206 1 6013 7976 3 14669 7093 1 10339 5487 1 12809 7083 1 17605 6064 1 16033 6053 10 10312 1573 1 10732 883 3 9868 6687 1 14896 1727 1 10327 756 2 1544 3433 1 18260 2344 1 54 2595 1 18773 7563 8 19936 5677 1 19746 3426 5 18698 1768 1 4207 6500 1 9188 802 1 19434 4986 3 15184 1244 7 13837 910 1 4718 7491 1 15048 1714 1 13615 3511 1 702 1453 1 356 232 1 6546 206 1 1497 4764 2 16279 6793 1 608 7636 1 16197 186 11 3826 962 1 9475 5703 6 544 207 1 6907 2795 1 482 4936 1 16832 411 1 4330 4738 1 12013 7739 3 9783 3552 1 3812 46 1 7544 200 1 9245 5436 1 5514 199 1 5618 1743 9 3090 6053 2 7688 4582 1 18728 8190 1 9104 7734 1 3817 7719 1 9578 2209 2 8913 5281 7 14564 2881 1 877 4296 1 18203 223 12 5573 148 1 43 2268 1 111 960 1 24 1484 2 14038 496 1 1766 7368 1 13758 4796 2 4838 186 2 1504 6414 1 12252 1698 1 19630 7229 1 16440 164 2 494 7754 1 7232 1590 10 10333 534 1 9921 5516 10 2583 221 2 9996 96 2 7038 4706 1 15654 1788 1 2190 1296 1 7452 616 2 6332 839 5 18334 6555 5 13080 2560 33 15226 2728 1 1475 199 1 11882 4511 1 780 1539 4 13174 203 2 16993 2613 1 4916 2355 1 14977 1719 17 2784 236 1 873 1333 1 8439 173 2 17248 5018 5 18627 6100 1 3580 496 3 16955 201 6 3491 336 1 2282 906 2 6105 5715 13 1535 206 1 4634 3596 1 17977 1784 1 16249 5127 1 14685 6192 2 12375 1814 1 16891 207 1 5653 4351 3 17675 1717 1 18852 7915 1 13461 496 2 14970 575 1 4301 2089 2 15091 1955 1 4371 7112 1 19058 525 4 19600 1727 6 3516 2069 1 8289 6701 1 1610 1381 2 2646 1770 2 1682 3938 1 19229 3892 1 2126 470 8 6267 4755 7 11202 3366 1 1523 7101 1 11002 200 1 7991 1741 1 20130 7471 1 9456 1482 3 5875 4572 1 13 675 2 14350 5428 1 16765 496 1 931 7848 3 11769 6678 1 5953 6322 1 6641 501 1 19300 165 4 10060 1784 3 7455 2061 1 12159 2864 1 4063 453 1 19027 14 1 12116 3177 2 11331 7222 4 11562 5740 1 873 2813 1 15011 8224 1 9733 229 10 10360 6697 1 9429 4378 1 662 5826 1 16780 2801 1 1733 525 2 20090 2503 2 16714 7840 1 2405 1295 5 4072 230 1 8410 8126 1 15323 1788 1 15778 2068 6 12133 743 1 6124 7719 10 5117 2922 1 6343 201 2 7582 244 1 15776 3442 1 13035 769 2 12817 232 1 17946 1243 4 14028 504 2 9610 470 1 6508 5407 5 3256 1733 1 4451 1647 1 18147 751 3 10692 652 2 12015 1453 1 11877 1275 1 5601 6415 1 15229 5425 1 697 4996 2 115 5151 5 13218 223 2 3399 943 5 12453 1644 1 5856 3592 10 19346 481 1 14320 6327 1 17463 2382 2 15326 1644 2 14052 1364 2 5054 6132 27 3184 2327 1 13718 2675 1 7147 295 13 12419 7670 1 18847 1035 1 4165 3239 1 13615 223 1 542 2938 1 787 199 12 8328 3592 1 8911 2626 5 5663 6776 8 8636 3057 1 11366 219 1 9097 164 1 5812 1854 2 5229 5808 1 855 2686 1 8362 2699 3 18663 1840 2 5028 380 2 1007 425 1 5376 525 1 11731 5234 1 7184 1729 1 18569 3022 10 13974 1282 2 10957 210 5 5696 1720 6 16661 3143 1 8001 488 1 7784 3213 1 14369 1827 3 18800 3414 2 16764 184 1 1603 1264 1 557 1116 1 9225 692 1 53 1078 2 5996 3276 1 6829 1762 1 13640 2352 5 18518 2291 1 13165 4593 1 12592 532 1 4467 232 2 6051 2881 1 15746 3617 1 17218 1715 1 74 3445 5 18973 1245 6 17371 7600 1 10422 3167 1 301 1825 10 4309 5767 2 19900 5496 2 19217 3832 1 18705 496 1 4154 6713 2 3105 6720 1 15070 6813 1 7346 1825 9 12022 1567 1 19246 3721 3 14259 8203 1 8172 1341 1 5692 4803 5 6197 4620 23 12981 223 1 13671 424 1 12376 3275 1 2319 2871 1 15001 5783 1 16860 390 1 5648 5661 1 6732 3378 1 13535 74 2 13562 421 1 1062 5083 2 461 6602 1 19879 156 1 6732 1827 5 17 1115 1 1679 7695 1 9322 573 1 12685 4206 2 15778 4266 2 13076 3221 1 132 6006 2 7157 6257 2 10918 215 1 13412 502 5 18252 1617 2 18876 816 14 3100 2678 5 3031 1730 1 9666 6457 6 15269 883 3 877 7984 15 5039 1251 7 14466 3311 3 15009 3578 5 12877 7674 1 3059 696 1 18526 1742 1 13205 3626 1 7991 759 2 954 232 1 18563 431 1 15703 219 10 10967 5081 1 2100 2650 1 1191 1245 1 6611 66 1 13992 7220 4 7452 664 1 63 3050 1 17756 2675 29 19239 520 1 13205 440 1 1551 1728 1 7829 6342 2 17395 3627 1 19098 336 2 20180 770 1 16034 3150 1 13083 2665 22 81 3646 3 19123 2478 2 15791 508 1 9592 4065 1 13097 8191 11 13430 7073 2 3040 460 16 11512 7671 1 6778 1244 26 10525 214 1 679 505 2 18546 1748 4 10832 3203 1 6796 1333 2 7362 1863 1 5515 1868 4 10923 1724 13 13059 5060 1 4705 4489 1 3249 214 4 10720 1747 10 15323 1275 1 9188 555 1 2917 467 1 17353 1695 2 13758 4954 1 17992 1146 2 3505 1186 1 10550 1184 18 11398 34 1 10973 221 3 4662 4105 1 7597 2645 1 8952 8026 1 8580 8195 4 6259 4296 1 8716 7450 9 16827 1374 2 4859 1342 2 92 4170 2 17859 6663 1 9322 766 1 745 1243 1 16881 7962 12 5855 5060 2 20117 526 2 3976 1772 1 1475 5302 1 19745 1772 1 5378 1237 1 10002 2992 1 15093 3 1 18916 2699 11 18200 4877 1 4133 2357 3 17019 1245 1 18020 5846 1 16689 4132 1 5287 6549 1 2213 6424 2 5067 3907 4 5817 2853 1 18226 6046 1 15211 506 1 10649 2618 1 10330 6341 18 15059 3666 1 9215 4225 1 3734 7834 1 14184 7511 1 11619 173 5 164 7439 2 19319 2056 1 16515 4230 2 12960 1775 10 8704 457 1 13075 2964 1 15635 911 1 10589 7415 1 5699 7912 1 8865 3135 12 5337 5325 7 10371 1706 1 7943 6414 8 4155 2508 1 15272 3278 3 20145 471 1 7052 7786 25 9250 864 2 12510 5245 1 18538 7229 1 13340 2863 6 12346 1720 1 6605 6383 2 10199 995 22 15559 1467 1 4709 23 1 20120 4567 2 9551 1209 1 18667 1146 1 6406 3059 2 19272 7750 2 5831 5018 1 353 203 1 626 5009 24 10777 1046 1 7111 4998 5 7312 1706 5 7887 4757 1 4327 525 1 988 5389 1 11846 2671 1 1053 770 8 14114 916 1 1257 5307 6 181 8234 1 3254 8026 5 5471 16 1 15266 140 8 16500 7606 1 17404 4980 1 2207 221 1 5431 4431 3 12765 915 1 1117 1454 1 3157 8013 6 6028 5672 3 4877 308 1 15771 3556 1 15812 3227 2 3197 5365 17 19448 4295 1 4691 1775 1 14580 60 1 18771 534 5 2358 7633 1 16501 4511 3 18213 6278 2 6862 47 1 13982 6150 1 14797 2401 2 7301 1739 1 18968 3922 1 4831 6132 6 9104 524 2 11666 869 1 13090 1247 5 2722 6721 2 6199 7578 2 16790 23 6 17625 7466 3 7625 5363 1 18014 3798 1 1551 1495 1 4985 1126 1 19468 6640 1 17473 8017 1 13574 708 1 17291 1703 2 10225 6793 1 812 3262 2 16887 3033 1 745 863 1 7970 1621 7 1898 1877 1 8735 8093 1 7380 6338 2 12828 1760 1 13992 3330 1 8560 2865 1 515 1718 1 17314 7921 1 7252 1103 1 456 1484 1 14549 5144 3 16378 1764 1 15362 7415 2 3743 1727 1 10539 470 1 10539 220 1 15100 595 1 1519 1736 1 11519 4253 1 7899 4653 1 10049 222 6 8762 4016 1 17645 4296 2 38 2030 5 5943 1700 2 6010 70 1 3025 252 1 18015 3515 7 13636 5495 1 3342 1734 2 7614 6278 2 15429 1421 1 14212 7542 1 15041 903 1 10385 6595 1 14132 5351 1 3572 5972 1 12685 3954 5 16020 194 11 18696 1334 4 14233 265 11 12767 1649 1 5977 1248 2 143 6566 4 8156 1784 4 17098 883 1 3231 4992 11 2143 4446 3 5838 4615 5 14284 4468 1 12992 304 1 11367 236 1 9680 3276 1 14400 891 1 17205 4293 8 19221 2745 1 10999 4261 1 15502 5550 2 13602 589 8 8464 4818 2 14523 4909 1 14484 4245 1 11901 3926 1 10216 3167 1 20007 6892 1 17680 1946 2 15141 8157 1 15595 1748 2 13402 6067 1 3705 1271 1 7933 6549 2 4916 777 4 8229 2675 1 1825 1257 1 7158 407 1 7835 203 5 8735 519 1 3781 8184 1 11207 471 2 14808 4600 1 15384 7719 1 5643 400 2 8608 1245 1 8526 443 2 140 6387 5 13974 1715 1 6589 3285 6 4898 215 2 14296 173 5 14896 1248 1 44 2318 1 13633 1827 36 6833 1762 5 12603 3969 2 9250 951 1 16801 7576 2 873 2508 1 19115 1356 3 15681 5468 2 2242 5811 2 9264 5814 8 10329 1302 1 7994 635 2 19297 2729 1 1241 6342 1 8077 1296 2 2063 6014 1 13715 1276 1 10719 7400 3 9909 1264 1 3612 4435 4 12853 2369 1 19401 525 1 10079 5091 2 19407 3511 3 2785 2880 5 12163 1471 2 42 2241 5 3801 2488 1 8210 201 19 8532 1715 1 15472 4000 1 16674 4308 1 9071 6760 2 8636 2132 1 18900 880 1 9604 1726 3 9077 1827 1 12279 235 4 572 433 1 20180 3382 1 10926 7403 5 9244 2256 1 11705 74 2 13734 3805 1 16590 375 3 17892 8031 1 6688 2683 1 17475 667 2 9493 6899 7 4429 2383 1 5569 2166 1 1352 2354 1 10636 4069 1 4508 6549 2 1714 1658 3 19826 443 3 5798 5575 2 15923 90 1 11192 6539 1 1794 7797 1 10422 2853 4 2280 6554 1 15269 1357 4 5775 518 2 1530 4019 1 1235 3510 9 4791 6093 2 8223 5341 1 6697 1734 4 806 525 2 17314 4635 5 17181 5245 3 6023 3604 3 7871 3163 1 9050 1638 1 20055 4253 1 6339 4303 1 18207 5674 5 14513 2068 1 13508 7542 1 2204 688 1 14196 1587 1 10369 1235 1 10145 3850 5 17521 2555 1 13411 232 1 10055 3512 4 427 1271 1 18237 237 1 3522 2626 3 19871 5156 2 11843 6683 3 4153 1582 2 7920 3182 2 12337 631 1 12078 3876 12 2811 23 1 13233 6595 3 8730 2595 1 1389 1801 1 10204 5522 1 16016 2516 1 16048 1665 1 15648 534 2 4417 1752 1 6656 203 8 2463 173 1 4068 1235 1 14918 4998 6 1491 2424 1 7738 1778 1 11354 5141 2 365 3913 2 18874 8035 1 6154 184 2 5489 520 1 8831 603 1 14599 785 3 13749 724 1 10032 7403 2 19479 219 102 4998 342 4 14517 7105 2 7823 4378 1 15785 554 1 15551 1464 1 17298 501 8 14694 70 4 12152 929 2 10301 4996 1 105 4692 1 4327 4998 3 6769 4856 1 4337 38 2 10304 471 1 17389 7716 4 13880 4462 1 18886 6504 2 9058 5108 4 8269 605 1 15367 4312 20 10117 2774 1 5496 7731 1 684 1251 2 130 5814 2 10526 786 1 11723 2571 1 18580 2569 6 6913 2881 1 828 8141 2 15138 6482 3 9390 5262 7 9284 2853 7 15354 1234 2 8506 3686 5 13981 186 2 3189 1955 3 1635 728 5 154 7131 19 11485 1237 1 15141 8159 1 4851 318 1 15144 2917 1 1011 205 2 11556 2671 2 14602 6408 1 20082 1455 1 2372 200 1 18188 7869 1 9394 1714 1 18879 6167 1 10399 7769 3 4938 1482 1 6111 1907 1 6612 1469 1 10486 670 7 13015 207 2 1793 1726 3 14610 6225 4 5556 7936 1 16445 532 2 13885 1729 1 11763 3460 2 4149 3892 10 5258 1721 1 9058 5091 1 5993 4949 1 15683 891 1 12540 336 1 2186 203 5 7994 813 1 16135 5005 1 18229 883 4 3521 4320 7 14053 1721 1 17969 7859 1 18104 395 1 164 7447 1 2304 156 1 18924 1721 1 8853 7674 1 9208 165 1 10107 6570 2 6990 3589 1 11938 225 4 10016 867 11 8289 1105 1 11837 207 1 1853 2058 2 12402 4357 2 1575 23 3 13 607 1 3581 3387 13 13640 1164 3 16174 1356 1 13227 7674 1 9341 5807 1 10705 625 2 9540 219 1 11238 4293 2 19141 1991 1 4030 853 1 2696 15 2 19293 220 2 16267 1921 1 5982 203 17 10056 409 3 9474 1395 8 18768 215 11 10261 5379 1 3505 4318 1 8615 6540 1 18504 221 1 521 2132 2 6876 221 1 19939 23 6 9910 1757 4 14522 1751 3 817 1209 1 8969 4173 1 6107 205 9 18986 1245 5 7298 631 1 2144 1658 1 13711 3587 2 8326 3233 1 19877 3079 4 19055 7229 1 9128 1819 1 4055 4551 2 12133 1380 1 174 5749 1 3752 5275 1 8967 4713 1 9349 4180 1 9666 420 2 13091 1244 1 20126 536 2 3085 7825 1 6041 5536 1 6857 4587 1 12619 6674 1 10824 1251 1 15100 557 2 20072 1247 2 3214 5389 1 12054 5905 3 8013 757 1 16350 470 1 13581 1775 1 11965 2980 2 4956 679 1 15103 1762 13 2511 765 1 17947 4960 1 1650 541 3 5695 236 14 18462 5686 3 14466 7829 4 16645 4004 1 18334 5560 3 2556 520 1 3189 6087 2 18568 878 2 2915 913 1 6431 3255 11 10752 1363 1 2726 368 1 20033 1022 1 16792 6341 1 9366 520 1 10302 4955 1 11786 6535 6 18921 6430 1 18265 8203 1 11325 496 1 314 1363 1 1056 1997 1 7017 4517 5 3085 4211 1 6564 6549 1 13170 1241 3 7310 82 2 12279 65 8 19833 2008 1 1904 1742 1 1490 1738 14 16674 2495 2 9079 3476 1 10056 3239 3 11458 2398 2 12620 2363 1 17127 184 1 15429 169 1 13303 2691 20 12316 2114 1 789 3895 17 14271 4048 4 7188 7857 1 8405 1248 2 13829 1248 1 10254 190 3 12715 1342 1 5619 4929 1 19313 2578 5 2169 5053 2 51 2527 4 711 1245 1 9195 1779 1 4821 4096 2 3249 1728 1 7991 1661 1 4498 6571 6 8419 6140 2 19486 451 1 484 3871 2 10624 3216 9 12055 877 1 1551 6793 1 8198 427 1 7279 3525 2 5645 225 1 9168 499 1 20219 1760 1 3505 156 1 4386 5264 2 16222 1475 1 1625 6625 2 14753 3791 1 12588 3227 1 3613 244 9 1072 1248 7 3189 6920 2 13212 6150 1 17290 188 2 19102 3533 1 20128 1946 1 2181 753 1 11678 6051 1 3392 3512 31 7923 6229 1 296 2362 3 15091 481 2 13296 23 1 1590 3757 13 18379 6014 1 17509 3072 4 6240 7520 1 6799 220 21 9195 201 1 10843 2922 1 19331 1783 1 18520 3691 6 10456 1200 1 19223 221 2 15202 7535 1 12903 224 2 3832 1758 1 3443 4435 3 17416 4029 1 11342 153 3 19696 2098 1 1028 2000 1 13750 1402 4 9369 3069 1 10080 341 1 8597 2712 1 4825 1717 8 2928 2127 4 18169 1338 2 9808 220 5 18104 6925 1 62 2913 1 16812 898 22 9836 1726 1 7527 7848 1 4796 889 1 12897 3546 1 2860 1911 1 6002 5951 1 7799 4566 1 16674 2493 2 11237 6023 1 7186 4204 3 3864 3334 5 17416 1901 1 50 2519 1 7289 7167 1 12966 156 18 12774 6192 1 14889 5031 1 10865 335 5 19735 4296 1 3310 554 10 66 3211 1 9747 314 1 18889 1035 1 11292 7189 3 9607 5193 1 15730 2591 1 18665 4403 1 5253 233 2 13217 4020 1 17377 2691 1 16442 6343 3 5025 1995 1 5224 1732 1 15740 1756 2 14326 3233 1 15814 2167 1 9696 6561 1 9783 5254 1 13874 184 3 18989 3510 1 6889 2640 1 11678 74 2 98 1989 1 4691 1395 1 17996 2353 1 5928 4992 4 18085 6442 1 149 6732 1 7188 1777 1 16831 541 1 2909 2645 1 6772 2555 1 592 5814 1 10010 1416 1 7184 173 1 13992 3663 1 10333 206 1 18845 1716 8 702 858 1 16092 5999 2 7809 588 2 8528 1248 1 6777 2982 6 1465 2858 1 8891 841 1 4749 84 1 1571 1146 1 8614 207 1 9784 8037 1 15759 233 6 15873 1721 1 18307 164 2 14027 6949 1 1317 4156 1 7530 1613 2 8896 5325 2 2345 229 16 9954 4351 10 4069 609 2 4492 505 2 10401 4245 1 11595 207 1 4843 709 2 14022 1819 2 8443 7948 1 18279 1535 1 349 6674 2 19286 3526 1 12790 957 1 10502 5561 1 14916 7614 1 13350 6454 1 10137 222 1 4876 1686 1 11346 2507 2 7590 5081 1 17586 1738 6 19409 6343 1 3416 7996 2 8620 5269 1 845 1307 1 18224 3778 5 8950 3274 5 8946 608 1 4815 7774 2 437 2780 1 6951 5292 1 19839 220 2 20114 4010 1 18102 1333 3 18431 5105 1 8328 3384 1 18565 7534 1 14900 2683 1 7651 8091 2 13076 7693 1 13743 5543 1 12722 4013 1 12851 1307 1 4409 5549 10 1203 6278 1 7566 187 9 15343 3155 6 7925 1482 1 10088 7817 1 16427 2675 2 10416 167 1 6069 204 2 10169 3869 1 17710 10 14 6618 4623 11 15564 5474 1 15651 169 10 12725 3631 1 3280 156 5 171 7667 6 7879 1244 1 11356 3232 1 12592 1732 1 3114 73 2 17218 214 1 15687 4760 1 10441 1730 1 3874 4721 1 4539 3882 13 2213 5349 1 17 1015 1 86 3950 1 18946 5945 1 15599 6080 2 12406 2056 1 14762 1252 1 15699 2504 3 10791 1282 12 7650 1424 1 8311 1819 3 4733 3230 1 14993 1698 1 17357 3763 1 15373 7229 2 3646 3748 7 3106 519 1 12066 2879 1 6449 2584 2 16509 201 1 19418 6552 1 7663 1357 1 10730 5285 3 18008 2966 3 670 629 1 333 5390 1 9503 3479 2 8082 4495 1 254 233 1 3755 411 6 14241 840 1 10535 3666 47 12841 3714 1 17132 2749 1 2418 5291 8 8762 4946 1 337 3679 1 11504 4114 1 10999 3333 2 11882 3663 1 1395 4012 4 7034 5467 8 1756 4597 1 16185 382 9 3432 4333 2 8757 4352 1 11476 1417 1 10172 706 1 16010 35 2 4533 236 7 9093 3903 1 9250 911 2 7528 2614 1 17560 4427 1 2080 5575 1 20256 1304 2 14250 23 3 4472 867 14 4238 1245 1 74 3478 7 15192 548 1 6449 6414 3 13046 214 5 16486 207 5 57 23 6 6649 816 2 18268 4795 11 1921 3625 1 9607 1370 1 15426 4391 14 18375 2376 1 16232 2027 1 15863 1760 7 8488 23 14 19727 1395 1 15699 7312 1 18096 6588 1 9284 2109 3 1585 1990 1 7227 3775 1 10008 698 1 5540 1752 1 19965 4984 5 19680 4623 2 16185 884 1 12870 235 1 11678 1042 2 16915 1934 1 2428 2058 1 13302 1726 1 20078 7850 1 279 6711 1 1984 1359 2 2103 536 2 13839 507 2 7366 3007 2 5860 2673 1 13236 2488 1 1587 779 2 10007 3020 1 88 4030 1 9706 4607 48 2770 235 1 19101 5048 1 12262 4105 2 17374 325 1 165 7524 4 11999 4134 1 6806 367 1 5494 1762 1 10209 7125 2 3006 3758 1 1296 1908 1 5671 2360 5 1171 891 2 17104 95 5 15775 3557 1 135 6201 1 19722 518 1 19920 6633 2 12067 2332 1 8354 1992 1 11858 6031 1 3000 2636 1 18585 2150 1 9778 355 1 9290 6029 1 8546 2102 1 19724 1739 3 3347 2671 2 20262 2698 1 7088 4073 3 17596 1748 5 18230 196 1 4210 6599 1 3258 186 1 10747 3621 1 17372 4513 1 17847 225 1 420 7345 1 18396 1916 1 9153 5051 8 4353 6933 1 2466 3511 2 3911 3625 5 3085 2129 1 16570 1819 4 15689 8141 1 15544 5321 1 7590 215 3 1801 2516 1 14793 2056 5 19263 1298 8 11877 3671 1 1454 5253 5 19635 4436 9 10693 3065 1 16248 4366 2 5855 159 1 140 4855 1 8492 23 1 18797 1457 1 115 5165 1 9131 413 1 18981 372 20 20107 1007 4 10739 722 3 2665 5700 1 9168 1244 2 11773 792 4 9250 4792 6 6757 3293 1 16236 201 2 66 3207 1 15791 789 5 8768 3298 5 5169 2786 1 11360 1292 1 3505 3994 1 11087 2572 26 6690 4998 6 4519 871 1 6451 5156 1 17324 433 1 6302 724 2 6130 709 2 9967 3167 11 12071 2351 2 388 6690 1 9909 379 1 6458 2363 8 13800 1112 1 3090 1121 4 11499 1582 1 18633 2432 3 6332 408 1 13069 1982 1 11296 4721 4 40 467 1 188 3515 1 17328 4732 1 11804 1252 1 13644 3540 2 4688 649 1 3193 23 1 126 5591 1 4451 667 1 2959 3081 1 16470 6500 5 4240 2380 3 18408 3163 3 7585 2508 1 19585 1700 3 19246 625 1 16886 2649 3 8239 2209 1 12901 2143 1 9116 519 9 8166 4299 1 6088 6697 3 899 861 2 136 6261 2 580 2269 3 13089 1287 1 9639 1699 1 18968 4019 1 7823 850 1 12243 6363 3 94 4309 14 10465 207 1 6649 3840 1 6125 3074 2 1832 205 1 18455 1297 2 929 5673 1 9453 7903 2 15053 5018 5 7286 1729 4 11591 709 1 2045 1718 1 3228 5464 3 17734 518 3 7295 5502 1 17463 1954 1 19407 8183 1 12232 1779 1 13203 381 1 14272 1250 1 12013 7627 3 9216 2678 1 8137 222 1 19428 7665 3 14048 6490 1 12826 6885 3 15328 1768 1 19030 58 3 20170 203 5 15857 201 1 3058 4188 2 7181 204 1 15331 1242 1 5023 1307 1 1977 5162 1 12777 3753 1 14519 4504 1 7865 8197 1 17825 5051 9 6840 790 1 2345 1251 20 10010 2915 1 6799 4351 2 11363 1334 1 4862 1830 2 5631 892 1 9322 1730 1 9279 1252 1 9279 336 1 10105 1234 3 16563 3250 2 18288 8156 1 7817 4010 1 14375 524 2 2459 5735 1 3394 3230 4 11336 2382 2 2388 207 1 2462 1522 3 1321 2497 4 10555 223 33 13711 4841 2 2624 3715 1 18320 550 6 14337 4525 11 19137 1238 3 9279 545 2 17284 6231 1 13129 498 1 10916 5712 2 10046 1729 2 5301 7266 3 153 6915 1 14515 203 1 16566 3896 3 16150 5413 1 5296 5820 1 18366 3900 12 1 93 1 10000 4667 1 16199 3768 1 6202 1314 5 13167 1251 13 16442 5414 1 10259 2027 5 135 6100 1 17195 4572 4 7911 2419 1 10604 3821 1 3637 8050 1 18910 73 3 10287 201 2 13659 3474 1 1566 203 1 16636 3853 1 14883 3742 6 11413 221 1 14292 7847 3 15548 1736 1 17066 1303 1 4539 5051 22 19864 1761 1 567 2353 1 8506 4764 1 17 1089 1 19251 2252 5 12122 223 5 2435 207 2 14685 1706 1 1498 3005 1 16611 5686 1 10042 1772 2 3696 1250 1 195 550 1 15198 223 1 11736 2743 1 7409 215 1 17825 1050 11 5573 3026 5 12938 5557 1 16665 1235 10 11008 3511 1 13328 666 1 12036 2665 1 13740 2749 1 10484 7096 1 5017 4945 1 14362 1737 1 14753 7758 4 11609 7777 1 12376 6777 2 8418 5505 5 9447 6084 1 13538 1991 2 2133 4209 1 6307 1825 38 4663 630 1 16530 527 1 296 3367 3 8966 3511 1 5 155 1 13839 644 1 8969 1740 2 16048 3999 1 15488 4622 2 10952 7342 1 1815 5051 6 18631 6152 1 2520 825 1 12623 1395 1 18932 604 1 8614 7614 1 11741 3447 1 17034 3353 1 10649 4075 1 16659 6957 2 3455 3971 1 14639 6806 21 12481 215 2 11096 867 1 7463 2014 1 12680 7586 1 1265 5963 3 18331 6532 17 16491 571 1 18195 601 1 13840 11 1 3947 203 2 8408 470 5 10595 1772 1 7252 402 1 11542 3639 2 4837 2542 1 9194 496 7 11533 1190 1 2345 3414 15 7214 3903 1 17009 2356 2 167 7566 1 11872 2964 5 16391 519 3 948 3757 1 1852 1760 3 7258 314 1 3881 482 1 18102 1570 7 2228 2641 1 5479 292 1 33 1821 17 4266 5347 1 2802 6355 1 18587 578 28 7956 201 3 3516 1304 2 17899 7669 1 5172 545 3 7010 5506 2 11859 4038 5 15940 715 2 17531 422 8 9834 2930 1 1171 1342 1 20074 4349 1 19033 1374 4 216 4189 1 7327 2557 2 18324 2581 1 6670 3230 1 2905 2543 3 17042 4796 4 18115 689 2 15140 2983 14 13105 2508 3 8934 10 1 16557 2343 1 3175 3710 1 14131 1705 1 16312 2729 2 417 1921 5 15329 857 2 15818 1760 1 8714 1721 1 13587 4203 2 13899 2197 5 7507 585 1 8118 6663 5 18860 4929 1 16506 1775 1 19910 6104 7 17009 6150 1 8571 6080 3 10394 3918 1 10078 1275 1 1414 534 2 8383 2651 3 18071 1112 1 661 1454 1 1308 1731 1 8330 4489 2 7660 4497 1 6306 883 1 10510 207 1 12638 7498 3 7584 3945 3 71 2898 1 7841 1825 22 18876 3562 3 14072 4446 16 12733 4598 1 8650 6252 22 3747 525 3 14582 1039 1 20169 220 1 14642 3480 1 3755 215 4 17019 232 1 6370 8174 2 18979 2935 2 1668 2552 4 13601 5446 1 13922 184 2 717 173 2 17488 6741 1 288 6591 1 10376 232 1 12659 4435 4 10706 5829 1 7795 2618 2 7179 946 1 10145 1128 1 1259 219 24 11504 4998 23 17086 390 1 4773 4343 1 8475 5466 6 2338 6687 2 7473 1251 1 13460 6591 1 8332 1921 1 11521 5418 1 456 7719 5 7135 187 1 6018 1747 13 9052 562 2 8712 74 1 9672 509 22 4992 232 1 18885 863 1 17662 229 5 456 3685 5 12024 1727 1 17120 520 1 14002 1695 1 3189 3763 5 3073 3635 8 9974 3629 11 19263 1328 1 9115 7120 1 604 2511 12 18406 5783 1 7252 2369 1 758 514 1 4150 1556 1 19820 4314 1 3426 534 3 62 2948 1 16739 200 26 15220 4366 13 5401 1804 1 1171 1718 1 12900 2007 1 17756 3906 1 6872 23 2 16924 6629 2 8472 7319 1 455 6606 1 19429 966 5 6634 4103 1 17110 3375 1 13266 723 2 13781 690 2 4382 1357 1 15648 5903 1 9284 6204 5 16302 2170 6 15778 3327 2 10946 496 1 15227 1658 1 20212 4563 5 13534 1434 1 1020 7758 2 12375 3909 6 17392 7601 1 18144 891 2 14553 2620 1 7463 5767 1 14593 6106 1 7994 853 1 7292 2056 1 12817 7296 1 19872 3909 3 19722 23 1 5757 1748 14 2135 244 1 11067 1423 1 9715 1150 1 5804 3892 2 3221 5052 1 15516 244 1 8707 2552 11 3796 865 1 13777 6239 1 16529 7518 2 591 2981 1 19145 3511 1 3118 1079 1 4092 3147 1 11441 2369 1 17061 5158 1 2981 6268 2 884 1243 1 9672 5054 3 12592 1249 3 4444 3821 1 7633 1825 2 10211 5848 1 14397 201 1 18289 335 16 1488 3855 1 1311 1252 1 3962 207 3 13311 4274 1 9934 3660 2 13305 203 22 804 461 1 4283 1744 1 7017 2369 4 19872 637 2 5547 1404 2 14863 8185 1 4622 1776 1 3687 663 1 16378 4615 1 20145 1757 2 5185 52 12 11196 156 2 8860 3380 1 9759 2353 2 18811 3702 1 13174 411 1 18534 2782 1 19138 6754 1 3279 1827 1 8626 1567 1 9969 223 1 9811 184 1 3398 7001 1 695 2155 4 15437 1698 1 3274 1913 1 17946 1555 1 18675 5324 1 9116 6025 12 13649 5468 2 4072 418 15 13596 3600 1 16239 4716 2 1983 1724 3 17325 4543 2 4935 3399 7 6440 215 1 430 2479 1 6269 4 5 18936 1717 3 9944 5520 1 16156 244 1 16493 2385 2 16790 15 2 6210 1705 2 14044 220 1 1506 1757 1 4784 4884 1 10309 620 1 9637 1235 1 17665 2552 4 14837 2352 4 8795 2229 8 14769 7308 1 2962 622 2 9295 1718 1 4095 2580 1 15943 3411 1 2231 3232 1 10198 3234 1 3967 23 10 18610 566 1 5720 6192 7 10166 5724 1 6510 4710 1 15689 1241 2 18154 3564 1 5204 766 1 2988 201 5 5823 3427 1 11990 784 1 1013 23 1 18843 6704 1 6972 2319 4 17908 3127 1 13002 1007 1 8528 525 6 6867 7089 1 12285 662 1 9195 4794 2 6841 1535 1 2104 252 1 8230 4613 2 15907 207 1 13290 5586 5 9129 297 2 8657 2959 1 18591 1321 1 171 7612 2 1171 1819 2 2807 2552 1 1830 23 3 6887 431 3 4315 203 2 3601 3261 5 929 336 1 18056 3081 17 4941 3465 4 14790 498 1 6544 1244 1 13453 505 9 18402 848 8 14133 1781 2 18628 6398 4 12791 6341 2 12706 1762 4 2709 6048 1 4106 2424 3 19694 1482 3 19862 225 1 15117 200 1 1106 235 1 2188 7244 1 11533 5193 1 15075 1698 1 13254 1198 1 14272 4450 1 16643 603 1 6750 6224 2 17966 244 1 17384 728 1 18430 4929 3 2456 1357 1 18866 23 8 18042 7091 2 205 8013 17 14457 235 3 19348 3798 1 12074 365 1 16016 4266 2 16347 184 7 4092 7996 1 13425 4531 1 7853 1658 3 7587 880 1 7560 3593 3 5064 608 1 6646 8141 1 5117 329 1 18667 4992 2 19082 150 1 6343 717 2 14731 4789 2 7683 220 1 13203 6588 1 5117 676 1 18119 253 2 13971 3338 100 2736 3634 1 17 1083 1 9296 2675 1 98 4417 1 4603 2708 1 10554 1484 2 127 5724 1 14307 3587 5 13960 3492 2 10507 5171 7 812 2721 2 4068 1342 1 19816 767 1 16244 6342 5 7695 1548 1 5737 223 4 7966 6549 2 20 1243 1 17596 244 1 3420 206 1 2267 4112 2 16158 5224 1 5575 1399 2 18252 1909 2 19252 206 2 1631 382 3 14793 1752 1 13615 1638 1 19102 698 1 788 196 2 7058 4377 1 4620 4998 1 18444 220 1 3613 235 2 3842 1715 1 11048 1290 1 10595 525 1 19137 348 4 2171 7708 1 3924 2061 1 13880 1184 1 10300 888 1 3315 524 2 13442 215 1 4106 3558 1 15849 2361 2 10141 1758 1 5490 1762 1 18481 8013 1 14692 1707 4 9691 2675 4 8376 1713 1 18193 1252 2 14958 2385 5 1078 8162 1 14674 2653 4 11981 6793 3 8597 4920 1 9517 1704 29 15948 512 1 5763 6527 1 3758 3145 1 5078 512 1 4763 6486 3 4345 4423 5 8534 5026 1 3915 1707 1 4049 4175 1 8299 7996 2 16500 367 1 10051 3570 1 6824 5953 2 13866 244 1 19908 3049 1 1801 2641 1 70 3283 1 19534 3878 1 8219 187 2 12158 6120 1 12369 470 1 9160 3638 1 14046 2863 1 8137 23 1 2726 1482 1 10340 3558 3 11678 3866 1 15753 2556 3 20183 4435 5 4279 4680 3 5444 1825 44 13732 524 2 2917 674 1 11035 5906 1 16089 1715 1 3607 7541 1 19678 3850 4 11294 2268 4 5691 5502 1 17607 3945 2 13087 3970 2 19991 1709 2 6306 203 11 6757 4006 1 13023 5713 3 10452 912 1 2405 5319 3 20032 258 1 6770 7174 7 15456 1363 4 12818 7986 5 19872 2383 1 8117 1249 13 7336 2169 1 7851 199 3 18939 6132 8 873 679 3 15025 3484 2 5102 6159 1 11901 1237 1 14889 200 4 13012 1482 1 3471 1062 3 1777 883 1 2797 6640 13 812 8091 1 17763 196 2 10 270 2 1276 2880 1 5934 1293 1 7756 5477 1 5576 1453 4 3785 4642 1 5104 7363 1 6789 6059 1 14458 593 1 3181 2968 1 12008 219 2 2797 7235 3 7943 6540 7 12024 1686 1 10815 4366 1 4960 2542 1 6048 1776 9 4314 164 12 7461 757 4 478 4792 5 7060 1508 2 8931 3911 2 2690 6692 3 8582 470 18 1303 3493 1 4026 2413 1 4309 223 5 5801 1092 1 6144 638 1 1141 3138 3 9132 8149 7 5018 4311 2 6894 1234 1 4970 4477 1 13601 7602 1 5213 1739 2 7761 3882 1 17370 4075 1 4023 6487 10 162 7362 1 454 4877 1 3536 4479 2 20049 7513 2 6428 3233 1 9978 4919 1 16519 874 1 9961 7220 3 18800 1995 2 836 1910 3 6681 991 1 8594 5437 1 8083 3323 3 18287 4411 1 14716 5783 1 18875 5527 1 2101 1396 5 7738 2354 2 17454 1880 3 11855 3167 1 19418 6534 1 174 8045 1 4385 1698 1 17 1026 1 15411 6723 2 19972 5947 1 7750 233 1 3523 367 1 7882 2488 1 17771 3824 1 1461 3050 1 5424 4824 1 8585 4796 4 3000 4024 1 15420 1818 65 18526 2013 1 3326 1406 1 3406 4188 12 13114 6765 1 482 1778 1 16012 7719 5 2856 3308 1 12055 1369 1 19954 1572 1 2712 184 4 7111 1760 7 10060 340 2 13109 2357 1 31 214 4 8440 1450 1 11536 7098 2 35 532 1 15096 3835 1 13947 7232 3 586 3339 5 14202 6368 10 19263 2071 2 3258 3696 10 19724 221 3 4264 1311 7 8735 3669 3 5952 3138 4 9976 2605 2 12962 3945 2 4709 214 1 18146 2881 1 10339 6113 3 10806 629 1 12779 545 11 12298 5995 1 15997 6343 1 15796 407 1 8982 1369 1 13811 1333 1 15195 2685 1 10316 2096 1 7152 1825 1 8211 74 1 12916 561 1 7313 3311 1 4050 496 1 14753 5331 1 1499 6538 2 1821 6677 2 8878 667 1 14015 632 1 13109 6706 1 9519 6312 8 4883 5131 2 8532 1729 2 6514 719 6 855 2087 1 7017 4566 2 13 768 5 19273 7928 1 6722 1745 8 19053 803 1 10347 6334 1 468 2552 1 19060 3025 1 17217 1827 2 6492 1464 1 9833 525 1 9767 597 1 4227 1364 1 19905 514 1 16815 3827 4 3638 4435 1 2404 1757 19 2716 3511 2 5769 8072 1 4663 2056 1 6089 1235 1 10575 915 1 7099 497 2 18180 6723 32 16018 1267 1 15948 506 1 8581 3679 5 13706 215 3 14906 496 1 8732 3511 1 13268 3808 1 11239 1248 1 17142 8167 2 6630 6321 1 16176 7249 2 1282 1582 7 12638 876 1 17799 6897 4 12551 1752 2 18462 1464 1 4095 1383 1 16428 8051 1 13 745 5 12676 6793 3 19306 4768 3 1751 6257 4 11301 2944 1 13673 1191 1 2575 888 1 14985 496 1 18017 87 1 1127 525 3 3846 366 1 5038 3333 4 3240 5101 1 1287 4242 2 11125 3228 1 15071 2673 1 11353 3778 8 9429 1363 1 9353 3233 1 19999 1428 1 3505 2686 2 9645 719 1 10838 7144 2 18421 1241 2 5594 6663 6 15870 2225 2 954 2019 2 8882 3066 1 2081 2499 5 2448 3267 1 16500 235 3 8082 1571 1 6503 687 4 18199 4343 3 14721 4098 1 6690 560 1 15874 1267 2 11775 1675 5 5336 3255 1 11614 184 1 15015 4146 7 16471 6897 1 5882 2842 3 18404 4441 1 166 1699 2 11428 1819 6 11238 5905 1 19768 7401 2 5231 1334 3 6420 95 4 4005 1467 1 4030 606 1 7119 1751 1 13694 1753 1 18222 341 1 16282 1407 1 14896 524 2 14466 220 5 3395 1789 1 3224 7242 1 17682 520 1 11384 200 3 11165 6091 1 3175 2329 1 58 221 1 17799 2478 14 3781 2760 1 290 7857 5 16103 1707 1 8015 7510 1 6314 5255 6 13358 4351 1 10876 3167 1 6270 206 3 5763 222 1 10698 863 1 10567 2649 1 3237 7750 1 16378 541 1 14632 73 1 3118 7187 5 4631 4170 5 7477 1404 4 14389 6060 5 901 222 1 14353 6262 2 11714 627 1 16475 5018 52 18079 8170 1 13462 1249 3 5226 4266 1 3947 508 1 14698 1663 2 14428 1147 1 3106 1707 1 7016 6139 3 12491 2097 4 15184 3621 6 13253 1711 10 87 4007 1 17859 7513 3 6876 1730 5 6452 2051 1 2448 496 1 4316 2026 2 6909 1234 14 8269 919 1 10808 1239 12 10579 7730 1 13461 532 2 3718 215 1 12487 534 2 2928 222 2 11877 1252 1 15561 5260 1 3663 7814 1 4687 449 6 9835 1907 2 3703 2646 1 174 7957 1 3910 184 1 19879 171 2 20085 2250 3 7528 1657 1 16689 4250 1 5452 5121 2 4414 5026 24 6854 1739 4 13906 508 1 1711 763 6 16368 1747 2 12704 6053 7 14054 1252 1 5294 411 2 12520 8083 1 17450 6772 3 12800 2881 1 11562 2707 2 684 1342 1 18431 4623 1 19272 2342 3 8190 1775 3 9394 4967 1 10584 4244 5 14019 792 1 15194 5261 2 11320 2057 2 9306 1119 3 18866 231 6 13358 910 4 14287 7486 1 3296 6484 2 5950 4499 1 576 1247 2 15159 2894 1 10591 880 1 3607 4112 2 3606 156 2 9097 5768 9 3785 4639 2 11757 6031 1 10047 1244 2 20245 3511 2 11131 4618 1 17947 471 1 8892 6705 5 1176 1307 1 20 229 2 15576 6383 2 1 102 1 18376 7695 1 10573 6677 4 9181 1698 1 19727 7989 1 14462 4455 1 242 200 20 4250 5468 1 15974 4435 6 6568 3068 1 15339 222 1 442 2827 1 15479 1689 10 5431 520 1 15762 2013 1 9249 4075 1 9133 1342 2 3646 3831 1 20 1289 1 2261 3855 1 12205 215 4 5692 1769 3 14549 1365 3 2477 2793 1 11180 225 2 17983 206 1 10203 1663 2 12892 6415 1 6322 1781 3 1218 3012 2 7931 6280 2 17652 1380 7 5763 4014 4 15126 7570 1 19671 2721 1 9778 761 1 9960 5971 1 10276 1325 1 14525 470 2 9364 4252 4 4387 1764 3 11016 3405 5 10946 3337 1 5401 4029 3 9051 2710 3 822 478 1 13928 787 1 13461 1756 1 5849 541 1 19331 1703 1 11928 5446 2 20145 225 1 13986 441 1 3094 2636 1 15756 339 3 5964 3372 1 15885 1582 1 4267 1901 1 18909 203 1 4020 501 1 1993 5332 1 17823 4185 1 18374 805 1 15067 3202 11 20016 495 2 20114 5480 1 16150 3114 1 18237 1464 5 3817 1721 1 11957 7477 5 1864 4868 1 8608 215 7 10312 3353 5 5213 525 2 14292 201 1 16354 1788 2 17049 4342 1 4547 1737 1 14353 6337 2 12806 6011 1 4635 1781 1 8545 2609 1 7643 3661 1 13574 525 3 988 219 2 954 4710 1 9061 5258 14 1608 7077 1 1002 508 1 16339 7455 2 26 1542 3 8793 186 3 4527 7599 2 14765 7847 1 14301 554 5 2087 4653 3 17120 1464 2 10225 1757 1 5866 5940 4 3037 1788 1 39 2049 2 6869 2261 2 5358 4580 2 7527 1979 1 8082 846 1 8367 1551 4 14453 4649 2 4796 6487 2 10278 7047 3 5421 2853 1 6263 1747 2 1206 6051 1 11388 1399 1 12378 3593 1 12279 3476 1 12485 6600 4 11755 876 1 19649 4029 5 10747 2254 1 149 6741 46 13 775 1 14753 5290 1 17103 1342 2 6522 207 3 1121 4937 2 7000 1112 1 11523 235 2 7357 4059 1 9258 1523 1 10146 1695 1 658 1988 5 13066 1339 1 10973 6897 2 153 6957 1 13380 2918 1 17724 1740 1 12922 4499 2 2886 2069 2 17731 3058 1 16886 5499 1 906 2111 1 11934 7494 13 415 57 6 19360 1729 2 1289 3868 1 10847 3821 2 4141 1734 3 19920 1995 1 16405 3913 2 12866 219 3 19399 201 1 6524 4929 1 1 91 1 8117 2980 1 6719 6342 41 14162 3074 1 16130 381 2 6989 810 4 1793 1729 5 11377 2836 1 6144 61 1 12040 1235 1 1631 2065 2 19924 5353 1 5677 937 1 18326 1416 4 9288 4264 2 13730 4059 1 9321 3969 5 10111 6164 2 4092 519 3 684 223 4 6989 929 1 6518 690 1 11160 1356 1 1125 2367 1 11166 5565 5 19137 840 19 8021 4933 7 16825 4385 1 18119 1416 1 20007 3578 8 4910 164 10 19460 3263 1 2441 8171 3 12133 5496 1 6245 1235 1 11435 3900 1 18921 663 3 20012 1245 2 3725 347 5 11992 3798 1 10078 536 2 8812 3747 1 14964 536 1 715 4126 1 15778 1798 4 17615 253 2 6473 521 1 15632 201 1 4057 669 1 16259 1363 1 11547 3449 4 11753 2633 1 2585 2675 2 18585 6400 1 20275 6764 1 10222 7456 1 16645 1825 4 18116 2937 1 17152 1686 1 14688 6080 1 20180 5296 2 9173 2918 1 445 6363 6 19614 2601 7 1683 8059 1 17954 2509 1 314 508 3 19368 1101 16 17661 23 2 3296 10 2 7754 6007 3 18988 1986 1 3201 235 1 4622 1201 1 127 5759 1 7533 1328 3 8908 203 1 18625 2560 3 7235 348 1 7431 7223 1 3187 1789 3 10290 520 1 6259 3637 3 11502 221 1 12817 2014 1 108 4902 1 19649 84 1 2826 236 1 14645 4243 2 18818 6031 1 3235 382 3 18103 13 1 19026 6279 1 1539 2363 1 364 1484 1 783 13 1 4662 303 14 13490 427 1 14375 867 3 863 316 2 7520 203 1 18467 6220 1 14330 2438 1 11504 4086 1 17018 1700 5 8129 148 1 6848 2727 1 9859 3327 5 7817 786 1 11295 2369 1 2288 498 4 4778 75 2 3822 23 3 18391 4803 6 16554 227 1 5980 207 1 19545 945 9 6500 1775 32 15909 1109 3 9535 1695 1 13587 4107 1 19755 4618 1 873 8031 1 15722 190 1 9869 965 2 18086 5325 1 13338 1727 5 9104 2261 1 10786 447 1 18071 7905 1 7148 7509 4 13120 7952 1 12826 644 1 8597 2710 1 745 612 1 8833 5365 3 3963 3578 4 7570 197 3 15854 952 1 13735 203 10 6690 7005 5 11566 6124 1 14899 1062 6 18520 1505 1 15376 4245 8 4539 525 1 18587 7461 81 4036 682 1 15082 6085 7 8953 1151 2 11271 471 1 6063 2735 1 863 6968 5 9720 4171 1 17273 3851 11 6007 201 1 13117 5151 2 6152 3298 1 6218 5451 1 15567 1632 2 6966 215 4 11622 554 5 19494 3090 5 15091 5341 4 658 3666 1 8147 1743 1 10879 1721 1 4452 65 1 13997 2516 1 2046 1794 2 1761 6897 1 10234 8178 3 4679 203 1 7685 7750 1 19355 441 1 2291 409 1 6907 943 1 15307 4085 1 15481 225 1 5244 1620 1 5542 1153 11 16290 5794 1 17317 3309 1 17021 2114 2 3803 215 1 14476 200 1 12322 1649 1 11317 7602 1 14696 1695 1 16070 1241 2 17634 7492 2 19679 1729 1 7652 302 8 7398 6414 2 13323 709 1 14162 628 4 17257 4591 1 1065 3511 3 8426 2017 3 17088 1789 5 3481 1762 4 3580 3980 1 8762 1997 1 14721 5207 1 12685 4276 1 171 7795 1 8665 5003 1 19147 1482 1 9985 889 1 14289 4230 8 15230 1703 7 10703 2013 7 8318 6670 3 1488 5119 1 7463 2004 2 11747 3425 3 19144 303 5 4308 7386 1 5946 3690 1 11768 220 2 3826 625 1 13494 3255 1 6681 6007 2 8887 2016 1 2262 3803 2 13402 355 1 17257 4435 6 18459 220 2 8088 4912 2 15507 196 10 6940 2831 1 12489 6583 1 8174 758 1 13905 1247 10 1468 236 1 7536 1722 1 9012 6561 2 14685 1752 2 5908 2676 1 13328 5479 10 15096 1825 10 17476 1814 9 8735 4413 3 18593 2261 8 16832 370 1 6015 1819 1 12184 212 2 17642 3477 1 11987 2106 10 4539 502 20 19123 4605 1 17224 4636 5 11585 7229 1 17269 148 1 19000 2131 1 17331 2352 1 12675 208 1 16345 2677 1 6269 5922 5 351 425 2 12984 1778 1 4132 219 1 7938 1649 2 1059 6775 1 17034 4296 1 845 1747 2 4018 4601 2 899 723 2 19115 1686 11 4512 1122 1 17771 7531 1 11250 5758 1 18548 367 1 8829 3586 1 10692 635 1 3327 237 1 16890 7986 1 12766 794 1 12406 220 1 18286 6598 1 19917 158 1 110 4999 1 1002 1814 3 4545 7681 2 12109 4692 1 18754 5286 1 9396 3901 1 6504 7229 1 13728 2057 1 3005 318 2 3620 2689 4 20138 6683 13 186 7820 1 10391 625 1 4488 943 1 6338 5313 4 5954 7600 1 13601 1727 1 8438 3367 1 8594 5538 1 7096 207 1 1705 957 1 9056 5814 1 5744 1275 1 12467 4435 27 14837 224 3 15220 6480 1 11764 1572 3 18705 1756 2 8832 5305 1 10948 6526 1 10381 1731 1 19633 2626 2 6448 1905 2 388 5328 3 12439 6435 5 1009 3854 1 8599 1748 14 8310 215 1 17223 6716 1 11080 1761 8 2027 223 2 7058 792 1 7651 3059 2 19246 196 5 15970 4587 1 2345 8002 9 4804 5258 1 16699 4780 5 173 1751 5 15206 1296 7 3170 341 1 3358 186 1 7099 203 1 745 746 1 14686 4669 4 8969 1719 1 13925 4563 1 19820 3578 1 5477 3840 53 8381 470 1 15160 173 3 10579 2132 1 15220 1819 1 5281 6434 2 739 1251 3 15409 4877 1 8394 1067 1 1 67 1 6343 1121 4 19731 236 1 4716 3649 1 14610 3070 2 15964 1345 1 3472 1239 2 11028 1685 2 12159 4944 1 4231 2929 2 17505 2542 4 171 7706 1 11874 7244 2 1911 5963 7 8643 893 1 17688 3117 2 10644 1252 1 8425 6736 7 19332 1732 6 7778 220 2 6681 4314 1 4382 8167 1 11870 4404 1 12414 2737 9 5684 3408 1 1412 5992 1 65 1482 2 3702 6013 1 18124 1863 1 2458 3410 1 6113 509 1 2520 679 2 130 5989 1 12789 844 2 9568 5604 2 286 7530 1 7463 5305 1 5326 232 1 1756 1302 1 9314 2899 2 14607 1290 1 16468 6925 1 20025 200 1 18791 1251 3 4023 1991 1 325 1727 1 19590 541 1 10575 835 1 11262 270 8 1172 876 1 8082 362 1 16698 127 1 19193 4436 5 13462 52 2 3073 6170 8 7977 219 2 8188 5447 1 8203 223 2 13675 554 1 15754 1714 2 5170 297 1 2678 3412 3 5884 1775 1 6069 347 6 15468 514 4 18230 3483 30 14758 5294 2 15833 6415 4 14193 2993 1 6369 514 1 9542 526 1 9981 5325 3 18070 201 6 9809 4948 8 9929 8141 2 16002 787 1 19272 4822 3 19780 338 3 17505 4379 1 16059 532 6 2447 8168 1 19702 207 1 13857 5568 1 20090 2507 1 16695 7127 1 6556 202 1 19039 1663 4 799 7475 1 6023 3010 9 2055 6435 1 723 2488 1 16515 319 1 17843 367 1 124 5394 2 4572 6568 7 9445 4038 1 19664 1727 7 4089 1320 1 337 6031 1 6466 244 1 7184 219 1 4009 303 1 1713 6408 1 18076 617 1 7091 1688 1 14134 7401 1 15502 3276 4 3407 4601 5 6834 197 3 11392 698 1 17809 512 3 17416 5266 1 13636 1726 7 8904 5730 7 9483 1464 2 2884 3239 1 11993 952 1 5384 7719 1 3940 957 6 19608 1799 2 15681 4470 2 11323 3518 1 17803 5673 2 8608 1344 1 5378 3228 5 8280 1245 7 35 1947 1 15995 1464 4 19115 5051 11 8961 525 8 91 4095 1 679 7632 2 12037 714 1 3763 867 22 7686 561 5 2385 3945 2 15400 1164 1 2990 7953 4 11346 382 4 14702 3869 1 4569 2737 2 535 1812 5 3310 442 1 5452 4609 22 2633 3972 1 11657 5390 2 2587 3422 1 19865 652 1 13277 5043 10 2885 3872 1 10948 2993 1 19302 201 1 7065 3525 1 12320 1259 1 10351 3618 3 4321 6268 3 15992 679 6 392 3706 3 782 2831 1 13254 5933 1 2013 2120 1 6687 2511 1 13266 6346 3 2072 2118 1 143 6568 1 8272 6278 10 2116 219 6 10188 883 1 10382 1172 1 6403 7681 1 9535 219 1 15143 225 1 20057 1752 2 6089 6091 1 20190 6396 1 6236 3079 1 9405 89 1 17521 867 2 10383 2019 2 18520 4706 3 10267 225 1 6713 5394 8 19344 1388 3 717 501 1 9367 4195 1 4009 5791 3 12465 5031 5 4236 1955 3 85 3890 5 15481 532 1 7034 1390 1 7555 4839 1 679 4314 1 15339 214 1 4644 1758 1 1928 3613 6 5837 3697 3 711 3669 1 126 5610 1 14266 3425 4 3310 385 3 14900 4029 1 15269 1321 4 17789 1825 5 13402 312 1 6396 200 2 11928 520 1 6348 926 1 3064 3298 1 10692 584 1 11313 3482 1 10061 152 13 1774 2534 1 5051 6039 2 49 2487 1 15618 3557 1 8547 4708 1 2647 541 1 65 3112 6 11112 6200 30 758 502 1 3960 2626 4 7981 3748 7 11388 3193 2 15547 3651 2 11999 219 1 7950 303 1 14051 7266 2 17977 520 3 18517 47 1 19833 2495 1 15704 200 1 14773 1827 25 13599 5265 5 8920 3957 1 12271 897 2 8597 1110 1 11066 1782 9 8687 5491 2 11755 1380 1 386 4613 1 14233 165 2 12283 524 1 19319 1732 1 9628 956 1 15432 5263 1 5941 5288 2 6051 7073 3 7445 541 5 10880 229 2 12481 201 1 8532 2356 4 10391 2661 2 17825 1296 1 16090 6162 1 19204 207 1 2140 1967 1 4246 23 1 3059 597 2 2261 5004 1 18593 2727 2 12766 606 1 1349 2331 1 6207 234 2 8061 3167 1 13441 6085 2 1529 3511 5 19871 410 1 887 5905 1 9285 1497 1 108 4909 1 10579 219 1 8528 1243 1 7587 6644 1 159 7227 3 11086 1710 1 13018 3923 3 3700 3433 1 10856 834 2 9525 1819 3 13148 1717 1 13857 219 1 17453 6341 2 17146 2591 1 16063 318 2 32 1793 4 8528 1768 1 12521 627 1 4020 5350 28 11629 1147 1 13716 6150 3 19336 4122 1 15910 2540 6 2798 4516 1 391 1529 7 3255 229 5 4427 3242 3 4688 712 1 127 573 1 3108 5035 3 18920 1249 1 18104 2718 1 19030 1827 5 14710 761 1 4511 4613 1 18806 8013 5 3442 5319 96 8443 7692 2 10226 2541 2 18797 2727 1 4181 1311 1 16087 2969 1 5952 3563 5 15667 207 2 13185 207 23 16270 599 1 5341 7570 1 15191 3980 7 215 7506 7 9598 3512 1 5847 470 1 10482 2952 1 17943 2686 8 21 1396 1 15307 6674 1 17 1147 2 11204 200 2 3149 2737 20 4922 220 1 19006 6673 1 9341 1190 1 19360 3519 1 15144 403 6 70 3292 1 5281 1295 13 19774 402 2 15155 1303 1 19246 1171 1 862 4534 4 3505 184 1 6781 5105 5 9520 362 1 17722 593 1 13608 1209 1 3560 5064 1 17935 292 3 5720 2087 1 17969 7439 1 7652 3487 8 10442 957 1 13225 4993 1 13262 929 1 16877 5071 1 11267 4204 1 11317 510 2 7211 5740 1 7056 2001 1 11955 5878 6 7610 690 1 6609 1883 2 19625 23 1 12745 6442 17 3561 512 3 9063 6633 1 8322 2027 10 13705 244 6 6183 1450 1 8735 3056 6 4763 2151 1 17172 5281 1 10479 1464 1 56 2668 1 14339 3570 2 9097 1154 35 8628 6082 7 20032 721 1 17736 2089 2 13920 197 1 3408 1357 1 16468 3705 6 9477 2860 1 3315 589 1 6892 853 1 1214 418 1 19286 203 1 306 7477 1 19866 1818 11 7405 7410 4 10999 6383 1 9166 175 5 8419 1464 1 19182 6062 1 12777 2636 1 1528 3056 5 10312 3227 1 18069 227 1 13574 1380 1 160 7337 1 2492 5971 11 8196 1704 1 4468 200 219 2640 2419 1 4389 232 1 10565 590 1 346 23 3 11758 4097 1 10613 4012 1 14400 910 1 19134 1672 1 6682 2357 1 64 1706 5 18760 1190 1 19759 5961 1 17385 6716 7 17953 231 9 10898 2290 1 8438 4543 1 2442 1707 1 1865 4244 1 19944 1249 7 18866 5559 1 3215 5922 1 10238 718 5 1522 5104 15 11230 2431 1 6811 5066 1 16876 502 3 12947 232 1 9244 203 1 5132 6023 1 92 4133 6 1198 530 13 13082 2995 6 5139 2364 1 19910 1672 1 3458 4436 10 2325 222 1 17218 4435 5 14517 519 1 456 2534 2 19942 4403 2 10304 3163 1 20175 1244 8 94 4268 6 189 1380 1 17850 1322 1 17124 1482 3 15858 7719 9 16090 1685 1 13111 206 4 12713 1642 1 105 4685 1 12519 845 1 16089 514 1 17168 1236 3 2092 4963 3 9429 57 1 14522 853 2 9538 7679 1 13800 2503 1 14900 2626 1 14379 1455 3 6690 1729 2 7270 4241 1 124 230 1 9255 3556 1 17507 7614 2 3286 5783 1 14566 1338 1 5172 6241 1 17166 5520 1 14046 4038 1 6437 5561 1 18893 7090 1 17635 4589 1 9896 2817 3 2081 1707 1 4539 221 1 8639 6224 2 389 7870 2 20060 904 1 13902 753 1 7176 508 2 10010 4247 3 6089 2646 33 7999 3219 1 1861 214 2 9764 432 5 7800 2646 2 9603 2938 2 17803 1304 26 2346 207 1 10016 4761 4 635 2815 4 7509 225 4 13067 3146 1 6749 545 1 7026 2730 1 12345 7021 3 35 1954 7 15125 880 11 9055 7569 2 15454 1035 1 6089 8054 1 170 7596 9 18582 1241 2 19243 4623 1 835 232 1 8045 6806 6 17049 3973 3 4223 4998 2 17208 132 1 3516 3206 3 19499 1686 1 12679 1487 1 10688 905 1 13185 3742 1 2490 796 2 14998 1239 1 17578 1239 2 17913 8183 5 18508 1291 1 13587 1277 1 14333 3965 5 3031 7924 1 5785 303 1 12208 1395 1 7328 5844 1 812 7474 6 2304 2529 57 14236 1312 1 9187 3072 1 1145 2104 1 17084 223 2 124 5491 2 14218 531 18 62 3030 1 12236 1020 1 18557 1277 1 12740 16 26 16140 2515 1 6 186 13 8343 227 1 2090 867 2 10855 4011 6 4977 4956 24 3889 215 4 18781 4105 6 5533 8175 1 13219 6380 2 14758 2489 1 14800 5271 1 17809 532 4 18371 173 1 14826 336 8 17803 2056 13 12970 382 7 9404 1374 4 17992 1250 2 2807 1143 1 5517 6897 3 11968 8190 1 10714 713 1 5185 3973 1 14393 186 1 15502 4385 1 10190 5058 10 17340 4780 4 12501 232 1 9129 1464 3 2553 149 1 13646 508 2 12153 4293 1 17194 3526 5 2687 5390 2 5613 1116 1 9262 4877 1 17546 3916 3 696 6210 1 83 3719 1 7261 1250 2 4933 413 2 17277 517 1 15854 1374 2 9839 2555 1 15766 1395 4 11783 1784 1 17736 3540 1 2917 409 1 14914 3634 1 7522 1943 1 18705 220 2 18053 2661 1 19779 5703 1 1584 1503 17 2724 4698 1 11147 2296 1 18462 794 2 16914 790 1 10881 845 2 2663 23 5 14599 712 2 8586 925 1 4268 3778 4 44 2310 5 13352 316 1 8071 6753 5 7541 5105 7 13925 6442 2 7746 6589 1 12897 4252 1 4779 5460 2 14818 6532 4 6628 461 2 9911 1023 1 3419 2747 2 18376 2554 2 16955 7541 1 12208 8076 1 4662 3186 2 18679 5437 1 16140 1350 1 10353 1819 4 15628 3452 34 16481 6527 1 23 1440 2 4279 4307 1 4619 3298 1 17417 1686 1 12610 7011 1 20092 203 1 18066 7973 1 10864 1721 1 18459 4366 3 15365 864 1 599 8139 4 1846 852 1 61 2748 1 11145 2691 1 5906 2450 1 18000 411 5 4145 225 1 7017 74 8 20123 6875 1 9773 895 1 12731 2363 1 6773 6126 1 16030 6534 2 14565 1768 1 8039 6434 1 6299 1237 3 16063 5522 1 10938 3900 5 91 1019 1 15982 7601 9 4661 6330 2 11820 7101 1 6164 94 2 3755 1726 1 17850 1250 1 17589 717 1 5250 1747 1 12897 2342 1 8087 1238 1 15234 1284 1 5837 6714 2 16187 910 8 9749 4011 3 15329 665 2 18056 474 1 17550 4540 1 17249 6254 4 17878 3057 5 5766 303 1 1149 7018 4 15948 541 3 171 7658 1 15169 7503 3 19062 1321 3 7391 1260 1 11175 2675 1 3982 2416 1 2054 3464 3 1092 864 1 12231 2428 3 44 2316 9 11573 6677 1 9968 2673 1 14951 4029 8 9269 436 1 5734 3233 2 15192 732 1 3246 6535 1 144 6683 2 9435 201 8 1029 232 1 16147 502 1 12991 508 2 3806 3058 1 4005 336 5 19703 1242 2 20188 23 1 1635 5225 1 18209 6027 1 8152 222 1 9998 6259 1 17210 6733 1 6106 23 1 14447 3414 5 15189 253 5 1043 7769 5 13227 3621 1 2147 4549 2 9758 7792 2 19812 6218 1 910 2104 1 10485 219 1 8957 6621 1 6867 6890 1 7688 5853 3 12258 7535 2 17722 973 1 18126 201 1 9072 197 1 16635 876 1 2045 214 2 15103 1781 3 11349 1762 1 20180 673 1 13624 1730 5 6711 7928 12 15715 5488 1 1789 1772 1 9720 2552 1 6817 4363 2 11262 1703 4 17700 3904 3 18820 6806 1 16873 3426 1 5401 1819 1 17485 1691 1 5188 3620 1 3496 512 1 15993 329 4 9321 3928 1 17652 222 1 19163 2352 1 17747 3573 1 10462 46 5 14494 2675 10 933 244 2 18125 203 2 5453 2353 13 5208 1276 1 12367 1251 3 6070 6520 1 381 1535 1 2811 229 1 17757 2708 1 6656 5758 6 4701 556 1 16288 3180 1 18847 2849 1 20090 3827 1 9633 876 1 10171 3113 1 13960 200 5 582 848 1 140 6416 1 12190 1699 1 19764 1236 1 11170 201 3 8709 937 1 310 2556 1 4898 1245 3 127 574 1 10826 740 1 1228 196 1 5176 1764 1 19731 502 1 8287 1775 1 10934 5018 23 7701 496 1 11465 3919 1 6570 4034 1 1118 792 1 18059 4597 1 19034 4392 1 13227 207 1 4092 3911 1 3081 4296 5 10449 3539 1 13337 253 2 9628 791 1 19151 3316 4 16683 883 1 16695 1825 8 15599 1395 4 16060 1769 1 3397 2875 1 18122 1738 1 3118 6640 1 1554 519 2 12846 336 3 11695 7636 1 7287 219 7 7132 705 10 11863 6933 1 4128 6434 5 13829 1762 3 19246 2720 1 838 7414 1 1442 3338 5 11613 917 3 13699 8057 1 6388 8241 4 8201 219 6 9281 545 4 18637 1322 1 6020 1884 1 2853 7586 2 8083 7474 3 400 2138 1 6172 1946 3 3395 2771 1 7718 3408 1 6724 656 2 4569 4996 2 9834 7443 1 17377 8094 1 16990 229 9 9695 4042 10 11256 654 1 1276 1271 1 9609 1112 1 8129 777 3 17574 232 9 6867 720 1 951 1753 1 10049 532 6 17302 1242 1 17058 3001 1 14021 4314 5 2500 2650 2 12740 5172 2 19306 5657 1 159 7243 1 475 2126 1 5131 2980 7 14626 3600 2 20145 1236 1 13800 1548 13 13304 7670 1 13425 461 4 12392 2722 9 7253 3138 1 10599 1827 5 1957 809 6 16968 1638 2 10087 1757 1 18434 3913 1 6891 1825 7 16562 853 1 3054 4573 1 16360 1302 14 14603 5220 1 10000 4299 1 18544 221 8 8051 3851 1 17675 7439 1 14211 3233 1 12817 1146 3 397 194 1 252 2867 1 1498 5333 1 8763 5413 1 10584 1243 1 13410 3164 9 48 2409 2 4963 818 1 4913 7875 1 13829 1703 4 10409 3348 5 8027 476 1 4886 6252 1 19649 1760 4 11634 1686 19 14684 912 1 4195 190 1 10302 7018 1 13125 3216 1 16398 1774 1 3242 7237 2 124 3285 1 8789 251 2 15191 3881 13 19047 3909 5 1438 1453 1 91 4102 1 13084 1328 2 12412 2841 1 4425 2721 1 1171 1242 2 10504 5971 2 11533 5156 1 46 1731 1 4935 132 1 4349 1072 6 15148 2330 1 10225 4618 1 105 4734 1 17738 2338 6 5216 3834 1 489 2069 1 5766 1647 9 105 4693 1 5459 1226 16 20180 3731 1 535 7201 3 8082 379 1 13672 186 3 130 5922 1 10948 827 1 2709 306 1 11086 1747 1 8961 1748 3 15523 4800 6 10212 574 1 8709 5105 1 13601 6979 1 9901 5395 3 11844 7267 1 11276 745 14 2891 1253 1 7187 1416 2 572 566 1 3003 7400 7 3000 1374 2 11158 1151 1 3389 4494 2 6712 788 1 9346 1190 1 907 5162 1 65 3175 1 16076 1724 7 15847 1105 7 3562 1252 1 12337 1827 1 12071 221 1 11291 252 1 7086 7101 1 9628 690 1 5025 6868 1 6712 300 1 9865 1727 11 6163 206 2 5244 36 1 12619 5252 3 13432 1593 1 17643 3021 4 14218 3477 20 7476 779 1 4609 3694 2 2748 6526 6 2045 221 1 7817 5445 1 9817 10 6 4921 1256 2 11473 6897 5 11158 1153 1 1756 203 2 20149 1638 1 6644 1383 1 10034 6352 1 5734 3298 2 16244 1946 5 2357 7537 1 12455 6152 2 1433 2889 2 8 235 3 11104 201 1 13155 8194 1 11367 232 1 916 3913 1 13907 1418 1 5775 1296 1 13758 3198 1 3371 641 1 534 4567 1 6711 1827 1 8776 2699 1 9635 36 1 1867 6122 1 16704 6524 4 7574 236 2 812 8050 6 9511 4769 1 19082 6252 1 10850 4903 1 12858 6591 2 15065 220 1 4490 197 1 10813 2250 1 2805 6756 1 4449 6856 1 11141 1417 1 19360 2353 2 9043 713 1 17486 409 10 14842 6713 1 10372 545 3 14615 1772 4 19180 5737 1 18232 536 8 5959 1776 1 4850 5523 4 462 222 1 18633 2380 2 2910 52 2 16137 7379 1 4337 863 1 11687 1967 7 18122 6634 3 16016 4199 1 14773 8194 1 11591 221 5 5624 4595 2 4346 6341 1 8987 3992 1 12142 1338 3 6840 2915 1 4259 8183 1 10595 1738 17 1625 3040 1 15314 4628 1 11342 7187 1 17470 6064 6 13015 883 15 2985 5140 1 13014 3425 2 18615 509 43 11049 3515 1 9753 573 1 14646 1215 5 1631 449 3 15536 221 1 3547 23 1 15883 7404 1 15687 234 1 14025 716 5 5111 1721 1 62 2854 1 1711 865 1 10999 1146 2 7019 150 6 8966 1736 1 5855 1819 1 6773 6263 1 14907 201 1 2907 5222 1 15712 520 9 4872 1775 31 18132 358 1 1135 6342 5 7990 8051 1 19140 5522 1 944 2729 1 13114 1244 2 5778 1755 1 1513 367 1 4593 914 1 6733 2080 1 16976 1728 9 7965 514 42 6503 870 4 6183 1756 2 19968 3872 1 5390 6297 1 9616 867 1 8620 5561 1 3537 3852 1 2800 1474 1 3530 3479 5 4382 1235 2 17705 541 1 9722 532 4 3323 7857 1 15820 6283 1 19549 6397 1 3590 8194 2 12919 6541 1 4599 1819 1 7769 498 1 8036 6481 3 18692 1720 7 12826 6959 2 7719 7580 1 10764 2109 1 2962 8026 1 15248 2403 1 5884 2355 2 14955 7598 1 8965 3422 1 143 6599 2 2192 4184 2 9760 1772 2 13187 520 1 17224 1363 1 20136 3462 1 1430 5934 1 236 1564 5 7999 385 1 2693 1776 2 16794 336 1 8658 1752 1 10247 1996 2 11411 1374 1 13570 548 3 1672 201 2 18478 379 1 3243 2427 1 2328 3877 2 12856 903 5 16772 1246 3 1584 200 3 4926 8139 1 10404 742 3 15472 7474 1 10286 506 1 3651 5425 1 3029 1450 1 18939 23 4 7097 1825 5 1065 3477 1 9402 1732 1 4092 5409 1 170 7598 6 10274 7259 1 1825 4011 1 18462 141 1 20 1271 1 13711 6414 2 12493 1295 1 6913 3032 1 16869 5137 10 11951 1248 3 6509 6544 1 14748 386 5 9413 6259 1 11124 8167 4 2419 5137 9 13839 868 1 8294 4202 1 10452 629 3 3310 458 2 8053 642 1 9952 4933 3 18040 6427 1 2537 6502 1 15117 2155 1 10881 706 2 10078 3485 1 16222 853 1 11591 1395 1 3035 7255 1 171 7725 1 7856 725 1 14662 3020 2 16002 925 1 9538 4369 1 15220 2056 1 5246 230 4 18425 5086 1 17747 6091 1 19538 4631 1 3161 2331 1 18320 6500 3 11163 5522 1 9535 1772 1 9113 1658 1 8744 1253 1 16320 2000 1 8110 4029 3 18499 2795 1 3085 4203 2 10837 201 11 13626 1866 3 4106 1283 1 15498 5071 3 671 7719 1 19574 1745 1 9660 205 3 20256 2522 1 10426 1760 2 17827 231 1 8147 6169 1 9069 1464 1 10966 132 1 455 6580 1 3855 1244 3 18286 1314 3 12864 4969 1 4963 4403 2 15041 1772 1 5503 535 1 14244 2572 2 9626 314 1 18963 7877 1 2857 1208 1 95 4343 1 20063 853 1 8092 5234 1 4811 489 1 17331 1698 1 15879 222 3 14780 1235 1 19568 1737 1 9947 5737 4 17606 505 1 1498 652 2 923 879 1 20227 5820 1 12846 3197 1 13398 3477 2 9718 7313 1 17011 1748 1 14005 6599 1 12220 203 3 13335 7178 5 16060 207 1 314 5016 1 8320 4369 1 10730 3167 1 12280 2173 2 3491 3206 1 18089 2424 1 17638 855 1 2956 1891 1 6813 6778 2 19322 1249 2 6977 7847 2 6332 570 2 6089 5897 23 17300 2392 1 12820 2503 1 1801 2010 1 11440 1928 2 1519 3518 4 13103 532 5 15568 2438 1 9264 5355 1 4385 957 2 4524 207 1 9641 609 1 18410 504 37 6305 2708 19 6911 1727 1 6925 1249 2 19975 214 1 16197 2056 1 7147 6687 5 13653 1454 1 19133 7520 1 13653 924 1 19822 5302 3 13775 4436 1 9401 518 5 9935 1307 1 5591 5483 1 16355 2114 1 1654 5115 3 19966 1631 1 10057 3602 35 17960 4312 6 4480 2992 1 18500 225 1 19547 201 2 6470 197 1 15320 6299 1 17938 215 4 16643 953 1 14722 723 4 7022 5447 1 13490 366 1 4023 6397 1 3552 203 20 1466 225 2 5795 1903 1 1789 3391 1 6919 838 1 18922 4951 1 6228 348 1 2643 3939 1 5977 1363 1 10194 4614 2 13801 1819 1 6839 5018 11 8486 8194 2 6005 1603 3 5264 509 57 6365 1929 7 15333 1686 4 745 884 1 11758 7274 6 18886 6524 2 5932 173 2 20062 3888 1 9478 5083 3 745 1761 1 9921 5418 1 9568 5016 12 8890 3932 1 2426 225 1 5540 197 1 18004 8203 1 10322 1743 8 7007 516 1 5023 8091 1 3596 1251 1 11708 225 1 1073 4489 1 2724 2246 1 4720 2739 1 15318 1747 7 10883 4930 1 6576 8040 1 7535 3087 12 15110 7294 10 12727 6229 1 11663 921 2 9300 1762 1 13171 4203 1 15963 3370 2 5877 1760 13 10110 6954 1 12975 5018 1 1474 1778 11 904 199 1 8656 5332 2 7659 5905 5 3285 3228 1 1733 1244 6 388 1431 6 16090 162 1 6622 1321 1 3283 1760 2 18691 5018 1 8353 1819 1 17954 1363 1 5424 4107 3 17999 219 8 1176 3970 1 13097 221 1 13135 3511 1 15202 810 1 12404 4342 1 4796 5830 18 9546 658 1 10826 3705 4 11689 4589 5 8585 2645 1 140 6464 1 19975 3320 1 3137 6414 1 19494 1417 1 17953 82 7 14755 6434 3 4822 1775 4 100 4546 6 460 501 1 20222 2229 1 15943 2831 1 19695 200 2 416 1454 8 992 1363 1 16016 5903 1 13821 196 38 15687 5011 1 8624 2653 4 11399 5905 1 15068 1788 1 8013 1250 1 18040 5005 1 16575 2897 4 6320 6363 4 16887 5254 1 14055 3643 3 10692 650 1 18204 1345 2 9601 219 1 18259 6368 5 5287 6422 1 10014 3896 15 5216 6480 1 1267 1758 1 12259 848 1 4218 2600 10 1853 3570 1 19331 1825 12 73 3407 2 16087 4022 1 4092 579 2 8943 2552 1 12152 1664 1 1253 7461 3 10741 1247 3 6591 5826 1 4268 5260 3 159 7235 1 9463 695 1 20060 5018 1 10716 4029 1 16019 235 3 9432 2936 1 9349 4726 2 10462 325 1 19069 1369 2 17454 3393 1 6533 4324 1 7639 2675 1 18144 1146 2 18651 173 2 4190 3460 7 100 4497 1 4793 3233 1 6189 2496 1 12503 6415 1 2604 6152 3 2304 2344 1 4055 5251 2 11968 1356 1 13101 2699 1 12343 2746 1 8443 496 2 6832 1738 5 11772 46 2 9038 3866 2 6503 749 3 8643 712 1 14278 3578 2 14060 5108 2 19391 327 1 2762 6152 5 13066 8139 1 11346 716 1 13253 7582 1 12464 7850 6 9935 1764 1 13346 1734 2 6790 3494 2 5280 916 1 5612 327 1 4701 4128 1 8375 4686 1 17052 749 5 5854 5349 3 7799 1304 1 17960 2801 1 15695 2496 1 4020 2632 4 16827 225 2 6105 6059 1 7127 2356 6 83 3866 1 818 718 1 979 191 16 105 4691 1 17001 1339 2 12269 5574 1 5084 3206 1 17246 2935 5 8925 6801 1 19952 3070 2 14629 4384 1 15676 229 2 13737 1085 1 12070 5004 1 19822 3945 1 1839 7951 1 10783 1665 2 13406 1052 2 6695 3247 1 712 2678 1 18976 3591 2 14618 23 1 18079 1783 1 10728 2008 5 19527 600 1 10621 201 3 5511 4307 10 322 506 3 16048 2748 1 5077 2853 1 9187 867 3 201 6179 1 3499 1342 3 7000 383 1 11798 952 1 7235 1887 2 10179 3552 1 7373 2669 1 4880 367 3 11515 4974 1 6488 514 2 10528 5341 1 5100 3972 1 9443 6507 3 10554 898 1 8493 4245 1 2207 6334 1 16207 536 1 6828 2600 1 3012 616 1 9195 7599 1 8860 552 2 15932 1256 5 4374 4615 1 4459 5673 1 7785 2792 1 13126 3661 1 18383 212 3 13554 5362 5 3178 370 1 10710 1822 1 3008 2488 1 17978 2173 2 5993 5408 1 13640 1734 6 15874 197 2 413 34 1 19975 4640 3 3461 7815 17 20163 394 1 6460 1247 1 4255 7701 1 9208 2292 1 49 2469 1 12067 944 19 1933 2885 1 8921 411 32 4720 2292 1 11353 6756 1 8321 719 1 85 3898 2 1176 489 1 9815 2385 4 1465 4413 1 18122 470 1 4961 6884 5 8177 888 29 7098 2523 2 3267 2927 1 4860 5326 7 10107 15 1 17184 867 1 13132 900 1 4345 6031 1 10590 2845 1 4459 57 2 11287 380 1 5929 574 1 17764 225 1 6527 4502 1 716 215 5 2016 156 5 1558 2653 4 13222 3954 1 14290 793 1 18750 4225 1 1906 3718 1 16504 8200 1 2031 6140 1 19070 3242 1 10816 4643 138 4068 1241 1 12337 5031 1 6558 1184 1 10456 4540 48 3815 1696 3 5104 608 1 232 1244 5 8695 201 1 16664 3083 3 16924 7809 2 3730 2555 5 15499 502 9 9906 7410 3 10703 7212 4 4095 23 1 3427 4397 1 14819 1783 2 19027 207 1 10573 5538 5 1625 3715 1 4462 2269 8 16094 867 8 15374 1464 2 6333 6139 1 7449 536 2 5872 4107 1 4387 1334 1 4868 3556 17 12797 5687 7 19990 525 2 14055 2675 2 8939 1334 1 12281 976 17 847 7642 1 19714 1019 1 7560 236 1 1937 8039 1 20191 709 2 12521 3557 1 4092 834 1 5237 4803 1 15669 779 2 6144 5251 1 13347 525 2 14145 7711 1 18089 1235 3 15202 557 1 7040 5255 2 13363 712 1 2891 1771 1 19219 6252 2 7786 7930 5 11773 385 1 14559 3877 1 14632 6088 2 12071 5844 1 18289 1713 15 6524 1776 1 73 3397 1 15614 303 1 19604 7180 1 13874 1296 2 14701 4366 5 17220 6677 1 3793 3466 1 12977 495 3 17379 1251 1 19590 5018 1 11131 4924 2 1662 7609 1 17392 74 2 3442 5685 1 11786 5740 2 12125 8096 1 7750 496 1 6646 2531 1 2735 514 3 6597 3800 2 11766 5052 1 3012 148 1 5385 4284 2 7962 7859 1 13743 219 1 12988 214 2 14276 641 1 11008 5814 3 6163 2897 1 4850 6757 4 18019 3516 8 5626 2522 1 7312 214 4 4903 3021 1 11786 960 1 11212 1251 3 5383 5120 3 13582 1518 1 19163 207 9 19227 66 6 4061 2068 1 9014 1146 1 5738 205 1 11398 7259 1 13252 3816 4 9287 2656 1 7173 1482 3 7044 6949 1 17424 1724 1 19448 1383 1 1847 5320 2 16664 1783 3 15800 7986 1 681 1807 1 1173 441 1 2121 5018 1 16283 3869 2 16408 1512 1 2710 1239 1 14910 2727 1 14072 2103 20 18799 506 1 14899 3573 3 12375 893 1 4145 221 1 18139 8245 1 9776 762 1 11008 1827 1 7718 1395 1 5505 3625 1 9027 4144 2 18761 5817 3 18902 4233 1 17973 5425 8 4024 4979 1 16625 2354 1 8367 1582 4 4607 7734 1 15826 1751 4 13995 8121 13 7652 6983 2 4716 1726 2 164 4945 1 4163 5781 1 9572 7913 1 863 5260 2 5318 6031 1 17418 1797 3 1646 1407 31 10676 2114 1 4870 3477 24 5457 1126 1 4038 2878 1 7820 4366 5 14048 1701 2 5999 6428 2 16491 3408 1 8934 6949 2 10067 2550 3 12501 1729 1 8969 173 1 5666 941 1 5652 3556 3 12796 7094 1 19252 621 3 19410 1245 1 6508 5502 15 14191 864 3 12693 3135 1 14635 6163 1 2907 3371 2 4018 1615 1 18862 2955 1 11730 2626 5 17866 1824 1 2653 3540 1 1781 2013 1 4282 2003 1 11836 7719 1 18703 203 15 2185 203 2 5696 6057 1 835 3511 1 8506 4807 1 10145 2854 2 3439 200 1 19563 89 1 4868 7692 1 19990 173 1 7956 7955 1 15009 2021 4 13624 8194 1 11296 301 1 15108 7108 1 8723 3065 1 10203 1664 5 8331 7466 2 14335 6777 1 8343 5466 1 16078 6606 1 9322 654 1 17682 1242 2 1027 1249 7 6809 1251 9 4620 1312 1 13653 5979 1 10966 1358 1 18936 1252 1 15061 4069 1 11248 768 1 17870 5513 1 17302 1867 7 1125 1239 1 3485 1253 2 14685 7807 2 2985 653 6 20120 891 1 3820 1332 2 20123 6457 1 9542 534 1 12279 1363 2 19494 3697 2 5787 4065 2 10333 214 1 14790 1286 2 6364 891 1 15092 215 6 12224 200 1 18265 1260 3 5808 525 1 269 1772 1 5520 164 3 4498 3070 1 7184 1395 1 4307 883 1 16249 5379 1 10098 3011 1 10908 203 1 19779 3882 1 9604 169 1 12539 1250 1 18489 5016 1 3109 6161 1 5005 225 3 1028 5612 1 19626 6343 24 10497 232 4 7305 7270 1 14735 3315 1 7574 7222 1 5729 512 4 19337 3106 1 9816 4304 2 13223 1686 7 15364 7670 1 1690 1717 1 17755 3283 1 17392 8141 1 15262 2541 2 12668 6374 7 19431 1675 1 456 8184 1 10750 5325 8 1933 2126 3 18473 706 1 8982 6415 1 3668 696 9 19267 752 1 17098 46 1 14373 1727 1 5093 4187 1 19477 1871 1 17762 3022 1 1304 201 4 15871 727 1 10688 6488 1 9652 1360 1 11428 3892 1 6664 197 1 977 3426 1 16970 8026 1 6691 519 5 6004 6728 3 8771 2193 1 7452 1720 1 7868 5767 1 2103 7601 4 19568 2675 1 5571 1561 1 8340 639 1 9482 1718 1 6433 848 9 11806 1548 1 14692 6204 2 12893 1363 2 11929 4455 1 1786 1781 4 8690 2399 1 5113 4761 1 19996 624 1 8198 758 5 8510 350 1 3189 7474 5 2041 233 1 7251 7120 1 17748 718 1 5663 3367 1 6513 4435 6 1087 6754 1 5446 530 23 18259 776 1 19480 440 4 19026 23 3 17143 642 1 15412 910 1 153 6078 2 10322 1747 1 17463 23 1 109 4038 1 11478 4391 3 6164 412 1 6612 219 5 11845 1608 2 9444 2992 1 30 1688 2 6869 1731 2 8913 6534 2 16109 5408 6 8735 7683 2 7756 5401 1 9547 4621 1 2226 4807 3 16096 1471 2 12895 2534 26 722 1341 1 6191 3050 11 13266 827 2 19218 1537 1 10651 13 1 130 5808 1 10303 1416 1 2778 15 2 13520 1561 28 1035 2964 1 4305 3366 1 8290 1989 6 16886 861 4 4572 1251 3 1173 841 1 12307 3172 1 53 2562 1 14636 6189 1 4572 7091 4 14881 2147 2 135 6196 12 7309 1453 1 745 1714 1 9941 4779 2 1523 1990 1 8730 3547 1 13986 2795 1 6524 495 4 18183 5120 1 18348 1878 1 1900 502 1 16676 1737 1 19967 979 4 9567 6259 1 12755 230 2 6457 262 3 11134 4351 1 15948 1751 4 4933 1153 1 6146 1416 11 5213 84 1 5623 6576 2 8965 1275 1 1636 5529 7 1178 6585 1 14552 5018 1 18307 95 9 18608 4363 1 701 6706 3 4561 347 5 10234 1251 4 4811 5903 5 7179 751 1 10265 3666 3 16223 236 2 7312 509 6 1088 214 1 19493 3709 1 18530 225 6 3168 169 3 12755 843 4 13587 7525 1 10559 1342 1 7379 1819 1 9911 3595 1 17517 5468 1 17202 3900 1 19131 550 1 19267 766 1 7322 1245 3 7028 6793 1 12681 244 1 4716 1245 3 18078 2065 2 204 1021 1 6457 1967 1 1465 225 1 20158 1374 3 17314 303 14 7490 2863 1 13084 525 3 18069 474 1 14567 4073 1 17013 6793 1 18986 1117 10 6752 443 1 9245 318 2 10126 1245 1 19040 535 1 124 5432 1 5074 7470 1 14729 1357 2 14057 219 2 17284 2793 4 4661 3017 1 19636 2299 1 16330 5018 1 553 792 8 5100 6480 2 83 3698 1 10118 3637 1 18631 1466 2 8273 7714 4 11430 1714 1 17071 5730 7 18878 338 1 19404 6663 1 15807 6361 1 135 1946 1 15218 931 1 2643 7933 2 16779 13 1 2273 6164 4 19223 201 8 3853 7859 1 11752 1245 3 6737 177 1 15006 6374 9 7219 4473 1 3085 383 1 15351 3438 5 8435 624 7 19901 1719 1 18462 1333 2 15432 5281 1 11877 1695 1 9624 1705 1 317 656 1 1522 220 1 14051 7724 2 3419 2509 3 13947 5084 1 16456 793 1 17438 1263 1 3175 520 1 7452 6979 1 8597 1235 13 15429 3634 2 11626 2966 2 7575 1686 1 11611 3275 2 20068 4944 1 9445 1788 1 10843 1548 2 15367 1965 10 16816 7381 1 18197 7222 1 8721 3071 1 17869 203 1 8143 1618 28 62 2791 1 16689 4969 1 11121 136 1 10554 329 1 6497 2555 9 15681 5686 3 13980 952 1 16794 1688 7 14617 13 1 19862 1703 1 13014 5391 2 1507 214 1 11870 6275 1 19826 4665 6 9945 2980 1 12777 617 1 8693 3600 2 87 365 1 2284 3540 2 2389 3606 1 13512 190 1 5804 2450 1 440 2881 1 14617 1752 1 14657 4231 1 16977 219 3 1133 7389 2 7827 207 1 9589 4736 1 4764 1825 2 19730 3534 1 6000 6107 1 15676 4956 1 1636 1439 1 8970 6777 4 7309 1726 25 4749 2360 1 13106 2548 1 5695 4692 1 5318 6192 1 8424 498 4 6964 7427 7 12913 5768 1 2891 4245 5 19134 1656 1 13306 506 1 6519 5888 1 20120 7920 1 7817 861 3 10122 6341 1 153 6936 3 6829 6225 1 17670 3884 1 13062 3591 1 16924 912 3 48 2417 2 10138 1245 1 11371 7606 6 16090 1629 1 11968 1704 1 1825 6550 1 17287 3236 4 71 3322 2 10833 2749 7 3175 2415 1 14580 3065 3 17425 5004 1 19865 792 1 9206 3591 2 19662 1235 1 19351 5343 1 15025 6921 1 14515 214 1 5692 6250 1 17185 637 1 14301 2876 1 7498 3600 7 6326 225 2 2367 6231 1 5738 1249 6 3463 3081 6 9266 6183 5 15448 1482 1 6023 7201 1 6867 1396 1 8956 5156 10 12212 4505 1 19470 445 1 126 5693 1 8334 3069 1 18535 496 5 10833 3693 25 4879 196 1 6687 2508 1 379 336 1 15429 3352 1 11254 532 3 9986 1190 1 16984 129 1 4898 1508 7 13490 6690 1 7135 1756 1 2749 2280 1 11467 954 1 7344 6754 2 6983 3463 1 12298 6475 2 12371 4254 1 15908 4944 1 14553 757 1 9566 644 1 16183 23 18 3988 2395 1 177 8173 1 18096 5390 1 18116 1768 1 5509 7377 4 5208 1691 5 17803 233 12 218 499 1 18435 6460 1 16894 4890 2 992 84 1 15288 7012 1 4312 220 1 2020 6897 1 11907 1990 2 5574 1944 3 2672 1613 1 3940 7336 2 9211 5484 5 18246 2656 1 20029 5420 1 18524 3389 1 10290 1464 1 1289 6943 1 10123 8157 1 8191 3886 2 14481 6009 1 5983 1342 1 3921 7522 1 7507 1760 1 14219 4226 1 1214 244 2 20022 1819 1 5494 1643 1 11873 7232 2 2074 3588 1 12925 3278 2 183 2676 3 10044 2662 4 14184 1739 2 17783 4336 6 9886 7600 1 15193 2238 5 19857 392 1 151 6795 1 15184 7850 3 6841 6845 7 3268 1772 3 10570 206 1 14335 232 1 2138 1036 2 8394 1136 1 8656 4540 2 11598 4769 1 6314 3809 1 1801 5294 1 17236 3693 1 5204 5221 5 15310 5258 4 19742 4314 2 3009 1342 1 11 435 1 14601 2261 6 18631 1719 2 7034 3206 1 17850 7222 4 1098 3023 2 8017 7245 1 16436 1440 1 1706 3104 1 2985 804 1 15435 110 1 12371 2600 1 15015 5461 1 1522 2206 1 20082 5281 2 7186 1240 1 8384 215 1 19434 1404 1 18805 793 1 16408 7425 1 19152 897 2 8946 666 1 9412 329 1 15230 1729 10 8340 5565 1 11216 6390 1 7816 3556 1 6538 3170 1 1677 1824 1 4419 7255 22 15288 7074 1 4482 4262 1 6690 1819 2 16292 3698 1 7806 4242 1 13789 7530 2 15597 5807 2 15996 3492 1 15726 1781 16 3975 4868 6 7171 1304 1 15978 411 1 13815 221 9 11746 7231 5 3383 3813 5 14801 7915 7 4627 7673 1 11975 184 1 12078 7809 1 9891 1736 4 3396 221 1 17507 2855 1 19030 441 1 121 5321 2 1701 5758 5 7267 207 1 14685 4436 3 15939 639 2 4691 2727 1 18924 2013 1 14217 1368 1 17235 2510 1 6244 7477 1 11427 4710 1 4622 198 1 7452 850 1 1641 2029 10 15429 809 2 12826 3749 2 18039 810 1 8391 738 1 5675 1357 6 3301 3426 6 5205 2998 21 17960 201 4 891 7013 1 18523 235 5 12029 2831 4 10266 235 8 11384 6049 1 2367 1747 2 7554 5018 6 16862 7200 1 14266 497 1 5588 520 2 4736 2842 1 17951 3434 1 8003 519 1 14908 4107 1 16003 2169 1 19671 532 1 8051 7036 1 13461 1342 2 1605 3012 1 79 3535 1 15318 4773 1 15552 752 9 2998 341 1 17746 906 1 12695 5036 1 19057 8172 2 9686 2600 6 16444 1399 10 4796 5800 1 18608 6084 1 10663 514 1 12543 303 7 2619 3889 1 17578 3361 6 630 6507 1 4524 1244 1 9572 2737 2 11591 690 2 10391 5325 2 171 7789 3 4871 2407 1 1378 2610 5 17801 929 2 18728 3466 5 18866 3467 1 4519 8060 1 3255 221 1 10684 1736 2 16268 23 1 1719 2443 1 7582 5404 1 3082 214 7 5738 6029 1 20256 619 1 1711 823 1 10595 1789 3 13402 274 1 1108 6554 1 7152 2488 2 17118 5018 1 16548 374 4 5108 4036 1 5277 7534 4 19069 1718 2 10808 1109 1 48 2407 1 15788 252 1 3330 8183 1 6990 5837 3 9168 1757 1 13119 4702 5 18221 532 1 167 7572 1 18608 3972 1 6244 347 2 14988 2675 18 847 2344 1 11055 4246 1 11742 3375 2 1607 3988 1 11059 1244 1 2087 5673 1 7682 814 1 5821 554 2 7685 4476 7 14695 792 1 7703 2605 2 10781 3203 1 13089 201 1 16689 5820 1 9069 1407 5 11726 5768 1 11586 1275 1 4960 1769 1 6683 3522 1 3718 3526 4 6440 2572 1 8083 2981 5 14307 7689 1 5066 543 1 17327 7491 2 727 519 1 14297 3952 5 9007 4345 9 4393 244 1 17960 1295 1 16812 3770 2 16642 7181 16 12513 1819 1 14233 3957 3 6193 577 1 11444 1518 2 11998 6793 1 17011 910 3 13126 4686 2 19222 2241 9 10505 5440 1 17016 533 25 7387 3370 3 14439 4796 1 8989 2275 1 14758 3832 1 9427 1290 1 8850 1342 1 13322 6025 1 12044 2571 2 387 1301 1 314 1241 1 17001 1960 1 14053 1464 1 1083 1731 1 6012 3422 1 9809 7351 2 10219 946 7 19649 470 1 22 1413 1 11072 2964 2 11769 6775 2 4550 3693 1 10254 1342 3 13018 880 1 15705 4363 1 5103 2584 2 646 3364 2 19900 2799 1 13872 1761 1 9503 497 3 9966 8168 3 14354 1282 1 9238 1246 1 8079 7769 3 7487 6185 2 3397 2097 6 3121 4403 1 16600 616 1 17189 2362 4 8134 861 1 7651 7484 1 13988 3324 1 1089 222 1 454 959 1 11156 6162 5 16706 7814 1 73 3363 1 1046 6110 1 796 4940 13 1666 198 9 4170 1184 6 5954 8032 1 10933 1726 1 19022 1250 12 16488 1825 1 8192 5879 1 7469 212 6 9199 3888 1 8902 692 1 12603 3941 2 1065 339 2 10436 47 1 1653 1772 2 17308 470 1 3874 5408 1 968 232 13 15264 1277 2 16852 5269 3 8553 385 2 15172 1464 1 1568 534 6 15564 1691 1 6618 505 5 5299 3135 11 2087 753 5 11877 1239 1 1120 3602 2 222 2118 1 819 6128 1 15676 3645 2 16570 4321 1 4223 1244 1 16659 1404 6 17720 1399 1 12740 2591 1 15211 1703 1 13183 607 2 13689 7859 3 6614 3894 1 19533 1784 3 4688 6747 2 4880 3588 4 13403 3911 1 12283 1814 1 12322 501 2 16036 1881 10 7689 6813 1 10481 8117 2 5893 13 1 14218 6174 3 15888 2513 2 20258 512 1 20255 378 1 4993 2104 1 3781 229 2 10472 4557 1 18199 2718 1 16887 1137 1 1 7 2 1097 4944 2 9052 292 3 19273 3718 1 14010 7576 1 18197 1235 1 15787 3569 1 6999 1241 2 24 1450 5 20181 1621 1 5757 5935 11 5132 206 6 6473 6084 2 12361 6884 1 4163 1267 1 484 4252 1 10056 651 2 2813 2510 1 10862 1249 1 5095 6588 3 6158 221 8 14257 3540 5 871 4796 2 19822 130 4 8250 3263 3 10881 589 1 8663 397 5 4498 6053 1 914 743 1 15394 4403 3 7349 3742 1 9482 411 1 3668 403 2 727 5451 1 11471 1462 1 8061 1827 2 18183 1728 1 5851 6588 2 17682 1691 1 6716 1995 1 9911 4380 1 11733 818 2 8417 1829 1 5380 4411 2 259 5180 1 11430 3512 6 2443 2633 9 9784 215 2 5697 2478 55 16291 7503 1 7823 2789 1 2142 2204 2 8489 4042 2 17946 1779 4 1606 955 1 19664 1751 1 4596 6667 1 4220 723 158 6752 5804 1 15158 760 1 322 1372 2 2833 3716 1 9819 1757 11 1419 7474 1 1979 1719 2 12669 206 2 4779 1295 1 7303 3535 1 9603 186 1 2492 129 2 4960 751 25 14700 235 2 13409 2768 1 16617 244 1 2483 201 6 94 4249 1 6295 525 1 7823 3972 2 1443 1747 1 14174 418 1 15692 5266 6 4095 378 1 5303 3631 1 711 541 1 17142 2979 4 8022 1762 2 9889 3181 24 5811 158 1 9237 244 1 7135 1246 1 10469 3999 1 7712 5320 1 7390 1302 2 18289 233 18 15376 1825 19 15061 1194 11 18706 5018 7 4092 6665 2 8085 1356 2 3555 833 1 12638 883 1 5957 1825 2 14218 7704 4 16829 498 2 15308 3167 1 12373 7936 28 5631 7541 1 12267 197 1 12406 1814 1 11161 229 6 13804 7201 1 7905 1396 1 19901 1450 5 8870 7212 4 11636 210 1 13328 5392 1 12954 1508 4 7012 5538 2 3835 5559 2 3836 1537 1 8798 4402 1 1376 5252 1 8239 2869 3 9935 4019 4 12858 3287 8 19632 225 1 13266 880 3 138 6327 1 3698 6603 1 18772 214 2 2905 231 1 11853 532 1 15429 7942 1 20107 3423 5 17567 5020 1 9090 2951 2 8237 2663 1 11 374 5 5582 7528 4 8549 219 5 11497 340 2 138 6325 1 11863 3220 4 4253 3036 6 3255 1342 3 3925 4804 1 17388 4802 5 39 2036 1 7432 4196 9 12471 7350 4 12208 1146 1 11450 5302 1 16970 3775 2 9644 1482 1 18412 4376 1 2319 2997 1 13582 1747 1 124 5494 1 4639 3621 1 108 4884 1 16645 6398 4 10580 520 1 8863 5461 1 5427 6663 1 11327 1718 1 5879 2442 4 9891 1482 1 18581 5086 2 12807 1374 10 18561 5243 1 10700 6262 15 242 201 2 11336 6538 9 4870 214 1 10016 3584 1 8107 2131 1 7452 4514 1 4696 1338 1 20210 6027 2 16029 3219 1 9110 207 10 3579 4967 1 7047 1241 2 10661 1246 2 452 2917 1 4490 1764 1 11332 215 1 19865 5905 1 12614 3596 1 14661 5500 2 7963 4156 1 9028 1312 3 12159 6667 1 4023 7136 1 2479 7018 1 14699 534 1 3504 3973 3 8735 7484 4 19928 4436 1 16090 6170 1 5198 1244 1 6215 3442 1 4573 498 2 8528 207 1 2729 4761 1 15184 2698 8 8127 1700 1 18288 530 1 15800 1719 1 18578 3494 3 17004 516 1 12163 1743 5 2568 502 1 86 3926 2 12081 165 1 3483 165 2 9501 4380 3 8737 3655 1 19286 199 2 15502 6552 1 4639 1253 4 4987 6835 1 18320 7750 1 4415 8221 2 5152 792 1 17405 959 1 16491 905 1 13740 509 5 12979 4444 1 5841 3206 6 6 183 2 13225 1710 1 6145 1407 1 13127 6288 1 16254 1696 2 12842 372 4 7034 6288 1 7316 2967 1 14791 214 19 2029 3588 5 17772 5037 23 11131 1296 2 17285 910 1 6545 3921 1 5718 1245 3 65 3106 6 1705 735 1 10525 2256 4 2943 3663 12 2794 2584 3 8159 665 1 9433 74 2 2021 1401 2 3281 1762 1 6942 1776 1 19502 7299 2 9978 6053 2 5174 537 2 3801 2369 3 5182 1246 2 12786 201 1 461 1698 1 14845 3234 3 10777 7401 1 4603 3913 1 18588 200 2 20236 471 3 835 1748 4 3759 6640 5 494 2568 2 1827 2889 2 17879 3684 1 16532 783 1 153 6956 1 10110 7900 1 17151 5447 1 17208 377 1 8447 2378 2 8763 1380 2 13961 1946 1 156 7145 3 18999 1296 1 16515 4312 85 17405 1356 2 17662 411 3 15704 2350 3 11694 4172 2 10313 2494 2 171 1740 1 11925 3621 3 16216 194 1 9767 206 1 5266 225 1 12962 132 2 592 3808 1 6712 578 1 16395 1727 2 10998 5940 1 11572 4245 18 2296 1707 2 18835 3058 2 10553 6035 1 8101 196 1 11651 3074 1 15484 4403 3 2961 203 3 14745 7963 1 18618 3252 1 7376 1136 1 10021 5253 1 17671 1772 1 2962 962 1 4757 8184 1 9717 7624 2 5480 229 1 126 5365 1 3270 5930 1 5837 390 3 4869 891 1 16779 525 1 6617 364 1 15827 5642 1 4170 1252 4 10911 1646 1 12092 519 3 15220 2123 1 246 843 1 393 6031 1 6431 2668 1 6995 4245 1 16370 7602 3 4376 1990 2 8425 1726 7 17073 201 2 12372 4369 1 9846 207 10 6451 5873 1 18524 7809 1 13131 3626 2 8640 2727 1 16496 220 1 73 753 1 1464 2633 4 788 5018 1 1884 2350 1 6690 591 1 4488 1739 1 4960 6358 1 94 2958 5 6611 3301 1 4493 1184 1 8620 232 1 1711 3462 5 1043 3267 2 11877 6053 1 3589 6993 2 642 200 5 2722 7423 2 19739 534 2 13219 8022 1 10160 4169 1 1757 314 1 14837 1718 1 6595 532 4 11960 7769 1 4332 745 3 7560 38 8 11558 3590 1 2877 5279 2 12618 379 1 1825 222 17 382 412 1 15144 2795 9 12136 4724 8 7435 3518 2 15061 1322 1 14259 2675 1 5738 911 7 19597 1615 1 10065 7337 2 5596 1249 3 18338 1729 1 2313 6945 5 8198 2729 1 2925 575 1 2731 533 1 7000 2489 1 14114 477 2 12094 7427 1 19727 2853 1 1885 214 1 7028 2675 7 95 4355 1 15740 5994 2 9524 329 1 14929 155 1 17753 1395 1 991 1367 1 1606 4599 1 11742 2155 1 13205 3191 1 2716 481 1 474 7009 2 5143 1561 2 8328 2626 2 7951 207 1 18543 1985 3 13564 411 1 725 2151 1 18431 2727 2 16600 896 1 6415 1635 1 16367 5347 3 8262 1736 1 8128 7599 10 1801 2958 1 14839 443 1 10703 3556 1 572 3050 4 11094 1248 1 1964 205 4 1866 201 2 3502 1507 1 160 7307 5 14538 519 1 6845 7403 1 11570 1074 1 17682 1726 1 17416 390 1 5478 3619 2 7943 7008 4 8395 8066 1 5480 6482 1 9063 910 1 4451 2619 1 1824 878 1 15958 2540 1 10290 214 1 10913 1363 2 17369 7069 1 5739 6252 2 13390 3087 1 9793 2894 2 35 1944 1 16029 2710 6 5154 1003 1 19727 2710 1 18986 4702 2 2784 7432 1 16090 7023 1 16730 2009 1 6669 3591 1 19999 7723 1 1939 3576 2 7261 1721 5 3249 1342 4 6580 1722 6 19000 3778 1 4495 7972 1 10700 6778 1 13126 879 1 1024 3704 1 3846 2491 1 5606 34 12 9720 1762 2 13012 1342 1 6878 5532 1 12511 4436 2 8644 6706 1 6228 4732 1 14692 6423 4 4960 97 1 1262 533 1 9325 5036 1 14998 402 1 18334 6570 5 15546 2253 1 16694 5628 1 7159 4192 1 14890 774 1 7726 3155 10 1479 5077 2 1868 206 1 13857 2747 2 6907 6051 1 16719 7617 1 13758 3747 1 15712 1781 1 4507 4992 2 1638 3171 2 3183 4307 5 16764 502 1 15016 867 1 5251 7655 1 11781 3512 5 10916 3278 1 10955 1871 1 10716 1146 1 10923 863 7 5318 1772 2 2542 218 4 20013 4579 1 8129 7091 1 11533 2139 1 4325 6053 1 5464 409 1 19770 7517 1 1999 5269 1 5358 4564 2 11450 6882 1 13885 1150 1 3581 201 3 7916 2762 1 11985 834 1 79 3546 1 10233 3058 8 16286 1768 2 16677 342 1 13060 2092 1 17039 2085 1 6902 2352 2 15778 6629 1 8826 1615 7 1518 8171 1 14167 200 1 17121 7439 3 17638 2915 1 17431 221 7 15712 5411 7 10452 5286 1 6244 1464 5 1090 477 2 2345 2990 11 12521 899 1 1499 4781 1 12850 4435 5 618 4013 4 2695 1479 1 11504 4022 1 13557 397 2 4304 3065 1 4593 853 1 11072 7586 10 17544 190 1 12952 4325 1 8212 126 2 10670 440 3 17727 2626 2 17252 1277 1 8152 1755 1 11789 1656 1 15140 1613 1 593 519 1 9614 2671 10 5950 5783 6 4330 8191 1 3763 184 1 6193 935 1 15165 5490 1 13815 197 22 9406 411 12 9897 5945 1 4095 1250 8 6942 225 7 15896 2567 1 847 5558 1 4023 5310 1 11402 864 8 14330 1247 1 7932 141 1 4417 219 12 3397 3408 2 6889 193 1 8920 867 4 2156 196 1 1235 960 2 19053 329 1 1074 5105 1 9809 1688 1 20145 1758 2 1704 307 2 8031 1249 1 15832 1464 3 17607 1703 1 17633 798 1 11769 2614 2 19295 1967 1 3195 7616 1 992 505 1 12719 1757 31 2021 6793 1 13132 573 1 2321 562 1 10006 5018 1 9546 595 1 11405 225 1 10044 6299 3 9282 8222 1 7737 6514 2 3754 1825 1 7383 403 3 258 8013 1 13055 8015 1 39 2047 1 13601 214 2 1308 1732 2 15364 1302 1 10916 703 1 1878 206 7 2087 1193 1 17995 142 7 5382 3255 1 2776 2263 3 6644 758 1 14658 495 2 1214 4623 5 1969 2830 1 13296 3492 1 5146 4435 1 5994 1250 1 3461 1819 7 13702 883 2 5780 7174 1 1511 1818 3 10461 1685 1 4329 2358 3 9919 625 1 13119 210 2 5582 1271 2 3521 6754 1 13667 4034 1 19241 566 2 2172 1416 1 7062 7245 1 6061 5603 1 19518 203 13 17700 1244 1 9809 1000 2 12653 4949 3 15627 6593 1 2125 1965 1 16513 1761 1 16860 4029 1 7573 1755 1 13425 7674 4 5356 363 2 19395 1301 4 4898 2678 5 612 3181 1 19990 498 3 15727 512 1 15398 874 1 10623 1131 1 8158 1495 1 16389 1482 3 15114 670 1 5185 1239 3 9369 7477 2 17505 4789 1 5025 2261 1 14813 7018 3 4619 1313 16 13084 1707 2 12619 5481 2 19274 3634 1 18040 1037 7 8237 708 1 6524 1779 1 9463 732 2 1654 2691 2 5544 1309 1 11882 7105 1 2213 169 1 172 7845 4 7917 1308 1 745 1740 1 20084 1720 11 9264 164 1 17488 5437 19 98 4421 3 10445 5420 1 2245 3980 1 3397 6498 1 3703 8139 4 2143 398 1 7455 7814 1 19 1260 1 5117 950 1 15969 534 2 18241 8071 1 15272 1154 1 4040 7210 1 11055 937 2 13461 2673 1 1398 1827 1 14170 2552 9 8514 203 1 11820 964 1 15230 184 19 8205 1235 1 18115 3638 15 1281 1757 1 10575 814 1 14900 1244 1 7179 899 2 5489 4963 1 1801 2503 4 7528 6257 1 14599 177 1 7991 2543 2 15770 2254 47 6769 890 2 2853 226 10 18015 4653 4 6070 1686 1 3109 518 1 17216 3228 2 19578 6188 5 11526 525 3 4369 2540 5 15707 1342 1 1606 3564 2 494 1499 1 7331 4436 1 1145 534 1 9945 5004 1 530 6677 2 8614 5474 1 284 1939 6 12715 207 1 1 62 1 9826 244 2 2804 1474 1 17509 8182 3 11317 1244 4 6624 5674 1 15718 7925 1 2325 1150 1 18886 863 1 695 6141 1 1801 7622 1 15269 2321 3 9262 3058 1 14584 4157 17 6881 5654 2 16459 214 21 15196 1827 1 3240 4998 1 8024 471 1 4099 7275 1 15712 519 9 18542 1235 1 2578 1249 1 756 524 2 10481 4274 1 19053 1760 1 835 1853 5 12819 1819 3 6533 4299 2 13649 207 1 8717 541 1 15015 2653 18 11131 3724 1 7893 2450 5 13579 1251 9 873 461 1 5357 5517 6 727 5553 1 3002 726 1 13743 225 5 10594 3909 1 8298 1247 2 11509 73 1 8730 2981 1 10873 2663 1 16894 7556 1 10327 779 3 6201 4408 1 18790 4655 1 1654 6442 4 20158 1807 1 8746 303 6 12091 533 1 2646 367 1 15683 6546 1 2886 22 1 727 232 1 2772 1632 3 15698 184 1 14960 839 1 9364 4199 3 6570 5266 2 13461 1236 4 1698 4695 1 19795 207 1 17954 1356 1 13906 1576 1 12016 221 3 2269 4603 1 7228 3827 2 15782 4376 1 8620 1967 5 481 8009 2 6533 4286 8 9293 1245 1 2778 1052 1 5339 3684 6 2818 910 8 6519 7486 1 6430 1739 1 11448 4792 1 16878 2352 4 2590 235 5 62 2799 1 14125 1104 1 11354 5115 1 12375 797 1 7683 1726 1 18618 3260 1 13922 4403 1 12249 5349 1 11491 1707 1 8582 411 17 14828 3576 1 11450 1348 3 10202 7255 1 17505 270 3 4081 235 2 14055 4623 5 17778 7397 1 11556 1718 1 6712 697 1 15608 887 1 12903 3540 2 9540 220 1 11640 6152 3 2803 478 2 4764 223 12 1168 3972 1 10464 5243 1 7754 6601 1 2143 3216 1 15429 6126 2 13093 7726 1 6793 164 1 4590 205 1 873 339 7 10520 4961 2 9590 3155 2 508 530 1 10739 604 1 5983 1825 6 2503 1825 3 4960 1247 12 1273 816 1 18312 207 7 14834 7272 1 5026 6047 2 4267 5132 1 1308 7994 1 11687 6214 5 14135 7339 5 3311 3213 1 18633 1689 1 17009 1825 1 8452 2729 3 3058 7621 1 4057 945 1 12125 3610 2 13080 1748 1 2951 225 1 8614 6520 1 10117 2508 1 3536 8022 4 19579 4673 5 153 6958 1 16076 214 1 4880 494 1 1420 1342 1 10472 1042 1 9168 1482 1 18973 1235 6 199 1184 3 2643 6054 1 5675 514 2 454 2602 1 15637 3483 6 8888 5018 2 17645 1770 1 2889 1721 1 7702 1358 1 18014 616 1 6989 4460 1 7682 892 1 14197 3167 2 4499 2580 1 20109 1780 3 2507 2955 1 11591 618 1 9305 4615 1 13697 1482 1 16674 225 5 5849 3180 1 8436 3730 2 11971 190 4 6139 200 2 654 536 2 6164 6993 1 2875 6564 1 6674 2248 1 689 193 4 1445 1022 2 19193 5018 25 873 1297 1 12251 5750 1 17428 5642 2 16111 2734 5 5883 4266 1 19649 495 1 11691 8161 1 19648 5327 2 16063 3276 1 13672 4008 1 5249 532 11 11259 1239 3 2249 2557 1 18968 4413 1 15151 7752 1 14321 3686 3 14117 5737 5 6983 4249 1 16230 870 2 1171 229 3 16020 1718 4 11327 200 1 6776 1695 9 17378 3186 1 3048 748 1 10482 3974 1 8735 3208 12 9562 8094 1 16509 4104 1 18357 1756 1 3616 745 1 18890 6009 2 14889 1866 1 8853 7750 1 17241 3554 14 7640 1307 1 6813 1985 1 18465 2150 2 10665 148 2 1499 1356 1 13824 235 1 8443 5916 1 5241 23 2 7823 2076 32 5972 4979 1 16964 1929 1 4311 534 4 10078 6164 2 10219 767 1 5389 804 1 6256 1734 4 3581 23 6 7012 945 1 15792 219 6 1527 164 1 14243 7624 1 542 454 1 12029 4567 13 18507 1062 1 2205 4392 1 7371 1675 5 19727 7098 1 7198 4342 1 207 5686 1 324 201 8 16227 1395 1 19679 3511 3 18092 1732 1 8383 4193 1 4734 156 1 6698 2355 1 18329 1779 9 18933 1334 1 13384 1259 1 16346 3773 4 15200 4166 1 5852 197 1 1 50 2 4572 215 15 4619 739 2 8762 597 1 13711 219 3 3293 6368 1 1853 431 1 171 7747 2 15192 6777 1 5870 4391 7 12323 7821 1 3013 6725 1 2338 2542 1 3842 6192 1 1886 33 2 4055 747 1 13197 5961 1 4786 219 5 13967 4803 1 18979 4629 5 12613 7570 12 11277 5385 1 13718 3894 1 7435 229 1 6519 770 1 2060 244 1 9816 7936 1 4753 1238 9 2886 931 1 4072 1995 2 4815 4351 7 6457 7351 2 3680 979 1 10783 7857 12 15834 1898 1 13760 2895 1 5903 5421 1 16157 1665 1 13430 5575 2 13183 2964 1 14786 6111 1 1439 7619 1 2178 2760 1 6510 1272 1 16952 5018 1 11668 4944 7 7866 5051 1 13439 460 3 7440 187 1 12116 3147 3 12363 2797 5 7852 2556 4 6990 1782 1 9993 2673 1 16860 7068 1 2966 1334 1 5285 4385 1 16317 3434 1 11682 6697 4 16778 7123 1 19433 2013 1 17492 203 6 7455 5312 1 8097 5064 3 8615 232 2 14301 1495 1 942 4012 1 137 6285 4 4511 1356 5 13896 1573 2 6332 778 2 19470 4297 2 19360 2362 7 5769 5737 1 10633 206 1 6837 234 24 3044 357 1 8474 3563 7 5686 737 1 8394 2821 2 4998 1184 20 3281 1768 1 10030 502 2 1056 229 1 2917 5499 1 13430 3227 3 18568 589 2 18892 5996 4 6271 6537 1 420 2407 6 10536 7983 5 80 3580 1 8356 4245 1 8957 6578 2 7481 8141 1 12378 7491 1 12740 173 1 1809 5097 1 4655 2575 3 17942 840 1 11277 5414 1 3947 1743 1 3801 2729 2 19979 2880 8 14193 3922 1 9152 4394 2 15214 651 1 3278 3081 2 11467 907 2 5431 364 1 4617 2093 1 8323 4683 3 10309 814 1 5738 6393 1 12806 6673 1 20032 2321 1 5247 215 1 2716 510 1 11353 1371 1 4555 1185 2 6333 6011 1 10471 4929 4 13898 7554 1 12510 5504 1 11706 520 1 11072 7719 1 5495 1239 2 14899 5120 1 16665 2686 4 18316 5538 3 19687 3021 1 17894 1769 1 16817 6423 2 15818 4144 3 4663 917 1 13818 215 1 7789 5362 2 2847 221 2 4256 1184 4 2716 8102 8 15979 8034 11 17389 2690 1 128 3710 1 13427 1228 1 3934 1707 2 11027 514 1 100 4507 1 174 8052 1 6828 765 5 15752 243 1 1746 2367 1 5817 1229 1 18729 1726 1 13934 8135 1 4421 207 2 14753 1756 1 18476 2187 1 4532 5996 2 10179 1561 1 8832 6690 1 8531 6200 1 9841 1752 12 18736 3326 2 11818 891 1 13626 1925 4 1711 963 1 10163 6334 9 11931 2661 1 7127 506 2 13974 2968 1 5972 34 1 14906 3512 1 15750 553 1 4681 3682 2 18980 173 3 7198 6690 1 6835 3371 1 1028 1042 1 12187 4534 2 7334 4217 2 3663 1751 1 15812 1249 1 10079 203 30 16881 6545 10 2663 1995 4 4866 3464 1 19601 1613 2 9446 5903 2 7823 1234 1 593 173 2 6683 3211 4 18115 652 2 14599 869 5 12658 1727 13 4492 2698 3 4233 2746 1 14566 2385 1 11585 520 9 17664 1695 2 6201 2209 6 5088 514 1 13239 1482 3 6550 7244 2 7067 214 2 3337 6971 1 10187 1742 11 14474 2938 3 11399 1226 1 7206 1395 1 18042 2737 1 10245 4681 11 15011 5288 1 19593 4693 2 12895 4998 7 5379 6280 1 3915 541 1 16818 73 1 16450 5758 3 8055 207 1 1623 5257 2 1491 187 1 9443 7948 1 18706 1251 1 2084 221 1 13337 379 1 5877 3427 18 12807 2969 1 8244 6263 1 3581 514 3 11502 132 1 18608 215 2 2197 1369 1 4444 950 1 10689 2686 5 12892 6383 1 2265 3599 5 16274 244 3 6613 5018 5 123 5366 9 11257 6540 1 17167 1275 35 14580 215 1 11158 1615 1 11267 4312 25 236 931 1 10942 7433 1 1711 608 1 5356 393 1 11938 304 6 15314 4024 1 16669 196 1 8982 4459 1 12279 498 8 10632 7857 1 20117 910 1 3422 7017 1 20275 1101 1 17223 1685 1 4172 4992 1 3606 5099 1 7528 6880 1 18757 6746 1 19946 541 1 12614 800 2 6230 201 2 12777 6791 1 926 5034 1 6840 917 2 3109 4792 1 11937 7878 2 19180 6962 1 8666 3651 1 10865 530 5 7546 5710 1 10465 883 12 15272 8192 5 7017 4547 3 3199 952 2 3613 220 10 14376 130 1 3419 520 10 19929 5442 2 251 4325 3 15849 1705 1 9310 4967 3 3720 1417 2 529 518 1 13011 524 4 11535 6259 1 15683 308 1 4534 1296 2 1155 4391 1 20249 214 3 11389 6252 1 10989 219 51 10753 1250 1 4458 706 1 4533 1395 4 2256 4944 8 12895 1706 22 19543 7653 2 8546 2132 2 11461 1237 1 17589 8245 1 15171 1399 1 18070 1757 4 13101 4158 1 6907 2511 1 6690 433 1 18754 525 4 1948 8188 2 12247 1769 1 5592 1772 1 5458 4856 3 4335 4136 15 9140 541 1 9168 206 1 15175 1968 1 18115 8036 9 20114 4383 1 7184 220 1 5021 372 1 13544 4695 1 15952 2014 1 8279 386 2 10874 6231 1 12623 1332 1 1551 7895 5 4542 1466 1 15208 6197 1 2568 1771 1 19431 6974 4 10608 1965 7 19590 4979 1 10785 500 6 143 2632 1 17037 1595 2 19786 7404 2 15635 908 1 19770 7010 1 14818 545 2 19872 2675 1 13413 1758 1 7148 8083 7 11392 4591 12 9485 1719 1 71 1849 1 2104 797 1 1434 6697 3 12322 545 3 73 3371 1 7931 512 5 2962 7658 1 19570 6330 6 7287 3840 2 6837 201 2 9512 41 1 432 1719 2 3511 1707 1 18132 3856 20 15184 7830 20 16458 1827 2 1500 1776 6 2803 4098 2 8760 219 1 296 1357 1 10815 766 2 5392 6500 1 2534 5472 1 7509 5328 2 10883 612 1 17835 5451 1 5688 237 1 17703 223 2 5723 2229 2 9181 1825 31 14015 933 1 1457 867 1 433 6322 3 18949 7946 1 18072 6331 2 6962 415 5 11250 6204 5 19088 1092 1 6769 1303 1 19002 3309 3 19286 215 6 56 1242 1 222 4404 1 6643 4014 1 10633 220 1 19944 2653 8 5675 1275 2 19664 2675 1 171 7741 2 3986 6204 1 6273 6481 1 11845 4266 5 5364 6754 2 4018 5023 2 11270 4404 2 16185 3589 2 7543 201 3 13126 3649 1 11843 506 2 14501 6150 1 2377 2998 1 15969 213 2 6804 5535 1 11430 1739 1 14402 5758 2 17884 7924 1 10907 7643 1 6348 5306 1 9405 207 2 15646 532 1 12364 219 8 9096 6506 3 20231 3266 1 5908 514 2 11937 545 5 1783 232 4 2154 2656 3 20262 1748 2 15560 2011 1 14906 1734 1 11966 658 1 11591 3382 1 9844 6680 1 548 132 1 2951 1235 1 4605 5502 1 12468 7184 1 10880 74 2 2586 6102 1 6654 225 1 11402 225 1 18628 8164 7 8898 2528 2 8532 1184 2 20057 3714 4 3945 6011 2 2143 6139 3 11663 3371 1 162 7370 5 1928 6278 3 19428 880 2 8015 6011 1 12686 6793 1 14908 7707 1 8398 6169 1 14682 382 5 15553 4315 3 2710 1748 1 18968 4667 1 10563 4160 1 16016 1687 1 15409 5437 1 14990 1686 2 7253 2172 1 7383 6388 1 15374 2625 2 8261 6568 1 15629 608 1 232 5686 1 7450 1374 1 19246 4838 1 9261 4086 1 3701 518 1 11080 407 14 12305 7210 1 74 1774 7 4394 7101 1 16592 1357 1 17331 43 1 6166 1363 1 1803 242 1 8608 220 1 10659 2100 1 6292 4041 15 1295 4029 3 10000 421 1 17662 1714 1 9326 2834 1 10316 1498 3 11178 6758 2 570 5245 2 4640 235 1 13624 4622 1 11976 533 1 19058 1470 2 10856 6658 1 7910 6143 1 6538 7839 1 10374 8238 1 1689 4245 1 19211 7271 1 9462 5905 1 6595 244 2 11428 201 6 14645 5559 4 7714 304 1 6222 2657 8 11668 184 7 2158 5077 1 17268 7815 1 7923 6706 1 14284 861 1 3008 48 1 20145 1705 1 1210 1788 1 926 413 1 13046 514 1 15457 1664 3 15283 1829 2 15975 156 1 8069 2480 1 5530 1334 1 4660 1752 3 10918 222 1 17634 7483 2 4417 173 1 6085 1244 1 9224 670 2 1167 3429 5 16379 1819 3 9569 844 3 10934 1729 2 11933 5026 1 11018 1721 1 19932 741 1 14109 5135 2 11948 7912 3 16674 4328 2 3324 6368 1 792 2056 1 4593 927 2 12181 1246 2 6622 6666 1 16491 2068 3 12322 519 2 19018 4343 6 8843 1664 1 81 3647 1 9033 1036 2 2535 5146 1 2135 206 4 5917 7096 2 643 6252 1 19568 1756 1 1451 536 1 5424 7701 1 12652 4967 1 19006 6632 7 11131 863 1 94 4283 6 3472 1778 1 3111 6120 1 8012 3017 1 14900 200 4 11622 236 1 11835 6198 2 8023 688 2 8895 1422 1 19204 7881 2 4320 3333 8 16773 1423 1 12777 3389 2 20275 2507 1 18381 1775 6 7051 1770 1 2104 7321 1 14091 4541 1 10286 1342 1 16236 1251 1 5380 514 3 4387 5997 1 10152 692 5 2138 5144 1 1653 215 4 167 7553 1 62 1116 2 19286 15 2 138 6294 2 16368 23 1 4020 1593 20 5677 642 1 3236 2511 1 2969 1302 1 2413 5487 1 9347 2760 17 15886 444 1 12570 7336 1 10293 1779 1 18080 1740 1 6101 1278 2 11652 3311 3 7571 4572 2 13402 2582 1 81 3670 1 12353 1946 4 14964 3385 1 664 869 1 42 2208 2 2674 7857 1 18815 1819 8 13076 5442 1 8212 1042 3 2900 4518 1 6145 2270 1 11360 606 1 15956 1188 2 15209 4965 1 14837 6342 5 3796 518 2 19499 1023 10 9120 1342 4 5249 4012 13 19063 1814 4 12457 232 5 9989 2569 1 3168 1825 7 6090 6868 1 773 8114 3 2885 1721 29 2818 6027 2 18671 1752 2 7012 6878 3 4774 2646 5 6906 6231 5 11964 1752 5 910 7022 1 4835 6607 2 15743 5016 2 35 1895 1 8608 2488 1 15530 3287 1 12913 3375 1 17977 1748 8 15952 6914 1 8748 23 1 6987 5531 1 3536 8254 4 7783 518 7 16199 2114 1 13587 4211 1 2922 964 1 17992 1778 1 4900 187 2 10555 506 6 4019 7271 1 15092 1246 2 6476 1184 3 1349 5487 2 1445 2895 8 3354 1250 3 15778 889 1 10852 355 5 15832 1738 1 954 4075 1 4604 200 1 3763 1333 1 6320 2683 1 8620 2478 4 10360 1243 1 5366 1761 1 19094 471 1 17565 521 1 14839 215 6 8321 1443 7 1464 3425 1 13570 4516 4 3975 1035 3 15713 4325 1 19336 153 1 7754 6343 1 24 1458 1 12534 498 7 9353 3338 1 11277 1656 1 4764 2675 3 16736 640 1 18615 3109 3 13007 6234 1 6603 1610 2 10245 6572 1 5659 7127 3 19000 1146 1 6437 5460 1 2629 2708 1 17638 561 3 9056 5291 1 18260 1768 9 2484 6914 1 6374 510 1 11766 1768 3 18664 1464 4 18763 1718 4 15162 6532 2 1871 502 10 6792 4640 1 11428 23 4 9808 229 2 15679 540 1 18140 3698 1 4459 2479 2 18534 5444 1 10856 5561 2 3085 4501 2 17644 1211 1 1690 5524 1 11263 6259 1 5312 1738 1 12468 1739 4 6210 541 1 2113 3088 1 670 685 1 6073 4740 3 5145 221 2 4731 1742 5 10025 452 1 11912 7602 1 15923 1548 1 10242 1395 1 8201 215 1 10924 637 3 16805 937 2 1904 1464 1 18251 1245 1 13590 1994 1 17717 6779 1 1983 215 2 11829 531 1 7024 23 2 15553 1244 3 16535 5101 2 1836 2968 1 17083 207 2 14455 8197 3 5464 1107 1 9449 3333 1 17505 3476 1 11530 1747 8 14091 5379 6 12591 3073 1 15289 3399 1 17960 4245 3 18971 2698 1 9988 3088 1 6043 10 2 17110 2542 2 3095 7097 1 3686 5524 1 739 1703 2 1492 634 1 126 5651 5 12125 3710 1 7851 225 12 3874 3283 1 9743 2864 1 2029 2878 1 17994 1267 1 17317 2350 2 14695 3911 2 12126 6150 1 11346 2114 5 12967 1748 4 6504 532 1 4255 2386 1 19659 8179 1 16369 7374 1 11778 4794 4 4875 3910 5 13 940 1 6796 1249 1 9512 4681 1 16561 863 5 12614 186 5 140 6373 3 9136 5018 1 10382 7521 2 3972 5513 1 18833 1757 1 5414 206 2 9269 3557 2 3286 497 1 83 785 3 130 5889 1 10416 6723 1 11687 6252 3 4335 568 1 13569 6183 10 10347 3230 1 14983 3842 1 10659 3872 1 18320 4447 1 18071 4531 1 7449 508 4 7966 1644 4 12715 203 1 8585 7902 2 11708 6993 1 10699 1726 4 12817 501 1 20145 524 1 17763 8184 12 4963 206 2 4043 524 2 12079 308 3 1772 534 1 16626 5391 1 15620 5995 1 10416 207 3 1816 2004 1 445 1768 1 15191 3932 5 9337 1280 1 19504 1236 1 11367 514 1 16500 229 3 11875 1819 1 13743 6554 1 4779 5532 1 3988 4560 1 12764 6714 5 2942 2718 1 15821 1755 3 12112 197 1 15273 95 1 94 4265 1 14778 5018 1 11 448 1 1565 2650 1 9604 196 5 1398 533 1 7320 1464 2 17308 4992 1 18106 4796 1 6440 4979 1 12206 1730 1 2143 1395 13 5503 4029 2 16831 1190 1 12688 6414 1 3344 7406 1 12757 4761 3 6332 752 3 1323 2668 7 2732 678 1 15179 2126 1 1104 502 2 3419 232 8 18568 8054 14 18679 5255 4 8907 207 5 1930 3426 1 19185 1454 1 19937 3020 1 17911 5800 1 6064 1523 5 2231 3220 1 10933 1703 1 15833 4435 3 16442 1111 2 4093 545 1 1823 3651 23 3613 219 2 15471 4673 1 15975 3899 1 12406 1686 1 10586 1244 1 13131 316 1 19533 197 2 7177 265 1 15483 2363 2 19195 1642 2 18821 3587 1 16684 453 1 10862 887 1 6758 1997 1 17788 5737 3 6819 536 1 19862 2673 1 17023 2572 1 5056 2548 3 6855 784 1 16714 2581 2 6774 5624 2 9521 23 6 373 6059 1 19574 3901 1 14131 5559 2 1756 6697 1 1401 1298 1 16039 1825 5 2308 1724 1 7306 916 1 16113 498 4 18526 2363 8 16426 1827 2 15474 5058 1 5963 74 4 6023 6597 2 5116 1700 1 6314 2068 5 2834 269 6 80 3611 3 13940 3425 1 3058 7021 1 16952 3916 5 10721 1238 21 11900 3685 16 13283 7565 2 9366 1752 2 13046 4022 1 11195 221 1 12895 2348 4 14370 6596 1 10633 4019 5 20007 1245 1 12274 7719 6 8198 960 3 10113 3999 8 4970 571 1 14566 1732 2 6889 4972 14 14770 1054 2 17290 4325 1 19344 7029 1 6304 534 1 19319 1235 2 1002 1732 1 19069 2653 1 10110 1315 1 10633 7426 1 19745 1703 1 11461 903 2 4779 5564 1 17911 4554 1 15954 1781 6 11221 1762 2 12385 1363 1 20084 1235 12 12785 2855 2 10879 638 1 8467 1625 1 7470 1682 3 7781 2254 5 5808 3167 2 5246 827 2 14786 7494 1 12406 4029 1 3651 1100 1 11882 3634 1 8438 4500 1 20193 1271 6 15943 7005 1 9152 95 4 8830 214 2 3716 1464 1 11975 215 1 9797 7446 1 6204 8122 1 16290 7959 1 135 6194 1 9759 3492 1 4681 1613 3 5351 1280 16 4464 1539 4 3498 1715 3 94 4305 8 10355 4022 1 11786 7695 1 12913 6051 1 18940 2559 8 8882 7688 1 3236 420 1 4796 2114 1 5433 637 1 5879 1296 10 16508 2642 1 12490 6680 1 7245 1747 1 17556 4253 1 8195 4245 1 6329 5258 1 7029 1745 1 18382 366 3 17953 8083 7 11898 3544 1 6932 5575 1 539 2542 1 11296 1781 1 7030 2639 1 1385 222 1 19680 777 1 11306 1691 3 343 4491 5 2530 995 1 11407 5935 2 12591 2356 1 18462 6257 3 18431 3083 1 18341 1802 1 4455 8013 6 2890 732 1 11222 1539 1 939 505 1 10669 1184 6 10312 6856 1 10027 2353 2 7690 6702 38 13699 5940 1 12392 3293 6 13430 4448 4 3111 3263 1 13847 510 1 7286 223 14 6309 4601 2 16199 2372 2 15223 203 2 20084 215 3 3651 4355 5 17607 2488 2 13231 1647 2 11835 7469 1 7599 514 1 4279 4225 1 781 1733 5 8961 6242 7 12142 235 2 4615 1686 2 11403 5325 4 19286 2620 15 15698 336 2 2704 3007 1 19544 95 1 3505 507 1 10821 6754 1 15885 5937 4 4305 743 2 8644 2636 1 11507 2219 2 11629 1283 1 20166 200 8 11744 1356 1 12312 5500 1 6091 382 6 18039 652 1 20027 235 2 19802 2737 1 2689 165 3 12708 216 7 16278 1969 1 17865 202 1 1530 252 1 13476 3012 1 7823 1707 2 2944 74 6 1560 2403 1 2613 206 1 16350 3556 1 15906 4203 1 214 5379 2 3651 6031 1 5310 639 1 7502 232 1 11502 954 2 5414 201 3 164 7467 1 248 1762 1 2221 304 1 6028 5642 1 5636 203 19 7450 1244 5 5698 4603 1 7460 7958 4 2048 7606 8 7780 4615 4 2314 1714 1 5977 5018 1 4050 1236 2 16645 5886 1 2327 1342 26 1466 220 19 18623 502 2 18536 7767 1 12197 752 1 1853 5420 1 18053 4435 2 572 5972 1 1894 1778 1 2562 2686 1 6748 709 1 8624 8054 1 19030 3519 1 19535 4045 2 1790 1731 1 3805 4937 6 997 197 1 15039 2257 2 12623 1775 1 2135 5470 2 15202 2004 1 8525 4409 1 5632 1762 4 16439 7201 3 18115 1519 1 15743 2673 2 20106 151 5 4619 2097 13 8775 6250 2 6485 789 1 26 1521 1 14485 7328 1 5815 519 2 20261 3522 2 10911 640 7 19739 6091 2 13992 2019 2 12572 207 1 19713 1621 8 2557 1739 1 3337 96 8 16897 4307 1 14541 219 2 4828 524 2 4910 1727 12 4536 5301 2 2450 792 1 17947 1756 4 18128 7586 1 4791 995 1 12623 5959 1 18053 3511 29 591 220 1 19822 1587 2 11183 7502 1 17470 4855 1 1935 1607 1 11402 4944 1 2917 564 2 5977 3314 1 5354 1732 3 4623 206 3 18132 1032 6 18623 690 1 8542 497 1 2004 5291 1 2252 8057 1 51 23 1 3848 490 15 4493 7096 1 3189 1659 1 14522 1686 2 22 532 1 192 7850 23 347 5730 5 1531 3963 2 17516 1247 2 18489 1374 1 3505 995 1 1055 3827 2 19679 184 1 2045 1146 1 10158 214 1 17850 1213 4 4273 2069 16 9445 1245 1 14753 1126 2 46 197 2 9071 6759 3 7506 4662 1 1993 957 2 9854 4227 1 1683 8038 3 16727 201 17 822 1287 2 19241 4996 5 942 1728 1 17789 3334 12 5132 3705 2 9310 1710 3 9650 6341 1 13329 5263 1 18201 2338 1 764 1707 4 16847 7184 9 534 4511 1 5585 201 1 3703 3645 2 369 1770 1 658 2353 2 15346 6596 91 11869 3295 2 2099 2216 3 12903 470 1 12715 2358 1 9388 4930 1 14084 3427 2 15618 852 1 15509 6793 3 17410 221 2 10973 1482 8 16268 4436 1 13174 4136 1 4519 7672 1 8965 1249 1 8167 7955 4 12777 870 2 3592 8183 1 8323 2638 1 6402 1877 2 15876 6231 5 4095 3511 5 18524 863 1 6200 1751 1 20236 2436 1 5672 1598 1 10738 2281 1 18396 6344 1 19493 6690 6 3695 6606 1 13060 2121 1 11430 203 14 15740 2686 2 6661 8122 3 2640 5538 1 17562 201 4 3698 2488 4 3962 532 1 1019 4403 1 4492 3167 1 2710 502 1 12633 4963 1 18814 6914 1 6078 1594 1 3985 3999 12 4072 4386 10 1139 540 1 12897 467 1 231 5971 1 2936 3861 1 4554 215 1 15171 201 2 9345 1244 5 14492 7308 1 1072 6793 6 1506 660 1 17073 1756 1 80 3592 2 1109 638 33 19766 23 2 115 5201 2 9638 1721 5 12006 1910 1 7495 4792 1 15025 2829 1 1171 2626 1 14575 4803 2 8952 6342 5 10973 201 9 6461 1789 3 2543 789 10 13492 7216 1 6556 175 1 19596 3072 14 19747 1755 4 13397 7719 2 10519 382 6 873 809 2 9275 206 1 6709 201 1 16369 5342 1 7065 4277 1 135 2588 2 6630 1991 2 20181 2478 4 4052 1778 1 18416 5559 4 10815 4446 2 12580 1357 1 16966 2703 1 3975 4446 1 9622 374 1 11314 1345 1 17506 5857 1 9832 173 1 1171 1237 1 1802 156 5 13202 1979 1 6892 6107 5 3700 7719 18 16659 4929 5 2980 5957 1 3356 3389 3 3954 5896 1 17259 4591 1 3416 2415 6 11271 1729 1 4963 5253 2 3901 489 2 3499 6150 5 4850 395 1 11399 7512 1 19930 3618 1 4092 3298 1 7573 190 1 3289 203 6 5591 2252 1 19881 8191 2 14020 3865 1 13183 5182 3 5491 6069 2 3205 223 3 1510 5468 3 17 1171 6 13254 1054 5 2246 4622 3 1142 1324 12 17492 223 48 16338 5951 1 916 626 1 17825 1740 1 17248 201 4 18708 1147 10 6233 8035 1 16694 891 14 2957 4794 2 1084 2622 1 11884 4992 1 5746 5524 2 17652 1244 1 10690 1146 1 11317 5105 2 6402 525 1 14618 3068 1 16123 203 6 95 4376 1 3313 1582 1 13743 1776 1 11218 6564 1 1276 2478 1 19306 4763 3 15614 7367 3 13684 4499 1 15039 1960 3 5389 3760 9 5953 1763 1 14890 571 1 12668 4572 1 4492 6602 1 3427 243 1 9113 219 1 13126 1649 1 19952 4195 6 7643 822 1 635 1235 1 10948 1721 1 11726 3697 4 19272 5814 2 14127 481 1 13994 3706 1 15703 1760 2 10049 514 3 15908 764 1 18526 4403 2 19655 318 4 3955 2676 14 10983 5960 3 5436 1730 3 1443 6753 1 5893 7857 1 15709 201 2 4961 233 1 452 4297 1 9354 219 1 10070 7292 1 9997 1770 3 10297 1247 1 9463 1571 6 15608 975 4 17845 1726 9 5959 6588 1 19115 2662 3 3189 4366 1 5829 3 2 18284 3181 1 7171 3367 1 9395 4403 1 6668 5881 16 16736 634 2 20120 809 1 3408 206 1 3705 190 1 14957 1326 1 113 5035 2 15200 7154 3 14678 5243 1 15669 903 2 1999 327 1 5266 604 6 1518 2076 1 7519 963 1 549 6784 1 12053 303 2 12075 5313 1 1690 1747 2 9626 7659 8 11180 5135 4 4092 867 5 9245 1244 1 10146 5442 2 13424 5597 1 4943 6135 1 5769 3775 1 1360 5105 1 18785 910 1 7786 303 1 4400 1692 5 4734 5440 1 14522 232 1 13623 1718 1 508 1724 6 10787 23 1 1500 1727 1 3012 3612 10 13409 7859 1 12677 2109 1 881 2040 1 9989 621 1 12922 4998 1 12807 502 4 10160 4166 1 2795 380 1 18192 3233 1 12984 1275 1 5884 4963 2 4384 3389 1 17389 1243 6 10161 6038 1 171 7626 1 20110 1772 2 14522 710 1 4268 4274 1 9869 556 3 7223 4796 1 19835 2367 1 164 4653 2 20168 5207 2 11072 222 4 7847 197 1 13672 512 3 4259 1407 2 20011 7602 1 13 575 4 9457 7533 1 13049 6683 58 19602 93 6 10693 3184 2 11078 2256 1 7215 316 1 6720 7465 1 11324 5077 1 893 1724 2 10202 6705 5 17764 200 6 8139 4019 1 6840 841 1 12244 1332 2 6839 190 5 756 6868 19 4636 910 1 10966 1539 1 15679 1827 1 16290 2549 1 124 5571 1 15542 4203 1 10732 7719 4 18434 5565 3 8233 7183 35 929 2333 1 7726 7489 6 6183 1342 8 1840 1357 1 1931 6510 1 6894 512 1 18293 4501 1 3985 6580 1 8591 4998 11 9279 514 1 7089 1772 1 8656 7870 1 7261 232 11 4550 6620 1 4273 910 2 9088 5138 1 2435 518 2 7696 3545 2 19822 207 1 13358 520 4 12055 935 1 100 3016 1 11399 4314 1 6084 6471 1 15816 3311 2 6838 948 1 10580 347 2 12680 880 1 18902 5329 1 14447 596 2 14876 6484 2 10943 526 8 6533 4267 1 1453 552 1 4138 3556 1 9468 536 1 7184 1776 3 10219 1235 2 19233 3970 1 8367 4604 2 19 1256 4 3327 8051 1 7636 1990 3 15566 8197 2 3395 2013 1 16007 593 1 18678 2338 3 10730 3073 9 19521 5905 1 15303 4566 1 2523 4077 1 4316 206 1 1711 713 1 12189 156 1 6907 3006 1 5677 818 1 6556 3227 8 8327 4196 6 14184 5490 1 17585 7013 1 3362 504 5 18806 7313 3 10144 1714 1 18806 7857 1 4496 215 3 9160 212 1 15608 5903 1 7988 5274 1 15648 4963 1 1586 2357 1 8154 8137 2 13743 3558 4 5738 7417 1 4371 2169 1 16726 1344 1 7109 5272 1 5299 1248 15 10698 680 1 8078 1944 1 12726 23 1 6058 407 15 10941 3175 2 19634 6064 1 19704 2351 5 18559 512 1 960 3556 1 17951 4245 4 14626 2473 1 12817 7542 1 824 200 1 19442 6649 5 8567 1814 9 15263 5018 9 19725 5461 5 6473 10 7 152 6824 2 16124 1739 1 6811 11 1 4565 6192 4 2607 1475 2 2848 7809 4 13043 1686 4 12882 1717 1 2803 4280 1 1551 1280 10 3236 762 1 14298 1146 3 19590 4198 1 18386 1128 1 926 3411 1 8408 318 1 8967 6073 1 11425 532 2 164 7451 1 9201 203 18 6581 6350 2 676 2056 5 11510 1747 1 15722 1783 1 7769 1245 1 17204 347 1 15091 2581 15 4811 502 1 17738 2018 1 18981 1236 2 13579 441 2 18316 3660 1 1263 5291 1 2099 313 1 8580 201 1 3490 6677 1 4904 7946 13 9281 2443 10 13174 1925 1 9535 1784 1 2717 1909 1 2773 6368 5 217 5255 1 15098 215 20 6575 2555 1 14753 5817 1 12297 5596 1 6999 11 1 5281 7869 2 11020 7936 1 42 2168 1 14059 386 1 7621 955 5 18213 6107 1 5837 199 1 7652 1819 1 3106 510 1 7366 1190 5 13093 6706 2 7679 3554 1 5441 7407 1 3888 201 1 5890 5518 1 7672 1740 2 3397 768 1 4924 4156 2 6570 2490 1 1507 191 1 4663 685 1 15854 1752 1 11305 4000 1 1801 420 1 1839 1380 1 18494 793 1 15776 7213 1 17561 234 1 18701 1247 19 18115 3213 1 13110 530 1 4498 2006 5 9350 7586 1 8620 82 1 5573 930 1 17505 4367 3 10769 1259 1 1908 540 1 18204 2969 5 2383 2013 1 9660 1728 1 10135 3611 1 19902 1999 1 6144 2097 1 13573 4992 1 5233 8174 1 3355 1692 2 15323 506 1 11449 4992 1 17342 7750 1 11938 1761 1 1289 847 1 17389 1704 4 3397 600 4 15909 1582 1 18323 1342 4 8082 3840 1 8251 1734 2 3233 6716 1 5193 3742 4 8919 1825 9 16266 206 1 9466 6424 12 13502 2572 2 6781 6176 3 9476 222 1 11259 6899 1 16317 1775 1 17416 1751 1 15229 637 1 4779 7167 1 6333 347 1 18892 6446 1 10546 1017 1 784 207 23 13233 6662 3 350 2889 1 17590 4268 1 8143 3422 1 16828 1331 1 5410 206 3 18142 232 1 12501 1698 1 4280 3237 2 8665 1770 1 17303 841 1 13358 3309 1 19608 1859 3 6811 1251 2 5821 659 1 6867 5302 3 20242 4307 1 496 5294 1 6937 2508 1 12811 3234 1 6641 1732 1 7566 1758 12 3189 1046 1 9593 7293 1 5926 200 1 8982 498 2 18404 4954 1 18133 1548 2 8447 2448 1 8611 4621 7 10643 1146 6 19178 6756 1 8439 1719 1 12917 3477 10 6275 7512 1 16734 1105 2 14587 436 1 4371 3630 1 17180 4427 1 8905 6231 1 9706 5945 1 9274 5758 1 12841 4214 2 8760 471 3 12433 2964 6 12040 4998 14 9465 7255 1 12424 5180 8 1706 5874 1 5981 103 1 3491 229 1 3664 3848 5 136 6267 9 15778 4384 1 14865 2930 1 19578 15 1 16076 221 5 10865 6435 1 14758 4581 1 15156 2853 2 10203 1383 5 4166 7953 1 19316 1474 1 13526 2377 1 10240 6716 1 835 7433 17 6673 8141 17 712 498 1 9701 712 1 5681 498 2 18610 1287 2 9783 4599 1 16120 1626 3 13601 1342 1 9057 541 3 9388 1312 1 26 1551 1 5914 1042 1 10630 501 1 8061 3113 2 604 5343 2 14553 6662 1 16583 360 1 8169 937 2 12336 2290 1 17716 6585 1 8179 4841 1 17581 2409 1 2922 199 1 16886 827 5 15468 532 4 6895 1354 5 7970 1063 3 8716 282 5 12883 1440 1 1668 3071 1 7893 7101 9 6676 5904 1 16676 1707 3 17306 4231 1 666 23 1 10749 3447 1 6449 3915 6 15817 3027 1 14958 4711 3 12740 3670 55 5681 1757 1 16987 5018 1 7667 2478 1 8987 1332 1 4678 23 14 184 203 26 17019 222 2 15619 2019 9 3826 737 2 16625 206 2 9978 4328 1 4002 221 1 4101 220 1 2675 1778 1 4397 215 5 6024 3679 3 2385 1312 1 15648 539 2 18623 173 1 1983 4289 6 9503 1732 1 16090 2151 1 9473 1973 1 8683 3233 1 10038 200 1 13185 411 5 3924 6816 1 10698 7632 1 5246 7136 1 17009 203 1 19914 1250 1 10905 498 2 1296 3011 1 14612 229 1 1388 6140 2 14673 1720 1 17776 215 1 13938 6703 6 17655 1752 2 4539 201 1 11935 791 1 16500 2353 6 14685 1252 6 20009 3892 1 11746 3020 2 15910 3511 1 7295 829 1 12787 4214 1 17749 3570 2 3491 833 2 3975 7461 1 7765 173 13 9011 1464 3 81 3677 2 18434 1772 1 11687 1229 3 8822 1727 24 11830 6559 1 2412 1814 1 6268 33 1 2959 1816 13 20087 1101 1 12492 378 1 10548 1721 1 6124 541 2 18381 1424 3 62 2846 1 2479 520 1 3491 1718 1 10496 8017 1 4287 167 2 7682 841 1 17353 3578 3 4305 3371 1 19996 718 1 18255 223 10 6305 1342 1 11914 7958 4 9290 1474 1 3793 325 2 6587 597 3 9185 173 5 10459 1743 1 4715 5352 1 19237 379 1 5181 1314 1 11262 3057 6 1821 6507 19 16457 2360 1 5176 1363 1 7127 1450 1 16825 4395 2 7656 5234 1 15744 1762 2 1356 545 1 10650 857 1 6348 799 1 16559 714 1 14517 225 1 7020 2424 4 11480 1146 1 4249 498 2 1678 3338 1 12895 5522 3 11117 2097 1 919 3483 5 20080 4867 1 12988 863 1 5185 199 1 6570 1277 1 11556 3333 1 5161 6914 1 6452 218 1 11461 252 3 11961 4933 6 3769 3433 1 129 5771 5 14202 4435 2 2588 6451 4 16984 763 1 16548 477 1 3002 262 2 15635 1779 1 20123 2877 1 14148 95 2 17788 1370 1 14184 5559 1 13785 3304 3 17662 2671 1 2410 6754 3 19867 6839 1 7466 3020 2 18039 656 1 4505 5445 1 14992 2488 1 4130 1235 3 5407 1775 41 7504 1825 1 17088 1695 8 8946 665 5 3637 7876 1 13117 6956 1 7811 1235 1 15425 4217 1 12184 6993 11 2345 809 37 3104 1464 3 3337 3870 3 1711 7719 1 1028 5127 1 4684 4947 1 11321 5488 1 437 4401 1 10723 207 2 4092 5018 7 9883 728 1 337 6200 10 7461 3460 1 4199 3444 1 3730 303 7 11827 23 4 13729 514 1 16243 1175 5 14582 2869 1 14502 1484 13 6290 4363 3 18508 4600 1 15419 207 5 18431 1757 1 17379 84 1 1029 252 1 2921 175 18 3397 843 5 10948 505 1 6907 4511 1 11504 4090 1 11059 229 1 18363 8170 4 14473 903 3 12082 4382 1 12640 1524 1 4425 2737 1 11786 637 9 13994 6713 1 7252 4379 1 10479 4444 1 14318 4629 2 16029 4597 2 12322 190 2 18655 445 9 13640 236 1 10856 2938 1 11277 372 1 6478 8145 1 16159 2555 2 11032 4696 1 4978 1772 35 15618 259 1 14813 8161 1 1461 1951 1 5950 5352 2 6697 1728 1 19104 5922 1 6198 3003 1 17159 7627 1 16197 1407 3 171 3070 1 18614 1956 1 10531 997 1 6822 1819 1 2937 3512 12 5724 2729 2 8965 1755 1 19352 234 1 11820 6745 1 14350 2114 7 13111 207 14 15881 6430 1 7672 1757 1 1212 589 2 16605 3449 1 19932 207 6 9191 8053 1 13581 4951 1 1265 888 1 14362 5066 1 11545 5062 1 3189 1662 1 18908 7210 1 1446 1184 4 115 5147 2 8221 1345 1 16480 8184 1 17007 673 1 15850 3482 1 9909 1258 2 7327 190 4 18500 5466 1 1413 2254 5 4334 252 2 17954 4383 1 39 2050 1 2907 4670 1 16632 7298 6 960 1827 2 13964 2058 3 2204 418 1 5825 2362 3 19641 1686 2 1065 3913 1 2820 3109 1 7270 2557 1 455 6519 1 1565 6253 1 10327 4314 1 12369 1760 4 379 177 6 8012 2769 1 19306 4982 1 4452 1328 10 16301 1659 1 9171 5005 3 10452 8047 1 8907 534 1 4773 2737 1 12004 7213 1 1090 1090 1 12501 1726 1 20219 1788 1 19428 1420 4 5192 229 5 5569 3802 1 8419 4019 1 11341 2569 1 16511 4337 1 18431 230 1 11384 7848 3 11567 4680 1 17669 190 1 42 2214 1 20022 3509 2 3166 3547 1 17328 2392 1 2013 198 4 83 3759 2 290 3531 2 3815 3844 1 2568 201 1 5104 2602 1 19502 6529 1 26 1537 1 12337 525 1 19055 221 1 8654 3070 4 10175 79 1 2626 883 1 3380 508 10 18389 6446 1 1816 2369 2 15201 6086 4 11709 3751 2 6348 2797 1 19331 1395 3 9642 5266 2 8641 6204 2 1744 1374 2 16474 7602 1 20123 3771 1 17749 7928 1 18524 6682 1 5664 200 1 11238 6957 3 15692 6091 3 1 79 1 17991 1331 1 3147 7397 1 8931 1752 2 15688 7632 1 12496 201 2 16784 6993 3 17886 735 1 7023 1489 7 314 5108 1 12603 521 2 11513 4789 1 2546 579 1 8798 1781 3 20202 6078 1 4871 7381 1 181 8260 1 81 3642 1 11786 3598 1 4049 3588 4 16695 1332 1 7219 4016 1 19078 6245 2 6654 5783 1 19561 4085 1 13728 5971 1 10514 3371 1 18565 7542 2 6504 1467 1 2757 203 4 188 1466 1 6160 1769 2 5725 4219 1 5318 2650 5 530 1686 1 4965 1917 1 4913 57 1 1296 4142 2 8947 339 1 14114 2871 1 17094 2605 2 4942 4949 2 9203 1775 1 4428 7021 3 14993 1201 1 7107 2646 5 352 8117 1 18262 508 3 19121 7508 1 15502 6610 3 11644 6652 1 14077 3239 1 16857 505 6 12064 1764 3 9609 3699 1 3305 5502 1 1784 207 1 18955 5302 1 18781 5252 1 16815 5294 3 13046 510 1 7769 726 1 18149 545 7 8528 4303 1 1875 3511 1 11649 621 1 16817 3608 1 8259 244 1 14813 805 1 19509 3575 1 10331 4801 1 7550 6662 3 15 994 3 5132 3511 3 19667 1277 2 7877 6238 1 12644 2661 1 18116 7492 2 166 7546 1 11349 215 2 3072 2029 4 19486 1020 1 201 203 3 40 2071 1 17881 1315 9 1292 5708 1 188 1724 3 6770 6200 4 19383 2305 2 12681 1338 1 8092 955 1 7020 3317 1 12182 6539 5 527 877 1 11952 1342 8 17257 2028 1 13742 7829 1 14069 3073 16 6263 1728 1 6475 1356 1 4634 574 1 4092 2341 1 4835 537 1 3686 1736 3 19391 5758 1 2414 262 1 3654 1396 17 6088 3599 6 159 7266 3 8630 5740 1 143 5400 1 12206 1453 5 8198 4804 1 15390 49 1 17578 844 4 3931 186 2 14863 4435 8 12837 4676 11 13252 3991 5 15687 231 1 4250 6184 1 536 1737 1 14312 3511 27 20017 230 2 2643 6011 1 15687 1724 1 9767 3614 4 8786 203 1 52 2547 11 18285 4516 1 18071 417 1 18462 214 2 9812 3239 1 11488 3234 1 6835 5349 2 12746 3892 1 12064 7719 9 13046 1707 1 5773 4534 2 5614 1342 1 17423 2068 1 7644 6053 2 6714 7734 4 15467 2292 1 10856 1276 2 15136 581 1 4421 203 2 12513 2241 1 8813 4427 11 2959 1819 1 14692 1482 1 8519 219 1 993 910 1 11615 6198 1 131 163 2 14642 6053 1 171 7815 2 4473 4467 1 1432 206 1 7920 186 2 7060 34 5 2529 839 1 18818 23 1 12489 5023 1 14318 2378 1 13624 3666 1 15603 3813 1 2646 4476 2 17634 7467 2 514 3239 3 15530 6142 1 14209 4033 1 14253 215 3 6563 7205 1 6028 6142 4 11882 6506 1 12046 4713 2 11723 3070 2 19822 3021 1 19313 3884 4 17353 23 1 9325 2668 2 18915 3180 2 14062 1296 5 3419 1825 57 9853 7518 1 2191 874 1 1498 3557 5 2744 937 2 7817 231 2 16178 1663 1 2886 682 1 10839 200 5 16834 3512 1 13069 1893 2 8006 200 1 16959 198 3 15108 7031 1 14753 1095 5 1625 370 1 5757 225 10 116 688 1 1391 3645 1 8678 7462 2 8532 4653 1 13857 700 1 10959 4367 2 7839 3206 43 1519 1778 4 6144 1116 1 14139 1724 6 19150 7890 1 7809 864 1 19463 8022 1 12127 2018 1 13603 2792 1 16482 225 1 11868 5516 1 14629 2495 1 4561 1423 8 4859 1363 1 4663 850 1 12184 6152 14 13881 5767 9 1101 3799 2 16593 1395 8 873 7901 1 3504 225 1 2579 410 1 13721 1718 1 6513 518 1 7687 4312 8 17290 2511 1 153 7022 1 17019 1705 2 4840 500 1 15634 4838 3 3058 6898 1 11663 2109 15 8209 23 6 10304 1720 1 2143 7533 1 12576 2620 1 7171 3220 1 2230 7271 1 6458 2331 2 20145 3113 3 6910 2663 1 17195 6037 1 13 661 1 16674 1721 1 218 5398 1 349 650 2 1922 7018 7 170 7597 1 4199 952 1 2310 3768 1 10218 132 1 5424 4003 1 6755 23 16 18368 256 1 18037 884 1 9374 1246 2 9637 221 2 6796 3621 1 20060 4386 5 2924 2675 1 8136 3884 5 17922 745 25 9875 23 16 19300 6192 1 9672 1757 9 19995 838 1 13919 5322 1 10841 4761 1 14487 4262 1 18581 5052 2 5504 3049 20 5742 1686 1 6538 7131 10 19294 201 1 10160 4692 2 9744 1758 2 8298 1272 1 18323 3517 5 13640 1399 1 11678 133 2 5319 834 2 12444 7351 1 3544 5254 1 14659 6135 1 8904 5704 5 6158 1772 3 13995 1734 6 12715 206 2 5987 4083 1 2703 5162 2 382 540 1 11692 3492 1 6412 3462 1 16346 1756 14 12518 4380 3 2461 1464 4 7363 7674 5 4468 5456 1 16732 229 4 10692 2893 1 7610 641 1 17177 411 1 10222 2626 1 124 5537 2 5246 6009 7 17896 3906 1 7991 6756 3 6407 4952 1 6647 2103 1 5488 1771 2 9060 8184 1 5860 244 1 4617 1369 1 16894 3365 1 8269 929 1 8868 4813 1 7135 1363 2 20157 550 1 11882 706 1 14646 223 1 11589 1975 3 12023 201 7 17682 7457 1 1801 1825 5 15192 2974 6 18462 2137 1 1330 1244 1 19430 5760 10 9043 624 1 14428 4363 1 6152 738 1 5775 864 1 8269 917 2 4734 5475 1 13602 644 4 5270 728 1 18299 3473 5 13385 367 1 8633 7542 1 16931 499 1 6424 4299 1 8528 1752 1 10199 5018 10 31 1784 1 6509 2705 2 3338 3649 1 9270 6435 1 19602 696 1 9545 2407 3 12909 1687 1 2234 7440 2 9503 1752 1 7728 82 3 873 3796 1 16874 591 1 3123 3073 4 2758 1718 1 4886 960 2 1699 203 2 5937 7123 2 6806 223 12 11577 2087 1 18887 7643 1 19724 533 1 539 1999 1 13715 23 1 3613 1245 5 18693 1979 2 17767 5156 9 15318 4800 1 19293 1237 1 6619 1995 2 6926 1269 1 16292 1736 2 10154 5259 1 9457 4587 2 15522 4528 1 11637 8072 2 4496 222 1 12654 3629 14 17003 5957 1 11952 199 5 60 2726 1 8198 2640 1 9058 7465 2 19972 366 3 4524 7470 1 19073 7570 1 7361 2636 1 19348 4517 1 9585 1788 2 16423 7714 1 3844 7187 1 11360 629 1 14897 1613 1 9715 6065 1 2296 5567 1 6527 584 1 18398 6231 2 16590 5820 1 4676 197 1 7823 6442 1 19385 7022 1 3976 1775 1 12 503 1 9662 7586 1 10875 1125 1 16346 634 9 10670 4156 4 10456 2114 4 6848 502 1 1772 4293 15 16614 2715 1 15075 1625 1 13667 318 1 12900 4538 2 19034 6957 1 9639 870 4 12396 3494 1 17331 1296 1 13375 4499 6 17370 2618 1 18320 679 4 17152 1245 3 2777 524 1 5049 682 1 3199 7254 2 10225 3603 15 16700 877 2 19912 1877 4 2612 3225 4 18628 329 8 7245 1695 1 9429 6150 1 16378 470 1 6203 7850 14 12540 790 1 526 47 2 10973 471 11 7065 2499 1 1883 1341 1 4092 1356 1 17607 327 2 5453 5966 14 59 581 1 6772 215 6 17645 7229 2 10 257 1 10568 23 1 5285 215 1 13328 5513 1 18578 2206 1 7976 1826 1 13125 6494 3 18792 4020 3 7184 2727 1 1816 4304 1 5911 3882 1 5007 1893 1 17662 1239 3 3697 2675 1 10730 3494 11 17951 3853 2 4688 292 1 2744 1341 4 18487 4623 3 7207 743 5 6975 1247 1 9574 3012 13 20066 5419 1 9894 1332 2 10363 2864 1 7705 356 2 16825 5104 1 11059 910 1 3238 1342 7 15379 558 6 1689 7497 2 11159 883 4 16127 2680 1 6245 1727 3 2980 407 1 6913 3220 2 13999 2836 1 7949 3803 1 6764 1784 1 18769 316 1 7413 5551 4 10549 534 3 19974 3685 1 12127 4296 1 13086 3634 1 16197 795 1 9566 891 1 5706 840 1 10999 1482 7 7575 215 3 7554 7400 2 2267 3715 1 7557 1778 1 2357 986 1 4337 1482 4 5420 1649 18 16120 1642 4 11202 7874 8 9275 7565 1 19996 664 1 14211 7606 2 11461 232 3 13440 5341 2 886 7534 8 10691 6341 20 1804 7423 1 10367 8141 1 6853 2061 1 13234 8072 1 11110 203 13 2274 1322 1 14369 206 2 3816 3453 1 7916 1778 1 20019 1611 1 11160 793 1 13114 477 4 18750 845 1 11702 1035 1 5049 5380 1 8237 5036 1 4998 344 8 14969 2617 1 16984 3792 1 15031 5712 1 11348 2676 10 20275 7825 1 11502 498 1 15419 196 2 10187 883 1 12318 6557 1 7780 1383 1 3289 525 2 2619 5289 1 14301 1145 1 824 7719 1 3712 8060 1 17233 5543 2 11931 3220 1 15160 4090 1 5157 1235 1 8261 223 1 19520 404 1 12850 1748 2 13733 1674 5 18206 2355 1 14964 525 1 11803 232 1 2385 5017 14 6471 6230 1 4503 1150 5 6183 1718 5 13972 1707 5 20068 1730 1 8967 1040 1 16308 6571 1 19102 6606 1 1060 214 2 9138 4435 2 60 1361 4 11108 420 1 2325 214 3 9777 811 1 4341 995 6 3397 5310 1 15655 4351 2 13558 5380 4 19391 1685 4 15952 7098 1 6819 199 2 17746 712 1 15355 2256 1 7575 1464 1 19930 800 1 7518 3351 1 8528 1722 1 802 1345 1 8546 719 3 46 236 1 16674 244 4 10109 510 3 11855 534 1 6010 2355 13 3886 1091 7 10182 3704 4 7312 200 10 11008 2016 2 8423 1062 1 8745 525 1 13439 1627 4 15155 4716 5 2310 904 5 3270 7013 1 7418 6155 1 7050 3489 1 19533 6706 12 3650 6355 5 17019 274 2 7915 1428 1 8426 3434 1 12715 2360 1 8987 4623 1 12757 5324 1 13114 4241 1 20114 504 1 13773 220 7 6617 1238 1 16054 2356 2 16852 6025 9 12822 6957 1 5688 6059 2 11899 3442 2 2319 229 1 16137 512 1 17505 4408 1 10498 73 1 10730 6494 6 6581 1379 1 9567 3913 1 7815 7719 1 17548 1779 1 17384 2071 1 1223 2665 14 6425 1321 1 4876 1347 1 745 1772 1 7109 7554 1 18561 3840 1 13490 2686 1 1062 2238 15 10 253 1 873 6713 1 212 1975 1 17940 411 2 18314 207 1 124 5479 2 525 5251 3 392 449 1 2882 46 1 5176 184 1 14757 5756 6 3161 3649 1 18455 4992 1 4252 23 1 14783 518 1 1189 3069 1 3822 445 1 10688 809 1 9595 3206 3 18411 7244 1 4616 4245 4 9762 200 5 19094 385 1 4056 205 1 18159 1748 4 7756 2419 1 2236 8184 1 15151 941 8 10302 5253 1 3491 5553 1 5246 1955 3 16417 1271 8 18852 4992 1 16096 617 1 11613 945 1 9259 4263 1 1745 1691 1 5677 662 1 8611 200 2 16872 3516 5 10097 1276 1 9463 854 1 15681 4015 2 14578 3367 1 4898 2662 15 11213 169 1 17827 3992 1 10536 7495 1 9656 1193 1 18720 1184 1 15271 225 3 5408 385 1 5424 2958 2 218 200 1 8249 1125 1 2255 4041 1 17665 206 4 19311 6494 2 17918 3747 4 7308 6510 1 9834 5686 8 7799 5837 1 14114 846 1 2793 1819 2 13163 6723 2 15179 3697 1 16604 214 2 15956 1307 2 15425 6687 1 1940 3333 5 4605 200 5 6603 5594 13 1045 514 1 12060 4923 6 3846 5940 2 15343 5108 1 8860 3644 2 14797 23 2 16916 233 1 18149 512 9 7251 1979 2 15333 2542 1 16077 7167 2 6608 7933 1 7883 670 3 18892 776 1 14196 6659 3 1229 1094 2 4452 1278 13 4561 5263 9 10884 304 1 11728 5105 6 17719 6414 1 6670 2662 1 7220 891 3 7215 596 1 13925 6047 1 18999 1771 1 187 3540 1 8464 1244 1 12433 5307 1 18730 136 1 6926 475 1 5775 1717 2 17436 554 1 7480 2917 3 1551 6868 4 19975 2374 1 4061 7671 2 3401 676 1 13734 962 4 16973 1697 1 7823 3511 2 7948 8141 1 17652 3558 1 213 8012 3 1344 2662 1 19780 6196 1 5848 1248 1 17011 1781 2 13619 4306 4 196 190 1 18367 5105 1 11525 2662 1 11156 2555 3 2905 5400 1 6403 7427 1 10575 943 1 6510 5875 1 12830 498 1 261 953 1 13587 2503 1 153 603 1 20024 995 1 4430 1761 1 11313 4463 2 4961 6553 3 8097 1508 3 16271 3850 1 873 1035 2 818 811 5 8762 3442 2 1943 7829 1 16196 4274 1 8918 219 3 60 2737 2 757 8166 1 10937 2686 3 8901 200 6 15854 6865 2 9753 1996 10 20145 470 2 44 2292 1 8305 8203 1 178 206 6 121 5275 1 6853 5905 1 11458 2441 1 12054 2743 4 19924 524 4 6664 220 3 360 5315 2 1138 219 1 3243 545 6 3057 6596 1 17331 2990 1 15352 497 4 5356 2507 1 8753 1424 4 5943 6235 1 12573 2675 5 19648 425 4 5739 2671 1 6053 6957 1 14530 7857 2 567 7672 1 13522 8184 15 9172 6059 1 9976 203 1 8594 5448 1 5725 1882 1 3217 1324 17 8597 4204 9 6644 2026 2 1618 1728 3 5229 1374 2 2083 1814 2 1305 1447 3 16914 7933 1 14507 6434 10 15691 295 1 13 777 2 6219 1656 2 14549 1146 4 124 4946 2 2293 232 3 10999 1719 102 20155 1772 1 17436 2595 1 19239 2354 4 10452 341 1 17477 1247 1 9415 215 1 16843 3540 1 17548 8012 1 7570 1734 7 3175 736 1 11812 403 1 2646 4069 1 6024 1369 2 16935 7703 2 3018 540 1 13730 1237 5 1587 644 2 218 1610 1 15791 1757 5 12413 1034 2 4375 1712 5 143 2509 1 19418 411 5 9999 1780 1 14241 745 1 1699 4389 5 3520 519 1 10915 7424 3 14495 531 1 15159 1131 3 19420 6288 1 8323 443 3 6178 297 1 4491 2356 1 13591 1280 2 8286 2353 4 6740 6794 1 7480 5897 1 10923 368 2 131 5995 1 7498 3804 3 3982 4115 1 17831 6682 7 16089 1772 2 18671 1788 1 12328 3537 1 6623 8051 1 7412 745 2 10027 1307 1 11558 219 1 18804 1136 1 1178 6539 1 4482 6345 5 15374 3596 1 15037 6164 1 9130 3830 2 2260 2065 1 13543 963 3 8463 7884 1 4231 5830 1 10879 2356 1 7577 7521 3 13187 314 1 13205 4995 1 8182 1946 2 19599 1311 2 11387 6340 5 5773 6471 5 4455 1139 1 19223 173 1 11416 4177 1 19461 6390 2 16399 6047 3 11773 3869 1 12345 3578 7 19293 1729 1 1506 1275 1 14824 7578 3 20225 814 1 11820 75 28 15235 411 1 5670 545 2 8391 5285 2 17389 2262 2 15159 1210 14 7373 2969 5 8051 2009 3 411 219 1 15915 6368 1 10973 541 3 12896 4694 10 14845 1244 4 6697 190 1 4632 3624 1 2156 219 1 14171 221 1 6844 625 1 12284 2295 2 9741 3454 7 13490 2488 2 19192 1877 18 9810 4529 9 13402 1341 1 25 1503 1 9270 1781 3 11561 562 1 3739 1271 6 10856 2789 2 11080 3368 3 17652 3293 5 14312 233 1 1481 3485 3 16393 1719 6 14393 3812 3 1911 5853 2 11375 219 7 4963 2131 3 171 7817 1 8768 518 1 9481 1707 5 18354 8013 1 3397 685 1 9180 200 2 3779 2647 1 13508 2505 2 20180 625 1 1560 6541 1 16303 70 1 8517 3731 13 3150 203 5 13997 2006 1 6099 5274 1 18999 1995 1 7832 2045 1 3229 883 1 9607 2680 2 8992 5760 1 17690 1342 5 15799 7455 2 11742 3261 3 17494 1703 1 3667 3425 1 18487 828 5 15059 3653 9 4742 1730 2 8585 827 8 15507 219 5 15974 203 3 5781 201 1 18912 1784 2 5775 498 4 10948 1650 1 12718 200 17 2404 7094 1 15449 3911 3 9459 6713 5 15874 889 1 32 1806 2 1032 2678 7 13640 221 10 9310 6011 2 13155 4985 2 13574 23 3 17 1076 1 38 2031 3 4298 221 44 3189 1456 1 6687 1172 3 13 547 12 11309 214 1 18405 184 1 19723 524 2 10457 6414 2 9809 3203 5 1638 2268 1 15608 3535 6 18663 2349 2 4223 506 2 12817 6105 1 14691 200 6 6501 1342 1 12424 187 1 1405 7977 1 7435 545 1 4092 2409 3 8273 1507 1 5161 6640 1 6332 499 2 9543 415 1 12913 3634 1 19874 2671 5 7571 3626 2 3221 1720 12 5884 825 3 8978 3219 1 8969 883 4 2079 3135 1 9948 3537 2 6844 804 1 15367 867 3 19342 1275 2 8170 411 5 13829 1695 1 18576 688 1 3887 222 2 17746 714 1 18065 207 10 6314 764 3 13590 4582 1 15006 6330 1 1571 1734 3 6534 4288 1 1471 7342 1 8369 5778 3 578 186 1 15722 1241 1 10719 1781 1 11591 810 1 7065 800 1 846 8083 1 9551 2813 2 3351 1282 1 17695 184 4 1618 73 9 2711 200 5 11105 1237 1 19608 548 2 3677 7402 1 1125 1688 3 4722 6167 23 2674 533 1 5908 3695 4 15888 420 11 19690 1728 2 1704 4727 1 15860 5860 1 16192 3181 3 13083 4939 1 18149 1758 1 777 201 1 1872 215 8 873 3742 1 8856 197 1 6228 689 1 16286 1548 1 18450 633 2 1877 3071 1 13886 291 4 16994 3510 5 6539 554 2 4072 7570 4 13909 1658 1 174 8111 1 16096 4383 1 19360 7512 4 12688 177 2 7839 510 9 5175 184 1 8799 1244 4 592 2708 1 743 7291 1 11844 5817 22 522 6690 2 5453 4204 15 9533 232 1 9975 1748 3 7527 1954 1 17100 1139 6 6669 5306 1 8330 5278 2 19643 1369 10 5476 367 1 12108 5150 8 7121 1734 1 18968 3999 2 9604 1244 7 11968 411 1 4688 967 1 11086 5325 1 18968 2511 2 11559 2260 3 2275 1658 1 8621 5507 2 14103 1269 1 12970 3974 3 19502 1695 1 11330 7326 1 14818 4435 3 1908 6340 1 10272 2357 1 68 3258 5 4498 220 9 17252 1732 4 27 1596 1 2197 3642 1 16268 1363 1 8951 496 8 6742 6635 13 1642 3909 8 10396 6528 2 16090 1234 1 17983 1710 2 17315 35 1 20158 5970 2 17450 4623 1 14748 8013 1 787 23 10 17183 1721 2 12437 8093 1 2917 329 2 3595 6013 1 12917 3073 1 473 6640 1 13831 4868 1 16248 2980 5 8405 5324 1 1672 5018 1 12764 6207 1 14355 1326 1 6888 1784 1 8006 205 1 711 2555 5 16141 236 2 12938 5424 1 7853 872 1 7580 7215 1 6119 759 1 10926 1827 23 12222 6338 1 18149 5362 1 12262 3685 1 17491 1770 1 10312 745 5 6312 6817 1 15587 2066 1 1539 4221 2 13734 7847 1 2333 5122 1 61 2757 1 380 834 4 6303 877 1 9821 1535 2 2180 5771 5 3998 4794 1 9212 2958 1 12312 1764 14 2905 4026 1 12633 6152 1 1548 505 3 6606 1969 1 20194 4657 29 2186 6065 1 14297 5691 1 19737 5677 5 14046 4936 3 7498 6013 1 9924 3161 1 9861 3570 1 5126 4609 1 236 891 8 8994 4929 2 13593 4648 1 11694 840 6 19099 2016 2 503 6341 5 8933 1780 3 9281 3233 1 10525 5060 3 2640 4413 1 18101 2206 1 13796 3448 1 7440 231 1 13046 1244 1 5749 7919 7 107 4782 1 19580 2686 1 3729 6801 1 8860 5298 1 3123 203 15 1705 3352 3 5549 4266 1 10267 514 1 5117 790 1 18295 1729 5 174 2705 1 1191 221 5 2696 1721 1 16259 2344 2 10123 5162 2 6779 7542 2 4094 214 13 15791 6480 1 8417 1007 2 13 858 1 17578 481 15 14872 5036 1 17518 6487 1 5918 1763 2 822 409 1 12627 1703 4 1929 222 5 16593 512 7 4213 1261 1 12118 1761 7 9966 1247 2 18377 3023 2 6433 225 2 17205 6269 17 16292 2104 1 2286 1482 1 9548 3181 2 9624 7342 2 19608 5518 2 9531 519 1 15718 1995 5 19776 841 1 5959 201 1 19821 1757 4 18921 2127 1 12053 3556 1 3160 5288 5 5775 2678 3 435 5758 1 14519 1818 1 9067 3911 2 9157 244 1 10447 215 1 6755 3132 1 3940 3770 1 17863 8117 12 3397 5391 1 2588 1996 4 10860 1153 1 17954 6520 1 19648 823 1 19713 6278 7 16743 5471 1 2952 1777 1 4393 1728 1 10961 5054 1 16754 5036 6 5424 1303 1 4357 325 2 15323 6361 1 7754 1975 1 4082 6023 3 5041 2355 1 8907 10 5 3304 1775 2 14646 3203 1 4176 891 4 14172 496 1 14522 950 3 17803 3267 1 13205 6758 1 4921 3109 5 11009 4243 1 7844 4597 1 2571 4288 5 14504 470 1 10854 231 4 174 8086 1 1801 1116 1 16914 6052 1 1606 5286 1 1465 23 6 17253 1235 1 3438 221 1 19701 1277 1 5401 834 1 130 5834 1 12961 1797 1 15217 1132 1 10507 3749 1 16087 576 5 4090 1901 1 6688 1762 1 4115 4290 2 635 1023 2 13490 1249 2 6892 2786 5 4773 942 1 12427 23 4 7948 2626 1 18965 4929 4 5864 2299 10 12244 2089 3 6269 103 1 18360 804 3 13922 2353 2 15172 3916 1 14881 903 1 13820 1756 1 16396 1832 1 5550 7815 9 4709 682 3 6760 495 1 11964 2675 1 135 188 3 2863 6197 1 10158 1739 1 18344 1756 1 460 1734 6 55 2657 1 18193 5977 1 1296 1615 11 14253 1825 8 4694 4411 1 153 7007 1 9857 3219 5 9268 644 3 19722 1249 1 18860 7381 1 17541 702 1 12817 482 2 3307 1705 3 6511 1748 4 18183 13 1 4194 187 4 4627 206 1 16236 1235 1 7850 4665 2 1068 1781 2 4805 109 1 1387 2031 1 8828 3685 32 12017 619 1 12373 3278 12 16468 1267 1 11533 950 1 8005 2262 1 5433 236 4 2571 3810 1 10798 654 1 12351 7558 6 1138 1768 1 13872 225 1 4268 4944 2 12755 13 1 3626 1703 3 4570 3228 7 2576 743 1 18859 3776 1 576 1356 1 7375 253 2 10655 2447 2 17416 1396 2 15654 4773 1 2126 7880 2 7816 1819 1 2511 3400 5 7840 3233 2 19874 200 5 12851 505 2 20018 214 2 12820 689 1 14082 3233 1 12104 1000 1 2803 365 1 18968 4446 1 2990 848 2 1442 3556 1 3289 3029 1 8798 1172 1 1198 7222 5 11238 4343 1 2160 4375 3 4397 7010 1 156 3905 2 8889 891 2 804 2369 1 18229 1363 1 18085 7404 1 2144 4617 1 19156 164 1 16299 6482 1 352 1333 1 8271 292 2 780 169 1 10252 1660 2 1711 5689 1 13829 2352 3 3248 1059 1 7825 2468 1 4236 2686 5 17275 5469 9 19022 7220 9 6000 5472 1 7666 3970 1 10799 4045 2 8055 4351 9 12817 2004 1 8097 510 5 18066 7670 1 10559 7963 1 8956 534 1 14896 3033 1 15101 1707 1 13733 1518 1 9834 1706 3 13070 2443 1 12384 221 2 1629 707 1 10042 1729 2 459 3083 1 123 5380 38 7034 1583 1 18899 1721 2 3915 6597 1 16913 6007 3 997 463 1 17760 1706 4 14540 1311 1 17224 206 7 11964 1724 1 7188 6716 1 18149 1395 15 12569 6487 1 19248 6751 2 1899 5997 5 16301 3285 1 5454 5950 2 10015 1534 5 6269 1105 2 9776 6435 27 16019 382 4 18289 910 13 2834 2251 4 11711 533 5 17014 7474 4 10331 4707 3 4348 1738 18 4299 184 3 16886 3255 9 2898 156 1 2102 5060 3 19729 201 4 14988 505 1 19975 1342 5 19401 875 1 14826 4587 2 10060 6610 2 6712 599 2 2886 4369 2 1731 518 3 5829 3426 1 11821 3803 1 452 2951 1 4316 201 1 1783 225 4 7048 1891 1 16836 8154 1 12155 3547 1 1011 1146 1 18644 221 2 8034 1775 1 1871 506 3 16374 65 1 13683 1146 1 13084 501 2 18743 1380 5 13503 845 3 17043 2632 1 14299 1756 1 6492 519 1 17328 2297 1 9658 1836 1 20029 6363 1 3975 7668 1 9743 1713 1 3025 173 2 12740 207 11 17695 4203 1 10 307 2 46 2361 1 2900 6197 5 10799 1235 2 2168 3593 4 5301 3676 10 18237 1248 1 6775 3113 1 13387 1611 2 13623 5439 2 4387 1417 2 3885 1313 11 13 897 1 18227 1305 3 3371 765 1 5911 2480 3 3347 214 1 18042 2791 3 15943 1037 1 108 4840 1 15629 765 3 4512 4402 5 11503 1043 1 14065 5977 1 2980 4673 1 18902 857 1 18195 803 1 13591 6435 1 1528 4196 1 18122 8166 1 18080 5105 1 17922 386 5 12560 1747 1 1890 156 4 6725 4090 1 9734 2682 1 3287 554 2 19565 736 1 12789 379 1 17767 1302 2 13865 1736 1 10156 364 1 18890 3468 2 19160 1752 2 18357 3016 1 12304 4366 6 8540 2963 1 18879 7857 1 4250 4023 1 13799 470 11 4144 3634 2 14773 5018 2 1572 1235 1 5577 3666 1 9935 3888 1 7685 449 2 4805 3972 3 5725 3536 1 14002 221 1 5172 5018 2 5124 1752 4 13785 506 33 4812 508 2 1669 3511 2 13902 3900 3 9749 4511 1 13676 3073 22 20220 203 3 6855 3535 1 9270 7638 1 12622 8190 1 15286 2680 2 13256 198 1 14326 207 1 5441 1999 4 18766 3556 4 12240 128 1 9606 1751 1 4092 1745 1 4267 2647 1 17571 225 1 2905 6500 2 4566 5522 2 13531 867 5 12116 3155 2 5132 244 2 15791 3409 2 14825 201 1 1607 23 1 17350 1717 13 14075 3511 7 10912 6979 1 13570 4483 4 17825 2671 10 18115 1720 1 5596 545 2 16057 5686 1 12571 207 1 4741 4626 1 17271 1560 4 8527 188 3 8198 7821 5 3432 2146 6 19237 5327 1 1191 173 1 7902 4967 6 16491 6031 1 16416 1244 2 16882 1727 1 15097 1241 1 8250 2722 3 935 1374 10 4898 4245 10 3471 704 7 3289 2508 1 9412 4059 2 19313 3525 1 2577 1582 12 5881 7533 11 1915 23 2 10031 3671 1 10883 603 1 54 2624 7 15821 3431 1 11949 5071 12 19313 1769 6 17562 235 7 2321 6140 3 6109 4252 2 10199 8168 1 2777 203 12 19382 1296 1 10565 3608 1 2064 156 5 11616 4295 1 10856 2649 1 3851 3900 1 3411 3563 1 16076 190 1 9922 4618 6 15932 789 1 17767 1254 3 19163 676 1 15275 2539 1 17463 7466 1 4074 6706 6 20085 2360 1 12685 3973 4 19261 2675 5 9167 215 1 14826 3231 1 8054 6049 13 19990 1825 4 9308 36 10 15609 1037 1 236 1825 1 13384 427 1 2709 3481 1 11504 518 8 2305 1201 1 12962 4635 2 18524 1277 2 1590 944 1 3271 452 1 16530 1748 1 8664 187 2 18014 201 3 6987 5401 2 17972 5413 1 19776 3405 1 9865 1942 1 15248 2399 1 4105 1717 1 16951 488 1 4101 7187 1 4467 5071 1 2518 7127 12 74 3430 3 3233 2645 1 5918 34 1 5848 4325 1 4301 498 3 4583 5292 1 83 855 1 4343 545 1 15948 1482 3 6479 5097 1 10381 3113 1 1689 7020 1 18614 2424 1 156 7168 1 14665 201 12 10422 3393 16 5986 204 3 19872 1819 1 14872 3072 1 4772 1366 2 12284 7559 1 14981 1819 4 15879 4870 1 3432 789 1 15082 3239 7 4459 622 1 4663 1342 1 2217 7576 1 17463 1659 1 19579 1324 7 3695 447 3 1624 3614 2 6641 1779 1 7065 423 1 12071 1949 9 4609 7424 4 20255 3027 1 2783 411 1 15146 7477 10 6340 1207 2 8051 2489 1 19364 776 1 17014 719 1 2078 5674 1 7455 492 1 6932 3072 1 1231 496 10 13084 1686 1 17291 1745 1 12199 1342 1 13966 2889 1 9912 777 2 18195 838 1 18357 6721 1 13060 4231 1 4840 5408 3 19436 6341 19 8109 5247 5 14780 229 2 9390 2801 1 1114 1825 2 94 4290 1 6313 7897 1 15709 1719 2 13059 7491 1 7294 5085 3 11087 206 1 9412 3798 2 8088 7935 1 4492 232 1 13950 1121 1 5162 103 1 939 214 1 906 2369 2 11332 1698 3 10736 526 3 6539 818 1 4935 7423 3 19977 219 1 6397 6884 16 3526 215 5 4137 2686 2 18089 518 1 14805 5404 2 10294 1729 20 17454 4623 1 4095 1658 1 16236 235 1 8051 888 2 7530 214 4 7699 203 3 9180 1741 3 9886 2605 1 16284 5020 2 8643 892 1 822 1074 3 12760 1319 2 2110 3311 3 3253 5341 1 19032 514 4 9422 519 1 11736 5767 1 8969 1825 3 11442 3625 1 15065 1388 3 12489 1768 2 15676 2673 1 11336 1267 1 17920 1236 1 8417 4325 1 12660 2355 1 9540 191 16 9104 8192 10 1382 883 1 9628 770 2 14549 2653 2 2555 7151 2 6658 524 2 11656 460 7 15495 366 5 301 15 2 19434 7997 2 16324 2423 1 19803 1750 1 13976 7569 1 3483 7222 3 4645 7815 1 11827 1972 1 4913 763 2 4050 2357 3 9808 3511 1 16815 4397 1 2970 1210 1 6989 804 2 9767 12 1 18980 6706 1 36 1989 14 11360 822 1 6410 6801 3 3485 2382 1 2584 444 1 12757 5649 2 12777 3400 1 14284 606 1 18876 596 1 17121 7484 1 12928 1755 3 6515 7466 1 7148 3216 5 1412 3579 1 19957 706 5 19152 891 5 2076 639 5 13591 1234 1 14114 471 1 10387 512 1 8471 883 1 13783 4132 1 2832 4185 1 7795 1395 1 5104 477 1 10156 2114 2 8653 6536 1 4663 606 1 13013 1748 3 133 6057 7 10741 5207 2 3097 3031 1 18558 7719 1 1386 1207 3 11332 1728 3 15104 3059 2 17641 5018 1 878 1175 1 3340 1423 1 12126 1374 1 2922 3909 2 1471 1007 2 7500 1395 14 8275 7351 1 16754 6623 1 100 4490 1 18142 876 1 6942 6538 2 4016 207 1 8528 1242 1 4606 507 6 8425 5408 6 19872 855 1 14906 3685 1 9847 163 1 414 1238 1 19252 497 5 20152 2322 1 10440 6706 1 9520 4246 1 9535 1946 2 5498 197 8 9287 6801 1 4995 532 2 11846 229 2 18439 4623 9 16725 5270 1 6072 6868 10 9461 2966 1 2938 734 2 221 8188 1 13254 927 1 11542 1717 2 13689 7988 3 6525 186 2 4833 232 1 17172 1007 6 19470 504 1 2913 215 2 11700 533 6 19972 201 2 6596 3233 1 9044 3921 1 13891 498 2 1147 6132 3 17213 3482 1 14968 1728 13 5999 6394 3 1095 6423 1 13684 1277 1 3695 5765 1 1871 1399 1 19058 6946 4 17828 1738 2 7952 7809 2 13743 359 1 5132 8141 1 124 1656 1 16789 1667 1 6644 2025 1 4960 1675 1 8645 3992 7 296 3371 1 126 5382 1 7949 3749 1 11575 167 1 13951 7874 1 19369 7260 3 9629 939 1 19609 1333 2 2884 2883 3 15871 904 5 1308 252 1 8544 3596 1 56 2673 1 14122 2542 10 2795 4013 1 13800 1021 1 140 6411 1 2284 5266 2 3799 1245 1 19302 1995 1 635 501 1 8798 229 1 8318 5052 2 8769 2089 1 19426 1816 1 11947 891 3 5241 518 2 13623 2357 1 6716 6065 6 11981 537 1 5296 1955 3 14011 4059 14 18289 229 19 5145 1758 1 10806 564 1 10496 8022 1 1389 302 1 8934 82 1 7165 1665 2 1816 4107 2 12304 6027 1 17486 443 6 3358 591 1 11301 338 1 11543 3278 5 12453 6639 1 15549 2673 5 14881 663 1 16674 2675 3 1395 524 1 1359 3511 5 11878 4262 1 1722 411 8 18249 1245 1 1469 205 2 16057 1184 1 16424 3635 2 370 1253 1 14259 3950 4 822 1042 3 15364 4042 1 6727 3869 3 9762 382 1 19972 6210 1 3754 545 1 3771 3608 1 19731 730 1 16090 1480 2 3353 759 1 787 1738 1 4423 164 11 15468 518 1 13821 1714 1 11615 1241 1 8982 874 1 14493 1665 1 15791 1740 2 939 4589 25 4165 4595 1 4493 658 1 11013 1728 1 18813 378 1 8010 1342 4 826 7829 1 5788 1082 2 17191 1307 1 18200 891 2 11118 1331 1 11403 4622 4 15428 3315 5 14539 7512 1 640 6806 2 1812 518 1 1139 2680 1 1703 203 8 8977 7257 1 4589 3492 7 5270 2575 5 1502 34 1 18645 5756 1 6304 506 2 17771 379 1 4634 3408 2 5917 4378 2 17152 1739 1 12294 3512 1 14262 5150 5 14464 3073 1 15429 4841 1 7203 201 6 3817 1703 1 13000 3660 3 11769 230 1 575 229 1 3407 2534 5 19841 1707 1 4534 221 4 9732 353 1 8508 261 1 19111 2021 1 18291 23 1 15342 232 2 1206 684 2 124 2737 1 12623 3881 1 333 5450 1 12441 1819 1 5412 3494 1 18316 1729 17 6422 8070 3 12821 1345 1 18968 2875 1 2413 3685 2 4970 7980 2 2803 942 1 16265 2555 1 9453 891 2 3760 1753 1 6096 3447 1 18271 23 1 19278 209 42 20114 510 1 4871 6759 1 15676 4261 1 1997 7328 1 156 7169 2 13045 3540 5 16448 3881 2 6364 1772 1 10554 6559 1 16537 6897 1 16611 470 1 17910 2355 1 17809 1775 8 14773 4623 2 5882 2172 1 17893 5294 3 12740 1531 1 14028 7018 1 201 505 2 7533 4236 4 18374 2358 5 18149 1245 7 19026 3027 1 14979 593 1 18286 307 1 16070 4047 2 3485 23 8 4092 222 32 17682 5430 1 8136 3876 6 5 179 1 17751 167 1 19405 7424 1 6853 5517 1 10729 4065 2 14350 232 1 3262 1736 3 3734 876 1 3083 3909 12 13375 4501 6 4895 203 1 259 7682 1 9573 1374 1 19776 7407 1 16808 523 1 5285 2959 1 1488 5730 1 19711 1755 2 4251 4794 1 5696 1762 1 130 5787 1 14971 215 2 814 5464 1 17120 5734 1 19751 1468 6 9586 519 4 17655 1703 3 13653 2111 2 1706 197 1 18454 5467 1 13115 1729 1 19178 2487 1 13951 1046 2 13919 4299 1 19510 336 1 4076 8140 3 11436 3216 6 15106 7351 1 10676 5282 1 221 214 1 5643 2727 5 17682 1184 1 16421 4956 2 18256 4963 1 15791 7013 1 4768 6351 1 13369 1734 1 16270 600 1 3612 4977 2 4681 1635 2 86 3934 1 14346 1788 1 12134 4074 1 15261 2993 1 10473 7622 1 1387 1437 4 13587 2510 1 14410 2584 1 18620 8034 3 14239 6670 4 1045 525 1 4552 200 1 1172 2312 3 4793 2645 1 15425 4692 1 10773 4423 2 16476 73 2 20011 1364 1 2265 3634 5 14913 4314 2 19489 3175 2 19158 6756 59 18432 2004 1 5454 6757 6 3550 3404 1 17652 6665 6 12020 1763 1 6861 252 1 9564 2447 1 8716 32 3 4469 196 1 14055 153 1 13111 244 1 1387 2023 2 19091 1707 2 4439 651 2 15184 6680 15 6544 745 5 4074 3338 5 915 4622 6 2262 3838 2 19963 534 1 16742 863 3 5591 3190 3 7224 207 1 10826 763 1 13657 1128 1 5938 793 1 1937 3731 1 2758 1778 2 6158 2523 4 11121 2626 4 3496 1728 3 16071 7021 1 18733 7695 1 13175 524 11 9954 5 12 14423 4992 1 19205 3230 1 4970 795 1 16588 1762 2 15791 4475 2 2267 1226 6 10180 1985 1 8620 3326 1 4601 7544 5 12525 3626 1 13395 1278 17 6681 2018 1 18876 3634 3 4195 2534 3 19405 8043 1 18517 1333 2 4213 5855 1 4483 196 1 16773 2023 1 1359 891 1 852 3653 2 19967 2646 1 1518 236 2 8629 3772 4 15836 1019 2 4246 534 5 16847 523 1 12695 215 2 65 3119 1 16594 5258 3 5532 545 1 4716 2363 1 10525 2575 29 20140 1736 1 35 1977 1 704 2969 2 3286 4476 5 2040 2555 1 9601 3163 7 14989 221 1 8043 1771 1 130 5820 3 5513 3700 1 46 2360 1 12136 2107 1 2629 46 2 9945 5495 1 5445 2878 1 877 1703 3 861 3351 6 17682 1642 2 4399 5020 2 17143 575 1 16137 981 1 12924 1666 1 14578 4201 1 5962 1076 1 944 6246 2 17887 863 2 6346 3510 9 18029 1104 1 6525 6152 1 11241 1729 1 6070 5553 1 18179 215 1 12807 1253 2 3812 1234 3 14826 3585 2 5216 7229 1 8438 825 1 3532 1278 1 6700 506 9 9216 1768 2 15278 3620 5 4547 1757 1 3077 1371 1 19626 173 2 6644 2023 2 4601 7975 1 7369 4022 3 17379 4404 1 3694 6414 1 18115 5408 3 19518 215 5 2973 1737 1 15216 719 1 12257 1357 5 565 1827 1 1802 3670 1 13800 1303 1 17549 3639 1 12231 2444 1 5100 512 3 15394 217 1 1446 1245 1 16685 6335 1 17124 10 1 18471 510 1 334 3057 7 4092 5436 1 11415 6875 1 1625 6400 2 19034 7946 1 12447 2897 2 14161 1246 3 8585 6064 1 7174 219 4 11701 525 1 15814 5574 1 7432 6374 5 19996 558 1 13918 7772 1 14609 1726 2 8940 1315 30 18379 100 5 17273 2831 1 14196 244 1 18769 4949 3 17751 5783 2 4606 1704 8 16783 1464 1 2716 2555 1 9710 203 19 11773 471 1 7322 7407 2 17789 1548 4 4255 4189 1 10553 1073 2 2677 164 1 16484 6600 6 18630 1573 6 14612 4363 1 13095 7592 2 18404 35 1 6802 1482 2 12128 367 1 9432 627 1 10765 1244 5 13387 5115 3 604 2297 1 11489 219 1 7228 5318 1 13338 4056 1 13234 3747 1 1480 219 5 4012 2528 4 17088 533 1 4706 5036 1 4364 2488 1 17337 304 1 4524 1146 1 15355 7223 3 3630 4499 1 6563 900 1 3825 506 6 13839 663 3 1459 219 4 16019 757 1 12929 863 1 10381 697 1 19137 5957 3 15269 3909 1 18876 885 2 7907 235 1 13119 6289 31 2354 1775 1 10234 545 3 4460 1090 1 16492 5515 1 6172 1244 22 2891 2671 5 8591 7146 5 6581 3554 1 3826 1055 1 15535 3547 1 11402 232 1 19314 497 1 19009 679 1 8213 7229 5 2932 6567 2 11903 2980 1 7493 508 5 5189 1742 2 13601 222 3 19428 2064 3 15653 1307 3 1488 1357 4 10599 519 1 7550 6535 3 4336 207 2 11736 8037 1 16442 1751 1 14087 2708 3 18839 7185 1 13927 3894 14 6644 328 2 2287 3081 5 11429 4125 1 7183 1734 2 12209 1247 5 1687 232 1 10247 5162 3 5899 232 1 373 1686 1 8255 6537 1 11882 637 1 314 7045 1 9617 903 1 4492 1468 1 19597 1996 1 143 6581 5 13634 6723 2 6526 156 1 2525 5627 6 16511 4435 5 17011 1946 1 16790 532 1 16860 7878 2 4034 6527 1 17825 1729 6 476 3167 1 7473 1380 1 4257 2569 1 5660 8141 4 12014 7672 1 7688 4215 1 9793 1703 6 16063 5396 1 5626 745 5 12117 381 1 5950 3021 4 7845 705 2 2938 590 1 16192 1334 1 11346 426 1 9941 4919 1 9567 6192 1 592 3987 3 2161 504 1 5743 4242 1 6995 4435 5 10752 1949 1 10604 828 1 12392 7013 3 12322 524 2 9421 6018 1 13417 4967 1 5456 153 1 14312 3285 1 5630 621 1 7579 3464 1 2446 1121 1 6145 5955 9 3894 4022 1 19495 1244 1 12741 2894 2 11502 222 1 863 790 1 4796 2496 3 5860 1734 1 16335 2548 2 8688 221 1 274 1582 1 12189 504 1 8597 1938 14 17273 7750 1 8332 7245 1 239 4909 16 16481 412 1 16137 6342 1 14573 656 1 5131 164 1 16994 200 12 19223 367 1 8546 4672 1 13388 3892 1 13520 437 1 2848 6268 11 17000 1299 3 9325 1657 7 5817 1153 1 5908 545 4 16643 4122 1 14522 1755 8 11192 4010 1 18183 2626 1 6090 5008 1 11227 3058 1 11968 1825 10 18232 1054 1 5099 3563 3 13328 569 1 11511 7229 1 16880 514 1 4060 2071 3 982 2675 21 7966 232 1 8528 221 1 14232 23 1 1361 3417 1 9433 2830 2 11761 8145 5 5638 937 1 13557 2686 1 10170 3643 6 6773 4070 1 17657 467 5 17681 4398 1 997 1307 1 14162 5461 1 9947 2821 1 4147 1383 1 11059 221 1 10628 2626 1 5298 1775 7 15750 375 1 7184 1772 2 18888 194 1 14411 2248 2 15866 335 1 6126 7915 1 17903 6120 38 19713 2363 3 9497 8167 1 7135 864 1 12633 7477 1 4118 8203 5 11195 496 2 8044 4314 1 33 203 2 11359 3492 5 3673 3061 2 7085 5257 1 2121 470 1 15778 6482 1 13131 186 1 4444 711 1 9211 2665 1 5681 74 1 18455 2869 1 9072 5324 3 8334 1352 1 1295 7254 4 13088 7229 2 10381 1244 1 17662 518 1 14400 1705 1 12757 6152 1 20278 8091 6 15471 5744 1 18077 2559 1 4689 200 2 6554 6620 1 9564 2423 1 7220 2691 1 2200 6039 3 11968 4998 5 18123 3233 11 16314 203 4 11671 1948 1 5632 232 5 7970 4341 2 15579 1482 6 15683 3920 1 12279 4612 2 1824 3357 2 79 3545 6 6857 1825 2 14881 5737 1 3438 4013 1 17585 4599 1 9053 4796 1 570 1707 4 17416 5157 1 2830 2737 1 3355 6723 2 4472 23 1 338 190 1 17257 828 1 3666 514 1 1586 220 5 7439 718 1 19345 3021 4 19112 561 1 8891 715 1 1969 4022 1 4914 6225 1 16931 4343 1 9303 2675 1 12534 7202 8 5675 219 3 11467 4034 2 18633 2379 1 18890 4955 1 5757 4391 4 536 719 1 7529 514 2 5632 417 1 10252 1665 1 8160 4436 3 10445 5636 1 10253 1466 2 14911 7602 2 598 580 1 17038 23 3 605 5278 2 18166 5325 1 3504 3983 1 19731 8247 2 12491 541 2 3793 2626 1 14595 1788 1 16483 426 1 4592 6662 4 95 4382 1 178 8180 1 15107 4013 1 10826 3372 1 12574 4963 2 16217 5715 1 10816 6669 1 2944 4638 5 18534 829 1 19960 2662 1 4050 1246 3 16758 1718 6 10146 4992 1 13964 6091 1 18152 6013 5 18960 1368 1 9797 4274 2 6049 1479 1 10733 5086 1 12521 759 1 6058 5389 12 4199 3069 2 4130 7568 4 822 4518 1 19617 1727 1 13986 4825 2 2778 3743 1 19469 1831 1 6748 2004 1 4492 1758 1 14196 7900 1 3427 4914 1 8394 1366 1 7778 629 3 17079 1999 1 19036 4489 1 3841 3230 1 15836 6423 16 11877 1247 1 20011 1539 1 5037 36 6 16933 3954 1 13065 519 1 4985 5538 1 14992 385 2 7780 6031 11 27 1644 1 855 2683 1 17662 46 1 1619 4310 2 1088 7787 2 12821 1245 1 17987 6192 2 19776 2864 1 5957 3492 1 4124 6754 1 15137 6624 1 19774 477 1 10948 2969 1 1224 1282 1 12406 2897 2 12909 533 1 81 1334 5 2629 3081 2 98 4444 1 19561 2981 1 9457 2343 2 211 1582 1 9415 1252 2 19104 1194 1 18133 6596 5 16674 3590 1 20145 1771 3 3274 2206 1 11797 4614 10 11399 5257 1 8964 7769 8 14301 667 1 4368 2789 1 1533 2428 1 3149 470 1 10479 5513 36 12473 3718 1 20145 498 2 2710 235 20 8 231 4 18191 3032 1 9543 4557 1 8160 6677 1 942 4069 1 9093 197 4 3227 173 1 12464 1705 4 5378 792 1 20009 3992 6 147 6706 4 13845 5951 1 9374 223 1 2646 1379 1 130 506 1 14761 7386 1 3485 1761 2 10472 2542 1 3221 2577 2 19923 1866 5 7449 7624 3 6535 8083 1 19794 2959 1 14860 1294 1 4223 6132 1 8763 6500 1 18684 3679 2 3814 4373 2 7148 2018 6 6112 1245 7 19511 4446 1 91 4067 1 9249 2981 1 6190 517 1 5140 1770 1 10898 5517 1 7619 252 3 10104 7461 1 13623 952 1 7858 7847 1 5169 262 1 17521 3512 1 8638 2648 2 15456 864 1 12138 2671 2 7039 1697 3 16600 841 1 2710 1707 1 2575 1143 1 8456 2603 1 8751 5023 3 11694 533 6 1264 3640 4 7617 863 1 2174 4635 1 12821 4476 24 13173 3167 3 18876 690 1 2126 7871 2 19686 1333 1 9224 654 2 15970 2011 1 19991 1416 1 20152 219 6 6003 2555 2 7823 3022 4 10711 4325 3 12851 225 4 10807 5817 1 15075 3939 1 20256 4825 2 14541 1037 5 157 7187 3 6015 232 1 3924 488 1 12954 23 1 15629 629 1 13865 903 1 11537 8141 18 19477 4555 3 6588 1996 1 17960 3512 1 11786 2147 3 9528 2488 2 19996 768 1 19240 2727 4 960 2362 1 11925 7108 2 862 3983 1 12496 704 1 10741 2710 3 15155 7857 1 9281 3820 10 11882 6056 1 10718 1772 5 13430 3604 2 5093 2443 1 15180 1070 1 12900 2508 1 334 2123 1 8775 1705 2 19503 5329 1 7778 3057 2 3146 1897 2 7681 5906 19 1786 190 2 1783 2742 1 14114 683 1 19353 679 1 10105 1357 1 6527 4304 1 4142 8102 3 17748 6899 5 1086 867 1 17472 1780 4 3963 5254 1 9215 4511 1 18157 408 1 13201 203 54 12009 4684 1 4525 1770 3 3441 2632 5 16817 2331 1 16631 1251 8 2442 357 1 6510 1582 2 14127 4321 1 2842 6710 1 16090 4406 2 15524 2958 1 4397 5814 3 6990 3622 1 9270 411 1 147 6705 3 761 244 1 7116 5150 4 18180 2276 21 3048 6697 3 1586 2721 1 2022 95 1 4399 4986 2 7994 8126 1 14052 4263 1 3871 8141 5 3874 5500 1 15429 219 1 15952 4202 1 5255 1007 4 2031 6246 1 3720 543 2 4691 203 1 3058 6106 1 4779 6675 2 5855 518 1 6749 7091 1 2411 1736 2 3181 1904 5 5163 5853 2 13829 532 1 13236 6137 1 6646 215 1 3985 6563 1 9116 3647 9 17845 1973 1 5407 6663 4 2127 1315 2 17972 4009 1 16442 1315 6 8580 7238 1 9886 6826 6 16206 2038 2 4092 952 5 7319 520 1 17495 4517 1 15928 1543 1 11428 500 7 9400 23 3 5389 3510 1 19486 1304 2 1705 2871 4 8633 3399 1 4870 6132 2 4507 6150 1 11057 229 1 14074 1235 13 8364 223 37 13672 3426 1 1330 8029 1 8121 2626 3 13024 3537 1 9002 7412 6 12352 7797 1 6854 1703 5 17820 1453 8 952 1721 1 18189 2058 2 4689 5004 2 520 3464 8 19516 6262 2 14201 3798 2 16916 2718 1 4708 1779 1 12673 222 1 15418 1921 1 85 3917 5 17895 6303 2 20195 6210 5 18499 5858 1 1635 4760 1 3397 2093 1 8183 222 1 4417 3511 5 9767 6252 1 6412 6325 1 11629 4500 5 11622 575 1 13244 2747 1 18599 963 1 13740 201 1 11559 2176 2 2013 4411 2 18211 6764 1 5277 7542 5 2070 6132 1 5775 1814 5 5401 844 1 18806 2964 1 10850 3059 1 11857 1235 1 11786 2141 1 10678 501 1 18342 2580 1 16947 1827 1 19952 3643 2 7944 4166 1 9043 1267 1 7052 7702 10 18080 1245 1 16205 1295 1 8237 199 1 6256 7470 8 14837 1252 2 2905 5466 1 9870 723 7 13305 5017 8 12699 1388 1 1012 203 1 9660 134 1 18689 235 8 3287 639 1 1401 1819 1 5688 1747 1 4499 425 1 5900 4245 1 8356 214 2 15427 6083 3 9634 207 2 15761 525 1 5144 2618 1 13233 6606 3 4115 2584 2 6485 3570 1 5669 533 44 1912 1751 4 3825 1698 1 12064 1731 2 3610 833 1 15286 4676 1 4423 1352 6 7604 2363 1 121 590 1 455 6528 2 1794 2028 1 16031 2737 3 14553 6644 1 13429 1721 2 12739 3460 1 15002 5538 1 12815 252 1 8328 385 1 19872 2501 1 8063 3632 5 18792 5551 1 16491 885 1 14797 5513 6 10146 6500 1 7688 1396 4 5424 4098 1 13700 3634 1 16500 4992 4 18070 221 2 19395 4111 3 16656 1762 29 6644 1441 2 16881 1743 1 19851 200 1 1901 1247 1 9287 4400 3 2611 411 1 9674 1741 1 11471 1457 1 2830 6185 3 15088 223 1 16631 3056 1 5424 3062 1 13131 74 2 6556 378 2 12862 489 1 7812 2727 5 10247 5281 5 19502 1453 2 2222 215 2 13089 3842 1 6492 1236 1 17003 3515 1 16039 207 1 7070 4716 1 110 215 5 781 190 1 4527 303 8 12988 7027 1 17392 534 1 8751 3070 1 12378 5341 1 9215 825 1 18593 4400 11 1466 506 1 2529 316 15 17585 7439 1 9582 292 10 7555 525 3 1164 2080 2 3940 4678 1 4072 6793 1 14055 883 1 18200 5020 2 1493 5919 6 15041 1705 1 2309 1819 3 2486 1698 1 4213 5866 2 12740 1352 4 9367 633 1 4460 7586 1 17662 225 2 17388 3937 1 7987 1917 2 14196 2896 2 14439 6152 1 16987 4992 1 16140 453 1 9090 2917 5 17088 8167 3 15548 6690 5 12765 1128 1 16768 7948 2 8946 839 1 1865 2016 2 19023 6938 3 19063 411 1 8417 220 1 11574 197 1 17283 1756 2 19728 1783 1 18730 4702 1 7099 43 1 18119 6978 1 17645 4563 1 3481 6120 2 910 6933 1 10732 303 1 9760 501 1 8643 670 1 17728 1751 3 153 6955 8 16630 3813 1 17313 596 2 7005 1249 2 6265 4403 5 3972 5545 1 12262 7439 3 6256 3081 5 18021 224 3 15412 2686 1 17410 1739 2 8614 5410 1 19857 4233 1 6355 4107 1 14906 863 1 19220 7570 3 9446 4394 4 15280 214 4 2702 4933 1 7469 7915 2 2508 4473 1 9916 2883 11 12777 1054 7 7261 214 15 1100 2362 3 5396 2969 1 14284 2415 2 15761 203 1 17536 1247 6 7196 3619 1 5275 5614 1 15826 370 1 14035 4654 3 8720 223 1 18992 3370 9 18866 3337 1 18040 6424 5 1035 200 19 230 4435 5 5960 4550 2 17734 659 42 4320 1736 1 10212 926 1 1586 6091 1 13035 508 4 7184 541 1 15743 7853 1 15805 2560 5 3079 1453 1 12187 2770 3 6117 2632 13 11786 4413 1 2795 6192 2 5695 6754 1 9493 6577 1 3279 3556 1 10753 201 1 6929 506 1 1453 6303 1 4050 1719 2 11786 5674 1 11608 411 1 6327 1761 3 97 910 2 10325 6952 1 19053 737 1 8425 200 5 4072 4403 1 8054 5129 8 14530 7596 3 9790 230 3 8978 910 1 1175 3997 1 8910 97 1 18108 404 1 2725 2980 5 13488 148 1 14016 506 1 16175 214 1 11082 5148 1 12035 221 2 153 5767 1 1614 6159 1 7675 4299 10 9854 5082 1 16974 158 1 9281 1555 20 5977 4435 4 19883 566 1 10835 1757 1 7858 222 1 7577 7527 5 6729 3414 1 7641 6051 4 4963 2080 2 12919 6644 3 18043 665 1 14393 3294 4 19503 1273 1 3432 2661 2 19893 258 1 755 1755 1 12270 173 4 6418 4303 1 2818 253 1 18973 7466 21 8224 4565 1 16267 186 5 11297 84 1 14161 2635 1 3806 5272 1 9395 1305 4 15230 252 1 4312 184 1 17760 201 14 5959 2584 8 11637 8026 1 4110 2761 1 3100 1247 1 6997 5766 1 15419 6204 6 5775 4435 6 6512 5828 1 3826 643 1 11399 1250 2 18561 7098 1 8687 2329 2 8439 1747 1 13293 627 1 7000 2499 1 13717 8141 1 7769 365 1 17395 3540 2 3595 8062 2 1552 1606 4 4503 3147 4 12221 1946 2 10663 1239 2 4678 3909 3 12612 201 1 13806 5293 1 16935 6150 1 17504 1363 1 18232 2076 9 10462 6414 5 14400 7276 1 18027 6341 1 19286 722 1 5570 1247 1 12371 4069 1 17846 4355 1 3619 3070 7 5742 498 1 2560 1474 2 444 2307 1 2274 893 1 4449 1718 1 134 6093 5 17081 2710 1 16050 4660 6 13097 46 2 7341 975 1 16916 229 2 16214 328 1 15896 706 7 11882 5291 1 19193 1729 1 6384 1687 1 19136 5272 2 3765 3887 1 3134 4314 1 11365 2016 1 6348 7747 1 19990 1747 1 5676 3909 1 11678 3706 1 16063 5518 1 94 4338 6 19792 2842 1 138 6324 2 18094 530 2 15140 1768 11 12928 194 8 4880 2641 2 5969 3729 1 9315 1761 1 4619 690 1 548 6414 5 9281 7013 5 1953 7736 4 16192 1724 1 10599 203 1 17773 3686 1 552 1703 1 1854 5018 2 27 1623 1 16290 6421 18 9058 4877 7 17008 252 3 18362 4357 5 929 223 10 14773 1727 1 18768 5758 5 9886 647 1 14632 4336 8 11361 6710 1 2551 524 2 19246 2899 5 16442 7853 1 16696 74 1 18250 292 4 1878 2534 21 19979 3689 3 16691 2305 6 15314 2584 9 10222 3444 1 5379 4204 1 745 1743 1 11947 4623 2 18695 5758 87 12493 499 1 174 7934 3 7028 1247 1 13525 1315 19 6503 679 6 1311 3972 3 19568 910 1 14504 1814 5 16843 23 12 19579 1248 5 9639 7573 9 14373 5439 1 8793 7809 1 14400 545 1 1966 1470 2 7984 1825 1 4875 1208 1 12897 7060 1 1839 1737 23 10575 624 1 18826 3084 1 6630 347 1 745 917 1 11529 2662 1 10006 7254 2 16707 809 5 9547 201 6 12006 1962 1 9153 3911 4 6070 233 8 455 6657 1 7178 7425 1 8396 214 1 4614 2821 1 17127 1768 1 14696 2571 2 14376 7809 2 18615 221 10 9412 4572 1 1963 891 1 9983 1758 1 16378 2356 3 11900 883 2 1698 3485 2 7854 4799 7 13640 1235 6 9732 656 1 7530 365 1 10258 2356 1 13614 3074 1 16916 8072 2 340 381 1 13594 1734 1 12888 2331 4 3773 7404 2 2479 221 1 11428 6682 1 2292 2138 14 9565 2678 1 18949 4380 1 6905 676 1 5600 4640 2 1727 6091 1 1251 4413 1 11388 1825 2 12140 1695 3 5511 5032 10 15932 2246 1 5596 4233 1 16674 1042 2 13511 76 1 17008 200 1 1500 164 2 3680 4003 6 17184 4079 1 17019 552 1 15312 6143 1 13883 580 5 6747 3939 1 7743 2640 1 2160 1245 2 15778 3367 1 20191 930 1 10146 833 5 12817 219 1 1506 1758 1 6124 215 9 6111 3251 8 15495 1734 10 13185 3671 1 3580 1719 1 6999 461 1 18332 5245 1 18089 2409 1 11301 4842 1 4493 2990 3 13764 1996 1 2778 755 1 7991 1645 1 314 173 4 20158 5569 7 16742 2021 1 16869 3511 21 1610 1600 1 4653 2727 20 17400 5940 3 4190 5255 4 2701 4481 1 2962 8099 1 2332 3685 6 6433 545 2 9250 1124 1 14745 1803 1 12913 1756 1 7682 930 1 11463 7474 1 17088 46 2 16093 5020 2 11116 514 11 1627 232 1 11422 778 1 6700 1275 7 16684 419 11 5126 2836 4 16137 5272 1 9468 1819 2 10725 4065 1 16394 7726 6 16063 355 1 7337 210 11 3968 2008 1 10636 232 3 12322 1453 2 13402 6539 1 15651 2367 1 13570 1153 2 1214 1357 1 9274 3072 1 6308 1342 1 3268 303 8 12322 1753 1 895 1775 6 17416 3216 2 18625 1249 6 11820 5202 1 9457 5862 3 14344 1453 1 2313 772 2 496 379 1 16831 214 6 9277 3330 1 2643 6085 1 4240 4391 3 15791 1304 2 3355 7101 1 8372 206 1 13711 3638 2 216 4985 1 8489 4003 1 1853 6526 3 1609 236 1 4055 6132 1 6185 3869 4 7376 1714 1 12755 214 1 10325 3836 1 4620 3427 2 8961 1498 7 19272 4093 2 3931 1769 2 17544 1728 1 8406 2671 2 19820 4517 5 18263 1203 1 4552 2955 2 11755 3283 1 11399 2007 1 16587 4792 4 18286 334 1 2319 1656 1 7952 1322 1 1844 1209 1 9212 942 1 4267 504 1 15081 220 2 1766 3234 1 14585 2969 1 16263 8188 1 15952 474 1 20079 664 1 7780 3330 3 15611 4779 2 5657 1721 4 7117 219 6 5370 4180 1 14888 4324 1 7802 7244 3 18781 404 1 14211 1717 1 462 4403 5 12690 1757 2 2966 1363 1 13518 5531 2 16918 5077 30 16042 5737 2 20202 220 1 4051 1241 3 83 3752 1 10267 232 1 14682 7008 3 4753 5940 9 14997 840 1 10290 910 1 19001 207 1 20168 1274 1 5251 1361 1 17459 177 1 18455 7596 5 6207 221 1 8736 575 1 7060 3899 5 5643 1781 6 14155 497 15 4927 1495 3 11687 1727 3 749 508 9 12236 3408 1 18829 8141 1 9808 4969 1 10498 5291 1 8326 1819 2 17738 3349 2 11786 2206 1 14184 7351 1 13951 6288 3 4816 4795 1 10090 603 1 3255 506 4 16676 7527 1 8717 1703 1 19425 200 1 17341 4140 1 18689 1720 5 8645 1190 4 15316 381 1 3718 5043 8 5025 23 7 3911 5077 3 11804 6007 1 17706 840 1 16628 201 5 6011 2642 1 1002 1714 1 5303 4303 1 1725 2686 1 20 1268 1 9308 1726 3 10632 1991 1 6052 206 1 19071 201 1 11587 4992 1 7271 2555 2 15926 500 41 16916 5294 1 15827 6238 6 15145 4987 1 18534 7257 2 20225 780 1 1579 3539 8 9245 5397 3 17708 203 1 116 1827 1 11323 7854 1 11562 6308 1 5738 1981 10 3755 1770 1 9464 4723 1 1812 7117 2 948 252 1 13328 5411 1 13360 1825 16 9603 3206 1 17960 964 1 8831 1740 1 17710 3619 5 9725 2595 1 745 805 1 15147 5146 1 391 313 1 2205 4562 1 13734 764 1 4389 215 2 13213 1508 1 13970 6142 1 17734 710 1 19246 1271 1 10311 709 1 7933 528 1 9759 3569 6 11493 1717 1 4621 2146 6 9636 7411 1 15986 6184 5 4928 7489 3 10947 7018 1 5124 2333 1 1581 1724 3 6990 380 2 19781 5922 1 9945 5573 1 8327 1395 2 4572 1665 1 3786 2633 3 18836 889 1 15147 4065 1 4130 2056 1 19722 235 1 17424 1743 1 3424 2675 1 16636 2481 3 14568 5016 2 18706 1235 1 7872 1769 6 20014 436 1 1422 2343 2 14709 232 2 1551 2889 1 16694 5586 1 6446 5305 4 17850 2541 1 10872 7652 1 2674 1421 1 11372 347 1 2054 1991 1 18033 2027 9 7670 652 1 7310 2392 1 5252 3479 3 18119 7294 1 18907 874 1 15313 1420 2 5795 74 1 1939 3569 1 384 219 11 9090 518 1 9002 6534 4 6032 355 1 16089 1342 1 19947 5102 3 7414 4578 2 18367 1395 47 4092 1785 1 10207 7458 1 1448 2019 5 20 1329 1 5922 84 1 2577 3352 1 4320 232 1 1296 2959 3 13405 4884 3 10142 864 23 13634 505 4 17388 2356 2 2890 7096 1 5580 403 1 2545 706 2 14522 925 3 17540 1441 1 16238 5758 7 16087 500 10 14318 4636 6 4688 817 1 2886 934 1 19626 1762 3 16381 8197 1 12018 4907 1 11622 874 1 8320 7877 1 5176 1784 1 2855 397 1 8060 8084 5 19170 4320 2 13046 220 4 1428 200 1 16819 7933 2 149 6726 13 50 2510 1 17431 232 4 3058 2649 1 11775 1672 5 12138 5105 8 14408 4649 1 15542 2006 1 5264 1248 86 16647 6602 1 4421 219 3 16645 232 1 135 6157 1 5908 1191 1 16887 4115 1 12453 1613 2 8095 13 2 4651 1184 1 10098 7820 1 14218 2424 1 16013 1450 1 3366 23 2 17550 4920 1 13943 3320 1 16345 2247 1 11820 7512 1 2058 203 1 4387 3113 1 1542 229 9 16287 2849 1 2623 1707 3 3566 5054 2 8185 3660 1 13032 7020 15 16489 3686 5 9884 235 1 7182 7271 1 10450 5558 1 9577 1705 2 19500 201 1 13815 1755 22 15471 917 2 6275 2648 1 13790 203 5 9808 203 2 10999 1772 1 5356 668 1 10751 3453 1 7757 1276 2 6080 1252 2 5036 215 1 13453 2691 6 5205 6288 17 16719 364 1 15197 4379 1 8391 759 1 19491 1146 3 12057 1717 3 4527 1710 1 3636 7953 4 6089 1438 15 1394 3973 1 15676 5971 2 17432 196 1 12837 1658 1 17776 788 2 14312 203 1 5146 510 5 67 3214 1 18430 292 3 6183 1399 1 891 2746 1 3372 805 1 13788 3462 10 13665 7448 1 4391 214 1 19134 7511 1 8287 5144 7 717 2555 1 10311 817 2 15429 1717 1 5986 3849 1 16687 3946 6 7193 1830 5 14861 8002 1 11670 2737 13 18259 840 5 10360 6278 1 11519 1643 1 8969 5758 6 18132 7853 2 14773 864 1 16108 1714 2 15498 505 4 10422 1747 4 8488 219 1 11654 8026 2 9760 1721 2 2125 5083 1 8181 3562 2 1040 214 1 10452 8075 1 5818 3678 1 11952 500 27 13343 3263 2 301 470 5 11099 6209 1 6302 1035 1 1677 1737 1 7045 1731 2 11928 7234 1 7795 5538 4 13865 186 1 4554 4266 1 17477 501 1 913 1243 1 4955 4998 4 17710 7853 1 7851 206 13 12872 5404 1 9178 3532 5 18916 4400 7 2411 8148 1 13097 65 2 15704 201 3 873 1017 1 6606 1910 1 9660 2114 6 1622 1803 2 80 3588 2 12322 215 6 12633 5105 3 12594 4150 1 6073 2179 3 1969 1359 1 3219 745 3 4868 5817 1 4572 5413 9 13839 1747 2 963 3619 1 9224 727 1 20191 948 7 10203 1645 1 19877 206 3 5653 4963 1 8409 4268 6 17495 3333 4 16604 221 1 19158 888 1 4512 2129 15 13078 201 3 9947 8034 4 3653 2918 2 4147 1131 1 18992 2058 3 4299 5767 1 2096 4567 2 8608 1721 1 18431 201 2 8128 5730 10 16459 1518 1 13338 3747 1 10876 3651 18 10501 1145 1 2298 3526 1 4106 1345 1 13068 2507 1 18203 7484 5 1712 5274 1 6210 173 2 14395 1786 2 7179 559 1 10676 7029 1 14312 1781 8 4449 6398 1 17616 919 5 18797 1184 1 13437 1752 2 8018 6174 1 20068 221 1 873 768 2 15429 3950 1 5244 4487 1 15251 3972 6 1686 1824 1 11626 1737 2 13821 4375 2 14221 4073 4 10654 570 1 15206 724 2 18745 2692 1 9985 1234 2 18755 203 5 11302 2683 2 855 235 1 15158 874 1 4843 581 1 6463 7086 2 1552 3511 1 7069 3826 4 6024 4435 3 5992 6436 1 4779 229 4 12995 7746 1 173 525 1 2121 215 1 15211 239 1 12194 7976 4 12306 3758 1 4371 1112 1 11882 4280 3 7750 3338 3 12737 10 1 2729 219 3 19031 2305 1 20022 903 3 16129 6295 10 4226 3011 1 4026 2461 1 13997 702 2 18546 3206 9 9043 712 1 3353 1999 1 16167 3964 2 15313 2355 2 1927 201 4 17262 3503 1 1125 400 1 1518 638 2 12399 667 1 16222 6946 1 6518 692 1 9024 4996 2 19978 1589 1 14733 7249 2 16491 1359 3 18128 4435 1 1012 3334 1 4130 7890 5 17300 3674 1 15429 1324 1 11483 5397 1 7985 470 5 16853 3604 1 17197 3767 1 2046 1308 2 17809 1237 2 101 4599 2 11759 4145 2 12453 1342 1 11450 4253 1 15564 2424 2 5515 1881 1 5531 2261 1 4492 1467 1 8074 903 1 555 1946 2 8532 5018 8 19738 214 1 15433 2097 1 4623 2488 3 8237 3426 1 3008 186 2 14905 2062 1 15448 7256 3 18949 6714 1 18021 200 1 14466 1705 7 727 417 1 452 1035 3 4716 880 2 13626 7748 2 16265 542 1 2512 533 1 17290 2362 7 12513 5018 1 6333 4020 1 17290 3915 1 14027 1266 1 17112 3647 8 14299 4403 1 19735 874 6 16809 203 5 16204 224 23 9395 2712 1 17414 4470 1 3240 206 4 13409 6021 1 11768 1772 3 2503 2980 4 7284 190 4 17662 2673 1 10837 1184 3 19709 3391 1 2778 3836 1 5202 481 1 11156 2868 5 5996 1721 2 5617 492 1 62 2852 1 7498 1997 5 19286 1757 2 5601 223 7 1007 375 1 153 7073 1 10439 1610 1 18735 1993 1 137 6291 2 11106 540 1 7560 175 8 15167 6943 1 1625 823 1 13987 1658 1 7385 1827 1 15471 717 1 12343 1208 1 10468 7474 1 17431 667 4 713 1770 2 6828 4105 2 14011 3204 8 14879 1748 4 13255 3163 1 12821 5566 1 7245 5550 1 143 6680 1 7528 3738 2 2629 1731 2 5662 3333 3 19503 4107 1 5128 1334 3 3324 5441 1 9732 6293 2 7516 2356 23 7804 1146 29 8394 2488 2 5285 1284 5 15712 1751 1 18484 224 2 6371 1819 1 16647 3653 1 2808 1873 3 5960 4628 2 5243 1076 3 9432 1158 5 7820 3895 2 327 2958 1 17439 5048 2 10316 372 2 11641 1691 1 584 498 2 10786 7027 1 19026 496 2 9187 219 1 4671 1979 1 7188 1665 1 11354 4005 1 12322 1783 3 9215 4307 2 2962 3713 1 15181 5506 1 5117 892 1 9283 3670 1 9279 252 2 16249 1772 1 4389 2743 17 15712 1720 2 12064 1819 6 9393 3571 3 18206 3081 2 11877 514 1 17809 1730 3 9560 3626 1 10573 2749 15 19545 1245 5 14908 411 34 14522 1242 1 19951 2841 1 4556 4952 9 15092 3527 2 7017 3945 3 10340 1091 5 8947 6204 5 3312 470 6 5978 5322 1 17298 6227 1 11388 3266 5 9383 1416 1 15614 1764 1 8832 4190 1 5872 1312 1 92 4131 8 7795 2935 7 19387 496 2 13165 2966 1 8969 495 4 1146 222 2 1459 215 1 17258 200 2 2643 2104 1 15952 5327 1 16206 1434 5 3975 225 4 16299 5355 1 18843 3511 1 36 1998 1 3677 4946 5 4305 5871 4 13349 3471 6 7703 4706 1 7962 197 1 11968 2678 5 99 3493 1 1844 2363 1 18281 2104 2 7438 1707 1 19344 229 1 12337 1250 1 18893 7022 1 10404 5820 4 6755 1331 1 4165 2151 1 2809 1453 1 14140 2355 2 6913 1184 5 17519 2727 1 19594 7347 3 14447 6480 2 2143 327 1 15940 3834 4 14824 5922 4 5801 6993 1 2126 228 7 7119 2355 2 15323 1238 2 456 1695 5 2495 1401 10 5797 3021 5 5404 2633 5 19822 219 1 14642 6150 1 15041 1720 1 16571 2555 1 15522 6892 1 12817 2511 1 8356 1244 1 8183 674 1 10115 355 1 8083 482 1 408 4101 1 5863 5008 1 13009 800 6 1731 203 1 5385 7308 1 8161 3590 2 6721 7359 1 15683 1338 1 17182 6993 1 413 3170 2 1742 883 1 18488 1470 1 14059 7013 4 13697 325 3 8055 2263 7 15821 1776 1 10042 1928 2 13027 7672 1 13429 1660 1 11678 2806 1 13132 715 1 6617 4308 1 1019 1768 4 6727 2018 1 16857 891 8 4429 5495 1 3745 7567 7 1523 6946 19 11507 543 7 4107 5245 1 11920 1791 19 1333 506 1 15629 665 1 12826 3850 2 11899 5552 1 5205 3613 15 550 1686 1 16332 1691 1 2264 205 1 9321 1638 4 421 214 1 8557 8082 1 14800 6912 1 17753 2769 2 9275 2661 1 5366 6152 1 5251 1333 1 2726 1559 14 10073 7176 1 11277 2721 1 1732 314 1 8613 505 1 1887 1780 2 11832 1762 3 9458 7825 4 15354 3972 6 18409 647 2 1844 1772 1 5162 625 1 2045 201 1 6749 722 1 14377 60 1 8455 863 8 11353 2831 1 636 108 2 19785 4780 1 9215 6430 1 7823 397 4 19331 1235 2 18033 6204 15 14682 1234 3 10327 684 2 16595 7486 1 8955 517 2 18556 1663 4 2656 1508 1 17033 3909 5 15281 883 1 9998 5820 1 8369 1441 1 16262 3227 1 6782 1999 1 2230 398 2 14177 5810 5 5688 6065 1 15314 1045 2 5243 6062 49 16677 562 5 2848 5391 2 2905 5446 2 17321 7670 1 9168 1703 3 10391 320 4 10830 1729 13 7613 215 1 5677 617 1 9912 891 1 19991 3322 1 17 1211 1 4389 2636 1 15471 6053 12 74 3294 1 7574 1245 3 14446 2552 2 16972 2409 1 1346 3893 1 19215 497 2 8806 1282 1 19743 5402 4 16330 3175 1 379 4040 1 16842 1235 4 12009 3896 1 4778 2584 1 14319 2971 6 11 437 1 14963 7210 1 6332 690 2 13046 23 11 1454 5879 1 17612 23 4 8965 1363 2 10452 712 1 12209 1784 5 2511 5115 3 10360 4562 1 891 3287 1 15692 1312 2 5781 35 1 12375 470 10 4770 2673 1 2462 6386 5 1047 184 1 11882 849 1 14084 3516 3 7515 6746 1 14621 3851 1 572 1825 24 17585 3015 1 17642 2678 1 14197 1772 4 4050 2662 1 14197 4992 4 14666 3085 2 16835 2655 3 19967 3596 1 19319 232 2 15749 3645 1 18665 7081 2 10251 1312 1 809 3231 1 15429 442 2 18984 1271 1 15220 292 1 17184 838 1 11857 883 1 11786 6676 1 11737 235 1 18237 903 5 14193 6142 4 18330 1898 1 2646 3766 1 912 1819 1 10502 5400 2 2605 6675 1 2865 6025 1 2274 2897 1 4574 7955 11 9930 411 1 9327 201 7 3406 6523 2 4386 4397 3 532 1904 1 16044 505 2 19697 141 3 12814 1736 1 7111 3671 5 14289 6381 1 16090 1895 1 18089 743 1 5552 2675 1 17478 5432 1 12778 1784 1 5423 1146 3 12217 1249 15 8412 215 3 3168 5670 5 13967 3879 1 3310 374 3 10422 7556 1 14165 3230 5 11230 891 1 13687 6442 2 7714 1395 1 4870 197 1 16050 4661 1 4304 1969 1 18639 1729 1 18535 4519 1 14694 3706 1 1191 1721 1 20089 1715 2 2134 203 4 16914 1537 1 150 6750 1 17384 1245 3 3984 1237 1 8069 1296 2 2564 7149 10 8610 534 1 16727 1191 12 4491 214 5 10821 4323 1 12543 3666 2 17960 1825 1 15634 8193 1 7359 1707 1 808 3804 3 14583 4555 1 14028 844 1 5720 1255 1 12064 1752 1 6712 781 1 11504 3283 1 3749 1809 2 547 3510 1 15364 6882 1 9148 3540 1 15186 1729 6 3430 3071 1 7366 4179 77 13399 7521 1 1279 3512 2 13735 7719 1 20219 903 1 4614 8026 2 18149 214 8 897 553 1 19223 3233 3 7879 221 1 13281 1768 2 7217 2523 1 9578 3811 6 17568 200 2 5451 1249 3 16600 588 2 10830 5389 1 16222 2744 1 9541 385 2 16276 1567 2 6779 3425 1 17184 659 1 14461 3249 1 15791 7521 1 13654 5521 1 3456 1467 9 8903 219 1 14060 5071 2 7006 3055 1 17325 4511 2 8458 1995 14 17618 1717 2 2604 2480 1 12142 3773 1 1520 200 2 5503 4248 1 7537 4222 1 15429 502 1 15936 3723 1 17372 6031 1 17734 219 12 17743 2646 1 9281 2735 1 1962 2508 1 9894 2012 1 16016 409 1 171 7734 1 7681 1431 2 14558 1880 1 18582 1898 2 19517 3442 2 16028 1732 1 13737 2519 1 2303 3879 4 15610 728 1 5038 1819 8 18041 2561 1 2198 361 10 2922 3027 1 8419 23 1 10501 2021 1 18979 2698 3 5701 244 1 13225 6167 5 5882 1213 1 4249 524 29 937 4351 5 107 4783 1 13909 1312 1 15952 2490 3 11765 1247 3 993 1251 1 3954 4120 4 13935 4986 1 18734 4303 1 83 3798 1 7107 7308 3 18562 1245 1 10573 4031 6 9310 3878 3 1373 304 1 5433 6278 1 283 1357 5 11194 5669 1 5583 2363 8 18743 1564 2 5775 3511 2 13490 7089 1 5623 496 8 311 3914 1 7262 6242 11 1783 1761 1 7527 1564 1 10553 919 3 16378 3230 3 1947 757 4 19485 910 2 5585 2878 7 14682 1244 7 11947 7911 4 14994 3167 1 19428 4599 1 11512 6252 2 7203 3272 1 12375 148 1 8610 1466 2 16467 201 1 13870 532 1 6308 496 1 18866 5555 1 13705 5446 4 9195 4746 3 2400 6047 8 12257 7128 32 7991 5618 1 19995 2009 1 13207 3181 1 233 1298 3 4769 1762 1 15743 525 3 18533 4996 1 2818 1728 1 13972 3536 5 19134 3081 2 19805 3511 6 14026 429 1 6045 411 1 5433 3117 1 16431 7506 3 4213 3706 1 4498 1250 1 8368 6053 1 10301 1691 1 7886 1374 2 7 210 1 13859 3593 2 7034 2081 4 16636 2748 4 7498 3283 4 19561 2369 1 11403 3696 1 14023 4293 14 9952 805 1 6340 3834 1 12406 805 3 7995 7350 1 20148 3419 1 14582 1266 4 13620 1235 1 17388 5670 4 3894 6687 1 15948 1146 1 15281 303 1 19364 1150 1 11003 197 5 10911 590 1 12787 4255 1 11282 6713 1 5582 1784 4 15362 3998 3 17996 187 1 5254 6031 4 18089 4998 1 14395 6502 1 19336 3600 1 2449 48 1 8687 5481 1 8409 4241 9 5989 1783 4 189 2415 3 8389 3748 1 181 8230 1 8440 200 3 7893 3615 2 7135 2353 1 10856 871 1 845 1374 1 6183 1249 3 1706 1253 1 13674 3278 3 8930 7877 5 8458 1965 1 15184 525 6 10156 3849 1 7523 3639 1 13705 3979 5 16272 4622 1 19391 4274 9 15117 7096 1 17220 869 5 168 7577 1 16036 8045 6 745 1788 1 13806 567 1 17889 5744 1 174 7994 1 11933 5922 1 5739 2358 1 12258 7538 1 11336 1383 1 1792 7413 1 14813 1363 1 18695 1818 64 15718 3876 1 14599 810 1 3907 4204 1 15714 826 2 6070 6570 1 18939 3929 1 8674 7426 1 7573 1788 1 15061 2489 1 11584 201 5 1693 8156 1 5429 7392 1 14727 5758 1 7380 982 1 13172 1474 1 9598 5625 3 10999 1152 1 18912 1342 1 17542 4511 2 6848 74 1 7916 1245 1 3109 4950 1 16641 4698 1 17037 1404 2 18089 211 1 8528 4720 18 8209 7182 1 11492 6064 7 13574 809 2 9081 1299 1 5449 6021 1 4243 1610 1 17610 6534 1 13783 7503 1 6407 153 2 7267 1996 1 3532 4780 1 11653 2675 1 12078 3883 15 17431 855 1 13421 3950 1 14562 2678 2 13384 6669 1 14522 5234 1 15532 858 1 13799 1772 1 17695 201 3 9564 2450 2 2817 1775 32 18665 8212 2 18034 5612 2 13829 1719 1 5638 1781 2 17203 6917 1 984 1992 2 8162 7556 1 15634 2262 3 2345 6545 9 19427 5336 1 20013 3714 4 1361 3389 1 12887 1253 3 12333 2269 4 19840 470 1 16249 214 7 11533 7690 1 18667 1829 1 6848 2363 8 18568 1209 1 11871 2295 17 17353 1745 3 4716 184 2 12640 7425 1 11398 1252 3 2972 6481 1 9521 219 2 14900 1738 1 9566 905 1 10391 891 1 6188 1464 3 9501 6064 1 11848 1778 3 121 947 1 10052 8096 2 13743 2877 3 685 52 1 655 7708 8 6869 8013 13 8356 225 1 2287 5325 1 14615 525 1 4263 452 3 8965 2361 1 13046 206 4 1703 910 2 7931 2689 3 1391 361 1 5637 498 1 10393 1825 3 5414 4198 1 1005 1761 6 13336 2336 1 12079 2675 1 11162 1713 1 9194 3494 2 14934 1359 1 7944 4182 1 2302 1244 6 8286 6793 1 13263 3442 1 13794 5319 6 11926 2636 1 6681 1124 4 8856 3979 3 2167 960 1 16474 3275 1 6064 2493 1 15740 7519 4 9703 2637 1 46 196 1 7700 260 1 20094 2765 1 12067 1119 1 20272 4621 1 1519 201 1 13252 3293 1 20182 2489 1 11341 6609 1 12790 132 1 2345 235 20 10000 1322 3 11054 219 1 18876 5268 1 3427 4618 2 12404 3190 1 20044 3525 1 3877 7774 1 2153 1235 21 6791 7475 1 4524 6754 1 12367 4403 7 4147 2737 2 18682 6480 1 8850 506 2 11786 6268 1 6697 23 4 6742 2683 8 19649 235 1 11832 1341 1 2934 6527 1 14837 3333 3 3253 3275 4 19960 502 4 12887 3972 3 16327 512 3 8597 4798 1 18984 3605 2 15584 1717 2 10360 1261 1 1467 5269 1 18040 7878 5 872 235 1 10043 1955 3 17681 8171 1 9094 303 1 8051 6038 3 14131 512 1 19946 411 1 6120 7853 2 13172 95 1 9816 1788 1 14211 7655 2 9656 4343 1 8822 4351 1 19886 6234 1 712 1721 1 2020 1301 1 873 4511 1 7295 4198 1 20081 5774 10 3362 158 1 6172 4263 4 13905 5432 1 15429 225 1 7039 3167 1 6796 4333 1 2619 4056 1 5309 219 1 13164 7470 2 17887 2263 1 4095 1814 1 17033 4435 2 12623 3216 1 5304 4062 1 15065 1768 2 14114 874 2 15409 4369 2 13153 2363 2 873 3809 3 11964 1235 1 18833 411 5 17371 3556 1 2762 1743 3 1305 237 1 14629 7541 1 3072 2030 1 2842 3629 1 7025 518 1 8560 3615 1 16314 1245 1 1607 4005 1 17916 3637 14 17607 1153 3 15217 3618 1 5720 2076 1 2858 574 3 2931 4274 2 14998 1269 1 12387 3511 5 20180 764 1 16875 253 2 18368 1975 1 3812 7719 1 14427 891 1 13730 6609 1 9077 1244 1 11799 3471 5 42 2182 1 19322 7857 2 12819 206 1 10533 7518 9 9928 203 1 13110 7761 1 14900 222 1 10137 2863 1 19400 6776 114 18211 4397 1 16849 207 6 8626 6897 1 19990 910 1 974 1331 1 18886 494 4 7688 4923 7 11616 1035 1 19266 3628 1 4960 5518 2 4001 1688 1 267 232 7 8528 4992 1 2044 5324 5 639 5618 1 12489 1237 1 5875 1374 1 18089 2170 1 7799 2111 1 13847 411 25 10244 1251 1 14828 894 1 17929 4245 15 615 268 1 8830 498 1 18465 187 2 9703 1613 5 3048 2001 1 10764 244 2 8007 509 1 1875 3146 2 7609 1814 5 5330 532 1 10034 4489 5 9060 219 3 19272 7526 3 6215 2392 34 5363 4890 19 5612 3715 1 9718 656 1 18790 3935 1 43 2262 1 15685 3315 5 11343 2534 2 16378 2678 4 12619 1298 2 5007 7933 1 2305 5762 2 1612 206 2 15599 1253 1 5132 3228 1 4043 196 1 19470 7466 1 7604 7540 1 6018 382 11 11351 2979 1 6158 3671 4 6418 3828 3 33 1831 1 18486 4761 1 18101 1699 1 8890 5670 1 5741 3345 1 4054 1829 5 2985 624 1 16181 2675 1 249 1909 1 16592 7066 7 5475 761 2 2359 4816 1 1384 6242 2 8827 1339 3 8898 2522 1 8512 353 1 1073 1819 3 216 1428 2 9061 687 3 14063 4446 1 1816 2641 1 4089 3423 1 2435 411 1 4392 23 2 7530 6500 1 5870 4982 5 18115 377 1 16509 7337 1 13187 259 1 14758 4207 1 17522 4774 10 7096 2675 3 18867 244 1 4182 3980 1 11769 3257 2 14980 6371 1 14660 3334 6 17625 1359 1 12537 3427 1 11773 7083 1 745 1706 1 1608 1109 2 15184 1745 8 10246 3230 11 7258 1247 1 18667 541 1 10000 1338 1 14937 5903 2 7997 5156 5 3651 2651 1 16176 3448 11 5352 1662 1 13615 867 1 1625 3039 1 6183 252 3 4996 7456 1 7943 225 7 9986 6487 9 7363 1253 2 1513 6408 2 18536 7136 1 11901 1241 1 745 1758 1 5952 252 9 6962 4218 1 6403 8141 1 12007 214 2 10926 4622 26 286 6892 1 20077 7689 3 143 6657 1 7206 868 1 17580 4648 1 6676 6507 1 16736 410 1 69 3274 2 14519 5023 13 12312 5016 24 11574 5567 1 19022 231 4 15935 4992 1 62 2814 1 13961 229 1 14487 4967 1 16956 6515 1 15835 5116 5 6452 711 1 1530 3230 2 10794 3907 2 16939 3049 5 5038 7215 2 4195 891 1 17328 2421 6 6749 1312 1 8732 207 31 8378 904 1 8844 3637 1 442 5018 2 8108 417 1 13 772 1 15619 1849 1 17947 2009 1 8468 1779 1 9249 4944 2 4879 1703 3 10736 1042 1 19429 7221 8 15712 2401 2 10316 1321 3 7800 1777 2 11634 1982 2 10957 2534 1 4756 207 5 17676 8194 3 15794 7754 1 13258 5018 10 19510 1722 5 14476 1825 9 873 4412 1 6956 200 1 10973 95 1 10518 177 1 12279 4345 7 2917 4029 10 11861 496 1 8879 1150 1 6007 5809 2 1780 3338 1 5132 1747 1 17371 6276 12 8674 4069 1 704 3540 1 12613 7404 1 11533 3868 1 9432 7674 2 17231 8117 2 2397 4937 3 17477 1707 1 4878 7881 58 16860 7101 1 1937 334 2 12521 5846 5 7851 3275 22 3892 4807 1 4002 206 1 1898 1244 3 295 207 1 1685 3430 1 16271 874 1 10316 7670 4 422 554 1 10550 1698 1 4020 6677 4 13881 6979 11 3521 6756 4 929 1582 6 11411 995 7 9227 919 1 11388 3020 1 6330 3494 4 3491 864 1 10988 668 1 15633 201 1 16557 221 2 19630 1717 3 7536 1277 1 3397 689 1 4480 1369 1 35 1928 1 19374 4972 8 16180 834 1 11601 7407 88 8370 5302 1 15269 4435 1 10290 1342 2 10882 6880 4 10563 7018 5 5769 2964 3 9208 2294 2 17992 7176 1 10686 5493 1 16567 7890 2 17886 766 2 278 6931 1 14970 930 1 3857 1209 1 19817 7216 1 1490 2356 4 9725 385 3 9864 4236 1 1422 1613 3 17392 3072 2 17647 6945 2 16719 3685 1 7203 2626 2 14473 1946 2 15970 304 1 6114 4369 1 9299 215 2 6888 7259 18 2886 1304 1 1710 2352 1 1908 156 1 812 5011 2 13461 7829 1 3521 4009 1 15510 1658 1 8394 370 1 1776 1877 1 12142 5253 2 3296 1333 10 18089 499 1 2997 1721 3 11763 600 1 14699 506 2 1894 207 1 8709 3421 1 17910 200 6 9802 1819 1 10073 7720 1 322 514 2 13289 1454 2 390 4612 3 9312 6113 1 16112 5186 1 14312 723 1 4147 7013 1 1402 4310 5 11530 3211 1 13781 867 2 153 2720 1 123 5378 6 18979 1031 2 14445 3410 2 5994 6993 1 17803 5855 1 9017 3065 1 12136 134 1 17392 1775 2 13617 3484 3 2156 221 1 12526 508 13 18979 4662 1 9205 3114 1 18359 5133 1 5379 3775 1 334 905 9 10374 5262 1 1312 925 1 10272 23 1 4092 1307 1 12406 910 1 4950 6064 1 7358 5159 3 94 426 1 11968 2419 1 11720 2729 1 18533 6185 1 8361 495 3 12652 2675 2 4615 4554 1 3815 6059 7 10974 3138 1 10988 1103 2 18033 2228 9 5639 6084 4 19608 2343 6 18574 3511 8 7099 223 1 690 769 1 1772 74 4 948 232 1 16264 340 1 18211 5254 1 17224 215 1 8201 1253 8 18968 2964 1 9074 199 1 1128 201 1 14955 1535 1 18949 5319 1 6502 4407 3 10661 4653 10 8815 220 1 17776 604 1 204 525 6 3258 316 20 11407 222 1 4663 629 1 9778 3373 1 6341 1297 5 1915 502 2 20125 1466 3 11590 3964 3 1841 6541 1 14986 2392 2 12009 1768 2 16754 3511 21 14993 1908 5 17150 2352 1 5479 148 1 15774 3743 1 16090 2651 1 17633 3562 1 1231 7657 11 2878 6338 3 16745 4435 1 18089 5551 1 14898 2147 1 9978 7379 5 18876 808 1 2146 4599 1 2226 7101 1 1206 7092 3 15559 5440 1 1906 5460 1 10688 5532 2 12158 6225 1 5420 6576 1 13626 7666 1 19331 1761 2 17076 2620 2 3439 3233 1 19554 6100 1 5675 2366 4 968 1705 7 9303 1261 7 6776 1239 5 18798 5336 2 1379 4209 1 6458 7461 1 390 1573 5 11789 7412 2 8198 7347 4 924 2675 6 14522 1374 1 18939 229 1 13388 7734 2 10404 177 1 6341 1267 3 2025 4322 1 19626 4242 20 14634 244 1 17337 452 1 6308 498 1 17887 1417 1 14049 6162 9 1488 6534 2 17105 510 4 15031 6736 14 1989 2250 1 14147 6754 1 6423 5959 1 6717 1705 3 823 1781 2 9479 3997 1 10824 4036 1 13717 197 1 12385 221 24 1185 7494 1 3692 3175 6 16897 2580 1 7507 4992 1 20090 449 1 15599 1698 1 10720 412 1 10495 1762 10 6756 4266 1 14400 4319 1 11159 3230 1 8093 222 2 5053 5177 1 18531 1769 1 7352 1491 2 6139 2560 1 19737 229 10 10663 1752 2 15549 2528 5 6341 4877 7 5877 1246 6 13658 753 1 18623 220 1 17631 2115 3 15588 6683 15 6536 1761 1 4214 721 1 4397 719 2 18936 2971 1 1638 2269 1 6164 2877 10 19440 1737 1 6010 411 5 15687 964 1 11428 3540 21 3759 6209 2 13385 420 1 6450 4952 17 17572 5026 4 2588 7857 4 18144 5561 1 14350 3592 1 12077 1395 17 2511 578 1 14828 7440 1 17455 1105 3 6848 206 11 15688 1991 1 1692 3906 2 4859 6204 8 16802 6756 1 19089 23 3 17167 223 1 11312 4622 2 10065 3006 46 5849 2534 2 13304 2710 1 10101 184 1 171 7681 1 17244 7936 1 17633 2721 1 9596 1067 4 19872 401 1 13342 215 4 965 4879 1 20170 7397 1 7769 1658 2 102 1751 1 4092 7013 1 7696 3284 1 12222 2294 1 12392 215 1 16063 947 2 5415 2682 1 6556 1396 8 3139 524 1 4444 888 1 12177 1483 1 18193 1450 1 4913 7831 2 9323 1999 1 7829 1234 3 9989 2995 1 8993 4435 5 6332 356 1 10065 841 1 4259 524 6 5961 1042 1 6559 2476 1 9479 1095 1 10457 3478 1 12030 888 3 2689 222 1 3146 6038 3 19655 631 1 13075 8039 40 655 3186 1 12 530 2 11192 3081 1 5358 6914 4 18561 5148 2 3040 7719 4 1062 2225 15 8344 4006 2 17300 3684 2 10942 193 1 19872 148 9 3059 4318 1 11327 505 1 7571 1046 1 7538 5618 1 5176 196 2 126 5652 2 11533 202 1 17066 3754 1 12809 2064 5 12972 1383 1 788 1184 2 2674 3230 1 16249 1784 2 9432 1286 1 11363 6520 1 4105 5408 1 14899 4723 8 8905 904 10 1345 188 1 7179 3530 1 16448 891 5 10805 8139 14 16997 6884 5 8383 2978 10 15423 3155 18 19486 1269 1 13347 7600 1 5481 200 2 6755 5758 8 7970 1131 1 17302 1961 4 15298 6482 1 6431 1603 1 6446 2881 1 13187 1269 1 8378 666 19 7483 3998 1 14471 3604 4 6308 221 1 6242 3643 6 14048 1991 1 9616 7719 2 15766 1399 6 10195 4351 5 13692 2855 1 8607 1604 1 640 6713 1 2726 1695 1 18462 656 1 617 5018 12 15403 207 1 11755 861 1 12244 5970 2 37 477 4 15607 1814 1 10492 6473 6 6063 6080 1 13907 3446 1 15184 664 8 14105 1263 1 19286 2993 1 8749 207 2 12540 584 1 12929 1331 1 349 721 7 11336 793 2 4055 4517 2 8494 200 6 3106 184 3 3791 501 6 19877 1276 2 14780 502 1 109 4932 1 4290 5873 1 11354 201 1 3233 1987 1 13003 514 2 9537 1007 1 11399 4490 3 17796 209 10 16249 853 1 7160 6699 1 7045 5324 5 10604 2936 5 16109 1464 4 6838 801 1 6135 203 2 7252 482 1 15629 689 1 1582 3911 2 5765 4510 30 8620 1593 1 4050 510 1 16604 1321 1 9469 3905 1 16768 534 1 5254 7250 1 11020 571 2 16138 4816 2 16680 223 5 17845 200 2 6867 1117 4 3406 7668 4 1604 525 2 7819 5004 1 15937 508 8 6440 203 1 5218 508 2 470 888 3 18554 2722 2 17304 23 3 4106 234 1 6190 1677 2 11065 1718 8 15367 252 1 8760 6656 2 17195 6011 2 11428 6698 4 14711 1334 1 18608 944 1 2328 190 1 19649 1248 1 10883 935 1 14196 6435 2 4619 927 1 8343 827 1 17403 942 1 15833 861 1 19440 3227 5 10730 4950 6 9700 1239 4 13792 6341 1 3581 1423 17 12469 2632 1 16860 6890 2 5443 7942 1 16775 659 5 4562 534 16 17518 2009 6 7681 6481 1 7142 518 1 8664 3400 1 13982 1717 1 10360 3960 3 4106 4022 1 13526 2398 3 3641 2904 22 20168 889 2 20187 7407 1 5877 74 8 17228 532 2 1823 2682 1 8278 203 8 3570 1903 11 16111 1703 1 17431 5203 1 124 5486 1 6861 1243 1 6341 1105 12 11597 7240 1 2420 2186 5 14358 1907 2 12116 3106 3 11233 84 1 8775 7427 1 12492 1814 1 18069 2009 13 18567 3193 1 13730 1245 2 512 6558 1 2867 201 4 2350 2369 1 19138 306 2 7592 5018 14 5560 2353 1 1275 229 1 9644 206 1 16595 1539 1 1898 2781 13 7613 5120 10 19139 710 1 9561 579 5 9629 944 4 16018 3556 6 6988 6200 5 3504 2068 4 11269 2978 33 4328 1613 1 5728 1704 1 13997 604 1 19241 3556 2 16016 3634 2 15127 201 1 10054 2399 1 14993 6079 9 17078 214 1 11441 1423 4 259 7666 1 14301 108 1 886 3781 1 8023 745 1 2848 2123 7 334 4623 22 6120 7518 1 5357 2729 9 20029 3998 1 8159 869 3 19644 10 1 8041 215 18 5314 5715 1 19503 390 1 8784 3552 2 5500 5394 1 1844 164 1 11336 6502 1 17481 4819 1 3775 2569 8 17014 5971 3 6724 652 3 5010 5266 1 14728 5758 5 13254 5138 1 4976 1738 1 15346 21 26 16281 6012 10 5515 2179 1 13880 623 1 4606 4796 2 13655 1728 1 18144 201 2 10008 648 1 10016 995 6 14934 1827 5 16388 5737 1 8546 825 1 162 7394 1 4971 1369 1 13919 935 1 11524 2836 9 3889 3556 20 11968 8045 1 4880 780 1 11365 2009 1 5793 200 3 16439 1399 1 5938 4019 2 15239 1475 1 17830 1379 2 3238 2407 1 2807 2362 1 6069 3494 3 933 3909 3 5911 3462 1 4338 2912 1 16563 3294 1 12988 5442 1 14063 1332 2 8872 506 7 4947 1720 1 18357 545 1 633 1587 1 7858 5523 5 6989 709 1 18010 7683 1 3138 1275 9 8960 3909 1 2846 1294 2 11804 6155 1 5909 135 1 10539 3757 1 6964 2480 4 11097 6035 1 9395 291 1 1948 2691 8 4304 2104 1 3201 863 1 15025 1714 1 15041 1819 1 5024 7331 1 4573 6435 1 16566 2671 6 19355 1249 11 9939 6341 1 6506 3515 3 14754 1955 15 10754 1814 1 11916 4974 1 19326 1342 1 5172 7756 5 7449 6484 2 9937 1251 7 19061 1996 1 16600 557 2 4488 3430 2 13806 420 1 7049 1745 1 4057 656 1 14238 1729 7 6026 6048 28 1265 5853 1 13140 2111 3 1588 6776 2 16350 1819 1 2937 1417 1 4347 1695 2 2707 2559 1 17870 2355 2 1969 1354 3 6848 1751 1 2494 303 6 18543 3516 1 7017 2111 1 20127 1498 7 2380 2581 1 11808 2920 1 15412 203 10 16373 6022 1 8183 727 1 19364 5817 1 15343 5434 5 16670 5820 9 9957 7788 1 19774 3535 1 5706 3233 8 18944 7972 2 3090 883 3 13363 726 2 7286 4413 8 572 6083 1 7938 205 1 17740 1743 20 812 6053 6 10171 891 2 8747 1867 1 10732 867 1 12496 3493 1 15955 1363 1 6572 8109 2 2850 684 1 17966 1711 7 1756 6482 1 11581 1464 1 7857 225 1 9475 1781 6 3581 477 1 8542 3563 1 6752 5874 1 13740 7815 7 13853 8203 2 7947 1705 1 136 6256 2 5394 2658 2 9212 6051 1 15850 3425 5 15220 1727 3 5744 499 1 17152 1720 1 15740 335 12 3694 4096 2 2716 4481 2 9803 7614 1 13478 3502 1 19328 5008 2 11008 1730 1 12185 2556 1 8097 7244 1 1330 2789 1 2860 3693 3 15992 2126 1 6448 4252 1 17742 227 5 12414 545 12 19688 302 3 15388 1247 1 9910 1740 2 9960 3899 5 16570 453 1 9097 6091 3 10593 1819 7 4599 1814 1 16137 13 1 4539 1743 1 7397 2260 1 8369 2026 1 18671 1210 1 14155 7127 4 9883 2871 2 6656 518 1 3575 7592 1 11148 5260 6 10765 911 2 16468 4019 1 16674 3606 1 6890 1296 1 5656 219 10 19399 7811 1 15974 3511 1 14666 2653 5 18973 1721 1 15100 316 1 10354 2241 1 17696 3685 5 8530 2465 1 17291 200 15 15025 6669 6 5596 1728 1 14583 3408 1 10916 822 1 149 6739 2 2877 3361 1 17886 5804 1 14350 4894 1 15307 186 3 5943 5252 1 15184 1395 5 7185 1705 1 10442 1228 1 9072 330 2 6681 274 1 5626 341 1 14362 3738 1 16844 1312 1 4307 5771 2 3698 1613 1 13328 744 1 2273 6196 1 3454 3119 1 15272 201 3 18518 6127 2 18237 3556 9 20258 4204 5 3189 431 1 4205 1248 2 265 6831 1 10290 1734 1 13913 4966 6 19472 792 1 999 4299 1 18646 628 1 7252 1067 1 16557 1464 5 171 7781 1 15122 1702 1 7604 1705 1 13748 5442 1 19140 5243 1 87 1732 1 9963 1247 4 7345 2992 1 12693 3228 2 3309 2938 1 4180 7910 1 11218 4013 1 19782 1328 5 770 4972 1 13683 2149 1 18105 2949 1 443 193 1 10531 303 1 12292 1731 2 8391 690 11 386 2560 2 4288 2027 6 3795 2736 1 12168 5582 1 2819 1244 1 17511 6053 1 8528 411 1 16746 6252 1 8522 3255 1 12935 3663 1 15682 4246 1 11827 5018 1 1730 4902 1 12911 1748 1 11775 5487 5 18193 156 2 6312 1252 3 19486 1208 1 5459 3798 15 1860 7913 1 12740 502 1 14558 220 2 3786 221 1 11569 7530 1 8528 191 2 1442 5082 1 10644 3884 1 7463 471 1 16439 219 60 2209 1946 1 3471 1705 6 10342 3323 1 19822 5427 1 3822 2344 1 18968 1312 1 12513 196 1 2098 1721 1 4880 790 2 14493 1825 3 7700 3050 1 4841 5256 1 13591 3954 1 19559 1656 1 6477 222 1 13329 1713 3 5255 2216 1 11566 6166 1 11009 3493 1 11415 719 1 6478 6692 1 9404 508 5 11581 1342 1 873 222 1 770 1721 1 18237 173 9 5385 2853 1 764 207 18 14813 2720 5 12614 2698 5 19405 1193 3 6158 2727 5 6736 4559 1 19648 3710 4 79 591 1 20278 477 6 314 4635 3 5589 1748 1 1135 207 45 362 3180 11 5152 1831 1 10391 221 2 15985 8203 5 7426 128 1 3529 8060 1 1612 23 5 9427 7326 1 14896 2860 1 4257 4397 1 14845 5018 2 14896 525 2 7986 6140 1 8343 6680 1 13922 46 7 10038 203 1 13427 164 2 19747 5105 2 17962 6295 6 12908 1474 1 17767 7670 2 16036 8054 1 7219 491 1 8493 2675 1 11987 103 2 1950 495 1 8597 5586 27 19211 838 1 13619 1357 5 9445 2360 1 12182 6212 1 10856 827 2 6899 2899 1 5494 755 1 18382 5257 2 1853 855 1 16299 5517 1 484 3697 1 15 998 1 18872 672 1 13147 200 1 16096 2990 2 9127 3203 8 181 7097 1 2292 7018 1 3133 4266 2 5161 6278 5 2876 1717 62 7432 3212 4 14566 1184 2 19272 4939 3 76 3500 1 4851 1784 1 513 1796 8 18460 3045 6 18071 4944 1 13065 1724 1 20014 2132 1 4023 1273 1 5638 3511 2 12641 6969 5 20076 5820 1 13155 6421 1 16645 1726 1 19872 877 1 3557 200 1 1428 4366 1 7832 7506 1 14758 1042 1 142 6492 1 12979 7425 1 9388 417 1 12580 1783 1 14444 6192 1 17055 5873 1 9911 5262 1 54 2599 1 4165 5326 1 7435 7542 2 14350 1367 1 15398 722 1 15896 541 1 15940 141 21 10796 860 1 7000 753 1 4162 3334 2 17436 679 1 15428 1007 5 2918 809 1 11251 3880 2 3460 7815 4 9395 2025 1 15619 7461 5 7507 1771 1 19954 331 1 16205 222 1 12461 512 3 19486 5325 1 9835 4976 3 7520 215 5 15339 1764 1 9318 6414 1 7208 7599 1 2262 3828 1 513 1072 1 5929 766 1 3343 411 3 14994 7458 1 12897 10 1 19470 411 2 11156 4713 3 11212 518 2 14308 3129 1 12247 3697 3 7022 5064 1 2710 520 28 8494 207 1 4828 2853 1 13148 1656 1 2263 2351 1 15608 1775 7 308 3333 1 4536 2294 2 18841 2698 1 822 2367 1 11270 425 1 107 4800 2 18455 1721 1 3150 1768 1 16773 4411 2 2905 7602 1 11270 2737 1 5658 221 4 18237 1769 5 212 7351 2 17416 2721 4 19152 7828 4 12361 344 2 9138 1825 6 19761 292 1 8507 6627 1 1999 1295 1 12856 6700 1 13055 6535 1 2149 4261 1 17981 1062 6 4467 225 2 3416 7570 2 3043 220 2 17376 35 4 5345 1711 5 7415 4622 1 19511 417 1 19926 4796 1 1086 411 1 11502 5318 1 8343 1282 1 18501 411 19 4301 3747 2 2284 2009 1 19026 5018 7 1743 443 3 18609 196 3 1752 1762 1 1489 7229 1 8055 1752 10 15292 348 7 3822 5460 1 15427 1769 2 7838 1763 1 10046 1718 5 10694 201 1 9279 1778 1 6837 208 5 8192 7213 2 14232 221 1 5243 3911 15 4547 1399 1 378 2216 12 8274 995 1 12372 6159 1 7065 2641 1 4985 4132 1 16862 8031 5 4189 3554 1 19866 1184 1 6183 466 1 14239 1718 3 8689 2646 7 5617 1239 1 14070 5380 1 1584 156 3 6668 5341 2 17384 658 1 9085 3288 1 5963 589 1 10720 4698 1 3060 3647 4 2716 5758 1 3705 23 2 6781 1284 5 16927 1761 1 7800 3434 1 10741 1337 1 3485 1200 1 3197 1535 1 4047 665 1 6317 5318 3 8811 4528 1 774 1237 1 1028 3803 1 3853 3306 2 14865 2800 1 11067 5324 4 8526 4902 1 8814 7577 1 13992 2605 1 17124 7607 2 15793 430 1 10170 6197 1 4437 8029 3 10916 4044 1 17076 4073 2 7246 5432 38 17992 1184 1 13429 23 2 1171 6152 1 8083 7535 1 10961 3679 2 6283 1756 5 11192 4314 2 17066 5834 2 270 1724 1 222 899 1 4092 849 1 12766 554 1 3889 200 3 4811 888 2 6651 1531 13 10792 23 10 16185 3000 2 4289 225 1 10381 1363 1 5255 7229 29 222 367 2 17178 1727 1 6758 2964 11 7987 6139 1 7570 6538 1 3395 2068 1 12702 7580 1 14618 1610 1 2886 694 1 11887 1321 2 18876 201 1 728 502 1 16379 4389 1 18462 3697 1 15025 1638 5 17590 5997 1 18681 3699 5 8394 4680 1 19096 6052 1 11314 2969 1 4410 15 6 9494 1740 2 7065 1303 1 9269 904 5 873 1234 2 6327 1760 1 10669 1302 2 7363 7689 5 5303 3588 5 18922 1405 11 20128 2552 2 12452 7538 1 572 764 1 18214 6243 1 1631 3007 1 5952 4945 1 14988 2497 1 16573 1184 18 15978 525 4 6762 8084 1 121 741 1 4451 236 1 4663 2517 1 15041 184 2 4688 603 2 15634 3057 3 50 2500 1 14901 4296 2 11968 5538 1 2321 2881 3 917 6662 1 12 525 8 822 5448 1 8220 2449 1 18141 2675 2 1465 207 19 14292 304 3 6867 5287 1 15211 712 1 13581 2478 5 20048 8047 2 1814 4060 22 3038 7474 1 11192 4852 1 6457 1250 3 7634 1770 3 2449 5750 4 10034 3588 2 6888 214 15 5363 737 1 6414 1635 1 14633 3583 1 12133 429 1 6418 252 1 108 4858 1 2473 1308 1 4620 6198 4 19399 2876 2 7999 1304 1 133 6080 1 12090 670 6 3029 6011 1 174 7876 3 9841 1505 3 13978 3063 3 3199 8139 1 11250 200 17 2737 2632 2 12378 6880 1 19608 867 4 5515 411 1 9168 709 1 15339 206 2 10313 4251 1 4503 8183 1 5631 367 1 14492 8157 1 5628 431 1 5018 5004 1 17028 2269 1 10586 3079 5 5862 3059 1 17477 1739 1 13046 1727 1 17201 8135 5 5637 1710 1 9541 7411 1 967 1755 1 12817 2002 1 7065 4296 1 18411 3298 1 8311 1730 1 10966 8188 1 17324 4022 1 6749 2720 1 3484 2421 3 10019 2635 2 18561 2820 1 18901 1046 4 14862 201 1 12317 215 7 9422 6132 1 15346 1245 52 20182 1288 1 853 3798 1 984 525 1 14569 1450 1 19740 274 2 18696 1469 1 405 3525 4 11196 220 4 4189 6106 1 10923 2614 5 8083 374 7 432 3132 2 1838 270 1 3206 2971 1 11029 3113 1 13187 6082 1 7358 3956 1 15687 5425 1 13108 1656 1 15114 7433 9 4054 8141 11 18748 4245 1 4791 1334 3 14615 1722 3 14517 2894 1 5775 196 5 741 197 4 16354 204 2 834 1686 3 16358 2358 1 9419 225 1 16912 826 12 11949 4070 2 18193 188 1 12025 6435 1 6332 275 1 1206 5603 1 478 5416 1 15310 2709 1 1488 709 1 19056 6543 2 17680 3276 2 6105 3262 5 2281 2097 1 35 1898 8 19724 1250 3 13729 6102 2 220 525 12 17378 233 1 6852 6164 5 12982 6533 3 4092 221 2 2921 2254 6 11336 5505 1 1960 1960 2 764 2555 1 1964 4261 1 10705 7672 2 11786 6525 1 5326 4435 1 5189 512 1 4870 723 2 2905 365 2 6022 8141 1 15122 1825 1 23 1444 1 18879 4263 1 11278 4658 1 3383 5708 5 11697 1464 2 14613 2675 2 10602 3669 1 15364 2918 1 18922 1981 2 3253 470 1 17404 1703 1 16720 4719 1 18762 303 2 14663 5506 1 15214 671 1 14055 203 1 7264 609 1 1721 1332 1 1558 903 4 1981 5453 1 15448 7229 1 15448 3666 1 5414 3060 8 5631 3626 1 4788 1764 3 16487 1990 1 16057 2646 1 17088 1778 6 203 7616 2 8663 6538 4 12074 545 1 16612 2248 56 5453 1253 13 17773 3872 1 18625 7731 1 19373 631 1 18193 495 1 14469 357 1 7135 1771 1 12733 3159 1 18116 1705 6 19348 3476 12 3947 1252 1 15144 471 6 13999 2424 1 8117 1784 1 701 5903 1 7366 1146 1 2653 2488 3 18096 220 1 5251 381 1 10143 2541 3 19568 1757 4 5977 1482 1 8934 7754 1 14778 1764 2 12895 1751 3 18704 1261 16 16689 7466 3 220 1249 2 14753 5251 3 11604 690 1 12501 186 1 1831 4382 1 11926 7772 1 8534 3476 1 1481 2881 4 10179 2006 5 51 2526 1 1322 1728 4 16886 5252 1 19090 382 1 18876 904 8 16048 4242 1 4397 1710 2 3913 5043 1 8884 443 1 5977 1784 1 11616 5346 1 17508 1903 1 14566 7948 1 15263 1164 1 5798 4540 1 14840 6777 5 3516 7965 1 18356 4304 1 6837 5195 1 9415 1814 1 13203 375 1 17389 2691 1 3228 1364 3 19664 1775 1 16442 219 1 2204 449 1 19208 336 1 5623 6790 1 13745 2128 1 17654 5700 1 8034 13 7 314 200 1 15330 200 13 13630 219 11 19239 336 2 14193 6219 4 5605 5009 1 11183 4312 1 7316 526 2 15216 2488 1 15161 498 1 3044 911 6 8982 541 1 18543 7211 1 5992 2633 2 19632 221 1 16562 6655 1 16459 1761 1 9857 4669 1 17035 225 1 2728 2935 2 6910 1236 2 683 6255 1 14047 1623 1 17985 3228 1 12159 8146 2 6811 2542 5 13503 1424 1 11374 6671 1 8406 5425 1 2591 495 6 3069 219 1 2629 233 3 4898 512 1 10443 3062 5 9815 3602 3 7017 3578 5 11149 5523 1 11192 1277 1 11937 4103 1 7256 4251 2 6672 3748 13 15896 1942 1 432 4274 1 18101 2735 2 14516 365 1 16438 295 5 16928 1995 3 413 1405 1 20204 1955 6 17252 5341 3 14150 348 2 14960 651 1 4449 7423 6 1979 4811 4 4022 1188 1 4602 5700 1 19159 7279 2 15570 2815 2 4050 1748 1 20123 2001 2 11705 6009 3 12312 156 8 40 2104 1 17604 3446 1 19957 4314 1 19494 2926 1 12053 490 1 49 2477 1 11480 6721 1 2349 203 11 17331 2360 1 15935 3411 1 153 7056 1 10852 4591 1 5757 3510 13 17715 2392 14 11416 7933 4 9966 7599 7 8367 3267 3 11857 1244 2 580 1784 3 19812 1249 2 7685 1292 15 379 4612 1 1276 6341 1 3595 1695 1 16792 2363 1 4952 219 98 5638 1184 2 17432 1825 6 171 3057 1 712 2508 1 19597 2362 1 8143 8041 2 11185 4357 1 11985 232 1 10414 2747 10 5468 5255 3 20006 2150 1 14803 6710 10 1631 5372 2 10401 223 2 6866 3640 8 15885 6049 1 15648 1731 1 252 4643 2 140 6349 1 20082 7206 2 1109 156 2 6236 1324 1 541 504 1 3681 6004 3 9656 3403 2 18639 2636 1 3619 3536 3 1141 1727 2 427 1666 1 7486 177 1 12517 7011 1 7989 1757 1 7781 3911 1 13640 23 7 2360 7317 1 470 1169 1 1728 6155 2 17009 214 1 326 3438 1 16532 223 1 14328 5115 1 7306 837 1 9604 2675 9 1635 6421 1 2373 404 1 19570 70 1 6867 249 5 17 1049 1 2141 1726 2 1862 1990 1 14001 1745 1 2977 5060 2 8271 4811 1 3530 1985 5 17102 3693 1 9793 7740 1 7765 1686 1 10488 1747 1 470 1309 10 16914 4274 1 7065 3225 1 14728 3556 1 10698 233 1 16065 7255 4 3023 936 1 16250 8197 6 8125 507 1 15485 6152 7 10677 7614 1 8709 7351 2 12986 184 6 10817 320 1 3384 863 1 5982 3023 2 9067 223 2 4696 1238 1 6684 6341 4 13636 1722 1 17195 1167 5 5681 5408 1 5169 6256 1 13431 3653 1 16708 1295 1 1510 646 1 1420 1881 1 14503 501 16 2122 3317 1 16963 6067 2 1778 5348 1 8406 519 2 10396 75 5 5381 532 2 635 2191 2 12757 197 2 1604 1695 3 18215 6152 1 14236 460 1 812 4653 3 19 1259 16 18668 1023 22 15593 4580 4 3817 207 2 13581 1695 4 1570 1290 1 9699 3747 4 16286 2129 3 10092 4107 1 9697 7850 8 11362 3512 11 5422 1248 1 15549 3910 10 10000 2641 1 9323 5115 1 4233 1762 1 11863 201 1 15307 3414 1 6587 1757 1 11200 387 2 11414 1629 5 17886 561 2 1723 3563 3 16284 758 2 3980 23 2 5370 4165 2 10011 4179 16 18812 3060 10 8291 6457 3 8528 1734 4 18393 186 3 9456 1334 4 4493 1034 1 1757 7433 3 9635 3518 1 7447 7085 2 107 4771 1 17328 3421 1 6527 4387 1 4309 867 5 17946 6073 6 20085 3084 1 18981 499 4 14816 1453 16 5953 508 1 9135 2691 5 10107 5550 2 14233 200 6 20167 2778 1 1312 5496 1 10283 5162 1 7858 4976 1 857 7840 1 1677 4274 1 4460 4325 1 8135 1456 1 17669 4967 1 15314 5494 1 6589 6091 2 3015 363 1 11360 674 1 12856 759 2 16709 1796 1 3093 8034 5 9639 7450 6 873 7201 2 6116 2356 1 19026 498 1 3687 550 1 951 6167 4 12627 7225 3 19575 759 7 4848 248 6 1194 1357 1 3048 4323 1 2690 7484 3 750 2855 5 2045 1417 1 10290 221 1 10123 4713 2 9027 3464 1 8944 532 4 13218 1247 1 5601 4379 3 10309 3705 1 10267 1342 1 13291 203 26 16500 723 1 9920 5302 3 16033 2105 1 18876 5331 1 9911 5837 1 1964 4635 5 6524 2352 1 15148 4986 4 4525 1921 29 13562 2071 1 11441 200 3 578 1781 1 18711 755 1 9538 5102 5 10396 1237 2 17217 1981 4 3358 357 1 9547 1740 1 659 6683 117 16618 187 1 699 5768 10 3414 1707 1 9535 303 7 17010 5768 1 17485 3604 2 1371 1770 3 10313 392 1 2588 367 1 9947 600 1 9061 5301 3 5863 2083 2 14695 4115 1 11786 1421 4 10038 2863 2 15307 674 1 16083 1819 2 15263 184 1 6105 6075 1 14404 1316 1 15272 1184 3 6808 1278 1 16657 215 1 11918 8139 10 515 1771 1 13868 1781 2 17523 6269 1 148 2021 5 15450 3203 1 1005 3899 5 6826 2970 3 11938 514 4 13077 3411 1 16635 230 1 1416 1827 6 5785 2241 1 15750 3729 1 15144 1238 13 14718 6957 1 1172 236 2 19713 1245 4 8250 1267 1 3750 3630 6 3972 1334 2 8021 6220 2 8651 7231 1 16140 7772 1 19870 1303 1 18546 7157 2 9884 1374 8 5050 6027 2 14082 3911 1 10313 5312 1 15206 1705 1 14233 5325 5 15648 1764 1 9093 3230 3 7769 196 3 8557 3632 1 7446 4366 1 153 6920 1 623 1681 1 16036 4944 1 6273 2520 1 5449 5600 5 17932 1727 4 11172 632 1 4183 1238 3 2907 3491 1 13028 184 2 15532 3096 3 18575 5105 1 12209 6052 3 16109 5506 3 16217 6703 2 4013 2698 8 6193 614 1 1488 4096 1 19034 2581 1 873 4199 4 17184 745 3 6533 1310 1 572 2491 1 16130 7522 1 9189 3747 1 4267 1460 1 15849 2542 1 5022 3710 7 16674 2938 2 7730 5324 31 4178 215 1 14592 1342 4 5132 2675 1 11270 390 1 17415 7232 2 12592 7953 1 5515 1781 1 3818 1278 1 14706 201 1 2905 6716 2 5775 508 2 83 3365 6 4205 6776 1 9508 7380 3 1768 223 5 13390 2903 1 7046 3059 1 10221 4204 4 10146 3888 1 3092 3511 1 9956 4739 1 6844 954 1 17025 1342 1 18184 7332 1 802 5448 1 824 7988 3 9558 215 3 11235 1307 1 5738 989 14 5117 934 1 1468 1571 1 4416 8178 1 18699 6363 1 1464 7860 5 20224 7446 1 19794 8103 23 19331 1743 1 18846 6031 1 2238 4241 1 15468 1726 3 2562 1248 1 873 1380 1 18604 903 1 11550 502 4 15025 4763 1 1057 4332 1 18258 4077 1 9044 3901 3 3881 2495 1 263 1686 1 19459 411 1 9859 2357 3 6437 463 1 10557 7853 4 8327 3704 1 10340 165 2 11708 4384 1 16143 4654 2 18669 6706 33 5104 555 1 10398 225 10 10389 374 1 15853 244 4 4488 7404 6 17713 5997 2 2133 134 3 12775 6691 1 1883 4199 1 11629 708 2 2167 5271 1 4701 916 1 13425 4567 2 17220 821 5 153 7050 1 13985 3992 5 16177 694 1 9826 1296 3 5205 659 1 6236 3733 1 8203 4078 1 7702 793 1 13928 261 1 1214 7767 2 7362 7424 3 12663 2336 1 8692 3763 1 7245 4317 1 20114 408 1 7799 3367 22 16833 7052 6 9281 417 4 3012 3230 16 11212 206 1 12361 844 1 12435 4980 1 17404 526 1 8663 2276 1 18549 8194 3 1620 1040 1 6382 1081 2 4428 1713 2 15593 4564 5 3175 8102 1 11786 7199 2 16533 1783 1 11158 4248 1 7994 605 1 15821 5003 1 16262 1825 6 19461 550 2 3397 5385 1 324 4621 8 14786 173 1 9192 3338 1 13705 3516 2 10381 184 1 1269 2817 1 16909 1356 18 9756 3151 1 13690 203 11 14632 2897 5 11276 1801 1 19149 131 1 1551 74 1 11695 219 33 10826 597 2 14433 718 1 5003 1371 1 8282 4992 1 16254 2097 2 496 5252 1 6038 1776 1 7636 7446 4 11072 1755 2 10950 1791 4 6158 1483 4 18237 1751 1 13636 4013 2 3258 184 1 2585 512 1 16690 5906 2 984 1471 1 16888 4643 1 11026 2640 1 5431 506 2 4473 4156 1 14658 867 1 181 8243 1 15460 3471 1 2853 2675 1 10482 6981 1 3878 6743 1 10604 6550 6 7430 1768 1 7740 253 1 3996 1656 3 9189 6009 3 162 7381 1 1277 1363 4 11786 3633 1 6724 5871 1 14746 1324 3 11757 1721 1 14479 7210 1 11710 512 1 3847 517 2 9604 910 2 19204 8012 1 1214 1482 1 10473 2505 1 6517 6661 3 3194 2350 9 7234 5245 1 18575 2098 1 12299 8247 1 153 7075 3 5270 604 1 19892 401 1 6890 4481 11 4456 6632 5 34 1840 3 14686 890 2 950 3070 31 16789 520 1 17954 5538 1 15862 6065 1 8052 5506 1 13445 1768 1 4701 3557 1 5111 1868 4 1837 1720 1 1866 526 1 5433 2729 4 16494 5157 9 247 6358 4 16963 2651 3 1712 4918 1 11638 4013 2 16765 3591 1 15073 219 1 2436 5523 1 2480 1357 1 4089 7427 1 12376 1814 13 17947 1691 2 12312 883 2 4625 3058 1 3560 7256 2 9275 7336 1 10852 3939 2 8087 235 1 20021 8117 4 16242 3667 8 4536 156 2 15888 2010 2 5709 3695 2 11252 2670 1 6688 201 1 4667 5851 1 13836 3077 3 12006 1954 1 1586 1747 1 10525 508 1 13698 5809 1 8503 7902 2 3556 200 1 73 46 1 8066 200 1 7904 747 1 18410 1661 19 4966 3666 2 1945 225 5 17809 505 3 8425 336 9 9602 186 1 16442 1176 1 7411 1995 1 13883 7731 1 159 509 1 4859 545 1 2443 496 1 6068 2883 2 19563 4606 1 7617 38 1 16450 3823 2 8528 7606 3 8525 1727 1 1849 5525 1 13293 348 1 8735 3322 2 17377 949 1 14837 215 1 6818 2030 2 5531 5325 15 4774 2552 10 12466 471 4 17015 1755 1 9741 4402 1 986 2605 15 20194 6349 1 6809 910 12 2415 2150 1 16327 1713 4 15211 2508 1 10856 786 2 10266 2979 2 6284 2362 7 17436 34 3 19723 219 8 3532 381 1 353 1474 2 5785 4245 1 4147 447 1 13484 3985 2 7879 2555 1 16023 411 1 2716 1990 1 16605 2355 1 15314 100 2 7147 177 9 8892 156 1 16033 2407 3 3081 623 7 5993 173 3 18328 1942 1 11349 1369 1 9924 3113 1 11181 2403 1 11511 1363 1 16843 3361 1 6820 5325 1 6015 5305 1 9475 1747 13 5312 184 1 15142 397 1 18548 574 1 14629 3798 2 4092 4609 1 8151 74 5 4274 906 1 6772 1726 4 14053 150 5 17664 5272 1 17185 3540 1 10105 2646 4 11999 4137 1 13452 4203 1 17055 5888 1 15885 4806 1 1705 4591 1 19217 5066 1 19232 2472 1 1474 8183 1 15096 3477 3 18557 505 2 4459 1256 1 11614 8067 1 13219 2881 39 19312 303 1 8047 223 3 384 1760 1 2803 2955 16 18471 6697 2 13084 214 4 4268 205 2 18070 525 9 10878 4333 1 15056 6394 1 18035 4039 1 13611 1465 1 991 499 1 12981 203 1 16881 4465 1 459 3620 1 10417 4612 2 9919 791 1 16481 5532 1 1654 7963 2 19950 6868 7 14592 1951 4 6144 2795 1 19947 7680 3 7132 2009 4 16254 7926 1 8340 6512 4 7725 2459 1 8358 7098 12 6795 103 10 16236 1778 2 4028 197 1 19730 4640 1 11377 7184 13 17340 196 1 3074 2057 1 7626 3400 1 5254 3920 1 6689 2569 3 15398 646 1 10381 1453 1 14758 243 1 1312 7643 1 20219 6231 1 18524 4587 1 10338 520 3 17 1228 1 16736 2906 2 11942 1359 1 15128 1235 4 2674 1518 1 6144 3792 1 18152 8013 1 19689 4540 1 19932 1402 1 13843 1698 1 13445 237 1 20145 891 1 13734 3009 6 3121 7215 2 74 3474 1 15920 84 1 3459 2403 35 10973 7689 7 2970 1239 1 5488 207 2 17778 2056 82 13343 811 1 18316 1417 1 14419 4378 1 5453 3808 1 8889 1439 1 5891 1727 84 14307 6955 4 4428 82 5 18797 173 1 5960 3042 1 17799 779 2 14708 38 2 5667 518 1 8316 8036 2 8534 4411 1 17433 156 1 11111 1342 1 12192 6435 6 11194 1903 1 15220 232 1 6459 1576 2 10670 6714 2 4805 106 2 18196 82 2 16270 7027 1 15689 215 2 6785 3892 1 18790 6568 1 16123 214 6 15693 6228 2 9963 3695 1 7336 1751 1 12864 5467 1 1867 5162 1 17184 648 1 3971 7352 1 1706 1203 2 15506 1829 7 9783 1269 1 14462 5153 1 5207 2013 3 9189 232 1 18699 1658 1 6185 380 1 18425 5031 1 7454 5673 3 19486 1442 2 14162 2015 1 18116 536 1 6818 199 2 14350 2620 1 15564 3294 19 2557 5466 1 1962 442 1 9341 2917 1 7034 3651 1 20123 2591 1 9692 1691 1 8478 4531 1 10217 1995 16 666 4992 1 20120 1139 1 6658 1436 4 15827 5612 5 19796 6731 51 1727 3081 1 15787 2388 1 11324 1104 1 19901 6534 2 4050 1698 2 5955 4996 5 5652 1827 2 4274 839 1 1141 214 3 7099 460 1 2716 8141 1 12935 5105 1 3826 650 1 8421 2407 19 572 2488 1 17545 1341 5 8051 6994 1 13340 380 1 17175 4245 1 5136 1778 1 11842 200 1 4301 214 6 11622 4944 1 19019 3881 8 4825 4718 1 4691 1241 2 7392 665 1 15895 3225 1 1361 5885 1 15769 5051 3 17156 470 6 2750 215 5 3275 7403 2 3890 6669 1 593 229 1 20251 1772 1 5659 3913 2 19056 452 2 13642 157 1 6556 4367 1 2939 654 2 11072 3050 4 6907 505 1 17088 502 2 15687 910 1 174 7904 1 15210 1239 1 4012 6677 1 19500 1395 1 4197 235 1 55 2653 2 19732 2675 24 5431 2571 1 4449 1193 1 6278 575 1 14689 232 2 15512 3015 1 15712 1772 3 15812 966 1 14156 7570 5 6372 4623 16 2197 1146 2 1026 1366 1 14332 5464 1 899 443 1 17472 304 1 13374 1756 1 7841 3600 5 20070 206 1 10916 3263 1 7970 2065 1 15289 4600 2 4960 1138 1 18467 7254 1 13574 232 1 7682 874 1 18045 1236 1 18634 2786 1 16832 3865 1 12817 6645 1 19731 1803 1 5254 1997 1 15880 1582 8 8327 1717 5 7995 5016 6 14908 1092 6 14465 981 1 7184 1707 1 8082 4228 1 17756 3333 1 19688 7419 1 17740 1714 1 7469 6620 1 5064 721 1 9043 926 1 10079 2569 20 15691 2971 22 9393 526 3 8761 880 1 12702 1615 1 8930 4807 7 3432 4288 2 10518 1328 1 10106 7237 1 11931 7953 1 12710 536 2 6016 5432 5 1539 2675 1 2885 1482 12 19722 7830 2 14731 4961 1 14218 5952 2 5341 3974 1 16151 76 1 67 3221 6 19319 1342 1 12054 7105 4 16730 2605 1 14472 553 2 13490 4841 1 863 2626 1 17033 7895 9 17788 3005 5 10382 222 4 17951 1298 1 153 3806 2 5148 165 2 14127 4667 1 16480 2354 1 19870 3385 1 8747 1070 10 11106 498 2 11421 2883 1 1986 5574 1 10988 404 1 6191 6288 2 9849 6047 3 4837 4367 2 1822 5970 1 7672 244 9 18536 452 1 6183 1482 3 15712 534 1 19248 6946 2 11760 803 1 1416 2445 55 12426 7699 1 10875 4041 1 18017 1759 1 14493 3526 1 14059 441 1 7188 1764 2 11428 3743 1 13287 6139 3 334 6485 4 17171 2058 1 15101 2534 2 6564 5730 2 19254 5130 1 4308 6897 1 5718 1917 1 15689 2662 1 11064 1424 27 12782 2352 8 9709 7494 1 2772 548 2 16703 1824 4 4030 759 1 1191 7825 6 10387 1757 2 17506 3629 1 16020 215 4 14361 6957 1 19144 220 1 19464 4204 2 1754 2675 1 135 6240 2 14640 1234 2 886 3818 1 13182 1825 1 10948 6554 1 9180 6714 3 12126 2027 2 4521 6436 2 123 5365 38 5478 6824 1 8269 588 1 9199 759 1 9027 508 2 17032 2569 2 16243 3592 27 11786 6639 2 15483 3628 8 19076 5995 1 19881 7740 1 845 1251 4 5643 220 6 2076 411 5 17607 2424 3 7716 1184 1 4058 1770 3 11035 1234 4 8237 4613 1 6269 1677 2 6148 190 1 8250 23 1 19511 10 1 6997 3603 1 15909 1300 1 4371 4868 1 4305 5270 4 19121 1825 1 9743 7512 2 18289 308 4 2274 5517 1 14005 5058 1 8443 5938 1 15940 3842 6 349 3713 1 3390 215 3 16694 1443 1 16314 23 2 5273 2138 2 12426 6100 1 9205 4435 1 16178 514 5 12821 466 1 6433 4116 1 5990 1731 1 19957 428 2 14566 1272 1 13997 419 1 3516 5315 1 6834 5289 2 11687 3464 6 3527 6487 1 7769 913 2 6058 1383 1 46 520 1 880 1557 1 392 1844 1 9722 1729 3 1706 715 1 12552 127 2 14197 244 5 4660 2935 6 19193 3287 1 5495 3588 1 6332 365 1 12541 2683 1 19019 84 1 18593 7240 24 3924 4233 1 18211 4481 1 8203 207 1 3287 677 1 2584 4029 1 10218 7331 1 9465 1492 1 6449 1742 2 12919 362 3 290 186 1 18999 5408 1 14326 4261 1 13058 3351 1 9803 397 3 18281 557 1 2213 3431 1 15970 834 1 8151 1752 3 13111 214 5 10693 1965 1 6124 11 1 11131 631 1 19064 3811 2 6085 7405 1 5689 4643 1 14828 982 2 13659 467 1 6990 420 2 7702 5437 1 2584 336 1 4249 1748 2 9158 2290 1 1274 6192 1 992 215 2 10267 203 11 11231 1302 3 4898 4351 9 1100 214 1 3581 184 1 1869 534 1 4382 222 1 18681 588 1 15712 413 4 8438 4225 3 8921 1715 1 3521 1659 1 13205 1913 1 18600 411 5 15456 534 3 9826 1814 3 15430 2251 1 12928 1714 1 3134 891 1 10549 1275 4 2412 4796 2 6508 4038 5 3750 2097 1 79 3561 5 1890 4245 2 76 3503 14 8391 698 3 4859 3512 1 9808 5004 4 14308 191 6 8716 3840 1 9349 6164 1 17164 4252 2 3633 753 7 4963 6418 1 1086 2675 1 14069 1242 3 12941 2647 1 14312 4372 7 11312 4696 1 18543 6180 1 3293 222 1 14581 2649 1 15468 1250 1 11610 200 1 12926 4658 4 4949 184 1 19628 23 1 5606 2534 1 13845 1567 1 14146 7154 5 15969 7404 3 3794 2561 1 1709 215 1 15191 3950 6 19257 5618 3 13 552 1 3403 1737 1 9750 1929 5 2147 449 2 5037 2645 1 7893 1752 7 10422 206 1 2652 7320 1 16750 982 3 9240 1253 4 19515 7122 1 15059 1722 1 4057 244 1 17742 1990 1 8410 1824 1 17475 7410 19 124 1695 1 11207 95 2 391 3255 18 3176 3664 2 19040 1991 1 8055 203 14 16819 4333 1 18782 7176 4 494 2563 2 13490 566 2 14053 206 1 3025 1184 1 8211 23 3 1040 7630 1 16060 1234 1 10907 215 24 1812 187 11 19840 1407 13 1444 88 1 19181 3756 1 13653 5888 1 15400 1819 5 1171 1762 2 13919 1561 3 3384 1732 1 10015 1342 1 14837 214 3 9163 7097 1 1545 411 1 2691 849 2 8597 2114 4 13537 7953 3 16860 6480 1 10586 2577 1 7147 5019 1 241 4967 1 3358 206 1 14365 1488 2 12620 252 1 6463 3819 1 7949 3361 1 449 1764 10 2579 2958 1 4616 7475 2 7619 1241 2 8999 188 1 7910 6230 1 19267 275 1 15579 3540 54 3750 6609 7 83 2981 2 2300 2413 2 17767 7953 1 1108 532 2 6687 2510 1 14039 2671 7 2701 2614 1 10107 6534 5 17488 3540 1 4023 4402 2 16252 7642 1 10404 367 1 12553 207 1 13920 1621 5 18625 1416 35 19319 1238 1 16131 303 14 4054 8175 1 20133 128 1 9245 5037 1 2143 1312 1 4708 5104 1 951 903 3 7382 1728 7 19995 108 1 12524 1250 2 2079 3557 1 18876 565 3 15751 3511 5 251 6485 1 6357 904 1 7435 498 8 151 6815 1 11307 4388 1 14436 1358 1 16214 6000 1 5445 215 2 12796 2908 1 7726 6510 4 15318 3886 3 2907 3637 1 18447 3571 1 15775 657 2 15959 1681 416 18034 3561 1 9120 4638 1 13 260 2 12764 2557 2 18405 201 1 7243 888 10 7628 3329 1 5051 501 1 19596 3950 3 80 3579 1 10591 2581 1 11495 505 1 11220 4797 1 18243 4721 8 11227 1727 1 5755 779 6 19331 4435 1 9461 215 4 5542 132 1 17946 1814 1 13732 3203 1 18400 1819 2 16670 5494 7 11742 6480 1 16090 6927 1 3512 7404 1 3406 3334 1 16670 7410 4 17452 6845 1 4183 1303 1 458 35 1 13404 1781 3 4362 6098 1 18082 1768 1 19997 4355 1 4520 6152 2 19879 2569 1 9733 489 2 13 563 1 9777 831 1 6299 3021 5 1561 5940 1 10452 3859 2 16534 2103 1 2413 1870 1 2429 73 2 3901 7809 2 1542 509 14 7616 6892 1 4432 229 1 10973 7463 1 20106 2660 14 5734 7643 1 18443 2416 1 1205 141 1 14053 201 1 20126 3882 1 2884 5636 5 14753 1156 1 2875 1818 1 126 5627 1 10554 4120 1 10201 5436 1 14578 1245 1 19293 1342 1 2249 2698 1 17180 3287 1 18755 214 1 4539 5468 1 10780 196 2 494 3106 2 17759 2204 1 144 219 7 3696 5903 1 7817 880 2 17845 219 12 5681 2686 3 1779 8065 1 16921 205 1 6247 7414 2 15601 6053 3 10416 171 1 11388 5090 3 17524 2169 1 13254 917 1 10146 865 1 16860 489 1 658 8102 2 10584 207 1 14222 4555 3 17314 1775 5 7883 578 2 16019 594 1 3695 2127 2 11417 8154 1 18037 4274 1 11277 1660 3 18851 6418 3 4859 1236 1 18762 173 1 4066 4683 1 9520 2003 1 4243 2353 7 2610 206 2 5605 5997 1 7994 837 1 17736 2489 1 11130 1315 2 4286 1498 1 6539 2388 1 16670 4992 4 17957 339 26 12821 499 1 13 564 3 14906 4615 2 5863 1378 2 7780 525 1 1456 2737 1 4124 2880 1 164 7500 1 7575 501 1 11072 1453 1 17429 7461 2 6935 223 32 50 2491 1 8620 184 1 9688 8141 8 16016 5132 1 4188 229 2 17518 3586 1 5050 4944 7 1028 3838 1 819 6180 1 12550 3012 6 18663 6091 1 10839 1695 6 9911 1464 1 20063 6232 1 13409 6692 1 2479 1748 1 6527 712 1 18153 4099 1 15628 2649 4 9043 925 1 7528 4078 5 17655 1761 1 2962 4918 1 14456 7450 11 6584 7809 2 10391 6581 1 18560 5664 1 18316 5997 3 5328 5034 1 7799 2352 1 14797 8187 2 9767 1251 9 9645 1997 2 7202 452 1 11131 7772 1 6111 6283 10 8243 1747 1 860 5023 1 14800 1245 12 171 411 1 11533 5258 2 11820 6526 1 2066 1374 5 954 2639 2 12918 6692 6 16974 223 1 11490 1707 1 9773 215 1 14338 6633 1 17172 2572 1 6405 1752 1 9718 930 1 14518 1768 1 14318 5530 1 6630 6908 3 17886 962 1 14894 8083 4 6742 6521 9 995 3164 4 6678 5018 15 14755 7083 1 9432 100 2 130 5955 1 11713 7716 1 18147 7930 1 10839 952 1 2045 3233 1 15098 23 15 6071 4601 1 4234 4264 3 15102 4266 3 6437 792 1 16310 267 1 13829 1752 2 15750 4838 1 1667 2401 1 3951 6355 1 3719 1704 1 9432 558 1 16941 7522 2 11609 6232 1 5937 5051 2 462 220 1 14193 232 1 15398 895 1 3729 1235 1 11647 200 10 7920 1253 6 13371 2173 1 17902 97 4 9063 205 2 2976 4366 1 2274 477 1 1609 6622 1 9146 5847 1 9933 7054 2 2284 3029 1 12856 2438 5 13642 2384 1 13731 1621 3 3150 222 1 6906 3526 1 13881 1643 2 9539 3644 7 4106 463 1 14466 7663 1 13697 1356 1 9619 7657 1 16314 1126 1 822 4343 1 8269 263 1 13537 854 1 1669 2559 3 12897 5903 2 4279 845 3 14203 2351 1 11287 2017 1 8255 6607 1 12502 219 1 9884 5615 1 3881 399 1 2172 2708 1 3397 925 1 19982 7467 1 19219 1352 7 17647 5767 1 15082 6674 7 6995 495 1 9428 8066 5 12895 1371 3 18568 5379 10 9421 2291 1 19409 5377 5 7194 4853 1 2488 258 2 19759 2510 2 19606 1728 1 114 5115 4 8900 2292 1 16674 363 1 1391 4618 7 1293 3978 1 9152 1205 1 13730 4836 8 13587 4280 2 239 2869 1 4279 1067 2 8939 7403 3 18672 4557 1 3426 501 2 10153 1564 1 7750 1760 1 7785 3899 3 3570 3901 3 1171 1239 1 16036 7521 11 5639 3593 2 9462 2708 1 19818 548 1 16697 2675 1 17648 3497 1 13358 200 3 812 203 20 14162 1190 1 13 632 1 5379 800 1 19160 795 1 17645 7902 2 2110 3135 8 9453 870 1 5769 1180 1 10609 8181 2 15362 6256 1 8097 7260 1 124 5559 1 16706 370 1 11399 1239 2 17369 3793 1 8400 1819 1 2428 6322 1 15344 1710 1 2552 512 1 10553 2172 1 5745 127 2 10027 1770 3 18050 4981 1 6757 514 1 18250 3248 2 18939 2480 1 6826 1342 1 14721 429 1 8271 4789 40 4435 1781 1 6334 1714 1 3988 3808 1 1056 1318 1 1705 3807 1 749 510 1 17416 1779 4 3703 6207 2 152 6849 1 11715 3422 47 19026 3920 1 455 6662 1 427 200 1 20248 6006 1 4124 1313 4 13470 2969 1 13040 230 4 6418 3556 2 12136 3840 3 16310 1721 2 3822 519 2 5376 506 3 1479 5064 2 2980 7538 2 9477 2880 1 13014 1444 1 9289 1244 1 4500 411 1 5583 1470 1 19938 5353 1 10848 4143 5 2850 577 1 18279 5120 1 873 591 2 259 1078 3 13065 1252 1 2998 334 7 10038 23 2 6379 8175 1 6619 1724 1 1171 1761 2 9485 5325 2 12190 724 5 617 6239 1 7089 638 1 4602 690 1 18397 6031 1 17858 187 1 15817 1814 1 12374 2542 5 4573 207 10 17652 1331 3 11347 4732 11 17523 489 1 16706 7622 1 8640 1721 2 17767 1721 1 4316 156 1 19017 6207 3 18183 203 1 2917 5879 5 1638 5052 1 14397 3911 4 13382 4086 1 10160 205 1 15858 1757 1 5174 4976 1 12244 3239 2 9761 4016 9 19036 3389 2 13281 2677 1 4707 2831 1 13405 5642 2 12850 1739 5 8878 7989 2 6758 1395 1 12464 2686 1 6690 638 1 10565 5837 1 17738 236 4 2045 1236 1 19833 437 1 125 5576 17 807 206 1 12614 7018 1 2749 335 1 6387 425 1 14669 2352 3 9569 1258 1 8130 1474 1 14583 394 1 16087 6697 1 14465 1743 1 10549 1743 4 3277 525 1 19877 5066 5 9945 23 1 10920 215 1 18070 1698 5 12082 792 1 3874 6067 1 3185 548 2 1302 1825 3 9224 737 5 16897 339 2 12316 5814 1 4231 1656 1 17500 496 10 12817 6687 1 10078 35 1 14305 690 16 16346 5327 4 11335 1342 1 11208 7190 2 5890 6751 1 7065 2832 1 15456 206 5 19263 3382 1 9567 4411 1 5648 4311 1 13305 4204 10 15429 1770 1 3889 6091 1 6453 1732 1 135 6149 9 17954 6533 2 1221 3899 1 16132 794 1 17174 4467 1 9093 244 3 9566 3732 1 4739 5353 1 18386 898 2 1789 233 1 6387 5911 1 6630 1056 1 3059 911 2 15941 1717 2 4072 7531 1 16787 3186 33 2578 6252 1 158 2265 1 6475 3635 4 17227 3333 2 16475 4312 1 19428 164 2 15055 417 1 213 1775 5 17961 8161 18 8338 7604 1 2003 863 4 745 5874 7 12934 184 1 16970 6845 1 11046 7517 3 18663 6084 2 5254 759 1 56 1769 1 2473 600 2 13754 1752 1 10499 7519 5 12459 1772 10 16806 2591 1 14458 2618 1 17120 1730 2 10327 1946 4 9947 852 2 954 863 1 4759 4271 1 15849 541 1 7748 8159 6 8833 1364 3 2782 3540 1 484 5849 1 8492 1241 1 1745 4603 3 17321 4905 12 392 2698 4 5729 3747 2 8793 713 1 18730 1070 1 14327 1146 1 1932 207 1 4841 215 1 14894 6710 4 19872 4015 1 5843 3619 1 18476 745 5 15264 367 1 18523 1685 2 1904 7719 1 6183 220 9 11909 995 3 8074 1781 1 13841 159 2 2443 864 1 4968 165 1 14308 1946 1 15429 858 1 2128 4606 1 6830 1752 1 17241 7498 10 3667 1710 1 15100 945 1 1702 7210 2 19023 7511 5 368 8194 1 4632 232 5 13183 3388 1 16271 5712 2 13806 605 1 688 4052 2 18909 745 1 14211 3525 1 1582 2671 1 12252 44 1 17633 615 1 8895 2147 1 15585 1638 3 6510 2342 6 18282 3203 1 14080 1981 1 19033 3263 1 7098 1450 2 13993 6058 4 14005 2269 1 7536 495 1 15075 7222 3 11932 200 2 4492 207 2 14758 6585 1 12142 5986 2 906 470 2 5672 6162 10 3698 6656 2 15752 770 1 391 6714 3 6664 1776 1 7817 4020 5 11958 6334 1 15318 222 2 20239 1587 1 6327 952 1 10900 1663 1 8673 3078 2 13134 2639 1 6164 4013 2 4814 6225 1 7452 548 1 16951 489 1 5801 1244 1 2639 216 1 19763 6808 1 17788 2130 2 1711 692 1 2905 3024 1 824 514 1 15376 200 2 6389 2698 5 115 5203 3 6561 4261 29 15429 7576 2 6541 1686 2 8211 1235 1 19322 230 4 13909 1239 1 19568 1703 1 20044 1321 1 9819 1464 1 81 3687 5 14522 496 1 7564 7597 2 153 6962 1 1689 452 3 19886 5281 1 11526 2718 1 5214 214 2 11411 1686 1 13997 590 1 16016 6126 7 17587 1946 5 10569 4435 5 19331 1717 1 6816 2912 1 19232 2360 1 2803 3540 1 14896 631 1 19268 5255 11 15660 2350 3 15199 4022 5 16192 7213 10 11652 6865 1 15107 592 1 321 219 7 12971 2604 3 19272 7542 3 9299 692 1 14196 4490 1 6415 471 1 12471 644 2 4262 4043 1 17389 1331 4 15052 2254 23 10362 3337 9 18500 23 1 5087 5326 1 11349 2650 1 2689 164 4 10926 4435 5 13328 1257 13 2525 1001 1 18955 883 1 7291 7823 1 11156 6166 3 8161 6091 1 3468 2197 2 14795 7850 1 2703 3249 1 5675 1695 3 10010 6758 5 13893 6621 1 2929 4397 4 10234 883 4 14796 864 1 152 6826 2 17473 5611 2 9054 966 1 15269 1286 12 5237 6212 1 17104 5293 2 20225 573 1 777 23 3 11493 5914 1 5496 1747 3 5052 2238 1 17391 2559 1 1208 3030 1 16860 6971 1 18709 1819 17 19946 1748 1 4620 2686 1 11428 5009 1 190 7240 1 14351 2675 1 8993 3203 5 9486 1819 2 18873 6135 1 10879 214 1 8833 1548 1 2937 1768 1 6710 184 2 19090 471 1 9759 2646 1 11072 1819 7 6976 1395 1 17825 6702 41 17075 659 1 1962 2820 1 5911 4818 1 7994 658 1 10381 4029 1 15970 1401 2 739 910 1 11793 290 1 5854 3220 1 6166 363 1 7186 2567 1 2135 2150 1 9257 6567 1 12777 3349 1 7168 4572 1 14212 441 1 9577 6268 1 14517 3654 1 11126 8027 1 5447 7342 1 17668 5319 1 1488 4007 1 17833 436 2 5253 6769 1 4075 7136 1 13264 5524 1 2851 6018 3 3700 4623 7 9865 225 12 2210 2503 1 12931 1751 1 2330 230 1 17389 4992 5 3853 833 1 10169 817 1 10854 723 1 9593 7291 1 18768 5055 11 16974 2717 2 12108 6716 1 1065 1292 1 16834 6442 1 6834 1293 2 15544 5288 1 7996 1769 2 4158 193 1 1136 2698 2 14814 792 1 13290 8217 1 17155 3871 1 19602 6945 1 10292 7291 5 8808 47 1 14091 3920 1 1613 2656 1 17172 5505 7 1235 1724 3 14852 1734 2 4050 3540 1 14421 1363 1 6130 892 2 8250 5036 1 2345 4716 7 755 1247 1 17120 532 2 3324 1726 2 4470 363 1 4182 7404 1 3653 219 11 6801 2864 1 15993 2353 1 17879 7229 1 4367 3242 1 9014 7411 1 6415 1721 1 11606 442 1 10316 1372 2 13632 3227 2 564 6541 1 9347 1557 2 11492 2881 6 4309 5404 2 20256 2964 1 19620 184 24 3485 1747 1 2500 5156 4 11898 5341 1 1201 1467 1 14661 518 5 14546 1829 1 7493 206 2 1202 3621 1 12972 2364 1 17549 526 2 12458 7321 1 16192 1372 2 13563 4188 1 17662 1722 3 3258 7215 6 18052 203 2 3505 506 1 10897 4435 7 13302 1450 1 6652 1453 1 4241 1247 1 4868 1942 1 7284 229 1 14515 508 1 11388 1719 1 9556 2653 2 570 5420 7 10000 1172 1 2886 148 1 1101 579 1 17932 1407 1 392 2401 1 16921 1745 1 8646 38 1 11230 663 1 9056 1396 1 11113 207 1 14190 1825 6 19711 1734 2 12690 679 1 6245 1724 1 9160 4963 6 2399 3276 1 7577 7529 2 54 2589 1 11521 477 1 13881 2743 9 10850 1748 1 16694 5700 2 11600 2969 1 7127 1243 3 17911 4567 4 5424 482 1 11277 1662 1 4170 723 1 15225 407 3 50 2503 1 18366 3239 1 8292 4408 1 19090 2518 1 3337 4014 1 19620 500 1 7486 1000 1 18690 222 1 7050 3510 1 18585 4196 2 11887 2609 1 10502 201 1 2643 5000 1 153 7044 1 18106 1762 1 12392 4343 13 14751 1252 2 8531 2292 14 16101 1946 7 9146 5936 1 17263 5674 1 19999 2110 1 2523 496 1 4703 1916 1 1043 1299 2 12757 3335 1 17015 7597 12 11502 904 1 17416 3497 1 9793 3287 2 20026 1250 6 3012 411 3 17463 6645 1 1704 2240 5 1923 2645 2 5685 225 2 6922 215 4 18623 197 3 5632 5516 1 1638 5091 3 8393 7494 17 10967 215 4 19863 4233 1 4063 2019 2 18795 1928 1 12731 308 1 18879 2897 1 10467 1705 2 4339 201 2 3397 578 1 17416 1277 1 10647 235 3 4913 8100 1 8840 4392 1 13195 207 57 440 1211 2 13084 206 4 19602 5278 1 9807 203 50 3338 2675 3 4314 3472 1 7750 190 1 17710 534 1 5076 4226 2 462 769 16 7688 5339 6 10501 1308 1 3642 698 1 4051 1548 4 4889 212 8 3056 1911 1 4531 2591 1 17652 2721 1 8560 6214 1 16636 6484 1 19702 3511 10 10720 7231 6 2935 1328 4 5107 1311 4 12821 3276 1 9978 1052 1 17751 233 1 11418 1118 2 19781 2415 2 5174 2401 1 9922 803 2 7144 518 1 16096 1635 1 15895 7189 1 16546 6539 1 349 817 2 1435 2737 2 6668 5129 1 8101 47 2 189 842 1 12620 514 1 12064 502 1 2748 2682 2 1620 2360 4 11787 3675 1 17738 545 1 6348 560 1 7158 5281 1 14114 7541 1 8134 1814 6 19069 203 21 8519 470 2 14711 7614 1 4056 4043 1 12140 1738 5 10071 1990 2 5860 1275 1 9539 7256 1 4522 7597 8 19648 3773 1 14108 7022 3 14965 6912 1 12302 8017 1 18404 335 1 439 232 1 5926 1981 1 886 3823 5 14618 203 3 3081 2869 10 10056 5325 1 19879 4614 1 12203 7771 31 19131 2831 7 8425 1771 7 4681 2881 5 486 4621 4 20221 1729 20 19873 6289 5 62 2935 3 11750 1775 1 3818 1440 3 983 4392 1 17079 5817 1 19872 939 1 6840 715 1 6024 1363 22 6510 3589 2 9798 8196 1 11968 1282 1 7612 7272 16 1171 13 2 14146 7565 1 14826 461 6 13770 1664 2 11968 3230 5 18742 1352 1 16192 2357 1 14685 303 8 20202 244 1 230 307 1 4620 1727 4 14376 132 2 7135 471 1 13 601 1 9725 427 1 7023 1667 3 14848 219 1 8001 1153 10 1915 3910 18 2709 2292 1 11258 231 1 9502 7231 1 18639 7674 1 9809 7205 2 14780 514 1 16971 2528 1 17417 8146 10 6089 5248 1 9755 7473 1 14114 360 1 9437 151 1 12301 6945 1 16346 1312 3 14559 5018 2 7431 7054 18 19680 5243 1 101 82 1 3484 2555 16 21 219 11 20157 6342 6 10583 470 6 4290 579 1 20191 136 2 3281 1737 1 15743 167 1 16920 995 1 635 1374 1 6308 206 1 16497 221 8 15318 1450 2 13961 8079 6 153 496 30 18882 6758 1 15352 5951 1 809 512 4 2376 382 1 16511 7216 1 17660 2173 1 1129 2127 1 1969 545 1 11223 411 3 12077 2256 15 18885 2109 1 4234 3227 12 2429 498 2 18320 891 9 9928 514 1 17543 4060 1 18199 5767 2 14453 1249 1 6840 581 1 743 6122 1 4811 2899 2 3436 304 2 18315 843 2 5954 201 1 17033 5715 5 13307 4972 2 16919 1707 1 7778 2632 1 6229 497 1 3255 520 5 8532 2089 2 4108 201 1 11791 4623 1 18316 5774 2 7449 337 3 2546 626 1 19373 1428 1 13993 2863 1 10961 3653 3 2056 3146 1 10684 2247 1 15586 2173 5 11562 7103 3 1504 164 3 7745 3117 1 13881 1240 2 12640 1538 1 17932 7898 4 1725 221 1 2587 4477 1 13752 3602 1 100 4495 1 12876 1303 1 20049 6362 1 18563 1768 19 18978 1247 3 6369 200 1 16722 194 1 6013 7850 2 2748 232 4 10554 552 1 15180 8057 3 14123 502 4 19604 5392 2 2689 1946 1 15475 827 1 15571 380 1 7080 1695 1 11007 6278 2 16177 4022 1 3654 4946 2 444 6436 1 15449 173 1 18465 225 1 11211 57 1 19400 3333 1 8221 5558 1 2716 5325 2 16643 895 1 2127 844 1 6970 4761 1 4183 3422 1 4859 8141 1 4299 6527 2 19438 196 1 17896 1537 3 14361 510 1 4117 3484 1 7838 1716 1 13899 4653 2 9412 2013 1 19072 367 1 14522 896 1 5573 662 1 1555 4104 1 11922 3522 3 17257 2877 1 4634 906 1 1631 1280 3 12766 925 1 19470 4383 1 3485 5551 1 17920 518 1 3815 2686 2 6650 2767 1 467 687 1 3548 1256 4 9783 4248 1 15819 156 1 6779 1146 1 5588 4563 1 9604 3338 5 83 3839 4 4716 2356 1 4593 929 1 4519 891 1 17803 2353 6 5216 2806 2 16431 521 1 3937 7593 1 12858 1721 8 8669 7414 6 8369 7512 1 2985 950 1 6814 4435 1 19511 6610 1 9749 1736 9 3893 4474 2 16767 6471 1 11288 757 1 4525 532 2 16474 4020 1 14211 3311 5 11809 1105 1 3427 5294 1 4527 304 2 5385 4274 2 1530 1659 1 10061 8126 1 1172 631 1 15691 501 1 9429 7229 1 920 520 2 3309 911 1 6867 554 1 9733 4204 3 2729 7666 1 2689 1757 5 11898 4766 3 11156 1252 9 19393 6481 3 5588 8051 2 12764 3109 1 8602 200 1 8077 5290 1 16391 4622 1 10393 524 1 1397 2651 1 20085 1946 2 9164 1844 1 8332 7933 1 4688 682 1 2383 857 1 2905 6658 1 14674 1827 1 8129 857 1 19975 1131 1 14052 273 1 11164 2711 2 3106 206 2 19332 5618 11 15766 4807 3 17679 3475 1 6228 954 1 12074 2737 1 11952 1253 1 7070 7083 1 18534 1318 1 4810 2760 6 5769 3705 1 15964 525 1 14654 255 1 13893 3247 5 15778 3399 1 10730 203 9 14062 1756 2 19511 1695 2 16675 470 1 6774 7571 1 7769 652 2 62 2942 5 18762 292 1 11698 1882 1 17606 514 1 9672 7259 4 11687 2343 5 1551 1775 4 4859 1752 1 14127 571 5 12936 2337 1 16810 316 1 14987 173 1 16597 197 1 17799 809 6 11084 206 1 8439 510 1 559 1256 1 14165 303 5 15278 1764 2 15718 4967 2 16155 7591 16 15955 8145 1 17521 1720 1 9692 3584 1 17778 885 10 7625 5374 1 7832 153 2 5391 1687 1 9725 823 1 15356 5294 1 10410 4591 2 4189 4713 1 12208 4314 1 13543 1343 1 19272 6754 3 11616 4201 1 10007 5549 1 9556 6150 1 7136 5242 1 7811 184 6 7899 5263 1 11846 4296 5 570 534 8 4299 1037 1 8709 35 1 452 2488 1 14517 2409 1 7253 2175 1 11613 3373 1 10251 232 1 2560 6106 7 13185 1772 4 6645 3411 2 4663 694 1 16736 380 1 13069 1969 2 18799 2254 5 10824 1949 1 20202 173 1 10817 7244 1 8995 4987 1 18211 3827 1 12535 581 1 177 221 4 18431 2724 1 12826 7554 1 19160 328 1 18811 4476 1 604 399 3 6503 724 3 1464 867 1 5204 954 1 4884 3689 2 18711 5986 2 20180 7336 1 4265 5097 1 15866 200 20 18410 6091 3 11062 3476 1 6819 7677 8 8340 1644 11 16123 1450 2 14489 227 1 8531 2536 2 9864 2078 1 3485 541 1 13731 4591 11 15360 6543 1 11902 200 1 16523 3337 5 18852 6061 1 18335 1611 1 3133 1245 4 16605 6983 3 4480 197 1 11611 6527 1 13045 1344 1 8915 1825 1 4112 3074 1 976 4041 5 17772 4614 1 15192 5271 1 4849 7596 1 3430 3346 1 853 6486 1 7281 1146 1 8439 505 1 12141 7672 1 7181 8184 2 8522 2980 21 11769 1665 1 19585 1395 8 13384 231 9 12190 809 1 642 207 5 9279 1247 4 10850 3872 1 4459 7980 3 3406 1027 1 1689 4303 1 3819 6418 1 14727 390 7 10856 1736 1 1110 2555 1 3024 2605 1 9308 2563 1 13800 5257 14 19331 4325 1 4433 3089 2 2809 512 8 15314 5538 1 10609 221 3 9978 1383 1 6605 6106 1 6250 4103 1 153 6991 1 140 6449 5 16259 7484 1 16897 1307 2 14413 215 1 13116 1727 2 7121 2352 1 20085 2949 2 9660 394 1 14010 3850 4 15269 4132 1 143 5432 5 2182 1059 1 17748 584 1 3206 6428 3 1036 2602 1 8004 2747 2 130 3797 1 4867 1731 1 12614 1146 1 4549 173 2 411 1946 3 5185 367 2 13530 4976 2 5860 4998 2 10530 5325 3 481 3959 5 5625 1342 6 1088 7738 2 4112 2488 1 14736 4400 6 4519 809 1 15075 5297 1 6332 837 3 6486 659 2 3309 2747 2 9797 3625 1 13508 6713 2 12361 318 7 1679 6496 8 12888 3647 1 12619 3081 2 11076 3670 1 5815 5466 2 1669 507 1 16301 1356 1 12262 201 2 14599 270 1 19836 867 2 18802 3193 4 2780 4179 1 4960 3464 27 2801 113 2 7879 2982 1 11772 6957 1 19649 229 1 11485 5315 3 2629 201 6 17748 5943 1 5631 2926 1 11428 5072 6 1299 220 1 16676 3493 2 13569 3979 12 10313 3540 1 13520 2087 2 1459 203 2 15796 374 1 17855 1454 3 13382 4572 1 18687 1827 6 13234 1950 1 3467 527 5 18957 3667 5 9757 196 5 1634 420 2 6332 1758 1 13840 8109 2 19414 165 10 9509 1164 3 14044 215 1 18646 169 1 4400 6707 1 62 219 1 7741 10 1 17748 4361 1 14928 4796 1 20179 8176 9 5032 881 1 8913 1396 1 1836 665 1 2886 52 1 10879 3895 4 1824 2338 2 14500 541 1 16877 2636 23 4287 7902 2 2197 397 40 10498 7701 1 16645 1409 2 17436 789 1 13785 1721 1 8116 1930 2 18742 225 3 18232 4245 1 18856 4807 2 19981 303 4 12516 7327 3 12392 1717 1 960 235 1 8703 692 1 130 5860 1 761 200 1 8855 2254 35 1164 2058 1 807 232 1 18876 553 6 10665 4928 3 7019 84 3 153 6066 3 12687 863 1 11947 2511 17 11588 6723 2 16189 852 1 7679 7021 1 4061 6442 1 3633 6367 1 7799 4516 20 10447 1783 2 11808 4311 1 9916 1717 7 19077 200 1 3991 6190 5 2345 6723 12 9051 2675 3 10805 7237 1 2704 3355 17 19143 752 1 18027 1037 1 17631 5858 3 12782 190 10 17411 1244 4 1068 880 2 16299 4479 1 2298 1762 1 4018 1954 4 13827 1748 2 2765 2169 6 14284 235 2 7751 523 1 141 6480 8 644 641 1 745 944 3 7312 173 2 17461 5909 2 7065 97 1 2651 3333 6 2661 441 1 19649 13 1 18204 7597 12 19887 534 12 1819 256 1 5876 1755 2 4804 201 1 19747 6714 4 12113 4963 1 6734 1380 1 4068 4110 4 3996 1383 2 15687 236 1 11436 7995 1 4593 885 4 10249 585 1 6222 3485 13 15239 1064 3 7943 7085 3 10193 235 1 11932 525 1 19057 8156 2 3112 4394 1 14234 745 18 10916 2089 1 6375 4852 1 17403 3851 1 4459 175 1 7604 2649 1 2443 214 1 11616 4531 1 7548 7413 1 6234 38 1 9521 201 3 14232 302 4 745 963 1 8046 1716 11 11218 215 3 17477 1781 1 2560 3685 6 13743 876 1 1994 1760 8 11336 4019 1 1056 6404 49 7203 1207 1 7751 1275 6 14682 4204 2 4238 2881 6 3543 470 1 11453 864 1 2278 4623 5 4385 367 1 9122 536 1 10573 532 2 12337 2823 1 12064 3233 5 12340 6343 1 15943 1338 1 763 1978 1 3532 1371 1 85 524 5 10979 4950 1 17224 1737 3 17416 1350 2 19984 5002 13 12090 578 4 17318 3494 2 18608 5048 1 11820 2290 4 18366 7735 4 9834 214 2 118 5233 1 6420 749 2 3811 1897 1 9154 7125 5 16631 6289 9 18681 385 1 176 8142 1 208 4761 1 6323 6744 2 5458 4852 1 17159 5054 2 20216 3453 1 14949 1721 2 4597 6167 9 17562 800 5 12159 1383 1 15870 1466 2 1065 3626 1 6524 1825 9 11412 2319 5 9757 1247 1 6611 2104 1 873 3645 1 10830 4387 2 18937 7 1 15041 2013 1 9973 386 3 9281 1343 2 36 1997 3 13880 665 1 12491 1331 1 6478 43 1 19160 1441 4 3048 885 1 17541 709 1 5189 496 1 9187 57 1 20090 1172 1 2315 521 2 6892 1682 3 9079 745 8 2917 6457 1 5602 3540 1 15689 206 1 15936 3313 2 8872 470 5 4829 201 1 20054 1431 1 11517 2356 11 10580 1819 3 19902 1015 1 14906 3233 2 11757 7998 1 7509 206 4 13800 367 3 7514 7723 1 19314 1772 1 18324 3945 1 19112 4288 1 11687 1779 3 14427 3787 1 6853 863 1 9516 2328 1 1918 1487 2 19671 7602 1 12097 1407 2 19342 6680 4 6617 2501 1 7046 1356 1 17738 258 2 8558 203 3 14862 1235 1 4417 3617 2 19491 6091 1 13800 1288 1 2534 4761 1 152 6852 1 1773 3895 5 6390 1253 34 7530 2555 2 4279 891 2 19286 5566 1 15192 574 1 2134 3900 3 3134 1745 1 7431 4262 1 10905 8175 1 2002 863 2 17619 1972 15 12817 4468 1 6655 1734 6 13700 912 2 2674 6162 1 9250 796 1 16597 1235 1 15531 2675 1 9941 7528 1 13743 861 2 14132 1695 1 11270 2490 1 7153 220 5 6914 7054 5 5344 2504 1 16090 596 3 15676 222 5 3796 207 6 13857 5922 2 5025 1728 3 5757 7213 11 1003 5350 6 19053 799 1 4616 1884 2 14203 4652 1 15825 2955 2 10019 1717 3 1801 386 2 14493 3250 7 168 7580 1 5449 5700 5 4147 4069 4 15491 3220 1 17548 554 1 11726 4528 2 1387 1445 4 5694 6122 2 5645 1717 2 9435 207 1 17395 5264 1 1139 5446 1 16090 6915 1 19649 1275 1 17664 3879 2 6515 883 1 17958 2029 15 13636 2419 1 506 218 1 1663 1729 3 1836 186 1 6631 3163 1 18247 1818 2 6224 1727 1 19322 4245 5 13055 3595 1 18017 6234 1 705 196 1 5843 1686 2 5928 4998 1 4213 3133 1 12704 1704 1 5739 3338 2 19429 1872 5 1383 1916 3 6915 1275 1 2507 1190 1 13551 1909 1 3758 6360 1 14686 3476 9 17518 880 1 40 2060 1 5531 207 5 12521 648 1 14018 1739 1 71 3321 1 11629 2964 2 11353 759 1 8645 3007 1 6314 1103 5 18427 201 2 15162 203 1 14301 231 1 3269 3345 1 467 1505 3 5506 165 1 6293 1315 9 6976 304 1 3012 916 1 4688 575 2 525 631 1 18554 1555 5 18214 1710 1 7560 2478 2 5004 8054 3 2025 4269 1 12361 519 1 6524 2534 3 11903 3338 1 873 3795 2 12131 734 1 10693 4407 4 19425 5690 2 5785 1819 1 7088 1990 1 12901 1784 1 14616 5077 5 15691 4394 7 7056 1825 1 5 169 1 18386 770 1 9941 5157 1 10623 526 3 12623 7726 1 18534 7699 1 16111 4196 12 16555 130 2 20114 545 1 12821 3888 1 11277 1344 1 755 1249 1 17315 172 1 20130 1748 2 8117 3895 6 14900 1245 2 4812 514 2 5299 171 17 11323 498 1 17448 481 4 7483 2499 1 13 801 3 13646 3059 1 18229 3896 4 4018 4451 1 19178 1307 1 9509 3193 5 2762 1235 4 4588 6602 3 4427 2013 3 15940 3368 1 5602 5903 3 19553 82 1 6141 2521 1 13328 7570 62 15810 1721 8 3059 3405 2 752 306 1 14813 215 1 10856 6620 1 5493 8120 19 6654 6682 2 1590 684 1 15751 200 26 13261 3714 1 4195 1758 1 6357 3590 1 2274 4252 1 12207 1357 2 19164 4586 2 16860 809 1 14106 221 2 17698 223 1 15419 156 1 18111 2354 1 7705 1799 1 14798 842 1 5188 4490 1 10114 6368 1 10260 976 1 1970 3600 1 9204 863 1 15563 274 6 12054 447 3 16552 6120 1 18499 2489 1 2843 3599 1 19182 385 1 1462 2815 1 13045 470 7 456 1707 1 14612 1819 2 7104 2079 1 1228 523 1 6387 7750 1 16137 4306 1 1043 745 2 13015 196 11 16090 6073 1 3233 1743 1 11562 7331 1 17331 196 1 13732 5036 1 12765 571 1 11485 5318 2 18193 534 2 11115 3724 2 18520 1342 1 4414 4610 1 5482 1748 3 13167 3328 6 1954 7474 1 5578 4427 3 6332 783 1 17268 7801 5 17932 1713 3 13740 7639 5 16860 1250 1 19500 1734 1 13829 2671 1 18698 1235 8 18315 7012 2 15025 2980 6 16856 7720 20 2858 649 1 9816 3824 1 10429 227 2 16612 6903 1 11736 6396 10 17574 252 3 6418 3850 3 19408 2356 2 19579 5866 1 4833 173 4 812 7439 2 11139 1740 2 3716 1275 2 7769 654 1 15778 7632 1 56 2684 1 20145 1252 2 7517 506 33 20218 2357 1 10783 2367 1 13993 5120 1 12247 1374 3 8358 23 2 9063 23 6 12058 4230 2 6827 1996 2 14892 3892 1 15898 1764 8 12414 4022 10 788 3827 1 14500 6665 1 2902 222 1 18140 7368 1 15530 6219 1 5463 201 1 11746 1743 5 12579 523 1 17485 3293 2 14312 6964 1 11489 2363 1 19224 6211 1 2315 5379 2 14445 8031 2 8251 1718 6 14283 4623 1 8299 3389 1 7231 2686 1 3397 1703 1 14738 327 1 7980 2555 8 13234 1777 1 2661 3316 1 2154 495 1 2558 336 2 2023 207 1 3598 7565 3 1560 2428 1 340 4838 2 12469 1707 1 16767 2880 5 9898 1239 1 16873 559 1 14152 821 1 1594 8194 1 1288 219 17 10311 599 1 6035 344 1 4213 3766 10 35 1889 1 13011 1721 1 15307 653 1 18546 1396 8 11746 1724 2 18523 528 2 2198 1739 17 6773 5202 3 13743 368 3 6437 1295 1 15276 3925 3 16794 6435 18 6650 2735 1 16150 5420 1 18884 2369 3 4296 2949 1 7991 1878 1 12951 1453 3 13769 1972 2 6053 1940 2 18614 5463 1 3152 1698 10 8735 2350 8 19959 215 4 11736 6106 4 13845 3234 1 11239 779 3 17630 5023 2 19272 2029 2 19193 2671 1 601 1236 5 6726 1334 3 15778 4673 1 10847 8026 1 8406 722 1 14395 3907 53 3286 1304 2 19742 136 2 9279 2708 4 3048 4944 1 3411 1762 1 8394 2853 2 13928 638 1 18942 2057 1 13347 8192 4 56 1453 1 14522 652 3 17589 447 1 2405 1315 10 573 7494 20 13627 5260 2 11214 525 1 15809 194 1 16894 4479 1 14202 3605 2 845 2034 2 1869 6706 5 18681 3275 1 14753 3368 1 15362 7259 1 11846 215 27 10165 804 1 9279 1738 2 20045 1249 1 12638 3230 3 4092 5528 1 2743 203 14 10828 6534 2 13254 783 1 10334 1145 1 11789 5905 11 19278 1891 1 19034 6067 2 455 6556 2 4622 1782 1 77 3526 2 9319 1898 15 8842 5880 1 6200 3632 1 18672 5305 1 2540 244 1 10311 581 1 2041 173 6 19991 4038 1 15726 320 10 15674 6153 1 14028 792 3 5274 844 1 887 4599 1 17461 6540 1 18698 1825 49 7750 1399 1 5075 2363 1 10642 3592 24 13185 6580 1 8961 215 3 10900 5425 1 8110 1825 3 2723 1990 1 14981 6150 1 5613 3007 1 17667 4036 1 18435 6053 1 13708 1825 1 6090 5888 1 13347 3693 4 13645 1251 5 4501 1819 7 427 1252 3 10821 2889 1 13068 2511 2 20014 4202 1 1498 804 2 17016 2665 2 2242 5960 1 6838 711 1 12837 1991 9 10119 2027 1 3483 2120 3 18983 4974 1 10736 84 1 3214 1632 10 16847 6682 3 18116 3427 1 9351 2143 1 14939 229 1 8611 219 1 16517 3356 4 13855 3175 5 3307 1363 1 6415 1737 2 9902 232 2 13922 1399 1 14808 201 8 8966 1726 2 16291 4882 2 10595 2357 2 7366 2626 2 14686 4293 6 19124 169 2 2907 108 1 3043 252 1 14384 5758 10 15608 2633 3 15159 6144 2 20121 5151 1 6617 3114 1 20007 3869 3 19586 2392 1 13461 220 11 11402 5018 1 85 1707 1 12350 1235 1 19426 1464 1 19342 7639 3 115 5177 2 4554 8057 1 12667 1707 1 4963 1395 1 5601 6435 10 14037 2747 1 19872 4042 2 17761 498 1 1645 6949 2 3804 554 2 3581 6139 1 18246 2615 1 1831 1464 1 18781 5294 1 7455 4099 2 3642 874 1 7317 925 1 14184 221 1 12378 1573 1 3887 8194 1 6214 509 1 19639 5906 7 2461 4013 4 16914 496 4 18518 7229 10 12353 532 5 9670 7834 1 10856 1383 2 7184 190 1 9915 916 1 2772 2773 18 14114 1658 1 5880 4591 1 19479 190 2 16266 1247 1 6556 2620 6 12030 6091 1 18573 6159 1 15834 220 1 11807 2964 1 11938 4635 1 15615 7235 1 2629 1752 3 16481 4924 1 15743 3230 9 3562 221 1 4273 3073 1 13729 2760 1 13398 952 1 14005 1955 2 3395 23 1 20056 716 1 9250 698 1 16860 6956 1 5189 411 14 3496 532 2 15495 1757 3 174 8000 1 15660 1698 3 12782 1734 7 14771 1830 2 17033 6557 2 2458 40 2 3651 753 1 11850 3878 4 17505 4427 1 15429 3932 1 11613 869 2 6854 3193 1 16869 3684 3 4263 1324 9 164 7448 1 14881 1395 1 7879 498 1 10973 1770 3 18481 6917 1 10911 207 2 14683 898 5 144 2678 8 4454 3493 1 15691 2873 11 3022 438 1 6599 4803 1 14091 2739 3 12731 3020 1 18768 3685 5 12013 4187 4 12741 2341 1 6468 2768 1 4706 2617 2 18656 3718 2 8301 5393 1 19760 214 5 1935 1031 1 7994 612 1 11502 3389 6 16130 1253 2 14372 1819 1 1244 2617 2 9322 595 1 9743 3065 2 7211 214 1 8419 1664 1 17258 23 1 4869 3323 1 20003 1946 1 6314 3734 2 14192 6510 2 16303 3711 1 19900 8145 1 12919 2786 1 6032 3704 2 19160 222 2 20256 716 4 17148 219 2 450 3493 2 10837 1251 3 15362 3021 2 4960 5649 1 5117 654 1 5577 8192 3 3015 2567 2 15853 2520 1 2320 1339 2 18443 1685 10 4898 372 8 18286 4355 2 5361 3685 1 3214 245 1 3734 484 2 4801 6038 1 17403 1245 1 13920 1404 1 17384 581 2 903 2355 1 4687 2586 1 13601 5565 1 18485 5594 19 6695 1416 4 219 1251 3 18499 2917 1 6420 1151 1 18325 864 1 16246 1235 1 10579 137 1 6896 2497 2 18672 5385 1 14424 581 22 12619 2447 1 6121 3511 2 11272 5730 1 19338 203 1 2204 64 1 13446 7144 4 11058 2354 2 19807 4274 7 15208 2555 2 11303 186 4 17576 1466 2 16776 867 1 1311 1443 3 9901 6618 1 3397 3972 1 7363 8072 1 2325 223 10 915 215 6 3238 6640 5 9759 2678 1 7473 8194 2 2570 6990 1 11270 2005 1 12286 4818 1 2322 1996 3 6459 4013 16 6589 4425 2 82 518 1 13327 1703 3 16698 1201 2 13046 1734 1 15782 6170 1 6813 2380 1 12809 7825 1 143 6527 1 9394 1819 9 2739 4555 1 5464 221 2 895 205 3 6403 1019 1 7994 6072 1 18615 1903 7 4511 532 2 12032 4448 1 19272 4716 5 5679 1700 1 4183 4597 1 14221 2087 2 2178 5245 5 17513 1762 1 6873 5574 10 14818 3230 9 65 3115 4 17850 2638 1 1489 1150 4 8475 3911 1 6061 3704 1 14577 3370 1 17363 3539 1 17011 1729 1 11402 3573 1 3882 23 1 5701 1751 1 18675 325 1 14226 7529 1 2480 2675 6 4536 6225 1 17689 1104 9 6558 6697 5 11176 2671 2 14100 207 8 1679 3475 1 8408 200 10 14813 1234 3 2560 6225 19 12206 2553 1 6556 4619 4 3581 220 4 12275 203 1 19242 200 1 899 5259 1 1894 7350 1 11418 1184 1 14419 1743 1 2971 196 3 19030 2552 2 1065 4065 1 17550 6487 3 11562 7271 1 12868 1819 1 3296 3652 1 10948 1663 2 12104 3790 1 9151 411 1 185 262 1 4815 6219 2 3901 3729 1 16595 7965 1 15618 4023 1 1488 5559 1 9808 1342 2 19976 3900 9 9180 3901 2 7560 2581 3 16048 4992 6 13445 2737 1 15116 5427 27 4953 7244 10 3121 1296 1 4033 525 1 7577 2012 1 8582 1395 1 8384 201 1 12456 4197 1 12592 1700 6 17690 6252 5 9596 4112 5 13490 4916 1 16057 3400 4 4810 5413 1 12932 3220 1 8942 1342 1 950 249 1 11502 5502 2 15791 6776 10 19333 5088 1 10977 5294 1 19578 7074 2 15272 10 2 3861 1374 9 13727 1803 1 19539 1695 1 11057 1751 1 13220 1379 6 10078 7149 1 3322 5294 6 14784 1819 1 1 23 1 13087 4075 1 12892 3851 3 7386 5533 6 17060 2356 6 3485 1724 1 14330 1235 1 4479 169 1 604 942 5 9097 1991 2 14381 7601 1 7783 197 10 12090 316 5 14023 23 6 8831 292 1 17556 4326 7 10828 6640 2 19239 3065 2 9674 2419 2 19705 3684 2 3496 1752 1 6603 6640 3 13278 3494 2 10334 3256 2 16603 3012 1 17087 2584 1 15762 5674 1 18172 5016 4 7226 6933 2 14369 2081 3 8682 5276 1 5312 6239 1 5859 1713 1 7933 175 5 1307 4623 12 4045 508 1 5370 4175 1 9104 3798 1 10070 1344 1 6647 1017 1 7784 1076 1 8833 1685 1 12730 1687 1 9412 3685 1 15885 5628 1 5388 1234 7 3064 1720 1 11736 838 1 12918 6150 2 2580 4943 1 8965 519 1 3787 3410 1 16518 5995 3 10886 7545 1 5873 3840 1 7604 3063 1 16955 2958 1 1739 6341 6 10135 2647 9 5359 5571 1 5356 404 1 3521 6714 1 10129 5104 1 2115 6139 1 15691 401 1 13490 5326 2 9694 750 2 3985 3946 6 4606 3512 1 16700 916 1 4801 7552 1 14265 186 1 14009 6544 1 7952 4299 1 3780 1644 1 9693 244 2 7817 5013 1 11591 607 1 7432 4380 6 11982 3563 2 6919 916 1 6063 1732 2 11504 7754 2 12262 3640 3 17033 6382 4 15849 184 2 4701 840 1 7059 1719 1 15436 8184 4 17328 5513 5 14772 1659 2 11702 1757 1 6610 1905 1 12988 3276 1 2831 3899 18 9188 794 1 5347 7433 7 4811 1727 5 1028 4511 1 6700 1695 9 13734 912 1 9759 2268 2 7582 221 2 8560 5182 1 20123 6533 1 8327 186 1 17504 525 1 16381 200 26 8982 7466 1 4470 1277 1 11598 1238 1 1743 6484 4 13601 225 2 6403 6743 1 11445 4653 1 10165 553 2 19920 23 2 5828 3311 1 6811 3477 11 2039 634 1 3484 2441 4 13743 1372 1 148 1245 1 3414 2675 1 16306 3876 9 115 5209 1 16063 7151 1 3892 6823 1 11820 7275 1 6519 4029 1 14401 4065 1 17859 883 17 4840 679 1 174 8070 1 5363 712 1 5378 524 11 17327 1401 17 15677 4015 1 14326 6080 1 3751 232 11 11585 2686 4 11844 3519 1 10692 636 1 11332 1695 1 15476 1441 1 9778 2088 1 19724 5674 2 6856 203 10 14171 229 2 2508 4023 3 1838 3608 1 10554 4203 2 16974 3911 7 9558 220 2 17599 6569 1 12807 1275 3 1851 1555 5 6263 2344 1 14758 7098 2 16386 7901 2 14983 3411 1 971 2012 1 9322 2528 2 10080 4403 1 12083 6799 4 14881 755 1 6740 282 1 16848 3592 3 6940 2897 1 11602 5677 1 10165 640 1 11165 6368 1 18211 5171 2 8913 3704 1 802 303 1 10014 3338 15 15553 2114 4 13023 3876 2 3274 943 1 12055 1663 2 11687 1781 3 12230 3617 2 1790 903 1 12748 7443 4 3434 4455 4 11024 8091 7 5794 2678 1 4663 4277 1 1464 2855 1 13772 3227 1 2911 202 3 9604 4992 16 9450 1730 3 8967 1698 1 5564 200 1 6183 1238 1 3355 207 1 3630 4321 1 12680 2316 2 11277 4609 1 19870 214 1 15776 6482 1 17141 1762 2 9077 3060 1 5995 1717 1 3826 2493 1 6445 1747 2 6648 2357 12 452 1172 2 5863 1658 8 16860 8072 1 4338 2610 1 17117 2649 1 1713 6565 1 460 1729 1 12572 200 2 14784 6046 1 1171 1740 2 11158 5256 5 5495 704 1 6610 5093 1 1866 4827 2 19602 6609 1 13337 3851 1 14758 2519 1 12388 7117 1 2186 1819 8 19867 244 11 7362 1829 5 12464 496 1 2271 2114 1 9693 6898 11 13088 8171 2 18862 6327 1 3527 366 1 8849 339 1 6163 8200 3 643 6220 1 12585 367 1 3636 8099 4 6137 225 1 18014 799 1 7591 3233 16 7380 2439 1 7809 661 1 10856 844 1 3085 4209 1 3580 8167 6 17537 7514 1 11384 1996 1 19489 1245 1 14634 5957 1 2956 1917 1 5493 7513 4 11786 6630 7 15881 207 1 17416 2678 2 5211 6496 6 9057 220 5 17844 1719 1 18626 6484 1 12935 1402 2 18623 1251 1 5579 6065 2 6451 4467 1 9202 2111 2 6774 4392 1 12156 3998 2 16880 1235 1 2586 200 5 12889 2354 1 14685 1244 4 16091 1885 3 7527 292 1 2793 4555 3 3776 5131 2 128 5441 1 6616 4352 1 15948 545 1 4477 3625 2 11261 577 1 5379 1967 1 11112 3078 12 2478 1717 2 17823 201 2 11008 5800 1 2907 3404 2 15753 525 4 13267 1251 2 2828 222 1 13299 23 1 11411 1244 1 1719 6082 1 7962 1729 2 7756 5457 1 12804 3593 2 11933 203 3 171 7797 2 367 8109 1 5324 378 1 14994 4468 1 6211 4589 4 16531 1600 1 19342 5531 4 4572 525 1 7220 4029 9 9764 4325 3 9106 2276 1 13960 7466 2 4818 1698 1 975 7272 1 3314 200 1 19131 1007 1 13806 912 1 17615 5289 4 8086 234 4 494 3171 2 10553 6011 1 16562 1243 12 12777 1825 1 8710 470 1 19548 184 1 1378 2294 2 4631 3511 18 14908 1342 2 10902 366 2 19280 73 1 9453 809 2 7769 1395 1 9195 1781 3 19079 5630 1 13640 184 9 8952 416 1 14845 7419 69 5193 3167 1 939 206 2 10741 2027 1 6141 5362 1 10240 1739 1 2480 2355 2 538 7474 1 5868 4016 2 5026 7308 1 10318 225 3 9247 2789 1 13315 3132 18 16530 1776 3 14336 1665 3 3532 7498 1 12375 3900 7 6867 3393 2 3008 1366 1 6241 1724 1 17353 196 3 14806 235 1 716 203 5 14964 7920 4 5873 2686 1 143 6669 6 13764 1699 1 15117 232 1 13865 509 10 2195 1768 1 5199 4670 1 14686 7672 3 7267 1383 2 6033 518 5 16403 6053 1 14754 223 1 18914 220 6 3573 5228 1 9224 947 1 18780 3132 3 17145 2416 1 3888 221 1 19554 2683 2 120 3798 1 15318 1267 4 14326 220 2 11846 200 16 4815 501 1 4492 7399 1 13194 4186 1 2846 159 1 4253 235 4 8654 525 5 2597 6567 2 9390 6074 2 6346 3575 1 17585 2737 2 14568 3333 1 798 1727 1 1837 1054 1 16860 3576 1 6210 891 1 16916 1714 1 18307 1727 1 7853 1287 2 8767 3197 1 1530 3684 1 19724 252 1 17353 1734 4 855 200 1 18487 962 4 11616 3834 1 888 755 3 6244 237 1 10543 3419 8 12030 1762 1 5703 3526 12 4642 206 2 5189 2727 1 4124 1758 9 8630 1762 1 19147 2710 1 10728 2570 2 18389 1542 1 16612 1686 25 1978 4616 2 13856 5019 1 117 5227 3 1663 6675 8 13084 1710 2 9341 1153 4 5246 228 1 5088 1146 1 6312 842 6 3655 532 2 10814 5550 8 143 6617 1 3123 2675 1 18692 867 2 11145 4996 3 13346 1707 2 18142 1076 3 10287 7726 1 15260 1960 1 13799 3163 3 18081 4435 1 11288 5649 1 3080 206 5 6250 219 5 1276 6252 2 10355 225 2 11798 2016 1 12434 1889 1 16675 2646 4 14161 7167 1 741 1719 2 135 6123 1 13201 175 1 12067 623 1 727 1720 1 14881 7145 1 19593 4743 1 161 7355 1 20032 747 1 5602 7848 9 2257 4623 24 3427 1296 5 2579 2902 1 4130 1995 2 17174 225 1 11585 1252 1 1698 1255 1 3427 4056 6 8544 2484 2 135 6103 1 1858 187 15 5815 1726 4 19047 6914 1 10356 2489 1 6322 206 1 16259 1734 1 3822 6924 2 1070 5018 1 2067 2013 1 10215 4325 1 7196 2181 5 4397 724 1 4716 1770 1 861 252 5 11943 3511 3 1126 244 2 10740 910 3 19057 8203 1 11476 5669 2 9793 2727 2 2525 5715 6 402 3571 1 11877 221 1 10948 534 3 18687 883 1 2408 2352 7 15802 3748 1 12252 3494 1 15206 5014 2 7046 169 3 171 7693 3 9250 573 1 5771 5129 1 17505 3639 4 13023 5655 2 7251 470 20 4054 3571 1 14857 7240 1 10916 5597 1 19192 253 1 12941 7672 1 11027 201 1 3897 2358 1 8711 1466 1 20220 1245 2 6500 7633 1 11256 300 1 10105 3939 1 9077 1248 4 1145 221 1 13717 353 1 1858 2352 1 1034 4369 1 15722 1247 2 9663 224 2 11533 791 1 9921 1345 3 17841 1251 1 1701 6132 1 6003 214 8 4488 2355 2 8128 1244 12 8110 6925 4 11700 6091 1 8239 1369 1 19293 525 1 3427 2891 1 12337 5104 1 3485 1707 2 3015 1267 1 1973 1146 2 8740 201 2 15615 6128 1 6193 597 1 10678 5612 1 4796 979 3 17710 1909 1 1576 3345 2 8821 4069 3 18604 3556 1 2423 2508 1 2536 598 1 19364 1700 3 17865 828 2 15100 907 1 2591 3298 3 13543 2086 1 16916 5000 1 367 43 1 6801 1250 1 2081 206 3 5132 222 8 14289 4411 1 19731 7337 1 2405 525 15 12851 2708 1 5032 5905 1 12136 8047 3 17682 1717 1 3314 1363 8 10429 3798 1 3617 1411 2 15390 4196 2 4158 1244 1 709 4590 108 1465 753 1 9094 4615 1 673 6241 1 812 4293 34 19112 134 4 16057 735 1 18176 1731 1 12772 214 2 959 1539 1 19006 6512 2 1893 3283 1 5264 191 58 4545 4345 1 9747 1396 2 13145 8095 4 10698 960 1 19731 235 1 10910 8017 1 717 4435 7 6183 1778 3 3553 1757 1 5136 1738 1 16322 449 3 8786 6769 1 7780 219 6 14546 1363 1 19679 2880 1 10146 765 1 12821 5905 1 9714 4578 1 4954 2626 1 12104 1825 2 2265 231 2 5675 1781 2 13777 2919 4 3118 1217 1 2403 3575 1 661 209 1 5433 5245 1 15009 4258 4 19071 1740 1 9767 2356 4 16586 5105 2 15599 1751 2 16645 3605 1 16048 6031 1 10177 1369 1 7729 1764 2 10424 7475 1 7991 1648 1 6828 910 2 19054 1772 2 8522 4658 2 16600 869 1 39 2043 1 17331 236 2 13302 502 1 5712 4807 1 8278 1763 2 187 7758 1 572 8109 1 19255 134 1 389 1184 14 4371 4856 1 18954 1450 1 3427 1251 1 7560 6602 1 16655 6066 1 17778 2708 13 11933 5940 1 8210 1338 15 5782 524 1 14457 3351 1 1866 223 1 174 8083 1 7919 156 10 20177 411 1 8674 6414 2 2723 2147 1 18237 1761 1 9591 656 3 4015 1819 1 616 3685 1 1663 1703 9 1237 10 1 15329 865 1 8325 759 5 457 6225 1 11889 203 5 9715 952 1 17833 5305 2 4591 8066 1 3655 518 1 14833 4695 1 3801 385 1 9743 4977 1 7066 4042 4 8416 1612 3 8439 524 18 18833 3056 1 5594 1825 2 25 1497 8 2784 910 1 10688 891 1 8088 96 1 18693 3065 2 6555 4351 3 11341 844 1 18344 2056 1 1040 1170 2 17772 4325 10 9214 5474 1 6479 512 1 18040 3170 1 8377 3192 1 4511 8197 4 11793 3617 6 8299 5829 1 8819 4960 1 3648 3693 1 17191 412 1 153 7030 1 10290 225 3 745 6576 4 17428 1313 2 3417 6487 4 6463 2000 1 15573 8261 2 3416 2388 5 14527 764 2 14857 4796 1 2201 5018 1 1187 7222 6 19516 181 3 8320 2569 1 5727 411 1 17892 792 2 20136 3167 1 7088 3206 2 158 7221 1 164 7502 1 8532 1244 1 18262 1374 3 18876 3699 3 15318 3511 1 9784 1748 1 10290 1245 1 6402 1917 5 15098 1724 30 17171 8127 1 13767 5301 1 14628 2512 1 2194 3400 1 1144 1668 7 5183 2731 1 4688 316 2 17903 1763 4 11029 1417 13 3000 7840 4 12047 5710 5 15318 4780 1 18462 348 1 17191 2109 1 522 222 1 1867 526 1 174 7907 1 11327 223 2 15016 336 5 188 1248 1 7012 1898 2 4933 5175 7 5591 793 1 10383 1443 1 2830 379 1 10732 2678 4 12984 1356 1 16259 2356 2 14389 8199 1 12704 1819 5 19251 7297 1 4632 4325 3 15098 2555 16 2043 4120 1 8082 4572 2 18873 7136 1 19268 4366 41 12443 7617 1 727 5000 1 14427 867 1 12037 3562 1 7020 413 1 2283 7414 1 17521 197 1 12299 8222 1 13653 831 1 13015 5016 5 5172 2715 1 174 8004 2 6196 7298 1 5645 910 1 7211 368 1 7398 3760 1 15195 2317 1 8614 5467 1 9086 7606 1 14051 13 1 5806 5518 1 6058 201 1 18089 1296 1 15791 6567 1 18432 367 1 8987 5950 3 10116 74 1 13997 2507 1 1418 525 1 11336 7216 5 8966 1721 4 8793 708 1 13354 1719 2 16578 1454 6 9760 1728 2 10551 3558 1 1500 3653 1 16645 148 1 17147 7131 27 11763 4868 1 2748 6641 2 11998 5020 1 4154 4803 1 11976 1007 1 16090 6139 1 15943 4738 1 780 3203 2 13985 8051 1 19428 7525 3 3601 4995 1 10030 201 1 19957 789 2 16249 508 2 12962 3556 1 15545 4358 9 18676 4397 1 19793 499 1 3261 3798 1 4688 865 1 15368 5970 1 6556 6946 5 15308 6713 1 222 148 1 10730 2548 1 8055 196 1 11736 6539 2 6990 3775 1 13805 4944 5 2546 198 1 11055 393 1 19286 1762 1 7527 1950 1 5478 5414 1 1866 1730 1 1858 6334 9 4663 597 2 7733 1363 1 8077 8015 2 2886 2915 8 17201 1819 4 19683 2698 1 13698 1687 1 13701 1781 2 2975 6640 1 10404 566 1 10791 1645 1 13634 1296 3 15 1000 1 6299 1374 2 10231 5105 2 15635 656 1 18511 184 10 7728 4599 3 8405 2853 1 13447 7719 1 14612 3097 2 8626 4996 2 18459 5285 1 14532 1035 6 10435 6826 7 8448 3834 1 4767 2261 1 11230 4307 1 5515 221 3 9212 1277 1 12310 1646 1 13674 1070 2 3437 2355 6 72 3337 1 14864 203 1 16559 3851 3 10363 1250 1 4749 5105 2 13312 1042 1 18075 6481 27 15753 3650 24 714 2635 1 7452 640 1 1059 3595 4 12614 7734 20 13928 8141 1 17384 229 6 11183 4333 1 9432 5313 1 14638 203 1 6867 6341 1 11 479 1 8161 203 1 13640 3164 3 1723 2879 1 11402 943 1 14584 252 5 13252 3997 5 17894 6192 3 3553 1740 1 14217 5256 1 8210 3705 1 8767 1714 1 3673 7542 1 11042 43 1 3918 5018 11 2359 5228 1 17636 4132 2 9968 3645 3 112 1770 3 14052 5162 2 899 583 1 5854 3409 2 8009 7674 1 153 5905 1 5987 1768 5 17401 1101 1 14998 4277 1 17416 5468 2 171 7700 1 9651 232 1 16524 1245 1 14649 244 1 5836 4383 11 7267 6754 1 6902 3203 5 13607 6526 1 964 1036 2 8989 6084 1 7267 1703 1 8094 4589 1 19272 2743 3 6236 5097 1 14968 2639 2 8326 2257 6 14010 3838 1 17173 6529 1 496 716 1 19333 4481 8 10900 1345 1 4658 8111 2 19276 2708 2 19069 1747 5 13995 190 7 17887 1724 1 1866 1342 1 7557 8194 10 6769 2949 6 16249 4209 1 15418 2653 3 5815 1718 5 4092 5945 1 349 3423 4 11101 656 2 10413 5097 1 7147 2721 1 19603 6196 17 18888 3921 1 5725 753 2 12280 236 1 17165 6223 3 14618 4085 1 6855 652 1 17867 6748 2 18173 4982 11 15895 3622 3 5891 1464 85 14861 2889 2 4423 523 2 2403 6349 1 4921 1752 6 16690 6553 2 10608 1342 3 9604 875 1 6977 4249 1 13527 576 5 14272 1269 2 17734 892 1 481 8097 1 7010 1342 2 10309 3423 2 14384 1007 5 2754 7256 1 19125 8149 2 10189 2559 1 18637 523 1 13199 1764 4 10733 6102 1 5281 5466 1 14578 1691 1 2435 2675 1 7702 680 1 3312 3686 13 8327 2356 2 11786 3606 2 18346 3425 1 2079 838 1 2925 752 1 9759 470 1 17359 2591 2 7758 1686 1 14672 412 1 2962 4478 1 4663 661 1 14505 1695 1 14667 1374 1 19930 1437 2 13387 2509 1 19843 1829 97 17825 3460 1 10824 1740 1 7380 1464 1 5213 514 1 1487 3632 2 15116 5518 4 10554 5316 2 15834 3519 1 4170 1987 1 1128 498 1 932 6801 1 12775 7699 1 4833 534 4 16625 502 6 5453 1239 17 682 6050 1 5216 2123 1 3146 6540 2 3175 2109 1 16815 5349 1 18275 3058 2 15706 491 1 14376 1304 2 812 132 1 10179 7772 2 15687 4284 2 19955 2261 1 4617 5413 1 20074 3792 1 14939 1758 1 12766 577 1 17138 7414 1 17463 1664 1 16886 545 7 2267 3760 1 17812 353 1 3025 5466 1 6038 397 1 5615 2428 1 15724 7719 11 17127 1244 1 4425 5202 1 4569 520 1 6587 1237 1 95 4359 1 7263 381 1 10879 5806 3 10643 3234 2 9935 1369 3 10362 95 1 6089 206 1 10064 8141 7 26 1527 2 19319 336 1 18406 2386 5 11849 5788 1 2966 6632 4 16624 6762 5 15283 7319 5 7145 1342 2 1817 6363 4 3020 3423 4 15412 545 3 1783 2056 5 20054 2021 1 9759 4217 2 6772 1785 1 13 755 1 14115 4511 2 10202 2356 1 17472 890 1 16292 2632 5 8438 868 3 2302 7083 6 1772 5272 2 15920 1482 11 17953 3748 10 8452 3578 1 20068 1238 1 413 1996 1 13646 215 11 14441 4615 5 10916 1103 1 15307 790 1 10835 1760 1 1686 1801 1 8948 5321 2 11216 1434 1 8746 1655 1 9307 6242 1 3976 1760 1 73 3391 1 2891 219 2 19289 3233 5 11769 1927 1 15282 23 1 3304 840 5 108 4900 1 19645 2635 6 14888 4224 1 18417 2512 10 11072 6541 8 14561 4337 5 18232 6435 9 3988 4499 1 35 1918 1 2886 2993 1 113 5091 2 2935 1755 4 4941 3931 1 10688 4960 1 13677 23 1 4519 232 1 1909 2383 2 18040 5420 4 1173 344 1 12688 6028 2 6844 605 1 140 6375 1 11751 8186 2 18232 6227 3 17346 6684 1 19567 3869 10 3806 2673 3 1580 5577 1 17664 1736 1 65 3105 4 605 3972 2 19464 4312 2 3012 1315 1 4832 274 1 13373 506 2 11452 2541 13 14276 3627 1 18734 5308 1 16853 2276 1 6769 46 2 3008 44 1 522 220 1 13287 1762 6 1437 6801 1 1459 1722 1 3314 1342 2 16057 3494 1 11987 2268 2 1553 3556 2 1347 156 1 6401 190 4 17428 5677 2 21 1390 15 3730 3203 7 8788 517 1 14380 411 1 20248 5558 1 14553 6548 1 14958 2019 1 2284 863 1 14060 1251 1 1133 2168 1 5208 519 5 7177 1687 1 18096 7128 1 5230 6421 1 8383 6781 3 7736 3595 1 2571 3859 5 6776 214 5 10158 2557 1 8369 1440 2 602 219 1 9875 514 6 14239 1772 3 19026 1595 1 4305 5968 1 2167 4343 1 5784 3676 3 6853 394 1 4223 3511 3 5158 3396 3 13655 1184 1 18329 2675 1 15286 201 2 3857 4444 2 633 8161 1 14906 7719 12 19694 5162 3 13466 1985 31 16391 3679 2 11769 7299 1 481 4252 6 17000 1752 2 580 1286 5 14366 7606 1 2135 1464 1 1960 1883 1 10653 4307 1 19903 4612 1 14162 3104 1 18404 2646 2 11551 1146 13 19348 6343 5 4100 1439 1 14147 1342 8 11585 3896 1 10324 5559 8 19549 6766 1 18103 4105 1 14548 1247 1 5911 1474 2 1837 882 1 16730 633 6 1707 1642 44 16096 636 2 14958 252 2 8435 214 1 12293 23 4 9479 1210 1 105 4705 2 1235 3621 5 9638 1395 7 20159 2618 1 14788 3167 2 5632 7222 2 6915 6152 1 7652 1816 7 14182 207 2 13341 6536 1 14313 3533 1 9390 5325 5 6692 5412 1 8032 5120 13 19160 319 1 7839 2552 11 171 7712 2 19182 2825 1 115 3751 2 35 1905 7 16522 1714 1 20145 411 2 16945 1363 1 11611 501 1 15881 3016 1 79 3562 1 2045 1747 1 673 7088 1 15202 7525 2 16130 5317 1 9104 5253 1 8439 1453 1 10773 4909 1 12452 2906 5 11853 1781 1 8051 5315 1 11687 2256 3 14571 4194 1 19344 201 1 6070 6581 1 13986 1740 5 10290 367 1 607 4400 2 4437 534 7 18183 1734 1 20019 7653 16 10004 1727 2 19094 1779 1 16778 4245 1 1923 1732 2 8890 7552 2 17724 8034 2 8315 3410 1 6647 3403 1 4998 3298 3 15180 1814 2 5513 3722 1 10665 588 1 13571 3855 1 8286 6080 8 14079 1819 6 1182 374 1 16450 3400 1 16470 524 5 3249 1236 2 15211 6658 1 6717 3058 5 17383 5272 1 12176 3316 4 4050 1238 1 6107 6150 2 16997 1743 4 13569 244 3 12465 3511 5 9650 2184 32 18088 4292 1 4880 712 1 4703 1893 1 19316 8203 1 19069 3106 1 13016 4955 3 18546 3135 9 330 7159 1 10358 2690 3 16708 536 1 9745 4226 1 1208 1041 1 1839 758 1 13055 6551 1 6867 4944 2 1456 539 1 4310 3276 1 8910 1996 1 8811 2107 2 19981 222 1 9979 6989 5 19272 197 2 4662 523 1 14179 325 1 9606 1271 1 5195 1751 2 13556 1762 9 15522 1995 1 8868 4367 3 1389 2708 4 3694 378 1 16845 186 1 11862 7237 2 4909 2675 2 8817 252 1 3310 1695 5 8473 519 1 10587 5903 1 12084 1672 6 18413 409 22 14578 7576 1 954 7020 2 1171 1250 1 13860 7815 1 99 651 1 2091 7021 1 19877 1703 2 5370 4166 1 8102 4956 1 10501 4395 2 18520 7256 1 9313 6107 1 20177 1752 2 10724 6500 1 4539 3175 19 388 5259 1 5424 7677 1 6001 4435 7 62 3015 1 11542 525 1 16624 2552 2 19187 3971 1 745 1399 1 14108 7045 1 19383 4428 5 5095 4380 2 1689 1243 1 19149 7872 1 10010 7167 1 7354 1692 1 4003 1287 3 12535 2877 1 9573 7213 3 17703 201 1 9519 368 6 8870 5137 4 11925 2633 3 19331 1722 1 4165 4303 1 8969 470 5 4960 7086 5 1923 2542 1 12498 7350 1 15102 4796 3 6327 4013 1 17949 2541 1 6961 7486 1 3261 4494 1 18572 2355 3 11999 1695 2 16370 5074 2 5980 214 2 11687 1695 3 16660 6709 8 5060 6119 1 15940 2013 2 13922 1825 3 16473 7570 2 14803 1825 15 11279 5574 5 3705 1738 1 19174 1772 1 12690 1245 1 13601 7642 1 13560 7568 3 1576 225 1 2583 506 1 10228 1825 47 8268 4435 2 6064 474 1 3395 3113 1 6183 1374 3 14174 7083 2 20262 1235 1 9628 766 1 6453 1685 2 16299 127 1 6070 1962 2 6750 1845 1 19608 4956 1 4869 863 2 5659 3236 2 12190 3851 5 31 1275 4 2819 220 2 17977 1164 1 16999 3923 1 18766 186 1 11987 1062 1 9868 467 1 18251 6278 1 14252 6289 4 8450 6363 1 7790 5292 1 14599 770 2 13705 1379 3 11195 219 5 6910 460 1 739 1718 1 153 3753 1 12125 4950 3 12361 6539 1 3424 207 1 14305 602 1 12003 3540 5 121 5304 1 9341 1296 1 4855 4431 1 11131 451 1 8435 4459 1 1824 3366 5 13323 3824 1 5676 5420 2 6517 5251 1 1453 2800 1 5815 1778 2 18795 880 1 1866 863 1 456 518 2 17988 7073 1 16368 1710 1 10733 4204 1 11221 6242 2 9374 1771 2 20114 864 1 7480 3715 4 10585 5903 9 572 580 5 16196 8203 1 717 8192 1 12897 7948 2 7267 1665 1 10486 7734 1 8518 1675 2 4197 5310 1 10855 7292 4 873 5266 1 651 8137 7 4987 799 3 8926 7237 2 15175 4582 1 19433 3275 1 804 1143 2 4878 1752 6 13234 883 1 11301 7763 1 10998 5814 1 8196 4977 1 16849 200 12 15346 365 5 19233 3464 1 5700 1236 1 11683 203 1 9482 2636 1 4493 1085 1 2716 3159 1 2997 6053 1 11520 7829 1 12897 3590 1 11072 7229 1 932 3322 1 9443 5420 1 10354 89 13 20168 3005 1 9587 814 1 680 156 1 13052 23 2 2877 1147 1 2204 685 1 3337 796 2 6837 1757 1 4765 514 4 7128 6488 1 6989 600 1 9816 1277 4 10465 3233 14 5934 6618 1 19881 2560 1 10830 4394 1 18105 2021 1 10021 3840 1 9844 6425 1 17624 1461 20 19378 1734 1 6723 4761 4 14115 903 2 135 6158 1 15055 4448 1 4197 5284 1 2354 225 1 20278 419 4 13926 5054 1 17183 1245 1 14059 367 1 11837 203 1 9909 6440 1 19237 2938 1 7584 1245 4 18392 1734 3 1705 648 1 11793 3216 1 694 1742 1 13825 74 1 1978 3058 1 19967 1449 1 4092 197 1 17873 8175 1 3331 6269 1 3995 7958 37 18083 87 1 18671 4729 5 3059 3491 1 7395 1153 1 13427 46 1 6840 661 1 19837 6197 2 19872 2969 1 20170 1748 1 18193 1253 2 3593 1312 4 5813 8121 13 4385 5421 1 15948 1776 1 15919 2737 2 11238 2692 1 3426 1772 7 1461 7824 1 18698 4306 2 15599 7225 2 16259 1748 1 2676 235 1 15429 199 1 11155 1743 3 2502 374 1 10132 2739 2 10334 792 8 10601 2649 3 3048 2838 1 17073 214 1 2803 370 2 12233 1738 1 15159 3800 1 16490 411 9 3590 3980 1 9258 502 11 12701 4501 2 15419 2497 1 2571 3634 1 81 3683 1 10584 514 15 15092 4189 1 10294 1819 1 7705 1116 1 9440 867 1 2126 482 1 18597 6259 1 14412 495 1 4667 889 2 123 5357 6 7484 4306 1 12638 23 3 4493 6758 1 6132 1717 5 7028 4375 1 5370 4178 1 13462 6064 2 8203 200 2 633 6341 1 3416 757 1 164 7431 1 6907 7103 1 13202 1882 1 1744 4015 1 918 1814 11 10205 7466 3 6473 235 1 20237 505 1 12821 1295 1 330 3588 1 108 4881 2 19000 6083 1 16998 222 1 3827 1770 2 12700 1245 1 1079 2208 1 4665 496 1 5424 4282 1 2955 7268 1 2267 528 1 12897 1564 1 3036 4877 2 14427 3356 1 14412 1819 2 16270 916 2 9020 5245 1 141 6484 1 869 314 2 19181 3025 1 14932 470 1 31 1743 3 9713 1751 6 13790 1756 1 6044 843 1 3663 773 2 3683 3511 2 16783 519 1 17649 1342 1 9721 81 1 3918 6649 1 18182 4316 1 7790 5871 1 171 7820 1 9279 1771 2 2284 1146 1 6999 1898 1 1898 5266 5 13630 4351 9 14754 1825 1 12902 1760 2 18320 5517 2 14686 467 3 9868 1208 1 14238 1482 6 869 4014 1 15762 6352 1 4167 518 6 9378 4660 1 3337 1151 1 13891 3471 10 18428 3230 1 3855 127 2 14406 4283 1 4234 1814 1 7719 5866 1 16740 7280 3 3755 910 1 3090 7570 8 17378 3171 1 13306 190 1 10435 3760 69 18149 7948 1 16784 203 13 2154 8140 2 17500 331 1 2225 2548 8 20126 3058 1 14585 2522 1 14626 962 1 15605 2089 15 17877 4996 1 2605 5071 14 6558 995 10 6556 43 1 18081 156 3 12128 2000 1 716 7523 4 11528 6338 1 17385 7005 27 4970 3511 1 4498 1145 5 18655 3511 4 13058 2302 1 6733 6278 1 16463 7297 2 745 1760 1 9182 5077 4 19113 6167 1 1928 3572 1 7194 4706 2 19241 598 1 13587 1193 1 8169 7030 2 8415 2016 2 7098 1457 3 4691 1737 1 15436 336 12 19865 2127 1 1376 5257 1 1722 214 1 13951 244 5 4805 7719 1 19624 6669 5 5860 1761 6 13335 23 1 15640 1241 2 15104 4435 6 5382 4655 1 3036 5091 1 26 1541 1 10817 5324 5 1691 725 1 17852 766 1 269 6341 5 11428 7105 1 18820 3477 1 494 1507 1 16964 1721 1 17392 1718 1 15084 235 3 8747 2969 5 15594 1417 33 19477 36 3 11882 5516 1 8434 2143 1 14619 6363 2 592 461 1 18761 1757 4 3012 853 1 4005 1468 1 19409 6538 1 99 839 1 8291 1342 2 17884 1237 1 12030 1991 2 8291 184 3 6794 5126 2 16581 219 1 13615 4518 1 15057 929 1 18178 7419 25 9331 5275 1 6989 2774 1 4546 222 1 14663 7602 1 4425 890 1 2240 4662 2 4315 303 2 4268 666 1 15203 6756 1 2575 3244 4 14813 1443 1 10242 221 2 1445 8057 1 18814 7466 1 14114 900 1 18160 5466 2 18992 2056 3 15652 2653 1 14590 3595 1 899 681 1 13735 201 12 12922 3799 2 4612 1587 1 10608 3298 6 8900 3426 2 251 4972 1 6681 2990 2 1234 1062 3 8949 221 1 15177 3876 4 15483 3980 2 3630 4673 1 19848 7101 1 15718 4773 1 19578 6179 4 822 1032 1 5467 512 1 8137 745 2 62 3031 1 3105 3588 5 3058 1732 1 19359 1705 5 12063 4614 1 19034 827 2 14211 3333 2 11360 814 1 2450 2722 1 873 1395 1 10817 4173 6 20228 4103 1 17364 1946 1 13681 5730 1 4279 1231 1 15491 2511 1 5818 6714 2 17549 1593 1 6391 7227 1 14780 1825 8 14162 912 1 17578 1561 1 9844 7322 1 5423 7915 1 17136 883 4 2971 1819 2 6152 5485 1 19298 200 4 18534 18 1 3862 3886 1 14913 1710 4 413 236 1 10710 1571 29 19932 499 1 7822 3972 1 14198 1745 1 10592 2385 2 1822 2633 2 14928 23 2 7098 2307 1 828 303 4 7457 2169 1 684 1761 1 12599 3480 2 14447 1184 1 14063 948 4 3081 769 2 6292 3477 5 9483 200 26 9566 1721 1 14896 1342 2 17120 186 1 6808 3036 2 6099 5278 1 10418 2340 1 16547 865 1 16825 5051 1 18546 4403 1 12615 3113 2 15497 203 4 13394 7599 5 5461 1302 4 7362 7427 1 1131 5325 18 18511 2186 1 5196 6228 1 10852 6103 1 16240 4240 1 2630 506 1 822 4557 1 14906 1710 1 18951 200 4 7165 890 1 10312 3522 1 17776 7504 2 17048 4502 1 15023 23 1 3516 1237 1 15157 521 1 19034 3283 5 5612 1238 1 19331 184 3 3642 2946 1 2478 1423 2 4385 4314 1 17593 5514 2 10534 534 1 9597 3117 17 14753 5986 1 19300 1686 3 10 321 1 19076 1564 1 10123 5657 1 15932 2562 3 14427 449 5 5216 2246 1 9628 584 1 8332 3057 3 873 7013 1 6464 23 3 7080 244 1 17578 6084 4 3220 6799 1 6456 224 1 5608 4628 2 17767 4842 1 1613 215 1 348 2343 9 17886 148 1 19030 6749 3 6111 863 1 745 1778 1 10486 7704 1 19346 7085 2 14312 849 2 12119 4792 9 4606 215 11 9542 3634 3 12760 4446 1 3189 4348 1 13343 5341 3 2306 1234 1 11210 6140 16 16252 100 1 11216 1256 2 6544 1252 9 8620 3510 1 1439 7616 1 8997 6038 1 6533 891 3 8757 6537 1 18226 2858 1 8735 2821 6 15279 6047 1 16873 5604 2 19865 821 1 3668 3021 5 8636 2517 1 15101 5699 1 18724 7018 3 19813 1707 3 7362 2559 2 9661 3593 1 14162 132 1 1622 1410 1 1872 514 8 18299 7586 1 9475 5690 25 17682 296 1 8441 505 16 5684 3810 3 6867 1573 1 3017 6480 1 19208 638 1 174 8117 1 12306 1072 2 284 1905 11 349 1819 1 12547 4631 1 6884 7530 9 1592 7902 1 12214 1245 1 19246 4266 1 3301 6082 2 4063 2488 1 4688 186 1 11278 2619 1 19239 1736 1 14091 2363 1 16878 5324 2 4578 6670 1 16364 3225 3 13373 22 2 159 7238 1 2466 2671 6 4330 201 1 7317 605 1 5795 910 1 8692 1367 1 15871 4909 1 16795 888 2 593 498 2 8735 1150 5 9168 397 1 264 1721 1 4673 220 1 15834 816 1 9994 7215 2 14494 3239 1 1839 235 1 16063 235 1 4978 2352 8 46 1738 1 17109 6095 1 14195 5538 1 16068 1003 3 10165 1714 1 13865 1755 1 9205 196 2 11277 1745 1 18578 7235 1 10693 2662 2 15409 6622 1 14711 3027 1 20191 894 1 13684 402 2 5786 1244 3 2962 959 1 2984 6363 4 1733 514 6 13241 8183 7 7756 5531 1 2128 7809 1 18286 507 1 14272 7216 1 3117 3006 4 18211 2094 1 10396 6514 3 8909 1146 2 6164 3911 1 17395 6019 2 3449 3026 5 12209 1278 2 18672 5478 1 7694 7008 1 3972 5525 1 19502 1342 1 18152 3511 1 382 5389 1 14760 452 1 6796 4708 1 2713 1769 2 542 2969 5 7241 1363 2 10920 3911 8 6538 2068 1 13363 911 2 9838 1613 2 12923 5319 8 4061 3920 1 1287 5427 4 5400 853 1 6256 2355 5 19688 3685 5 19234 541 4 11654 1103 1 10732 207 7 1858 1788 14 11668 1728 1 17099 4161 1 7783 6167 2 13097 38 9 7933 6635 1 11122 6339 2 16935 1309 5 4368 4086 1 15096 6256 1 14629 419 1 6750 4992 1 3407 7206 1 968 1698 7 6570 4540 7 9186 2676 2 8532 6238 1 15720 1714 1 15507 1825 1 10205 7592 9 14192 6721 6 10980 164 1 3818 3972 5 31 1744 8 19854 575 1 19241 2838 1 5497 186 1 14758 656 1 10033 3263 2 5495 4146 1 8843 1663 1 9193 1621 2 3915 545 2 20146 2584 2 19770 8217 1 6656 1703 1 2279 3593 11 2116 201 1 4283 3081 1 7412 800 2 17 1038 1 13305 1681 7 6844 917 4 4779 4036 1 2402 1942 1 13598 1252 18 12322 1705 4 16090 6922 1 17073 3230 7 8799 7853 1 552 5466 2 14660 4387 2 14015 461 1 10452 329 1 15827 6142 2 2973 1252 2 17066 1172 1 11052 6955 2 7610 625 1 4207 3909 4 3765 528 11 18888 4967 1 15289 4587 1 8989 5750 1 10391 201 2 5588 4367 1 13939 13 2 18132 1819 1 19574 1284 1 8798 2795 1 20204 2673 16 2855 1665 1 14102 7222 2 6857 2770 2 873 5011 1 15662 4623 1 6556 4041 1 9443 6533 2 4716 505 1 18284 13 1 18608 787 2 8074 1707 1 1907 194 2 2512 1243 1 15201 2645 11 12464 244 5 808 219 1 15742 4543 1 8620 517 1 7493 2256 4 91 2506 1 3015 1729 1 6773 6751 6 356 5048 3 13600 7853 2 10522 3278 1 4729 5885 1 15826 3578 1 8826 646 1 6275 2726 1 3892 6192 1 17297 3613 1 10841 2442 5 8599 2633 1 14824 3207 44 5952 220 1 15314 5406 1 13700 5820 2 9099 6252 1 2990 5424 11 15140 2600 3 11037 6721 2 8481 1776 4 20090 3534 1 7116 1715 1 8495 2683 17 11358 7245 2 16090 2746 2 15364 948 1 20235 214 1 17653 2367 1 8375 5384 1 15069 6500 1 2980 878 1 14664 214 4 10973 394 9 13341 808 1 20169 5826 1 13605 3909 1 13446 5440 1 14082 6716 1 280 2247 6 15396 1241 60 20108 652 1 15993 3634 1 8367 5792 2 15264 441 1 7148 2645 6 18672 2257 1 18985 3885 4 13245 2875 1 8451 786 1 8416 4450 2 17954 6517 1 7296 5018 1 6007 3248 5 4525 7427 1 6533 3077 3 2350 420 1 17145 5575 1 9295 23 1 15896 3454 2 1684 7926 1 12228 929 1 12815 3939 5 5677 764 2 13981 919 1 6989 853 1 6463 2004 1 4212 200 2 5472 1466 1 2321 4641 4 17103 200 3 8273 1670 1 16211 6903 3 18871 380 5 4579 6341 1 20039 5186 1 982 2671 1 19714 203 1 7368 577 1 11749 4252 5 6314 7883 1 10553 426 11 16264 2145 1 12640 4331 1 18431 6723 1 17583 6231 2 16812 893 4 4898 5758 5 4696 1298 1 7994 6081 1 15710 504 1 19139 7583 1 7949 3352 1 121 3356 3 3925 1235 1 8378 642 19 9154 1861 17 2179 8171 1 8417 200 8 50 2490 1 4309 3921 1 284 1876 3 19099 7576 1 7235 3488 2 6645 3230 2 14699 1695 1 1654 501 3 4317 7427 1 1900 4393 1 12262 1283 1 2478 1748 1 5866 1757 2 16775 5105 1 20107 2478 5 4552 518 1 1542 1482 2 11461 2353 1 7850 2731 1 14145 7117 1 688 652 1 4763 4373 1 18431 834 1 11786 526 1 4498 964 1 5281 4738 2 2747 203 6 19826 3866 1 14534 3903 1 3781 3647 1 7397 1241 6 17314 2678 1 14606 391 1 2266 5694 1 1073 1991 1 15272 235 1 4273 1768 1 8074 1399 2 19720 203 60 8641 7710 4 8275 1267 7 4587 4491 17 1043 1361 2 5819 1573 2 17180 3903 1 10950 7820 1 5843 1357 1 11192 3587 2 14773 1695 1 18315 5281 2 6556 1985 1 8280 201 7 14109 1990 2 14278 3399 1 7688 3945 2 18067 4226 9 13689 6692 3 15059 6677 3 5695 948 1 8053 2923 1 6888 1729 4 9945 99 1 6810 7593 1 14011 2292 1 126 5708 1 1039 244 1 14061 3204 7 119 5245 1 296 6065 1 161 1710 11 10573 7414 4 8538 4105 1 4898 5496 11 12690 5737 1 10614 2643 1 2181 1454 1 5494 2356 1 2098 1379 2 12218 2549 2 13030 916 1 17276 3970 2 11478 235 2 11411 1825 3 13013 65 3 16254 13 1 16109 225 1 1999 4056 12 17098 2675 1 5347 381 1 16645 867 1 4615 1827 1 11008 1912 1 15502 3298 4 3 136 1 741 7964 2 3712 8083 1 5653 223 3 5626 303 5 4016 1778 1 1645 6945 1 18279 4967 2 20009 2256 6 9245 3338 1 2290 6207 1 6452 1373 2 10744 3476 1 4371 2071 1 10268 4992 1 3644 4014 9 123 5370 36 14213 5817 1 4507 3758 1 18719 6396 10 296 6482 3 19290 2261 4 15085 7674 1 19530 5666 1 16140 422 1 8082 8099 2 6363 8203 1 2917 682 2 334 870 9 11369 3539 1 10531 5105 1 19601 1701 1 107 4791 2 4137 2407 8 20128 3788 1 16140 4404 1 2500 5193 2 4491 1745 1 11297 5502 1 10905 225 1 7039 541 14 12777 3393 1 18618 957 1 9028 3584 5 1887 1037 2 13635 1190 1 3536 13 3 3426 520 3 2857 367 1 6611 219 2 14371 6683 1 3048 929 2 8383 2708 1 5352 7138 1 13046 520 1 10080 356 1 15657 821 1 9275 608 1 18207 1779 3 8747 1720 2 17939 534 5 1203 4640 1 18179 2327 1 13752 1819 1 11367 1285 1 7252 2981 1 85 3912 5 5730 220 1 7879 7921 1 950 554 1 1961 220 2 16611 244 1 151 6786 2 6273 3466 2 17003 3633 16 12279 1573 4 7904 720 1 2198 5400 1 2625 3869 6 9535 3511 1 16500 541 4 11374 6535 3 7206 2355 4 16984 713 1 19705 3287 1 3837 2761 1 1435 6744 1 5408 2686 1 5254 3748 1 11834 1333 3 12821 395 1 7065 6693 6 3516 3328 5 5863 1470 1 16410 4529 1 11467 7455 1 10395 4635 1 10963 819 1 8920 2262 1 2445 6635 1 7296 1819 1 9660 6754 3 15451 207 39 18266 1305 1 15367 8153 1 4387 1703 1 13899 303 11 12536 184 1 17812 5115 6 13011 502 1 11348 173 2 5863 3453 10 9721 4187 2 62 23 1 16861 5141 1 12988 2368 1 10187 2675 3 10926 2355 7 14295 1245 2 10861 3531 7 18236 1722 2 812 3599 1 2907 864 37 4154 6105 1 1303 4473 1 13776 1631 1 17246 1235 8 7531 6152 5 13 555 1 4552 1277 1 1453 843 1 10289 5091 3 12174 4096 1 10281 201 1 17825 7206 16 15041 306 1 2332 5758 3 10692 764 1 13746 1770 2 18431 6011 2 11407 2649 1 5512 203 2 7135 1334 1 18685 303 1 20032 5491 13 83 3794 5 8730 2415 3 7964 4391 1 6520 84 1 2816 235 1 11997 6827 1 16106 4245 2 18797 1251 1 6854 1760 2 13829 23 2 17384 631 5 8768 1238 1 11580 229 1 10733 634 1 5986 6407 1 2246 3685 8 3126 6708 2 8271 258 3 5285 8127 1 19149 547 1 3451 6341 19 17084 7407 5 12325 233 1 13513 6551 12 2778 903 3 12642 205 1 3004 666 2 2772 1304 5 12190 1186 2 6312 624 1 16542 5740 1 7895 7834 1 10532 5505 1 10933 6607 3 17066 4099 1 92 4137 1 14962 3448 3 1954 2636 1 17508 524 1 13178 3486 1 14114 398 1 601 1778 1 4880 2514 1 8585 6213 5 18608 2645 1 879 2955 1 6220 4435 1 10 274 3 19223 3113 1 20189 461 1 19044 23 3 20225 828 1 6234 6341 1 9120 2209 1 11622 596 1 14196 3410 1 3274 3767 1 1009 3411 1 18243 5154 8 11889 3059 1 1443 5271 1 10799 6204 6 10397 1613 1 12923 5138 8 9079 244 2 9187 409 5 13461 2686 4 17555 1898 7 5589 1760 1 17521 533 1 17988 869 2 3129 3525 1 10856 1454 3 14235 8012 1 14629 382 1 18115 5951 1 17475 229 2 12833 3247 1 7440 964 1 3759 4306 1 80 3619 1 2598 1623 1 3309 817 6 13 814 9 4165 4519 2 96 1251 1 1 15 1 16018 484 1 1456 221 1 17071 5325 25 11166 3945 5 5990 5002 8 6781 6124 3 591 6568 2 2345 3418 1 11399 3851 2 4001 3869 1 15896 3591 1 17736 263 5 96 220 1 950 1751 2 9195 1482 3 10201 533 17 143 1276 1 15329 5733 1 787 1431 1 9639 282 1 5041 3602 18 6249 799 1 8367 1298 1 6511 7769 3 9341 177 1 1149 200 1 12142 5961 1 5824 3421 5 1002 214 2 16617 2548 1 16083 232 3 8185 5846 14 10609 1457 1 12382 6561 1 2847 1707 2 6363 1755 1 7823 2433 1 10313 379 5 16491 1241 1 14170 594 2 87 4028 1 4086 274 1 14520 530 1 10404 7013 1 969 7222 2 7974 3942 1 1035 103 4 17521 1681 2 19574 7216 1 1464 2931 1 3584 205 1 9628 561 1 5213 1710 1 11386 557 1 19243 6982 1 7252 392 1 11415 416 1 5611 1731 3 8152 1245 1 2351 3906 8 343 1302 2 18481 6941 2 11228 4992 1 17137 197 1 121 648 2 2274 4107 1 15429 4022 1 19402 5824 6 8394 5712 1 1482 3511 1 7726 5561 1 8087 3536 1 3005 719 6 18792 1665 1 99 4462 1 19507 84 7 164 7482 1 2920 631 1 7322 852 1 10549 1395 4 1066 8113 1 9813 2291 1 8868 5607 1 15281 3556 1 2545 3922 1 5877 7850 7 12632 229 5 10234 1244 1 17434 1897 2 14171 244 1 7749 1664 1 6681 5105 1 9658 1845 1 4657 6278 4 14147 1464 1 9749 5515 5 333 4986 1 13822 34 1 19637 6585 1 17855 1600 1 3189 6945 1 11220 4767 1 4236 5806 2 7199 5881 1 4015 3682 1 1962 577 4 6327 514 5 9763 498 1 2926 207 5 17839 5256 1 840 470 2 5021 5594 2 9886 769 1 6913 855 1 14960 3630 1 4337 7681 1 19136 3167 2 1898 206 1 18316 8171 1 16090 4317 1 2267 95 2 3243 2379 1 14773 203 2 8532 1775 1 17284 6268 1 16921 413 1 11156 4972 6 5660 4992 1 14117 4922 1 13068 4604 1 11212 2801 4 8708 6692 1 1879 4306 1 11131 3800 1 13182 1819 1 823 3892 10 6107 1275 6 14012 6486 1 16743 1727 2 5279 223 1 19724 502 2 10290 1374 1 14772 5521 1 1389 4317 1 9374 1453 1 1520 489 3 17558 3273 1 16733 2555 1 14599 735 1 17968 1728 1 8718 4702 7 2338 2648 2 2486 4325 1 13591 5257 1 17751 6204 1 7135 1705 1 17855 5097 2 7531 520 4 13355 6581 1 6749 5138 1 11094 6435 1 12618 2006 1 5643 1361 3 7306 615 2 13743 3301 1 14011 743 2 16971 4976 1 17518 229 1 1849 7365 1 4664 230 1 727 8190 1 15812 7101 1 40 2100 1 887 2478 1 2777 4435 1 4524 1712 2 2895 3462 11 13105 1152 4 2558 1738 2 16923 2345 2 12453 6644 1 2643 6880 2 5662 1482 5 18873 1164 1 8949 220 1 3258 74 1 14350 1946 2 15599 2591 1 18992 627 1 80 2705 1 5750 7470 1 7685 4827 15 8557 5128 3 20225 591 1 7530 6663 1 18525 10 1 17755 7172 12 10720 235 2 17150 1237 1 1465 6503 1 6655 7477 2 12544 2534 2 4615 1665 1 12728 222 8 13993 8122 2 1322 2268 3 3405 1871 1 19272 7672 2 17500 222 5 16312 1248 13 15934 8077 1 17825 3411 1 7577 3869 1 16666 3338 5 11964 638 1 9051 1257 11 6840 762 1 15148 1731 6 7560 3206 2 713 4288 2 7114 2361 6 19596 1705 4 4337 1341 5 8407 197 1 3002 545 1 13401 196 5 8259 7474 1 3390 244 1 877 5559 4 18573 5686 1 5653 1466 1 12790 6407 1 11099 23 1 14723 3564 1 9429 1146 1 5310 316 1 1942 6106 1 15024 3920 1 7045 219 1 296 1955 6 2152 5775 1 4615 15 1 2900 2514 1 13 344 3 15731 470 1 13966 2699 3 7203 512 7 1465 200 15 18799 831 1 5009 698 1 56 2671 1 143 6608 3 10261 5674 4 10188 2663 5 775 7138 6 20165 2949 1 12115 7013 1 14503 1824 1 16790 510 1 11082 929 1 15296 2287 1 14633 3239 2 283 712 1 13500 1985 3 9637 219 6 11360 1352 1 19774 2502 1 7147 6925 1 15608 6663 6 3817 3511 1 17877 7851 3 600 7337 2 4694 526 1 8440 1816 2 9562 7859 1 10090 597 1 124 5520 1 11772 49 35 11717 7494 1 18115 4333 7 14161 336 1 19288 1645 2 2854 1686 1 16392 4972 9 427 156 2 10410 89 1 11762 1695 1 14690 1703 1 18193 1743 1 6801 695 3 17077 1252 1 11965 6126 3 1485 7267 2 15128 6754 4 14865 4214 1 5304 46 4 16831 3899 2 2284 358 1 19298 5255 1 18154 4684 1 1852 1950 1 8104 6954 1 7480 1269 1 169 3334 2 8400 215 2 19093 1250 1 11964 1738 1 20120 845 1 16457 7900 1 16641 2888 1 3505 3393 1 1593 3400 12 11243 1100 4 5663 6482 1 14322 203 1 13084 225 4 4331 316 1 16643 874 5 6719 4477 1 3498 2747 2 18115 292 1 2976 141 1 1454 7616 3 3397 4192 1 8751 7645 1 6864 3072 2 19029 1153 2 19671 6537 1 12519 644 1 17384 261 1 19897 3882 1 16697 3851 1 17954 445 2 15726 6334 11 10049 6108 1 10872 1505 1 10863 1756 1 12091 1364 2 10160 4140 1 17015 1729 2 9374 4096 1 2784 7434 1 71 3311 1 19624 5051 2 8818 6414 4 7523 6229 3 17843 479 1 6724 6567 5 14602 470 1 4348 1825 1 7768 1482 4 6200 1464 3 18530 3024 55 2294 215 1 17844 4463 1 14098 6018 1 2775 1284 1 6958 1747 1 11683 5520 2 1191 71 7 6889 2899 12 18850 4572 3 4224 2727 5 1129 7591 10 10709 4622 53 17382 2056 2 4841 3323 3 5065 6663 1 15685 3321 1 7726 5060 11 10152 2290 1 10234 1319 1 16792 1719 1 19719 1245 3 9245 222 9 13404 883 1 15160 5749 1 8443 5768 1 7356 3414 5 7817 1657 3 10524 8127 2 10843 3065 2 15634 3225 5 11562 6193 1 7407 6286 10 363 6708 1 8591 1814 9 16006 2815 1 8848 3486 1 17870 397 1 6630 6913 1 9171 1280 14 7868 380 1 20068 1237 2 2752 1965 1 2321 2646 1 1852 532 2 3226 637 1 14827 197 2 7502 1185 3 3483 335 2 9924 4947 1 19862 5018 6 7421 1877 1 15248 1949 2 8032 186 1 15905 3106 1 1588 420 2 16636 1037 2 18758 7832 1 6368 207 4 3281 23 2 7469 4086 1 2917 7726 1 5145 1710 1 11174 3476 11 3720 4615 1 5729 1768 1 80 3635 1 16029 3747 4 15509 244 3 12406 1752 1 4386 4563 3 10525 1827 25 12933 3230 1 9997 1386 4 19393 505 1 19026 8145 16 15205 696 3 6504 6607 1 10381 3600 1 4428 1399 1 1232 1147 1 14711 5570 1 15956 4611 2 13335 498 2 1191 3228 1 15547 1064 4 19865 7602 1 11161 235 4 9916 4380 6 3485 4029 1 1965 548 1 10452 765 1 17328 2698 4 14507 5146 17 954 467 1 16933 7640 1 1050 225 1 5074 8029 1 15776 1251 1 1191 496 1 9220 215 1 16841 514 1 1171 173 1 2284 5292 1 5617 2369 1 2271 2495 2 6984 4274 1 14276 1219 1 10948 2649 3 6503 809 8 13615 219 2 16090 6306 1 6045 1990 2 2385 2686 2 12286 74 3 10817 1755 1 7044 1587 1 1219 1819 2 2461 1719 2 16589 4132 1 1977 4708 1 868 1721 4 12320 3984 1 18260 508 1 16823 7395 1 17305 3509 2 19675 3061 10 5271 1357 1 12054 4022 5 5665 1342 1 19776 4291 1 9478 1764 1 10698 723 1 2133 132 3 16378 229 1 8641 766 1 17739 7222 2 1332 4293 2 9865 1235 1 185 4098 1 13580 7753 2 1307 6150 1 11687 1705 2 14731 2555 2 12251 2881 1 6942 84 1 16016 4694 3 1736 5326 1 14305 656 4 4459 898 1 15216 1698 1 19604 1339 1 7020 1293 1 3101 6197 1 15463 5260 2 18101 6806 1 7538 71 1 16561 827 3 6183 1705 4 6317 9 1 19286 1363 1 16437 2780 18 6183 5758 1 17500 1686 5 11502 5264 1 9017 2731 14 8934 4605 1 133 6062 1 10840 215 4 11158 3399 1 1469 6259 13 6871 200 2 16074 215 1 18197 1672 1 17776 23 1 711 1743 1 5775 4325 2 16271 709 1 11714 3417 2 12903 1770 1 7685 3813 1 9628 602 1 18629 506 4 4827 7695 1 19351 5307 1 9815 2459 5 3898 1751 1 4620 2488 3 9937 2569 6 1237 6037 1 5914 489 1 14973 5516 1 7604 5767 1 13626 1870 5 2198 4619 1 6209 4041 5 10472 433 1 2969 905 1 11058 1722 3 11597 3698 1 5565 4517 2 4859 1761 1 19489 4218 2 62 2803 1 18841 200 10 17894 496 4 17033 1537 1 16397 7719 1 7042 1082 1 3309 1464 1 8334 6983 1 19322 7820 1 604 1700 1 11430 1729 2 15394 2103 1 14651 3972 6 18183 500 9 135 6165 4 11390 2068 1 288 23 2 11615 7529 2 17557 1272 1 13743 491 1 2047 4258 8 3406 3221 1 1103 2885 3 19180 3595 1 12775 1282 1 2772 1248 7 8211 1715 1 8591 8071 4 1986 545 1 370 4021 1 13503 755 1 557 3263 1 9056 5281 1 2777 411 2 11374 6548 2 4950 3492 3 17219 1724 1 19871 6263 2 15615 4325 2 17785 3872 1 12701 3236 1 12399 758 1 12747 4998 21 4901 518 3 7868 3917 7 6676 1184 1 5591 5407 1 9453 903 2 15793 2519 1 9802 3338 34 18887 1924 1 5677 292 1 14678 4010 1 16947 5162 1 6757 1250 1 1604 1739 5 9155 1743 1 13444 221 3 3914 4380 2 3250 5121 1 10670 1768 6 3010 203 1 18818 220 1 6003 197 4 5340 5352 3 11346 458 1 9930 222 3 18546 1367 2 9332 3573 1 12 512 1 5932 235 2 18462 231 1 5012 5916 6 9039 1717 2 341 2204 1 17331 148 1 3924 3394 1 4276 3586 2 17716 843 1 17681 190 3 13148 2584 1 6598 219 9 20148 498 1 8098 1707 1 15437 1776 1 9185 6469 2 7380 1247 1 6292 5758 5 16036 7528 2 15068 6659 1 9547 4397 1 13697 470 1 6154 3887 1 15940 1656 1 16382 6139 1 2729 4969 1 12638 200 4 9551 3574 1 8152 6754 1 10950 1184 2 15810 470 4 5830 2423 1 4014 498 2 15092 545 1 18849 5450 3 83 3567 3 121 912 1 7413 2918 1 16436 1 4 1349 6680 1 94 493 1 12214 7013 1 130 1769 1 7157 5546 3 3036 6567 1 460 1781 3 9579 1768 3 18197 7746 1 16493 3419 2 745 1719 1 15740 1692 2 1705 5156 1 8921 221 1 19002 1275 2 8629 136 1 8629 7207 1 17120 201 1 19776 5242 2 4560 3333 2 7774 1781 2 19140 2353 4 7435 2353 2 722 1518 1 10904 1758 2 2519 1728 3 49 2476 1 10705 7522 2 1489 1363 1 6818 4325 2 926 2877 1 5801 1363 1 5140 910 3 13302 201 1 17288 3222 1 5610 586 16 6572 5136 2 2379 1775 14 12692 196 1 15368 7586 1 5688 6016 2 112 4120 6 8481 1453 2 16887 4716 1 5358 229 1 13911 233 3 15148 187 3 10843 1237 4 19217 2388 1 9215 789 4 501 1729 1 11786 1982 1 11769 2678 1 15426 1703 3 4492 1450 2 9044 5011 1 13126 2682 6 17378 4998 1 5670 6225 2 12665 6710 2 19326 207 5 10325 769 1 19725 883 5 18226 6023 1 5999 2633 2 14762 1729 1 18950 5400 1 1847 8017 1 3085 3851 1 8452 225 3 14142 3670 3 824 4599 1 13949 1296 1 12702 3476 1 18040 6995 7 9836 1804 1 17946 2353 1 13234 2504 1 18545 207 1 12614 2089 43 15364 1245 1 10558 3249 3 14059 3729 1 15419 2600 1 4773 4404 1 11564 3840 1 9580 7245 3 5631 581 1 6907 1700 3 14011 6481 8 10422 510 6 5867 3988 1 7956 6446 1 14964 6551 1 7173 214 2 13619 1734 4 130 5904 1 14773 215 6 258 5097 1 213 3876 1 5957 1818 9 3472 1752 1 14811 1757 1 15599 6442 1 10339 4716 4 16491 3697 1 83 3783 1 15778 3384 2 17562 1062 5 1228 2671 2 1548 4555 1 13492 336 1 15599 3216 1 15230 219 16 1 96 1 9567 335 2 15722 1707 1 4018 1882 1 2648 2254 40 3008 6884 1 7440 863 2 4554 2889 1 11721 5903 3 4050 336 1 1969 6250 1 19272 409 12 5505 1146 2 950 7205 1 2045 1760 1 12775 499 1 2880 215 2 12024 520 4 4541 3637 1 14233 1819 10 4632 6012 6 8447 2384 2 8250 3872 2 11104 1383 1 8088 706 2 9444 6167 11 15943 5413 1 3158 1730 11 16700 791 1 124 5396 1 995 1788 1 19544 46 1 2787 3645 1 12305 7240 1 7267 2097 1 18089 1331 1 8704 6342 10 14016 84 3 16394 3086 58 15926 1721 2 7943 3045 1 9877 525 6 16674 1108 1 4900 197 1 1445 7424 5 12024 4479 1 2877 6053 5 15321 200 1 7214 2935 1 189 2581 1 9542 6897 3 5145 7643 1 1141 1739 2 13134 6375 1 11349 207 5 873 5332 1 10815 721 1 12988 1312 1 7510 1235 1 9367 579 1 16192 5385 3 5340 1751 1 5084 1781 1 13619 2780 1 19331 3511 13 7000 5933 2 6379 6394 1 873 4296 2 164 7493 2 18284 4400 1 8806 1745 1 14089 4884 3 14599 581 8 681 1804 2 83 3745 1 19716 5758 5 7404 840 2 3421 2082 8 9973 874 1 10907 2920 1 11825 1757 4 8476 5378 2 15943 531 1 10750 1717 14 13892 46 1 17384 1707 1 11180 5137 2 13679 1107 1 15573 5380 5 20192 223 1 9725 2006 3 7819 336 1 8135 167 1 479 6286 1 12102 1965 1 20034 5162 1 19032 2229 6 14155 1819 1 16343 3705 1 7435 3525 1 3924 6933 1 11387 3511 4 7366 2917 2 307 377 1 559 2248 28 2573 8002 4 10590 38 5 6137 1235 1 11786 2569 4 993 723 2 13113 5446 1 15622 2662 2 11384 203 1 20133 1641 1 11912 5385 1 19030 628 1 3833 520 6 18501 4012 1 13461 1686 3 12089 6204 5 16109 1369 1 14284 3382 1 11823 689 1 16968 130 1 14168 2292 2 11156 2552 7 4239 200 4 2959 233 1 6692 5455 2 14948 1467 8 2817 2261 2 10796 97 1 3581 1686 11 13461 1241 5 7953 2127 1 18568 2058 25 2880 1748 2 19990 532 2 2855 1373 1 14154 7888 1 17866 4266 6 18053 1819 6 4064 510 19 54 2606 1 15937 232 7 5243 550 11 1551 6091 1 6758 1819 7 19118 1734 1 19358 2662 10 3796 357 1 14612 6152 1 7515 5043 2 11139 1251 1 2413 3114 1 2273 6122 3 13827 235 2 13358 1753 2 1241 1184 2 6451 928 1 3310 776 2 17 1209 1 9233 1739 1 8529 4929 1 19973 3167 4 18213 3907 1 13270 3067 3 14385 8145 26 12971 1891 2 19754 5496 2 4574 2173 6 7823 6457 1 8991 1825 5 13638 2849 1 20194 554 12 12517 4557 1 12280 1745 1 9429 1356 1 14197 867 2 5623 6192 1 14114 726 1 19884 4407 2 1221 6484 5 5410 336 1 9298 1781 2 9811 3649 1 15003 3066 21 6970 764 6 6387 6027 1 7030 5018 2 6630 7730 3 15151 1100 2 13785 1827 39 2970 3954 1 16370 1752 3 9077 1424 3 5617 2129 1 2677 1685 1 8416 461 1 17586 222 1 12576 3511 1 9351 7206 1 4545 7819 1 6406 367 1 4651 1482 5 6740 628 16 19358 2609 1 15549 7404 3 7553 1466 1 5613 7466 2 6341 4022 1 13636 1903 1 10584 1379 4 6749 5757 1 17068 1747 1 8865 1819 1 2308 3599 1 10445 1344 1 9245 5559 13 10732 7229 3 13234 665 2 3484 2387 2 5536 2484 18 12215 7846 1 9883 2964 1 17436 4531 2 16201 533 16 3243 221 2 11365 4204 1 14253 524 14 4302 411 7 18852 1116 1 8730 652 1 18757 6731 2 16397 945 1 3448 524 10 109 519 1 3750 3598 4 5486 219 1 593 1695 1 4018 4202 1 3516 316 1 3012 6342 5 19346 6991 2 12985 6152 4 4977 2686 2 6407 7216 6 15016 2831 1 16985 6758 1 5161 3138 1 4005 2549 13 16156 65 1 1710 7503 4 12977 1282 1 6314 3570 1 18608 1146 2 1690 7154 2 7649 7758 1 3253 378 1 5424 8093 2 31 1761 6 17733 252 1 7663 4314 2 153 7018 7 110 221 3 12199 222 1 8024 665 2 7452 6533 1 9264 1240 1 6389 3230 40 19323 7491 1 160 7309 1 1899 1743 7 16821 7176 9 10617 23 1 7991 5319 2 7751 214 1 3450 883 4 15721 382 1 9155 767 1 19602 3366 5 7131 1282 2 12817 4363 1 10303 1304 1 8946 712 2 16576 505 2 7275 4667 5 18041 156 2 7621 5077 3 8034 74 5 2592 891 1 8451 1037 22 16491 3473 1 2461 4274 3 2830 5451 1 11946 200 6 2143 225 19 3256 4460 1 130 5991 1 19713 6013 3 2850 4460 5 16416 534 1 2266 8047 2 3726 1917 1 3048 1359 1 5849 3175 1 12954 2645 4 5310 768 1 2588 6270 1 10556 1781 1 20245 206 5 17416 1555 1 3146 308 1 14758 5712 3 16346 471 3 11693 1472 4 16801 4944 1 10492 308 1 19597 5187 2 6261 6836 1 16767 1721 1 11769 1930 1 552 6880 1 10165 803 1 1028 3828 1 4832 2056 3 16671 1872 5 210 3352 1 15981 4955 1 16403 474 1 13490 1396 1 16670 1191 7 19489 3021 1 18574 206 5 4572 6897 1 4121 2415 1 15648 201 2 16246 552 1 7783 2686 16 16240 5456 1 10640 2675 20 12155 624 1 20200 5331 2 7974 214 2 18375 757 1 14087 5896 3 2584 1819 1 2308 910 3 16 1013 1 5337 215 1 14429 639 1 4773 367 1 13619 3667 5 17659 1593 1 11251 5900 1 2128 5346 1 10604 768 2 15194 3015 1 14522 201 7 2518 5922 10 13750 3106 1 18680 4846 1 14876 1304 2 12638 863 2 8904 200 2 7181 470 6 13021 718 1 10353 4312 1 5205 5998 67 13238 1721 1 3996 6557 3 7560 156 6 11384 664 2 17877 308 1 3505 535 1 15213 3909 1 1212 929 1 4812 1769 1 12222 8214 1 1549 7352 1 1246 3333 5 5739 6145 1 14008 4933 1 10927 6758 2 17753 1239 2 6452 169 1 8843 1659 1 2629 1728 1 8074 1784 1 3081 948 3 15869 716 1 2711 8141 5 7565 4320 10 486 4403 4 9080 3512 1 19804 609 1 12325 937 4 6854 1672 26 1907 13 1 2029 520 12 18850 5352 1 16220 525 7 1900 4401 1 10733 3421 2 1859 1686 1 11392 4279 1 759 1772 2 20099 4020 1 20223 6677 19 4012 6011 8 1187 411 6 13875 7750 21 9279 1768 1 17388 6101 1 11857 1184 1 19840 5299 5 10517 2697 1 19040 3788 2 13313 1758 1 3387 4120 2 789 3511 1 16796 982 1 15007 221 6 14905 4992 2 14604 1772 3 11020 274 4 4297 3492 2 17886 3081 9 10880 1819 13 14837 506 4 17924 6169 1 2776 1738 2 31 1731 4 12238 6152 2 3421 47 1 18792 964 1 932 293 1 2540 4976 2 10114 219 1 7991 6285 2 9919 874 1 6907 2495 3 14218 4012 3 7224 380 1 23 1434 5 1907 4643 2 8961 2881 7 17013 3414 3 2724 4474 1 19822 883 1 701 7683 1 11798 214 1 8161 1985 1 8679 2539 4 5895 829 1 20068 502 1 2156 2355 3 181 8257 2 522 7948 1 604 427 17 7180 5107 1 4583 3460 2 1801 2501 1 2338 4980 1 2384 6621 1 15185 1234 4 13758 252 2 11300 4959 2 2036 5281 1 5899 1705 1 16348 2378 1 10303 2114 3 7549 6174 5 6703 550 4 819 1112 10 15023 214 1 14323 1883 1 6932 2262 1 13894 314 2 18939 200 1 15139 6268 1 9473 1961 2 3524 766 1 18875 5482 1 3100 1464 1 14599 670 19 1642 2620 5 5580 3799 2 18693 308 4 16730 2488 1 3792 3117 1 7884 7857 1 100 4516 1 19005 4067 1 11297 470 1 13476 3033 1 19539 5467 5 16204 1825 10 3509 1730 1 1714 215 3 9269 1103 1 20122 5315 1 12878 1827 1 8675 5414 2 18385 5427 2 9419 6775 1 2066 7846 9 8311 910 1 10427 910 2 108 719 2 6597 3734 1 15412 1775 1 8259 4623 7 14691 222 1 605 1691 3 17651 1717 1 3416 6576 5 20148 4523 1 4273 6585 1 19063 867 1 19461 386 1 6215 411 8 10766 3222 2 18471 2087 1 8638 203 1 15471 252 1 4678 312 1 4493 1234 1 1483 3946 1 12074 7104 1 86 3924 2 3697 545 1 14282 7202 1 2917 885 1 14692 8080 1 18671 8122 1 14858 6697 5 7943 173 4 19872 1307 4 14846 1307 1 9207 148 1 5246 3367 4 1588 619 10 18555 1573 3 7098 3163 1 5526 2424 14 17000 3113 1 19286 201 7 1191 1703 1 9548 3119 2 10999 6687 1 2989 5043 1 13706 201 1 2217 2068 1 9170 3283 1 15853 532 1 344 7182 14 8581 1784 9 15259 510 1 15562 6801 2 8370 3580 1 1545 1745 2 17809 220 17 130 5993 1 10837 6793 3 822 5251 1 1798 3973 2 19137 3742 1 12531 7235 3 4193 514 1 8242 3477 1 5913 3696 4 17547 2109 1 11561 403 1 8597 878 6 7490 883 1 2529 571 1 1305 2863 1 16222 3389 1 16665 1781 4 14599 767 4 12511 519 1 7916 2708 1 3034 2392 10 14774 4435 2 13670 2440 1 18373 7091 1 11153 1664 1 10080 6754 1 8088 4606 1 15549 2382 1 17713 4226 4 525 5101 1 17018 1582 2 6511 470 8 6579 99 2 14301 534 1 7791 530 1 930 2492 1 462 214 1 7017 4909 13 2885 3699 2 16238 514 1 80 3612 2 9919 243 1 9279 1357 2 16921 4274 1 469 7639 2 3176 6318 6 14775 6132 2 4498 2369 9 16833 8017 1 9374 3167 3 11773 8041 1 15368 4566 2 3504 3225 1 20119 1883 1 12618 270 1 17223 4274 1 130 5986 1 2998 1239 5 16539 7857 1 5146 215 5 18068 5686 2 18899 534 1 2249 2555 11 10786 5517 1 9941 1723 1 6504 1460 2 16437 4400 11 2204 763 1 18884 2595 1 5652 2363 1 15932 243 1 5407 4929 1 5676 1740 1 6332 395 3 850 411 30 3202 1334 1 456 2555 6 5739 3230 1 5587 225 1 6781 7829 4 14073 7545 1 4104 1728 1 9604 222 12 18183 1736 1 18871 4489 1 15128 1743 2 2408 1244 11 5246 3778 1 12489 1973 3 18118 4379 1 19607 2641 1 10692 665 6 13772 891 1 1729 1092 13 175 8136 1 19607 2491 1 18766 210 4 1036 5514 1 2998 7531 1 16674 2254 6 9231 6070 1 9946 23 2 8201 7477 2 4834 7144 3 13797 6099 1 19602 4312 1 9187 1705 11 124 5501 3 17859 6152 2 12283 1762 1 17463 4020 1 20055 4708 2 399 7182 2 15107 46 1 1650 8183 6 1779 2322 5 12279 4623 1 1028 5971 2 5633 7406 1 19727 4217 1 14617 3511 6 14906 1727 1 10049 229 5 1638 5353 1 20207 4961 4 5687 1150 1 14402 385 4 9319 6361 1 19955 5559 11 15481 759 2 19320 2508 1 7740 1226 1 3988 4009 1 13611 1785 1 131 5994 1 7373 3682 1 6224 1724 1 5249 508 10 2331 7352 1 14583 3715 1 4121 5758 6 5952 2261 3 133 1727 1 15572 1751 1 12686 4607 1 11898 5315 1 349 801 28 20059 2727 1 27 843 2 6453 3787 2 4524 1062 2 92 4138 4 12535 894 1 4095 5386 1 11030 1762 2 2646 1191 1 9701 852 1 5058 3104 3 17401 6912 1 19932 1819 1 10413 2577 1 5794 536 1 11873 1858 3 5131 3466 1 8231 4739 6 10143 2270 4 11757 1755 1 5596 1357 3 11987 188 9 15940 4967 1 14695 1146 1 14400 1482 1 11301 4998 2 18027 4477 3 11305 206 2 11277 5389 1 20123 222 1 14726 1518 2 9135 3197 1 17758 5345 14 6136 3698 2 223 1529 1 13390 5157 1 148 6715 5 7000 2508 2 12487 7400 1 1120 3382 1 241 2027 2 4614 5260 1 9157 3511 1 18876 836 4 873 5792 1 1469 23 13 15364 673 1 6824 718 1 10092 5866 1 4918 1769 2 13008 1101 5 8159 713 1 19241 1182 1 10154 1728 1 11964 2691 1 15060 7220 2 16789 3113 1 15865 1878 2 4331 8021 1 10502 1464 2 18807 674 1 2979 1245 1 11985 3409 2 5978 5320 1 55 308 3 10455 2502 1 14310 1245 3 7721 2355 1 10407 2981 1 5631 554 5 10402 3382 1 4385 5488 1 13480 1692 1 7910 4160 1 20108 5763 1 8643 962 2 10376 3502 1 14400 501 1 7975 3895 1 8061 207 4 7177 223 5 1154 6152 4 8962 5054 2 926 2065 2 17084 187 1 8898 3909 1 17053 964 1 12949 3163 2 2345 4447 1 3925 2686 1 1074 6031 1 9947 4534 1 19822 4288 1 312 3230 3 8626 4706 1 4627 3156 1 100 4486 2 4793 4366 5 14318 4664 1 20151 2980 1 18523 759 1 5218 1331 2 15364 3399 1 16223 3181 2 8842 6166 2 18193 1363 3 5737 1946 1 10676 4698 1 19189 207 1 20 173 1 14442 4097 2 15230 2671 8 16578 5636 1 4859 207 8 17267 2675 1 10536 5133 1 5320 4707 4 16836 224 1 6634 3029 1 496 2641 1 6152 5490 3 2113 1747 1 14798 7876 6 10092 1568 1 3837 5467 1 13303 2693 20 15903 2363 1 4734 5421 1 855 471 1 20169 2363 1 20090 3819 1 17141 4241 1 9809 7411 11 19180 858 1 19871 4549 2 13425 3813 4 8579 3913 3 15653 820 1 12231 819 1 4925 2653 1 18887 2823 1 18263 1025 3 2980 1153 1 15388 3731 4 14522 877 2 15159 7213 1 19979 3667 7 151 6816 1 4519 3798 2 7850 4710 1 1889 203 5 7426 5097 2 10587 3449 1 12176 1743 1 11708 370 1 6496 454 1 333 5452 1 2879 206 15 17253 1755 1 17120 1705 1 6510 3364 21 1673 1028 1 4565 6414 2 5652 207 2 15807 2 1 18992 3219 1 108 4919 1 4268 3378 2 14436 5559 47 1844 1303 1 18685 23 1 5983 201 1 2144 6697 1 18246 1716 1 5876 1247 11 8286 809 5 9300 1726 1 15125 667 1 18339 6945 1 2340 2352 1 2148 253 1 16893 883 2 19033 82 1 9713 235 2 1062 7843 3 11964 221 1 4667 1661 2 906 3076 4 2998 1396 1 18972 998 1 1236 2677 1 745 269 1 10360 3464 1 12346 215 1 5301 1728 2 4817 1738 5 130 5942 2 17767 3475 1 1677 5551 2 19727 385 1 17195 2018 3 17080 3685 1 7497 1722 3 9060 1814 1 8088 4595 1 4072 7522 2 18183 2356 1 11882 7731 1 16698 624 1 10290 1363 1 16860 706 2 13114 1416 3 3861 1245 10 9901 6600 1 1688 7474 4 2507 2496 5 9650 5162 2 1047 6793 1 11942 10 3 8654 207 10 10235 3982 3 12692 3305 2 16130 3421 1 2132 2479 1 9807 2974 1 14994 4460 1 11709 5866 1 17180 13 2 19069 3151 1 15547 5428 2 14388 303 1 13842 3336 1 14301 47 1 11533 2080 1 10462 5004 5 3625 3869 1 1883 3463 1 8528 1757 5 496 201 4 19160 299 2 17083 1380 1 13278 1658 1 8174 3233 12 16410 3748 2 1171 1346 5 2969 1757 1 6418 7069 1 11 438 1 19448 853 2 1752 8184 1 17416 3293 1 17695 1582 1 19504 1292 1 13254 8109 1 4678 512 15 13535 2662 3 1312 491 1 6164 5419 1 13997 1338 1 18207 1482 2 7581 4077 6 5169 3216 2 4787 165 6 4214 883 2 6966 4041 1 15712 1707 1 11613 694 1 8345 5420 7 17821 1103 1 5312 427 1 14490 8083 1 19145 7399 1 9865 524 35 9725 1146 1 15238 7130 1 15778 3770 3 19752 1064 1 17801 1028 12 10301 200 1 4857 883 1 1596 223 5 16378 2534 1 1539 411 1 8751 2889 2 8913 3671 5 6371 292 1 8946 881 1 3730 5036 7 4810 7602 1 6075 1769 1 10730 7244 1 14871 190 1 17977 4796 5 8879 3163 1 5808 7404 3 18917 203 50 7490 187 1 4063 367 1 18202 3255 1 7769 227 1 5124 1825 1 13811 4489 23 7780 1251 2 163 7403 1 4749 1657 1 11714 244 5 393 3578 2 16556 252 1 6265 506 6 18481 6213 1 4055 3869 5 300 2184 1 19352 227 1 770 1732 1 18320 2868 1 2917 2831 1 11423 8126 1 6997 2505 1 8849 2385 2 11877 2698 1 10706 6669 21 9093 1703 2 4340 650 1 13800 4099 1 14152 786 4 941 2822 1 8214 2731 3 15597 4476 7 1885 1789 1 5132 5097 1 9737 2591 1 133 6042 2 16971 7229 10 5617 1322 2 11932 8183 2 12367 4618 2 18418 3639 2 15396 495 1 10839 1023 1 6069 4563 1 16561 880 5 20133 7477 1 1298 3512 1 13652 3298 1 2986 4047 1 14416 2777 1 16123 184 4 8709 4563 1 1361 7058 16 15257 1374 1 16819 169 17 7985 244 1 9710 219 10 3147 6665 1 19137 436 1 1060 2378 1 9835 225 4 14091 2542 3 11436 8054 1 7295 3663 1 19516 4274 1 5600 7154 1 9574 4435 36 6021 7077 1 1339 220 7 6283 1748 3 19012 6402 10 9535 1778 1 17177 475 1 18154 6441 1 9295 1729 3 3663 3710 2 16802 3518 1 17981 3074 1 10123 5690 1 10684 229 1 7994 6010 1 2174 4839 6 4328 6091 2 15213 2307 2 6049 2013 1 5773 5972 1 15411 4280 6 8211 880 1 16870 1783 1 701 3146 1 15059 1062 2 15874 5018 1 18193 844 1 17852 710 1 6871 3653 3 3669 385 1 19833 4209 1 17409 186 37 6617 4107 1 19145 2193 1 2271 1366 1 9628 5267 1 9242 302 1 12739 592 1 6533 4222 1 3841 679 1 17499 229 2 8965 1252 1 15932 2936 1 13369 2665 4 8479 6192 1 5117 730 1 9713 1770 2 5312 4280 1 11393 4286 1 9247 200 1 18193 1781 10 4180 2724 1 20007 3778 1 8969 3333 4 12736 1921 1 8662 7181 1 5431 7406 1 822 644 1 15075 6031 1 18797 1482 1 14485 2935 1 17290 1449 2 8680 214 1 7886 7686 1 16528 4534 2 19115 5105 10 7916 514 3 7198 3442 2 7709 470 1 276 660 3 6593 2534 4 822 2786 1 16259 229 1 16236 2626 3 1537 4508 2 4183 1338 1 9281 4375 3 4859 196 6 19509 1732 1 992 222 2 10427 4096 3 2197 1752 1 5882 3389 1 153 6865 1 13347 2254 4 19502 1952 1 5925 4746 3 34 1848 1 19529 6396 1 31 505 3 13355 1334 1 6802 7859 3 13298 7988 1 4786 6706 5 7135 4403 1 7445 2487 2 5372 1248 4 11687 6174 5 9364 891 10 16222 5321 1 16843 3405 3 15202 2501 1 110 184 2 2009 7189 1 14690 2649 1 18092 95 2 20 1320 1 6631 214 3 17487 3991 1 11032 437 1 8769 4518 1 19017 4393 1 15693 5016 5 7886 2728 1 5304 253 1 11305 203 4 5872 443 1 8689 6166 1 3226 2877 1 19047 292 5 9937 225 2 13789 1 3 7973 6347 2 20261 1275 1 8878 234 1 17697 5016 1 9025 215 2 1732 270 1 3677 203 5 16096 5561 1 6461 2357 3 16417 7809 1 9573 1726 1 8488 6152 9 11457 7890 1 19872 5769 1 11953 664 1 19917 6053 1 7256 1909 1 15128 6202 2 3041 8094 1 2135 2758 1 19500 173 9 17127 6204 1 4337 2889 12 11103 6027 1 14632 6048 1 1059 3519 2 16662 1686 3 1151 232 6 14064 4379 3 18450 626 2 10169 828 1 3915 1739 1 19157 647 1 9138 1819 1 1239 4612 3 14694 6183 1 14842 205 1 12208 1509 10 6463 4869 3 14855 6231 6 9468 1249 4 11426 7251 23 8961 1781 9 355 575 2 8069 3878 1 19068 1727 27 14297 1644 1 4693 6579 2 14527 666 1 14304 4271 1 12539 863 1 9224 752 4 4050 2675 1 1727 203 23 2724 4126 1 1861 6777 6 17650 2536 4 17440 200 3 5023 411 1 12352 1441 1 19401 5574 1 5479 252 1 18082 1241 1 8094 275 1 10718 520 2 12296 610 1 18783 374 1 11803 498 1 11336 232 1 17337 552 1 12710 1587 1 6452 5000 3 171 1251 1 9394 1723 1 5895 558 1 14182 169 1 15100 851 1 17917 3617 1 16268 3971 1 15947 4072 1 12337 194 1 1141 1758 1 9374 4075 1 8182 4351 1 4063 201 1 18725 2639 1 3100 6342 5 8486 4944 1 14701 2076 1 4429 4325 1 2213 7044 9 9959 1275 4 3111 4387 1 7994 590 1 6990 7526 12 2816 3180 1 7769 896 1 10601 2908 1 17731 1772 1 18862 2902 1 4701 186 1 12188 7426 1 79 3540 1 7543 1251 1 333 3027 1 8538 3497 1 2143 3283 1 14 974 1 3397 865 3 4731 3483 11 11975 1748 1 13317 2728 12 873 6480 13 5762 1395 9 12406 1745 1 12885 5569 1 15964 1781 2 9342 219 1 8135 7101 1 13601 4123 2 771 6801 8 2167 1664 1 10843 2600 1 19012 1824 3 6533 282 1 20173 1691 3 16585 1357 1 12603 5472 29 6576 4961 1 17009 1814 2 10119 4551 10 18581 2269 2 8999 2992 2 13777 38 6 11165 184 1 7528 1665 1 4880 4877 1 16976 532 13 18804 3733 1 4634 4919 2 13700 3702 1 15427 6051 3 8615 235 1 11678 7662 1 14767 524 3 19115 3511 4 5695 1819 12 18930 1319 1 13871 3540 13 8470 3479 1 6459 191 3 10447 3556 2 9178 1736 1 57 2696 1 4087 2187 1 166 2027 1 14227 7527 3 84 2484 1 39 2052 2 10114 7404 2 17516 1751 7 1887 1781 1 2154 5040 2 11341 6334 2 5161 225 2 11943 3911 2 6556 537 1 6046 520 2 10184 197 1 7020 5721 1 2886 599 1 12383 2968 3 15793 5282 1 15338 1382 1 4371 458 1 2010 7706 5 5491 1991 3 4728 1237 64 14599 902 2 2612 1406 2 12821 221 5 15608 4065 1 9194 1710 7 14212 4022 1 5266 3361 1 108 4883 1 15121 219 5 20268 4034 3 11304 2549 2 7056 3462 8 4688 584 1 19872 3285 2 10082 800 1 16063 793 1 17528 3532 1 8323 4557 7 10863 201 5 3580 2316 1 11273 4303 1 5909 2016 2 17220 764 3 5252 5758 2 11006 4245 3 8842 6174 1 13543 788 1 9553 214 3 6327 431 1 7296 1825 1 17132 1363 3 3511 1522 1 6340 3411 1 2925 963 5 16431 6983 4 1832 6541 1 14474 1238 2 8381 411 3 10783 5409 1 8786 200 1 10058 3447 1 19872 1312 1 7028 1756 2 13619 6031 30 8012 7557 1 13648 1955 1 18287 1721 1 15920 1251 1 2197 2908 6 17477 74 1 17000 1245 4 3663 2491 1 13697 525 1 5205 1737 25 12828 3242 1 8519 3721 4 12152 1658 3 13 683 1 11603 220 5 14758 3715 1 3122 284 1 8841 3239 1 10086 23 11 10559 1745 1 7044 3799 1 6102 1333 1 716 7228 4 6762 6663 1 15083 7632 1 525 2058 2 18821 2805 1 11208 8034 1 126 559 1 15794 3023 1 8946 652 1 11744 1450 1 5779 5730 5 14114 769 1 16895 3430 4 19342 4754 4 2134 1453 5 13922 2671 5 14183 3442 2 2330 3371 1 17477 1819 2 9101 3855 1 12316 705 2 4241 883 5 14601 4780 3 5290 1383 1 8754 4274 2 2995 891 1 16678 6706 11 9163 7538 1 14544 898 1 8388 2254 5 15884 716 5 12176 3511 1 3397 4307 1 18219 186 1 17563 1464 2 17 1135 1 13590 6423 1 20106 274 3 8468 232 1 1770 7433 5 1311 496 1 10800 253 1 15225 4288 2 835 6230 1 6833 220 2 1296 4244 1 20104 7734 1 17667 23 1 873 825 3 14965 1361 1 17738 8161 2 17947 6793 2 16776 394 1 16491 3625 1 9666 4534 2 20145 2356 1 17960 1304 2 12520 1395 1 10509 1698 1 17568 1450 2 7688 4269 1 6367 963 1 10461 1571 1 18128 2357 1 18360 7505 2 1500 1936 2 4539 1686 1 14492 1173 1 18421 498 1 11516 5600 1 9607 4858 1 14410 1727 3 9778 597 1 5227 1735 21 10461 4369 2 7470 4996 1 18152 411 2 9982 6524 1 8439 200 4 10361 222 1 3536 2743 3 7507 1737 1 669 6091 3 3226 4335 1 19190 244 1 5214 1235 3 8872 2559 8 13851 1249 1 819 6169 3 9937 1548 1 13435 3331 3 7528 1560 1 9110 505 3 13490 698 3 19314 3152 3 13825 1748 2 7604 2292 4 5520 23 13 15308 433 1 17633 8103 1 13888 2296 1 15948 498 4 16490 200 8 13304 4597 1 1013 4455 3 16568 3735 1 13299 3997 2 8845 6826 1 15616 156 2 2584 1235 1 6647 489 5 19342 6618 1 259 3155 13 787 1482 1 6893 2507 1 12231 606 1 14946 7477 2 12829 3588 1 6111 258 4 4447 1237 1 4632 5202 2 19746 2167 1 15718 2363 4 15626 1582 4 3315 512 1 19952 236 1 3911 7774 1 3855 126 2 3175 608 1 11600 201 6 11295 2639 3 13 698 1 932 525 1 4887 1887 2 8093 5499 3 10831 1960 1 2886 451 1 3281 2315 1 12252 858 1 7128 4413 1 9457 1543 1 13094 7225 1 18638 4011 4 16048 2635 1 5195 506 1 9883 3232 2 4092 827 1 834 541 1 12941 1721 1 3669 4404 1 3008 441 1 4345 213 1 9796 8187 4 11861 1819 8 12810 303 1 3516 1302 2 11766 523 1 13706 229 1 13883 1739 1 4337 3233 6 11550 1305 2 19608 7229 5 7823 2813 11 3419 201 1 51 2525 1 5477 745 1 4175 8060 1 5408 1327 2 9947 477 1 15292 2343 5 16379 4393 1 9957 3071 3 16472 4922 1 1907 3903 1 11277 5435 1 16925 427 1 9483 1819 5 18033 6152 3 8665 3909 5 3911 7229 25 13482 198 3 5827 4499 2 13928 292 3 7125 2626 1 404 6670 2 16553 2349 2 3542 2908 1 835 1342 1 6661 1669 1 9061 706 3 10462 2139 1 5641 6634 1 5023 15 1 18279 4807 2 19104 383 1 9306 864 1 15343 8181 1 17725 651 1 7632 1979 1 4560 7184 2 16266 1768 1 16073 7719 2 9947 3278 1 8356 215 2 11736 725 2 1824 3502 2 1711 2639 1 6177 2331 6 116 5222 5 14384 910 1 8024 7840 1 6332 4377 4 4647 520 6 14002 510 3 708 156 1 952 1003 4 14660 1557 4 10609 214 4 95 4371 1 18723 867 5 2811 2877 2 9432 3708 1 8264 2083 1 18320 7629 1 9178 3167 1 9628 847 1 3507 303 3 7301 1417 33 9172 1091 1 8653 1944 2 14877 5628 1 13188 1965 1 13535 4436 1 7381 6716 5 1967 7410 1 16057 578 1 4631 13 4 6536 1779 1 4555 452 1 11974 207 8 10852 4276 4 15217 467 1 19901 2055 1 18033 1911 9 10843 666 1 3762 219 1 11868 6754 1 2827 2687 6 17946 883 1 18144 545 2 15619 1734 1 8532 8194 3 19017 1748 1 17391 4543 1 5131 2356 1 17886 141 2 18379 3167 1 5610 6219 5 17450 1618 1 10156 4514 2 12923 3973 10 1786 2683 2 13015 100 1 2891 214 1 12197 4653 1 11981 201 3 18634 926 1 1682 3511 4 3044 2930 2 13009 2817 6 19319 1241 1 13729 541 1 14756 320 3 12107 7355 1 13058 4251 1 16500 1757 2 1824 4944 1 5890 4923 2 1181 766 2 11333 825 1 11312 1245 1 5755 708 6 4536 2737 2 11131 779 1 13455 4506 1 16271 3749 1 16109 3558 1 14971 1695 2 2936 3242 3 12631 2920 5 19030 2917 1 10088 23 3 12753 7946 1 6613 1827 5 1 76 1 788 514 3 17884 203 2 15996 7229 4 366 633 1 15343 733 10 11938 1739 1 11706 225 2 6808 1779 1 755 1695 1 18785 1235 1 17799 4623 34 12617 3298 1 19319 1244 2 18728 1771 1 18587 885 2 12551 4768 5 12286 231 1 11122 4252 7 5432 215 10 17337 6457 2 4519 589 1 14578 2881 1 12903 7624 3 6181 1788 1 20004 2869 7 10381 1810 1 16665 7128 2 467 3127 1 14699 23 7 6107 1705 5 5441 3464 3 16105 235 1 4913 3557 1 3694 215 1 13800 481 1 8879 1721 1 18992 1756 1 14445 4612 1 11509 1121 3 12827 1251 1 14522 1236 1 20262 519 1 16768 6754 1 7780 3191 1 1277 4009 3 1422 1647 1 15619 7719 6 7653 2399 1 17121 7884 2 1106 34 8 6538 335 1 7640 2696 5 3037 23 3 31 1705 2 12421 2512 1 10473 453 1 10973 214 2 15776 2913 1 3291 1151 1 4454 4459 2 4858 7229 1 14474 2056 1 15930 7346 1 6852 3625 25 16776 156 1 19444 470 1 15681 2827 1 16087 524 1 3253 8158 1 13581 1649 13 9240 1582 3 10519 5565 1 17518 758 1 20248 2256 3 5361 5758 1 8528 1710 1 3765 457 5 9493 5855 1 8878 233 2 14742 2356 2 11069 2678 17 2772 712 1 18982 3647 1 4197 4816 2 4150 1091 4 9575 23 1 6642 296 1 15429 5258 1 14313 3991 3 3705 1717 1 4554 3556 2 2454 164 6 19355 1769 2 1581 1695 1 3521 5935 1 19319 215 4 15915 3408 2 1608 6063 1 4670 7607 3 7688 719 1 7609 10 1 10424 952 1 3100 303 6 3109 1819 1 1302 237 2 14658 2749 8 4012 8091 1 11417 719 1 3282 2917 2 10883 953 2 5532 5269 1 11629 244 7 8195 244 1 9238 2555 4 1602 3311 10 7060 2584 6 8226 4203 1 5175 660 1 16961 471 1 17347 7980 24 3355 526 2 4625 4622 1 19804 5994 3 14046 5502 4 8157 200 8 1133 3778 1 11818 203 17 13737 7558 1 8051 7018 4 14290 2383 1 4585 4949 1 19094 1147 1 5827 2491 1 14908 7808 1 9395 6066 1 9104 190 2 6123 2331 3 13121 3851 1 3644 263 1 8451 628 1 11585 1737 4 1133 153 1 10381 512 2 9869 2555 2 12006 1914 1 13425 413 2 11230 3742 1 7857 525 1 17788 4516 1 10509 7013 1 10464 262 2 9081 292 1 9619 2562 14 5779 1062 1 13 900 1 19877 512 4 5657 498 6 15289 1272 2 17317 4379 1 9155 3564 1 14145 2620 2 14773 8184 1 5213 222 1 3759 4274 1 14798 8027 5 16865 219 14 16501 638 1 12929 3276 1 12456 6108 1 7990 1245 2 439 220 2 770 1309 1 13097 88 2 7700 765 1 11377 4988 4 7474 4604 3 4199 502 27 18813 4366 1 2855 1290 1 3128 1975 2 7997 1825 1 4708 225 1 11148 382 3 10043 6621 1 5303 3581 1 20034 3617 1 8599 196 20 1705 698 1 6444 2917 14 7498 7020 1 10930 2559 3 15691 3005 1 16909 2263 13 20017 6880 1 10398 467 1 16623 13 2 6636 7210 26 20154 6252 1 2970 3972 1 7028 517 3 18667 229 1 18204 8183 1 19664 3669 11 6997 1147 1 13412 541 11 835 5988 4 9445 225 1 8839 7427 3 12024 4504 1 14211 2661 1 1171 203 9 6709 796 1 10660 4836 1 15025 253 7 20180 4069 1 5097 1903 3 9478 7255 2 17368 4710 2 2044 1797 1 1191 232 3 6742 5550 12 15540 5981 2 13611 2254 2 4301 631 5 12971 2229 2 2425 1781 1 10498 7131 1 18526 519 6 3107 2292 1 4987 3352 1 2165 1497 1 7953 7018 1 1430 4621 1 13881 5346 1 9978 453 1 11783 203 1 9369 2682 1 520 3012 4 20178 4187 1 10139 1245 1 14524 1762 1 65 3157 5 3436 5031 5 5720 336 1 13347 3647 1 2583 6546 1 10948 2155 2 17399 534 7 20083 5774 1 16094 6355 1 19535 4051 50 3711 2356 1 15493 3579 1 6420 4531 3 525 191 1 17500 344 2 7455 800 1 12844 5325 1 1469 3228 1 10221 3275 1 1377 964 1 413 2678 5 8645 3998 2 20104 4179 1 3659 1150 1 812 1237 1 1810 1729 1 3902 512 2 3765 4020 5 11203 867 1 5745 3866 2 6389 5808 1 3865 5874 1 6980 4700 1 9390 3563 2 8250 172 2 6028 5612 2 7473 6517 1 6389 5285 9 7609 1342 3 6123 193 1 148 6720 3 11550 1237 1 10441 4435 17 9178 244 88 6878 95 1 9793 4961 1 2877 6091 1 2665 10 1 8508 344 1 16249 1745 1 7278 214 3 17781 1729 2 19649 1729 2 11306 1721 2 15642 2736 48 4437 23 9 12159 1610 1 527 7021 1 11547 152 2 1779 4105 15 9793 3897 5 7557 1722 2 1344 1464 1 14803 6252 1 15956 5879 1 13734 6933 2 15712 1150 1 5652 7719 2 19286 1275 1 4935 1872 2 13 917 6 3108 7234 5 6701 4732 1 20145 219 1 10908 3074 1 3003 1764 2 992 1760 1 1986 1798 1 6418 3859 2 17973 7475 8 658 479 1 5675 3071 2 10565 2497 3 699 1779 16 12704 6207 1 8339 5564 1 4554 8071 1 12100 7545 2 5023 5389 1 12036 207 1 7780 1296 2 4615 308 3 10080 665 1 14573 767 1 18904 184 1 9708 3421 1 15594 5004 1 1714 3176 3 3002 561 1 20019 1647 2 12892 1193 1 17736 567 1 10249 865 1 708 934 1 2942 5551 1 12419 1946 1 9841 7859 1 12057 1775 4 18363 4139 1 10580 2840 1 5882 6106 1 1970 1726 1 13031 3421 17 7599 506 1 17284 6139 15 1844 7528 2 7500 4982 10 20202 206 1 455 2508 2 12987 6500 1 6704 6900 1 622 509 1 14385 2718 3 15932 4794 2 9924 520 2 10826 6053 1 4092 5398 6 14774 336 2 8333 3851 1 9556 1747 1 20095 2549 1 10634 329 1 20130 215 3 2674 223 1 54 2586 1 3505 582 1 6152 2438 1 19056 7972 1 5641 4580 1 17825 1722 20 2461 2636 3 14920 1363 9 8268 4407 1 16075 2889 2 195 534 1 4251 4796 7 17014 545 1 8832 4248 1 2152 292 1 835 6561 1 15368 4492 2 12242 6573 4 10990 5016 5 11598 2595 1 8376 274 1 16891 200 5 135 6216 2 7415 6701 1 15615 1587 1 11118 2993 1 3289 1257 10 12913 3417 2 10780 1305 3 2249 445 1 16916 6283 1 6506 5162 1 17519 2126 1 18132 840 9 7472 1244 2 20148 5260 4 16107 6988 16 19156 2673 1 17388 1705 2 10 322 2 18089 1717 1 18505 7352 1 12108 5560 1 10435 4212 4 12520 1555 1 15670 4008 1 1642 4036 2 15576 1740 2 6804 5447 1 6855 605 1 10576 232 1 9773 95 3 14384 2671 1 8735 7665 1 3544 5252 1 745 5917 2 3189 249 1 6028 2696 1 20090 5305 1 3665 1169 5 7910 5617 1 6340 3460 2 2 109 2 11766 3666 2 3236 2981 15 17324 854 1 8930 6152 5 2231 3224 1 7527 7395 3 7957 3511 7 11523 1333 2 19713 1781 1 17960 2876 1 16928 6152 2 6170 5480 8 16289 2167 2 11177 5532 5 4268 7313 1 6420 6414 1 10128 5325 1 6154 303 2 12502 534 1 19625 532 1 7203 7485 6 19649 883 6 10313 390 1 8317 1738 4 2886 7658 1 5366 3322 1 4614 4016 1 17760 6692 1 12254 196 1 6854 8141 1 11626 7890 1 2205 4600 3 6233 1322 1 3566 1675 1 1178 1277 3 17231 5673 2 10830 201 3 11411 6152 1 4357 6368 2 19972 1482 7 4693 4621 1 15810 525 10 1361 7586 1 18618 5018 5 10290 519 1 17743 314 1 3358 894 1 1198 2567 3 2925 578 1 1837 1336 1 3673 7538 1 12843 1825 23 14072 201 7 13925 2881 1 5025 2352 3 3484 2423 22 19348 4486 4 5510 207 1 17585 2468 1 18972 1247 2 6422 3058 9 9477 201 1 17684 4902 1 6501 7298 2 11458 5996 1 4020 4436 1 18173 1721 8 12550 1721 6 8703 5334 3 9511 482 1 2652 4950 2 3874 7319 1 11171 3466 2 18071 3775 1 18398 1752 1 14827 1753 2 2511 3358 1 15530 2696 1 16618 4222 5 18281 5000 1 9891 1771 1 5505 1234 3 840 2675 1 3064 219 5 20180 660 1 10699 184 9 9718 559 1 7217 3655 5 15763 6417 15 16063 15 1 6627 4610 1 7462 786 1 2473 720 1 3336 2735 3 6116 525 2 16638 2362 1 81 3674 2 4691 1237 3 14074 1827 12 5603 4337 1 7883 728 2 5730 4013 1 18450 7008 1 18665 1717 1 5028 4451 1 14233 4792 4 7841 7375 14 3132 1359 8 1669 3518 2 9880 6414 7 7168 5408 1 2906 8175 1 2428 3283 1 4089 3087 1 1091 4979 1 12190 891 2 2271 5282 1 7065 404 1 19764 2569 20 21 1388 1 14934 7689 1 1609 6527 1 3584 8126 7 14655 1019 1 4438 7965 1 18968 7104 2 130 5936 1 90 4046 2 1296 3024 1 9082 235 9 8918 1244 1 18427 5485 3 11393 818 1 3496 3081 2 17281 663 1 10123 1595 2 4014 215 1 7213 2549 1 14295 3067 1 1948 2693 1 5594 407 3 3426 2686 1 11218 6677 5 13169 1734 1 14657 4015 2 5565 4516 1 11616 3411 1 14696 2678 5 1445 4274 2 4147 3670 1 8220 1474 1 17519 6225 1 6554 1913 5 11758 4085 1 4556 5234 1 9283 173 3 1466 1249 2 8776 23 1 7203 3622 1 6090 2147 1 4340 327 1 13820 2639 1 17716 7050 1 14759 220 1 3387 3464 4 16924 3859 2 3667 5105 3 18546 1344 1 6387 477 2 15326 1495 3 17749 7897 1 8560 3596 5 11987 2362 2 91 4082 1 13076 1757 2 1711 4470 1 13734 603 1 2497 2353 1 19486 3705 1 7786 3573 1 15708 4941 1 18797 1756 2 2834 1445 4 9743 7961 3 2814 1404 2 18791 5086 1 16604 215 2 11415 1146 1 6721 190 1 1915 1369 9 3528 1303 1 13402 6538 1 1009 934 18 19583 367 1 11357 7586 1 12592 545 3 7251 517 22 13042 1334 1 5171 1819 1 5763 1819 2 5600 221 3 873 4029 1 13619 10 71 3417 6270 10 4498 201 1 2743 536 1 5696 191 1 4327 534 1 19607 1021 1 7475 3547 5 19250 7419 4 10916 746 1 9704 2979 1 11312 4325 6 17011 5083 3 3822 3293 1 5534 1315 5 12841 4273 2 11393 2714 1 3954 6252 1 8620 3020 1 2443 1395 1 13224 4933 10 15634 1363 4 2331 411 38 4545 7811 1 4505 73 11 3710 1698 1 1026 767 1 1185 23 4 3464 1573 10 18305 3519 1 17633 225 1 6644 276 2 14926 1454 1 9802 4992 4 745 688 3 12138 229 1 14861 3308 1 15398 624 1 4546 1244 1 8540 1691 1 13846 4653 3 9235 6231 2 16409 467 1 7769 814 2 19158 2349 1 18646 7750 1 13009 411 59 18472 4001 1 6323 7719 1 9668 3528 1 18524 3378 1 4667 1434 1 5860 7688 1 7135 1779 1 13490 4209 1 13 831 1 135 3113 1 14541 745 17 3533 7995 2 15173 976 2 9168 252 1 20068 1738 1 19726 65 1 16729 4720 9 17321 6484 1 3075 200 4 10245 3900 5 10011 2081 7 18169 1239 2 14535 343 1 3629 1042 1 13325 2793 1 17189 7498 1 19835 3320 1 9242 3464 3 3521 225 1 6 199 12 2288 5052 3 3304 1576 5 18357 1237 1 6867 3454 3 895 1642 3 16608 495 1 2513 368 1 19858 251 1 16527 6140 1 11295 1472 6 15278 537 1 891 4022 1 7944 6268 1 18132 1572 2 18866 2269 51 6952 1090 10 18542 1762 5 3322 6414 5 18325 564 1 13193 7471 13 10816 156 1 19588 5408 1 5613 420 1 14061 1104 5 3109 4763 1 8161 4972 1 18938 1615 4 142 6495 2 13084 524 5 17533 3911 7 19319 1769 1 9760 1781 1 16096 1617 1 13031 5721 1 628 3905 1 6556 7857 5 5952 7020 2 14668 5398 1 2145 6009 1 10261 745 5 17505 1985 2 12324 221 1 1383 1889 2 2213 4870 1 3897 7953 1 10146 1295 1 20128 526 3 4734 1897 1 212 1250 4 12639 910 1 7451 506 2 16539 8183 1 11015 2360 1 3240 23 5 6242 3666 2 13252 4000 5 4631 5051 3 6210 5036 3 13647 173 5 4035 3906 49 8566 2118 1 13171 367 1 10235 2242 2 4516 509 5 8532 214 7 881 596 1 3568 4026 1 7829 3972 4 18293 5989 1 17717 1332 4 5515 6488 1 17886 600 1 1638 1783 1 4979 7412 1 7387 2646 2 5627 5402 1 2674 1439 1 13082 552 1 6709 610 1 6479 6238 1 8069 3633 4 15742 4511 1 2853 2964 2 14239 1275 2 16500 1450 1 17256 3020 2 8425 203 5 10057 3626 3 7739 23 1 2414 6290 1 10290 1730 1 4850 6547 6 10065 1714 2 5459 3634 21 11104 8029 1 10340 1275 4 18381 6252 12 13897 3911 11 4193 1770 1 15074 1338 1 12409 4695 3 9660 13 2 50 2496 1 6073 6129 19 9759 1762 9 11985 631 1 2135 7182 1 11757 1784 2 2231 3367 1 10146 409 1 18052 2357 2 3160 2930 1 1489 1776 1 5981 5243 1 5952 2676 6 13848 2100 1 8763 233 1 10498 1921 3 11183 3253 15 6333 4202 1 553 4096 5 15943 696 1 2186 1752 1 1706 3096 2 7034 1373 1 18880 4482 107 15323 412 5 11187 1751 2 19278 1246 11 2512 5054 2 2784 8054 2 14773 1399 1 17488 3276 1 15958 1642 1 12619 1278 3 11362 1762 1 19504 1241 6 8000 3979 2 14738 252 2 6440 5439 2 9987 6801 8 7613 331 1 806 1363 2 16481 2228 1 11192 574 1 7884 1991 1 17369 3032 1 6556 207 1 10923 6204 1 2071 2114 1 14780 1239 1 3505 2068 1 3431 4448 12 1090 3593 5 2172 46 1 8384 514 1 11895 8051 4 13652 3334 20 8539 1243 2 6496 2718 1 8665 1357 1 10591 897 1 3304 7883 8 303 7964 1 11195 184 1 595 2019 1 5811 3431 1 16192 1747 1 4234 6502 1 16254 1374 2 12704 5243 1 8716 7522 5 19774 2488 1 14522 604 1 11611 2555 2 3258 1732 7 17504 1726 1 20275 2839 1 7630 6245 2 20145 1399 2 9401 206 2 4444 2800 2 233 2114 6 20158 1497 8 234 229 1 2923 1271 5 17095 1395 1 17950 903 4 10613 6008 1 17607 3058 2 1428 2700 19 15470 7997 5 17185 4792 1 15900 1758 6 4328 3511 7 19428 349 2 16735 1727 1 1274 3204 1 1519 6226 11 3175 1747 1 1133 7385 2 18200 164 2 10912 4307 2 778 7217 1 16890 8109 2 7965 3909 1 8877 3884 2 159 7255 1 4756 225 1 7432 1737 1 12322 512 23 6014 219 3 12077 1283 13 5596 1695 1 1551 1237 2 9029 784 3 16021 6591 4 3048 202 1 7363 461 5 5802 5051 3 1853 1122 1 2902 6341 1 11072 2519 3 18386 3557 1 5152 3747 1 17743 6154 1 8754 204 3 1345 1921 1 10268 203 7 20169 8099 1 8598 2665 3 14092 244 1 3070 2649 2 130 5969 1 5817 4723 3 2886 3821 1 14312 1305 1 1839 4383 1 5977 2889 1 174 7886 1 7184 2970 2 18945 353 1 6854 3081 3 14686 3351 3 6699 201 2 4806 1621 5 10080 249 2 5588 214 1 3295 7477 2 4772 1740 16 18181 5713 2 19209 2735 1 160 7308 1 6752 718 1 15673 3600 3 6893 494 1 19267 713 1 9639 878 1 11851 2109 1 4913 1367 1 173 200 7 5498 2649 1 17250 7581 1 7478 6238 1 16000 223 16 16850 1274 2 3031 1251 1 17884 201 1 14318 4639 1 6351 3346 4 11013 1771 1 8860 1819 2 15858 4245 10 17915 1783 1 6178 531 1 15721 3635 1 16963 6256 3 159 7232 1 10371 4289 14 17335 4750 1 19924 1837 1 3000 842 1 2900 3448 13 10391 810 1 7312 1719 2 17282 2407 1 14522 1742 1 11164 2649 2 17992 3525 1 19901 5550 2 6690 3772 1 3116 2881 2 2724 1573 1 7679 2329 1 2280 1363 1 17572 2571 4 4147 2509 1 7017 57 1 20045 3861 1 11424 6082 1 6909 206 6 19788 1731 3 5835 898 1 10110 3414 1 6183 1184 3 18432 2489 1 1866 1251 1 6701 1768 1 13810 3135 1 9556 2081 2 12217 4394 1 85 528 5 857 1764 1 15419 470 1 16645 2920 1 13 658 1 12569 1990 1 549 2392 32 5252 1399 1 6227 7604 1 916 573 9 20273 4299 4 1852 3910 5 18202 5322 2 17809 197 4 535 8203 1 19034 7013 1 1416 229 1 15220 1305 2 9250 223 7 5809 215 2 7823 1344 1 17387 222 12 548 3373 1 4547 1243 1 3514 3715 1 17844 1769 1 4960 1548 5 12541 6231 1 7568 6179 1 10549 1244 17 15321 7534 1 79 3548 1 20050 7067 2 842 1338 1 6983 1146 3 8294 4508 2 939 1399 1 12818 8071 5 18227 1154 1 3670 1778 1 9891 1184 1 11877 303 1 15329 651 1 7134 1184 2 10152 4431 5 18644 541 2 15168 2704 1 13804 7235 1 6596 207 2 3419 1428 1 2372 4403 5 19397 6484 1 4779 412 1 18756 210 3 15061 6303 2 14758 474 1 3815 3356 1 4254 1007 1 935 219 95 1863 1917 2 14547 5162 1 3817 7229 1 19510 1469 1 7812 864 4 8658 7450 1 15778 1302 1 14720 4963 1 635 173 4 1653 7251 1 19324 4397 22 20215 4306 1 5675 1417 3 10238 625 2 10604 2838 1 19131 1222 1 11424 7998 1 13581 1761 15 20036 1416 3 13430 1023 1 8124 4656 1 4830 1067 1 7432 184 1 4482 8017 1 3161 2366 8 12152 355 1 5361 1244 1 19152 5253 3 6419 244 1 6163 6701 3 17450 7569 1 19289 5348 1 15116 2167 1 2305 1421 1 12959 883 2 2962 904 3 3950 1726 1 1 37 1 18939 497 2 19302 1518 1 6152 1663 1 6603 502 4 127 5750 4 17314 1357 4 15932 409 1 1488 193 1 8599 1146 1 13953 4733 1 6752 1172 1 3821 3715 1 4376 3353 2 18040 852 4 10670 156 1 9525 525 1 717 2534 11 19434 7073 3 11030 6225 1 11174 5783 2 16730 1277 1 11985 2206 2 17992 1784 3 2570 7036 1 15278 2863 5 40 2062 4 16688 1583 1 903 303 5 4933 4860 1 2125 532 2 3261 3710 1 6397 512 5 5486 203 24 2313 7005 5 10582 1035 1 13182 3899 1 14031 4572 1 5185 4597 7 18251 6584 1 9978 4304 1 8601 2810 3 14519 1718 1 16845 2675 2 5943 2057 2 1462 1955 5 3815 3352 1 3258 4326 5 8157 196 5 15318 3881 2 14353 4555 1 8558 518 2 6752 783 1 19223 2678 3 1831 6527 1 18387 290 1 12870 728 3 9445 1247 1 19056 2080 1 4688 766 4 14716 2367 1 4503 3925 7 10855 1378 2 3495 495 1 1145 4387 1 16370 6153 2 7858 7260 1 10040 4415 2 4464 5022 6 20262 1762 1 10741 5272 1 5431 3511 1 5495 1606 2 17416 4285 1 16442 2698 1 3306 5814 1 2103 5097 4 19380 3534 1 13758 1234 1 19283 73 2 6172 4838 3 19568 407 1 2609 201 1 16623 898 1 12025 507 2 4812 74 1 12511 534 1 4985 1305 1 645 3230 1 15778 5734 1 12655 1728 1 1073 4252 1 17537 3293 2 15030 5053 27 10765 6009 3 18282 1201 1 12669 1781 4 17311 5803 1 3111 7250 1 11456 3081 2 16249 880 1 14218 5852 1 144 23 1 3887 336 3 2126 3411 10 15140 60 3 1089 2013 1 15688 3367 1 11649 1607 1 31 1723 8 121 744 1 10664 4807 1 17449 4770 1 15092 3515 7 7520 1250 16 3199 891 1 14013 2736 7 19486 4567 1 13262 5316 1 16916 2528 1 8250 201 2 7857 244 2 11846 5769 1 10581 6706 2 2552 222 5 19865 233 1 3688 1244 1 7864 534 2 18344 1748 11 17298 4343 1 1572 2355 2 40 2112 1 15408 1238 1 8592 4929 5 2939 818 2 7181 1789 1 19072 391 1 13580 520 4 9374 1995 1 15543 1705 1 13337 6414 1 7415 7829 2 608 3370 1 9505 3027 1 4880 422 1 16534 1757 1 3975 94 1 6907 579 1 8305 4689 1 7942 508 1 2587 1755 1 12892 3477 1 1393 3373 1 2637 6139 3 12354 253 3 10102 4796 2 2308 2216 2 19283 190 1 2125 1236 1 15472 7612 2 20248 13 1 2045 524 16 822 474 1 7000 3697 1 12436 2416 1 4656 1638 5 3024 6516 2 4250 7096 2 15286 6751 1 18154 3351 1 13204 232 3 11232 5062 1 13829 336 1 11140 1751 2 10612 7097 1 6796 4944 1 17033 1444 2 7282 7597 1 19690 3301 1 13046 221 4 10353 2369 1 19936 8187 1 2540 221 1 19608 292 1 3118 531 5 701 4432 1 11458 3489 6 113 5096 5 11144 4375 36 12535 2608 1 18542 1453 4 13642 2385 1 4853 7422 14 13099 7850 2 9419 532 1 15466 1814 2 8923 1296 1 18128 1738 1 3613 496 4 6599 3906 5 17855 5037 1 13546 1827 7 5945 3911 1 11713 8057 1 18538 867 10 15074 225 1 19233 2948 1 17372 382 1 12498 995 1 12985 1466 3 96 4390 1 19875 1825 26 27 1626 2 10109 1703 1 11196 1334 2 9094 495 3 16554 215 2 10679 6656 3 19322 1740 3 17779 1703 6 8492 498 4 4867 229 1 10830 336 4 11467 651 1 1828 223 11 12294 200 22 8250 244 1 17207 3539 6 20257 164 3 3258 2488 9 19881 3693 2 20119 1667 3 14696 5245 1 15091 5297 3 16299 7670 1 1744 4123 1 5696 7719 1 130 4355 1 6752 935 1 15771 5018 1 3613 1819 6 1151 3132 2 9508 937 1 17491 4929 1 4668 2656 17 15885 5840 1 4519 757 1 19867 1371 2 1686 1808 1 16373 3979 2 10865 1703 1 13633 514 7 13730 6603 3 4210 5026 1 2504 2341 3 17888 1742 1 12962 1146 1 2304 2575 3 16169 7719 2 1606 662 1 12072 5538 5 10350 1247 2 12322 3911 2 12529 2786 2 5290 1184 1 6449 6059 8 15725 4028 1 12501 1237 1 9502 7603 2 334 5551 1 6854 1464 5 14443 3885 1 3219 5086 1 9976 1784 1 10136 5411 1 20066 2584 1 6006 1236 4 14645 2990 1 3560 1508 1 10814 3298 3 11736 787 1 15201 2686 2 2705 554 1 13032 5363 7 17644 6150 1 20062 1062 1 12919 3939 2 11261 2626 1 10916 718 6 6368 200 6 12569 3970 3 6510 1184 2 19945 2580 1 2047 2951 1 3716 2729 1 5939 8141 2 19079 5374 1 2912 1050 15 8383 1739 1 17491 1778 1 11835 975 1 5444 394 2 17696 3540 5 17788 4251 1 13837 3523 2 3972 1903 1 10604 801 1 17697 4042 1 6700 541 6 1551 5897 7 19883 632 1 17681 1054 1 19727 201 1 14607 495 6 11181 2450 3 15788 223 1 11471 5451 5 16572 7030 1 15628 3478 1 18506 1778 1 16381 7853 1 6809 5402 4 10341 184 3 8620 4436 1 10681 4472 1 6514 3427 1 19400 471 25 4397 589 2 7042 1990 6 20182 2012 1 12548 1681 2 3806 215 3 14446 2897 1 20123 837 1 3008 367 1 14196 4380 3 16740 2459 2 630 6536 1 2442 727 1 16956 1203 1 554 7570 1 3036 3101 1 1839 206 2 8955 3895 1 2197 519 1 745 578 1 9501 1705 2 3973 658 1 1713 2145 1 7760 676 14 8620 1768 1 13205 1862 2 9085 880 3 18613 5553 1 13084 2675 5 12375 718 1 15970 8002 2 17463 3293 1 14569 4992 1 19246 2175 4 6265 1756 6 19912 1791 1 16966 6536 2 3962 504 2 15512 7440 1 12014 4299 1 16036 1728 3 13106 2549 1 14684 5903 1 8609 2286 5 13717 3671 2 15419 1734 1 2253 6154 1 16278 7011 1 18263 3921 1 12760 888 1 15343 5518 2 15214 713 1 3976 7229 4 18906 663 1 6910 6053 1 3356 2708 3 19489 2649 2 3606 7746 2 11562 4074 1 9720 1714 1 14201 3715 1 9783 1238 1 6700 1164 1 20016 1278 5 1586 203 2 17000 7085 2 19237 451 1 13928 4704 1 1229 496 2 9880 1781 4 19872 5436 1 16002 626 1 11366 6342 20 11049 4706 4 18370 1404 1 19229 6512 7 14651 525 6 7112 201 1 13165 2609 1 12748 7382 2 16236 471 1 10245 4623 10 10339 3012 3 10692 329 1 18728 8175 1 18585 5510 1 11140 197 1 18875 7156 1 6540 1705 5 16096 1600 1 1467 441 1 16116 6091 2 6683 4405 1 6479 2970 1 5963 516 1 3966 4179 1 16932 731 3 4886 1987 2 12316 3146 1 2148 521 1 1304 1035 1 3427 7622 1 2061 3012 1 14373 6892 1 18139 4761 2 8333 2505 1 10586 1729 1 1596 23 1 12496 3497 1 7268 1242 6 14301 863 1 475 5258 1 877 1402 2 4137 74 2 13881 6294 3 17608 6670 1 17889 1474 1 19090 489 1 7022 6748 1 12535 2605 1 1465 4320 1 5610 839 1 935 1995 8 7573 197 6 6145 5797 2 8832 4352 1 697 8012 4 4593 886 1 16783 1356 1 3175 383 1 16806 520 1 109 4952 2 10201 1721 2 11192 3364 1 18936 5054 1 3056 1825 1 3806 8174 1 9860 173 2 352 220 4 4481 223 1 13387 4007 1 5258 7684 1 17777 1244 1 17746 892 1 9187 200 1 8082 862 1 9519 74 2 153 7070 1 13352 955 1 17389 2944 4 17290 222 1 11336 1369 3 8455 522 2 19434 3462 2 6474 1774 1 17637 4029 1 6913 4822 6 13718 4204 1 9194 1727 1 6813 2636 1 19624 2540 11 13570 7044 6 6524 219 9 15063 2998 2 4572 5903 5 15943 3771 1 135 6147 3 153 5441 1 1670 7881 3 15718 2860 1 19864 1235 1 18161 215 1 10196 508 14 10394 6640 2 1204 4339 1 12913 5897 1 12258 7527 2 18517 35 25 3340 1440 1 1043 1814 1 4471 1251 6 11327 3076 1 19232 3472 2 14562 883 1 9310 4792 6 19312 5758 1 1604 4944 2 14738 2605 2 20240 1995 1 6389 320 3 216 3117 1 11887 2388 1 6068 215 3 349 950 1 145 6684 1 52 2549 1 18676 1184 1 10145 1054 1 19764 156 1 10037 2392 2 7700 906 1 16592 7088 1 2772 816 1 8915 4621 3 13697 1814 4 7733 6031 2 11559 4363 1 1551 4344 1 15881 7534 1 10283 1788 6 13389 4601 2 13537 806 1 1765 3526 2 7078 1784 1 5248 1328 5 6587 2356 1 8311 1784 2 5318 6103 2 2135 184 2 10106 3056 1 1108 23 4 11014 1727 3 4030 200 2 15177 3885 1 8528 4245 2 7057 1700 4 11981 5821 1 10746 232 1 4150 6332 1 12071 1401 1 9559 2632 1 14741 6591 1 17243 7395 1 18450 941 1 15712 1764 10 7734 201 6 13589 74 1 614 6159 2 7769 2737 1 10531 6159 1 11737 891 7 7165 4501 1 13016 6762 13 7810 7222 1 6854 1404 7 14999 6428 1 9978 438 1 13829 1363 4 5108 2889 11 8866 190 1 10114 3172 1 9279 891 2 3360 539 1 16881 7406 1 3694 6564 1 13171 2369 1 14669 2141 1 16181 3953 1 3175 4328 1 1801 1762 4 6700 519 11 9778 817 1 130 5933 1 12946 4187 10 7949 3708 1 7392 689 1 4337 208 1 1600 6115 14 19760 955 9 17863 3228 6 1807 2383 1 18713 5559 1 17932 1399 1 2152 2441 1 16137 6705 1 2458 2080 3 612 193 1 6235 2787 1 16278 7315 1 13897 6102 5 326 3593 2 19030 1303 2 2315 3432 1 171 6210 1 13850 173 1 7184 221 1 2672 6507 3 14968 7769 2 12380 7964 1 8077 4591 1 527 818 3 11818 1700 5 65 3164 4 13660 225 16 5695 1482 1 10105 1747 1 16089 203 20 7433 7368 13 10518 1280 1 20111 5690 1 2535 5120 1 14951 8212 2 6640 2883 2 19776 1911 1 2598 1646 1 7336 1819 9 3521 232 4 11550 200 6 16229 7414 3 6072 910 1 8139 8141 35 8184 2671 5 673 3747 1 10396 1614 1 5170 1305 1 10426 1342 5 19949 7953 4 3005 232 3 3991 188 3 1387 299 1 9935 2969 1 1719 1756 1 16827 203 2 14490 625 1 4469 207 3 697 7714 1 8784 2728 5 12663 6697 1 17261 3619 8 15069 1726 1 18188 335 1 60 2747 1 8528 520 1 2163 541 1 13274 382 1 10730 4296 1 151 4902 1 6095 394 4 16442 7599 3 4688 674 1 15314 5037 1 7000 5873 2 11882 2746 1 1893 4555 1 10948 5437 1 13404 504 1 17125 2698 9 6712 585 1 6809 5532 2 14042 220 9 6832 519 1 7306 853 1 7145 206 1 12954 186 4 2428 1719 1 5695 628 1 17015 3911 15 6853 1277 6 14981 496 1 4723 1573 2 16146 5115 4 17045 4290 2 17 1022 1 6397 13 3 18699 1781 6 14059 4207 1 13705 7238 1 18766 4006 1 15288 6952 1 13743 2737 1 5851 4284 1 19225 470 1 3487 4959 2 7780 2488 3 10916 6999 1 8214 4586 1 3471 3619 1 9446 1237 2 14763 659 1 6473 1710 1 12322 186 4 20145 863 12 13122 5372 1 18863 777 1 4498 4909 11 17615 7527 1 5048 3412 1 755 6481 3 16310 682 1 19536 5506 4 14239 5475 3 15140 203 5 11645 533 5 11441 1779 1 2066 497 22 8852 7213 1 14458 6785 3 11663 336 1 16185 5256 1 5298 3371 1 3056 7448 1 7436 203 5 1243 192 1 20107 4992 1 11365 2739 1 7048 2443 4 11931 5325 1 2238 1045 1 14615 200 1 983 365 1 392 8066 1 6332 709 5 6070 1927 2 6856 1755 1 19750 1007 44 15827 3273 20 14758 417 1 13679 1225 1 10782 382 1 11629 4794 7 15831 888 1 2559 364 1 10298 4312 11 4963 3326 2 3665 2058 3 9462 3634 1 17277 1775 1 3521 4920 1 12353 3619 2 803 4000 1 704 3900 1 19331 505 50 11834 4316 20 3419 6440 1 4975 203 5 2 114 2 9180 1357 1 5775 3512 2 8925 6150 4 13572 3333 1 1265 5808 1 19887 2552 17 7784 3729 1 13595 6500 1 8946 590 1 2866 3511 3 2943 4413 2 1533 2400 1 1511 1356 28 409 871 1 5213 864 2 10245 1241 3 17973 7807 8 17015 8173 3 14721 2508 1 2949 4312 5 10815 3283 1 9791 1909 10 16811 4363 1 10680 3467 5 6244 4614 3 19005 5715 2 18212 1814 1 19977 659 1 10453 23 1 14643 6618 1 19648 3203 1 10575 707 3 19056 1779 1 10608 5083 3 5960 3052 3 13607 6558 2 13191 6159 1 14391 200 6 14082 303 1 8082 4286 1 16987 411 1 2617 4983 1 1269 4342 1 13022 3896 1 12392 8072 1 10367 3445 1 8241 5053 1 4516 7267 32 170 3421 1 10380 243 1 12399 786 1 77 518 2 18110 3462 1 15329 5873 1 8921 200 25 2801 125 1 13340 4025 1 6228 7600 1 7780 470 2 2998 1423 3 4528 353 1 19783 236 6 12761 6059 1 10757 1729 1 3037 223 1 374 6059 1 5606 3911 2 12826 3859 2 6740 4307 1 7679 1737 1 13023 7933 2 7794 1590 1 3206 5560 1 10607 2554 1 11534 6170 1 18825 4379 3 7206 4653 1 19158 3233 23 17555 3666 6 12717 1908 5 12245 1244 4 11952 504 7 857 470 2 9883 4543 1 10901 3233 1 12817 1656 1 3436 274 2 15993 841 1 5990 3671 4 1488 5804 1 19872 960 1 8356 2675 2 2922 7819 1 15996 1367 5 8629 89 1 12817 2089 1 87 1704 1 14435 230 1 14650 2686 1 1005 4622 16 16152 385 8 20034 1434 1 16910 2290 1 15072 2831 1 7616 2895 1 18536 482 1 14779 3552 1 9374 1715 1 7670 857 1 11955 3220 2 10650 2897 1 14253 8187 1 3376 1242 1 11769 11 1 13017 1228 1 8308 1755 1 14599 893 4 1865 3018 1 4129 2673 2 130 5835 2 7595 5351 1 10509 3167 1 1839 5397 2 12771 6651 3 5952 5730 2 4984 215 1 15917 3558 3 19735 3624 1 14059 1226 2 16924 895 2 1801 5957 6 8851 1275 1 251 5972 1 19251 1396 5 2932 88 1 12350 214 1 2404 4708 4 812 3427 1 14722 3600 1 1237 3895 1 10553 5757 2 2231 6482 1 20085 203 1 8657 6541 1 2284 375 1 13866 1776 6 14147 1771 1 5873 1727 4 8657 4663 5 18316 6680 9 6898 2261 1 19822 3511 1 2555 498 1 1065 4531 4 135 1727 1 5787 186 2 2127 4403 1 16227 8054 2 15601 156 3 4735 1253 1 3801 341 1 18855 7388 2 14901 7616 1 5304 3352 1 10890 2068 2 12397 1028 2 15240 5524 1 12286 23 19 19239 533 3 5156 1518 1 163 7417 1 10595 1253 1 17180 231 1 527 5724 2 15918 871 1 17689 7201 46 10855 1464 2 14937 6706 4 18739 3629 1 16185 5862 1 17373 220 1 1851 3011 5 20030 398 1 15167 1582 1 14087 1184 1 10708 3796 1 2132 6080 3 11352 2710 4 1904 1770 1 745 1730 1 3826 5267 1 8863 1995 4 16388 8026 1 18353 4543 2 16896 1236 1 3512 3398 1 2959 1237 1 2410 207 1 18211 3747 6 15614 2357 1 7609 380 5 18805 5402 7 11872 4211 2 6225 7832 1 12676 1721 1 14233 6754 1 6114 4207 1 11678 3870 1 14162 3857 1 4716 1764 2 9718 318 1 16130 816 5 8132 3706 1 7418 6908 2 10595 1722 2 18346 1775 1 19779 5597 1 3207 50 1 9912 8117 2 4382 225 2 10000 452 2 19578 6106 4 18430 7850 7 15368 1035 1 8311 506 1 11585 8113 1 3768 1395 1 8609 3301 1 18116 1396 2 10799 1742 1 8005 7677 1 11960 4604 1 7585 2618 4 14162 2931 1 19865 1363 1 9099 4807 1 13829 1146 2 1711 4463 1 15651 1357 4 10638 3270 6 5134 6173 1 13262 6571 1 213 4963 3 3613 518 6 359 223 1 13244 4667 1 11292 7576 5 11662 2995 1 10887 4769 1 13082 6697 5 9199 3908 1 19089 1245 1 929 4245 1 19740 246 4 10 311 1 20062 1252 3 7187 320 1 11154 534 1 2816 6640 1 7670 186 1 15629 931 1 682 543 2 11857 1781 1 9310 7881 5 16151 3718 1 13961 880 1 19150 1788 2 10107 1334 4 10373 1246 1 7244 6414 3 3852 7 20 1224 4955 1 14578 2478 1 15683 5961 1 1159 1983 1 15509 6150 3 14665 4460 1 11584 470 1 7753 201 6 20275 3757 13 18082 5427 1 13675 688 1 4287 578 1 16852 3794 2 5117 2055 1 7364 2146 3 4688 768 2 174 5127 6 17962 6268 2 1789 232 1 10687 201 1 11852 2953 2 14738 3462 2 6249 790 2 6200 2970 1 7073 6506 1 12231 2459 1 4468 5466 3 130 5928 1 6219 7888 1 5548 173 4 3384 1761 1 5326 2403 2 2905 2419 2 1530 7029 1 5177 2675 5 6867 714 4 1353 3756 4 8264 3056 5 5463 197 1 1853 5737 3 11176 203 55 4926 100 1 9913 200 1 5807 4963 2 18567 1235 1 6473 1761 1 19407 156 9 9841 1507 2 10123 5708 1 11252 411 1 2834 2102 4 5358 3777 1 12528 237 5 12452 836 1 19486 781 1 17885 3262 1 8053 2922 1 8394 4392 1 9606 201 1 11938 541 2 855 1250 2 13680 4044 1 11987 2360 1 6651 1718 5 108 4923 1 6700 173 7 14493 6106 1 8878 2632 2 11353 3011 6 3037 5051 1 2620 3202 10 7292 3634 1 2435 4992 1 11016 7869 5 7760 6674 2 11932 514 1 10333 1275 2 12412 899 1 21 1394 1 13299 244 1 4756 3511 1 6772 1704 1 2550 4242 2 13 809 1 11266 1363 1 5908 1539 4 16928 6341 1 10692 892 3 16330 222 3 12971 295 2 18070 48 2 631 3878 3 5557 6053 2 7688 2504 7 12688 6070 1 2646 863 1 1638 1748 1 381 6538 1 19975 2295 6 11212 225 1 18954 200 14 6943 1184 1 19590 5354 3 13543 894 1 4220 1466 3 11496 7254 14 11937 5837 3 3395 1742 1 7172 2247 1 19530 3930 1 10 327 2 2962 566 2 3037 532 2 12040 1720 7 6463 1277 2 18285 4128 1 13672 2364 1 13495 7054 1 1256 6737 4 16768 3138 2 16301 6517 1 14483 7232 1 15740 723 4 16159 1781 1 14358 1979 3 11344 5325 1 11857 194 1 135 6242 2 9056 1732 2 10729 6434 5 15782 6341 1 15810 519 10 11375 221 1 14096 1645 1 17953 1942 6 8836 223 5 1515 1827 1 5100 3146 2 11327 1695 1 7426 7262 10 5638 505 1 15117 6139 3 9606 4335 1 18246 2584 1 18633 2015 2 15534 1729 3 7775 8187 2 10044 4013 7 2712 2549 4 4663 433 1 2049 7359 1 9978 718 1 6913 4120 1 8896 5122 2 9374 1738 1 7646 3558 2 14552 6414 2 437 4393 1 18730 2567 1 1899 1245 5 4163 5535 1 181 8253 1 5433 7582 1 11999 2993 1 8439 1734 1 10601 7414 3 11262 3304 24 15061 4695 1 14233 197 1 4519 57 2 13105 1303 1 1772 215 10 4805 169 1 19486 4623 2 7166 3213 1 15978 1768 10 14709 786 2 6183 1769 1 16562 943 1 14731 6099 1 12322 1239 24 18462 894 1 17770 1895 1 14699 206 5 4386 4041 1 108 4865 2 1433 1374 1 6734 4020 2 1670 3070 7 15254 219 1 6819 1776 1 13722 1782 2 12985 6390 5 2574 4616 4 2473 2893 1 10691 2316 1 11103 5325 1 19594 308 1 10805 7719 3 8326 1883 1 2414 2369 1 10499 2552 2 6551 3223 2 7688 5808 4 982 3906 1 7994 714 1 3947 2678 1 9254 23 1 14760 203 1 62 2821 1 5787 867 5 20077 5054 5 279 1820 17 11823 5468 1 1221 1756 2 18951 219 3 815 1779 5 3058 2265 1 2463 7291 1 3447 6159 1 17662 1764 3 10114 6100 2 11277 637 1 13293 1825 7 6806 1395 6 15833 6009 3 13046 1752 1 16238 184 2 42 2231 1 9104 232 1 13764 6252 1 13078 910 1 1984 3333 2 15750 1152 1 15136 627 1 2187 308 1 11974 7419 1 10127 495 1 7455 386 1 3118 623 5 5661 6700 1 11808 5002 3 18029 1731 1 13700 2065 2 11591 741 1 14800 4261 6 11522 1103 2 14918 219 19 9740 3900 4 9269 670 1 15701 1781 2 3360 215 7 15315 4139 1 15556 1319 1 19707 1819 1 9249 2618 1 4880 4905 1 4211 638 1 17066 1277 1 6313 3570 6 14021 1245 1 19794 510 2 8051 3798 1 6224 3504 1 19759 234 2 14250 4998 7 6228 765 2 7056 7407 10 15450 6396 1 14004 6663 3 17120 1184 2 13813 244 1 16657 3669 1 19193 1705 1 15379 841 50 10830 4261 1 9989 44 1 18060 3059 1 5358 6609 1 9569 1423 6 4095 6414 2 2303 3689 2 16887 4612 2 8913 4303 1 1635 2206 1 15107 2007 1 1171 1726 2 15960 1921 2 11111 525 1 16685 4245 6 20249 3972 2 12962 1819 3 13162 765 2 64 508 8 19616 6065 1 73 3413 1 8269 557 1 4702 6031 2 14418 196 1 6596 1699 1 16410 5935 1 5590 3851 2 65 3123 2 5591 3151 3 19517 3268 4 65 3102 5 17023 3813 1 18973 2352 6 9533 2488 1 15970 1768 2 113 5024 3 20126 34 1 9319 1237 14 19470 6341 2 16199 2917 1 11827 2682 1 373 190 1 11437 5130 44 16768 4941 1 4914 6106 3 18431 510 1 9546 665 1 930 8085 1 2783 3657 1 6846 3345 1 11313 7779 1 730 4314 2 4451 1649 1 10749 874 1 17293 420 6 11230 336 4 9924 7267 1 625 7726 1 62 2975 1 15220 201 1 16543 397 1 10591 1328 3 8775 1424 3 379 682 1 10942 7543 1 15092 4816 4 7530 206 2 552 863 1 6178 7250 4 20036 6325 1 17799 860 1 19026 2021 1 18508 1279 1 11559 7604 2 9759 6231 1 14935 3895 1 2341 222 1 16418 244 7 7524 3236 2 19030 3212 11 11208 184 2 11786 3971 8 4298 4819 7 19511 5535 1 11649 1440 1 916 1338 4 14053 1251 1 16947 1621 1 19996 765 2 15634 3073 2 13126 481 1 5087 1994 1 1708 903 16 19760 258 1 5890 6065 1 9717 350 3 13189 6663 1 7991 1769 1 6278 3453 1 12967 1482 4 14385 6521 2 3823 1656 4 15146 532 1 3754 3904 1 3392 7101 18 14970 574 1 18115 2357 2 54 2644 4 19886 4427 1 16016 7796 1 8298 314 1 4410 8008 3 5328 173 1 12384 532 1 7135 1743 2 10422 169 1 5161 2216 11 9152 1631 1 2342 3676 1 19567 6083 1 7871 3563 1 14233 840 1 4498 5788 1 2036 3900 1 3991 3167 14 11131 1309 1 16609 3045 3 977 2819 2 8788 203 2 3145 1736 1 11230 1256 11 12322 1756 2 15427 4723 4 8094 737 1 16303 2424 7 1378 4643 1 19705 2591 32 20261 1751 1 19375 5514 1 14621 4930 5 8312 1748 3 19034 1756 1 19233 6663 1 5515 23 3 15945 1756 1 5653 3621 2 15343 3070 1 9058 2542 1 19975 2437 1 2390 565 1 17847 1748 1 6082 4349 4 3573 6644 1 2774 3337 2 535 3512 15 13628 1243 1 7034 151 1 2391 233 1 12119 6225 1 15683 7561 1 15107 2344 1 12773 2488 1 11430 3230 6 14027 1319 1 17120 3431 1 31 545 3 16548 1019 3 3982 2118 1 9859 2559 2 14055 335 1 9763 233 2 2020 1174 1 15551 1184 7 19872 6527 1 15429 520 3 6183 524 11 9805 4185 1 2401 8037 1 2674 6225 1 6506 1734 21 121 767 2 4057 766 1 8182 2760 1 15146 6673 1 18115 4562 16 16412 1395 31 10394 201 1 121 5287 1 4536 1267 1 13023 5626 2 5205 1357 6 14669 6931 6 8735 7884 1 12243 1938 4 8157 38 1 19720 1755 3 8808 1284 1 4880 7542 1 5076 3220 1 8395 4691 6 5667 2354 1 11598 3824 1 6371 310 4 13802 2627 1 14047 7491 1 3996 4379 6 7868 2938 12 5660 1466 5 13358 4077 5 4231 1720 1 1790 1841 1 2450 835 1 13928 1245 1 367 5301 1 14881 199 2 6191 698 5 19331 1464 2 13758 471 2 2198 184 2 19867 1091 2 15982 1747 7 15722 1245 4 17719 101 1 3134 397 1 1758 7234 1 682 5670 1 170 1400 1 2882 3596 1 5264 3230 3 3324 218 1 587 2635 7 16762 2260 2 1231 84 13 1847 3988 3 12730 1121 1 14560 5313 1 13619 6342 5 2267 7525 6 17634 7724 2 3185 931 2 3118 318 1 3270 2641 1 2917 8060 1 8174 2563 1 13668 3511 1 552 4014 2 17781 1252 1 12988 5105 1 14810 2885 1 490 7411 5 16121 3489 1 14625 3228 1 19518 1247 1 5041 196 7 7221 2789 2 11130 6640 1 16072 809 1 11958 4996 1 12809 4296 1 12841 2908 1 14678 367 1 8416 3591 1 5557 4245 1 19272 1342 2 7184 1724 2 4655 1726 1 10698 5532 1 1524 6534 13 20128 3707 1 17961 1587 1 17886 796 2 17615 7536 1 16837 5518 1 11786 1832 1 10145 270 1 365 470 1 19347 1731 1 13465 186 2 15540 3899 1 2586 7337 1 449 3598 1 6464 221 2 11222 168 1 30 1701 3 15084 6957 4 2571 3578 5 17362 4385 2 18724 1374 2 4488 5379 1 7138 4628 1 420 418 1 14644 759 2 14553 6587 1 1301 307 1 10701 215 8 17283 1380 2 6539 4297 1 5681 6897 1 8327 244 1 6647 7656 3 13827 496 1 387 420 9 19722 3888 1 9767 327 6 5968 883 1 94 4206 1 13933 4940 1 20225 665 1 8654 1751 2 13601 1250 1 13412 3155 12 17378 4613 1 14743 7465 1 9656 3715 1 18510 201 1 13590 749 4 19053 935 1 4443 3163 1 40 2067 1 19418 1334 3 11815 2656 2 17179 1772 1 572 858 1 18045 517 1 19606 201 1 15726 4249 1 1035 6414 22 252 541 2 2480 3203 5 4527 4941 10 8937 3312 1 9445 1252 2 11373 5419 1 19601 2935 16 16726 3287 1 19280 3718 1 10718 1235 1 17507 692 1 5074 4764 10 8614 5504 9 7604 1253 2 11196 3193 1 641 1731 1 10311 571 3 6872 4245 1 12777 3366 6 7069 3926 2 13755 1464 3 4090 4460 2 2342 4640 1 723 2118 1 3695 1612 1 7363 7701 5 2666 1363 2 6652 1775 1 12182 4900 1 16063 1342 5 16459 1686 6 17399 1582 7 18777 2363 2 15629 945 1 2234 4249 1 11108 381 1 6150 506 1 14694 2993 1 14421 3906 5 14489 3511 4 15251 206 9 16402 304 1 2710 7210 38 253 1677 1 15657 234 2 6587 5260 2 3655 2552 1 1467 4853 1 7815 1265 2 12392 3705 5 156 7147 5 8568 508 1 18132 57 18 9569 1582 17 8129 4472 1 15180 5128 1 15199 4636 5 14095 783 1 1399 777 1 6611 3327 1 899 229 1 13037 4065 1 6510 3735 2 8984 508 1 579 214 1 12208 2562 1 12873 411 21 14738 4394 1 17467 3316 1 18138 7603 13 3395 303 1 12158 1342 1 67 3230 1 87 4003 1 16674 2494 2 9604 8194 3 142 6497 1 13144 5471 43 12677 2661 1 18258 4572 11 2474 2675 1 17014 1561 6 9660 407 1 4144 292 1 13869 1523 3 17743 3605 1 8500 3175 1 3427 1583 5 6228 846 1 1616 244 1 1065 1752 1 10536 2646 3 17992 1975 2 16812 3430 2 4972 6683 1 7731 5075 2 4634 344 2 12007 1251 1 1461 3909 1 12619 1328 2 3589 5315 3 16116 411 1 13186 1686 1 17328 5771 1 17180 1718 1 13928 845 1 8322 409 5 96 4403 1 3347 4312 2 8300 1721 2 4970 657 1 17290 6705 1 18494 7621 7 15388 1757 3 3358 5674 1 9836 2744 1 13058 2184 1 15581 1211 9 939 1738 1 17184 484 1 3258 23 2 15383 2095 1 6724 8047 8 13114 665 1 9010 3062 1 10655 158 3 5652 1829 1 2027 219 6 18821 6899 1 16259 244 1 6844 767 1 1607 3661 1 8890 1211 1 15027 1296 1 3815 1193 1 18530 1756 6 19776 943 1 1801 5817 6 3790 2357 4 16481 1295 1 11737 776 1 6789 7008 8 11126 3255 1 215 8062 4 2390 4411 1 17965 6322 1 18244 3897 13 3150 215 5 14660 6334 5 143 6563 1 15863 200 7 12329 539 2 8093 8203 2 135 6172 3 15657 6482 1 4838 718 1 17947 2307 1 2056 532 2 2860 1229 1 12476 5905 14 17506 5762 1 16645 1235 2 11708 420 1 15296 173 16 304 8071 5 14673 3163 59 3813 3474 1 7649 2989 1 15216 201 1 608 1296 3 7661 1453 5 8001 6268 1 8657 7225 1 14193 1290 1 1542 1466 5 17257 950 1 3011 3338 2 4489 340 1 20275 4342 2 5364 525 1 5631 714 1 8217 2534 1 124 1307 2 18980 206 1 1581 3113 2 9865 1726 1 491 852 9 9753 3856 1 339 995 2 10199 2571 1 14434 3175 1 174 8081 1 3076 7352 3 2716 1783 1 10765 201 3 8603 5559 5 12083 7915 6 6979 6205 1 15075 7305 1 1539 3233 1 4283 7266 3 18989 233 1 7480 52 1 3331 5064 1 6859 7655 3 15687 235 2 18050 6331 1 19568 535 1 15438 3525 2 20074 401 3 14295 2403 2 11634 1954 1 18818 214 1 3020 3488 1 1962 3767 20 841 3367 2 4561 4500 3 10940 229 1 4647 541 1 19507 1685 2 15161 1241 1 5954 394 3 4659 1237 1 13997 600 1 3935 4245 1 6233 7222 1 17563 5611 3 12638 274 3 16176 1458 1 19192 6880 1 6774 4824 1 4690 1770 3 12312 1610 1 1218 995 2 11713 7216 1 7991 3591 2 413 498 1 4519 4299 1 10036 1707 1 3170 3457 5 2479 5686 1 18099 186 1 6717 500 1 11367 6342 1 17850 520 4 14709 225 1 3463 2068 2 18608 84 1 1009 718 1 8933 2353 1 8311 100 1 3025 1245 1 17 1199 1 11786 1752 1 13466 7850 1 3701 375 1 17257 2419 1 3703 1761 4 11254 525 1 181 8204 1 15534 411 1 12817 394 1 7851 4621 5 12894 4036 3 165 392 5 5336 3422 4 8965 501 1 13 794 4 10974 3250 1 14753 719 1 10240 411 1 16815 5172 3 5854 3748 2 18799 6748 1 4691 6341 1 16969 203 2 12704 1295 1 19706 524 5 5821 765 1 19872 713 1 10325 95 1 7348 3421 1 2716 4303 1 5801 5905 1 16914 2581 1 13997 2497 1 16276 6892 1 3219 5037 1 8125 4363 1 9093 1698 2 1849 7423 2 18071 1234 1 7416 3590 1 5599 6155 3 17498 2098 1 9216 524 1 5837 6054 1 12913 201 2 20115 4615 7 1028 430 1 18754 7599 1 12301 8002 1 1115 1396 1 19532 1489 4 8153 1269 1 10884 1734 1 19730 2114 1 9201 200 2 13003 1307 2 8047 1237 1 16730 1001 1 1587 878 2 9297 165 5 5724 1331 1 15530 4041 1 7792 8133 5 8957 6526 5 14685 4431 1 8665 314 1 16925 394 1 11377 1295 1 5233 883 2 1507 23 3 6332 670 5 91 4118 1 14994 5468 1 11160 7275 1 12370 5757 1 3978 5049 1 16506 303 7 3870 5162 1 15143 252 2 5584 2604 3 3496 1734 1 6769 229 1 745 329 1 17931 1755 1 11866 1715 3 1592 3343 6 4644 1244 9 8394 3710 2 4294 1714 2 13490 6785 1 13829 1245 6 11642 3204 1 7991 1046 1 19298 203 2 8913 7611 1 11877 545 1 7306 769 1 6451 5844 1 18115 244 14 1666 262 10 5727 796 1 16353 2673 1 12712 3519 1 8528 501 1 18137 7073 4 13714 4324 1 3154 412 1 5586 925 1 6011 5603 8 1131 5477 2 12615 6706 4 13334 1718 3 14194 6713 1 12789 1237 1 5858 1583 1 4135 2981 1 17469 210 1 16670 1695 7 2500 6166 2 4030 2415 1 17003 5961 1 15192 355 1 13363 895 1 17930 745 1 3582 3697 1 16835 229 4 2473 916 1 18221 535 2 19795 215 8 8716 3622 11 344 330 1 6502 2357 2 10201 1656 1 40 1380 1 4147 1661 1 2128 5880 1 4602 6538 1 13750 2268 1 3963 822 5 863 5331 1 17328 1999 1 3505 1775 1 1498 605 1 19719 291 4 17691 1404 13 16739 545 1 1713 2151 1 10902 1238 2 2898 1827 22 6687 1277 3 3166 6983 2 1872 225 1 19902 1245 1 3434 2120 1 2143 1146 1 12660 5002 1 6132 3013 1 12960 1728 1 3815 6912 1 5304 3006 1 3322 6480 1 8160 1248 1 3189 175 1 12895 2488 22 11968 4944 1 14692 1703 1 20109 515 1 4330 2675 1 15229 952 1 9235 3595 6 9803 7530 3 10340 2352 1 5378 1827 10 17850 1251 1 15968 11 1 12453 6587 1 16735 1720 2 2020 3872 1 5933 853 1 1263 1342 4 2495 498 2 1775 2671 3 17216 3106 1 5884 221 2 12879 6091 1 4380 214 9 2319 410 1 10693 3114 1 13889 215 2 11908 207 54 8143 153 2 10639 1342 1 3220 252 1 7449 1248 2 19317 1718 11 1433 235 1 7176 1729 1 14906 1249 1 11471 5083 1 4716 1252 1 8196 525 2 4184 197 6 17643 3600 1 9072 4261 1 5185 2489 2 9304 1464 1 4784 4403 1 13370 5512 1 2895 219 5 18211 3945 1 8282 5758 1 9444 3474 1 6515 7229 1 46 2356 1 17954 361 2 12737 4120 1 12296 919 1 5886 1863 1 9224 841 3 19171 8141 18 8732 411 6 10900 7508 1 8762 837 1 5449 884 1 12424 2468 1 18572 3106 1 10014 745 1 655 3135 1 4156 4233 1 18431 167 1 2809 1249 3 9859 3316 7 711 1710 1 9828 3767 4 8189 3449 1 17699 6192 5 11858 2656 1 15715 2995 1 6051 4479 1 18068 1359 1 19877 1946 1 19877 1772 4 754 2958 5 16063 3900 5 151 6782 1 14460 7699 1 4332 7020 5 7556 2357 1 1904 2662 1 16784 1466 6 1619 4210 1 4764 214 1 10686 412 1 6420 2842 1 17705 215 2 1818 1582 1 8356 2069 2 14906 8183 1 16690 517 2 14232 5020 2 6812 193 1 14675 4118 2 20208 304 1 451 207 27 13905 1342 1 847 2737 1 745 1686 1 15607 4619 7 13555 1704 5 12702 368 1 10676 2718 1 7509 74 1 15896 1109 6 2523 3884 1 12238 6706 23 14821 3477 5 19268 6663 2 11638 1469 3 9181 1686 1 7858 5443 1 18621 741 1 7832 7724 1 12209 203 1 3972 5458 1 11411 1703 1 11706 6027 2 11402 2671 1 14192 2549 2 13758 632 1 9374 2357 1 15763 514 1 18893 2608 1 10355 6527 1 8136 1775 8 11259 6075 2 19639 2357 1 4689 2969 1 6759 380 1 17088 4029 1 4905 1748 1 4761 5981 1 8439 1250 1 2917 4020 2 16116 207 2 216 4462 1 3306 4951 3 3581 1251 2 5920 2428 1 16684 2501 1 17319 3876 1 3962 4623 17 18706 514 1 2870 6414 1 16018 3853 1 3056 5923 1 4687 792 1 9407 1985 1 16624 6341 1 10279 7688 1 19385 883 1 12705 6238 1 6420 5277 2 20016 1728 1 5307 525 2 174 7863 4 18151 5 1 13075 6259 7 5198 221 1 5577 6583 1 14197 1482 5 14642 952 1 18809 1132 1 2257 1819 1 4561 3705 1 7098 5031 1 6718 1825 5 3680 440 1 17680 1449 6 2636 1891 1 19538 1635 1 12831 514 1 16925 404 1 14896 6623 1 1995 2626 1 1288 4379 4 2954 3135 3 8730 5945 1 11591 666 1 18806 4704 1 18477 3811 1 13841 6227 2 12272 7614 1 8082 7689 1 13126 6697 18 2898 1743 1 19930 1445 1 17296 4206 3 1488 931 1 3827 1751 3 4273 1380 3 1013 7604 1 3012 1234 1 17066 2009 1 10341 229 2 15357 1881 1 2522 2727 2 13328 852 1 16192 1695 1 8654 82 1 16493 2016 1 19776 3414 1 5157 201 1 17368 1348 1 14462 581 1 15111 1638 1 70 3297 1 13840 3024 1 2845 1503 1 4305 4280 1 16238 1710 1 15248 23 4 17257 1324 1 5326 1245 1 18557 3827 2 19401 201 1 15100 911 1 2404 1253 1 17909 15 2 19085 1747 1 6502 1726 1 3665 3086 1 3522 3444 2 5803 196 2 3092 1665 1 138 6316 1 14040 7696 1 16645 1761 1 18510 2355 2 3234 413 1 10967 5043 3 14305 642 1 6761 2727 2 2768 5248 2 5963 13 1 952 2645 3 5829 385 1 13001 3783 1 17195 6378 2 16941 1169 2 7994 186 1 5218 203 1 11948 65 1 6457 3556 6 8214 2123 2 17268 3512 1 10827 1965 1 13916 4181 3 11562 2651 1 10325 845 1 6091 505 1 7917 3871 4 10549 3511 21 16675 500 1 17556 4241 1 2870 6140 1 19246 4107 11 16000 1799 1 20246 642 1 13932 2386 3 4562 2256 1 11993 4609 1 14430 1669 1 1154 1685 1 12493 1721 1 1879 164 1 5025 5348 1 2566 1721 2 14730 5298 1 4865 5234 1 4082 2980 5 18476 5888 1 2866 3078 1 27 1652 5 19662 7407 5 1028 550 2 1171 4623 1 2328 197 2 7543 274 1 11968 1656 1 7756 5505 1 20268 7466 2 2526 6047 3 79 3552 1 1214 1721 1 8913 4314 1 18482 4404 1 6642 6758 11 17763 207 4 8416 3593 1 8614 7353 1 10219 545 1 16897 4199 1 5615 1184 1 12898 235 1 10351 3556 5 15764 120 1 14566 7937 2 10145 817 2 12753 6173 1 12018 4379 1 18262 1342 4 7382 1250 12 14419 2443 1 15593 4623 1 5280 1745 46 15484 3540 2 1725 3512 1 3090 1244 3 11891 219 2 14845 203 52 10682 213 1 3724 222 8 19776 3450 1 5476 473 1 1454 1238 1 11336 5448 1 95 4340 1 3899 1726 1 10948 5551 1 4791 175 1 6264 3853 3 11718 159 1 13044 200 1 12841 4223 1 17646 2276 1 7357 171 2 7101 2729 9 6796 1732 1 1911 5808 2 17954 6554 1 8142 4618 1 4282 2216 1 6712 670 1 6333 4378 1 10735 607 1 12413 1182 2 3491 520 1 4105 3911 2 16287 235 1 16468 8099 1 857 1705 1 745 852 3 13808 6200 1 11861 1761 1 1171 232 3 10585 3519 8 12095 6252 43 5552 1695 1 17549 2021 1 4800 2645 1 201 2656 2 4970 4763 1 9327 6675 1 10066 6897 1 6593 220 2 3035 23 1 14964 5251 1 612 6345 1 18699 4245 1 13161 6783 1 9472 3516 1 19805 3189 1 9772 1775 2 4492 532 2 15140 6620 2 18354 2885 1 17143 292 1 6867 7525 1 17010 7901 1 14964 6899 1 1743 2513 1 11059 215 2 8097 1881 2 2213 3220 2 7473 2097 9 19328 6701 2 4498 231 1 20235 201 4 108 550 2 11683 5108 1 8192 3011 17 2699 7929 2 14808 23 1 17244 375 1 4688 869 5 5025 1719 1 17481 7598 1 14468 7319 5 19584 3408 1 7536 1720 2 3767 1819 1 13981 901 1 18227 1252 1 18 512 1 19223 506 1 7398 8015 2 14236 1695 1 11976 1453 1 13906 8183 2 16408 2602 1 121 5307 3 7109 1238 1 18450 579 2 18568 4299 4 13697 221 2 19181 2678 2 4054 1781 5 3395 235 1 11080 3404 8 5074 8094 1 9840 214 1 16535 4352 1 16860 348 1 18133 1898 1 16270 1656 1 813 954 1 2853 7210 1 18237 891 2 16696 1249 2 8995 1687 1 596 4518 1 257 6117 1 2942 793 1 3811 1717 4 10267 3619 1 935 237 1 18585 5398 1 15986 5119 3 2260 2087 1 4449 4607 1 16625 1748 4 16192 1726 1 5231 1718 2 10138 23 1 836 1982 2 12873 184 3 5392 1252 38 16417 497 14 10966 1951 1 12765 615 1 3189 6056 2 131 1967 1 9721 665 5 3491 2662 1 3491 867 1 3892 4727 2 20145 1788 2 15263 232 2 12603 325 1 13947 5294 1 10990 200 11 5705 541 1 147 4221 1 157 7191 1 5614 236 2 5202 904 1 8969 3230 9 17404 5400 1 19438 2675 1 17780 1717 1 530 3509 1 16378 1758 2 15495 525 10 10591 177 5 124 5387 1 18741 1613 18 135 519 1 9078 525 1 10498 4676 1 11674 2949 1 1442 3233 5 11820 6519 5 11310 3794 1 13964 7734 1 17287 1356 5 6154 532 1 4658 2443 1 390 3138 2 15376 1681 1 13623 519 1 11336 1741 2 7279 1357 1 13766 593 1 5117 917 3 12525 3595 1 16063 2884 5 17746 794 1 4267 6052 1 5460 995 3 12814 1783 1 17197 7128 1 14150 6837 1 16457 6082 1 4263 524 5 1801 1103 1 18476 2513 1 54 2641 1 1746 735 1 10306 3233 5 17268 215 2 17662 1729 5 5970 6341 4 14618 3083 2 6907 164 4 8891 525 3 8730 562 1 12054 2516 2 4873 6481 1 15419 501 1 11943 518 2 8987 2943 1 212 2626 3 16700 718 1 19865 2737 1 19326 770 1 12437 514 3 7991 1610 1 8417 214 1 17850 1703 1 18659 7933 1 9891 1707 1 13928 177 1 2152 496 2 14868 3596 3 18852 6204 5 19982 7340 1 3010 4976 2 4930 184 1 13644 3230 12 14629 1238 3 16569 4015 5 19336 1567 1 10229 173 2 5873 1743 1 5410 1738 1 2149 3888 5 9017 23 1 4061 1779 3 8082 7953 3 17374 3621 1 16048 6618 1 7247 3914 2 13928 768 1 10595 2673 1 17340 7350 1 10107 6602 2 10107 6635 2 2995 2353 1 4471 201 12 10099 6159 1 18270 7905 4 1435 3250 1 9543 5256 1 12633 3113 1 11122 891 6 7991 1656 1 11823 558 1 3334 2990 1 20256 3705 1 9049 8012 1 15369 1658 3 4691 1768 1 1801 5329 1 11535 867 20 2009 3850 1 5602 4435 4 19074 175 2 10783 2620 7 3170 2360 1 379 617 3 1191 910 6 9414 214 5 2434 2595 1 2724 775 1 555 5353 2 15681 4460 2 1551 911 3 10857 7229 1 15537 3526 1 4536 4022 1 1653 7406 1 2179 7828 4 17778 81 15 11823 767 1 19151 3327 4 9643 1720 1 13803 1734 2 12867 3573 1 10672 6355 1 4023 5186 16 1236 1613 1 5188 3538 1 6437 5419 1 11445 5255 6 11849 623 1 8228 543 1 12645 6557 1 18645 1245 1 15020 6487 1 18613 5472 1 18231 6223 2 7025 5018 1 16073 581 1 136 6269 1 15832 292 14 4305 229 2 4072 2030 1 16292 3531 11 6539 2512 1 9660 4008 2 15980 2276 2 5981 200 5 18876 683 3 4552 1819 1 2611 2534 2 5725 3394 1 16765 5332 1 5637 6091 1 19218 3596 1 5573 764 1 15695 2494 1 13429 201 2 16895 4000 1 8029 3058 8 19197 2855 1 14427 5444 1 17618 1244 1 7184 156 1 9534 861 5 9455 3666 1 7000 7888 1 17686 1888 1 15599 6058 1 3374 214 1 19402 6207 5 2588 1518 4 13225 6001 1 19246 1695 2 7842 203 7 11746 4929 16 6816 263 1 10199 1695 1 1722 2678 1 10977 6054 6 5158 709 1 14813 6187 8 18968 5389 1 6983 7004 2 5216 3760 2 11196 4435 2 15619 1561 4 18465 5016 1 17556 4322 1 4483 4761 2 339 7701 5 10105 1770 1 8250 6146 5 8557 3058 1 19475 203 2 10525 2355 6 3246 6606 2 15009 2646 5 1861 327 1 1705 5193 1 1631 215 4 3175 7843 1 18320 7674 1 9628 780 2 17505 275 2 16406 308 1 5036 1721 1 11301 2894 1 923 811 1 153 6984 1 8236 214 1 4708 883 1 15122 489 1 10465 891 16 9504 2908 1 19970 3138 6 18204 2557 1 10444 1408 8 1194 5757 1 10298 8183 1 10168 724 1 60 2722 14 9220 244 1 12361 640 3 8717 1730 1 18425 1284 1 11567 638 1 9007 2376 2 18120 556 2 7822 1112 1 3653 7593 1 5515 222 1 20060 2797 5 456 4245 1 17739 4615 1 15722 1779 1 8532 1734 1 7180 4248 1 8096 215 6 13827 1686 1 17104 7221 1 14767 225 1 19184 1711 5 611 506 1 10553 390 7 1839 861 1 12363 2737 3 10774 1695 7 4970 5337 1 9174 7216 1 9374 2352 1 12897 225 1 11208 5789 1 14890 728 1 11346 394 3 20065 6363 11 14939 244 3 8982 1241 1 12876 1194 1 3050 867 2 14046 5488 2 2666 1785 1 13988 1703 1 6538 5100 1 15494 4807 2 12560 7240 1 13715 4436 1 15796 1251 3 4663 554 1 1327 3653 1 15046 5327 1 8969 235 1 8987 366 1 4973 6777 1 5608 190 1 4880 934 1 13355 4284 1 5056 1315 2 14376 3768 5 9628 669 1 19025 1474 1 1465 559 1 7772 1679 2 693 7296 1 9120 6727 5 5304 3844 2 4764 207 35 2586 2636 1 8572 2352 1 10119 2708 1 745 1783 1 3182 304 2 7092 7216 1 15318 2743 1 15231 207 13 4305 702 2 3089 3242 1 15098 4314 19 11167 8060 1 1904 1658 1 17252 4077 1 5911 6164 1 4690 3512 1 5378 173 2 13842 7963 2 19989 5686 1 15272 1827 6 13881 7029 5 7158 6435 1 6647 3388 1 5460 864 1 15988 282 19 7841 2803 1 7917 3711 5 1013 5155 2 13666 179 1 11616 4309 1 8629 4597 1 7184 519 1 4663 407 1 1506 1730 1 16090 7826 2 12984 1703 3 12753 3444 1 9566 2353 1 124 1339 1 16515 7542 1 3651 3697 8 11101 838 2 15149 5525 1 15100 1131 1 8682 4710 1 18705 1726 2 3414 3953 2 14052 1518 2 1872 1570 5 18204 6484 1 15849 4432 1 14300 4612 1 10394 1464 3 8082 4821 1 6064 1032 1 7986 87 1 12806 3203 1 5304 816 1 10 339 1 8269 893 1 12714 2399 1 6483 5002 1 12778 1472 3 10789 1764 2 4216 4992 1 3750 633 2 20219 2686 2 4220 201 14 14416 2780 2 14522 3263 2 11786 128 2 4382 1283 2 9919 584 1 10930 3515 3 16403 385 1 15323 2727 1 4463 3591 3 16997 1658 1 12496 6481 1 13616 6200 1 18106 6481 1 4430 7915 1 4498 3687 2 77 3515 1 18329 221 1 4343 2964 1 10585 1955 3 16710 3167 15 19842 1339 1 1 38 5 6496 2602 1 17169 5477 2 3947 1775 1 124 5460 2 8426 2869 6 8605 1737 2 11882 5395 1 1801 3540 1 8450 8195 2 15679 445 1 3581 6630 1 4403 5009 13 12969 23 4 5401 541 1 7856 3255 2 16234 1402 2 3562 1752 1 10192 5090 4 6892 198 2 16968 7320 13 9518 517 1 6314 385 1 5586 837 1 9270 5516 2 19990 219 5 3727 5450 1 16803 7104 1 11396 66 2 3436 1781 2 10561 1756 2 15291 73 1 5899 4188 1 10977 233 5 10591 885 1 5176 1613 7 3340 1420 2 8211 207 1 1422 200 28 9513 3069 1 3606 2559 2 14606 1285 1 15342 880 2 10108 1782 15 56 2676 1 4130 2415 2 1908 2969 2 3607 52 1 19745 5002 1 15382 4120 1 7295 691 2 8207 2728 5 5494 6985 1 3338 5379 5 13262 715 1 10152 1076 1 12337 2356 1 6151 5016 4 56 23 2 10553 1700 1 1191 498 1 1560 2461 1 6524 7895 2 19241 641 1 13005 3764 1 11072 948 3 11993 7911 1 2738 429 1 6166 6220 1 11014 314 2 6533 3148 4 16844 876 9 14218 6912 4 4527 1731 2 20262 1698 6 14519 3892 1 9642 186 12 15881 868 1 3064 4551 1 16130 1755 1 17056 1714 2 6519 3634 1 10850 2399 2 3966 4170 1 2899 8102 1 2764 2268 10 9275 590 1 8094 947 1 4662 173 3 11392 1962 1 4498 379 1 7056 988 1 11556 8197 4 10309 921 1 532 3904 2 13729 7130 1 13842 215 1 8532 244 1 9249 219 1 6990 1266 1 4305 3689 5 15573 5376 5 14451 3569 6 7312 220 1 14007 5649 1 1908 233 1 13490 2864 1 171 7699 1 11332 496 1 17234 188 1 6473 3612 13 14087 1304 1 7810 2748 1 2605 528 1 1665 6280 2 13919 4303 1 6452 816 2 6536 1695 1 4970 676 1 11458 2410 1 16018 1250 2 6501 1284 7 18149 235 4 11617 3417 2 3871 6341 5 16063 2863 1 8291 3685 5 17996 1727 1 4330 2683 1 4083 4097 12 19441 1995 1 15184 4459 9 1595 1464 1 13857 225 3 13440 678 5 12404 4085 1 7432 2269 2 18363 8158 2 18580 6568 1 14385 834 1 2995 1788 1 9945 1909 5 9868 7772 2 13735 1244 5 4030 554 1 11567 1302 1 10782 200 1 11629 2831 1 10267 215 2 19868 191 11 17696 5758 5 13034 5478 1 11981 4992 1 8924 498 1 1988 2727 1 14797 5051 1 16694 5607 1 17889 1818 11 14020 1333 1 19968 46 1 669 1726 1 685 3749 1 17776 2319 1 2879 6128 4 7463 235 1 5945 3625 2 8394 890 1 3037 219 2 17717 7689 1 12817 375 2 3096 8175 1 126 5376 1 11845 7211 1 6064 4597 3 12262 3558 4 2693 7606 2 744 7474 7 19326 206 6 19015 4363 1 7883 219 14 9374 1732 2 4185 1747 2 7313 6702 2 1507 2580 7 17449 1241 1 11533 571 1 3085 2118 2 8599 4935 20 591 4246 1 15529 5866 1 11133 6723 1 281 5325 1 15885 2291 1 8189 201 1 2169 3685 1 1090 340 2 8595 202 1 19990 541 1 13526 2379 1 11194 2912 2 181 8242 1 8493 5758 1 9744 904 15 3729 2261 4 6446 5936 1 19286 1246 1 13997 367 2 6966 1334 1 17633 606 1 4632 229 6 4153 1037 7 17375 1721 1 11611 3298 2 13234 2595 4 13751 5018 5 108 4869 3 13581 7898 4 18608 7128 15 1711 1568 1 4841 200 1 14971 1752 2 11947 1827 1 18270 8060 2 45 2337 1 13925 6154 1 12077 1751 2 4922 534 1 12529 3842 3 15146 165 44 14367 411 13 18643 7165 8 19400 5325 1 18755 1282 3 8235 498 2 13174 1959 1 12064 6683 1 1079 910 1 7993 1307 1 8883 7407 1 14786 206 1 4520 1719 1 2917 15 2 14053 502 1 17992 7570 14 12320 6208 1 1865 3153 1 17823 6434 1 7658 3634 9 8454 2728 1 126 929 1 16856 4986 2 3815 629 4 9180 2662 1 5688 214 1 18520 5054 5 13271 828 1 14643 66 1 1495 3062 1 2583 5574 1 9084 220 1 46 232 1 1930 7189 1 11775 207 2 7665 7512 20 4922 1244 1 9375 4992 1 6749 7108 1 18421 1814 6 14650 236 1 8890 219 1 9545 6758 1 2035 2686 2 2501 6343 3 8603 2897 5 5415 1037 2 13461 514 4 19160 307 1 7368 3699 6 9366 3175 2 3351 793 1 647 3899 1 933 5077 1 9188 615 1 4992 1244 1 1009 4919 6 2054 2683 2 18954 2560 18 12386 378 5 19602 7005 1 13461 2363 4 13134 4555 1 2503 3262 1 3860 1105 17 14059 443 2 15269 2329 3 16378 1724 1 6348 7830 3 11912 2718 1 17004 1065 1 3043 215 1 3689 4949 12 16308 1455 9 4490 1234 1 309 1332 6 2825 3980 12 13623 5411 1 8047 2362 1 7758 1727 1 2423 379 1 11400 7407 3 12385 1356 2 19684 4714 1 17300 2380 1 9634 200 1 6990 2535 3 17917 4156 2 8486 3163 1 7285 892 2 6244 1779 1 12392 2720 4 16931 1339 1 3382 5264 6 18634 1538 1 14727 7105 1 8021 2549 6 582 5300 1 9275 4512 1 10835 502 7 9459 2197 2 19026 219 19 10814 1720 1 8597 215 5 17664 1715 1 1337 1023 5 19331 1250 2 62 1267 1 8610 6704 1 968 1748 12 745 723 1 1465 1760 1 2257 3911 6 7147 5255 1 4081 3684 1 10522 6084 1 14416 5049 1 12916 6897 8 16674 6368 1 10815 3301 1 9947 6051 1 1470 3599 1 13839 719 2 16500 23 3 19217 2475 5 54 2633 2 4209 155 2 1469 514 25 6644 5385 1 13778 1762 21 15657 7670 2 11899 1740 1 19150 6286 1 735 4105 1 10882 7474 1 10730 2268 6 10059 5518 1 14353 3471 2 13733 1707 2 10777 906 1 18460 8001 8 3636 4051 1 16619 214 5 4940 1153 3 13057 3911 1 17088 2675 1 6926 942 1 17152 1246 1 16662 498 1 18462 817 1 817 912 1 17932 2727 2 14784 5018 5 5279 200 11 14745 1341 1 5198 219 1 16238 3512 5 4887 8139 1 11354 1418 1 12253 2258 13 13035 669 1 5418 1357 1 18124 1881 1 12119 6231 2 19409 200 1 5285 3519 1 1361 2889 5 18628 670 7 1893 2626 1 15164 6741 6 2937 2559 2 5773 6506 1 3471 1275 1 17803 3602 3 11795 806 3 10573 1656 5 759 536 2 11314 5510 1 171 7729 1 9815 1007 15 3451 3896 4 3075 867 12 5111 498 7 3644 2661 2 11484 73 1 293 6011 11 5553 6231 2 16674 203 7 16925 379 1 12317 506 6 2393 5288 1 17518 1548 1 1191 6615 4 10341 1235 2 11786 5566 1 5352 5506 1 6776 2305 7 11276 2352 8 2045 8183 1 19344 6152 1 62 2892 1 72 982 1 7531 2356 3 14256 4447 3 1416 518 1 7184 1357 2 12397 3452 3 5236 5998 1 7577 7352 2 9249 1351 3 8356 470 1 707 203 8 2265 6139 1 2019 390 1 18052 219 4 1304 3399 2 1599 5052 6 1839 8066 1 20114 2849 1 11849 46 5 7682 730 1 14376 127 1 11445 6908 2 7964 1062 4 11559 2789 1 5377 214 1 18672 7776 1 14435 4738 1 14164 3192 1 9317 4389 1 3781 1718 3 16618 8167 1 8848 6334 1 3668 6245 1 4505 1771 1 16448 5272 2 1204 1184 1 15314 4992 1 14566 8103 4 10558 6139 1 4644 207 4 9427 2173 2 7436 2256 1 8665 215 1 8872 1726 4 7994 953 1 6496 1288 1 16021 1973 2 19138 1641 1 11106 6568 1 18633 2377 1 8129 656 1 12056 1062 3 19760 1589 1 6458 532 1 984 7848 1 18488 3869 1 2016 537 1 10847 584 1 16669 1760 2 18080 650 4 17026 8051 1 6934 799 3 6570 4402 1 17244 2964 1 1554 3916 1 3508 201 1 11332 519 2 17917 1761 2 4287 6237 1 6375 1113 1 2447 372 1 16583 164 1 14547 4721 1 19088 255 1 14900 1730 2 18325 7788 1 12793 1751 2 19606 510 1 9535 1235 2 10242 203 7 13881 3416 1 4146 1781 1 14480 2632 2 6304 2618 1 10289 5051 4 5052 165 1 761 1244 7 808 1184 6 9946 2880 2 15031 1350 2 62 2957 1 16792 233 3 13811 868 8 3258 57 8 1648 5016 1 6544 533 1 8620 2295 1 10554 101 1 8416 3693 1 1473 5575 1 4267 173 1 1986 2649 2 10242 4992 1 3547 995 1 16881 150 1 10961 7251 5 1107 1825 5 12279 73 3 16845 308 1 7270 6957 3 11574 2355 3 19391 205 3 2133 1610 4 4492 304 1 14599 590 3 2084 2151 1 6554 1871 1 10160 6594 2 8730 692 2 503 6756 1 18465 3693 3 9006 6692 1 18167 1312 1 5235 540 5 8269 148 1 349 5874 1 6430 3167 1 4963 656 1 711 1241 1 9857 2111 5 10453 1819 2 16299 366 1 17207 188 2 2959 2885 1 8494 2661 1 18637 533 1 6795 3480 1 19776 52 1 5117 253 1 9546 818 1 12950 4540 1 18386 658 2 16346 5940 6 11320 35 1 6463 6943 1 20062 5264 4 6183 510 3 17075 1573 1 14522 141 1 231 214 1 8820 2508 1 8751 6963 1 16303 4333 2 50 942 1 18879 6053 5 5652 903 3 3815 5342 2 17957 905 2 19737 3600 4 18690 23 2 8239 2254 3 94 4214 1 14187 1719 5 10102 6341 1 18815 1721 2 899 4549 1 13997 4277 1 12895 1278 3 15610 344 1 12270 512 2 19995 799 1 14011 5044 1 17850 1283 1 18814 3364 1 3712 4708 4 3118 2637 11 18671 1758 1 15295 4591 2 5204 622 1 10245 2068 1 13607 7998 2 16574 6574 1 2303 3167 3 17453 1714 1 13893 6535 2 17510 947 2 4793 2356 1 13203 5486 1 14307 3945 14 17946 23 3 87 4022 1 10195 3596 4 4213 3238 2 2720 4661 2 14517 7013 1 10397 1321 1 4970 7607 34 2689 230 1 4527 2673 2 109 4990 1 12212 4561 1 9312 7197 1 9104 6053 10 15929 4304 1 17996 1334 2 12050 4274 3 6437 5551 1 18876 617 7 6538 1324 1 13992 3057 6 14071 199 3 14695 219 1 14120 4132 4 4425 5516 1 7269 4998 8 18568 3693 15 13461 2683 4 8063 3661 1 7412 4096 1 105 4736 1 6740 484 3 9731 1780 6 4820 2991 1 1783 244 6 13972 219 1 16887 6892 1 3275 3639 1 7868 4387 1 15881 755 1 130 5861 1 15364 7878 1 115 5193 1 81 2760 1 4848 6407 1 17174 4246 1 6183 2534 1 9699 3087 1 4488 4986 6 15382 5690 1 9463 1417 1 17844 4635 1 20009 8187 5 9341 1242 3 8120 7451 2 19219 394 1 12988 3027 1 13743 499 1 4189 6213 2 4381 4596 1 15627 4015 1 13387 1635 2 11964 1726 1 3025 1395 1 531 2778 1 11672 712 1 9971 2424 1 4703 914 1 14241 4411 2 115 5160 1 17342 1126 1 13490 4246 1 12030 1819 2 1698 6157 1 12441 4288 1 5734 5480 1 12690 4582 1 14059 1184 2 12332 252 2 19900 506 31 8323 4549 3 19688 4328 3 15834 1241 1 18817 3230 1 3905 3227 5 950 1643 1 752 270 3 2900 4557 1 4013 7594 1 4597 215 2 1745 6538 2 10303 1244 1 801 1789 4 13461 225 2 10302 201 6 7377 6418 12 5950 844 1 8890 5659 1 20090 400 1 11562 6140 1 6183 221 8 19191 7142 1 8525 411 1 18296 2353 4 17019 1146 2 2327 8184 1 983 2511 1 20275 4403 1 19548 23 1 18289 667 11 16090 3991 1 18133 3020 3 14096 1635 5 15229 5495 2 2797 6633 10 16844 201 11 16887 5362 1 11129 221 1 13821 2349 1 16491 589 1 5530 4618 3 20034 2343 1 10001 4662 1 18926 7347 2 19014 1235 1 17890 46 5 7817 1661 1 15548 5649 1 5955 3023 9 18014 222 2 16938 4796 3 3109 1464 1 12713 1342 2 6142 534 2 6323 7131 27 9228 4647 3 6580 5452 1 3337 2133 1 2985 712 1 3822 2419 1 635 3020 5 19223 5272 1 14558 8196 1 9277 3907 1 11614 8083 1 17056 7231 1 8884 863 1 6457 4029 1 6997 1641 2 1824 1248 1 5173 1781 1 6158 2699 6 7549 5565 1 19425 4174 2 14312 6640 1 13234 4411 1 1398 262 1 18793 3645 2 19183 6193 1 5607 3540 5 11108 2009 1 7994 917 1 14045 2636 1 10160 1245 2 14333 6541 45 4493 339 1 1028 905 3 19346 7313 1 6802 1827 2 9501 6705 5 19090 474 1 16075 4025 1 1410 2065 3 6269 226 1 2081 6435 1 13626 2256 3 12829 3605 2 4601 6541 2 5801 952 2 11428 378 1 10670 2268 7 11545 3525 1 10355 2083 1 13925 229 1 12726 201 1 17918 2068 6 4913 4230 1 6643 7150 1 9168 6588 1 5882 2841 6 19503 423 2 14905 7189 2 9128 10 2 17521 470 1 19672 1885 1 11418 1396 1 18871 2016 2 6757 359 1 8546 3239 1 13105 4905 2 20117 5031 1 15427 638 2 1171 2675 2 7531 2271 1 5544 3474 1 18508 89 1 6275 4974 1 7181 1730 8 12826 35 2 2509 5289 3 17544 1710 3 1739 5408 4 13891 5420 3 16231 3873 1 7221 6120 6 10604 934 3 14312 5425 1 5315 1762 1 18286 1518 1 17454 101 2 7455 1987 1 19399 23 3 11357 3662 5 2394 1710 15 2726 911 2 1465 7772 1 857 525 1 19649 201 5 5264 88 2 5185 714 21 10115 578 2 235 508 2 15800 8096 1 2580 2584 6 9832 1474 5 4776 2595 1 14162 1830 10 1893 225 1 35 1976 1 17566 1369 6 17690 23 2 8451 1119 6 4793 8172 1 1866 6713 2 10176 2422 1 1355 1731 1 1515 6125 1 8665 2639 1 1952 1182 1 3074 379 5 13071 1629 1 11367 6675 1 2207 2555 5 3258 1244 2 3739 501 5 11184 7017 2 11065 5408 9 14327 7474 4 5366 1995 1 9660 5249 2 10381 1251 1 14400 214 2 13023 6067 4 20014 642 1 19314 534 1 83 3717 1 1002 201 1 18698 3337 3 3306 1304 1 1826 7205 4 1028 870 3 6376 4436 1 17911 4498 1 15785 764 1 19661 219 1 10213 1235 15 13084 3512 2 8987 100 1 15456 2683 1 388 7491 4 14948 1469 6 19343 3163 2 2302 231 5 4488 314 1 19881 2889 2 6332 666 2 16447 3073 17 19102 3541 1 19596 3954 11 11554 1239 1 10601 4352 2 6969 5034 2 17255 148 10 19932 200 1 7244 2743 4 16229 1695 8 2552 5245 1 9332 1739 1 13543 2936 10 15975 5551 1 6784 3914 1 14738 4696 1 80 3631 1 4971 4446 1 4572 1740 1 13977 7414 1 1350 3947 3 10610 637 9 2553 702 1 12731 3512 1 981 1342 2 13099 4964 1 11277 5767 1 12592 4540 2 16187 1334 8 171 7617 1 2459 1991 1 12561 5269 1 17746 3578 1 12088 2636 1 108 903 1 18015 2653 4 12541 520 1 1109 1704 10 14409 3203 5 2598 1237 3 4092 1776 1 16775 156 32 12673 23 1 5143 1991 11 35 1929 3 17954 3888 2 15427 550 1 12841 3006 1 5993 3516 4 11576 1730 2 153 2953 1 6229 1975 2 6811 5099 1 5108 470 5 153 7046 1 6375 4879 1 11107 1146 6 2143 222 1 5160 2718 1 4965 6983 1 12071 222 1 17825 1771 7 18337 1722 1 17454 1825 6 4023 474 1 2273 6242 5 5775 502 3 745 1250 1 1551 1277 1 18791 1757 7 2570 6090 1 11769 236 1 13675 1819 1 14605 2998 6 16573 1245 2 13817 23 2 18615 236 11 9854 4344 1 10835 1482 1 13804 1698 2 5394 3681 8 5706 1567 1 8620 6259 1 290 4664 1 3733 1643 2 16090 7824 2 17176 1770 1 6100 2662 1 4092 1062 25 3938 1691 1 1125 4013 1 4963 629 1 7769 445 1 15712 1334 2 16130 3074 10 3397 3572 1 5061 2356 1 18501 2649 25 10852 6102 1 2060 5686 1 24 1478 2 11533 728 1 15359 510 15 9219 285 5 4886 861 1 9441 6933 11 126 5669 3 143 6583 6 9377 2073 2 11882 229 3 9768 6335 1 8332 498 4 8358 367 2 3360 7559 2 8174 7213 2 4854 1571 1 13691 3067 2 11957 4879 2 11 456 2 5909 7374 1 2801 73 1 12399 631 1 20014 2009 1 17165 5077 3 8088 903 2 847 5420 1 16432 3426 1 18998 7395 1 15807 7102 2 13067 2443 1 15368 4561 2 17505 292 2 13951 6576 7 4189 4698 1 9269 939 1 83 3848 2 18575 2534 2 2938 574 1 19940 5404 4 17156 2588 1 783 3085 2 14059 1108 2 6580 8194 5 18968 1307 1 642 5113 2 17833 2726 1 2509 837 1 13287 6225 3 701 5325 1 16769 6576 1 19527 5300 1 8923 6400 1 10506 3638 2 19254 532 1 5756 4460 2 3036 6615 1 5174 4391 1 1718 1675 1 18666 6150 1 18046 1357 3 17735 777 1 15125 235 3 13132 316 1 1551 2103 4 18538 7939 5 3491 7735 1 19701 1193 1 8416 235 1 14646 1367 1 8422 132 2 5025 1593 1 127 5742 1 5970 1751 1 9086 4976 1 593 2056 1 381 662 1 13734 6945 2 11812 5139 1 4614 3372 1 17477 1995 1 1546 867 1 11786 7618 3 3407 144 1 18288 2184 1 1178 5923 1 5587 201 2 14862 222 1 14175 3475 1 14326 6047 1 8965 3571 1 6131 1946 6 2830 1277 1 597 1284 1 6332 2332 5 4662 1423 2 13869 1466 2 10752 200 30 8402 1714 4 9546 2708 2 5156 7215 3 937 1770 3 4933 7660 4 15655 1698 2 5176 2013 1 17994 2641 2 8735 2263 1 6539 672 5 18939 867 2 3972 5466 1 5630 6064 1 20145 235 15 5829 3222 2 19246 2367 10 12337 220 4 883 316 1 1606 804 2 1238 1247 9 13960 3020 2 19095 219 5 15146 1946 1 18462 177 1 16970 3475 1 18142 631 1 9894 1261 1 7339 7381 2 16719 203 4 10236 578 1 19000 2003 1 9927 514 2 17777 1788 1 6630 6441 2 113 3653 2 1223 223 32 7769 525 1 11169 119 1 5647 3869 2 10050 2392 1 10883 5693 1 126 4814 2 15091 5559 1 6492 5543 1 4786 1666 5 6000 5480 1 15651 5525 2 5887 5510 1 10219 1244 4 7252 244 5 15579 200 3 388 6536 2 9112 1737 2 7463 449 1 14421 2056 2 12449 2636 5 10996 2577 1 7574 3869 1 16743 2584 1 9511 6051 1 2405 1717 22 4250 4447 2 1025 1705 3 1228 303 1 14915 223 1 16283 4408 1 14145 7851 1 4960 1313 1 5938 1613 2 101 2880 1 2180 631 2 8378 1357 11 18521 1081 1 5564 4435 1 6418 7474 1 3739 6299 7 11357 3999 5 908 1991 16 6333 3429 2 16691 1781 3 452 1272 1 13129 225 1 18237 2488 1 14519 2727 2 9315 1769 7 5454 244 1 13329 7640 1 9150 4156 1 9057 6697 2 15055 2877 1 3828 2056 1 4338 6108 1 18331 6571 1 5981 5121 1 6320 3070 3 18415 3311 2 19603 2352 4 605 5274 4 11257 2475 1 3796 201 2 7221 190 2 12897 134 1 15202 7520 9 18698 1315 1 18137 8171 2 11098 304 1 15795 5588 1 14997 665 1 11374 6626 1 16191 1203 2 9422 1718 2 590 5559 8 6462 5018 1 10570 4796 6 16666 4435 5 6753 3228 106 4663 737 1 11327 1374 2 6164 4609 1 9546 410 1 10201 207 5 745 1363 2 17968 1720 1 16881 244 1 1079 1474 1 6345 5749 1 15625 2182 1 13613 963 1 816 496 7 2170 7687 5 3752 5303 2 3721 1450 2 9652 7533 1 11388 5083 3 2643 7300 1 10947 2363 1 17863 2885 3 3972 7151 3 8988 4196 1 12405 6931 1 10354 4242 1 3659 5016 2 643 2633 2 11306 67 2 8366 3721 4 873 3973 4 4262 4266 1 8259 1253 3 445 215 1 13126 752 1 11882 960 2 19781 2945 1 4898 2686 1 8268 1244 8 4717 502 2 3340 1705 1 17478 7856 1 8662 4042 1 100 4556 1 6229 3227 2 550 1023 1 20060 7830 5 5100 1705 3 20039 3367 1 121 759 1 4507 3459 5 7181 7345 5 11898 7135 1 16421 7890 1 7527 520 1 340 2009 1 16048 82 4 4146 185 6 20 498 1 13343 7989 1 7692 5097 1 12392 6993 2 16497 4009 4 991 2341 1 48 2452 1 14996 1363 1 3218 4623 2 4796 46 4 13601 4015 4 12580 1760 2 18669 1342 7 8753 6414 1 4924 200 5 2205 5310 1 12087 8194 1 6774 6190 3 19727 496 1 16283 297 3 19283 1707 1 8934 222 1 18476 714 6 2716 1244 1 17414 654 1 18116 253 2 16588 1949 1 10640 1819 21 6901 2141 1 14784 1743 1 17127 2488 1 10313 942 1 4460 225 1 5775 3556 1 18548 1244 2 5954 1747 1 10064 3113 10 812 2552 1 2969 1248 5 17828 4955 1 3481 6225 2 11336 4064 3 13843 7750 3 6374 4963 1 19645 6051 1 16548 3847 1 11622 6013 1 18377 6785 1 4072 1238 1 14047 1590 1 14284 7768 1 9215 1705 1 5717 545 1 6461 1729 3 840 1814 2 6666 6801 1 8025 5348 5 11496 3979 5 17682 1739 1 9341 7518 1 20232 8022 7 9343 850 1 9533 2056 2 12973 7177 1 3715 698 2 12774 2533 5 14639 2686 1 5570 7255 2 13258 1778 1 10813 1453 1 19641 1363 4 1537 5015 1 18012 505 8 15509 4621 1 1349 2341 1 906 461 1 19833 4280 2 14412 3900 1 19554 1748 1 5866 1740 3 121 650 1 8939 1507 3 16570 2000 1 8327 304 3 17371 6278 26 3045 6222 2 11461 201 3 13321 295 7 270 367 1 7571 7477 1 153 6983 1 14798 270 1 7542 1731 9 16474 1743 12 14730 7839 1 1713 5730 1 9362 1751 1 14957 1307 1 3100 196 1 5211 1454 1 13692 7117 1 16151 7556 1 9749 4013 3 11882 545 2 8599 221 2 6509 7928 1 1328 1703 5 11667 733 5 17736 946 1 17068 74 3 6977 34 3 17508 1363 4 10080 1740 1 17109 206 2 19026 2785 1 10331 3479 1 19738 6231 2 19649 3511 7 16881 7956 2 19967 6196 1 316 3525 1 13731 7189 16 17519 7896 2 8388 1271 1 5497 1277 1 17932 237 3 11765 508 4 18344 1253 1 8392 2645 1 450 4156 1 19730 1035 1 8343 1251 1 14062 1249 2 6949 6632 1 13640 203 3 7907 2855 1 1994 320 3 7349 8184 1 4174 514 1 16891 3512 2 17342 3084 7 8830 215 2 5624 6536 1 18119 6204 6 171 6116 1 4883 7943 1 16063 344 1 3090 1825 6 580 4807 7 13740 2760 1 16546 830 1 19432 184 11 163 7397 13 18968 1726 1 8286 3764 4 8499 6106 4 2007 1399 1 6158 506 3 604 5260 1 14881 708 1 7427 3733 1 11027 1184 5 1105 3311 2 16694 719 10 14945 184 1 7987 497 3 2047 6088 1 16815 169 8 13302 3911 1 4223 5490 1 7688 5281 5 12174 136 2 15885 844 2 15419 506 1 15781 236 7 14326 7719 9 8554 745 5 7700 605 1 3360 8178 2 13187 342 1 2071 3741 1 2087 7474 2 1405 1046 1 19198 7155 2 11714 1788 1 19056 2653 1 11384 3378 3 9883 2915 3 886 4299 3 7331 2562 1 14196 6342 5 6183 2673 1 12894 222 7 13922 220 1 15823 514 3 17284 6140 1 19532 1509 1 4701 907 2 14344 3343 1 4672 203 1 15082 3590 10 15612 6229 1 9655 1295 1 17847 605 1 2482 3850 5 399 1741 1 14814 6502 1 4873 7883 5 10376 651 1 5 170 2 9022 3202 1 3505 6031 1 3048 4232 1 19246 7524 3 15788 2355 1 9650 4727 1 15681 3444 2 19026 1250 1 11871 6640 4 7454 1420 2 6835 3847 1 19331 1453 1 3217 443 15 15676 3742 2 7872 5758 1 12406 1464 1 15818 4622 1 19243 4447 1 2723 4345 1 16612 7476 16 5938 156 3 16768 318 5 6068 3525 1 4943 203 1 13096 4971 7 1315 1707 2 138 6311 1 11252 6623 1 8832 816 1 3712 2651 1 6183 1775 2 19649 1686 1 3335 1472 2 3297 8093 1 11340 23 2 11158 2079 1 521 3278 1 15749 6237 6 2637 7311 2 5681 723 1 15282 8141 3 5495 2881 1 16034 150 1 20235 1789 1 18950 1727 2 481 1008 13 18634 2504 1 18657 6243 1 14573 1093 1 10966 5018 1 10147 23 4 4569 2680 1 20180 8072 1 8952 1755 2 17366 8183 2 15048 6286 1 6326 3913 1 121 5272 1 6943 7859 5 12176 214 2 7821 519 18 5596 1658 1 17627 184 5 1192 1235 1 1631 7750 3 10246 1819 1 15202 428 1 11373 5539 1 2240 4643 2 8775 4274 2 4107 1784 1 6266 6046 1 10014 203 1 2816 545 1 7452 929 1 15164 7603 1 10311 629 2 9374 525 2 10239 3216 1 20 1363 2 2261 5400 9 8663 3433 1 17829 200 1 9435 5468 5 177 201 2 11397 745 1 10330 891 1 6940 689 1 3662 3450 2 9721 225 2 2460 532 2 259 1357 12 18431 1781 3 6954 8194 2 812 4351 15 18603 4967 1 4426 200 3 3686 2656 21 2739 5008 10 20007 1296 2 10370 1703 1 19164 82 3 11881 2645 5 9242 1731 9 3247 2675 1 13909 1734 1 9351 2742 1 3815 6036 1 4492 7719 3 124 359 1 12640 1359 3 15885 1146 1 17391 4299 1 19143 747 1 17992 49 1 18876 5251 5 1 16 1 433 6289 1 8744 3466 1 18959 4252 5 2219 7127 22 824 716 1 18056 3604 1 7893 2633 6 9777 832 1 11871 7187 10 18144 903 2 9250 837 2 9358 200 2 10323 2419 3 13453 1739 7 8984 84 1 3544 7674 1 14330 3113 3 8905 623 2 18455 222 2 7851 1342 18 4868 1440 1 4495 3361 1 2820 46 2 15682 1101 1 7350 5657 1 12398 709 1 7317 797 1 13234 1916 1 14011 2057 5 13581 2419 7 5280 1748 89 14876 1756 3 12576 203 5 8763 4013 2 17521 2678 2 4898 308 7 20060 1054 10 17919 657 1 12291 235 1 20073 6669 1 2379 2559 2 19193 203 3 802 1721 1 7119 302 3 10371 1809 1 6202 8067 1 18939 3882 1 17097 3056 1 19060 5018 2 6806 6414 21 15701 221 2 11846 616 1 13 928 7 8001 167 1 10903 1718 1 19805 2248 3 4712 3262 1 6857 411 2 14522 907 2 3128 7735 1 1089 560 1 4268 3338 1 2734 3909 3 6706 1761 1 3016 215 5 6460 3333 1 13492 1771 3 1650 2671 1 4493 199 4 12502 190 1 5531 1595 1 8330 76 2 2811 2849 1 12807 233 6 20085 2563 1 11122 4317 2 4561 4315 12 2648 470 50 17516 7407 5 4810 3693 1 15083 3409 1 13640 222 11 7916 2765 1 11783 1236 1 3516 7474 1 17070 220 1 15386 4649 1 15465 3132 1 15211 2962 2 14522 46 2 2183 910 1 17368 4338 1 5251 1265 2 6153 910 1 11422 605 1 4853 1150 1 14744 1369 2 5602 2639 1 10354 5018 2 16214 276 1 8716 3084 9 14105 3716 1 10693 5102 5 12978 5031 1 9236 3167 3 11601 1776 3 6913 2129 1 11139 4403 1 15277 1752 2 2834 7450 6 6776 1713 2 9556 1827 18 14049 6099 25 9058 6706 2 6752 1035 1 10457 7846 1 4963 506 2 7605 1658 1 73 603 1 14141 336 3 6120 3283 1 9865 196 35 604 848 1 17061 2029 5 13942 4873 2 15263 221 3 13752 624 1 1401 7480 5 17778 6502 1 11320 1987 1 121 329 1 5747 4766 1 6987 8148 1 6697 1523 4 20070 235 1 6387 3773 1 13457 718 1 15516 1312 1 11131 4591 1 8551 6473 2 862 1274 7 8259 336 1 13705 4351 5 15958 2151 1 2931 1751 1 5617 442 2 9647 2415 1 9519 8126 2 11562 2555 1 17166 4936 1 2969 870 1 3227 4796 1 196 196 1 5827 2869 1 5108 175 10 15913 372 1 178 8179 1 4273 5804 2 2465 1235 2 5779 7949 3 10103 398 1 18001 2327 8 16346 4403 12 14827 4363 1 19205 524 6 1665 712 2 3074 1251 1 5148 3071 1 11516 164 12 7688 2958 1 124 5558 1 11502 953 2 4724 1732 1 7285 3732 1 12783 1784 1 1107 5439 1 19286 1768 1 15514 4462 1 16238 1241 1 14233 5999 16 17543 244 6 15084 501 3 4300 498 1 11131 234 4 8519 1254 1 3521 3697 6 3031 184 2 16333 1366 1 20180 4280 2 342 203 1 12343 5883 5 11789 15 1 8145 2729 1 1931 6710 3 9570 1718 1 17731 3596 2 9055 5289 1 7507 220 1 787 233 7 7501 1548 1 16860 6943 1 16078 6541 1 10499 6202 4 8388 5130 6 6348 7710 1 15885 5965 2 143 6665 1 4708 1246 1 7944 4183 1 12077 3476 1 8308 200 1 304 1176 1 16884 4389 1 17661 2632 4 4444 225 1 12625 4104 29 6781 8145 16 10029 1717 1 4106 2836 1 4526 3911 3 17678 2353 2 5782 3230 2 13993 7948 2 14016 6152 1 3109 6162 2 14113 2555 1 5407 2484 2 17771 207 7 7910 6128 1 9566 1147 1 995 4764 1 5202 665 7 8082 4120 1 11230 7701 5 17242 1756 7 4446 5590 2 8082 740 2 6683 964 5 6539 7701 1 5929 1331 1 17120 512 1 5214 5559 1 18273 4591 1 3330 200 7 18968 681 1 19401 1762 6 18307 3866 1 701 303 1 18681 935 1 11155 411 1 1881 91 2 4055 691 1 6301 2657 1 14908 222 1 2716 1705 2 5312 2641 1 18902 5327 1 17932 3591 1 10595 1778 1 9187 1825 1 15906 482 1 12239 5036 3 12122 203 5 4165 3578 1 11375 470 5 2406 1252 1 8842 4002 1 1355 1236 1 15084 681 3 5476 6559 1 11828 1082 5 1679 6897 1 10486 7662 1 6869 293 1 18208 5996 1 868 1124 1 3907 2951 1 8797 6192 4 20058 7135 1 2232 4918 2 18671 1710 1 4305 5943 3 16853 205 2 7148 824 1 6891 3227 1 10852 2671 1 13414 167 4 10847 2175 1 19160 2068 1 13312 7037 1 17724 200 2 12509 4597 1 15387 203 1 5623 5804 1 14936 4218 1 16062 6245 2 10693 3097 14 16236 225 2 5185 2783 1 7363 1819 5 19034 3698 3 3080 7308 1 11786 4838 1 11052 2510 1 303 4789 1 11399 1338 1 15468 303 2 4684 1784 1 13928 1691 1 16736 1194 1 17088 6123 1 7149 6534 12 16016 4303 5 14250 4992 2 19655 409 1 14573 818 2 6907 1772 3 9397 194 2 16638 23 1 4945 692 2 4962 222 2 12918 3906 8 2311 4299 1 10923 6714 7 2271 2009 1 16676 2512 1 4299 1781 3 3815 5269 2 18264 6746 11 3111 4629 1 13543 714 3 18986 3733 14 16164 6538 3 6533 2686 2 143 5550 5 12525 3408 7 6724 943 4 13684 2316 1 7188 8141 4 17083 3619 19 20055 4334 2 3174 1747 4 19607 425 1 18886 964 1 9171 3592 34 933 3895 60 787 201 3 8614 2962 1 13289 2552 4 968 5281 9 4933 528 1 5176 1771 1 1929 1827 1 10123 4161 1 8143 3869 1 18623 1250 2 13601 471 1 4045 1695 2 13015 1736 2 2137 7655 4 11387 6414 2 15362 7266 1 11430 235 2 11898 4157 5 1438 8171 4 12676 1756 2 8710 6662 1 11912 395 1 8691 158 1 4176 6486 2 17088 1756 1 13328 7151 2 4518 2676 1 1801 2369 2 13493 2653 4 798 6408 1 16379 2780 1 18983 7915 1 8831 617 3 9777 1732 5 7019 6957 2 2818 23 3 2531 3281 1 5340 84 4 3123 8194 1 92 4146 6 4005 3671 13 4072 960 1 11187 252 4 12623 5768 1 4444 3742 1 15167 4065 1 11052 438 1 593 1482 1 242 3619 9 13 228 2 2345 394 4 5477 1991 1 5302 1775 1 12818 3608 1 18453 1911 25 3498 6663 1 16044 1819 6 19380 4285 1 452 1302 1 15468 1721 5 13916 4147 4 4539 1721 1 6801 3715 9 11773 3939 1 19825 4343 1 11275 4204 5 11734 3239 1 2821 224 4 3053 1548 1 6415 3338 2 10926 7266 1 9553 4635 1 6010 867 9 9501 1252 3 10372 1824 1 10971 1814 1 10883 820 1 3981 3138 5 1039 2027 1 12814 219 1 14522 1747 1 6120 3334 1 696 3239 1 5994 514 2 14059 4248 1 11196 252 2 758 3081 1 13743 5398 1 13387 3599 1 11933 5037 1 15615 1395 1 17189 1548 2 9044 3572 1 19400 1700 22 14802 714 25 18243 6396 10 19233 5172 1 14633 4496 1 20120 708 1 14887 1518 2 19486 4640 1 5276 6623 1 13115 1781 6 14532 6288 6 417 3235 1 8210 2626 2 2511 575 1 1962 4107 1 1531 3453 1 20234 4528 4 4519 845 6 5025 1761 1 4309 5496 1 13896 7815 3 13484 3976 2 14699 215 10 1043 1758 2 26 1523 1 1139 4657 1 496 418 1 14047 2351 3 8572 23 1 17494 6677 1 2733 4863 1 17309 745 1 4060 1342 1 13023 5639 2 3358 553 1 16515 6705 5 11381 7094 5 11521 454 1 3168 4608 15 8629 5517 1 8798 4282 1 13564 3704 1 12790 3278 1 17918 7719 4 12244 4029 1 8933 4589 2 1300 713 1 5825 1416 2 9478 1770 3 14357 304 2 812 3425 9 14102 6343 1 14418 495 1 16143 3450 1 8083 6706 18 5347 215 4 2682 3247 1 13628 7931 1 12128 425 1 13731 6784 1 15952 4266 1 1969 2675 4 18122 8156 14 6906 6185 4 1879 3554 1 4147 545 1 12908 7695 1 8379 3911 10 14926 7530 1 13590 878 3 10313 2499 5 8503 880 1 3029 6591 1 16593 1253 5 475 5266 1 18874 1100 8 19762 201 2 16875 6719 3 12903 1747 1 4121 8215 1 10772 770 1 11528 1742 1 17353 1062 3 11468 1779 1 12391 2649 1 20043 2520 1 13585 1728 5 987 3899 1 18197 4490 10 5424 453 1 12683 4702 10 12777 650 1 2778 1367 3 11687 1484 5 2962 2931 1 12224 8194 1 6783 7413 11 8137 1714 3 20040 1632 2 5676 5413 1 9394 1772 1 17389 4293 9 19524 2722 1 4910 219 1 11613 148 1 8766 1363 2 10189 4695 5 9825 194 2 3671 2229 3 12464 505 1 19374 4065 1 9207 911 1 17271 2991 5 7990 1606 1 7934 445 1 8668 3337 15 9049 5972 1 14211 205 2 10360 521 1 18517 222 1 16978 825 1 13126 4328 1 12820 5700 1 8377 3198 1 4121 8214 1 2954 2256 16 10565 3596 1 10498 3748 5 19272 7049 1 15935 4248 1 14526 6065 3 12072 2401 1 17988 766 2 7768 1775 6 4722 947 2 2291 386 1 12987 197 4 18545 883 2 4055 720 3 8307 3872 1 7367 3906 2 1151 4099 1 3426 5672 1 2443 1658 18 3801 3185 2 279 1830 23 3221 201 1 14043 3694 2 16496 2727 2 2354 221 1 62 2808 1 14296 292 1 6188 3639 1 9604 8183 1 4843 316 1 7571 3583 1 15085 705 2 19975 1395 1 18281 4653 2 9770 5018 1 5318 5002 2 13091 2675 29 15246 1363 3 11769 834 1 11219 7771 19 8831 1757 1 10444 1677 1 8787 3367 1 3627 6658 4 5981 203 5 11008 6220 1 13587 1239 1 7179 766 1 18431 1 1 54 2582 1 121 5268 1 9045 5018 15 167 7557 1 13302 196 13 15146 2539 4 14039 5018 1 18091 1917 1 8688 532 1 9332 1779 1 7469 3035 1 2937 3065 2 16191 3945 1 19145 225 2 56 2670 1 10902 5257 2 3189 2642 1 19051 84 3 11772 1781 3 2624 492 1 7799 7112 5 2488 1482 3 18608 7857 1 1689 3788 1 11131 1184 1 11172 844 1 5602 1739 1 9615 1237 1 17749 1374 2 11409 4059 2 12194 1775 6 9015 225 4 16557 2542 1 6355 1112 8 5453 5778 16 9567 2552 1 5164 2316 1 177 8168 1 16056 5326 1 9846 512 1 5865 5763 1 13174 1983 1 8663 2351 1 11187 201 2 6164 863 1 7880 3113 1 6025 4132 1 8584 4961 2 11352 2712 4 3217 4481 16 20134 1768 1 16417 526 1 15464 5261 1 3964 463 1 13328 5398 1 15681 3776 1 15523 8184 3 105 4739 1 6337 4567 1 4245 514 1 10000 5256 2 9978 3398 1 10799 1937 1 19173 514 3 19478 4019 2 15289 3998 1 13076 4622 1 3221 8167 1 1625 5327 1 18230 7639 3 8305 8201 1 7763 5648 3 11678 4280 1 13928 197 2 7966 235 1 5204 356 1 19626 6204 3 7188 2686 2 7198 203 1 3138 1737 2 4386 7670 1 6032 7201 6 3008 7292 5 20044 32 1 7119 1416 16 14654 5791 2 4519 4333 1 4095 3923 1 17392 2698 2 8751 3972 1 19239 3164 1 11327 745 1 7486 3571 1 140 6475 3 6533 7666 4 6893 2009 1 16744 8241 1 19727 6059 1 8258 3784 1 2143 7542 1 11467 689 3 2357 7530 3 7823 410 1 13806 581 1 9374 2056 2 16090 6404 2 17835 7602 2 5676 1756 1 18144 1751 1 1973 6983 1 14418 518 1 13533 1023 2 391 1060 2 6806 2356 5 11080 4508 8 2886 6772 1 575 2114 1 3088 7638 1 14733 5635 12 16509 4115 1 18201 1888 1 13148 1732 1 10691 4006 1 15895 3705 2 14574 3637 1 1109 507 110 18042 2014 4 11615 2481 3 4263 3239 1 18986 6082 1 10240 23 1 8665 3888 5 20076 944 1 2917 2369 2 4273 1373 1 7780 2349 1 10509 4022 1 7367 5550 4 11422 3406 1 15294 2749 1 16132 685 1 15655 452 1 6651 184 6 10693 3106 11 4012 4599 1 18964 2276 2 6440 7156 1 12821 5437 1 3766 7165 1 2962 3703 1 16816 1703 1 15553 5 1 908 1774 16 5253 1359 1 9215 4317 1 1128 876 1 12126 1719 1 6064 2501 1 5565 4591 1 18184 188 1 108 4863 1 11935 1001 1 6032 308 5 14891 7733 12 8496 1727 36 3131 203 1 3399 219 17 12375 3540 4 9762 6066 1 11131 7878 1 1626 2555 2 10360 2535 1 10579 2012 1 11809 1314 1 20121 1936 1 17145 5518 1 19655 3397 3 14614 3660 1 1689 347 1 5982 3203 5 3817 4006 1 2226 4811 3 16783 1363 1 15832 1764 44 102 4622 2 2947 7018 6 18041 5440 1 14522 1237 1 3074 2488 2 16137 8126 1 10137 8194 5 13881 4303 1 2496 867 5 18386 916 1 13928 724 2 13670 1573 1 17384 234 5 13022 6053 1 3433 3972 3 17432 6341 5 16961 6163 1 14893 6340 1 3178 4299 1 16063 5439 1 4593 6383 1 5464 1157 1 16790 1374 1 542 5520 1 6325 1296 1 14657 4172 1 13743 792 1 6892 1301 1 1943 7229 1 10856 1466 1 19972 46 3 12305 7195 1 6753 470 1 2998 1243 1 8174 5432 7 15263 6897 1 8620 4188 2 3147 402 1 1539 3206 1 9358 1730 1 9269 2410 1 3573 2632 6 15079 1783 1 15159 2873 1 16245 1909 1 6183 196 1 4976 1730 1 4875 4098 1 14633 6674 1 10782 3216 2 4268 3352 3 15909 1184 1 5125 7556 1 5613 5712 8 890 6435 1 5773 2031 1 14883 1363 1 5293 1007 1 12823 8094 1 9698 1431 1 16699 3878 2 9363 5072 1 14722 545 2 11882 232 4 2664 229 1 11786 4614 2 5074 8095 1 12041 1027 4 9799 5099 1 8206 1184 3 8410 3818 3 3793 1797 1 16281 6252 1 19345 775 1 11272 1990 2 2938 953 1 1439 1420 1 17476 1656 1 3010 6159 1 12714 3648 1 18821 375 1 18251 2938 3 11863 3231 3 9308 1789 2 2608 8149 1 4425 2014 1 6089 6414 14 14567 2549 1 926 514 1 4995 2559 3 11989 6794 2 5214 6680 1 83 3731 4 6519 1582 11 6970 2401 5 3063 207 1 16500 1296 3 14350 231 2 3287 4123 1 188 1703 1 10703 889 4 11374 2362 2 4348 2671 5 18263 156 1 13161 2804 1 12213 1909 1 11827 3694 1 12505 4073 1 11103 7915 6 18886 871 1 13787 3511 3 8764 1819 1 4879 4761 1 14301 2995 10 13832 242 29 19208 724 1 13838 2114 5 14580 1703 1 4662 8102 5 10274 1692 11 6332 612 2 2238 4338 1 11964 1775 1 7179 691 1 13743 827 1 115 5182 1 635 1778 2 15952 5256 1 12409 2557 9 8406 665 1 8164 184 17 3258 4325 7 16092 7474 13 16811 411 1 12776 541 2 16096 1648 1 15574 6343 1 7668 236 1 12208 7534 1 16106 223 2 6712 2841 1 10221 3622 1 10482 481 1 12411 3591 1 12383 1507 2 3128 2331 1 10459 2116 1 11714 2993 1 19760 8109 3 14786 1252 1 11585 156 1 455 492 1 17562 229 4 6236 1248 1 7536 1715 1 13183 616 2 6156 6350 1 2785 6039 1 14048 3980 1 6070 1334 1 12557 65 1 8439 2673 4 6942 164 3 3995 7895 36 8391 551 1 6878 1523 1 1410 2080 1 5624 166 1 1609 1363 1 17752 2653 3 17643 3494 13 14263 141 1 15272 1244 3 6341 2930 1 12548 6510 1 16742 837 1 17338 1688 19 10504 867 1 7620 5442 1 6117 200 1 4015 1250 1 18876 3347 5 15411 6627 1 11032 2363 1 6811 6210 1 3044 5286 4 14233 6868 2 3568 4011 1 16310 1056 1 15087 214 3 20128 5319 1 17331 1825 1 12902 3146 2 695 8040 6 14522 1243 1 11434 1728 2 13238 3 1 9511 2014 1 10360 1371 2 1131 5162 6 2087 1151 5 17219 496 3 15463 3634 5 9628 783 2 410 206 2 5373 1815 1 11513 4792 1 10549 1727 2 1457 1249 2 20158 1666 1 17121 8091 2 10941 1724 1 5131 1737 1 13477 3256 1 4609 1788 1 15687 1380 1 18534 6232 1 1606 243 1 11846 220 4 5860 520 1 650 6683 6 4886 821 1 15817 3922 1 8547 4676 2 6686 7843 1 12867 148 1 1028 5712 1 7684 2442 1 4779 7396 1 385 1453 1 8597 1819 1 6867 1234 2 7235 5251 2 6263 5379 4 7315 1363 1 1552 8141 1 10821 8026 2 8452 5425 1 5132 203 1 12618 367 1 15932 3974 1 881 5696 1 15063 750 3 18672 488 1 1225 1153 3 4386 201 2 15560 2602 1 10132 4706 1 14522 3911 2 124 5546 1 2221 2012 1 15412 1395 1 16592 343 1 2803 477 2 1133 7378 3 6107 545 5 10553 2620 12 16041 1342 1 14043 4334 1 13433 2889 5 11882 5020 1 6207 6185 2 17760 6777 5 3853 4026 3 19588 7466 2 3673 7807 2 15261 6665 1 1380 1257 1 17633 629 1 14011 1781 1 13358 1738 2 20188 2677 1 12745 1734 19 18211 4587 1 702 3352 1 15502 3019 2 4264 6706 10 14250 7594 3 5775 303 7 16984 561 1 9304 2571 3 8890 8194 1 5336 5837 1 8903 4465 11 8164 1771 5 15203 4199 1 11827 6633 1 4549 1131 1 4572 229 5 10999 2831 1 4242 95 6 15879 7965 6 612 7411 1 10146 6979 1 13535 1146 7 3792 3516 1 6373 3304 6 16593 2356 3 7535 2675 1 19602 589 1 173 7846 5 3397 567 1 4880 3368 1 11861 1995 1 19865 1776 1 6332 796 4 9316 7850 1 9586 7250 1 19304 203 2 10916 608 2 16531 4563 1 12795 526 2 1111 2528 1 8061 252 1 2350 1729 1 5076 5326 1 13046 508 1 6690 554 1 8730 704 1 7635 2352 4 119 5248 1 10479 3556 1 7028 4397 1 9604 1729 2 7028 3892 5 17688 4435 2 16427 207 2 18977 1699 3 11616 1272 1 12844 2138 1 15528 304 1 6630 2020 1 13001 7719 4 19369 1816 5 3659 2386 2 6742 6549 12 3151 7414 4 2855 1307 2 17303 7241 2 17681 10 4 1864 2362 1 15668 1396 1 1140 1731 1 4599 4435 1 11519 3020 1 18909 1681 1 12592 7190 22 11977 4789 1 3272 206 1 16860 550 2 11399 5792 1 15512 200 1 1518 1717 1 5827 7689 1 4327 1718 1 5850 6721 2 1043 5263 1 8528 512 5 19351 1244 1 1128 206 1 1064 5515 1 14902 874 2 10080 292 1 3985 1622 2 14322 196 4 4089 4490 1 15677 3644 2 6234 663 1 12782 1710 8 6997 3570 1 3414 1727 1 7207 4995 2 992 190 1 11052 3824 1 3448 4310 1 1893 206 2 10462 2918 3 566 5871 2 9870 637 6 18833 1296 2 19596 3943 1 387 169 4 12316 415 5 10584 1252 2 14301 910 15 1838 504 1 17631 864 2 10057 5251 1 899 4518 1 14522 4803 3 3505 34 1 15411 225 1 3511 1247 6 5594 2661 1 20262 1456 1 15035 4361 2 12837 4681 10 17606 201 2 15427 7824 1 18444 336 1 18214 7210 1 12337 2569 5 10525 1781 6 11697 1453 2 14667 1249 3 7403 6178 6 5860 1756 1 15532 3110 2 2319 4856 1 14011 509 1 18404 1237 1 4075 1109 5 11837 2678 7 11738 2559 5 8321 3275 4 14578 3460 1 4454 4462 1 10642 1903 8 31 1751 3 3299 786 2 6131 201 2 3424 1819 10 788 2675 2 116 659 5 18690 7440 1 314 1771 1 10610 1967 2 14905 2327 7 8890 187 1 4663 756 1 15329 819 1 12821 6588 3 19030 6132 1 7884 2542 1 13190 1250 1 10245 5654 7 12594 840 4 4072 2005 1 17000 1484 1 17962 4909 7 7607 1267 1 14232 516 4 5208 5798 16 4689 203 1 5049 6050 2 11728 1781 1 6649 3432 1 17505 2648 1 6294 812 1 977 2879 1 6819 1395 5 18089 1363 1 18163 141 2 9628 893 1 54 2584 1 4234 3889 2 2643 6027 2 13640 1729 3 1064 203 5 8636 3519 1 5582 5737 15 11638 5051 2 3292 5129 1 10689 1819 2 4165 7474 1 1355 1946 1 11259 4612 2 12054 7112 4 13529 35 2 20120 7953 1 16394 5970 2 10105 220 1 4670 6150 1 15940 3005 2 12833 6083 1 3118 5336 5 11260 1788 1 19556 200 4 173 536 1 14170 1319 1 5752 207 5 536 4027 1 19407 6663 1 11131 7632 1 2743 6018 2 17228 1453 2 5523 4616 1 10997 1239 1 13178 1268 2 5274 6126 1 19248 1887 3 8055 1478 1 116 5220 1 8218 2675 1 6190 6150 1 17809 2114 2 11509 8154 2 14114 657 1 4739 3117 1 7380 7204 1 10834 6027 1 2088 3217 2 5965 4179 4 17168 215 6 9626 6286 1 9012 6252 1 17290 4692 1 15314 1359 8 10128 1408 1 6690 917 1 8613 6077 1 12288 1768 1 7566 336 1 17586 1466 1 15681 1612 1 19184 7440 1 17518 863 2 17463 1369 1 8317 1778 3 14540 5071 1 12990 207 1 17079 1148 1 9977 4983 1 16801 2016 1 6449 7229 7 18825 1341 1 2135 1727 1 8323 4495 2 343 184 1 98 4422 1 926 2058 2 16067 3163 1 9808 173 2 935 200 5 3414 207 1 15858 2686 2 9462 6398 2 12489 1234 3 3654 1704 1 15895 235 8 15608 6677 1 1709 223 2 15259 23 4 9948 1707 1 5860 1399 6 4885 3426 10 8394 6924 1 7259 7911 1 8615 3536 1 13127 3256 1 14059 419 1 17321 7530 1 143 6647 1 10704 4992 4 7783 3512 1 13290 7441 1 7571 7987 1 13234 2554 1 15159 6195 1 3664 1245 2 13126 1322 1 4092 7815 9 12753 1814 1 15691 2248 11 9527 1342 1 17736 561 2 12973 4998 1 8683 3016 2 5271 1308 2 6152 794 1 9432 5257 1 2444 429 1 8735 223 7 16568 3621 1 19611 207 63 19149 8084 2 6533 127 1 19853 2675 1 3133 5879 1 819 7540 1 1712 6695 1 9893 23 3 2834 1951 3 13031 2889 4 9581 8175 5 13089 1374 1 13997 394 1 15229 230 1 19265 1981 5 13615 7670 1 3889 1374 5 8917 6330 1 6075 177 1 16810 770 1 113 5052 2 19452 5559 2 9390 5320 9 15024 6434 1 5234 532 2 17662 2801 1 7319 3916 1 11301 7509 6 17946 367 1 5724 438 1 15116 4951 7 8462 221 1 11500 1518 5 2332 536 9 11073 5547 1 1133 7145 1 20278 1266 5 774 2671 1 14758 6945 1 16178 1661 2 1675 2989 1 8572 1819 1 19406 3135 4 4595 952 4 4006 1482 1 10449 871 2 17681 3960 3 3281 1395 1 13590 4500 2 7442 7969 1 14400 233 1 8540 1484 1 3466 1623 1 13097 201 5 19566 4622 11 13234 404 2 7060 3068 1 8486 1357 1 6353 3058 1 17902 65 1 1858 1758 1 3853 361 1 10084 2678 2 9989 745 1 3831 207 5 6556 6473 1 14358 1927 2 10112 4623 1 2262 95 1 692 910 2 17778 1276 1 16770 253 5 10145 928 1 6418 410 2 16726 2620 3 8530 4845 1 19380 2792 2 11509 65 1 18037 3491 11 2721 4710 1 18416 48 6 17953 2382 1 9269 561 1 18551 4245 11 3358 5018 1 15091 3065 2 4503 7841 1 1789 1312 1 18549 2354 1 4189 6064 2 9540 201 1 6556 528 1 8519 3778 5 3862 2480 2 12189 313 1 5635 1243 1 17237 200 8 5903 1023 5 16346 2494 4 15932 8245 1 10733 5517 1 10738 164 2 1386 1756 1 7780 2514 1 10579 8013 1 113 5036 6 781 2352 1 7147 7690 10 3397 6680 1 9918 5871 1 5271 5187 2 18628 8170 4 259 1724 1 62 2956 1 15429 769 2 15436 206 3 19656 2352 4 17562 3907 1 6687 5011 3 13078 184 1 6452 2054 2 14326 1825 9 16752 203 5 18672 5905 1 3074 5950 1 6323 6743 3 2902 1726 1 58 525 7 2157 1572 4 12133 4304 1 1951 203 1 4938 165 2 8283 504 1 16895 1390 6 19380 1689 1 1743 460 10 7865 3909 2 2920 964 1 12654 23 24 3781 3287 1 135 6248 2 1936 1482 7 1073 3426 1 14654 3540 13 1927 502 1 7602 196 1 9279 1235 6 19574 3979 1 11372 200 3 9183 3233 2 13743 1715 1 9597 4929 17 12036 5477 1 14781 1277 1 63 3047 1 2619 5266 2 1708 5002 1 12982 23 1 1028 444 1 8693 8096 4 15499 2362 1 18022 1498 2 6490 1751 1 15191 3803 40 2392 1282 2 399 5400 8 16916 3900 5 126 5666 4 11094 3518 3 15098 1239 34 3189 3519 1 10302 5905 4 99 4471 1 2181 792 1 13009 6588 4 15722 471 1 3395 5408 1 11793 3974 1 12288 1248 1 6840 798 1 2390 785 1 455 6535 2 7158 1772 1 3010 207 1 291 4560 1 3087 7189 4 7455 2014 1 14485 4362 1 8174 234 4 2133 4029 1 9559 6591 1 933 214 1 1790 7881 1 2346 200 1 17835 876 1 7127 6123 1 13126 4771 1 822 3408 4 12505 5495 1 13615 162 1 6400 206 5 5006 215 1 9989 867 1 3041 8235 1 7446 768 1 13694 1404 1 19851 2663 5 7371 7234 6 9348 5265 1 6617 7606 2 13743 233 1 14019 504 3 18814 230 1 4464 7997 5 9841 411 1 16010 6059 3 8368 225 1 17476 7222 1 2588 1042 1 659 215 2 19444 1781 1 12230 3597 1 13351 6427 19 2087 2488 1 4910 1748 2 9935 370 1 12501 1739 1 19053 186 1 4094 1416 6 8930 7983 2 14146 580 1 20112 6900 1 3269 1247 2 1794 2023 1 5100 3592 1 4009 6748 1 6983 6493 2 18866 1761 1 14811 2737 2 18797 502 2 174 7889 1 11530 1752 4 3879 1617 1 3382 7534 1 20274 215 1 2817 7381 1 7243 7826 1 14642 524 1 4527 6341 4 11080 385 11 14682 868 4 736 520 5 9258 3318 1 9678 910 1 8645 2831 1 14861 2640 2 8817 2478 1 2274 1999 5 8169 5817 1 4640 7815 1 15147 1727 3 20274 5036 2 8458 219 9 19537 4929 1 19413 2955 2 2990 545 2 11863 7920 1 2529 3378 7 16501 4307 1 18581 5026 1 1622 2727 1 10453 6150 1 10542 7201 1 153 6896 1 6987 6190 2 5877 2355 10 16951 3701 1 4217 449 1 16408 816 2 5880 1304 1 12736 167 1 14161 1771 1 17803 1717 4 13587 3393 1 9680 3572 1 1551 2686 2 2441 5971 2 18574 1762 4 8582 1302 1 4960 5472 1 16887 4105 1 14255 3654 1 979 7748 2 10049 184 3 7249 525 1 668 863 1 3755 232 1 9463 2442 2 12934 5002 1 18768 3163 1 19210 1756 1 314 3698 2 1114 525 3 15215 4807 1 13088 1721 1 13729 6682 2 570 7400 6 11196 1243 2 16943 4375 1 1214 200 2 11769 1031 1 13376 141 1 8075 929 1 64 3062 7 3442 4306 1 14970 595 1 8510 329 2 15376 1827 2 3815 1206 2 3679 221 3 9978 3005 1 539 3502 1 13109 184 1 11987 23 1 5356 2737 1 9138 203 1 19596 1235 2 4955 883 1 11882 2071 1 15368 4516 2 14089 187 1 4737 3906 3 3035 1722 2 16490 7614 12 16580 7599 1 8192 1238 1 13254 762 2 6553 8212 4 9275 953 1 11334 848 2 10498 4285 2 1499 7427 1 33 1829 1 10777 2325 5 18357 2534 1 9374 1703 1 17327 4792 1 4979 1781 1 6152 4020 1 2045 502 1 14931 2353 1 4524 4761 3 19596 1271 17 19554 168 5 8585 2646 1 10325 809 1 13590 868 2 716 173 4 12619 4299 2 12149 1768 6 14673 7958 1 14696 236 1 2468 5292 1 6152 1784 1 17389 536 1 1554 3909 1 895 212 3 10624 1180 22 9465 520 1 19428 7538 2 16466 3894 1 1045 201 2 8735 910 4 7099 244 1 10575 3557 5 1218 6139 1 9879 4607 1 94 4313 21 18332 7407 1 3093 568 1 6892 5224 25 11717 7510 1 10738 7251 10 12089 175 1 10568 141 5 17298 7200 28 9546 578 1 5798 2416 1 11642 235 7 9777 3697 1 12853 5940 1 4617 4198 2 9333 8221 1 11008 219 1 1034 2750 1 14280 7801 2 6772 5066 1 16021 6064 1 40 2078 1 16956 2342 2 4857 2534 4 5495 3840 7 14124 231 1 6081 470 3 279 1719 3 14769 1352 1 17249 219 3 16881 7101 2 2918 1755 1 2284 545 2 6872 197 1 18797 223 1 12558 4199 1 4045 3109 1 14218 2945 2 16603 2261 2 7910 1463 1 14053 1621 1 18462 1643 1 14301 1303 1 991 1721 1 5586 562 2 17331 1275 1 15805 1401 1 10573 2883 10 19996 2893 1 179 1789 1 7468 4588 7 54 2625 1 62 2891 1 1983 1677 4 5815 7395 1 12447 5016 2 1171 2363 1 17589 7925 1 4570 3667 8 1651 445 1 12543 184 1 4343 1256 1 7168 74 1 19486 905 1 14690 4998 5 8830 232 1 2076 7726 1 8643 3382 1 12385 222 10 15610 3557 1 5994 244 1 891 2721 1 17549 230 1 18008 2584 1 6269 15 2 95 1893 1 17672 3909 2 9503 545 2 13405 1234 1 11118 6665 1 15743 2109 1 77 3521 8 9025 1761 1 18979 6644 1 14812 6415 5 20262 1395 2 7609 8190 1 6552 1747 2 2843 1819 1 10884 5289 1 11861 8026 8 15368 4571 2 18096 5540 1 12433 7920 2 2206 3511 2 387 1190 2 19919 6395 1 3834 4756 7 13190 132 1 10922 226 2 2152 2640 1 18732 1720 1 17084 6697 48 19272 421 2 6990 1757 3 3134 3445 1 6867 3356 1 3439 1819 1 16626 395 1 119 525 1 5805 525 3 10105 1755 1 15428 4182 4 15075 4010 3 19993 2254 2 6690 581 2 5389 5119 1 15870 6534 1 11014 2768 1 10156 134 2 15962 381 1 14197 4935 2 10941 6435 1 19311 152 1 13743 5486 1 15272 825 1 16996 4263 3 13779 6756 1 2835 520 1 10690 1328 1 9913 203 5 322 1752 2 13709 174 5 791 5575 1 10316 2367 1 5994 225 1 140 6347 1 3020 6358 5 2550 8171 2 9568 3482 1 7441 2228 34 13865 2363 1 5036 1771 1 542 6607 1 14080 1193 1 517 1247 2 13430 244 2 9199 692 6 15977 8172 1 9546 689 1 9739 867 1 7509 222 6 4493 3316 3 14400 252 1 1713 204 1 16196 4367 1 3651 4803 10 10330 207 9 5573 5329 5 7811 23 2 19221 6496 2 17746 173 6 13586 1674 23 17853 4589 1 9390 6068 2 9778 2871 2 9788 6534 51 13617 1654 1 11276 4992 1 14920 1726 14 10045 7189 4 11609 7638 1 3003 6150 1 4234 2010 1 935 6979 1 5636 5018 5 8517 4303 8 343 214 5 6482 7817 1 6648 541 14 18881 3840 1 6997 6674 1 16806 1235 2 15175 1939 1 11895 23 6 14664 4929 9 8439 541 1 12191 4622 4 9257 6649 2 8451 4992 2 15895 3998 28 3253 3287 2 19193 184 1 17889 6297 1 16094 148 1 11467 959 1 812 723 1 17743 6174 1 2748 6662 2 9270 2686 6 5639 1247 1 835 519 2 717 3558 1 7068 232 3 12250 2768 1 2143 215 17 13593 4038 1 5229 580 6 4050 3916 1 40 2135 1 8394 379 1 9721 2362 2 3790 540 1 6263 508 1 6183 508 3 605 2353 3 1371 6564 2 14522 962 2 13891 3558 2 15629 752 2 20258 2138 1 10281 1717 2 14788 215 2 2939 4029 6 12592 2671 1 19505 1339 5 9656 1213 1 13909 221 1 11654 7878 2 13777 5532 1 11059 1342 1 13095 3474 6 14055 4415 1 6070 3670 1 8588 4941 2 6987 220 1 2662 4944 1 18921 4794 1 3358 1010 3 11674 1776 1 15299 3222 1 4337 2780 1 10749 7120 8 13436 3909 1 3112 1234 18 62 3013 1 16342 1428 1 18136 4011 3 18237 4403 1 4072 5257 1 12660 1739 2 19500 6150 1 10080 7128 2 11080 236 6 17046 1395 1 1720 4261 1 3734 4682 5 18288 2202 1 9877 8095 3 1839 6517 1 17078 534 3 19530 175 1 15104 1719 1 1537 518 2 12934 3671 1 9921 2789 1 5894 2034 1 94 4242 13 18012 1132 12 16020 6341 3 8083 1147 5 5207 891 1 18844 7279 1 20245 23 2 17836 232 6 19757 35 1 857 2897 1 4968 2881 1 16491 7534 4 19136 2352 1 19145 4322 1 9022 5574 1 6734 5538 1 11705 1211 1 3806 1825 1 15471 892 1 16074 206 1 8399 3276 1 3186 4538 14 3375 2737 2 4194 1686 2 15970 89 1 18729 1729 1 6457 7542 3 1133 5502 5 10883 203 2 1883 3438 1 7181 201 3 17066 2853 1 15372 207 9 11418 5291 2 6920 6801 7 1339 4145 1 2917 225 1 4880 7538 1 17119 8158 1 624 5106 1 9093 1658 1 20219 525 1 15488 4099 2 16370 7227 3 16967 214 3 9597 173 2 13162 3547 1 18236 1282 1 9857 3382 2 6752 717 1 934 7953 2 18584 7238 2 19102 8139 3 2445 6618 1 179 8186 2 5199 3056 1 12231 2437 4 2617 5487 2 19083 2450 1 16408 867 3 14298 550 3 9534 883 5 3337 4741 1 4708 2675 1 18538 4435 1 3408 220 1 15402 2459 1 6905 879 1 954 2605 5 121 270 2 16096 2894 1 12205 6992 1 19246 173 2 11238 412 3 17954 2718 1 2056 220 3 11611 15 1 12188 5617 1 14973 2877 1 11300 4373 1 3270 416 1 5588 1695 1 4583 625 2 7886 3590 3 10783 911 1 14003 1495 1 10404 2922 1 13586 7251 3 13287 6120 2 7568 6231 1 4055 4303 1 4199 1770 6 17659 1238 1 11877 1707 1 20007 6979 5 113 5108 1 5863 1610 2 10612 1784 18 8001 3834 1 7214 7250 1 10941 1677 3 85 3889 10 1009 1758 4 14090 867 5 4451 5328 1 14970 7050 1 280 1877 3 2959 7414 1 16757 4316 16 18431 7905 1 10832 8200 2 15881 4315 1 14572 3666 1 4880 2517 1 7369 219 10 2274 1146 3 16185 7670 1 121 5335 2 11240 7987 17 14618 5245 1 2390 6283 2 18357 219 2 1706 3591 2 18360 191 1 4264 1681 22 8246 1698 1 17556 4269 1 592 823 2 2338 2611 1 4380 3024 1 2290 1996 1 9250 650 2 7455 6164 1 658 215 2 10645 1820 1 17892 616 6 12104 7629 1 16740 2444 3 96 2103 1 6655 3177 4 12406 1774 4 14059 2490 2 6848 23 11 17460 5356 2 6781 6150 2 14530 4792 6 5532 6874 2 19826 4670 1 5559 6706 1 18236 2357 3 13803 201 2 4283 97 2 3316 2998 1 4492 225 1 1801 467 1 1361 3700 3 20148 3356 1 2927 6777 2 62 2820 1 20195 1056 1 9803 207 3 10498 2506 1 1057 5349 1 1826 1713 6 2234 581 2 18423 1714 1 14563 411 5 4130 2831 2 15145 23 2 15343 524 4 80 3626 1 19885 2032 1 10498 6482 1 8920 3886 1 14298 719 2 5955 2646 4 6730 4092 1 10404 4591 1 15044 1729 1 9757 4977 2 5827 409 1 10246 200 12 3064 3406 2 20 1277 1 3447 7229 2 15530 6192 1 7452 962 1 15085 2114 1 15778 4514 1 3219 7586 2 18115 2810 1 12447 1638 5 3485 7850 1 19989 3167 2 17032 6555 1 135 6018 3 20255 4352 1 19129 7045 1 13567 6526 1 8503 233 1 538 7527 1 16016 5288 1 12892 1044 2 11131 1756 1 7490 1404 16 16299 1941 1 18909 4377 1 171 244 2 13246 1245 1 14248 8012 1 9937 205 3 4170 4090 1 20005 6099 1 18933 196 1 10275 3512 1 13516 5774 1 1751 5758 3 73 3375 2 13201 222 1 19241 28 1 9909 4591 1 16233 4723 1 7178 1739 1 14639 6167 1 725 1687 1 4106 637 2 9055 1081 1 2512 200 2 4796 6481 3 3048 2915 2 862 3791 1 16238 525 1 19225 1082 5 9781 7543 13 1480 223 5 14661 4998 10 6697 3024 2 4985 4269 1 19299 7672 2 17472 420 1 8489 5405 1 13672 883 5 14052 3050 1 16548 410 2 2918 184 2 8069 2484 1 10553 3352 1 4966 5513 2 3149 3287 1 62 2977 1 13199 23 3 17965 796 1 18790 319 2 951 225 3 11230 4567 2 16087 1356 1 4498 489 8 17708 867 3 20054 3399 2 16700 713 1 4147 4011 1 6777 2322 15 31 532 10 5023 2743 1 16006 2104 1 9639 61 33 7658 2710 5 14957 2632 1 16468 8072 1 17741 3393 2 3472 1755 1 13857 215 2 12372 1363 2 1551 1253 3 2760 5546 1 18119 1827 1 3778 7853 1 18014 869 1 17877 7586 1 17250 1999 4 11857 496 1 11336 5427 1 19870 230 1 10916 4812 2 19431 1676 1 4105 541 1 3424 4225 1 14504 8141 20 11674 244 1 1106 6658 1 15471 2869 1 14233 203 6 1138 11 2 10901 7538 1 7640 3283 1 6892 479 3 1530 5758 3 7179 335 1 17181 2727 3 13734 6666 1 12028 5259 1 2960 3203 1 10916 403 1 539 308 1 14078 6957 1 5195 2363 1 13543 669 1 11131 3992 1 8078 1396 1 12174 353 2 14120 5018 31 371 5810 1 15269 201 4 8674 1184 3 17917 187 1 10452 554 1 153 7037 1 5977 631 1 16847 2559 2 7490 4963 8 6091 2559 2 2834 724 4 17654 3906 4 13434 3078 47 2057 1825 1 19359 2403 1 9026 1751 3 9680 2009 2 12988 2918 1 4979 221 1 847 94 1 2844 57 1 11857 222 4 15013 2552 1 18485 5607 1 13105 2503 1 18278 3985 1 96 4389 1 16334 6240 1 4471 3792 9 564 1729 1 14042 1482 6 7455 420 1 3892 6164 1 7435 1146 2 18885 215 7 11562 4924 1 18450 420 75 17453 6252 2 19460 2542 1 16426 525 2 12487 1721 1 2185 200 2 5211 1706 1 16559 1303 1 7463 2595 1 4941 3486 3 4498 6744 2 5659 1399 1 16141 237 2 13445 1284 1 9596 5312 2 7099 4325 1 15155 3748 1 2657 1999 1 17568 1946 11 16860 8099 1 10670 496 1 10785 4284 1 13 908 2 6756 3869 2 7251 2186 5 6781 1703 4 1948 206 16 4313 244 1 11938 5826 5 12934 2727 1 12337 1251 1 11118 2331 1 15396 3135 3 679 3578 1 19131 5737 4 5277 6334 1 10988 428 1 16087 2990 1 14964 853 2 11061 496 9 10592 2380 3 11192 4333 2 12231 818 1 17608 6599 1 1488 1379 1 7507 201 1 9722 498 3 10720 4345 2 12619 3900 7 12142 5023 2 12595 6048 16 2776 2307 2 4240 2435 3 19729 198 1 2335 4413 3 3822 2993 1 11271 219 1 10986 4716 1 8602 1460 1 997 4012 2 11544 3840 1 18465 5531 1 5960 7008 3 14010 1881 1 20193 8224 1 19544 518 1 10371 1887 2 16156 215 1 15261 8196 3 955 3556 2 16090 2718 1 8664 190 4 5378 1339 1 7750 2678 9 13922 470 4 17688 4811 2 11206 4796 1 8818 2505 4 16665 3511 2 19648 4922 1 14469 3637 28 16612 8096 11 17833 4211 1 11733 933 1 1507 6204 1 5411 3542 7 11810 4972 20 15011 5967 1 9128 222 1 18282 6912 5 20032 704 1 19360 1241 3 2000 4411 6 8261 2120 1 11614 7946 1 17454 57 1 15495 214 4 19866 1819 2 9884 234 6 95 519 1 13574 6701 1 6106 7423 1 5769 2877 1 4582 206 2 13027 2009 1 11504 4079 1 9660 4241 2 9000 221 2 19081 73 1 16768 4458 1 9295 1742 2 19193 196 2 6676 6613 1 15318 1710 2 682 4365 2 14021 244 3 10785 214 1 8373 5292 1 7443 4274 5 14735 3228 5 3564 5037 1 18681 141 1 11726 7199 1 13702 2330 2 12369 6707 1 5412 3584 4 6144 41 1 4901 1489 34 4886 7512 6 15644 1819 1 14813 3962 1 2833 2350 7 131 5996 1 5776 5011 1 10266 2657 7 15462 6633 2 8271 224 44 15427 845 1 12491 1770 1 5188 3619 1 15696 2605 2 10961 7267 5 3214 1745 1 2674 2787 1 8982 5468 1 5334 340 1 8831 1705 1 3362 3022 6 13363 912 1 17731 825 1 11212 1888 1 8092 7135 1 16328 1253 1 19502 232 1 16474 1342 4 6697 6334 2 580 6743 3 15122 4408 3 16767 3511 5 496 1366 1 12777 6956 1 10219 6068 1 19193 1981 4 18963 5135 1 2041 541 1 869 1720 9 17331 223 7 6532 6435 1 1031 1244 4 1209 943 5 8086 1404 1 1932 200 2 18738 74 1 17036 4456 1 18176 1246 1 1904 1783 1 11290 8084 1 5602 3697 1 9213 1819 1 2103 952 5 16514 2885 1 11235 6435 16 15100 554 4 3853 2929 3 14599 839 4 2020 222 1 10345 1717 1 17549 233 1 1 49 6 392 2671 42 3527 6355 2 15009 6341 1 2748 6535 3 8082 796 1 9019 5336 2 3417 4501 1 2068 306 1 6890 4248 2 15468 7229 1 16089 498 1 19331 3972 1 8827 6322 1 2479 8141 3 19272 4864 1 9224 956 1 7831 1530 1 15682 2497 1 12569 1184 1 1969 3239 2 1397 310 2 14547 2652 1 3458 7267 1 15665 8184 1 14997 714 1 4696 316 1 10592 236 2 6407 188 1 2930 2842 5 1570 6322 4 10821 5618 1 6269 7268 1 15128 1755 1 8367 7520 1 2992 2708 1 8282 2671 1 1849 5547 2 6152 4013 1 14566 3074 1 6463 429 1 14055 3897 2 4471 6793 6 8729 7962 1 6357 882 1 6781 518 1 9332 5270 2 7311 6039 1 504 3460 1 9596 4107 1 13649 4018 1 465 207 2 15429 215 2 17657 7820 13 4193 1244 1 3521 6484 3 12489 1241 1 3685 7332 2 9099 3079 2 10088 7234 1 5584 6204 5 3109 7441 1 2265 4968 1 10733 1665 1 4492 4204 1 6259 1751 2 7454 2915 7 20126 1747 3 61 2753 1 15166 101 1 9146 5889 1 17803 7184 2 17391 3972 2 19226 5737 1 12159 4436 1 5573 906 1 16160 1996 7 19596 84 3 3695 225 2 19975 2447 1 5280 2979 33 15493 348 1 1849 1991 4 5556 660 1 16827 3556 2 19872 303 1 5261 3163 1 11276 5120 4 2271 437 1 1957 708 2 4265 1721 1 11693 221 2 2511 5760 1 4573 4195 5 4660 2908 1 19973 4375 4 17500 221 3 13224 1482 6 16436 1443 1 11888 4423 1 7392 6575 1 2470 2559 2 8546 638 1 12269 1247 1 5005 201 1 1986 1278 6 26 1514 3 6015 1203 1 12122 207 1 1032 207 1 15326 3601 1 11210 2728 4 7951 3556 3 1491 1731 4 11294 1724 4 6113 3230 4 2910 4606 2 10655 2431 2 18534 619 1 9521 223 1 10146 412 1 17484 6688 1 16236 1779 3 13278 4585 1 17353 559 3 14157 1399 1 8406 1764 3 13634 5120 1 3677 214 1 15723 34 1 8034 6341 4 15419 1275 1 13160 2729 1 1593 1424 1 2988 1296 1 9106 1518 1 2897 1418 1 13183 877 1 17989 1996 3 18203 2671 23 1985 1819 1 2147 3593 2 15134 8141 1 2430 518 1 14682 6534 2 3247 498 4 14955 657 1 15041 1250 1 11372 2662 1 16964 2620 1 6073 2686 2 2382 175 7 14881 905 1 9840 3242 1 16808 1666 1 4880 573 1 2321 6229 1 7751 6150 1 11786 6654 1 4843 603 1 11651 6793 8 8 237 1 3961 3869 1 17803 1146 10 10693 3309 1 17843 1019 1 3164 2617 1 6684 4013 1 6125 173 1 10169 917 1 16805 5308 1 11504 7229 14 8451 243 2 5761 3257 1 2344 6091 1 16140 2132 1 17298 3164 5 4530 4366 5 10290 220 1 5254 4185 2 12174 3081 2 1359 1748 1 16453 7411 3 6307 4266 4 18623 148 1 143 6571 5 5834 23 1 4898 524 16 155 7139 1 7996 6046 1 17080 203 1 13729 3516 1 11207 4534 1 6374 3167 1 9989 6674 1 10815 944 6 10360 1278 1 1586 1732 1 13559 7138 1 18197 7989 1 13459 206 8 12115 4022 1 16643 796 1 1031 223 3 3357 2979 1 15628 530 19 7654 3175 1 19489 3071 1 3019 4105 2 5161 1109 1 18397 1751 3 7252 2089 1 15834 23 1 6683 861 2 10436 3337 2 16100 6198 3 19160 331 1 8280 215 8 6907 1190 1 8560 6723 3 3085 4233 1 3471 1245 6 10800 1991 1 19899 5740 1 19538 1827 1 600 4127 1 3581 4572 2 11415 2746 1 17347 624 16 8939 1710 1 3980 7146 1 18508 3236 2 18033 470 4 6333 6106 2 19562 507 15 5207 307 1 5636 533 5 13743 6500 1 9416 2336 18 18502 6725 7 12929 1664 1 13839 905 3 15495 3972 8 1125 1363 1 7599 8026 1 18320 638 9 19822 1774 1 13 624 3 8481 1727 4 18781 2515 1 12617 167 4 8439 1756 1 17899 1556 1 10601 3647 4 6452 897 2 1556 4540 1 189 2003 1 496 3534 1 3358 4458 3 12391 3760 1 3485 1482 2 15757 6538 1 13035 582 4 9279 1243 1 11827 2591 7 12817 3856 1 7082 1589 1 2082 5020 1 18476 4020 1 4843 954 1 19518 1738 2 1581 215 1 10179 2981 4 1530 23 1 15075 3869 1 13428 46 8 14722 7117 1 2146 236 1 17365 521 12 18431 1464 2 7736 35 1 4851 3911 1 604 2129 15 7286 220 7 3683 501 1 12425 164 1 9369 1401 5 1438 1363 4 1915 534 4 3947 204 1 13631 2357 3 20180 8013 1 16776 524 6 7930 1798 1 16777 629 3 8503 2678 1 14284 3083 1 16805 651 6 12106 6714 1 5352 3283 1 15622 525 3 9395 267 1 4030 316 2 7173 220 1 4743 1762 1 13234 1881 1 16975 164 1 15429 190 1 15471 2508 1 2886 4600 2 716 1789 3 17411 222 4 3472 1241 1 3058 952 1 745 1729 2 12864 5427 1 4684 7554 3 9374 1825 1 3723 1237 1 14310 308 2 1494 1655 20 3580 6334 4 9597 1730 5 1002 1730 1 18263 5390 1 19352 207 1 19278 8045 5 12919 6590 1 13100 1819 1 18546 4960 1 13125 7094 1 5745 134 1 6751 196 11 124 2572 2 13525 219 1 5298 5258 1 15104 1705 1 20009 34 2 4930 215 1 11155 3604 8 15922 1975 1 17335 215 1 1705 896 1 15691 167 1 14445 4202 1 15468 6527 6 14615 316 5 7469 6159 5 14951 168 1 18184 4367 4 16378 207 7 11644 4090 1 11250 4998 5 11148 1313 2 5585 395 1 6867 74 2 9756 3134 1 20272 4403 1 15263 2814 1 7532 1251 7 5304 3378 1 13654 5470 1 19519 6576 1 9046 3055 2 2498 100 1 35 1866 9 16638 7306 1 19759 3011 1 16506 1409 2 17638 569 1 5977 5243 3 15578 7734 6 15192 28 1 5381 1727 1 10480 2257 2 4204 2296 2 12372 1929 8 14086 8137 1 2321 5674 1 19267 5219 5 7310 550 4 7121 2620 1 18727 156 1 5132 5555 1 12642 4786 3 13404 7596 3 5326 2378 1 14396 639 1 9194 1374 5 20184 3509 1 10436 6539 1 4653 1252 5 14063 1548 1 18281 702 1 17562 1251 4 11877 1739 1 92 4139 7 17251 4933 5 19797 411 2 4252 525 1 14430 2080 1 6412 5260 2 15967 3916 1 2754 3135 1 5589 903 1 604 475 6 8361 5086 4 1223 1747 1 7312 222 1 270 1703 1 6733 1769 3 16734 153 1 399 7185 1 14426 579 3 20083 3973 1 4681 6368 1 11052 444 1 18814 5506 1 340 753 8 4311 235 6 12733 3411 2 6124 1768 1 4262 1396 1 1082 2170 1 5741 3916 1 13777 5565 1 19384 4172 8 2716 495 1 135 6195 2 3573 6673 2 12638 1814 1 13030 3747 1 5662 1775 5 10350 3338 1 7020 3684 1 1609 1331 1 4253 743 3 15952 442 1 3414 1999 3 14738 7745 2 19102 6179 1 18601 6648 1 12731 6415 1 14968 7900 3 16869 1739 4 64 1243 1 19314 5003 1 8416 5930 2 7702 4992 1 8406 214 1 16703 2560 2 14301 3987 1 14229 1784 1 9390 5288 5 19778 6252 1 17085 1827 11 8524 937 5 6320 8235 3 11594 663 1 49 2474 2 4620 3596 3 2385 1732 2 3110 3273 3 1445 3261 1 788 23 1 2135 1721 1 1280 6091 3 13374 201 4 14653 4446 1 14951 682 2 12119 1399 1 15199 5905 5 11860 1747 1 19661 1967 1 16920 2029 5 804 171 1 2782 5121 2 16620 6648 1 18431 1251 2 10038 219 1 19643 4386 9 14616 200 2 11549 201 2 10843 186 1 2728 496 1 1109 903 1 1670 2363 6 11461 1729 3 18941 38 1 8832 1277 1 11956 206 5 14037 3361 2 12294 525 1 13554 2322 1 8082 4674 1 7756 5520 1 2423 7023 1 170 7494 6 10602 2392 8 14884 6231 12 15746 6557 3 6070 3694 10 8566 223 1 4985 1282 1 108 4826 1 13731 7726 1 9533 864 2 12541 6239 1 1413 2970 2 18071 1757 1 3701 5922 1 7823 671 5 14054 6709 11 20269 545 1 13672 1752 2 4049 8016 2 486 201 3 13328 726 1 5120 7604 6 17914 1739 1 684 534 2 13553 4199 7 14609 244 3 17018 4043 1 12947 201 7 18381 497 4 14336 199 3 16060 498 12 17886 557 1 9441 2147 4 18092 1727 2 6617 8045 1 10786 3293 1 20107 6540 1 8447 2403 2 2407 7537 1 4068 2354 1 10117 3703 1 1824 89 2 4615 6204 6 13147 8149 14 14326 2964 3 11562 6398 1 12135 5993 6 4676 5922 1 4499 1285 1 11388 2263 4 10783 3851 1 3629 367 1 7498 318 3 17529 1825 1 5380 524 1 13779 1765 2 11195 23 1 140 6429 1 19601 1037 1 173 524 10 12003 2488 7 13637 2885 1 10160 7426 2 296 718 5 3337 5336 1 15140 2353 4 13711 308 3 18660 2044 1 17581 5533 1 3118 1118 1 17120 1248 2 17854 292 1 1063 220 1 7385 2675 1 5796 1082 1 18499 1348 1 2627 5521 1 18180 1999 10 3625 2316 1 7272 7127 6 13721 2665 1 3705 512 1 1857 1819 1 3090 1775 1 16851 5332 1 12817 5252 1 18508 467 2 12316 201 1 2619 3591 1 14793 1753 1 19611 1363 9 20169 232 2 18181 719 3 2996 6139 1 6638 8096 1 9000 3233 1 15895 3239 1 18559 509 11 7076 2982 1 4910 1363 1 582 4314 1 1422 201 3 15313 7692 3 8450 3056 6 18397 3586 3 15007 2686 6 13332 2678 5 2560 2555 6 13811 891 15 18130 2344 1 10793 2678 5 13282 5203 3 2899 108 1 18183 84 1 7356 3371 4 18332 1739 2 17066 5305 1 18890 3334 5 8808 207 1 8989 7200 1 14276 6435 1 19957 903 7 96 4396 1 807 519 4 16018 2686 5 15400 3556 1 20165 449 1 3572 3402 6 1171 2354 1 11678 3006 4 17352 1600 1 3376 532 1 6397 1242 4 19029 6084 5 388 5274 3 9778 744 1 7267 220 2 15140 6231 1 18175 164 1 94 724 3 14949 207 1 14867 6181 1 9760 1251 2 11220 215 1 13012 3666 1 5250 3972 3 5018 1738 1 14093 6697 1 9801 800 1 2344 545 5 9976 4582 7 12936 518 1 3584 3227 2 16704 7512 14 5179 1505 3 12807 3059 5 18177 4262 1 17291 3163 3 19776 3334 10 10345 219 2 5281 5468 1 9369 7512 1 19590 3375 1 18966 5187 2 8013 314 1 1064 1489 4 5185 4600 5 11702 2958 1 1745 411 2 14195 2444 5 20225 770 2 9224 691 1 12196 5759 1 15202 646 1 580 6418 3 12368 3599 1 16964 5018 16 1263 510 3 3048 3423 1 13184 3026 5 890 2548 1 6749 3216 1 5684 2131 1 135 153 1 15091 1482 2 18688 3512 7 15939 772 1 10266 6738 21 10382 417 1 4734 4936 3 1464 7750 1 2432 3485 1 174 8046 1 18381 536 3 10525 206 5 414 2989 1 12378 1623 1 13425 644 2 19840 8012 3 17084 6091 1 18336 2577 2 16036 7582 16 3505 1252 2 1853 2246 1 19964 3911 1 14522 867 3 161 4242 1 4287 1243 1 18939 3239 1 6926 7672 1 14923 1396 1 18937 6663 4 11533 4621 1 9780 1827 23 939 2671 30 812 2459 1 15742 724 3 11786 2646 1 13731 2369 1 8001 3924 1 5310 735 1 15576 8127 7 13085 200 1 139 6331 1 10720 229 1 19710 5319 2 4930 1761 2 3032 2325 1 108 4836 2 15237 3466 1 17736 2014 1 7334 1332 3 16033 6369 1 7956 7926 1 18626 7484 1 7176 5674 1 11549 6268 1 9863 1775 1 15741 6330 1 10112 225 2 10498 3225 2 20120 825 1 11297 880 1 8773 1789 23 5481 6691 1 456 883 8 13447 5225 1 4182 6414 1 17477 207 3 2896 198 1 10973 1703 1 12988 4370 1 16479 2247 1 2931 1762 4 909 3222 1 16137 7621 1 3779 1537 1 20107 3556 8 8934 7606 1 15639 2206 1 13225 7829 1 17165 1726 1 4584 203 31 13135 3900 1 6512 5983 1 2088 1454 1 3420 525 2 15201 274 9 14696 4022 2 13775 8175 2 62 2817 1 10878 1253 3 7455 2129 1 6962 4398 1 10031 5719 1 2445 7156 1 13 906 4 11194 1641 3 3932 180 2 19872 561 1 17472 6714 3 19234 2683 1 189 4288 1 15307 8013 1 6111 5278 2 16170 207 10 846 1341 1 18932 828 1 1575 2691 1 13985 3705 1 16587 4816 1 11687 5499 6 9567 2443 1 20192 2534 5 8132 5022 8 3941 5336 1 14610 232 2 12005 197 1 17682 7209 1 19352 964 1 2674 2881 3 9762 203 5 2962 853 1 17 1140 1 3665 5318 13 16557 411 8 314 506 2 5226 1298 1 6348 591 1 7795 2600 3 16733 1965 1 2495 759 1 3090 74 1 5750 409 8 13615 470 1 5312 425 1 19307 1341 4 15093 4648 3 2838 46 2 7165 443 1 17339 4031 1 7131 5470 1 9321 7248 4 19608 692 4 11441 2815 1 16700 947 1 6625 1727 1 17066 3353 1 17220 348 1 14583 804 1 745 7665 1 9487 496 1 4368 491 1 10664 304 2 8381 2021 4 328 3430 2 19302 1743 1 15881 903 1 2442 222 1 183 891 1 1028 3261 1 19282 1245 1 19972 5063 1 10396 2980 1 6014 1981 1 17058 801 1 5422 219 1 19127 1296 1 5748 8083 2 19822 1363 1 3031 5810 1 10813 5245 10 8451 1146 2 5983 3596 1 2769 2331 8 2815 215 1 2782 6184 1 10170 1356 5 5645 496 1 19862 5425 1 17998 200 1 18781 942 1 12184 1466 11 7070 1571 1 7029 1205 1 2338 3423 10 12192 2395 8 15535 867 1 16488 4396 3 12279 4245 1 6556 2884 1 15443 203 1 16500 1772 1 11145 502 6 2795 2686 2 5109 1251 3 143 5020 2 14998 5252 1 3299 7719 7 4805 975 1 4038 1146 2 10248 2351 2 18115 336 2 17142 2261 5 12552 126 2 9670 1248 6 1231 347 1 2710 1357 1 17767 2114 4 3899 221 2 10826 3005 1 17151 1969 1 8275 3019 2 11889 232 8 19136 6150 7 6044 3353 1 3244 5618 1 11890 2022 5 18037 5175 7 13205 5504 1 12322 2626 4 306 7512 2 14256 5108 1 10717 2392 1 1258 201 1 10633 1277 1 17714 5517 1 13183 757 2 14599 752 6 8409 4215 6 13070 4211 3 10541 1110 3 2303 3877 3 13342 2998 2 17615 4280 1 14209 883 1 9865 1747 1 10311 752 4 2227 4980 3 16084 3167 1 17850 6512 1 3820 3239 4 10761 2831 1 17990 7252 1 2929 6793 5 1063 524 5 5540 1775 1 15346 5909 42 14645 1936 1 7380 23 2 564 4441 29 4623 214 1 11388 6687 1 14522 810 2 15874 3627 2 17685 4728 1 11544 1649 3 18081 5037 1 20262 6561 3 2636 2678 1 18781 4069 3 20145 2353 1 1126 2662 3 829 7616 1 5896 507 1 15508 5559 1 11868 292 1 2377 2180 1 2410 221 2 15791 672 2 18224 4284 5 13986 3585 4 18175 4397 1 18633 400 2 12453 2852 1 18814 3283 1 19863 383 2 10340 1341 3 2887 5292 1 18082 667 3 12133 415 1 10911 1617 7 1355 207 5 5876 23 5 7867 292 1 18746 593 1 16513 4807 2 7568 5397 1 9270 222 1 7991 7408 2 15778 3477 1 4898 2366 1 17226 2068 1 1378 2768 1 7847 194 1 13601 1238 1 16236 219 1 10340 514 2 10936 4643 1 9310 3425 6 15672 607 1 20019 1917 9 6229 6107 1 8626 1764 1 5340 1245 1 20123 3283 1 5203 229 1 6989 6035 1 20017 2501 1 16041 207 1 12888 1244 1 6387 4905 1 3159 6064 1 2985 744 1 74 3466 2 10684 5543 1 15390 404 1 3947 3556 1 1011 764 1 8161 4427 2 19848 3512 1 9511 2493 2 14632 1035 1 7047 1775 1 18042 2501 1 14087 5349 1 3768 6776 9 8309 4395 1 19937 5051 2 14663 445 1 15495 1244 1 16442 671 4 103 4626 3 11502 622 1 9947 709 1 11900 510 3 8410 1707 1 9793 1745 15 14102 4351 4 9598 7561 1 8159 885 1 2886 1194 1 9522 2561 2 817 841 1 1319 2801 2 19663 1164 1 10693 3135 1 1432 1357 1 18682 1715 1 19985 5144 2 3507 7353 1 6314 634 5 17807 81 1 3574 3464 1 19770 7506 1 13543 6167 1 8924 215 4 12393 7531 1 5588 2542 1 12570 6933 1 15959 219 52 4708 520 1 5158 816 1 19156 10 3 8860 1700 1 2962 1054 8 10079 6670 1 2813 2508 1 17756 1416 21 6244 1450 2 19727 3058 1 8636 2489 1 19236 2852 1 18398 4262 1 11254 3167 3 18822 797 1 777 7197 21 12436 6880 1 6832 1730 5 5759 1333 3 6209 4020 2 14158 1718 1 8620 23 1 7157 5017 1 16202 7554 10 12864 5523 4 16070 2353 1 9273 4435 5 14870 6231 1 20196 1357 1 10551 2969 1 8001 826 1 15091 7021 2 1770 4038 5 17736 2009 1 14800 5330 15 17229 6697 1 672 3788 1 10703 7424 1 7786 581 2 47 2368 1 19246 1728 2 18841 1315 1 8429 2352 19 11333 1251 1 14257 2488 15 1983 206 5 1730 452 1 9212 7674 1 18980 8183 13 17762 4447 1 12322 1235 3 6112 502 8 17977 1241 2 20119 1236 1 10453 201 1 5185 492 1 14301 3945 1 502 2488 4 12180 219 2 2403 2114 1 4667 2242 2 18721 6614 5 8761 235 1 13279 4085 2 10988 452 1 7042 1737 1 17525 196 1 14883 860 1 4923 6757 5 2458 6697 2 10839 3510 1 5875 7300 1 12480 1312 1 17185 5097 2 12640 3225 5 12097 1781 1 4923 81 1 19210 903 1 15323 7018 2 18191 1081 1 705 514 1 2674 1328 1 10502 7027 1 17992 2352 1 19509 442 1 4048 5051 4 9467 6692 2 9178 2885 1 2320 3442 1 14778 502 1 9224 893 4 18164 3969 10 8135 7201 9 17429 4041 8 12493 3516 1 19511 3285 1 15708 2216 1 8782 206 1 8546 360 1 18149 1357 8 8716 6185 7 6819 525 4 7610 292 2 9743 7187 1 3915 382 1 12165 2739 1 2442 3511 1 12796 2331 41 16156 1251 13 17662 5408 1 15404 1346 2 11968 1827 1 14621 5712 1 15230 1827 1 4452 6059 16 812 7492 2 18560 7345 25 1568 531 3 1135 116 3 9375 1707 2 1752 1996 1 18162 411 1 13734 3006 4 12337 225 2 861 770 1 19283 6178 1 13010 3059 9 5664 6053 7 3199 1036 1 6435 6142 1 12592 2831 2 16815 2103 1 388 6577 2 12685 3974 5 4942 3334 18 1009 892 2 16787 6663 2 5522 5488 9 4007 219 1 1422 689 1 10961 1734 5 4940 7890 4 19286 23 7 15615 4635 1 9013 7582 1 14939 883 1 19912 380 1 14386 1062 1 9163 867 1 13150 253 1 15098 2098 2 18116 3018 1 9351 207 1 2413 1971 2 16185 1946 2 11021 498 1 9468 207 4 6000 4337 1 153 7103 1 3489 7008 1 2583 2398 1 4772 436 4 9733 382 1 18791 1237 7 4305 5804 7 17177 220 1 16920 5594 7 201 910 3 12060 4898 2 348 3913 20 15234 7601 1 10398 2352 9 12570 3939 1 18385 344 1 1171 1751 1 17781 5353 3 12299 1237 1 3147 420 1 15071 1721 1 5339 1747 2 11742 2636 4 14555 1721 6 14542 2639 4 5695 6245 1 11366 5586 1 17801 3411 1 12501 7850 1 13197 5957 1 14400 1235 2 3739 1762 7 6568 5099 1 19802 2747 1 8159 607 2 4902 210 1 3485 532 1 11035 4013 3 10065 7321 1 19005 6855 1 5752 219 10 9145 253 1 13327 506 3 10331 5648 1 340 3819 2 18989 743 1 534 789 1 10531 2673 1 19007 5420 1 10732 3556 3 12167 634 1 6796 3005 1 7610 752 1 62 2876 1 17088 1762 4 5727 223 16 6754 1734 1 1191 34 30 14921 229 3 12233 1718 1 9856 7470 2 3659 1705 1 3683 1331 1 17270 1356 1 3337 1752 1 525 458 1 10290 1331 1 8528 2488 2 9279 173 3 8582 5272 1 9108 1736 1 3003 5002 5 1610 2424 1 10593 215 2 13940 4708 1 4092 5445 1 17548 1788 2 5445 2737 4 7629 2720 5 4659 411 10 16665 1734 3 14867 7715 1 997 7466 1 14853 6047 3 5524 6243 2 15542 2008 1 16593 379 1 16570 4526 3 822 4549 1 9949 7076 1 7815 1278 3 14059 5327 1 19872 5555 1 11634 2878 21 1988 496 1 19065 3132 1 15817 2260 2 19137 3816 1 5095 2849 2 8429 1772 11 11768 1776 1 19458 70 2 12727 7640 1 11566 6161 1 9811 1745 1 13238 2386 10 7780 524 20 11020 2581 2 20180 3840 1 11104 8033 2 1028 5583 1 9532 190 1 11396 2591 1 11529 1819 2 15470 2161 4 17353 5531 1 15712 2675 3 12434 221 2 1803 3899 5 8434 496 1 10391 1717 2 3649 1726 1 16880 222 3 17662 1819 2 11926 533 5 8773 184 29 6164 15 1 5436 5408 1 1156 5576 1 5018 2671 1 10 282 1 4705 5997 1 14883 8140 1 19850 7440 1 13494 7196 1 4744 3911 5 11367 1403 1 342 1825 11 8219 6334 1 5030 200 4 4490 292 1 17947 995 2 18326 936 1 16248 2109 2 14154 955 1 3090 1482 2 17084 330 1 2215 5995 2 15172 207 1 4995 2727 5 74 3436 4 15673 7244 1 12623 6442 1 14851 4728 3 17141 3234 1 4739 5345 1 3432 706 1 18696 3080 2 5775 883 2 14730 1700 2 7312 4761 3 6449 1784 1 2900 4534 1 7104 4342 1 19856 3608 1 4493 4286 1 1152 3666 6 1663 526 11 7554 525 1 8977 7604 1 5589 1247 1 1929 3950 1 4536 5341 2 9995 1235 44 14278 3409 1 10676 2492 1 5873 4929 1 5329 1783 9 7903 7484 1 8420 8051 20 19131 7094 5 7129 1727 13 18096 5437 1 11601 2569 1 878 6481 50 4688 599 1 2985 608 1 15940 3419 6 4409 1907 2 19352 821 1 3326 976 29 16468 5366 1 14090 498 1 14741 5084 4 2562 1247 1 5867 8017 1 35 1939 5 2533 1251 1 8599 291 1 14982 23 1 13088 517 4 13829 1239 2 7111 1761 2 16266 5018 1 6670 2698 1 18375 723 2 2304 6368 5 7217 244 1 9891 2354 1 6420 779 2 10554 4678 1 2429 3907 1 4279 4252 1 10210 4262 3 7318 194 1 20122 6435 4 12141 3233 2 16294 3316 5 14804 1252 3 12918 1146 5 10498 1302 1 462 650 1 13254 623 1 8928 6260 1 16723 1827 7 9768 442 1 11846 752 1 6892 60 1 4696 5897 1 8339 2675 1 3049 1498 1 18256 1991 1 2460 1770 2 13132 355 1 15089 3230 16 11165 7734 1 4515 3061 2 7044 3046 1 6527 422 1 5108 2620 7 17003 4454 8 12809 492 1 11827 519 2 12392 214 2 19322 3972 1 17127 5115 1 8532 1721 1 9116 1395 10 10670 206 2 6962 963 1 6320 3633 1 18619 2316 1 13475 1721 1 7750 225 1 8391 4338 1 865 5115 1 12320 6112 1 15313 6047 1 1711 828 1 2218 3910 3 4314 2349 3 6459 2671 11 5427 3540 1 19872 4468 1 11036 292 3 11196 2363 1 2072 3971 13 10456 1078 45 10575 810 2 17899 6435 2 19369 3338 2 174 7929 2 15952 6009 1 11614 7136 1 1139 2516 1 7221 354 1 15408 203 6 18404 2443 1 18194 8022 1 13591 3760 4 19901 23 2 8939 4609 2 8717 2392 3 14658 235 1 4199 7542 1 35 1862 1 1519 4105 5 3907 1825 1 6690 4064 16 18690 214 1 2951 220 1 16248 1380 2 2834 7661 2 18033 3427 1 1498 331 1 3370 4714 1 9809 988 5 9085 2097 4 361 7750 5 4898 223 1 19138 292 3 12838 1152 1 13520 634 1 1825 2968 1 108 4841 1 4805 118 2 1269 2382 1 19136 156 13 13563 5099 6 13413 4796 2 8131 2370 1 16671 1153 1 14753 3349 1 13430 883 17 7431 1252 1 9491 200 1 17644 5319 2 15390 452 2 20082 1095 4 19769 7414 1 8995 7474 1 5567 6585 1 3190 3333 1 1465 6585 1 3307 10 2 4546 2938 1 2008 2562 1 17639 232 3 1740 6487 1 18212 200 2 4279 870 3 1025 2552 5 8013 3621 1 8536 7848 1 15648 3308 1 19409 34 1 116 5224 5 5873 70 2 19607 4304 1 4301 3378 2 2294 1245 1 18743 3266 1 7135 1399 1 19069 1453 1 19144 1825 15 1962 3710 1 19855 1334 1 3752 5279 1 15261 1331 1 3265 7001 13 16891 1819 1 2629 3146 2 5611 3117 3 3007 6687 5 10590 6682 1 2260 2080 1 5003 6256 4 15062 3045 1 15753 3639 2 5231 156 30 13583 5202 1 7600 1863 6 4970 651 1 14118 8019 1 8012 1275 2 14380 7316 2 143 6638 1 12322 1334 3 18869 13 2 2267 1108 5 7 215 2 455 6654 1 4213 5910 1 7322 5696 5 16987 6325 4 7769 2662 1 17015 1724 8 11333 191 2 6228 252 1 8174 7614 8 413 7225 3 10436 1772 1 6530 2354 10 7376 1351 2 17550 1946 1 10915 5550 4 20062 361 1 10828 5618 3 5111 7424 5 13909 6534 1 12826 1184 3 12142 5256 4 8356 1747 1 16681 1704 4 14218 2087 7 10355 453 1 19314 4761 1 16689 988 1 7957 3208 1 11714 304 1 19140 6141 2 4580 5004 1 4885 1714 1 117 470 12 2643 1757 1 4005 1247 5 7361 4392 1 6158 4517 1 20147 8184 17 11018 2913 1 39 2040 2 7966 233 1 11149 1691 1 14381 91 1 6907 1338 1 2345 3903 17 3037 5097 2 22 1409 2 15945 2013 1 9876 1747 13 11944 709 3 2240 6716 1 2424 5642 1 2376 5991 1 11401 1772 2 6546 1827 16 1425 2678 3 11346 374 1 17877 200 6 7145 1482 2 15001 2881 19 2151 995 5 3871 207 1 4554 4945 1 7284 1737 1 9718 7094 1 812 173 1 17930 5686 2 13777 2678 1 16493 3389 1 3000 1357 2 10304 8102 1 5464 510 2 314 518 1 4196 1707 1 2699 8057 1 7994 6060 2 15833 1737 1 17778 4623 1 2646 6618 1 114 5132 1 4337 1615 1 13652 5251 1 19590 609 1 16636 5866 1 10092 1348 1 2842 6139 1 1748 524 2 12984 1747 6 2458 7908 1 15634 3749 3 7573 1236 1 17743 1379 1 1798 776 2 3048 2889 1 17543 3634 1 19872 911 1 6570 2821 1 3239 1747 2 19759 4246 6 14795 1752 2 17463 1982 2 5431 1691 2 2857 2009 1 3156 4996 1 14384 2883 1 3850 3568 1 8400 1718 2 12041 1967 3 1203 4707 2 94 4264 1 20233 1797 1 11467 953 1 7571 1732 2 7625 1357 1 15254 207 1 2629 2056 4 3737 2449 2 2020 2786 1 16016 6368 1 12191 4498 4 9188 4015 1 16706 6487 1 1801 383 1 3607 4597 1 592 4099 1 6901 3029 1 2852 3866 5 16323 6876 16 10664 2702 1 10554 562 1 1752 7108 1 10482 2804 1 14951 7411 1 1356 1007 9 13608 4403 1 393 8002 1 14946 128 2 259 3516 3 3256 4459 1 17011 502 2 6453 2656 2 4045 3077 1 4828 1153 1 126 5633 1 27 1647 1 4448 1240 29 697 4950 5 10579 5187 1 14522 2600 1 17803 2647 1 16238 367 1 2783 26 1 11938 4723 1 2274 926 2 13829 1825 3 12897 11 1 4498 2778 5 11301 2699 3 174 5766 1 10078 1081 2 14373 1085 1 16178 1290 1 13626 203 16 14646 3494 2 4941 3941 3 94 1312 10 18643 7404 1 17725 618 1 107 4786 2 15567 1659 3 13558 1747 5 5561 7638 2 18885 1747 4 4938 6705 2 17637 3036 1 3822 1276 1 4716 508 1 1379 1137 1 880 3619 1 15263 6091 1 12334 910 2 4519 4501 1 16264 995 1 7705 2936 1 13729 7724 2 15329 937 1 13075 385 9 13993 8045 4 7988 5296 2 16442 4261 1 8868 5713 1 4970 554 2 11195 514 2 17084 2931 2 8947 1146 1 2448 214 1 3755 4435 1 7769 499 1 4791 1383 2 16033 5999 1 18992 1303 1 5949 4972 1 1013 218 1 2371 4761 1 246 891 1 7780 4534 1 2584 173 1 6504 1715 1 4428 7254 1 1453 347 1 12462 4345 4 11345 1295 1 15073 3599 33 3358 4470 3 14701 1305 1 10190 5037 6 5676 252 1 19449 203 1 18418 3059 2 6052 1245 1 16852 2656 2 2886 3601 2 1609 253 1 12209 1245 2 4236 4284 1 2031 6169 1 9234 859 1 12152 232 10 16130 5737 1 13328 6552 1 13619 4944 4 10602 5031 1 11203 2392 35 56 1731 3 6264 201 5 8152 2343 1 8920 3883 1 391 501 3 10549 910 4 15314 5187 2 17014 5269 1 7841 1713 1 1273 639 1 17585 3824 1 1723 1758 2 12044 8175 1 20090 2506 1 20051 200 17 15518 2570 8 1530 6053 10 7737 6626 3 443 7525 1 10900 5686 6 7184 1732 1 11270 493 1 333 221 2 781 7458 1 14684 4435 1 3333 874 5 7509 5274 1 1045 244 1 18303 4261 1 16614 2600 1 14162 1242 1 7682 804 1 3347 1164 1 2619 364 1 12096 207 8 11705 6091 1 14596 4425 1 15220 270 2 15716 506 2 16093 997 8 78 3532 1 12633 3147 1 359 219 2 6385 4209 1 5520 1250 2 14993 57 1 6449 1293 1 7783 164 15 11668 1417 1 604 5307 1 10852 3990 1 121 318 1 4057 5286 1 7750 1775 1 17548 3113 1 1539 156 1 10494 6204 38 7034 5512 2 2606 1244 1 12868 4179 1 7028 7522 1 17617 4761 12 3168 3228 1 5626 777 1 2584 1742 1 17607 1777 3 11687 4193 5 5273 6343 1 5801 2883 1 3286 5205 1 9815 2392 3 18514 5332 1 19602 1324 1 1026 847 1 2108 4023 1 10687 6993 1 11632 6744 9 5977 132 1 6834 1698 4 10733 534 1 1541 3230 3 7530 1781 1 133 6078 7 6259 1698 4 9349 4134 1 17578 764 4 18334 1703 82 3442 5597 1 992 214 1 40 2133 1 18005 208 1 8832 2969 1 3211 523 1 2406 1758 1 18286 4204 7 5063 524 3 8090 34 4 16117 3561 3 5515 3539 1 3796 935 1 1171 3492 1 18546 3483 2 12378 6660 1 13240 3167 1 19322 1245 1 4582 7271 1 16078 6644 1 18420 7254 1 16676 554 2 5868 3573 2 11478 1656 1 14768 7731 1 4983 1342 1 10639 6193 1 10704 1535 7 18148 381 1 17608 5091 1 3688 229 1 12821 219 18 5290 1249 1 9187 4964 1 12710 206 3 16546 884 2 4716 1238 2 1588 467 5 113 5042 2 15322 3273 1 12739 569 2 2345 638 13 1736 184 1 2180 743 3 7432 5086 3 3504 617 1 14376 3219 1 17177 3029 1 14561 7731 6 3258 1428 6 13670 5337 1 17565 6844 2 5856 2062 1 16799 995 4 7994 6747 1 9501 495 3 3446 1374 1 17133 5348 1 15313 3571 1 11566 1762 3 12634 2678 6 10298 2353 1 7997 4069 2 9708 4179 1 8083 4204 11 19605 8175 1 20231 1731 2 15608 2951 1 4472 3556 1 7226 6053 16 14173 5413 1 6139 1718 2 18754 850 1 16186 1298 6 17593 6756 1 11706 910 2 11324 1490 1 4709 1700 2 19471 7968 1 2962 629 1 10452 4403 2 7432 173 1 15041 514 4 15263 215 3 2526 4043 10 2095 6839 2 18387 282 1 18939 7801 1 15329 5943 1 11467 602 1 10519 2357 4 11790 1105 1 3420 3899 1 13392 6677 1 3150 206 3 11329 3919 1 7612 2013 18 19720 4987 3 17946 470 1 17548 4640 1 14685 7250 2 2996 1762 1 8629 1272 1 5213 221 2 19144 3333 1 17365 3509 1 17519 1752 1 13526 2435 2 2147 6868 4 17252 4333 6 17919 745 5 8528 545 2 20007 1464 1 17695 4233 1 868 1973 1 9572 8054 1 18653 1727 1 9184 1720 1 3376 638 1 15982 3634 6 4050 173 1 8762 5468 5 15100 713 1 525 5435 1 13306 2675 36 12777 657 1 591 502 2 3110 1737 3 2553 1037 13 18293 370 1 19563 4607 1 20216 2827 4 11388 1722 1 4979 1721 2 2475 3489 1 802 6520 1 4696 1247 1 15144 6152 7 10631 1729 1 3640 3729 3 6697 1759 1 10813 411 15 4620 6152 3 11271 1374 1 11169 1145 5 15257 200 1 2645 201 20 19872 207 3 9914 4628 1 12542 5922 13 5479 274 1 16825 834 7 13182 207 2 12119 1235 1 8110 2355 19 17992 1271 1 991 1458 1 10464 4242 2 7446 617 1 9721 2123 1 6859 1194 1 4673 2114 1 822 4363 1 13490 6783 1 3337 879 11 9522 225 2 10747 3892 3 416 156 5 3633 1989 1 4970 688 1 2849 1818 1 7780 3710 1 3177 6252 20 5497 3599 1 15634 7884 1 12213 2398 1 9250 711 1 3363 4792 2 2275 1237 1 17436 3255 1 62 1303 1 2619 2068 2 13942 3485 10 6003 1363 3 19866 201 6 7366 6779 1 5018 46 1 15932 5320 2 5946 7412 1 18232 7807 9 2465 354 3 121 3382 1 11603 508 4 4003 4779 1 3434 215 1 8560 2944 1 10307 203 10 17475 235 1 9885 223 1 13730 5259 1 5987 1237 13 6989 894 3 2330 380 6 17833 5664 1 5827 4404 1 11055 2515 1 12393 3327 4 17195 6027 5 16997 910 3 5199 1250 1 8979 2626 3 2322 1990 2 11039 1995 1 14998 2151 1 5479 7241 1 13461 1757 7 2818 4796 1 16929 2331 1 20219 910 1 4063 224 1 8614 5534 1 16767 215 1 5652 883 2 16724 3168 1 171 2023 1 7712 1571 1 19509 1642 1 6712 646 1 4113 532 2 10826 2831 1 18386 943 2 17416 7112 2 19962 6013 2 5266 5251 1 19913 1781 1 8196 2356 1 9168 5436 1 74 3465 2 17987 4000 1 2803 4254 5 6519 2481 1 12548 1825 3 19649 3911 1 12841 3315 1 8905 4386 21 531 203 2 11019 2700 1 7325 4597 3 17508 200 1 17809 222 5 19056 1110 2 13589 1695 3 5287 2133 2 2045 156 3 8043 225 1 1433 1764 1 14558 207 1 3069 8141 1 8643 828 1 10049 215 12 873 2729 1 1812 3511 1 542 6500 2 138 778 1 8935 891 5 3730 7415 8 670 1183 1 16036 1243 1 2646 1677 2 192 3671 1 6769 7411 1 5145 6185 1 13800 6288 15 5278 200 4 9279 864 2 2240 190 2 13203 419 1 12856 4606 1 5946 299 2 14494 3203 10 13883 864 2 12304 5294 1 19023 3619 1 1464 7073 1 6287 2305 8 10 330 1 43 2251 2 1665 7178 1 2898 5018 1 10371 7395 4 11585 244 6 2496 1054 5 20235 1729 1 16841 1769 3 6 184 6 6238 1482 1 6028 7640 1 8137 4345 1 4451 76 1 5082 1147 1 10046 8184 2 18257 2459 1 17104 6487 1 11634 6547 1 314 4325 1 18534 1747 2 12201 1986 1 15079 1737 1 12468 1372 1 16944 4204 1 3435 6451 4 4623 215 1 14510 1768 1 13305 976 8 2505 6692 2 8316 416 1 6930 1812 1 19224 3021 8 6289 2855 3 19872 718 3 5201 1245 1 18533 4096 1 14708 6268 1 7780 361 1 6371 275 2 6524 1721 1 816 7948 7 16965 10 1 472 3485 1 12128 2495 1 439 1244 2 3045 6228 3 14645 214 1 8494 3556 9 2264 6744 1 4022 5292 2 15707 3907 1 1712 411 3 14296 885 1 6265 3775 1 17829 221 2 3217 4226 1 2704 1717 1 13714 5389 5 3882 5104 1 3521 6482 4 9288 1544 17 8235 1247 2 8673 7414 1 6069 7299 1 8683 3494 5 4197 3163 3 694 4391 1 14968 1234 3 4223 1342 5 3759 6225 1 10783 201 2 608 4397 1 9812 2534 4 11054 1779 1 10137 3033 20 16402 3491 1 3446 215 1 16689 1694 2 17500 1732 2 1631 461 3 15778 4483 1 6348 148 1 10330 903 3 6484 6991 1 15737 4432 1 18615 5137 4 2834 211 3 15873 1736 1 16499 5161 1 3 135 2 15493 2271 1 19223 864 1 15125 723 1 6183 46 1 8665 5522 2 6339 1612 1 7879 6192 1 12645 6618 1 141 6482 1 14981 1251 2 17823 7398 3 5675 1747 1 2262 3847 2 15871 874 15 2629 512 1 7765 3519 1 16358 6126 1 2294 1775 1 745 714 4 6191 769 4 11672 3382 1 10762 1824 1 17079 5879 1 9823 6779 2 124 5453 1 16339 10 17 13379 4482 1 14939 482 1 15025 1307 1 7610 874 1 17507 175 20 10061 2858 4 11282 5243 1 9271 3669 1 18684 3676 2 917 6549 1 14982 7210 1 13974 6165 2 2984 1649 23 4302 2673 6 7479 5394 1 1287 3230 1 5542 880 2 13097 82 7 6960 2367 1 9374 1775 1 17257 1420 1 12817 541 1 5795 6512 1 4970 767 1 17436 6209 1 11786 4841 1 6332 2817 3 11566 6234 1 18033 3903 14 8858 7222 1 8473 23 3 16674 232 5 9840 2416 19 15960 203 1 17343 3556 2 13039 5734 1 6568 1958 1 62 3020 1 2414 6993 1 10819 6163 1 19872 804 1 174 7911 4 18191 1211 1 8387 933 1 19840 203 2 12375 900 1 13230 6127 1 7774 510 2 6039 6756 1 8952 5313 1 10371 207 9 3003 1734 10 13032 2708 5 3085 2873 1 15429 2847 1 4316 220 1 10498 5970 1 16448 5382 1 5538 1247 1 85 3275 1 16857 1829 11 18824 2206 1 3613 3511 1 5638 1103 4 17858 3193 3 9310 2582 11 10774 3262 1 18580 2649 1 17298 178 6 906 2494 1 13222 3023 1 19686 1779 1 16333 460 1 3136 2645 2 13384 7712 2 12212 6576 1 5980 221 2 8528 23 5 5600 23 1 2917 4019 1 10582 1172 1 19996 945 1 1935 7883 2 8408 341 1 14139 7494 8 20194 732 2 17506 2169 1 3551 1315 2 19607 6013 1 14047 6673 1 12235 826 5 6478 534 1 862 3253 1 17608 1967 1 171 7758 1 6801 1239 19 9543 379 1 18972 7407 2 11 491 1 17429 258 18 3419 5172 1 8746 2614 1 16697 219 3 16235 219 16 7811 220 1 1171 197 3 19293 232 2 12981 200 2 3414 5018 1 1433 1251 1 13588 1320 1 2081 23 2 6064 471 1 8281 867 12 2581 1781 1 4455 1965 2 14465 1703 1 7637 7458 1 100 4482 1 16815 1757 1 1858 330 10 4194 1363 2 19649 1705 1 3146 2895 1 8522 3951 6 1962 4501 1 8034 2356 1 7540 867 2 5831 1779 3 6454 7461 8 3483 6185 4 1332 7806 1 17004 1249 2 12139 5906 1 1286 2619 5 269 2256 1 17293 443 7 19860 2481 1 152 6834 1 3090 1737 1 8644 4369 1 8606 1762 1 18183 1718 1 5775 3221 4 2886 5584 4 9168 1720 1 18559 7258 2 13655 2915 1 1590 671 8 18414 4015 1 13478 4077 1 16168 219 1 19500 1819 1 5064 599 1 10143 7963 1 14722 532 2 1214 49 6 751 4002 1 15743 1743 1 824 6682 1 16894 2392 1 19693 1785 22 19176 850 1 9439 3227 2 19601 3020 1 17406 1339 1 17013 371 1 12872 2367 1 6661 7937 2 151 6809 1 5775 3904 5 16096 2893 1 7239 1407 1 6867 8017 1 963 4623 7 640 508 1 19825 5495 1 5541 6027 9 10155 7853 19 20031 5408 1 9535 1718 2 12054 64 1 5426 1732 3 3794 1292 1 3313 1363 1 7916 2712 1 14055 3511 1 17734 688 1 4044 175 12 840 4069 1 19372 6701 5 13183 953 1 12850 5446 25 3072 6434 1 4938 215 1 65 3201 3 4452 2691 6 18802 148 1 591 5879 1 13349 2964 10 9529 1582 2 6854 203 4 13519 5670 6 13394 1063 6 1824 1359 1 8228 244 2 5290 3578 3 1866 1244 2 10642 1367 5 3259 6229 1 19160 745 1 5270 666 1 19604 3 1 12629 3234 1 2070 1761 4 17872 221 4 1062 3435 5 13352 893 1 6002 2474 1 18393 2635 16 2870 4433 1 9224 918 1 9354 207 4 18623 838 1 4379 718 1 2260 4326 1 15634 8042 2 12592 1825 14 20202 221 1 10592 2392 5 16360 7671 15 15214 814 1 19993 1267 2 13150 4627 1 13554 7112 3 6035 6141 107 9546 900 1 11312 6168 1 15169 4511 11 5244 1615 3 6734 1657 1 16790 1784 1 14758 2146 1 1922 6237 1 13585 3480 2 11345 776 1 7490 4312 1 1743 467 3 2931 4635 6 5658 1717 3 14617 4789 1 13165 6047 5 4060 3853 1 1899 514 5 14758 7020 4 1638 3076 1 19501 8060 2 18709 215 16 6544 5018 1 17184 639 2 13735 229 1 13105 4102 5 1483 3227 1 18978 508 2 11297 3512 1 16843 510 1 6707 1764 2 18681 705 1 6613 2675 5 1529 3691 1 5184 334 2 10209 3049 4 18076 3588 2 4875 3029 1 8557 5123 1 2887 5262 1 951 1246 2 4220 523 3 12541 6229 1 135 2982 1 13363 673 2 10553 6081 2 18534 2497 1 13992 2062 4 14063 4591 1 10372 5127 1 16525 6874 1 13788 166 1 9895 975 1 5053 4538 6 1322 203 3 62 3016 1 18040 7719 3 1109 7925 10 2710 5040 20 3043 4142 5 4663 7750 1 6413 1707 3 19918 1825 5 4769 6395 1 4753 5810 9 5041 76 4 9374 244 2 10179 628 1 2505 6009 2 12969 6744 12 15019 2138 1 10856 863 4 9512 5996 1 8778 219 10 17158 534 11 1701 220 2 8735 3655 5 14720 10 1 12397 2355 1 4495 7905 1 13199 4623 23 3996 6618 2 9891 184 1 19883 3557 1 12140 514 1 143 6589 4 17242 2530 2 171 7657 3 967 197 2 6257 1919 1 16484 1908 5 10 316 1 11131 5253 2 16035 4312 2 835 1068 1 6236 2582 1 7850 3566 1 17799 1744 73 3108 1244 2 9732 575 1 16346 7050 10 12821 3285 1 17899 6415 1 9726 736 2 19428 1819 2 8591 1728 2 8211 1247 1 13758 4562 2 11416 6101 3 17502 6106 2 3972 5488 1 18089 2127 1 11047 2855 1 15520 169 4 10943 514 1 9642 3473 1 5624 1249 1 18486 4951 11 712 201 1 27 1624 1 17218 2383 1 5132 1244 7 19059 490 1 19995 4518 1 14612 3653 2 6007 1707 2 9568 507 1 13384 2493 1 5960 5314 1 2081 5368 2 16090 5905 1 17383 4403 1 17067 6706 17 4784 1729 3 8082 7843 1 15104 5097 6 425 1235 3 8356 184 1 6457 5272 1 18771 3263 3 4641 1883 2 11292 633 2 4946 232 1 3460 1508 1 14780 4495 1 868 5420 1 10107 3663 3 5679 3356 4 314 1395 1 17549 252 1 2027 215 1 15372 1417 1 4688 925 1 9017 3203 1 8094 3889 4 17506 7309 5 3638 1827 1 3315 1819 1 6796 4122 1 10267 206 2 7799 222 9 11508 7213 1 18508 3275 1 9122 1770 1 5035 7023 1 13140 6839 8 5695 3591 3 18336 2269 2 202 411 3 84 3882 1 12709 207 2 4254 1467 2 10554 8170 1 19957 399 8 14132 229 1 11020 7629 17 9628 919 1 10923 2539 2 17250 6991 1 9279 1717 3 18557 4996 2 3874 1729 1 6724 8073 8 14805 5438 1 14114 426 1 4068 4303 1 14824 3747 4 711 2559 1 1962 5986 10 18892 5399 1 9043 605 1 6642 7351 7 15329 1128 1 1794 8022 1 16588 2403 2 4805 5173 2 16328 1757 2 4092 6607 2 10274 4987 1 6516 589 4 4509 7351 4 15035 947 30 7062 203 1 18738 2626 1 16739 201 1 5234 1946 10 2832 4126 1 6183 498 8 6325 6358 1 20046 2636 43 19047 976 1 9471 4655 13 15364 4583 1 2771 2555 6 548 7045 1 2234 869 1 5318 1698 9 13662 1109 2 16726 2321 1 11882 3974 2 1112 474 1 15629 766 2 16943 4977 1 20067 7003 1 9586 2555 1 5017 4967 1 7763 804 1 2093 3004 6 4906 6051 1 15419 520 1 92 4144 6 15675 1498 1 11556 2355 1 12919 1903 2 5727 200 4 8156 225 6 14488 3787 1 17912 411 1 4498 667 1 9699 1208 2 6362 2494 1 460 1686 6 17384 228 3 3937 1245 8 18168 1036 10 15548 7848 1 16183 2555 7 4458 1082 5 8255 221 1 5882 7576 4 1609 8037 1 17224 1700 1 14293 2552 1 10472 7622 1 10137 200 10 73 1700 2 2107 1354 2 8274 4649 1 9955 7410 1 3329 2712 2 17662 220 2 174 5768 2 19204 1697 1 7357 5036 5 4963 7731 2 7219 4929 4 5943 475 1 13132 902 1 4496 1296 4 19624 526 6 18866 4956 1 10468 7693 1 2359 659 5 14886 496 1 8084 519 1 10316 2925 1 1760 7961 1 17246 2683 6 2657 3203 3 19379 591 1 16031 496 3 3172 2678 5 9597 1244 2 11581 2338 1 13 773 17 12786 23 2 17799 755 1 11006 6945 1 6183 1252 2 8343 863 1 13881 6875 8 2383 274 1 14332 5404 3 6913 3256 4 1568 2680 2 5882 1269 1 6736 7758 1 10517 7961 1 6061 2746 1 8730 804 2 19313 13 1 5132 1764 1 15634 90 2 17291 2269 2 4553 2839 1 16390 532 1 16354 308 5 7099 7229 1 2134 1903 8 12141 4120 4 9423 207 2 13705 1489 3 2048 532 2 873 5341 1 10993 3512 1 927 203 5 12299 6708 2 1433 745 10 8129 953 1 11776 1243 3 753 3886 4 7046 7809 1 11846 2675 1 6647 3399 1 19470 3916 1 3766 7157 2 2169 519 1 11084 532 6 1379 2495 1 15317 7267 5 1283 4423 1 12574 8167 2 7969 3516 1 19000 3595 3 14162 5798 1 18518 470 3 12492 7368 1 2011 6714 3 12322 1399 3 15599 957 1 16812 5874 5 12592 1453 1 9178 2665 1 4238 2649 3 18357 214 2 20229 6064 1 13184 7674 5 4140 6108 7 2303 1261 1 68 3256 1 16104 5774 7 100 4526 1 3734 2960 1 5176 1247 2 3663 7525 2 13105 64 1 4133 1789 1 3934 541 3 18696 6675 3 15579 1709 3 2147 4427 3 4197 506 1 3253 2486 2 13543 2888 1 10698 5202 1 18326 550 1 13878 1727 10 13 860 1 7459 7218 1 10884 5341 4 14218 206 1 3808 1825 7 12118 1760 1 13736 5285 2 18623 574 7 3399 7719 1 6899 196 5 19393 1719 5 7065 3798 1 8022 6201 2 5644 910 1 10413 5086 1 10236 3705 3 16285 1237 2 4056 1396 1 10604 289 1 14738 1273 2 14059 1277 2 19822 6225 1 18899 2138 1 8117 2032 5 6012 2480 2 17083 3899 1 14854 745 1 11525 5400 1 15674 519 2 10953 2459 2 13299 525 1 6259 2626 1 1756 718 1 16271 4343 1 17403 383 1 6329 7719 3 5631 2581 1 9374 2686 2 11942 7788 1 10225 560 1 12519 4554 2 13296 496 1 13575 4400 1 15481 1466 1 12208 2964 1 11882 863 1 14566 222 1 14406 5776 2 11465 4499 7 6177 7614 16 16215 894 1 19585 3378 1 13919 6948 1 7640 5437 1 15509 4992 1 7286 1789 1 5927 3511 1 16549 867 1 209 2675 6 17662 1235 6 126 5611 1 19894 3610 1 7019 23 2 10350 6335 2 17405 7642 1 8117 883 15 11683 4936 1 15027 1756 1 86 3976 1 14344 5559 1 8876 2043 1 14726 1229 3 12822 8029 2 4842 1059 2 11888 3504 7 8987 5768 1 9350 2675 1 11363 6159 11 16835 2563 6 4429 3275 1 16428 3477 1 8803 230 1 15369 65 1 3561 1238 1 2482 1354 1 12700 4976 3 10585 4389 10 13323 274 1 13928 642 1 3698 1646 2 15438 8065 1 14162 3192 2 8961 1737 7 20068 5800 1 7450 524 15 5239 232 4 10000 1193 1 10025 3510 1 6479 7201 1 2435 200 1 12187 3220 1 20002 532 2 3427 1214 1 10973 2795 1 13373 6031 2 13425 4402 1 1937 534 1 19630 7235 2 5013 3058 41 18431 244 2 16075 4727 1 10360 2562 1 18377 690 1 16486 200 19 16016 1369 1 18748 200 3 15267 6576 1 13065 1825 1 7114 7857 1 11786 4924 1 3889 1249 4 13560 10 6 19774 429 1 5938 7397 1 14900 502 2 2174 4908 1 10146 3552 1 1068 637 1 15641 5945 1 16618 82 2 12286 4773 1 6278 1244 1 48 2451 1 14406 4268 1 7527 397 1 4573 1321 1 4769 1615 1 12594 874 1 8656 5289 3 1047 753 5 6740 2087 1 5117 7201 1 17384 202 4 988 1796 1 3079 2296 1 14607 4599 1 15818 2626 1 3523 4925 1 62 2788 1 4268 2146 1 16445 1450 1 18738 1548 1 1697 38 1 6259 506 1 16546 2388 1 16128 1736 4 11451 1748 2 6063 880 3 9260 2263 22 14307 1819 1 542 359 1 2029 5420 6 9374 1727 3 10244 203 24 15248 2378 1 14129 4077 6 4674 7948 1 2324 3334 1 18222 2257 1 17259 57 1 16253 2678 2 15314 1771 4 10779 7221 1 11721 7506 1 15303 7535 1 14522 601 1 727 6680 1 2586 46 1 17011 6627 1 6791 174 1 1625 4508 1 8221 4470 2 8062 173 5 525 236 2 14312 234 2 4971 2013 1 12601 3790 2 15743 3617 9 10147 2729 1 174 5138 2 9799 7189 2 712 232 1 14599 921 2 17152 1464 2 17238 910 2 19937 507 4 17120 1717 1 222 5922 1 3504 4000 2 12689 5133 1 14694 3904 1 8964 1399 2 4370 5475 1 18879 6487 1 18148 3540 1 18289 880 12 16519 627 1 19322 2990 1 812 1184 3 1635 6422 1 13418 1814 1 17615 1689 1 16204 6708 37 13993 8067 1 7449 1706 3 10875 368 1 601 1730 1 10203 1659 1 7010 1736 3 18185 4323 1 8934 3343 1 4545 7804 2 869 5555 1 15343 502 4 8545 4105 2 4565 1727 2 3127 244 1 20060 1156 1 6656 2241 1 18755 1333 3 11036 5673 1 18728 7846 1 2643 885 1 16489 1819 1 9508 2166 1 7964 4393 1 3424 309 1 3237 6748 2 13162 853 2 4731 4252 1 7780 2626 1 11246 2863 1 10029 3233 2 12698 368 1 992 1686 2 4411 220 1 19384 4150 1 340 7521 5 9679 223 1 13745 6443 1 18644 498 2 3012 4987 2 19032 6677 3 14990 1910 1 3765 883 2 13328 1695 1 14041 2115 1 10886 3926 1 16194 5708 1 7285 967 1 7050 1352 1 2698 470 1 3806 1235 2 15383 2031 10 17257 1424 1 7235 2068 2 1465 2570 2 12047 5704 1 5596 910 4 3200 4964 7 1344 201 4 5310 715 1 16955 3474 1 2813 4211 1 11314 5435 2 17335 3081 1 10522 4022 1 11174 253 5 14699 2727 1 5631 14 5 18862 4403 5 3310 407 1 17274 3512 1 16018 4403 1 13974 1764 3 547 1917 4 19463 4992 9 15676 1474 1 19600 1728 5 6466 1714 1 12865 4011 1 10692 812 1 12064 2675 7 9596 5516 4 17799 903 3 7820 3888 5 20237 2644 1 15214 574 1 15687 4041 5 7730 1710 1 9141 7229 1 13400 8041 1 8801 751 1 10733 1816 1 12376 3276 1 94 4254 1 20179 6706 4 15691 4029 9 3337 2970 1 8616 7624 2 391 335 5 6418 3081 1 12958 2515 1 19030 1681 11 18526 1464 1 10948 2239 3 11219 2549 13 13880 898 1 13316 898 1 11007 5325 1 9963 2343 5 10462 1573 7 19448 1523 1 4611 1825 3 18325 894 1 712 4992 1 17175 3586 16 14811 234 1 3134 1638 1 15998 196 5 12168 8222 5 11954 8160 1 2404 1756 17 7961 1770 2 14722 2683 2 15116 4996 1 9479 6917 1 18821 3638 1 10783 1244 1 14746 5379 3 19381 409 3 17682 1719 1 5841 7220 6 11399 3081 1 745 1253 1 9511 436 1 17743 4713 1 9909 448 1 1962 8045 1 16636 137 1 94 4204 5 5171 7229 1 13402 751 1 13881 2747 11 14906 518 1 5052 1078 3 3318 825 2 1255 203 1 19930 2656 1 19863 1322 1 2744 4716 4 20127 6703 27 11598 1059 1 18525 7458 1 5310 666 1 12484 7570 3 14802 1819 2 9637 525 1 18421 510 1 16239 1990 1 18285 2019 2 6989 557 1 16907 7598 1 85 3907 1 15648 532 1 6089 5420 9 5378 1814 1 20121 805 1 3366 1251 1 11326 6383 1 5582 7672 1 11512 7834 1 152 6819 1 5266 3368 2 18681 810 1 3504 1380 1 10569 4998 15 16674 514 5 8345 5532 2 2436 7470 1 11020 7616 6 5354 5350 3 13820 7656 2 7886 6185 14 10591 3219 1 17778 408 2 20016 7161 3 6189 840 1 10265 1372 3 16518 5515 1 4648 3206 5 5775 1827 5 6397 5673 12 2733 4883 1 3898 167 1 16057 5949 1 15429 589 1 73 3369 2 5933 5121 2 17953 1249 11 14313 3928 1 18281 863 1 18000 470 5 10545 200 12 13183 954 7 11398 4974 38 695 1909 1 13353 2641 1 8341 2413 1 19048 4293 1 10859 299 6 12614 5389 3 14396 1313 1 3571 7397 20 6726 6668 5 5506 7992 1 1280 244 2 11428 411 35 153 6974 4 12007 4435 1 18548 7953 1 116 838 5 2583 5035 1 6683 637 16 3606 1146 2 17588 3462 2 8328 3393 1 16546 84 5 12071 5952 1 7799 6482 1 13574 541 1 3990 6178 2 9188 4470 1 15024 995 1 17285 235 1 10692 558 2 14844 92 1 12372 1974 2 3357 1859 2 11250 8141 2 6976 2013 1 15894 4998 5 18129 313 1 12265 2708 10 7400 6286 3 14584 1781 4 3902 3410 1 10973 523 1 10746 3653 1 7206 3132 5 19026 2675 5 1687 810 1 834 2749 3 1488 780 1 14060 3899 5 7366 1035 2 19137 3540 1 10322 525 1 9543 365 1 11555 6434 1 14335 1827 46 450 5996 1 8072 6554 1 71 3323 3 5577 23 1 16174 947 1 9746 7841 1 4050 221 2 8562 910 1 8354 7433 1 10692 571 1 16844 1748 2 12348 533 2 3427 1595 1 4262 1561 3 684 6091 1 20005 5090 1 6550 7229 2 9430 6645 1 19368 385 1 11490 1252 1 433 1729 1 18016 2880 3 4995 3226 1 9726 3697 4 3934 5472 1 7568 5420 3 19648 419 2 20092 4623 1 2019 474 2 13684 2770 1 18634 684 1 14024 2646 1 8789 4314 4 12988 4012 1 13 592 1 10876 201 5 1609 2883 1 15567 1649 6 17767 2109 1 16060 222 14 18344 903 1 1551 2970 1 7571 5171 2 10290 545 1 3085 2260 1 592 360 3 3310 665 15 11360 5968 1 14250 6714 7 534 706 1 18656 847 2 18728 4407 1 8787 2014 1 9865 1705 3 8537 1137 1 13792 2662 7 7160 2889 3 17249 2099 1 15791 1752 1 525 231 1 16701 1775 8 15520 4589 26 4121 5146 1 3355 200 1 10360 7924 1 14727 4433 1 4731 6129 3 11842 5018 1 16925 2513 1 14449 5999 4 16548 719 1 18720 5940 2 5705 1677 4 17168 532 3 13872 525 1 6487 1151 5 14553 6522 1 12324 1342 8 13827 2353 1 149 6744 14 12188 5228 2 16463 120 1 20021 2488 4 10721 2506 1 5098 201 1 5088 4460 2 8023 622 1 2816 1342 1 4050 1184 1 19727 441 1 16291 6642 2 6979 1686 6 11591 1783 6 10593 3556 1 7184 505 2 4511 8190 3 13126 911 1 3852 4189 7 16509 2912 1 4634 3371 3 5837 1266 1 1428 438 1 5616 7883 1 4165 1272 1 9916 1783 5 6806 214 6 15472 508 1 5123 2580 19 12882 3612 1 14527 1700 3 130 5871 1 19101 1267 1 14612 1296 1 12807 1184 8 9279 1779 1 8878 1464 1 19139 1572 1 14522 4987 9 19314 7234 2 13939 6335 19 13042 164 3 4985 5002 1 16130 1129 1 7543 270 1 17958 222 1 15885 7534 1 10242 514 1 10143 4179 3 1232 1705 1 16880 215 1 6182 2337 1 4422 4982 8 18063 5425 1 17475 3103 4 14193 2989 1 14844 452 1 18024 220 2 3154 1363 1 10252 1655 3 9892 2799 1 2480 6053 2 15937 244 16 2091 4015 1 11975 244 2 11741 1888 4 8332 3077 7 5880 4597 1 16853 1721 1 9026 3531 1 13570 6487 1 12922 2517 9 690 3050 1 40 753 1 757 8117 1 840 5005 20 2873 6252 1 7252 4254 1 16557 1721 1 14958 4555 1 9896 952 6 18171 214 1 7285 1091 2 8129 1788 1 13698 206 1 2777 533 1 14518 4779 1 5389 3423 2 19645 1531 3 6610 221 1 9883 2963 1 18874 420 1 83 3779 1 6838 771 1 5652 867 1 496 1302 1 11857 910 1 3305 214 2 6821 1721 6 8226 545 4 90 1819 1 18581 2542 1 13417 2640 1 6164 7258 1 790 7294 2 12985 1454 2 4965 1881 1 19522 2392 1 11472 2542 2 7823 6469 2 12213 947 1 4131 3605 2 17731 6490 1 4557 913 1 4605 5477 1 6401 508 1 3243 1363 1 17030 5054 1 13329 232 1 18115 108 1 7986 519 2 19096 6880 1 7021 481 2 5867 8057 1 12051 1779 2 8495 6649 1 17058 3863 1 19147 4621 1 1572 1747 2 15409 534 1 5860 203 1 6473 2555 2 16805 5571 1 13928 205 1 13627 5275 1 12913 2635 2 17384 902 1 18667 883 1 6953 1498 2 15497 3908 1 19273 567 2 17 1146 1 1141 229 1 6479 6049 1 9462 2722 1 10143 232 10 13069 1930 2 6658 1695 3 19822 995 1 11687 4380 4 3742 4221 2 19565 6675 1 3189 2009 3 13099 7128 1 115 5184 2 14937 132 3 2582 1758 1 8007 5538 3 17353 357 1 5929 929 1 5602 210 1 4822 6001 1 19210 589 1 12328 382 1 6883 5097 4 1609 793 1 8671 910 1 174 8057 1 1691 3551 1 62 2840 1 4305 6539 1 7853 5559 1 140 6351 5 14530 6142 1 12592 6701 1 7877 5583 1 19975 201 1 15326 4333 1 3504 3974 1 12102 3146 1 2543 1729 1 1530 5940 1 9264 867 1 43 2256 1 5573 571 1 13328 5385 1 12075 5255 2 1752 4189 1 15092 2276 1 10698 6484 1 7261 184 11 18698 1965 1 2345 1699 26 16634 1404 3 10224 1881 1 15996 1776 2 11442 3962 1 861 817 1 7823 6538 15 3397 4554 3 7086 6561 14 13829 2056 5 4386 1302 1 15015 3920 22 9620 7167 1 6247 3646 1 15948 1761 2 4493 3378 1 1092 2618 1 15364 442 1 10391 570 1 3315 4204 1 15998 2534 10 3215 4403 2 3443 4998 1 14296 1239 3 6473 922 2 2079 763 2 3384 910 1 15098 74 37 4050 1251 1 14759 3027 1 13031 23 5 17 1029 1 2423 5769 1 10401 207 1 19892 7901 1 16481 6430 1 4305 659 6 8394 2504 1 4012 1649 6 12163 498 18 7469 6254 1 12933 1464 1 11636 718 5 9342 470 4 8398 6216 1 15785 722 1 10330 2675 12 5494 1755 4 12064 883 7 1498 873 2 11047 148 1 12954 3233 2 4603 769 1 7805 1707 1 16726 1751 2 10851 1239 1 16248 6414 5 8528 496 2 2100 6161 1 1089 203 1 18346 212 1 12753 3619 2 15823 1244 1 10309 962 1 16078 6156 1 5345 6754 10 1198 1374 8 18040 951 1 1891 3391 1 5453 5803 16 8015 3048 1 7265 7136 1 9472 1939 3 3669 215 2 42 2193 3 4856 7761 19 5776 2727 8 3399 1740 2 7780 1019 1 9809 4013 3 3037 6560 1 828 1814 2 13205 4013 2 4901 5077 1 10014 2661 1 7356 5737 1 15088 3511 1 5003 903 6 17486 3747 4 2629 501 3 5688 1775 1 9215 550 1 3397 3283 4 5231 8194 1 2738 3705 1 7352 7777 2 9889 215 10 7774 719 3 3351 3285 1 244 132 1 1138 2353 2 2342 1334 2 7935 1752 4 11900 4950 5 6198 6330 1 8665 292 4 553 2305 1 18656 900 3 18714 6038 4 5630 3973 1 17756 411 10 19570 353 1 232 6178 1 19819 1573 1 6795 225 4 14493 1383 1 4979 6363 1 7145 7771 2 665 842 1 16726 575 2 18199 3293 3 12659 532 5 7649 2088 1 6099 6237 1 6545 5538 1 8528 5083 2 19217 6485 2 17827 2781 2 14655 2747 1 6219 2633 2 10049 541 1 9042 193 1 11509 7534 1 1718 5035 1 36 1987 1 5681 514 2 8763 365 1 2499 1369 1 14000 3742 2 14079 10 1 5748 1395 1 5431 413 4 18866 1235 8 27 1580 1 2255 3715 1 9549 2780 1 17771 1208 1 19949 8031 4 5174 129 1 8438 5802 2 9737 1267 1 19023 84 1 13918 5252 1 1267 1717 1 11051 23 1 7750 214 3 15192 846 1 14760 223 1 8782 201 1 16500 184 7 7633 303 21 343 1825 5 3742 7403 18 18037 90 1 56 1363 1 15837 6129 1 8735 5098 1 12549 2883 1 3228 7395 1 7127 1740 3 8528 1715 1 12638 524 2 3666 7988 1 3233 2247 1 12128 2508 1 14400 1241 1 6809 1395 5 836 2363 1 2405 1751 24 15712 8141 4 19321 629 1 1023 1482 1 13134 6628 1 7886 1826 1 3704 3897 1 1961 502 5 4199 7231 15 5220 5395 1 19633 3167 1 6515 495 1 16951 2118 2 1060 5686 3 16447 6706 13 4860 1248 5 14808 1748 5 1551 545 2 4273 4431 7 13968 2798 13 16601 3693 1 40 2080 2 10850 2378 2 16090 789 1 19504 2949 1 11637 765 1 8153 4409 1 10105 2881 6 1831 6588 1 14220 6677 2 1011 6414 7 8699 201 2 12035 232 1 8763 793 1 670 770 1 9568 165 1 15214 712 1 13002 1762 1 14686 3827 2 16676 3584 1 20052 1621 1 17135 875 19 13072 6360 2 8519 411 1 6403 4203 1 18644 1342 2 12113 235 1 18033 1761 2 6824 222 4 862 409 16 10851 5037 2 12167 2543 1 18017 5709 1 16107 2488 1 2194 822 1 11122 3920 1 16087 4002 1 14883 1416 4 20242 724 3 9553 1752 3 7017 5263 8 12271 502 1 3100 3338 1 10452 5576 1 7823 398 1 526 6220 2 658 1733 2 10147 303 1 7988 3618 1 18335 2617 1 2900 4549 1 18538 3621 10 153 6980 1 2223 1246 1 19687 8017 1 4728 7474 1 7003 23 4 4552 4107 1 10692 657 2 10229 4707 25 12514 2525 1 6536 1720 1 3015 1238 1 17342 5839 2 4332 203 2 14299 1757 1 14753 46 1 9567 7073 1 4239 207 1 10236 1201 1 6793 156 1 604 5290 1 4683 6099 5 17449 1738 1 15318 320 2 17522 3953 5 17771 392 1 13205 7398 2 17514 23 8 2995 7980 1 6918 1401 2 4688 722 9 1790 2352 2 4092 3171 1 13066 2656 2 3498 7414 3 15865 4996 1 13777 6216 1 13201 5758 2 11956 203 1 13156 6537 1 3034 2410 6 13684 1020 1 10586 1482 1 8761 637 1 7455 4120 1 17 1030 1 12695 201 2 7208 6197 1 17589 4182 1 1095 3537 1 8585 4803 2 17018 1819 2 4902 6635 4 1337 4392 3 20124 3540 3 4574 2588 34 11584 200 7 4642 1703 13 10000 4402 1 9374 1248 2 7853 365 1 7588 995 2 749 4992 1 5679 5258 1 12230 2362 1 1605 5446 1 9055 5673 1 19486 1250 1 16603 1712 4 19517 5453 1 11615 23 2 2132 2474 1 18172 867 2 496 2100 1 7417 6058 4 11786 323 3 11303 888 1 4383 5259 1 18211 2010 2 4498 2003 1 4224 1752 5 12777 3356 1 2023 6533 1 12685 1277 1 8709 4275 3 9332 3378 1 15642 995 1 18263 252 1 16515 5036 4 11251 5828 1 12009 335 2 4554 4977 1 6174 4415 1 16173 2388 1 6517 5794 1 13126 869 1 9359 1304 1 189 824 1 4389 201 1 19319 7475 1 9883 5737 4 1003 5347 2 153 6928 1 7528 1610 1 15683 905 1 14510 1771 1 9656 892 1 19329 8117 1 9271 6289 12 1883 1991 1 11573 1242 13 5535 2555 16 7563 409 1 13829 411 7 5683 6215 1 4140 3331 3 31 252 3 6502 1737 2 11323 910 2 4467 214 5 17600 6150 1 15496 235 2 9193 4799 3 1865 8 1 17416 6892 1 15669 589 2 11769 5052 1 14667 1741 2 13534 745 1 17773 292 1 11966 6210 1 5074 1775 1 6180 4096 4 14139 3230 2 9077 232 2 10876 519 1 16287 792 2 12329 7184 2 1551 664 1 4372 3512 5 15673 4266 2 4796 6793 1 18992 2087 3 11687 2662 4 20062 2885 1 8416 236 1 19137 1239 3 7301 214 1 3397 1282 1 10241 1275 2 1958 1778 1 14951 5252 1 3175 773 1 5596 229 2 857 244 5 13027 2511 1 3852 3494 5 14939 1322 2 14000 1399 16 6755 219 1 16829 336 1 10859 1439 5 2498 3916 1 16676 215 4 2197 2528 1 4617 5504 1 2013 1342 1 16057 2026 1 13821 1760 1 6829 6231 23 18197 3571 5 18655 8191 1 8193 1757 1 9244 2355 1 10316 6903 1 15220 1251 2 1783 1416 2 15235 3511 1 8895 849 2 5763 207 1 1647 1150 6 16587 1824 1 5602 743 1 6647 4305 2 12322 520 3 1053 727 2 4727 753 1 13090 1463 1 10471 367 1 9638 1342 3 16309 2438 1 18561 5129 4 12895 3905 2 8409 4322 9 8097 3202 13 18968 1276 1 14900 1751 1 13412 1321 1 6807 460 7 17135 206 1 15968 33 2 14894 329 1 10482 2173 1 20090 2000 1 10916 4077 5 14268 253 1 19375 4986 1 15491 4959 1 1589 4511 1 6943 514 3 10179 3698 1 17680 2297 4 9743 398 1 3175 2513 1 2964 1146 1 15961 3840 1 8376 3389 1 8082 4207 1 3404 394 1 11375 2880 5 5630 891 1 18728 203 1 3062 5866 1 1361 3395 3 19900 7846 2 12142 1819 1 9670 1251 1 8403 6213 1 9336 187 4 7604 4065 7 8061 1718 4 8956 4303 1 10173 1474 1 10221 7633 10 12439 5740 1 13543 838 1 14295 7189 2 11086 1250 1 14345 1665 1 17638 711 1 16645 810 1 16373 7882 2 9381 7719 3 7555 5245 1 7556 3222 1 1696 3138 1 6556 5440 2 7786 3608 3 6283 1745 2 6853 2118 1 17303 625 1 13252 219 3 4072 2058 18 7816 1732 3 18334 3210 2 14433 554 1 14602 4280 2 873 3849 1 5162 648 1 12305 4225 1 6256 2352 2 13986 244 3 13031 1275 2 15432 844 1 10698 237 1 10047 2331 1 13126 7442 1 11863 3219 4 10092 598 1 20191 2246 7 1726 1242 2 9520 370 1 12445 3685 2 19737 4156 3 10290 1237 1 20184 7085 4 1990 6713 9 5290 4673 9 7910 78 1 2486 2027 1 5124 1400 1 14031 2555 8 10207 7432 1 1689 203 5 452 3367 1 676 2080 1 20245 7367 1 10920 203 8 16916 3656 1 31 1707 3 11979 5349 1 19515 259 1 3831 408 1 6966 1986 6 7943 1827 3 16500 508 1 3584 2896 1 6544 4623 1 7885 745 1 10911 1727 26 9765 207 18 10216 1398 1 10670 3186 8 12262 593 1 4218 3772 6 4688 656 2 3193 4200 49 7610 817 2 706 2617 1 8438 4582 5 16569 4472 1 18508 2680 1 15518 340 1 3164 2355 1 19420 2118 1 7147 1769 2 3390 1450 1 16726 367 1 18730 7565 1 17850 2877 1 14566 8122 2 7789 1480 1 5364 1756 1 17580 4603 1 954 2464 1 7914 2065 3 6612 214 2 11674 1695 1 2723 6343 1 15398 945 1 2275 1781 1 10916 843 1 1586 23 7 12214 233 2 10297 3333 1 10953 4455 1 18153 2367 2 19463 7234 6 65 3194 5 16755 3408 4 17099 4030 1 2939 931 2 7839 168 1 14815 94 1 9521 3233 1 4106 1664 2 4872 1995 12 18357 1705 1 13745 8076 1 16530 903 1 14320 2881 1 10632 6346 5 19864 1995 1 7405 2959 3 962 634 1 19606 1737 1 15957 233 2 17120 2626 1 11678 2595 1 10725 2043 1 10178 2571 1 1312 5499 1 10976 2649 1 11956 221 4 1609 225 1 8831 962 2 4885 6661 1 6400 4716 1 11906 3361 4 13897 411 11 683 214 7 7300 2030 1 12688 762 2 9088 7313 1 7217 1677 1 6884 3922 1 2771 1786 3 7914 1424 1 4730 7018 2 17983 5004 13 18869 5580 1 1059 2639 2 17896 8164 1 26 1529 1 6881 2891 2 153 895 1 4265 2569 1 1013 8139 5 17061 5185 1 2674 203 10 11345 5018 1 16378 1249 2 6133 310 2 10856 6645 1 7184 1718 3 3697 1253 1 13743 510 1 5577 2355 1 19137 4077 1 7358 1692 2 8289 2270 1 670 6473 2 10093 4252 2 10549 1717 1 5602 1561 1 35 1860 1 7750 910 2 12817 4467 2 14402 3670 4 17061 2880 1 6328 1698 1 8591 1739 3 14639 5730 1 3359 1762 4 13544 1271 1 17960 200 6 17009 7895 1 17416 2970 3 2829 2969 1 4446 5702 1 12337 215 6 11809 215 1 19475 4293 1 7157 1699 1 18518 1819 16 18232 2056 8 8221 5489 1 1588 1183 1 4092 7050 1 16000 5018 3 9757 512 17 8055 2529 4 11613 186 1 496 367 2 4093 200 1 13165 6203 3 1713 253 1 8626 3523 5 8558 501 1 13919 7474 4 15957 1729 1 13425 418 1 348 1399 7 10821 780 1 1924 935 1 11258 821 1 17436 2958 1 1174 533 57 3814 8200 1 3159 1698 1 6866 3682 1 6341 5172 1 12459 5324 4 7575 1246 1 18237 215 4 11514 338 1 1714 1757 4 8746 1383 3 12775 4022 1 3008 5712 5 13638 952 1 19967 1710 5 1007 386 1 4380 7556 1 11583 7350 1 10000 374 1 9269 2831 1 14239 510 3 12075 5251 1 2710 7215 1 13027 2118 1 9759 206 2 15943 957 4 7454 7511 4 11815 3385 1 18302 3271 1 2990 4468 2 174 7873 4 15656 5162 7 1636 1781 2 10290 190 1 18455 7599 2 10445 5285 1 10957 1829 3 10213 6342 2 13482 3167 1 1228 3333 1 12811 5062 2 13570 4528 3 812 367 2 6519 753 1 13015 534 1 9679 23 1 14553 1333 1 11975 514 2 5967 6936 1 15051 4983 1 8709 1268 1 13800 2097 7 988 220 3 12640 4280 1 6229 2363 1 13114 1163 1 9834 3404 1 15996 186 2 16293 5007 1 5933 3602 7 11467 8144 1 5728 1729 1 4602 5607 2 174 8042 3 14968 512 1 1212 4489 16 13362 1247 1 6394 2626 1 12829 2747 1 7070 1518 2 3349 258 1 15227 1764 1 3815 3414 2 7962 1464 2 15318 5992 5 7916 232 1 15228 7461 1 1489 219 1 11916 7494 1 14964 5023 1 4778 1290 4 17886 6414 1 2870 7304 2 12044 1753 7 15637 6946 1 19491 201 10 7346 23 1 10720 290 1 6193 341 1 3960 1761 5 12970 3945 19 787 863 1 14492 2067 3 992 2363 1 19526 3799 5 8935 2626 6 1749 759 8 6647 5186 1 14375 8183 1 1504 1996 3 13290 6026 1 15624 1076 1 16307 1736 1 18534 6178 2 9714 4951 1 8198 227 1 3498 2155 1 101 4607 2 7986 1250 2 151 6808 4 11998 5347 1 4477 3652 2 7653 7308 22 9138 2675 1 13328 600 1 3970 2355 1 16664 225 1 11648 1761 1 16881 1871 1 5860 7439 4 9949 5051 1 11342 6663 3 9065 5302 6 8645 2853 2 6811 6330 1 2905 4012 2 4267 3900 1 12 513 7 7823 2363 19 218 3283 1 17783 5266 2 8116 6436 4 1098 6342 1 2154 2577 1 2448 4373 1 1488 1600 1 4634 741 1 15385 336 2 19054 1679 1 19776 526 1 16956 4501 1 13673 1282 1 5485 4761 3 15618 5780 1 8830 1244 1 135 74 2 9759 2362 6 13563 5051 1 17646 6257 2 6408 7799 2 7224 3150 3 4935 4226 11 8402 1743 1 13605 52 2 19877 167 2 1132 156 1 1988 545 1 20217 688 1 13452 363 1 16768 7524 1 745 141 4 7317 771 1 8532 471 1 11562 5648 1 2557 6132 2 11678 690 1 4148 1482 4 1826 5559 1 9930 6091 9 15084 23 6 16287 5436 1 18070 394 1 15313 609 1 13928 2678 5 3146 6917 1 18950 231 1 18992 3231 2 14910 1752 9 8298 1121 1 5181 4654 1 10014 1247 1 818 665 6 4606 2542 1 14102 1718 3 4665 5135 15 12862 479 1 13535 545 5 9120 5071 1 5959 5418 1 6394 3540 5 13030 865 1 20241 1752 11 19602 724 6 778 6665 1 4620 2552 1 19822 4249 1 10327 4479 5 11549 6486 1 19056 8066 1 6795 206 2 20256 7767 2 3523 3813 1 2732 718 1 5785 1717 1 5248 809 2 100 3423 1 2056 225 3 12519 2661 1 18033 1739 9 14589 2699 1 902 2165 18 15865 1250 1 12450 2982 1 7590 23 1 9541 215 1 10586 525 1 13792 244 1 5161 7005 1 7220 203 61 9946 3920 2 18174 342 2 17580 1235 2 10876 1247 2 11736 1695 1 18094 7251 1 1752 69 1 13813 3663 7 5172 4022 1 5953 3020 1 1803 2058 2 17681 5686 3 10145 5724 1 65 3187 21 15483 215 7 14631 2653 1 18730 7120 3 12148 1432 1 15663 200 5 5643 2542 1 10584 534 1 18508 1226 3 9242 1799 1 7333 200 1 4570 23 3 11104 1655 1 13581 4992 10 3085 367 2 15722 1748 3 886 3744 4 12213 3049 6 5801 4383 1 17252 4297 1 15397 3516 75 4898 303 15 11572 1184 1 15107 5466 1 14515 1464 1 11097 7860 1 658 7229 3 3075 221 2 4389 148 1 127 5725 1 16790 3298 2 10382 3808 1 4739 2698 1 18071 3220 1 7482 6545 11 5373 4431 1 7832 4621 1 1284 6062 4 18042 6397 1 18519 3081 1 2490 669 1 4871 2316 1 1912 1721 2 835 225 1 11473 3220 8 10327 843 1 6697 1731 8 16236 880 1 14017 7493 1 17652 244 1 3752 5338 1 5131 1595 1 4561 3591 1 6869 6164 2 3894 5162 1 10708 3808 1 19835 7305 5 15193 234 15 3491 1742 2 13461 863 3 4194 520 8 13818 206 2 16423 6178 2 9365 2649 1 4265 100 1 9847 825 2 11860 1761 1 10832 867 5 7870 1395 8 14566 7905 2 7430 1244 1 232 2985 1 9180 1677 9 11736 881 1 9224 5945 1 8926 7256 3 18462 3414 2 10728 518 2 18815 1342 3 17505 152 6 74 3483 7 10586 6649 1 4371 4299 1 4234 1036 2 9346 3193 1 20108 554 1 16101 3911 1 14101 3057 2 17397 2920 1 7933 5550 1 4632 512 1 542 3558 1 6624 1096 1 6294 7166 2 10442 2362 2 4590 7135 2 35 1963 2 4309 4761 1 20022 308 1 5044 1741 1 1668 520 3 3133 3798 1 17586 7397 1 13204 5618 6 1519 3525 4 20148 1245 1 15608 610 3 13940 6473 1 5951 7422 4 20029 3328 1 17329 2559 10 11418 844 1 11537 1453 2 13627 1819 1 15811 196 11 1198 7604 3 8501 7187 2 15314 5466 1 4785 4618 2 133 6069 8 15652 1296 1 14172 2468 2 2294 1781 1 15725 215 1 4315 23 1 717 1250 1 16636 2007 2 6719 1234 4 11398 229 7 9298 3511 7 5645 498 2 4332 1252 1 8298 7359 1 7007 1267 1 9245 74 2 9279 2353 3 4204 6673 1 4885 3632 1 6431 1642 1 3580 525 6 4850 2880 1 20118 2072 1 18548 597 1 16378 411 6 593 1250 2 19478 5385 11 138 6329 1 4923 84 1 10362 7852 1 4332 1819 1 17634 3899 2 6570 4667 1 6806 1482 3 17392 3910 2 5850 2247 2 165 7532 1 12012 6607 1 17395 3595 1 8441 2968 2 14010 401 5 11179 2028 1 53 2578 1 18524 409 1 9462 2710 2 19557 4640 9 13031 214 4 7949 3838 1 1801 401 1 6587 304 3 5868 5104 5 7099 78 2 18849 534 1 20090 4384 1 19409 6470 1 5789 1730 1 11786 3910 5 19597 1308 1 11552 203 1 16950 6698 1 1506 206 1 18183 506 2 17798 200 2 10670 221 1 11799 6374 5 7882 200 3 19268 225 12 5208 517 1 808 200 1 6796 5547 1 18790 2013 1 979 199 5 98 4451 1 126 5605 6 13140 3973 3 18231 6129 2 4631 699 6 6233 473 5 15409 1727 1 9773 1251 1 15676 1250 1 10403 952 1 19123 1371 1 15722 232 1 15818 2184 5 17048 1399 4 17844 201 1 15411 1251 1 4242 6943 14 14522 3015 1 14842 6714 1 3119 5105 1 14770 229 1 7728 1713 3 9718 4096 1 1993 6609 1 15956 3026 1 10229 523 1 3199 1743 1 15260 5040 6 12533 6897 1 10587 5316 2 12603 6331 4 13 946 4 13806 4392 1 13018 7407 1 8761 876 1 5748 947 1 130 5824 3 13676 2559 3 17392 1778 1 3655 2363 3 5424 8029 2 1034 1686 3 19559 5903 1 12642 5368 12 18121 6011 1 97 1235 1 8626 1752 1 13490 2493 1 2309 2729 1 8506 3980 2 9752 2355 1 15576 667 1 5681 1705 1 2425 3667 6 9525 7410 2 108 3484 1 15567 5916 2 7587 6606 1 11889 2534 7 14313 6100 1 19846 215 1 9552 1784 3 14296 888 2 19931 1885 1 15159 4383 5 9426 2671 1 16192 1253 1 13271 584 1 17202 4075 1 6302 634 1 8323 460 1 13730 4880 1 19648 422 1 19428 1737 3 15299 5473 1 15648 4959 1 2041 1748 1 8260 2569 1 3673 2089 1 600 1727 4 1679 7477 1 17873 3685 1 17088 1253 1 12006 1893 1 17435 5997 3 11602 2360 2 15307 7937 1 17664 1681 1 9675 2698 6 4966 201 14 15791 870 1 5505 3333 6 8793 736 1 20134 1357 1 16192 1751 1 4092 552 1 11999 4766 1 19471 7929 4 11785 3429 1 8513 5435 1 12679 7240 1 6036 3167 1 5231 8184 1 5243 3323 7 14519 1659 1 16090 688 1 5630 4554 1 8833 252 1 10502 1728 1 3241 223 1 8659 6278 1 14686 4103 5 3596 1757 1 19012 2176 4 11044 753 12 2198 23 14 485 887 1 16841 1399 1 2784 1737 3 19542 5080 1 10179 5989 1 7853 5295 1 5252 6164 2 18125 3904 2 10889 4073 1 20264 5002 1 6164 5526 1 13255 3519 1 10300 4540 1 13514 6532 1 1973 725 1 13671 7474 1 3515 156 1 10462 441 9 618 5419 5 18122 3247 1 16933 1704 5 10514 2246 1 9648 2331 1 5515 203 1 10826 608 1 5681 23 7 18561 8013 1 10498 2089 3 8610 1717 1 16315 931 1 18320 903 6 1200 6414 8 17746 1705 1 115 5176 2 19874 533 5 4239 2350 1 10839 545 1 15120 220 1 17717 2626 1 13231 5289 1 10469 1184 2 9386 10 12 12663 510 2 12843 6252 2 3360 525 1 12406 545 1 1142 4606 8 20019 2668 2 17312 7401 2 9988 1257 8 12819 1825 1 14305 557 1 3654 5506 22 6091 3113 1 6192 1246 1 17989 6276 1 3887 1738 1 6517 372 1 11926 5135 2 7737 1237 1 5452 7406 2 12247 7216 4 15346 4022 51 9432 963 2 7455 471 1 1421 4555 5 2570 7066 1 4880 1103 5 8116 5137 1 4493 943 2 14947 3410 1 163 7416 2 785 214 1 13647 4794 1 6816 1464 1 13358 4622 1 2980 2958 1 10272 525 1 10509 1819 8 899 699 1 763 1825 1 4990 2521 17 8531 1573 3 35 1901 17 13090 2827 1 10977 4903 1 19352 631 1 16664 23 1 14830 4961 3 2103 3444 17 20145 186 1 4000 314 2 7214 4409 1 7406 1237 1 19872 15 3 18634 5274 1 8977 3522 1 8940 794 1 109 4950 2 10354 203 4 12327 2297 18 16768 1395 2 4524 7850 3 19996 616 1 5285 2844 5 1465 2641 1 4083 3151 1 1677 5594 1 13104 200 5 17628 5315 3 13383 1771 1 1612 222 1 20 1299 1 14208 2897 1 14049 6126 4 8358 2495 1 18289 637 17 13638 6533 1 14952 2013 15 13262 5575 1 13739 2889 5 10903 1191 2 1280 2366 1 17667 1582 1 83 3823 1 72 196 4 178 1721 1 15778 7670 1 16827 1395 2 12711 7542 1 450 840 1 18183 1247 1 8801 342 2 9678 498 3 11712 3466 1 4572 5768 1 6750 6341 23 14393 3292 1 8786 1035 1 9605 10 12 10316 3693 3 81 3693 1 439 2056 1 16895 6481 11 8926 1321 3 1275 225 1 10315 4589 1 12821 5528 1 19222 6157 1 11327 514 2 171 7635 1 14063 944 4 4663 602 1 5036 903 1 18973 7517 3 5907 484 1 2418 2448 5 9163 7008 2 5039 1757 15 1592 207 1 18876 636 4 13977 4526 1 9245 431 1 16895 3798 5 1678 141 1 11207 7090 1 20181 7410 6 3105 6226 1 7994 741 1 17954 519 2 19194 3558 1 14906 6341 10 10586 5091 1 14339 1571 15 16143 292 1 115 5144 1 2864 918 1 9696 207 5 18985 2480 5 727 8037 1 16704 6619 5 10474 1357 1 4634 925 1 7616 6933 1 6419 7250 1 14011 7155 2 7587 235 1 14569 8174 1 17695 2012 1 14773 1374 4 17809 1729 2 8209 4702 6 19990 184 3 7397 207 1 19881 7614 1 19489 4796 3 16476 7394 12 19190 4992 1 16303 1328 6 2905 2737 1 13026 6501 2 15896 1121 2 11206 1788 4 8343 514 2 7432 6574 1 15272 995 2 1570 1718 1 13283 3421 18 14105 1241 1 16299 4280 5 18716 3311 6 10752 203 1 5535 196 17 12112 794 1 10943 2860 10 14182 2530 4 11844 6597 11 5815 193 1 9527 6122 1 3696 1296 2 17450 3546 1 3189 429 5 436 1545 1 17995 7401 2 6545 5758 7 11663 6954 1 1884 470 13 8528 1251 3 12077 3671 2 12980 6341 1 10923 6620 1 7969 2068 5 15500 2290 1 7363 360 2 15890 1665 2 9743 5848 2 17662 1395 3 5886 1913 1 18675 194 1 5344 116 1 12361 692 8 1464 1769 1 6855 2360 1 9227 2343 7 10821 638 1 9873 1737 1 12782 5016 1 11219 5060 1 15896 2362 1 11502 5271 1 18296 1768 9 5271 7641 1 6611 1373 1 11629 825 1 10649 1612 2 19641 506 1 1824 706 2 13305 6706 20 8031 4296 1 2652 7291 1 15075 2580 2 1430 4099 1 8709 6342 5 8009 4582 5 19276 6488 2 4625 7704 1 6086 498 1 15948 232 4 13445 6428 8 8299 766 1 2131 23 1 20237 353 67 17137 1717 1 17212 1237 1 18308 2853 1 17436 1085 1 7109 3382 1 12095 1801 11 12387 4435 5 6681 697 1 19767 1246 8 18045 1770 1 4583 5737 3 10464 1363 1 18119 201 1 16727 252 15 13329 688 1 113 5054 1 8015 1755 1 2274 479 1 19812 6776 1 3505 95 1 1376 310 1 18535 1249 3 8484 2686 1 11848 223 3 12766 3074 2 2379 4963 16 11366 2363 7 11020 8036 2 81 2836 2 14197 219 8 10145 874 1 17371 1642 7 749 1312 2 3807 1238 2 19792 1333 2 19379 625 1 12935 1928 3 19601 7958 1 6105 3430 3 15537 235 1 80 3633 2 13000 498 3 16661 3103 1 7682 766 1 15428 4292 1 13601 4609 2 15217 2626 1 10147 519 1 8620 1907 2 12773 1819 1 4519 1184 1 10576 225 1 12865 4949 1 11559 471 4 8486 3932 2 16886 6192 2 13928 3617 1 14519 236 3 2689 1296 2 3705 353 5 15687 834 1 18538 156 11 270 1717 1 11533 5591 1 5056 3202 11 1705 2770 1 15923 5187 1 15653 2854 1 16616 47 7 455 1067 1 11956 244 1 12231 570 1 3432 1244 3 8183 788 6 19319 201 17 16132 807 1 19034 6873 1 16004 4146 2 15416 6561 3 17918 3971 1 15818 1247 1 6023 5031 2 1405 1618 1 17638 874 8 14202 200 5 13219 1698 7 13219 1747 10 4716 235 1 10792 1312 11 10060 5390 2 5378 215 2 8439 501 1 4259 1724 1 14290 4534 1 19152 1395 4 5305 1721 4 14913 6343 6 7868 1296 1 12230 11 2 2390 2291 9 310 1356 1 10575 920 1 19957 589 7 17913 7497 1 15572 1719 1 15970 1685 1 3233 1724 1 8117 410 1 17685 1775 1 20116 506 14 17710 3895 6 7228 2808 3 19886 4411 1 11086 1758 1 37 304 1 6447 6564 1 7378 7734 5 359 199 3 12262 1761 1 11965 6164 1 14823 6341 1 3248 2974 1 244 5903 1 467 5054 3 17953 523 1 19366 741 1 888 505 1 17514 2880 1 6369 173 1 5840 2675 12 3876 1718 1 6814 524 21 2305 1441 1 11215 2291 1 19301 1721 1 16117 1649 2 6942 3679 2 1397 4059 1 9029 600 2 605 76 1 17 1072 9 13445 3076 9 17909 2827 1 5329 1747 1 5095 1331 1 18342 6077 1 20084 1724 6 18667 510 1 6431 2635 3 6269 1739 3 1743 4245 6 19562 6170 2 8429 222 17 121 367 2 1592 5399 1 16727 184 29 4748 1643 1 3772 6480 3 11678 3803 1 9935 6533 1 15191 3936 4 15594 10 12 14985 6407 1 2990 4156 14 1539 1276 3 17191 15 1 17 1232 1 9610 411 1 18518 1721 3 10295 863 2 19208 4307 1 18734 2019 4 13461 13 4 7528 7165 3 6224 2351 3 12147 214 3 8064 4059 2 435 1751 1 15314 6897 1 7436 1730 1 320 1737 1 19003 1823 1 10591 1298 2 14305 141 4 17150 5439 1 7706 1417 1 4636 1772 3 12897 1168 1 14797 7815 1 3880 7359 5 19262 2566 18 7985 533 5 13829 505 1 20275 3741 1 3696 1756 1 5825 1548 3 11591 1665 3 12717 3649 3 12954 1328 1 11108 4119 2 18183 1768 1 327 1193 1 17312 505 1 3671 2671 10 14556 4967 2 1462 4196 2 2704 4388 1 16592 222 1 9733 134 1 19204 1747 1 15740 3892 3 992 629 1 4438 5604 1 13461 7850 5 3790 6607 8 8611 191 1 18572 219 15 9424 2552 5 4634 3634 1 14412 3643 1 5280 510 1 14025 6954 3 16769 5871 1 658 1241 3 19901 1743 3 7731 7420 2 19970 214 1 1962 7554 1 2962 902 1 6722 5481 1 2772 610 4 14546 4262 1 16942 4796 1 5707 197 2 12725 4665 11 17572 5036 4 1150 6406 1 10160 1235 2 14393 3291 1 8416 474 1 7263 2089 1 16568 2342 2 11709 1872 2 1813 4972 1 20126 1775 1 7627 1498 2 8280 219 1 3274 1973 1 12784 5490 2 18669 1679 3 10325 696 1 9781 3799 1 10 295 1 12072 5105 1 19940 2424 1 1973 7529 1 20258 6710 5 11315 4291 17 3985 2651 1 9899 1482 5 13292 4120 1 10185 4080 1 83 742 1 15015 4167 9 20256 633 1 10705 5757 1 7483 7920 1 15982 4028 16 16727 2065 14 14935 3971 2 17220 910 5 3926 3334 4 3379 707 1 1054 1692 3 7441 2224 18 6292 634 6 19760 8096 2 10004 35 2 16077 1718 4 17382 2087 3 11276 3012 1 17117 204 1 668 1713 1 19026 3262 2 8614 6758 1 11967 74 1 19339 6080 4 2980 4489 1 153 2768 7 2980 2132 1 11345 2488 1 20007 4394 1 1588 890 2 18104 2746 1 19140 7734 6 2531 831 1 4900 7470 2 16986 1105 1 13526 2448 1 17786 1739 1 727 793 2 8471 225 1 9767 5686 1 11349 6363 3 15700 1182 1 926 1756 1 6538 5103 1 9188 712 1 7610 646 1 7831 2481 1 17414 5461 7 14239 3020 4 15352 634 2 11567 1825 1 4524 3671 1 83 3780 1 17917 4459 4 2583 3887 1 13580 2649 2 3570 4013 3 4561 903 12 11755 5243 1 16787 3161 33 123 5368 36 17749 7916 3 19373 1649 4 5737 214 1 15184 3920 7 5632 545 7 16792 223 1 9208 3685 2 742 6706 1 1530 7013 1 7374 3910 1 17127 1695 1 5264 73 1 9524 5018 2 10182 4713 2 15869 520 2 9802 3330 3 7089 1819 1 11248 134 3 13699 3596 1 13870 3892 1 159 7226 1 5544 1788 3 14599 629 6 906 2875 1 7451 1824 20 484 658 1 7545 1245 2 16096 1781 1 5540 3442 1 6357 1573 1 9302 684 1 16029 1667 6 8240 220 1 16984 7337 1 6810 6192 6 6558 1946 3 13619 5531 116 15355 7633 2 10840 1244 1 3446 7980 1 6997 5259 5 4208 3471 2 1061 1734 7 3712 5309 1 15106 1247 7 15269 2617 1 16790 1726 1 9376 203 26 16236 1482 1 11499 4306 2 15634 514 1 1654 8117 4 12958 6065 1 14317 1373 1 5301 7850 8 20114 13 1 5431 5513 1 18476 626 1 6348 770 2 5832 6538 1 11247 95 2 13170 11 3 5139 2580 1 19643 3679 5 11411 2671 1 16166 2148 10 15756 2071 1 7560 1245 1 15481 5077 2 13652 2366 1 18734 3578 1 11520 1667 1 13777 3661 7 13801 5325 1 15279 6029 1 12459 1359 2 13490 4838 1 8001 3570 1 8125 5702 1 19355 1146 1 16595 1965 1 19602 3036 1 6461 1738 3 7433 23 1 5378 502 1 1634 5257 3 12633 5555 1 14969 2618 1 6388 1573 2 9580 1666 1 17746 1247 7 4189 3644 1 10457 2869 8 13587 2504 1 3964 201 15 335 5314 3 8851 1782 8 7683 1738 1 19853 6091 1 18083 2370 1 16740 5128 1 10948 2170 1 17014 452 4 16500 201 2 10313 2511 1 18980 1707 1 83 3775 1 16236 214 3 13412 1286 1 13552 2378 2 5318 3476 1 12817 452 1 4727 5008 4 12126 7229 3 13997 823 1 3878 6649 3 944 3304 13 4496 1721 1 3310 6747 10 16254 6897 2 15289 4597 1 7594 2604 2 1596 7995 1 14274 1789 1 4022 6585 1 6524 252 1 11796 885 1 10546 489 11 19920 6152 1 2059 4361 2 171 7745 1 2611 203 1 4057 844 1 16026 3474 1 13827 1756 1 12680 1372 2 16832 367 1 6112 7342 6 15608 1312 4 12283 3511 6 9195 1819 6 9713 1721 2 10090 244 6 16013 1417 1 17065 6557 2 3498 545 2 11968 1342 1 17685 4703 1 83 2955 1 7454 4635 1 10314 4204 1 17165 3314 4 4049 4124 2 2586 6395 1 1760 5446 1 10715 867 1 17080 7660 5 7957 1716 1 7930 1245 1 3012 615 1 6228 963 1 4930 502 2 8080 1685 1 10778 216 1 14247 232 2 7487 1734 1 20082 779 1 1904 2675 2 9520 1044 1 18807 3816 1 1173 953 1 54 2620 1 13323 881 1 5801 7105 1 3133 165 1 18872 763 1 7028 4403 1 8361 6132 3 17986 3276 1 5503 1270 1 10135 1762 17 14981 1757 1 17317 4244 1 1863 7485 2 8629 488 1 18076 3256 1 14147 1253 1 5424 7859 1 13002 2478 1 5156 5252 1 11804 7815 1 9508 5306 1 13710 3519 2 7566 1789 1 13543 8141 1 13281 1237 2 12378 1878 1 17066 3824 1 6122 200 5 4030 765 1 3796 656 1 19668 6543 1 16303 2066 360 15211 2475 3 5037 2715 1 8656 7863 1 6521 1249 4 7553 1727 1 11882 7066 1 7639 303 2 4809 215 10 7916 505 2 3822 960 1 13642 2416 8 20117 7206 1 9013 6228 1 12393 1207 5 3329 2495 1 17555 498 5 4694 1774 5 12006 2291 1 17825 1730 7 13999 1745 1 9250 926 1 6847 2297 5 19115 1781 3 10950 4555 1 17160 2699 1 13030 595 1 5743 338 1 18879 1035 1 15167 1380 1 18262 4998 6 1664 7719 1 8851 3263 1 13985 2175 5 17169 221 1 7078 2531 2 15184 1751 5 9803 221 4 9188 689 1 3174 222 1 15743 5306 1 3294 855 1 19972 449 1 11245 2155 5 18222 2259 1 7203 2056 31 1667 4056 5 2392 3070 1 11573 1395 1 10853 4849 1 113 1505 1 8419 2881 3 5577 1739 1 2041 1781 4 14196 1532 1 19268 1296 7 7070 6361 1 5202 7407 1 13995 1739 1 15203 4868 1 7823 545 30 10883 754 1 10207 7494 4 8535 3152 18 6202 4163 1 3441 2239 1 19246 4615 1 2418 880 1 11387 2876 1 8015 1537 2 14173 1707 1 15419 23 1 14472 937 3 2032 3669 1 19193 4363 3 18263 1363 1 4496 4435 2 13153 2343 1 4964 6897 2 1570 5532 1 1898 222 1 13009 5294 5 12455 1029 10 684 173 2 3584 3522 8 18069 786 1 13806 685 2 15713 1172 1 7538 2746 1 11392 2280 2 19055 1246 9 3134 4695 6 17154 1748 4 12071 1739 5 7330 4156 1 1255 5774 1 6809 1819 10 1696 303 1 19463 7267 5 19970 132 1 6926 488 1 18257 2376 2 16816 3045 2 3083 1007 10 9310 8094 7 9969 1235 2 15405 8084 1 10862 8139 4 81 3685 1 7778 525 1 5407 7542 6 8408 348 1 1443 1374 1 11763 6778 1 6273 4708 2 16496 1395 2 18105 3920 1 17342 889 1 8683 638 1 19918 514 2 17262 7883 10 2748 6525 1 11639 1783 5 14921 910 5 8532 1241 1 8361 4955 1 5962 7534 1 10160 5664 1 3828 4653 1 19237 1146 1 6650 6875 1 979 23 2 57 2262 2 18821 4499 1 7817 232 1 7020 8185 10 5102 1990 10 10956 1825 1 787 2683 5 17218 5489 1 16857 1464 1 11338 3233 1 20130 7439 1 4778 3581 3 8361 2678 6 1631 7629 2 11898 5129 1 6740 3244 2 7968 2917 1 9532 1710 1 725 4689 1 15144 2626 17 7487 1401 3 18418 505 1 3103 3904 1 4379 3629 1 1405 3600 1 9760 1374 2 19960 6091 2 7587 232 3 2816 156 1 17719 219 2 4799 5131 1 2306 10 1 14975 387 1 9453 825 2 19962 3725 1 2308 525 1 16741 3399 2 18175 201 4 13954 1453 2 857 235 1 18116 3058 4 8594 792 2 1083 6717 1 15618 1769 1 7286 1778 2 13330 6692 2 16664 1781 1 6451 6539 2 8965 1737 1 992 1234 2 18193 1714 3 14814 2383 1 11509 1291 1 16916 6943 1 4527 308 18 11193 46 1 8763 10 1 8004 46 6 13543 676 1 13578 2692 1 2375 234 1 6074 2386 2 15212 1814 1 8117 244 7 153 6912 1 10466 2097 1 15136 600 1 4634 3404 1 5884 1146 2 2646 6480 1 8896 7401 1 15400 3221 3 6533 3147 2 5532 4761 6 15654 3960 3 18042 420 1 11442 5054 1 1749 6242 10 10112 7719 1 16844 1374 2 5494 471 3 16998 1794 1 1906 3583 1 3940 4677 1 19246 3074 4 13875 461 37 2737 5036 2 15272 4296 2 18568 1190 1 17298 1881 4 3312 2767 1 8034 1714 1 14996 7401 1 11354 348 1 70 3278 1 822 274 1 8274 4967 1 2646 6651 2 1966 1714 1 5383 1734 1 7987 6102 1 9660 4285 1 9134 880 2 14599 548 7 4331 3766 6 17664 1731 4 3913 1352 5 18418 858 1 16836 8162 1 11935 1732 1 4278 534 4 6570 3631 5 15749 6051 9 1561 777 1 10694 1395 1 12064 3571 1 2693 1770 1 16674 444 1 4451 1644 1 4660 1727 1 10729 3920 1 7032 2883 4 19217 3009 1 20059 1235 2 18827 5157 1 14015 1946 6 18421 883 1 6498 1743 1 16987 200 2 6644 3276 1 2529 260 1 5637 1244 9 13109 1730 1 17436 6910 1 6070 1282 2 3586 7719 2 83 3711 2 13071 7419 1 6867 3024 1 10543 3358 11 3919 560 2 14204 6368 1 8161 1573 1 17940 314 3 17730 1367 8 8166 3980 1 2743 1235 1 2413 6283 1 6861 225 1 16882 237 1 19326 201 3 1958 1730 2 2072 1067 5 20098 197 4 16145 203 1 9050 8198 2 10498 5919 1 2523 7972 1 5277 4695 2 5515 4450 1 14059 5767 2 7962 4992 6 13728 3 1 19613 3760 5 1969 4286 1 14832 1302 3 10902 3798 2 19322 229 2 10268 411 1 11405 8139 1 20055 623 1 11108 2500 1 10102 46 1 14374 219 24 18504 214 1 11773 7085 1 17141 765 1 11934 1727 9 4442 3167 1 12269 5348 51 5431 7411 1 18425 3206 1 7334 903 2 5684 911 1 17568 532 1 5195 353 1 152 6836 1 11058 5289 1 13777 6180 1 15022 7018 14 18273 7632 2 7566 6335 11 3650 214 1 3360 1369 1 3233 1245 1 10795 7222 146 7227 4597 3 12913 6793 1 6397 1104 2 3816 6268 1 8994 6120 1 16957 5425 1 2175 221 1 11509 3012 1 15815 1250 1 3580 1695 1 10247 411 1 83 3741 1 6228 4447 1 14908 2969 6 9700 8148 10 10111 1250 1 4259 519 1 15465 8183 1 13289 5234 4 14550 4635 1 14724 3903 1 10889 5021 1 12406 508 2 7256 6107 5 16665 863 2 5993 196 2 3485 173 2 8681 7399 2 14184 470 1 3152 1610 1 11388 1955 4 2505 5350 1 3407 200 1 5972 3888 1 808 1760 1 17662 1734 4 15411 2488 1 7176 1730 1 6124 97 2 10764 3836 3 1507 1825 1 15943 4383 1 669 3640 6 5823 1235 1 15429 651 1 2905 3537 5 13800 4314 6 3853 3654 1 7129 1707 10 2777 2675 2 11370 193 1 14117 2611 1 19256 8201 5 6617 1340 1 6277 3705 1 5610 656 33 9213 7719 1 13006 215 3 14233 1775 2 314 215 3 7392 201 1 15818 4998 5 458 7263 1 3827 1764 1 1160 232 3 5038 1363 1 17150 2980 1 13743 7412 1 15067 4128 1 3581 3590 1 6952 3571 19 13865 225 1 13830 386 1 10670 1770 4 12819 1613 1 18633 2459 1 8418 2307 1 2980 3016 1 12433 5260 2 17195 76 3 12602 6231 1 19428 1424 2 1000 3627 1 7490 1758 3 19967 1629 1 10330 501 4 16421 6152 5 10293 3230 12 7783 7404 12 1986 1737 2 10283 7469 1 8199 4792 2 17662 1342 3 10212 581 1 17335 3283 1 16063 5430 1 10973 3138 1 18076 762 1 9546 608 1 13060 1237 1 11693 2549 2 3581 5097 3 9732 3547 1 17286 185 1 10910 7134 1 786 6166 3 18565 4236 1 5768 5291 3 7498 6892 2 18667 498 1 4014 244 1 14452 4107 1 17687 1251 7 16036 3216 6 10786 4343 1 8891 545 3 2718 8127 1 15948 910 9 20145 1237 2 7165 409 1 15634 1184 7 3808 663 2 4251 1251 1 18536 4515 1 12250 684 1 13252 8145 1 3597 1901 1 14658 220 1 6817 2993 6 10145 64 3 16246 1450 1 10715 196 3 16304 838 1 581 6980 1 6057 6252 1 9465 7604 1 5424 5353 14 4120 7445 1 6431 11 3 17048 1760 1 12669 1234 3 19136 1789 1 15750 5156 1 3274 1917 1 11393 602 1 5526 4986 10 7705 6053 9 8476 2678 8 10534 1772 1 11065 1730 4 16727 2184 59 6418 4394 9 802 6777 3 19056 5977 1 12702 779 1 4061 2683 1 5637 201 1 298 7237 1 11314 2260 5 16176 221 6 5738 653 1 12919 6587 1 10283 6047 4 14657 1259 1 4935 4302 1 18859 5734 1 14178 200 1 18250 2686 1 14011 4869 7 13558 3526 7 18420 1564 4 5877 1244 9 18183 1244 1 4561 1146 1 16827 3025 1 7823 1112 1 5743 864 1 15833 229 1 14298 3020 2 12450 995 1 15652 201 4 83 3818 3 4617 941 1 7235 6446 1 11374 6383 2 16857 1730 1 8250 2737 2 4387 5020 3 18965 1235 5 15316 203 1 888 696 3 2947 339 1 13818 23 4 15133 2205 1 7721 1751 1 13540 265 5 11179 3275 1 981 3671 1 2927 8002 2 6934 935 2 16024 8118 4 8486 219 2 16491 3351 1 6089 6064 3 4249 1703 3 5804 3576 6 1989 7237 1 8391 2774 1 17060 3073 9 10848 2979 5 4880 2519 1 19131 1978 2 7996 4355 3 5801 5398 1 8657 4022 2 19408 1995 3 7882 219 5 1885 206 2 12060 6912 5 4498 88 1 6647 3374 2 13020 225 1 10202 1503 16 18237 1237 3 17746 541 11 2404 995 1 18960 638 1 13114 2115 4 5246 3399 3 1962 5969 2 11644 6626 2 17333 3333 2 4719 2016 6 15220 156 11 19724 1747 8 20257 220 1 17469 3337 1 15091 36 2 9456 3138 10 3911 8048 1 11598 7969 2 1706 234 1 8192 532 1 1882 2542 1 11605 4992 1 15185 685 1 19090 1303 2 543 6237 1 15216 496 1 3853 3322 3 8198 7104 1 10044 510 3 62 3007 1 11215 4311 1 1730 1145 1 11123 2980 2 10393 533 1 11066 2675 1 8489 2447 1 10054 2444 1 18980 2877 1 13598 6152 8 3817 2675 1 10821 930 1 26 1528 6 11912 368 1 2882 36 1 6312 1184 6 8367 1685 3 5500 4014 2 17809 1738 4 7898 5414 7 786 3684 4 17202 470 3 11656 1105 3 16886 3715 1 4708 534 1 7986 1648 4 1040 6688 3 5729 1208 2 6874 164 1 19185 200 1 314 1778 2 11956 1743 2 5778 3907 1 8345 1705 4 20060 2342 5 18027 2930 1 6081 1681 1 11776 6665 2 8730 662 2 14952 1252 1 12510 2564 15 1969 2010 2 15303 5276 3 15849 512 1 3602 1909 2 3008 4258 7 16643 625 1 1825 1720 1 4891 1980 1 11846 867 10 802 1417 1 2977 3669 3 13 743 2 20114 4019 1 11671 1334 1 3543 3900 1 6109 4447 1 14109 781 1 676 1814 5 16500 2530 1 3898 196 2 11020 7674 52 8735 441 5 18792 861 2 15657 1248 1 13927 5586 18 15379 3581 3 11461 1762 2 19099 3236 1 8754 1191 14 9346 6341 1 13055 186 5 14872 4614 1 10021 3556 3 17391 2058 1 18280 223 1 1845 335 1 8022 8159 1 4279 1210 1 5528 7266 1 14522 6334 10 5641 1781 5 7692 2384 2 6302 3851 1 16856 2691 1 8943 3415 1 13813 3320 3 1277 5420 5 8001 6068 1 15849 7857 1 2020 5362 1 6598 2175 4 6091 1235 1 17682 108 1 7750 470 20 12757 1284 1 18826 2443 1 15669 708 1 8015 198 1 10811 1825 1 8717 6150 4 8312 1482 7 14958 82 2 13758 3408 3 5684 2056 2 4324 1976 1 10783 2958 2 7028 518 1 8832 2495 1 5410 23 9 5541 1172 1 20009 1663 1 15905 3190 1 13835 1200 39 113 5109 2 764 4344 1 16315 1825 5 18518 303 9 10754 203 1 15577 7021 1 6544 891 1 3835 244 1 6808 3397 2 2803 1093 1 17474 855 3 19359 2649 5 3521 4841 1 6838 566 1 906 2248 1 18679 1331 1 20278 3823 2 5162 3382 2 10060 6579 2 16006 4077 1 61 2758 1 4963 3327 3 4105 3519 1 19011 2333 5 18260 201 23 15775 954 1 10708 6083 1 15974 4992 1 135 6239 1 456 2241 1 11585 1727 3 18391 6663 6 2168 2363 5 10345 7145 1 6750 8083 1 174 355 1 3025 1482 1 4267 1395 1 15376 6204 6 19685 8174 1 1123 6673 2 92 4185 28 10325 5251 2 7832 4547 1 6327 3511 3 18623 883 5 16636 1193 1 11880 4411 2 10878 1244 1 12800 6235 1 2710 203 2 18668 4244 9 199 4120 29 6183 5398 1 13470 3701 1 14233 7963 2 18960 4567 1 13745 2092 1 5589 4100 5 13115 1334 2 18397 1105 5 17809 215 7 15943 4511 1 15599 1276 1 9603 3324 5 9177 2256 1 16689 5082 1 17383 5325 3 13262 4796 3 17470 889 5 15307 6558 1 15180 259 1 6307 235 1 13 823 1 11959 7614 1 3427 707 2 5358 928 5 19822 7621 1 16845 867 12 5872 1267 1 12064 1814 8 2021 3433 6 2373 2496 2 4428 7964 1 16656 1679 16 16552 3045 1 11402 6252 1 62 2974 1 2772 1253 4 1973 736 1 18999 1242 1 6014 1150 2 1627 3987 2 5577 6683 1 18172 665 1 18043 1277 1 3471 2935 2 19859 889 27 4759 7272 1 2880 4385 1 1953 7307 2 19170 6341 2 10123 7426 1 4240 2305 1 8537 219 1 5368 1341 5 3350 7593 1 19331 1342 3 2729 1314 1 3794 2057 1 3337 4591 2 834 2727 1 16016 1685 1 5589 963 1 11195 200 2 19272 3642 1 11360 817 1 11846 5460 1 4835 1967 1 343 4355 4 3395 1247 1 1461 3074 1 271 207 22 20180 2677 2 2346 1359 2 16999 6116 2 4688 554 3 10242 214 1 2338 1250 1 12850 1247 3 19415 1678 4 10896 1686 3 10179 5855 1 9209 5467 2 10575 554 1 12279 206 4 14633 3638 1 13804 4945 1 19523 619 1 1752 526 1 3847 6801 5 143 1781 3 902 1250 1 1328 505 3 1206 4595 1 13800 493 1 2147 5325 1 787 2789 1 5424 6398 1 3171 7404 1 18193 1722 1 8813 7101 47 12912 4427 1 10114 4261 1 9660 4992 2 9281 6441 1 9390 6069 2 4210 530 1 3236 477 1 13856 201 2 2807 3747 1 13 684 1 2818 4623 15 17011 5060 1 15061 2098 1 16186 1388 1 16651 5060 1 11410 5206 4 17406 1007 21 12281 219 1 3417 1571 13 11388 867 1 8942 229 1 6536 1249 4 12967 1981 4 4225 1819 1 6261 4563 1 16278 1916 1 12489 6701 18 18763 23 2 4265 1665 3 17362 3163 2 3516 7568 1 3505 4649 1 4452 201 10 10649 144 1 16137 6064 2 3826 2003 1 5058 2366 1 20090 1288 2 16719 3691 1 4619 177 12 17210 723 1 18859 4622 1 6556 3421 5 15405 7606 2 19053 694 1 8159 767 3 14772 1334 1 2143 3024 1 1547 3167 2 16191 1450 1 6979 7259 1 4195 1453 1 3048 300 1 9836 5468 8 4400 1357 1 4236 1825 6 18760 407 1 1521 482 1 10410 767 1 18973 4653 2 19401 1025 1 19085 1244 1 17578 5257 1 1642 7740 2 1050 1761 1 3730 23 2 1361 2770 6 2353 815 1 130 5778 1 6878 1893 1 19384 855 1 7000 10 1 7469 6120 1 19718 7787 17 5454 7231 4 3749 1798 2 11882 2964 1 9916 514 11 7147 395 1 9741 3637 3 19494 843 1 1530 2659 1 17635 4992 2 40 2127 1 3606 244 1 9226 3658 9 2739 7178 1 13134 4779 1 17708 4098 1 18734 2608 5 13238 132 2 20073 6032 1 11872 7471 1 6158 1721 3 4076 4393 3 1893 4869 1 2728 7948 1 10918 244 1 4428 5339 1 18116 7454 2 2504 1282 2 12431 840 1 18944 7905 2 4072 3798 1 16500 1184 1 16249 5945 1 11932 518 1 7577 201 2 4701 678 1 18207 1728 2 16896 6723 7 4495 8122 1 17039 3058 1 7490 6697 1 24 1465 5 4570 1105 2 5132 5559 1 17252 436 6 1989 1488 2 11314 1312 1 3947 2354 1 2479 6038 1 15651 5547 2 873 891 1 3322 2056 2 10916 2943 1 12757 4763 1 10805 203 82 17208 7719 2 4810 1267 1 8223 451 3 18862 2118 1 16219 74 1 6664 207 2 8 236 2 18259 1303 1 2680 2338 1 17772 34 1 19184 4841 1 12791 7471 1 12731 7342 1 13084 203 10 6348 907 1 10403 4363 1 20 1272 1 18230 1770 3 5193 826 1 12903 1752 2 11020 310 5 861 3375 6 17886 656 1 3358 725 1 9432 2922 1 3678 8139 4 9110 724 6 13575 1248 2 19216 2683 2 18654 7197 3 6350 4620 1 13674 5149 3 4923 759 2 10508 7008 3 14437 5425 1 13829 1247 3 16570 2489 1 10693 6570 1 14740 325 12 6090 6585 1 10911 571 1 14127 4672 1 2980 638 1 17939 8096 1 4735 804 2 4170 3447 13 10670 225 1 2835 2261 2 7362 1742 2 15130 235 1 8391 148 3 18089 1312 1 6644 877 1 17204 23 2 20057 6102 6 4078 6048 5 15396 5018 1 17992 7466 1 15742 4531 1 9973 839 1 4843 586 1 15140 3509 2 15117 5437 5 3013 7719 5 6704 1518 1 4145 201 1 4093 533 1 13865 1454 3 8448 3847 3 15217 624 3 11882 868 2 17691 5881 19 8153 4415 11 6 187 6 17556 3869 1 17033 4266 2 15624 3729 1 4710 2064 1 6387 4304 1 16381 1712 1 19461 4669 1 7961 7229 1 2787 2229 3 14781 1112 2 10906 3511 2 2907 3375 2 7686 3135 1 2187 8040 2 3313 2964 1 4708 4245 1 10967 1721 1 4811 2552 3 3505 4219 1 8626 1146 1 8716 1328 5 799 7447 1 10570 1755 1 10649 1240 1 16158 745 66 12299 186 1 11152 6842 1 15608 911 6 293 1710 28 16471 514 2 12929 3283 1 9551 236 1 14663 5561 1 13307 165 2 11545 486 5 1756 201 1 13705 3671 6 10513 7268 1 3694 1587 3 9314 203 7 18192 4245 2 15575 498 1 7028 505 2 16588 3882 1 18790 323 2 13731 2005 2 16345 347 5 11388 2325 1 6164 191 1 9695 6663 2 6341 1312 3 939 2353 1 16860 4531 2 388 718 1 8965 1342 1 18635 3625 1 6979 7714 1 19937 6435 23 5662 1705 1 1743 1248 2 11937 2881 4 1474 3669 14 153 2718 1 19748 1770 1 7555 3171 1 6867 5319 2 8088 52 1 6944 7853 1 868 1660 1 2055 1775 6 8746 378 5 13 782 1 8264 3176 2 14921 5255 2 16970 7534 2 13823 518 1 8191 3881 4 19091 3668 2 11084 4389 3 2643 258 1 15182 7901 1 7184 1738 1 2338 1768 17 4109 1395 1 3318 7701 2 10272 1363 6 19587 2980 1 8849 6213 1 18690 184 2 13854 952 4 4875 634 5 1844 823 1 1801 4534 1 12807 203 19 386 2569 1 10694 1946 1 17336 4208 1 16642 6059 3 17853 6711 1 5887 1334 1 16218 1758 1 1600 3391 4 9187 8184 1 14090 5272 1 1886 128 1 11422 2361 1 13001 5532 26 13839 6713 1 15100 908 1 11872 823 1 7455 47 1 4592 6799 1 19255 7190 1 3414 4435 2 9269 581 2 19429 2971 5 165 7535 4 5695 1184 1 10586 1784 1 3520 1721 1 2731 3257 1 5292 5036 4 561 1751 4 12189 6837 1 17112 7511 1 14055 4555 1 18149 1819 1 18190 3167 3 2337 1881 1 15718 1755 4 19026 3617 1 13711 5018 2 1464 6167 3 11271 1720 1 5675 3653 3 4259 6228 4 4313 3671 1 5831 888 1 2430 23 7 890 903 1 10911 597 1 19224 2151 2 17291 5040 3 12337 498 3 9546 367 5 819 3625 6 1024 5670 2 15140 3138 1 9508 331 1 80 3628 3 7810 2552 1 13647 4599 5 6969 6346 5 10219 1732 1 16951 4724 1 8444 497 1 13394 193 4 16674 1273 1 2186 1253 1 17896 6762 1 7822 3954 1 19982 3556 1 6340 3842 1 15220 207 6 745 757 1 14211 203 4 17088 8160 1 9743 7446 2 3057 6575 1 17678 536 4 10732 4992 2 10692 953 3 3397 873 1 9881 749 1 12737 3885 1 7382 1249 9 1315 2661 1 8097 1770 2 10191 5018 3 4622 1466 3 15146 6721 1 2189 2209 1 10333 1247 1 5636 219 14 18174 1712 1 15742 825 1 8340 1761 6 7509 230 5 13412 8193 7 3416 678 1 17084 1755 1 8269 966 1 11956 1783 3 30 1700 1 6523 6713 1 15324 5783 2 5534 2355 4 17896 8165 1 11859 2150 2 19881 225 1 8735 3146 1 16545 1702 1 18285 4096 1 1003 1799 1 6773 6608 1 7119 4967 1 3177 153 14 1565 7617 2 16561 227 3 3485 506 3 4352 1781 1 7853 624 1 1870 6200 2 4937 504 3 9526 3208 9 13740 1743 1 9523 2689 2 10748 512 1 10994 23 1 13825 1695 1 9178 5108 1 14850 1778 1 6183 792 1 13705 4761 3 633 6237 1 4429 3645 1 2576 6059 1 18011 1638 2 6710 1771 2 16887 3956 1 8719 5256 1 8237 1691 1 14951 3827 1 15382 2349 1 19241 6259 2 13414 1781 2 8253 3596 2 13986 7439 3 15648 6682 1 11184 2542 1 17809 545 3 18409 4096 1 6478 1781 2 15831 843 1 20077 2338 2 11326 505 1 1362 518 1 17992 207 16 11072 910 3 5828 533 5 8343 3558 3 5239 1734 20 17742 863 4 1463 3916 5 13328 4986 12 9405 4967 1 1626 7512 1 11169 108 6 16755 381 1 7435 1658 1 6740 3174 1 34 1845 1 7746 3072 1 4820 6120 1 5281 2401 1 6752 602 1 5449 3573 2 16213 1926 1 12361 746 1 13981 3796 1 23 1437 1 2674 1732 1 15724 3333 10 15225 394 4 16787 3106 28 11766 2662 1 1598 4695 1 11383 4992 2 17120 1416 2 16087 4372 1 7876 2508 6 7696 4435 2 6183 1649 1 9188 6585 1 6183 1334 1 9374 1234 1 1259 184 10 19428 7249 2 17940 5325 1 18357 6576 1 19576 4112 1 9388 2349 1 7363 423 1 11357 5394 5 13658 4615 2 16845 883 5 730 10 5 3797 7695 3 15055 786 1 3361 6769 1 17453 6321 1 7194 5686 6 6656 207 7 2707 3210 1 16250 235 2 18613 6533 2 9628 931 1 12687 1146 2 82 232 1 3204 1745 4 4583 5420 4 3484 2445 5 14606 1378 1 10730 3526 3 9603 3556 2 1831 952 1 3109 8165 1 13809 8235 32 14554 3207 1 997 1776 5 7769 911 1 17358 2701 1 3015 4245 3 9541 3333 1 16762 1738 1 11080 4555 9 2117 4610 3 19229 1455 4 4954 3723 3 455 75 1 20 1353 1 10279 1965 1 13156 2083 1 9537 3045 7 12717 1764 1 20002 2556 1 84 3876 1 7043 7085 1 8434 2559 1 20193 1239 7 19373 1721 2 6111 225 1 1530 880 1 6172 7136 1 17477 3511 2 7933 2632 3 15041 1342 1 9787 5332 4 4672 2969 1 18237 1730 1 17013 6406 3 17485 1717 1 2701 2014 1 4459 6039 2 17253 2352 1 13520 4523 2 17208 225 1 11675 470 6 6420 385 6 18225 4974 1 4389 2013 1 2835 3621 19 18145 5559 4 18096 5450 1 11674 514 7 7070 4684 1 1155 2691 1 6259 496 1 6916 6140 1 4620 7401 1 7165 6945 1 18797 2675 1 13914 2488 5 9363 7201 1 7270 4698 1 16178 175 12 15982 3619 5 6865 2336 3 11250 46 1 8394 2951 2 11384 1819 2 133 6068 6 8394 5256 1 11179 1825 1 16134 609 1 6254 1687 1 7507 303 10 2803 417 1 4933 5014 1 12346 1721 1 20191 578 1 854 3685 10 9342 203 1 115 5207 1 42 2206 1 2453 7850 2 18950 1721 1 5246 758 2 12606 1244 1 8088 878 2 15495 190 4 8982 215 3 15148 190 1 18918 232 1 15394 2735 1 6712 548 1 13114 2955 1 166 1781 1 8735 6682 2 7000 4090 6 5557 4623 2 6072 2635 1 4640 7752 1 17256 3684 8 5458 4911 1 527 3837 1 4267 4622 6 18548 670 3 8243 2265 1 9556 1241 1 17633 3973 1 20230 2877 1 290 1379 1 10601 3059 1 135 6169 2 9858 6702 3 15778 5251 9 3516 3050 2 94 4215 6 18205 2343 3 1706 3364 1 10399 4954 2 1141 3167 1 3323 7901 1 14672 2849 2 2765 1644 8 1870 3799 6 10212 864 2 12884 1151 1 16140 442 1 873 5587 8 10447 498 10 326 6343 1 10236 7216 2 153 7117 24 5424 1190 2 19641 235 1 10043 132 2 16903 3113 3 6932 519 2 17649 5574 6 17312 6252 7 9511 1277 1 897 219 8 12821 5420 1 6640 6801 1 4539 510 1 19715 931 9 19740 5018 1 15683 5879 1 8528 236 1 3447 2656 2 12453 6621 1 83 3749 1 270 235 1 758 3671 2 10406 925 1 11094 8186 1 14806 7229 1 14599 738 1 6200 5403 2 10176 188 8 5617 7672 1 143 5398 1 6004 3476 2 296 495 1 15224 8151 2 4233 623 5 12252 6204 1 1122 1286 2 7288 3164 1 9820 1082 1 5863 6698 1 5821 1173 8 7498 4122 1 6709 665 1 15982 2989 8 17437 2708 1 7728 3585 1 13748 220 1 17142 1775 1 16425 5255 1 15517 681 1 8806 6648 1 16977 519 1 5289 522 2 9275 852 1 19202 5162 2 35 1887 1 17647 7689 1 15138 1248 2 6318 2800 1 13866 1727 4 15560 5282 1 2284 2367 2 15778 3777 1 18250 7830 10 659 214 1 15147 4466 2 18070 5814 2 6681 891 3 7991 1474 1 11291 3109 2 15940 5260 2 17023 6374 1 26 1574 1 8415 1740 1 2886 2555 1 15758 7561 1 10704 3922 1 656 3228 12 15711 74 1 16442 943 4 4859 1825 3 1832 4649 2 14695 7522 1 4880 804 1 2293 3304 1 16087 1470 2 16869 6680 2 596 4226 1 12257 222 9 67 1871 1 16358 3422 3 1273 8071 1 19328 5996 1 7056 4992 4 13922 5758 1 2036 5756 1 8198 821 17 11612 70 31 3286 7519 1 8362 512 1 10340 1775 2 2716 3032 2 18183 1184 1 6703 1250 2 10721 206 14 13430 10 7 6519 534 12 11562 1463 1 4822 2399 3 1791 6382 1 2778 863 1 16096 3558 1 11924 3619 1 12400 134 2 11080 6568 15 2120 8041 1 16192 3329 3 14380 7280 3 2657 6368 1 15547 4619 1 4107 6368 1 8636 3729 2 4546 232 1 17404 6640 2 14137 6897 1 14369 3135 3 3603 4013 2 5716 3511 4 10865 3304 25 16437 5020 3 14695 367 1 8844 6278 1 10447 4983 4 1384 4792 1 16154 3615 1 294 4959 1 13928 1556 1 5639 1687 1 16266 1825 3 4472 200 3 7557 201 1 2 122 2 8055 6152 3 11499 4284 1 9853 7452 3 14390 5162 3 13183 4597 3 2803 3856 1 841 1304 2 5171 6993 1 16978 347 1 11616 870 1 13322 3661 1 13427 5550 7 14233 190 2 1725 2572 1 11714 1718 1 19364 2343 1 3358 761 1 17432 2534 5 17662 903 1 12427 1235 1 18807 229 1 3781 236 3 5837 235 3 9807 6322 1 10684 6549 1 10839 201 1 15756 1208 2 9097 5309 1 9957 5051 4 6702 853 1 3428 207 3 1586 1718 1 12960 5612 1 11388 2953 1 9566 1732 1 9693 220 1 1264 5051 1 2418 2214 1 16921 2556 2 18405 5515 1 4880 651 1 1832 4411 1 14868 6031 1 13237 3511 20 8615 2312 2 12520 8117 6 7239 4811 1 7780 2675 2 1631 7701 3 17799 696 2 16197 864 12 14664 7086 1 242 525 1 18340 364 5 11084 1748 5 15429 1360 1 5161 5757 2 19237 2821 1 8137 496 1 19267 689 1 7359 2555 5 6940 3816 1 14567 1714 1 11755 5436 1 11309 215 1 3699 1509 1 162 7382 1 494 3148 2 16844 849 5 5589 410 1 7392 519 1 15462 7853 1 10764 3774 3 8894 6786 2 19193 952 2 15441 7351 1 6449 2555 1 7291 173 2 11533 1333 2 11014 8184 1 9432 5252 1 4898 7238 3 6207 525 1 18479 148 1 16287 4732 1 17607 194 3 19405 1110 1 16674 215 16 4194 1482 20 16855 411 4 19662 84 2 16494 1248 1 5505 74 5 11545 541 1 15624 225 2 9310 1731 1 8532 1738 1 6777 4794 8 1653 1713 6 13078 206 1 6942 206 1 7882 1757 3 1028 4210 1 12712 1237 1 3581 1623 2 9670 1582 38 17256 3676 10 6801 3798 20 13328 670 1 4561 638 9 3020 1036 1 5573 8026 1 3644 335 21 4223 2877 2 1948 2557 18 174 7939 1 10393 6414 1 3851 3230 2 865 2683 4 8034 3333 3 6109 2498 1 12434 1707 2 9566 535 1 11777 3596 1 13100 2557 3 18091 665 1 10733 518 3 10105 231 1 1581 1743 4 20068 1734 1 8643 260 1 7380 1363 1 1422 5141 2 18546 7229 2 7859 1482 6 11238 1728 1 13909 201 1 13199 173 5 269 3464 1 3878 2258 3 455 377 1 16787 3101 35 11131 228 3 18725 2605 1 14197 23 7 18754 853 2 11353 6226 1 11131 1338 4 1032 3686 10 14197 1739 2 7446 785 1 10514 2636 1 7433 518 1 12281 203 1 8082 2869 9 8009 3484 1 16372 4367 9 7252 375 1 13115 3324 1 9957 1492 5 19344 952 1 9561 2132 3 14241 3479 1 11529 891 1 4688 947 1 4305 4056 1 19853 3486 2 186 7830 1 11093 411 1 5061 552 1 4022 5804 2 11786 6604 1 1968 3161 1 16370 2727 3 20133 1051 1 10950 262 2 11591 5996 1 14424 766 8 18902 3403 1 14934 2027 5 15778 2130 1 10072 745 1 554 4436 1 11585 206 4 15368 4307 1 13601 876 1 15292 1720 3 7295 646 1 2148 23 1 3233 5677 4 3420 244 1 17253 1772 1 9220 207 1 3195 4489 1 114 5137 6 1612 395 1 12893 219 34 18408 5245 1 9751 1719 1 13087 7204 1 13659 1332 1 12913 3400 1 6501 6683 1 11599 8051 1 6814 1827 22 8451 200 1 17456 8012 3 10376 236 1 3189 7388 1 9680 4204 5 11446 664 1 5429 51 1 80 1523 2 2221 661 1 19671 5413 1 8975 2013 2 11947 3244 1 17960 173 2 10313 634 1 5117 874 4 15329 716 2 9081 3023 1 8761 233 1 12975 6285 1 11360 1321 1 7114 2552 1 16727 505 18 3384 229 1 17384 578 2 18103 1760 1 13176 2620 1 18876 6968 1 2079 3278 1 15940 747 1 17884 1762 1 6715 957 1 18646 2488 1 13671 1261 1 16778 1251 1 19693 516 1 6453 1537 2 14567 7422 2 15849 1234 1 1541 8194 3 9317 2953 1 9451 7209 1 2752 3856 3 1780 3512 6 12299 1728 1 11388 5570 1 18134 1741 2 3310 4214 15 5411 207 10 5106 3637 3 12873 2521 1 1858 194 10 1145 6091 1 5476 5874 1 9503 1705 4 5177 215 2 18263 8145 5 10146 6159 1 16327 1395 4 8500 38 1 2777 4245 1 7994 814 1 4663 2602 1 11895 1251 2 14074 506 13 5372 4595 1 16600 921 1 11732 221 1 7372 2691 19 7288 1743 2 15394 1296 4 2905 5497 1 14584 3283 7 19731 2356 1 73 3412 1 4886 496 2 222 890 1 127 557 1 18876 2388 1 8938 1726 6 8126 775 1 16333 659 2 17928 4967 1 177 8170 1 19000 5749 1 4279 5023 2 7441 2109 1 18541 3459 1 19160 1729 1 17587 3311 3 10636 215 4 6773 6550 1 4303 867 39 1618 2673 5 18634 752 1 10581 3311 3 2522 4615 2 2902 368 1 4935 5911 2 58 2699 1 4005 1730 3 17756 2552 1 1199 1882 1 6150 1453 1 9652 852 1 3532 1265 1 11006 2875 1 6673 2541 1 3246 6657 1 12329 1903 1 19043 1271 1 6591 6345 1 4817 7602 2 6415 46 1 73 2639 1 18508 4201 2 5164 3511 3 314 3058 1 16491 733 4 1507 233 1 11933 5091 2 5977 237 1 7708 2517 1 16252 545 1 16508 2132 1 2253 219 5 12824 498 1 2288 336 2 7356 1814 1 10999 3433 1 10719 214 2 4672 2863 1 12806 1453 1 17073 1729 2 4601 1333 1 745 1698 1 2784 2584 1 12913 3368 1 9395 331 1 10852 768 2 11796 737 1 14196 3972 2 18258 4411 19 14561 1727 1 6987 3167 1 3487 3164 1 18091 698 3 11848 222 1 15605 46 30 6749 3416 1 9079 256 1 4843 744 1 18888 2683 1 8949 15 1 6772 7400 1 62 2989 2 1515 1724 1 16500 232 1 11786 6656 1 19207 200 2 9784 207 1 15071 1363 2 14011 880 1 11585 203 1 13736 2555 2 17804 232 10 10268 2675 1 2206 8141 2 6690 2144 1 3815 3626 3 8787 420 1 2079 561 1 13543 6540 1 13461 1399 3 14065 76 1 16821 502 8 14146 5674 1 4663 925 1 10738 7259 4 2146 2478 1 13646 6204 1 6848 7018 7 6164 156 1 7575 184 1 19143 835 1 12163 232 3 13782 1245 1 5424 2491 1 3822 1897 1 7781 203 5 15011 2638 6 14233 1752 1 10447 1453 1 15507 5018 1 13628 7775 1 6619 2256 2 17485 236 3 17150 2675 2 1893 5551 6 12731 4369 3 3358 1804 1 1060 3619 6 12620 1450 1 17257 3488 1 16586 2727 1 5873 13 1 18089 1658 1 16346 479 2 11304 6581 1 8357 4041 6 4350 4521 1 1090 5327 3 745 6418 1 3725 840 3 491 6662 1 7013 1717 2 16364 5326 1 7487 506 1 15248 1721 1 9210 3895 2 19346 5548 2 6265 3511 3 2136 215 1 9375 5105 1 1308 1770 2 11577 7029 6 4764 3899 7 13672 4264 1 15398 962 1 617 1719 1 349 788 9 1772 1239 1 4935 4607 2 7155 190 1 17084 222 1 14010 470 8 3206 214 6 16417 6714 6 11562 6064 1 14062 2082 3 3964 23 3 3739 2444 1 10435 687 1 4182 5774 1 1743 1302 2 4189 1474 1 4147 2580 2 12807 3132 5 8051 4304 1 9601 203 19 8364 411 1 2338 7167 3 14619 910 1 8510 761 1 19903 969 1 8615 1705 2 11595 196 1 12 499 5 349 853 12 4093 5018 1 5121 3425 1 8141 6204 5 7184 1235 1 15359 7915 62 10198 1369 1 14673 10 2 13 884 1 6091 1727 1 16773 347 1 6419 1705 2 18398 5018 5 14462 2016 7 13754 6027 1 3442 5693 1 1084 2228 1 4805 1819 1 6940 467 7 15192 804 2 10565 1589 1 10692 864 4 18973 7643 9 8942 221 1 3683 3647 1 3663 5517 1 2905 5561 4 16454 5523 2 840 4343 1 11570 1199 3 1428 215 3 1620 1237 1 18575 2552 2 640 7213 1 9 250 5 19655 234 1 13928 2737 1 13735 498 3 17331 561 1 10078 6127 1 17825 3364 1 6346 1208 5 18010 1776 1 1863 790 1 5954 6576 1 13804 1775 1 17567 6610 1 11501 5082 1 1590 5336 2 790 1731 2 15211 663 12 7695 221 1 19090 2504 1 11793 1164 6 18815 215 7 17779 7234 1 8890 1755 2 121 5293 4 15192 1249 1 9208 3913 1 18237 186 1 15594 1877 1 3734 1249 3 2674 3900 5 14834 6702 10 4987 570 2 18742 2747 1 14612 3556 1 4092 5496 2 822 420 1 18064 3132 1 3950 5758 1 11978 1334 1 1550 1770 1 1590 5313 1 10852 5130 2 7554 1342 1 7511 6341 1 9061 844 2 3478 2247 1 2907 6962 4 7245 1705 1 17011 758 1 6568 340 1 4779 5504 1 8019 190 21 14350 81 1 8626 1253 1 9257 2671 10 11898 1146 1 6109 685 1 918 221 27 16350 745 1 16563 2181 8 13320 2423 3 5142 1692 1 19026 2881 1 7441 5506 1 3705 270 3 5301 1771 4 2962 571 3 14095 812 1 19710 1748 1 3142 903 3 15414 6080 1 8851 215 2 10575 590 2 5378 1747 2 1660 2955 5 17256 193 6 863 726 2 17120 2353 1 7071 1482 3 3762 724 1 6801 5897 7 3307 196 7 6748 4404 1 16780 6150 1 16600 812 1 16173 5251 1 3465 7415 1 19134 368 1 99 4472 1 16435 4572 1 12961 4266 1 10786 1267 1 14305 712 4 4273 5943 1 12654 1312 3 15376 525 4 6109 4225 1 3351 2721 2 3463 200 5 5890 175 1 5863 1664 2 12496 2018 4 4880 929 1 10799 7235 4 4570 1284 11 4615 5551 1 3131 2355 1 18806 4098 1 3852 178 15 7123 3657 1 652 1769 1 1221 3987 2 16678 1334 1 7432 4589 3 8009 7750 1 17887 7222 1 1499 5652 1 16559 141 1 8346 2356 2 14759 534 5 10826 665 2 4334 47 2 13560 1242 5 3853 5721 2 10966 6498 1 3414 2534 1 20262 2138 1 13916 6325 2 4681 1737 2 10135 7570 1 9519 723 7 19706 2980 1 13928 643 1 15834 609 1 5532 1287 2 9628 953 1 4667 7018 4 7127 7625 1 9195 3679 1 13342 6473 2 660 4366 1 8775 3804 1 15833 235 1 9342 4435 1 11441 3784 1 11179 2729 2 10380 257 4 1883 2897 3 3826 953 1 11360 767 1 10127 5347 1 3696 6979 1 6257 2793 1 15832 2571 1 9837 1573 10 21 1408 1 6733 4231 1 3981 200 5 13000 1242 2 13737 1193 1 6225 7788 2 11130 6777 1 20 1312 1 4971 4382 1 11148 3400 3 4717 532 1 4495 148 1 18566 1631 4 2834 749 6 14022 203 1 12874 471 1 3324 2653 2 7555 5031 1 15113 696 1 2731 2636 2 4054 1827 1 9591 818 1 14900 229 1 18251 3748 2 8694 1781 1 10817 1710 1 19536 692 5 1801 365 1 11769 5354 1 14791 1727 11 983 7541 1 1586 1342 3 17431 834 1 10340 4985 3 1713 6424 1 15222 1703 1 8078 1460 22 16111 883 2 18833 378 10 6209 3027 1 14905 191 23 15284 8148 7 2372 1772 2 14685 3172 1 12416 4090 1 3673 2114 1 4883 7986 4 13113 5997 1 1883 679 1 11943 1657 7 20219 308 3 2132 5319 1 9660 4016 4 8235 2649 2 7910 2879 1 13244 1328 1 20016 303 21 8721 5035 1 9187 186 1 6428 5018 3 7237 839 1 14362 5084 1 19233 8084 1 62 2806 1 13591 3219 7 6403 2488 4 18447 525 4 17317 1027 5 796 2569 1 1551 3697 1 5863 1423 1 11046 84 7 15978 233 1 9941 46 1 18289 4834 6 6095 458 2 748 6396 1 10371 1798 2 14758 722 1 15374 393 1 15785 565 1 18118 1319 1 13209 7702 1 14901 34 1 4960 498 1 16829 1771 1 1241 3972 1 19065 3177 1 15414 3445 6 5548 6640 4 17410 3518 1 18985 74 2 4721 3748 1 9468 219 7 9808 1726 2 15595 2120 4 17404 1707 1 10376 4074 2 12244 7474 4 1232 809 5 17963 3283 3 10247 13 1 333 2150 1 1825 1235 1 6152 833 1 8860 3537 1 17331 891 4 16114 225 2 13640 1781 4 12177 1718 2 6258 6170 1 8754 842 5 20090 4704 2 10558 1788 2 17171 482 1 873 843 3 10290 173 1 4498 3224 1 8946 186 1 14201 5252 1 6535 2686 1 13395 6204 5 16767 2129 1 3580 190 3 109 4980 1 3168 6793 4 812 7760 1 15269 2057 3 16743 5450 1 8793 316 2 18342 7 1 16819 6050 1 10997 886 1 2747 4262 1 340 1365 1 19375 985 1 5309 1645 1 9501 2559 1 18651 201 1 6698 1775 1 373 1580 1 19939 201 1 19835 489 1 15202 911 1 1143 518 1 10585 1287 1 16248 1743 2 13924 6139 2 15528 8061 1 713 1464 3 6228 3625 1 1852 7201 7 17752 411 86 8344 7643 6 11509 10 4 19313 6152 4 20221 2256 1 18524 1714 1 19849 2671 1 17608 6153 1 4183 2349 1 11783 7606 1 15548 7355 1 7333 7522 10 6354 1363 2 13980 34 1 6125 1334 1 9935 1662 1 7574 6139 4 2674 2228 1 9753 804 1 3387 1965 3 5831 219 36 6431 5309 1 15323 235 1 19401 6502 1 18289 1628 1 7719 7485 1 334 4842 3 133 6054 5 5195 220 4 8110 3293 1 4905 1374 1 12361 289 2 13638 379 1 2385 1357 2 4092 3156 1 20172 7404 2 995 6286 2 8597 1374 1 10549 330 8 4784 3502 1 4055 6674 1 19731 229 2 11497 215 1 4650 2461 19 16162 4819 6 17562 2089 2 18237 1740 1 19115 6226 9 19409 6446 1 18417 1307 5 4182 2355 6 15006 3747 2 3120 1731 1 13115 2993 1 1776 2632 1 4425 292 1 3290 2887 1 4572 1658 3 15475 723 1 14892 6363 20 5871 204 3 17516 1695 3 15759 1244 1 9666 3231 1 18418 1703 3 4365 1342 4 127 2851 1 873 6204 5 8004 5517 1 6362 2369 1 9319 452 4 8515 523 1 12272 1615 1 17015 221 2 4572 6663 2 4616 7779 20 14212 1269 1 10670 934 1 2646 508 1 16287 5551 1 13575 3167 2 14863 3682 1 18372 5324 1 7568 1235 5 2336 372 4 18850 6541 1 15192 3408 3 18138 1819 7 6134 5325 2 3508 2342 1 2584 2501 1 17 657 1 4492 7396 3 15374 1353 1 18026 1302 1 11882 1805 1 16408 676 1 4089 1234 1 11132 4373 5 11933 1211 7 4498 1378 1 7940 6390 6 19529 3426 2 17373 23 2 20180 5999 5 19197 2724 1 13239 235 1 15307 690 1 174 8130 1 2016 2969 5 8472 3429 6 15069 5090 3 11188 2657 1 7568 1331 6 10923 230 8 188 4998 1 7333 1399 2 16694 4199 2 276 5971 1 150 6751 1 18149 501 7 18418 634 2 17066 4308 1 18932 357 1 6302 4199 2 2902 7082 1 15491 398 1 4547 1718 1 12807 1768 4 6449 1775 1 19841 1710 10 1698 6253 1 13281 5011 1 5303 4555 2 1816 2000 1 1433 74 1 5431 792 2 11678 3850 1 8451 2708 3 10060 5502 4 15159 1471 19 17019 221 7 3751 1762 1 1536 232 1 2902 525 1 19210 4299 3 19315 501 1 4627 2740 3 17218 2673 2 10772 4382 1 5216 1760 1 4268 4726 1 615 3792 1 2345 4640 9 8537 4013 1 3147 6537 1 7179 810 1 80 3586 3 7873 206 4 15021 7829 12 19429 5375 1 6463 488 2 16855 495 1 6385 724 1 4253 1305 2 5617 426 1 3801 433 2 1620 5724 1 2463 1779 8 14890 548 1 1752 484 2 10228 5018 12 18442 5994 3 2507 2058 1 13508 1243 3 4030 7229 2 15003 6428 12 15373 1738 1 10598 1881 1 14894 2737 2 7995 4014 8 18937 1104 3 15710 3176 2 333 4936 1 3515 6047 1 7455 1136 1 9759 225 2 6074 7762 4 11852 545 3 11450 7216 1 17746 4375 3 1368 200 5 3379 1917 2 16715 6675 2 13638 5400 1 14079 1244 3 7138 528 1 5153 335 1 4147 6979 2 3169 510 1 4125 1073 1 18014 4280 1 6727 440 1 4277 526 1 4692 7836 3 575 6198 1 7452 6665 1 11848 2256 2 6842 1819 1 4841 13 1 10843 3613 1 12575 270 1 1530 6156 1 14963 3400 1 11020 967 2 4181 1308 3 6169 3251 1 20229 2645 1 10467 8140 2 1825 4435 1 16231 1234 1 15895 880 11 16817 233 2 6724 8042 2 17713 4318 6 6464 214 2 11952 3298 6 1002 510 7 8239 2942 1 5117 766 1 15712 1770 3 13672 1717 1 13213 1673 3 18237 252 1 11998 4476 1 17521 207 1 12902 4009 13 13183 4591 6 1231 3698 22 18017 3763 1 16322 1249 1 14886 1763 1 8959 8183 5 14721 471 1 7058 148 1 1736 4623 1 8195 1424 2 2649 232 1 11877 4436 1 8950 1278 2 6332 199 1 13829 1739 2 17313 2607 1 4941 2675 1 1007 2737 1 16978 6754 3 17221 4367 3 10302 5961 4 14318 6038 1 12122 7719 1 15608 127 1 2060 6777 1 14599 3382 2 15823 1247 4 6506 13 1 13078 743 2 8640 292 12 13425 1757 1 10304 2980 1 15272 3203 2 623 203 4 135 1698 1 6327 6488 6 5688 235 1 14177 5807 1 13195 1752 4 682 5685 1 4530 7206 7 15775 592 1 11968 200 10 12919 425 4 3189 6299 1 13652 2675 21 15669 550 3 3436 252 4 17954 7050 1 7823 915 3 13046 1703 1 7832 3748 1 7796 1244 1 1361 5880 1 6018 2972 15 12780 3889 1 18939 5018 1 10 308 2 153 6918 1 4016 1779 2 8672 3698 10 4533 235 7 8464 7931 1 7995 186 1 1432 1819 1 16378 3556 2 2641 2410 8 11444 2614 1 4034 501 1 6503 891 8 10146 4609 1 15412 1760 1 11798 4764 1 18858 601 1 2210 1032 1 18184 1374 7 5977 252 1 6228 682 2 13045 1104 2 11839 7245 1 522 1395 2 13323 7769 1 3704 519 12 7962 5083 4 349 95 1 16869 2423 1 13740 5758 24 5290 1104 3 126 4813 2 10862 826 1 16279 1756 1 8620 5020 1 9168 201 6 19872 4245 3 15943 2246 13 515 1730 1 1314 5255 1 14540 1761 3 2886 1272 1 19323 1892 1 9815 5259 3 16292 4245 1 7893 647 8 11326 88 1 16779 229 3 191 2641 1 12341 6341 1 12652 1772 1 12773 518 4 4668 4592 2 17365 220 3 2674 6169 1 18615 512 3 19879 498 1 19331 496 1 19581 2681 5 19382 3338 1 7152 3021 2 12377 7712 1 5684 184 1 2087 1238 1 11987 3184 3 7134 607 1 8406 1395 1 9037 7621 2 15429 6754 1 1643 205 1 8377 382 4 15063 1907 3 871 1838 1 7328 5952 1 17610 719 1 9919 2936 1 6650 2721 4 1837 196 2 19781 2489 1 1587 663 2 17066 1302 1 8448 2372 15 17416 5829 1 5169 329 1 7705 1209 2 7291 3653 1 11638 6682 3 6313 8016 4 19590 219 6 1389 589 1 18381 340 1 14436 7735 1 5273 2481 1 3663 716 3 2391 2529 1 19031 1645 2 10474 1363 1 3074 3399 1 19090 5879 1 3799 1714 1 5242 1240 8 4404 5037 1 11769 65 4 7174 995 2 508 6714 2 5894 7671 10 12040 3693 1 8794 1007 1 17373 1819 3 1145 5425 1 6123 3671 10 20180 617 1 12478 1246 3 5498 2718 1 17975 411 1 14722 1707 3 6315 1248 1 16844 1985 5 8597 1825 27 290 2552 1 9650 4695 1 19760 327 1 12424 5144 4 9767 4325 2 155 7135 1 12152 258 1 13806 602 1 11674 6801 1 16997 505 1 18876 653 2 17434 859 4 10911 1717 5 11590 32 2 16857 197 1 13403 7573 2 18481 4785 2 6193 316 2 9177 6441 1 5755 905 6 835 4020 1 16784 1312 1 14564 1788 1 2294 173 1 19975 2376 1 152 6822 1 19237 416 1 1952 1417 1 16172 4142 5 15281 1819 14 2204 1705 1 5397 4998 1 8966 1150 7 11108 385 1 8609 3512 5 83 3861 1 20145 1719 1 14902 152 1 2985 8158 1 11609 7257 1 17785 2653 1 2906 2673 3 3209 74 4 893 3164 1 18768 5109 13 18508 4681 1 4170 220 1 6594 3511 1 9951 5570 1 11277 2344 1 10692 935 3 7295 4936 1 14060 411 1 13637 7216 2 9546 1239 6 6774 5951 1 4005 6865 4 13250 200 1 6819 1235 7 13518 7085 1 17633 573 1 17886 575 1 19007 1714 2 7670 626 1 6749 6964 1 18468 575 1 11336 6252 4 10125 3228 7 14686 5252 1 18637 200 2 16215 581 1 8860 3419 1 3330 206 2 19877 2176 4 8554 5259 5 324 6793 10 11694 867 20 8410 532 1 11259 4606 2 7199 190 1 13662 1037 2 10032 4648 33 18778 1743 1 15471 1238 9 4926 335 1 4879 201 13 11009 5002 1 251 1348 2 9755 512 2 19653 7498 2 6056 1691 1 15614 6363 2 14646 1760 1 174 3815 3 4940 57 6 17517 4470 2 9590 2268 3 717 3511 1 14233 7599 2 3261 4529 1 1184 2584 1 14208 1828 2 2410 196 1 11116 1789 6 17490 1710 1 11663 814 1 6184 232 1 6795 534 5 19123 1265 2 3253 2479 2 11966 756 1 12093 947 1 15627 10 2 9410 6375 1 8128 1731 9 13821 7633 1 7148 7655 1 239 89 1 4014 220 11 1772 367 1 8889 905 1 19219 2065 3 15429 2488 1 6341 4065 1 14845 411 1 1576 525 1 13882 2138 1 15385 4398 1 4708 7719 1 7882 2792 6 5459 671 15 1464 5513 4 18748 3556 2 5877 221 7 3505 4293 5 62 2869 1 12888 2676 1 15657 834 1 6332 578 1 15572 244 5 19604 1889 1 20244 847 1 19602 5196 1 531 2241 1 9688 524 2 5635 945 1 15554 6974 1 1625 5005 1 670 3602 1 1699 200 2 15972 2892 1 174 7931 1 8378 963 1 14853 6204 5 1887 1518 1 19862 222 2 15138 858 1 2045 1748 2 5595 7021 1 71 3313 1 11162 164 7 9168 1290 1 15854 2683 1 1733 498 1 14758 422 1 10693 3024 2 13587 2495 2 3908 4992 1 81 3653 1 1395 532 1 10783 5120 1 9453 1734 2 5681 1235 2 13145 7439 6 2079 714 1 16354 4409 1 14218 7775 4 7652 751 2 1983 501 6 16222 7096 1 6332 3283 5 14011 3236 1 15106 1453 1 13871 5294 11 11295 8181 7 3331 861 1 17000 6164 3 19484 510 1 13302 1748 2 4063 3710 1 3008 2504 1 3571 6721 4 9835 3634 1 8051 7025 1 6391 6713 1 18576 148 1 17393 1740 1 982 203 13 16321 1288 1 18090 1392 3 886 4321 1 6197 5086 11 14842 7145 2 13464 3949 8 19478 6637 1 7530 203 2 10591 232 8 17720 1755 1 3008 7287 1 16671 5970 5 5318 6683 1 17798 613 1 13800 7029 1 4495 7140 5 8755 1559 1 16544 1245 4 15343 3771 8 5204 177 1 16133 6011 2 2422 6897 2 11188 4698 1 7334 3354 3 6332 926 5 6697 525 1 2439 2675 1 1749 6166 9 9894 4312 2 19530 6473 1 2024 2505 2 15267 884 1 16151 2673 1 5226 1710 1 7692 2058 1 16096 1518 2 10080 4621 1 13829 864 3 7105 214 1 10404 3050 2 19155 573 1 3497 2407 2 16481 3234 1 127 1276 1 3168 2439 9 17710 6414 6 15030 5067 6 18160 1736 2 5827 1277 3 2390 3351 2 5140 6979 1 6871 3113 1 10498 2998 1 17870 1751 5 13640 4963 6 9042 8146 45 1472 1771 2 19849 6053 1 10095 1909 1 4636 5082 3 20013 3329 21 17947 3239 5 11118 1764 1 77 3519 1 18913 6557 2 16089 505 1 12133 1269 2 11215 5016 9 14355 3988 1 13881 7112 9 15686 1991 7 6333 7862 1 2575 89 3 12669 1331 3 17223 3055 1 4983 504 1 10325 5255 2 3085 800 1 3439 4077 1 7780 1729 2 8860 2852 1 13462 1248 1 4960 2994 7 1749 6162 7 3515 6162 1 7524 1776 4 2240 1755 1 2772 3398 5 17596 1150 1 8965 2675 1 9947 603 1 16308 5196 2 2708 673 1 1828 6706 1 8778 200 8 10071 2316 1 6403 2618 1 4183 4225 1 3889 4992 4 18535 7601 1 20145 5018 2 16137 4972 1 19930 606 1 12367 6793 2 6681 597 2 14248 3593 1 19127 2969 1 6000 3701 1 180 6150 7 11336 6554 1 15605 5251 15 11445 4635 2 13993 8054 2 9485 1747 1 15468 1235 2 19322 964 2 4158 4996 1 1445 860 1 14350 3558 1 12020 1823 1 5568 2594 28 14522 691 1 2354 215 1 11606 458 1 14533 545 1 1026 793 1 16048 4062 2 2699 2573 2 8161 8194 1 3516 2488 1 6501 3911 2 6659 169 11 18473 809 2 4496 2363 1 7682 654 1 10000 1208 1 4741 4658 1 7568 74 7 4896 6034 1 14007 2552 2 3751 235 1 12599 1398 2 6453 5278 6 1143 1736 15 3023 138 1 15055 1245 1 18392 1758 1 592 2004 1 1009 597 3 806 2555 10 2025 4283 1 9492 534 3 7117 4277 1 18894 7674 1 826 188 1 1962 2504 1 926 1312 1 13461 1736 3 9199 676 1 16779 173 1 14158 1741 1 3992 7692 1 17223 6200 12 15743 3511 11 3168 1823 1 6021 6908 1 5021 1714 1 15874 3572 1 6269 7689 1 15098 1717 1 17151 175 1 2126 3593 23 6024 3684 1 5662 1315 3 12913 420 1 5685 207 5 2067 702 2 5695 6682 1 13491 7419 19 16839 23 4 3939 4229 1 9941 5964 3 17720 1734 1 15576 57 1 16020 197 13 3825 190 3 15618 7517 1 12730 7407 1 18335 206 1 6650 670 1 16860 1243 1 31 1334 2 23 1426 5 18759 1312 5 3665 2131 1 13475 235 1 13338 3516 18 1300 260 2 16202 698 4 15184 8047 1 18067 1644 2 17025 1417 1 20029 6320 1 1 3 2 16613 6826 2 14578 4309 1 7796 1837 8 2886 895 2 5737 8004 1 8943 3512 5 2597 5040 9 19982 1250 11 19470 3888 1 19306 843 1 10692 656 5 12062 3540 1 5811 7284 1 15689 1244 1 13412 5950 7 17 1218 1 20172 1388 1 5342 1682 4 9634 2859 1 18431 532 1 7817 645 1 14970 316 1 19179 498 2 3593 215 3 9577 495 1 12620 2881 2 17220 852 1 9713 1211 2 16574 5446 1 4626 7112 1 19136 205 4 9310 6031 3 2545 4567 2 11341 1963 1 1927 498 3 2685 514 1 16984 8162 1 7554 7642 2 7056 1737 1 5252 292 1 1999 3556 2 14037 766 1 3209 626 4 9651 3488 1 1694 5999 2 4166 4403 1 16758 206 3 5407 1395 1 11787 1761 7 4689 3916 1 1999 1695 1 3485 1369 1 5025 3181 1 11882 1234 1 19769 4618 1 4923 7655 1 16143 1446 1 7406 5413 2 7683 1965 1 2692 5559 2 5863 4838 1 13730 3951 14 14048 1747 3 5251 1271 1 11938 292 1 130 797 1 18026 514 3 12590 8140 1 4496 1776 1 17638 722 1 13865 2266 3 12127 3778 2 8396 207 1 6614 6674 1 3028 6663 1 351 4403 1 5402 2555 1 35 1959 5 18410 1723 7 12640 6697 1 18363 3442 1 8779 6278 2 18960 663 6 8532 1251 1 5786 1252 4 14989 1247 2 1138 2109 1 12003 1251 8 12862 2721 1 17937 1720 1 17382 1757 3 12897 2938 2 13 795 1 1488 736 1 18689 6065 3 6403 3540 4 6783 6139 4 1551 1146 2 16236 506 1 15159 5253 2 14686 4268 2 8793 654 1 11987 2675 2 8206 1825 2 2529 869 1 6510 4597 2 4828 203 42 2271 1702 1 10720 6435 17 1433 1105 1 7473 6607 1 19594 6946 2 19038 508 1 5479 1425 1 1171 1814 1 8405 2595 2 5213 6561 3 19090 2595 1 4545 7712 2 9007 4378 1 3663 2602 1 16354 2727 1 12501 903 1 14299 5737 1 10404 1643 1 1443 201 3 14906 3355 1 13637 1381 2 11926 474 1 18404 2852 2 1129 2109 2 2168 1333 3 13335 225 1 15581 1424 1 4791 5009 5 3175 428 1 11920 5265 5 4 149 15 15672 651 1 1235 1908 10 12936 2325 1 7857 1752 1 127 595 1 3734 1356 1 10553 6037 2 12675 1184 3 6242 4914 4 18410 708 5 18386 3836 2 9061 1612 1 15814 6014 1 4496 314 1 18764 3591 1 15718 7890 3 6742 6667 1 12427 173 1 20235 200 3 11615 1779 1 4666 7257 3 8223 1021 2 5627 5997 2 7697 1705 1 6656 8141 2 3146 5700 1 19870 3308 2 13065 206 1 3014 1946 1 13803 1758 1 23 1424 1 7943 6107 5 13239 2691 1 8638 2671 1 19496 2927 3 16790 1757 1 15676 1784 5 19490 3503 1 19081 1736 1 11461 1251 3 4581 681 1 13335 1903 8 1839 7937 1 7359 3494 4 1798 4903 2 6913 4623 1 696 7275 1 6313 1967 1 2616 7890 1 1935 7966 1 7350 5658 1 755 1241 1 3094 1897 1 5264 7474 11 20266 6897 3 101 1713 1 19306 4812 3 2270 1404 2 14361 508 3 12322 1740 6 13956 1573 5 11425 1324 6 3807 3798 2 4211 936 1 11467 654 1 5003 3233 5 2428 215 1 9364 4554 5 14629 2489 4 14753 5270 2 4900 6334 1 1908 5090 1 16447 23 1 17556 4300 4 18183 903 3 2021 7210 1 2917 7027 1 11430 2356 1 19097 7817 2 14036 5550 1 9798 6569 1 1790 1758 2 6089 215 18 4853 1784 2 17541 316 1 18413 7213 1 4331 148 4 2755 4076 4 8153 6892 1 1304 7201 1 2646 5402 2 19409 2810 7 4079 1395 1 16192 1734 2 19286 372 1 3106 220 3 1389 4398 1 4500 335 8 12614 3973 1 1599 2571 2 13591 1248 1 19415 1816 6 4614 2595 2 1223 1827 3 19583 229 1 8712 1252 1 7535 220 1 16923 2557 4 8647 1253 10 13340 5453 1 4878 1743 9 3362 1523 1 14815 165 1 11141 6424 2 9478 1191 2 11956 1781 4 1801 4047 1 1687 3573 1 1322 3164 1 5360 517 1 18538 1237 1 1698 6179 1 7585 4086 5 16532 203 2 17956 1466 1 18763 1374 4 11890 1440 3 10317 5301 1 1302 2494 5 17833 677 1 7227 2139 1 8614 2758 2 5778 3293 3 6638 6213 2 7135 336 1 5623 7117 1 8343 681 1 19000 4209 1 11581 7491 1 2062 7808 1 11024 4773 2 9670 205 1 5147 5586 5 7455 3534 1 2424 831 1 18346 1249 1 3146 2126 2 15159 5254 1 17143 616 1 3222 4623 2 6519 7542 3 1293 164 1 15978 910 1 4573 1982 8 3446 6445 1 5745 244 1 4305 892 1 2087 6064 1 12071 1406 1 12638 8141 4 3153 1752 1 7879 6161 1 17856 537 1 4906 1244 1 14357 3556 3 12554 1775 3 9671 5481 1 16817 496 1 5624 6897 4 16137 3021 1 16916 5737 1 1263 981 3 5642 3849 1 6568 4427 1 15978 23 8 14035 5539 1 13779 1357 1 10953 2398 1 16847 3247 2 9780 3480 2 11938 502 3 1145 1825 2 13205 1917 1 12322 4029 3 7575 214 6 9527 1751 1 18325 7996 1 65 3144 2 15144 7411 1 11895 6170 1 12524 2737 6 13800 5769 1 13119 225 3 1801 2494 1 867 2016 1 6485 4489 1 130 5985 1 6831 3602 1 7351 4599 1 18992 3232 2 14434 3193 1 7203 426 1 17589 2424 1 19306 192 1 4617 5411 1 15791 773 4 16090 4102 7 9120 504 5 6726 560 9 17494 1719 1 15564 5048 1 14908 1798 3 3168 7753 1 12359 3338 1 14289 3411 19 16022 939 7 11795 815 1 1985 7190 2 14753 4515 1 4199 196 5 18102 2399 22 8075 947 1 1204 6084 1 8439 220 1 13670 633 1 9058 1548 4 9357 5607 4 146 499 1 5856 1078 1 6089 159 40 4318 1247 1 18294 3557 1 9630 500 1 5756 4459 4 7520 1244 23 2181 2958 1 2356 1731 1 17766 5245 9 19193 2676 1 14465 1738 1 17381 1755 2 16897 6009 13 10488 910 1 19518 1729 3 11086 1717 1 4050 883 5 8105 203 5 12829 3485 4 6539 1203 3 11336 5570 1 19740 3896 1 16912 1681 12 11296 4732 7 19600 1275 2 17431 637 5 15041 220 7 6726 1631 11 349 606 1 1778 203 5 8137 2158 1 11250 745 1 15572 3351 7 14883 74 2 3775 534 2 9816 4328 1 669 1638 5 12737 498 2 2584 864 1 9978 3975 1 5738 5297 5 2964 5327 1 3427 896 2 18476 6192 4 7682 4501 1 4970 765 1 11353 1697 3 15608 1635 1 17652 173 3 16057 292 2 10416 2675 3 812 6059 2 13845 3425 6 2345 7980 1 18149 1695 1 15923 229 1 6622 6210 1 15470 6494 1 8687 200 15 2260 4604 2 19422 1762 2 14939 3233 2 9160 1742 4 12384 6219 4 15608 3910 1 15346 1655 45 7502 1146 2 20209 4105 2 822 696 1 12455 6754 1 16296 3146 2 7862 4563 4 16090 2206 2 12728 5774 1 14620 1714 2 7120 1425 1 19898 920 1 10949 7244 1 10318 1721 3 9102 2493 1 20278 3818 5 18973 470 55 7162 6125 2 7252 7105 1 9809 5430 5 12765 2383 1 1592 7407 1 19011 647 1 1599 5315 2 13543 4320 1 9954 821 10 15092 2138 1 2498 7719 1 6208 4293 7 3399 1349 5 1551 1760 1 3538 1967 11 2885 184 3 15077 1182 1 8793 642 2 2168 3608 4 3337 5313 1 3975 1305 1 379 4555 3 17248 214 3 16851 6754 1 16345 6268 1 10426 1775 6 18748 6150 2 19929 336 1 13777 6124 1 15712 397 3 8860 596 2 4913 7136 1 883 8113 1 8815 203 1 18260 1184 13 3630 1222 1 11592 1757 1 2151 7953 1 5285 200 5 18909 1507 1 496 1324 1 16978 5003 1 5773 4518 1 3797 2499 5 11634 7513 1 17178 6341 1 13417 2980 16 18096 5427 2 6650 5517 1 18069 1990 1 16570 385 1 4805 3637 1 17947 3511 2 8878 236 2 7823 382 10 1439 2057 4 16190 207 2 5653 1737 1 5547 4929 1 18091 2056 3 12610 1 4 23 1430 1 17985 2268 4 6307 6167 15 19017 2938 1 1801 2012 2 4183 4252 1 11818 2248 1 10447 1706 1 11050 7643 2 9660 233 3 4422 225 8 17168 517 1 2743 222 2 15992 2254 22 5737 6543 4 9668 4003 1 16048 5663 1 13601 681 1 11537 23 1 14853 6423 4 15318 197 1 18561 8122 1 5348 7829 4 10951 207 1 20 1376 1 19843 523 2 12313 6471 1 9811 1730 1 5257 367 1 6420 719 4 18520 3081 4 4092 2127 1 6681 1779 3 10816 4629 23 2866 2734 10 4819 3639 1 3258 1717 1 3031 220 2 8055 1785 2 15222 186 1 10413 2571 1 4210 3635 1 8620 7513 1 13543 814 1 7545 1724 1 8788 5090 1 13 762 5 17085 23 4 14660 148 1 19159 1399 2 8531 3391 2 3491 1727 1 954 3747 1 2350 2599 1 1122 3167 1 15005 3011 2 18946 514 1 25 1490 5 13461 1251 2 8458 184 25 18815 514 3 15576 2100 2 4507 7958 1 6525 512 3 16187 5367 1 2529 730 1 13863 4653 5 1542 6196 13 2784 1779 2 4191 6139 1 3484 6207 25 15115 5315 1 7295 595 2 123 5372 10 20228 4105 1 13172 3227 1 6755 214 1 14661 526 8 10553 471 22 7721 385 4 19842 55 1 121 899 3 1032 5018 36 9650 4391 1 611 3741 1 16327 6338 3 20011 502 1 6406 232 1 9904 221 23 8933 5476 1 4530 7621 36 9787 1023 2 15136 850 1 13 357 2 9682 2885 1 6687 2205 2 2968 2461 1 808 1717 1 13607 3618 2 17913 1965 1 12793 1638 11 4716 1342 2 16869 1748 7 15798 1815 1 9487 7980 3 10973 1908 5 12236 2626 1 6883 372 1 19272 4299 1 18499 2853 1 13043 2356 3 18743 1304 2 14711 6697 1 6079 3167 3 5053 270 1 5520 7404 1 3323 2636 2 9928 222 1 1284 3920 1 16552 2646 1 9809 3138 7 16676 4986 2 2584 719 1 3580 1407 2 5635 785 1 9166 4243 1 13984 6746 9 16339 167 9 6977 6006 4 7991 1444 1 1332 173 1 20060 7687 10 4716 498 1 18869 7431 2 16881 4365 1 6830 3230 1 2040 207 2 19294 7455 1 19180 3493 1 16096 1649 2 1535 1781 1 14554 191 1 20220 4500 2 6131 3669 12 14114 1208 1 7602 1146 9 18033 5506 12 10883 600 1 4271 3671 2 10852 552 4 16185 2494 1 15491 3888 1 17632 8096 1 7253 219 1 10973 1312 1 14161 1726 1 6918 6342 5 13907 4716 1 10000 7029 1 5258 5575 2 9171 3258 16 2237 5584 2 9869 1342 6 12392 7936 1 8751 6342 5 4537 3511 2 6081 5018 3 8082 2010 3 7300 4320 2 5744 184 15 2023 514 3 15122 3483 2 7308 1450 4 11085 1239 1 16054 523 4 3234 215 1 4557 690 1 1241 1717 1 2100 6242 1 3553 4621 1 6777 2173 3 12757 3012 1 7688 891 3 2635 1147 2 12150 1247 1 14753 5969 1 3347 1814 1 11728 2559 8 2116 6697 5 6112 2548 10 4095 528 1 17008 6084 3 14632 3729 1 13316 5336 1 6271 1707 1 8548 206 2 15372 6534 1 10313 4245 6 13422 184 6 15247 1727 2 15517 743 1 18258 1623 5 13995 194 4 9193 242 2 18925 4195 1 12581 6862 1 2023 5559 1 14145 2673 1 7780 3316 7 4892 3685 1 11523 3997 1 8093 1752 6 10772 4026 1 6021 6943 3 9985 6892 1 19957 4511 1 15983 5461 1 19913 214 4 14692 1717 3 12821 4435 63 4880 1721 1 7823 6687 22 12322 541 2 10610 3471 5 10027 1705 5 11129 3511 4 7012 2883 1 14010 3423 1 9545 7404 1 9466 1248 5 14962 6954 1 1091 7181 1 2271 4941 1 13488 214 2 17932 2645 3 9888 2569 1 10209 1518 1 10382 215 1 3358 184 1 15429 184 1 7454 1294 1 9332 6059 2 1999 2647 1 19138 891 2 15769 214 2 8137 215 1 19354 7953 1 5423 4563 1 5025 7598 1 6068 502 1 15635 554 1 6492 1705 1 9809 6374 7 6613 1825 5 12919 225 1 14148 46 2 17697 1781 4 4963 1756 1 7268 743 2 19602 845 1 5046 4992 1 17175 327 4 1296 5972 1 15824 7419 1 15838 1474 15 12412 920 1 3451 7398 5 2295 1703 3 14470 6669 2 10590 73 32 19239 532 1 19769 898 5 13916 4178 2 17018 7216 2 17705 220 1 15618 3591 1 3947 1238 1 13129 222 2 14147 73 3 16057 5272 1 12459 1771 1 14146 6683 5 19293 225 4 10949 153 1 1405 3410 1 8287 2114 5 4417 1819 6 20106 3522 1 7253 203 1 15909 1371 2 9283 883 5 15272 1695 3 14299 2103 1 17472 6410 1 2887 3493 1 404 3903 1 16167 5077 2 14748 8122 1 10202 3526 2 13134 4491 8 5863 2061 1 16076 1237 2 19724 8141 1 873 1172 1 4194 1247 8 18462 6799 2 9160 1757 2 16330 8184 7 18333 4376 1 16880 200 52 1663 1692 8 496 4304 1 14769 1732 1 17191 6500 1 15248 2398 1 7454 3484 1 2505 3980 3 696 3540 1 17088 215 1 6230 1251 3 8330 6990 1 2376 2581 1 14599 896 1 7432 2666 4 13906 5350 1 5231 1416 5 9250 869 2 4721 6270 1 8572 221 1 3485 5425 1 1576 173 3 16914 8054 1 11566 6216 1 14988 130 1 4552 425 1 13 750 1 16096 601 1 17331 534 3 18393 4623 42 7641 1249 4 17223 1743 3 13733 6252 2 10058 7857 2 2891 6341 1 18876 698 5 18202 3794 1 18692 2581 3 8408 4998 5 15425 3885 2 1712 76 1 15982 3625 7 10473 2743 2 5459 7216 12 1053 3414 1 8730 898 2 2743 219 6 897 200 4 13373 4351 2 4337 2995 5 4055 2144 2 1820 1738 1 9178 508 1 6420 4384 2 15758 415 1 14986 2410 1 18214 3071 1 8444 3935 1 6314 3768 1 4850 6748 3 17500 186 1 15203 7658 1 1542 221 1 946 1757 1 3038 173 1 2643 6031 1 6425 6713 2 8979 3972 6 13536 3110 1 17556 3842 1 9321 3991 1 5250 6705 8 5322 2299 6 14190 2675 13 19865 7089 1 7195 5036 3 5149 2555 10 19368 938 1 15852 3871 1 16346 422 4 12029 7920 8 7671 5434 1 14698 2682 1 19042 3652 1 2121 200 10 10885 3656 3 17384 3697 1 10855 5162 3 8621 773 1 16276 225 3 2905 361 2 10765 3446 1 15374 679 1 94 4295 12 16294 203 10 19645 4217 2 13465 581 2 16378 196 5 5447 1244 4 4222 452 3 10457 334 4 8259 5257 1 16133 5011 1 11010 5051 1 14872 5271 1 335 2378 3 5906 6170 1 18939 1898 1 14020 3748 3 19747 1328 3 19336 6422 1 13490 4905 1 6645 225 1 8599 533 1 2855 7602 1 6227 514 1 7452 790 1 8439 5758 5 15272 1747 1 9337 367 1 8182 2555 2 4327 1247 3 11864 5105 3 2723 6346 2 10328 244 1 11987 1234 1 16265 3135 1 8658 1243 2 101 4590 1 19679 221 1 12802 3113 2 2664 2778 5 13391 787 4 18625 203 15 14699 1772 30 1092 4086 1 5977 2686 2 14907 215 1 14031 214 2 8361 1275 2 19030 21 1 16903 539 2 18281 1380 2 18760 1992 1 15618 2945 1 6314 429 5 16873 1417 2 8849 5326 1 8384 398 1 11429 222 2 17886 1921 1 1698 3262 2 6348 602 1 83 3849 1 9315 514 6 2980 2943 1 15278 3233 1 15321 5413 1 13296 2969 1 19036 1100 2 13010 1249 2 2510 2633 1 12469 5559 1 14890 316 1 10128 3415 2 8585 1995 2 19186 219 1 2262 46 1 14758 6203 1 16562 6751 2 11117 4204 2 14996 23 4 153 2807 1 3447 2675 4 14232 5394 4 20019 883 1 17990 2435 1 17767 225 1 6259 215 3 1864 1237 1 4305 4657 1 19266 3647 1 15655 6061 1 572 6159 1 12196 4200 1 5332 1177 2 15329 2415 4 8532 1745 3 681 4196 1 11925 1719 4 5078 1249 1 10916 814 1 16103 3679 1 4385 5552 1 3485 1720 1 11346 7708 2 13363 1277 1 4670 3208 1 11931 3233 6 1442 3333 2 3911 3462 27 10245 7769 2 3168 4033 1 5718 7614 1 14884 1877 2 15265 236 1 236 6922 1 17293 728 8 7016 3391 2 8087 2915 1 17662 1770 5 8274 1121 4 14834 1374 2 4619 3608 8 12817 2729 1 11766 6309 2 19470 3310 1 12184 2338 9 14011 834 5 13219 1761 6 11317 206 1 15205 1271 1 4036 127 1 3228 5498 1 216 6924 1 42 2161 1 455 6587 1 18198 303 26 17987 7098 3 10057 3159 1 8757 5442 1 19283 4981 1 17283 2175 7 19518 23 5 8395 496 1 2399 3540 1 135 1236 1 330 218 1 19737 1587 10 18196 1675 5 18780 227 8 842 5326 5 174 7947 2 5273 1739 3 10730 7600 1 16195 222 2 9567 167 1 8537 1356 1 7076 2363 1 14908 800 3 16897 4611 1 5993 510 4 14184 1776 1 3663 594 1 19314 7259 1 19302 411 2 15025 1737 1 5623 7576 1 4547 1726 1 4240 2459 3 2061 523 1 16426 5444 4 10631 1722 1 11363 5060 1 15285 498 1 16380 2216 3 705 220 1 5738 1687 2 1551 1758 1 7991 3258 1 9145 4721 1 12817 1482 2 9058 3074 8 16254 1769 1 1028 5677 1 17894 1727 3 3823 1307 3 10445 5319 1 14992 196 8 3397 3751 3 18259 5686 2 19806 6818 1 2795 4266 1 17477 2534 2 11740 1776 1 163 7419 8 6774 4011 2 281 1621 1 985 773 1 8237 5011 1 1337 6779 3 4496 2352 1 7080 173 2 17675 1772 1 18207 244 5 9596 4297 1 7259 4615 2 8731 1587 5 3616 1886 1 2894 2669 2 12725 4710 1 8544 2355 1 2217 7406 1 13613 7719 14 9614 8141 3 10011 6192 1 18971 1748 1 5981 2639 3 1706 2918 1 6781 534 7 16956 375 1 4364 3081 1 18332 1308 1 6541 3911 1 15579 2138 7 176 156 3 17383 6228 5 11712 89 2 19165 3170 1 8318 6597 2 17494 6658 1 11253 3699 1 17472 2514 1 8542 7419 16 42 1068 1 12740 229 1 13883 1243 2 14522 1829 1 10240 203 1 9148 470 3 6139 1726 2 13244 5427 1 12606 1981 3 7947 5324 10 2917 3540 1 17403 1285 1 16645 7461 1 2898 3492 3 9236 6383 1 6544 6204 5 19849 1728 1 3025 891 1 17609 520 5 19996 725 1 1089 3491 1 11327 524 1 19727 1243 1 140 6471 1 7055 5247 1 161 5325 1 16745 2665 2 3489 228 2 9980 4090 1 9700 1882 1 7263 7250 2 3236 4704 1 16240 5996 1 11637 869 5 10201 222 2 7996 7337 8 12659 1762 3 14728 867 1 15579 1946 3 18608 3482 2 17797 1784 3 15635 652 1 4249 505 2 12018 1985 1 18001 5283 9 11827 7212 1 17504 1334 1 16847 3427 2 19380 7843 1 5073 2832 1 3367 1244 1 5251 2581 1 12055 2789 1 15530 201 6 18617 1825 1 14993 2448 1 35 1949 2 17960 231 6 8691 2855 1 9077 6776 3 7155 187 2 14679 7244 1 20099 3980 1 4682 3142 1 12988 365 1 6697 1482 2 15784 3021 5 10730 223 17 826 1357 1 10676 2508 1 16057 8102 1 5863 1777 2 6457 1424 1 3872 4945 2 1654 2686 1 13649 864 1 1706 5826 1 3500 5783 1 554 8183 2 10433 3389 2 62 2893 1 9592 2004 1 6712 292 1 19022 3293 5 4462 1732 2 3503 1732 1 10591 964 1 14826 1296 5 6458 1416 3 18201 84 3 10242 222 3 11164 3485 5 17710 2270 3 16790 1282 2 7778 7666 2 15669 536 11 9224 561 2 2231 6484 1 16535 15 2 1379 4680 1 7834 3882 3 10627 4231 1 9868 5256 1 3486 2710 1 6644 431 1 11773 364 4 11822 495 1 4013 1150 3 5837 3476 1 7557 214 2 6848 173 1 15969 6777 1 11430 1707 1 7901 222 1 13032 6892 4 5589 1275 1 19284 7788 5 12977 203 1 9472 93 2 1851 2561 1 18089 5389 1 18284 6080 3 11058 184 4 7307 235 3 5189 203 4 19704 4884 1 13148 6083 1 713 3578 2 16779 4396 2 5964 5333 1 1898 201 1 17948 7612 1 7892 197 5 12521 914 1 17086 3760 1 18546 3558 5 98 4419 5 11823 1606 1 14933 4380 4 6537 8137 1 3226 1663 1 15689 201 2 12085 2632 1 17739 7652 3 17478 837 1 13574 2127 1 10858 2549 1 3472 520 1 10907 354 1 16994 976 9 10502 3287 1 12267 2549 1 850 199 13 5738 4540 7 6225 3516 1 4561 5969 9 18146 1595 3 8244 7616 3 7738 1771 5 11122 4582 8 8426 3465 1 9428 1990 1 19648 89 1 12734 158 1 5600 1131 2 15834 4720 1 15115 4992 1 6990 3206 33 19573 4062 2 16026 7599 1 7650 1776 5 13126 370 1 13743 417 1 1327 440 5 7677 6914 1 787 3276 9 7640 2419 1 10069 1691 2 3195 4435 1 12458 6140 1 6633 2773 1 15726 190 16 11844 6488 2 13933 761 1 8456 382 1 15712 525 1 55 2021 1 7910 7231 1 6502 1518 3 4251 2938 1 5617 4120 1 19892 365 1 2870 4796 1 5185 5256 5 15752 6938 1 5938 1344 1 1498 141 16 8495 3255 1 4437 3980 1 1158 2659 1 15126 5016 1 11062 1727 1 15364 6817 1 9503 84 1 4121 3421 3 7252 23 1 11194 6662 6 14221 74 1 12991 5522 3 10479 4971 4 17739 2356 1 767 5642 2 1551 1698 1 13 744 2 6496 409 1 18033 5783 3 14982 201 1 2643 765 1 13 131 13 11072 7629 2 10143 2291 1 159 1508 1 18543 4950 3 13262 597 1 10104 1225 2 1738 1909 5 18173 5807 10 83 3840 1 6697 2584 3 5507 512 1 14336 6637 2 2291 474 1 133 6064 1 6359 6552 1 12464 502 6 7362 7815 23 7088 308 3 66 3204 1 17163 4293 1 62 2881 5 13817 7427 1 10856 10 1 6066 2072 1 1368 518 9 7817 235 5 14154 3408 1 3485 6527 2 4854 1769 6 12809 380 1 11852 4343 2 9072 320 1 8732 508 1 2453 1739 1 6764 303 16 11720 3353 1 13997 4343 1 1610 2670 5 5357 2722 7 7065 7807 1 13270 1404 1 18188 1989 1 3815 1253 1 14007 8183 1 5495 3431 1 666 188 2 16468 417 5 14367 1814 20 16504 207 3 6867 3748 2 18692 7948 6 13636 6610 1 6666 3186 1 6131 7612 1 5314 3338 4 12694 6892 1 1540 378 5 8898 8184 1 11790 7220 17 14906 1755 1 8419 1342 1 16041 220 1 5884 903 3 4072 1023 1 19272 1146 7 4295 2683 1 3152 1658 5 2327 6141 1 7535 156 1 5588 184 1 10654 1591 3 14312 6863 1 4423 5349 5 7179 3551 1 10835 2093 1 16142 5897 25 16553 1699 1 11461 1450 1 7294 5076 2 9883 3029 1 2782 7054 1 8591 35 3 19009 1745 1 13076 3061 1 3485 1781 1 1891 2555 1 16140 1322 1 140 6466 1 4294 1380 1 10240 3512 1 3449 634 16 2390 4144 2 2937 952 2 4371 5257 1 13711 1271 1 6801 3595 2 4843 874 1 5009 636 1 10586 498 2 6130 725 1 15278 2419 1 7991 37 3 6396 4000 1 17662 1705 2 11451 2481 1 19693 6645 21 7632 1950 2 9793 1764 11 18836 3866 1 1551 1783 1 1028 891 4 16789 4963 2 7665 2362 20 14913 1784 3 16997 8034 1 14326 3699 1 9759 1745 3 12339 1748 1 11955 3760 6 171 7654 1 17996 1758 2 12244 232 1 10105 1333 1 1206 3005 1 6096 3061 1 3309 2649 5 10946 1474 6 8747 1244 3 18705 545 2 20234 891 1 8067 3132 3 11331 3869 5 6649 244 1 14970 814 2 3085 1273 1 1969 6481 1 5761 509 1 12659 304 3 9907 1548 1 17321 2242 1 1140 1705 1 19664 1705 2 2872 2360 1 9725 2869 1 14001 1764 1 3581 4447 3 6238 2559 2 16505 2198 1 5007 1498 5 8754 7501 2 18566 2980 2 19428 1443 2 5143 3266 2 13599 2980 2 723 3827 2 17889 5325 2 17294 2541 4 14669 6963 1 16825 4389 2 7023 5054 5 15091 218 3 5132 1825 1 12392 1342 1 19223 1482 1 10811 3840 2 3189 5814 1 18201 205 2 4282 844 1 2072 2869 1 11353 1417 1 3315 4276 1 10342 1207 1 8757 413 1 10099 5379 1 11158 215 2 17589 6203 1 5431 3921 1 4666 6232 1 10381 1710 3 18096 4936 1 8004 2743 1 3915 1146 2 7165 375 1 4556 5021 4 12208 177 1 1115 1819 2 7786 678 1 11395 2801 7 5372 1302 3 15318 2737 2 2288 2269 1 991 2364 1 4772 1251 14 9333 6713 1 8915 3788 1 17814 2895 8 16895 235 2 16705 7266 2 13779 896 1 314 512 1 14338 151 1 8569 3693 6 13710 3072 3 10249 584 1 15091 3787 2 18554 1271 1 7604 385 38 17947 1251 2 5199 3591 1 15833 236 1 3048 2088 1 3739 2376 2 17489 3510 1 6765 270 1 5162 895 1 11932 191 1 1054 4383 1 6731 3591 1 20074 7238 1 174 7932 3 15788 2982 1 8406 220 1 11766 5349 1 17191 5437 1 4055 6933 1 10103 168 1 12444 1956 1 13053 2074 1 7078 1771 4 4667 1357 6 5725 230 1 13076 3888 1 13908 197 1 15508 4099 1 4629 470 1 6468 853 2 11827 1909 9 16220 519 9 135 1363 1 19011 897 1 16870 1363 1 8291 786 2 18014 2869 1 20207 6427 1 10838 5903 6 3487 236 6 542 2424 1 9976 3207 1 9920 1774 1 16494 6776 1 2271 1299 1 9134 723 1 3715 5763 1 11766 221 1 9512 7308 1 2359 4792 1 2886 3399 2 14312 562 1 1587 905 2 1905 3029 2 14772 47 2 561 1717 4 13217 3096 1 12694 1300 1 7333 1761 3 12095 4316 7 15947 1119 13 9909 4600 1 1079 2541 2 3081 566 2 4832 4531 1 1608 244 1 484 3809 1 14965 891 2 16305 4792 3 1816 3710 2 8849 3586 1 3853 7602 2 11300 507 4 19241 838 1 9332 5266 1 113 5048 2 6348 639 1 370 1727 1 17698 4963 5 6724 791 1 9250 5943 3 6112 3278 6 3258 7138 6 4056 6700 2 2160 4967 3 15973 339 1 15712 1295 4 20120 1109 1 16819 1126 1 6158 1781 3 14055 3114 1 173 7848 2 15895 1022 2 6697 6144 1 4665 1395 1 10502 4287 1 1434 3887 1 11778 6534 5 1496 7400 1 6091 1239 1 12702 805 1 9446 1250 11 10905 219 5 189 2945 1 12521 616 1 8824 1359 1 5839 1395 5 11046 3980 2 10283 981 1 11463 1700 2 15272 4967 2 13539 4365 1 6274 6414 1 11412 2378 7 14981 4245 15 12378 5916 1 17633 867 1 1705 4479 1 15736 596 1 8525 5173 1 9094 196 1 17072 1819 1 14278 1304 2 10267 221 1 14305 608 1 8169 5957 1 6990 2737 1 12727 4774 2 19001 512 1 13473 1784 4 6059 1757 2 6630 7692 1 1801 4673 3 19601 392 1 1546 1251 1 13659 7612 1 10078 1104 2 19080 7654 1 18388 6286 3 3313 1037 1 4546 23 2 9310 575 2 4519 339 3 8494 3338 6 4089 4411 1 1389 1739 1 9696 206 1 14767 1482 1 12806 4634 1 6676 6577 1 485 226 1 19568 1747 1 12078 3980 14 1089 4269 1 1752 1253 1 15630 3482 26 7433 2685 1 7194 5583 1 13414 4998 6 8110 1760 1 17586 3321 2 7011 1481 2 26 1524 3 14474 6091 1 11536 1350 1 13217 2415 1 10290 525 2 5564 1710 5 19822 4227 3 4619 1720 1 9609 35 1 12316 460 2 16972 499 1 6795 7254 10 10852 260 1 322 1374 3 5645 184 1 8754 3816 2 12623 5444 1 3705 508 1 15982 508 10 1394 3974 1 10649 1535 7 14968 6719 2 14629 1322 1 15635 917 1 9748 3275 1 15054 2003 1 3185 5157 1 14671 5258 3 15581 508 7 14284 2656 1 7966 6521 1 10482 2815 2 6796 4266 1 316 2561 1 17188 5016 12 13035 95 3 18259 8081 11 6742 7117 4 8235 506 8 15281 2671 3 16916 1819 3 5508 1093 4 13801 7237 1 18933 207 2 3385 6568 1 12260 6714 2 9577 1727 2 8406 1464 2 12273 4213 1 13178 6366 1 9741 3486 7 5173 4435 5 13678 2678 1 3122 331 1 68 3247 1 4305 8251 2 3277 534 4 14077 4869 1 2758 502 6 446 1761 3 538 7538 2 7685 3510 10 270 1727 1 4519 2008 1 5158 753 3 351 1251 1 10966 235 2 27 1585 1 7551 1784 1 148 6717 5 2265 495 1 6516 5513 3 6690 2699 2 11656 1883 1 19149 2008 1 7878 1334 1 6455 1007 1 602 470 1 5003 870 2 3250 5277 1 7751 2813 1 19991 5674 1 12345 4303 5 10183 6085 1 5695 206 1 9427 6482 3 460 520 5 11388 1812 5 3400 541 2 9643 3563 2 8481 221 1 15078 6777 2 3935 1239 1 3243 663 1 6907 844 1 4492 5432 1 12881 597 3 12064 7850 6 12231 2378 5 3820 253 1 11400 3422 3 3015 172 10 6656 1718 1 17404 7976 4 2679 2216 2 164 1707 1 12705 4972 7 2645 222 1 12868 411 1 8095 506 2 10060 23 2 8055 8195 2 13964 5350 1 7690 6683 2 17362 5105 1 12934 1463 1 13343 188 1 11760 640 1 14757 889 2 1253 6897 1 4667 1664 3 10145 730 1 17500 1342 19 9321 6691 2 2013 6197 4 16378 4029 2 334 7719 20 16758 2355 1 14815 219 1 6841 3603 7 3189 6674 1 107 4779 1 17228 1781 7 8054 6041 6 11574 520 3 6932 70 1 822 1366 3 7080 2561 1 11131 4849 1 4372 6197 2 4305 609 1 4879 5922 3 1988 1743 1 4425 3541 4 16464 7296 1 3024 922 5 8821 253 2 18314 6701 1 3189 6994 1 2486 7229 1 131 3979 2 18423 5018 11 16090 164 1 10245 1112 1 18705 1464 1 14658 200 1 7310 219 5 13537 131 3 4301 1825 3 2424 209 1 17527 518 2 4749 2291 2 8023 1256 1 18207 1687 1 11294 863 3 16109 960 1 5834 6207 1 11786 274 1 7261 514 11 4150 1116 1 2666 5649 7 2152 2386 1 18766 3972 1 10816 4345 1 10811 1154 1 11882 7031 2 9477 214 2 19056 6680 2 11763 6423 2 19655 958 1 11354 759 1 4603 2029 5 15011 5293 1 11570 1020 3 19364 1395 3 5616 6375 1 1889 1703 18 8192 498 1 19149 135 2 14305 659 3 19486 1699 1 12841 201 1 1530 3257 1 8447 2386 1 19848 4716 1 1973 796 1 3505 5009 1 1828 1252 1 6936 2640 1 13148 2581 1 16196 5783 6 10381 1726 1 7209 6946 1 10811 134 2 10733 4446 1 5593 4517 2 5819 308 10 19648 477 1 1578 4769 1 3268 4435 8 20054 1757 1 13543 945 1 910 2076 2 12255 7689 1 11842 1685 1 9879 38 5 11371 1328 1 19387 4635 1 10144 759 1 12476 200 1 13924 4306 1 5213 225 1 17909 3104 3 14022 411 1 18294 3771 1 13689 7439 3 13840 5162 1 4195 1374 1 80 3623 1 2646 3747 1 5834 4698 1 5240 397 4 17378 3147 1 12736 7770 1 6966 6506 1 8528 2353 3 791 2056 5 8907 156 5 7610 762 1 11996 219 38 2883 1819 6 15151 3311 1 9050 165 1 10718 220 2 17746 726 1 15468 1450 4 18893 3698 2 13735 220 4 19737 7337 12 14184 6723 2 11336 4013 2 19957 2363 2 17736 874 2 6314 1193 1 18818 6054 1 19878 3798 1 16893 200 1 16857 207 2 9457 96 1 9062 4085 1 5009 912 1 17127 211 1 15599 6029 1 18852 1104 1 12284 4275 1 12888 187 1 15712 232 24 10482 1243 1 4850 6758 2 8612 805 2 2045 225 1 10876 1357 1 786 7621 10 3037 1249 1 19649 3972 1 10160 4180 1 18500 219 1 15903 3427 1 5561 2653 3 17242 201 7 3715 1781 2 4667 3522 1 399 3020 1 10790 835 1 14993 6808 1 3005 550 2 12455 3602 5 10313 1312 1 5064 962 1 95 4374 1 17228 1826 1 8495 3020 5 8522 1774 1 10394 3432 14 16961 7815 2 9708 4718 1 7347 5008 6 1262 7415 1 787 1731 1 19090 416 1 2100 1253 1 135 6109 2 3945 6551 1 910 1350 1 18886 4019 7 16060 1593 10 16155 7229 2 4268 941 2 18237 1762 1 14061 7636 1 9227 517 7 19407 214 16 3868 8034 10 4763 891 6 862 1278 1 19822 4523 2 18785 1703 4 130 5912 2 9741 1395 2 16684 2661 1 3072 2027 2 8528 4623 2 19833 1366 2 9749 5490 2 17960 1363 1 7952 3293 1 9470 542 1 16956 4499 1 8274 7351 1 8966 3294 4 18131 5758 1 3056 6754 2 6348 778 1 1171 1729 1 3218 1747 1 13638 2595 1 3796 23 2 4936 378 3 18126 3133 1 10105 1250 5 8369 1768 1 7432 5394 1 14114 3367 1 7312 1150 5 15398 5286 1 11410 200 4 9270 7737 1 4386 1740 3 2390 650 1 3673 7761 1 9538 6137 1 19331 883 1 13325 2881 3 7766 6252 2 8128 4943 1 14711 5504 1 6364 84 1 19004 2852 3 8370 5270 1 11726 4669 1 17101 1788 8 9432 1360 3 14055 1973 1 4524 4796 1 9596 2009 3 7605 5255 1 19137 366 2 9874 3899 3 16490 1827 6 12969 525 3 19405 7948 1 1812 4992 1 817 625 1 10975 514 2 116 3511 1 11046 5002 3 19003 1831 2 18769 7411 6 16547 3684 1 14992 4972 1 9598 1611 1 11485 5335 1 1590 836 1 12680 5245 1 2704 2951 1 18946 220 1 4796 1103 1 20019 1648 1 18198 496 7 9501 3132 2 15055 8141 11 11672 804 1 5264 4949 14 16079 4942 1 8223 962 12 4895 5018 2 15027 3895 1 18237 1253 1 1468 4427 1 19314 1780 1 5743 222 2 5841 3516 3 3471 1737 1 17647 4304 1 17134 1357 2 17432 2678 1 13973 7886 5 6853 477 2 5245 1235 5 14618 5052 1 745 525 2 1649 1147 7 3397 870 2 15800 7895 1 11545 459 5 12406 215 2 14042 7915 1 15471 853 1 11366 1730 2 3516 3414 1 14015 764 1 18750 903 1 19865 849 1 15906 2493 1 2052 3504 9 9056 1245 2 6748 4023 1 13084 1703 2 8987 1689 1 6249 7900 6 12592 1771 1 3768 1304 9 17142 1252 3 17987 6194 2 18985 3884 3 2186 4245 1 2135 73 6 9284 949 1 16152 215 6 16604 4870 1 14253 203 69 8528 2013 1 15346 3512 3 601 23 5 3980 221 1 12121 4944 6 9141 225 3 12562 6481 1 1551 2571 1 5761 6252 2 3064 203 5 6556 506 1 18530 23 11 16484 1991 24 7858 5450 1 9779 2653 1 8811 4506 2 19332 4793 3 11835 6027 1 18113 458 1 1068 861 1 3075 196 1 15943 308 1 17506 2897 1 19637 1727 1 4841 1717 1 14233 1164 3 14818 3329 2 6337 1347 1 9568 705 1 5418 1082 1 2891 200 3 17311 1315 1 11837 2192 33 6033 4992 1 3300 219 5 13894 7474 2 9582 910 9 6848 1395 2 6252 4085 1 11058 336 2 1491 3275 12 19959 225 2 3540 2276 2 12228 292 2 5126 2860 1 863 6030 3 6511 4706 21 9327 214 2 6854 2675 21 8015 8146 1 3299 7210 1 2575 52 5 1853 6949 1 10360 2655 1 20231 4967 6 8198 2737 6 16588 2376 2 10290 1757 1 1469 506 20 5734 4145 1 9427 2897 1 1727 4992 1 648 4142 1 9881 5818 1 9760 214 3 11957 1946 1 8751 5887 1 4207 411 2 12789 3939 1 14293 1363 2 8955 7655 2 133 6059 1 8391 4334 1 12853 454 1 12433 8072 1 5994 1730 1 207 2827 2 4583 2708 1 6684 7477 2 5431 73 1 10883 3050 1 5453 3556 10 11852 745 1 5569 5203 1 18534 6235 1 83 3697 7 4963 235 1 15272 5002 2 18149 303 5 12537 4603 1 11550 1250 1 17756 186 5 14839 910 8 495 5462 4 7096 3338 1 19193 2484 5 14095 847 1 12 500 1 135 6115 3 6191 1748 2 3641 834 4 689 4033 3 5125 436 1 2881 2310 1 11972 3338 1 11708 5328 1 8942 235 1 712 1703 2 16141 1909 3 20090 2727 1 12299 1736 1 13965 4283 1 13089 3109 1 14377 6662 1 3765 6150 1 521 5281 1 1770 4622 5 6734 1656 1 6857 3913 1 15364 1650 1 13015 397 5 8383 6435 2 3548 1421 1 4305 678 1 17329 5023 5 16935 1718 1 5821 316 1 17736 148 1 13787 3476 1 18462 6220 1 2413 3106 4 10874 341 5 4542 4563 1 15745 4205 1 879 3760 7 6696 7474 1 3826 603 1 17509 7815 3 6504 499 1 18119 1234 1 6721 7829 3 1650 173 1 3818 1509 2 13909 5539 1 10916 4704 5 4641 6738 1 97 1342 2 1824 3760 3 4828 173 3 16197 148 13 18534 2646 2 112 5015 1 14772 4664 5 1689 2661 5 6568 1731 2 5848 4204 1 4617 757 1 18534 1705 4 20180 5269 1 11570 1230 2 20158 1779 2 1872 206 8 8492 2341 1 15019 1781 1 877 5723 1 2447 1741 1 5830 5418 1 14232 7397 1 7699 215 3 16767 1990 1 3456 1753 5 10604 7557 1 19738 6139 1 17549 237 1 8949 470 5 13123 368 1 5494 7346 2 4681 2980 1 15192 186 4 14369 1764 2 62 2857 1 2511 3419 1 11767 3266 11 12801 200 1 19731 6457 1 2405 203 1 2550 3333 1 11230 461 5 12629 1446 3 3207 910 2 6615 5380 1 12291 1762 2 20068 1249 1 17053 863 2 6989 916 2 14628 421 1 19865 5003 1 592 3239 8 6570 87 3 427 1751 1 6664 3586 7 20248 463 1 3243 7008 2 17966 200 1 4397 5940 4 11082 4825 11 834 1453 8 11738 1783 2 15691 134 1 787 1770 1 20180 23 1 8229 203 1 4317 1825 3 6618 891 5 16494 6481 9 2357 6106 1 9224 709 3 10373 1263 4 2710 367 1 17275 1642 2 5540 215 1 4072 7719 2 11195 520 1 14011 861 1 20207 1994 1 11572 1238 1 12375 605 1 4290 3621 1 16636 544 3 13095 7466 6 9079 8057 1 3282 3007 1 13631 1738 1 4301 2591 1 2408 5534 1 1059 3216 4 3029 2181 1 9768 203 1 4427 3109 3 8831 3972 1 8965 1756 1 12824 2674 1 4933 1035 8 26 1518 1 15856 7682 3 5943 4732 1 12055 365 1 6815 481 2 7487 1727 2 7910 6126 1 3008 6227 1 12115 5670 1 9501 3113 3 10242 1721 1 11072 1747 2 3309 5618 1 7838 329 1 2778 3061 1 19647 3980 2 9725 4501 1 1238 1146 14 4940 1242 1 9733 4245 5 1445 4521 1 15429 7531 1 4815 3881 1 4328 2534 1 1383 1962 1 10698 6776 1 15918 907 1 18501 6132 1 13244 1019 1 2917 3244 10 5038 552 1 10698 229 1 1477 1819 6 17980 829 1 13190 1249 1 7147 2990 2 6091 1243 1 5854 5346 1 18783 5158 1 11458 3635 3 4493 3327 1 143 6587 2 20120 706 2 10254 2356 2 4483 2653 1 15940 5343 1 7017 6482 2 9337 668 1 10452 7840 1 5845 441 1 14232 3155 1 15075 1613 1 17263 8081 1 19197 215 5 2154 7189 2 7914 2247 1 14924 367 2 13085 215 1 2962 627 1 17509 7245 1 15625 3971 1 11533 3815 1 3362 2143 1 153 6945 1 7322 5995 1 6630 7317 1 4330 1296 1 19759 426 3 6411 252 2 8175 1675 2 5617 2514 2 17362 1752 1 10019 2626 23 10102 1698 2 16426 5758 1 15570 49 16 1358 6228 6 15853 1450 1 18608 1234 1 5624 4870 2 3874 6153 1 7315 4467 1 15579 223 140 2788 1028 2 18178 1772 1 2674 1408 1 13373 1638 2 10374 5289 1 9425 3426 1 8547 3456 3 6371 357 1 12493 2419 1 17202 3903 2 13927 1703 1 4867 7267 1 4092 2953 2 7055 1017 2 10000 5922 1 14114 7520 1 14753 1321 6 10580 6920 1 14278 7509 1 4617 2439 3 20052 1719 2 13477 3585 1 2099 4628 1 17642 348 1 349 735 13 18149 498 13 19814 6682 2 4092 3135 27 19872 665 5 3932 336 1 4022 7843 1 2327 6620 31 7896 508 1 17488 3287 1 15073 7561 5 4731 5247 1 17 1187 1 7349 1730 17 11026 7009 2 6806 23 2 8151 1703 4 19272 943 1 13925 3578 5 778 516 1 13841 5758 3 17803 4217 1 5837 474 1 5638 1756 1 1204 6414 6 11327 1482 2 15810 700 1 9701 7552 1 16278 7293 2 15289 4606 1 18149 1235 1 10694 514 1 19271 2392 2 15369 4877 3 11668 525 6 19872 412 2 10943 220 2 19949 3685 1 6644 215 1 11415 2918 1 17996 1253 2 11417 4489 2 13361 1825 2 9535 4998 2 16290 6106 1 160 7299 2 845 4403 3 19483 10 1 6072 1685 5 7189 207 5 94 4335 1 12815 7020 12 1647 4283 1 17290 7518 5 8052 518 3 1 36 1 6473 1245 3 16057 4296 2 6074 2428 4 16351 1722 1 19302 1235 1 5364 4278 1 18876 1825 17 17001 215 1 16550 2100 1 6897 3078 1 536 1705 1 18925 810 1 4213 5919 1 991 4242 1 18231 293 5 18232 3925 8 5890 535 1 7789 2247 2 11622 3408 1 4739 1764 1 4013 1357 1 15384 4623 2 9165 2699 1 10890 205 4 16057 922 1 8047 200 1 10219 5315 1 16769 639 1 8736 200 5 15318 233 1 10247 165 1 4190 205 7 3902 2358 3 14322 8188 10 8908 1726 1 4569 1357 1 1138 1898 1 13793 6754 5 14330 215 3 12733 3364 1 4913 89 1 19568 1054 1 18866 5005 1 6016 533 1 4868 4598 2 9815 4065 1 2223 1184 1 3432 4687 1 12384 3907 14 8198 6051 1 12669 506 5 5882 7653 1 19853 2360 5 11 410 5 5142 7021 1 9368 4245 4 17896 5740 1 5239 184 1 17455 1153 1 18432 532 2 18747 215 2 20202 215 2 13689 8029 3 2284 1752 1 17037 3632 6 17561 910 1 19377 229 1 6579 4988 5 15898 1710 8 15385 8194 7 14584 4792 9 684 496 2 2320 1313 1 11605 1745 3 8015 3052 2 14522 1760 1 7905 3367 3 11594 891 1 12737 1772 2 2105 3757 1 6631 514 1 15291 7131 2 10429 964 9 94 360 1 13461 1788 1 2295 1293 5 4097 3895 1 4034 1704 1 10795 188 1 8728 726 1 4050 498 2 9718 252 1 16665 1276 2 13174 200 2 10155 1827 44 593 1184 1 2679 867 2 11619 23 3 10844 3511 2 6033 2675 60 2121 4245 1 7293 2656 1 252 6723 1 13740 1718 1 10381 496 5 143 1893 1 17922 4609 1 1138 398 1 10380 765 1 3759 6103 1 460 1248 1 7750 3230 32 17716 937 1 19379 3522 1 2986 5820 2 14996 1035 1 8800 215 1 17500 312 2 19930 1250 1 14921 3006 2 3677 5477 1 8889 3474 3 1191 2563 8 498 496 2 12495 2998 1 1122 6716 4 14695 7257 1 9860 3921 1 19152 5897 1 7028 156 1 4834 7159 1 1893 201 5 4665 5768 1 65 3177 6 2716 3512 1 2546 917 1 6021 504 1 1470 3633 3 8621 1748 1 4519 1523 2 14684 764 1 20 1324 1 9172 589 38 12232 694 1 13561 723 1 6932 510 3 4199 2673 4 16417 164 1 11271 534 1 14322 219 2 18015 6957 1 520 4366 1 19025 184 1 7065 381 1 11951 6776 1 2749 2083 1 3406 6659 2 14818 1342 1 4577 200 17 886 5940 1 3044 850 3 12099 215 6 1435 7222 2 12903 225 1 12947 215 6 5037 7220 1 19193 4950 5 2483 2646 2 873 605 1 16526 214 1 3846 2009 2 11716 1464 1 15321 861 1 11287 3169 1 18847 2917 2 12629 805 2 12773 523 2 3972 7948 1 392 3906 2 17307 3574 1 4208 171 1 3593 3997 6 9644 201 1 14005 883 1 17835 5437 1 20001 196 1 6634 119 1 13943 1706 8 6132 1245 1 1238 222 12 3243 825 1 10133 74 1 4200 5018 3 7577 233 1 9645 200 10 11634 1893 6 16768 95 1 135 530 4 6449 201 3 6907 2360 1 10712 8117 1 6221 1860 2 18215 1748 1 11714 408 1 9604 498 7 1361 4607 1 19995 2810 1 3432 5294 7 5866 6756 2 7474 4593 3 17 1054 1 6732 200 1 8969 867 8 7074 4202 1 13622 1342 1 14837 225 4 19493 6256 6 510 2677 8 7176 512 1 3705 4427 6 5635 1482 1 13252 5767 1 4032 433 1 12378 4676 4 12288 1304 1 3934 1973 1 12121 5397 1 7458 2678 1 13928 2488 1 1004 7563 1 2566 318 3 3432 5791 1 16347 506 1 14738 6342 10 5931 207 1 6804 7157 1 16861 6064 1 18761 823 3 13633 220 3 822 1183 1 19625 1752 1 5185 2562 1 10554 2635 2 19331 3556 2 8174 3334 11 11239 3135 10 17246 1238 8 130 3734 1 6751 2343 3 4850 1334 2 5437 5408 3 18860 2966 1 17338 7452 2 14261 221 1 17072 2521 1 19090 4724 5 3343 2013 1 11146 7446 1 13806 2721 1 7049 8183 7 13445 3489 1 80 3593 3 15896 3422 1 9043 2061 1 14708 5263 1 5773 6424 1 18346 6164 1 19494 230 1 13000 244 6 15220 3625 1 17256 8141 30 4082 4245 1 1507 2678 7 2691 880 1 4654 1967 2 115 976 1 3207 2552 5 2342 4012 5 12740 1036 6 10720 975 1 9013 4660 2 6448 5127 1 8267 4761 4 12695 7582 10 73 625 2 1393 837 1 6013 5037 5 8094 6640 1 16364 5863 1 11504 5758 37 19034 4500 1 6519 5950 1 15935 554 1 825 1734 1 6717 2971 15 4493 3972 1 16584 4779 1 12972 2366 1 6570 3775 2 13461 8184 1 10639 6170 1 174 8002 1 13607 4512 1 719 911 4 8300 23 4 5251 4333 1 35 1934 1 19782 4206 1 8226 4974 1 15126 1100 1 5653 1775 1 11950 7020 7 11093 1761 2 1379 108 3 9834 5884 1 153 6975 1 7417 330 2 9284 95 1 6651 6363 13 2294 910 1 3015 482 1 11479 6053 5 13210 5345 6 19729 3476 2 9063 5220 1 16397 604 1 10252 1378 1 19181 1881 13 11502 5309 1 19680 233 1 15364 6908 1 2839 3945 1 18755 470 10 3972 2383 2 5692 6278 6 11581 2363 1 6375 1658 1 9188 2415 1 11582 470 8 59 2708 1 181 8232 1 713 1670 1 12220 1356 1 5352 2945 1 7593 3970 20 16491 6515 1 18633 2400 2 19955 1782 10 18679 2068 5 2311 4540 1 18771 2699 2 19386 7388 18 4023 394 1 1296 7668 2 16138 1965 1 12064 2678 3 5773 5319 1 92 4153 1 8551 410 4 2321 6225 3 17135 1453 1 20022 263 1 11882 365 3 1571 2354 2 12646 4807 7 16269 5352 3 15812 1038 3 8394 4384 1 7065 7477 1 18869 6363 6 14774 411 2 4051 3230 5 17010 1374 2 3983 3024 1 2325 532 6 40 2123 1 509 522 1 17136 7997 1 15982 5686 7 11882 1641 1 174 8124 1 14758 1035 1 15655 6042 1 7626 956 6 18383 3233 2 17957 1946 8 4089 5444 1 4593 582 2 10447 7734 2 2871 6252 3 4519 5257 2 19314 2263 2 12399 863 1 19509 3414 2 4307 1770 1 6651 223 1 14233 219 6 12049 1863 3 8015 8185 1 19026 1752 1 10000 96 1 10156 2488 18 18281 1988 1 7518 219 2 17337 7841 1 18372 3334 1 15192 895 1 559 760 5 11136 1527 1 2480 201 6 7883 548 3 15113 870 1 11786 3644 2 11295 33 1 8795 534 13 5709 5083 2 2880 3999 2 5773 367 1 17191 4992 1 5879 6793 4 15712 1734 4 8635 508 4 453 3485 7 14505 2683 2 3826 670 1 13278 4692 1 5938 3685 1 15732 6486 23 6324 6754 5 6655 128 1 7994 6074 1 7490 411 1 15069 1946 1 11717 5077 2 2598 1617 1 1551 6102 2 3149 1663 17 13257 1267 1 10498 4591 1 12055 6488 1 17257 768 1 6611 5062 7 11321 1396 3 15634 1105 3 16408 1775 1 19557 5182 7 1539 833 1 6189 141 1 18614 6682 1 12888 6278 2 14218 660 1 16109 1342 5 6229 4029 1 10099 3828 72 12112 710 1 7252 4501 1 16857 523 1 8889 845 1 1703 1241 1 11196 367 1 12490 1284 6 2427 1721 14 16916 129 2 16222 1121 3 6540 1182 8 5729 1374 1 5960 6027 2 7769 719 1 4147 1312 4 15782 1537 1 7184 512 1 7251 1882 2 2555 5505 1 484 3593 1 17058 683 1 15867 219 3 5972 5513 1 6420 724 4 2195 5670 1 12262 221 1 10203 6227 1 5185 308 1 12787 1249 1 6942 1606 3 7530 6527 1 11458 7651 5 14993 6791 1 18711 809 1 13806 737 1 8110 2721 2 9191 7989 2 12060 7244 1 13813 2673 3 13042 2685 1 12685 3016 1 18699 3692 1 20215 7850 1 4614 3823 1 62 2971 5 3781 525 2 10345 1121 8 2839 6772 4 13825 6252 1 15806 172 2 12663 3371 5 17487 1238 1 12727 2727 6 13412 1251 1 12285 642 1 17815 2342 34 3833 5040 3 14517 199 1 19865 5532 2 448 225 1 11276 867 10 4234 230 5 15498 3639 17 13827 1395 2 234 1705 1 3638 4262 1 13097 3721 2 9833 303 5 15031 6083 6 17633 316 1 8952 4277 1 19737 4059 1 1028 6342 1 1106 470 1 12459 1482 1 7392 5905 1 12811 4930 1 12690 3705 1 1900 1739 1 17454 6038 1 18040 6487 1 16640 5532 4 15208 6257 12 9178 7130 3 3331 7189 1 11912 1295 1 12540 578 1 2617 1740 2 12109 7924 1 6821 470 26 18145 6618 2 3147 3283 1 19421 6835 1 8860 2864 1 9856 1788 4 64 3082 7 11422 691 1 3726 7770 2 1593 2864 1 12766 721 1 13329 4019 2 6936 285 5 6342 1721 1 8571 3869 3 19669 2665 1 12856 201 5 17585 2487 4 3436 6568 1 5421 885 1 5158 625 1 3650 3477 22 6527 4246 1 3602 5454 1 17048 1747 1 1457 799 1 13375 409 10 1380 1254 1 3189 1657 1 7593 220 2 4214 2969 1 432 3980 2 15484 1756 3 12853 2641 1 7621 2401 3 3759 6188 1 2922 7262 1 12192 3255 1 13205 6285 2 14708 5312 2 8198 5441 1 2459 6477 2 8801 314 4 11336 1659 1 15307 1252 1 15629 787 1 4735 911 2 10058 2964 10 6656 4623 1 4210 5097 3 3349 6931 1 12841 3909 5 5029 4929 1 9937 23 1 2560 7313 1 19881 222 1 745 1242 1 11495 3564 1 4992 1745 6 5860 1751 1 16060 23 1 18574 6238 1 16029 5799 2 7780 2517 1 11953 4766 1 7016 6663 2 10343 6710 43 8888 336 1 19384 4473 1 19238 852 5 12334 232 1 3806 1772 9 4880 7336 2 13335 2633 5 3258 1703 1 10086 196 1 1511 6170 9 8078 2575 122 9216 2762 1 513 1121 18 1124 207 9 13148 425 1 19718 2056 15 2077 1686 1 3755 23 4 12961 5325 1 8407 194 1 11417 2626 2 12755 6682 1 12824 4961 1 19174 214 1 18628 8162 8 6598 2662 2 18199 5971 1 13497 6536 1 6712 817 3 156 7152 3 1090 7853 1 1904 200 8 5249 7231 15 15101 1342 1 4439 2478 10 2483 6236 2 12855 220 2 9994 7222 1 163 6714 1 8852 5031 1 4002 222 1 11666 902 1 16185 4607 1 8236 3511 3 16963 1573 2 12954 6091 2 3414 303 1 4419 6334 7 5058 3021 2 14446 3666 1 9674 5767 1 12934 508 1 2146 3206 2 13186 5490 1 11 446 1 2356 1246 3 580 2577 2 15810 1751 21 572 634 1 10091 3311 2 15709 2103 1 8950 4996 1 6153 409 15 4602 3494 1 7636 221 4 3238 214 19 4046 8139 4 4708 6106 1 5849 1241 1 6095 407 2 14047 2027 1 14305 814 1 10749 7561 1 12669 1271 4 10930 220 1 201 1159 1 9329 95 5 17809 1768 2 12740 219 11 13178 344 1 9603 203 1 3147 4619 1 3397 275 1 16057 1163 1 17319 3885 1 108 4851 1 4183 3482 1 3168 2422 3 18713 223 1 2902 1464 1 16570 942 5 7170 5245 7 7078 470 1 1237 1775 1 19724 202 1 915 6237 1 9514 5573 5 1942 6139 1 11327 3197 1 8984 8017 1 19982 1248 9 6373 891 4 13461 1758 3 19326 514 1 9454 6596 2 14686 1338 3 15460 7313 2 8828 5903 1 12082 23 2 4072 3005 3 9475 5670 25 10916 2871 2 18384 2691 1 2477 180 2 14859 2671 11 18179 3148 1 16968 2982 1 17174 4458 1 16428 4406 1 2886 7763 1 4092 842 2 19692 3623 3 19480 4023 1 789 1752 1 2458 5234 2 11554 1770 1 245 1755 2 1068 2555 1 4337 236 1 8562 3287 1 2398 7976 1 2194 7083 1 7483 1184 2 7652 7232 8 11471 3306 3 8160 2727 1 18867 225 1 15640 2743 1 15391 3638 2 19901 1742 16 6112 232 7 15180 6022 1 4779 5506 1 2580 4957 1 8499 2361 1 19740 2891 12 9160 23 4 3202 3648 1 9322 1782 5 8450 6758 5 16333 148 1 11758 206 1 11345 1819 3 15941 5400 1 6838 1582 1 10000 2508 2 14964 1819 1 3800 634 5 4082 506 1 12238 4929 4 13686 1715 5 14618 3564 1 527 935 4 18193 2056 2 8528 4682 2 73 3357 1 7991 5258 1 18796 3869 1 4386 5251 1 3728 6200 1 8793 869 1 455 2000 1 10676 2982 1 17214 2053 1 760 2508 3 5063 207 1 14247 6000 1 1551 1726 1 17774 6897 10 12208 4603 1 12077 1770 6 15993 95 3 17939 262 3 8518 6706 1 3818 1491 2 2900 460 5 16120 1580 4 19390 2557 14 16364 1321 1 14813 3940 1 13922 198 1 10152 665 5 18769 6268 4 12183 721 1 19331 2356 1 13337 4107 1 7023 5077 4 18140 498 14 20096 1721 4 16008 3391 3 12182 4714 1 3613 1751 1 15871 714 5 2282 710 2 16458 3492 2 16491 7527 4 19932 5352 1 18508 4890 1 1650 1681 11 5038 4006 1 2768 1146 1 7089 164 2 583 547 1 15427 663 1 14497 184 1 12473 1128 1 3826 798 1 8327 1727 2 17173 52 3 21 1398 1 4094 1239 5 19946 4014 8 601 6640 2 18556 368 4 13097 3647 1 14549 2265 3 12895 7804 1 18667 867 2 11796 618 1 11857 1466 1 16391 787 1 17 1223 2 6327 525 5 9358 534 1 8934 4764 1 15460 2478 2 5056 6481 2 19607 4404 1 1999 2661 4 13 720 1 12606 470 2 3749 1740 1 16927 4941 2 11212 222 1 3414 883 1 16301 5518 1 19428 5847 2 12686 1531 1 3156 4290 15 4632 1725 1 3139 1825 1 13358 502 6 918 411 15 2236 3884 1 16276 7948 8 1851 1921 5 7188 3692 2 2332 214 1 18548 169 1 6697 4435 7 16500 196 1 12447 6170 2 11798 8082 1 6734 2364 1 16089 1761 1 11076 6242 1 6767 7355 1 19286 4998 19 17416 7946 2 17037 4740 2 6603 5567 1 15211 4383 1 4138 380 2 15791 2720 1 10830 6502 1 6039 2216 6 2908 399 1 16530 203 3 1551 1695 2 11211 4998 16 16801 1253 1 1780 3230 1 1185 4774 1 7589 4022 1 19380 2151 1 5594 1593 1 4092 1825 6 16388 7136 1 13373 386 1 5495 6545 1 2172 4436 1 11952 1740 1 12772 23 1 17750 220 10 6650 4144 1 15202 3023 2 6714 2626 1 9998 5078 1 7872 4963 5 6227 244 1 10976 205 2 13185 244 2 15242 1453 2 14227 6754 1 11320 6320 4 18149 1241 10 13131 722 1 9187 2029 1 3505 1582 1 15893 232 1 2905 229 3 1465 3519 1 13126 3491 1 6570 4187 1 16740 2386 2 15364 666 1 4940 4764 2 19134 1112 2 13353 1035 1 20123 361 1 8721 517 1 4056 3147 1 20 1364 1 2707 34 1 14261 1730 2 18766 3430 1 14109 347 1 12900 7216 1 4538 221 7 7147 2013 2 2744 308 1 14652 207 2 14738 334 3 16340 2535 2 19649 1363 1 2818 1686 6 17977 2350 3 4561 5986 14 9551 1242 4 14596 5228 1 15633 1819 2 16238 303 11 164 7496 1 17909 1519 1 13993 1531 1 12039 23 8 20003 4307 7 228 470 1 8513 645 1 1488 2619 1 7227 8099 1 10394 7255 1 10315 3742 5 13800 441 1 4307 229 1 15100 869 1 4716 244 1 17432 867 1 10236 1253 1 17049 3974 3 18127 411 1 16140 4246 1 1663 3743 2 11615 7083 2 14385 5531 1 19784 4436 1 6765 8184 1 4841 4391 1 5645 3511 1 12511 6510 1 15149 5475 1 7535 6341 7 13051 4845 6 16998 221 2 6348 2699 1 5173 2935 5 2123 2757 1 160 2270 1 13638 5561 1 4067 792 1 1459 3918 1 12755 6027 1 16558 1369 1 10338 1017 1 6530 200 34 9916 6031 6 4475 5597 1 284 1890 6 15941 3075 1 15549 203 13 9072 222 6 14616 215 3 18151 3671 1 18470 1656 2 16739 1745 1 1079 5097 3 18828 6139 5 12850 1784 5 3825 5674 1 12841 707 1 20181 759 1 3901 5310 2 9302 418 1 2443 470 2 8617 1078 13 14147 219 1 812 471 1 20046 6108 46 7769 1755 1 6656 6150 2 14357 5254 1 19286 864 1 5800 3980 3 9503 3476 1 4883 5126 1 4426 4623 33 7252 2489 1 13384 1245 8 10692 607 1 15254 6116 1 12005 190 1 10127 206 1 6332 814 1 5356 382 1 2810 2588 6 82 23 6 8571 1369 1 8907 2352 1 16844 645 9 8621 745 5 13335 232 1 10 289 1 8522 2351 1 13557 4476 1 10838 1729 3 6172 1700 2 9928 498 1 17406 1369 1 1641 3511 1 17953 3425 6 19908 242 1 17583 867 1 9513 3176 6 1013 3525 1 3665 7670 8 8464 4525 1 15571 23 1 1839 871 1 5168 5308 1 14294 4261 6 12777 6053 15 3763 6897 2 835 1539 1 1296 97 6 14833 5874 1 8472 5538 1 18236 336 1 16583 5951 1 4812 5131 1 5877 1752 9 20114 5485 1 8328 382 2 291 4518 1 12322 3333 5 11436 1779 3 17085 3175 1 11435 1819 9 16299 3796 1 17932 6139 4 8947 173 1 2826 7270 6 9527 221 3 13792 4623 6 9519 2307 3 12863 6341 1 8732 506 1 1191 3197 4 6068 496 4 5433 861 2 5158 624 1 18634 721 1 533 3409 1 2140 88 1 16538 6115 1 8255 6502 1 14797 2563 1 18960 4623 14 18036 5245 15 13709 6897 1 14211 1825 12 16190 223 25 3296 6482 3 4458 449 1 12078 2256 3 9946 1991 1 2158 5043 3 10376 231 2 2591 524 27 2267 1017 1 5117 307 2 15874 1249 1 18886 5435 1 3262 6710 2 7313 7260 2 8167 7926 8 10876 1482 1 454 639 1 19870 3743 1 18705 5408 1 17403 2005 1 11297 200 3 19952 3247 1 9570 4998 2 14967 2555 1 11585 3512 11 1760 6197 1 855 1757 1 9860 2027 1 3093 385 1 9566 4288 1 554 3208 7 20120 7444 5 6402 34 5 273 982 2 17463 3027 1 9603 7414 1 12872 207 5 19553 2478 1 3079 470 1 15635 670 1 4805 1825 10 2347 4412 2 15495 215 11 8174 227 2 16700 767 1 8032 982 5 16194 5586 1 4906 7414 2 15818 2056 1 16656 3471 27 19760 947 2 17199 6031 1 31 1243 3 11 433 1 14758 2869 2 16033 4402 1 8851 5806 1 2208 2552 1 11581 1275 1 7432 2569 7 5784 2584 4 10043 214 1 13490 1245 1 16176 3855 7 8884 506 3 849 214 1 4170 7990 1 9195 6204 5 13383 5600 1 17746 770 2 2635 2319 2 12166 8241 5 8868 5608 1 11331 1092 3 174 8078 1 17983 1771 1 17176 201 8 9395 283 1 91 4078 1 16674 910 2 5076 687 3 12618 2493 1 7944 1911 1 9082 1153 9 12236 1199 1 11467 6064 3 11381 3612 10 1738 7420 2 8783 2764 1 14400 532 4 2052 23 7 3815 912 4 8872 1703 10 13 706 1 15139 2728 7 18679 541 1 11968 215 1 457 291 3 19255 4029 1 6308 1244 1 18331 1150 1 12607 5105 5 17846 5582 1 3157 5271 1 2992 4562 1 7817 637 4 2584 3113 1 4420 46 5 9168 1764 2 16202 4280 2 7117 4293 3 5086 1453 3 540 1695 7 5014 6713 1 12881 4379 1 15634 545 2 1035 8022 3 3832 5506 3 12939 3853 1 12774 4603 2 2674 5792 2 7217 2665 2 10770 4674 1 14610 7424 2 14250 1703 3 16091 220 1 7560 880 1 19687 8096 5 1719 380 1 9857 3749 1 18382 5817 1 992 1737 4 12588 5477 1 6492 222 4 8865 1776 1 1812 5018 1 5285 761 5 2761 5011 1 2980 492 1 19813 2259 3 1711 553 1 14220 206 3 18147 74 5 9882 164 1 12502 232 1 812 2478 1 9329 3719 1 19026 4540 3 14196 2998 1 11170 7724 1 4092 5873 1 184 207 1 5950 5837 1 9412 1757 7 19604 6557 1 1549 1760 1 13384 1369 2 16531 2650 1 12188 4320 2 11366 6897 3 4005 219 5 1578 4245 3 9281 5315 2 19239 3084 3 8591 3504 1 17324 416 1 6551 400 1 19286 274 3 4238 6139 6 3788 5306 1 3749 3592 12 15369 173 1 16034 3580 1 17662 7213 7 2540 2096 2 1598 5607 1 4552 2595 2 13 927 1 1923 7542 1 174 7976 1 6848 221 15 11530 5119 1 12054 2747 15 15147 4455 3 16895 5156 59 1620 1572 1 3008 2595 1 13986 5150 17 1453 3417 1 5336 844 1 3160 5293 8 15614 7513 2 4472 222 1 9894 3363 1 16926 5468 1 8889 825 1 9449 1819 1 13320 1731 4 9796 4428 6 2889 184 7 3500 2632 1 6781 7368 7 31 508 3 16325 891 1 6183 7291 1 6869 1742 2 12504 2954 5 9341 1209 1 17946 6065 1 6917 2542 1 17403 806 5 9945 1356 1 8749 232 1 17475 5826 8 8489 2403 1 19597 128 1 14786 520 1 17955 1363 3 2886 6665 1 18357 4807 2 62 2904 1 6907 3409 1 19246 3558 2 6236 481 1 16594 650 1 6163 1774 1 11410 1986 2 11362 1775 2 1232 5156 1 164 7432 1 11367 4616 2 18115 5768 2 19193 1275 1 8455 232 5 1608 382 1 1859 5320 1 1035 77 1 4615 5054 2 2376 2146 10 15160 1752 2 8378 578 5 8710 3540 1 8260 1062 1 11855 3180 1 9534 745 1 16117 4411 2 20162 1172 1 140 6388 1 11614 6368 1 3427 853 1 2126 3834 4 1587 1184 3 10221 1776 1 16587 805 2 12327 3127 3 18263 7182 1 5675 1237 3 2443 223 3 5495 367 1 11267 1571 5 9808 5995 1 20113 3213 3 9279 292 2 6926 3808 1 6700 1739 6 4232 6185 1 1616 1357 2 615 4077 1 18476 5798 1 3008 383 1 19286 1774 1 17607 4680 1 18081 1703 1 942 3511 1 8091 1244 1 97 1244 3 12888 525 2 9528 203 11 59 2488 1 8656 8003 1 5929 3649 1 13553 339 1 16778 235 1 1065 471 2 13559 1436 1 1028 708 3 185 219 1 18180 4592 42 16600 962 1 18226 501 1 124 5425 1 12640 4255 1 20225 564 1 3968 452 1 19241 884 1 4935 4298 1 3143 5265 1 14666 6633 4 4016 496 1 19840 205 3 1504 2291 4 9707 665 5 10873 2870 6 9055 5341 1 16775 3666 24 5821 718 1 16997 6949 5 3822 3333 2 3309 1658 6 2689 231 1 16210 4400 2 13515 5021 1 5214 1736 1 10519 1789 1 15366 229 3 18048 1191 2 11218 506 4 101 52 1 17283 5425 2 13418 203 7 7760 5274 2 5911 1464 1 13088 4351 3 1074 526 1 19161 207 1 2488 6080 5 18627 2652 1 10670 3147 1 270 1729 1 11465 1045 1 10043 6662 3 15208 7101 1 14058 5325 23 6478 225 1 4536 5289 2 12381 7857 1 174 8015 1 4614 7807 1 11943 1342 2 15745 992 1 4615 4004 2 1011 690 1 13097 6663 8 4116 7570 1 13960 6200 2 13601 5506 1 11345 412 1 13320 1332 3 3705 6139 1 8643 573 1 3025 219 9 6332 616 1 4841 1244 1 10082 1053 2 9656 6585 1 16608 2534 1 13880 3599 1 15599 7013 1 19218 5289 2 7310 505 2 16376 4951 2 19344 2419 1 15047 1986 16 10175 292 3 525 7237 1 2062 1726 18 19401 3556 1 7812 506 6 4875 1103 2 10389 2512 1 13461 1781 3 13346 215 1 11230 2427 1 701 411 1 19826 2990 1 13103 4193 1 14939 222 3 2161 2895 1 18095 6167 35 19737 4096 1 15108 7036 1 14762 244 1 10286 6716 5 18711 708 1 4338 5403 1 17436 379 2 4013 6031 1 3309 502 1 1393 654 1 10730 7184 2 496 458 1 15248 4452 1 11796 812 1 3790 5495 1 412 6762 1 9797 3905 1 13937 1548 1 8686 4540 2 2985 911 1 1371 5922 2 19352 876 1 3090 7235 3 7581 201 2 4434 3569 1 15186 336 4 7991 3621 1 14640 2056 4 11066 1244 2 1999 4202 12 4146 3571 3 11271 5119 1 2087 5175 3 13305 7565 4 3762 203 2 4941 864 1 3780 4348 1 17799 663 2 12817 1705 1 12579 6091 2 4118 6278 6 6032 6897 1 11994 3930 2 3712 5315 1 16873 4065 2 13095 196 1 10539 3748 1 83 3747 1 17662 223 3 15246 534 1 151 6766 6 6438 1665 3 8643 848 1 15272 2401 1 6723 4938 2 17549 786 1 2294 1751 1 7991 156 2 6821 23 8 8235 525 1 7823 243 3 19479 7400 2 7765 1982 1 15393 1649 14 11944 917 1 11 462 2 14905 7809 2 12737 2902 1 13928 2889 1 18393 2675 24 14908 4398 1 15562 8141 11 3112 1274 2 14270 7238 1 5016 1275 3 9046 4246 1 5990 1743 9 20145 1357 1 18271 397 1 11411 381 1 399 222 3 11106 506 1 13490 4203 1 7914 6777 1 1612 219 2 10362 46 1 17 1042 4 2583 5074 1 8975 508 2 2310 8045 2 12468 534 1 18295 23 2 11215 1512 1 8654 6595 2 12021 3304 2 18 514 1 18382 1238 2 3505 4402 1 11868 5674 1 18656 744 1 4359 221 1 10999 419 1 6721 534 1 6602 874 1 2784 7937 2 18366 2366 1 14200 164 3 10272 1738 1 8128 190 2 15636 7421 6 15655 4387 1 13417 6868 1 547 1046 1 12897 1825 2 10980 3698 2 8818 2144 3 2330 228 3 15465 3685 3 14993 6969 1 18149 5517 1 19303 214 2 13465 561 1 19833 3813 1 869 10 23 17185 2663 1 11682 3916 2 4593 616 3 13925 6027 1 7885 219 1 3397 4240 1 17039 6793 2 752 1233 10 11627 3511 2 7670 791 1 6563 6980 1 5495 5759 1 15028 1076 13 3384 1705 1 9721 505 1 10730 4407 1 6510 3734 4 18140 1730 5 6570 7216 2 5677 670 1 2647 1703 1 15427 905 1 16737 6945 1 8888 8184 6 16249 244 1 8888 1756 1 17088 1395 5 1556 3742 3 3765 148 1 12453 5301 1 14811 910 1 15881 644 1 14834 6706 11 17127 4375 3 14522 554 1 4426 1814 6 12141 889 2 11968 23 1 8492 1707 1 2816 1037 1 4511 4021 1 5890 1136 1 4054 151 1 12112 4089 1 1216 304 4 10 285 1 5605 4279 1 6501 235 1 37 274 1 20145 1756 1 7908 221 1 5255 3492 5 13745 3863 1 15429 3567 1 6758 891 1 9930 164 5 11877 1706 1 12903 1710 5 153 6890 3 10730 4929 1 8411 5506 1 2091 575 1 74 3423 3 14836 536 1 7577 3892 2 16775 6910 5 11964 4029 1 4417 1464 1 113 5047 1 2151 6675 20 12858 1727 1 8478 4314 1 9904 6532 3 5515 4956 1 15623 5036 1 9568 4144 1 18797 2056 1 12457 1771 1 1136 244 2 14600 7586 19 62 2850 1 12919 5327 1 9770 2569 3 8015 3051 1 11817 7235 1 16726 6053 2 17014 4801 2 3180 5414 1 5445 225 6 15224 4413 3 3765 2908 1 14436 502 70 9438 7419 6 8998 156 6 5792 1734 2 10543 545 7 3397 629 1 12879 910 3 13924 1698 2 10494 1719 3 11823 763 1 18320 4567 4 14189 1893 4 17995 891 1 15429 6167 1 7740 153 1 19724 1825 2 8057 5886 5 15291 3895 2 785 1734 1 4593 847 1 17488 1994 8 5444 224 3 18879 2552 2 12881 3373 1 16453 4006 1 12982 5234 1 18389 4287 1 19655 4761 3 19833 3798 2 18410 1238 17 16518 7848 1 3395 2353 2 17914 1772 2 11207 4211 1 7640 7871 2 1278 188 7 16971 1828 1 1296 128 1 2542 2636 2 17302 97 1 19520 2581 1 20039 7999 3 8412 3749 2 12316 6480 1 7070 2415 1 5122 23 1 577 201 1 6492 1720 2 7261 173 4 8189 5534 1 19594 4585 2 3112 7540 1 15220 200 5 7367 1721 6 3808 903 2 17031 1747 14 7056 3221 1 16727 65 43 6124 173 1 15120 3575 5 18071 2606 3 14963 5817 1 20111 5661 4 5594 5260 2 9220 3747 3 2480 7542 3 10593 1244 1 19239 2520 1 5144 4117 1 15388 7255 4 2408 5569 1 5827 367 2 13621 5517 2 592 4557 1 14298 8022 2 6015 200 1 10684 4013 1 8892 196 1 682 5703 1 19872 7166 1 10763 470 2 10237 225 1 8969 8184 1 5049 3021 1 15486 1342 1 15488 201 3 3734 4992 1 922 1307 1 11216 1264 2 19014 4635 4 9044 3603 3 12459 2661 1 12464 506 6 3136 3625 8 19153 588 1 8870 2571 2 5742 3155 1 8303 304 3 18336 2354 1 8343 1126 1 5304 879 1 19518 514 2 19369 6204 5 14984 479 1 17613 1378 1 9477 3462 2 10256 200 1 376 1739 1 7386 6931 1 109 4969 1 4873 8013 5 16635 1470 3 9319 889 1 9318 1241 6 14992 568 1 13508 427 1 15369 7491 1 15492 1764 1 11964 1778 1 8330 28 1 15553 910 2 10334 1037 2 13554 5349 3 12337 201 4 26 1575 1 1990 2246 7 8489 2379 1 7065 2790 1 985 4949 1 17493 5315 1 4130 2132 2 12354 4508 11 7640 5474 1 2374 2841 1 18791 2269 1 2709 3472 1 8914 541 2 3536 1153 1 9224 835 2 9891 23 1 10712 8013 2 17384 1760 2 13394 3276 5 6154 2889 2 3488 168 3 6313 7956 3 17505 2304 2 19065 3097 1 4854 2977 1 18939 1184 1 5774 581 1 16847 1717 1 7435 3511 1 18501 4998 15 803 6979 1 11791 2360 1 211 2569 5 16399 412 4 296 6754 1 11622 7995 1 3697 1718 2 7518 222 1 14945 223 2 5685 244 2 16914 894 1 18807 880 1 5398 4622 1 2891 7719 1 16768 3695 1 9294 200 2 4910 4411 15 10692 767 4 121 957 1 10766 3684 1 4610 3411 1 7769 1253 1 3398 6992 1 13743 2409 2 6630 6029 1 7184 336 1 15060 3762 1 960 514 1 18193 698 1 12777 6808 1 14384 3682 3 9642 6252 2 1885 4803 1 12208 1093 1 174 7941 1 17716 5786 1 18748 525 3 11585 1374 9 7312 1505 2 11938 1731 1 17250 7297 1 10865 7614 1 56 225 1 5637 23 1 12469 1453 1 8528 235 1 9120 5054 6 888 779 3 4898 201 5 14649 23 2 15845 6518 1 8969 2671 11 5431 2908 1 16881 3591 1 14348 6949 1 3793 4967 3 2405 7592 1 10283 3563 1 12894 23 4 5748 6058 2 12913 1395 3 13096 520 14 15068 197 2 12397 4792 1 9865 3511 29 11512 1184 3 15742 4225 1 14533 8135 1 19085 5018 1 3901 3747 3 6418 409 12 8922 1150 1 7532 477 1 9534 3637 1 863 3378 1 6418 4211 1 5961 804 2 12525 3572 1 19211 939 1 16651 2534 7 10501 458 1 4589 2355 5 1530 2488 1 5065 5018 5 11981 524 1 13455 5611 1 13378 5018 1 16306 214 2 9865 3230 1 4524 2352 1 16560 237 2 7299 5018 1 12833 1860 2 759 4355 1 19212 1685 8 19256 7439 1 11158 6252 2 3547 1778 3 8441 2115 2 12550 5227 3 11933 210 1 7162 221 2 17909 6561 3 7017 7533 3 16753 4183 5 11615 7527 2 18056 1170 5 18679 2364 1 10853 7486 1 3022 1965 1 10420 484 1 16896 3071 1 18745 4041 16 20225 840 1 16490 2341 2 18660 4692 2 15561 2115 2 14316 411 106 13797 1569 1 16587 7857 2 4418 2661 2 5811 3603 1 167 7569 1 14421 4029 1 15424 3029 1 17298 7413 3 12343 3208 1 17298 1453 1 15348 500 3 11591 4009 1 15931 1235 1 13670 2415 1 1089 4623 1 8273 1675 1 812 84 3 1776 2591 1 11392 4218 3 1825 1259 1 17257 650 1 7564 525 8 5715 6874 7 3911 7261 6 10847 566 1 15901 186 2 5652 1825 2 13361 3338 1 17246 498 5 6799 536 17 11410 5650 42 12985 6053 1 2646 7591 1 17917 5054 1 4060 1555 1 6478 903 2 18924 1745 3 3581 3011 1 9865 3146 8 17065 3208 5 3549 203 1 4134 3070 1 18806 2141 1 19487 1760 1 1235 4306 6 2124 2683 1 17009 1705 1 1586 232 3 14301 4006 1 13972 6027 6 8051 3729 1 15124 3893 1 16925 453 1 12171 1307 1 7179 8017 1 15078 624 6 14763 394 1 19872 5004 1 18444 1247 1 2619 3596 1 2483 496 3 15278 3230 14 16827 1825 5 9941 1699 1 12895 164 1 5672 1328 5 3111 1990 1 17223 3167 1 8779 7829 1 11736 6585 6 8375 1256 5 13373 1780 2 18173 7210 8 14599 562 1 16926 4023 1 2529 1250 1 11343 2447 1 19530 509 5 4672 2620 1 7267 1453 1 6781 84 7 10290 1762 1 12309 253 1 10692 260 1 15852 6640 2 4696 6320 1 17736 410 1 264 3216 3 4716 1275 1 7397 320 1 6731 1253 2 18115 4523 15 11844 3671 4 13743 23 1 417 223 1 6624 331 1 15891 5783 1 12934 2363 1 7459 2827 1 11303 782 1 14619 4714 1 2646 1307 1 12618 5312 1 819 4928 3 6482 6688 1 12971 236 1 8477 6423 1 19687 4622 23 14522 1251 3 3310 470 1 10494 1781 1 3386 1743 2 12745 8054 1 4683 1529 5 2997 2727 1 19018 910 7 11519 4260 1 14566 8015 1 6967 3604 1 2156 1203 1 18056 1035 1 10179 5281 1 13997 2501 1 12152 927 1 13642 2380 1 1049 4201 1 16346 385 3 11993 1883 1 281 4727 1 17380 6008 1 16911 223 2 18132 4600 3 4017 2931 1 16436 4508 1 7451 237 1 14990 3462 2 14607 3512 6 3703 532 3 15222 1825 1 2359 292 4 11866 3575 7 7065 5294 2 10930 1743 1 6449 4799 9 15104 1399 1 9870 964 9 14968 382 5 5431 7404 7 1323 3337 4 2624 3540 1 15903 6673 1 18288 2173 10 14020 3757 1 19352 1184 1 17240 7096 1 1028 825 2 15799 4274 1 9525 1825 5 5437 1718 4 14664 7683 3 12531 3563 4 19603 4649 3 4553 4341 1 4773 366 1 10996 3317 1 11843 519 1 2853 2831 1 8532 1747 4 6002 7520 1 3750 1607 4 18749 557 1 3233 3526 1 11523 4807 3 9713 541 4 62 2861 1 18618 2488 1 910 631 1 11183 308 1 8408 8141 6 3686 4435 21 3100 745 5 15426 2777 4 16146 2552 1 19579 1332 2 3178 3974 2 12837 1768 1 83 3833 1 18658 411 1 5929 640 1 4960 891 1 19069 2534 8 1803 1249 2 4970 3547 2 19320 1208 1 19788 5234 3 10980 2407 2 12723 378 5 11376 7244 11 19792 982 1 2701 460 1 8226 3233 5 1214 3448 5 3201 5480 1 8339 303 1 14753 7632 1 6603 1315 1 3558 7719 1 6854 3911 1 19870 706 1 15722 1762 2 5860 2407 1 10463 203 12 11057 910 1 2990 7184 2 18211 2072 1 14597 2704 5 15412 1721 3 17903 3869 5 4868 4204 14 19889 505 1 952 5016 1 9548 1474 1 8223 3894 5 12480 1277 1 5986 205 2 4589 1703 3 13252 225 3 1166 1359 1 121 835 1 4870 1757 1 21 203 8 10129 3146 2 3382 5281 6 11525 225 1 13195 1282 4 3031 232 1 2531 1512 1 6914 2880 26 7245 203 5 14203 201 2 3326 3899 20 1722 207 32 4599 3117 1 276 5636 1 17772 2569 1 16755 2798 5 19471 6052 3 18106 3049 1 11267 46 30 19380 4460 1 5985 6835 1 1906 1791 2 17204 498 3 11072 1752 3 19115 1729 9 7933 6534 2 3455 3876 1 8158 206 1 1869 3637 7 14685 5018 45 10593 203 12 16943 1388 2 3058 3308 1 20 1355 1 17977 3671 2 4935 1289 8 9319 7461 2 19655 7710 3 19428 1464 5 11882 1312 1 8890 6155 1 15874 843 1 12595 200 1 17416 4470 1 12208 4303 6 6690 207 20 19378 220 1 9341 4395 3 324 4403 7 9635 1997 9 16768 5461 6 3856 1739 1 7888 5058 1 11938 505 5 18202 6460 1 2321 4656 3 13601 4029 1 9211 5394 3 2906 207 7 7065 3039 1 12510 1942 1 4301 220 2 5884 7234 2 9630 7570 5 821 7642 1 20145 2626 1 5172 3421 1 6592 4029 3 15468 415 1 4050 3892 1 17811 4623 1 214 1729 2 14890 865 1 13453 207 34 4963 1779 3 15586 1582 2 16145 518 3 6796 3065 1 16180 637 3 6425 200 1 338 4262 1 13023 634 1 4883 8109 9 2296 1747 3 3261 4486 1 9808 7458 1 2162 1296 1 10399 4740 1 16916 1814 5 14522 1234 1 15518 6683 1 5428 891 1 5261 1757 1 16726 761 2 6669 1035 1 7780 1757 2 7473 61 1 18187 575 1 11136 1575 2 6000 108 1 5445 7591 4 2886 1331 1 4023 52 3 16689 5819 1 3281 1719 1 15025 5108 2 873 2721 1 486 1740 4 313 422 1 11898 531 3 719 625 2 18590 2915 1 9351 1707 2 6228 831 5 11072 520 2 7306 355 1 17886 2569 1 19176 6165 2 16393 1244 4 279 1995 2 15535 518 2 16057 3389 6 12433 2068 1 6332 846 1 13507 194 1 17220 1205 317 4573 4189 2 7315 314 1 5185 8036 1 3679 1727 7 9666 1154 4 16236 1277 2 1401 1757 2 2461 1595 3 14416 1748 7 16002 574 5 16690 5789 2 2089 4643 7 18568 7948 8 13881 545 7 7760 1531 1 5960 6052 1 19016 3954 1 10000 367 6 10699 2114 1 12984 445 1 2318 1595 2 5493 5115 1 2599 676 1 11556 1825 2 13871 1341 1 14301 5440 1 8593 7245 1 12343 186 2 5775 1250 1 14404 1363 8 12682 2731 21 14839 911 1 14236 1283 1 4960 2698 1 12592 1267 3 14918 470 1 121 2012 1 10166 1778 35 16625 1760 1 19401 184 1 2962 2083 1 18033 2727 1 5046 1819 11 15669 679 2 3417 4597 1 17130 1724 2 6698 1244 6 4796 4508 2 16426 6670 2 2567 8150 1 3480 1251 8 5863 4308 1 16984 714 1 8486 5031 1 13976 6884 1 16798 354 2 13587 467 1 12235 497 1 12641 2343 1 19724 1783 3 8971 7229 1 14052 505 2 19243 3427 1 116 665 5 11867 7586 1 19029 2795 3 6692 3230 1 13445 496 1 12902 203 39 2820 689 1 3110 7598 12 7675 4528 12 6449 7848 3 9759 1695 3 6339 1104 1 1130 4511 20 7034 2419 2 7028 3575 6 18405 1825 1 18665 1344 1 7333 201 4 16588 2385 3 2985 670 2 13640 5408 1 8157 3922 1 8448 3773 1 19918 3074 4 15359 1752 53 585 4008 1 18876 911 2 7985 4352 5 11155 2633 1 3362 2885 1 10623 5551 1 9660 1779 1 17657 1783 5 1206 402 1 2205 1342 4 109 3466 1 13516 1752 1 19645 380 3 4498 7477 1 7203 891 1 12945 3932 3 745 557 1 4140 1449 1 6183 1720 5 6086 1730 7 14951 3509 1 8405 4387 1 5573 7750 5 1725 1023 1 4170 2571 1 2319 776 1 9332 1249 1 1989 1703 1 18900 1643 12 18852 229 1 17987 6543 1 15888 5156 1 9621 3334 2 17610 4559 1 19437 853 1 16767 3516 1 15834 1105 1 18014 836 1 17479 222 1 5329 235 1 3814 5054 1 6261 1440 1 18089 1357 1 9347 73 7 146 6700 2 14602 4328 1 1465 73 1 10445 5301 1 17331 441 1 7132 4373 9 17736 5224 1 15701 1363 1 2793 4559 1 19578 498 7 10179 7658 1 1969 3233 4 3672 1827 1 8969 1253 1 20070 1374 1 17220 292 1 7157 4611 1 14144 421 1 18633 2430 2 17058 566 1 11333 1825 7 15709 1374 1 13711 1328 1 12131 808 1 15493 6470 2 15940 318 2 4508 6610 3 9283 1825 5 13315 2216 1 11430 2675 2 108 4842 1 2674 4951 1 19760 3634 1 10865 5783 11 9819 1342 7 12279 5090 7 3846 2495 3 8713 5325 19 337 2197 11 11849 2146 1 11367 169 10 17589 2376 2 17698 1783 1 11693 1721 1 11029 206 26 20040 1630 1 11346 442 2 181 8244 1 20120 8204 5 14770 460 1 18705 1751 1 17298 6714 7 12695 207 3 12725 6435 1 13598 7101 3 4495 1146 5 7666 1446 1 2012 3563 1 3822 225 1 5952 1788 4 10886 4132 1 16373 7913 2 10916 4269 1 14874 6132 2 9919 5269 1 10245 397 1 19085 1245 3 12283 206 5 5943 5586 1 19601 4306 4 1345 1893 2 10401 7719 1 4193 232 2 5681 215 2 17995 5670 2 8149 541 1 341 3117 1 19115 3525 1 16059 214 7 7147 201 3 18797 533 1 654 7477 20 19793 3086 1 16561 849 3 2098 470 1 3985 6522 4 4688 881 1 12366 84 1 2568 203 6 1786 1357 2 11598 2498 1 18667 1251 2 7705 599 1 16833 7525 1 7575 502 1 19833 3853 1 11430 8141 7 5885 1819 4 14330 1698 1 7312 303 6 2803 2499 1 8920 2693 1 4946 2302 1 9216 1703 1 19218 313 2 15676 3602 41 16481 1993 1 4955 200 9 16194 4614 1 18999 519 2 6990 4251 2 3329 8091 4 2994 156 1 822 2930 4 10802 7367 1 17950 4280 2 18866 6053 2 7181 367 1 3324 5060 1 17162 5998 10 17353 2307 6 7527 1736 1 11585 506 6 7251 2171 5 8608 1251 1 5099 867 6 10316 6059 2 19013 1727 5 14711 3324 1 17083 1788 1 20123 2993 4 5840 1150 1 13409 8091 1 15 990 2 5431 1555 6 20221 7245 1 4574 5321 12 3227 1245 1 10956 676 1 16090 3045 1 6795 214 1 9555 370 1 6595 184 1 15593 8036 4 10973 1903 3 10054 6192 1 6228 718 3 1276 2656 3 1668 7267 3 65 3093 5 8471 853 1 2711 206 1 9385 195 1 9793 1342 11 7556 1703 1 18867 252 2 5873 1772 4 12032 442 1 139 6342 25 9935 1721 7 9483 7558 25 13167 1855 5 18346 1743 1 10911 5294 1 2480 1244 5 17494 215 1 12956 7471 1 10166 243 1 8913 5306 1 15138 214 1 6395 2885 2 413 3021 4 17405 5389 1 1465 3167 1 16143 1433 1 10996 6615 1 5221 4792 3 14818 235 1 13987 1342 1 16328 6793 1 17585 4280 1 11678 911 2 9526 2569 5 17196 5767 1 4259 5051 3 17395 800 1 10382 219 5 17707 1816 1 17226 1146 1 2271 67 1 17298 6152 15 5207 341 2 14530 1996 1 2132 4555 4 17273 4245 1 3384 1752 1 15086 5420 6 4312 222 1 2803 3710 1 16860 3380 1 3485 2362 1 19272 447 2 5231 1909 9 8406 215 1 14517 2743 2 15104 1395 2 14357 2675 1 20236 385 1 18946 5871 1 4822 303 26 19193 4269 1 13835 2175 2 9155 3022 5 15441 7008 1 17499 7857 1 9387 1593 2 6264 3608 7 3432 4307 2 7463 2501 1 13646 214 1 1265 81 1 7123 3511 1 15419 173 1 9604 3230 1 15248 4592 2 6185 6065 1 135 2555 2 17738 306 1 2499 5490 1 7436 2698 3 3259 6402 1 18581 6670 4 937 5770 89 887 863 1 4043 223 1 6198 409 6 12941 2651 1 1136 7229 4 8394 4233 2 8528 190 2 745 1731 1 15530 1788 1 5637 225 3 5025 4389 1 5779 3181 13 740 5642 1 121 5259 3 3817 3337 1 5950 467 2 7415 5692 1 6544 5730 92 18105 6434 1 19090 370 1 17768 496 1 12821 463 1 9031 5515 2 13673 2557 1 19358 4563 4 9917 5420 3 17932 2276 1 1983 1357 6 979 1247 3 4492 196 6 5025 6084 1 11581 7244 1 6407 3635 1 1825 2663 2 2710 510 1 20180 2086 3 15943 1365 1 11450 6435 26 8768 2953 1 74 3472 4 18778 1780 1 16643 912 2 5532 4306 1 19940 5504 1 8811 4523 10 5295 5135 1 2917 1283 1 11900 1718 1 232 1235 1 15881 7525 1 18499 1105 1 13285 132 1 12985 1705 9 18431 7342 1 15577 1764 1 19461 5156 1 5596 1715 2 15750 590 1 11205 874 1 16453 7215 4 16522 1788 2 12710 5756 1 14061 4739 5 4081 1741 1 4914 840 1 10540 3980 1 15195 88 1 11336 5499 3 3765 219 2 10950 292 3 8901 164 5 9394 3526 1 153 2737 1 7962 1721 1 161 7350 1 6486 939 1 18286 2747 1 5289 8150 1 8584 5379 1 14686 809 3 16802 7244 2 4489 1402 15 11145 2253 1 5962 3400 1 2029 5325 26 16484 4590 25 5036 187 1 1343 7124 1 16636 6690 8 14896 5097 1 1312 274 1 5281 3900 18 1558 2649 3 8448 3859 2 12513 411 1 3711 4293 6 8383 1237 1 18510 3167 2 2654 3979 2 7586 2847 2 4078 7169 2 130 5848 1 15075 7297 1 154 7129 10 19262 2898 2 8422 5903 2 3809 1981 1 1783 206 3 3512 2057 7 12695 6897 1 3236 2009 1 1212 663 2 3520 4929 1 11899 1296 1 20090 4280 2 11605 518 1 17243 1247 2 13306 1244 13 5831 2678 1 13543 852 2 12361 3421 10 8983 5269 1 7933 4976 1 17336 1717 2 9195 6768 4 13705 5003 2 3085 4384 1 15608 4789 1 18730 3074 1 1739 1726 5 17466 295 1 15471 4172 1 3155 5568 1 4376 4306 1 20183 4807 1 3109 8159 1 7933 3193 1 6915 1827 1 7867 223 3 14226 6515 1 11567 1571 1 4026 2450 1 5675 3526 1 17589 2447 1 9215 4288 1 9859 1041 2 4967 1987 1 11847 200 2 19047 3260 4 3128 1301 2 11411 1242 1 9580 3540 2 9198 7210 1 3160 8072 1 17120 1727 2 18524 2319 2 14114 4107 1 4054 7401 8 18445 4956 1 12632 2521 1 2319 6121 1 3377 1649 15 9538 7817 3 14201 5256 9 192 1246 1 19602 1037 5 3358 886 1 13187 7998 2 20129 502 1 16704 6613 4 5285 2810 1 13806 767 1 15425 5594 7 11533 841 1 19532 7225 1 153 6989 5 17499 214 1 768 6127 1 16857 512 1 759 1022 5 939 4012 1 12233 1453 1 16101 23 2 9268 845 6 15377 1705 2 3397 778 1 7188 470 1 15397 203 29 1590 3748 1 12971 148 5 3981 7853 4 7718 520 2 4278 221 4 6412 654 1 6281 222 2 3301 8022 1 19103 506 5 5208 5972 5 17730 1824 3 995 8048 1 10559 8150 1 13911 910 2 6769 3605 6 15712 5402 2 17261 7223 1 12427 214 2 4960 5995 1 12800 6231 2 16998 1728 1 11562 6396 2 16286 1237 2 15314 5540 1 10313 478 10 19866 23 5 392 4490 4 5288 6351 1 1444 44 2 2708 6612 1 6539 763 6 18293 2515 2 7119 1234 3 3218 3432 1 15098 221 4 7595 1401 2 7502 7008 4 17416 1648 1 12897 1582 3 9809 7210 1 74 3441 1 83 3792 1 7098 3693 5 3258 1756 3 14791 1748 10 10916 4275 1 10313 457 1 1212 336 1 2962 3827 1 17863 3073 1 12468 1707 1 12935 2552 2 3840 3492 1 3624 3512 13 17850 2970 1 10382 207 19 11343 244 1 19193 561 1 14500 452 1 12972 2338 5 7275 1139 2 171 7665 1 19760 5138 2 8043 2881 5 16489 1776 14 8416 525 1 9537 2383 1 9816 471 1 4421 6791 4 7669 8093 2 12919 7022 2 9858 7229 1 3765 2955 5 1009 175 1 5849 5105 2 13793 7594 1 3940 1119 2 4337 3896 1 3206 2671 1 822 5257 1 10827 7494 1 14211 201 1 16527 1762 1 19360 6527 1 12195 1768 3 10147 5011 7 14958 7313 1 16575 219 488 18378 3884 3 12837 7736 1 14942 203 19 13686 519 4 6889 6618 1 10071 7857 1 4267 3491 6 15896 1721 2 18257 2399 1 10111 2982 2 1726 292 1 17893 2552 6 3824 1881 4 15527 1379 1 9453 1401 1 14021 4985 3 35 1917 3 18014 365 1 1970 496 1 9891 1783 1 13867 3155 1 105 4707 2 18862 442 1 13 677 1 15952 4274 1 9343 756 1 8594 5425 1 5950 443 1 11346 7823 1 16180 4628 4 11772 1677 6 2459 3799 1 16802 1721 1 18919 475 1 8641 203 1 15352 5897 7 12803 2657 4 7991 7021 1 873 1253 1 4153 4029 1 8313 6714 1 1171 880 2 12180 7598 6 9660 7101 3 171 7726 3 9456 470 1 4153 2056 4 11026 4789 1 6415 1739 1 4826 3946 1 9921 3512 5 9215 724 3 4819 5031 1 873 3974 3 3159 13 1 13972 4435 16 9033 2254 1 10531 1721 1 7045 1758 1 14748 461 1 14999 3593 1 13125 4132 1 3739 2426 1 8683 4531 1 853 2989 1 19320 5018 1 13304 3601 1 20090 4308 1 13735 232 4 2435 3511 1 17978 969 1 18597 8141 3 3725 1125 5 15282 4435 3 5626 4435 5 26 1534 1 2094 5031 2 19548 2294 1 6425 3684 1 108 4850 1 17357 8099 1 12005 1755 1 74 2358 1 523 995 1 887 5886 1 19770 8043 1 4435 3869 1 4606 253 4 13370 3684 1 7868 5588 1 10155 1731 17 7707 3509 2 13187 3732 1 20256 7629 1 7530 519 2 13500 6268 5 6762 2604 1 7731 3215 1 4299 2877 1 745 532 2 17167 1814 105 6332 1383 1 11540 7612 1 14005 1921 2 8969 1686 1 20044 7802 13 9838 6536 1 17317 4622 5 18960 870 2 1666 201 12 12619 1022 1 6681 6457 1 8889 3983 1 198 1736 1 5124 1681 1 19735 148 1 16509 5583 6 18443 1091 5 16135 207 1 2571 3841 5 1551 541 1 2611 4706 1 15726 214 14 19437 864 3 9645 880 2 6088 1664 1 382 7418 1 6492 1728 2 8840 7105 1 14630 1781 1 15597 3353 1 20219 5018 1 6395 2635 1 11072 4992 1 1986 524 3 5652 219 2 16767 201 1 2763 158 5 14583 718 1 2886 967 1 10955 5052 1 13227 2496 1 17549 4351 1 19210 496 2 9907 2353 1 13581 526 4 7917 1757 1 26 1559 2 11957 4326 1 8711 6806 1 13745 3777 1 6394 2151 2 113 3240 1 6488 7633 8 11058 1726 2 2336 2998 1 7145 534 1 7226 232 5 126 5643 1 7184 498 1 2198 219 6 3627 1339 1 3703 2982 1 11877 510 1 8345 2534 3 18250 2737 1 11882 5339 1 2448 4224 1 1551 2792 1 2434 3850 4 9572 2720 1 14055 3147 1 16530 235 1 4820 1535 29 18827 1771 1 14979 4352 1 11191 495 6 491 3557 1 14493 1307 4 1259 1718 9 16831 1748 3 7742 3649 6 9805 7958 1 2020 2955 1 9106 1967 10 3874 1727 1 1961 206 1 11336 5422 1 9743 3570 1 1919 215 2 14157 7510 1 135 4727 1 19729 2256 1 7569 2480 1 12871 8030 3 15018 1672 1 3134 4333 1 2138 7834 1 10677 2836 1 1125 3819 1 14722 2560 2 857 3069 1 6755 524 1 5148 3333 1 12988 1245 1 4965 6481 1 6750 3216 1 15025 4695 5 7853 3368 1 11842 411 1 19713 8096 11 11935 2246 5 6821 1658 3 10103 7726 1 1536 4153 2 4898 7511 11 9844 6897 1 5134 3446 5 9199 554 3 13329 197 2 1614 1250 1 6960 2731 1 1138 1237 1 7030 3621 6 5243 215 9 5748 931 3 15140 518 3 12409 2915 1 2519 4980 2 7527 1916 1 15094 5874 1 17391 1769 1 6452 1380 4 2163 6132 1 15163 1483 3 12244 7826 1 4020 3680 7 12393 353 1 9308 3073 4 1763 313 3 4935 4591 4 12892 3891 1 18115 2083 1 3888 7815 1 20090 1251 1 6452 20 2 7768 252 2 14741 2646 2 10954 35 1 9497 1915 1 8620 2449 1 18229 2001 1 18431 7018 1 1373 189 36 13475 215 3 19637 2415 1 6420 4107 5 4013 1482 2 15703 1743 3 10869 3230 2 7184 1242 1 9393 757 3 11890 1784 3 7012 1466 6 974 518 8 12619 442 3 18387 7506 1 15202 853 1 18037 1332 3 16013 543 1 11533 2964 1 17550 4845 1 17807 494 2 19505 5390 1 643 4635 2 979 1282 2 14827 5495 1 296 6047 2 2918 4266 1 94 1322 1 19739 207 2 2525 2138 1 1758 223 1 17578 597 3 14466 1496 2 1301 751 2 10966 4807 1 18149 506 11 3058 1245 1 18546 292 9 11678 682 1 174 7962 1 3566 5064 1 4495 8054 2 9685 2319 1 12918 2575 13 11687 2881 4 16990 5115 2 104 4679 2 16676 496 3 15669 868 1 15841 1659 1 5247 8145 1 18946 2415 5 15771 2675 1 17995 200 1 17522 2098 15 802 1282 1 1361 6885 5 9104 6254 1 19219 4563 13 8250 6682 1 1514 1610 1 18175 7492 1 13640 520 4 11947 680 1 1141 7665 2 15192 5903 3 4386 95 5 14232 1758 1 3544 3798 1 18230 3176 3 17391 512 2 5801 7466 1 17605 4897 1 1102 3072 1 10776 3879 1 20131 5233 1 8804 4601 5 19069 8183 1 19784 1467 1 10033 7719 2 9315 1775 1 9382 484 1 2181 2743 1 7499 5318 5 19611 184 1 11562 8040 1 4389 910 1 6533 2981 1 16437 2649 1 15107 2495 1 19607 1518 2 8086 5260 2 7417 8045 2 6412 4490 8 16493 3567 2 1772 1781 1 1122 7404 1 18277 3671 2 19486 706 2 15913 4013 1 9759 1275 1 8735 512 3 8585 2801 2 1125 1019 1 11808 7457 1 17223 4572 1 16301 5389 1 1953 225 1 12970 2915 2 6640 5493 1 6668 804 3 4935 4263 12 19267 817 1 3337 698 1 14875 1573 1 5837 479 1 18925 3578 1 11694 342 1 19438 8183 1 4346 2636 3 10143 4653 3 12262 1468 2 4330 3911 1 2689 6213 1 15046 156 1 20201 4328 1 5638 1154 1 17641 2678 4 17324 616 1 11793 7097 1 15060 5027 1 19722 1739 1 4942 2355 1 171 7691 6 16075 8084 13 7893 3216 9 13881 2953 8 1043 867 2 100 4528 2 12325 5169 1 14753 3757 6 4385 2273 1 18779 4447 1 10554 2641 1 62 2993 1 873 1249 1 672 1718 1 19193 4992 6 4010 3203 5 6145 5868 5 12850 3180 3 8961 229 3 7498 6192 2 19144 6900 2 16489 215 8 7750 1825 2 18561 1285 1 4504 2760 1 15749 1707 5 4236 3577 1 10712 473 1 4965 3833 1 12817 4123 1 18232 6252 6 17816 1698 1 19675 532 15 9660 1037 4 15778 663 1 19871 3992 3 19603 1731 1 4305 611 1 17529 4435 1 753 6192 1 9188 4473 1 4007 1887 1 9425 6946 1 15084 1342 2 5318 3511 1 4375 498 3 19865 863 1 8865 2392 1 19774 2006 1 7769 1307 1 11472 502 8 4671 1893 1 18737 1369 1 16287 2419 1 5023 1282 2 9412 3743 1 3606 1827 1 4143 6341 1 6452 5551 3 1472 1770 1 19486 651 1 13886 1697 2 2980 3827 1 15091 1390 37 9563 164 1 5468 7980 2 10780 3334 2 5740 6423 3 10583 184 1 1439 1439 1 1296 3221 2 3590 1246 1 19602 2580 1 11388 71 1 19286 341 1 11485 844 1 12959 3138 1 14253 223 12 4094 252 7 195 525 1 20177 525 15 12147 508 6 12337 3666 1 14876 4403 1 15272 1246 1 15328 2727 1 6853 6083 1 13350 186 3 5698 2735 1 19331 1249 4 9495 3591 1 8198 5203 1 5977 719 1 1227 2167 5 6665 2481 19 14584 292 9 8110 4727 2 13027 779 1 14530 4760 6 2072 6484 5 4784 1751 16 4452 3902 3 5771 4856 1 151 3970 2 3686 7570 21 1970 1761 1 14753 7616 8 9944 5020 1 13323 656 1 5684 6959 2 11786 5022 1 4509 668 1 14993 3822 1 13227 852 1 14298 1698 2 16407 1883 2 18625 502 1 9673 3637 2 7507 1357 1 857 262 1 3429 1878 14 8006 7926 1 4942 6705 18 16023 4086 1 3703 1742 5 16484 5432 7 13743 2747 1 16060 219 3 15344 411 1 19509 382 1 18728 1785 1 502 233 5 7273 1105 1 12988 23 2 3035 1730 1 8440 1824 6 11196 2699 2 6669 5332 1 4076 1781 2 8151 1372 1 702 2633 1 783 1668 5 16886 637 3 12421 2908 1 171 7679 3 5373 207 5 10954 1763 1 16539 206 7 12725 175 12 15150 2344 1 17884 223 1 19742 3414 7 5713 3209 1 14591 2351 8 18277 1999 1 605 12 1 1488 7888 7 2666 3667 8 7914 3953 2 10840 23 4 11411 1146 1 1221 385 2 16375 201 2 16299 3219 1 13563 5036 6 16790 411 6 14908 4396 1 20100 5137 2 18324 3283 1 9879 4856 19 18876 869 6 121 3410 15 15691 6585 1 10327 5786 1 2335 3799 1 2886 5011 2 15343 1399 1 14754 203 1 2372 3643 1 14722 7890 1 10362 904 1 15329 2945 2 2315 5621 1 9224 418 1 9701 1606 1 8560 3570 2 554 1738 1 16699 1775 1 1551 411 1 10999 374 2 70 3286 1 12158 1201 1 12758 4115 3 6397 3426 16 11837 2240 36 12660 2345 2 4471 2016 5 3700 2646 1 17403 403 1 11444 1712 4 1363 498 7 6387 2009 1 2143 2918 1 4329 5995 9 13607 3583 2 7741 1342 38 5310 186 1 7295 2764 2 6222 509 22 8129 2343 1 10953 4454 2 19026 532 2 9319 1009 1 16236 197 4 7518 23 2 18860 7254 1 12995 758 1 5961 1315 1 24 1453 1 14239 6200 3 12883 1271 1 17996 244 1 18115 3827 4 16200 1234 3 1309 692 1 16526 7136 1 4038 5758 1 5312 367 2 13205 6534 2 18042 2137 1 4898 220 2 4593 661 1 6341 4343 4 11191 8173 1 14753 1182 3 4499 861 1 7822 2548 1 11148 6777 2 19995 5769 1 12685 428 1 7812 3462 3 5659 4992 1 9801 5294 2 12616 2736 14 1005 3652 1 6420 3842 11 10165 6968 1 527 892 1 4147 911 1 11623 214 2 15885 1642 1 5769 3715 1 9916 1775 19 10939 5694 1 17574 7533 1 1142 57 16 14691 505 1 4898 745 1 4041 2698 1 14122 200 13 7537 2881 1 2387 3113 1 10569 3511 5 13076 1251 2 3750 12 1 7452 574 1 8664 534 1 4080 201 1 11299 1399 1 11392 1907 1 1009 132 3 17547 7161 14 14393 3848 1 13543 640 1 3805 4988 3 2459 638 1 7917 3864 5 1676 2626 1 379 1247 1 16914 3408 2 9713 7220 2 10238 4459 1 19331 3911 1 13777 6157 1 5961 2367 10 143 5391 1 8280 1243 7 2615 1241 3 12320 6222 2 13829 6342 5 17195 6031 8 16798 7690 7 10698 227 1 4330 3333 1 633 6177 1 5561 1666 3 1718 156 35 15699 6723 1 13919 5171 1 5748 6457 1 12909 3337 2 11912 2953 1 9793 7085 1 2489 4255 2 3638 1829 1 13672 6213 1 13025 6238 1 4841 1748 1 3412 1587 1 4885 2787 1 3842 3634 1 11850 7961 5 5099 4929 4 17081 1211 1 36 1518 2 6597 3762 2 153 6899 28 9274 5 1 5965 3447 1 12034 1681 5 8077 5260 2 10126 2319 1 14822 2670 1 9457 89 2 8426 3481 3 13891 7624 1 17120 7542 1 142 6490 1 3797 8071 2 18386 6701 1 8481 74 2 8334 4020 1 5495 7723 1 7712 5288 1 12174 3629 2 6033 514 2 17961 3421 2 10499 5686 8 16249 778 1 19193 222 1 3443 3066 15 11187 1730 2 18175 1251 1 2998 5391 1 7165 769 1 4304 2362 1 11662 6697 2 7072 3916 1 18059 4595 1 11687 2542 1 13634 2474 1 20090 2955 2 10576 1464 1 15332 1703 8 1825 1334 1 13406 4559 1 17884 2673 1 14183 498 1 19776 3621 5 15810 2555 3 4056 5187 3 14714 1244 23 16481 6169 1 2538 506 2 3121 1334 7 9441 6480 1 9886 1253 1 4986 1287 1 873 1731 1 15456 1715 3 14806 221 2 11678 6036 1 135 1724 1 1016 3894 8 11693 215 5 14108 841 1 15419 3230 1 658 1237 1 6098 4698 5 12295 203 6 5840 3723 10 18547 74 1 11279 7653 1 15426 4389 2 5739 3434 1 6275 3552 1 8309 541 1 13779 4320 4 6278 1243 1 12428 2229 6 18281 6073 1 2121 411 1 8692 2729 1 16817 1715 1 18587 4296 1 790 5420 3 13680 805 1 143 6552 3 1618 1752 11 4399 4014 1 9908 203 1 12119 6140 1 17750 505 1 3521 4833 1 6191 944 30 10960 6254 1 6684 4311 1 14391 3330 1 5938 10 1 19602 3815 1 1141 74 1 6051 5332 11 14145 237 3 13126 2351 10 11104 1777 1 5453 1825 15 12312 7740 2 16096 567 1 4688 747 1 3189 7116 2 20261 1076 1 3801 2068 1 151 6778 4 5808 3338 3 12149 3334 2 17968 3276 2 11496 1737 1 19069 6355 1 454 385 1 16090 4340 1 327 3851 7 14090 207 1 17416 6884 1 6877 1703 1 2782 5129 1 10553 479 8 7774 1292 1 8896 6278 5 5626 1748 2 18634 722 1 1469 220 20 12201 4435 1 4468 3230 8 7105 207 1 9992 6086 5 1725 6957 1 7943 2067 13 4539 1251 1 6220 3180 2 17665 1235 4 10948 5436 1 18421 1341 1 12103 506 2 19381 2639 2 11212 1732 2 19781 5829 1 16612 840 10 16029 7841 2 13561 974 1 11581 214 1 7577 1269 2 16573 5257 10 12333 203 9 6125 156 1 15936 4949 3 611 2897 1 9730 471 1 14413 8210 1 5826 7769 1 9 248 2 10599 1453 1 2197 8178 7 11502 5315 1 12177 1965 1 5267 3462 2 7879 6330 1 2806 7430 3 3324 1244 1 19072 4008 1 9062 3612 1 19060 7189 12 6210 5413 1 7902 7652 2 4688 617 1 13777 6154 1 16394 3592 45 16861 4015 2 131 203 2 11270 2369 1 13910 4955 1 15280 1770 4 17252 2495 12 16726 1770 2 18829 219 11 5035 201 1 11544 6713 1 16658 3164 3 7965 5783 1 19688 2829 1 14330 1150 1 3485 1717 3 5841 7519 1 6223 449 1 5898 3592 1 19487 1938 1 16547 3526 1 2407 1747 1 7769 1825 1 9215 6398 1 18262 1728 2 14306 834 4 13009 46 11 4582 1655 1 7070 6383 1 1300 243 2 126 5609 1 3703 23 3 878 6484 2 9302 201 2 4284 1727 2 5238 3748 1 6649 3750 1 8692 7098 3 14350 235 1 5543 1681 1 2176 1457 2 12815 304 1 3326 5688 1 16021 6561 1 5414 1740 3 4899 2552 1 16320 4209 1 2886 565 1 15398 3551 1 10192 2936 11 15061 201 1 8464 2484 1 8278 4378 1 12834 1372 1 6332 1356 2 105 4706 1 8198 4004 1 13891 3431 3 6661 4165 1 14221 2691 1 2911 5301 1 17555 1421 7 13743 7112 1 9965 5150 1 1794 1255 2 11160 2595 1 15825 2497 1 15364 4488 1 19679 200 2 5345 5018 5 832 215 1 6446 8232 2 1178 4383 3 19900 470 5 15667 303 3 1625 5420 1 19760 2343 6 14720 4274 1 2052 5495 11 5089 4489 1 14951 6993 1 8934 3634 3 13647 8095 3 13267 234 1 16655 3494 31 16238 2678 8 11846 1726 2 13111 498 2 4469 1762 1 10197 385 1 5192 232 10 15885 7535 2 10313 1137 1 399 193 1 13 880 2 9614 3511 5 8455 3590 1 18852 1769 1 3497 4660 1 3277 1743 2 7343 5280 1 3467 3956 1 9457 52 2 19131 6278 1 11769 6413 1 1443 1768 1 73 3417 3 12934 190 1 11562 6406 1 20129 1825 3 14519 667 1 11823 4460 1 3815 1319 1 11957 1237 9 13619 1249 2 9215 35 10 4606 3484 1 2762 8069 14 1143 1704 1 14519 2559 2 13151 1699 1 2204 7525 1 12493 6334 1 1265 4132 1 10843 11 3 8885 222 1 16661 7094 3 15804 3540 5 7868 385 20 6154 1395 1 9353 156 6 2413 3910 3 12015 1729 4 12791 3896 5 6228 783 1 2397 7851 2 11336 1664 1 18681 652 1 912 1825 6 7694 6952 1 12322 1703 4 19872 3632 5 16318 1081 1 1799 3338 1 3857 5883 1 14906 1751 2 15063 324 1 15481 1275 1 6776 1241 4 4267 2683 1 12410 1076 1 19724 534 3 873 7107 1 10274 7404 2 20009 995 25 7617 235 1 12780 3511 1 16775 1748 20 8664 2352 3 16063 6600 1 15307 1395 1 16117 2096 2 12003 381 4 17884 1681 5 6492 1710 2 6966 6618 4 4930 201 2 1629 5228 10 19867 1772 1 8327 7948 1 9571 3611 1 16057 3705 1 8808 1751 1 12592 1737 1 17374 840 1 6776 2686 1 8082 4107 13 8212 402 3 2693 8195 2 18534 3596 2 10773 6105 4 14521 2138 8 19144 883 1 5389 3062 2 18908 3819 2 14253 1539 36 1609 5400 1 5025 1164 6 3124 1990 1 19158 1772 7 15367 4043 6 9660 504 1 6749 5517 1 13234 794 1 18465 6334 1 2674 205 1 15069 1771 1 818 599 1 16918 1715 14 6183 206 7 15535 200 5 17105 3911 6 16280 942 1 19921 6512 1 3090 215 2 13800 1055 1 8893 23 1 2414 274 1 7813 2477 1 11349 5506 1 19428 3556 2 5624 1269 1 6402 1881 2 16089 1245 1 4092 534 2 18120 765 1 12320 1466 1 16953 3536 1 7347 737 1 14592 1244 4 14538 219 1 18183 3337 1 18206 1770 1 17946 502 5 5613 5339 1 6146 2350 6 6781 2673 1 11533 5972 1 10821 691 1 10612 47 25 11753 1676 2 6204 6065 3 3134 6927 1 4207 500 3 13109 203 5 20017 6933 1 18462 6790 2 11148 1298 1 15428 8022 3 10807 474 2 13986 3328 6 1154 1714 2 5822 303 2 16564 1825 5 10133 496 1 14695 5420 1 17120 1726 1 19088 411 7 7700 357 1 14360 1342 1 2046 7573 2 6656 4245 1 14865 4242 1 15040 4303 4 19434 5515 1 5817 385 3 270 1721 1 17273 1151 4 19511 5506 1 3459 2432 8 17166 5447 1 4660 1743 1 14612 1756 1 18071 3024 1 12337 244 1 16625 4435 10 19047 3900 10 13818 244 2 16354 2636 1 1825 175 6 11966 7222 2 2674 6140 3 8644 2646 1 17937 2827 5 7527 3024 1 11602 1743 1 10161 3266 1 8604 510 1 11820 4378 1 14052 2920 2 7780 6508 1 3175 5206 4 8391 874 1 19232 5690 1 8202 624 1 8896 4728 1 15192 659 1 12281 225 6 4251 2584 2 3147 394 1 932 682 1 20072 243 1 5328 1482 2 3877 1235 7 10334 3673 5 19649 336 1 10498 3026 1 5358 1072 1 10469 3970 1 4754 498 1 12208 7008 9 14577 1757 1 12893 223 3 18740 7530 1 9456 6534 4 339 156 5 5076 6064 2 14427 3430 1 9711 229 1 10105 7937 1 14063 164 1 17088 891 1 6670 4303 1 11160 6355 1 2161 1317 1 4469 1312 3 11181 2399 1 3005 843 1 2708 865 1 19302 2829 1 124 5528 2 17143 794 1 1305 1282 2 6936 5518 2 19193 2691 4 11072 744 2 10000 5305 2 19319 2363 1 15742 4317 1 3573 6595 1 7548 2270 3 9720 1788 2 13578 1764 2 10782 489 1 7961 514 7 17664 197 1 14211 5090 2 4660 6414 6 1801 4384 2 8710 3511 1 20233 471 1 7227 2831 1 10772 7009 2 13076 502 1 15386 6082 1 2284 374 1 153 7048 3 11912 4013 1 20068 1717 1 5207 5120 15 19517 5539 2 6193 802 1 3477 2920 5 11441 1775 1 6332 2683 1 10219 196 1 16214 1421 1 7176 1247 3 14658 5531 1 10149 303 2 2620 2097 4 9364 868 1 17701 562 2 334 7217 6 7231 5018 1 9610 2555 5 1826 1539 10 3044 943 3 222 942 1 696 1395 2 15271 411 5 11786 7685 1 14646 1827 4 5318 2449 3 18814 4365 1 12423 203 1 8913 3627 4 10579 6585 1 13185 136 1 445 1357 1 7962 6801 1 3214 1613 11 14522 787 1 13829 73 1 11964 1695 1 9937 4403 11 7750 2353 1 15195 36 1 20240 4967 1 12705 6142 1 5644 1244 2 17925 612 1 5738 577 1 3483 4379 2 3086 3558 3 8611 4998 1 7309 1707 15 296 3396 1 1991 262 1 10749 203 2 15940 3819 1 6871 3911 1 20177 1464 1 19760 289 6 17120 244 1 2016 1342 3 13011 5130 1 5210 4022 2 8969 1728 1 12704 2241 1 12663 1146 1 12148 6666 2 13615 200 1 6915 1818 3 18253 175 5 4843 900 1 16332 3842 1 10918 23 3 5078 196 3 3390 4992 1 11844 1245 3 1231 4653 5 14599 6612 2 12247 6025 5 12678 3400 1 6538 24 8 5862 7750 9 6124 3081 9 20042 820 1 5606 3338 1 8534 4476 1 10494 6252 4 5988 2182 1 108 4832 1 13329 3558 2 17992 6748 2 13088 3911 3 14060 2675 1 5661 4601 1 4223 6500 1 13126 6159 1 6913 3050 1 4817 196 2 7191 194 7 1650 1241 2 11502 6038 1 7993 219 1 14306 637 4 9457 6482 4 9193 1686 1 20275 3705 1 13153 1819 1 9194 197 9 18568 825 2 14233 6023 1 9462 1032 2 18534 3684 1 8511 2549 6 10806 839 1 15402 6252 3 5638 83 2 14522 741 1 12364 1774 1 17589 2428 1 19069 7206 2 156 7173 1 14837 7850 3 7648 5599 1 2505 1246 1 4593 584 3 554 498 1 4519 3715 2 11808 7643 1 1852 1904 2 9508 3790 1 1529 5022 1 9935 1658 1 80 2535 2 12327 6844 17 2762 214 4 14649 1342 1 17634 7214 2 10462 1190 3 19098 5285 1 36 1814 1 19724 207 1 5809 1062 1 7650 1249 15 7991 3262 1 17058 1358 1 2834 6497 1 3136 229 3 10060 6566 8 9763 2605 1 18976 7674 1 5696 6414 9 5381 1247 1 18188 378 1 8683 789 2 17894 6922 2 8994 6204 1 4880 2500 1 9725 386 5 15550 5009 1 17946 57 1 15553 92 6 9374 411 1 12058 1909 9 932 7857 2 822 2009 1 15797 3911 1 19241 677 1 6446 411 9 1363 207 1 10198 3293 1 1991 5740 1 11591 629 1 18276 852 1 3846 4014 1 11598 1112 1 17650 235 4 20110 1243 1 15408 219 1 15943 8071 1 6314 6025 8 10116 205 1 46 1275 1 11629 870 1 1312 5474 1 10378 4345 5 18440 5440 2 12361 304 8 19865 3558 2 1462 4274 1 13651 329 2 10856 2591 3 1704 6350 1 12208 5671 3 3090 1698 2 19377 4964 3 6517 2068 1 17548 784 1 14633 3570 1 4311 2885 2 5569 3777 1 7056 883 7 5407 2385 1 7838 1374 1 11917 7222 1 9638 1747 7 16741 2504 2 15692 2029 1 10187 3654 1 8539 916 1 13768 7291 1 13518 1904 3 1008 7222 1 9489 1715 1 4009 3655 1 8673 223 5 8151 1778 21 2226 7888 1 10060 5023 15 16996 5810 2 1138 128 2 13928 849 1 6712 4101 1 13785 219 114 12142 1283 1 4337 5600 1 8966 1356 5 5695 1242 1 1221 1757 3 13970 1235 1 362 1252 40 20191 2949 2 12152 1245 2 15321 207 2 460 4435 1 9332 1095 3 8716 3849 5 19820 3827 1 3337 726 2 7065 7825 1 1949 219 10 702 316 1 12955 6710 1 19766 1715 1 12934 3679 1 19954 82 1 11148 6259 3 14968 5137 4 19144 215 1 3734 3865 1 5882 1309 2 1320 6268 10 1363 200 2 17137 4059 1 10060 5430 1 20039 7730 1 11072 6603 10 13768 6097 1 20 1293 1 19090 2821 1 17549 647 1 12757 6334 1 14887 2343 1 126 5647 1 10788 1642 2 10270 526 1 16924 688 1 16490 3649 2 14305 3557 2 7095 6210 1 531 3911 1 13 686 1 7846 4143 1 4378 5903 7 5853 2262 1 2922 5404 1 401 2727 1 12659 203 2 149 6740 1 684 1244 3 18070 1707 2 2793 4293 1 44 2313 1 4722 7008 1 14184 1548 1 15652 221 1 8820 2641 1 1551 5252 2 5304 1054 1 11492 6231 1 16242 1770 1 1474 3228 1 17125 6780 1 11733 1133 2 18968 4382 1 3189 7995 1 13461 498 2 13465 768 1 2085 1399 1 15818 1275 1 10253 2541 1 15641 5402 1 16570 3026 1 20060 963 15 7409 5507 1 1481 1252 3 18898 502 1 5432 3132 7 6513 3175 3 17850 6588 1 10244 206 1 18610 1367 1 18336 5084 2 9104 4411 1 8284 6702 10 17809 1772 3 6189 3464 1 14388 3138 1 2222 206 1 449 3630 3 3653 6669 1 3348 7308 1 4634 5922 2 14278 6692 2 11577 1249 4 7853 2419 1 2970 1742 1 18693 3217 1 8973 3540 1 17185 3019 1 5199 1312 1 9340 1784 1 8488 207 1 2572 7815 2 6772 1062 1 13139 4623 1 8930 7396 1 10360 1092 1 9659 7517 8 13175 215 1 6413 4435 1 1584 203 11 3590 5353 1 10119 6481 26 20089 1464 2 19995 374 1 17647 1239 1 13699 1234 1 4554 3596 1 4135 2132 1 3265 2897 12 14602 2801 1 11549 853 1 8327 1357 4 2380 5260 1 14742 4369 1 11951 235 1 19910 1724 5 2359 6414 6 54 2580 3 10270 7414 1 2405 1695 2 1740 190 1 11835 3938 1 18998 221 1 16483 407 1 982 4950 1 10099 1564 1 14522 1997 1 11774 7142 1 19089 222 3 10219 1474 1 17886 2089 1 1002 156 1 12809 3015 1 7620 4557 1 19826 3706 1 15895 2611 6 2318 4998 16 19514 2885 1 1145 1819 2 19183 6867 1 18064 5905 1 4693 205 2 3233 2678 8 19862 200 16 16627 2561 1 18393 889 10 174 8097 1 20262 525 1 10495 6139 1 13881 2938 12 12913 1700 1 14798 3699 1 3484 8071 28 19190 1681 6 11169 4233 1 9501 5740 3 3463 219 42 1507 2675 1 12097 4956 2 16645 2675 2 10966 7719 1 12391 507 1 4283 489 1 2716 6993 2 8015 5018 1 15056 1035 5 98 4420 1 6154 502 1 3973 3417 1 745 222 5 5806 2508 1 2331 3324 1 11461 1778 2 4252 291 1 873 4307 3 15885 4112 14 4688 630 1 15782 232 3 1660 409 1 15693 526 1 4554 1761 4 850 1732 10 4307 1417 1 5032 780 1 17477 6204 1 534 936 1 3175 2388 1 16856 7184 2 6332 4011 1 11653 303 1 18854 6546 1 559 6612 1 14047 3511 2 16595 8188 2 13313 7182 1 622 3899 1 10060 514 1 11052 2894 1 17633 4460 1 6749 6922 3 17331 47 1 4146 1363 1 13 649 2 5681 2363 1 6184 1453 1 2127 957 1 15567 175 4 1513 2642 1 12517 6946 2 5124 200 58 1592 3494 1 12658 4792 23 5573 2129 1 16346 619 1 3878 7642 1 6300 3335 3 12265 6697 11 1363 411 1 7208 4623 1 6989 7926 1 5922 225 1 13581 4803 8 12056 502 8 26 1571 1 3801 1721 1 2260 3698 5 15367 4680 11 16236 1698 1 8459 7849 1 11687 1771 5 12898 7808 1 15090 5130 2 6371 153 2 11251 5842 1 3484 2459 8 13294 1764 8 10214 995 1 7007 6533 1 18548 2680 1 9553 3333 2 4319 3980 1 3970 3156 1 96 2488 1 19397 7206 3 6580 6323 1 5010 253 1 552 232 1 14756 1705 7 19732 1728 2 8191 6537 1 15932 423 1 12680 3233 1 10266 229 3 124 5518 1 13893 4411 2 12909 2908 2 174 7884 2 484 3768 1 18998 2880 1 6726 7292 1 6219 2646 1 16916 667 1 5282 4300 1 13105 2937 1 20085 5441 3 14758 5804 1 16432 2099 2 277 6011 1 7223 2676 6 14222 4572 3 3118 244 1 3387 205 3 10116 252 1 143 1356 1 9219 23 1 7726 2584 10 11281 308 2 10208 3762 1 19776 7665 1 10693 40 1 2553 7379 1 17328 2461 1 15987 1363 3 196 1731 1 17873 5062 5 7574 227 4 14262 173 1 7331 8195 1 2433 2678 2 7261 1761 1 130 5884 1 5252 6192 1 13787 1887 1 2961 215 1 4304 1882 1 6857 89 1 11195 1761 2 4519 1374 3 9768 1209 1 18474 4373 6 15692 244 2 18876 2922 3 12227 1732 12 1141 1245 1 12390 5394 1 9408 6520 3 10777 1364 1 6900 501 1 9102 4937 1 19862 1748 1 10027 1743 3 14037 2581 1 14501 5771 16 3194 2676 9 916 682 1 8061 534 1 16674 2508 3 5552 1357 1 7697 2549 1 10630 4706 1 17007 316 1 5317 4768 2 15788 2801 2 16727 2056 16 5495 2595 1 15766 4811 6 19152 4431 3 16405 3998 1 351 2517 2 20107 1250 1 4286 4792 1 19655 232 1 8878 7326 1 8708 8095 1 11215 5296 1 1713 1537 1 7088 5573 3 4631 6064 5 19075 2673 1 15996 382 1 124 5508 1 15055 230 1 9817 215 1 6789 4908 12 11072 1695 2 14047 1608 1 8354 3571 1 10604 751 1 7700 585 3 91 380 1 6048 519 9 15113 891 1 18655 1729 7 17713 4305 11 17120 525 1 2962 2923 2 2167 5440 1 17463 1962 1 18838 7694 1 14394 891 1 10816 4655 1 19375 4944 2 10057 4031 2 7062 1989 1 8957 6595 4 3549 6707 3 19041 6510 1 11604 867 1 2455 1781 1 19535 5413 1 14690 1770 1 15491 8029 1 17165 1401 1 4968 952 2 8764 867 1 19428 6242 4 14612 4051 1 3712 4274 1 10509 1298 1 15365 1779 1 7610 640 1 15364 943 1 1756 1304 1 12129 1695 1 15708 495 1 20094 3163 10 16468 2743 1 10772 1373 1 9628 682 1 15757 1893 1 7723 1739 1 693 4015 1 342 883 5 13947 3916 5 19608 10 3 19932 5557 2 1464 8217 1 1824 35 2 13290 100 2 18756 876 1 6469 733 5 9317 4401 1 4330 1686 1 87 4014 1 9548 1779 3 18782 7216 6 17499 6152 6 7239 1761 1 17989 4796 1 297 519 1 16089 1482 1 2818 224 2 1875 206 5 14053 173 1 3479 2671 2 7789 2592 1 1825 206 13 4587 4521 16 13510 4172 1 18349 5373 1 10406 899 1 15508 6979 1 17788 2680 1 8580 7925 10 17753 501 1 10371 1244 2 11435 4202 1 1877 1739 1 18920 1769 2 14115 2139 2 3593 4796 2 11333 878 1 9321 2269 1 15437 1244 2 14684 471 2 4979 532 1 9462 995 2 17889 2832 1 717 5247 1 18846 3910 5 15205 755 3 6089 201 4 2368 2676 2 13490 381 2 6665 5730 14 14657 4470 1 15059 8175 2 7532 1248 7 18111 1718 1 6598 2675 20 13544 7850 4 14985 638 1 12262 3650 1 9224 316 3 3907 1756 1 85 3902 1 7747 214 1 1641 203 1 9095 1342 2 6834 6013 4 19348 409 1 15241 7672 5 8831 825 2 3853 108 1 12585 5253 1 16057 6065 1 1801 823 2 13865 1758 1 17191 7091 1 4914 6128 3 4950 78 2 14957 4782 1 15075 1720 1 3220 6649 1 10530 1788 1 2324 5325 6 16474 2363 1 9604 6204 6 17950 4538 2 1929 1037 18 20032 2329 1 9603 5631 1 10503 158 1 9110 1245 2 3258 1342 1 19630 495 1 2100 5166 1 9198 7067 1 18204 1783 2 3265 6690 1 2631 23 1 123 5367 6 17555 523 1 1831 7465 1 17774 23 13 12872 200 5 18637 5294 1 11781 6532 1 5076 126 1 713 1245 1 16180 2206 5 5890 2581 5 14917 1296 1 4166 3775 1 8851 510 1 18694 519 1 7313 2968 1 3985 1768 3 15687 4274 3 12021 4616 1 13916 2137 1 1618 1237 7 6205 1244 7 19341 197 3 3607 1121 1 4104 190 1 14791 1311 10 42 2179 2 7227 5940 2 18881 6053 5 15349 7403 3 5515 2194 1 4870 827 3 8952 5014 1 10501 1748 1 7822 5683 1 2051 2216 6 1730 2782 1 9875 1752 18 3240 5104 1 9685 5006 2 9429 1985 1 6781 1146 2 15096 201 1 15666 1249 4 19437 659 1 4545 6618 1 13845 1085 3 1756 5460 1 4527 4761 3 13605 4683 1 20106 82 1 11175 200 8 3694 2632 1 16583 1322 1 1590 902 1 8644 1807 1 6990 2372 1 10704 4435 5 12375 1342 1 10344 1063 2 8900 3021 2 18968 1295 1 15932 1277 1 2226 3685 1 13658 689 5 1500 6723 2 2556 504 1 795 6207 1 10456 3239 5 7219 1762 3 876 5570 2 19781 5814 1 1029 74 1 597 861 1 18473 1363 2 6997 5725 1 18907 1247 36 7558 7976 1 15006 4491 7 15613 4266 1 11502 3649 1 1927 514 3 3789 1342 1 18207 520 3 11259 363 1 15104 1783 1 23 1419 1 16016 764 2 11577 219 1 9809 5513 2 13055 2107 2 16924 2056 1 5301 1482 2 15205 4306 1 6779 2648 1 5141 1235 7 4389 1247 1 7267 1664 2 19428 5517 3 18705 4020 36 9359 2626 2 12319 508 2 1668 2556 1 13623 2419 1 401 798 1 9026 194 4 7193 525 2 12266 6683 8 7145 1775 1 633 507 7 17762 5052 1 2546 6259 1 12412 578 1 2221 2388 1 15786 4635 1 19497 7020 1 13097 232 7 13084 2352 2 130 5881 1 9966 7407 9 6824 1717 17 15237 3897 2 2377 7424 2 1453 744 1 1518 229 1 9603 7624 1 8775 4798 1 12280 4019 2 18633 3656 5 19516 6435 1 10864 3511 2 13087 2969 1 17556 7020 2 13197 5817 1 1819 340 2 7332 2206 2 5171 1278 1 7634 2692 1 1128 5243 1 3701 3204 12 10815 2021 4 10972 3669 14 9614 8145 5 13684 5254 1 4815 2697 1 15993 394 1 3765 207 5 18981 1313 4 1262 2675 1 5566 5186 4 14326 219 7 14412 2675 1 8086 863 2 14350 3721 1 19218 5266 2 18876 771 3 5738 721 4 9717 1768 2 16474 445 1 18623 1395 1 4805 6164 2 153 6961 3 19265 1146 3 9446 3827 3 1304 1302 2 12290 505 2 19932 5446 1 18027 470 1 8969 4615 1 19655 442 1 16063 1784 2 2866 3909 11 9254 214 5 12618 929 2 17368 89 1 9406 512 4 11253 219 1 1711 1535 15 12175 1284 2 9100 1714 3 5738 3333 16 5965 3899 1 3233 1752 3 19331 1363 1 20055 1116 1 17174 3819 1 3581 7027 1 19781 1366 1 17746 935 1 15553 3689 4 16692 3323 1 13084 2363 1 9358 1718 1 12303 2885 1 18091 952 1 13634 2958 2 12352 349 1 13640 1724 4 6905 4361 1 11311 6673 1 18326 749 1 5277 7531 1 7943 232 2 1922 1757 5 3913 5349 3 4165 5724 1 3571 6754 3 12027 1257 6 18989 681 1 4498 4572 3 2546 7883 1 15151 5922 4 17146 1466 1 2408 1781 9 389 7863 1 4583 2737 2 9993 5476 1 6691 3511 1 15266 548 1 7017 4607 4 2273 7857 1 11940 6481 6 10498 6454 1 1528 219 3 108 4870 2 17662 1757 5 18866 134 4 12375 3584 2 12619 2653 1 11678 2016 3 1 8 1 3329 2710 2 4161 520 1 5047 4960 1 5752 1877 2 10255 2556 6 4313 196 14 14908 4288 1 6593 518 1 10000 4557 1 12730 2788 1 7821 156 1 13675 2675 1 12237 7961 1 6661 8013 15 6647 3743 2 6064 1338 2 16921 1282 1 9680 3789 1 18690 3511 2 14599 915 2 3982 2507 1 11207 407 1 15108 6063 1 11882 898 1 4112 498 1 11882 494 1 190 1747 1 4285 3811 2 6035 292 1 14738 942 1 3583 1243 1 10633 222 1 417 8127 5 17778 23 6 19745 1363 1 9319 1768 14 1551 1718 2 12853 4105 1 17181 502 1 17218 1727 1 20145 1783 1 14710 3713 2 15394 1251 2 1839 447 1 4330 470 8 7150 7719 1 2962 759 1 4778 1707 1 13334 1730 1 4614 3374 1 17652 7602 1 7736 6945 1 7952 419 1 6867 5281 1 7184 23 4 16285 367 1 12826 7119 2 3015 2003 1 2377 954 1 3491 5466 1 11325 6793 1 20277 366 1 7528 1579 1 4560 541 1 12371 2479 4 12988 534 6 7179 796 1 3265 5575 12 5863 2022 1 4702 340 1 14618 470 2 13238 6370 1 16395 4274 2 15918 1369 1 4667 5809 2 19730 1121 2 31 1727 3 6326 1781 1 18941 203 1 2598 2353 1 15144 3622 8 12619 2440 1 4471 6693 6 14767 3230 1 10853 2129 1 5570 214 1 9551 2000 1 4305 867 10 11388 2251 2 18526 2653 1 19163 252 1 15080 1717 1 8226 5018 3 9920 3787 1 3715 7596 1 8985 532 1 1973 661 1 7928 1472 1 19751 1451 3 9229 6100 1 684 1250 1 3358 752 1 4250 7440 5 13426 509 2 8760 1769 2 3124 1909 7 18207 505 2 5632 1184 8 14658 5035 1 2917 207 5 7958 3973 1 10259 3760 1 6120 1313 1 8178 514 1 2508 568 1 13743 4240 1 433 187 2 18207 3571 1 593 1464 2 6530 223 40 11678 3841 1 3023 2292 3 10363 4394 2 3070 2881 1 7914 3774 1 13279 3442 3 16196 4496 5 4498 680 1 14988 1303 1 1465 4316 5 7509 5783 1 12809 8137 11 12121 2673 5 2646 196 1 12378 1132 2 11563 4123 2 10948 3538 1 16375 1247 1 6647 3372 1 5773 4248 1 17505 6245 1 17378 5036 1 19127 1707 1 14011 1304 2 7248 3448 5 17809 1761 2 6124 1548 1 15419 4105 1 3121 6887 4 6864 5150 37 12804 7734 1 7670 243 2 4693 1245 4 1013 4461 2 727 507 3 13995 2480 4 813 5468 1 3414 223 3 4170 1573 2 144 534 2 18512 6414 7 12669 1395 1 12683 8146 5 13118 223 1 7363 3639 1 18462 783 2 17954 2109 1 4519 2065 1 6724 444 1 16600 770 1 13271 1201 1 13979 2747 1 19822 2727 1 19026 1312 1 20245 4179 1 16693 533 4 14891 978 1 19568 7554 1 13715 525 1 19559 6341 10 171 7217 2 314 1726 2 15608 2528 1 5021 1788 1 10435 3412 4 4898 1714 1 12988 397 1 20019 1952 1 4265 2571 1 18465 3020 1 10000 2511 2 1506 737 1 5103 4196 3 9985 3991 2 5104 1322 1 1159 1885 2 7991 1213 3 16083 219 1 6841 2768 7 14335 6957 17 4092 4019 1 4489 2619 1 17725 4513 1 8174 3186 1 9213 2736 2 8343 221 4 1706 712 1 9759 498 2 19404 3020 3 15299 4242 1 8174 1757 10 16509 2609 1 20114 7091 1 16726 5327 1 10730 2385 3 1636 3086 1 216 1724 1 10088 6510 1 18876 557 2 10 286 1 15726 6341 3 13328 945 1 7245 1184 1 8226 3558 1 6403 2012 1 9109 2676 2 12113 7896 2 12457 5202 1 19718 2065 1 6726 6524 5 3560 7652 1 16963 6212 1 7503 2686 1 18836 568 1 11873 539 1 15808 2633 16 5632 229 7 2897 4252 1 3667 1938 1 441 4563 1 12 508 6 7310 1244 4 18183 4992 1 4352 3692 1 866 4521 6 10053 2881 2 14578 4591 2 4472 220 1 1233 2908 1 115 5172 1 16341 2646 3 11916 7597 1 15704 23 3 6345 292 1 17494 220 1 10144 4662 4 9797 7915 1 3659 84 1 11440 1105 3 1754 3906 1 679 6772 3 3521 3799 2 416 519 9 18734 1571 1 6581 23 1 19876 3647 1 9248 7405 1 14852 1717 3 7179 912 1 559 690 1 3755 4622 1 17894 1164 2 13439 2497 2 15618 6052 1 11692 1379 2 7412 333 1 8161 164 1 6703 207 1 1116 2677 1 12089 2678 1 5290 1245 4 15586 3596 4 6749 5742 1 16851 5266 1 29 1670 1 19154 1482 8 14625 173 4 14375 219 3 7340 2757 1 4380 2442 7 16016 3427 1 16857 1751 2 13500 6880 94 14380 5859 1 6634 4069 4 8239 6819 1 15964 2649 3 11263 1395 1 13983 1730 2 10783 2831 1 17477 1342 5 8198 2015 1 3612 200 1 3801 5255 8 11591 931 1 17803 164 1 13 879 3 16626 983 1 20191 5879 5 19982 520 4 3324 1246 2 11790 1292 9 14726 2897 1 83 3722 1 5015 4454 5 18524 89 1 90 4061 1 19729 4242 2 14579 2676 1 11055 4251 1 16535 199 2 12373 1367 1 1326 23 1 891 814 1 10645 1775 1 2891 1757 1 12439 51 1 20105 7594 33 2330 2721 1 3418 506 2 13305 3510 1 5977 1756 1 18841 196 6 15993 2004 1 6515 1707 1 12139 7953 1 15343 5003 2 12737 1783 1 15128 759 1 15865 905 1 12897 219 1 6781 6018 1 14825 4435 3 14508 1492 10 8930 200 3 7620 425 1 10399 2013 1 10458 2150 1 4270 1368 1 6091 3980 1 3909 670 1 19160 274 1 4384 944 1 8595 5324 1 18526 4303 1 15468 3625 1 18237 1710 2 9639 7641 3 6469 470 1 14063 2097 2 14706 215 1 4959 1819 1 6570 2584 1 15870 2729 1 6611 200 2 4492 1781 1 8942 1688 1 7350 5703 1 4868 550 1 1018 1987 1 6152 2104 1 6152 348 1 5562 6507 1 15114 5324 1 16702 3233 7 16695 1740 1 378 765 1 11357 1642 1 8405 3399 2 13574 2966 1 8532 1399 2 153 6949 1 20020 4992 4 6244 235 7 9213 207 1 4403 737 2 16288 221 3 6644 269 2 4452 1298 8 16486 214 2 8978 7822 2 7137 1788 1 2721 2730 1 388 925 1 17384 227 1 18281 233 1 12717 2729 1 19368 608 1 9043 642 1 15313 5516 1 713 4303 1 12913 3389 2 5680 3634 1 322 519 3 12594 879 1 4371 1271 1 9609 4296 2 5731 520 1 1638 6670 1 17416 1649 1 19468 6330 1 1139 7602 1 2375 5018 1 16590 4242 2 12970 1239 1 19730 3072 2 12062 1164 2 12510 3194 2 19858 5137 2 19411 6082 1 3985 4447 4 18936 4653 33 4253 786 3 19486 3366 1 3602 2071 1 16857 883 7 15727 1374 1 8348 825 1 12027 3946 31 15635 8045 1 159 7247 8 8427 6640 1 5495 6188 1 6884 507 2 7046 1105 1 16087 47 1 11846 1748 18 11399 57 1 7188 1720 1 12433 3705 2 17171 8081 1 1206 6083 2 10799 5573 2 11299 3164 1 829 5996 1 11878 1606 1 4064 3230 30 14758 7658 1 16431 2299 1 5244 199 1 17 1195 1 19030 1153 1 14052 1685 2 10313 4098 1 13775 8178 1 13678 2216 7 13412 7802 2 1584 219 6 7434 6706 2 17664 1772 6 12464 201 1 3824 6170 1 3304 8081 2 9245 7990 1 12266 3617 2 9075 3671 2 21 1400 5 11676 3778 1 4399 5515 1 16911 593 1 9181 922 1 16442 5319 1 16096 1645 1 13876 1784 4 14554 7127 1 10839 6226 2 13845 2791 1 8082 2503 2 16192 1246 1 11784 891 1 13429 603 1 1712 4303 1 8542 203 3 18634 694 1 15400 495 6 15549 867 31 2598 4945 1 3021 1645 1 18096 7359 1 11965 6139 4 7751 3263 6 8506 4792 1 5394 2541 9 14861 530 2 13666 585 1 15626 3556 5 4527 193 2 745 657 1 10213 1761 2 5567 2246 16 17815 6053 34 18667 3556 2 5513 5258 1 1116 7802 6 15943 6027 1 10655 6204 1 13461 1721 2 618 5532 3 13017 1063 1 19769 568 1 6672 3219 11 1839 743 1 143 6649 2 14579 1882 1 17 1090 5 20045 3220 4 13845 745 1 8763 1363 1 4327 4623 1 13943 1703 1 13711 3752 1 18968 5435 1 10684 5474 1 399 5446 3 13359 1819 1 13320 2444 3 19063 1819 2 6684 3916 1 18043 840 1 18932 5952 1 6987 3684 1 19241 822 1 15722 1715 2 7262 6169 9 3642 813 1 10290 1747 1 1857 1203 1 13492 2354 3 2194 573 1 7754 1252 1 16895 236 5 5053 1464 10 1970 1995 1 18080 5903 2 16156 1357 9 3133 1064 1 9337 7216 2 14118 1350 1 6788 3386 3 17384 3837 1 4867 910 1 11835 3552 1 12740 1703 1 14587 5256 1 7652 2242 6 11321 5502 1 14369 4026 1 3501 3604 2 6372 7719 15 4049 4182 1 8191 6588 1 7252 6607 1 18688 7229 2 684 220 6 1028 5642 1 5590 8141 2 18431 1732 2 15203 449 3 7056 6011 1 9146 5815 1 16397 1829 1 5928 1762 2 19333 5205 7 18176 1235 2 5837 385 2 18778 2253 1 7712 5293 1 13766 5511 1 11570 1774 5 12627 3694 9 13627 165 2 125 5577 1 15909 1265 2 19530 8041 1 15712 1827 1 4404 172 1 5787 4060 2 2850 568 1 4105 833 1 12838 6395 1 4089 6031 1 6183 1764 4 812 5943 1 7356 3408 4 7295 3148 1 124 5540 1 12914 2292 2 18629 4000 1 4459 1027 6 14820 4996 2 11786 1420 4 18410 1946 186 1744 960 1 15289 3242 1 11136 2639 3 4524 3884 1 11336 364 1 11465 8168 1 17288 221 1 3801 4328 3 11980 5271 1 812 6924 1 2497 1 1 1314 95 1 18459 4612 1 19145 5471 1 1645 5269 1 4483 3333 2 13840 153 1 13055 2670 11 14970 1638 1 7000 778 1 4278 3619 4 8171 684 3 13290 3069 2 5467 1703 1 7099 5744 1 1437 1703 1 17667 8197 1 2341 220 1 17809 1722 2 9868 1277 3 12350 220 1 16491 2018 2 10847 2931 1 7780 3540 1 9250 608 1 5204 733 1 16474 6181 1 15208 6435 12 1977 5884 1 2045 7404 1 13773 7606 1 6687 444 1 19302 6152 1 7991 7316 1 2730 1116 2 2704 3316 6 3449 596 1 8925 6334 1 2988 1756 4 17298 201 3 19982 2636 1 14151 6897 2 725 275 1 7413 5000 1 2911 2953 1 1698 6225 2 6256 2259 5 17152 4029 1 10862 1245 2 10766 5325 5 8617 5294 11 3978 5042 1 13617 505 1 8765 470 1 5639 320 1 13343 1644 2 349 785 1 8801 270 1 18597 201 1 18041 23 7 19637 1820 1 388 76 1 16628 1251 1 19776 2990 2 7219 4992 6 7140 2143 1 12375 642 1 16625 1724 6 7917 6793 1 16584 8050 1 7203 489 1 7017 1685 3 15724 2675 3 20177 4025 1 12176 2360 1 13349 1825 1 7995 2760 1 4115 7611 1 15491 2506 1 18502 1762 1 17589 2377 1 2885 7512 3 17290 2494 4 764 184 2 3824 1961 4 9881 4696 1 8730 928 1 3708 5043 1 17742 7916 1 9589 1907 1 11314 2880 1 20031 2354 1 19019 521 11 2065 200 1 9279 2662 2 8394 453 2 18862 1320 1 2803 4246 2 15456 525 5 2857 2118 1 44 2295 1 62 2983 1 19263 158 37 16825 743 2 385 510 2 3951 1036 1 113 5057 2 12412 561 1 10061 1271 1 11216 1737 1 7974 5659 1 4572 1909 2 13521 2883 1 16266 214 1 94 4229 3 17283 5559 1 4498 2208 1 9172 2504 3 4572 206 1 17478 656 1 622 1728 3 14367 4366 1 11825 1314 2 18029 2571 1 16236 1751 1 11687 6177 10 16231 3625 1 5565 1248 2 8582 7534 1 17719 2760 1 12214 7311 1 12350 347 1 15669 809 2 11796 604 1 13139 440 2 19759 1305 2 20019 1961 4 8368 301 1 12595 220 3 15970 7938 1 5542 3705 3 4843 877 2 9463 68 1 16704 2362 13 9836 2268 1 10960 6286 2 7940 7689 8 3043 1752 1 10304 5559 1 3947 196 1 1178 8083 4 5145 7734 1 977 1991 5 4867 214 1 873 7492 1 73 3379 1 16089 4435 1 133 6037 6 12092 5998 1 15520 3516 1 7390 864 1 4739 498 2 3924 474 2 12206 1748 13 14312 6941 1 5377 5019 1 5171 2175 4 4621 2686 1 3488 3554 1 19988 1731 1 1727 223 18 3150 23 5 1009 1256 11 16784 4022 1 9945 7605 1 6647 6482 1 16354 4727 2 809 3973 1 6999 449 1 17653 3629 1 15128 194 3 13755 1374 1 2103 167 4 14446 6139 3 4234 4261 2 7882 4403 1 6269 1829 6 14767 6951 1 12412 608 1 8585 1825 8 13775 1695 1 15472 2535 1 13800 4211 1 17174 4473 1 430 2468 1 6589 290 1 523 1535 1 19920 1714 2 18581 5099 2 10213 1243 3 18296 5740 1 14346 536 5 11827 1776 1 12016 246 1 4376 5737 1 16346 2955 5 12060 2724 1 13595 7643 1 17184 666 1 19286 355 1 12221 517 1 8827 4198 1 5602 7586 1 1154 1705 2 17917 1901 2 1320 303 1 8585 5730 3 12291 3596 2 1007 379 2 13465 841 1 1881 3935 11 935 496 8 2980 825 1 20268 7279 1 8138 2729 1 10043 5018 2 15106 1356 1 14233 2361 2 6485 1072 31 759 4247 8 5993 1728 1 4465 4351 1 100 4479 1 5304 1424 1 9780 2567 1 222 2514 1 7286 203 4 8439 1395 1 5453 313 12 87 4015 1 3570 4435 2 14292 1331 1 634 5255 4 3720 1450 2 14746 3653 2 12502 532 1 7944 4126 1 17516 2355 8 8869 7853 1 18869 7432 3 7664 1582 7 13097 3516 4 2834 1417 2 11597 1154 1 20108 2841 1 523 4314 3 5376 4963 4 13581 6107 5 8930 230 1 11333 679 1 1816 1112 1 14132 203 1 2197 5560 1 11000 2 1 7193 219 10 4282 2254 2 1461 2571 1 12527 4132 1 20210 1819 1 15127 1244 1 13210 4244 2 18744 200 4 16847 998 2 4634 766 1 866 4491 8 20275 458 1 18559 7262 5 14568 3338 1 14185 1007 1 2357 1146 1 19360 519 1 1974 1190 1 13627 95 1 12501 1236 1 17522 7531 6 13634 811 1 8730 7844 1 15617 2351 1 8443 3216 1 16990 1909 5 13219 520 43 664 800 1 13 186 6 17151 3954 1 5918 1716 2 16894 962 5 8657 417 2 17954 4944 1 20126 651 1 14702 4306 1 5318 2138 1 18609 1707 3 11820 156 1 4658 4996 2 14193 2721 1 3655 2662 2 5848 3369 2 8184 1781 1 10160 1073 2 14417 3869 1 35 1482 6 8615 6290 1 5449 6268 1 14165 1827 5 2809 2246 1 18174 356 2 6089 8122 3 8708 5527 1 12989 4411 1 17300 3678 1 17616 2841 1 15420 235 3 11550 2155 3 7688 4252 1 1238 3476 10 6363 1758 1 14759 1656 1 13925 689 8 44 2282 6 3504 2562 1 14753 2103 1 4888 8171 2 13601 4383 2 4283 1764 6 11598 2488 1 12118 508 1 809 1561 4 2602 2488 1 4496 34 1 15314 7636 1 12302 2691 1 46 2352 1 7785 331 1 15856 2327 4 20145 7850 2 10051 3808 2 18909 1453 1 2771 4992 1 2249 3684 2 18133 184 3 19322 3747 3 11449 6640 1 13628 6754 5 3424 203 2 6670 3512 2 14733 1537 1 15534 1363 3 4755 1298 2 15483 2681 1 14614 4446 1 9713 6363 8 9947 3411 2 18760 3452 1 10090 558 1 19993 6717 1 8820 386 1 10661 2362 2 2450 817 1 154 7124 26 6501 2747 1 13134 2680 1 11072 1184 2 5523 2118 1 9596 2056 1 3417 1819 3 2054 2248 1 4057 794 4 6332 1474 1 17600 3556 2 9304 3489 4 14059 1152 1 181 221 1 14522 1757 4 14986 554 1 27 1617 1 4454 883 5 18367 203 57 17129 6754 1 10939 5162 3 634 3353 2 8498 1396 1 19428 2721 1 8645 1153 3 6283 2343 1 14826 6487 3 10245 3424 1 9808 232 4 1157 944 1 9733 156 5 11374 53 2 13868 3511 1 8606 7474 11 19060 524 20 4067 4065 1 12122 219 5 17968 3146 2 18833 201 7 5312 383 1 2295 7216 2 13185 3208 3 2545 23 6 19751 1460 4 20191 874 1 4925 7597 1 8467 74 1 17903 514 11 19877 1363 3 18069 413 1 13386 5603 4 1259 200 1 3975 1731 2 18518 252 5 15159 3769 1 1923 3869 1 17419 6421 1 13384 482 1 2447 1903 1 13477 535 1 15618 5819 2 6387 5959 1 15254 223 1 7871 1761 5 8033 2488 1 151 6799 1 18254 502 1 7133 3238 2 3779 1685 1 10670 1752 8 8361 5052 2 11933 3326 1 16500 4963 1 17932 7414 1 8128 3591 1 10918 3888 1 18237 532 1 16995 2917 1 6302 4317 1 2739 8135 1 8604 5018 39 14212 2515 1 20148 3417 1 12739 951 2 17083 5758 5 3862 3876 10 8929 7358 1 18519 716 1 10772 3679 1 13624 6363 2 5434 1762 15 10590 3629 2 15736 74 1 18183 2727 1 12893 883 1 6259 214 1 10601 7231 5 9983 5133 2 10610 232 1 6512 5867 1 12018 7096 1 19790 2114 1 7306 658 1 1666 943 15 201 3333 2 5694 1991 6 2778 575 1 16036 3885 1 10876 1743 1 2829 3557 1 7841 1747 2 16835 3058 5 8713 4998 1 9551 196 1 14934 3518 1 9104 7229 1 18413 1898 5 7701 7829 1 12929 4019 1 14565 1237 1 14738 2481 2 8775 4956 1 4121 581 1 822 489 1 17488 2691 5 12392 3278 1 1488 3591 1 3134 1146 4 11160 5538 1 17518 4992 1 13977 7934 1 6058 3006 1 13097 233 1 12738 3161 1 10271 4761 1 12098 6223 3 6123 1247 1 309 3367 1 10730 212 2 107 4816 1 20046 2728 40 1275 1464 4 10414 545 9 5445 518 2 2980 7259 1 10734 196 2 5643 3320 1 7390 926 1 13387 3621 4 7769 23 4 19957 4582 1 5380 1776 1 13676 7624 1 1147 6205 1 14958 910 1 14818 207 1 5734 4132 1 3906 5379 3 11545 6049 10 14645 4038 1 11558 1698 2 10143 3687 1 17015 2555 4 18434 5054 1 1259 223 14 13700 629 2 9812 6414 1 9027 4589 7 17588 524 22 5461 3307 1 9620 3689 1 13097 910 2 6221 2691 1 124 1331 1 12259 5008 1 7951 188 2 1659 5972 1 16494 5156 7 6269 6706 2 11427 3639 3 99 4453 1 14909 368 1 5938 230 1 6813 3903 1 18012 2027 16 745 3604 1 19282 3220 2 1002 1718 1 7463 2494 1 7412 8111 1 18682 4366 5 1712 7825 2 4148 184 1 1568 3050 8 12544 504 3 6640 2588 1 18680 3097 1 5051 4998 1 12375 810 1 19766 8001 13 19352 5243 3 3290 536 1 11938 2138 1 17659 207 4 1222 4415 1 11562 7319 1 1746 415 2 18781 2600 1 8008 5584 2 5637 220 1 16895 1113 1 3992 6719 1 19221 1352 1 11522 404 1 5104 478 1 4496 1464 1 5856 3086 2 17494 4903 3 18183 2528 1 17252 1366 7 18986 2488 1 12438 1374 1 12619 5787 3 4165 3625 1 8438 1248 9 9572 3778 2 6556 4987 1 19656 6716 7 3313 223 1 11789 5532 1 12614 519 4 7853 2013 1 8086 6719 1 10078 2449 2 16854 7407 10 11739 6049 1 18026 232 2 18653 382 8 11844 501 6 14256 1719 12 10203 431 1 20090 417 2 15398 847 1 9660 6714 1 7208 6481 1 10473 482 2 3074 6486 1 15058 23 4 11608 2675 1 8421 1333 1 17224 4435 11 16548 7674 1 7176 927 1 3090 8071 2 952 1573 1 413 308 2 4832 7250 7 3755 1342 2 2575 1819 1 3527 5957 1 16707 6207 1 6415 1755 1 16233 2804 2 3633 7120 5 1858 325 8 525 7786 7 17224 8176 1 15960 397 3 15509 1757 4 8599 200 1 14253 7614 1 6143 7705 1 6568 5051 1 2806 496 11 455 6531 1 19724 229 5 12737 4085 1 13543 916 1 11877 7229 1 6230 3569 9 10782 7788 1 19486 4478 1 4880 249 1 14010 3909 1 16805 4640 4 18281 3283 2 10168 2727 2 20191 769 7 2345 1248 11 1590 4720 2 899 494 1 11868 6756 7 14633 3431 1 16546 5788 1 8602 3146 1 17283 1736 1 2371 7351 1 14663 1236 1 12378 594 2 6449 1760 2 20025 219 1 1696 4027 1 18705 880 1 3351 2419 1 16676 1235 3 2689 6434 1 135 6225 1 7415 4830 3 17847 853 1 5601 875 1 10015 482 1 5161 2673 1 6619 1357 4 16971 3911 1 11349 5774 3 18796 95 5 19326 5758 1 2891 521 1 3763 244 1 11638 7597 5 12356 206 3 67 3239 1 12132 191 6 13601 3689 1 15100 4105 1 10266 4777 8 18933 215 1 11562 6250 1 2312 5408 3 13508 892 1 11755 2344 1 17182 6498 1 9567 6164 1 14764 5102 1 8343 1342 2 5822 1150 1 6039 3578 1 469 2382 1 16836 5162 1 13412 2184 4 987 2627 2 8763 5905 1 11406 5105 1 14908 2698 1 4615 244 2 10730 2665 2 745 514 3 995 1742 4 11277 2883 1 8914 173 2 12826 1573 2 14175 6278 2 11072 3760 5 2850 1656 1 17505 7216 3 20256 842 1 17953 95 54 2810 2580 5 10649 1571 1 18760 201 10 12985 7101 7 15065 2017 1 3765 2367 5 6602 688 1 4554 1775 3 16071 1737 1 787 1729 2 12339 1250 1 331 7758 1 2345 6659 1 13134 3471 8 15257 201 1 18849 4655 9 11804 8173 5 12231 2387 1 1638 235 1 3057 6571 2 14051 46 2 17335 84 2 8450 3230 9 13743 516 1 16914 205 1 5860 4992 2 19286 715 1 10775 206 6 899 827 1 4886 1768 8 11562 2881 1 17751 1245 16 3384 215 1 5655 397 2 14625 6150 1 19975 3916 5 14522 1781 3 8051 6063 2 2720 4636 2 62 2916 1 4495 8083 12 15948 1464 2 1895 1537 1 11311 4351 2 19369 156 2 13153 3900 1 1204 95 1 18863 214 2 1670 1737 3 10939 201 2 14797 1374 1 16361 1263 4 4680 7380 2 10902 2831 1 15205 336 1 10569 1827 5 1908 1946 2 16019 1243 3 3996 6600 3 14298 84 4 18432 4400 1 4716 1715 2 2428 1369 1 10951 533 1 2890 4992 1 16668 15 1 9982 6260 1 149 6738 13 6610 1775 1 20042 4207 1 14606 407 1 17042 1911 11 1263 1150 1 8849 1755 1 7065 1366 1 7319 4076 1 16021 6564 2 19428 1234 2 1457 327 1 15508 445 1 872 3907 3 7414 4551 1 3360 5353 2 18694 2650 14 15041 1729 1 6867 120 1 8554 1378 1 17298 1827 5 6063 1271 2 5253 6487 2 17371 347 6 1752 2324 1 17634 1296 2 13417 6064 1 913 201 1 2614 3477 2 13784 7181 2 16777 23 4 15144 1705 11 5831 1363 5 10890 92 1 12412 554 2 5382 1495 1 7518 7570 2 17431 3751 1 10879 1720 3 16293 6192 1 8741 7352 1 18618 3256 1 15078 639 3 14524 2889 1 6402 2522 12 8129 2930 2 15943 870 1 17844 1761 1 19486 2617 1 3136 1355 4 7526 481 1 6310 223 2 6585 1707 9 3491 3492 1 13711 4916 1 10586 502 4 1999 222 1 3242 634 1 9110 2645 1 1810 200 5 4663 2009 1 18286 2016 1 17246 1252 1 4503 2560 2 12413 1228 2 17607 1241 1 8650 6237 16 696 8113 1 16057 229 1 18762 1748 2 2527 1721 7 16213 1 1 16426 7735 1 16335 4645 1 8706 1050 11 16238 867 6 11933 1296 1 17996 1751 3 7750 232 2 672 4144 1 3354 1163 1 18232 6155 19 153 7020 28 6729 4107 1 12817 2958 1 3847 533 1 7700 5300 1 10015 4486 1 17003 1184 1 19629 365 1 14684 560 1 19135 2671 1 10340 441 6 10837 1344 7 17198 4314 2 13835 458 1 6506 3927 1 14512 148 4 1 18 1 6528 512 4 18050 330 1 2610 6159 2 3093 722 2 3743 3660 1 14752 1202 1 10604 682 2 1349 3138 2 7760 2407 1 166 1453 1 14146 2029 5 4519 1827 3 5202 818 1 6917 5162 4 9948 4920 2 18026 498 1 8328 3733 1 14994 8174 3 8503 6027 1 8615 274 1 16114 3666 2 15082 7867 1 14150 864 1 10245 5206 1 2496 499 5 10233 7799 1 4832 5686 4 15429 1244 2 121 844 1 19857 4209 1 6470 6162 1 13349 2216 2 10948 1242 1 1927 4986 2 10339 2860 2 18887 4204 38 6312 4692 3 7455 1277 2 12343 5326 1 16257 5762 1 9395 292 1 7560 5257 1 17638 902 1 12430 225 3 4811 3104 1 9465 7236 1 10604 2088 1 11671 7089 1 18455 1755 1 4614 1042 1 15688 651 2 15530 1147 1 18000 2488 3 16860 3016 1 1770 1825 5 17716 545 2 7563 5257 1 3150 3684 1 4530 7101 2 13445 834 1 7507 219 1 18285 1208 2 17825 1756 1 1822 1036 1 19222 2675 8 954 4248 1 2992 5281 1 18071 6057 1 8585 8057 2 8614 5453 1 124 5431 1 12693 539 1 13411 1748 1 13589 1734 1 13468 4996 1 2630 159 1 3581 221 3 6556 4435 2 9419 3445 6 13461 1784 17 17716 7025 4 17703 1781 1 12972 576 1 572 5873 2 2531 8167 1 3551 1734 5 725 3353 1 13840 3072 1 6108 201 1 18932 946 1 13126 5506 1 19428 4029 2 6809 23 2 6755 220 7 18089 6645 1 133 6050 1 7017 8126 3 3817 4623 1 9721 3009 1 4331 7216 1 12954 7754 3 42 2172 3 11062 198 1 9992 411 3 2296 1729 2 8122 1205 10 727 5400 1 13 832 1 19494 367 2 15535 1819 7 5890 6214 1 13192 4059 11 17850 7853 1 3494 1465 1 12361 553 3 14784 508 1 14553 5011 1 5929 567 1 7473 834 1 4382 206 3 2009 3822 1 18688 1587 6 12380 6150 1 16450 1184 1 18377 822 1 11736 837 1 17261 6009 1 3887 8183 3 6414 1768 12 4492 1247 2 1838 1466 1 18575 8099 1 4571 6880 6 11871 1518 7 19286 411 29 19324 1296 6 18433 1121 4 10060 3511 2 4688 807 1 15620 5686 1 873 3769 3 3310 590 15 8844 1745 2 8191 156 1 9443 4622 5 1530 6588 1 6815 5686 1 12496 1991 1 9178 5505 6 11597 844 1 19710 5084 1 18064 6993 2 12902 1707 1 14174 6342 1 10664 1040 1 12569 7807 1 6654 397 1 13631 3067 1 6684 4316 5 18949 3634 1 10832 6818 3 4828 5036 1 5444 3882 5 15836 2027 2 7537 6231 1 15281 203 29 14337 4409 3 14970 572 1 1346 551 1 9622 5305 1 13564 1638 2 14828 943 1 2816 2534 6 13705 223 27 5252 3571 1 14095 829 1 12841 4247 1 4935 7670 5 19136 1681 1 17918 1133 1 14734 4819 1 17452 764 1 791 1296 3 6193 943 1 6131 191 7 3885 682 1 16431 3696 2 10166 564 1 5631 2980 1 15332 6673 6 9579 509 1 11441 1819 4 9319 834 1 5304 975 1 18381 7522 6 15339 6150 2 7750 197 1 1986 196 1 6522 663 1 12016 1234 15 10078 6107 4 5914 789 3 11314 4936 1 3796 219 5 18076 2172 2 17903 38 8 9916 3516 35 18110 1747 1 20090 2003 1 3789 173 1 2304 223 1 13743 6979 1 13130 7846 1 433 3473 1 11985 4196 2 1908 3907 1 10862 199 1 8082 854 1 11766 3626 1 4440 1705 1 5960 3038 2 9270 7455 2 548 648 1 171 2407 3 13015 303 17 20 1295 1 16330 6341 25 2800 5704 1 9374 3113 1 16881 307 1 3521 5480 1 11456 6397 4 11533 1137 1 14363 501 1 8528 1717 2 17156 1707 2 16911 484 1 14396 7980 10 14828 7507 1 1206 2595 1 3516 1248 1 17568 1739 1 2045 232 1 1853 1319 4 6184 23 1 10404 759 1 9609 4320 2 8128 3715 1 13972 10 2 5939 6957 1 1327 232 3 8901 219 2 10441 2354 1 6772 2449 3 4092 4363 1 2568 1453 2 1034 532 3 10514 3414 1 14516 2789 1 11164 3484 8 6221 1704 1 17802 2980 2 11987 4363 1 19514 3512 2 10688 753 35 2093 7101 1 18976 2443 32 11581 206 1 19211 6719 1 2058 1753 1 11679 4998 5 6402 6591 3 8099 1967 9 10916 554 1 6724 8075 3 9927 2258 1 7970 1195 4 11789 576 1 10430 5337 1 7233 6228 3 16775 1713 11 3456 5495 3 18737 5575 1 5947 265 2 4170 1774 1 143 6559 1 11930 1779 1 3249 1730 2 4167 1743 2 755 1453 1 19083 5036 2 12133 431 1 14985 3140 1 15564 6349 1 124 2150 1 7993 203 1 12902 7666 30 4155 1277 1 6286 2542 1 2996 2881 1 9384 7601 4 2637 6225 6 4440 333 5 5213 7850 1 16339 252 4 15272 4268 1 10782 385 2 8928 6481 1 7774 2363 4 7306 725 2 15026 773 2 5362 2355 1 18534 308 2 13925 3170 2 14028 225 1 10916 685 1 5476 2618 1 11846 2884 1 5424 5348 8 5023 1363 1 4242 1037 7 16623 1244 4 3147 1655 1 5872 422 1 18071 3283 4 13578 5730 37 19975 2459 1 18443 40 1 8736 8141 1 10664 5300 1 100 4564 1 16994 220 23 11418 7750 1 3128 3662 1 10159 1287 1 4329 6151 1 7725 2403 2 611 4587 2 11899 6521 1 17399 3361 1 1823 1245 1 7751 6170 1 11733 1788 1 4092 792 2 5299 4427 20 5615 959 6 4590 1309 10 8766 1450 6 9249 484 1 9322 6500 1 3471 2353 5 9207 4248 1 1251 2653 10 9596 2958 9 9743 6545 1 9280 7244 1 10553 959 3 19920 4945 1 10396 7477 3 5252 3600 1 17321 3399 2 20068 508 1 164 7481 2 220 3634 2 8626 4217 2 13302 1745 1 5677 768 1 8192 1827 10 13595 2344 1 174 7924 1 13388 3556 1 7812 3937 13 11127 6897 2 2529 694 1 20158 3477 1 18710 1705 1 3830 1926 3 4266 5353 1 15095 2351 2 17120 1738 2 4289 1356 1 410 214 2 2886 3349 1 4619 603 9 4916 2698 3 15865 4375 2 4112 1757 1 1898 23 1 14929 7208 7 13201 1235 3 9014 7524 1 9358 8145 2 3698 1282 2 10043 2715 1 13865 1252 1 14768 2937 1 14993 4616 2 6761 215 1 15228 1211 4 6212 214 1 12883 1685 1 16684 3400 1 5202 718 5 19334 7531 1 73 3396 1 62 2937 5 19722 1241 1 8083 407 1 7882 229 2 19080 7638 1 15691 219 3 10313 471 1 4207 214 2 4055 5498 1 7770 3633 7 17309 867 1 9145 6110 1 15100 635 1 8415 7576 3 4679 3619 4 1878 3523 9 14800 2836 1 3593 3088 2 2343 5543 1 14602 1606 1 15429 5332 1 19115 3671 3 19960 1356 1 12410 1209 1 2967 6663 1 554 222 1 13 236 2 4617 41 3 19401 8196 6 6275 7477 1 9748 524 1 6773 3535 2 14666 1924 4 7452 650 1 3599 1644 1 94 4282 1 18896 7689 2 7610 669 1 4240 220 1 8831 785 1 1702 190 1 6872 303 1 14688 5051 1 16989 498 1 11152 3220 1 15203 505 2 19101 529 1 6296 7543 1 1565 2228 1 9450 4955 2 7441 2240 1 10219 8031 1 822 1110 6 18012 7573 19 8275 545 6 14581 5768 2 19567 437 1 14625 220 4 12774 1762 1 12213 6285 4 16746 159 1 17497 3637 1 18631 1399 1 18408 2541 1 3012 588 1 10246 6150 3 17383 276 2 10732 533 2 2599 7229 1 7703 6666 5 19807 1374 3 8733 467 3 12695 203 1 2925 670 1 11824 3312 1 12124 5008 1 18628 7948 3 14059 407 1 19322 235 2 19957 2129 70 8964 1404 1 1653 7262 1 4935 4829 1 16565 1282 1 13027 2004 1 18382 5986 1 7906 931 1 1968 5432 33 6772 534 1 5636 4261 1 4492 1356 1 19289 411 1 12509 4607 1 19419 218 1 17066 2795 1 7334 1378 3 19568 2727 1 19678 4700 1 139 6337 3 2813 3364 1 6894 3227 3 2262 3998 1 11019 506 3 8161 7593 1 12526 2256 4 18381 1235 5 5894 903 6 9207 4460 1 15261 23 1 6153 23 9 18815 23 7 891 2729 1 220 314 4 2040 1707 2 11336 700 1 8938 336 7 14342 1707 1 18807 231 1 5515 229 2 13023 3885 2 17764 207 1 10240 1464 1 18613 397 1 19981 3556 6 1120 1342 1 4963 2352 1 5424 7884 1 13473 6183 1 4232 6220 2 14522 654 1 717 1395 3 17475 2083 5 153 2747 1 6449 207 20 10970 5244 1 16881 1072 1 11737 1718 1 14064 7358 2 15329 4657 1 5588 8178 2 14503 4274 1 13657 1728 1 15092 3666 5 4092 1752 1 837 1100 5 3132 7471 6 12202 5631 1 7952 6485 2 5557 386 1 3502 2728 5 4556 5260 4 11064 3464 32 1276 203 2 5953 7167 1 7769 5071 1 5899 4418 1 17920 2675 1 4009 528 1 14793 3283 5 11597 2559 1 8291 6092 7 15059 1345 1 7541 883 1 11111 1374 1 1210 809 3 20272 3842 1 17039 4204 8 11698 6423 1 14676 2825 1 7111 43 4 2395 5285 3 7774 2024 3 7417 1395 4 3427 5713 1 16825 3287 2 3782 5573 5 2920 532 2 5424 370 1 11660 1686 2 10105 1781 1 17762 1454 1 9941 4868 1 16063 2969 6 14612 7750 4 16767 2633 1 19503 422 1 1893 825 1 17825 883 1 5801 252 1 2362 5560 1 1768 2675 5 5913 1334 2 10391 3851 2 9153 1345 7 6943 533 4 6191 5712 1 4317 3696 1 2283 506 4 14736 4386 5 6556 3895 6 13066 156 3 2313 926 1 13461 723 3 11291 4401 1 10313 3029 5 8733 2114 1 7354 5018 6 2248 7895 10 2419 7401 3 18807 685 1 19101 964 1 17218 1772 1 12204 8141 6 13126 7820 1 17356 1769 1 351 823 2 349 3203 2 187 1112 1 4743 1431 1 18614 5450 1 62 441 1 4200 2516 1 6166 864 1 6727 4411 2 13126 2722 1 8987 8103 1 16286 2501 1 13518 4062 2 14504 3512 28 15553 201 22 18690 197 1 17472 2633 1 12898 6428 4 11207 7075 1 4356 8141 28 19486 314 2 15156 1416 14 17872 6125 1 9446 3715 3 13883 688 1 3434 1153 3 14367 1720 2 11898 7986 1 13539 1760 1 9568 1249 1 19602 3048 1 1338 7215 3 7432 6663 5 13646 234 1 3150 3525 2 2643 802 1 13031 2490 6 18033 3908 6 5029 524 21 4268 3419 1 525 3973 1 9670 745 1 1498 674 1 17 1075 5 7788 203 2 16592 1921 4 6618 903 5 7615 6152 2 3781 1715 3 1927 232 1 10251 5769 1 8872 1965 6 17760 4029 9 9708 7713 10 18381 4266 7 18968 5532 1 11409 4474 5 9315 3333 6 16546 6576 3 10741 3421 3 12325 8108 1 18711 5897 1 12464 2056 1 46 1776 1 11430 471 1 13167 1779 1 6111 1634 20 9151 6669 1 19173 3398 1 17182 99 1 6666 5441 1 20126 745 5 20235 219 2 16736 6053 6 19246 3256 5 17479 1184 2 1539 3516 3 11919 2031 1 15604 3308 1 5425 7884 2 8044 7672 1 2453 1751 1 19936 4429 1 1670 3485 1 19607 403 1 7774 221 1 11354 5123 1 11461 4283 1 16626 5418 1 19826 5737 1 16997 545 2 19982 3164 1 7877 4653 2 2886 3545 1 11263 3230 1 16518 998 1 8831 4305 2 14162 3159 1 18508 2111 1 17682 525 1 1108 525 1 14096 498 2 3243 1755 1 8560 3271 1 8334 3065 1 1472 8195 3 12647 200 1 301 1275 1 8051 5517 1 11327 910 3 3815 716 1 2726 2849 1 13455 6898 1 2509 624 1 3697 8194 1 18688 3425 5 11217 2460 1 14381 2708 2 17661 2760 1 11327 6870 1 5350 1342 1 17973 201 11 19653 6341 1 19742 3611 1 340 3540 5 6676 2079 1 20194 724 30 2189 1252 1 11971 3494 1 6987 2810 1 7498 496 1 4464 380 5 20085 200 1 17996 1250 1 4629 4049 1 1132 5020 2 3512 3370 1 5628 3464 2 850 3634 11 12372 2760 19 11780 5077 5 3142 214 5 778 7666 1 6541 7511 2 14367 397 1 4659 6743 5 7652 1395 4 143 6639 2 18526 2356 4 14484 7770 1 8594 497 3 10565 554 1 7670 1699 5 18821 6083 3 15750 4203 1 9834 5861 2 6635 3408 20 13309 4623 1 1712 7522 1 12508 5234 1 7211 201 1 17736 5978 1 6235 4295 2 13071 665 1 4095 4737 5 4409 6726 2 17113 1302 4 19776 3699 10 4496 1722 1 15406 903 1 18986 3804 1 10311 727 1 1948 7414 14 10462 1046 1 1870 193 1 15390 609 1 11786 4920 1 14522 690 4 13157 5789 1 12520 6457 1 2653 525 11 9628 5674 1 1967 6242 2 12988 336 1 17917 4023 1 4667 724 1 7581 214 2 8733 7719 1 10407 2498 1 16853 6527 1 15948 252 1 7285 591 1 19737 4459 7 16057 4635 1 906 1535 13 12324 411 3 1862 4076 2 3334 1078 2 8334 3173 1 13483 7857 2 17184 767 1 3661 132 1 8440 506 1 6273 230 1 6 191 1 8013 229 1 18591 200 1 11784 854 1 14055 1819 1 11698 1916 1 14642 502 2 7498 5255 1 268 8183 1 8092 3483 1 19628 6741 2 11502 2013 1 4386 753 1 4322 1126 1 5146 5783 8 2938 3595 1 13803 1781 1 18623 2678 3 17992 219 5 7179 931 1 5311 205 2 8764 6710 1 9649 4435 2 1607 220 1 12826 1997 1 6209 3916 2 484 2056 1 4330 7542 1 12148 1390 10 13185 3798 2 15096 498 1 5454 7352 1 15284 158 1 6413 1778 3 10117 1037 2 1583 2111 3 2716 3911 2 6317 32 1 12345 237 7 10374 5321 1 17772 5036 1 12146 5353 1 10023 3233 1 9431 2369 1 5156 6339 1 18398 1739 1 7211 2260 1 12695 542 2 873 762 2 10766 209 5 10311 933 1 1787 1454 1 9181 6983 1 13176 500 1 10381 1395 4 6778 200 15 10539 2373 1 9264 947 3 2045 1768 1 15778 4868 14 13683 2184 1 639 1378 1 12908 5362 1 18852 3230 5 15364 314 1 9654 5897 7 5233 1242 1 10456 507 1 11516 1170 1 9927 3076 4 6111 7073 3 19796 1037 5 17004 225 1 6867 953 1 7974 4838 2 4639 3537 1 9528 1275 3 881 5587 1 3491 2863 1 9209 23 1 153 6951 1 13111 5018 7 10316 5538 2 19222 524 10 11019 336 1 18419 7251 1 11817 2488 5 8412 410 1 7765 1910 1 10554 929 1 2853 4689 1 5785 23 1 10692 600 3 1389 4093 3 9395 548 6 8500 411 2 12299 532 1 2761 6368 1 12291 1464 3 13676 3942 2 18084 2831 1 7555 2569 1 10110 1007 4 11297 864 1 19407 6670 10 6465 6341 1 1722 2675 9 6058 534 3 15405 2503 1 6724 5923 1 13097 6546 2 2466 2880 3 13911 223 2 19540 5018 1 9220 1247 1 18123 3696 7 18546 367 2 8022 6065 6 15522 705 1 9960 7216 2 6275 128 1 15743 303 7 14836 5532 1 8789 2415 2 12135 2514 4 5952 2626 2 16484 7381 1 7682 820 1 42 2207 2 4257 498 3 7520 1755 41 13477 7351 2 8271 1407 1 5357 5333 1 13857 526 2 15501 6892 1 7780 2767 1 2150 2056 1 10452 803 3 10399 5420 2 7640 6157 1 18061 6640 24 17238 3477 1 3106 532 2 2072 1302 1 17746 945 1 10916 818 1 17151 7182 1 19653 2363 2 8109 4992 1 4840 1705 1 5330 23 1 5495 6539 1 16856 7406 1 11617 3352 1 11097 6027 1 12639 1243 1 14464 8036 3 8982 637 1 9793 1251 8 135 6163 1 19120 1248 11 2488 74 2 19671 545 1 10421 1827 3 1171 4029 2 764 1751 2 3750 906 1 9012 2497 1 40 2125 1 15323 190 1 4524 5002 1 8361 73 2 4713 3175 1 3214 1736 1 1259 203 92 13050 888 2 2332 199 2 7527 6570 1 6533 3155 2 4273 201 2 12118 4956 4 19123 3732 1 6724 1251 1 1125 409 1 3603 3911 6 13205 1980 1 1278 3097 1 15169 4969 1 10111 367 1 1115 470 1 1302 7689 1 13384 5804 1 20027 231 3 1257 154 2 13295 3907 1 20275 3491 4 94 4317 1 1638 2559 2 19607 2729 1 7186 833 1 1563 1825 18 8218 223 5 18613 793 1 6881 3584 1 19319 5180 1 13015 2671 1 16185 385 2 2472 159 1 7500 270 8 15722 506 2 6541 3427 2 19047 1736 7 13624 23 4 7726 2364 1 3178 4402 1 18981 7559 2 14753 3888 2 15405 1277 1 17662 23 4 15177 4489 2 19671 1374 1 10556 1707 5 10168 4225 1 14301 2810 1 15865 505 1 3008 6029 1 836 1364 1 18413 84 5 6369 6185 1 10531 1379 1 14865 5826 1 15349 6159 1 16938 3632 1 18121 7883 6 1028 719 2 15913 1819 2 18949 7955 1 7893 6139 5 2801 541 1 15068 214 1 7323 3511 5 14311 7021 1 8232 5700 1 6769 5413 4 9369 1334 1 16671 4779 7 14485 4369 1 19949 2000 1 4194 6150 5 11026 4996 4 1410 2076 2 8629 7874 1 11857 23 5 11550 1729 3 2929 1757 3 13651 186 2 19854 7189 2 15396 1748 63 11866 2262 4 16990 1978 1 6523 1703 1 1207 2374 2 17954 5418 1 7994 764 1 19908 1132 4 17886 5888 2 16740 1369 1 8034 186 3 19316 6899 1 6683 863 12 6810 2619 1 4897 1772 1 5131 4369 1 11461 532 1 456 1150 6 18462 6807 1 70 201 2 17454 1277 1 9697 4950 2 10966 498 1 815 1695 13 11585 2555 6 13551 3910 1 18346 2982 1 6466 529 1 17610 868 6 11104 8093 1 7412 7968 1 14837 187 1 18921 3973 1 16921 3070 2 19757 6241 1 710 2006 1 20090 1728 1 15481 1736 2 16312 2792 2 5252 4811 1 6538 1466 2 9921 5493 1 13891 5413 2 10847 2838 2 4214 303 1 2382 534 7 7152 8194 1 18133 6200 2 6359 654 1 11687 1239 2 13 870 1 17242 1062 4 18353 687 1 16180 2970 2 873 5757 1 8735 7439 2 745 1256 2 10469 6629 2 8286 4217 1 13496 232 2 7322 1571 1 835 3654 1 1821 2799 2 19530 129 1 4735 943 1 10880 1417 1 12521 1994 1 2785 6065 1 16016 1313 1 3765 2364 6 3581 2519 1 481 8116 1 14344 509 2 18071 2889 4 4362 6343 1 4464 7915 5 9122 512 1 9799 1901 5 10469 3643 1 5280 1719 41 16924 4299 3 16785 2747 6 4835 7623 1 12723 3900 1 10810 4664 2 8564 6874 1 20149 719 1 13750 1321 2 3784 795 1 19193 2662 1 9137 6655 1 13430 3476 2 5420 5873 1 4495 690 2 9640 5020 1 13893 6511 1 10362 184 1 14089 1710 5 6063 1373 1 8922 1776 1 19159 3446 8 15731 221 1 18572 3135 19 16141 2351 1 62 3019 1 18396 1907 2 9178 6204 5 3422 4638 1 16881 222 1 6712 554 2 2177 3980 4 4962 6125 1 12638 1995 4 11882 7013 2 19807 237 6 2373 942 7 8904 1995 2 626 8029 5 10720 359 1 15471 4069 3 12534 7821 2 717 1357 1 19608 206 1 5869 6571 1 15687 3164 1 2732 2190 1 5428 201 1 9401 3622 6 8030 562 1 15960 187 1 1494 1305 22 18418 236 2 18106 2980 2 5543 5325 4 9793 2969 4 5624 140 11 1171 1244 4 18608 1781 2 3048 296 1 138 6301 1 3175 2497 1 14363 5762 15 944 6640 4 1866 834 1 2369 3890 1 1256 6870 1 65 3132 5 3567 2949 2 9771 1070 4 12541 252 1 19306 7657 1 4632 5444 1 7743 1454 1 11363 7096 2 19584 3414 1 13779 154 1 1551 201 3 11856 4974 1 8125 164 1 14517 7216 2 19505 1363 1 11086 1734 1 3925 512 1 13802 2142 2 10078 4428 1 1333 1990 2 15800 6414 1 11212 498 1 6037 509 6 13084 1747 1 18508 876 1 17983 1707 3 18366 1764 6 1593 5674 7 8078 952 1 1300 568 1 10706 206 15 881 699 2 2643 4202 1 15078 741 2 8512 2613 1 16722 1797 1 6378 6716 2 1825 2880 10 4092 880 2 812 8022 1 9316 3878 1 3441 2244 1 8260 4408 1 18237 1246 2 11099 4018 1 7679 3621 1 18180 6759 21 10838 1819 1 5836 3333 1 8735 1035 8 11042 2522 18 17046 2653 1 19651 215 17 5416 6434 1 15831 6983 1 2535 2569 1 127 728 1 62 2841 1 3399 1296 1 15329 5760 1 14522 1721 3 11693 2671 3 5959 225 1 1314 2068 1 12281 184 1 6894 5425 3 16834 6058 1 12468 223 11 6695 1239 1 4304 1237 1 3853 1476 4 12133 2508 2 9305 2356 1 2443 557 1 1670 2299 1 18064 4944 1 5954 884 1 9745 6442 1 4262 5315 2 4620 2356 1 14947 719 1 9258 1557 1 5478 4967 9 3891 2252 2 10245 7022 1 18942 1321 8 11737 1357 1 3864 219 8 14632 14 3 15054 3710 1 13452 2981 1 6052 1357 1 12226 4649 13 11933 1772 1 1857 745 3 18875 5536 1 712 1730 1 13 793 1 10179 505 57 5335 3492 1 10267 184 1 1055 724 1 18821 2345 6 9994 883 1 3536 1255 7 20269 222 1 17353 1772 1 20017 4302 1 359 3900 9 4539 1779 1 14780 1244 1 783 5054 1 15289 8137 1 17273 1725 1 5656 1728 4 10105 6064 1 19065 3145 1 8673 5758 1 16833 385 4 2704 1744 2 198 6414 8 13042 6139 2 7585 4079 5 3149 23 1 2891 745 2 11306 1153 3 4774 1743 1 15930 4977 1 19879 4613 1 2602 545 1 6449 7422 1 15567 1378 1 13015 1295 1 3871 4204 7 18876 822 1 4627 2263 3 8082 4504 1 14689 3798 1 10830 1771 1 6796 647 1 31 1764 3 6624 2605 1 17713 7672 1 14087 3770 1 15000 4723 1 1437 6289 4 12619 3585 1 6983 1589 6 1461 1576 2 12549 534 1 11072 1727 2 18976 1276 30 5827 4300 1 9872 184 3 17132 1242 1 16474 2246 8 6448 659 1 13881 2068 7 14033 4217 1 9445 1758 1 527 1146 3 11014 4998 9 15629 261 1 6611 2127 1 5909 546 1 4583 5436 1 8382 222 26 4519 3556 1 890 2114 1 17884 1747 1 8050 235 5 7751 1363 1 11314 2877 1 16837 1359 1 11769 33 1 12876 1277 1 11577 2080 2 19205 1827 3 18523 2885 1 14881 7948 1 2414 4022 1 522 8121 11 7273 3159 1 15893 7531 3 8657 1728 1 9996 5186 1 6781 1739 3 17246 7412 2 3853 3080 1 18901 2325 1 11771 1996 2 12379 2982 1 18293 2369 1 16249 453 1 1811 201 1 15787 2146 1 12206 2626 1 13855 1712 1 13272 2520 1 4984 203 2 10245 3763 3 1273 379 1 15572 1395 7 10503 156 2 3156 5433 4 454 4902 1 10 284 3 18939 5276 1 14698 1290 1 3796 1768 40 17475 525 3 11695 2815 1 15691 3556 1 13675 5018 1 2959 7245 5 12919 6933 3 2442 525 1 655 7220 4 2860 6534 5 2943 1946 1 3010 3020 1 11796 931 1 14367 1665 1 19007 201 1 11 414 2 8015 545 1 388 6661 3 4938 506 1 20145 1751 2 2342 6640 2 16909 335 1 4422 201 9 3118 46 5 4537 3909 2 17640 2591 8 12714 2373 1 14661 5551 11 8717 3693 3 18608 1453 2 50 1277 1 11395 1814 12 422 148 1 3157 6414 1 9235 1333 52 322 1363 4 14296 3892 1 5596 506 2 14800 2767 1 2345 6090 1 19486 2080 1 19707 4293 2 4318 440 2 9508 6954 2 10610 6374 5 105 4725 1 13046 1770 1 1883 1996 2 12704 2640 7 14429 1657 1 5385 2864 1 15204 1721 4 16270 798 1 8597 2256 6 16239 1996 2 20171 4199 1 1684 360 1 12047 4477 1 676 1247 1 4449 2555 1 15791 6793 4 4791 5573 4 15079 339 5 6813 220 1 6202 84 1 14748 477 1 7176 2277 1 12009 1247 7 8910 4961 1 9758 6163 1 1119 1292 2 3985 6528 3 16470 156 2 11566 4636 31 9865 910 1 3459 5187 4 16706 1184 1 10531 2671 3 1973 7725 1 18831 3170 4 4767 2150 2 1712 4905 1 5955 4967 4 7482 215 13 9364 225 4 2863 229 1 13337 1277 2 9743 5551 1 5884 891 6 9882 3525 1 9195 4436 4 19727 550 1 7880 6152 1 18748 3233 2 16449 23 3 12337 6623 1 8606 23 4 17927 3356 2 3553 1251 1 18133 5549 2 17803 3058 1 153 1037 1 906 525 3 4873 3367 7 15747 5575 3 2342 1482 1 4124 5820 2 11716 5612 1 10752 4476 1 13384 7901 1 8295 1277 1 6808 1739 1 11377 5997 9 17518 723 1 19053 770 1 877 1146 1 18534 6406 1 19136 2678 1 5132 514 2 4301 2488 6 87 4010 1 9791 6051 9 5326 2488 2 6485 6558 1 2045 518 1 4289 1751 1 4963 23 2 3056 2945 1 19038 1706 1 1340 5586 1 14124 3511 2 2151 8036 1 124 5465 1 14566 4224 2 17789 4029 1 839 1374 2 18285 891 2 4981 169 1 8273 6178 1 6078 7067 1 14773 1719 7 18251 1986 3 8432 7513 1 12614 1235 5 10010 3255 4 3175 6205 1 3031 6663 1 18447 23 8 18431 1753 1 19884 7976 1 12800 6124 1 18887 1365 1 6183 502 2 13664 7474 2 13601 246 1 20098 1748 1 10498 541 1 10879 1751 1 6356 6494 1 18096 5482 1 10738 2542 3 10670 1245 1 17086 259 4 4056 1037 5 15562 1453 2 18518 4435 4 10814 201 1 17061 3535 5 4094 7731 7 11733 574 1 16623 1072 1 6995 2678 1 14318 4643 3 12621 4387 1 7582 1369 2 6031 1743 1 15192 792 2 13520 2131 2 7179 661 1 8417 203 9 8911 5018 1 1338 1819 1 10078 1453 3 8386 3403 1 130 5831 1 12074 3502 1 4390 496 1 14778 1751 1 7147 5897 1 12122 4435 1 9763 497 1 10906 1707 6 7897 6761 1 18658 1819 2 6624 2013 1 7316 7511 1 8921 5018 48 1529 1472 1 10042 3429 2 11877 3972 1 2344 5018 1 611 1996 2 7591 1154 5 18893 4902 1 9453 550 2 8749 4383 1 13732 219 1 9889 1783 1 12525 3585 1 16216 6683 2 6834 2352 2 12817 1764 2 16623 4555 1 8806 4067 1 3318 4373 1 18386 690 1 15562 1482 2 6457 212 1 15826 1244 2 18114 4825 11 3881 6924 1 12231 334 2 15180 3894 1 1677 2980 6 17486 1184 1 1387 2028 1 19848 4240 1 14519 3011 6 7750 1772 1 4294 23 1 7952 442 1 10824 8141 1 5189 2248 2 11170 6303 1 7778 3086 6 4519 2151 1 5133 883 9 3580 215 4 9680 3589 1 10313 2004 1 10467 7695 4 17077 1249 1 4913 939 1 4859 197 3 1481 4363 5 14500 520 3 15222 222 1 7846 4163 1 416 3072 9 15648 1720 1 2194 7342 1 12365 596 1 9002 3070 3 202 2675 3 13580 3304 3 9894 366 1 11667 6602 2 9604 167 1 8209 201 1 11367 5447 1 6819 1253 1 12205 6004 2 5972 597 1 12233 1722 1 13004 3556 1 5390 2364 1 17258 1251 3 12194 5319 1 14004 6677 1 181 8223 1 10816 4660 7 14107 880 2 6070 7235 1 12888 1720 1 12286 1706 2 4716 1698 2 968 4511 1 18326 4511 1 8367 7506 2 15192 899 1 6314 5922 2 5564 7404 1 6164 5561 1 3226 1656 1 2267 4366 1 8016 4623 1 8332 7708 2 6441 3788 1 14734 1245 1 16727 3518 23 11415 3285 1 16674 482 1 5825 2353 3 39 2041 1 16316 2646 1 140 6368 1 16002 5788 7 2647 220 1 4307 1395 1 16492 210 2 2070 1407 4 3485 1721 1 572 4583 2 15374 347 1 15662 4041 12 15509 1250 3 13699 5674 3 12145 4242 5 2057 207 2 7774 1732 2 11844 1518 3 10157 5758 1 4218 4609 1 2879 5264 1 9838 6661 1 12453 1645 2 18444 1239 1 15750 881 1 26 1567 2 9448 498 2 2152 5573 1 416 6414 10 1436 3009 1 20207 7857 1 19713 3600 7 926 3834 1 16459 1728 9 11601 2424 4 7580 5826 8 1467 7292 1 15016 3696 1 9300 6826 1 1344 501 1 8153 5187 4 5719 74 1 300 903 1 18295 1722 4 5826 3856 2 4234 7570 10 18944 4775 3 13434 524 18 10143 197 4 5725 136 1 6624 292 1 17596 1275 2 9945 1369 1 1772 2691 3 2558 1730 1 20106 7899 1 18747 502 1 6896 4507 1 17506 714 6 667 2276 1 10399 1714 5 8269 685 1 1186 945 1 19567 467 8 8585 4789 1 7694 6497 1 1434 7586 1 10584 520 1 13030 3771 1 10404 636 1 12929 5558 1 6332 5379 2 10699 1781 1 14313 7591 4 1660 5292 5 13195 1814 44 14800 3368 5 18876 6807 2 736 891 1 2778 6502 1 14018 545 1 18689 3276 4 13921 7133 1 5977 1772 1 3823 1664 5 9429 1728 1 9395 275 1 16847 4996 2 19331 221 4 11591 685 1 4827 7270 1 4043 2508 1 6429 1791 2 222 4575 1 7306 767 2 3488 1737 6 17120 505 2 629 4221 2 18154 955 1 9679 4623 2 1865 3422 1 605 1203 1 15300 508 1 8842 1403 2 13570 4487 4 8459 1829 3 832 2671 2 9793 16 1 13445 214 1 13640 498 13 8629 7894 1 2917 799 1 11233 214 2 4055 1769 2 9759 3478 1 4205 1302 2 12766 634 1 9802 2675 25 9195 23 2 17335 167 1 10456 2877 2 17402 496 1 2106 8227 2 16790 496 1 12955 222 18 419 2920 1 5246 716 1 9894 4333 1 10353 7831 1 18288 81 5 1801 5986 4 19865 5485 1 10393 7422 39 13405 5306 2 10137 5022 10 10674 541 3 17946 1235 1 5863 2603 1 153 7095 8 5189 7603 11 73 1304 1 13743 1610 1 9195 3645 1 19026 7545 1 6717 3320 6 4779 2584 2 12353 1163 4 15807 1092 1 4640 7689 1 1531 621 1 4268 579 2 9526 4614 5 8521 6682 2 8816 6108 1 16713 3065 1 2966 184 4 6086 5408 8 15566 8194 2 8004 7050 1 14448 5704 1 6207 7474 1 10233 5319 1 19790 2951 2 19415 222 12 6656 505 1 13015 2424 2 6070 5492 1 7168 1686 1 6275 2363 1 18438 3511 1 4597 3511 5 8761 863 1 19199 6714 1 10140 4640 1 16276 1561 4 5052 3670 1 11933 5084 1 5023 1777 2 15485 206 1 542 2993 2 11312 7809 1 472 834 1 15743 4174 2 11671 2852 1 17331 506 2 11597 843 1 16 1006 1 11656 3327 1 6838 2923 1 18046 5477 1 11845 3021 4 16905 1710 1 6105 344 1 19189 219 2 5711 2082 2 2905 1978 1 1514 1665 1 6348 819 1 18191 1631 2 936 1827 7 7831 1034 1 13015 6410 2 11555 7980 7 18208 6434 10 5326 1705 1 6422 6039 3 5670 6231 1 1481 1990 3 3527 1302 1 2545 203 10 5244 3519 3 4022 1731 1 5199 7475 1 4742 1726 1 14498 6034 102 11272 2056 2 10412 1928 1 11755 359 1 16583 2517 1 20036 7576 3 15394 1740 2 17335 7410 1 18893 7576 1 18886 723 1 9945 7008 1 2587 1245 1 8946 812 1 5356 4203 3 18488 5162 2 8853 370 1 17142 7238 1 13 929 3 3058 6225 1 8404 4266 1 2800 7522 4 2876 7201 1 13649 7961 1 11131 949 1 17 1032 1 6243 4992 1 16468 5516 1 8423 223 1 10329 6481 2 1464 3308 1 19725 7598 1 12331 2877 1 1422 1832 2 9947 423 1 18568 2853 6 16566 1717 2 604 3380 1 6545 4723 1 9492 3298 5 5653 84 3 74 3485 1 17505 6107 1 2713 1331 2 3059 912 1 2616 3652 1 804 2114 1 1722 215 1 5117 562 1 17644 206 1 12141 2729 3 10371 201 4 12725 1307 2 11687 200 7 10772 2129 1 7935 510 1 9391 4436 1 10171 1395 2 2931 3653 1 16287 1373 1 18122 6498 2 7769 656 2 16643 1307 5 1 55 5 4506 23 1 7487 525 2 17392 2350 1 17450 1248 1 13896 7771 2 11762 1729 1 8464 3882 1 12113 3733 1 14436 2341 1 14721 449 1 9178 1751 3 12337 2295 5 5356 422 1 18207 1248 1 165 1365 4 13592 6000 3 13369 2649 1 8654 222 1 11507 6139 3 14913 545 4 9249 200 1 9945 5446 1 14346 1755 1 2332 184 2 13778 3175 15 8884 508 1 1125 2369 1 19651 1718 1 11656 1757 1 12592 252 1 2531 7407 1 14326 1819 1 10472 5879 1 19899 4363 1 18574 7829 1 9435 3633 2 4561 4257 2 13633 214 1 9639 1198 3 5796 1271 1 7952 1110 1 4050 1241 1 2448 2363 1 2138 5887 1 14686 1238 2 9310 1399 2 7556 1706 1 18237 880 4 17440 5804 2 2393 1720 1 6449 2424 1 3358 646 1 15898 2256 9 13877 6220 1 7449 505 3 4443 1184 2 9044 7862 2 11598 371 1 11766 193 2 19331 3242 1 5516 7736 5 1962 2517 1 1143 2104 1 4089 5427 1 17634 891 12 8991 853 1 2920 3872 1 8532 1768 1 18149 167 1 7173 1249 4 17929 215 3 18260 2620 1 6125 7414 1 14731 3869 2 11194 6720 1 1241 506 1 1640 3964 1 1712 2562 1 8015 134 1 14037 274 1 9337 447 1 5293 219 1 6506 3940 3 14893 1762 4 5480 1304 1 17392 1707 1 10948 864 1 11311 165 2 19115 3905 12 17825 200 6 397 1739 1 10806 553 1 8955 2290 1 15599 1707 3 10611 4780 1 1665 4172 6 4240 3070 5 8361 7261 1 2010 1356 7 3900 2016 2 16108 6027 1 17701 274 2 9661 207 3 12932 7872 1 19588 1768 1 5334 2912 1 13997 554 1 6452 5333 1 19870 1981 1 11073 7167 2 10772 2993 1 56 184 3 15263 545 7 155 7136 2 7577 7189 1 1280 1827 1 20027 861 2 19527 804 1 14939 1699 1 7702 6665 1 19724 173 7 11063 7853 1 12384 1235 1 4665 7905 1 5495 2388 1 14564 3532 3 1962 2100 1 10090 4591 2 17696 3918 1 2225 380 1 697 6286 2 6535 3554 1 17273 6330 1 11714 3743 1 14502 1105 8 18026 7670 1 6463 2595 6 1935 5182 1 19485 1825 1 11997 2144 1 5452 411 1 15896 1990 2 11149 3684 1 15908 4996 1 4553 690 1 8748 1781 1 12603 3612 1 10086 2675 1 4305 963 1 11363 1275 1 19406 5495 1 3777 5774 1 10280 5325 1 1151 2645 10 9604 6341 4 18968 4518 1 15031 7013 3 17379 7948 1 16564 695 2 19267 6757 9 19538 5826 1 17983 4435 2 11786 2835 2 1789 153 1 2267 3239 2 864 374 1 11758 223 1 10531 533 13 10948 1747 1 19727 1253 1 10874 4102 1 14657 2356 4 3188 336 2 7181 197 1 13729 502 6 4072 3552 1 3101 964 1 9935 3558 2 4320 200 13 20170 2424 1 12376 411 10 822 4501 1 16924 5737 3 9121 1775 1 14706 336 3 10245 3065 1 12592 203 6 16736 1103 1 3491 2877 3 18639 3705 7 6332 1719 1 11251 3945 4 20171 4582 2 8842 8239 5 3483 801 1 9838 1025 5 212 7423 4 3581 363 1 19784 200 2 2655 6570 2 6867 1324 2 4627 7638 1 15898 84 1 19576 5892 1 4753 3798 9 11367 1248 1 7799 3293 6 11637 670 1 14658 1724 1 6091 2261 1 17416 1531 4 18633 2378 3 12409 8203 1 11388 2671 2 13967 34 1 4964 506 1 5631 5879 1 13537 7936 1 12704 463 1 12760 3447 19 6021 1092 3 1464 512 2 18909 1489 2 14970 796 1 15178 533 10 9124 7530 5 16122 1301 3 2385 1582 1 8779 5497 1 14818 215 1 13946 5018 5 11387 1762 6 10693 6581 1 12091 4939 2 19131 1961 5 3776 207 2 8974 1727 1 9361 1967 2 9567 3457 1 83 3776 1 13720 709 1 2921 2449 15 11386 912 1 11616 130 1 17614 4242 2 16185 7936 1 2039 7567 1 12620 3081 2 14326 5245 2 153 5517 1 3975 4723 4 15082 6609 1 18857 3896 1 19359 2460 1 4599 2678 4 18574 3427 22 6281 1775 4 3152 2673 6 7306 3070 3 1757 2584 21 12584 903 2 15785 915 1 8322 308 2 9776 3235 2 17850 232 4 13177 2678 1 18968 1383 3 13308 7381 1 14858 220 6 9264 575 1 12956 6654 1 18184 2682 2 4679 4386 1 10973 545 5 270 1726 1 7130 1748 7 4930 225 1 12878 23 17 296 13 2 1059 1610 1 2834 719 6 1522 6363 4 15151 2353 4 1952 3906 4 4492 2355 2 6772 2357 2 15415 207 1 2461 1721 5 17191 637 1 12384 214 42 3924 1103 1 13839 589 3 2784 5281 1 2816 3391 1 10452 4361 1 3242 413 1 17960 8167 1 5379 7528 1 17687 1246 1 3854 1438 1 9759 6140 4 13951 595 1 1604 1751 4 10949 937 3 13647 1737 1 8952 433 1 1398 411 1 8088 7670 1 12715 200 2 17432 8141 5 4625 2760 1 15270 6754 1 8444 6529 1 14599 768 2 6502 2138 2 1215 5082 2 17298 1814 1 3651 4266 1 2362 5026 2 18568 7937 3 13779 1403 2 19486 2778 1 17918 95 10 10179 596 10 9609 1271 1 14894 8054 4 7649 3837 2 11417 1017 1 16916 1139 1 2550 1760 1 19822 4803 1 1689 6892 1 6265 8072 1 5772 6091 2 6452 5425 2 15217 2132 1 6853 379 1 7317 718 1 11959 1764 1 3071 2724 1 19568 1250 1 5446 2673 2 225 8224 4 18491 1332 1 6488 3276 2 19871 4557 1 18949 496 1 11789 368 6 14080 8030 1 14236 225 1 10933 5093 2 14866 2549 1 19864 1399 1 7179 873 1 623 1244 1 13645 2103 1 6125 3525 1 17257 6000 1 340 5256 1 12680 207 1 17664 3230 1 17148 5018 1 2886 3378 1 18740 2355 1 15113 905 1 855 382 1 17218 173 1 18979 6038 1 5454 7455 3 3258 863 1 17 1023 5 10022 411 1 18232 1296 9 17946 201 1 11094 1827 10 5952 1730 1 19089 206 4 8835 3070 1 6314 1819 2 6063 1267 2 7864 190 1 12825 2687 3 10679 1548 3 10730 1743 4 17526 3556 1 2497 128 1 18368 255 1 5447 1359 3 17 1153 1 5287 5531 2 20055 8170 1 5952 1243 5 9707 4012 1 7566 1755 2 14985 6414 1 13285 201 3 1782 3382 1 15220 1247 1 1882 4397 4 6089 1700 12 14558 3400 1 8716 5670 9 9401 1244 4 9408 3146 32 15746 3497 5 10339 2897 3 3252 190 1 7119 4996 2 14753 5961 1 157 7197 1 14337 861 4 13328 6753 1 15627 5324 2 14766 863 1 15264 3639 1 16276 6933 1 13544 7586 1 7380 1341 1 19923 3864 5 15917 1344 3 9240 5305 1 8528 532 10 3548 864 6 7376 569 1 11742 1911 5 6795 4041 1 12053 1101 3 4092 508 1 19575 4933 1 10176 541 3 835 7215 1 10381 3542 1 16137 385 1 9445 1695 1 6273 401 1 6531 1113 1 12805 2969 1 15779 6343 18 375 200 1 16681 1825 1 19520 138 1 18763 508 5 10145 1201 6 15605 1352 10 6313 1046 5 8962 221 1 1662 6137 1 16388 1612 1 15530 2691 1 7509 2488 1 19171 1664 1 13417 4306 1 12209 6414 1 10929 3221 1 4792 470 1 9079 5054 2 2945 1571 1 3491 1721 1 11883 5433 8 18211 4595 1 1343 6309 1 7490 1725 1 1875 958 1 19080 4351 1 11202 7880 2 10835 1955 2 17194 1990 6 6457 1043 4 932 5767 1 16694 1399 1 4389 5860 5 3307 1658 1 16727 541 27 2204 2498 1 11411 74 1 8328 3357 1 12029 3823 6 17264 4115 1 19872 874 5 2863 1062 1 14900 1739 1 15394 1752 7 16018 5673 1 15849 1706 1 11578 2647 1 2266 3059 5 6867 7018 1 8676 4096 2 15329 717 1 16448 5375 1 8488 173 3 19871 4696 1 4371 3569 1 8663 2667 4 6598 1417 3 9279 1775 2 3521 5495 1 14576 2019 2 9580 2671 5 18561 2490 1 4629 225 1 6606 1927 1 8022 496 6 3005 809 1 19503 385 1 13718 5256 1 3258 4022 5 19115 6150 1 2249 1755 3 16048 1519 5 4191 6166 1 6122 4408 1 19637 7704 1 14114 2104 1 9957 3202 3 12720 203 1 11591 886 1 11208 957 1 17996 221 1 14883 502 2 12775 542 1 13445 1727 1 11882 3635 1 14522 1253 3 10498 3222 1 9155 844 1 521 4669 1 2795 6064 4 11421 3255 1 11938 4937 1 4193 1721 1 6032 1172 3 12757 10 1 2493 1732 1 3977 6322 1 2046 2980 2 12765 5532 1 17027 327 8 6850 6620 4 2905 7104 1 6418 5291 1 2772 616 3 433 5997 1 10585 215 14 16638 7278 2 15948 1245 3 9279 1721 2 13745 1037 1 2718 206 1 3522 1573 3 5801 6500 1 9842 7829 1 10947 4719 1 9768 330 1 14179 1758 1 6088 516 1 6127 1686 2 5588 8170 1 11084 4391 3 16501 905 1 6200 2321 1 18438 200 7 10693 4385 1 86 3964 1 15432 7603 1 5060 6112 1 6325 1825 1 17008 2693 1 17104 4325 4 15098 1705 32 14962 842 3 15701 867 3 1906 1305 1 17652 6645 1 17458 3230 6 7478 1271 74 1898 6053 36 2222 223 1 494 1286 2 3505 173 1 10218 1034 1 6193 869 1 5264 173 1 11746 1728 2 2829 207 1 17746 959 1 9595 6469 2 16987 1819 2 4938 1379 1 4486 4003 5 12373 5420 1 15676 236 1 17369 3408 1 18546 3679 1 16935 5559 1 1519 525 10 10327 411 2 7610 608 2 15016 5289 5 18041 498 2 14669 3457 8 19272 2027 1 3664 1648 1 10452 3749 5 688 737 1 7272 6584 4 2213 7060 1 10416 2663 1 18619 7120 1 7560 233 1 9160 1482 3 10850 4391 1 15654 3885 1 17799 891 3 4346 303 2 14889 534 1 2975 1761 4 3817 3492 1 19975 1705 1 1551 506 1 17954 504 1 2021 6383 8 13960 4435 10 9699 2018 2 8620 7711 1 19995 6268 1 83 3796 1 8945 6285 1 12233 1726 1 16090 4202 1 826 1762 1 6515 1819 1 5591 5514 1 1587 891 3 4796 136 1 8849 1244 1 11494 2608 8 15610 763 1 11809 5063 1 5198 2675 1 9659 7980 9 18872 423 1 18593 1703 26 4379 917 2 7364 502 6 19820 5212 2 3313 200 1 4165 724 4 19949 3705 3 8620 2021 2 6831 995 1 2103 5052 6 6857 4606 1 1625 5254 1 17039 201 4 14218 3942 3 12449 7570 5 5690 545 1 19823 3511 8 8872 235 2 1904 173 1 12665 6066 1 4144 252 1 17357 1052 1 264 470 15 1986 3556 1 15115 2168 1 3648 2883 1 124 5436 1 18982 6673 1 7536 1752 1 18233 8071 2 16847 7414 3 15594 203 11 6124 525 1 14640 200 1 14753 5335 1 13384 453 1 8751 7744 1 62 2985 1 19552 7902 1 6887 1656 1 6591 10 1 2819 222 1 17556 3834 1 17703 411 5 11971 4792 1 6510 1324 2 1519 2600 1 5625 1247 1 6714 3511 4 17847 573 1 5304 695 1 16965 4373 4 6618 3705 3 10090 912 1 15782 2270 1 12054 5517 4 18379 2216 1 18536 2507 1 9898 4905 1 745 554 5 817 895 1 10373 3929 10 16775 6534 15 2796 4521 1 9894 173 1 14130 5487 1 14593 6099 1 11965 6192 1 4386 1756 4 1296 5586 1 4399 3649 2 6350 327 1 2674 2345 1 15622 214 2 5023 3622 1 20162 1209 1 19440 7607 1 9981 6007 1 10093 724 1 15903 2646 9 516 1269 2 8890 4802 2 9815 3600 7 17890 5758 4 18195 690 1 3663 2089 1 4650 2385 1 3495 4660 1 4967 2087 1 14757 46 3 2384 981 1 984 318 1 8430 6062 13 4250 7275 1 8710 5559 5 521 5309 1 19862 532 1 10110 82 2 11899 2864 1 19173 597 1 14429 3945 1 476 2708 2 3434 2087 2 5981 2605 4 1785 4152 2 11216 5324 1 16242 2575 7 8564 4581 1 14741 5104 4 14899 5132 2 8004 6979 1 14587 1277 2 7425 5051 2 14694 2478 4 12724 4312 1 7195 2569 2 7369 2633 1 11687 4976 8 17193 336 5 2428 365 1 4935 4201 10 13965 7848 1 11424 1192 1 5506 4723 1 8746 1307 9 13676 6009 2 10953 1573 1 11256 722 1 18465 84 2 17751 4860 1 4495 7133 6 251 1721 1 127 5727 2 6116 3230 5 11270 402 2 13714 4224 2 4189 6659 1 6219 1769 1 11766 3427 1 7001 5762 3 3292 223 1 18769 1691 2 9074 201 1 2942 377 1 19530 1682 1 8566 4328 1 9178 3901 1 11860 1328 3 7868 3005 1 17 1021 1 6552 6152 2 13994 2887 1 12322 3113 2 3705 4658 1 11846 767 1 2428 4811 1 10551 1307 1 17 1016 1 851 1999 1 2583 222 1 14522 207 4 13496 6723 4 4469 303 1 18171 5245 1 12406 1990 7 6327 1164 2 10636 1743 2 1722 4992 2 8334 71 1 5591 4983 1 14758 1589 1 14696 964 1 6610 5064 1 17335 2708 1 14733 2651 2 14939 5325 1 2570 7222 4 8500 265 1 8118 6630 2 4471 546 1 15935 1233 1 8343 1307 1 11733 8057 4 16054 126 9 15364 4550 1 2886 3497 1 10313 5253 1 2424 6337 1 6681 1762 1 11717 3164 3 9178 6777 1 9813 4156 1 7457 1317 1 16951 1277 1 10852 868 2 1190 6538 1 4898 1703 2 13503 5253 1 14254 4644 1 658 7261 3 4057 7102 1 17892 599 1 14741 5086 1 15103 1333 1 10314 2831 1 8439 1247 2 12364 207 1 3226 5506 1 19710 165 2 17237 23 6 4888 1987 1 6974 206 1 16674 479 1 4233 1119 3 5455 188 2 7651 2021 2 6819 206 1 13638 1356 2 14252 2252 1 2899 4984 1 18568 3096 1 16700 666 1 9399 7719 2 3511 1513 1 11092 3234 1 5515 2488 2 11050 1738 1 16674 5294 1 6769 1757 2 19034 545 3 19056 1193 4 15310 5306 5 4105 234 5 2740 6966 1 16109 1727 10 1919 222 1 6250 429 1 10835 1146 7 9445 1772 1 15193 235 1 6979 6632 1 20126 4279 1 16926 4300 1 863 5323 2 15936 5969 3 19825 516 1 11083 4582 1 7986 3511 1 10051 375 2 1029 1686 1 16203 1502 4 16296 7439 2 8859 1686 2 11504 1751 3 19043 1110 2 6053 7125 1 14731 6231 1 1384 1762 2 109 4764 1 4213 5883 2 3024 6678 1 15597 5294 1 10869 222 1 4886 3512 12 13782 409 1 19710 508 1 14842 3308 4 108 4922 2 17433 8141 1 7475 852 5 18017 2228 1 18499 5853 1 11773 1698 1 15097 303 6 15468 5559 2 19401 880 1 534 878 1 3798 1249 1 7206 196 23 8872 1764 7 7566 1731 13 15743 3591 1 13927 5496 1 11024 3876 1 19557 4351 7 8269 874 1 2344 1278 1 3287 911 2 15139 4824 1 10915 2216 6 18932 652 1 6556 542 1 8370 1296 1 3442 2360 1 95 4383 1 16932 4255 1 18169 6144 1 10874 342 1 6905 874 1 19291 2998 1 3650 5018 5 17118 499 1 16288 2827 8 4106 368 1 2754 1505 2 16137 1936 1 1465 6713 1 3900 467 5 16292 7853 1 4370 7983 2 5849 203 3 5146 222 1 11656 1819 2 19034 7474 1 2204 3164 1 9186 1909 33 8597 7619 1 8746 6549 1 8082 1288 2 20123 2344 3 12160 3629 1 16881 2276 1 16363 6004 3 5993 500 1 18671 187 1 1774 4013 5 6228 5311 1 12766 261 1 3571 194 2 3189 496 1 12122 3233 1 3077 8251 1 38 1423 3 16719 7414 1 3549 1718 1 8149 3070 1 14113 1686 1 15144 441 1 9075 1247 8 15272 1251 2 723 383 1 8755 855 1 15269 5935 3 16816 6839 3 13634 3549 2 8694 6534 1 2147 670 1 8413 4000 1 10862 1211 1 5946 532 1 7969 4242 1 681 169 3 15230 203 22 7338 6965 2 2640 2401 1 11937 7936 6 19856 3625 1 7312 201 1 15144 5257 11 171 7822 2 4050 203 2 1866 2360 1 12893 1717 2 18230 23 2 6387 5866 4 11428 1062 1 4010 8200 5 19840 200 2 3110 7662 1 15576 4529 1 14400 4623 5 6894 82 4 10591 995 4 2394 1235 1 545 7419 2 16008 5020 8 7780 3422 1 14902 1705 3 5358 2809 1 24 1448 2 11946 5559 5 168 7576 1 9666 890 21 7383 3021 1 19090 5312 1 12893 353 5 19287 3760 1 640 1903 1 9195 2737 4 5326 1814 4 4492 1244 1 4601 5051 3 2966 534 2 133 6033 1 124 5478 1 16491 874 1 2350 554 1 7245 2056 3 12992 536 2 11252 229 1 17260 1146 1 7625 7497 1 18907 3230 81 9592 4404 1 19602 5296 1 4376 3233 1 7780 3517 2 10006 3433 1 9655 1244 1 31 1720 4 5296 7216 1 20090 1146 1 5849 510 1 12537 1985 2 3505 4259 1 7724 4961 2 19851 7210 6 1844 4119 1 1519 1903 4 11327 2653 1 15180 206 1 15009 4314 6 18534 2158 1 5688 471 1 12030 232 1 16426 7740 10 6471 2392 1 1280 1734 1 4034 7124 2 12436 659 1 6997 3631 1 138 785 1 6598 2676 3 15670 3590 1 15806 1996 3 8547 1583 1 11545 468 5 3846 580 1 156 7144 12 11633 2899 20 7904 846 1 10337 1719 4 17272 1119 1 5610 649 1 11058 4766 1 7105 1827 5 6568 2269 1 11554 5051 1 8469 5730 1 16448 5372 1 1508 910 2 7498 2254 1 4547 891 1 13071 764 1 19406 1819 1 910 6288 1 8718 759 2 7390 4505 1 4556 7222 1 53 2327 1 4262 4446 1 17440 215 1 8749 7602 1 11687 6363 3 8253 1250 1 17088 336 7 11334 2933 1 15182 3620 3 16623 23 2 4327 215 4 5149 514 5 11243 3511 1 15395 1781 3 1062 579 1 7287 1241 1 59 2713 1 7769 5480 2 18689 411 2 8714 1695 2 3485 214 3 3220 2930 1 8793 819 1 6808 1691 1 18797 8184 1 3380 23 5 7644 4599 2 11458 2428 3 941 6697 1 10670 1779 1 5232 204 2 7977 1728 1 10502 3285 1 745 765 2 15225 442 3 2911 365 3 3178 452 2 9572 3304 9 11905 3408 1 16665 206 3 16266 6150 2 16339 2878 1 17873 4386 3 13535 23 3 20167 2682 5 6163 3391 3 87 3599 2 15724 7599 2 4299 4369 1 13565 1190 6 417 2969 1 3150 220 2 10564 4938 1 2658 5162 2 2813 3411 2 1030 7259 5 14157 4949 1 19268 236 4 88 214 1 13902 3721 1 8346 1717 1 2564 3503 12 18158 3462 7 9374 2618 1 8608 413 6 8550 888 1 17318 7561 5 10055 1908 2 2723 3478 4 4941 867 1 16740 2435 1 8419 2072 1 15948 1718 1 2167 5565 1 16506 4435 5 10445 2552 2 11293 4357 1 10698 667 1 13039 8169 2 7780 4204 37 4687 8070 1 17494 2649 5 13140 3974 5 14196 6424 2 5618 3515 5 10599 215 1 6536 229 1 9978 214 1 4811 2083 1 12053 6435 5 392 3222 1 6811 6649 1 16772 8200 2 632 7689 1 17698 3525 4 11804 5997 1 349 873 11 8110 3400 6 7684 1241 1 8410 3820 8 107 4763 2 18853 221 2 3354 4739 2 9027 1548 2 3189 1200 1 18939 3950 16 11060 35 1 8641 7415 3 3516 3351 1 12962 1235 2 18959 6083 7 12054 1226 1 16931 1037 2 5767 935 11 5141 297 4 6224 6204 1 10201 6658 2 18941 1764 1 7780 5538 1 13526 501 1 16314 6691 1 4267 219 1 19649 1698 1 15159 6248 1 1644 532 2 7243 5243 1 10212 857 1 13919 818 1 11498 1251 2 6926 2519 1 1900 215 2 1752 3192 1 12453 1649 7 3396 2549 1 9026 190 3 19671 2718 1 7539 2263 1 790 353 2 14649 214 2 10107 7167 2 1705 3821 2 11151 233 1 9533 244 2 56 2659 2 17564 6179 2 5694 6144 1 14035 5433 1 18606 5073 1 19572 7734 1 121 5282 1 115 5206 1 6656 883 7 14828 7621 1 19224 7120 2 153 7034 5 10295 232 1 5577 1747 1 10152 5442 1 13857 5329 5 11364 590 1 10457 6084 1 711 6018 1 11918 2555 6 7868 2721 1 2330 1317 4 14584 3414 10 3488 8126 14 11301 411 4 9017 1241 1 8271 1531 1 12913 8103 1 3962 1296 3 15315 4459 2 13349 3535 1 9055 4494 1 3694 3511 1 4337 1717 7 2750 1748 1 6527 433 1 11454 229 1 16825 871 2 4399 2750 2 2652 6983 1 3516 185 2 15180 5082 1 1825 220 2 4112 508 1 19187 3970 1 7188 3263 1 6347 4482 2 17298 222 1 2729 73 1 8015 6196 1 20171 4252 1 18730 169 9 12991 1784 1 3992 3556 1 18191 1249 1 4321 235 60 126 5636 1 20146 4377 1 5821 934 1 10019 2661 3 18190 1717 7 8110 186 1 9733 1768 7 17770 2443 1 15295 7477 1 4863 184 19 14252 2992 2 8277 2254 1 7750 3492 4 16020 214 2 14055 3230 6 4498 1036 6 19233 5618 1 12555 3228 4 7753 200 5 11786 235 7 11533 3697 1 5378 225 2 9178 1745 1 3934 23 4 7306 877 1 16600 877 1 1986 470 1 2886 2980 5 15372 8141 1 13736 8167 1 18191 7428 2 14114 745 5 7577 2635 1 8481 1781 2 19147 3882 1 9431 1277 1 14664 534 8 13770 574 1 18792 234 3 15791 3399 2 14727 7103 1 12739 3557 2 2405 5379 8 19515 440 1 6348 584 1 9589 6027 1 4488 519 1 14889 1938 1 14828 7867 1 12029 7606 1 16835 1715 1 12727 8184 1 10719 3230 1 19094 6286 1 4663 559 1 8775 7895 6 19115 1275 4 17001 214 1 4525 1721 1 18939 1304 2 7535 23 5 1886 2362 1 18179 3083 1 10493 1758 1 13880 4470 2 5491 5380 1 18852 4782 1 4448 1076 1 14372 7702 1 12252 6053 1 11261 1250 1 10360 1656 1 8448 4591 1 19026 206 1 8816 1070 1 4298 1456 1 14657 4077 1 19800 1103 1 18510 3447 1 4998 3729 1 16936 3521 5 1138 7477 2 17570 4429 1 2512 525 1 14947 1342 6 7361 6535 2 8275 4393 17 18027 196 1 5993 534 3 12885 5482 1 916 2945 4 2770 2096 1 17690 3515 18 17538 219 10 8439 8141 7 13130 2355 5 9440 5018 1 5977 7237 1 19609 7509 1 14875 1417 2 16492 5504 1 19222 1814 4 17010 1779 4 10684 6610 1 12765 603 1 593 200 1 16638 4280 1 12213 6512 1 2605 3916 1 11637 933 2 16856 5083 1 100 4524 1 6742 156 3 2267 3304 10 4742 1458 2 14900 1729 2 6728 3655 8 13590 1987 1 6178 5129 2 15964 7215 3 6815 7282 2 6519 5588 1 2459 7828 6 18973 303 113 18081 221 1 11708 2009 1 1357 7446 2 5787 48 2 7065 3567 1 4268 2691 1 15896 6854 1 153 6992 1 15418 236 4 3947 745 1 17800 215 1 6979 3109 1 6883 220 7 14893 6268 1 6757 23 4 4287 6414 2 4315 223 1 92 4147 3 4859 1721 2 18988 4487 1 6662 1751 6 4629 1250 1 11514 2475 3 16936 3523 141 19180 3585 1 9341 759 15 11772 7859 2 18951 8141 5 6587 74 1 14522 804 2 2917 4245 10 16036 206 4 12829 2301 2 16851 6957 1 13017 57 10 17128 2561 2 812 7874 25 166 7551 2 7555 1703 1 11938 201 8 10502 5905 1 4832 2131 3 6394 1244 1 2361 3649 1 19170 518 6 5395 1692 1 16924 8034 3 20062 1657 1 11445 2829 1 9065 6013 1 16777 1076 1 9715 411 3 9275 569 1 174 8106 3 10601 38 6 16379 514 6 15712 6500 1 11072 1242 2 1267 525 2 18144 1728 3 18357 244 1 16852 2727 2 19822 997 1 7879 805 1 14929 4590 1 4795 2407 1 16878 271 2 6110 1710 12 10152 6900 2 9572 786 2 8995 785 1 19495 5737 1 3527 3715 1 3173 3715 1 18242 23 2 19849 258 1 10155 206 1 6418 910 1 2281 1282 1 7780 2003 1 3427 745 2 3749 3743 23 1528 95 1 10684 6570 1 2143 6793 1 12854 7788 2 702 2336 1 19806 4667 1 10283 7452 1 5591 3186 3 1437 4992 2 15230 1250 8 9351 2671 1 7943 219 1 3854 3493 1 16561 235 4 8831 201 2 4765 743 1 8970 3167 2 70 3299 1 9199 528 1 14558 7530 1 10435 4404 3 9767 3275 2 8223 3552 4 9473 1862 1 9160 1251 3 17014 6047 3 12055 234 1 126 5690 1 7887 7127 21 17438 1261 1 10380 664 5 17884 1453 1 10017 2407 3 2948 6591 1 19026 1363 1 17581 2665 6 9819 221 4 6509 6558 2 13526 2428 1 3765 410 6 3629 2015 1 4804 219 1 11770 6263 1 13710 1251 19 1389 6245 2 9999 1253 1 19286 5446 1 16557 719 1 3135 8176 1 10097 1582 1 3901 1804 2 15045 6084 7 17269 840 2 4004 209 5 9567 2968 1 3059 603 1 19233 7911 1 10901 7534 2 4240 1471 1 12853 4302 1 2319 4383 1 11472 8158 1 13733 1826 5 14816 1164 2 10956 759 1 3840 4179 5 12814 520 1 17013 1756 5 121 712 1 2123 6197 9 13645 1756 1 17995 4294 7 19966 1792 1 7502 82 1 14887 7279 2 14339 3760 1 15180 6527 1 7227 7878 3 3331 834 3 8398 3142 1 7455 400 1 15691 535 1 8273 1672 5 18329 1825 2 11353 6069 1 11943 1662 1 4639 3920 1 17165 7261 2 19340 2760 1 5317 6053 2 81 3672 1 5076 206 1 3382 5309 4 11653 3338 1 13185 5961 3 19344 7466 1 9857 7554 6 873 1396 1 2951 1781 1 14905 4849 3 15874 6979 3 5659 7234 1 19511 7013 1 17247 3399 1 1527 4589 2 9675 1775 2 13088 470 1 2103 1730 2 12888 1769 1 4498 4845 3 11968 542 1 19166 1184 4 7956 2683 1 10381 206 1 10072 6341 8 17910 1880 2 1314 46 1 10381 267 1 12678 3389 1 18508 499 1 13705 1372 1 8913 4351 1 12669 225 3 3550 5870 1 13430 3480 1 10 252 3 16299 5349 1 15788 6683 6 10582 2642 1 13734 5306 1 1463 1324 4 9598 3869 1 5823 6204 1 5827 478 1 9329 1658 3 9373 194 1 4965 7980 1 5104 2104 1 6184 3059 2 2943 1741 2 2571 4573 1 8787 1302 1 2155 2416 2 9919 233 1 6002 381 1 4126 3333 2 11613 799 1 3468 411 3 812 6482 14 11899 1757 2 6406 2009 1 8902 2682 1 13466 1714 4 7769 1184 4 18893 1308 3 6420 2370 1 2156 200 1 11230 589 1 9571 5226 3 18500 1356 1 5724 499 1 7743 3455 1 16825 3518 1 16570 2958 1 11426 1828 1 10138 1705 1 3536 2686 2 16431 2829 1 10927 910 1 18546 2366 1 4681 6914 2 19206 196 1 17781 5348 1 472 2478 2 14616 1251 1 525 6706 8 14275 519 1 19568 1768 2 18197 1312 1 7768 844 1 10311 329 3 9144 6239 3 17966 7881 1 16231 1739 1 13328 4996 1 20219 863 2 6556 2863 3 1635 148 5 10407 448 1 498 1717 1 18132 1324 3 12457 510 1 6228 2272 1 8867 1726 4 14010 1660 1 4028 6021 3 6049 2197 5 13598 1747 1 6132 5881 3 12 517 1 9497 7353 1 11068 5762 1 1629 4014 2 2674 4722 5 13262 2247 1 6724 5844 1 8332 3331 3 1706 864 1 17988 893 2 9857 3838 1 7184 4312 1 3424 903 2 16645 5318 1 15383 6764 1 18992 726 2 18071 3999 1 14716 5005 1 5766 207 20 20189 7750 1 19217 859 2 14014 3425 2 13329 3109 1 19215 2318 2 14346 3669 1 12817 891 1 12925 1743 1 2980 3769 1 17463 5744 1 14033 4239 1 12140 200 1 15400 4972 38 1651 4662 1 1377 1705 2 18462 939 1 4609 5439 1 15426 203 6 15160 3512 2 9009 4242 2 1376 307 1 12670 8083 1 11295 4036 1 4616 3517 1 2526 4599 2 5827 488 1 14663 3283 1 15164 6993 1 13098 576 1 341 7231 3 2715 1190 1 8088 663 3 14730 5260 1 11842 1825 2 4305 3400 1 13898 3414 10 11516 4070 6 16039 795 1 10143 1147 5 13 729 1 10881 4500 1 13806 275 1 6819 1721 1 9510 864 10 11493 4723 2 16792 1363 1 7458 1734 2 16831 3910 1 14685 867 1 18500 3283 1 17092 891 1 3441 2241 1 7980 883 2 12889 2338 1 4898 7532 9 4112 2087 1 5100 1234 1 12623 7937 1 15974 2831 1 11709 2488 7 12115 2468 1 11755 4657 1 20221 184 1 9744 7018 5 6145 8012 1 13857 2370 5 12716 6152 1 6479 888 2 6357 6368 1 1860 530 2 2041 252 8 6217 1548 1 13283 6481 1 10463 910 2 2228 4296 1 16569 907 3 15211 2869 1 5929 2841 1 18014 1369 5 476 1772 25 14149 1776 5 15688 5853 1 5694 197 11 12363 545 1 18082 4572 2 14599 4460 1 18705 1755 1 17685 3979 3 14902 5999 3 11644 6662 2 12541 2881 1 9758 6224 2 4309 2880 3 11196 215 4 2803 443 1 6091 514 1 3700 6706 3 3025 508 1 8192 1241 2 459 3025 3 12821 5466 1 12636 825 1 14146 3382 3 11211 4770 1 15834 521 1 20223 6632 1 14758 4304 1 8055 470 4 8092 297 2 17451 4460 1 2313 7041 1 2980 4379 1 19243 6933 1 20130 7988 1 2980 1193 1 11222 4721 1 5318 222 4 7351 214 11 20120 2964 1 4299 3692 4 16023 3701 2 8259 1396 1 6747 2305 2 2423 482 1 12803 1895 2 14947 825 1 14298 3522 5 10399 1780 2 19026 6341 1 16137 6238 1 9058 2998 1 18296 1241 4 9941 4245 1 18992 1147 3 6776 11 3 13947 1374 2 9629 3693 1 7009 1825 1 1316 1245 2 16638 2600 1 7780 5389 1 527 2447 1 7770 4992 1 4678 1466 10 11353 7116 1 6687 427 3 14690 4992 1 7823 3540 1 12320 4015 1 13787 221 4 10046 203 15 17331 2056 1 19098 184 2 9834 7440 1 20225 790 1 13642 88 1 19850 470 1 9652 838 1 992 1246 1 17196 4266 1 10581 5054 1 15478 1715 1 3178 1431 1 4163 3441 2 6379 203 8 14198 470 1 15235 4623 1 8756 1732 1 9909 385 67 1660 4267 1 16003 765 1 15101 1339 1 18744 8141 2 19034 3216 1 1638 539 1 14233 1271 4 14406 4338 1 4924 223 1 3310 479 2 20162 1303 2 7230 165 1 1357 2866 1 3663 419 1 17127 3625 1 17243 1764 2 8369 5801 2 6131 1770 8 3804 2146 2 572 2089 1 121 1700 7 14362 5051 1 6502 1722 2 15457 1307 2 12804 7112 1 2506 3197 1 16557 196 5 11591 910 1 15192 600 2 8895 236 5 4332 1249 1 19178 1819 1 11216 3758 1 12337 2367 2 19840 8096 4 8082 7920 1 8475 6499 1 16881 1395 10 15504 4403 1 12231 741 2 18518 1705 2 1839 876 1 3218 3486 1 11790 2653 7 17860 7182 1 13613 931 1 10161 2269 1 18324 225 1 10121 684 1 2237 5607 2 3351 395 1 4041 156 30 15802 760 1 17383 1424 1 11354 357 4 15799 2647 1 2442 275 1 7943 6134 1 8231 2772 1 13000 917 6 14722 214 2 17734 718 1 5196 3903 1 7916 235 1 2227 1364 2 7183 1755 4 14695 433 1 9194 2534 1 11343 2461 1 5478 108 2 16684 1322 1 18577 1245 1 8861 1782 10 174 6051 1 15778 7210 1 2322 2649 3 1461 2056 2 8626 1761 1 9834 1716 2 6116 6226 15 4332 8183 2 12654 3072 7 7173 1751 1 19542 5088 1 1040 1706 1 4870 863 3 6196 7337 1 8375 2019 1 6371 356 4 5902 7829 5 8654 2256 3 14800 3334 1 8793 892 1 15208 4102 1 4050 1756 1 8717 3203 4 4561 8026 1 2723 4065 1 10897 6155 11 15424 3512 5 16283 172 1 5388 512 7 9199 461 1 14393 5244 1 806 4963 1 3808 3074 2 2850 8167 1 16297 6027 1 18517 7621 17 12133 2501 3 11054 1250 1 18311 200 2 113 5102 1 835 1961 2 1801 1312 1 17075 219 1 4706 518 1 14755 3621 2 18680 3152 1 17088 1508 4 2284 229 1 17252 1238 1 16651 4312 15 19195 3230 28 2180 1783 6 12760 84 2 20258 2268 1 11805 5355 1 16891 5018 1 2380 5270 1 4107 1374 1 7823 2089 24 13080 7229 3 130 5804 1 19770 1312 1 7179 592 1 2035 4476 1 15648 1721 1 5773 1103 6 19683 525 1 74 3460 2 48 2464 2 14312 318 3 20126 1703 1 18040 100 10 5312 4251 1 3951 3222 3 4716 723 2 14720 2552 2 7432 863 2 2508 4460 1 13543 3837 1 19359 6217 30 220 1164 2 10661 1237 2 11169 7008 2 14612 4204 1 11367 215 1 17644 1245 1 17877 7720 1 8905 134 4 1009 785 2 11659 7857 2 8872 5023 1 2580 7404 1 896 8126 4 1119 7145 2 2834 7388 4 19331 1739 1 5982 4623 21 10395 6278 3 5326 1783 1 11895 496 1 19515 6868 5 19740 8109 1 5674 8187 5 19199 5436 2 18623 5018 152 6565 339 6 80 3620 4 2969 3719 1 11188 997 2 14556 1778 16 14218 292 2 19729 1772 1 5025 1235 3 19781 858 1 18682 8191 5 17424 215 1 14678 952 1 13835 7629 1 296 6064 3 16309 6697 1 10430 2110 1 14512 4526 1 16016 5586 5 2016 214 2 4229 1184 24 17069 2261 1 5945 223 1 8471 6719 16 9310 1421 3 10000 2494 1 12317 1730 4 3521 164 1 18410 1707 20 11541 4618 1 7165 6983 1 12870 6204 52 11985 3592 1 3613 221 10 18385 2767 2 6224 2966 3 16083 880 1 8219 1146 1 10387 367 1 8409 4253 6 4369 498 4 3459 2378 31 9885 524 1 16844 910 12 16121 499 9 17561 2675 3 6154 124 1 1171 215 5 2017 3426 1 3081 2018 1 12315 1374 2 9331 7554 1 7746 6677 1 4667 1820 4 103 1792 3 96 4401 1 14879 1399 1 16205 1663 1 11248 828 1 8572 6480 1 18887 2061 1 14287 5021 3 9669 2675 1 16994 502 6 19535 2620 1 4246 3855 5 7871 2295 35 14549 1296 1 9224 385 1 9891 221 1 8626 2343 1 6790 239 1 12102 5083 1 20157 863 1 19594 5559 5 572 1112 1 14292 2419 3 5212 2344 1 12472 1743 2 10245 159 1 14292 4366 1 7450 201 2 11605 1638 30 15721 2639 1 11801 255 1 10951 303 2 12568 4186 1 6774 1658 4 16187 52 13 1980 186 1 10169 177 1 2739 11 1 7670 722 1 13086 5873 1 2885 7477 4 18867 196 1 393 1324 1 1886 100 3 6987 1718 1 9832 6807 5 1065 4490 2 16253 864 2 11357 1118 4 745 3113 1 14797 1371 1 11591 4285 1 9732 6954 2 7467 1271 1 17 1048 2 13111 1251 1 4337 1768 10 26 1544 8 13553 550 3 16287 5451 1 4552 404 1 9919 794 1 16119 1829 1 13123 206 1 19234 1681 2 4197 220 1 5183 3945 1 14573 635 1 17174 200 1 12250 4280 2 6818 3275 3 20184 1118 1 14606 5305 1 4068 7719 2 11020 283 7 15689 5820 2 18161 1062 1 11323 8108 2 665 1582 3 7868 5804 1 14639 764 2 17219 3519 1 13829 74 3 10549 6252 3 6041 1721 1 18478 5879 1 9890 2284 5 14786 3138 2 17056 6341 1 2896 3059 1 11516 1762 1 9153 2364 1 1795 4393 2 17011 508 1 13469 5586 1 10843 575 1 3491 184 1 10390 1703 8 4549 220 2 13358 532 1 7065 2493 1 8340 197 1 3322 225 1 14061 4059 1 3641 23 2 6228 6078 1 7176 498 3 17405 4020 1 17094 5036 1 19221 2880 1 6089 6341 1 1663 1756 9 20261 1611 1 9084 1247 1 5106 5487 1 824 2089 3 15409 2344 1 8732 203 1 18939 215 5 18628 2791 6 13519 6046 3 14384 6640 1 3950 4949 1 14896 215 2 10741 1268 1 10105 3278 3 6076 7928 1 6813 7135 1 16594 828 2 8808 1721 1 8614 1717 1 18740 1748 1 13922 201 1 18236 1771 1 18829 203 1 15206 789 2 14233 2992 1 5254 4367 1 556 1404 1 4288 1245 13 1752 1095 1 9217 516 1 4240 1482 3 20239 2881 1 1871 215 3 18147 7853 3 8528 2683 12 15648 1395 1 12322 1450 2 3765 2494 5 12208 716 1 14218 304 3 14553 8083 1 4554 1235 3 745 6007 1 14612 7701 3 18730 614 1 5952 2262 2 18095 6761 15 15307 3570 1 20084 201 3 2151 883 1 2900 2014 1 6975 5447 1 10385 2539 1 19249 5220 1 17716 6917 1 14666 418 91 3739 2464 1 4728 3057 31 18263 4024 1 4832 2076 3 1035 2675 1 2230 2104 2 6221 7612 1 48 2399 2 7147 891 1 8730 688 2 13985 3448 2 19718 220 12 12211 3462 2 13710 1995 3 2911 417 1 4905 1146 1 18569 979 1 19649 1247 2 888 870 3 13222 4808 1 17208 7990 12 5778 1632 1 5264 36 2 9374 1721 1 3665 7586 2 10218 229 3 762 6193 1 19169 2419 1 16332 1248 1 1578 4404 1 8074 525 2 8153 1737 3 17416 82 1 10584 1246 4 4076 6687 3 2728 1781 2 1686 7470 2 16189 953 2 4061 235 1 5313 4317 3 13520 2511 2 16297 6738 2 15318 5133 1 13113 197 1 9993 903 1 4899 200 1 11613 707 2 12263 4981 1 79 3537 1 11805 8173 1 18609 221 5 83 3785 1 4575 6228 6 15609 1072 1 8676 3442 1 18323 3922 1 15599 6632 1 7029 1153 1 17207 7411 2 3945 4193 61 668 232 1 14668 3283 1 2546 8065 2 18735 1960 1 65 3189 1 15854 501 1 9919 869 1 3362 8139 1 10554 421 1 7000 2369 1 5637 3167 2 14540 519 1 9421 205 1 16881 7410 1 11938 3197 1 16063 929 1 16514 411 2 12977 411 6 16698 6493 1 4068 8141 1 3322 2087 2 19862 498 2 7297 23 7 5239 1407 2 16126 1819 6 452 2795 1 19551 3061 1 4499 793 1 16518 296 2 968 5315 6 10554 453 1 7633 1150 4 13524 692 1 19211 852 1 56 1239 2 18561 8045 1 14939 184 1 15424 203 12 12573 219 11 16910 7403 1 11208 6541 1 10973 441 1 18371 7216 7 8886 1302 2 1665 5308 4 13332 200 9 20105 515 1 5724 4460 1 9604 3672 1 6249 1021 1 185 5051 1 17486 6213 1 15192 1555 2 17980 670 1 18332 220 1 13306 532 3 4544 7853 2 1802 5036 1 9224 555 2 11562 2558 1 19930 2580 1 389 452 6 12228 5120 1 8435 556 1 3739 1298 5 4018 1907 4 19569 2357 3 10760 23 2 3337 911 2 11160 229 1 4092 5923 1 16547 2396 1 16546 2016 1 1706 5266 1 7285 2097 6 3426 23 3 5444 441 1 12777 1191 6 13148 723 1 9809 805 1 14999 100 1 8944 1770 4 11250 3230 1 4603 505 1 4940 1209 1 16029 412 1 18546 545 4 19871 3399 2 877 7168 3 12817 1303 3 3692 1403 1 12817 436 2 4147 1715 1 460 1748 4 6686 6576 1 13426 532 1 5313 4252 1 9904 2363 1 15203 1248 1 1305 2650 1 8343 206 4 17667 221 1 13392 1015 1 3170 258 1 1706 3511 1 7136 1237 4 925 5018 1 4161 6150 1 11192 2083 1 18665 1850 1 4812 1748 2 10908 206 1 3214 491 1 13546 1235 12 1046 6100 1 2365 867 1 17685 2633 2 18546 4005 6 14191 745 1 10650 1302 1 7823 853 17 18689 1342 2 8345 1747 3 841 1374 3 17878 1729 1 14800 3493 2 1528 505 1 3182 2686 1 9827 7081 1 11346 489 1 19924 3684 1 18546 7511 1 10267 1357 1 1043 2324 1 14633 95 15 2134 2307 3 8349 1399 4 15871 2639 1 13278 2173 3 7824 88 1 14203 526 1 3581 3534 1 7769 4011 2 12041 821 1 15714 1723 2 14741 5031 2 14207 5392 1 8614 793 1 14367 314 5 314 1730 2 7780 3328 5 10396 7 10 8326 1146 3 16700 914 1 13183 2794 2 1801 4097 5 8982 1726 2 1525 3511 1 10168 1769 2 19316 1423 1 14167 429 1 3229 512 3 1083 514 3 15385 1246 2 15055 1660 1 135 6202 2 10379 4658 1 12850 4363 13 2150 222 1 16584 2953 1 5344 6288 1 12817 1719 1 11186 219 1 20258 1719 1 1206 1366 4 8313 2891 4 10757 3287 10 543 2356 1 19981 5686 1 5530 3492 1 16665 4777 2 181 8228 1 10774 1150 1 7948 470 7 16836 5740 1 5675 1342 2 18814 4446 1 4064 215 7 9650 2636 1 11629 2350 5 2917 5985 1 108 4874 1 15368 868 1 5354 1237 2 13275 2082 1 18722 6347 1 13267 2573 2 18984 3426 1 9883 4317 8 7082 3371 5 847 5460 1 14519 8175 4 2818 3511 2 14445 2495 1 15058 1742 3 11156 2650 6 13065 7719 1 2626 4380 1 9129 2363 2 3100 883 1 3755 1761 1 18524 449 1 16914 1407 2 18574 7237 2 15980 6246 2 13 636 1 9246 193 1 12328 5373 1 5545 7244 1 13947 3191 1 14565 5002 1 14000 4807 1 312 3556 3 2195 150 1 4006 1686 1 8083 1244 3 12574 215 1 3488 3522 3 18782 5475 1 7493 234 1 16831 1244 2 4535 1722 6 12105 4312 3 7483 3474 1 18523 1535 11 18860 497 6 7751 2363 9 13666 4460 4 14427 3203 2 19384 919 1 5320 4222 1 6770 7181 9 16526 799 1 8225 3669 2 18287 2769 2 685 1199 1 5993 411 1 7745 3175 1 16272 7491 1 17206 3356 14 2917 1277 3 19606 1593 1 16676 4473 1 11059 1727 1 5996 5664 2 9394 1719 2 9982 1571 1 4223 3333 3 8278 244 1 10360 1582 1 12817 225 2 10885 3621 2 15105 443 4 3329 394 1 4709 1296 1 3485 1731 2 672 7407 2 2509 5258 1 4492 495 1 6997 4699 2 15348 6423 1 17664 1315 1 4234 316 1 13234 506 1 83 3835 12 12858 2316 4 20275 5252 1 14911 5550 2 18862 1881 1 1722 4956 1 10324 7787 7 2009 6435 2 19930 1342 2 15322 2676 2 331 3233 1 7585 484 2 12817 4459 3 4267 229 1 20134 1758 1 59 2701 1 7455 419 1 4662 4977 3 6633 1652 1 1698 6154 1 12104 7750 1 9479 2067 1 2733 1420 1 7017 4529 4 19993 526 1 244 4029 1 5938 5285 1 10645 291 1 15792 215 3 14312 6922 1 10279 5659 2 10188 215 1 17182 4307 4 3704 6339 2 6630 323 1 7577 1734 2 6966 5550 1 16063 270 1 4207 219 1 16700 682 1 19872 554 6 12283 23 9 15294 411 1 19053 817 1 15841 2795 1 4598 1508 1 7203 6892 2 11860 235 1 62 201 1 11786 276 3 160 7294 1 6940 1714 5 6459 235 2 13399 5551 1 9567 3447 1 6193 665 1 9303 961 1 1004 1714 44 16768 692 2 18133 2353 2 17117 4732 1 7917 2998 1 3897 5737 1 189 717 1 3759 6154 1 18438 196 1 6793 3206 12 12777 3698 4 992 1901 1 3355 206 1 12859 207 22 15216 1237 1 10481 166 1 19254 5018 2 17400 477 1 3337 816 16 4072 1251 1 16036 7946 4 13829 525 3 8679 2938 1 4857 1827 2 7956 6557 1 11191 3334 2 4674 6442 1 10550 2675 5 9928 1775 1 18258 6179 23 7586 869 1 17474 126 1 16977 3283 1 1653 1724 2 126 5662 1 2616 7333 1 9319 844 2 7100 1239 2 4469 3425 3 11353 225 3 12501 505 1 12246 2830 1 2098 1473 1 6074 8200 9 12279 5243 2 7946 1783 4 15121 1024 1 4229 1740 7 10201 1357 1 17575 5292 1 16956 667 1 18546 1296 1 8878 7604 3 16863 7397 1 7702 1785 1 7853 623 1 6030 206 1 14218 5804 1 8351 2403 2 74 3432 2 12934 197 2 4739 6957 1 12206 1369 1 2 123 2 691 3619 1 6563 336 1 14079 1775 1 8620 1339 1 15350 8139 3 3636 2139 1 10374 5733 5 11312 239 14 1977 5955 1 9556 234 1 7270 2982 1 942 849 1 4774 1724 1 12273 798 1 1059 409 5 11502 225 1 18382 1338 1 8852 6220 1 5070 5010 2 18613 1762 20 11083 4307 1 12821 5397 1 14196 1234 1 6539 588 1 10052 3634 2 11871 2610 6 17014 6023 2 6090 292 2 13326 6713 4 7669 883 1 16192 6341 2 18837 201 1 10982 2193 1 3776 8096 1 95 4346 1 18071 7031 1 15314 5499 2 5854 2795 1 13302 1755 1 7984 4992 2 11549 3143 1 17227 4373 1 6238 7127 2 4449 1745 6 17395 4853 4 6343 1661 1 1029 367 2 7653 6341 16 11330 7349 1 11736 344 1 18542 23 1 2640 2880 1 9881 702 1 1079 6551 3 11338 196 5 30 1683 3 5108 3922 1 18866 4029 6 71 3304 1 12731 2588 1 17962 532 1 10883 1629 1 3411 201 3 222 1819 1 15368 4487 2 10948 156 2 9815 7603 8 14950 1695 3 12121 1772 2 8177 1239 13 4880 953 1 6806 508 6 5616 6949 1 14424 308 3 18237 505 1 13328 4979 1 19293 545 1 1692 4447 1 18524 637 1 14465 1729 1 16097 1342 1 14135 3891 3 8082 5254 1 13541 3391 3 6598 1342 1 18079 7142 1 456 1770 7 19538 3676 2 18847 642 1 8921 665 1 14530 5522 1 11254 252 2 3585 6482 1 12260 1732 1 14986 816 1 16130 707 1 13323 892 1 12889 1722 1 2556 506 1 9713 7424 3 8326 518 1 19058 1023 3 31 1726 3 3177 5994 8 7311 2981 1 14505 303 1 4828 200 3 5879 1110 4 11820 834 1 15909 1297 1 4728 200 2 1771 38 2 14182 219 6 12081 1909 1 2223 1764 1 19892 4099 1 18757 2328 1 13490 4120 1 18508 7841 1 6503 4582 1 14964 7477 1 13015 5018 15 11192 148 1 2241 1328 2 18081 1593 1 727 3206 14 11616 3382 1 20256 5206 3 130 5981 1 15472 2343 2 470 2809 1 17066 2367 1 3646 222 1 14780 7665 13 8964 1728 2 20180 751 1 18183 2662 1 8831 571 1 13 657 3 14357 2353 3 8264 3855 6 5738 1140 1 1663 3320 9 17418 4436 4 13122 3172 1 9826 1357 6 2995 656 1 16705 8091 1 8997 253 1 17548 510 1 6630 2022 1 4547 1184 1 11826 3987 1 3037 3684 1 19712 502 7 19331 1776 1 747 6618 1 10786 1245 1 14388 7245 1 10675 3333 3 3044 7026 1 11533 6470 6 11430 219 19 20130 8029 2 16490 2555 1 5401 849 1 16458 2534 2 12176 1146 1 8090 6334 6 163 4609 16 6669 5289 1 11615 5257 1 15100 912 2 20103 4096 1 19052 5305 1 3116 4954 4 585 1729 1 5488 184 2 13329 6922 2 14053 244 1 1904 2671 5 18656 801 1 3160 5215 3 10879 5105 3 16732 233 2 14284 3907 1 13429 203 1 6428 1783 1 8182 1363 4 2462 6465 1 16500 2354 1 14000 1761 15 2568 1063 2 14694 1721 1 1560 6644 1 11345 6574 1 2204 898 1 16689 6450 1 2322 7857 3 8695 220 1 7110 1608 1 5290 3945 2 8969 7719 8 16834 3227 2 11452 5245 1 3276 1019 1 14811 3635 1 15369 5031 1 10117 2955 1 19486 3400 2 481 8055 1 10692 186 3 2907 1115 3 3358 4016 1 4970 709 1 9577 4325 1 10783 1903 4 209 4484 1 18111 5408 1 6684 1705 1 6841 4683 2 4812 215 5 19850 827 1 604 3349 1 14992 5060 8 4011 7474 2 4546 1146 1 4486 596 1 4859 2671 5 15587 1023 1 18833 1381 1 6634 4105 5 19401 2563 1 18730 1772 3 3548 3616 5 19707 1154 1 15861 23 1 20008 7411 1 952 210 1 12281 2848 1 9854 8079 1 7245 868 1 17850 1652 2 46 367 1 17953 7672 1 13080 221 1 6332 682 1 2284 1722 1 1764 2626 1 17110 6252 1 2401 225 2 8486 7423 1 13324 7389 1 11370 2559 1 11367 1277 1 5773 5800 1 19251 6620 1 5589 201 1 9364 4225 3 6634 2609 2 9883 3016 1 8636 173 1 6089 5686 1 3079 411 1 11766 506 1 15084 233 2 12682 316 2 19442 3146 1 9790 786 1 19030 79 2 11597 5715 1 15298 3029 4 16033 2927 1 9898 5253 1 11546 1990 1 10359 1314 3 6058 10 2 3703 519 1 14758 4676 1 6997 6609 1 8629 6979 2 15368 1116 1 7193 1363 3 2046 82 1 10132 2240 5 9110 3635 7 1514 2614 1 10521 219 1 7815 5266 3 13083 1235 4 16090 7901 1 8376 6051 1 873 7064 1 5566 610 4 16083 525 1 11388 2297 2 11318 6541 1 13411 534 1 15761 3438 1 10237 7672 1 13301 3400 2 18508 4295 1 6819 390 3 12435 1482 8 774 1768 1 11873 2860 1 14429 3578 1 1712 500 2 15618 3421 1 9235 6435 33 11241 6683 24 62 3024 1 6164 952 1 13272 2529 1 7111 6561 1 14832 3367 2 11899 1756 1 17091 3138 2 10422 1338 1 2143 7534 1 6045 10 2 8223 1041 21 15518 1769 1 1839 1784 1 2531 6040 1 11678 4299 1 5273 2815 1 3301 699 1 5394 7368 1 3059 4332 1 8298 5971 1 4593 671 1 6081 6341 6 16719 3556 1 3504 3399 1 9945 4200 1 7527 6368 1 12640 6053 3 14305 788 1 14758 476 1 2699 5644 1 10693 6555 1 7065 7674 1 15881 696 1 11987 186 17 625 3411 8 8073 4562 1 12292 2352 1 81 3682 1 4423 2056 5 2200 6880 8 2624 2503 2 11295 5353 1 17403 2369 2 12623 1261 1 2962 7999 1 10114 225 2 17416 2938 1 3211 7467 1 18303 6597 1 16816 2280 2 15187 1342 1 11694 3163 6 16850 897 1 2891 7850 1 862 890 1 7005 3634 1 9443 6979 2 3913 5172 5 15518 1235 1 17690 221 7 11654 2964 2 17886 4189 1 19550 225 1 2646 1819 1 5199 5301 2 17 1061 1 15092 3117 5 19090 4107 1 8629 5573 2 4018 1982 2 19649 190 4 12640 1203 2 6123 223 11 5217 221 3 17 1132 2 5873 1724 1 11938 205 2 9281 5516 2 13711 6785 4 16340 1713 1 9394 2743 5 15548 1234 1 17738 270 1 8772 221 1 10730 6226 6 13430 308 1 7029 1768 3 16833 7998 1 4050 200 1 5273 5472 2 1683 8082 5 11901 3491 1 11581 1686 1 19023 4266 1 16138 1509 1 7882 222 1 452 1239 1 15595 2600 1 9873 3067 102 8457 5758 1 9388 3696 1 5375 867 1 7820 883 3 684 1334 1 8615 4961 1 324 1296 8 16483 2507 1 7953 3283 1 1109 1246 3 14449 244 2 13184 404 5 18101 1695 1 2450 573 1 10543 2608 9 18243 2297 8 1091 4435 1 1229 1147 1 5218 2357 1 6742 1768 2 3912 3905 4 15743 222 1 6570 3574 8 19706 164 3 2886 7779 1 388 8127 2 17156 7570 3 9130 573 1 690 1917 1 1773 1764 3 9572 4331 1 835 1867 4 13183 808 1 4472 206 1 1026 2595 1 1421 7205 1 16312 4598 1 12009 7411 1 1522 1246 1 9432 629 1 16039 225 2 5515 1913 1 9810 4132 4 16768 4460 2 10039 621 1 12312 7735 14 17736 467 2 10854 827 6 19795 508 5 8947 3512 5 8489 2457 3 5385 205 3 1801 7814 1 2593 520 1 19026 225 1 19333 201 7 8831 950 1 8368 6697 1 11782 5440 1 8596 2363 1 17010 1686 1 6040 5663 5 9250 665 4 15634 7880 1 10435 2712 1 9256 23 2 14372 203 7 2319 431 1 5508 2161 1 2454 2881 9 7769 673 1 1043 1278 2 14602 2011 1 17682 6700 2 8218 219 1 14798 5814 1 2325 221 1 9463 2588 7 15791 502 1 7552 2338 21 1933 3572 3 9968 1736 2 19590 1390 2 16036 1146 12 1625 4009 1 496 2488 2 4188 2777 1 14993 6053 1 15362 7604 1 10881 644 2 18140 303 29 18549 1726 29 18791 215 5 18082 4446 2 2113 7483 1 4962 508 1 9695 7603 6 12299 197 1 14087 5256 1 13089 3364 1 16281 6897 1 18174 318 1 1871 200 28 7404 3230 1 3826 764 1 5828 219 37 14706 3230 16 17295 1298 1 18536 2510 1 8439 223 3 3351 3949 1 11629 589 1 6339 6902 1 10385 313 1 11365 579 1 16530 3949 3 16767 3686 1 19053 709 1 5681 1755 1 100 4553 1 18269 1717 1 15387 215 2 19348 5820 1 18667 303 1 18154 843 2 7823 2626 14 18518 1453 3 2113 201 1 8437 3203 1 15423 1372 6 10137 1027 3 16180 880 2 9235 4403 2 15666 1239 1 12985 205 4 9680 3773 1 4610 3364 1 17175 2938 1 3278 805 3 9061 2144 2 12531 3193 2 17743 1774 1 2221 5297 2 4860 3367 10 9714 2889 2 7286 156 1 12299 1803 1 1937 2018 1 14052 7643 1 6070 7628 1 11196 203 8 14143 3842 1 18229 23 1 816 7208 1 18488 6341 1 2917 6591 1 5890 2147 1 20022 304 1 4401 1330 17 10728 201 1 9672 1946 3 1157 5018 5 2716 4258 1 1212 696 2 20129 524 2 8623 6793 6 8391 666 1 517 3337 2 9432 5991 1 19670 221 1 71 3310 1 1059 175 2 9525 2691 1 7509 1555 1 16645 1234 6 9431 334 6 11024 6957 2 552 5495 1 13684 1340 1 5669 219 5 17109 6109 1 298 7639 1 19324 1251 6 9761 1147 1 6748 737 1 1958 8184 5 1608 3586 14 14610 8167 1 5321 6669 1 4663 794 2 4092 5804 1 11072 836 2 13743 1282 1 3815 5762 13 10404 3851 1 14038 1399 2 7019 3655 2 6204 1396 1 14600 3333 1 10720 7342 1 6308 215 4 8170 6546 1 17884 2352 1 13055 7857 1 5356 6083 1 14935 5470 1 8793 2841 1 18883 3608 1 12663 4312 1 15047 1692 7 14599 783 1 16694 5325 1 18740 3669 1 15374 705 1 10199 1710 1 4307 201 1 152 6843 1 13669 8184 5 15529 2087 1 767 2591 1 7148 4029 5 12018 2271 1 6348 930 1 6234 870 1 16049 6705 1 14640 201 1 13734 7005 2 1120 3535 3 19267 207 1 19670 205 1 15707 5299 12 18856 7450 1 16232 219 5 19553 2909 1 9816 367 2 1610 4961 4 9572 6925 1 16674 2369 4 12514 1468 1 1904 863 1 13699 195 2 16574 3285 1 1716 201 1 8108 4653 1 18103 173 2 9421 6251 1 14097 3900 1 14617 7473 12 9185 943 1 2625 2649 2 6403 392 1 5370 4176 2 16296 1078 2 16408 6450 1 18281 2683 2 12820 778 1 17479 6913 3 13615 3851 2 15314 1241 1 14165 6204 5 18604 6091 1 6222 6164 13 17959 8195 2 3887 2357 2 6333 5243 1 11835 6081 2 4005 6723 1 4142 219 4 7750 1681 4 2221 3596 8 19655 8081 31 62 2968 5 713 6396 2 10160 1752 2 164 7433 1 6425 6754 1 9761 2646 1 17291 5018 2 4440 2729 2 736 6288 1 17389 1374 8 12501 1686 1 16914 1249 1 778 2062 1 13405 7313 1 6281 6031 1 127 5729 2 15688 6484 1 11552 3599 1 311 5020 3 7682 652 1 16408 1045 1 19272 4280 3 5326 2970 1 18931 1271 2 17063 7142 1 11613 243 3 1914 509 1 5685 219 1 19326 1250 1 2197 2522 1 5903 3333 6 12213 6659 1 1121 7355 1 13461 6204 6 4723 6806 1 3521 7437 6 3570 6602 1 1498 916 2 16196 4288 4 9250 811 1 17548 894 1 6457 99 5 3487 2686 1 93 4189 1 3821 366 1 12719 3391 2 6144 4245 1 18465 1687 1 2911 447 6 9167 818 1 15529 1289 4 13083 534 5 16916 7529 1 2194 243 4 12003 23 3 10 260 2 11678 2511 1 2134 4435 1 2643 6068 1 873 1119 1 9594 1761 8 13038 3898 5 1865 4352 1 9724 534 1 18947 7740 1 2403 1269 1 11467 673 1 10159 1301 1 5310 872 2 12895 4041 12 14800 659 1 20210 5444 1 12152 1307 1 1698 6229 6 7417 8054 1 11377 6555 1 16189 810 1 3280 4142 1 10380 280 5 13510 4458 1 20256 7632 2 15062 5297 1 6008 108 2 7943 1658 2 15237 5005 1 7943 4022 3 19115 519 1 1044 3660 1 9714 2512 1 6869 3596 1 6867 917 1 19286 3275 1 19500 1244 7 3505 1146 1 8728 691 1 5859 1707 2 10313 7859 3 889 893 2 10815 258 1 127 5740 2 5953 3233 1 6867 828 1 9853 6538 1 63 3049 1 4606 164 1 6063 499 5 2255 127 1 7452 2911 1 14142 2569 3 13202 4092 23 19881 2357 1 11301 1150 1 12190 642 2 9998 4447 1 1625 3798 1 7264 883 4 11757 8041 4 20222 6278 1 700 6748 4 8309 1782 7 2917 2000 1 4804 95 6 19158 7404 7 5202 745 1 1086 1827 1 5163 8143 1 18320 1363 1 286 4056 2 13058 6480 1 17041 203 1 11296 1479 1 1695 200 1 3045 5321 1 5227 5041 3 18787 1401 1 6726 699 12 10622 7244 3 15917 1283 2 9250 690 3 11912 359 1 11786 743 1 2568 3073 4 5708 2614 1 17809 1245 3 5591 3106 5 8396 219 2 7076 1788 1 7991 5022 1 992 520 2 1328 502 2 5010 5120 1 4941 4303 1 12881 911 2 6628 3081 4 4330 3972 1 12717 4370 1 18575 1729 1 17972 7829 1 19491 470 23 2772 1341 2 19763 79 3 16475 203 1 17120 229 2 19088 2829 1 3582 1732 2 13234 1954 1 10391 1752 1 6354 7231 1 9765 883 19 2902 1781 2 787 2686 1 12499 1242 1 8104 3798 1 3509 23 1 14059 1138 1 9657 5333 1 10787 525 1 4428 1582 4 17328 2428 6 6655 11 1 11622 616 1 2905 2382 1 2776 8195 3 10465 1244 3 13829 1275 3 1911 3371 3 4891 4291 1 11766 36 2 14400 506 1 8078 4363 1 18097 6943 1 19584 3351 6 16236 1734 5 19104 395 1 9873 207 12 6229 235 1 10252 1290 2 18037 3497 7 2127 3666 4 5444 2626 16 15000 5018 6 16961 344 1 10554 5862 1 11086 1243 1 8022 792 2 3209 1961 1 2522 23 1 6907 2488 1 8727 156 40 17785 173 2 17809 498 5 222 4231 1 6574 532 5 18340 491 6 6063 3285 1 17953 2248 10 28 1661 1 2087 297 2 15237 7298 2 18818 4436 2 701 2662 1 17379 402 1 1705 2517 1 8526 1757 1 4049 929 1 3712 745 1 6697 6001 9 13765 3138 1 16111 985 1 9395 225 3 12549 6683 1 10529 2675 1 8888 23 1 8082 2014 1 7024 5961 1 3925 244 1 6853 823 1 2818 6139 1 5318 190 4 16597 2678 1 17133 200 2 5613 7411 5 975 215 3 171 7721 1 15091 173 3 171 7808 1 18460 1737 8 11805 8166 11 12440 690 1 3420 3685 1 8419 4306 1 17080 5951 1 1266 200 1 7800 1649 2 10478 765 1 19500 1247 21 13032 7100 5 2571 2273 1 10766 7096 5 8967 3531 1 179 1722 5 13621 447 1 7445 1768 1 1091 2656 2 3430 6334 1 19872 3050 1 17 1123 2 2885 4540 6 9774 2682 2 16574 4363 1 7766 3899 4 9778 796 1 20087 3438 1 4420 6719 5 15732 3393 28 10283 1698 2 18323 245 68 10374 5663 5 3826 575 1 9188 2608 2 17638 728 22 10399 4792 1 1551 1756 2 3013 6746 1 18805 5436 1 15094 1188 1 12238 1747 4 4357 4264 1 3613 411 5 10849 6515 1 18386 803 1 1453 1876 1 16622 6652 1 1384 1742 3 9332 1484 1 12176 1763 3 12995 2062 1 18523 6449 15 10434 6731 5 17416 6993 1 17965 726 1 7378 3208 5 17507 576 1 3817 3230 1 18243 4732 9 3841 719 1 13035 6084 1 8907 200 1 14412 203 3 2213 3583 1 1227 78 5 777 3070 3 12638 5737 3 1149 1827 2 8410 8141 9 8380 4936 1 873 417 1 13411 498 1 19950 84 28 1794 328 1 19030 4289 10 11574 187 1 15712 5488 6 7143 13 1 15896 2626 9 13909 7184 1 14432 7388 4 12718 2675 2 9802 2555 1 3863 2675 1 3440 1342 1 10152 2419 1 7147 5516 3 11606 394 1 17477 1747 17 40 2094 1 13910 3586 1 9859 1019 1 2338 4903 12 1551 4367 2 11614 7995 2 15217 5195 1 17753 2555 2 11562 6171 1 4547 4403 1 10839 1721 3 7566 2357 1 18833 470 9 1500 1363 1 4868 237 2 10317 5285 1 8751 4342 1 6694 1573 1 10160 545 2 17815 508 1 4518 1877 3 10918 498 2 1838 13 1 693 5468 1 17850 207 10 5449 718 1 18676 1367 1 7333 4972 1 2295 7411 13 3665 3334 1 2749 995 2 2471 3230 3 17331 7850 1 563 82 1 3718 6102 1 996 943 1 14791 2552 12 6674 1147 1 18099 7573 3 11009 4215 1 19094 225 2 3750 982 4 15730 2728 1 15796 201 2 18702 252 1 9763 2262 1 9142 5120 2 7379 4179 2 14502 4407 12 1631 3327 1 12077 3747 9 11353 1361 1 13834 1364 1 18271 173 1 4124 6167 17 9816 2519 1 10468 2004 1 16046 7891 1 1330 2219 1 4414 2571 4 6276 843 1 4483 1244 1 8441 6091 1 13586 3134 2 7994 689 2 16087 4352 3 2740 336 1 17 1098 1 8499 3422 1 12704 1659 1 18040 1251 4 16490 7229 1 4851 506 1 1341 7210 1 4788 1778 7 5205 5260 4 8401 6028 1 11913 3434 5 10658 1235 1 6642 3132 1 3416 842 1 9604 156 2 13896 7229 4 2361 6680 1 1183 5480 15 14273 5295 1 9535 173 1 56 2674 1 2280 1729 11 9917 3970 1 8057 7149 6 5624 6486 3 10115 670 1 10883 1355 1 2917 367 3 6942 497 1 8762 4369 1 6867 3378 1 974 498 3 11014 6645 4 15864 1729 2 4249 506 1 12918 214 1 1602 219 1 8385 5575 2 6596 3230 3 8284 6632 2 5246 232 2 10362 5265 1 6982 470 1 17246 225 2 13922 3556 2 18596 1470 1 7177 1812 2 16987 4325 1 5602 1357 2 3606 1787 2 1705 3710 1 587 676 1 15940 3608 5 4597 1361 1 11530 1685 5 6533 2123 1 17135 1237 1 13786 8141 13 17166 1369 2 1175 2632 1 15281 518 2 9759 196 1 15367 6278 10 6570 596 1 13299 2626 1 14151 712 1 18741 6662 10 10117 3837 1 1171 4403 1 11484 4622 1 6265 1819 14 7948 1275 2 3195 5445 1 5725 934 2 2886 6440 1 17039 4739 8 1703 1748 1 13225 4963 2 2629 1778 2 2899 5356 1 10078 891 1 18431 3076 1 19549 2680 2 159 7260 7 13860 528 1 349 3603 2 5700 1722 1 1771 171 2 10088 220 2 10846 2439 1 113 2257 2 2284 7862 1 13013 3399 1 12627 1909 7 16831 514 1 6889 6108 1 17631 200 1 995 496 5 17478 8100 1 15325 7403 1 14522 641 1 6070 2591 1 471 7332 1 13537 3378 1 20123 4970 1 8967 4727 1 14853 4274 3 11890 1796 3 17184 916 1 7109 3050 1 822 46 1 18357 173 1 3337 4674 2 787 1756 1 9110 2401 1 17331 200 12 7384 7210 1 15473 689 1 6781 3540 4 1065 3787 1 5617 2009 3 10555 3492 2 2598 4661 1 157 7200 1 2111 5346 1 16231 3395 1 11798 38 1 143 6540 4 7535 1400 1 11445 1455 1 181 8252 1 7755 6534 2 16548 3016 1 11769 5051 1 8532 6219 1 14644 7565 1 158 2447 2 12253 1940 1 16251 1987 1 16137 6086 1 41 2153 1 9401 222 4 19899 1007 14 18797 1395 1 3020 6064 1 5032 206 2 12493 225 1 7496 7235 1 13594 2651 3 17231 6141 2 14145 2268 1 4628 4961 2 7354 57 1 17580 2363 1 11971 1755 1 7838 670 2 17736 881 1 4327 7719 4 5884 1739 2 3519 7096 1 16289 4249 2 13412 7217 3 11775 3305 1 18307 201 1 17548 624 1 12807 201 8 5356 2493 2 15650 7440 1 13730 7987 3 12399 834 1 6191 403 3 14973 3276 1 12375 785 1 10360 1193 1 1631 3048 56 10554 656 1 1963 2656 1 14151 1190 1 11889 1819 1 4989 512 1 17403 381 1 11165 1751 1 18382 3798 2 11430 200 17 10766 1788 1 7184 471 1 3138 4929 5 9868 74 1 7060 7652 1 18311 223 1 64 3077 8 3029 7240 3 10821 2964 1 4305 639 1 8203 219 2 10458 2970 1 16571 5757 1 13983 525 1 19182 2023 1 756 1951 1 13963 196 9 17180 7412 1 16063 2424 1 12322 225 3 14609 1729 2 12112 3569 4 8825 8194 1 171 7647 2 7904 443 1 19439 203 1 9208 5048 1 17273 6402 2 14552 148 1 17710 1784 4 6232 6713 6 7789 7420 1 4055 641 1 16809 222 1 15101 3964 3 1801 6167 1 4018 4398 3 1371 1450 5 7739 232 2 5866 4006 1 10916 5763 1 5778 2651 2 17608 5066 1 8793 636 1 18206 222 2 20221 8178 7 1881 2396 1 2135 1955 6 16026 1271 1 6459 8194 9 4572 1732 1 1510 4015 2 3719 219 4 19461 1112 1 314 541 2 10329 7853 1 3945 910 2 14770 723 1 17586 517 2 8051 7079 1 15159 3898 1 12795 3146 2 816 2133 1 11622 378 1 7193 2584 5 16718 222 5 296 6067 2 12777 7556 5 4307 647 1 17137 5874 1 143 6666 3 10290 1751 1 4860 2645 1 20174 5444 6 11084 2777 4 6642 230 1 601 1342 5 115 5145 1 3057 5909 1 5380 1770 5 11758 3666 1 15535 3138 1 4097 252 1 7 217 1 1605 7593 1 17913 23 1 9708 7300 1 1642 528 1 15120 3980 1 1853 8002 1 11297 1769 1 8939 5105 8 11461 229 2 17506 4252 1 12297 5607 1 5653 1747 3 12025 3308 3 17578 1253 12 9894 3715 1 3871 1243 1 1334 2801 1 713 532 1 13909 5487 1 1379 3845 1 2674 1774 9 9974 3491 1 140 6461 1 17549 1692 1 18876 810 1 8585 4266 2 2135 1245 3 16624 4427 2 12595 1722 1 17580 215 1 11957 1768 5 6099 330 1 5453 1328 11 8074 1239 2 10064 502 5 7286 6510 7 8151 2354 2 7498 1539 1 11384 5825 1 19160 2678 5 3561 390 2 14233 496 3 7360 537 1 16674 6051 1 13030 2493 1 15931 3222 1 11933 2698 4 3485 1450 1 2345 3351 2 11786 6603 4 9323 186 2 11412 7254 16 6867 3735 1 334 755 13 10862 6683 1 18705 336 1 16481 6684 1 2646 1661 1 19448 4267 1 6752 657 1 10698 231 1 13554 7831 26 5363 690 1 4023 4299 4 16965 1248 3 19760 3596 5 8013 3536 1 11706 7606 1 13829 1778 1 15092 525 4 16393 2661 1 1671 8194 5 16328 2103 1 17099 5325 4 17460 4262 1 7986 1238 2 12713 23 5 19334 5137 2 12971 2372 1 4740 2724 26 15573 2262 1 11418 843 2 18982 6512 1 657 1730 1 3653 5499 1 12826 2507 13 373 225 1 5453 235 14 15804 4660 1 13358 6747 2 12962 225 1 16895 3456 2 14120 7146 1 19807 3600 1 9337 648 1 11353 1328 1 6089 2662 1 19336 205 1 916 718 1 14684 899 1 14053 293 5 1198 2883 4 19872 223 1 11959 1023 1 1349 221 2 16431 4603 1 9745 3715 1 17369 7980 2 5523 2516 1 4216 490 3 14829 6550 1 9354 2362 4 13305 8183 13 19868 1695 1 9616 1691 1 4952 7433 1 4126 1768 2 1981 4979 2 5258 3643 1 7500 4972 25 5738 2784 10 13405 5301 6 8923 385 1 12856 1924 5 6781 3146 6 11030 2646 1 18945 303 1 4545 2569 1 7080 5883 1 6894 249 1 15682 7005 1 15139 1341 7 887 6435 2 10283 6408 2 6892 759 1 19826 7719 1 11604 3547 1 8730 899 1 79 3560 5 11195 1727 1 2385 4085 1 3996 431 2 13646 3011 1 6061 2220 1 7273 7542 1 3242 2422 1 692 5243 1 18866 1825 22 7034 2764 3 7946 4764 1 7348 1990 2 5454 3175 5 14208 6269 1 8786 2027 1 10553 6358 23 15398 570 1 13864 578 1 5174 1772 14 14995 6743 2 19985 7615 1 10213 509 4 8518 5077 1 6928 8139 9 3243 1245 1 6630 1441 3 6183 512 4 873 327 1 1889 1769 1 7251 1363 2 12052 190 3 9701 711 1 10381 3619 3 883 3593 1 18806 2508 2 2348 4383 1 13076 1698 2 11307 173 1 12433 8026 2 19342 5048 1 9256 6706 2 2883 1825 1 9660 2760 1 10649 4555 2 14162 4018 1 12592 5903 3 399 6322 10 6690 3227 5 12230 3065 2 7446 712 1 9924 5559 3 3772 374 3 5299 7474 19 4758 3697 1 7728 3615 1 6112 1606 11 17608 3079 1 6857 5139 2 16310 348 1 17088 3230 5 4240 206 3 7754 2730 1 10970 5248 1 16762 8140 1 10146 2953 1 2204 945 1 13384 1295 1 6275 271 1 12328 5372 1 10679 201 2 12934 1741 1 5018 3230 3 12982 2256 1 15520 88 3 14059 1329 2 5805 6140 3 8088 4531 1 7812 314 1 13426 1482 8 19968 2831 1 11444 1610 3 7426 7256 1 3189 8045 1 65 3166 4 5461 4915 1 5597 1384 1 15895 6482 1 17011 227 1 9999 3705 1 16083 223 1 18204 220 4 7883 347 1 14946 4597 3 19537 8194 1 9160 502 2 9112 2478 1 8518 3089 1 5161 1037 1 12024 1252 2 14887 1501 3 6016 189 1 12783 745 1 413 1603 1 17229 1819 1 427 7421 1 17736 856 1 17808 525 3 11987 1241 2 20148 3405 3 17226 23 5 8478 274 1 16378 232 1 5287 6330 1 11465 536 2 3701 5022 1 2441 1993 1 10948 6502 1 7452 917 1 17494 7021 1 9465 7234 1 9462 7629 1 4147 1290 1 19455 1275 1 3885 888 3 3971 4996 1 14612 3134 1 8798 184 1 16613 1760 1 10936 2935 2 8010 7250 6 3015 4107 5 15307 2146 2 18538 1819 1 6549 4060 1 10283 1595 3 5499 498 1 6530 1819 1 20154 8031 17 14928 472 1 13928 1703 1 16148 3998 1 17405 4383 2 2699 7998 3 16393 3338 9 14784 173 1 16084 2348 7 4056 5309 1 17392 2949 1 2980 1093 1 392 2251 1 496 3399 1 16124 6150 1 6848 1242 1 6644 299 2 3404 382 1 3644 3233 11 6332 892 2 8391 899 2 14144 2678 1 11028 5700 3 1745 4563 1 6180 7511 1 9055 2508 1 12009 3425 1 19246 3203 6 143 6502 1 9168 1245 1 4615 2268 2 48 2459 4 19641 1727 1 2886 3837 1 12291 1593 2 7127 1250 12 1028 1184 1 16929 1724 1 8608 206 1 14764 5074 2 19872 6533 1 10062 252 18 17143 203 1 18822 627 1 12362 411 1 13593 2863 5 12935 1245 1 13390 4312 2 8884 4620 1 4423 5206 6 16370 8178 4 3924 489 8 16539 1747 2 1633 23 3 4243 1658 1 161 7354 1 3000 6576 4 682 520 1 19758 200 3 632 7259 1 3801 6213 1 18781 386 2 711 1703 1 17550 1076 2 3279 1819 2 13882 6754 3 10687 2056 2 2313 6949 5 3806 910 4 12523 229 7 12064 1772 2 4275 3320 2 10218 3615 1 5653 3175 3 6564 502 1 7990 341 1 10814 1721 1 19324 201 26 10326 4325 1 7455 7857 1 2447 4013 1 18056 7874 1 16810 848 1 14710 2800 1 2523 3879 1 18041 6618 1 3975 398 3 8299 2415 2 15054 6943 1 15998 6706 13 2560 517 45 5029 1147 1 15510 1761 1 11239 625 1 9498 1241 1 3322 1819 1 15225 4333 1 13351 6471 10 18381 1705 7 10642 3638 7 13440 867 1 2322 308 2 470 84 1 7962 1236 2 16231 5879 1 18278 6139 1 13107 1245 1 388 6596 2 17321 973 2 6926 2118 1 1133 7366 3 5532 5719 2 13216 1686 1 4789 460 2 13370 15 1 15364 636 1 2343 626 1 3853 516 4 7780 1150 1 19732 1727 2 11084 7229 4 9102 416 1 15229 5537 1 6298 219 3 5058 531 1 19468 6355 1 12433 3389 6 4018 1931 3 15785 318 1 13537 8099 4 15827 5672 1 12315 2792 1 15471 4139 1 15298 4325 1 12856 4618 5 6418 937 3 11521 2004 1 7968 441 1 1388 6231 1 10242 184 1 14733 6053 1 6405 6406 2 19737 6152 5 10948 874 1 15704 3179 1 18441 2085 3 18746 1257 1 54 2612 2 18696 1764 8 7663 705 1 151 1250 8 14262 1251 1 812 7911 13 16956 2014 1 14305 666 4 1301 202 1 10838 3084 1 14410 3511 3 9632 197 12 15867 3361 1 1830 2645 2 697 6207 5 4805 5018 1 9396 1247 1 782 5386 1 4492 1239 1 8678 7518 1 2141 2675 1 6749 6090 1 13349 2831 1 17078 1729 1 17507 1290 2 1515 3892 4 16310 275 1 7712 6943 2 12350 532 1 19272 442 1 9153 8192 3 19026 6150 1 19182 1242 1 6796 3869 1 3923 201 65 5088 1244 1 5811 4515 1 3156 4954 1 7480 3637 2 13159 3463 2 9714 4489 1 314 3576 2 8544 1775 10 5471 1629 4 9885 200 1 7132 7474 3 19017 7964 2 5430 411 1 11411 495 3 1394 1981 1 14491 5350 7 19745 7407 1 11003 4998 1 16916 1732 2 13021 676 1 7369 203 23 6449 1715 1 3397 3684 1 11072 514 3 8969 1251 1 7560 1251 1 2473 2877 1 18334 6534 5 14626 2483 1 1565 4189 6 187 3634 1 7871 519 4 5977 2013 1 17184 4023 1 11692 3686 15 822 1152 1 8798 365 1 6244 1748 2 16636 1240 3 6701 4721 1 727 2953 1 2770 7841 1 3391 3366 18 9901 5020 3 17682 3167 1 3085 4280 1 9188 4459 1 8982 2865 1 4716 1251 1 10361 1748 1 4057 5187 1 4279 4672 2 8809 177 1 4935 5607 2 10684 532 1 8939 2675 4 12337 156 1 18056 3626 2 3246 6511 1 17184 177 1 15778 4561 1 18569 306 4 13 873 2 8303 8141 12 19223 1184 2 19846 2488 1 94 4325 2 11530 833 1 16998 225 1 134 203 5 9080 1752 1 12208 1169 2 8060 5445 2 19601 2983 1 2740 7839 2 6740 126 1 6809 514 12 6776 1909 14 17844 23 1 13197 5253 1 9982 518 1 499 545 4 5170 338 1 14369 1482 1 17464 5243 11 5881 7542 19 13916 4176 2 4254 525 1 8116 512 2 1064 1695 1 8965 1720 1 2398 4580 1 787 498 1 7819 197 1 7507 2107 1 5573 595 1 14214 203 5 6438 1656 3 157 7190 1 12817 8081 1 7574 5016 1 5662 502 6 873 550 2 2620 1770 4 3871 1745 1 15016 4623 5 10478 3547 1 20251 745 1 17159 167 1 12000 236 1 7474 8126 6 10560 1812 1 18476 3367 1 9268 589 4 2598 11 1 16575 200 2 14867 7259 1 18225 867 1 11549 817 1 12715 1244 1 6776 2675 8 86 3928 1 15989 2883 1 1433 1743 1 1389 4761 1 12003 203 1 14800 2875 6 14053 7275 5 19862 201 2 8300 1342 6 1172 8013 1 3234 1825 1 5458 6695 1 11766 84 3 11268 4623 1 20133 1241 1 8767 477 5 5964 3315 1 8008 242 5 2428 463 1 14028 5351 2 1686 6335 3 20029 2959 2 1499 1624 1 4267 3600 1 5337 3222 6 14196 1184 1 8227 1450 1 1816 7534 1 12159 7466 1 6319 7296 1 11430 1756 1 11276 1271 1 10729 2428 4 608 7626 1 1964 4266 2 8343 1205 3 17533 7317 1 15128 6334 1 9392 508 1 9589 6226 1 14773 863 1 16076 1762 7 11 394 1 1137 718 1 18419 3742 1 15568 3146 1 11776 506 3 4277 409 1 9434 6062 1 8751 3168 4 5596 225 6 8438 724 4 20107 7911 18 15316 844 1 12713 470 11 8948 828 1 12311 3522 2 11714 837 1 12250 4179 1 17362 7815 9 3005 3703 1 8627 507 3 20195 2889 1 62 2871 1 6840 912 1 8389 7308 5 18739 6368 8 15778 3747 2 19649 498 2 3403 6187 1 9446 1338 1 18852 200 1 8710 1724 1 8751 10 1 9322 647 2 2716 156 2 9725 363 1 8368 6409 1 5745 3231 1 15451 303 57 7024 5879 1 15281 6342 5 10916 548 1 19655 3020 4 4688 690 1 4311 3645 6 5086 6640 1 19064 157 1 4597 3878 1 16021 7420 1 9869 6105 1 7577 1438 1 9759 6286 1 13032 3723 5 6630 6164 1 14059 4673 1 4186 4950 1 13241 4312 7 16100 5922 62 11204 2534 1 16238 220 2 17954 4336 1 16109 1453 5 12989 1090 2 19532 2834 3 467 1761 1 6991 6150 1 13430 1721 2 13880 3873 1 2445 5523 1 8383 534 1 10183 526 1 10539 1814 2 7809 912 1 9250 829 2 10783 2488 2 14708 2324 1 17000 6513 2 20161 7237 1 8361 2534 1 14296 7408 1 17083 625 11 6857 1324 1 18546 1253 1 5357 447 6 10436 2388 1 4335 38 19 8849 693 2 15396 7823 4 16720 3442 1 14748 5878 1 11503 184 10 10526 880 1 1852 508 3 17781 1235 2 4602 561 5 944 1642 3 9387 1557 8 3663 3855 1 5532 7013 1 17725 4482 1 13130 1363 1 2827 3450 1 6361 207 3 16006 398 1 4654 207 1 11194 1747 1 11775 3311 1 12702 1272 1 7956 2252 1 20209 2609 1 17 1095 1 3815 2582 2 16569 1261 4 4082 1757 1 8921 201 3 10327 575 8 5216 3905 3 8198 3697 2 18729 2354 1 18193 496 2 5369 3803 1 1315 1781 2 3696 4621 2 10573 2584 5 496 23 1 11312 521 1 18575 173 1 3402 7255 1 9469 3980 1 3168 218 6 4305 5298 3 847 2383 1 6771 1396 2 14517 4020 1 13894 2569 4 12187 443 3 18421 215 2 17767 541 1 19613 2087 6 9178 863 1 14306 230 3 13791 7578 1 17918 3406 1 18833 156 1 7215 578 2 10387 1249 1 15610 646 1 1730 4905 1 16671 5959 4 2186 1238 1 19901 6570 2 8022 8154 3 19056 437 2 15895 734 1 14227 7522 5 5893 82 1 3029 2478 2 17073 1718 1 12917 3333 1 14814 4343 1 12572 203 1 8328 3392 1 2213 1175 1 5491 7586 41 7710 1357 3 17287 7841 1 16578 4303 5 11854 4394 1 14828 2291 9 16222 316 1 8767 215 3 3759 6143 1 5208 3460 11 2212 6330 1 16263 3621 1 16960 1374 3 10440 4325 1 20 910 2 13167 3323 1 17331 4435 5 1324 1312 1 14771 1663 1 787 6533 1 41 2145 2 4799 7921 1 7034 6868 1 1013 7695 1 3485 232 1 9171 1990 12 7974 225 1 85 3908 5 12359 3233 1 9482 200 1 2899 3333 1 7017 1654 1 11156 6176 3 3699 201 4 15761 8201 1 18089 5758 2 19957 2712 9 16531 4585 1 8405 3232 1 7453 2550 161 17121 252 27 13582 4363 1 7206 4252 2 10102 1990 3 2911 2746 2 15750 857 1 4137 4411 65 4135 844 1 18171 3591 1 2036 477 1 181 5262 2 19910 3071 2 16775 607 1 17644 1328 1 17151 3177 2 7473 2662 1 8789 1201 1 12904 1239 1 18071 14 1 1885 7850 1 12990 2864 1 6861 2056 1 1262 1727 2 11882 1277 1 8643 575 1 16236 1718 5 12569 4597 1 15081 7401 1 18614 5393 1 1803 2131 3 15691 872 1 5378 508 2 17506 4903 5 16090 6398 2 19568 520 1 10327 3288 5 13570 5286 2 8793 595 1 11428 2254 1 14218 2104 1 3686 3138 1 14810 525 1 5908 517 1 8710 6541 1 16185 1332 1 7355 4528 1 7599 2653 2 17820 1700 8 13851 7621 1 745 6415 13 10162 2167 1 15419 1395 1 9656 6083 1 10418 2724 1 2190 2969 9 5952 3081 5 2971 3787 1 9660 1524 1 5624 3074 2 354 1751 17 14051 2799 1 15073 7980 4 17390 7853 4 7825 2487 1 2801 679 3 12464 1357 6 8995 1363 1 13233 6548 3 14786 1342 3 19542 5024 1 12138 1450 1 16548 2505 1 3582 1333 1 18742 230 1 3972 5536 1 6045 1245 2 3309 545 2 12521 603 1 3003 3909 2 18334 5419 1 8890 222 1 1568 2915 1 9237 1781 1 15920 1728 1 20016 1734 1 11786 792 3 19651 1482 15 432 172 2 9789 2635 1 9955 203 2 17527 215 24 15362 2114 3 6416 1818 1 2628 2569 1 6275 6268 1 14622 1157 1 11504 7815 2 1993 3531 25 7727 190 16 1555 3366 1 16354 2647 1 12278 1305 1 11678 3373 2 3000 3645 1 11585 4014 1 13339 2958 1 14037 844 1 10935 519 2 7280 2552 5 153 4022 1 17954 5517 1 14896 910 3 9377 3263 2 19458 2478 1 3338 3233 1 12294 1736 2 8268 1753 4 1702 1249 4 7876 2496 15 8088 696 1 17911 33 1 13619 867 1 5082 1173 1 124 5514 1 9063 753 22 2730 2016 2 16557 13 1 15980 6184 1 19781 2146 1 19853 1312 2 5870 4395 7 7663 499 1 18733 5699 1 15776 3923 1 1894 8194 1 10639 1751 8 8464 1261 2 9061 4635 1 3606 1718 1 3861 505 9 2720 4641 2 11529 225 1 10075 3017 1 4906 1825 5 18247 34 1 10508 1764 1 9215 2016 1 4873 5255 1 4688 588 4 17127 201 1 4882 7076 1 9986 5219 2 6932 3492 1 8425 201 1 2928 1249 3 16831 2958 1 7184 236 2 11131 1286 1 5246 960 2 7107 2619 2 4100 221 1 8814 2351 2 4616 2833 8 5881 1146 16 2367 8148 3 16837 3676 4 13050 844 2 1969 6008 1 3676 2668 6 9465 6691 1 16819 7719 4 2015 533 1 4255 231 4 4267 2356 1 2103 214 3 10308 4245 6 18350 975 1 14612 1757 1 3581 6663 1 3484 2385 20 3306 1103 1 16036 6031 4 18060 11 1 12186 995 1 3481 6099 2 17988 304 1 888 905 3 12279 7410 4 8273 6237 3 10064 8183 8 7491 503 2 7531 6107 8 16588 2444 2 16381 2750 2 12329 4333 1 15970 6698 1 14221 497 1 19428 333 2 1130 4554 19 18646 1751 2 10918 723 1 13483 4373 1 7147 4343 4 3607 6699 1 6078 481 1 19371 7895 1 16924 3850 3 137 6287 1 10102 4635 6 10017 526 1 8580 8029 9 15108 6039 1 9093 2981 1 3123 1825 14 18432 201 4 19039 1501 3 6644 1437 2 7445 506 6 4320 236 1 135 6098 3 17576 3337 1 19098 207 2 7028 8141 5 35 1883 2 3830 2618 1 1432 1245 1 8315 194 3 944 2881 1 12225 1244 11 2980 666 2 7533 6027 3 8250 6623 1 3916 368 2 2834 4342 1 5293 1245 1 2718 222 1 16762 219 2 17789 6754 2 1966 60 14 5977 1239 2 5388 534 3 8597 6320 1 174 8023 3 3835 2878 1 8316 3278 2 484 3800 1 4073 2675 1 717 3691 1 13162 874 1 15743 235 1 4579 203 2 3521 1721 1 17268 7623 5 8695 214 1 5960 3048 1 10662 6702 5 12299 2555 1 11 467 1 16378 1244 5 8316 1166 1 5460 2748 1 5630 4567 1 2012 1312 1 10788 8057 1 1969 1235 2 14769 1234 1 12915 320 1 7082 7886 3 10105 6080 1 17954 1345 1 113 5067 3 12386 2396 1 3876 8194 7 955 3511 2 19963 1827 21 10591 988 1 4072 5252 1 11769 364 2 10245 5730 1 12287 2792 1 296 982 8 10160 4129 1 572 5996 1 9472 1968 2 12561 5262 1 9154 7127 1 11988 4992 2 13894 2810 1 12169 3065 1 16881 7947 2 12682 803 1 10720 4420 13 8198 3858 1 5261 201 6 999 6192 1 9660 3599 5 7751 2262 1 3340 2958 3 16266 6091 1 15820 4297 1 2087 3425 1 12775 1666 2 16471 314 1 2960 207 1 7440 221 1 15967 4947 1 17331 4916 1 11444 1655 2 10828 6743 10 7403 1743 2 12777 95 1 9760 74 1 3447 8167 1 10510 5114 1 3813 4716 13 16649 524 19 6597 6482 1 7312 411 3 5010 5758 7 12144 6252 2 13244 350 1 14268 6241 4 7306 935 1 5211 1296 2 15075 792 1 13332 221 4 10781 6139 2 6228 740 1 14865 841 1 17500 215 1 5304 854 2 17710 863 4 15687 723 1 10587 936 1 17494 2655 2 5208 5935 6 7746 6518 3 23 1447 1 2070 1707 1 9639 4196 3 13404 1695 2 4791 6824 1 11261 771 1 1433 1819 1 19314 7237 1 16965 4998 5 5886 2534 1 5748 548 3 11762 4996 2 17809 6192 3 4113 2969 5 7055 3685 1 54 2593 1 3613 222 9 1535 3670 1 12448 4435 5 11354 3497 1 3826 797 1 3536 8148 5 1334 512 2 17682 4992 1 8975 2363 6 74 3437 1 9535 1707 2 3683 8183 1 16588 2423 1 8849 2378 1 4880 752 2 9281 509 5 12394 2673 16 6867 4538 4 13242 203 2 8101 7182 1 3189 6784 3 18825 5078 1 13829 3081 1 1004 6906 2 11622 665 1 15412 1363 2 9760 1827 1 15687 233 1 15700 5243 5 1171 225 3 16152 7127 2 10852 709 1 3975 3719 3 17850 478 1 19532 8136 5 13156 5251 1 11935 500 1 12119 4807 1 6865 3588 1 15687 225 1 9533 2076 1 1339 38 1 10595 1715 1 9569 2253 1 157 7206 5 15841 1955 1 4832 867 3 6913 4915 2 8684 3464 6 10587 1860 1 17474 3748 1 5870 3181 8 9419 206 1 9707 690 10 9736 2362 1 5241 1342 1 9257 219 12 1172 6868 3 18070 7814 1 10160 1761 2 6476 1819 1 17655 514 4 17899 7828 1 4687 1737 1 17167 200 3 13503 779 2 10686 5385 1 2135 214 4 1948 220 89 13046 1395 1 1725 3464 1 6538 18 7 11212 6107 1 11465 1268 39 10569 200 5 4170 520 1 19494 1700 1 938 5420 1 19304 867 1 11325 1730 1 4498 4905 5 9480 304 2 6722 1764 7 3164 6139 1 17497 191 11 14522 891 4 15154 201 1 3641 236 6 858 5314 1 270 203 1 5158 2013 9 14778 206 5 10396 6646 6 11043 1658 13 6535 5315 1 1498 712 1 7104 6467 1 2462 4198 2 15919 232 10 4423 1286 9 18524 753 19 3240 5098 1 5520 6844 2 20191 2942 1 3186 3747 1 12232 1695 1 2284 1238 1 16130 3540 2 5213 1342 1 9596 1172 2 17300 3679 1 17662 541 6 17436 244 19 19187 6519 1 5901 1710 2 4354 6053 5 3507 1482 2 4716 190 1 3270 4486 2 2384 800 1 15293 2608 1 7604 4877 37 14278 3081 1 12244 3698 1 19486 502 1 3258 2363 1 143 2341 1 745 1727 2 9063 1184 1 18491 5331 1 9053 470 1 19040 2552 1 10043 5105 2 17073 206 1 14032 7224 1 3806 6152 1 13425 6793 1 729 1785 1 9363 253 1 16147 215 1 5140 2729 1 9534 4702 1 7155 1734 1 11296 175 5 174 8066 2 14107 1825 3 14011 227 3 855 1819 3 790 7326 2 13765 1752 1 6644 5528 1 17327 5351 12 9128 8173 1 7181 183 1 10027 3206 1 873 3542 1 18068 108 1 5809 5349 1 13800 420 1 11971 7476 1 18012 5294 3 18869 4816 2 10463 206 1 6274 745 2 1465 219 7 3846 1021 1 14722 6152 1 42 2239 4 15042 23 2 7279 510 1 1270 2671 1 19296 1756 1 7956 215 4 8526 6415 1 16916 232 1 6332 674 1 9916 7427 10 5837 5052 1 15698 1778 3 12007 244 1 7780 883 1 11772 2675 4 8859 3547 1 17165 3480 4 8863 1245 1 16417 5513 1 4679 214 5 14233 196 1 992 4458 1 17788 4708 2 13320 2399 3 12733 2083 1 11363 1363 1 12918 4589 2 6729 5499 1 16157 200 1 16285 995 8 861 292 1 1851 3525 1 13335 184 1 18001 2209 1 10758 6231 1 4495 657 1 13793 4963 61 17988 578 1 2782 6983 1 5274 1687 1 1770 7415 1 5479 2013 1 3874 1990 1 9816 426 1 11131 4196 10 14410 1781 2 5074 8113 1 15782 1470 1 2153 520 18 9604 4955 1 3085 6053 1 14824 2328 5 16363 1996 1 2939 316 3 10733 219 1 19769 702 1 4267 316 1 9288 6377 1 14731 6106 1 7524 3477 2 8043 1743 1 14769 1714 1 5748 7937 2 2412 2552 4 9093 1720 1 10238 926 1 13042 2181 3 10633 1235 2 10730 7446 1 8330 5328 2 16827 200 1 1957 891 10 9745 1238 1 12848 3742 2 7147 6993 1 3485 1242 2 11949 4966 1 9803 1751 3 6504 4982 1 6112 4428 16 16832 3833 1 15635 892 1 9978 3392 1 5477 201 2 7743 1464 1 15766 7542 9 6651 7413 1 19429 1202 1 18230 4998 1 12619 1245 2 10060 6549 6 19949 2493 1 14745 4786 2 17403 244 3 12009 1825 6 873 8013 3 17909 7403 5 7731 1909 1 157 7209 1 14622 6897 30 14684 3492 1 5336 3482 4 12817 5256 1 16810 575 3 979 1764 3 16857 4391 1 18204 1342 1 16980 7658 2 1779 805 5 130 5783 1 2384 7570 6 15484 1251 3 7682 606 1 10815 695 1 17891 6152 1 1523 1762 11 8083 903 1 5894 891 5 2447 1734 1 12680 5016 1 19578 1276 1 1968 220 3 12078 164 14 1576 1357 1 9596 2367 15 6332 202 1 13925 1073 1 18905 1246 2 13279 201 1 6438 368 3 4926 1 1 7926 1717 9 4236 1698 1 13111 23 9 174 8012 1 15766 1698 4 3814 7227 1 13490 4877 1 6869 316 9 5958 7853 1 4189 5886 1 31 1785 6 13387 1600 1 7816 178 1 11084 215 3 19486 644 1 8528 5020 1 5082 759 2 18526 3167 1 258 541 1 16331 200 1 7141 7606 3 9763 235 1 6932 2542 1 16537 5120 1 11562 7302 1 19774 433 1 1795 2780 2 2737 2666 1 6712 641 1 2083 3922 1 2020 1658 1 44 2279 2 4094 1825 7 6430 5487 1 2552 1234 1 11707 2276 1 10509 200 1 100 4582 1 17477 2675 3 8644 4789 1 3548 7933 7 18645 7857 1 16005 5618 1 7769 2341 1 13471 6897 6 8751 2600 3 6059 1780 3 8643 548 1 19429 3327 13 13430 6091 2 18623 1734 1 8378 879 2 6193 967 1 8423 200 7 18260 1295 1 15881 870 1 8950 3164 1 10202 7057 1 4906 7222 1 4657 1743 2 10547 8142 2 1132 5187 4 14384 223 2 4182 192 1 18465 2027 2 12933 1698 1 19504 3239 1 2607 10 1 2056 3188 1 4132 1245 1 13384 5852 1 2932 5066 1 11502 7594 1 16394 7823 33 16916 1582 1 2954 853 1 19418 6501 1 2571 3749 5 17747 207 1 11064 2253 52 701 219 1 440 125 1 15220 158 2 14778 235 1 14642 7259 1 1928 1495 3 2374 4363 3 15577 6252 1 12704 1734 1 566 1282 1 19331 1241 1 3006 7462 1 16248 335 13 11035 891 1 13055 5295 1 19019 7477 1 6069 1737 5 12502 201 4 19995 7342 2 8576 8031 1 5338 2263 2 19283 1466 1 17289 1283 1 14923 1744 1 20181 6058 5 3702 1313 3 16096 5418 1 17424 3318 8 15307 665 1 17652 221 1 8182 2982 2 17221 1747 2 1089 4947 1 6007 1691 3 10138 512 2 2310 665 5 11325 1756 1 19014 2352 5 16808 1829 2 15832 1707 2 4566 1399 2 16891 4992 1 3485 540 1 6193 931 1 16891 1283 1 9234 6064 1 314 1239 1 11487 8135 17 13355 1824 1 17959 7222 2 7220 4293 13 10554 363 1 10899 7187 1 12753 3024 1 10748 8141 1 4888 7420 3 17003 1172 1 5631 6179 1 4423 5172 5 13132 704 1 17244 3256 1 7626 1732 13 7956 1246 1 6332 899 1 5213 1235 4 5544 2057 2 10010 7408 5 13461 536 4 15084 8091 1 19220 518 1 12731 4096 2 11732 8194 1 14111 3024 4 13160 496 3 7498 2727 1 2716 200 10 17338 505 1 13257 2729 1 4782 4202 2 7829 2029 3 13543 808 1 6974 1747 1 11937 1239 3 19200 688 1 20119 1672 1 13033 7392 6 18383 1719 1 19596 206 7 15520 5879 8 19661 3625 2 18229 2570 2 12565 7953 4 5231 184 3 10207 1739 1 6089 3715 18 19673 7477 1 1084 1909 3 2892 231 2 18050 325 1 11848 3676 3 10105 6933 1 1606 785 1 16924 2864 3 2170 196 1 5249 1345 13 20114 221 1 3536 4800 2 16423 7604 2 40 1768 1 4287 214 2 1276 7229 1 17395 5294 1 6653 2442 18 12142 2998 1 18664 1748 4 2729 4988 2 14114 479 1 15566 5016 1 11786 6551 1 16760 4375 1 7882 214 1 7831 5730 1 7096 1250 4 11898 1714 1 19683 5595 2 10060 1482 1 6490 1342 1 2105 3865 1 2874 1395 3 6229 1991 1 3733 3699 1 128 5769 1 4536 4613 1 455 5441 1 6152 6544 1 5539 5245 3 4163 74 1 17066 2118 1 5613 1205 1 11530 3072 11 19872 2344 1 17505 2294 1 3847 4992 4 3174 498 1 16090 6355 3 6489 532 1 4525 5487 3 7723 1658 1 18626 7632 3 13201 206 2 1002 336 1 18976 78 25 16684 2869 1 8071 5547 1 8982 5187 1 5263 5468 1 513 6558 3 6202 7948 1 3817 4021 1 6457 1153 1 16310 1035 1 14900 514 2 499 7848 1 15230 532 17 14062 1757 3 6457 4948 1 2243 4496 2 5659 519 1 15790 1359 1 12384 5677 2 16184 685 1 11786 834 3 8250 215 1 8197 244 4 17887 1464 4 16862 6623 3 2379 519 6 1822 3360 1 6676 883 1 14191 1769 1 13394 244 4 18762 7719 1 19494 3059 2 13705 1235 4 939 1757 1 18792 667 2 202 7858 2 19000 545 1 19793 7915 5 5436 200 8 527 548 2 19407 4992 4 10730 4622 22 10999 2118 1 19996 610 1 14746 1209 1 3360 1062 2 18027 3556 1 745 7808 1 18915 1747 1 19180 3862 1 16535 411 4 1911 3414 4 1712 2369 1 17242 1757 6 4492 4325 1 16395 1245 1 3005 3939 3 9365 7207 1 151 6765 2 873 3502 1 9688 6520 1 13851 203 3 6389 4950 2 4679 533 1 19182 5897 1 15980 6216 1 6472 1146 1 13185 1825 17 6903 2727 9 1893 1473 1 8237 167 1 7341 1635 2 12135 1518 2 8508 341 1 16102 1147 1 3776 1736 19 2631 3511 1 10187 3113 11 12930 1240 17 11212 1244 1 13581 6250 8 8407 325 3 2647 1707 1 16364 1763 1 8666 1474 1 10943 1235 2 12053 8012 1 4163 499 1 8681 3222 5 8946 569 1 11354 534 3 314 3081 2 19839 3337 17 5304 841 1 1863 506 5 8076 7750 2 8094 536 5 9793 368 1 17416 496 6 4371 476 1 9570 445 5 19171 4435 5 8975 3742 2 2373 1151 1 13640 1772 4 5646 3808 6 7057 201 17 4132 2068 1 15266 148 1 2132 4572 3 6509 3618 2 14646 1395 1 2338 545 1 12142 3827 2 12710 220 1 7226 2840 1 2377 1548 1 19137 5879 3 10111 2367 1 13743 4383 2 20260 532 2 3817 201 1 8666 7299 1 143 6627 2 12540 348 1 35 1856 1 17835 229 1 12392 206 2 17279 4967 5 11835 1895 1 633 509 3 19975 2233 1 9809 1904 1 3755 867 2 18637 4404 1 10501 1615 1 755 1146 1 8316 8099 2 15728 7911 1 10698 964 1 11613 2617 1 14918 1825 2 14921 6053 1 12856 1707 8 13436 3900 1 16493 274 6 19233 3033 4 11668 215 10 15199 3293 5 3945 5284 1 4524 4363 1 10165 3837 1 10829 308 1 8105 6697 206 12614 235 4 7179 186 1 13764 7309 1 10281 200 2 6187 4467 1 4800 420 1 18232 5356 15 7050 3269 2 3795 3233 2 436 5945 1 14298 724 1 15601 6323 1 4574 7388 8 8139 4245 1 16739 2653 1 873 3526 1 15234 502 3 19301 3540 1 878 3748 2 212 4266 3 94 4310 6 11418 1756 2 2404 447 1 7065 2889 19 17638 3063 1 20146 5514 1 3852 2229 1 18357 6900 2 13544 1762 1 8628 148 1 18359 320 1 15935 3714 1 4883 1994 1 16908 6132 1 16439 23 5 14462 314 4 4210 495 1 7072 833 1 14362 7586 5 8585 235 1 11933 1207 2 11717 520 2 9318 506 1 12422 2493 1 18037 2600 1 19193 1728 4 17519 7958 2 3978 5095 1 19599 229 1 92 4143 8 2319 1356 1 14323 541 1 7829 3512 2 967 190 1 17403 407 1 14190 5923 1 1055 1239 4 5662 514 1 4691 3464 1 5926 219 3 3688 534 1 542 4383 1 20142 673 1 17578 292 2 18768 470 5 11452 4986 12 855 3556 1 3037 201 1 4063 7439 1 3436 1909 2 10015 1539 1 6524 6289 1 15819 2734 4 9194 1146 4 2443 6868 45 10874 344 1 4207 1776 1 14305 2842 3 10 280 1 6183 616 1 18421 208 22 17556 4301 5 279 303 1 18485 5586 2 7039 525 3 18240 23 1 10692 316 3 9445 1557 2 9865 525 14 10452 879 4 3560 7234 1 16833 860 7 17477 411 2 5495 7190 3 3471 201 1 6526 1739 1 10014 7477 12 2726 4930 5 943 7189 3 18678 215 1 16994 201 1 10034 4339 1 6506 6341 1 15832 214 23 14546 187 1 9543 1322 1 17440 7734 1 258 2569 1 14968 4578 4 4493 1720 3 17237 206 9 1606 571 1 12702 4379 1 11798 1170 2 15289 4591 1 18866 8185 36 19113 3516 2 64 910 4 589 207 4 18880 1814 2 14599 5286 3 11616 755 1 19590 4096 1 13829 470 2 9974 3493 1 2886 4029 1 270 201 1 18897 647 2 14452 4233 2 81 3640 3 11424 7860 1 3729 496 17 5140 1707 1 9929 7613 1 3287 817 1 6724 5852 1 12890 1251 2 20028 179 1 10114 5577 1 8255 792 1 8009 4252 20 15949 103 2 6108 223 1 388 5740 1 10245 175 2 8074 233 1 10368 5740 1 8085 2653 9 12898 214 1 15783 3747 1 18299 7419 1 19019 60 1 14773 1745 1 1771 220 1 1823 519 1 2760 659 1 16292 4366 8 3484 2426 1 17180 2877 1 11169 1745 1 11336 5421 3 15599 8067 1 16938 1739 2 11870 2844 1 12897 5336 1 10591 1119 10 8468 214 3 15920 3167 6 19660 3511 2 5682 169 2 16026 1278 1 7462 6716 3 6990 8083 1 16855 517 3 1171 982 1 14351 4435 1 8083 878 2 16844 631 9 10380 291 29 2003 7250 3 1725 6023 1 4417 3911 1 4279 1324 4 9220 3081 12 4509 4283 1 10688 2093 1 15989 1752 3 15849 3135 1 17835 3729 5 3072 2021 1 8391 471 1 4092 5994 23 476 215 2 3090 514 2 18116 1707 4 16994 6053 1 427 1747 1 14759 184 1 7184 1737 1 11256 814 1 9441 6892 2 9661 10 1 4092 5490 3 19366 624 2 2891 203 6 16421 2319 1 16222 1252 1 19807 4599 2 9525 4615 3 6920 2777 17 7418 3896 2 1886 2353 1 16645 3024 1 10236 8026 2 11399 4333 2 13922 206 1 12903 411 4 2195 5105 1 8077 1700 3 12032 1757 1 17 1210 1 12406 1775 1 3759 6145 1 15005 7189 1 12941 4202 1 19865 5436 1 18942 825 1 8358 1042 2 2138 1819 1 3000 3625 1 18214 8071 4 6420 789 2 419 776 1 2980 7529 1 15025 335 4 8517 6065 1 14826 339 3 2696 1251 3 9566 1304 1 91 4075 2 20258 4967 1 16346 6159 1 18300 7542 4 17799 3942 1 17603 7128 1 244 178 1 18375 2447 2 16074 214 1 16060 190 1 9534 6341 6 19293 498 1 1912 3518 1 4373 2677 6 174 7890 1 9258 2557 4 11817 6683 2 6762 7287 1 4963 514 1 6379 1748 1 8989 2262 1 14861 7083 4 11428 2959 1 20019 1307 15 20100 6874 1 11353 1271 1 5401 960 1 7511 200 2 13909 876 1 4536 3591 1 6418 3592 1 12126 252 1 645 2675 1 6612 23 8 15265 234 1 8728 925 1 9304 4976 1 100 4501 2 4843 597 1 879 3230 1 14976 5325 1 10928 4720 79 5659 3049 1 4840 1729 4 824 3333 1 1015 1658 5 2345 861 1 10049 1244 4 17083 8037 2 5032 506 3 19862 411 5 11365 4505 1 11937 2729 8 10916 2964 1 2413 292 10 13217 3159 1 554 191 8 5796 198 1 19331 514 4 3051 5346 1 4443 8117 1 10004 704 1 16056 1208 1 9147 7414 2 208 1404 1 10652 5502 1 18204 530 11 156 193 2 5419 3704 5 4015 5195 1 4898 1241 1 17494 2712 1 19034 4022 1 12410 3058 16 16700 837 1 16109 1764 4 13997 606 1 18434 2350 2 8614 5563 1 11131 3304 1 12384 184 1 17049 2626 1 13080 203 26 14695 4398 1 5959 2662 7 14999 3222 6 7383 7388 2 12970 467 7 19649 292 1 17073 1251 2 11115 3762 3 20147 3511 1 7103 4638 1 18230 1707 3 17518 1237 2 2126 7967 1 13590 638 3 14721 4107 1 288 1356 1 14642 517 5 13 716 18 8978 880 1 12766 798 1 1838 3578 1 8969 3167 1 4524 3879 2 20248 1363 1 11086 512 1 17809 6139 2 14617 5774 2 11756 575 1 7473 641 4 14828 6470 1 8163 3589 4 11336 7397 1 14873 4673 1 16222 5988 1 15573 4963 1 13162 947 1 12412 606 1 14639 6713 1 17372 7933 4 6228 623 6 10339 1496 2 12895 4948 4 7849 325 1 115 5189 2 6339 5618 1 16109 1776 9 7390 3795 1 4660 3322 5 3670 1703 1 9637 3691 1 7455 4384 1 18270 8043 6 14527 843 1 4691 505 4 2248 4964 1 13970 300 1 2071 1277 1 13779 6824 2 2389 3074 1 9374 4807 2 20100 3584 2 13743 793 5 948 6268 1 17686 3540 1 18581 3079 1 2710 215 1 17403 444 1 17469 3696 3 19733 2291 1 20179 1820 3 14102 3693 4 5293 4288 1 113 5059 1 17675 1752 3 12009 225 1 1725 6887 1 4371 4519 1 1467 205 2 7780 3534 1 7628 4064 1 12499 910 3 15932 5321 1 2471 525 3 167 7565 1 19030 3071 2 14772 2908 2 17066 2710 1 19942 1251 2 6551 529 1 20191 2923 1 14970 6994 1 16033 4982 1 28 1383 1 7893 205 8 5705 3203 1 5463 2017 4 5264 5397 8 9760 4204 26 11139 201 1 20269 302 1 11996 200 1 9104 4972 3 15007 2419 2 20175 3228 3 5748 8045 2 11999 2109 1 4539 1464 1 2886 1466 1 174 8099 1 7245 2662 1 3688 1235 1 10884 3333 1 10570 6204 3 12209 1357 3 19428 74 3 16570 1326 1 12108 3251 3 7520 1315 52 3705 308 1 11497 6723 1 10391 1768 2 2135 2495 1 54 2588 6 8211 1698 2 8965 1718 1 3695 499 1 7649 4591 1 3309 6139 1 15936 5252 3 14305 916 2 19538 1768 4 1464 578 2 17591 303 5 19315 2804 1 4471 1146 1 12343 1239 1 14754 2889 1 9445 502 1 6520 8057 4 19597 775 1 1120 867 2 14052 4493 1 8159 618 1 16890 742 1 8335 1339 8 7904 569 1 15752 891 1 14968 347 5 5178 3147 1 12064 156 9 13111 173 1 15296 514 17 32 1794 1 2308 514 1 14730 3358 1 6986 4615 3 11160 1655 1 18182 533 2 8395 6716 2 12427 532 1 9810 437 2 16071 219 5 3116 4447 4 8959 3197 4 10222 5855 1 5431 1548 5 11374 3648 1 13306 5995 1 5519 1707 1 6751 1234 2 6811 3062 8 6840 737 1 13187 8057 1 5431 84 1 18998 5009 5 17011 1450 2 2580 7851 10 5258 4065 1 8281 1295 1 12346 1250 8 5799 140 7 18883 4069 1 6775 1724 2 13604 2001 1 10591 3554 1 8082 1044 1 17283 1251 2 9835 3228 12 16327 1739 1 11653 200 1 13065 3476 2 10377 1482 3 6275 1999 1 12399 880 1 1275 1729 1 14692 1736 3 576 1827 1 5243 5349 10 7705 8148 1 5172 5077 4 12897 1946 4 6215 1946 1 9676 3022 28 2581 3083 2 16016 6857 1 8638 200 18 16491 84 1 15419 3512 6 8376 304 1 11559 7397 1 10553 4314 1 14077 1332 1 6853 3649 1 13302 13 1 9188 2388 1 5366 2247 1 6519 1240 1 18215 1705 2 16287 447 1 15508 5421 1 14695 23 2 6350 2626 4 4471 1721 4 10279 7331 2 6752 768 1 14253 3516 9 5277 7538 1 1870 6383 1 14553 3900 2 4305 580 1 442 3406 1 16726 8175 2 18634 790 1 15283 6705 47 140 6380 1 13832 704 1 8669 534 2 13173 7404 2 8532 1758 3 9026 1010 1 12329 3182 1 174 7969 2 12115 2938 1 13360 4245 2 3698 6662 2 17508 525 7 8987 2030 1 1599 1249 4 999 6783 1 4536 4636 1 402 2352 1 2902 1471 1 9188 8081 2 11926 390 1 1045 1251 1 3603 7167 1 17735 7948 1 3221 504 1 7780 1277 1 4812 1251 1 3712 6238 1 2170 7586 1 15941 3283 1 11590 73 3 181 8215 1 8222 2512 5 6681 756 2 1071 4805 20 596 875 1 13909 1342 1 18128 219 6 4832 2058 3 15151 3997 1 6834 1612 5 2905 2109 1 13323 3056 1 7780 1252 1 8561 1467 3 5188 3608 1 17485 361 1 7699 4998 5 11415 5787 1 6835 957 2 3617 6442 2 4887 6615 1 16292 7831 9 2156 4451 2 18637 196 1 91 4113 5 9365 3012 1 11349 1710 4 7780 1342 1 20157 545 2 8289 6198 1 9691 219 6 13800 2641 1 18882 7398 1 6264 1717 1 19121 518 1 6586 7395 9 14239 5549 4 42 2185 1 10679 2362 2 14720 5162 2 9647 3393 1 18516 207 3 16790 1363 1 16111 303 13 5866 4403 1 10627 2742 2 8492 221 1 4593 202 2 15203 6754 1 100 4543 1 5695 13 2 745 1771 1 17739 7251 2 13910 7238 2 5722 3227 1 10559 6457 2 113 5053 2 6273 5326 1 18074 6065 2 18962 8121 1 18612 995 1 1089 1253 1 469 2356 1 14572 6053 3 2513 2729 3 18149 2938 1 1638 3190 1 14861 1727 6 5994 3333 1 4908 1768 3 5032 7473 5 11 360 2 10139 3558 1 18421 1781 1 14906 533 4 3467 201 1 9497 7169 1 12345 514 1 16786 7463 1 527 790 1 14096 7240 8 5132 7465 1 18397 805 3 7497 8194 3 1312 6081 1 18409 3015 1 6232 2600 1 13883 3081 3 607 995 5 7924 2899 1 6541 6703 1 12322 303 6 6954 1726 3 16029 3748 1 10883 383 1 3485 1718 1 19246 1367 1 9797 224 2 13521 5950 2 60 2730 1 5918 2489 1 7121 1344 1 7749 4189 1 11830 670 1 17664 84 1 2138 2173 1 176 1334 1 8255 576 1 11529 2671 1 17011 863 4 12527 5446 1 15722 1772 2 3939 4300 1 16593 219 5 14909 1911 14 18585 2749 1 7560 1967 2 6088 520 2 20256 3074 2 4665 6457 1 14122 6435 12 11676 4816 1 13351 7735 1 19872 2000 1 14522 945 2 9279 1730 2 9524 3685 3 13925 4266 3 9178 2184 1 4007 6758 3 15314 6649 1 9078 23 4 4220 498 4 5097 84 5 7994 6192 1 90 4053 2 611 1774 2 2387 1247 6 16504 4435 1 16062 6495 6 9143 3909 2 10078 2662 3 17096 952 1 3351 5413 1 10533 7462 5 13899 1342 1 14196 4122 3 6815 558 3 8117 1453 3 13490 914 1 6701 291 1 1588 2514 1 11078 1945 1 17150 8030 1 42 2224 1 20033 451 1 14800 5338 10 5072 2093 1 309 809 2 16059 1703 5 3778 2884 1 3158 1778 6 20074 5054 3 1470 2632 1 6340 3316 2 8557 824 1 6332 808 1 15272 2363 1 16254 3618 2 3362 6132 1 3594 4612 1 10160 4178 1 1102 7427 1 17690 1371 2 9279 1342 1 12404 2889 1 17605 888 4 1542 6152 4 12322 222 2 531 518 2 5124 4389 1 8335 3766 7 8904 7512 1 17252 479 1 14035 519 1 18187 965 5 7340 235 3 12502 514 1 4305 5952 5 12459 7853 3 8663 1313 18 7136 1768 3 6688 1756 1 6658 5051 2 9525 327 2 11241 541 1 8526 4641 1 9566 904 1 8435 4983 1 18246 1590 1 8526 1113 1 2345 3616 1 13290 4489 5 7527 5439 1 3694 6568 1 15782 6140 1 98 4436 1 16825 235 3 19368 718 1 2411 6751 9 11871 3255 3 11585 233 3 6064 199 1 5588 1764 1 16426 6724 2 19429 3225 13 330 1224 8 3548 525 6 11899 187 2 1191 207 2 5994 6288 2 5278 220 1 1119 1286 4 14587 6558 1 6351 6368 6 16740 1205 1 787 1726 2 11605 6680 2 7560 2564 7 39 2037 1 19664 1450 1 16632 6414 7 7812 751 1 5158 874 1 5241 3492 1 11360 2686 1 5745 903 1 17156 23 2 9609 4589 1 4311 7411 8 9453 1583 1 1969 2013 1 18357 525 1 326 3608 1 19223 2708 1 2586 219 5 13471 7976 1 5244 2442 1 11399 2355 1 3962 3333 1 15030 7639 2 11 475 1 14456 1530 3 1687 5468 1 13841 2555 2 11 361 1 2917 2509 1 2199 1888 3 11619 200 1 3106 1722 1 171 461 1 16998 7368 3 13338 327 1 9521 229 1 17384 270 14 12690 4199 2 18320 517 9 8318 5091 2 6070 1736 2 10579 6090 1 10498 4201 1 701 3998 3 18089 203 1 3643 156 1 834 220 23 6013 150 2 11067 6345 2 60 2718 4 16536 1131 1 7910 8154 7 20044 1768 3 17590 222 1 19237 1285 1 5738 5851 2 7395 5532 1 3954 253 1 862 3861 2 16081 6512 2 8693 353 1 14939 7719 3 8340 6633 1 5298 1249 1 13111 910 1 14650 1334 1 11935 641 1 11388 1789 1 9948 1825 1 5216 1996 1 5097 1146 1 14696 1698 1 6769 1300 9 5468 453 1 4757 4096 1 12135 420 11 4115 4716 1 9358 525 1 2980 1249 1 11357 1105 1 3644 1183 1 1382 7594 2 15940 1737 2 17486 2107 4 16604 4998 20 6332 4008 1 17206 1287 1 2772 917 1 12771 6053 3 13734 950 3 14773 23 8 2877 3423 6 17899 6330 1 14340 3412 1 9580 6494 11 11751 786 1 11894 3946 1 19946 23 1 18946 5941 1 7518 3874 10 19313 1698 1 5589 184 1 654 2362 1 1952 7582 4 10498 5910 2 18027 207 1 5839 2668 1 16658 8030 15 18986 3425 1 11028 2661 2 4512 1804 15 14038 3911 6 6412 4528 1 8751 3065 1 1055 5817 1 19286 562 1 9412 578 1 9603 200 2 6570 7936 2 13004 3995 1 108 4918 1 1241 3876 1 12619 5546 4 15944 512 1 13152 1109 1 13705 7353 2 13363 96 1 11254 1244 9 17184 581 1 915 6957 3 15471 962 1 14762 220 1 19918 7474 6 15621 5041 1 5748 8122 2 14517 248 2 6259 2343 2 2240 197 4 16096 1737 1 15354 1146 1 15107 2517 1 439 6204 1 17921 4916 1 19461 415 1 3715 201 6 5906 1692 1 9457 2461 1 17395 8034 1 484 7215 2 12693 3155 1 7976 206 1 17828 3332 1 7742 7964 5 126 5673 5 10887 1548 1 4566 1028 23 5695 769 5 9128 1728 1 11082 7643 1 10526 1967 1 10772 4020 1 2886 89 1 16417 4929 8 11844 1721 1 7778 1453 1 15303 60 1 12819 4312 6 13412 2563 3 2598 1241 3 3516 7477 1 15378 5482 1 10846 1396 1 12509 89 1 17509 1339 7 4055 2853 1 8717 1342 1 10234 589 27 4350 5088 3 19217 2964 1 5321 3685 1 343 233 1 4242 201 1 19234 7127 3 1028 410 1 16484 7386 12 14380 7604 1 14738 1746 1 13069 6663 1 65 3118 1 16951 441 1 10119 1191 1 17364 7719 3 19530 222 1 7261 1245 1 3049 4428 1 13850 5018 1 5652 244 1 3957 4246 2 7726 1471 1 1141 506 1 553 23 9 1090 1037 19 15043 5258 1 8055 3081 13 5246 3705 6 14939 498 1 19042 1788 1 1127 1078 13 4851 3167 1 7858 5530 1 7538 417 1 298 6736 1 12065 1853 1 13425 905 2 15776 7686 1 15184 1760 7 8532 3113 2 11050 1665 1 757 8174 2 4025 7512 3 16145 3556 1 11588 2678 2 6063 7719 1 11559 3164 1 9435 215 2 1405 5674 1 13159 4603 3 6308 525 1 16505 292 4 7823 4402 2 1324 6979 1 7970 528 1 62 2829 1 12370 855 1 14407 1658 1 16303 1284 6 7780 3556 1 2137 5572 1 15782 7205 1 17742 859 3 12128 709 1 5336 6162 1 3665 2114 2 12480 1288 1 688 7592 1 17440 828 1 6463 403 1 2186 303 1 12541 1715 1 18343 3912 6 12491 222 1 18286 204 1 4023 428 2 6011 2511 1 19349 518 1 4716 1714 1 9449 4386 1 15808 6394 1 10109 506 1 14852 1464 2 1209 756 2 12281 8203 1 12322 1237 4 1453 912 2 7249 7652 2 5815 184 3 16517 8057 2 2419 523 2 16439 867 15 7686 188 1 14144 1237 1 153 545 1 1269 7471 1 19127 2879 1 8051 1296 1 14824 4403 13 14305 902 14 15817 4020 1 8192 235 2 5653 5324 1 14515 2727 1 10634 5004 2 19795 3491 1 5048 5932 5 13640 541 1 147 207 6 11678 5255 2 12147 2675 3 2807 1702 1 18207 5341 1 7988 2126 1 19313 512 12 8597 2702 1 18339 6943 1 14840 1464 1 6348 7687 5 11399 1330 1 5407 2691 1 18294 690 1 13087 1251 1 7937 203 38 2223 1237 1 11297 7719 1 16196 7834 1 9602 200 1 7445 5294 6 16016 130 1 3907 2876 1 1752 1312 2 16043 215 2 6937 8030 1 14211 221 1 9321 7208 1 1706 3233 1 11550 2555 5 4588 2187 1 1858 7511 8 16869 1784 3 19954 3444 1 17083 863 1 14975 3020 1 4337 6697 7 3712 5291 1 5232 519 1 8343 237 1 10882 3475 1 17298 203 9 1884 1244 1 451 1990 3 4498 1184 3 3189 2464 1 18055 184 2 7111 2262 2 16491 6435 1 8340 6434 5 3025 525 2 18366 452 2 11313 5348 1 19069 3101 7 17617 5411 1 714 499 1 18164 2720 2 8236 1781 1 6314 3711 1 17757 937 1 12715 225 2 9566 967 1 12144 3222 37 16249 5468 1 11786 1762 1 12985 7018 2 1743 4499 28 4449 7540 1 456 411 7 6597 3399 1 18596 3408 1 4343 1997 1 3241 3922 5 14993 3351 2 17856 2869 1 11509 6338 3 17187 3150 9 10330 512 1 7186 3869 2 9096 510 1 35 1906 5 7483 2358 1 5380 545 2 97 1703 1 18132 590 3 9546 1238 6 5837 426 1 9539 3474 1 16231 3372 1 9346 2336 4 14003 7859 1 10396 6654 1 283 5315 4 17298 1752 3 15932 2139 1 6692 23 3 16140 2495 1 11637 665 2 12064 1724 1 15405 5905 1 16600 747 1 3189 365 5 7823 460 1 12699 2724 1 7452 7414 1 252 1891 1 62 3001 1 15553 235 1 15349 3308 2 9310 3618 3 16439 6710 73 16824 5899 1 5774 665 1 1389 1284 7 4030 3573 1 111 5006 1 2265 6231 1 12409 1037 8 5827 2511 2 14303 4656 2 10703 134 5 1176 4105 1 62 2875 1 19872 7602 1 4081 233 4 12185 4369 1 12404 3024 1 12190 5325 2 1064 201 9 4289 1727 1 4665 5128 13 13698 201 1 13779 316 1 13543 3634 1 9024 1752 4 16448 4780 2 31 1704 1 5401 3699 1 9254 223 1 950 1555 1 5877 197 21 16040 1714 1 15885 5689 1 12278 4382 1 6821 6880 1 261 794 1 19480 3602 4 10694 206 1 8191 7003 13 2957 382 2 17127 508 1 10090 726 1 19731 3633 1 6683 5575 4 16740 2399 3 2985 865 1 1276 215 1 10613 8194 1 12041 2731 1 13671 1263 2 3405 2229 1 9725 5256 1 5531 3462 2 8223 177 19 12372 6640 9 5681 512 1 18211 1251 3 18152 1555 2 10916 4298 1 13928 347 3 13731 2958 1 168 7581 1 840 2938 1 3871 7786 2 8883 4311 1 3029 7961 1 11616 4606 3 8128 512 2 10449 7424 4 19485 2729 1 7528 1344 1 3253 411 1 8514 3813 1 227 3477 5 14244 1000 1 10402 836 1 14400 4285 1 4753 5254 8 3056 1819 3 4421 223 1 18451 186 3 9660 1967 1 17440 656 1 6392 3430 1 3665 3367 4 12090 581 7 17922 2743 1 16036 7498 1 770 1883 1 6724 8050 3 5142 2054 2 5873 6047 1 13637 3056 20 20085 3097 2 20192 207 1 12623 3883 1 10179 4540 1 17696 1814 1 13219 4635 5 18852 6107 1 14010 2871 1 18946 206 1 5082 2356 1 15043 1589 1 17104 5262 1 15056 4581 3 11333 5074 1 18246 2370 1 3449 934 1 16425 6591 1 4371 3842 1 9602 7509 2 8541 214 4 12676 2899 9 10493 222 2 15742 3016 1 17855 5996 7 8105 2998 1 968 215 1 19160 1751 1 1338 2678 2 18589 1482 8 4018 1904 9 981 23 2 11644 6551 2 10575 34 3 9919 640 1 13190 4591 3 4212 215 29 17663 1827 5 20 1184 3 12759 6135 1 4375 2206 1 9281 7542 1 5775 6150 1 8291 203 15 7024 5897 1 19030 1209 3 9963 867 14 16328 2786 1 17973 7809 11 14041 2268 1 14396 3012 1 11121 3873 1 9743 4945 1 16899 4698 5 787 1657 13 11935 200 1 18937 3257 2 19585 1133 1 4051 6031 6 2991 883 2 19297 5783 2 10497 229 4 5863 4010 1 18511 4245 5 1316 6423 11 12753 6098 1 17320 2242 1 17408 1718 1 5631 3570 1 3536 2262 1 16808 200 2 2378 6342 5 4717 1727 1 12759 4380 5 13176 203 1 9152 2342 1 16589 206 1 18932 794 1 19575 5783 5 18321 3801 1 15258 4041 1 10584 1164 4 8345 7407 10 10130 5550 2 13596 7769 3 15272 6152 2 1816 425 1 10447 219 10 5583 236 5 15743 10 7 6453 5328 4 1542 164 17 1214 4606 1 17391 244 1 10340 534 3 7057 1184 5 12361 307 9 17174 2369 1 19900 1942 2 18222 7075 1 8327 1250 1 7754 190 1 7621 2552 10 14328 8071 5 18410 891 22 1232 708 1 17036 810 1 11863 3816 4 9414 5353 1 2223 1252 1 12985 1781 5 8878 758 1 11314 5495 2 14828 7287 1 8159 838 1 5218 470 1 701 6743 1 19608 931 3 6581 1727 1 2905 5560 1 8051 5264 1 6342 1251 6 9930 2896 4 13 964 2 11713 512 2 15265 440 2 20181 2959 1 11140 2216 1 11536 4258 1 13689 776 1 104 4674 2 6867 1752 3 862 4951 3 6932 1703 2 4970 622 2 5378 2250 5 19975 2461 1 3806 7850 1 6564 1184 1 10579 6966 1 10281 470 1 17449 2645 1 20174 2675 5 18871 3219 2 11763 4902 1 3749 6777 22 4092 793 4 8952 5860 1 3485 1275 1 18545 8019 2 3255 222 2 4330 1342 1 9638 1742 2 1793 5043 6 171 201 1 14558 74 1 5995 3333 1 3549 202 2 17578 3844 39 2377 7420 1 11533 1116 1 17644 1781 1 1296 67 1 559 1901 1 7251 1776 6 15687 743 1 4777 3876 6 12378 7101 1 10069 7123 2 17746 568 1 8198 7013 1 12533 5439 1 19957 4252 1 17645 13 2 4855 6900 1 15200 6100 2 14522 685 1 16881 3138 1 20036 6162 8 12016 512 14 14047 1613 5 20275 7701 1 9368 2355 1 18628 316 4 2267 1147 2 5574 2510 1 18676 1296 2 8370 4672 10 2556 1709 1 19491 411 1 8160 6527 1 15605 3540 13 15000 1122 1 19896 1352 1 1229 2787 1 4906 1278 2 18314 200 1 15409 235 1 12576 4352 1 8548 222 2 19244 3909 1 5291 4612 1 3293 4972 4 17544 3081 1 1831 6946 1 20109 1201 2 460 2443 1 13750 3168 1 13631 2727 1 1989 1250 1 10676 2511 1 5216 518 1 7999 1302 1 5478 2361 2 7553 6715 1 13916 4177 2 14418 6053 2 5245 219 36 330 3455 2 12966 1692 4 14021 5115 5 3307 883 2 6776 1995 6 11160 1363 1 8556 4233 1 11392 1882 1 9539 1357 11 12797 1788 1 18251 6530 1 4092 1726 2 17493 5264 1 8495 1613 1 8934 5293 1 18568 4204 2 5969 4877 1 19833 422 1 10314 1942 2 14173 911 1 9725 379 1 14376 505 1 18494 3748 3 9503 335 1 633 3312 1 15256 1613 2 11052 2869 2 13688 2943 1 1327 6276 3 503 1748 1 16292 219 1 6783 6242 2 14346 1731 3 7610 798 1 4312 2382 1 9714 4496 11 4305 379 1 18587 2626 2 14005 5099 1 15108 6090 1 6372 4724 2 11517 1453 1 13628 4723 5 15666 1250 3 12290 2378 3 5199 4675 1 4498 4902 2 14458 3568 1 7419 219 2 13341 602 1 13963 3219 1 9787 5301 3 13243 1023 1 11428 1379 1 17879 411 2 1776 6620 1 2886 816 1 2611 982 1 15608 3378 1 94 4248 1 9755 6278 5 19551 1775 1 2303 3885 2 10766 200 13 3659 3453 1 10376 4884 2 5056 3228 25 280 2553 5 14758 2000 1 2980 5289 1 10879 1342 1 10135 1235 14 11786 3630 1 17224 1751 1 8693 7735 1 14151 816 1 2413 3147 1 10519 2354 5 18596 623 1 17664 903 1 14042 2878 6 12042 1718 6 7245 3304 1 3258 6817 4 17562 6586 1 6840 785 1 1923 786 1 6348 7828 1 5401 637 1 10754 3511 1 14400 1727 1 542 6527 1 17878 3910 5 14218 2016 1 10245 461 1 5993 1730 1 124 5516 1 174 7972 2 17485 1720 1 17857 1985 1 10730 2256 23 2616 3639 1 106 4744 12 8361 514 1 2648 4998 24 10237 7439 1 1490 2549 2 4583 2721 1 1606 573 1 7127 1146 5 20016 4949 31 11217 2450 1 19003 1782 1 19759 7586 2 9854 6368 1 1139 1814 1 12236 3760 1 2944 220 6 8223 1052 2 1462 5905 2 18336 5066 1 10876 6152 1 9289 891 2 11598 7875 1 18431 215 3 3841 6697 1 14929 533 1 7898 47 10 9038 5690 1 54 2629 3 15722 1720 1 17947 221 1 4089 5156 1 15907 206 1 15085 7701 1 12375 177 1 19293 1250 1 20029 1191 1 2580 222 2 19131 1881 2 9026 1717 3 6527 5327 3 198 320 3 15542 4248 1 6703 1779 1 16259 252 1 126 5635 2 17285 3512 4 9572 232 1 16517 7434 4 15579 1312 6 3214 215 2 15061 5312 8 3900 941 4 19385 6933 2 14610 3651 4 4505 1305 15 3695 5271 1 14276 697 1 16368 2357 1 11411 7719 1 1706 1146 1 14201 184 1 8343 2735 1 4253 4446 2 2161 6513 2 417 3698 1 12903 1714 4 7412 5335 1 13503 870 1 15853 510 3 1999 581 10 11789 2382 12 15002 203 36 10255 2543 1 124 5401 7 7251 1707 10 6589 1561 8 4798 2523 2 6410 1239 1 15885 5803 1 160 7328 3 5776 1727 1 135 6124 1 3681 7216 4 16048 175 1 13222 3973 1 13997 2869 1 6261 7797 1 6912 7089 1 11604 853 1 13829 303 1 2653 5294 1 4757 46 1 2028 6334 1 4897 1000 1 15861 214 1 3615 164 2 16880 225 1 6327 501 2 7780 5420 2 11496 1698 7 2308 1164 1 710 4211 1 10319 3911 1 18526 201 1 11072 7701 3 3571 1775 1 995 1235 1 15807 6943 2 9708 6986 6 2513 1342 1 5692 4653 5 10948 233 1 14951 1239 2 16468 4022 1 13025 1341 4 6970 2885 11 5431 1305 1 11211 2005 1 10878 3351 2 12757 219 6 15528 325 1 16100 3458 10 8439 1244 1 4007 6751 2 6064 2876 1 14685 1420 8 12817 4321 1 10026 8080 1 19406 3666 8 7811 222 7 7769 790 1 14758 400 3 12283 1357 1 16860 1118 1 8585 6065 2 181 8240 2 2570 6066 1 14298 5302 10 16790 1247 2 17680 6418 4 16278 1962 1 14892 1780 24 9924 10 1 17429 7427 5 10839 915 1 20040 6493 1 16589 1677 2 11981 1756 6 7527 5414 2 14333 5053 2 16857 497 2 3504 868 1 18307 3840 1 2803 2720 2 19031 1573 1 11848 4436 2 13070 6252 2 19650 203 21 271 1734 4 20123 790 1 8198 6536 9 2881 2286 2 13183 3203 1 11968 219 10 15848 4132 2 11026 8109 2 869 2691 1 3598 3894 2 11824 6011 1 13881 5516 11 11212 46 1 2116 303 1 1822 2131 1 5304 3742 1 15318 1775 5 3342 2796 1 9532 10 2 5396 175 1 16699 1724 1 15400 3526 1 13278 4835 1 9859 514 1 9793 1756 1 10601 4036 1 3972 6084 1 3695 2405 2 10692 616 4 11935 1364 4 11340 1893 1 1 14 5 3653 2542 3 95 3283 1 16894 3253 1 13476 2601 1 15006 3471 9 121 575 2 15844 630 6 8638 2356 1 8160 7429 1 16412 23 3 455 6646 1 10165 5278 1 16838 6339 1 6332 231 2 20158 6435 1 1948 1721 3 19061 1146 3 6712 243 1 8884 231 1 9061 8072 6 12716 1719 1 9871 1714 2 3694 199 3 19612 7719 9 5750 5352 4 1367 244 1 9449 7815 2 16036 6868 8 5877 6334 16 17562 6543 1 6772 5451 1 592 422 4 4831 593 2 14562 5018 1 4330 7857 2 13083 4435 9 4124 6220 2 6664 203 3 14791 3669 9 3099 3637 1 9429 225 1 17887 8200 2 12276 2559 6 20065 1062 6 15262 517 2 1849 1887 1 18606 1938 3 20129 510 1 835 1819 1 10106 723 1 164 7466 4 19198 2097 1 11654 4099 1 6854 1728 3 18859 8127 5 3395 8054 3 7510 23 2 18325 7250 1 788 5817 1 20225 713 1 7879 1104 1 16982 6252 2 6651 2663 1 674 200 1 18118 2175 2 15832 222 1 15159 2998 1 6762 1715 1 13621 365 1 9572 5181 1 18849 1482 3 4784 1235 3 12702 2680 1 15412 1374 1 15780 3084 13 19219 442 1 17866 4274 6 20189 4402 1 5490 6225 2 6012 3472 1 13835 2626 4 4997 4963 1 7642 501 2 11164 3273 2 992 1482 1 2886 6693 4 17585 647 2 14156 682 1 3570 1879 18 16916 3626 1 17078 498 1 1546 1751 1 1498 310 1 2620 7798 1 18640 575 2 3581 3648 5 16851 867 1 13922 2354 1 4791 1663 4 18364 2132 1 8982 1664 1 19883 945 1 8149 65 1 17682 8167 2 3854 1037 16 13993 6435 1 3074 5305 1 16593 225 10 6398 1724 1 16241 7750 1 4444 3648 1 14011 631 3 11850 1252 6 87 47 1 13998 206 1 19590 6341 5 14522 2353 3 15568 223 2 5354 952 8 12286 532 1 11390 5251 1 235 506 1 16471 1025 1 11469 3207 7 17365 4065 1 19346 6902 3 4287 2849 3 16036 7995 6 19520 5792 1 16138 6702 6 16753 512 1 6989 742 1 7191 521 1 26 1561 1 13806 478 1 4505 1783 1 19270 7683 1 2619 3625 1 2943 3921 1 18193 1357 2 7452 803 1 19139 3021 1 102 4618 3 11340 1450 2 13909 252 1 2616 3045 1 7147 3283 2 18977 4245 4 16208 7545 1 7841 4296 1 1065 638 5 2629 1342 3 11499 7477 1 7769 2383 2 13438 3890 7 2973 1342 4 15513 3148 1 3718 1557 9 19281 5126 1 15119 1729 11 14706 171 4 18258 3601 3 16503 2683 1 1736 4179 1 17 1194 1 6681 3949 1 14658 5285 1 9835 7406 2 4566 3216 5 15536 380 1 17003 2506 1 14549 1191 1 873 637 1 16486 6091 1 16857 496 1 7706 2357 17 1507 1721 2 13015 252 1 3434 1276 4 12888 219 5 2936 7719 4 11995 8022 1 1506 1655 1 7970 429 1 2891 184 1 8158 1031 1 10554 499 1 7184 1760 2 9181 4603 2 3579 4635 1 13219 3072 4 10119 4830 2 7800 4833 1 9836 5600 1 2641 3723 1 17618 1734 4 7080 201 1 15208 187 9 7625 5358 1 2401 723 2 1064 4403 1 5766 1333 1 10698 859 1 6630 6383 1 9534 4648 1 10582 7529 1 10132 2378 1 18232 3968 9 18473 3830 6 18054 4645 2 13065 2363 3 715 368 1 17578 252 1 16083 876 2 10916 812 1 18297 4695 1 5358 4519 2 130 5790 1 6342 1730 1 6313 4403 4 1889 200 19 7994 819 1 8525 3511 1 18462 885 1 17746 604 1 105 4698 1 14800 6374 1 5293 1689 1 15272 1732 1 2701 1610 1 10553 3380 1 11472 5162 5 16491 4964 8 12329 4288 1 12888 1762 1 9572 236 1 8967 22 1 3683 6200 2 14890 917 1 12491 3333 2 17738 3395 1 8588 5121 1 16740 7318 1 10639 504 1 10728 5294 9 14687 3484 2 3532 5144 1 6145 4811 1 16730 4302 1 1488 1244 6 1291 411 1 5769 5252 1 17687 201 4 19314 1739 3 8174 2344 1 5176 1778 1 9930 4959 3 8793 725 1 8278 6220 1 16222 341 1 16766 184 4 5356 2009 2 3705 6065 4 54 2597 1 16843 3909 1 18315 861 3 9156 4450 1 218 1380 1 12501 1296 2 12874 3267 1 12119 6166 1 7332 5097 2 1344 4303 1 4634 3414 2 9525 1296 1 14921 2089 1 18193 3491 1 11742 443 3 12468 6640 3 7261 2700 1 14211 4266 1 17771 2488 1 5560 1756 1 20262 4306 2 17429 452 1 8151 1730 12 818 650 1 1310 1245 1 4870 206 6 18797 1814 1 1252 219 1 19601 575 1 14098 1305 1 18193 1718 1 17369 6338 3 226 1926 1 14762 229 1 12327 1761 12 14046 4024 1 5411 2995 1 10394 7256 1 5424 2114 1 153 6895 2 9628 261 1 11849 690 2 16029 2993 1 557 2145 2 5863 7814 1 6355 5294 1 11370 1681 6 1079 6526 4 2726 3759 9 10591 4879 2 19074 6855 1 5516 6751 2 17456 2727 3 11965 1724 1 15323 164 1 493 1277 1 15364 407 1 15498 5108 3 18757 2559 8 18201 7308 5 5532 6687 1 10817 325 1 10368 6349 8 8174 2268 3 16090 843 2 4589 5031 3 10149 1772 1 27 1600 1 6317 101 1 7875 1023 1 11184 507 1 19680 8184 1 13730 471 2 9930 1707 1 15220 1825 11 8763 2877 3 12319 1866 1 70 3276 1 4519 6091 1 11678 4242 1 9947 712 1 15071 1453 2 12104 164 1 13961 2559 3 18404 1241 1 11882 233 4 8409 4283 7 10011 1727 1 17870 7494 1 6848 1719 1 1518 8071 1 17223 1774 12 13485 2992 2 4410 1267 6 3240 191 1 6811 941 1 2914 3518 29 7884 1686 1 5365 5002 1 9195 1369 1 8826 1661 1 13486 1278 2 693 4470 1 13750 3135 1 3498 2240 1 12677 437 1 12569 6122 1 3005 1582 2 14253 3058 2 3524 394 1 13097 235 6 10586 3180 1 862 3764 2 17783 1374 1 1376 3827 2 15159 5252 6 108 4882 1 2583 7681 1 14721 4280 1 9356 4967 5 14606 377 1 5580 6051 1 340 2853 1 19294 214 1 1864 6993 1 19294 1244 1 84 3875 1 20 1340 14 1905 449 1 16863 3676 3 6657 4131 1 7376 386 2 6854 1727 6 1795 4401 2 14763 407 1 11035 3519 3 16601 8141 1 14305 2820 2 16026 4375 3 15575 619 1 35 1967 1 6997 5760 1 11882 3891 1 6905 840 1 17560 911 1 4841 541 1 20202 203 1 11562 2829 1 15895 7670 1 15259 1761 2 15591 4413 1 10593 191 5 1427 495 1 16048 1235 1 14114 260 1 12766 629 3 17476 3619 1 11603 215 3 15648 7414 4 2627 3442 1 10203 3 1 12702 550 1 3751 1334 1 1002 411 2 7463 5879 2 11367 1761 2 8430 3571 1 10772 2626 1 6859 403 1 4259 3338 1 15736 1248 1 1511 7282 1 14522 6335 6 3504 4531 1 3158 1356 7 16248 308 1 15343 6618 4 9269 489 1 4498 2069 7 17152 244 1 19872 368 3 5624 6596 1 8653 1072 2 13987 1814 3 10362 23 8 17606 215 2 16322 7750 2 1571 6640 1 19877 2571 4 6105 6049 1 9279 367 2 14710 2774 1 4850 4279 4 5830 2386 1 6722 5426 1 9828 2681 5 14090 5018 5 10692 574 2 13986 3309 1 13245 3974 1 2878 1819 4 7978 6477 1 12499 1184 7 6906 2881 2 17615 5332 3 10000 423 1 16570 415 1 8024 7868 1 12985 229 9 6991 2708 7 13795 157 14 2905 2789 1 13535 215 4 3365 1739 3 6609 7127 2 14011 3207 6 14308 8183 16 12594 5344 3 8439 207 4 16805 5303 1 10105 4333 1 15676 1121 11 9432 366 2 2274 2661 3 10233 7775 1 1513 2000 1 91 4119 1 6942 6139 2 16775 4384 2 6119 2878 1 12496 3007 1 3070 6225 1 5538 1201 1 17662 1275 2 12184 1752 12 7844 3811 1 7893 1769 5 9052 1658 1 845 5496 1 527 593 1 7382 6091 4 4305 5888 5 15634 3684 2 17859 184 1 6867 3005 1 7726 540 6 8525 6164 1 1839 6500 1 12482 4377 2 12760 891 9 20066 2883 1 15970 681 1 9753 627 1 19960 364 1 9733 1814 5 5831 534 2 11327 2675 1 12319 306 1 12613 222 1 18435 6480 1 11393 713 1 19760 3812 1 12915 6701 1 16695 2662 1 14213 5253 1 14106 206 3 2807 1239 1 5596 214 1 10981 4960 1 11072 1395 3 12821 5082 1 13582 1681 2 11168 2898 1 19708 6714 2 19490 156 1 1578 427 1 15026 4333 1 17174 557 1 19026 1357 1 15648 1236 1 5652 215 1 15412 7850 2 16879 4530 2 12556 3423 1 425 1404 6 13714 4286 1 6535 6714 1 13743 1663 1 20237 4060 3 2406 1244 5 18755 190 1 2741 219 18 18876 1700 3 5266 3608 1 8880 1023 1 14522 1717 1 2973 2068 2 6942 165 2 4651 2068 1 9270 5506 1 16310 962 1 6269 3311 1 4390 223 3 19995 2491 1 5053 5730 1 19380 5792 3 5028 3206 5 16547 1985 1 13482 303 1 13347 8188 2 18734 2639 13 9367 173 1 13002 2881 1 11861 2899 25 6420 4251 3 1551 1482 1 19955 1883 1 14458 4345 1 6093 308 1 18330 1241 1 13126 810 1 11572 1825 62 18963 304 1 16833 1895 2 12760 6920 1 2947 5052 1 10591 566 7 2066 303 1 1218 4375 1 3622 5234 3 7780 3525 4 13535 1342 1 1978 1290 1 10199 4436 3 11108 4246 1 12883 5326 1 3397 4511 4 9437 2384 1 12412 916 2 7415 5018 4 8198 964 7 5046 4245 2 6113 203 1 6570 7525 1 5613 2795 1 3755 518 5 4485 1112 1 10307 3946 2 17962 13 1 6884 1775 3 17421 4345 2 16236 1705 1 19193 2521 4 9981 6170 2 1539 200 3 5478 6091 2 9527 23 4 7214 165 1 16016 1470 1 11788 1991 1 13000 752 1 7228 2842 2 5306 3999 1 17019 1357 1 2917 2089 1 5130 514 1 7023 6691 4 12328 5011 6 13654 5502 2 13183 2193 1 2962 816 7 18543 3563 1 5928 1247 4 4617 5503 1 7024 1380 1 6420 845 2 13097 1241 1 12255 2367 5 399 4413 3 13685 6449 1 3871 3537 5 384 7599 8 3651 4482 2 16653 2559 1 14798 716 1 12009 8170 1 6492 1342 1 10568 1721 1 6244 100 1 9810 3828 1 141 3367 1 2094 336 1 19193 1235 5 5975 5324 3 10610 4491 5 20090 438 1 18320 7105 1 15726 7470 6 13619 4383 4 3085 1166 1 6708 1760 1 12639 3669 1 1564 7045 2 11721 5757 1 9862 2143 1 18820 100 1 15343 995 7 19655 871 1 5468 3374 3 18785 1755 1 13126 4413 1 16891 203 6 7406 1704 2 14818 1741 1 2315 164 4 16881 545 1 9674 1339 1 12922 195 1 15144 1163 1 8569 3911 15 14758 894 1 14905 223 1 19131 2722 1 4382 510 1 6534 4333 1 464 2710 3 7723 232 3 9419 2127 1 9197 6943 1 6214 7527 2 17405 289 1 15408 518 8 19649 1814 9 8856 5999 3 17970 2512 1 8969 1730 1 15478 3647 1 10828 1785 2 462 682 1 7553 2138 1 15059 215 3 6453 1824 2 1962 669 3 2274 7900 1 20039 4069 5 14768 2562 1 6145 7890 1 14975 5503 1 5806 3535 1 2589 136 1 6726 6664 5 12619 3851 7 3397 1721 2 2748 880 1 9165 4929 1 14341 1288 1 3888 206 1 8250 3262 1 19725 8012 2 16546 2146 2 758 1593 1 17927 7308 1 15940 3006 1 8654 1703 1 8396 215 1 16984 5288 1 1539 995 2 12759 207 1 11595 3736 1 4455 3621 1 4234 605 1 14753 1705 3 565 793 1 1410 2131 3 19610 7840 1 5588 5565 1 4055 3467 1 3348 2146 1 17695 225 4 2806 1395 7 2809 1819 1 16758 23 1 7197 5379 17 10502 5565 1 2441 867 15 6701 1184 1 27 1645 1 2905 5397 1 8494 3334 7 15405 518 4 11409 6016 1 11 371 1 8528 1756 1 11122 4394 5 6332 877 2 12892 3170 1 18565 7533 2 18705 510 1 16588 2460 1 171 7628 1 11784 1244 2 1711 4458 1 3536 4333 2 19515 7876 3 10598 4293 1 18560 7294 4 19338 148 2 3964 2998 1 15578 4979 1 18860 7468 1 663 191 2 13643 6100 1 8391 625 1 16208 4714 1 8082 419 1 17220 960 5 18944 1531 2 3773 222 2 20007 6481 1 16055 1771 8 2126 1245 2 3147 2409 1 15012 186 1 17009 1245 1 8278 960 1 2045 510 1 171 7813 2 11877 525 1 19747 1731 2 13634 6460 12 14784 200 1 3606 1772 2 5998 6355 1 12918 1825 7 19226 411 2 1206 4587 1 8621 3145 1 13490 3729 2 11658 6962 11 15090 6415 1 6709 945 1 13461 1760 4 7451 1751 1 11773 1259 2 8174 743 4 18158 4649 1 18795 7165 2 15681 292 1 1969 7003 2 11938 855 2 14305 837 1 8237 347 1 20090 402 1 8874 4603 1 10119 2626 1 18257 2450 2 11581 186 1 6105 6065 1 10635 190 2 7876 2367 2 3903 2068 24 6172 6487 1 1288 2836 4 16006 6538 1 13909 5399 1 13 827 2 60 2741 1 7165 1582 1 19486 1245 1 7962 525 1 12455 2307 1 193 3643 3 11151 1775 1 9556 201 4 3642 2088 1 16016 4604 1 2604 1995 4 13290 33 3 777 5565 1 12548 3637 1 19409 484 1 9827 168 1 20177 8137 1 9308 6801 1 109 4997 1 5163 6536 1 679 891 1 6596 1819 2 12106 6200 8 73 3368 2 15982 7444 10 14369 2883 1 196 1691 1 13615 2955 1 9224 722 3 2446 3617 5 7819 1771 2 14606 2517 1 6549 2040 1 5950 6192 2 9743 2918 1 2419 1814 6 10843 5300 1 19380 3732 2 19160 1779 1 11554 201 2 19559 4357 1 12807 867 7 2863 3511 1 9978 1290 1 81 3658 1 15406 1305 1 1969 214 3 6232 23 2 8772 4132 1 5318 1731 1 9224 594 1 2961 223 1 4036 1313 1 16980 958 1 1257 5270 7 9441 535 3 8311 206 1 10168 6170 9 1013 1241 1 4539 1737 1 5666 716 1 3695 3551 1 14708 7320 1 2423 7021 1 5038 57 4 10469 3489 1 3189 5879 1 3940 828 1 7651 8095 5 12343 504 5 1372 1025 1 3168 1740 1 20019 200 1 13294 7735 3 5454 7381 10 11947 4402 1 16256 4371 3 4517 221 1 19764 1334 2 8458 4998 16 648 1191 1 20225 720 1 8323 3795 1 19887 221 12 4068 1703 1 17191 3645 1 15679 2671 8 8653 745 2 11858 200 1 15419 1827 1 18323 1150 5 12421 4967 1 16797 501 2 7276 23 1 14769 6252 1 12322 173 1 121 5342 1 18939 3932 1 19937 5064 4 787 3511 1 296 1686 2 2712 1771 6 10316 4245 33 7702 244 1 19652 191 13 18220 4120 16 19872 5398 4 15412 3167 1 15180 2877 4 6681 8083 1 16481 233 2 4805 2358 2 413 7298 1 6420 2686 1 939 2683 1 13645 4029 2 8653 3570 1 15117 1762 2 11658 4600 12 455 6562 1 4784 4608 12 2313 2721 1 3000 3071 1 3391 1035 1 16109 2354 3 259 3228 52 9282 867 1 16390 252 1 15866 867 3 916 5342 1 9034 347 16 10236 1319 1 13217 4380 1 7609 7295 3 7693 3869 1 2104 1067 1 5132 4723 6 17460 800 4 836 1979 4 5448 23 1 19621 5289 2 15511 3212 3 7105 4998 1 11667 2860 2 7387 6231 2 1447 7847 1 10145 5741 3 4742 3175 1 18568 8067 2 15339 229 1 9999 4343 1 7536 5560 1 7451 1245 3 16759 2241 1 7440 235 2 17317 7749 1 10452 874 3 6162 498 1 13250 203 1 10288 3669 3 2905 2720 1 1662 7832 1 13411 6178 1 4337 1374 3 14193 6665 2 15427 7098 8 7882 545 2 2104 7426 1 14555 1342 7 7203 3239 14 1616 2768 9 11675 310 5 4469 982 16 87 232 1 4316 184 1 5504 657 1 18914 1251 2 4888 995 1 8054 6059 6 12932 5502 2 3347 169 1 13399 2109 1 7349 8194 4 20193 2691 5 3146 2362 1 19014 1710 2 7082 5332 1 10147 8054 1 7572 3020 1 5841 536 1 11786 4196 5 15272 368 1 487 8091 1 19538 11 2 10553 6082 2 3351 4022 1 6107 1772 7 11512 6345 1 8459 203 1 6332 627 1 10494 8145 6 18042 4203 1 8223 1652 10 83 3743 3 2345 4392 1 12360 165 22 7273 883 1 15883 6242 1 6929 184 1 16951 4518 1 14406 2103 1 15204 23 8 16812 329 1 14775 502 4 1145 219 3 17526 200 10 5729 2105 3 11301 1721 1 10438 5792 1 18812 196 36 13806 736 1 15307 635 1 5310 605 1 6247 1719 1 19916 2013 2 7441 1253 1 1269 8095 2 135 6206 1 3852 5284 1 9454 5879 1 5741 6706 3 11370 867 1 8467 6047 2 174 7938 2 6070 1914 2 12660 3630 1 4301 2355 5 11369 3554 1 4163 7027 1 9427 6103 1 12919 2981 1 2167 5447 1 13328 6669 1 559 3491 1 8657 53 1 9324 4111 1 9445 863 1 13260 7997 6 19995 379 1 18879 6665 2 15263 207 9 15094 3012 1 1962 2794 5 9497 6134 1 174 7959 1 3031 221 7 13205 1912 1 11284 2559 1 1555 3871 1 7406 7665 1 13 885 4 3878 3298 3 14233 1582 1 5977 7829 2 11044 3781 2 13343 1635 6 3019 4069 2 8408 596 5 15263 173 1 10274 222 17 10036 2351 1 6382 1732 1 18128 5408 2 9935 4014 1 5625 1739 1 13892 904 2 16792 2254 2 1132 516 1 14481 6334 1 12102 5090 1 7636 6139 4 2920 235 1 5216 303 1 14845 1819 1 12520 7946 1 2899 222 1 7780 1221 2 4127 229 2 1971 5574 1 19712 3686 5 10 357 2 4301 234 3 17607 1374 1 2274 190 1 17585 5996 2 4049 562 1 15390 103 2 16326 2994 1 13928 903 2 10079 5099 6 20137 411 1 1191 3747 6 11739 3760 1 10192 3050 9 10518 409 1 7870 1524 10 8088 4587 1 19639 336 1 16426 6677 3 2410 78 6 4593 5758 1 13387 2668 1 17688 745 10 1705 5186 1 171 7793 1 1040 8176 1 12757 5414 1 15743 1827 1 14745 5018 1 13574 1423 1 170 1752 5 8532 1731 1 14232 4983 1 3818 7256 1 3884 200 1 2028 4818 1 19282 7531 1 12807 244 1 10055 2981 5 1530 1146 1 174 7923 1 20019 1649 1 5524 478 1 7041 1717 1 3664 5792 2 15376 6342 6 19569 1363 4 18363 4458 1 11964 903 1 19140 6259 3 14918 207 7 7823 427 2 8323 6854 2 8787 7632 1 14087 1296 2 4092 7396 1 18828 3537 1 12900 2495 1 745 854 1 10354 223 1 3570 4476 1 6089 13 3 19810 4902 1 2531 995 5 51 2529 5 1529 5758 5 6943 1827 4 18748 303 1 3734 219 1 16564 207 1 15312 1286 1 9181 214 1 15721 1128 5 7795 484 1 4357 8159 1 20031 3333 1 4960 6435 6 17664 1724 1 14727 3257 2 16875 3535 1 19137 2058 1 12468 23 1 14482 2281 2 11387 2998 1 10078 1342 1 2796 3471 46 889 7482 1 14965 3479 2 8506 4528 1 13582 2691 1 6292 1095 2 11163 206 2 14558 1956 5 4660 5048 3 7872 4351 2 12103 3167 3 4359 6195 1 14970 5267 1 13080 1718 4 5249 510 5 19022 834 4 15104 5903 9 17662 863 3 18280 2648 1 18376 7073 1 15932 3705 1 6452 2552 1 6242 1342 5 9261 203 1 17378 6334 1 6913 1825 1 1752 3143 2 13508 3482 2 1131 4603 20 10592 786 1 745 2415 6 19728 196 1 9782 3578 2 15795 1775 1 4828 2114 13 9674 2158 1 4914 759 1 18469 4992 1 4397 1139 1 2186 2969 1 12330 6713 3 9374 1146 1 11050 5402 1 17689 7021 2 10785 1716 1 8061 4622 2 10360 7826 1 14522 7219 1 4452 1251 3 14899 4005 1 11872 4304 1 7481 206 2 19177 3653 3 9737 1453 1 15907 3138 1 9030 7225 3 18461 1495 2 5840 6576 1 171 7704 1 10327 891 3 8530 1883 1 20092 524 1 14549 1184 2 5872 2071 1 3414 7592 1 9453 1402 1 6203 1781 1 4589 4983 2 19360 2715 1 7261 1342 8 20180 682 1 89 4039 5 9655 5437 1 11230 3146 9 2344 4245 1 7684 5036 6 16253 186 1 11430 1722 1 19248 5756 2 13231 1909 2 10858 3485 1 14921 1248 10 12217 4387 1 9480 579 1 2829 4027 1 284 1906 6 4688 797 1 19450 8065 7 18696 7763 3 8082 7576 1 6818 7565 2 12844 1721 1 6687 1238 1 5954 3621 1 19554 3502 1 8681 3078 10 14837 2256 3 14522 1707 1 9091 2557 11 836 1950 3 11786 2990 1 13125 6058 1 11556 6713 2 7760 6414 13 5401 4118 1 3827 2127 1 19267 709 2 14599 607 2 5879 201 18 14684 2184 1 4146 2584 8 113 5085 2 6349 1282 2 19727 2951 1 4963 1250 4 5205 1825 1 3395 229 1 6070 5504 1 4001 5757 1 13670 4461 2 17403 3798 1 12899 7282 1 4519 2076 1 7699 1761 1 10283 7250 2 11261 769 1 10354 3855 4 4397 52 1 17222 4345 11 5564 207 2 2546 636 1 11954 2931 1 2174 4840 4 9876 2366 1 8603 1739 5 15419 498 1 18679 398 1 14127 3203 1 5261 3081 1 13177 1825 1 18397 6085 1 19899 1764 3 16364 2369 1 16340 205 1 16142 336 1 3822 3283 1 18788 308 1 10958 3526 2 17977 220 4 2086 1593 2 153 7093 1 135 6171 1 6651 1703 1 14748 4467 1 17403 2495 9 11165 1359 1 2344 1827 1 15331 262 2 9154 40 9 20123 1369 1 5453 5840 14 10400 1819 1 7464 1518 2 13117 7033 5 5251 3612 6 19420 1250 5 20032 3041 1 7754 2732 1 18042 890 3 4267 785 1 11333 638 6 14330 2352 2 5117 691 1 10573 1703 7 2507 3851 1 3109 2191 3 35 1913 1 14259 3747 2 5401 231 1 2204 939 1 12919 6551 1 16859 5997 2 62 2810 1 12885 5519 1 3831 222 1 20256 7726 1 2128 5855 1 12366 3697 4 16274 219 3 16806 6677 1 16230 548 1 12311 6058 3 15314 1739 1 20068 1615 1 19262 3325 1 8329 903 1 6010 7850 7 1137 292 1 6213 1703 1 3213 1724 1 13093 6702 49 12837 6591 2 11476 5018 1 7333 3907 1 10242 411 1 232 229 1 17242 3423 1 2545 589 1 7774 8167 3 31 1733 5 8665 508 1 12777 589 2 7003 206 6 19790 1035 1 2513 519 1 7683 1236 1 16680 910 3 17191 681 1 8558 525 1 12464 545 4 4305 5829 3 11947 3207 2 19789 2646 5 12283 1184 1 17159 519 1 5580 6874 1 1 40 1 16189 2808 1 696 1825 5 17771 2009 2 3697 1729 1 2886 711 1 4539 1395 1 10179 3729 2 5981 640 2 8139 4008 1 18250 82 6 2649 2247 1 12378 5758 2 5103 7149 1 5258 2416 1 16853 6407 1 121 2489 1 18033 1781 10 12929 233 1 13482 2355 1 11407 2057 1 6448 5259 1 15205 1629 1 6120 3592 1 19331 1450 1 18523 4104 1 1712 2915 1 15502 15 11 3309 308 1 1756 23 1 18081 1770 1 3432 3426 2 835 6106 1 19707 426 1 4397 4554 1 16491 6446 1 16895 3771 5 14658 74 14 20173 1769 2 17653 888 2 13642 3518 1 19654 7022 1 1837 4877 1 18678 219 1 19870 638 1 4074 6697 5 20274 508 1 16739 3167 2 16779 520 1 4691 1729 3 2139 1745 1 4092 4382 1 17558 1752 1 7908 1704 2 18096 372 1 2321 4662 1 10522 545 1 17716 471 1 8731 501 1 10622 1670 1 167 169 1 18478 385 1 4773 889 1 3399 4711 1 1174 207 1 3115 1824 1 17696 4448 1 16786 5565 1 11031 5758 99 4043 2675 1 12592 698 2 1405 344 1 3892 7254 1 15530 3899 2 20145 2683 3 16621 1663 3 19785 3077 1 9935 5495 1 17463 4022 1 19185 3621 1 11523 1399 4 19428 7105 1 2647 1819 1 13922 3540 2 11317 164 2 16563 6363 4 13200 1762 1 15098 1695 21 15791 4188 1 6848 1739 1 19314 3161 2 14942 1153 1 757 1908 7 12152 203 1 15265 237 1 10899 4312 1 19188 2970 2 16370 5077 2 12603 525 1 16730 668 1 19821 3556 22 7181 4447 1 10036 1761 2 14295 4390 1 14080 6053 1 11181 2428 3 2689 579 1 10730 4939 1 18212 4435 1 1937 6585 1 2935 4813 1 13700 2056 2 17083 499 1 19723 200 5 9432 1343 1 4050 2068 1 8241 1243 3 4264 2899 10 18431 3554 1 18214 302 1 3491 1737 1 7607 952 1 6570 22 3 11377 5567 1 15204 3167 2 349 2246 2 16388 5551 1 18719 7127 1 6009 875 5 7473 244 1 2319 4274 1 4199 2600 3 16267 6021 6 20068 23 1 15974 3512 1 6933 4807 4 8198 2003 1 2194 945 2 10160 1775 3 16215 899 1 19079 5666 1 9912 6068 1 5441 7332 1 18634 3378 2 10880 1946 1 7208 5789 1 3014 3671 1 4448 1445 7 16391 512 1 10327 500 2 3081 742 1 4489 1453 1 10948 580 19 9058 203 45 5424 5347 6 7920 2333 1 11388 2675 3 18459 223 1 1801 634 1 12580 1739 2 684 235 2 17924 6128 2 113 5055 2 11880 229 2 18631 6534 1 10498 1291 1 18733 1770 1 19422 955 4 5981 3956 1 2917 6687 1 3498 3654 2 17850 1376 1 7203 1007 6 11530 74 6 13148 1342 1 12737 221 2 14841 7616 2 13733 7714 2 2215 1721 1 19872 5391 19 18116 7483 1 7285 41 1 14826 1999 1 19106 526 1 4691 6207 1 15328 1903 2 19655 460 1 6712 836 1 11561 1727 1 6872 219 1 18009 5324 3 2162 5817 2 10294 336 20 6478 3511 1 2024 952 1 10313 2981 3 6152 2521 1 13743 2918 2 10839 4590 2 15617 470 1 4687 2354 1 17678 1768 2 16096 4792 2 14037 1271 1 271 2352 6 7211 692 5 727 1658 1 5775 4615 3 19319 7850 1 3806 224 1 3928 3485 1 612 6331 1 20007 4203 1 9501 197 3 1356 1469 1 17548 608 1 8334 1241 1 14276 3832 3 12496 3921 1 20058 2830 1 1291 347 1 6867 2686 2 1461 3385 1 18972 291 1 1714 3460 1 7498 8013 5 15082 2071 1 12897 658 1 13426 1770 1 7144 6341 1 3501 1367 2 13990 206 1 15168 975 1 17452 1363 1 16276 443 1 62 2770 1 16139 1707 1 15547 2632 19 6414 4995 1 16500 1238 1 16254 244 1 13623 5390 1 658 2701 10 13730 4834 1 13124 334 1 12895 1907 2 11634 156 2 6701 1404 1 17738 6953 3 7682 685 2 18421 46 5 19034 7628 2 16614 1587 1 19338 207 1 14758 892 1 15607 411 1 4244 1883 1 10730 215 14 2075 6428 7 1485 8139 1 6703 23 6 17000 6214 3 3032 313 1 8439 2013 1 2998 4972 1 9489 200 1 13508 1184 1 15468 274 5 11687 6160 7 3421 1244 5 14434 903 3 8219 4987 1 1398 1819 2 6346 2588 2 15468 1946 3 4332 1686 1 11131 1272 2 9421 6192 1 13919 3409 2 322 1707 3 5312 800 1 12525 3348 2 570 244 6 12705 313 1 4886 231 1 4392 220 1 16478 342 2 14758 3351 1 10766 7634 1 1540 1720 22 855 1209 1 6193 707 1 17159 3071 2 18633 2397 1 19091 3684 1 5963 903 1 20123 7027 1 18320 1035 1 6342 1235 1 767 5677 2 4327 1729 2 8111 2534 1 14373 3939 1 1839 6460 28 14452 4096 1 14422 7201 1 4663 2013 1 13430 1728 2 14590 2584 1 7640 1776 1 11922 7237 8 86 3936 1 2548 1756 1 16215 1737 12 4214 2572 1 5267 4049 4 10630 222 1 9017 6150 1 8872 1783 9 6345 3799 1 4811 1743 1 8742 225 1 4092 1663 3 4688 728 1 13894 252 1 8918 2884 1 15952 1042 1 9224 766 5 19687 3610 1 18431 2542 1 3128 3644 2 14522 1770 1 14109 805 1 18246 7740 1 17195 6450 5 12710 2649 2 314 5054 2 14690 1781 1 9714 333 1 18545 4427 1 14786 219 1 3520 2699 1 19898 554 1 18158 637 1 12888 2668 1 17132 1695 1 6485 4252 1 10078 2980 1 4732 2938 2 18599 554 1 16134 1054 1 11502 6078 1 15921 1582 2 12584 6065 2 9921 3283 1 14217 336 1 3542 3511 5 4615 173 1 18593 2653 10 16743 5467 2 20169 514 3 4913 8106 1 3822 367 1 11444 7167 2 5340 225 1 13735 1395 1 6213 6520 1 2764 173 1 15329 2388 1 2162 201 5 16944 2876 4 18237 1718 1 12098 5225 6 5049 962 1 3204 3915 1 7480 579 1 17246 1374 1 13829 4929 1 19340 1561 7 14128 5138 3 12644 201 1 11422 2653 1 12241 1438 1 10786 7089 1 10435 4252 2 19620 1814 1 15736 1247 1 6362 374 1 18752 5400 1 169 3556 1 4746 1067 1 17159 510 1 19193 1246 1 2075 1903 1 5264 2263 9 7684 3202 10 20044 1615 2 4009 2884 1 11591 713 1 16232 506 4 9512 1309 1 16468 8034 1 14696 3653 2 11906 6259 3 932 7289 1 19348 4528 2 5957 470 1 5361 207 8 14233 2106 1 5025 1721 1 20193 2692 7 9435 4470 3 932 5513 1 13339 6717 1 622 4615 9 13771 3447 1 13077 3556 1 153 7002 3 19319 1770 2 15736 4029 3 6827 2633 4 16966 6668 3 2011 519 1 7016 964 1 1672 524 7 5696 340 5 8528 502 4 12274 2675 14 7336 214 12 17404 4792 1 19436 6053 1 1436 3756 1 7490 7350 6 10835 2268 3 11418 5928 1 14643 6542 1 11586 952 1 14663 1373 1 18587 6091 1 7340 6713 1 1200 1396 1 798 225 1 1389 194 1 17013 1239 3 3286 46 14 17011 1770 4 18149 1717 7 7206 3425 1 11960 4774 1 17986 509 1 15502 6618 1 14629 2488 1 6292 386 1 349 3352 2 17084 4262 1 12453 6656 1 14298 7466 1 1026 564 1 14581 23 3 19784 8141 1 5540 2605 1 7253 891 1 10916 451 1 16474 5385 1 19398 78 1 5890 4850 1 7406 23 1 9937 215 1 8156 7404 2 18862 891 1 11188 5955 2 11192 606 1 13266 4119 11 3613 498 9 17198 2581 3 7767 1991 1 17862 2840 1 2454 4122 1 17035 220 1 6846 3666 2 8946 917 1 15314 11 2 6325 1819 2 13399 6723 1 18768 3066 5 3096 8042 1 9813 4684 1 19331 225 4 14666 1781 6 15683 282 1 10293 7240 2 8051 3540 1 15559 6607 1 15113 644 1 18853 3906 9 171 7646 1 17944 5424 1 6500 7250 29 17781 1748 3 18525 1734 1 2887 7395 1 9916 164 45 19090 4534 1 73 3409 1 4620 2064 2 16174 258 1 12448 2269 1 9044 3865 4 14767 203 2 19622 496 2 10006 1146 5 10399 4789 1 5235 6607 1 7958 535 1 4857 156 1 13190 134 1 6560 1182 3 9014 1825 1 10528 1054 3 8591 8167 2 2592 4572 2 11654 3705 2 15371 203 23 5185 5254 3 12934 1146 1 6987 5505 2 9134 237 1 10447 1334 1 8490 5064 1 4970 8121 8 19178 3556 1 3604 7368 1 6158 3489 3 7412 2832 1 15111 5427 27 3267 911 5 17173 5960 1 6064 6546 1 324 2887 5 7620 4074 1 349 2088 2 15015 2262 1 7665 2575 9 5897 7222 2 10788 3408 1 7993 200 1 8537 1658 1 13965 207 2 17846 1154 1 8831 584 1 13919 839 1 8142 201 1 6183 910 5 5727 1819 7 5036 1739 1 19822 4970 1 9306 127 1 6979 1783 2 3972 5543 1 11929 4890 1 7469 3255 10 17909 945 1 16895 1304 6 16310 292 1 11353 7025 1 5424 1035 1 6278 409 1 19990 510 1 9656 5804 1 4423 3510 5 14647 2555 1 7592 1241 1 14211 3519 1 6406 2367 1 712 1775 1 7613 1758 1 19380 2139 1 15121 3900 1 13757 190 11 12281 222 2 3060 2341 1 14683 1710 2 17346 1824 1 17725 201 1 16667 1819 2 696 1250 1 16943 2265 3 51 2528 7 7672 3892 5 2267 4591 2 11874 7582 2 4525 517 30 15315 5468 3 10311 737 1 15398 914 1 18231 6242 2 11616 5849 1 6397 4596 1 11622 1312 3 15471 307 1 2937 495 6 16881 6880 2 7991 1635 1 3505 4794 1 10169 243 1 19881 5440 1 12817 215 2 15294 378 1 18411 7201 5 9147 1315 2 18508 1318 1 10754 207 1 32 1796 1 7991 1529 1 16698 3220 1 10482 5612 1 20070 220 1 11107 3591 4 13937 7512 1 16586 347 6 3972 5510 1 11569 1308 11 14612 3480 1 170 203 79 9007 3074 2 5580 6083 1 2319 5466 1 5407 13 1 17528 4367 1 9324 204 1 14132 5540 1 19995 6539 1 6138 132 1 13529 6107 2 9720 3427 1 10826 733 1 886 6776 1 5097 4312 1 14746 2056 3 5881 2675 32 3970 4929 4 3814 7255 1 15819 7600 3 12434 8238 3 10591 1238 1 6581 235 1 14923 5156 5 1129 1305 2 3663 399 1 824 191 1 8997 2678 1 13928 864 2 3118 698 1 7652 496 6 11190 34 19 557 4972 4 10570 7850 1 2646 10 1 14753 1248 17 14635 6097 1 9537 2789 1 11367 2675 2 7868 1184 27 5216 198 1 12592 8031 1 8171 1374 3 9445 545 1 19727 2488 2 6808 6159 2 379 679 2 7047 7254 4 5123 1307 20 20106 1150 1 18657 4202 1 19160 1719 1 593 201 3 17410 534 2 11098 2739 2 3110 2724 3 10633 5229 1 19698 4435 1 16109 1736 4 14079 1403 1 11023 4441 1 4030 963 1 1465 201 3 15987 3515 1 4320 880 1 5324 7409 1 16276 13 1 835 4019 1 16650 7674 2 11504 534 2 2321 1466 1 12057 3283 6 16698 126 1 14042 7961 1 8109 867 1 11757 6052 3 15943 8034 1 4332 6706 1 11866 5353 1 5112 533 1 11591 634 1 11346 385 4 9708 2565 7 8892 6706 1 13436 2080 1 181 8212 3 10525 543 5 19034 4845 2 4682 1407 1 1176 368 1 8427 23 5 17899 1226 2 824 6706 8 166 6183 1 4558 2721 1 18457 525 1 3178 437 1 3085 4258 1 18635 2137 1 19659 3674 1 54 2603 1 7166 512 1 18732 2584 1 3060 2138 9 824 5425 2 19616 6682 1 456 23 10 3853 6673 1 1053 2930 2 8744 3908 1 2286 3671 1 14060 498 2 12930 1354 1 18124 1917 1 19442 2327 1 6614 3216 1 13346 3660 1 11602 501 2 4671 600 1 20000 2663 1 17589 2982 1 2088 3516 2 5330 498 1 11435 3917 1 3417 3729 1 10107 199 1 8911 5120 1 6592 638 1 6644 880 1 127 575 2 10146 359 1 18193 6897 1 15251 891 8 18797 3655 1 9224 839 1 10608 532 3 13472 7696 1 3318 2248 4 4267 8051 1 4852 5575 1 8571 505 17 7058 431 3 559 4459 1 5023 175 1 3146 4636 1 17389 952 2 4055 4314 1 15782 6018 1 7452 148 1 5395 3263 1 8746 1290 1 2094 128 1 18748 1424 1 18272 3649 2 18386 968 1 5407 1698 2 3283 7404 2 9395 505 1 8250 5051 2 5932 8240 10 5897 1727 8 4851 220 1 1722 7508 20 1745 3487 6 19159 1774 4 9257 5097 1 18336 2571 1 14011 3367 2 5353 2354 2 14381 5292 1 17871 467 2 4268 2342 1 7232 5234 5 8606 1727 2 17011 1965 2 1705 573 3 19159 1507 2 4153 2089 3 11110 2167 13 4057 684 1 6662 3512 7 7179 141 6 19710 4589 3 9737 5420 1 9976 3204 1 10457 1698 1 13645 1243 2 4926 3221 1 4126 1710 2 8125 206 1 11158 619 23 13672 4615 1 19327 2646 1 15615 6169 1 11601 1244 4 14350 4448 1 1009 5011 2 11729 7926 3 8868 2581 1 777 1827 13 13551 3694 1 9968 5451 1 17816 5999 10 14602 7616 2 9220 6153 3 8585 2656 1 15510 1752 3 14305 3837 1 13833 1333 3 1088 215 6 11131 1691 1 1063 201 1 953 320 4 9658 1846 1 13756 5922 3 16599 3516 5 8266 647 1 15398 950 1 17652 206 5 19331 1756 1 12542 3574 8 16583 2007 2 7065 5800 1 9082 1105 1 11720 148 1 9093 1779 4 12640 2760 1 304 4296 1 8045 2552 1 745 219 1 19461 4667 1 13590 644 3 13308 2968 2 17308 1825 1 3935 1363 3 16432 1241 2 12279 541 7 456 519 8 18153 6162 1 7956 5390 1 15247 1464 3 12989 6539 5 11108 4538 1 19881 3655 1 1241 4245 5 15683 4599 1 17989 1991 12 1092 7229 1 18149 222 1 16532 812 1 397 7643 2 9609 7719 1 18535 270 1 6473 265 1 18118 863 1 19109 5356 6 2153 4960 2 2796 244 2 16167 534 2 4468 219 226 2428 4395 1 1627 3552 1 16624 5325 47 6478 1705 8 3663 2511 1 5815 4013 3 12135 5830 6 18964 7527 1 18154 201 1 8589 8057 1 17615 7542 1 16674 200 8 13 642 1 4483 1243 5 3788 325 3 9759 6719 4 298 1251 1 1074 520 1 15220 6793 1 9910 1296 3 5298 891 2 13 804 1 12057 197 1 13671 2675 6 19380 2581 3 14385 395 3 14597 205 2 15657 7632 1 3330 2675 7 3570 6488 1 873 5289 1 11297 1784 1 6806 74 1 14035 4732 1 5064 877 1 3695 642 2 13283 7542 1 12433 255 1 10399 510 1 14923 1782 2 15952 1685 1 14374 1539 12 8104 7692 1 12867 656 1 8997 3255 1 9868 3213 1 8537 379 1 18667 225 2 140 6423 1 11915 2555 10 1792 206 2 10916 141 1 20128 206 1 17328 1888 1 13787 525 5 14060 514 2 9680 4304 2 15348 976 1 126 5607 2 171 2691 1 15404 2360 3 17132 2760 1 784 2980 14 12633 7815 1 4667 3170 7 7879 225 1 10381 1745 2 10880 1742 1 2332 3691 5 11381 1721 5 17521 7407 1 10733 1380 1 12501 1482 1 745 1720 1 18017 7857 1 16448 7719 2 5430 2671 2 15159 1283 7 5356 365 1 4092 5281 1 7790 5829 1 95 4377 1 4458 1269 2 10692 674 1 8018 6162 1 3705 6268 1 565 2109 1 19655 880 1 17932 2138 4 19906 4411 1 170 2385 9 8567 4621 1 18207 1244 1 13230 1573 1 18843 2138 3 862 3363 11 674 219 12 17634 4004 2 15310 1589 2 19425 4623 14 17510 2923 6 6907 6053 1 17572 5099 2 16506 1415 1 906 3636 1 12119 1995 1 7076 6174 1 5456 2304 1 2744 6980 7 16931 1737 1 74 3463 2 14834 2686 1 9401 23 2 4932 2056 2 7769 1363 3 160 7332 2 11687 2671 2 15146 1236 1 3085 409 2 11455 4838 1 11699 3666 8 480 3449 11 8925 518 5 7306 791 1 14852 1748 3 15429 4972 6 8489 3191 5 3856 3895 1 4332 4435 2 4296 1450 1 8245 7121 1 4330 1724 1 4023 441 1 10129 1241 2 3970 7494 3 17803 1317 2 18932 658 1 10000 137 1 10245 4355 1 9976 4307 7 11436 1720 2 11297 2555 1 9194 2488 1 911 1814 32 20239 2586 1 1746 759 1 15273 6237 1 6158 5466 3 872 6933 2 4572 441 4 15869 4792 1 3521 6658 1 2243 6170 4 3013 3308 1 3048 649 1 12278 1267 1 4143 222 2 20072 4963 1 885 7474 1 16938 1734 3 9109 2532 2 6658 1986 2 14416 2542 1 18625 1244 8 5249 1752 4 12244 1076 1 6728 8081 1 15502 1720 10 19995 3819 1 17298 1707 1 5827 4297 1 5350 397 1 12575 331 2 9566 7616 2 17992 6289 1 13276 1253 2 10182 6007 1 7451 1825 12 18524 1357 3 2674 3697 1 16740 2460 3 15102 7431 1 252 4014 1 3664 4380 1 7610 767 1 13383 3519 1 10817 6335 5 14026 3429 1 6068 1734 1 11627 5319 1 14459 5770 10 65 3104 2 13405 4266 1 5067 447 4 16196 4612 1 18891 2992 1 8131 499 10 14685 2488 2 222 1303 1 8439 470 1 18119 5018 5 19030 33 5 5856 201 8 8585 3575 3 14291 6225 3 4183 5253 1 1560 2423 1 13700 6358 3 4860 67 2 278 874 1 13084 1395 1 4202 5105 8 16726 8109 2 10360 8017 1 2356 7407 1 7023 533 6 5744 1729 15 6343 5996 1 8557 5137 11 17033 1761 1 16894 7075 1 2529 712 1 8391 5164 1 9799 1823 1 9891 1399 1 14629 4120 1 15885 2813 1 10225 7300 1 4597 1888 1 19283 4963 8 13879 3330 1 5373 206 1 6116 534 42 1636 5507 3 10864 244 1 14018 3329 1 12519 779 1 8614 5427 1 12481 184 2 10826 3798 1 5367 308 17 164 4977 2 7825 62 1 14906 2673 1 2140 3518 11 4167 3164 1 15608 4538 2 171 7814 1 1937 4737 1 13110 1761 1 11548 524 2 17321 6507 2 1393 752 1 7412 259 3 14489 525 3 11786 680 1 13736 6925 1 17843 2369 1 18425 2269 2 14755 2855 1 11622 203 1 8025 5353 2 17120 1758 3 6479 1246 1 17717 864 1 13341 6661 1 5877 1142 3 2367 1656 1 10645 6709 1 13653 1618 1 3136 236 6 5467 6127 1 17932 6192 3 10004 2633 1 15978 2353 12 4397 7090 1 7887 4059 20 20187 244 2 14089 308 4 2151 6083 3 17512 1268 2 835 3591 1 15041 5466 1 2045 1357 2 17165 3068 3 6644 1665 1 15395 3511 3 7001 219 8 8393 510 3 18476 6484 1 7627 2362 3 3698 5249 2 11542 7424 2 13162 596 6 8909 207 2 3553 4403 1 1231 512 10 4765 532 2 15318 6334 2 17203 7054 5 5395 3592 3 775 28 1 14055 7194 5 7621 1356 1 4110 1245 1 4902 1758 1 19219 198 1 15608 728 1 20 1379 1 18226 1743 1 11923 23 2 11238 7859 5 15263 203 41 1253 4391 7 19367 7815 2 15802 3417 31 5573 2964 6 18251 3308 2 18247 7617 1 11131 4606 2 15778 6484 1 2605 5048 17 5652 1819 3 15530 4397 4 11934 8178 11 15484 222 1 17558 2356 4 8946 918 1 2051 1981 4 15849 1244 1 16063 7156 1 10650 1621 1 6913 2029 1 8448 3749 2 15629 552 1 19159 3273 2 18115 3298 24 2918 1789 1 17818 3900 29 6228 658 2 15354 1710 25 11710 1060 1 10354 6245 3 10223 1630 1 18393 1819 21 19174 203 2 18116 4635 5 5637 1825 1 15211 5333 1 12902 5294 6 5303 7313 2 17454 1332 1 6016 1819 2 19826 2342 9 542 4008 1 16388 8036 1 19075 1241 1 5227 3168 1 3463 1105 2 2925 850 2 3127 1342 5 56 1755 1 16695 1251 1 17761 221 1 16986 2327 1 10342 581 1 15879 1740 1 16348 6139 4 18116 7857 1 13341 5468 1 10876 470 1 1698 6161 2 4492 1825 7 10923 827 5 1887 1996 1 6158 7591 3 5646 4501 2 11525 431 1 8361 4992 3 6070 1969 2 14592 1729 3 13093 2374 4 10160 1734 2 7832 4392 1 5870 4400 8 19664 3132 1 19224 3464 1 11336 3684 4 3755 1453 2 16497 6141 1 14706 1722 3 15101 3682 3 10813 6576 1 9440 1395 1 14997 601 1 9883 8072 1 10821 7466 1 10149 470 1 4385 4203 1 11882 5905 1 2780 3575 11 5515 1727 1 2127 1238 2 16570 4077 1 124 5393 3 18538 2881 5 19752 1714 1 4072 7900 3 9508 5120 2 1712 7601 1 11882 821 2 24 1461 2 10245 476 1 41 2144 1 15100 629 1 15669 4511 1 11577 2056 4 3963 229 1 16047 4572 2 6853 2981 1 15222 207 5 3010 291 1 10850 1062 2 11591 604 1 12014 1753 1 16931 7735 1 16981 8083 8 18040 647 15 13789 1105 16 16860 4489 1 5185 23 3 8003 811 1 6636 3511 1 6198 3540 2 9364 5425 3 11591 2727 2 873 173 2 2886 674 1 6600 1150 1 11079 4367 1 156 7175 1 10354 1745 1 5312 498 3 7769 1380 1 19892 7701 1 9031 3649 1 3491 411 1 5118 7131 23 19643 6025 1 7056 1244 2 1825 2580 7 17803 1399 1 12976 1334 1 11741 5018 4 14652 203 7 2906 3331 10 6144 719 1 1968 3228 70 4898 514 1 13088 221 1 17753 6922 1 4257 3643 1 10545 220 16 6825 3257 2 4036 252 1 5018 1243 1 140 6421 1 11344 2324 1 8198 1746 1 8735 2698 6 3917 250 107 402 5256 1 11104 2614 1 19503 2488 1 14218 5887 2 13942 6912 2 11786 6892 2 2571 1287 2 16755 5600 1 1727 4998 5 14908 3385 2 7189 1698 1 9494 505 6 12040 510 2 2525 7127 2 6322 2362 2 16245 8203 1 15138 7670 2 3774 1730 4 17787 335 1 19602 4266 1 17599 622 2 2045 1755 1 5431 4609 4 13743 4413 1 16397 4623 1 456 200 26 14176 5243 7 6515 244 1 4197 7227 1 4107 4276 2 5334 4655 5 20049 3445 1 18234 184 2 14985 225 1 15158 2869 1 14741 2632 2 18491 1211 1 9269 785 1 7226 6346 1 4092 3649 1 6867 2009 2 94 4211 1 877 244 3 135 6200 1 11603 502 1 10422 1700 18 18232 3278 6 15993 482 1 2380 5342 1 17173 7128 3 16475 200 38 7175 2653 1 405 5261 6 17158 4436 9 16805 7719 3 15427 7731 1 5837 1287 1 14055 2827 2 8831 642 2 5033 227 3 2422 2499 1 15932 885 1 4217 432 3 3826 263 1 9777 2581 4 9020 222 1 8682 3869 1 12 521 6 10553 3378 1 7765 1707 1 12582 3707 4 15030 5069 6 379 4585 3 19152 201 3 17662 1703 2 3255 508 1 2927 306 1 11512 5798 1 6198 4680 1 4063 2795 1 13482 1760 1 12174 1184 23 3690 2262 2 5158 4844 3 8710 2889 5 3411 1245 7 12760 1757 12 3406 239 1 10706 4369 4 1315 207 2 14087 3798 1 2010 4403 1 6228 916 1 12231 3547 1 6969 7251 11 1822 3204 4 16303 4411 5 11341 3570 2 14492 5203 2 5199 3225 1 3188 1789 1 14049 6179 3 12954 5408 1 1013 5146 2 5010 5362 5 14651 512 3 14060 534 2 4471 547 4 15764 3588 1 14670 1663 1 1106 5506 1 4701 659 1 19567 800 1 14641 6717 5 13899 1062 1 1369 524 1 397 244 12 19359 6220 3 14447 2951 3 10298 1286 1 18207 1770 4 8445 6224 1 17810 2294 1 18020 4146 1 9539 537 6 13466 6705 5 20037 1374 1 11931 8099 1 17084 762 2 42 2228 7 5684 2806 1 7780 4963 1 8294 2675 1 16886 6610 1 10837 764 3 14350 3517 1 5218 223 2 7835 507 1 1009 4304 1 11506 1748 17 19069 2645 1 13299 498 1 13 701 1 12838 391 1 2167 5475 1 11562 4116 2 12719 7101 1 8250 2959 1 3972 6520 1 6060 4467 1 13227 4261 1 14596 1342 2 12935 3146 1 15785 718 1 6776 84 6 18939 860 1 9939 1819 4 17803 1248 1 11896 7300 1 17333 3334 1 19075 7477 6 1461 6793 1 19781 1043 1 6425 201 2 484 2029 1 171 7643 1 2357 4591 1 13634 622 2 18341 355 1 3336 1474 11 14522 4773 2 8208 3992 6 17189 3980 1 14369 7189 17 13185 1244 4 4539 498 1 7252 3869 1 4141 3511 1 4483 1752 1 7757 1236 2 46 2354 1 6614 6027 1 3029 4588 5 17852 869 1 173 506 3 4688 2871 1 11354 4811 2 7834 1775 1 15100 574 1 19331 1727 2 683 6888 1 4737 7206 4 13461 2678 5 7474 7205 3 18821 403 1 42 2223 6 8279 2006 1 19940 1295 1 785 1763 3 4130 409 6 11562 6415 2 11478 236 3 6021 1776 1 13672 3512 1 20009 5090 1 18145 2665 5 17917 4653 2 3471 6541 5 14993 4042 1 17046 7018 3 3698 6562 1 18526 1707 1 17298 7196 1 19503 2005 1 16016 8224 2 17001 7591 1 3730 196 7 14778 1726 2 19225 220 7 16420 3135 6 15203 5257 1 5792 219 25 18043 530 1 7205 6682 1 6548 6670 1 11882 7953 1 17998 4109 1 6265 8031 1 4879 3337 3 3015 5018 35 15726 545 12 16378 4435 2 9743 1250 3 100 4496 7 6164 2584 1 2809 2531 5 18405 867 1 18725 3370 1 2756 4436 1 13553 663 1 171 7673 1 5588 4945 2 8904 4954 24 5929 665 1 10187 1737 1 15508 5531 1 4674 3426 1 19727 1779 1 1970 1781 1 7786 5266 1 6197 2269 11 9756 328 1 5623 2016 1 18069 1211 16 4593 893 1 4003 1266 2 1053 2841 5 16491 8017 1 15396 1770 67 12826 214 1 7688 4268 1 17647 4107 1 861 617 7 18890 7586 10 3569 5837 5 6316 233 1 8918 498 1 7883 931 3 4267 4467 2 17436 2270 1 4803 2858 1 14244 5457 1 5108 378 5 18806 3813 1 8095 8173 5 2382 1814 4 20263 759 1 4486 1817 4 2096 4554 2 10145 1108 1 7529 215 1 10970 5814 1 12427 1714 11 1908 3230 1 15885 3058 2 94 4327 1 20216 3206 2 5116 126 2 92 4156 1 15498 5531 3 12737 449 1 3189 2363 2 720 3250 2 18344 534 1 20056 1241 1 2709 3422 1 9449 1492 1 7432 1778 4 1192 1245 1 13689 1824 1 6164 235 1 6670 512 2 19449 219 1 10246 6414 1 8878 2392 1 13278 4850 1 5818 3674 3 6556 4909 5 4332 883 2 10071 5325 9 12331 5495 3 27 1654 1 12060 4887 1 19085 1695 1 1952 6761 2 9031 5476 1 19772 1768 1 18115 4992 1 4713 7604 2 17809 1739 1 13033 944 1 3532 1464 1 19380 1258 2 6228 828 1 1710 6897 1 625 2169 1 197 1354 17 18386 561 1 15743 3979 1 12397 2778 2 5385 2647 1 5421 1286 2 2935 105 5 12121 2675 11 17779 519 2 13164 4132 1 14968 5325 5 16269 1406 3 11882 230 2 13141 1818 2 16881 1374 1 19034 2141 1 18909 1251 1 19137 5252 3 153 2979 1 11130 1781 2 19448 7101 1 11786 7518 1 18455 5586 1 10776 3877 1 1009 862 3 465 470 1 10498 1304 2 161 7352 1 17548 943 1 17886 953 1 701 3714 2 9388 6669 1 5030 6108 3 7358 3354 1 13623 834 1 16436 1421 1 12975 1018 1 2312 1363 2 13241 1492 1 5514 2730 1 7451 203 4 12064 2534 7 19957 6945 3 12224 6204 23 19028 3610 1 73 3419 2 1994 207 18 18140 1770 12 7815 99 2 3426 3512 1 15337 2319 1 18119 3426 3 2081 2508 1 3270 382 1 1710 5820 3 12029 724 13 8723 2353 1 5952 4266 1 18417 2908 1 11480 215 3 596 6270 1 16029 6009 4 7539 23 1 10281 190 1 375 1819 2 136 6273 9 9305 910 2 94 4274 7 5525 38 5 373 1395 1 7398 1396 1 12207 199 2 6767 1286 1 18465 7191 1 15329 884 1 5695 23 6 17149 221 1 19520 3945 1 18876 689 1 13840 5136 1 15599 8054 2 12325 838 1 19358 6162 4 9044 5010 4 5959 7834 1 11093 221 1 7789 325 2 4255 1685 1 15289 2813 1 14123 164 1 12737 1739 2 17 1203 3 10835 2769 6 19653 2299 1 16626 1276 1 6228 764 1 19602 441 1 5266 1700 12 339 7689 5 5911 7426 1 16347 1342 2 2419 3417 8 8966 1729 1 17488 7017 1 18457 215 6 19217 3140 1 18320 2350 4 3256 5468 2 16857 367 2 15411 1824 1 18481 6039 1 5303 6374 2 9745 5879 1 14683 4285 1 10916 5948 1 8408 2916 15 5364 3337 5 5725 2797 1 13263 6690 1 16279 1757 3 15948 1235 4 5009 769 1 11562 6061 2 1757 3081 1 10354 1755 4 18451 867 20 18511 1453 3 5269 1700 1 7560 5432 7 19092 714 11 11215 6421 1 10693 5077 1 7712 6949 1 6396 3928 1 13560 1183 8 17498 5879 1 18892 5488 1 17383 1269 1 19210 201 3 4736 2468 1 18606 5080 1 6848 1771 1 2886 803 1 8909 4796 31 7245 2384 4 3573 1453 6 16470 1334 3 10479 4185 1 19069 3208 1 388 5310 4 5567 5887 1 15608 3404 3 9289 5897 1 6161 7190 5 3521 3399 4 17471 7848 3 18026 206 3 4666 6709 30 16474 5400 2 11139 1756 1 16442 4232 1 18252 1748 4 6940 4446 1 135 1686 1 201 164 1 1725 7210 1 6710 1726 2 4273 2415 3 10638 5884 1 3181 1536 1 15199 2645 5 7174 3540 1 15932 3813 1 10942 507 2 8833 2676 1 10749 7572 1 9949 6428 3 2197 2969 1 639 1661 1 16643 3840 5 9864 7542 1 1725 6080 1 15838 3685 4 10736 4803 1 16236 1775 4 19167 1770 2 19908 5255 1 2962 915 1 12725 1661 2 19355 638 9 17491 1734 1 10973 497 4 8220 5905 2 8594 365 1 10387 1250 1 8821 3970 5 18223 2307 1 13891 5389 1 3236 4251 1 15124 4658 1 19263 853 5 15791 757 4 1635 13 1 8198 743 1 18350 4233 1 10720 225 8 15180 366 1 7495 1537 1 10525 3298 3 8859 4304 2 16094 676 1 15138 220 1 456 4435 5 17120 1748 1 1439 299 1 12941 205 3 13058 3283 1 9519 8033 1 3337 623 2 6628 7750 2 17662 222 4 17809 7461 1 5335 520 2 8975 252 5 6894 1564 1 10401 203 1 12819 3556 1 3755 225 1 6144 2415 3 7688 2104 2 4709 207 1 5960 6126 6 9806 3540 1 12210 524 1 10229 206 1 6292 4098 1 17171 1242 1 6263 3684 1 14035 3298 2 5972 2860 2 16797 1060 1 4078 5307 1 3467 7145 1 4145 2360 1 16500 1333 2 12575 274 3 11555 7883 1 10525 2565 2 12982 1482 1 8918 500 1 19052 1239 1 14591 5285 25 6248 4982 2 15376 1146 1 10847 555 1 14615 1726 2 15100 877 2 6345 5203 2 17154 215 3 11327 6065 1 3858 1772 1 19051 1788 2 17966 1331 1 17180 1372 1 12958 2369 3 15289 4673 1 7095 1819 1 9793 2983 8 11428 769 1 203 2854 1 19822 6042 1 4183 201 8 17142 4803 5 881 690 1 9689 4692 1 6519 7558 1 13829 184 6 18836 4199 1 15344 1731 1 13153 3556 1 126 5625 1 3118 3417 1 1766 926 1 19826 2951 1 10313 409 3 4375 1917 2 15267 4024 1 3705 6900 3 2701 443 1 2303 2484 1 12286 206 11 3031 525 1 1642 500 5 11687 229 7 3149 911 1 9235 1707 1 14404 517 18 16916 470 5 2037 1244 1 16016 177 2 2055 5060 1 15009 2655 1 11998 1778 1 18742 3333 1 12128 488 1 14202 3338 1 1009 4496 11 12935 6583 2 14250 4640 19 13335 1237 2 14114 5425 1 9937 1237 1 11773 6064 1 8221 785 1 1466 215 4 4268 6663 1 31 1782 11 6592 134 1 8122 703 1 7531 1245 3 17536 1710 2 7780 2369 1 18119 200 1 11363 7244 2 11656 2769 2 8895 871 2 3732 7251 40 20083 1234 1 7065 4794 1 4547 1374 1 11160 2542 2 16346 23 3 7573 1772 2 1432 495 1 5578 759 1 14736 1748 6 6387 1872 2 4330 519 1 13390 7210 2 455 370 1 1959 4077 6 4770 1498 1 572 4550 2 3505 6607 5 3559 6710 4 14615 188 1 684 206 6 17645 4950 5 153 6985 1 4256 200 2 11868 966 2 8747 1211 2 11948 88 1 155 7137 1 10677 16 1 4622 1745 1 1858 5324 9 11591 94 1 6182 3539 1 18037 5141 1 1986 505 1 11837 200 4 7962 501 3 9895 6435 1 3118 4663 5 10635 1752 3 2995 1239 1 14056 7936 1 12299 1732 1 5939 7859 1 18286 2647 1 13031 8183 6 7455 2494 1 8450 1473 6 13384 2508 1 8698 3892 1 15924 7446 1 3484 2403 19 15372 303 7 14276 108 1 18434 519 1 17169 1819 1 15160 1374 2 5251 1298 1 18465 5513 6 18510 1781 2 17379 2958 1 8610 1695 1 9220 411 1 11035 6185 20 2531 883 1 12262 1757 1 17677 1825 1 10245 308 2 10661 6185 2 13652 534 3 6277 227 1 8763 15 2 17736 959 1 5424 1209 1 6915 201 1 11215 995 1 20106 7427 2 16305 2656 1 2499 2673 2 2238 1532 4 14258 535 5 2723 3266 4 3496 2555 1 15620 2880 3 916 769 1 5140 545 1 6059 2735 1 18568 2951 3 6166 3900 1 11526 5532 1 19795 219 3 20180 3081 1 13042 6669 10 12740 214 2 16835 3135 2 2922 2552 2 3048 785 2 4357 175 12 4382 498 3 10856 960 1 13962 4647 1 6588 3248 1 340 5879 1 15596 4090 1 17953 1695 4 124 5507 1 9320 1819 1 9143 3170 1 4327 1747 1 12378 4670 2 16601 1776 3 1568 205 2 12067 665 1 388 7636 2 15879 4245 1 13640 223 3 6748 4203 1 13129 197 1 18212 46 1 17599 659 1 2405 2626 1 2917 23 1 9030 1909 19 11968 499 1 10156 1237 2 31 498 3 10057 3109 5 10994 7080 1 18029 2323 4 4055 2342 6 12592 4029 2 13746 3669 2 12457 229 1 15301 6490 10 9779 2343 1 14147 3067 8 18876 554 1 12893 2686 1 2856 1245 4 10502 1276 1 45 2319 1 4327 3512 3 19316 2107 2 1866 5243 2 11837 232 9 9085 1037 1 10165 943 1 1171 1453 1 3549 2645 1 18171 229 5 13013 3409 1 19374 6278 1 12320 6096 2 16735 1342 2 3395 6457 3 5890 2315 1 1454 3827 4 4809 3511 161 100 4557 1 9868 4557 1 16833 7533 1 2308 411 1 16921 204 2 91 1112 1 15232 871 1 19590 220 1 5552 1743 1 5657 1770 2 15364 6936 1 8528 1252 1 2530 1109 2 10500 2548 12 16265 1150 1 2722 1737 1 13010 1380 11 13839 6665 1 19299 4411 2 8378 885 23 8674 6086 11 14731 1408 1 10297 23 1 15177 2480 1 873 6084 2 19243 5018 2 16197 1482 1 2456 698 1 4514 1729 2 163 411 1 14669 2649 1 10850 2459 2 1507 867 2 4347 221 2 5205 554 2 14294 6179 2 9655 6533 1 19760 252 1 7804 1751 1 13354 1752 2 6949 6568 3 13223 4764 7 6991 4303 5 17375 4460 2 711 6158 3 3928 4528 1 16827 316 1 16736 3798 1 904 1282 1 9941 4325 1 12408 1743 5 15016 4924 1 9171 6480 16 4384 5156 1 14416 1464 3 9110 1501 5 4399 7466 1 20032 5412 1 15406 2877 1 19948 1987 1 17439 1466 3 1083 173 1 6048 23 16 15344 3230 1 10325 1205 1 7121 5413 1 12619 2777 4 19241 769 2 6072 545 5 18792 8066 1 1481 229 4 10766 203 12 897 3552 1 2143 4386 1 17820 6053 99 8580 4963 1 11932 508 1 4784 201 7 2152 5306 1 9862 4622 1 13700 3032 1 9877 6001 2 2338 6807 12 17246 1758 9 20111 2358 1 6591 7851 1 18077 6707 1 6966 6610 1 8731 3512 5 2199 1400 2 14753 1292 1 18207 2708 1 3924 3939 1 13778 1714 5 6313 3618 4 5884 2363 1 2021 1251 1 14296 764 1 14925 1362 1 12971 4112 5 5221 1731 1 15009 2581 2 9799 6736 9 15679 534 1 1154 1769 2 16705 2989 1 9763 220 1 1945 1825 1 20272 2016 2 16513 6152 1 16783 1715 2 20268 858 1 6228 945 1 13906 201 16 4488 4761 2 12583 3447 1 248 5559 1 7653 7426 1 17395 4916 3 18921 779 3 14778 232 4 14515 1734 1 5654 2206 2 6483 2646 1 14780 221 2 16659 4992 1 19982 7174 1 13 643 1 2152 5886 1 8272 3979 1 17237 7259 7 19132 745 1 14633 3588 8 12158 6231 1 11 383 1 7077 1225 3 13624 1972 2 4627 3134 1 16767 6058 1 4124 5819 1 1235 976 32 12732 401 1 140 6393 1 3361 2810 1 1915 4436 12 2468 958 1 19601 7405 3 15511 891 1 7619 1727 2 2101 4946 5 6264 5258 5 15429 519 1 15867 2354 1 4539 910 23 15493 7624 1 14305 2774 2 9566 8224 1 8826 1324 3 6197 1964 1 1654 6957 1 19557 1312 7 8198 2493 1 8068 4320 1 54 2596 13 18447 4589 5 19511 3898 1 14089 5551 1 19131 3741 3 18538 336 1 13080 533 6 1309 1037 1 2566 1342 4 4896 6278 4 12988 2817 1 635 3639 2 108 708 1 12680 1758 1 19822 339 1 9104 2253 2 18056 314 1 19731 237 1 6907 1141 1 7484 2930 4 14183 3493 1 17731 4963 1 4234 7839 2 6332 828 3 18262 1706 2 15948 219 18 5023 7593 1 10004 2179 1 9712 7603 1 13574 964 1 4700 1825 4 11122 7969 1 16860 1249 1 3734 5551 1 7528 2727 1 12424 5352 20 714 186 1 2951 514 1 19332 6128 3 17562 1311 7 3282 441 1 16364 4312 1 16073 1772 1 16146 1760 1 19425 2980 4 6801 2342 2 19920 4179 2 14535 1242 3 17894 3600 2 15937 506 10 3796 1548 36 12041 1248 2 10328 7212 2 6520 229 3 1449 1731 3 10233 5897 2 2559 2216 6 160 7306 2 15622 2197 13 12370 3759 3 2642 6701 1 13694 252 1 6796 5082 1 4498 1655 1 6835 3850 2 5117 8065 5 11562 6107 1 5652 188 4 15881 5591 1 16501 706 1 7535 1728 1 14080 4380 4 8849 6933 1 10168 173 1 5021 8194 1 9782 1707 1 1709 7466 1 153 3862 1 13335 3156 3 3304 5723 1 13272 470 1 10549 520 1 5848 6053 2 7624 2056 2 6848 184 9 5519 2294 8 15885 5796 3 4985 5506 1 4886 1661 2 16243 2151 2 1948 2666 26 10289 1184 1 3424 3511 1 16155 6706 28 6628 1067 1 8849 3371 7 18576 718 1 126 5702 2 6515 6341 1 15810 1718 10 3855 3333 3 6236 8108 1 16944 2605 1 11412 2423 7 18145 5394 4 13069 1464 1 10240 2097 2 3366 3408 1 14890 4459 1 10176 1937 11 10856 2317 1 11757 7101 3 12789 1986 1 3397 1284 1 6714 1781 1 17506 1991 1 10145 2168 1 11585 3397 4 9707 3530 1 4311 165 18 375 561 1 19134 6691 1 15132 7963 3 6420 1333 1 821 1658 1 10061 5977 2 19314 508 1 8528 2662 3 8799 10 6 1035 1107 2 19008 2248 2 16835 2442 1 7331 1235 1 4833 2653 13 5906 2423 1 7926 5353 12 15895 4623 38 13631 5046 2 16240 5182 1 1234 229 1 10770 2588 1 18650 917 1 13601 173 1 16921 5555 1 11136 7217 2 7918 1235 15 19149 7807 2 6697 4640 1 18089 491 1 8410 3170 1 18224 3304 1 4503 3236 1 15614 5573 2 6749 2932 1 3138 1710 3 17966 1249 1 2934 1242 4 8472 1146 1 6969 6 1 494 3190 2 2905 2969 1 19131 726 1 835 1244 1 10014 6414 10 18431 222 1 3436 310 2 3414 6204 1 6719 3974 3 18743 4314 1 15385 1539 3 4398 3693 1 7146 252 3 16546 7843 2 4284 23 5 4092 225 8 18755 184 1 15778 1796 4 18608 201 2 3881 2118 1 5197 3586 1 13490 477 2 7597 3293 1 10841 7163 6 1214 304 1 19608 3334 9 17261 23 3 7194 3444 3 7143 1775 1 1348 4060 1 13461 1747 4 10198 431 1 2318 225 1 9190 3592 3 15260 4351 2 5890 95 5 17389 6537 3 15030 5061 4 13183 802 2 1719 3596 1 16087 499 1 9693 1275 6 3015 1247 1 56 2669 1 6942 1783 2 8522 5617 1 9946 6434 2 9477 2138 1 18866 132 3 2330 236 1 2730 4361 2 14758 5203 1 8004 2721 1 12949 1703 2 8887 952 1 13649 1772 1 3852 6744 6 11602 4789 2 6781 525 3 17406 1827 8 18695 23 15 12459 5082 2 108 4904 1 8621 2396 2 1391 1296 4 4283 2645 5 3581 2641 2 19774 2369 1 11998 1756 2 8201 1241 5 4153 1249 1 2643 5425 1 4515 1642 1 3305 1482 4 15591 524 1 17463 2953 1 12205 6706 9 2778 4383 1 153 2932 1 18354 3197 1 3414 5758 1 7527 1910 1 14173 201 1 9650 6278 13 16057 1147 1 10463 196 10 5559 7786 1 14429 4288 1 9279 7212 3 16610 8115 1 7850 6764 1 124 5424 1 787 206 6 7924 871 1 16374 5543 1 19731 3714 1 10843 557 1 13586 1816 1 1106 23 1 8001 4097 2 12553 2675 1 14131 7473 16 15098 1752 18 3733 1193 1 8082 2518 1 8946 893 1 8730 853 1 4077 3468 31 1045 5610 1 16643 558 1 8978 2863 1 4160 2571 1 13919 6481 1 17298 1164 5 3734 5437 1 7823 404 1 9988 792 6 1879 1309 1 8620 4476 1 10804 6690 1 11 492 1 15688 805 1 6021 3284 1 16767 1747 1 8156 864 1 7316 6538 1 6332 1721 1 15437 1247 1 7481 1748 2 20018 3024 1 9751 4774 1 10586 7624 1 3536 3881 3 10494 222 10 13015 1 3 6719 3972 2 9535 1720 1 16383 1374 4 16610 8191 1 2564 2728 49 3397 850 1 15943 4206 1 5486 1423 4 11584 4096 1 19533 1710 3 4984 1791 2 4055 3787 1 6403 2673 1 3463 201 5 8425 23 6 19588 525 2 65 3057 11 19000 705 1 2529 707 1 3853 5743 1 10961 7255 3 19331 207 11 18682 2678 1 6519 2602 1 6259 1395 1 19044 8139 2 283 534 4 15144 1190 1 14522 532 3 17198 1342 1 3943 1247 7 9692 5686 1 12260 1737 2 4055 7083 1 9869 3536 1 16655 4764 2 14825 5288 6 10084 2206 2 11674 1721 1 7435 7213 1 331 3666 2 9572 853 8 11008 1154 2 16689 5776 1 1520 1700 1 4688 788 1 5826 891 1 18814 5082 1 11445 3693 1 12807 1747 1 4553 2339 1 341 4795 1 9756 3147 3 16517 236 24 7433 3904 3 19486 1153 3 1551 496 1 6501 2407 1 18125 533 1 1838 1245 1 3606 165 1 13541 3227 13 8623 46 5 6047 1707 1 521 5264 1 3504 3972 2 16370 5035 2 15853 8190 1 6674 1991 7 13638 4019 2 6391 7237 1 9709 508 1 15509 3909 13 8266 3787 1 13736 2651 1 3668 4531 1 9178 5496 1 2762 1062 3 5245 1244 2 13634 6442 3 8540 2710 1 3644 1042 1 6057 2522 1 9842 1252 2 5973 2966 8 2146 4614 1 8939 3590 3 3287 850 1 10664 962 1 7406 3964 1 20262 4971 4 3583 4792 1 7147 3798 1 5515 532 1 18561 461 1 17664 235 1 17928 4249 1 16248 5730 10 413 229 1 10406 841 1 4766 2424 1 14560 1242 7 7695 1729 1 15230 1825 3 1964 7573 2 13312 498 1 19026 1825 15 13668 526 2 15776 4884 1 15159 1195 11 7974 203 10 15642 1139 1 6888 1388 14 13827 7021 1 10791 1632 1 10457 2980 1 6920 3968 4 7246 1164 4 16289 867 1 1231 3464 1 12152 7187 1 18096 364 1 7750 46 6 19164 4649 1 12129 3663 4 12208 645 2 8710 3900 1 8438 1304 4 43 2264 1 19737 1369 4 900 223 1 15300 1751 2 18295 523 1 15970 3396 1 17755 397 1 13 235 2 5550 1499 5 14988 783 1 11817 237 2 2962 1208 5 7913 82 2 3330 203 1 1957 905 2 1386 1334 1 11461 1755 1 13697 1721 1 8462 5490 2 19011 5674 1 10452 3833 1 18785 398 1 3653 1248 11 17088 4435 1 12245 1357 3 2592 1241 5 14212 4879 2 5018 1736 1 19248 7153 2 2016 23 1 19248 156 1 19595 770 1 19317 223 20 8097 526 4 19158 4132 1 12112 4092 2 4619 2009 6 15624 6487 1 1086 1825 1 17740 2647 1 10447 1246 1 16552 7021 5 8322 505 1 4018 5019 3 10941 7245 1 16867 2541 3 171 7259 1 1819 684 2 7857 215 2 1263 186 1 17696 2488 1 2959 7244 2 6861 1239 1 17369 6091 1 13496 7473 7 12725 2478 1 12480 2953 1 3131 2678 2 8066 709 41 80 3630 1 103 4636 1 18453 7422 1 8198 6577 18 19632 5995 2 12493 1399 6 19286 5538 1 13350 6453 1 17682 1380 1 5980 222 2 3329 1251 13 17696 823 1 11321 237 1 18042 2505 2 2055 1247 1 1929 514 1 6596 3637 2 4026 5234 1 12040 1736 4 17529 8192 2 12984 1363 1 6712 694 1 6676 6524 1 19729 1150 6 1958 2690 2 3484 2373 10 11944 186 11 17713 4405 1 18391 4764 6 821 2718 1 16450 3058 2 6611 2918 1 14838 1826 1 1551 3827 2 559 6473 1 10815 5551 1 6086 7594 12 11622 1819 1 16887 7701 2 19486 1190 1 2993 883 2 19993 4022 1 20147 4391 1 6926 4308 1 18939 3065 1 9829 1741 13 565 500 1 19235 4572 17 704 3909 2 3562 225 2 159 7234 1 10732 1825 4 19457 791 3 15819 518 1 8455 777 10 2879 6225 4 8952 862 1 19331 1721 1 11846 629 1 314 3175 1 4140 1888 1 4843 962 2 5424 383 1 4572 385 4 15750 148 1 4268 3570 1 18973 10 7 3910 5408 1 15398 597 1 13601 6588 2 2898 6979 5 18573 3444 1 16695 1757 1 7285 13 1 5911 4427 1 9825 1747 2 2988 1251 7 17680 365 2 18523 761 1 13486 1271 1 16186 1221 1 7658 3081 6 6431 1548 1 3089 3236 1 16774 2294 2 2073 6574 1 7306 931 1 8528 186 1 3578 6210 1 16243 2710 3 5021 2535 1 798 6125 1 608 7646 1 7560 6793 1 9546 4299 1 10458 5398 1 9601 2661 1 11396 6484 1 1370 6110 1 13972 1356 1 14778 2675 1 8660 23 8 18212 7676 2 17010 6058 1 8343 368 1 5110 3398 1 11277 2877 2 17985 8183 6 11080 7250 1 17926 7120 2 11156 6229 5 13640 74 1 11359 510 1 13132 640 1 19569 1738 1 7399 550 1 1816 1277 2 4685 1642 1 12934 3972 1 14665 4403 7 7651 1557 1 16455 201 3 18729 4435 1 17634 1740 2 8362 2698 2 3008 479 1 13290 1470 1 15771 1819 3 16645 502 1 54 2643 1 16059 518 2 7451 201 1 5171 2676 1 8015 3554 1 10058 5330 1 13891 834 3 4546 3629 1 16370 1311 5 18731 7603 15 14696 1721 2 8709 1172 2 8341 7279 1 17850 5398 1 3202 1665 1 14327 232 1 18381 7769 8 13735 225 4 5755 891 29 1065 3510 2 121 889 1 2962 7809 1 14898 8235 1 10433 4983 1 15608 1567 3 4051 4764 5 7185 2276 2 5051 506 7 874 6417 9 4985 4988 1 6103 1466 1 13959 2742 8 19053 578 1 13922 3900 4 20179 4992 2 11026 5325 5 19955 206 3 3892 6196 2 3287 770 1 4841 1734 1 7933 5395 1 8955 524 4 9784 1779 1 19744 7593 1 15943 3368 1 6024 2355 7 17803 6059 2 7386 6992 1 12700 5513 1 2201 411 7 3118 2820 3 12201 2662 1 784 219 1 222 929 1 6259 3464 1 18244 1401 5 6468 3313 2 5378 4413 1 4550 1781 1 20068 2614 1 16185 1304 1 17947 2735 2 9771 3998 1 4105 2686 1 8804 171 1 5645 1245 1 11410 3510 2 9131 7225 1 3236 367 1 3981 4435 21 5830 2378 1 3781 308 1 361 461 5 5805 6169 2 4639 514 1 18281 4034 1 135 6133 1 12538 6744 1 11786 1571 5 15307 744 2 6694 1602 1 16530 1041 2 3715 219 1 172 5788 1 12660 6341 13 7122 7087 1 11051 4187 33 10948 1757 1 2204 441 1 3003 2662 2 12378 3630 1 1049 4199 1 8061 3647 2 14318 4026 1 1361 3358 1 19602 663 1 7065 2057 2 19503 2003 1 7188 3230 11 7481 207 1 10670 1714 1 14552 3522 1 1331 1561 1 16431 3463 2 2917 1395 1 11605 156 1 13939 1985 6 13779 702 2 11367 4099 1 13469 5439 1 14428 3599 5 10361 5437 1 5911 6122 1 2545 550 2 8913 1649 2 11402 6091 1 16707 512 1 1866 237 1 8643 710 1 12399 234 1 5882 3380 1 6298 454 1 13781 533 7 9493 6018 3 3978 5067 1 14892 3454 1 1467 6845 1 16028 1518 1 4902 6570 4 8994 1399 1 81 3690 3 4064 1342 5 6644 7619 1 17918 1035 1 1663 3907 5 10355 5563 1 7810 4733 10 13414 4607 1 147 6702 3 1866 7769 5 5038 4351 1 4013 2626 1 16394 3057 32 9894 489 1 14617 2671 1 15332 6632 6 17124 2646 5 7071 3193 2 10351 4623 5 1937 1774 1 18251 3322 2 18807 723 1 4038 1401 3 16908 6334 4 17159 1806 1 4977 6762 15 10792 545 11 8595 1532 1 337 510 1 7480 3007 2 5143 2484 1 14345 4383 1 4015 880 2 19630 8171 1 2590 1146 6 11206 1235 5 8198 458 1 8905 6442 3 16048 6714 13 8821 6945 2 14289 5302 1 14593 6225 1 10196 1450 5 11238 7471 2 2095 1714 1 8994 4792 1 3641 2691 10 6492 1761 1 15281 2675 7 6232 186 1 6527 2146 1 2071 4203 1 11212 203 9 15974 4998 2 8865 3167 1 2271 7541 1 1225 4653 1 35 1925 7 8132 7859 1 1772 1356 1 11667 303 1 7376 519 1 11944 221 3 13299 1239 1 4754 6526 1 9224 2936 1 4124 1464 2 5204 718 4 9266 7583 1 10536 7806 1 10381 2068 1 10394 2352 1 16645 8022 1 17194 4097 1 12811 2040 1 4112 206 1 9860 5396 2 9 241 2 5929 943 1 17151 5037 1 14985 2885 11 818 7229 1 2138 5324 1 6420 46 1 16994 3156 6 9717 3430 2 836 1930 1 4068 1726 1 13262 7687 15 9248 3620 2 12009 1146 2 7730 4173 4 12904 5257 1 15858 1698 1 14549 2559 3 4247 4949 5 593 219 1 8775 7997 6 11014 2343 3 6206 3596 1 17244 420 1 8532 1710 1 18230 6710 1 9975 1062 4 9405 8156 1 6070 3516 7 19463 1793 1 348 3540 1 11020 7772 2 149 6743 14 15687 2127 1 7133 5245 1 18350 1092 1 18867 1825 1 14493 3255 6 14758 4674 2 5646 4591 2 7445 23 3 17340 3526 1 10467 235 1 5340 1755 1 13933 2669 5 10843 689 1 3008 2821 1 4147 380 1 6751 1395 3 16140 2009 1 4265 7216 1 16070 1768 1 7705 853 2 1686 197 3 12210 1819 7 3505 1363 1 19240 206 3 6364 1776 1 7294 5062 14 11060 6210 1 18063 2681 1 15147 6227 8 19263 625 5 136 6275 2 15373 7787 1 4419 5572 1 15948 1342 6 11235 258 1 25 1491 4 12142 366 2 19223 2353 1 4851 1721 1 16704 6664 5 1244 4110 1 9126 888 1 16324 2413 1 4055 95 1 11014 7229 3 18946 884 1 393 1250 1 17767 3399 2 19535 5574 10 13954 6564 2 747 1911 1 3111 1991 3 18587 1239 2 2797 3882 4 16638 6469 1 10132 2093 1 12699 295 1 13311 4306 3 9412 7687 4 863 1064 2 11545 4977 5 19246 1990 10 4382 1245 1 108 4913 1 322 1724 3 1999 205 9 5390 4936 1 17086 5737 21 17798 1296 1 6845 219 1 17448 4528 1 13461 1239 4 7868 426 20 9517 1416 6 14696 1357 1 13721 7404 1 5580 7539 1 10694 863 2 19740 252 1 8760 46 7 2980 5253 1 19518 1722 3 13305 1699 5 1445 6629 3 6854 1374 5 16896 3449 1 11399 613 1 8022 2478 2 14692 1781 2 6881 4458 2 16947 6341 1 8913 875 1 6473 2989 2 2589 4098 1 4489 1558 2 15574 7995 1 435 232 3 14017 5252 1 15075 3747 1 2154 252 3 17088 229 2 9168 4019 1 9444 3482 2 18135 303 2 7191 197 3 13946 203 5 5005 1703 1 7121 3611 1 385 1244 1 121 5276 3 8650 7798 2 839 244 1 1927 1482 1 10692 900 2 10272 1718 6 745 3433 5 20106 1737 1 12212 367 2 8109 3685 10 13404 2424 1 17432 1827 2 5829 1720 1 13018 3064 1 10591 1113 1 10849 718 1 6455 1101 1 8614 5527 1 14654 1985 1 2629 1482 1 10176 3840 6 4425 229 1 4974 4307 2 12728 3652 3 6669 5301 1 13487 6600 1 12369 3518 2 15056 2588 1 2884 6473 3 3395 891 2 1872 1703 1 3780 249 1 159 7241 1 5773 420 1 10383 2384 1 13330 4293 7 12928 8200 1 12841 1343 2 16819 1960 1 1690 219 2 8859 370 2 19966 5819 1 906 7023 1 15156 441 2 7784 7556 1 19626 1275 3 822 1924 1 1838 4950 1 17252 1245 1 15364 394 1 13640 1739 4 16229 6803 4 2015 3921 6 18737 3676 1 18134 1244 5 12439 6170 1 3806 213 1 7454 84 1 16434 7184 11 7133 3464 2 2526 1732 16 301 2763 1 7334 1700 1 9421 7308 1 2602 8183 6 17416 7951 1 16704 100 15 80 3583 1 12060 6059 1 17931 190 1 14836 412 1 4023 2129 5 12883 1539 2 13662 7878 2 6 197 8 11156 1328 6 8050 1202 1 5936 3876 4 8324 1718 12 14132 498 1 16957 2488 2 715 682 1 2308 5018 11 1824 870 1 15732 4009 9 20158 1505 3 3235 1819 23 17873 541 2 7893 7222 6 16447 187 11 16278 1979 1 14059 478 2 260 7853 1 5993 507 2 2183 215 1 16794 1416 11 5637 223 2 147 6708 4 120 1238 1 522 201 1 19461 825 2 2485 335 17 4268 3400 2 616 2626 2 17910 3490 1 10879 201 2 7486 1364 1 13121 2981 2 19009 4269 1 2266 4915 2 5834 7279 1 3765 5565 1 13800 4328 1 17399 7233 1 1788 1621 4 11849 95 5 7483 7439 2 8147 1788 1 16697 3900 1 7662 2580 1 16593 1193 1 19034 5271 1 14836 1363 1 1379 1635 4 17809 1727 7 12614 215 5 5104 2503 1 14193 412 1 12353 6949 2 2985 820 1 12872 2698 1 4970 7883 3 18335 2618 1 16130 6481 2 11145 1776 4 121 5334 1 18157 4228 2 15257 23 1 7148 225 5 9512 5316 2 17328 7142 1 10813 3899 11 106 4748 2 873 6984 1 13534 844 3 6193 702 1 6245 6053 2 9401 3334 44 1783 1814 1 18258 6522 2 12216 6100 15 14685 1779 3 3825 225 1 12580 1717 1 10987 3255 1 5943 3023 1 12824 2636 1 14753 4870 1 10410 625 1 19759 7719 1 3258 1778 2 10382 2517 1 18008 1743 1 19675 2362 21 12592 5420 3 14221 5351 2 2723 291 8 16199 3007 1 1570 184 1 17521 8141 1 2905 5436 1 10730 883 4 15329 6505 1 11844 1990 6 12213 7424 1 11899 1796 2 19007 6278 2 14902 689 3 3309 6064 1 12620 1250 1 12453 3591 1 8658 3605 3 6184 4623 5 19504 5294 1 15782 4418 1 14684 4312 1 5605 5399 2 17652 491 4 3358 718 2 11346 3086 2 5823 235 4 4651 4022 2 3175 2517 1 11017 7850 13 13776 7567 1 15787 2415 1 81 1703 4 3226 359 1 17001 4391 1 20255 1518 1 11212 229 1 5445 223 18 11238 7727 1 17505 3504 1 4778 1662 1 8735 1164 2 9969 1779 1 1723 6164 3 15151 3081 2 16150 3097 1 143 1453 4 16340 2680 1 16306 1775 12 2884 3422 1 12777 905 2 4020 1827 81 18581 5066 2 14128 1990 1 16247 3333 1 15180 1369 3 19727 4373 4 19338 3605 1 5675 7261 2 18530 1643 2 10190 470 17 4072 5272 3 17514 1778 3 5916 782 7 177 1235 1 9042 7117 5 16881 6434 1 5626 357 1 4132 3600 1 8541 206 1 3206 1417 18 9310 4373 5 13919 6517 2 7834 2484 3 7799 7235 5 14773 883 1 13893 6548 1 6405 505 1 15709 1399 2 10692 5336 2 7179 4156 5 11842 207 1 10065 5673 1 16657 232 1 13993 203 5 10797 7486 1 18411 2151 1 1019 5091 1 11325 4403 1 12645 6555 1 16150 3161 1 3867 7350 2 5573 720 3 16411 5312 1 1863 1401 2 4454 4467 9 15003 2250 2 5431 3816 1 7564 225 1 5602 6363 2 461 303 1 18102 1357 8 10539 173 1 15569 7120 4 10955 1464 1 824 8094 1 8609 7279 1 4058 5060 1 8394 1193 1 247 471 2 2646 6777 1 14399 5724 2 2978 5903 1 16557 3511 5 18132 5257 7 19836 186 1 3768 505 13 7362 2270 2 2153 1747 39 13829 1751 5 17976 875 1 1309 891 2 2907 6294 1 13351 173 1 9660 1688 1 16238 891 1 9117 2155 1 13672 6245 1 11506 1827 4 4036 845 1 13483 2567 3 16847 1724 2 15118 6346 3 5440 1827 1 16270 811 1 17298 1239 1 9857 3372 1 19833 1042 1 8271 1747 46 16445 1244 1 4057 108 1 2497 5187 1 6552 5715 6 1443 173 1 4779 2884 1 9052 532 1 18187 164 4 8117 1685 1 5076 1825 5 2502 429 2 1068 4029 3 13634 2019 1 16236 1771 1 5591 5523 2 11687 2271 5 16057 1742 1 19822 1689 3 6139 7850 1 9326 4261 1 1980 4992 2 15712 7411 3 18322 1234 1 7469 2351 1 11256 597 1 2750 6198 1 15841 5750 4 14162 2917 1 2703 6139 2 9113 5389 1 11549 3024 1 6563 3349 1 6650 5379 1 133 6076 3 17977 74 5 14578 4267 1 15301 4367 5 13613 622 1 4430 215 1 3931 2353 1 19957 749 1 17244 4499 1 14865 6970 1 15403 214 1 14493 6038 7 17749 3588 1 745 1245 2 18991 5445 5 11052 252 1 19872 570 2 6552 1705 1 16529 200 1 1602 1247 2 2377 616 1 5248 282 2 16837 1282 3 14753 1205 1 20140 512 1 3199 2082 3 19237 2494 1 19094 1034 2 19145 1710 1 10304 6692 1 15275 295 1 9891 222 1 8118 2386 1 15628 8144 3 16132 292 1 6735 2189 1 12491 534 2 2325 203 7 11345 23 1 11204 1782 6 1837 200 2 12950 7520 1 7316 8040 1 17750 1416 1 18706 203 1 15712 1753 12 3485 221 1 1999 316 40 6313 201 4 7145 220 1 14906 1251 1 11465 3497 11 415 7734 14 11827 1913 1 767 5612 2 5388 4796 6 6152 463 1 9110 6703 1 9787 2617 1 3367 858 5 1858 1755 17 11333 789 1 11585 501 5 8703 874 1 4935 57 2 2480 5054 1 12101 7210 1 15310 3593 2 2907 7509 24 6198 957 9 3863 6341 1 17078 7604 2 19826 3827 1 8752 1782 5 19211 714 1 7098 1472 1 7701 5064 1 7184 1757 3 15518 3516 7 694 2695 1 14646 1171 1 4620 1752 3 1028 4280 1 2885 2353 4 16566 5414 1 2570 6984 1 18092 7602 4 2511 581 2 2298 4446 1 16978 867 3 2696 3167 2 18285 3721 2 8334 3169 1 8580 43 1 8135 2206 2 7283 4838 2 11145 4964 1 13076 1241 2 20039 3798 1 857 7846 1 18275 1247 2 15162 1313 10 7823 5269 6 8340 519 6 5755 755 6 5258 6719 1 10313 1819 4 7460 1761 8 12519 809 1 14057 200 1 10295 236 2 7568 8095 2 11863 3370 1 5094 3922 1 13384 5923 1 6313 8002 2 11228 3216 5 9178 4944 2 15293 214 8 3884 2392 1 17560 3373 1 16860 679 2 8530 2403 1 1488 8113 2 8600 7222 6 13734 855 1 17578 577 6 7670 709 1 15056 4090 2 4309 6159 3 2471 1770 1 1091 7419 1 5085 1313 1 12364 184 3 4299 3512 1 12406 411 2 2643 5420 1 4796 3945 1 4615 4335 1 1935 5740 1 9550 2120 4 17241 4963 11 15841 724 1 3772 385 1 2138 3329 36 16740 6121 1 16162 2698 4 6089 1752 13 2908 1021 1 13818 229 2 10649 5341 3 8735 3318 3 11105 575 1 16649 1782 27 10584 1775 5 4009 1150 4 18442 7427 4 7470 6192 1 10272 532 1 3395 3333 2 7249 1681 1 2558 1778 4 12231 2981 1 11516 7857 1 7652 1710 15 9647 3370 1 14002 2424 1 3427 8157 1 6818 7567 1 15960 207 2 140 6350 1 19761 240 6 6414 5011 2 15412 1717 2 9970 4237 2 12569 1153 1 9784 5425 1 5699 1284 3 5385 4266 1 17184 877 1 13574 723 1 14144 7474 1 12913 1757 1 2911 5306 1 3077 4494 1 2365 5245 3 5311 3389 1 3097 6436 1 5431 34 1 19776 4822 1 8833 3539 1 10591 4841 1 17384 786 1 19301 3298 12 7725 3380 1 18197 1816 1 19739 470 1 4410 500 14 16029 5355 12 14599 865 1 174 5126 1 15676 215 3 1339 200 1 2045 1296 1 13289 5644 6 10539 4690 2 11086 23 1 16140 446 1 19679 1250 3 14468 4470 1 18551 200 7 7849 7005 8 9566 7570 1 11609 1666 1 15117 235 2 7682 725 1 11417 825 1 11550 1243 1 12897 3349 1 7916 3510 4 2062 952 5 20090 2517 2 10078 6159 2 19026 6288 2 16878 197 4 8833 2591 1 2943 3692 2 5818 2577 1 16386 831 1 13105 6769 1 7943 467 1 126 5701 1 6929 6228 10 15753 164 4 6333 2668 2 12894 220 1 17056 1752 1 11072 1827 6 16471 1250 1 8394 494 1 3405 1482 3 15502 4393 2 417 484 3 18245 6165 6 12685 509 3 18441 1686 2 14758 1303 1 17736 2388 1 18561 5289 1 5653 1751 3 473 175 4 16474 6687 1 14532 4333 4 14522 648 2 14343 8054 1 514 3803 1 15740 235 4 10856 540 1 4310 215 2 15605 800 16 8900 3227 1 8125 3516 1 8017 4992 1 379 23 3 16860 663 1 5195 1743 2 14377 7078 1 7584 1689 4 12257 2989 1 4327 1783 3 12210 6341 3 13069 1927 1 10988 4304 3 557 3742 1 9250 561 1 10669 6322 1 19708 1453 1 13233 6644 3 87 3493 1 6831 1263 1 17434 631 2 4498 3721 6 9508 3389 6 18793 525 2 11786 2640 1 8936 1235 2 10939 1464 1 18870 8066 1 4809 203 64 10856 3869 1 19163 795 5 2078 2646 1 1798 1234 3 5389 553 1 4000 6922 39 19986 1591 1 15890 1664 1 13042 2737 2 5431 6713 1 3782 4413 1 14949 5292 1 9835 5008 10 13681 5341 1 83 2657 1 15213 3182 1 14780 525 1 15081 1681 6 5585 23 1 124 5452 1 15660 2343 3 15432 7474 2 10297 1747 1 4985 10 1 14527 617 2 8198 7668 6 1467 4919 1 13267 215 2 2689 6480 1 5681 214 1 19494 2746 1 7626 6288 9 12553 219 1 18033 2262 2 15363 230 10 18939 7427 1 19759 4312 7 2491 4960 1 2985 716 1 14318 5402 1 2704 2795 2 7933 156 14 14484 3511 4 124 1290 1 2803 5256 2 4445 173 1 11679 1597 1 460 6534 5 822 1199 2 11987 514 5 56 1819 1 1053 246 7 2068 6259 1 19131 2186 1 15096 2058 1 12169 1292 1 8245 690 1 11703 4274 2 6144 1242 5 19607 453 1 8585 7427 2 12592 225 3 18204 8093 1 6907 1163 1 10114 1464 1 11766 5054 1 3168 208 1 7815 5518 1 20055 2016 13 15867 534 1 3870 4022 10 19322 385 1 7556 1772 7 2432 3045 7 17954 1283 1 14015 7244 1 15786 502 6 5637 3906 1 18518 2878 3 4946 95 25 12619 385 11 8439 1770 1 14150 3945 1 10693 2263 1 19661 682 1 5303 6607 5 174 1073 1 2845 509 15 6469 533 28 15031 4258 3 1592 1687 1 18656 612 2 20081 7998 42 141 4612 3 7991 6107 1 1555 2102 2 11072 173 2 7474 203 1 13425 634 1 356 6705 1 19648 416 1 2990 4473 1 1711 3323 2 16458 222 2 3446 7023 1 40 2129 1 4447 4589 2 13472 524 1 9224 781 1 6658 1764 1 9400 1703 5 12550 1482 1 3395 4029 1 7091 2889 5 9932 7624 5 4620 4363 1 9508 2100 1 15159 431 2 16308 958 1 6440 514 1 20219 10 1 18610 8229 1 1538 221 1 12730 338 5 15529 2708 1 17298 229 7 10883 7430 1 12904 3840 13 9494 2488 3 12231 2402 1 7417 1710 4 16594 785 1 3787 1247 3 8290 206 1 6748 5737 3 16288 411 1 5995 2675 29 20107 8027 13 2694 214 1 14748 7674 1 1530 2575 1 9528 23 5 18545 495 20 17832 5301 2 3874 1789 1 395 3074 2 5335 203 17 3058 4963 1 15405 6899 1 14027 1781 1 592 5305 1 5738 566 1 7317 828 1 19219 1184 1 11230 2403 1 736 1715 3 5194 1072 24 16199 951 1 4982 411 1 14757 1134 1 16585 4745 11 15608 2990 1 12976 6716 1 18971 219 1 9773 201 4 16480 336 2 16512 4343 1 16916 258 5 13705 3113 3 4694 1982 1 4551 5559 2 17932 7532 1 8076 6481 3 17909 3558 3 19444 3138 1 18462 659 5 14082 1752 1 6312 477 1 9655 221 1 13461 1363 5 2796 4491 13 9812 1732 1 5424 6537 1 14746 2964 1 16945 512 1 13126 2367 1 1499 5661 2 18835 1736 1 16625 3101 1 8988 5346 1 2020 4903 1 16903 1743 2 18671 2138 1 1507 5005 2 14018 235 3 11044 1103 2 4076 6252 5 9566 7531 6 1777 222 1 5961 7980 1 9713 3057 4 19705 6673 5 6184 4903 1 15691 206 1 7885 4435 1 11498 1720 1 18061 5999 13 2900 443 1 16539 214 6 20275 7689 1 11534 219 6 9935 477 1 6070 6141 1 15384 207 5 4088 6868 3 6670 1453 3 85 3906 5 6897 498 1 18014 498 1 7689 3 1 6144 2388 1 3278 773 1 4737 5011 1 12006 1979 1 15318 2555 3 17645 6714 1 6462 1781 1 18862 833 1 10147 4373 1 4194 3526 10 15424 156 5 20219 1505 1 1618 498 7 13088 1739 3 1 4 1 18757 6728 1 13086 5341 1 11736 642 1 18662 223 1 13171 1277 1 14040 1768 1 8640 23 66 18833 3900 5 18071 1154 7 10752 508 1 17486 530 15 5812 6591 3 9998 4379 1 11208 3592 15 13842 4126 1 78 1135 2 7879 6946 1 17904 232 1 787 214 1 10730 1667 4 18197 1475 1 17906 2949 1 812 219 2 7620 519 1 2761 8203 1 10638 5963 1 12346 4375 1 9470 3909 1 15437 336 2 14695 4027 1 8895 233 2 13353 2642 1 10452 1219 1 19478 75 1 4665 1205 11 7863 4373 1 4561 6414 1 4009 2993 1 18433 467 1 11245 23 2 12082 3276 1 2842 1062 1 3677 5504 1 2434 3838 1 16455 378 1 19972 2517 2 18791 5031 1 3702 3430 1 2480 11 1 8896 6341 1 9271 6801 1 5266 867 2 7136 4549 1 2223 4698 1 14758 2504 1 8129 3491 3 4937 1247 2 2767 1739 5 4596 718 1 3147 2383 1 5476 6260 1 13582 7227 1 14052 937 1 17103 926 1 7916 498 1 14937 1825 33 15850 3461 1 17084 203 1 26 1517 1 620 1700 1 1638 514 5 17920 532 1 8965 1277 1 2712 1062 7 5652 200 2 13699 929 1 10716 7522 1 16231 3377 1 6152 1664 2 9322 6632 1 6536 7948 1 10000 4499 1 14861 380 1 17843 203 5 6111 3262 15 14696 786 1 19223 508 2 3427 6540 1 19692 7672 1 3612 4711 1 7700 652 1 74 3450 10 9743 6674 1 7009 2626 1 3300 533 5 13020 1995 21 2100 5181 1 2384 134 1 13350 965 1 916 4607 1 7020 3901 1 17550 4879 1 19735 1495 1 13589 1778 1 5674 7726 3 125 5581 3 18973 4599 1 16890 669 1 2990 7774 5 12167 4684 5 19997 888 2 5661 5266 8 996 4234 1 12424 1402 19 6676 5787 1 10672 1302 1 3100 4623 1 1537 1026 1 1689 253 1 8388 2559 2 16925 2515 1 8237 1239 6 14411 5663 1 5210 5517 3 13384 1093 1 12566 4312 1 6521 659 1 4572 222 2 13636 7602 1 2834 1705 5 4812 200 1 1565 6209 2 3729 1995 1 14522 1752 1 13636 1760 1 18115 1729 141 8385 5574 1 19776 489 6 17461 6504 1 1479 1508 2 11764 1360 2 1604 57 1 6793 3511 5 8047 1312 1 4181 1615 2 9745 5252 1 13652 7834 1 873 963 1 314 2356 2 7568 6169 2 16330 1150 1 8198 1234 1 12897 915 1 12491 203 2 4256 2671 41 9930 580 1 27 1603 2 18149 1724 1 3156 995 1 171 7779 1 4050 225 1 15518 1747 1 3116 1991 2 17746 841 1 8751 1951 1 18149 1238 1 4440 6423 1 13290 2600 1 3571 3445 4 1852 253 5 12740 5207 3 13673 7583 1 3188 223 12 1171 3911 3 13601 864 2 10684 525 1 13582 3660 1 15970 4597 1 17603 1241 2 14312 229 2 13167 4403 1 17008 3128 1 4392 303 1 8823 3710 1 2951 508 1 2228 2009 1 9815 4467 1 18831 1374 3 6157 5031 2 18287 292 1 15364 8099 1 15475 1779 1 3085 7420 1 20180 95 1 1935 8068 1 17934 1991 5 3351 5551 1 10242 232 2 4234 4262 5 7691 5486 5 658 7859 1 7641 3263 5 8475 3649 3 17850 395 1 7536 5531 1 11584 223 1 9199 934 1 2793 166 1 20145 1246 1 1576 23 8 9463 5296 1 11243 745 16 12633 3180 1 2284 385 1 7999 3399 1 9928 3599 1 3146 1986 1 420 229 1 19152 603 3 7390 186 1 17494 6026 3 18615 1342 9 1488 2343 1 19946 495 1 19666 1621 2 8078 1730 7 6867 8171 1 71 3330 1 16262 3558 1 18522 4242 1 2465 5577 1 4370 1747 2 13845 481 1 7568 1453 3 14231 5674 1 18922 5133 1 5306 2557 1 12337 1729 1 4909 3334 1 140 6366 1 6341 2291 1 5827 379 1 378 1686 1 11790 5073 1 18430 187 5 14281 7401 1 534 679 1 5464 1225 1 18040 4564 2 96 4394 1 7020 5108 3 18456 7431 20 12954 4944 7 17521 292 1 5694 1252 7 6989 6054 1 13 747 2 11646 1548 1 16812 575 2 16312 6488 1 10882 6892 3 7527 1930 1 3347 4245 2 4197 2899 1 9432 1239 1 15792 6743 6 174 8061 1 14204 1417 4 17755 5567 14 18879 1153 1 12322 367 6 10815 7862 1 456 223 10 18314 201 2 3581 2503 2 14411 223 1 19128 4689 1 3152 219 5 17738 4355 1 5754 1104 1 4900 1758 4 17736 852 1 1005 1399 4 13035 2806 1 8443 5803 1 6611 1305 1 18353 4198 1 4665 8221 1 15622 221 1 18493 5018 1 16273 1723 3 4045 74 3 20079 1404 2 352 7597 1 11932 1729 7 11357 5219 1 16440 4792 1 6060 4156 1 1096 8145 3 1519 7213 2 13790 1296 1 8085 1345 4 19322 849 1 19949 7936 3 16252 3515 1 161 7359 1 11591 4008 1 7910 2179 1 12343 5018 3 9374 7850 1 11678 874 2 83 3774 3 10029 3333 3 14755 4230 1 19009 995 4 15858 6064 2 7559 2276 2 18548 230 1 4278 1751 3 14753 2068 3 8620 1298 2 4871 7256 1 7099 470 1 5133 219 1 1719 6898 1 2232 3023 3 16285 2686 1 16265 5771 3 17163 7206 3 18325 5952 1 6040 232 1 10505 517 2 3570 2863 20 7303 867 39 13145 7471 5 9525 2699 1 19765 6943 3 12665 6342 1 3991 7250 1 11556 2363 5 19168 3408 4 11467 7511 4 18117 1851 1 17685 7902 17 1204 1035 1 11727 1338 1 5863 4568 1 10042 525 1 15297 1775 4 10581 8136 1 5245 5348 31 6841 3431 7 15238 2292 1 3827 5558 1 18027 1629 1 19786 6334 5 15321 1656 1 6328 220 1 12141 4992 1 1144 220 6 5843 1658 5 15343 2256 7 4556 2823 1 1025 520 29 10178 5026 1 13881 417 12 7111 3893 26 3120 7231 1 18199 7525 2 442 1781 1 16535 5098 2 17335 214 1 6305 3939 1 16184 1085 2 2004 7254 19 16327 8109 4 4282 28 1 16834 7948 1 14968 3352 2 10728 2089 9 3521 2166 1 6164 3558 1 8639 6232 1 10 343 1 2193 484 21 3822 482 1 14988 4476 1 17142 340 1 12864 2424 1 3314 221 3 15634 3239 1 18341 341 1 13729 536 1 19181 1877 18 15726 5004 1 5434 3525 15 174 8116 2 15192 148 2 19920 6640 1 13220 2353 2 17921 4920 1 1384 1719 1 17298 2556 1 3633 5221 7 17495 4578 1 20145 512 2 5531 224 1 3755 3230 1 1376 1238 2 7991 3639 1 2962 3110 1 5458 4920 1 2877 2854 2 1435 7225 1 9785 6500 1 17369 4245 1 4980 1236 1 15549 295 2 15920 6801 5 8405 759 2 1534 1657 1 15496 4635 2 14312 225 11 6158 470 1 17947 4944 2 4763 2801 3 8328 4436 1 10198 201 1 1621 1686 4 14087 2030 5 11614 89 1 9245 1657 1 17516 1992 1 17284 2881 6 18118 723 1 18939 5691 1 124 5556 1 3887 3080 1 8452 1312 4 16366 541 7 17586 3897 1 15164 1312 1 10936 4629 1 787 13 1 20171 1286 2 12521 715 1 9224 3551 1 2475 258 2 4092 1704 2 1280 3058 1 13272 2530 1 10428 7851 2 19262 3721 1 873 666 2 7817 3460 1 15286 4591 1 1483 7097 4 13159 3482 2 8396 200 2 3675 3540 1 17078 215 1 10826 2146 1 12831 3262 1 15269 5507 3 9724 84 3 15083 634 1 13554 4245 7 2886 673 2 18524 199 1 17938 1184 9 18300 7989 1 11545 3247 1 10105 3389 1 4817 1247 3 9883 3705 3 14037 3536 1 11 418 1 1551 470 1 13764 3511 6 8405 4838 2 10391 1267 1 2886 5187 1 16841 1825 1 684 222 3 2414 2729 1 6146 206 7 19310 214 1 19000 360 2 5983 1757 1 18516 222 1 20021 3216 3 2970 1234 2 3799 2655 1 11702 1322 1 7765 910 1 11856 207 5 13264 5649 1 7879 7315 1 3530 689 10 2674 3627 1 13462 316 13 8961 1703 7 853 7216 1 9072 534 1 124 5482 4 15836 724 4 16626 3283 1 16534 1296 1 9891 1243 1 7556 2662 2 1024 5363 6 6420 6065 1 1426 3484 1 10684 1738 1 7596 23 2 3705 6107 6 18898 1244 2 17291 5553 2 11478 637 1 5353 2566 1 6646 501 1 7741 4447 12 14710 768 1 19286 499 1 4875 5758 5 7953 1373 2 5812 4653 2 1801 2002 1 14632 6032 1 15896 1766 1 17271 1890 1 18475 1187 1 18015 1271 4 17927 3389 4 9946 5439 1 9852 4695 7 7334 201 2 11902 756 1 465 518 2 7823 6793 26 17141 1643 1 4960 709 30 13578 1142 4 14162 1825 13 13682 4261 1 9628 926 2 19182 2029 5 19152 1424 5 16002 728 1 3321 7368 3 18866 4366 28 3607 1324 2 8930 1407 5 17947 4435 5 2240 1734 1 5328 1464 1 13590 3016 2 3934 1356 1 18307 629 1 18070 2708 1 14165 1721 9 8478 719 1 5752 4435 5 1445 2581 1 8763 3898 2 16162 4987 1 9567 3476 2 11938 6084 1 13266 7210 2 566 1729 1 5431 1334 1 13759 497 1 1259 1760 2 79 3565 1 19290 2355 6 9342 3511 3 3397 765 1 452 401 1 3976 1357 1 13770 4010 2 17331 508 2 35 1858 1 15311 1253 1 9131 2367 1 6510 2100 1 304 769 1 3797 634 5 1713 2646 2 2392 1736 13 4191 2552 1 10380 920 1 15937 510 7 8532 910 1 2748 6603 4 10026 5251 1 11055 4099 1 14587 765 6 15468 2056 5 9717 263 1 15244 1235 2 6579 1707 1 16281 1762 4 10575 894 3 17082 4696 1 14625 223 4 1918 1501 1 1928 4086 1 456 6801 4 174 8005 2 755 1761 1 14745 1776 1 9947 582 1 15127 2251 1 10676 1288 1 11978 6635 1 15776 2798 1 5572 5663 1 5158 1911 6 2735 2673 2 1996 1898 1 12077 196 1 9441 4104 1 1806 1235 1 8833 5380 3 8198 395 12 13448 6506 1 18264 1934 1 3276 1556 1 17662 498 14 12337 4613 5 6644 4013 1 20180 3699 1 7991 2614 1 13230 4770 2 496 130 1 5888 201 2 19802 7809 1 17612 3333 1 14093 4252 1 4880 918 1 17221 203 1 1045 214 2 2885 200 1 15807 7210 2 7099 6252 1 2583 3619 2 6726 2541 1 4935 5863 8 6906 3255 1 10199 3233 1 1547 3189 6 6107 3869 6 18939 232 1 14020 6565 1 3609 6534 1 94 4263 16 2624 5517 2 11542 2407 3 5695 1304 7 13253 4192 1 12731 178 2 6854 303 4 143 6558 1 17120 1242 2 19272 853 1 19649 225 1 1465 1509 1 14642 1331 1 674 220 2 16017 1267 1 11820 6580 4 15998 7584 1 6839 7895 3 4264 235 1 15066 5156 1 3718 8158 2 14727 237 1 12325 229 1 5638 3464 1 11533 7870 1 5264 3519 3 9676 236 17 25 1488 5 7440 834 1 19098 1778 2 3806 498 1 14234 232 2 10914 206 1 6511 1747 1 9445 1342 19 13928 6414 17 2384 1825 5 8409 3619 1 7772 498 3 6926 4122 1 19872 4253 2 189 5792 2 4076 1748 3 16488 96 1 10105 84 1 460 5730 3 1438 4949 1 19243 7032 1 7252 481 1 8154 1423 1 15471 627 1 14700 496 1 10040 4418 1 2643 856 1 8798 2490 1 14639 7020 1 2643 5269 2 11512 1321 3 3366 6954 3 188 498 1 8435 7740 5 115 5179 1 13402 819 1 16192 1965 3 14412 378 1 19401 3152 1 10575 552 1 11663 5903 4 14075 203 1 7961 5060 2 1865 34 1 10280 1784 6 14738 3351 1 16493 6053 17 2851 8167 7 15374 638 1 11395 1686 1 18113 2495 1 13414 3464 1 1125 4203 1 15534 518 1 16137 2815 1 1620 128 1 16916 3578 1 10669 7520 17 6811 2600 1 6139 3462 2 6827 1990 3 895 4950 6 8866 6680 1 8054 512 5 9387 1686 1 17507 3909 1 7269 4992 1 18381 1404 3 2962 3775 1 17521 745 1 3581 2296 1 18116 206 7 28 1660 1 15982 1719 10 8760 407 1 8946 795 5 16675 440 12 9688 4998 2 13601 2056 1 18909 3113 1 13792 7076 1 3593 4339 1 15918 5995 2 12041 6482 3 5612 1239 1 5785 470 1 16231 3706 2 18075 1302 5 16442 1784 3 16797 8167 2 7571 11 1 12942 6341 1 16916 6120 12 17645 1769 2 6829 6140 86 11676 190 2 14669 6867 2 11658 7275 1 7465 2920 1 18574 74 1 14929 2810 1 8198 4673 1 7604 1664 1 15693 2827 1 3171 210 3 13279 4369 2 7703 2639 1 9538 3442 1 4662 1784 2 8620 7700 2 828 207 3 14092 225 1 6926 367 2 1262 203 1 7721 382 4 4502 4967 1 11852 7013 2 19272 7576 2 12897 821 1 10772 510 2 5281 1898 1 2379 5043 27 8492 1736 2 708 5344 2 14427 7098 1 702 841 1 16018 3911 1 5205 4022 24 7009 1819 1 18219 8013 1 14767 7216 1 18442 2256 3 13881 5349 1 6943 3518 1 8532 498 1 3858 1734 1 8220 5943 1 7639 883 2 8620 1300 5 6183 1752 2 16700 691 1 9074 23 3 2213 915 1 13893 6603 2 1191 244 1 952 1146 10 19921 5783 2 7926 1246 4 7477 8109 3 3261 4581 1 2829 1625 1 9834 3761 1 15687 3301 1 6890 1251 1 18455 7346 2 14374 303 1 1443 4038 1 12245 1729 1 2103 200 1 115 5171 3 16176 6150 4 4707 3212 1 7440 1244 1 8532 864 2 12342 2668 1 10080 5325 1 5411 4311 2 13097 5561 2 2332 15 3 12895 206 2 10106 3333 2 2045 220 1 7366 1241 1 17502 6231 4 12821 229 1 12550 525 4 12299 1747 2 6186 215 1 11085 2508 1 5691 1338 1 16515 4236 5 65 3179 16 7322 5439 9 14522 1710 4 8464 3881 2 6913 130 1 14369 23 1 18410 870 9 5041 5274 4 11272 95 1 9421 5610 1 15997 1685 1 9061 8026 6 15626 1037 5 7956 4241 1 16792 84 1 13215 1238 1 18060 821 1 8532 184 2 4074 7419 1 13138 1334 1 16635 5243 2 14894 6457 4 3826 829 1 20275 299 1 11212 1921 11 13552 1649 1 4599 2662 1 12296 2696 1 14883 1417 2 10825 5053 7 5822 7259 6 16059 1781 4 3782 2428 1 9281 1146 1 379 4531 1 12652 1244 1 10937 2605 1 5433 6139 2 10988 1112 1 14694 3637 2 11938 4996 1 8934 38 2 9612 1829 1 2460 1946 2 14745 1707 1 7916 1775 1 16291 6608 7 17419 1343 1 16978 1333 6 2834 7618 5 17037 6278 2 17198 7536 2 7707 3484 4 3705 1792 1 16636 3869 2 15827 4930 2 13726 5297 1 4691 498 2 19982 7231 4 6191 566 11 4833 222 2 7792 1804 5 11736 2388 2 3092 3556 1 8152 1731 1 3826 1348 1 15683 792 3 1735 702 1 8000 222 2 11877 3669 2 12746 1779 1 1983 1798 8 14636 4933 1 14883 1721 4 174 7897 1 7000 389 1 18515 1834 2 2284 2508 4 19955 2297 3 12412 348 1 15608 3621 1 15272 2938 2 42 2229 1 10881 903 2 8191 952 2 12873 2522 1 12453 5266 1 1704 6413 1 394 4858 1 6183 1717 2 7203 95 3 3822 1283 2 18946 7840 1 11348 7424 7 9168 221 1 6690 663 1 7498 164 2 7139 2608 1 10973 184 5 11552 3508 4 15323 1825 2 18455 5482 1 18806 1418 1 1839 964 1 6673 23 2 7718 835 1 19976 23 49 269 1244 1 3894 411 1 1452 222 1 12619 411 5 6158 1363 1 5620 2620 1 14578 6723 1 14010 3540 1 2204 4099 1 8495 6268 6 1466 1238 2 6228 886 1 13090 7259 1 18357 184 2 905 3516 4 19102 6551 1 863 5258 1 17244 3846 2 888 2111 1 1065 2016 7 13792 6167 3 4768 1762 3 17661 3492 2 10850 2398 1 18375 2423 1 8913 5291 7 13136 853 1 3436 1245 3 10739 893 2 15468 1772 4 4767 7850 1 3853 2898 3 2271 3534 1 5009 2800 1 1259 1730 32 8557 579 15 9508 5444 13 16137 1537 1 3323 4716 2 7386 3457 2 1086 3511 1 9364 7526 3 12663 4029 1 1801 1322 2 10655 165 1 13574 398 1 14074 219 1 19470 1722 1 20278 3820 5 1606 690 1 2267 3851 6 19779 3879 2 572 2367 1 13743 1307 1 13508 3715 1 17 1073 1 7028 7419 1 15376 219 2 14474 2675 4 13461 2360 3 7756 5434 1 9511 2518 1 14053 1244 1 12008 203 5 4121 4279 1 13466 6543 1 9327 1249 3 7243 3747 1 10907 8167 1 16339 23 2 13179 3787 1 11428 1781 1 6063 1226 4 19952 6758 6 4265 3492 2 9461 1328 1 11543 519 2 3573 6677 2 949 2093 1 130 1338 1 9503 2803 1 15154 325 1 16537 883 2 15859 4603 2 174 7874 4 9598 6303 2 7213 153 4 6314 3769 1 127 5743 4 14100 1247 1 3881 5256 1 17 1069 1 18821 4560 1 10183 6620 5 1866 2265 9 7417 863 1 5459 198 2 702 2494 1 5610 4258 1 8532 8012 4 11570 1094 2 14870 6147 1 17987 5517 1 11336 5534 1 4377 903 2 18760 7570 24 19872 519 2 7295 6748 4 11511 1827 1 5495 7834 1 2362 4369 2 17703 3444 2 16243 3906 1 13243 3373 1 11164 6207 3 17033 205 6 3561 220 5 3379 654 1 17218 525 1 3012 3600 1 10663 1825 5 994 4533 1 20275 1383 1 2204 1825 7 10325 3774 1 13573 207 1 92 4127 10 14671 3634 4 15116 995 2 13084 1374 2 18976 1917 5 20158 3408 1 14957 6166 1 8969 1814 6 8119 6674 5 3923 6713 53 5231 3645 2 17491 1756 1 10830 2626 4 8647 1319 11 1446 1772 1 2218 7229 2 10 355 2 5208 3842 8 2557 221 1 11832 6139 1 2613 7217 1 2571 5009 1 737 545 2 6658 506 3 17268 3208 5 14564 5002 2 6744 4538 1 18227 4446 3 13050 4069 2 2489 5400 2 15126 5011 1 17308 219 1 15091 1732 3 521 5335 1 5597 1401 1 1620 2600 1 16844 1243 8 442 330 1 11613 650 1 18320 521 3 7956 5478 1 2475 3896 2 18197 1466 2 3847 4998 2 3287 702 1 19084 3233 1 8004 1555 1 7099 1819 1 6414 3970 17 5732 3057 1 13174 5018 2 12104 7674 1 20117 7491 1 11718 2968 7 19403 3464 1 12826 3516 1 17947 219 5 7933 3519 1 7312 1745 7 15952 7868 1 7653 7138 1 4106 6517 1 950 380 1 11343 1363 1 11108 404 1 12366 3167 17 4205 6484 1 2067 907 1 181 8235 1 2057 6337 1 16916 4096 3 14221 1401 2 7507 7850 1 4068 206 1 15818 2065 2 4314 3967 13 16494 623 1 9463 598 1 9421 6946 1 15272 1707 1 9145 5696 1 13262 4461 1 15216 545 1 14890 3293 1 16390 1748 1 6805 2676 1 7778 4436 3 18140 1315 14 12350 184 1 10973 2016 1 8709 6023 1 3358 6414 1 11956 197 3 236 198 4 2002 232 2 5338 5090 2 13595 1739 1 14597 4274 2 10508 206 2 5019 2793 1 13178 3461 1 745 7229 2 8138 5351 1 4118 4695 5 17066 1324 1 16828 5419 1 6039 4956 2 1251 508 7 1035 4508 1 17396 1740 1 15868 1776 1 12468 5043 1 11271 3599 2 17392 3516 1 17 1157 1 17663 4998 1 2879 2646 3 17121 7471 6 17341 6700 1 11367 1242 1 4791 1967 23 11150 6167 1 1567 545 42 11961 295 7 17 1121 12 2570 6078 1 15828 671 16 17697 1903 7 13105 436 1 13724 6257 2 1843 814 1 15248 4344 4 5117 6897 1 17652 6588 1 10242 173 1 13182 3911 4 5407 5263 9 3064 1819 2 7682 642 1 18996 7750 25 18740 2562 1 7179 807 1 7287 223 1 2213 603 1 8890 6414 2 14992 848 1 9390 8251 9 16130 7520 2 18808 523 3 6226 6342 5 19939 5427 1 19145 1610 2 10815 917 1 14740 7470 2 3485 1772 1 5576 6213 6 8981 2542 3 16276 7083 1 14646 219 1 5611 1758 1 11165 1244 2 4110 502 3 9392 3167 2 13526 2403 2 19401 1251 1 17943 2552 15 4998 891 2 17399 3417 1 17207 6368 1 2710 1250 1 4428 6115 1 3485 252 1 15313 4998 2 10658 1312 2 7827 5018 1 4815 3876 2 4542 34 2 5401 4955 2 10119 4536 1 17150 6471 2 4467 184 2 15282 201 1 9224 7910 1 16594 177 1 18623 831 1 14312 751 5 3211 1751 3 62 3008 5 8629 8085 4 11370 7850 1 16806 1779 1 2345 3194 2 3665 7220 1 6259 304 2 6166 200 1 15782 2633 1 2895 5016 1 5317 206 7 2873 1760 1 11769 6624 2 10183 2352 2 2385 5757 1 2152 6276 1 2891 1755 2 15777 2114 1 14852 512 3 4524 3545 1 991 1658 1 17505 3596 4 1126 221 2 18623 6884 2 2435 6053 2 10923 1649 10 11935 7260 1 18462 235 3 13905 2438 1 18887 4230 1 3801 3124 3 18430 1235 1 9097 2016 1 11332 1781 1 14091 1229 1 156 5471 1 14902 4824 3 9015 986 1 7020 6152 1 10034 7235 1 16568 2029 1 16775 2571 21 1999 5712 10 15827 1060 1 8582 5903 1 11912 1764 1 2883 2675 2 18366 4012 4 1551 1768 1 12962 3849 1 3681 1727 1 5977 167 7 8665 3916 1 9178 5400 5 12438 891 1 12427 220 1 3193 1489 3 2762 1704 3 5312 219 6 13078 2364 1 17645 1698 1 19161 2355 1 19578 6806 10 2373 4231 1 5707 10 2 645 518 1 8620 304 1 1255 1771 1 15429 8108 1 4979 1715 1 7770 3666 1 11215 4288 1 2898 4998 1 9840 6713 1 4539 501 1 17835 398 1 10325 3757 3 7017 4516 1 12221 1770 2 5684 3671 2 725 670 1 14035 23 1 815 244 3 19091 5538 1 1369 3222 5 18904 1730 1 2795 6029 5 2509 3608 4 4784 498 4 2385 3478 1 14583 928 1 11929 806 1 13601 5397 1 2691 233 3 6726 5909 25 1600 175 28 20191 3679 1 9478 3287 3 18967 3590 1 3426 221 2 123 927 2 11341 889 1 12841 828 1 20082 1664 1 4867 220 1 13165 3539 8 13856 1296 1 4499 2979 1 12026 6701 1 601 2357 1 3630 2010 1 4784 1251 4 9097 1825 144 17257 5071 3 9347 1342 7 6079 7494 2 17121 1407 17 17585 2729 1 11215 525 1 5882 1762 1 6539 5759 1 5315 1781 1 7917 2342 6 1443 5505 2 16123 3180 9 17778 3697 2 15629 770 3 1722 222 1 8965 1745 1 20150 1829 1 2283 2919 1 11935 6793 9 16351 1909 1 13631 1356 1 8183 695 1 8015 1732 3 18375 135 2 17127 1743 1 14157 506 1 8917 4115 1 8639 7717 1 13539 2473 1 10865 8141 5 7435 519 1 6776 1819 2 12777 1119 5 13 896 2 702 1290 1 2899 2973 1 1907 397 7 1038 207 2 9000 776 1 5589 1248 1 2833 6204 1 15432 2776 1 6533 4289 1 14011 1692 1 6153 6675 1 10621 1296 1 17778 647 6 20256 7622 2 15304 4179 2 270 4435 1 19150 6341 6 6059 6576 1 11978 5009 1 11566 4662 17 10305 1883 1 20033 438 1 10358 8029 1 14757 3031 1 1314 3697 1 3113 1239 2 8995 205 1 11844 1686 1 8943 2266 1 4967 1146 1 9728 4404 1 14149 1296 2 19601 1649 3 14055 6139 3 6766 4865 1 19786 4967 5 939 1760 1 4342 2827 1 19500 219 5 2820 7064 1 9668 4001 1 13318 1819 3 11789 4366 5 17504 502 1 485 3329 1 4050 1734 1 126 5592 2 14778 191 1 10238 3353 3 10027 525 1 12393 2675 1 16381 2350 1 2829 1630 2 15192 798 1 10856 4367 3 7620 798 1 19724 156 1 12988 5474 1 16021 2539 1 2743 6396 1 4572 4403 2 1612 5420 1 10339 6144 1 6152 631 1 19871 4120 1 17099 4941 1 17033 4274 2 15364 961 1 18160 2908 2 16016 6358 1 15241 7529 1 3718 3019 2 2838 3087 1 10846 6435 1 10977 7968 12 13216 1737 2 7524 1007 2 954 365 1 19478 1727 1 694 3478 8 4125 3615 1 2414 5905 1 16621 518 1 10720 2649 8 7920 2056 1 7449 498 4 11882 1374 1 10559 6442 1 17392 1776 1 1571 1707 1 7577 229 1 15550 4012 1 17493 1658 1 11616 5255 1 1844 7526 2 5681 221 1 6846 220 1 7725 2410 3 17819 1713 1 12609 3618 1 1507 1819 10 4051 38 13 5304 7275 1 12817 4209 1 14352 6983 5 12603 4250 2 7751 2481 1 9802 3511 1 9553 525 1 1059 1453 2 18581 2577 1 18545 3685 2 18479 765 2 542 7418 2 18353 4307 1 8297 629 1 20225 689 1 292 481 1 9550 1769 13 11585 1424 2 7070 805 1 7458 6225 1 9283 411 5 11254 3138 3 4134 6363 2 3436 562 1 745 910 2 7750 1829 2 5550 7609 3 9760 1819 3 3331 200 1 3940 889 2 15853 1275 1 19437 604 1 10533 3386 1 9868 427 1 16127 530 11 3268 6344 4 19282 3231 1 12737 244 1 1590 771 1 11468 2817 1 11709 5203 3 18921 589 3 416 3074 9 1127 206 2 2542 1445 2 20026 221 3 11214 3445 3 17781 505 1 16674 3630 3 14632 3281 2 18946 214 1 17088 8155 2 7435 867 1 899 849 1 18026 215 11 416 3022 20 5962 7529 1 1295 1825 15 3395 1758 1 7000 858 1 13600 3335 1 9079 7853 2 16404 1466 1 13731 2913 1 19196 8161 6 4850 2496 5 527 853 2 13326 1242 5 1720 2821 3 9546 752 1 17913 498 2 1043 8203 1 6564 6080 1 9160 3622 1 11321 2762 2 2303 214 1 3374 221 1 1551 1762 1 18905 1819 1 4647 2646 5 9901 6555 1 9288 7494 13 10431 3138 11 591 5817 1 11786 300 1 14233 2970 1 7185 1430 1 7571 409 1 314 5051 1 1265 2098 1 12724 4245 1 7829 5272 1 2995 186 1 15269 5412 3 19558 1990 1 4057 926 1 2449 6993 4 372 1819 4 17710 1245 3 12325 386 1 17088 1757 2 13959 3842 3 366 4919 1 16883 2676 1 4036 1324 1 2100 7962 1 13299 2068 1 12724 208 3 13973 6697 1 17908 2043 1 19399 7646 1 3417 1332 3 16140 438 4 16099 3511 3 822 706 1 7396 1995 1 19996 3530 1 19724 496 5 9106 1774 1 3951 1888 2 584 5171 2 3338 2915 21 4524 7266 2 11104 4010 1 873 696 1 20083 3974 1 9819 1731 6 1171 1788 1 1296 2362 2 2707 3693 1 12526 221 7 6700 1768 13 2480 4623 2 6332 711 1 15995 186 5 17946 219 1 4556 5019 4 12687 4784 2 8905 4029 1 4378 236 22 14391 6480 7 19567 1282 1 5290 2581 2 19877 5058 3 18323 1703 1 14406 5876 2 3397 877 1 17167 1995 7 15833 2029 2 18079 6341 1 14889 203 3 8149 3221 1 4050 184 1 17494 5903 2 7632 1914 1 10902 1251 2 11678 6083 1 11367 433 1 906 6481 1 17103 23 1 5520 4870 9 12623 8083 1 5424 7475 1 107 4764 2 10268 223 3 7738 1718 5 6772 206 1 143 6562 1 18923 6705 2 3008 2580 2 564 6535 8 7568 2789 2 15016 3801 2 9511 4304 1 3232 3453 3 6183 236 1 6158 8192 6 6176 5303 1 3606 167 1 16625 2675 2 7527 537 7 20079 5187 2 3530 3427 6 18286 1374 2 8771 1747 3 10143 7413 7 11610 304 2 17746 4314 1 1999 846 3 13672 2969 1 17195 4555 7 2331 7342 8 20249 517 1 11758 34 2 12971 3922 1 9250 658 1 16334 2982 1 19011 252 1 4817 6706 3 11545 376 5 15670 4649 1 19023 1007 12 13619 4268 6 8484 5650 1 12378 5121 1 8930 5259 2 15230 200 24 14773 8141 3 2155 347 1 5104 23 1 18495 3979 1 593 203 1 7585 593 4 17285 1464 3 9128 5324 1 10382 867 1 9104 6714 2 11937 5252 3 7867 7895 4 17697 4193 1 5602 861 1 10025 4041 4 18925 912 1 5407 7597 6 18431 228 1 12583 7968 1 14730 3352 1 19724 1695 2 16269 2998 1 4397 1707 1 5873 4977 1 18608 5674 1 8754 1722 1 5920 2450 4 10703 562 1 19655 726 2 13227 2508 1 18593 4401 6 10565 1121 1 1218 3693 1 10318 196 4 17390 1658 1 15103 2982 11 16814 524 12 13187 1184 1 5651 1150 1 10068 517 3 3720 1753 8 2359 2141 6 19246 1825 6 4039 2600 6 15547 7545 1 11910 2508 1 4754 6541 1 16564 2190 1 108 724 1 4901 1677 6 3512 4779 5 10219 2068 2 16659 3526 2 8390 1328 3 19503 2641 2 7095 1720 1 17899 2797 1 11367 7197 1 15676 1416 4 18375 6288 2 8489 2380 4 8330 5310 2 3074 2731 5 19568 382 1 13865 13 1 15782 6007 1 8585 2356 1 7670 3536 4 17133 1466 1 11099 4459 1 6581 1771 1 13716 2259 1 51 2520 1 10738 3635 1 20007 7275 1 16426 2488 13 9374 6152 1 15012 6139 4 6343 6051 3 17221 520 1 8872 3135 7 16031 4589 5 7472 5054 1 11154 2292 2 9572 5792 1 209 2534 1 12196 4322 1 16815 2885 1 8259 6414 3 14658 3230 2 6453 2636 2 16500 411 5 13721 1771 2 10554 917 1 15934 3748 1 13900 201 1 10502 880 1 7189 5265 10 11718 2971 1 81 3650 6 6889 5694 2 13636 1789 2 12180 4435 1 8860 3417 2 18017 7096 1 7994 6028 2 15599 5413 1 15947 3334 1 10103 4020 1 19512 2929 1 3146 1040 1 11934 539 10 3118 2955 1 2356 2001 1 19727 6080 1 16008 3663 7 1159 1945 1 162 7386 1 19982 1282 6 8615 753 3 7397 5121 5 19645 4635 1 11959 5500 1 16092 4563 15 6855 6477 1 3991 23 3 5692 1698 2 4385 87 1 15573 2481 12 13055 2589 2 16742 5319 1 15851 6706 7 14091 175 1 655 1739 1 2288 2569 2 15963 3393 2 18615 6534 10 9579 2362 3 8793 709 2 11353 1921 6 7122 6256 1 18566 171 1 15501 6076 1 14146 742 2 8965 220 1 9807 4724 14 3014 1771 2 9129 7313 1 2057 219 7 18313 1442 1 102 3029 4 17665 8139 2 9029 4315 1 2462 4047 1 12232 1732 4 3085 5253 1 1444 910 3 7770 200 2 11837 2671 1 177 222 3 2354 214 1 15759 4628 2 2181 4972 1 13015 33 2 9847 724 2 5653 520 3 8946 658 1 18681 329 1 8517 3370 11 14088 1330 1 18386 1136 1 8174 723 1 14867 6232 1 4236 4274 1 20191 5252 2 18689 232 1 7991 1580 1 2370 1416 1 9937 2353 1 13717 510 3 10509 225 1 18509 219 9 2483 6701 1 13731 3271 2 4972 4807 1 7186 2290 1 10103 2367 1 17550 3050 1 5292 7326 6 3485 4011 1 5624 1292 1 4823 1819 1 17688 1719 1 10691 3625 12 14671 5266 4 18806 2369 2 14789 4473 1 19305 575 1 1029 1464 2 6180 3662 2 6924 2352 1 20114 5486 2 16736 4231 1 15559 1738 1 15949 6584 1 9647 2600 1 10290 252 1 675 3757 1 6533 1209 1 17407 3334 36 3000 3421 1 17911 1032 1 4415 520 1 7029 3525 1 16776 382 1 17995 215 21 6831 2675 1 10114 7446 1 13578 524 6 14561 130 1 462 5255 1 16038 4411 1 18040 592 1 17811 3591 2 5769 5420 1 6776 1164 3 697 2191 2 17291 223 2 5863 4107 1 12841 6279 1 14473 708 1 11384 888 1 11063 1298 3 10676 7527 1 4309 5398 2 16611 1721 1 11817 3634 1 1443 4936 2 7535 219 1 8250 5031 1 11416 1779 1 13492 1726 6 2043 215 3 10733 1342 1 18814 248 5 18482 4280 1 19649 46 2 17549 1334 1 14234 880 5 9187 2729 1 16238 1363 1 3234 7719 11 1744 4452 1 10388 1731 2 18388 4060 5 18476 579 3 517 200 3 15791 3397 2 2434 3817 1 10791 5478 1 2905 2424 1 12970 318 4 11556 5353 1 83 3773 1 11769 5547 1 3504 7824 1 3964 631 1 19156 4944 3 20215 4266 1 8012 2552 1 5849 5998 4 15850 1244 1 17953 2424 4 7605 3263 1 3499 1007 37 808 1991 1 13743 1334 1 3757 4111 2 16491 937 5 10553 5719 2 9503 1374 2 3337 769 2 1143 532 14 13664 5162 1 1206 52 5 3774 203 1 334 1094 7 9350 3233 1 8302 3979 1 3158 206 4 6838 914 1 10851 891 1 13453 2699 7 3277 1235 3 1414 1482 1 9448 3331 1 11920 1235 1 684 1253 1 8767 1779 3 20013 4504 1 20275 4473 1 12539 1752 1 9374 2353 1 15318 200 3 4492 7850 1 35 1861 3 447 724 2 8040 536 2 7368 742 2 12815 7083 17 4992 520 4 9279 232 6 5655 5530 1 19649 505 3 17767 1752 1 19649 6204 5 6406 634 1 3261 2721 1 105 4731 1 6378 1249 1 1506 215 4 6801 1338 5 9878 4645 1 7119 3167 2 16238 7229 2 9168 235 1 19733 4367 3 3419 6204 69 3430 4986 1 11004 7416 3 4314 3990 2 4755 5730 1 10117 3807 1 20059 1752 1 11170 7751 1 10585 2342 2 13084 1825 5 3262 1745 1 8296 6132 1 4492 2673 1 19105 232 2 4057 629 1 5784 1752 5 726 3287 1 4767 2416 1 5602 827 1 3578 3685 1 3699 23 6 12378 4710 1 7436 1726 1 17548 4794 1 9593 2053 1 1908 229 1 14753 3400 3 5077 995 2 12205 6185 1 1054 4012 1 18992 3224 2 16354 7101 1 11938 2363 5 17505 304 2 6014 1760 9 18282 4803 1 12440 6922 1 1608 5763 4 13735 206 3 8171 1772 2 6135 23 2 13281 6053 1 16857 5351 2 94 4314 4 15932 1357 1 7700 292 1 666 525 1 13414 1705 1 12850 1717 7 19501 7995 2 6739 7057 1 13922 219 6 861 682 1 73 3393 1 16022 1035 1 16505 303 1 15151 4043 1 1682 4796 6 3177 3021 23 10407 458 1 8554 1307 2 10852 4206 4 18713 1282 1 4573 4870 1 6013 5036 6 18576 934 1 8570 680 1 4372 550 3 12523 545 6 1214 159 7 8580 7988 9 15923 1241 3 9797 1737 1 15281 1827 1 2646 6503 1 15230 1184 1 4634 5266 1 18620 4120 5 1131 1464 8 935 3167 1 393 575 1 18564 1728 5 12765 7955 1 9260 6066 43 10840 220 2 3246 6621 1 4961 1871 1 3712 205 1 15946 1184 2 10670 1724 1 8248 2662 7 3988 420 1 18432 215 2 869 2356 2 8268 8183 3 5721 5099 13 2152 2191 1 1889 229 1 2507 2065 1 11789 2344 2 15955 1282 1 5248 5352 9 14900 512 1 659 1772 8 19317 203 27 2375 4803 1 9773 625 2 12135 385 7 5942 2064 4 11354 4998 1 2459 6776 1 3738 8194 2 2271 6118 1 13214 2155 1 12281 2618 1 5614 876 1 17713 4201 2 8326 7750 1 473 3608 1 15276 1827 10 7536 7598 2 3445 1965 18 8328 35 1 9829 1282 10 5737 5345 1 1361 3392 4 14906 2261 1 258 232 1 15774 2295 5 16563 3070 8 15098 232 1 6412 2675 3 12893 1752 1 14859 200 1 1626 2353 1 7626 582 2 18332 219 1 6287 1151 8 17436 937 14 18742 1240 7 3037 536 1 3759 5637 1 19378 524 2 276 1121 14 11020 885 2 5185 4607 6 11977 1727 3 7566 7470 8 1040 3151 1 16029 3236 1 11492 6139 5 4843 925 1 10839 6204 5 15618 1996 2 2689 23 1 18089 4613 1 12064 6341 14 17960 1248 1 16039 7466 1 4769 208 1 12695 200 2 15909 1732 1 19115 2661 23 19385 891 1 9268 809 5 4092 5551 1 7498 8083 3 3823 82 14 6646 1734 1 17535 214 3 15087 7683 2 11996 3135 1 19368 1248 2 6164 395 1 13055 6644 2 6041 470 5 14493 769 1 12619 1772 2 5191 3992 1 9077 7439 1 6193 588 1 17491 1788 2 1218 190 1 10330 1244 4 337 6713 3 6314 336 1 10821 783 1 18089 5755 1 3049 7857 1 12299 8239 1 13994 3510 1 14599 243 1 5119 2338 1 7433 1825 6 14788 2355 4 18625 1250 26 17541 846 1 221 1846 1 11773 2737 1 824 1363 1 14328 6561 18 3480 8197 1 10078 1703 1 5176 336 1 1682 3990 1 11077 220 3 4092 4022 1 5064 911 1 10719 510 1 7699 2407 3 5199 2663 5 18755 1814 5 121 5297 8 16887 1237 2 3059 4224 1 9660 4274 1 6726 6575 23 10549 1770 3 4933 2010 4 18491 1772 1 4611 1715 2 5351 7734 1 4045 2729 1 15124 2649 1 10720 4653 1 13997 420 1 12452 4107 1 10554 5425 1 17725 5888 2 8488 6228 1 11430 1781 2 6230 6793 2 863 2871 1 925 3248 1 8793 606 1 6420 6571 6 13315 1873 2 2267 5017 1 6706 262 2 140 6348 6 1566 3283 1 16806 201 1 314 3273 4 4616 3980 10 13126 1276 1 18207 3830 1 4018 3069 3 16831 502 1 7780 3323 2 1482 2636 2 14161 1482 1 15539 6721 2 4530 1743 1 7480 3827 3 6470 2353 2 10710 5272 1 3189 3512 1 1794 7900 6 3427 5907 4 245 1808 2 130 5976 1 27 1633 5 11899 166 2 696 867 4 15429 6252 1 17203 5341 1 2302 4006 1 10852 1092 3 12060 4888 1 16426 745 1 20 516 1 6495 2138 3 1868 23 8 17416 8122 2 15122 5459 1 19590 3512 5 6220 1781 1 13705 1739 1 12753 6058 1 19123 82 1 15003 5081 5 9694 6486 1 20180 1046 2 8221 2729 1 6907 2100 1 4614 1319 1 3521 758 1 14774 883 3 11533 967 1 2345 589 11 8439 1732 1 18862 879 1 18244 2591 1 11585 1523 3 4987 3378 1 838 23 1 11013 23 1 5919 1582 8 15974 470 11 4832 321 1 18213 6538 1 2776 2357 5 8408 357 1 12681 1768 1 3285 3138 1 2480 1315 3 17506 2703 2 12278 1819 3 14957 6011 1 19237 3798 1 15556 1531 1 20144 3732 1 12525 3627 1 12343 8141 1 4965 2580 1 13020 2570 6 15405 2517 1 19965 7552 3 18381 6990 1 14512 2015 1 891 2953 1 7453 3083 26 12956 4254 1 11243 864 1 5993 7236 2 8735 3671 7 5523 800 1 15563 8149 1 1029 2708 1 7418 1731 1 11663 5011 1 19342 1247 1 1913 601 1 10463 201 1 6658 1529 8 12685 724 2 3972 1295 1 14768 650 1 9204 6687 1 18320 789 2 9838 5909 1 1519 1247 1 19264 4623 1 14561 4108 1 7745 23 5 11935 691 1 10811 5922 2 1812 411 1 2992 6484 1 3491 502 1 5416 8191 1 19160 1248 1 12007 1743 1 17463 2938 1 174 7860 1 6587 3400 1 4134 1768 1 17088 532 6 1465 220 1 5649 869 1 18541 7253 5 3387 1245 4 19892 8045 1 17197 1245 1 16860 870 1 5725 3567 3 11806 3051 1 9659 2713 2 12705 1060 3 13023 5640 2 13439 415 5 8606 225 1 11327 1775 7 2917 780 1 4400 1244 3 12993 4653 1 5638 214 1 10339 5971 1 13550 3320 1 17440 263 1 17331 1374 1 5931 1770 27 9797 6013 1 11670 3 1 12346 2331 1 10857 232 7 8947 505 1 14336 368 2 16196 5444 5 5738 3419 12 11622 200 1 1278 2568 1 13951 3059 1 11345 200 7 2371 2257 9 1391 5398 1 20049 3556 1 12667 4992 5 174 8100 3 16022 714 6 19957 891 8 379 7313 1 6096 1019 1 10730 5379 3 15468 510 5 4935 6050 1 8510 6365 1 10307 1518 7 126 5582 2 17697 2588 1 13589 1334 1 6867 412 4 14091 7280 2 9066 7352 1 11220 4803 1 5708 5294 5 5420 1357 1 2271 4673 1 5176 2555 2 10693 7418 1 701 1772 2 107 4778 1 19872 642 1 1327 3070 8 11637 690 1 17405 1728 1 11577 1239 1 5661 1399 17 7765 2356 1 9279 1761 3 11789 1781 9 9538 5074 11 14316 1757 20 7336 3263 2 5872 365 1 3009 1720 2 13758 4230 1 455 6652 1 4428 2989 1 5216 8166 1 12121 1825 1 9155 1466 1 143 6612 1 8868 5592 2 6412 4085 1 14798 7871 5 3682 2683 10 18633 2386 3 14883 1751 5 8077 489 2 17298 1482 4 15935 399 1 15192 819 2 14400 23 2 5881 207 25 7484 7308 1 3548 201 3 117 1705 1 10582 670 1 17988 3400 2 10492 4708 7 8595 1551 2 13800 823 1 12424 2352 1 17585 383 1 7638 29 1 1002 1745 2 7184 1236 2 9947 597 1 8061 5758 5 10638 5575 18 4158 1682 1 4854 2988 2 16847 6500 8 5596 223 1 12757 196 7 11440 520 2 1141 520 1 4805 2675 1 3719 5432 1 18037 4463 1 7991 6880 5 2989 1705 1 11295 5180 3 11270 1285 1 5176 506 1 6834 1877 2 9171 3741 9 2334 4303 1 16557 1776 3 1433 223 5 19724 1395 5 14917 498 1 19456 329 3 5012 1649 1 3683 3504 2 16960 5002 2 2818 3926 6 10497 2351 4 16481 6645 1 9213 1681 4 9579 11 1 8890 325 3 4850 367 1 13705 7229 1 756 508 1 259 4401 2 19131 2721 1 2905 4343 1 5637 2645 1 19628 3504 2 121 881 2 12208 3634 5 3759 6130 1 5532 1253 4 19403 1298 2 13262 2801 1 10046 1778 6 19872 764 1 1051 1191 2 536 1252 1 126 5716 5 17393 201 2 6250 4079 5 15816 6702 2 2319 6360 10 18193 220 5 19950 3639 1 4512 502 1 1843 841 1 2150 1235 1 2495 1721 1 12777 768 1 8406 207 2 16184 1332 1 3804 1080 14 18356 206 5 2929 2831 1 13461 7663 1 17079 5986 1 16398 7101 1 6013 4187 2 460 1738 1 13193 1467 2 9171 2362 13 19272 1243 1 12811 4090 2 2309 545 3 9660 2099 2 19125 7078 1 8797 1404 1 264 8141 11 15502 2877 1 16109 222 1 7857 498 1 15437 541 1 8840 5810 1 8828 1730 1 2861 1307 5 19978 5289 1 6293 508 6 10162 1749 1 13586 5044 9 19908 329 1 11411 4245 1 18418 4423 2 1617 221 1 4106 2993 1 13873 8051 8 9771 7701 1 14728 4623 1 1636 4623 7 18431 7427 1 20045 4367 2 8528 1779 1 5145 867 1 17041 205 1 16222 3432 1 6389 3119 1 954 1657 1 11277 2953 1 3822 2508 1 16294 4312 1 11135 7750 1 1616 1007 8 3150 1714 4 16036 4807 11 15554 1582 1 7000 7877 1 12371 389 1 3893 6099 11 13439 4680 1 10855 1662 2 20016 1775 1 17918 4288 1 7320 509 4 812 4547 2 17386 6500 1 427 429 1 13501 4944 1 18191 2502 1 14059 2853 1 10064 3512 2 4004 864 1 18955 6011 2 17252 2508 1 4498 6780 1 5074 3494 1 2828 1726 2 753 1775 4 13993 1474 1 17340 8172 1 10692 581 1 15691 1253 1 18801 867 1 6351 7404 9 10906 6705 74 10569 867 11 19714 1819 1 19368 6481 2 15974 867 6 17843 1946 1 6387 2017 2 19872 374 1 8330 848 1 2908 4869 66 11085 6435 2 9913 8194 1 11877 2261 1 10252 1662 1 10212 919 1 1677 4792 3 5612 8031 1 7688 2821 7 476 7404 2 17596 2584 1 17519 2881 1 4023 6343 1 929 3540 1 18252 1635 4 2204 2367 1 6164 220 8 4095 5905 1 11827 2138 1 593 1751 1 10699 3298 3 7354 1237 2 6810 3132 1 15328 1244 1 11953 7138 1 5902 476 1 1638 4620 1 14203 6375 1 15468 1357 4 3336 4351 1 3414 3233 2 6249 816 1 13126 5496 1 6636 6383 5 10542 1732 1 7663 3732 1 7555 1721 1 4645 1826 9 13518 1307 1 14326 867 1 4332 891 1 11809 5800 1 20179 206 1 17506 8081 27 5252 1201 1 3471 225 1 15396 2327 3 115 5187 1 16928 1761 1 4350 3471 1 17003 1239 9 2091 5468 2 20090 404 1 12121 1728 1 174 8044 4 12067 2827 1 14883 2899 1 2414 5281 3 15936 1243 1 16784 1342 1 9199 263 1 4688 945 1 9215 1828 1 4734 7406 1 15107 395 1 140 6459 1 2313 4392 1 10049 1395 1 16538 3404 4 9808 1729 2 7982 1732 1 15257 6993 1 5806 5788 2 8391 578 1 12760 1705 4 8001 1147 1 19486 708 1 7251 1727 1 1157 867 1 6273 861 1 16852 2646 15 13959 3411 2 17939 23 4 11307 203 3 11304 6677 1 2868 219 1 10843 752 1 10883 5414 1 17445 7719 1 19426 1762 5 5882 764 1 6748 2639 2 15318 7029 1 7317 553 1 19239 6706 1 19322 4403 2 5613 4264 2 15629 791 1 1538 525 1 9204 6721 1 3109 6179 2 15844 6190 1 9865 1245 1 7498 528 1 5093 3391 2 15673 3591 2 14863 181 3 13225 4992 4 10495 6231 7 12892 1022 2 4832 1814 5 5297 1251 1 12594 5687 1 19671 3888 1 3122 270 1 10582 441 1 13647 2661 3 10000 1194 1 14524 3619 2 11430 533 1 9879 4606 1 2607 4312 2 10948 1728 1 16825 861 4 13 602 2 11031 220 6 14924 379 1 17914 2675 1 5196 1579 3 13498 5379 4 11072 2675 10 17450 6482 1 4572 201 10 8109 883 1 11376 1714 1 10145 391 1 10907 8155 1 8419 519 1 16096 2383 1 11891 759 1 9815 2013 10 5980 206 2 7245 2058 4 19863 5837 1 11097 141 1 6724 8084 10 6394 7521 1 16299 1304 1 133 6077 1 11964 524 1 8223 1019 3 17889 445 1 14233 4013 2 1924 945 1 9713 506 2 9500 2668 1 13663 6921 5 12725 3588 3 1788 2650 2 9606 4954 1 1398 2355 2 2094 378 3 18260 197 8 1995 7096 1 4054 2885 6 7184 4992 1 19079 714 24 13232 23 2 3031 7193 1 10578 4453 6 16411 1242 1 13172 7408 1 5222 3563 1 1839 1721 1 7487 1402 1 4874 1531 3 13231 5301 2 6646 4101 1 4670 220 3 11929 7397 1 10238 1042 6 6758 1717 2 992 3248 1 5630 108 1 11416 4185 8 11607 1721 1 3765 576 16 15072 1819 2 17181 536 1 15272 2542 1 19210 1757 2 7646 2032 1 10725 5603 1 1102 6684 1 1742 495 1 5623 7996 1 1946 3167 3 8856 2352 7 2953 4678 1 5158 829 1 12640 4216 1 13969 776 4 15364 188 1 3008 4011 1 15490 3257 5 9972 7552 1 4307 8194 1 1853 1378 1 4593 548 1 3056 5917 1 13734 650 6 86 3977 1 824 3206 2 12638 1719 2 5172 7652 6 4073 200 3 15211 23 8 14844 25 1 5024 6268 1 134 223 5 704 500 1 19601 7073 2 7948 3233 10 18242 4966 1 13132 877 2 7991 6633 1 1449 2352 3 7455 3045 1 15589 1987 1 269 2653 1 10168 1752 2 12175 3021 11 7821 502 1 14738 1548 5 16689 826 1 15394 1150 17 9610 1720 1 8307 214 1 8868 5628 1 8730 5871 1 833 525 4 14255 525 2 8793 284 1 18974 6150 2 18698 3526 8 12501 1246 1 16109 8037 1 11402 411 1 20042 737 1 17174 3851 1 3579 4987 1 2850 5538 1 6813 6320 1 7769 225 1 1191 203 33 17835 2789 1 6497 1728 4 8447 1994 1 19501 5768 1 1933 2284 10 16834 1621 1 19344 5138 1 4709 1244 1 18826 7216 1 7633 200 9 16306 7440 1 12091 4960 2 6645 1342 3 19596 3323 1 15466 1250 2 18806 367 1 9437 2398 2 8997 7201 1 12133 4312 1 18743 3283 4 6318 844 2 10043 524 5 1559 410 1 12491 723 1 13046 1772 1 8435 6777 1 9403 5518 2 16197 1246 7 6855 3261 1 10093 4199 1 18879 1686 2 2751 2256 4 1853 1656 1 4486 5274 1 16018 1669 12 19086 156 15 14335 498 4 5926 7404 6 1300 581 3 2319 5397 1 1171 495 1 10445 5341 1 9753 588 1 8332 4421 2 12988 6500 2 1904 541 1 11467 526 2 2538 3909 2 9628 906 3 5659 1769 1 7550 3247 17 15429 216 1 13778 3113 7 7916 215 3 11447 6278 2 15693 4723 4 7725 2435 1 15412 1742 3 9319 6383 50 6357 2818 1 18416 5319 1 8489 2413 1 2447 995 3 9204 7848 1 7970 1034 7 14861 236 8 15560 1312 1 9116 1342 5 62 3027 5 15915 982 2 3249 7236 1 13328 669 1 16109 220 1 4606 1762 2 13390 2497 2 17094 2569 1 15826 1184 21 12435 4344 1 2858 554 1 20145 1755 1 2411 5402 1 7111 8011 27 14336 1658 2 16259 417 1 13045 3909 6 10133 1250 3 19418 5432 1 1783 1518 2 3416 672 2 5199 508 1 16206 2032 1 17224 6777 1 4107 7801 2 4256 2268 1 6840 557 1 2377 3050 3 4553 657 2 15785 587 1 6630 2028 1 7893 526 9 7455 1296 1 5230 3630 1 9921 2969 1 20039 1302 2 19770 519 2 11853 233 1 13951 912 1 2653 2653 18 9419 23 1 10158 5997 4 5989 2673 14 9978 3377 1 2128 2132 1 5310 762 1 13244 1825 1 334 398 1 19238 7614 5 17460 8091 1 3759 5646 1 7179 571 1 15352 5830 1 13835 684 29 16570 2492 1 15307 6206 1 19695 5002 1 4151 3693 2 153 1119 1 9310 1685 5 3855 663 3 7020 1721 6 2405 4967 1 2174 4874 1 17331 1714 1 10583 6230 1 2154 1781 5 13 961 6 2356 197 1 8919 220 5 8841 5866 3 16090 2895 1 6292 1701 11 1747 6288 1 525 382 1 11982 2319 10 11165 1727 1 983 2114 1 15015 4470 2 17298 1932 3 18797 1734 1 436 1512 1 18353 3070 1 19658 1147 1 2428 1404 1 8728 713 1 5645 502 1 9763 229 1 13885 5817 1 1895 6341 2 9475 164 30 10486 575 7 19673 3653 1 15824 1745 1 7000 3493 2 10449 206 1 19190 1829 1 3581 409 1 354 214 2 135 6113 1 11849 3557 1 18888 7216 1 11371 2251 1 15485 2352 1 2147 1717 2 6506 3938 10 4880 6544 1 5102 7421 4 3057 1698 6 7718 1761 1 1801 360 2 7147 4540 1 13149 6197 4 9160 2261 8 11434 501 2 4812 518 1 8408 304 1 3902 3973 1 14758 1374 1 14109 5137 3 19237 4308 1 15936 684 1 5879 6758 1 143 4363 1 8762 899 1 8489 2407 2 10693 7512 3 822 1266 1 19577 7054 2 11760 7474 1 16522 7240 1 16709 7494 2 8198 380 11 7168 2683 3 717 6341 1 4519 3227 5 6681 2646 2 13590 936 2 13537 7996 1 6564 6677 1 14560 1530 1 10815 7054 1 8974 5427 35 174 5296 1 18909 1277 1 10498 1955 1 20192 2632 5 19140 3285 2 10290 1717 1 301 219 1 8014 7614 1 20191 665 1 14894 350 15 16050 4643 3 11289 196 3 2062 1718 9 1551 5408 1 206 229 1 8702 3511 1 16768 526 2 18942 905 1 8735 244 1 5357 3850 9 6914 1000 1 15579 203 4 14695 6508 2 13468 4640 1 7917 1615 1 4100 6888 1 17492 1736 6 9099 8012 1 20145 8194 1 6037 4796 1 2886 6480 4 10916 2729 1 12244 5919 2 3406 1237 1 12689 1829 30 17596 215 5 18000 196 1 16153 5897 3 1500 2678 4 16471 197 1 17416 3578 1 3714 8013 1 873 5258 1 20146 5532 1 17335 3742 1 3146 3593 5 15098 1363 2 16340 4274 2 10212 618 1 14560 1317 1 19494 723 2 10948 175 5 15834 506 1 3270 4578 4 16183 1736 16 3258 1277 1 17450 1233 1 15940 4572 1 3089 23 1 17548 552 1 3023 789 1 6249 770 1 13189 6546 1 19977 1819 2 4153 7098 1 19811 200 1 2566 2450 1 14786 2268 2 11069 5227 6 17384 348 1 4492 387 1 580 4193 3 8269 618 1 8965 1758 2 5960 3598 12 8376 3417 2 126 5617 3 14731 6120 1 8423 219 7 12326 2908 1 18671 8054 1 4205 7632 1 12261 2056 1 15919 1721 8 13568 201 1 17452 177 1 8159 6215 1 18193 1751 2 13570 2100 4 17476 7433 1 7252 383 1 14513 1740 1 10463 173 1 5211 1251 1 3577 3081 4 10245 665 1 5424 602 1 1288 6714 1 18347 4325 8 8532 1748 1 12858 4589 1 3755 1250 1 17809 6047 1 14740 6922 1 384 7237 5 6056 3063 1 13869 214 5 10049 2831 1 17563 1762 4 6107 1707 3 3029 520 3 10034 3227 3 18320 589 4 4811 3411 2 8540 244 2 17995 1740 12 10313 2958 3 17260 6047 1 17879 1921 1 14385 880 2 20112 1253 2 11736 6689 1 12003 5294 3 10327 845 3 6070 1664 9 10204 2653 1 5602 676 1 14072 2127 17 15307 4156 1 17344 4929 16 4092 2424 3 2886 1825 6 525 5074 1 2443 1743 8 8156 2661 9 19515 173 1 3097 6288 1 3491 3511 1 16088 1416 1 6200 6557 2 2590 5306 6 11430 1825 11 16551 6215 2 10267 411 1 10000 3741 1 17550 4868 1 263 1743 2 13806 873 1 14301 4916 1 10188 3563 3 1792 1881 1 4376 1643 1 12230 7512 2 16574 1307 1 5865 529 8 10907 194 1 135 6139 2 2167 4038 2 9508 929 1 12757 1407 1 1551 2626 2 19273 1059 1 19561 2043 1 12766 728 1 1056 235 3 14221 2013 1 7028 3909 2 19135 7937 1 273 3464 20 11155 6231 8 15585 4099 2 9419 2696 1 1059 2605 1 10462 2494 5 8356 73 2 17657 7719 2 4894 470 15 3258 1707 1 18386 3743 1 11219 188 16 11345 659 1 14007 4998 5 1822 5020 1 7809 215 1 8169 1827 1 3981 203 5 18538 7589 1 2057 211 1 17184 692 1 18734 5295 1 9586 1995 1 20029 1705 1 8867 1729 3 7266 214 4 8901 5018 1 10916 828 1 1918 4697 1 17045 4761 1 18142 960 1 10103 509 3 16943 4816 4 8368 589 1 14522 857 1 16265 3081 1 15629 624 1 3725 867 3 5831 1282 2 11706 7235 2 9464 2356 1 17331 3333 1 43 2263 2 5064 316 1 2318 4740 1 12493 1342 1 153 3810 2 7065 3963 1 18260 1941 1 17430 1761 1 4018 1942 1 1893 2089 1 2060 3493 1 15497 1728 1 14592 1781 9 18303 5104 1 12424 1758 1 171 7614 8 11041 6247 1 9767 512 2 6752 3849 1 2062 1706 3 19491 4245 1 6907 1036 1 11030 6169 1 12463 5972 2 4986 1302 1 6410 84 2 6909 4589 6 15629 925 1 15 986 4 11263 1464 1 31 1777 1 802 3432 1 749 203 1 19379 292 1 7785 4367 1 14437 5004 1 18061 1412 5 11127 200 1 11613 837 1 8525 4427 1 19504 3071 1 6982 5172 1 6652 4264 1 14318 7588 5 10802 6623 1 13823 514 1 4832 578 1 11727 5814 1 14241 7216 1 13813 2614 1 15345 1345 1 12523 215 1 12777 696 2 1980 411 1 12427 1819 1 8132 168 1 14080 7948 1 10736 2132 1 4617 6488 1 26 1554 1 19246 385 1 3037 1732 1 17886 1115 1 2141 1819 1 992 512 1 179 8194 1 8077 2184 2 9224 5952 1 12935 8148 10 17781 1775 3 3532 496 1 46 1778 1 9999 7027 1 9777 2646 2 10933 215 2 12823 533 47 19057 6322 8 18431 3206 2 14346 190 6 17169 1764 1 15269 23 1 13 837 6 5870 4393 10 8210 8031 1 2674 863 1 17 1044 1 14212 229 2 11375 3684 1 11582 1734 4 9778 962 1 4822 3494 1 3297 6705 32 14247 6618 2 15507 200 10 20 1290 1 9433 6482 2 11321 4038 2 17918 5251 6 1601 3146 1 4850 7167 2 2914 532 27 17088 23 5 5567 6539 1 17022 3907 1 14819 498 1 19765 3714 2 18591 235 1 19286 200 15 17596 1235 1 5624 6571 1 6051 2338 2 10814 3276 4 12167 800 4 1361 3349 1 4389 222 2 1865 219 5 10118 1748 1 7853 3419 1 13712 2216 27 9667 2626 2 9257 5026 2 12402 561 1 19239 1783 1 10859 1420 4 8053 2979 1 20070 411 1 19314 5072 2 18070 3531 2 6612 222 2 10591 7878 2 9743 7506 1 6853 4404 1 3230 2768 5 4009 5531 9 2818 219 2 16250 510 5 6630 1445 1 4708 1726 1 65 534 1 10698 232 3 13909 2750 1 10080 1734 6 16564 1568 2 3024 3748 1 174 7949 1 10815 7351 1 16860 589 1 10146 2883 1 18304 723 2 10887 4115 1 6990 385 3 14843 928 1 4316 833 1 16481 6992 1 17053 235 2 15885 5918 3 7047 1464 1 13799 1235 2 3105 3629 1 7485 3058 1 1453 3973 3 8125 525 1 17200 5511 3 20002 1482 1 9934 1783 2 6183 1395 4 16185 5749 2 5108 1307 1 15 997 1 2625 7603 1 1327 4746 11 19000 1277 2 15242 1374 2 11202 8042 2 8417 5018 1 9268 336 1 5117 847 1 4448 6487 1 17105 3191 41 1908 3658 1 7534 5951 1 1389 1772 1 863 2709 1 6854 1743 4 6687 392 1 16187 2555 1 4073 219 3 3826 592 1 18071 1338 1 17068 4033 2 12283 1729 1 18222 3590 2 5606 7229 1 17889 2993 1 3057 6540 2 3474 3104 2 17083 1275 21 6156 40 6 2045 4615 1 8394 4022 2 6183 504 1 7858 2985 1 13977 3921 2 18893 6933 1 11476 1819 15 8699 698 8 4121 3338 1 19296 4710 1 4496 1726 1 6453 5310 5 4765 7213 3 9909 7226 1 10016 1819 1 8082 705 2 5118 5081 3 8643 877 1 10144 6190 2 873 535 3 2238 4215 1 8055 1742 13 4368 883 1 5303 7250 1 11891 1721 3 12343 7191 1 2922 1363 1 17713 452 1 6840 853 1 11032 5305 1 11577 2131 1 241 1758 1 15619 4432 1 5254 1054 1 5167 3032 2 11788 214 1 7996 48 2 2313 1108 1 15854 1698 1 6808 4411 1 7799 6993 5 18460 4527 2 5638 4794 1 11971 325 1 15343 3613 1 4170 7210 1 8129 186 1 7850 2085 1 4119 7568 1 9332 4394 1 163 7210 4 823 2356 2 11895 1698 1 2293 6252 2 18371 308 1 3626 206 4 12934 1315 8 171 7798 2 3479 6414 11 4389 1384 1 9454 634 5 20225 785 1 19530 4478 1 18422 1774 5 10386 46 1 18904 1718 1 16219 1573 6 10579 148 1 3399 8184 1 5185 2009 1 19837 3049 1 18169 205 1 9345 3686 4 10457 3920 4 15594 1781 22 19401 2737 1 20078 502 1 18382 5879 1 1853 7928 1 1907 519 6 1508 6677 3 17304 7229 2 7962 3512 2 10060 3138 6 2405 3556 3 11097 1081 1 11898 4800 1 18942 7220 1 18989 667 2 13743 222 1 5452 397 1 18177 3267 2 8952 690 2 16227 206 2 10754 6150 3 17632 2277 1 17298 1466 3 8918 5758 4 2091 5141 1 16830 5119 1 12262 6630 2 16090 8117 1 8629 7934 1 10966 501 1 13739 6025 1 2553 3617 1 1346 739 1 1453 1968 1 18705 1764 1 16960 1625 1 9323 10 1 46 1246 1 136 6259 20 8667 6839 1 5860 221 1 12922 1235 1 15838 501 1 24 1451 2 11769 3065 1 14349 3488 2 17662 1788 1 2345 385 5 2886 5586 4 5453 173 13 10100 6480 1 17558 1775 1 7127 8197 3 17098 1819 1 4416 5807 1 9287 8175 2 7348 5790 3 4662 3203 30 13806 615 1 11371 1246 2 8965 1739 1 1596 1965 1 2087 2885 2 5308 3331 1 16592 6813 3 6655 1241 2 4481 200 1 17771 5327 2 2077 2626 1 181 8246 1 15025 4153 1 14896 1721 1 10587 308 1 19206 222 5 14048 1762 1 13469 7167 1 4429 1825 2 5185 1302 2 14330 3167 1 17311 2481 1 10196 506 11 15124 2827 1 743 509 3 16881 5258 1 14481 2661 1 16977 500 7 18999 206 10 9141 2671 1 8077 3417 1 6091 1698 1 9587 676 1 10383 1796 4 2857 2012 1 7703 3399 1 10630 4944 2 19568 2686 2 19649 2683 3 2321 6253 1 7017 4521 2 9813 7094 1 5809 1748 2 18014 1283 1 19493 544 5 6720 2343 1 9097 219 2 15991 5018 2 9877 1955 8 20084 1482 10 918 2671 34 10360 1146 1 18071 5737 2 17130 206 4 19649 1748 1 11678 3700 1 13281 7474 1 5643 1353 1 15468 244 6 7701 1679 1 10787 1781 1 13023 6341 4 19951 1251 1 12182 6178 1 886 3764 6 3008 6047 1 9438 3896 6 11164 2982 1 7473 498 1 5860 2241 1 10065 1250 1 9326 996 1 20174 525 2 7670 590 1 6420 7450 1 442 5172 1 2041 545 5 6625 514 1 13373 8022 1 19975 2380 1 4583 447 2 19990 1727 2 9320 609 1 13919 2423 1 4979 1776 1 899 2014 1 7363 2004 1 3142 5034 10 5424 2620 1 6089 2262 5 16430 4041 5 8286 1146 3 12700 7605 1 19957 1582 6 18730 2098 1 14037 6993 2 8594 4383 1 3759 4186 1 6644 1344 1 11014 510 4 14549 4562 2 1138 1315 6 6871 3175 1 9666 331 3 18040 3714 3 20123 564 1 14560 740 1 1677 8170 1 5371 7187 1 18042 4557 6 6070 1904 4 5204 5313 1 19233 2569 2 15868 1729 1 2631 220 1 9427 5687 1 14421 545 6 19434 3679 2 17750 545 2 4806 2312 1 19996 595 1 2355 2892 1 15038 74 9 15464 3619 1 643 308 3 727 7642 1 4688 670 3 6228 967 1 18701 1471 3 15380 308 4 12325 5737 1 1173 656 2 16924 2006 1 1670 6254 1 880 1253 1 2413 6706 7 822 492 1 15980 4335 1 7743 1504 1 6517 6636 1 11551 2329 1 1327 2649 8 5493 3449 10 8891 570 1 7165 1378 2 12231 967 1 7841 5150 21 13717 6683 2 4072 366 1 12725 1582 3 6200 3230 5 15530 2690 2 2629 13 1 5444 8091 7 9744 3146 3 17 1080 5 8778 303 1 5773 4998 1 5254 6874 1 11319 2407 1 5801 5256 1 19021 3011 1 4239 1784 2 6818 2072 1 2105 3833 1 8269 899 1 3048 1519 1 16334 6214 1 17417 2646 1 14726 6225 1 4572 520 1 16891 2675 1 20104 524 4 19853 4795 1 12850 190 2 20054 891 1 18334 6658 12 19401 2 2 17833 2369 1 6603 6047 3 3039 1261 7 15191 2484 15 2917 1363 1 1462 2478 2 15180 6074 1 18178 533 4 10846 1691 2 14060 225 3 15202 877 1 11789 3645 5 15970 292 1 140 6455 1 2 119 1 15653 7843 2 1145 1235 1 10665 1556 1 18323 206 5 12541 1246 1 8394 427 1 16994 196 2 11773 6430 1 20134 201 2 12279 97 5 1962 453 1 16730 7091 1 14837 1146 3 15629 767 1 18681 3836 1 6018 471 10 17937 258 8 9468 1250 1 5624 2712 1 2764 219 3 11587 8183 5 9215 4498 1 13718 1530 1 14866 2168 2 9178 2678 4 13108 2439 1 19069 158 3 18381 507 8 8975 7240 2 16671 5911 3 8581 1369 5 11928 1734 1 1780 411 6 3619 6714 5 2722 222 1 426 3698 1 19959 4435 1 19518 220 3 17550 1145 1 1570 1369 1 1050 2591 1 13640 1482 4 15025 6949 6 1068 964 2 11603 520 2 20148 3638 1 18384 500 1 11471 1448 1 2643 5551 1 14881 5309 1 18614 2758 1 14517 417 1 14646 1695 1 16191 6903 2 2228 1336 1 5875 6986 1 19483 3230 1 13185 3715 2 3826 652 1 16189 768 1 3049 1464 2 12396 5325 1 2496 2710 1 1101 1304 1 8134 2653 1 17228 6192 2 17506 805 1 9720 3893 1 16984 322 1 16220 2356 4 1455 5499 6 12410 2488 18 4116 3916 1 18909 1703 1 3965 1510 1 5017 4306 1 17 1189 1 1275 1245 2 11183 7518 1 12378 6375 1 11196 2584 2 15192 2016 2 16705 3325 1 14114 942 2 9319 6330 7 16828 3540 1 6103 2626 6 7612 3569 23 14859 339 4 14979 2600 2 6063 1775 1 5774 725 1 20105 1946 13 2103 5037 2 2152 545 1 16417 7216 5 16327 1239 5 11195 225 1 62 2972 1 18476 7477 3 5631 5792 1 11786 952 1 5052 2184 6 3326 2653 1 17702 2508 1 9930 220 1 11471 336 4 9427 1248 4 12077 6150 1 4856 2729 1 9957 5672 2 9195 1417 4 17405 747 1 1801 385 1 18481 3997 1 5750 1296 3 15536 2356 5 15635 736 1 13852 3512 10 3000 410 1 12008 200 5 4785 1251 1 17633 6922 1 4627 3147 4 4389 888 4 2263 232 1 7452 316 1 7110 6922 1 10228 4029 4 1363 214 1 8820 780 1 8865 221 1 3644 3338 6 15364 6505 1 14968 1424 1 11987 7477 3 6089 1338 18 2496 1156 5 14876 1296 2 16844 1707 1 1127 3575 1 13806 714 1 19679 1440 2 186 4623 4 6806 533 5 3642 327 1 8683 825 3 16594 642 1 2140 6435 3 6990 4501 3 679 1302 6 2816 7489 1 19197 7857 8 6379 8167 1 1374 233 8 15782 2649 1 3872 1742 2 7701 6640 2 4371 2501 1 6710 498 7 658 4303 1 407 327 2 6259 1775 1 16664 6510 5 16249 1275 75 10359 2632 6 352 6714 1 11638 3964 4 177 8172 1 7410 1396 1 11383 207 6 15457 1665 3 11379 1239 1 10839 313 1 1414 325 2 12524 38 1 17938 3147 7 10692 685 2 5319 232 3 13046 541 1 18620 6469 1 18115 5257 9 15957 1751 1 19854 7422 5 11211 1150 3 1091 2252 5 3491 1819 1 2915 6756 7 19822 316 1 13893 5740 1 8418 5440 1 9580 2555 1 1291 3540 1 1347 3256 1 10324 3671 19 284 1938 3 3048 5002 1 1277 1770 1 18315 888 2 14894 1249 3 4031 2675 1 2019 1350 3 3352 60 1 11072 1275 1 10340 215 5 15629 869 4 18177 4261 1 6764 1416 8 13857 1827 5 13752 745 1 2639 3522 1 14720 1474 1 7967 1474 1 19417 2705 1 15061 1769 1 19373 5379 1 15233 316 1 5775 2708 1 6207 6723 3 14764 5047 2 15272 880 1 12947 1717 1 15001 2646 1 15279 954 1 11782 610 1 3889 4615 2 9098 523 11 16665 128 1 3485 1658 1 2980 4518 1 11786 7011 2 3044 275 1 1397 82 1 11639 5245 13 8751 1241 1 4779 520 1 5844 4068 1 5172 6414 1 16236 1756 1 12159 5020 2 7533 7421 3 5950 7420 1 7069 8201 3 11361 200 3 6508 4979 5 9868 7021 1 4572 2737 3 14168 5844 1 14837 2357 1 13928 1878 1 1723 4954 1 20058 2796 1 10501 23 1 19223 1450 2 11618 4056 47 10733 457 1 18371 385 9 18290 1820 2 2944 1464 1 7686 5083 1 13951 2444 19 10953 2432 1 1852 411 10 10912 5315 1 2410 1739 1 7522 7988 5 16810 534 1 863 6088 1 14484 46 1 16587 4266 1 13806 915 1 17291 532 1 13345 4967 1 8260 1379 1 6611 5202 1 10147 1825 1 16519 4369 1 7750 2534 3 13998 8108 3 3977 222 6 3612 219 1 13743 3293 1 19196 3230 5 16744 4660 1 857 5468 1 2834 1440 3 19953 1707 1 14373 6610 1 14622 1542 1 6898 4380 1 13069 6252 1 12708 4398 5 18698 222 6 80 1805 3 14604 1243 1 1385 3855 1 135 2356 3 15159 1095 5 16827 244 1 19511 3684 1 7154 4176 1 8627 5077 3 16773 7692 1 10111 5517 1 19455 252 1 19848 5351 1 2059 1146 1 1730 51 1 6451 5874 1 18564 2676 1 4847 1245 1 17283 219 3 7904 201 1 2588 4961 1 6230 303 1 1166 3748 1 5938 1647 1 10398 1776 2 7451 883 1 4485 4328 1 12681 5531 1 2748 6548 2 10695 229 7 10693 7624 1 6763 1844 1 1559 3399 5 121 624 1 2062 7734 2 3814 497 2 2891 2636 2 5423 545 1 10279 2327 3 153 553 17 9988 73 3 17585 4961 1 2272 2534 1 11290 5313 5 7099 374 1 15370 1825 5 20210 506 1 14970 2053 2 1734 2935 1 5515 1952 2 8422 1717 1 8261 2632 4 13711 452 3 14914 7485 1 8499 6140 3 4334 244 2 712 303 3 9300 1816 1 5794 4977 1 7124 759 1 16956 420 1 17907 4293 1 12766 817 1 6686 575 1 7836 5005 5 19013 7439 1 114 5130 5 8967 279 1 3715 2891 1 13780 3206 1 10449 525 2 14833 1980 5 10197 232 1 6317 1072 1 170 7604 4 3358 4013 1 873 1151 1 15421 1641 1 9044 3431 3 9926 2356 1 1043 5130 6 4898 6097 4 1513 8066 1 7832 5420 1 6263 1380 2 4826 1745 2 136 6264 7 1171 1450 1 1492 488 1 74 3477 7 13895 2686 1 4778 1665 4 18568 6442 10 14286 5774 1 4034 3964 1 13240 3333 8 4832 292 2 11970 4924 1 10330 1731 3 19807 84 7 18887 214 5 3797 410 10 5877 252 6 592 7725 9 8368 2388 1 3432 1193 1 16788 1561 4 5748 5768 1 4589 7229 11 4545 2683 1 3025 229 1 16270 1720 1 7211 378 1 804 4704 1 18626 1302 5 18681 629 1 14772 5504 1 9463 759 5 13490 7622 1 8832 4366 5 17633 252 1 10542 2512 1 17414 3497 2 4448 1289 1 2777 3512 2 15161 504 1 340 379 1 16095 1991 2 14628 382 1 5952 4403 1 11999 1147 4 18060 508 1 9906 2138 1 8200 3202 5 6733 5013 3 6611 723 1 7099 4107 2 6887 6661 9 12002 5345 1 14527 7719 2 18814 3649 1 7602 5004 1 12035 1717 1 40 2117 3 349 926 1 18679 308 1 15458 6697 1 16249 506 2 16158 4015 2 8015 1342 1 5884 809 4 12349 1781 45 10218 3351 2 2055 4963 1 6299 6252 41 13961 23 1 9667 5121 13 602 2675 1 4216 5522 15 20127 1663 1 133 6048 15 2441 219 54 4320 2938 1 14202 502 14 17748 689 1 3504 7657 3 2619 3729 1 1517 874 1 1514 5730 2 4330 532 1 12196 175 1 18113 1610 1 6593 229 1 10447 3492 1 18293 5880 1 17723 8192 9 17736 665 1 6984 205 1 20145 1241 2 16096 5740 1 14367 883 1 2103 3067 7 10686 5389 1 9937 4274 2 18260 1374 1 11216 3511 1 5213 244 1 8946 945 1 7001 214 1 7478 4615 10 12634 6093 1 14709 2977 1 233 6761 1 12954 3881 1 121 5302 9 17256 510 8 1130 706 16 1043 385 1 17556 5472 1 8550 6435 4 1741 5574 1 4663 709 1 1461 470 1 4446 5683 2 1397 3556 1 5097 3972 2 17004 3058 1 5121 7689 1 14628 2493 1 20042 2488 1 4699 2068 2 13252 5172 4 7032 5499 1 19507 2478 1 13065 4998 2 8435 682 1 13996 7210 1 9130 784 1 6213 1776 1 17578 5254 3 13010 1298 7 446 1235 2 59 865 1 15817 368 2 10392 1555 1 20031 229 1 13568 3929 2 19963 1748 1 314 4963 5 11846 8167 1 15722 1722 1 1159 1890 1 412 1453 1 5916 162 1 5972 5386 1 11206 7498 5 16109 648 1 9224 605 2 8132 3866 1 9457 902 2 3077 1265 1 17676 515 1 2762 4934 4 1504 545 1 13883 812 1 14786 1748 1 11990 625 1 19398 1981 1 8884 569 1 13619 34 6 5891 3239 75 6120 6607 1 7096 1819 1 10360 5629 1 4988 1762 1 1866 3670 1 14211 532 4 17020 196 5 6343 1248 1 15534 23 2 16621 517 1 15283 7018 1 10175 4827 1 16974 3511 6 11622 6687 1 4139 937 1 11964 1781 4 11837 525 5 6244 5037 1 19463 7714 5 17631 1757 1 2690 5718 1 12138 7184 1 11385 1924 1 665 4306 2 14114 744 2 13466 982 8 8816 3454 1 6333 6120 1 12919 1146 1 4572 428 1 20158 1332 3 5742 7494 1 184 5672 1 4691 8192 4 6911 204 1 19303 3230 2 1087 1819 2 16388 5301 1 9307 8139 1 7024 5969 1 1727 1825 5 18056 3851 1 6557 6813 4 19478 6595 1 8033 23 1 15895 6481 34 16134 913 1 16490 7642 1 8709 4323 2 11584 23 5 5364 3972 1 7703 2608 1 13697 4436 1 103 4639 2 1387 1420 3 3906 534 1 17537 526 6 80 3585 1 11300 2673 1 7498 8045 2 8189 1737 1 8851 1775 2 6619 1748 3 9558 1184 2 1893 719 4 19239 2357 4 13513 467 4 4387 3345 2 11072 2922 1 17583 745 1 9883 225 2 62 2966 1 10641 2006 1 15096 1251 1 7187 221 1 8658 7857 12 3975 6013 2 3765 2981 5 13920 2727 1 10530 1769 2 14336 335 1 5176 1720 1 906 393 2 19316 4282 2 17084 5311 2 6416 8181 9 15703 203 4 13647 8160 1 12635 7231 6 12206 3638 1 19136 3333 1 7817 1664 1 12387 7270 5 9935 6502 1 17257 7953 1 8101 1359 3 8969 1246 1 14233 5127 1 6228 2838 1 15825 1296 1 7475 765 1 15085 3813 1 10720 2646 8 1176 410 1 13064 23 1 972 6078 1 10856 1479 1 11912 5428 1 3226 5499 1 19862 184 1 16292 1238 3 17803 4427 1 14696 1779 1 10789 1298 2 5776 1466 1 2857 383 1 3824 6058 1 127 5765 2 6402 6671 1 635 1737 1 5826 1691 2 11461 1235 2 6381 554 1 10554 872 1 6654 231 2 5387 2494 7 6818 634 1 8172 6077 1 1935 3581 1 17387 201 1 16980 6069 2 14890 737 1 14917 229 1 11877 1775 2 129 5775 1 13684 1322 1 9556 821 1 5251 3732 2 1887 4680 1 10223 1001 1 11238 514 3 19428 508 1 13974 6144 1 12686 7719 10 20120 1824 3 13451 1600 1 18560 7288 2 812 8094 2 6619 23 1 10688 292 3 13829 1241 4 15075 1737 2 11350 3528 1 1635 6453 2 7943 1752 2 8129 767 1 11471 23 1 19218 471 1 13581 1645 8 15564 5082 3 4316 214 2 18546 3684 1 16391 1707 4 14865 597 1 2167 1369 1 16109 2424 1 6332 2727 3 6533 173 1 13089 3772 3 14357 5252 1 19759 4245 13 11241 1717 24 11020 81 1 713 6145 54 3935 532 1 7709 3230 1 127 5760 1 4095 2029 5 15286 460 1 15091 4951 12 15905 3155 2 19649 502 2 15726 221 12 19102 5825 1 62 2981 1 11099 8172 6 2327 4245 1 10327 2581 3 18286 1987 1 17589 2404 1 13089 229 1 13928 707 1 1070 2350 1 1002 1731 1 391 3247 7 4154 6162 1 3581 792 1 15712 1686 3 11882 2890 1 15853 1482 1 12215 3230 1 6635 1985 4 17618 1781 1 13185 1238 2 16117 153 1 7774 1146 1 4290 6568 1 11061 2691 1 11158 379 10 5052 6150 2 6348 804 1 16192 1757 13 56 1146 2 9432 8031 1 18669 514 8 6564 6487 1 9412 3851 7 15016 3016 1 6552 4293 2 15192 552 3 7575 1779 1 8015 3170 1 5863 5561 1 18830 1946 1 18876 623 8 9050 497 1 6644 1424 2 13711 4320 1 12489 2353 2 4181 2998 3 3243 190 2 19742 2115 2 17638 2946 1 17417 4274 2 13701 3705 29 18432 184 3 9836 5133 11 12097 1995 1 15750 1303 1 16847 4355 1 4742 525 4 14230 219 11 8422 221 12 1232 755 1 13906 4069 3 2886 4363 1 18157 6622 1 2184 7668 1 14738 1658 4 17809 13 2 9947 4303 1 19032 220 2 14861 3504 1 8868 5635 1 13869 7601 9 9660 1949 1 7213 5420 1 16346 5070 17 8448 3822 2 20133 3598 1 16932 3535 1 11050 7734 1 14342 7117 4 19724 292 4 1483 223 1 3826 654 2 2226 1235 2 17920 1247 1 7599 1296 2 5478 2889 1 2725 7210 2 14174 3082 1 10350 525 1 16057 912 1 6401 2959 1 17332 3219 1 8126 525 1 15952 385 8 7451 7689 3 15025 1471 1 8763 4022 1 7871 506 1 13535 3556 4 14522 3050 1 3522 3639 3 14060 214 8 6837 1740 1 8429 219 284 174 7895 1 19387 2986 1 15411 1686 3 16625 1357 1 8237 1455 5 7300 6089 1 8346 313 1 11497 2653 1 19429 5234 2 11077 777 2 94 4205 1 6252 224 3 1273 3219 1 16325 2675 4 7933 3663 1 6003 1986 29 1242 225 19 12218 6510 1 19406 1695 2 2285 1573 2 5036 1995 1 11170 4022 2 11566 4660 27 18081 6615 1 1476 767 1 10128 4204 3 6362 4499 1 3460 200 1 17382 6480 14 7879 539 4 19795 201 8 8177 3400 22 6070 1907 3 13752 944 1 1908 230 1 3693 3273 1 16404 2604 1 1215 184 1 18089 1748 1 16020 1770 2 12414 235 14 15364 2686 1 19929 534 1 16431 3474 1 13584 1705 15 3652 4413 1 13249 4590 2 16222 5824 1 2401 1700 1 16259 6957 1 9412 467 3 19149 7809 2 14965 4511 3 13484 3990 3 3826 2488 1 14079 2484 1 20145 220 1 9168 1762 1 10160 2613 2 17196 2789 1 15996 23 2 19408 3180 1 13932 2461 1 9319 6067 6 3857 3748 1 18939 1593 1 18581 5051 4 13219 496 5 16956 4560 1 13928 7830 1 7278 792 1 16325 3333 1 9412 443 3 343 229 1 6990 8034 6 19894 2881 17 20236 1250 1 3103 2675 10 8586 770 1 14234 864 5 4851 1236 1 840 1307 1 5860 1757 2 5266 804 9 15865 6756 3 14658 3135 9 18542 184 3 10786 667 2 19019 1237 1 10029 6334 3 14696 1729 1 910 5718 5 11572 23 5 11559 1728 1 4490 1184 1 170 4950 1 965 4911 1 17173 4597 3 9941 6884 1 18696 1236 4 15158 4065 8 17011 214 2 14519 1911 5 928 3907 1 9468 1248 2 13089 3411 1 3700 4640 2 17585 532 1 12765 568 1 19171 5082 5 15261 1770 5 6915 3163 1 12355 2378 1 2179 169 2 3491 214 4 13634 7830 1 14167 3869 7 12892 1179 2 226 1211 2 11344 5263 1 12603 1274 3 10447 184 2 8417 225 1 13199 244 1 177 8153 1 12345 6534 2 199 2111 7 4223 4615 3 19500 1146 19 1705 2936 1 18122 1718 1 8161 156 1 4820 5294 1 17369 5826 1 13222 1234 2 19438 1827 7 12619 880 3 787 1438 1 5677 799 1 8722 6816 1 15471 4458 1 2930 6342 10 7960 3203 15 786 6229 10 130 2415 1 19568 471 2 16484 1702 4 19578 2344 1 15559 700 1 4998 1395 1 11925 3654 2 17298 2646 4 6563 2029 1 5738 597 7 7082 4276 1 5481 1721 1 18545 1235 1 6417 365 1 19470 6092 5 12638 292 4 5891 220 70 18511 4019 1 345 6126 5 3446 1761 1 18432 3669 3 14295 2450 1 979 910 5 1363 883 11 13262 7747 1 11325 225 3 17705 510 1 17 1033 1 1580 6320 1 16345 2291 10 4328 1825 8 8709 1396 1 2701 2580 2 19473 1784 5 7571 1898 1 15615 2801 4 12322 220 3 988 7474 6 2944 167 1 745 221 5 11251 5309 1 13554 1883 1 6997 3535 5 18281 5141 1 9601 2106 2 14326 1710 1 15171 215 1 17151 6557 1 2494 3511 1 9212 2118 1 2619 1612 1 669 197 2 12034 2749 1 10274 3163 31 5612 8036 1 18455 5142 1 17382 2114 1 20191 4404 2 12256 252 124 16033 399 1 16855 1482 1 745 1738 1 17917 4467 3 10078 2027 1 1801 7629 1 15873 519 3 16406 1038 1 15722 221 2 8226 7878 1 14584 3408 12 11584 510 5 7868 374 6 10933 5041 3 4200 184 1 5018 1482 1 4843 329 1 2917 5451 1 12480 4282 1 1037 1756 2 19300 2552 3 20218 849 1 17662 1778 3 12787 4275 1 15881 3928 1 2072 2511 2 11687 1275 2 20256 7953 1 19853 1940 4 8594 769 1 1665 2421 3 12320 3937 1 1182 2594 2 10065 524 1 2982 2653 6 4042 7136 2 1672 411 2 5025 10 1 9868 2602 1 7079 6585 1 11402 3476 1 17781 1995 1 9537 2760 3 183 1245 1 10942 5513 1 15321 1819 2 6964 7997 7 19115 3020 9 12623 5910 1 210 7045 1 14599 926 9 4398 2879 2 17664 2675 3 14237 1825 1 7441 5767 1 6732 3405 1 12472 7597 1 9639 903 1 17329 184 7 18923 229 2 4331 3547 1 31 1729 3 19319 532 5 1723 6242 1 8543 1911 2 1571 1789 2 13543 3821 1 2734 4357 1 7020 4960 1 2359 6193 1 11502 5339 1 16129 647 1 11195 1464 2 9508 484 5 11820 2375 1 8926 3685 5 1551 3494 1 2778 905 1 10303 505 2 11933 6567 1 2323 2297 1 11738 3197 3 6539 928 1 14773 533 8 17641 867 1 3385 2225 1 9816 2488 1 16648 3426 5 2674 6231 1 1727 215 1 153 6906 1 7387 2881 2 15272 1775 1 1790 200 1 7078 3899 2 17870 3684 1 9364 535 2 10545 2889 4 125 5578 1 15230 1464 6 6524 1771 1 13508 5294 1 9553 1404 3 19865 1307 2 16517 7902 20 9250 962 1 13540 4137 4 7952 367 2 934 7878 1 11353 7003 1 1966 7477 2 4768 1734 1 2830 1748 1 2997 8235 4 6912 2262 2 2885 490 2 2459 3706 1 2928 889 1 16767 520 1 1232 4951 1 18814 6880 1 5216 2702 1 14622 883 1 5100 3096 1 13294 5559 24 3397 5559 2 9862 4264 1 153 912 3 11467 1091 3 2590 225 4 7451 186 1 8886 505 1 6708 1784 1 6438 1307 5 11131 5863 1 8082 505 1 10033 7731 1 10087 1251 1 7162 4006 3 13711 853 2 6202 201 1 4001 2111 1 13042 156 69 14861 6155 2 200 7505 1 16493 2399 1 2140 2964 1 8183 690 1 11231 3399 3 20258 5016 1 4940 3076 1 9319 3698 2 19790 1190 5 18635 1239 1 10852 5674 2 8806 2620 2 116 141 5 20073 219 1 4530 1705 3 10272 184 3 16248 1872 1 13911 235 6 2223 532 1 8903 429 7 18529 6229 1 17685 1252 6 5418 1253 1 15703 200 1 16839 203 5 7774 156 6 14577 1740 1 4946 3370 1 9881 4708 1 4123 5468 1 17439 233 2 6384 1313 2 16500 1775 1 9743 7427 3 15055 412 1 1731 6150 2 14836 5558 1 6021 6949 3 13607 3799 2 8055 2520 9 1963 2251 1 5560 1740 1 14758 670 1 14114 3382 1 6596 2663 1 174 1122 1 5695 6084 14 18936 1828 10 3343 3233 1 17 1112 1 3517 1731 5 1607 532 1 14086 1715 1 19134 6205 1 10907 4981 1 17159 3594 1 3811 7182 1 11351 1819 1 5049 828 2 6775 7895 5 18548 1170 1 2282 4306 1 13 625 4 3146 5909 1 11999 6594 1 5603 252 1 17868 1758 2 10549 1464 4 9833 206 1 6449 5071 1 10452 3790 1 14494 1332 3 1900 2780 1 9477 221 2 7964 4389 1 12133 2010 1 9432 853 4 5770 3234 1 12817 2517 2 6152 925 1 6556 396 1 4902 197 1 4347 215 9 16542 23 1 4952 222 1 2820 7101 1 2706 6150 8 5312 2490 1 7910 4306 1 13012 2877 1 11091 2392 1 7568 1847 1 5692 3045 1 17549 4959 2 3016 5404 1 2107 169 1 8708 2261 1 6781 1450 1 18262 1819 4 17088 222 1 2274 2013 1 9722 518 2 17384 289 2 8083 4392 1 15060 3471 3 2762 445 3 13979 5004 1 668 880 1 13387 7624 1 12775 7792 1 4587 801 3 4933 3811 2 14324 5398 1 11367 156 1 11332 1705 2 18310 2337 12 4301 6512 1 15472 3242 3 6247 4996 1 3963 726 6 7203 3059 1 10933 700 1 9157 1718 1 11678 3753 1 4862 200 3 14412 23 4 14599 813 1 14516 2508 1 20 1302 1 14773 5758 5 1517 946 1 11756 3400 1 9854 3916 1 7267 6341 1 6167 156 1 9556 6567 2 8656 134 1 17717 3239 2 2905 225 1 5185 4099 5 7720 4045 1 12934 7976 1 15932 5293 2 20107 6031 5 1327 23 3 8361 5099 5 8603 2043 5 20126 164 1 6588 1359 1 3903 2626 11 46 510 1 17062 561 1 9472 2258 1 4885 6540 1 4398 200 1 8001 335 1 15525 7701 1 6617 5463 1 15608 6252 1 7312 221 3 2324 2878 1 16713 502 1 11533 666 1 17843 444 1 18805 5543 1 10633 514 2 11629 4252 2 1606 629 1 10245 5245 3 3176 2980 1 873 398 1 538 7531 6 11199 495 10 12459 1722 2 43 2254 1 14512 2010 2 2175 1342 1 13437 1484 1 11452 2247 30 16519 764 1 5401 243 1 13274 7970 1 14822 3494 1 11020 260 8 4570 88 15 1526 23 8 18678 4992 2 19225 523 1 4806 3749 1 18973 295 2 7626 2056 2 10147 4012 2 17645 6414 3 14010 3013 1 15376 1239 2 6396 3698 5 4049 4147 2 13623 1658 1 19643 8145 42 4963 1703 2 17559 3193 3 11277 4343 1 2735 3167 1 16955 1757 1 1019 1757 3 8077 3970 1 8969 219 4 14870 6159 1 7962 206 2 2405 1760 2 17078 5351 3 11558 3479 1 6178 7517 1 1641 3911 1 10732 3233 4 5314 5594 5 9661 1720 3 9007 2413 3 389 7952 1 18610 7491 1 12826 3219 1 10916 8072 1 10522 1446 1 1074 219 1 19699 6100 1 17370 690 1 2127 5989 1 1192 520 1 5938 3510 1 19656 229 3 18690 225 2 7017 4890 4 2980 5312 1 3496 541 1 13743 1741 1 17436 7962 18 9699 1243 2 14929 3697 1 15128 4320 5 15890 1383 1 6867 2016 2 20181 3635 2 8967 1795 1 11296 7278 1 2087 7120 5 9449 7884 1 9349 4964 1 7970 1975 1 142 6496 1 8894 5914 1 12392 2718 7 8594 5256 2 13068 4246 3 15911 2385 1 8952 5243 1 19136 23 1 7334 4404 1 1875 4933 2 13131 654 1 8594 1474 1 3663 5312 1 8281 5320 1 15262 2998 2 6932 2478 1 121 5264 1 18955 1772 1 9322 6527 1 10850 2373 2 19053 798 1 2917 7951 1 9714 745 1 5265 4369 1 5117 548 1 10384 7599 1 16403 390 1 1035 702 14 6158 8139 2 10146 2789 1 12084 524 1 4147 8071 6 17056 2878 5 14632 3089 2 14522 270 1 18491 5255 2 12172 7250 5 397 1395 2 19313 4296 12 13121 3369 2 9330 158 2 5626 207 5 8223 1055 2 14780 220 2 18538 939 2 8571 1010 4 8585 213 3 17 1088 1 16222 5797 1 1927 1727 2 4963 1338 2 3825 498 5 16492 420 1 16764 1184 4 9146 5993 3 87 236 3 1608 95 1 13334 1726 3 10165 707 2 12757 1466 2 13040 2093 14 3406 6582 3 9753 689 1 10988 2508 3 11295 1715 8 4282 2369 1 17298 2678 1 9168 6622 1 7231 498 2 6188 1305 101 2879 23 25 12864 4944 1 6435 1727 1 7916 1752 1 5717 6607 1 3935 1236 3 5494 2151 2 5977 2109 1 13631 6574 1 6998 201 1 4137 229 2 14957 398 1 11440 7235 1 6672 2029 3 14946 4591 3 7135 1450 1 8117 219 1 8432 526 1 18466 1724 2 9519 6317 10 13183 874 2 10701 723 1 5003 891 15 757 8156 1 5996 2013 2 16088 3338 7 7682 4298 1 5854 7556 10 8169 5282 1 1298 2675 1 5199 2953 1 14016 165 3 10325 649 1 11430 244 1 15364 1596 1 12971 7933 1 5676 2329 1 15231 3233 1 2109 2949 11 1970 1658 1 8967 6026 1 5985 6892 1 9568 1250 1 2221 5341 6 6630 7661 1 16484 6681 10 17843 386 1 780 5600 5 8526 4911 1 1327 5016 1 6557 6775 2 11348 244 7 16740 6161 1 6869 1404 2 11196 1757 2 12988 5090 1 12790 5814 1 80 3637 2 5478 885 1 11276 1681 20 18413 2319 2 11528 2356 3 5407 1747 12 6269 244 3 10107 1720 1 5478 5345 1 4190 3434 1 15253 496 2 15979 6174 3 153 3874 12 6716 1728 2 20120 4531 1 14376 4029 1 18143 4333 2 19899 1711 1 14230 6132 1 11786 4919 1 8766 2560 1 7467 1643 2 19272 4915 2 13268 2964 1 4117 1146 1 4146 1342 1 15362 214 3 17982 7474 1 9737 1242 3 9566 2507 1 13690 215 6 130 5853 11 13767 3617 1 171 7713 6 5612 5253 1 3548 702 15 6833 3305 1 2877 3329 1 13700 5851 2 19156 883 1 2917 647 1 3847 1399 19 1626 11 1 121 2068 5 17009 4013 1 322 520 3 10223 1649 1 19470 1771 1 2286 1772 1 2072 2497 1 18968 863 1 6838 744 1 11172 3472 1 7033 347 4 10377 1776 2 16617 593 1 20083 512 1 8762 4015 1 12466 3649 6 19456 2920 2 8947 3743 2 6263 215 2 524 3267 6 15139 3445 1 12760 4317 1 4323 6383 5 1465 1739 4 9341 944 6 5254 57 1 4720 1328 2 222 4251 1 7252 371 11 9577 2662 4 16357 1450 1 11376 7271 13 19523 1204 1 16763 3653 1 13527 3908 5 12054 1108 1 12252 1328 1 18366 1103 1 20082 2635 1 7605 4272 1 5833 6897 3 340 2016 7 15742 6014 1 16767 1573 1 18833 2103 2 4707 524 1 18152 5299 1 8409 4285 4 625 1253 1 11461 1464 2 1098 187 1 17589 5873 1 15614 222 1 11253 2496 1 12079 1698 1 3395 1728 2 7128 1703 1 14047 1630 2 10578 5016 1 1653 222 1 9358 853 44 3189 235 1 11471 359 1 4256 7353 2 2525 4616 3 19952 6363 1 18332 534 1 7029 5132 2 15683 644 1 19136 520 1 7682 709 2 5050 3233 1 5876 207 2 2935 8154 7 5433 7231 1 11354 7824 1 5972 985 1 17682 197 1 9597 864 1 2885 1818 14 15517 1934 1 191 2003 1 388 6507 2 12279 1241 3 6855 2761 1 6125 520 1 18131 3325 1 10575 599 1 5531 235 2 12760 3322 1 6000 5469 1 8455 6511 2 100 4487 2 4159 4604 1 17328 2376 1 31 1399 3 413 159 2 10750 7853 6 18175 2869 1 13623 5386 1 5568 3109 2 12320 564 1 2635 2477 4 3940 3233 12 11338 7643 3 11861 1147 3 4300 3519 1 10910 689 5 13743 2721 1 10614 4724 1 12764 6341 1 2424 6238 1 7780 196 3 13997 2009 1 9773 3313 4 14731 6103 1 17110 2820 1 6654 3653 3 9463 3956 1 484 1434 1 4837 689 1 3677 534 9 2995 506 1 314 534 3 4868 4623 7 4402 4069 3 1760 4945 1 6420 4339 2 19031 3255 2 20191 3551 1 8343 1244 3 9178 8188 1 14144 1955 1 11192 746 1 5838 3511 2 7597 232 1 11603 206 2 13252 2722 1 6506 4792 1 7219 1658 1 7579 6418 1 13997 260 1 1893 4572 1 18160 1703 1 15365 7963 1 62 2958 5 5299 3711 2 5487 5993 1 4092 541 1 18133 534 16 16231 526 1 6681 3604 6 349 5333 10 4213 1377 1 7147 7669 1 8078 532 4 1171 1775 3 13447 2686 1 9374 1275 1 11766 2749 3 13081 7427 2 4259 7272 1 17387 220 9 11493 1781 1 8286 7948 1 14474 3400 1 17171 1261 3 2807 1729 1 17995 3634 7 8149 6375 7 4158 219 11 14330 534 1 10447 1814 4 11820 1985 4 15681 3573 2 12283 411 6 296 3531 1 9677 6215 1 8793 1182 1 11035 201 5 4196 221 1 19494 2131 1 7966 2968 4 15334 530 1 15011 671 2 12280 3903 1 8152 156 1 9756 319 1 192 2555 1 12967 1707 1 1625 4387 1 15352 1184 7 10290 1703 1 9445 505 8 12361 935 1 6843 4441 1 13234 4387 1 5935 163 5 4417 514 2 4349 8051 4 16135 1761 3 4857 203 1 7235 4017 16 16805 489 1 15940 1169 1 4107 5425 1 10973 3518 1 4134 6673 1 4076 1374 6 9717 5472 1 16096 1283 1 4346 6658 1 1304 6972 1 20084 220 2 14060 7407 2 15568 1357 2 11877 6204 2 16847 910 6 15148 1734 3 13445 7859 1 1040 385 1 7463 452 1 17321 6776 1 6687 2595 1 12007 220 1 2553 6358 1 630 6636 1 3189 7108 1 9693 1342 1 9944 5534 1 16187 4120 2 14256 1762 19 6819 1164 4 10882 3698 1 6308 910 1 379 825 3 15897 8045 1 6177 2366 7 8205 3468 4 6506 3981 3 8240 1184 1 19286 1277 1 4374 4794 4 4973 6743 3 2186 2580 1 19562 167 9 14981 201 2 16887 7689 1 14931 411 1 13110 1719 31 20082 663 1 17402 1164 3 3761 5468 1 11079 759 1 9310 1424 3 18931 1624 1 8633 4231 2 4357 8162 1 264 2488 1 7956 5520 1 16020 534 26 15303 128 1 16899 7105 1 11131 4597 2 17544 7229 1 443 5133 1 17155 200 1 2125 1764 1 8017 5356 1 7851 1251 4 153 648 1 12994 507 1 13084 6200 2 10581 3427 4 17331 1775 1 4619 864 1 8056 2155 1 16151 7554 1 10128 7964 3 16494 7670 2 18893 4838 1 3412 3567 1 1495 524 1 9279 534 4 14533 2729 1 20216 1062 3 13960 8160 1 1212 3005 1 8244 127 2 532 7643 1 19568 1243 1 17013 3798 2 13088 6633 1 11687 1729 4 15712 545 5 9518 2823 1 17607 1764 1 3698 2591 3 4327 3117 1 9254 200 1 13422 1726 9 12777 682 1 9168 1781 2 4095 6028 1 8939 2760 4 11131 57 1 15060 3081 5 11045 1613 3 19411 5292 1 7823 1338 4 3663 402 2 3703 199 2 11932 2534 1 19282 2534 5 4190 7308 7 18166 224 1 20080 1819 3 9521 233 1 14424 728 1 10724 3494 1 1873 440 1 9079 303 1 5501 15 1 5605 5479 4 1881 2747 2 4050 156 16 15776 7461 3 17808 1810 2 2077 1268 1 6235 6839 1 15883 4132 1 8614 7156 1 18089 2938 1 5830 230 1 10992 7824 1 14174 3089 1 16881 6914 1 9556 910 1 9741 2248 1 7432 2640 4 7046 7530 1 19030 1184 1 79 3382 1 7745 6091 1 14276 5203 1 7493 514 5 8464 3883 1 2201 3511 1 8128 4992 5 8378 177 20 6774 1070 1 9199 714 6 3950 5649 1 8489 2404 1 19673 3145 1 11423 2980 1 8598 7511 1 4716 863 1 7703 6541 5 12690 4567 1 10693 1770 1 113 5103 2 18488 3576 2 13743 3898 1 14470 6719 3 16448 6442 1 1908 2555 1 16041 2559 3 3682 496 6 5411 7351 1 8440 191 6 15727 347 1 12919 6519 1 1175 6620 1 6718 411 7 5185 2511 5 18414 1416 1 27 1592 1 301 1752 1 4072 1239 1 87 1363 1 7135 1788 1 2526 4258 2 10549 5325 15 19601 498 1 1665 3074 6 11824 175 1 130 5894 1 3992 1705 1 10887 2588 2 3826 935 1 17014 5737 3 13082 1359 1 9063 1245 1 6010 864 9 16123 2266 5 9429 8192 1 17335 36 2 5185 4591 14 15225 3578 2 6665 6435 38 10290 508 1 11984 2450 1 7872 211 1 4887 3970 2 4305 1229 3 8518 7792 3 14837 1705 3 14988 350 1 17404 1762 1 6513 1729 1 7502 4333 1 15846 6669 3 17384 834 3 6907 7106 1 10097 505 1 382 4202 1 4880 769 1 13743 7832 1 8093 1252 9 5117 720 1 10856 6632 1 2260 2076 1 135 3635 2 16700 783 1 3954 2148 2 1641 196 1 8826 4476 2 3337 578 1 500 4794 1 172 7838 5 6245 6868 1 4072 7524 2 8051 5318 1 12720 200 1 869 214 4 17672 1007 8 822 1187 1 8086 1698 2 12190 3556 1 18981 23 9 11108 5329 1 86 3956 2 340 4404 1 4428 2040 2 14599 945 2 12695 2881 3 6997 4328 1 14318 4186 5 13161 2686 1 5453 225 13 11789 7029 1 7699 1819 1 14913 1732 1 136 6265 14 10990 219 1 2345 3913 17 17927 3358 2 17586 4574 1 13205 1871 3 6818 1699 1 15952 3710 1 9704 398 2 17985 7734 140 20180 6544 1 18116 903 1 886 4312 1 6416 2354 7 9168 220 1 1887 1819 2 1043 1274 2 14233 4945 2 16978 891 3 13219 6038 12 3665 5271 8 7682 837 3 17224 6259 1 4524 6714 2 1716 2109 1 14731 1147 1 20014 367 1 7135 1698 1 19916 6682 1 16570 5294 1 14197 1981 12 13210 3516 2 11924 3255 5 16417 1747 11 12327 3684 2 14739 4599 1 14492 4563 1 16493 2058 7 880 1182 1 1625 792 1 2319 2651 1 2524 5594 25 8532 206 5 4268 5820 1 7842 1829 36 703 524 1 15958 7345 1 9414 4367 1 3442 3474 1 1258 219 1 18894 1768 3 11108 3293 1 20068 1482 1 14896 903 1 9864 1153 4 10494 2363 1 7299 1825 13 19864 1705 1 2734 4320 1 290 4022 14 10867 7601 1 95 1950 1 18363 7857 6 10554 316 1 2045 1784 2 12534 3909 1 11277 6163 1 11327 203 1 13425 708 2 242 244 1 9030 6512 6 14683 5551 1 1145 173 1 18396 225 1 15932 7937 1 19876 2636 1 11786 1241 2 4806 2885 1 2631 214 1 15683 70 1 10435 4827 2 19267 7182 10 11157 833 1 8691 1629 2 5199 2721 1 11615 1234 1 10185 6663 10 12097 1399 3 17157 223 1 6533 1186 5 5478 1717 13 17884 1758 1 7507 536 1 19401 545 3 13382 1147 1 17527 3686 23 7515 5081 3 153 558 2 1433 1247 1 3768 471 1 16021 1877 1 3025 2362 1 7088 2316 3 19348 7601 1 19056 3406 4 14200 1191 4 11350 1103 1 13365 222 1 7480 5969 1 935 2534 1 252 6717 3 15571 2675 1 7672 6793 3 4263 5866 2 62 2858 1 11470 3077 5 4055 626 1 19264 1403 1 11786 4845 1 19297 3521 3 3815 911 4 13031 206 6 8614 4042 1 7853 23 1 3849 764 3 4268 1248 1 10469 7316 1 14997 959 1 10587 2897 1 7571 6674 1 8569 1342 1 160 7303 1 2334 1424 1 15091 3519 2 18164 4245 12 13492 1718 3 8250 1814 1 5780 2520 2 8199 2447 1 16236 1453 4 6449 516 1 11158 6435 2 6406 4325 1 5306 8076 10 5663 6577 1 12233 23 2 19562 7216 5 9187 232 26 4273 2655 1 17205 1304 1 862 2588 1 4879 1593 1 8872 1768 1 11736 1369 1 13739 6293 3 4547 1686 1 5346 23 15 593 1761 2 1002 883 1 4488 575 1 16887 5294 2 20049 252 1 2333 223 4 17044 235 1 15329 1140 3 14749 5281 1 15364 2864 1 1389 207 1 11547 5758 2 873 5264 1 16176 1374 2 41 2139 1 13425 845 2 4022 2146 1 74 1686 3 12540 820 1 14376 3231 1 13731 7767 2 7529 201 3 16317 981 1 3376 1721 1 10313 425 2 11415 3433 4 11072 1146 2 12016 5673 4 16366 235 3 18207 314 5 4712 7894 1 6383 101 1 2294 252 1 542 395 2 15405 4296 1 1736 7022 1 4970 597 1 5826 935 1 11521 5555 1 2935 1548 2 2072 409 5 2142 411 189 873 6252 3 2687 6200 2 10473 358 1 415 1239 5 77 3523 6 20233 219 5 4328 867 2 2384 2488 1 143 6523 2 1053 874 5 5858 335 1 8016 6897 2 18720 4392 2 7686 200 33 494 353 10 13873 7190 1 18814 5558 1 7604 7199 1 7157 8051 6 7604 4383 1 6489 1747 1 460 2354 1 1391 1757 5 3934 3998 6 12532 5251 1 9342 223 2 11398 1705 2 13376 3491 5 6289 944 3 4158 3511 1 19972 3827 4 17762 440 1 12361 4029 2 928 3697 1 11553 6031 1 484 3734 2 16790 201 18 18037 6515 1 4050 252 2 2274 4716 1 52 2548 4 1143 3558 4 19602 3044 1 4279 755 1 7462 498 4 18933 765 1 12540 945 1 10130 3056 3 12356 7412 2 2233 7210 1 6932 2082 4 10542 2908 1 1996 23 1 8816 764 1 71 3329 2 3367 7486 1 19472 4949 5 83 3777 1 11388 3911 1 11583 1731 2 18437 6500 1 18671 5099 1 11616 3842 2 10768 1889 1 7198 526 1 9017 4098 5 11837 2228 22 18944 4801 1 11411 207 2 12119 3526 1 3901 335 1 10111 2747 1 14581 1779 2 2716 207 2 9976 303 1 11243 2636 2 2980 936 1 14853 3872 4 708 3999 1 17362 200 1 14255 3600 1 13062 186 1 8810 5421 2 14686 7905 6 6731 1338 1 13639 5845 2 3636 7936 1 7991 4320 1 6206 2813 2 16976 3892 1 10351 496 1 16951 2507 1 2733 501 3 4170 2662 1 19519 497 1 4311 10 4 8174 1296 5 19110 6884 1 16768 3909 1 9245 5018 14 4915 3945 1 13732 1827 2 3049 2968 1 8717 2591 12 17392 7989 6 13705 8200 5 12075 853 1 4234 5018 1 19537 505 1 18973 1737 1 19538 597 3 10141 219 5 18757 5242 1 18730 1247 5 7195 5097 2 3532 2480 2 15907 5826 2 17179 184 1 11682 3233 1 9120 2743 1 12459 2915 1 11148 3540 3 7060 524 1 7034 222 1 10562 1244 1 13262 2287 1 105 4703 1 19131 4567 2 17455 3412 1 6126 74 7 11610 2557 6 8013 8143 2 42 2162 1 13328 1819 1 9055 5332 1 9626 353 1 17690 1278 7 5632 7187 1 8240 1146 2 8343 834 1 10225 1756 1 18147 6224 1 9310 4950 4 16589 1235 2 5472 1721 3 1036 5327 1 11555 5016 5 17618 244 1 97 1775 2 4757 156 8 11687 10 16 14438 3273 2 17331 1739 1 16595 1250 1 7522 1717 2 13591 201 1 8982 23 3 21 1392 1 3472 1395 1 18144 2354 1 1504 4698 4 12490 2836 1 19862 221 3 12620 1730 1 2176 5708 1 15685 7639 2 19064 875 1 4462 3045 12 18189 219 2 133 6030 1 7188 1745 4 2589 3540 5 679 1175 2 20148 3372 1 5606 6204 6 1026 5305 1 16322 1395 1 1689 1342 1 5684 1199 1 3113 201 28 13465 954 1 40 2099 2 2917 709 1 17138 47 2 17392 225 2 781 330 2 15108 1705 1 9650 7658 10 12881 4716 1 4267 604 1 9677 5071 3 9131 401 1 6556 7244 2 3973 797 1 8547 4677 2 19256 3284 5 899 4277 1 17418 1384 1 2526 7101 2 6656 1819 2 1999 204 3 5843 496 11 6867 7535 1 17203 6351 1 15272 505 1 9412 3836 1 11932 7612 1 12303 1825 1 5695 184 1 4601 316 2 17814 4323 1 7090 3370 2 16956 5935 2 121 5337 3 16222 1247 1 7181 1695 5 8401 2636 1 19568 200 1 6501 5018 4 6700 225 8 1387 1440 8 3612 5502 2 12021 95 1 12104 2367 2 4902 6669 2 11965 2881 1 2315 2360 1 7129 498 7 18748 3230 1 3207 83 1 2818 244 8 3603 201 5 3581 225 3 1452 3206 1 17771 2493 1 7769 3283 2 7530 498 2 14336 2760 1 8570 4409 1 2071 2508 2 6913 4361 1 13422 4723 1 17281 7769 1 15468 7244 1 31 1769 4 14233 867 2 5763 2974 3 2767 6532 6 7281 7189 1 3557 214 1 17388 1727 1 12851 867 5 7217 1819 1 1824 4667 1 14745 214 1 873 3263 1 11999 1642 5 17082 2600 1 16642 3050 2 14491 1747 1 1536 1782 1 15314 184 1 14817 3647 1 18709 1748 4 3331 7401 1 11936 809 2 19166 1783 2 1467 403 1 13925 768 1 1861 316 2 14957 8237 2 768 6231 2 616 3910 1 76 3502 1 16048 6566 1 19068 1388 6 10947 1400 1 18070 534 5 16465 1295 2 2829 956 1 12501 1718 1 12765 408 1 18546 4009 1 2564 1783 21 17440 569 1 15929 1277 1 19649 222 1 1582 3949 5 12089 4992 1 7794 1603 1 5492 5305 1 308 4351 3 13035 698 1 8198 3234 2 4763 1573 20 18169 1728 1 1922 6100 1 17662 545 3 2228 2369 3 7381 1917 1 14629 1222 1 8189 4329 3 16232 4998 5 19019 2345 18 109 4986 1 8361 3079 4 17113 3181 2 12281 1298 3 16364 508 2 19434 1235 1 19272 6756 2 12424 4204 5 14837 1717 3 5293 3732 1 10738 6396 2 1114 500 1 16063 310 1 5454 1743 3 5794 1737 1 14466 7765 1 20191 591 1 8311 1739 1 17730 4508 1 16536 2580 1 7295 7392 1 12874 5177 1 10156 1274 2 1702 7422 6 2497 1768 1 11791 7719 1 15100 596 3 19957 723 2 10591 1779 4 16921 6680 1 10330 3333 3 17681 6338 1 6332 790 2 15712 2363 2 18187 7937 1 13701 1951 3 9178 221 3 7559 5018 10 6847 40 1 3949 8167 1 5766 8149 12 10303 3920 1 11523 8012 1 572 221 1 13425 7701 4 3411 2727 1 6144 3007 1 16860 3810 3 4357 1399 2 605 512 3 16344 752 1 17454 3749 2 9762 4389 1 13841 7097 2 11046 1755 2 5038 3021 1 17732 2343 5 3512 4361 1 5830 2344 1 18735 4824 2 5566 1153 3 8891 207 6 8856 1734 3 9284 5490 1 13865 6159 8 18450 830 1 10 324 1 19272 2606 1 2096 825 1 20090 4314 1 8760 7474 2 1252 879 1 19223 1245 1 11236 514 1 8405 4540 3 19247 1416 1 17947 3748 1 873 3800 3 8716 3267 17 6199 203 11 17749 1824 2 11165 206 2 20202 1235 1 16567 7850 2 10224 1246 1 12361 5903 2 12152 1665 1 19373 2385 1 5775 1715 1 9978 1250 1 19078 5670 1 6673 1814 1 9935 222 1 4490 1249 1 9975 4391 4 9368 1315 1 1078 8170 1 15205 905 3 14918 3275 1 16329 874 1 11094 169 1 7627 7689 1 16029 6537 1 1608 6039 1 5437 1738 4 9093 1255 1 18214 535 1 17929 7719 5 17715 232 1 13242 2534 3 10948 3562 1 2469 3525 1 14188 6340 5 8439 7850 1 13213 2569 1 6612 2671 1 16509 1571 1 2367 1524 12 9677 4622 1 17298 1877 1 639 431 1 10649 6473 4 2797 1742 3 18998 7185 1 11502 5291 1 1520 4291 11 741 222 1 16509 3253 1 12053 3453 2 14745 244 1 19331 1399 1 5023 3684 1 7817 230 1 14758 4518 1 5732 2062 1 1612 233 1 11533 6793 1 5422 1304 2 4410 7405 1 8965 1245 1 1829 5362 1 1893 903 3 19538 6591 1 15013 1743 1 9921 833 1 18909 1712 5 11990 790 1 20138 7846 5 9189 235 1 18449 2869 1 153 7025 1 8597 7881 1 15778 647 1 4057 2944 1 15712 1703 2 6801 3747 1 15191 3952 4 189 7844 2 5179 7229 1 16500 1244 2 5652 6341 4 12114 753 1 518 5073 2 9444 2361 2 18610 1714 6 727 1305 1 7943 3798 2 5028 7948 1 19206 2699 3 6606 1982 1 14330 200 14 6726 1780 1 12951 3689 2 1796 4972 1 351 1756 1 16140 379 1 13835 461 1 1612 398 1 13049 10 14 15184 244 8 9253 3251 1 13147 2661 1 12521 735 1 5877 1731 45 5645 215 2 7266 1734 22 17141 1819 1 5364 7427 1 18812 2355 2 16057 4647 1 11271 1184 1 9339 2981 1 5684 1250 1 13665 5485 4 13343 167 2 10361 23 3 13294 1736 12 2712 1467 3 3962 1757 3 15750 1184 1 5577 1903 1 6118 6108 1 16509 1644 1 10290 1764 1 9666 1153 23 8532 1724 1 15477 6279 7 17460 2689 8 12392 8036 1 5476 4098 1 13417 3251 1 16833 4599 4 10331 4718 1 11864 7411 5 19196 4941 12 11072 3233 7 5338 5083 2 11999 4703 5 20123 6502 1 16288 219 3 2274 2504 1 5446 997 2 834 23 25 18914 1184 14 17478 1723 1 12316 3029 2 16180 233 1 20191 2871 1 9357 5708 2 119 235 1 4530 84 2 8937 188 2 484 148 1 8486 184 1 12343 545 1 16966 2713 1 12208 5516 1 11820 876 1 2322 2475 3 6801 772 1 11550 223 1 15117 5243 2 4493 1076 1 13758 3159 1 6722 5444 1 1142 4591 9 4611 2727 4 9444 6285 1 873 3373 1 2938 558 1 86 3949 1 5216 521 3 17655 235 1 6233 3029 5 6061 338 1 15438 7883 1 13088 196 3 13130 1482 1 1230 7586 2 7267 368 2 9000 1784 2 1520 7601 3 12280 6055 10 9812 1819 1 13697 1728 1 11942 7643 3 18014 426 1 7245 505 3 6628 3074 2 4706 1467 3 15138 1330 1 33 1820 3 12429 7583 1 6871 1692 1 13674 8099 4 17881 1247 18 4498 520 1 12938 4979 1 7853 3400 1 11502 1757 2 12739 2982 1 11786 5419 1 18742 2016 3 9935 413 1 17166 5505 1 65 3176 2 9429 3138 1 9463 3970 1 6631 221 3 9566 2184 1 15301 3304 21 3146 4115 1 8158 3569 2 20129 1819 1 8117 1293 1 5794 520 2 7136 4518 1 12977 253 1 17869 510 1 15160 6100 1 4526 4435 2 7267 3942 1 1806 1399 1 12928 1797 1 12089 8141 1 7056 2343 3 4688 730 1 5049 6092 1 16526 5498 1 18526 2708 1 755 3619 1 18081 411 1 19352 871 1 18027 2675 1 17572 5084 1 14293 1450 1 676 545 2 14744 1363 2 7507 2509 7 7699 23 2 270 1772 1 16265 3309 1 4095 1769 1 6388 1819 3 20065 1342 4 11987 4299 1 454 4486 1 7568 6140 1 19965 3586 1 3133 5986 1 17165 3083 4 10543 6434 1 6527 418 1 14753 1757 1 6228 746 1 15159 5187 5 9270 4967 1 15480 1751 1 6428 2675 2 16768 5379 1 17038 3511 5 2988 1757 4 5730 6537 1 1784 518 3 1631 514 1 11687 541 4 16839 5018 1 11976 5810 5 633 412 5 20207 1991 1 12777 7058 1 4061 1342 1 14918 200 10 12715 1235 2 143 6513 5 2292 1736 19 5734 1359 4 16675 4116 1 1618 3163 1 16238 1695 1 6922 4662 1 6449 8071 6 16063 1897 1 4731 2261 3 1171 532 3 11270 492 1 5117 5999 5 794 4144 21 12660 46 1 7136 4412 1 8886 2708 3 18494 3058 1 1127 2708 3 12088 7178 2 16772 7404 1 6630 7271 2 10997 5595 1 4060 3009 1 18132 3596 1 1331 995 1 2917 223 10 35 1865 1 1608 679 1 6397 2686 1 8321 3872 1 1432 1776 1 1009 2641 1 5712 197 1 13567 1250 1 18179 2662 1 7480 623 4 1065 509 5 17647 7528 1 11554 1736 1 15905 3101 1 16930 7750 2 1230 203 1 4898 7604 1 18614 193 1 8087 682 2 5241 4992 1 2513 6546 1 11108 4077 1 14111 1374 1 5216 6961 1 12742 7641 1 3081 7750 5 11322 4987 1 1839 227 1 14748 8043 8 3315 225 1 1772 1343 4 9128 6345 3 14146 2995 1 6158 4436 1 392 1243 2 1416 1730 1 7554 398 2 11270 2004 1 12393 3328 5 2186 2366 1 19136 1955 1 12675 2771 1 19511 372 2 6070 2549 2 17361 3211 1 14151 244 2 6518 6435 5 1141 1395 2 4055 561 1 12138 470 1 9432 200 1 10765 4489 1 5240 765 1 5142 1743 1 15576 2444 1 19315 2896 2 14522 508 2 14339 7189 1 8859 6744 1 12322 510 1 16481 1727 12 11898 5126 1 9213 3233 6 9469 5302 1 16500 215 5 3484 2454 4 6078 4559 4 6486 732 1 2710 219 1 19606 1719 1 17010 7931 1 11310 6596 5 2886 132 2 6668 8010 2 8705 184 2 19898 916 1 17273 2360 1 243 6065 13 4888 1990 1 9061 3634 3 3602 7710 1 15296 2265 1 3036 3666 1 4396 2971 1 3695 6571 1 14474 186 6 10146 3684 1 7019 411 10 6137 206 1 13646 5820 1 13986 3146 5 3243 514 2 16643 869 1 15058 5325 1 5318 2860 1 14845 223 1 6223 7554 1 10107 5439 1 8273 7654 3 15895 4929 3 9640 4950 6 902 4867 1 239 57 2 13268 674 1 3397 341 1 1849 1025 2 6749 4022 1 7354 4600 1 5494 4977 4 6261 7514 1 4757 2363 1 4376 2488 6 11121 3267 1 19562 6210 9 9347 219 3 4019 7452 1 16501 535 1 14773 1825 5 12618 310 1 19781 2118 1 11667 3020 2 5250 203 1 8361 200 4 11786 3999 18 3472 1705 1 14062 2056 6 13942 3058 3 12810 253 1 140 6467 1 11577 308 2 8767 1788 4 4498 1257 4 14879 1714 1 9022 2717 3 9245 201 1 14211 2263 2 15705 1728 2 3149 5448 1 6981 184 1 17821 7674 3 9726 575 1 12337 1703 3 19881 2662 1 9733 525 7 6856 220 2 13230 2191 1 7215 6276 1 14845 200 33 2648 517 25 19328 7571 2 5494 708 1 8183 713 1 10385 6666 1 1 90 1 17743 2552 1 727 5496 1 6735 4603 1 12159 3900 4 15303 4551 1 2554 2539 2 11786 356 1 15052 23 14 15005 1781 1 16021 2591 7 8793 766 1 18012 1732 11 16694 4317 9 14053 4357 5 7054 4661 1 2477 5740 1 1962 698 3 17332 127 1 6811 3330 2 7699 201 1 9167 885 1 440 2803 1 15362 1675 1 3650 200 5 12078 545 15 11180 5128 1 9188 850 1 8532 2662 1 8705 220 9 6535 4000 1 14135 7473 1 875 502 9 13591 1324 1 11355 1119 1 16063 4936 1 18843 218 8 18575 3775 1 13569 2560 10 10146 5686 1 11727 5879 1 16096 5517 1 6334 4811 2 1060 2675 4 2087 336 4 5804 506 1 14753 7554 1 16803 6533 1 18968 229 2 1866 861 1 12585 452 1 7049 191 6 17087 1721 1 16700 736 1 15023 215 1 2737 1747 1 10691 6289 4 13821 5446 1 3712 1705 1 2384 339 1 18418 8122 1 10943 507 8 15052 2555 20 6078 4572 1 3833 2557 7 5264 7220 6 12466 1924 3 8524 3856 1 14804 7566 1 11789 3283 1 13537 1053 1 1683 5172 1 10655 2426 1 5313 1244 2 20216 3619 7 10547 56 1 14318 7590 5 2178 2698 3 4332 1757 1 5304 844 1 16468 7878 1 12660 5607 2 4417 518 2 18522 6880 10 10610 4198 1 3214 883 1 16979 3892 5 5775 1718 1 4005 1715 1 2735 193 5 7285 7216 2 12466 23 8 6265 1740 5 14063 1618 1 19470 35 1 7915 4436 1 6416 1726 5 4047 840 1 9250 5871 4 15474 1771 3 13217 6084 2 1794 891 19 12775 6181 1 16566 221 3 1465 303 1 17988 945 1 13309 2675 1 18910 1954 1 17298 206 1 17738 3870 3 13 904 5 8183 1775 1 17141 6400 1 15429 214 3 2531 1686 1 14010 6480 12 12212 2114 1 7210 4325 1 4629 3138 1 11241 1416 53 4050 236 1 9964 3720 1 3210 197 1 10673 759 5 1361 4597 1 18666 942 1 12236 3932 1 12489 128 2 13484 3989 3 14990 1642 1 135 6238 3 6183 2877 1 4708 505 1 17968 1242 3 19648 338 2 2522 2534 3 1907 3050 6 19632 5708 1 9429 1482 1 10857 4540 1 19031 1625 1 11292 401 6 13127 753 1 9844 1774 1 8464 3879 4 16299 421 1 14883 4165 1 11046 2355 1 5863 1194 1 14411 206 1 8746 1245 5 17489 7800 1 455 1350 1 894 1147 1 16268 3634 1 7480 2058 1 11017 4929 12 1191 1235 2 11130 2355 7 4057 853 1 9698 1328 3 19833 3715 1 16881 5750 3 19943 1703 1 15025 8200 1 4933 3435 1 18462 837 1 18309 1784 1 13411 206 5 16312 6658 1 9072 5265 1 7885 8141 2 3642 4919 4 14367 833 2 11336 1695 4 11678 8222 2 802 1739 4 124 5444 2 14402 203 1 7179 4447 1 17505 6759 4 9564 2404 1 8340 1635 10 17664 926 1 18720 1420 1 20225 588 1 3826 906 1 1667 236 1 15356 1825 2 14590 4792 2 14296 617 1 7412 8071 1 8071 16 5 3407 146 1 19901 2480 1 14053 229 1 13296 2992 1 20141 1761 1 7707 2793 1 2286 1721 1 9171 2691 15 11562 7245 1 1908 2520 1 15485 1742 1 16158 4458 13 10856 793 2 11411 84 1 6635 7222 9 2231 6776 1 100 4538 1 1733 1245 1 6847 6495 2 713 6229 2 6652 1146 3 10374 3948 1 12594 887 3 1588 375 3 16546 3192 1 7176 1450 3 13927 4992 6 7495 1615 1 7065 2488 1 19428 960 3 1801 425 1 960 236 1 792 6132 7 8326 545 1 4870 2488 5 17796 1246 2 6292 4366 1 6620 2449 1 10847 673 1 8546 2004 1 10161 2810 1 4126 1772 2 4087 5036 2 15327 1863 2 17527 1454 1 19396 2665 2 614 5513 2 14114 3534 1 5130 1714 1 15960 7008 3 7194 1762 8 19822 7788 3 10332 883 5 13044 3421 1 12762 4989 5 14748 2981 1 11156 5730 7 5645 1721 1 4379 606 1 3023 638 1 16484 6755 3 9583 5036 9 11853 206 1 15885 6075 1 15861 221 2 17228 1464 4 15405 7911 1 7879 7135 1 19872 3287 1 7630 1259 1 3469 6213 2 6977 4635 2 17682 3625 1 8528 1237 3 18145 1334 1 15105 1245 4 7369 1764 1 13986 270 4 6412 1474 3 18118 35 1 10169 316 2 6749 5767 1 14900 1728 2 11587 2675 1 18128 2671 4 9359 1302 1 7917 3762 5 7563 1354 1 11218 2632 1 14527 7051 1 13187 6021 1 14077 518 1 3699 214 2 16468 8036 1 701 1776 3 9094 411 1 10245 165 2 8361 1150 3 8498 2896 1 7450 220 1 6942 519 1 711 7427 2 15272 7229 5 1499 4098 2 1827 7018 1 16346 519 5 7577 3074 1 11346 705 5 5727 2675 1 17886 1523 1 6749 5748 1 16857 303 2 7462 6368 1 13829 1243 2 2985 709 5 2772 803 1 12725 7210 1 19134 3558 1 9614 6185 1 18119 1705 1 15323 2691 1 783 3827 1 13132 344 1 14965 936 2 1861 201 3 7065 1273 1 2917 5996 1 9097 6457 8 13394 3747 7 19132 3556 1 14695 6672 1 11509 7021 2 8969 5018 7 7986 3581 4 8950 5325 2 6915 3228 1 11476 374 1 13402 3377 2 15908 201 1 13414 1762 1 13735 1734 1 13 807 3 19137 275 2 13200 1975 1 3220 1523 6 11033 6192 1 6648 506 9 16564 772 1 11018 206 1 1043 6777 1 1438 6561 1 15974 219 3 19758 3334 1 16797 1770 1 9808 206 6 18132 4228 2 20007 3721 2 19957 3370 16 6896 2100 1 5977 496 1 2673 3979 2 15893 723 1 4147 5441 3 3274 1877 1 19470 215 8 19057 7442 5 15068 23 1 10592 23 1 16588 2384 1 7227 89 3 7952 477 1 6872 7260 1 17194 2727 31 19564 7398 1 5520 3464 2 11360 930 1 7845 4402 1 15394 2254 2 6520 1374 2 15788 3904 2 11411 1827 1 4525 498 9 3226 545 1 9725 1137 1 14798 8042 8 16345 3252 1 15635 8013 3 7931 3058 1 15397 1296 6 18285 2519 2 11820 231 2 7176 15 1 16186 2361 13 11251 5867 1 11414 4306 5 12826 937 2 20079 4458 1 11497 6534 1 15936 1772 3 17961 7086 1 16090 4271 1 3103 7405 3 19195 5559 20 13430 6031 2 745 2353 1 10690 1250 1 18115 3798 6 222 2369 2 19970 470 20 19687 5340 1 10043 6592 1 19476 2325 12 2694 4389 3 9105 5487 3 15990 2581 2 6520 1747 1 10145 4668 1 3370 6100 2 18862 7564 2 12378 4303 1 16264 2897 1 174 1990 6 16392 6210 3 19822 1681 6 19995 4280 1 17075 7466 1 9397 5002 2 11072 510 2 19461 4099 1 16887 5256 1 16739 1779 1 10916 707 1 982 1825 2 17331 207 3 3043 6534 12 14233 1395 2 16090 775 1 8962 510 1 17555 6252 8 17284 6931 1 7663 5585 1 8077 3361 1 6908 3595 3 8198 164 1 4913 8020 1 684 1705 1 19521 4022 3 4660 1374 2 8918 244 1 8161 165 2 13010 7098 12 5075 1717 1 7830 6713 1 11015 8222 1 18251 6924 3 18793 6663 1 1445 1780 1 19425 506 3 10879 519 1 10509 1037 2 19578 4481 6 7076 3617 3 10816 1714 1 6802 2727 4 16776 552 1 9162 1610 1 11637 2139 1 2962 8031 1 16096 2922 1 4075 1190 1 1156 6414 2 130 735 1 15870 7519 1 7099 2534 1 13127 1250 1 11260 1781 1 8088 8051 1 4663 847 1 15648 1185 1 14778 1247 1 7099 1244 1 20266 4446 1 9045 3599 2 9477 1247 2 10575 951 1 2419 2385 3 10183 229 1 12279 1770 3 35 1950 1 10844 4075 1 19026 7594 1 13969 3953 3 5952 2727 1 4534 4204 1 2120 2287 3 6783 2881 4 14565 7512 1 7672 23 8 10142 197 4 7196 2183 1 8291 3275 2 5444 4780 4 3485 367 1 5745 1332 1 7746 526 1 5952 6933 1 8735 2504 5 17607 201 2 15318 1681 1 6990 5737 3 15843 2648 4 10587 1629 1 863 6701 2 4197 1712 1 6676 6650 1 10852 704 6 14558 5043 1 9263 1342 3 6027 2971 5 1604 1374 2 13159 3422 19 74 10 19 14262 1757 2 4335 571 1 10283 7021 3 11216 8117 11 13825 1253 1 16140 2369 1 16320 2638 2 8793 629 1 4357 7554 1 9921 3211 1 17392 1686 3 1635 634 1 14970 785 1 6540 203 1 11451 2109 1 1472 3909 1 723 5257 4 6742 6542 1 19751 1785 4 2729 834 2 814 1244 1 17020 4794 1 1172 221 1 18843 214 1 3208 6334 11 7527 10 2 6757 532 1 11314 368 1 8156 1981 3 9978 461 1 3636 7878 4 18576 201 2 14055 1881 2 5219 4345 1 4339 4403 1 7176 23 1 8243 1692 2 1440 6736 5 3321 222 9 6496 665 1 9732 790 1 11572 4251 10 16306 4727 2 16565 2863 1 12623 1872 1 6717 1734 4 11613 3979 1 16486 206 1 2134 2356 2 10033 7657 1 16767 190 1 13792 1748 1 17851 5444 2 1189 1241 1 452 8036 1 16998 214 3 19352 230 1 10807 471 4 134 23 1 4825 2675 10 1325 1698 1 11227 7604 1 15397 201 1 15261 3669 1 4030 5468 1 10541 1784 1 10207 4762 1 8803 3021 1 152 6818 1 14806 6004 3 18140 1819 11 8421 1244 1 18214 2651 1 2001 242 18 1029 545 1 7354 7419 6 16145 200 1 2154 3571 7 433 222 4 8221 4015 2 14255 2155 1 11151 1236 1 2139 1736 1 14170 2618 1 10371 97 2 6556 4261 1 18902 3029 1 4454 6252 1 6610 1983 1 6275 220 1 10073 7404 1 14063 7573 2 1171 4992 2 18873 2980 2 18692 536 1 81 3655 1 6048 244 13 10599 3132 1 9942 6053 1 3694 3287 2 11196 4403 4 3061 7466 4 13018 4242 3 13503 6839 1 8444 3060 1 12054 6924 1 3836 6268 1 11613 867 2 7997 97 2 15096 2065 1 9836 673 1 575 1288 1 5863 7292 2 17373 353 1 20174 223 1 574 1663 1 3485 1695 2 14916 6435 1 15593 4245 6 8676 6931 1 4492 6618 2 3090 224 1 5651 1775 1 16239 1464 5 12892 6435 1 17756 2355 9 7455 1249 1 15762 6367 1 18510 23 3 13 905 1 12244 3540 2 14431 6690 2 9978 5961 1 18511 2789 1 20116 1105 2 20076 507 7 314 1251 2 2025 4268 1 10553 8022 1 17516 1739 7 17284 165 3 7010 2584 4 19371 2180 1 16288 498 1 9551 2056 1 9025 1752 1 15457 1610 2 17865 252 1 8921 1593 1 13337 3283 2 5310 707 1 17306 457 1 13825 220 1 13465 813 1 20017 3288 1 17354 1819 41 14283 518 1 2935 6174 3 8837 5513 1 2241 1235 6 9117 1466 2 16622 1383 1 14290 225 1 969 3913 1 4539 1245 1 4257 3647 3 19948 148 1 16997 7465 9 12988 6588 1 12517 7216 1 12712 7477 1 11533 4258 1 1036 379 1 9438 505 1 1966 1768 2 12361 660 4 2213 7427 1 14232 1739 1 5557 201 1 14865 7466 5 12723 4352 2 19914 1302 3 6709 950 1 10918 232 1 4649 207 2 14081 1826 1 416 2271 8 11506 244 5 11669 203 1 8801 284 3 14806 411 3 9175 867 4 18252 165 3 14802 4601 5 7169 2368 1 6570 4824 10 4236 2362 1 3658 1474 1 19239 1965 3 4438 5591 1 11148 888 1 17633 797 1 4952 1244 1 18366 1282 5 13564 7900 1 4572 1760 2 19841 3167 1 4571 6053 21 15610 709 1 20241 3164 1 4250 5607 2 12337 3554 1 14276 3576 1 4147 7105 6 16105 3262 1 16308 1732 1 15248 4473 1 878 3521 56 10730 534 5 11827 1721 4 7619 2626 2 1456 5494 1 19381 5858 1 19872 4609 1 14495 7727 1 10436 2415 1 15635 718 1 2904 6874 1 420 6168 1 8751 4944 1 1726 7069 1 1801 4308 1 15909 1439 2 6989 797 1 13184 7701 5 11762 1342 5 12196 365 1 17439 236 3 13842 4499 1 16510 200 1 143 6547 2 18538 2600 1 8408 252 1 1009 5964 1 10334 4905 1 1551 1748 1 9640 2352 2 9762 5234 5 15364 6986 2 10355 1663 1 17476 518 10 19848 682 1 8012 1859 1 12367 5137 1 299 6705 30 16500 1770 1 1799 3741 18 4384 5326 5 9638 1466 2 6630 7138 1 1087 5837 1 13469 7182 1 873 6076 9 3485 6658 1 11218 214 3 9201 1146 1 6712 3742 2 5638 2268 1 18705 1450 1 12936 207 2 16925 2488 1 11895 2552 17 3358 4468 1 5171 883 5 11070 1344 1 3347 3911 2 7461 1247 1 10738 2259 7 20007 6270 1 11691 3230 1 153 6959 2 15400 1763 6 10629 23 3 12258 7564 1 12685 1343 1 7784 1688 1 3665 1248 14 9638 1720 5 9783 453 1 17676 2880 1 12821 1307 1 11233 1286 1 6655 498 3 130 5980 1 4769 3609 1 3520 1450 1 18160 3911 11 4648 1715 2 15043 5289 2 4227 7419 1 11169 6053 3 11999 7249 1 12949 534 1 16844 227 11 1825 2176 1 9554 5325 1 12262 2653 1 10815 316 1 6712 568 2 8818 531 1 1705 629 1 3550 1719 1 821 1728 1 1012 3689 10 3118 8217 2 12517 2513 1 9404 1727 5 12291 3694 1 10399 1333 62 14063 3143 4 17169 201 2 5181 2912 1 7445 1243 12 62 2897 1 12168 7640 1 3393 2352 1 10961 173 3 5972 5450 1 801 5408 5 14906 1818 1 12821 2673 25 4055 1245 1 17177 200 1 10276 409 1 1723 5341 2 14599 899 2 8910 805 2 12882 6949 1 17852 5311 1 8024 3578 1 10007 1497 12 6567 6107 1 8117 1795 1 15232 4067 1 16201 4092 1 1429 206 1 16690 497 7 4573 3228 1 12649 5484 1 12456 5595 1 8911 629 14 15960 190 4 10887 1237 2 19878 5670 7 7799 4517 2 1625 4280 1 863 3405 1 19719 7096 4 19241 3225 1 8883 5995 3 4744 200 3 11938 1707 1 1305 1432 1 14721 1267 1 11131 1251 2 11559 5537 1 2905 1980 1 16583 1112 1 2620 23 22 10905 4221 5 14666 6588 4 3814 7719 2 18698 173 2 6697 2401 1 14786 1764 1 15238 4144 1 7564 496 3 13721 336 2 9495 82 1 6229 7597 1 14791 3113 17 17740 7308 1 9754 4411 2 19254 1751 1 20262 1764 7 9782 5311 1 13845 2407 3 3189 4604 2 1263 1760 1 6099 4202 1 7868 201 21 17850 6721 2 10815 577 1 11895 201 7 7769 441 1 9118 1464 1 13112 4380 4 9433 4555 12 8930 5133 5 18373 2104 1 12817 6192 1 850 1909 1 31 1342 3 11292 2128 6 12955 1731 1 2980 1367 1 12180 222 11 3355 2021 1 861 646 1 8695 1776 1 13797 1464 1 2902 1707 1 7962 1946 4 14935 3970 2 6650 23 1 410 23 7 8801 258 1 3662 1991 2 4094 411 7 16238 244 1 13607 318 1 2550 34 2 12521 6957 1 18009 196 2 4078 3540 1 18573 2288 1 14028 5339 1 665 867 1 12262 530 6 19156 7368 1 7455 367 3 6806 220 2 9178 4013 9 787 232 2 10692 840 5 18615 1334 12 9131 441 1 17753 3216 1 544 2508 1 4218 6252 6 14250 1686 3 8465 3511 1 16057 2253 1 12636 519 1 15703 2268 12 14623 1745 3 6394 7353 1 13227 554 2 6089 219 12 1867 225 1 8657 2251 1 1488 261 1 5424 1032 1 7476 644 1 15205 4314 1 19508 244 1 16346 5517 3 5401 680 1 3291 2889 1 17076 1369 1 15411 2647 1 6832 2671 1 10000 545 2 17529 10 1 10223 3253 1 5156 1990 1 5861 616 1 3838 4431 1 2672 6571 2 17302 1298 1 1886 1241 1 16588 2427 1 17340 3434 1 18481 2360 1 15495 863 1 16018 6576 15 1465 5993 5 1670 5162 1 15459 4549 1 18056 394 2 13969 2069 2 11671 4349 3 2140 200 2 628 4043 4 5784 4998 7 18203 3228 2 1118 7734 1 11863 1063 1 8796 5379 1 1029 220 2 696 2488 1 12548 1827 1 10146 292 1 18115 705 3 15881 825 1 17947 502 2 5759 5128 3 7649 4237 1 18279 5907 1 17966 5397 1 15683 1253 1 13 942 1 15160 4369 2 7244 6368 1 19933 7319 1 13881 7089 7 85 3476 1 4092 1283 3 3442 4477 1 7483 7750 1 17988 597 2 17842 1363 1 13644 1825 1 20 1337 2 8612 7825 1 7991 1617 1 4044 880 10 33 1826 3 5478 7355 1 8332 7229 1 18251 7414 2 1230 200 1 3908 964 1 15169 7404 1 5515 2245 1 6535 764 1 9577 4435 1 14258 5006 1 2776 5451 1 19833 395 2 16258 1703 1 10720 5516 1 12895 3058 2 18946 1244 1 5304 2342 1 15036 2668 2 10988 477 1 15750 420 1 14098 4041 2 2938 7423 1 16338 2505 1 3755 1251 1 14988 4525 1 8343 222 5 13171 2104 1 18859 7915 4 11709 13 10 1273 2564 1 10298 1768 2 10570 23 18 7780 1665 1 19820 5916 1 14808 6252 1 9858 191 20 1073 460 2 15318 1731 1 2048 5090 1 16120 5548 1 17771 215 6 91 4080 1 11484 6226 1 4375 5768 1 14114 2502 1 19990 223 5 11394 1054 2 9989 7189 6 8532 2354 2 133 6070 14 1132 3061 1 7956 5820 1 2452 1751 2 812 447 2 8751 1615 2 16941 3333 1 766 1721 1 3756 3002 1 171 7684 1 9461 201 1 5409 1464 2 17290 3561 6 4735 303 1 9195 1703 3 10741 203 3 19022 219 51 2057 4974 1 17960 2102 1 2000 7177 5 13778 1991 1 6420 679 4 4963 1740 2 13638 1363 1 6684 4996 2 11968 5397 1 8818 2012 1 14599 616 2 7886 8187 1 19246 1819 1 10078 4959 1 11622 23 1 18698 1761 8 6781 6253 2 13 653 1 6160 4306 2 13297 745 3 13705 194 2 135 5677 2 2938 839 1 13252 844 4 18797 1747 1 17321 6596 1 9896 2626 2 14822 7599 1 14223 223 1 10976 1464 1 1079 1645 3 6845 1417 1 6867 292 1 2354 201 1 18563 541 15 11180 4005 2 3025 502 1 1019 1954 1 13640 2355 6 11786 6169 1 18333 517 1 13152 1092 1 4320 910 1 12879 1246 3 19887 506 14 12206 2662 3 64 3056 4 3498 4022 1 4728 1241 2 1653 3247 1 13829 1776 1 5653 1244 2 4469 8149 1 2244 153 1 1410 2675 1 926 94 1 19197 1247 1 10381 1732 1 6726 6619 4 14017 5256 1 6518 148 1 2274 891 6 9985 6754 6 7769 1736 5 1368 1819 2 3353 6343 1 17491 13 1 2998 1367 1 7823 3747 1 5449 4044 1 3570 5513 7 7554 46 2 19360 6440 1 17439 231 1 15405 367 1 19536 215 3 5897 1997 6 18730 1238 1 4193 206 2 20045 5272 10 5185 220 1 8391 512 1 19740 2555 1 14905 534 2 16185 2502 1 11786 1656 4 3221 5105 1 1523 1686 10 18415 4653 1 15898 2727 12 10290 1727 2 12934 6713 1 3432 825 1 3934 2351 2 7769 184 2 18376 5000 1 11781 184 1 15060 4491 2 14522 616 3 18014 3333 3 7390 5255 1 14831 7576 1 11906 6713 2 9308 372 1 12294 4435 6 14338 3693 5 9092 8113 1 4870 4204 10 14814 525 4 10862 219 13 18633 2340 1 17452 318 2 15654 2686 1 6524 221 1 3447 5535 6 7483 3813 1 16098 5538 1 7445 1997 2 11520 222 1 10948 201 1 1718 23 1 85 3914 10 6444 3129 1 8321 1731 2 2900 420 1 4356 3531 10 5117 7980 17 11623 1732 4 10293 1827 3 2522 1776 1 3307 5020 1 222 363 2 5453 1747 12 11311 412 1 3705 2989 4 14721 1141 2 17244 4501 1 3396 3113 2 5407 5757 15 20090 2512 1 1507 1827 6 67 3213 3 4995 3228 3 1872 411 5 7780 6793 2 13182 203 2 92 4162 2 19002 7593 1 9551 164 2 8278 880 1 11634 1979 1 15853 225 1 6853 2132 1 12686 2486 1 8957 6535 2 4899 883 1 5326 1737 1 441 196 18 10718 252 3 6248 2678 1 1330 6697 1 4170 3478 1 2990 3599 8 8735 225 4 7714 2488 1 18470 4369 2 5636 3233 1 17083 6091 2 2271 3840 2 6835 3408 1 7540 7259 1 15936 210 8 8924 1761 2 16185 6484 1 11317 3298 1 13692 2294 1 62 495 1 18564 498 10 7557 1726 2 1866 7593 2 6731 5341 3 17262 1261 10 525 2068 1 17300 2437 1 4213 8081 4 10482 2939 1 4282 5281 1 19156 303 1 8987 1238 1 19874 5018 5 16432 1248 1 524 6537 1 3043 5430 1 4299 1342 3 9415 500 1 9093 1256 1 11458 7811 5 3015 6464 1 4382 244 1 11882 1267 2 16140 2508 1 13641 6257 1 7769 3007 1 11405 229 1 17950 1825 7 4015 3760 7 103 4652 1 9591 712 3 7245 2386 5 14563 4222 10 3505 1253 3 10772 6051 1 16290 2362 1 15634 5083 3 9865 518 4 17911 891 1 2784 380 2 10988 1172 1 5377 4006 1 16090 3263 1 593 1775 1 17321 1248 1 6288 759 1 2917 243 1 10815 348 1 3491 8192 6 4279 3851 1 18462 7216 1 4841 23 1 8301 5532 1 10218 8047 1 10604 5333 2 12044 6597 1 18102 2329 10 3310 2424 2 7455 2792 2 11687 3681 3 19563 4595 1 20184 7756 1 17091 2673 2 11336 5439 1 15405 402 1 15468 3649 2 4784 1250 1 13526 2440 1 6695 5105 2 12982 6897 5 16777 597 4 932 512 1 5253 1253 1 12055 5468 1 14590 3570 1 19872 659 14 9650 7898 1 17767 2442 3 17078 23 5 14837 6207 4 3875 203 7 11549 4575 1 10407 3552 1 86 3939 1 6323 2089 1 7013 2675 3 9399 4204 1 454 442 2 4471 3741 8 4987 3389 1 15213 3163 1 15376 7719 1 11324 1506 5 2291 4246 1 11796 709 1 6183 2675 7 4222 4498 1 14165 4245 5 8532 225 4 2838 2742 2 18734 3698 1 19637 4681 1 12036 4045 1 19019 2361 5 18203 1247 1 4613 1717 3 16164 2170 1 2560 1703 16 17740 4274 2 11393 588 1 6564 6098 1 397 6897 3 1704 4713 1 3189 4203 1 2803 668 2 8873 3206 1 4051 1407 8 7404 779 3 10966 1741 1 12895 1245 1 143 6625 1 15614 229 1 9796 7213 2 8773 1729 35 9761 1788 1 5568 214 3 8129 1804 6 7188 1234 1 8443 7618 2 18655 518 4 7251 1606 5 19264 1727 1 5583 1747 9 10404 761 5 2716 7857 1 14286 4764 1 12209 1781 8 242 214 1 16972 1686 1 1446 867 1 16264 8203 11 11336 5411 1 5725 1181 2 13156 3592 2 8184 8194 10 17053 232 2 171 7788 1 9702 4963 1 15778 1685 3 17212 1768 1 15016 2057 1 15454 4869 2 10027 1239 8 11467 835 1 12686 6994 1 4345 8102 2 8741 7359 1 1062 7883 1 17314 200 1 8191 3950 1 7586 409 1 16674 214 7 1528 200 2 8278 7787 2 6000 5825 1 904 4944 1 19253 2410 1 6587 236 1 2483 6225 1 7070 4118 1 2288 5037 1 3900 5281 4 7840 3742 1 11388 1770 4 4961 4325 2 18588 5758 1 10162 2244 1 16819 1054 2 13417 4599 1 174 837 1 16252 292 1 20225 575 2 2970 1685 3 7194 2815 1 15269 4245 4 17988 962 1 10821 4240 1 13872 3108 2 1265 7701 1 13283 6091 5 18610 8261 1 2739 221 2 14757 7012 1 2278 1184 3 13933 221 8 16942 4992 3 9345 3575 3 9919 344 1 9178 3516 2 1467 4852 1 5720 2080 1 13581 7964 4 3833 229 2 1552 3163 8 17064 205 1 13091 4435 9 15883 7702 4 16082 2635 5 7627 498 2 16346 2517 3 18125 200 2 18188 1814 2 9033 3167 1 19294 206 1 1586 201 5 1326 7695 1 15718 1775 1 5022 2511 6 1631 201 1 10056 619 6 20092 169 1 7734 1726 5 17873 3161 1 6410 6682 1 15398 557 1 9332 1131 1 15429 2431 3 1677 8158 1 6448 578 1 2154 3078 1 4215 1333 1 4823 3011 1 15713 3763 1 7752 6046 1 12592 6480 7 11145 3298 2 12067 7980 31 3581 1752 1 3814 1631 5 13363 603 1 445 498 1 14243 498 2 11882 7347 1 17152 520 1 19310 3276 3 7482 496 8 5849 1342 1 757 2027 1 14950 2560 1 4069 3899 16 15975 795 1 16135 3911 1 873 7030 1 1468 4411 1 10826 862 1 1607 1751 1 5208 6228 1 11178 3532 1 6390 1247 3 19496 3606 1 17160 327 4 4050 215 3 19276 4013 1 13581 2305 2 10674 3519 1 18750 589 1 5303 3569 1 11720 1286 1 7823 864 1 6152 2093 1 15202 2815 1 5213 1745 2 14011 5105 4 14926 1019 1 13461 3202 2 5243 719 11 9178 175 1 16388 8072 1 19246 7672 1 11550 203 1 19730 1234 2 9433 2831 5 11353 7769 6 11857 3899 1 10531 6150 1 15773 207 1 9807 215 1 19937 7815 2 7398 5291 2 18090 4059 1 18206 1729 1 5215 4764 2 1558 6139 3 3485 13 2 169 7589 1 2077 1748 9 11442 3457 1 17719 45 1 14265 648 1 15220 3333 1 1660 2499 1 8876 6418 2 10752 4986 1 13245 6951 1 10373 3980 10 17662 512 2 10531 4952 1 12562 1780 1 460 1296 1 12148 7511 1 413 304 1 15073 481 2 13268 4107 1 696 2626 1 16635 6663 1 17373 233 1 6564 2885 1 271 302 1 1125 367 1 6337 5565 1 18281 1249 1 1029 197 1 16897 336 1 17618 184 4 14578 5281 1 3947 4623 1 15300 4935 2 1986 1796 1 4887 2671 1 19079 5681 5 10035 2646 1 13775 1271 1 1047 5957 6 171 7785 2 140 6418 1 17708 2869 1 6278 5325 1 7435 883 1 4634 846 1 9319 2342 1 11297 196 2 15751 4998 5 3796 5122 2 14695 6529 1 10472 374 1 14675 3448 1 291 4501 1 4831 207 1 10351 1046 3 12104 2023 1 4716 1334 1 7872 222 8 11935 812 2 16394 1717 10 14988 858 4 4330 520 1 12367 1740 4 8056 1367 1 2274 6252 4 3701 420 1 9128 1751 8 8439 1252 1 15484 15 2 18382 5513 1 11388 184 4 16310 300 2 18762 215 3 11774 1714 1 6332 693 1 14517 365 1 19763 80 1 8608 1244 1 15875 1175 1 16956 2513 1 11068 840 1 6387 507 5 5537 6225 1 14584 3351 10 3175 5736 1 13985 973 2 13905 6697 5 3865 7569 1 2458 8141 1 7013 207 1 445 3716 4 15111 6931 1 5565 5186 1 10711 2729 1 16346 5814 3 2508 1449 5 9443 8013 5 2911 5341 1 17946 1374 1 16719 3287 1 7986 1645 1 14164 3159 2 15011 665 2 99 4463 1 143 6518 7 4368 1613 3 3270 2508 1 11323 219 1 3366 258 1 11844 1298 2 7991 6719 3 18012 1111 16 13334 184 1 15984 2635 1 3940 3871 2 17229 2675 5 10961 1686 3 14416 3019 1 2410 4761 1 16820 6048 1 10232 1184 2 145 6178 1 12701 4534 1 10487 1498 1 16557 6343 6 11195 244 1 7051 532 1 5742 525 2 18939 1241 2 7645 203 12 14037 3869 2 20019 207 1 17645 1164 1 11616 1116 1 9322 2522 2 40 2081 1 16455 3275 3 8074 510 1 48 2406 2 13329 6663 3 14625 6538 1 71 3312 1 2193 2618 1 7528 7168 1 19259 1342 1 5076 127 1 14826 7750 7 11844 1825 1 10670 1374 1 9753 649 1 17046 201 3 9058 8140 1 2259 4367 1 61 2763 1 11889 7808 3 14446 1246 1 1625 5909 1 270 1720 1 6538 5061 1 2437 1629 1 12457 680 1 6595 1727 1 83 948 1 5097 1374 5 5463 1237 1 10379 639 1 17992 650 1 17152 2360 1 2803 4404 3 1931 3070 3 6506 3962 2 7970 2735 1 12012 3748 1 17901 848 1 4561 2120 2 9474 1275 3 16865 6414 8 1387 1423 12 8597 7751 6 19504 8029 1 11938 1248 2 6524 200 5 6966 2407 1 1397 1154 2 12897 3849 1 1839 229 2 9407 3163 5 10 313 1 2274 1244 3 1754 2699 1 12116 3186 2 18151 25 1 20066 5532 2 747 5531 4 4539 1783 21 14837 4963 4 6942 2619 1 1551 507 5 18574 7983 1 991 7771 1 19123 544 1 10105 519 1 759 6334 1 1809 4443 1 12166 498 5 1890 4582 1 13290 1 1 1794 1264 2 10241 3012 1 7892 490 2 7019 3058 1 4253 3043 3 5717 3230 1 10265 372 4 1519 1464 1 13126 692 1 9975 215 3 10916 670 2 2917 5466 1 130 5789 1 10730 3511 5 7130 3321 6 11306 3612 8 4921 7128 11 17120 510 1 2075 206 1 17011 876 1 15531 3334 1 6808 545 1 3379 382 1 14692 7834 3 124 5462 1 18228 1252 2 121 252 1 1721 2356 1 5925 4013 1 6059 836 1 7447 6955 3 8060 2827 1 5305 214 1 15364 3403 1 30 1697 2 13230 4914 1 3358 639 1 10100 2584 2 163 5528 2 6232 1296 1 7052 2522 1 16984 1757 3 7555 4000 1 8063 512 1 10325 6777 1 5860 1248 1 12130 13 1 14253 1736 1 7552 229 22 48 2394 6 6726 6540 59 7071 4963 2 17574 4029 3 18408 23 2 18229 1062 2 19425 891 4 8108 5302 1 7823 1296 26 17459 7074 1 5185 3715 3 12378 1612 1 12760 3072 4 16368 1736 2 14522 2618 2 4581 1474 1 18225 8002 1 8599 525 2 19178 4319 1 9609 3840 2 4539 173 2 1711 559 1 18415 3558 1 15973 7466 1 7974 2075 1 2044 4093 1 10559 863 1 5303 1607 1 13775 213 1 10528 2626 1 19331 3669 1 1351 3484 2 20090 4302 1 16238 1249 1 3939 5708 1 19530 1713 1 7215 753 1 12422 4779 1 13504 512 1 14514 471 1 14235 5018 2 14259 3778 2 6225 7752 1 17742 723 2 14718 8029 1 2195 2016 1 42 2227 2 12780 1707 1 12464 222 9 15107 477 1 15213 411 21 547 1967 2 10951 504 1 17143 837 1 16806 514 2 1445 7420 9 2047 2795 1 4345 7431 2 4758 1593 7 19592 30 1 18079 1537 2 7943 4116 1 15885 5830 10 3106 1482 1 2864 3427 5 6433 4653 2 8280 74 7 13735 533 1 5022 3534 6 13132 736 1 18325 709 1 8572 4435 14 14595 1642 14 19649 1739 3 18939 4587 1 3716 7427 1 7493 7332 1 15350 1747 1 4092 2718 1 9939 200 2 16674 2515 1 24 1449 1 7889 7915 5 1586 206 4 13296 8013 1 18408 219 1 12239 2097 5 17884 8141 2 14191 342 2 10027 883 1 8730 3442 1 17284 6242 1 929 2424 1 12972 7614 1 3039 745 1 6781 178 6 10943 1753 1 2865 3792 1 10706 2556 3 13266 7527 3 19503 370 1 3826 430 2 62 2929 1 6254 203 1 19742 6629 1 929 2522 1 245 190 2 1537 1819 1 906 4411 1 7363 5565 5 57 2694 1 121 263 1 9061 5289 3 13308 2536 2 98 4414 6 6932 244 2 17083 3315 1 5739 4204 2 10311 865 4 7000 379 1 3765 634 5 5403 1788 2 3505 498 1 5960 2769 3 14769 1246 1 6647 633 3 14549 2908 1 13865 2860 2 16361 8022 1 9552 7603 1 18814 3834 1 6841 51 1 3421 6487 2 5117 784 1 4788 2575 3 12003 2661 4 11562 7857 4 1629 1955 1 8965 1237 1 14301 4905 2 14658 191 1 18050 1710 1 19223 206 4 16201 3783 1 1545 6946 1 15364 3005 1 15041 201 3 14522 1238 3 19870 127 1 15547 3382 34 7039 6754 5 13665 867 1 8442 23 3 4449 6132 1 2198 3442 5 3211 520 1 3728 2438 1 15323 512 1 17005 1910 1 715 628 2 11786 4013 1 6130 828 1 6445 861 1 11196 1482 1 9558 173 3 16738 2254 6 19278 3980 1 16089 5018 1 17220 834 5 15648 1772 1 17184 608 1 14201 1363 3 7256 1819 4 4162 4649 1 3483 2640 3 3175 1582 1 18545 4976 1 15283 207 2 2771 1720 3 17257 4597 1 2364 3773 1 6064 5327 1 12740 3511 1 4262 5254 1 2962 3837 1 14191 186 4 17133 4980 1 19250 3167 4 12580 1298 1 3675 381 1 15673 496 1 3197 411 1 18797 496 1 18096 1342 1 19528 867 1 4726 6762 2 2827 2664 2 19342 1747 2 685 132 1 20166 995 6 15673 6025 3 16346 4343 4 15907 220 1 11663 3414 1 9401 1734 1 19517 5514 1 4677 5750 1 1752 1195 1 17224 4953 1 5950 7424 1 9457 340 1 8394 800 1 12520 6058 1 19225 1247 2 13097 3132 1 10520 156 1 2508 3491 1 1218 5352 2 9013 2881 1 3426 2261 1 14127 6874 2 13619 413 12 16091 215 1 7682 684 1 12322 1244 20 19568 1251 2 11428 1741 1 4305 108 1 2459 801 1 5739 3233 2 12122 524 1 14554 7734 5 16016 6262 22 17364 628 1 10211 1140 1 10473 475 1 126 5688 1 19193 3876 5 11465 1133 8 7745 7979 1 16990 6338 5 18709 235 19 10584 23 1 5306 2392 1 890 853 1 16128 1482 1 16812 3621 3 5972 2798 2 701 1247 1 17505 2407 7 11363 214 1 2832 4177 1 1187 8117 6 1554 203 1 3081 3278 1 10610 233 3 17840 2066 3 16351 1789 2 812 2392 3 11678 3838 1 9449 8192 5 7182 2969 1 10002 200 1 1743 6481 16 9703 162 1 10610 2069 5 11661 5036 1 4681 2351 2 18667 2678 3 2286 537 2 4880 461 1 7688 2581 1 2533 1707 1 20244 690 1 15662 1825 16 5676 23 2 3406 4803 1 19470 542 1 2342 1727 2 10068 532 1 494 303 1 3749 3589 4 4332 2534 7 18976 6341 12 13364 1296 1 10661 502 4 9857 3859 1 19193 1775 5 19632 5607 1 174 7986 6 18876 46 19 8985 526 2 19246 1296 3 5464 420 1 18393 1717 11 9894 1685 1 6389 2699 7 6676 6631 1 9463 6777 1 1178 7201 1 5266 5270 9 9951 4038 1 1986 5253 2 15057 952 2 6369 367 1 18020 4178 1 2274 809 2 12521 765 2 18064 2129 1 11951 232 1 16348 6179 1 17924 6154 1 19985 5020 1 5575 6152 3 1514 1664 1 17139 1789 2 5307 221 4 557 1417 3 19331 4623 1 126 5628 2 1999 4284 3 5140 2718 1 8810 1728 1 12890 173 1 11080 3596 14 14686 1732 6 4936 1146 1 815 1250 9 12931 7308 5 19878 224 7 19699 1721 1 18069 2004 1 13974 4713 1 12988 1783 1 11836 203 3 7065 4295 1 12618 363 1 18187 4653 4 5356 2003 1 15909 6084 2 9743 5425 1 655 3228 2 12715 201 7 13024 4554 7 2982 7210 5 17399 3389 1 9178 1369 1 14263 874 1 3725 5222 5 9503 1638 4 19104 2641 1 7446 650 1 2762 4963 5 18874 7928 1 3004 7208 1 9468 1825 8 16199 4099 1 11192 5327 1 5347 499 5 18565 7536 1 9388 3474 2 14894 34 3 18876 1206 1 8051 4403 1 17414 4172 1 5954 5945 2 13206 23 1 16608 883 1 6452 5336 1 2646 1757 1 18862 201 9 6819 3671 1 6444 1303 10 15100 963 1 18188 411 2 19407 1826 1 9294 1234 1 7577 3972 1 1079 1307 19 13126 5310 1 16379 215 12 16743 6510 1 10337 1399 1 16828 6665 1 3310 471 1 7882 1395 2 13919 713 1 70 3290 1 11026 4262 1 2275 4077 1 1488 4653 1 18473 6408 5 7910 4819 1 7455 2492 1 7413 225 2 12788 7250 2 7756 5500 1 6556 2252 3 9160 1827 1 17823 596 1 7312 2343 6 1331 73 1 11216 2992 1 3266 3839 17 14339 7477 1 12865 7398 2 16550 1825 3 9700 1780 2 14605 2876 6 14211 223 3 16271 1779 1 9060 3911 3 20259 1081 2 9341 4496 7 12900 2072 8 17298 1742 2 2512 1284 1 17992 6561 1 62 1035 1 8159 837 2 10147 203 1 1065 719 2 19062 1818 2 15508 2641 1 4092 1695 1 2284 1239 1 19459 2675 1 8394 436 2 12994 6246 11 17604 3345 1 16929 1743 1 857 2354 1 6966 2777 2 6544 4325 1 12841 1691 1 2502 3029 1 7490 200 2 18340 6517 5 2319 585 1 7993 1661 1 11773 4199 5 8779 4250 1 5973 1275 8 18639 8031 10 17399 3617 1 9697 6481 2 15503 907 1 17173 2708 1 113 5072 1 8195 214 8 16340 1685 1 816 2540 1 4049 4166 3 11442 7652 8 15204 1342 4 7824 541 2 19857 2495 3 10330 4792 1 6076 471 2 2586 4179 5 18581 6599 3 2560 1781 10 3048 704 1 14658 1248 1 8493 4623 1 171 7705 2 20170 7184 1 15778 6034 1 3668 550 1 19602 1798 2 12574 4976 4 16530 504 2 14944 1783 1 11430 303 3 19593 4735 4 10554 3557 1 8967 6042 1 873 2964 4 7882 1779 2 1923 1295 1 11104 1251 1 12569 6484 1 19572 7689 1 13390 5156 2 14618 411 1 8478 4567 2 15399 866 1 2879 2228 6 6159 4244 1 18890 6341 20 1922 6213 1 17868 196 2 16373 2016 1 19038 214 1 12097 4774 1 13818 6924 1 15300 1247 4 2748 910 1 11212 1245 2 7214 2581 1 2209 1090 2 15676 235 3 11766 6259 2 8969 523 1 1988 1748 3 5763 225 3 1465 6515 1 11616 4263 1 15530 7677 2 3408 5866 1 10923 335 1 19143 741 1 6348 784 1 16255 2675 3 121 3419 3 278 4306 1 8137 2428 2 5478 223 3 7266 4998 10 11446 2729 1 18876 4105 1 6742 5395 8 889 4649 5 16455 3081 1 13 300 2 1836 6946 1 3044 356 1 12725 3799 3 11980 2325 1 7165 6943 1 4720 3540 2 9195 3081 1 13869 2775 2 13437 219 4 1783 1991 4 12842 6107 1 549 5070 1 3822 5442 1 8343 5128 2 3358 6062 3 5631 2165 2 12504 8200 5 8191 3076 14 9684 2671 1 7203 1210 1 9759 3647 3 9701 7379 2 15588 4245 2 3382 963 1 11254 215 3 11430 502 1 13919 2731 2 14617 6231 1 4970 6476 6 10997 3705 28 536 5285 2 3872 7240 1 339 1190 1 4465 232 4 13140 7573 1 1719 3923 1 5333 6716 1 12519 4531 2 10355 203 1 2834 4500 1 18145 222 4 11674 23 6 8086 3892 32 17505 307 3 10210 1747 1 4012 53 1 16200 257 1 3032 225 1 10249 906 1 10236 2366 4 14937 201 4 8177 3642 6 5972 7380 1 11601 3180 4 10334 647 5 4688 665 4 5744 5105 1 3846 4282 1 16270 840 1 6124 244 1 973 2191 17 496 214 1 19957 3534 2 10693 3199 1 1582 7447 3 8391 3050 1 9865 235 1 135 6209 2 17996 1721 3 12375 722 1 143 6604 2 4574 2840 2 18705 229 1 6327 6152 4 7452 2419 1 11933 3558 1 12615 1246 2 3607 177 2 10710 14 4 7597 2065 1 2877 135 1 11202 7894 2 17 1183 1 12283 219 12 11422 6507 1 11354 1342 3 19138 1691 2 18743 385 8 1970 201 3 8969 3233 2 9572 234 5 13195 1342 7 16310 306 1 6091 74 1 8886 3062 1 17946 505 1 15495 1239 4 18939 2150 1 2417 2428 1 7943 1769 5 3038 6025 2 8977 1023 1 9061 1253 3 6691 1752 3 12833 4483 5 18866 888 4 2237 829 1 13337 4036 1 14727 23 1 19528 4325 3 7770 887 5 824 524 1 7441 2155 2 165 7541 1 18748 3911 5 635 1718 2 8379 411 15 14617 1260 13 4055 2301 1 9090 1539 5 17103 411 2 15098 524 16 824 4980 3 18860 6132 1 6755 200 1 16546 4555 5 140 6454 1 6453 3059 1 9713 7270 1 15817 175 8 15067 2343 4 14289 6779 1 14877 1685 3 15499 5448 4 935 252 6 17388 5225 1 2868 3163 1 8845 4120 3 3892 6387 1 6401 197 1 12626 295 2 11801 187 2 6890 443 4 19807 910 3 14301 876 1 8793 690 2 164 7504 2 6064 2505 1 1065 1037 3 12069 7886 1 234 5758 1 7028 1731 4 18905 1036 1 9987 4620 1 1964 8212 4 13327 3671 3 10016 236 3 11441 203 3 18073 3799 1 12817 3710 2 19030 31 1 3898 1814 1 7000 1105 1 11295 1467 6 4153 7731 1 19572 404 1 10042 3138 2 6332 5385 7 9919 186 1 8408 1721 1 4068 220 1 7545 2935 1 19030 8 2 5118 6769 2 8982 3493 1 4417 221 1 9110 7406 1 15222 1453 1 7693 3167 1 7613 402 1 771 1743 1 17633 1242 3 10936 867 4 19391 2056 13 16065 7251 7 17871 4501 2 14225 215 1 8381 23 5 5356 1022 1 605 5285 5 8597 1153 1 2294 1752 1 16741 6777 1 17646 308 3 12995 1658 1 16130 7542 1 1838 225 7 11985 6484 3 11598 652 1 3504 7825 1 13324 1721 1 8198 215 1 1765 3876 1 8405 5498 1 19286 4435 10 8554 5998 1 4238 1732 3 20263 3206 1 2443 1724 9 64 3073 1 5884 1819 1 18353 706 1 15755 2151 1 5998 888 1 25 1505 6 8919 529 1 572 1729 1 16024 4796 1 14242 3937 2 19302 1724 1 11458 7626 2 5390 1242 2 15648 3180 2 8529 521 1 4648 412 5 2724 3574 1 2885 5903 6 804 4233 1 14695 1705 3 9416 883 1 12231 2447 3 7474 4242 5 19425 219 3 13422 8194 1 2389 3643 1 8624 5245 5 17319 4818 1 3411 5538 1 1489 1767 2 10381 220 2 561 510 3 6024 2357 7 11116 203 5 8560 4411 1 15257 1146 1 10114 7915 6 5650 2663 2 12727 183 1 19588 229 1 10714 682 1 35 1924 8 4176 3998 1 4896 1685 1 17585 7196 13 16674 409 1 6533 1825 1 18320 164 3 5185 89 3 2497 7477 1 6581 2793 1 6065 4884 1 10180 2307 1 1146 3980 6 17634 5207 1 460 1245 5 18869 7434 1 11293 2277 1 5061 927 1 5596 222 2 17779 1741 5 11089 6053 15 11570 2032 10 19222 6253 1 20148 2602 1 11952 5486 1 5601 3155 4 18490 8117 1 3697 1740 1 9464 6713 1 7147 4022 2 7811 1760 2 7376 5294 1 3642 567 1 8237 197 9 16064 7342 1 6022 6233 1 3562 23 6 16861 8041 1 4194 207 8 12717 1363 1 10328 303 7 16708 206 1 19470 1663 1 5868 4156 3 16059 2557 2 8261 8175 2 14733 1721 1 13111 411 8 5318 4427 1 11050 1726 1 4337 5187 1 10536 6579 4 19509 390 1 4498 2871 2 13945 1184 1 6031 3611 1 14968 1154 1 19034 3983 2 10757 215 2 4488 7474 3 8878 849 1 5520 221 2 16155 7260 35 9289 2645 1 1409 1482 1 170 1770 6 14883 1734 4 4137 23 7 13717 1363 1 11131 1732 2 3150 3180 1 8961 6252 8 17685 5999 9 13580 1423 5 15771 6150 1 3516 2729 1 5830 2399 1 6848 1756 2 6449 3619 3 15037 5708 1 18480 1946 1 17917 4470 4 13825 203 5 1132 7911 1 18886 6536 2 17610 7474 3 18931 6159 1 7807 5018 2 5173 200 2 9648 1771 13 17369 7188 1 12036 524 1 1839 368 1 6431 2935 2 18538 200 1 11088 3660 1 7943 5783 6 18281 87 1 3668 4582 2 18115 1721 6 4716 201 2 3963 4563 1 8375 6368 1 2458 5127 1 7478 2989 2 8766 2525 4 19582 4002 45 5434 164 8 8939 776 1 14158 1729 1 15993 46 6 2288 8194 2 6024 23 1 237 3408 1 14753 3352 1 12077 244 1 10757 1722 1 9224 907 1 9195 501 1 8698 2885 1 14685 207 2 5993 532 4 16951 367 2 10821 641 2 10203 2555 2 8878 229 3 3434 4389 1 17289 2555 2 8368 2109 1 18730 3612 5 17412 1138 1 4488 2735 2 19445 203 3 11 453 1 15943 201 1 2526 48 1 18262 2683 1 10388 1734 1 1439 6714 2 16775 5031 7 5110 3370 1 7705 656 1 9864 7929 1 17736 898 1 4546 1781 1 11912 5418 1 11723 3869 1 10593 200 1 3032 1245 1 5213 3693 2 14016 1991 1 3741 1055 1 8261 203 6 9194 5002 1 13151 1642 4 11188 2363 1 6168 207 1 19606 1703 1 11481 7512 1 19869 3686 1 6403 203 20 16016 6341 1 11694 887 5 13328 6897 1 10660 7337 2 8733 108 3 4634 6954 1 932 1313 1 9224 837 1 10221 3695 1 18614 5487 1 1597 3491 1 124 637 2 3134 3283 1 11424 6037 1 10859 2923 1 15374 719 2 20231 1710 1 16924 3373 1 4166 1416 1 19371 5325 1 7823 2885 19 4852 4065 1 8361 7787 1 18476 3399 2 14233 4435 1 454 4325 2 14840 331 2 17637 2068 1 2459 3549 2 16622 7424 4 16028 201 1 9930 1235 2 18232 8031 10 17257 1443 1 12817 23 2 9395 1657 6 10038 6640 5 1422 242 2 19379 702 1 12357 3242 6 12629 6565 1 10245 5316 18 11781 2584 2 2879 6235 4 14759 214 1 9275 680 1 7395 657 1 2479 6084 1 7080 1775 1 9395 962 1 17639 6185 2 19570 1757 1 3441 7407 5 8077 4600 1 17251 2265 3 4409 1969 1 10592 4868 2 16946 1797 4 8540 2731 1 7121 1731 1 5357 1267 7 6091 6252 2 10861 244 1 4545 7626 2 1343 7819 1 16185 1145 1 11570 1366 1 3544 141 2 8717 532 1 19197 6213 1 8334 1237 1 9815 2338 8 7999 1732 1 17879 206 1 17550 4853 1 349 934 1 17562 6618 2 4965 3831 1 3477 4310 1 6712 953 1 9574 2675 54 4828 3168 3 11645 184 2 11084 1457 2 9979 5043 1 4213 3873 1 14900 1703 3 10479 1714 1 18472 1768 2 15948 244 14 3504 4206 1 124 235 2 4903 792 2 17090 3869 1 10316 5195 1 14048 165 1 9800 1751 1 6883 3698 1 83 3729 4 4984 758 1 9456 3901 9 2213 7052 3 5863 6517 1 11774 4126 2 4147 917 1 15759 229 7 821 395 1 8082 2372 1 4888 2897 1 1883 868 1 4664 3945 1 16831 223 4 6979 7257 1 4083 6169 1 15291 5054 6 10562 1818 1 15634 8029 3 9921 1356 3 130 5964 16 17383 2938 1 5961 869 1 14839 244 1 3370 7342 2 15691 132 8 5911 7381 1 141 2058 1 19569 184 2 1422 5686 2 19630 6672 4 14385 4617 1 11349 1819 2 16061 6700 4 45 2327 1 7017 4522 2 2468 1245 1 9374 203 1 3003 7235 17 5588 1761 2 18884 6481 6 9725 1208 1 80 3606 1 14028 1406 3 9628 747 2 19115 2860 10 4552 367 29 10086 1825 1 755 1776 1 5813 8065 5 9920 7359 6 994 3663 1 11648 336 6 6141 2528 1 15323 1781 3 3270 1285 1 13058 4653 1 1590 5286 1 10188 624 5 4520 1761 1 19666 5325 1 19342 303 1 17150 5574 2 10155 203 1 15821 1686 1 174 8059 3 121 5331 1 12020 3207 1 6692 4996 1 19775 4435 3 4716 252 1 20119 1770 2 16629 7997 1 2886 3546 2 4448 4226 1 11882 5202 1 12271 1213 1 17996 1776 1 13487 7120 3 5977 518 4 2616 7964 1 10061 1774 3 19223 1243 1 14087 2131 1 783 1505 1 452 4572 1 3385 6512 1 17561 3586 2 3593 512 1 10203 208 1 13234 597 1 9099 5037 2 9445 1686 1 11965 1464 4 9511 6993 2 7450 2327 5 1552 236 4 15192 554 1 5892 4987 2 20167 1613 1 1744 4467 10 12088 2885 6 2603 1728 3 13490 2494 2 14519 5814 1 17788 8036 1 6630 6107 1 16955 2869 1 14522 263 1 6149 6334 1 19500 3556 6 5227 2653 1 12777 708 1 12212 1245 1 18029 2820 1 7452 597 1 62 2790 1 11261 902 2 10547 72 1 157 976 15 11349 200 3 7554 3275 1 6580 203 7 1638 6615 1 2966 2789 1 6708 3645 1 3118 5362 5 16063 751 1 7561 194 1 8435 4016 1 1884 219 115 1047 1757 1 15832 3081 22 6327 1703 4 5213 1781 4 16388 5034 3 8410 4284 1 11935 2992 1 12309 2542 1 8811 4526 5 163 1789 1 20105 3669 10 15328 23 1 15419 2416 7 13829 3511 6 17403 385 1 525 7714 1 3981 1613 2 5277 1244 8 7259 23 1 5225 3853 1 19560 525 2 14150 1198 1 5638 3827 2 9063 2646 7 8440 3203 1 9993 7719 5 6942 252 1 10879 1374 1 7060 7222 15 11968 5000 1 18165 4010 1 8528 2352 1 12502 214 2 5515 1450 1 3697 3333 1 68 3246 2 5478 74 9 8473 1769 1 7176 1241 1 6348 841 3 7577 6204 1 15344 1751 1 14695 5496 1 4268 1184 1 13328 2750 1 5829 3900 1 2081 1342 2 15229 1307 1 9255 840 1 14446 206 1 11367 4956 2 19111 5127 1 74 891 3 13764 3494 13 7652 7591 4 19937 1638 2 19482 7912 2 6166 1967 2 3211 173 1 14487 1418 1 19731 910 1 20114 792 1 11768 6334 1 62 2895 1 18025 6683 1 5188 2605 1 9421 6106 2 19026 304 1 979 200 2 6375 4919 1 16073 222 1 2884 995 1 15732 2620 53 2531 6240 1 5172 6210 1 12297 5700 1 12798 1237 2 1825 8235 1 1743 101 1 1695 4467 3 3377 874 2 16736 7120 5 13806 683 1 16587 1518 2 5140 6534 1 1016 642 1 17866 3787 1 942 94 1 4268 7643 1 18184 7216 5 1626 128 1 17425 1687 1 17401 5120 3 17011 964 1 17296 1238 2 17951 3274 1 348 2276 17 19193 4649 2 14094 6706 10 15090 505 1 17585 6957 1 5327 1453 1 12638 867 3 3682 3595 4 4570 1146 2 8923 6450 1 14052 1091 2 18431 3903 1 19053 722 1 6593 214 2 950 2557 1 18792 2383 1 12533 6970 1 19485 508 1 16977 4352 5 19775 3233 7 6164 5435 1 4843 650 1 903 23 3 7566 325 4 9937 7213 2 16439 8141 2 1904 532 1 13363 423 1 14522 1720 4 873 868 1 14233 1703 1 6796 6142 1 11622 8076 1 15583 5532 2 4634 5294 1 19724 190 2 11488 2343 1 19094 639 1 18740 173 1 9656 5968 1 4195 203 1 2450 5435 1 8614 6570 1 16592 3164 1 4631 38 5 2248 8173 26 14233 5513 3 15364 4489 1 11080 1644 11 4470 823 2 9315 214 2 14596 3537 8 35 1870 2 9449 173 1 2266 3382 2 16578 4314 6 9800 1755 1 15713 7570 1 727 5409 1 8482 1657 2 18398 7968 1 2916 1178 1 7629 1761 1 12752 200 1 1004 5060 1 6997 148 1 6769 471 1 19023 5704 11 7866 73 1 14439 7404 1 18133 6564 2 6314 2369 1 10111 2743 1 16229 1927 1 18511 2698 1 5117 670 3 12049 1978 2 3940 5251 3 12704 3556 3 4549 2699 2 18609 1747 5 10043 4029 2 44 2286 1 12919 6639 1 4839 7694 1 72 3339 11 5977 3230 4 2004 2686 2 5156 2897 1 16090 637 2 100 4512 1 8105 5594 1 608 1251 1 13806 316 1 12166 226 1 9879 805 1 19820 4649 1 14428 1775 2 20029 1296 1 8334 3778 1 7336 2677 2 6332 618 1 5104 7542 1 14773 1757 1 16299 3062 1 3438 201 1 1586 367 1 4012 1466 2 2257 2534 1 10219 812 8 1997 219 1 11362 7915 3 3493 4142 2 11180 505 1 14780 225 1 16618 4373 3 17628 1819 4 3048 4210 1 6587 528 8 19602 4595 1 8343 5553 1 5240 627 1 1673 3748 3 4572 1237 1 19472 6783 1 17142 1737 3 18663 4022 1 13259 4964 1 4593 803 3 16469 5693 2 19594 253 5 8159 629 1 6487 2508 5 14044 184 1 15011 557 1 19649 510 2 12815 8117 3 4498 637 1 7730 1247 2 15945 4795 1 4940 4811 1 4449 2443 1 4539 1727 18 3924 7005 1 3037 206 2 1843 527 1 19957 7521 3 6587 2686 1 3826 4304 1 1247 252 17 11055 3352 1 6348 796 1 10851 1332 6 15101 7222 1 19798 536 1 16474 545 2 14089 8174 1 6796 1689 1 155 7143 1 17973 7486 8 2341 1762 1 11504 3442 2 17477 1748 1 8686 2727 1 4561 7216 11 6620 3625 1 15614 225 1 823 2978 1 1734 1732 1 15817 3558 14 18830 5573 5 19333 3751 18 124 2109 2 873 596 1 9043 341 1 153 7082 1 3521 1656 1 2077 229 2 7313 5440 1 17998 2645 2 462 742 9 8652 1339 5 6525 745 1 9721 5445 5 15653 3833 1 11550 7299 10 10915 1946 4 14657 4460 3 18769 2584 2 4754 1235 1 19331 203 17 18019 203 20 9674 834 1 8643 917 1 12541 1703 1 17017 7716 1 13148 1244 1 10017 499 1 6120 2600 1 14007 200 13 20083 5758 5 20210 5018 1 3134 698 2 7829 6868 5 8528 6363 3 15682 7120 1 5634 1726 1 11545 4261 5 13587 2517 1 8716 4029 15 12172 976 10 16087 175 6 100 4558 6 11521 444 1 11392 5394 1 20009 6632 1 16676 4059 6 7801 1638 3 7398 1275 1 10268 201 2 10290 1738 1 10231 184 1 6647 5165 1 14301 1209 1 17218 203 1 13615 2514 1 10027 232 7 15321 2721 1 19870 1763 2 6002 2694 1 15791 4511 3 5391 1695 5 14350 236 1 4688 762 3 950 6442 1 14694 7976 1 19777 763 1 20244 852 1 8859 3348 1 15117 4441 1 19471 6037 1 15552 926 2 14196 1308 2 12258 7539 1 17096 5397 3 8100 1453 1 7469 2727 1 14211 219 7 18235 1674 1 14113 6229 2 4822 4979 1 15184 1104 3 18263 8141 5 12015 2258 1 6755 431 1 9257 2269 2 12492 2595 1 19096 6027 1 4860 1304 10 14392 2768 1 17678 4312 1 13134 1603 1 19601 38 1 2646 7642 1 18363 6051 6 12934 5747 1 14549 4245 2 2063 8225 3 13399 1305 2 9941 794 1 10543 235 7 13432 4929 1 5303 3601 1 12063 541 22 5966 4792 1 7440 1734 1 11026 1399 1 11014 519 5 17550 4918 1 15627 2980 4 15195 1871 1 7226 95 6 14221 2058 2 13909 2419 1 7091 1023 2 1171 520 1 17543 846 1 9954 2780 2 100 4521 1 8663 484 1 14837 545 3 17556 4006 1 873 177 3 11577 4029 1 11634 1879 7 8725 148 1 15481 23 2 15272 2815 1 11246 4025 4 3178 4499 1 7025 1819 3 8266 4303 1 15061 1125 1 3082 184 1 5504 174 1 20048 2019 1 6519 3389 12 19485 214 2 5478 1991 1 15133 2678 3 18724 1245 1 15599 361 1 17302 1253 1 11445 7057 1 343 1239 2 11077 225 2 15144 1819 5 12104 2031 1 13 949 1 3806 1395 2 672 203 5 9992 470 3 8051 7031 1 6513 1721 1 2911 270 4 18949 8103 1 9732 600 1 17056 3895 1 8767 3108 1 6340 3323 1 15160 4085 1 7780 4209 1 8172 2508 1 5675 23 4 11427 6375 1 4057 671 1 5475 1256 1 8633 6482 1 7156 2640 3 17220 947 5 12164 2646 1 2998 252 3 5495 5686 4 18155 6487 2 11311 2894 1 5884 550 3 3662 6746 1 5637 7586 4 9832 1761 13 2267 5817 1 12697 2307 1 4678 411 1 19790 441 2 18862 2951 1 1839 3442 2 19777 765 1 18263 5531 1 7769 910 1 10112 5325 2 34 1852 1 4390 8183 2 5625 232 1 18858 411 4 14049 1727 3 6942 1705 1 9733 2494 1 873 308 3 8851 5760 1 7241 1356 5 11880 3471 6 11803 2256 1 10399 1739 1 11616 4607 2 8943 3164 1 18866 1399 1 3521 7591 2 5859 7498 4 18298 223 18 4731 3899 1 19585 2806 1 13581 4599 5 3673 1110 3 16736 4098 1 592 382 2 4467 1244 1 3307 534 2 10116 6268 1 14977 3330 1 174 7955 1 4055 7244 1 13843 449 3 18082 6546 2 8721 7606 2 15222 1184 1 1443 221 2 5332 7921 1 12833 6826 1 109 4931 1 16997 137 7 11306 5272 1 11558 1249 6 12399 227 1 1884 1739 9 157 530 1 9915 603 1 5705 7597 1 12771 460 1 11130 3337 6 19013 1464 4 14900 367 1 19970 1928 5 8058 5140 1 4688 894 1 5378 8187 5 12919 1245 1 20121 1996 1 6524 1738 1 939 1724 1 4012 2668 1 13189 3905 1 17066 3393 1 11938 1737 3 14162 1081 1 5817 200 53 4092 516 1 16886 214 1 12491 2675 14 8396 203 2 6473 6164 3 8302 3584 2 163 7410 2 13852 219 10 143 6498 1 6489 1946 2 1556 5262 3 31 541 3 19719 5758 3 5926 471 1 6650 4022 2 2583 225 1 15896 2735 2 1999 1819 3 153 7040 1 15568 1736 1 18968 3956 1 6373 550 1 20017 228 1 12047 512 7 17105 7689 2 2186 411 2 14892 3911 4 11855 1482 1 563 2399 1 13 933 2 103 4624 2 8298 341 2 17404 2966 2 2694 1748 1 16648 3408 1 2703 2646 2 10098 8203 1 11408 7003 2 10435 1323 2 8334 7023 1 11727 579 5 4055 5269 1 214 184 1 18748 524 1 5203 964 1 4429 395 1 15553 50 26 16618 1146 1 10650 3399 2 15740 203 1 5327 883 1 18132 4607 2 17132 4012 2 8363 2648 1 17589 2460 2 1141 2261 1 6503 696 5 13670 2404 1 12054 2509 3 12524 3313 22 8970 2698 2 19759 1921 1 20275 360 1 9346 4929 2 6966 4385 2 15094 884 1 14928 510 2 17399 5266 1 2229 1705 2 19319 863 1 5199 4676 1 18698 1374 1 18645 514 1 4655 1704 1 10732 203 3 4472 1825 1 13402 3903 4 9717 251 7 7812 660 1 16626 1267 1 2992 7632 1 700 207 3 9195 3511 17 4662 1247 1 3944 2646 2 16215 1727 3 10143 2219 16 15957 214 1 633 3522 1 3003 495 7 2168 471 2 6332 631 2 9847 868 3 17637 5903 1 14695 3558 1 5216 4325 1 9740 3540 2 1024 2881 1 15833 4559 2 921 2043 1 3942 4970 1 2181 2885 1 18729 1738 1 12740 1825 1 7065 416 1 9998 221 1 18796 46 5 14089 2584 14 18431 1730 1 2905 1344 1 12412 600 3 14897 1982 1 9816 7767 1 18368 35 1 78 3529 1 17403 514 1 5631 3670 4 2133 225 2 9438 3593 6 13587 7772 1 14824 7719 4 16941 3741 2 18144 1737 1 16270 656 2 18325 5945 2 3934 2676 1 90 4055 4 3548 867 18 8578 4663 3 14441 883 47 13649 5119 1 8083 5551 1 14791 1241 15 10809 6508 1 7899 2938 1 13461 7739 3 4622 156 1 19881 4370 1 16857 7045 1 20167 4695 6 3426 2555 2 8599 6640 1 5025 1752 1 9511 7772 1 11080 5290 1 11559 5543 2 13646 4909 3 5202 219 5 8641 295 5 744 1561 1 1631 912 1 3173 5712 7 7296 2742 10 18237 336 2 19534 1529 5 16192 520 2 3351 1331 1 7194 1593 1 10761 3503 1 19246 7857 6 16057 76 1 702 2931 1 11118 1745 1 2641 2403 2 6867 1091 1 7362 8095 3 9453 589 2 13447 215 1 19349 7753 2 1206 850 5 6299 1312 2 19578 5147 7 14343 6457 2 15691 214 2 18037 1901 1 2917 3163 2 4570 4992 3 16488 533 5 18473 2114 1 18509 1246 5 18876 2068 5 5759 2509 1 15726 1784 12 767 4144 1 3765 3540 2 14327 2357 4 11744 502 4 16674 3534 1 14336 2912 7 10557 6105 1 15752 148 2 5613 773 1 948 4041 6 18740 7537 2 2710 1771 1 873 5256 1 3319 1187 1 15952 941 1 17452 270 2 11547 3476 7 14553 6526 2 7125 3454 1 18227 219 3 7733 3671 6 13697 2699 3 1313 3761 5 10410 900 1 702 776 1 3084 5407 1 19649 4245 16 3426 1717 4 14968 5272 1 11028 3333 3 6048 1721 7 3726 200 5 18623 303 18 4925 470 3 8 228 2 787 5243 1 1538 220 2 12378 1090 5 13521 5532 2 1962 2808 1 3923 308 8 10539 3511 1 14326 48 1 17553 2979 7 16908 10 2 4815 2692 1 1114 3671 3 19583 2883 1 19002 5561 1 7796 223 8 15059 359 2 9910 206 3 67 1572 1 8841 3278 1 7432 2571 3 13097 523 1 745 947 1 3762 3911 1 10821 3972 1 14631 2186 5 16787 2250 45 6264 3810 5 8198 2251 1 1719 3074 1 13154 7601 1 6513 296 1 1947 672 3 9007 1703 2 9178 1827 6 12922 425 1 3536 7953 3 1160 2653 3 16600 766 2 12055 604 1 4853 2355 1 5848 1778 1 542 425 1 18227 2109 2 1057 1184 1 6053 200 1 5613 594 1 14951 4935 2 15155 2572 1 12159 1967 6 6332 812 1 6318 4369 1 16377 484 1 13195 3653 5 13057 6204 2 16016 4236 1 10152 863 1 15634 5064 1 13636 6667 1 10410 1173 1 9265 3619 5 15146 498 13 16150 2250 1 11155 6162 6 10121 629 1 12881 274 2 15778 4672 1 15421 1078 1 9179 5333 1 16214 6460 1 11485 5339 2 7952 2993 1 8645 2951 1 19613 3370 7 17977 506 1 12551 910 1 4565 1762 4 17556 5480 1 10720 6460 1 10165 709 2 31 1736 3 12579 3896 10 6834 5301 3 20258 1784 2 81 3652 4 8266 3697 1 13447 4563 1 16195 2649 4 17261 955 4 12784 4013 2 18665 891 1 2817 1742 4 19551 512 1 14162 390 5 19750 4379 4 73 3349 4 18404 198 1 14492 4306 1 12984 23 2 6809 6150 3 9287 2860 1 3313 7005 2 1519 8140 5 164 7465 1 7943 1109 1 16660 5441 1 3197 6268 4 7344 7422 1 15743 3333 1 12829 1814 1 6773 4090 1 10923 1980 1 9760 4998 1 11085 3798 1 6133 331 2 137 6290 4 12399 827 1 17978 3043 1 7445 2479 1 7348 2259 4 13210 207 7 16176 5672 1 8427 8194 1 20039 5326 1 6829 2649 3 5216 1830 2 17850 2747 1 10532 1208 1 11388 201 6 1397 6286 3 13328 2758 2 5055 6912 1 9666 8054 2 14753 8091 1 2345 749 1 4229 225 1 13570 1184 1 5356 2519 1 6726 6504 17 18634 1301 1 8255 2443 1 7876 634 10 12125 1312 1 4181 3477 1 8275 447 2 19131 3705 8 6043 1416 1 2405 3113 1 10550 3998 10 16018 3293 1 5432 339 1 16183 1658 21 18544 235 7 12924 7679 1 16194 5740 1 4900 320 1 7599 201 9 7246 8091 1 19489 2555 11 10064 1827 5 13329 380 1 19552 1115 1 7555 3145 2 15016 1244 1 18665 1239 1 2538 1748 3 14612 910 1 3424 5018 2 17014 2369 1 10189 3980 3 8097 5035 2 8287 1246 10 1618 1768 11 8340 900 1 16460 46 1 6331 4625 1 2345 6039 1 2439 4945 5 15849 510 2 16358 6334 1 16420 3605 1 11417 1747 6 7089 1707 1 18751 5906 4 1551 6197 5 4651 1739 5 9474 3634 2 13667 792 1 18262 501 1 1438 1707 6 18679 1290 1 11788 3304 1 4030 219 2 9568 7511 2 1665 6387 1 18755 4616 6 2743 214 2 18224 6968 1 17164 550 2 9288 6197 10 12077 4448 16 19607 443 1 15150 5425 1 898 4351 1 5616 1396 1 1214 1466 1 4924 4357 1 17429 4029 3 18634 604 2 18805 5411 2 6712 588 1 2419 5279 6 19223 1772 1 14380 1464 1 8913 3595 3 445 232 1 18681 767 2 1530 6520 1 19246 1019 6 3505 6614 4 9560 7189 1 13355 6610 1 18680 3106 1 15968 1768 9 16719 5418 1 17389 4998 1 9893 593 1 15875 1121 6 13714 4332 1 4573 7748 16 7554 1747 1 14307 6091 3 19011 2885 1 9144 1762 8 6777 1201 1 12007 201 2 19568 1727 1 5369 3817 1 14758 694 1 2801 550 3 18887 3072 1 9520 4254 1 14618 2682 1 18037 858 12 2507 2087 1 18698 530 10 16817 4397 1 4090 4467 2 13916 4158 4 5873 3600 1 1722 2671 2 7135 880 1 7028 1242 2 5723 219 1 10501 1184 1 10123 4740 5 9946 2097 5 20214 2970 1 500 3074 2 2075 200 22 6275 3391 1 8375 3023 10 5306 1284 1 5977 1710 1 7899 2686 1 7426 5036 2 10313 668 1 3358 906 1 16195 3597 3 5212 5533 1 9660 3283 1 16378 220 2 8291 496 2 18187 956 1 3606 4408 2 1109 1374 1 10921 3256 5 16807 3021 2 14369 1742 3 19101 2555 7 7312 1772 4 9836 222 1 8015 3038 2 19428 1706 1 19507 205 3 17298 1250 2 12733 3198 1 6473 1278 1 9394 2661 3 2830 1745 1 4663 930 1 18939 5022 1 10563 891 3 6871 2166 2 11591 2363 2 1710 4249 3 2511 6151 1 9672 5077 3 9894 649 1 125 5579 1 10792 2254 1 3679 214 1 19313 2552 1 11131 4882 1 694 3076 3 2693 1629 1 12604 7440 1 11562 6189 1 5908 1472 3 20245 532 1 14271 4052 2 16781 184 1 2019 471 1 20276 2675 5 11158 2012 1 11402 7044 4 19198 5367 2 19410 2742 1 17416 7937 8 12329 4314 2 14522 3492 2 19763 27 1 17434 834 4 1551 536 1 114 5129 1 35 1859 2 14778 220 6 2693 6561 4 16096 793 1 1405 8056 1 9937 3693 1 4784 1363 10 8717 4972 1 11345 2439 5 18132 558 4 12856 828 1 6452 744 1 633 1495 1 130 5805 2 6867 3973 1 17892 794 7 17077 1990 1 14738 8073 1 5171 1990 1 6968 7423 1 8013 5963 3 9160 1450 1 4050 5272 1 7731 5033 1 9383 2675 2 251 4842 1 4050 1757 4 10179 7701 1 1530 8183 14 64 3067 1 13491 3167 1 17477 4069 1 14814 1745 2 10259 1018 1 3293 1712 1 15683 7250 1 3801 6883 5 5887 4470 1 9569 6949 1 16491 4489 1 4593 899 2 3414 3512 2 19993 3519 1 11533 2057 2 20181 2629 1 1705 3380 1 8455 6595 2 14165 470 5 16192 5531 1 18976 1235 2 15962 3885 1 13572 5289 1 6451 4361 1 9245 2569 2 1005 4811 2 4323 440 1 8417 524 1 11467 796 2 18041 239 2 19270 7401 13 19599 2679 2 13518 7146 1 11820 6141 2 11762 1745 1 17281 2497 1 10313 410 20 2907 186 1 2373 4099 1 1162 4992 18 18431 200 2 9639 505 7 8226 7586 1 1721 6013 1 9656 2488 1 9180 1784 5 5335 2363 1 3313 1707 1 20044 3057 3 1597 763 1 7251 4796 5 2529 186 1 6431 7512 4 13600 1819 3 4870 409 4 4620 1686 5 3817 6801 1 17036 670 1 15881 809 1 10498 7670 1 17056 2186 5 62 2912 1 3948 237 1 9566 696 1 5556 3775 1 16857 232 2 11943 3298 1 10902 1705 2 7303 887 1 10165 915 1 4841 1695 1 12815 4415 7 18169 233 1 15192 76 1 4228 4392 1 7568 1762 4 3189 7450 1 11014 1742 3 5597 3956 1 15493 1249 1 13640 207 3 8872 6152 2 19418 203 1 13786 2798 1 11096 3663 4 15869 316 1 16028 3907 1 1999 7308 4 4606 5758 14 9279 2676 1 3750 1031 1 8275 7542 2 12128 5951 1 6434 640 1 15576 4487 1 7578 1879 1 18133 2675 1 19835 2508 1 17 488 1 18116 65 1 18017 2262 1 348 3308 7 5539 525 3 1066 1104 2 6946 6145 1 4513 8212 1 6752 573 1 12064 1686 1 3840 2675 1 19022 637 7 19733 2968 1 784 1582 3 7012 4622 3 9808 5480 1 8658 2727 2 18205 225 33 11733 1495 1 9374 2356 1 6114 941 1 16270 945 1 17682 10 2 6370 186 1 838 2959 1 14150 467 1 8151 191 2 14561 6970 2 4528 1721 3 8856 190 3 18108 782 1 15318 8184 1 8578 4632 2 14722 4379 1 19957 4531 3 2359 2666 1 5243 2633 13 9349 8169 5 16530 1380 3 14516 1716 1 12131 794 1 16213 3698 1 12946 1681 6 18096 23 1 3603 502 2 19267 554 5 8196 7073 1 13216 5302 9 17996 1482 1 10474 7229 2 19270 1742 1 11460 7342 1 10514 657 5 380 6680 1 14522 367 3 19641 534 2 18042 3534 1 100 4540 1 1869 1747 1 15471 5253 5 10559 1282 1 8730 963 1 13490 1113 1 18267 1363 1 1699 1244 5 1519 4992 4 359 2620 7 12384 173 1 16031 220 7 27 1620 2 8179 4528 9 93 4195 7 1706 2392 6 397 190 4 9216 201 2 9232 23 1 18716 1667 6 5495 5256 1 7906 8174 1 5998 6402 11 19342 5559 2 783 526 2 12628 1374 1 16270 307 1 13212 2675 1 12152 2147 1 5675 2363 2 8937 203 1 5866 47 2 6111 306 1 7432 6127 12 11659 7689 5 14522 243 2 17682 5571 1 130 5958 1 13986 1286 2 5671 3685 5 20109 1320 7 50 2509 1 11428 6777 1 15940 783 2 3749 897 6 16719 2662 2 8513 4020 1 13050 1685 1 18968 3512 5 5668 3334 5 3358 604 1 10309 148 2 10753 7174 1 5655 214 2 19322 889 2 8383 1700 1 17803 6754 2 5827 482 1 4379 7980 1 2108 6537 1 1644 223 1 12142 1344 1 3307 520 2 7799 1643 20 18316 4949 4 19137 3849 1 11530 8113 1 140 6370 5 6123 215 3 4076 234 5 19820 1333 1 8388 4379 1 17809 1482 2 15471 8130 1 17772 1717 4 15691 524 1 8152 1739 2 6890 2014 2 13829 2662 1 17583 864 6 2998 390 1 12623 5911 1 11156 4945 3 16304 3562 1 16981 6716 1 8735 7523 7 5615 3076 1 3133 3036 3 4771 7001 7 14582 4098 1 12592 1338 2 6327 1743 6 7507 336 1 8989 4803 1 5950 5928 1 134 2555 1 11877 3113 1 1625 1249 1 413 805 1 280 6716 3 6690 1395 1 19689 7371 1 14881 870 2 12817 4721 2 6997 3849 1 4067 6723 1 13349 596 4 13845 6441 3 13775 860 1 12329 2883 1 10311 784 1 712 219 2 11508 6502 1 15202 926 1 4856 1732 26 2450 1991 1 16481 1741 1 13705 1729 2 8883 3266 1 11338 5414 3 3806 1146 2 14599 797 1 15654 6064 1 5378 7726 5 15100 763 2 12322 235 1 11645 1450 1 11072 8034 2 14512 339 1 8312 1721 3 4745 3684 5 11179 2056 3 12519 870 2 16158 4470 2 745 84 1 6420 3364 9 6582 7162 1 11213 1243 18 17745 830 1 4498 1105 8 17402 514 1 15423 6723 4 6074 2099 1 2708 770 2 16768 6338 1 12502 225 1 13811 706 1 2171 7217 1 4072 2131 60 11072 525 3 4004 2363 1 5078 7786 1 15726 5995 1 10225 1251 1 4662 7988 2 727 1342 4 13205 5071 1 14488 5792 1 4963 7210 1 7994 571 1 16267 4245 5 13358 525 1 7315 252 1 19993 541 1 4305 5317 3 4708 1245 1 18281 4394 1 6313 5809 1 1399 6283 1 13422 2354 11 35 1943 2 16276 409 5 2345 5427 12 153 6948 1 4474 1062 16 6001 7403 4 8761 960 1 1024 5370 4 2896 6754 1 18016 1819 3 1216 5820 2 12517 3792 1 7147 1249 1 14489 229 1 4561 5903 10 15479 699 2 9737 2953 2 9604 1332 5 16963 1747 2 18982 6716 2 17776 7962 2 6164 758 1 9347 4024 1 3347 6897 7 3555 504 1 12531 2259 1 13873 888 62 18537 2605 1 17273 6418 1 19180 3627 1 2917 232 3 9993 1827 1 11521 7525 1 9390 745 1 34 1851 1 2413 2569 2 5777 1877 2 8665 470 1 16924 648 1 4110 184 9 15372 4435 2 14606 358 1 2204 900 1 15664 1235 5 17960 7719 1 13643 200 1 14298 4373 2 476 5997 3 2748 6639 1 1908 3853 1 5305 1356 1 14253 3525 10 13490 4282 1 15746 6816 1 3859 883 1 13884 1595 1 2509 3625 5 7774 5425 2 7273 4554 1 9168 197 1 9868 545 2 7560 4314 1 13309 203 1 613 3556 1 7095 8081 1 11923 1716 1 6619 225 1 14992 334 1 5304 655 1 12569 2114 1 12917 4011 3 4305 642 2 3395 1732 2 10203 2676 9 13091 200 30 7908 751 1 14503 4266 1 2715 2443 1 17325 4554 1 9042 502 4 10768 4262 5 6114 6536 1 613 1891 3 4935 5972 1 6539 7843 1 12209 1726 2 15761 2727 1 19322 6892 1 9910 6793 1 15761 219 1 14213 366 1 8615 304 2 11820 1898 1 188 233 1 10165 573 2 18017 2791 1 15368 2013 1 8944 215 1 12496 3590 1 7525 5439 1 2760 1054 12 13132 837 1 5570 3071 1 2646 7621 12 2079 1194 1 5089 74 1 10231 7466 3 11512 7721 1 13839 638 5 15009 3945 2 9279 863 1 5335 4807 1 6349 7583 4 9905 3998 1 5796 200 26 783 6723 2 16131 1164 4 14666 5612 2 19314 1249 1 2552 7850 1 10086 3332 1 12614 1825 15 7100 74 1 10686 2789 1 20180 911 1 923 692 1 2284 1755 1 12440 73 1 3581 2009 1 16645 470 1 15629 603 1 2331 1751 2 4804 3608 1 11381 1770 1 3091 8141 1 1821 2949 5 14086 11 1 137 6278 44 3972 1312 1 15603 7750 1 10883 270 1 11516 3464 1 11050 4976 2 16115 5274 11 9466 517 4 9615 1548 1 15643 995 8 3177 2089 10 15068 1482 4 745 1248 1 11113 7655 1 1468 2360 2 1983 1727 2 16513 1955 7 5438 2994 1 5454 3271 1 14124 232 2 13916 4149 1 12760 1762 3 11827 411 3 2526 6080 1 15807 4609 1 16674 2513 1 9978 1338 1 15576 1757 1 20 1287 1 14059 2514 3 17058 2088 1 11981 4403 3 7048 2475 1 11205 1819 1 9836 4156 5 7243 7825 1 17963 1342 4 7532 7511 2 11674 1734 1 2048 7255 1 2046 5243 1 100 4580 1 16860 6953 1 174 7902 1 16768 510 2 19530 5016 1 7440 743 1 52 2551 2 2375 723 2 17713 1239 1 5304 862 2 11616 336 1 13649 4462 1 15627 8071 2 10402 2661 1 1747 6083 2 10587 3484 1 18357 2609 1 17852 962 1 17695 433 1 8399 1250 3 12119 1719 1 9783 7534 2 723 2519 1 13591 4538 4 11497 4399 1 16797 7231 3 10000 422 1 8516 6052 1 13271 95 5 20202 3897 1 12817 1718 1 11230 3840 1 616 1243 1 14600 3334 18 3337 4676 7 10414 5179 13 6977 6659 1 717 23 1 14849 4398 4 10028 86 2 2941 5545 2 2458 7437 1 4013 787 1 16789 5018 3 8334 1374 1 2284 2488 2 4382 1730 1 12508 6038 1 44 2298 1 10718 541 1 5725 3239 2 13465 603 1 5924 6495 2 6040 5496 2 1409 7235 1 8987 5798 2 12741 23 1 11253 2030 5 19667 3558 1 4259 1751 2 16032 3637 1 835 2290 1 873 7091 1 12814 519 3 11975 201 3 18476 659 1 16033 3639 3 19486 868 1 13615 409 2 11804 3155 1 15101 1369 2 10340 6159 1 3315 7474 2 1464 2271 1 10010 722 2 16362 8067 2 11437 4733 1 5459 1249 16 2985 5333 1 9869 1727 3 10690 682 2 1124 6342 73 9358 5082 1 11509 3525 1 14062 496 4 18792 645 1 8859 7029 1 14766 232 2 6866 6640 6 8396 223 1 3882 3138 1 3765 1814 2 134 6091 2 31 1711 2 14590 5296 2 8261 3652 5 12853 1193 1 6333 4387 1 4255 2403 1 19911 6053 3 6313 2582 2 15314 7512 2 4913 4501 1 14716 4020 1 10404 3595 2 115 5164 1 4268 7520 1 19428 328 4 19426 7427 4 5361 206 1 12392 1658 1 1964 452 2 18270 1395 3 18193 229 3 9268 779 5 3663 941 3 19602 4696 1 7914 7429 2 9026 222 8 14306 645 2 2739 3146 1 5025 214 1 8443 1395 1 19635 1717 4 15082 7901 1 15807 6355 1 676 523 1 9795 2292 1 8036 1473 1 10355 1283 1 16645 2909 1 16417 7018 1 4499 2423 1 6630 6306 1 17556 4205 1 7297 391 1 8614 2252 3 5759 229 7 18370 6342 15 340 7520 1 3164 2982 1 2107 4623 4 12900 379 2 20224 525 1 349 722 2 14385 231 1 4572 232 3 10554 419 2 4837 1023 2 9767 1132 2 15683 5694 1 7756 5570 1 19727 4311 1 18299 1147 1 17771 2004 1 8982 172 1 3306 4695 1 158 498 1 2946 8071 5 6304 4274 1 4017 1814 1 15352 1743 1 460 232 6 17518 7512 2 3813 1990 10 18 1250 2 14797 6155 2 18471 7948 1 1259 8194 5 10396 6603 4 10699 1718 7 4498 1941 1 13564 207 1 1691 2352 5 1065 382 1 15712 5437 3 8209 6758 17 644 200 10 14218 7722 8 17013 4557 1 5631 7599 1 12760 3698 2 9464 6343 1 3847 7229 1 11412 2385 6 8339 3905 1 471 6421 3 9967 1730 3 5614 232 1 6942 3684 1 9511 2511 1 16087 3558 5 13711 6204 1 3815 649 1 6387 7578 1 5986 3742 1 16651 4204 9 717 1825 2 66 3205 1 1635 7476 1 13114 715 1 8237 589 1 9281 6925 3 4331 676 1 10429 235 1 12919 477 1 15943 3798 1 8608 411 1 8763 237 1 18484 2295 1 2963 8012 2 3488 1537 5 12070 4389 1 6580 378 5 2917 1825 64 4234 70 1 15525 449 1 17923 2668 1 3168 4403 1 16857 532 1 1462 7532 1 16857 1703 1 8967 4703 1 1871 524 5 767 5583 1 4629 5278 10 14173 1714 3 10575 1284 1 12879 215 7 8453 1474 4 9609 3742 1 17768 2771 1 14883 7601 2 12283 207 7 14500 201 1 10408 1333 1 1871 1721 2 2069 8036 1 5866 2103 3 1288 504 1 2965 7986 1 10245 4677 1 7934 2993 1 450 4467 2 8488 520 3 5552 23 2 593 1747 1 10249 626 1 5486 2675 5 46 1736 1 3521 6645 1 15773 219 1 8061 3556 1 18781 3819 1 8878 723 2 14114 1303 1 1449 5522 1 16127 167 2 11027 7407 21 13587 1166 1 9168 1751 1 15778 1999 1 18534 1340 1 16299 7027 2 15395 1703 2 6243 2575 2 2748 53 1 11067 1710 6 18667 206 3 15011 4314 1 17273 2019 1 9432 2600 1 4055 3595 1 11020 785 1 580 5998 5 8451 126 1 17556 6899 2 1773 2675 3 228 1508 6 19286 3511 1 17349 4671 12 15202 2977 2 8833 3074 3 14292 3645 1 8762 3491 1 2319 215 1 9978 482 1 4317 2349 1 19429 188 2 12116 3152 2 787 5428 1 16806 235 2 102 4611 1 18040 545 1 16827 2559 2 16378 235 3 8378 2115 1 11890 534 6 6021 2068 2 1821 6716 1 3651 1333 6 1551 7197 1 9604 219 16 18690 215 3 14147 5379 2 16398 4102 1 19139 2750 1 1551 5257 3 7769 532 1 16857 4487 1 3189 6884 1 5812 2204 28 16965 433 1 13734 6943 2 18667 7719 2 13558 5582 1 2980 789 1 309 1756 2 13337 2004 1 2330 5018 8 3225 1237 1 3907 2698 1 11735 530 2 4264 1820 36 5998 6435 3 19568 1252 2 11008 4214 2 5021 7255 1 770 5219 1 2473 2841 1 15344 2970 2 13265 6704 10 5418 682 1 452 4387 1 9725 2129 2 15471 6962 5 4728 2362 23 970 2559 1 3100 222 3 18998 7182 1 1079 6580 1 6961 471 2 14241 1727 2 445 1705 1 16488 4591 1 9153 206 8 16020 8141 7 5401 667 1 17463 1307 2 5752 4623 5 7568 5448 3 6504 8186 1 16424 514 1 13131 1357 4 14062 3705 1 9883 578 1 17548 926 1 16926 766 1 1618 221 6 17019 1695 1 7114 509 1 8507 6630 1 6228 662 1 3547 1726 2 4811 6299 1 7761 2480 2 10469 3729 1 16569 186 3 20 1280 1 16697 207 2 115 5167 1 11458 2357 1 18843 1965 1 8969 2683 1 13640 506 2 1358 4707 1 14892 6080 8 1631 1903 1 11226 7807 1 15163 4986 1 17120 498 2 5787 22 3 17889 5517 1 19240 519 1 20278 4992 1 8079 6743 1 3826 243 1 18425 6670 2 9136 203 5 1546 46 1 171 7709 4 1962 1018 1 11014 1771 4 16860 3753 1 17785 7178 6 4180 5741 1 109 4933 1 17803 237 3 2468 2960 1 10249 804 1 7774 1334 3 542 4370 1 9551 4385 3 5831 6252 8 8443 6457 1 14689 1184 4 10813 1819 2 12400 3225 7 18892 5430 1 14813 4459 2 299 5349 13 6631 220 7 12525 2085 1 16249 857 1 11730 6152 4 16288 1775 3 5378 2107 2 9056 1032 1 8655 1964 1 15040 84 2 12783 1358 1 1218 7244 1 6107 786 6 19219 248 4 11798 1269 2 10957 2728 1 19030 1794 1 12351 667 1 11889 7601 1 14451 2056 10 14259 303 1 16464 2478 8 9122 4232 1 4963 2864 2 7893 1685 10 16087 4609 6 15117 1602 2 18968 467 1 12095 6200 6 15966 223 1 7751 3511 3 13369 4413 1 96 4405 1 16767 7694 1 3698 1644 2 2081 2830 1 5383 1731 3 11973 4623 1 13266 743 1 10961 38 4 2795 2632 1 6656 1825 2 17416 425 1 19566 6652 2 6235 983 2 1125 475 1 3425 2357 1 11394 1303 1 4886 308 1 402 4209 1 12741 1707 3 17000 3117 1 18211 6507 1 9825 1705 1 10218 262 1 759 6132 1 2404 1707 1 2773 1699 5 6907 1303 1 9933 1404 15 11196 1658 6 7823 225 3 9152 1249 7 6302 4307 1 30 1687 1 7044 108 1 6070 1979 2 19363 505 1 8986 7857 1 1231 6342 14 16625 220 1 10436 6515 1 4040 7254 1 11861 5905 5 4043 303 1 11345 2511 1 3310 474 2 17515 2980 2 15640 7105 1 11624 912 2 3337 3360 1 5195 532 1 13 283 2 12280 723 1 18079 6192 2 6539 5741 5 4092 5397 3 12766 560 1 16090 6246 1 12097 3681 1 18488 470 1 3481 4660 1 10179 2498 1 18705 505 1 17809 7665 1 8345 4635 3 6942 229 1 13014 2980 1 16857 2662 2 10453 200 15 15217 2016 1 9714 904 2 9941 6065 2 15718 4956 1 13328 211 1 7246 3669 1 17018 1203 1 19246 3434 2 2886 1302 1 1337 2608 2 12499 2743 1 100 4579 1 17138 99 2 16036 5518 2 7111 3545 49 6749 6863 1 9431 2003 1 4148 222 1 13634 2120 1 2481 229 1 13592 981 5 1185 534 1 18462 6813 1 5981 986 5 10457 158 2 340 1288 1 18736 3721 1 126 5646 6 12830 4476 1 10252 1610 2 15800 1235 6 12459 336 1 18886 5243 1 19486 597 1 10026 510 1 1466 1748 3 19149 1243 1 9042 1593 1 5266 5343 2 14046 5271 1 7885 156 2 9572 5517 1 15004 1768 1 15608 5260 1 14010 2915 1 12136 3248 1 12497 1247 1 13137 206 2 13328 156 5 1447 5105 1 6180 3453 1 9628 581 3 969 3147 2 17521 1003 2 12365 5255 1 8614 5471 4 16185 1140 1 1014 1721 1 3395 1743 2 8591 1407 2 14077 4739 2 1328 6091 1 8515 496 4 10839 2254 1 8343 1764 1 11111 910 1 1794 2031 1 19018 6534 8 1260 4640 3 15354 1707 2 10176 3057 1 12196 5780 1 3635 3441 1 17803 1274 2 12755 964 1 5301 1745 3 13926 8139 1 4044 1537 8 4525 1181 1 958 525 3 14997 690 1 8153 3522 11 17223 2743 1 587 554 1 2180 236 2 6840 595 1 13518 1741 1 12503 6361 1 4361 500 1 3665 6776 4 9656 773 1 9966 1369 1 11820 411 5 15044 223 26 119 5242 2 3402 7639 1 9053 6192 1 4146 1764 4 17152 1236 1 5801 868 1 16140 1277 3 4092 368 3 2880 2780 1 17992 1967 6 6193 640 1 13312 201 1 10323 4949 3 14306 880 7 2406 3889 1 5750 1184 7 1970 5140 1 12455 3417 1 10672 6383 1 2910 4607 2 4543 1825 1 804 167 1 7235 2970 1 7495 4306 1 4049 4163 5 15323 4951 1 6828 1404 1 113 5063 1 17040 764 3 398 5618 1 14645 1702 1 14218 7844 1 1827 3322 1 2955 7829 2 10049 1229 24 20096 335 1 8177 889 6 7780 3434 2 6421 6500 2 8083 1829 1 9400 1760 2 17776 1789 1 1221 23 6 8639 7777 1 17591 524 1 10494 1315 3 9596 5105 1 7994 2508 1 13743 2104 2 17331 1252 1 15024 4380 2 15630 307 2 3354 1582 1 10553 5263 1 11265 4417 2 150 6761 1 4674 1395 1 17077 1728 3 19115 221 2 6314 862 11 4617 1764 1 14250 1374 14 9836 214 1 10000 379 4 3189 2649 2 8395 6718 6 7019 3672 7 13064 6629 1 7176 6150 8 1957 6435 1 1973 588 1 16922 7772 2 14114 709 1 1897 1860 1 12619 5412 1 14218 4489 1 19872 5425 2 6133 342 2 17000 7022 2 914 3521 1 6240 4999 1 9885 1827 1 1816 2012 2 8451 3337 2 5036 525 1 15852 2316 1 3826 423 1 4805 200 1 8064 7636 1 18518 4006 2 18363 4123 1 9628 656 2 9802 222 4 9717 2488 1 15779 5686 14 9861 4246 1 9814 4095 5 8340 597 1 15205 1245 1 17602 1995 4 1174 7407 1 8591 372 1 15867 4942 1 4516 1752 11 16016 954 1 7226 3046 1 8080 2428 1 15343 883 7 5936 3879 5 10513 203 2 11633 6139 3 17353 1739 2 3355 229 1 56 2660 1 16276 6457 1 18191 1070 3 12337 232 7 19600 470 2 4021 1722 2 18417 3909 1 17095 1737 1 7296 470 1 5244 1720 1 18199 392 1 494 3230 1 19601 6946 44 15618 1872 1 14305 810 3 18357 215 3 12367 4759 3 3269 215 1 8180 1022 1 15908 7466 1 2474 1274 3 15712 6488 3 8793 955 1 1962 2742 1 10999 2519 1 7261 220 14 42 2236 1 17995 2550 1 13132 677 1 877 3275 3 9864 1184 9 9283 207 2 123 5360 11 5950 2711 1 14561 292 2 4770 7254 2 7778 508 2 14172 1307 1 8962 2675 3 16698 7616 1 2103 235 3 12654 1721 6 1666 3652 9 10856 2399 1 11786 3070 4 7592 3382 1 3384 1374 6 2267 4501 2 4208 1695 1 4733 37 1 8961 8139 8 9231 1424 1 9224 906 1 8965 222 2 14865 3473 2 13634 141 1 8225 2263 23 2710 1778 1 5147 2584 2 4189 7143 1 19759 3233 7 4056 2647 1 14384 1450 2 15530 1720 1 11663 3408 3 15908 998 1 17405 1283 1 12831 1824 2 6042 7353 2 2310 840 5 18994 372 1 11573 6673 1 2529 945 15 6139 6132 1 16600 6880 1 5267 2889 1 7361 514 2 18968 1303 1 11687 1718 4 3532 6198 1 15536 1275 1 6171 6682 2 3812 2626 1 1531 3991 1 16016 1417 1 10738 1775 6 8746 2620 9 14341 4357 5 13027 4557 1 4818 1760 4 9061 5768 3 10074 941 1 7740 3732 1 6781 1363 2 9271 2673 1 13797 6723 1 6519 1338 1 10371 5011 1 19775 524 1 7535 215 1 5515 2193 5 1631 2746 1 524 447 1 18967 3743 1 146 6697 1 16463 6481 2 4124 4635 5 4590 3182 1 3496 1747 2 2298 1271 5 10670 1760 1 2935 113 2 5160 2721 1 12835 4998 1 7933 8146 6 6012 3434 1 5143 1235 4 19975 3497 1 5821 935 1 12139 1328 1 10972 508 4 3358 4123 2 12837 1333 5 452 1234 1 3489 3244 3 7714 3081 1 7426 1453 1 16569 1752 2 11383 219 2 20 1345 1 17246 1717 2 8499 501 3 7526 7506 1 1312 1363 1 1049 878 1 16137 2559 2 4843 689 1 14212 4402 1 15137 6530 1 19159 1996 3 13461 7654 1 17092 230 1 4150 4628 5 18939 7232 2 9474 3621 3 14330 3333 4 17167 5642 3 8004 292 9 623 1819 37 1309 1251 1 2082 5525 1 11072 6716 3 3214 1707 1 16924 625 1 7503 7601 4 9686 5453 1 13537 2068 2 8211 501 1 2154 191 4 11678 7704 1 9753 916 1 17756 398 1 2104 2815 2 19156 1736 1 11619 5043 1 2021 1757 1 864 4297 1 1609 1369 1 11637 896 2 8383 6343 2 17342 1205 1 3703 1235 4 4893 2559 1 10559 8203 1 9490 1666 2 10032 2534 1 4320 1417 7 10349 320 5 17 1149 1 16322 1779 1 13329 1453 1 6945 1428 2 17703 3836 1 17833 854 1 15432 5375 1 8746 7411 3 19271 5573 17 10772 685 1 8946 899 3 8157 1814 1 8528 74 2 868 8143 1 8609 2552 1 19167 2564 2 15844 5468 1 14367 270 3 15711 3980 1 6134 2588 1 12925 6941 1 8019 1755 6 1171 190 1 13097 1715 3 11239 911 1 4421 200 4 10728 1921 1 10585 225 11 13402 6059 1 17302 4976 1 5023 5532 1 9722 1718 5 10097 3081 1 3154 7792 1 1586 2662 1 2385 201 4 10882 4929 1 7370 2678 9 5196 4373 1 115 5218 1 8906 5251 3 4828 1482 9 14688 6309 1 10876 1719 1 15984 252 6 1173 561 1 2176 481 1 14452 2502 1 16090 2721 1 14327 3333 1 356 3911 5 17647 7005 1 11095 207 3 15429 2665 1 3924 3357 1 812 4487 1 14114 597 3 2962 771 1 5866 4987 2 6712 316 1 40 2077 1 11602 5704 1 2830 7807 1 18200 6506 2 11098 3082 3 11461 1245 1 4791 397 1 12963 6314 1 16089 173 1 9279 1238 1 5645 1235 1 6251 7206 3 13683 598 1 9007 4372 1 2216 1783 1 12826 2416 2 16249 4005 1 6922 526 2 14144 1631 1 3890 3911 3 7182 1244 2 19056 6586 2 6892 929 4 19727 5257 1 3603 6777 8 5185 3275 1 2135 5488 1 11786 6164 1 8641 883 7 6305 232 7 19500 1747 10 1182 634 1 15429 235 1 10676 705 1 16048 1656 1 2267 5252 1 4758 7612 9 15549 60 21 17066 367 2 7918 224 2 4055 2892 1 3824 3909 36 4603 3367 1 18752 187 1 13 834 2 16272 7965 1 9214 3652 2 9001 2949 1 1563 1060 20 13195 3911 51 444 1985 11 13363 367 1 13700 3770 1 1 75 2 7397 3556 1 4819 2577 3 5176 498 1 12892 7210 1 19137 3699 1 18119 533 5 17682 514 1 9743 213 2 13117 7012 3 19185 518 1 7186 6762 1 18969 6984 5 18980 518 1 189 4304 1 174 1531 2 8728 869 1 17010 74 1 14290 5264 1 20231 1758 1 1634 3798 1 15098 1548 2 3846 415 9 12375 892 1 10575 718 3 11039 1707 5 9604 4435 4 18021 2356 2 9042 156 14 17257 3760 5 3996 175 5 15776 6560 1 5216 512 3 17083 631 1 16019 5989 2 9921 359 1 10143 5903 4 15893 3338 1 1315 4316 15 9519 8093 2 10510 196 1 6215 4088 1 16651 7660 9 3719 3916 1 1151 7532 1 14095 3792 2 4092 5905 1 16439 1814 2 18350 6040 5 7355 5018 1 17391 825 1 18471 1700 2 12208 231 1 19393 553 3 15103 196 1 5744 1748 1 10355 3911 3 6427 1850 13 5792 1718 1 15674 1356 2 16069 7189 1 5610 690 1 16259 8091 2 74 3427 1 18750 708 1 12833 4486 5 9093 4303 1 11158 5037 1 4572 1329 1 7399 3606 1 3367 6204 2 9039 3012 1 17608 5084 1 880 1231 1 11354 532 2 2020 1266 1 11585 3911 22 8086 1779 1 1674 1745 2 3696 1757 2 18258 309 12 16820 5750 1 593 1778 1 2369 2392 1 15502 1748 6 2925 597 1 3915 2651 1 10450 237 1 8988 169 1 6905 1679 2 19242 46 1 17661 1776 1 8782 220 1 13941 3138 16 62 2800 1 455 6676 1 18397 4403 1 201 1376 1 13183 481 1 18979 4716 1 8591 512 2 7994 618 1 3505 1770 1 14642 1415 1 14992 23 3 18747 5121 2 13821 6343 8 3751 5428 5 4663 1131 1 8595 1546 5 8458 523 1 12789 4357 1 11293 2138 1 18968 1665 1 7817 6667 2 136 5905 7 1782 5297 1 7184 536 1 10452 4078 5 12619 7809 2 13876 3895 16 7682 656 2 6404 534 1 4956 6897 2 18133 519 2 1325 4653 2 3622 1076 1 12184 1781 9 1286 1721 1 7507 1758 1 40 2122 1 10389 1214 1 19982 220 5 12278 3494 4 11699 6510 10 15926 1738 4 6188 4293 2 18306 6744 3 2401 541 2 15929 2495 1 5401 134 3 8210 3050 16 2106 3170 1 5523 363 1 4583 7953 2 16096 771 1 159 7246 1 2586 203 5 553 3909 5 124 5495 1 15740 1012 1 3759 6106 1 11306 474 2 17690 1328 3 121 5251 3 16951 4254 1 4266 7231 1 7020 1715 3 14157 1758 1 2886 134 1 78 207 1 3168 4621 1 13977 410 1 7656 236 1 426 2124 1 6024 8167 7 349 3368 1 4545 5020 1 16097 4122 1 6189 5700 1 7688 4489 1 12249 5102 3 18797 1250 1 4305 3733 2 12466 229 4 12152 466 1 4886 8141 7 3962 23 1 1296 1548 2 3110 7989 5 18847 2795 3 16532 8069 2 54 2585 3 13131 839 1 18296 2897 1 143 2269 2 16356 1991 3 17241 6922 13 863 2175 1 8614 6610 1 15948 1738 1 152 6835 1 9085 452 5 16686 1917 2 16039 1736 2 1301 3596 1 14011 5053 1 2716 83 1 8705 222 1 1222 2356 1 10836 498 2 14599 605 3 9082 3181 10 7598 7846 1 5266 893 4 15549 2748 1 19131 3626 1 3485 534 7 14552 6053 22 8930 203 4 10691 5140 35 7245 4307 2 5156 3772 1 7769 2951 1 6183 1247 7 11238 2789 1 14671 1111 3 2885 3163 7 19246 3894 5 14906 219 8 3146 2104 1 4332 1827 18 16249 236 1 2748 6578 1 4337 303 5 14321 2138 1 6779 7527 1 13967 4776 1 18357 1734 1 14808 3386 2 6866 3907 3 14959 2356 6 16770 3257 2 5823 514 5 883 14 1 2886 6957 1 8890 292 2 15398 930 1 7882 1946 2 12021 6414 1 219 848 1 10429 3742 2 8444 5327 1 12619 2903 3 10137 203 8 11134 1374 1 1763 209 5 15855 4411 1 13900 214 1 14949 526 1 5481 3275 1 135 518 4 20173 7591 1 6063 2938 1 7473 1363 1 19898 4612 2 11235 8081 3 9308 1706 4 2029 1147 3 9498 235 2 9439 1341 5 11392 5820 8 9222 7335 2 2224 6435 5 8439 2686 2 12615 223 8 6503 4252 2 16636 1133 5 56 1737 1 612 1356 1 6950 4523 1 9524 765 1 11148 2488 2 5266 8217 1 6183 219 8 10816 3670 2 12633 8195 1 5773 1439 1 13305 4245 5 12688 7719 1 7680 440 2 8832 3075 1 85 196 5 9523 203 7 20119 518 3 7753 1154 12 6717 1344 4 3048 5497 1 4948 3464 9 14939 1819 3 18530 2969 1 6644 900 1 3817 867 1 6881 4467 3 10517 5348 1 8239 7222 3 12278 1656 1 16502 1743 1 53 2575 1 9429 6414 1 3887 3689 3 15379 4202 1 10908 219 1 5947 519 1 6742 6557 1 3701 4501 1 7359 220 1 12574 508 1 8793 768 2 18475 709 1 10465 533 19 18887 225 4 4691 1298 4 10421 2107 1 174 8060 1 12970 3596 7 1389 4498 3 4592 150 1 19402 818 1 100 4534 1 15943 903 2 6662 1748 6 17895 2093 1 6451 2415 1 20062 7191 3 12016 1819 2 4547 1724 1 8358 1277 1 18363 4015 2 18042 1779 1 12818 167 1 18442 1275 1 9347 4042 1 18525 187 1 17257 2139 1 18698 1062 1 2710 891 1 7306 554 1 12932 127 1 16857 1502 1 18706 1819 2 11386 685 1 5344 5712 1 16036 6058 6 2917 1042 3 8129 604 1 13291 7411 11 10692 966 1 17500 300 2 6337 638 2 18803 2146 1 5273 1313 1 9156 1752 1 18015 7243 3 16935 2069 2 716 1738 6 11473 1990 1 1325 1781 1 18982 3674 1 1584 3163 6 7440 1710 1 10584 215 1 4810 2877 1 15357 23 1 11220 4477 1 6827 2147 3 6527 3710 1 9195 225 3 20278 1756 5 1171 5018 12 11402 215 9 10684 1610 1 8518 7253 1 16303 8230 7 8969 1363 1 3222 7719 1 11182 4789 1 3681 1249 2 873 6505 1 11550 1757 14 14564 6754 3 13773 3202 2 4525 2569 1 19359 5783 8 180 6704 9 5142 3045 1 9432 1054 1 15272 1252 1 17099 5611 1 10128 1719 1 12283 498 5 2767 4013 6 13318 518 2 17698 219 2 15055 1363 1 9689 5336 1 16127 1888 3 12757 6680 1 3000 4612 2 15952 4284 1 10245 7804 1 5987 2569 14 188 1482 1 5911 1985 1 19920 1784 1 5712 6334 2 9708 6257 1 2018 5329 1 17902 1955 4 11678 3382 1 18902 4684 2 4286 4978 5 10820 1776 5 18398 252 1 1337 4383 5 3632 913 1 12009 1717 6 15493 931 1 17120 1245 1 20025 203 1 6452 801 1 1550 519 1 15754 7473 1 640 1706 1 5203 214 1 9479 6994 1 16500 1825 1 4088 3216 2 8608 229 1 2575 1324 2 20114 6517 1 4688 3382 1 15742 4554 1 130 5817 1 1896 8167 1 10322 3979 1 3175 416 1 12996 6049 5 9652 3219 1 19707 610 1 14438 3911 6 11216 5016 1 17226 545 1 26 1570 1 17245 6031 1 13731 7622 2 14292 2665 13 2803 482 1 18418 4367 1 6420 644 2 19711 325 1 18436 3619 1 5013 8182 175 15199 5517 5 3581 3595 1 17 1164 1 12158 2333 1 18260 7753 1 12592 534 1 5326 4706 9 4536 5306 1 4428 6146 1 6332 603 1 13589 2053 1 15825 5297 1 10784 4435 1 17158 6710 23 7455 308 2 12009 2727 1 5798 7896 2 13142 6806 1 18189 2076 2 993 1757 1 13711 943 5 14493 1658 1 19159 1505 4 4571 1555 5 7445 3315 5 1730 2297 1 6332 5000 2 9598 3999 1 17000 2959 1 7550 6526 5 7367 4713 1 2710 1743 1 9321 3997 2 6987 200 1 20089 203 2 1173 177 1 13928 665 1 13109 2675 1 15601 3228 3 12667 411 7 7672 3575 14 5185 461 1 14845 1315 1 18370 207 1 8352 537 16 4355 23 2 7795 1734 1 10764 506 3 575 1361 1 19908 1176 1 8755 3570 2 17807 2798 1 10381 1235 1 2912 4245 1 3281 197 1 13335 1244 1 15009 6278 1 7477 3462 43 5859 7446 1 13422 5408 7 9190 3622 1 6644 3684 1 12244 3723 10 18232 2699 7 4677 6933 1 8528 1399 1 5809 4849 1 9319 6415 4 18524 95 5 4687 4341 1 1178 4022 2 19004 2443 1 11488 2876 1 2499 1721 1 13982 23 2 8439 1686 1 19921 7345 1 8859 2508 1 10830 2357 22 17477 2995 5 14813 5468 2 15227 23 2 11277 2662 1 16717 5182 1 4940 1904 5 5675 1748 3 10893 4457 1 1465 7525 1 18270 8122 4 1825 2908 2 9419 1825 1 14010 318 1 4831 1441 3 79 3539 1 15782 2552 2 4883 5127 8 9061 5306 1 14905 200 15 7455 2508 4 1722 5759 1 16140 4203 1 11614 8103 2 6152 1072 1 6483 3942 3 6403 4623 1 6628 7629 2 16381 1782 1 5447 5234 2 12791 2675 5 7609 3900 5 9936 6341 2 18633 4077 1 4583 3408 1 1488 3167 8 9429 1748 1 3189 7461 5 3496 506 2 10502 1990 1 5745 3220 2 7385 867 15 5253 1145 1 13009 3988 19 5003 308 10 11556 7523 2 4049 4160 2 11592 10 1 1136 8195 1 13647 2478 4 3491 1482 1 82 201 3 14885 3439 8 16500 1720 2 17165 2269 1 10998 3058 2 7306 926 1 17779 23 3 89 2150 5 9566 1687 1 8952 5800 2 13777 6073 2 19470 2354 1 16378 1395 1 20256 5959 1 3358 690 2 3207 7240 1 14055 7781 1 4979 206 1 3408 223 1 13015 1241 1 17932 7021 3 10309 892 1 12819 220 1 11928 4949 3 62 2955 1 1468 3474 1 6517 5909 2 10479 1425 2 20019 411 1 5723 4107 1 16901 219 4 19511 3113 1 14221 4105 2 19901 7352 1 15180 244 1 2672 669 2 9317 361 1 10161 108 4 7071 224 2 7952 2510 1 151 6805 1 18530 203 1 16073 578 1 15391 910 2 7909 982 2 10542 204 1 373 550 1 1853 2877 1 19057 187 1 9789 1929 1 8051 4203 1 8527 2143 3 1028 687 1 17743 6225 1 18339 7005 1 12390 4979 1 9390 2339 1 6781 7602 3 3049 4649 2 3132 1358 7 14526 3997 2 835 7101 2 5255 6289 3 9403 1464 1 12564 705 2 2899 6697 5 16038 4615 2 9088 6121 1 2180 228 1 9526 158 1 13999 3892 1 12055 796 1 15108 7116 1 17013 386 1 4963 812 1 15340 197 1 16191 6484 1 4389 5026 1 130 5956 1 10105 8122 2 4800 1238 1 9250 615 1 19872 4338 1 8514 5256 5 18526 5082 4 1262 3511 40 11935 4983 1 995 3175 3 14466 2801 6 7823 7291 2 19274 5258 2 5128 524 1 7538 3337 1 7464 2897 4 19763 7300 1 12322 6150 2 18692 1482 3 8716 1146 5 16837 203 1 10950 3840 2 9639 5686 7 8304 3442 1 7952 4842 1 15683 3723 1 16428 6325 1 9404 1695 3 5408 1760 1 12064 508 2 13267 3706 2 15073 1279 1 9695 2548 1 9188 617 1 12322 891 2 7282 520 4 3563 2508 1 16576 4296 1 17875 4924 5 15943 175 1 14700 791 1 16140 2517 1 160 7347 1 16279 1296 3 17998 4096 1 19001 173 1 8081 4041 5 15832 184 1 12868 6682 1 16857 2008 2 11533 2076 1 19710 5686 4 4921 1235 4 4092 660 1 9838 6713 1 8747 1740 1 10905 203 5 15600 7098 2 151 6804 1 11156 3273 3 7832 1747 2 13609 237 3 17392 1245 1 6836 5758 1 1194 4351 1 4412 1116 1 8129 666 1 11938 883 10 11428 1007 3 5216 1270 2 7962 1482 1 7282 4949 1 182 8184 6 5385 2917 1 11387 6192 2 12540 874 1 10728 169 1 11251 5847 1 7530 1739 2 9311 225 1 5977 3143 1 11705 903 15 18341 1806 1 19913 23 2 13613 581 1 9539 3482 1 460 1747 2 14647 1417 2 173 252 1 6712 869 2 17372 2735 1 16348 6246 1 11533 5950 1 11932 2357 4 13283 1729 1 343 534 1 2643 6072 1 16418 1707 2 15688 6772 1 18164 4622 23 5745 2708 1 19874 524 5 3214 244 1 2917 720 1 1693 7498 2 7008 4196 1 10604 885 1 4494 1537 2 48 2386 4 19872 5537 2 5818 2569 1 13535 1819 7 7789 330 3 17696 4098 1 1756 200 2 6889 507 3 19664 38 3 6150 225 1 456 203 19 13134 4572 1 11131 2991 1 6413 1703 5 17291 3056 1 16210 1816 4 17742 5243 1 13305 5566 1 5426 7182 2 8391 206 1 7188 3888 1 11367 2439 1 1746 5294 1 4449 1768 2 13642 173 1 7020 214 1 4706 529 1 8022 13 2 15708 7402 5 10003 4136 1 15676 6091 2 11064 1747 69 171 7653 1 5921 3492 1 8343 645 1 20145 4403 1 10036 6634 1 10381 222 2 2762 3113 1 18833 1273 1 11933 5066 2 15764 2714 2 5664 2678 3 7507 863 1 6603 1780 4 2390 3382 2 14679 1159 1 3826 5300 1 2056 539 1 85 1814 5 7405 7414 2 8143 3482 1 11072 1464 2 7213 3257 1 755 1745 1 17391 1770 1 18939 1705 1 15419 200 1 13492 5408 4 15948 505 2 14837 235 3 461 207 1 18410 809 17 9847 719 2 8499 6762 2 11086 1719 1 3549 4484 2 13183 5873 1 19545 8022 1 9301 136 1 11955 5875 2 9167 201 5 18281 6029 1 189 2817 1 19246 1112 5 3031 2908 1 13027 905 1 14341 6052 1 16690 1074 2 12576 1825 2 6907 1176 1 569 5051 3 5785 200 3 1794 1256 2 1362 2560 3 6926 5253 1 11965 2646 3 2898 23 1 18293 4404 1 1055 1238 2 12836 1244 1 12376 2675 1 6264 3697 2 243 3704 1 18226 723 2 19972 4274 2 4606 7255 3 2703 1762 2 8304 4369 1 9146 5793 1 2419 282 1 14694 2484 2 3175 1334 1 19410 3844 1 10160 23 1 11008 5252 1 6140 1150 1 18241 6065 1 17638 817 1 16873 2595 1 9201 196 1 8982 2998 1 10856 231 1 11367 2256 3 1961 7467 1 11314 6534 1 6061 2708 2 7873 7225 2 10907 4173 1 14710 6897 3 1043 7775 1 4756 1707 1 6556 4264 1 15184 4470 4 16839 207 5 7097 596 1 9433 2710 1 7184 203 1 10380 595 1 3189 4508 1 4386 7632 1 7142 3556 1 17868 2690 3 4898 7149 7 340 367 1 2413 1996 1 16918 3167 1 10203 1727 2 14233 4963 2 821 219 1 5863 1105 1 12392 2139 1 8343 4014 1 13672 473 1 18232 7878 6 863 6075 7 10270 1275 1 9522 214 4 10579 1348 1 7481 533 1 14611 6120 2 15468 6150 1 12677 3351 2 17772 206 18 4565 252 3 4471 4403 6 19735 1819 1 15103 7473 12 18501 1825 5 12817 4156 2 16120 3474 4 2109 7850 9 6793 1781 10 4000 189 1 835 4740 1 19822 4635 1 506 5004 2 2803 634 1 6982 219 4 13 565 1 13957 1747 3 19517 4877 19 10436 3855 1 10798 23 1 14346 4589 7 10165 810 2 12171 1610 1 18553 190 2 3547 1417 4 2466 171 1 13424 521 1 11156 1742 1 8160 23 3 82 203 4 1456 2718 1 5053 1775 2 18262 215 1 18398 6225 5 6016 616 1 16773 1437 1 10941 4807 1 19774 410 1 3337 7074 1 16354 1692 1 8973 411 1 1200 6252 3 7432 7149 8 15688 6185 1 6464 222 2 17088 1755 2 17384 1374 1 16846 1235 2 10339 1490 2 10309 2415 3 12913 1267 1 19629 6500 1 6855 4014 1 6811 5058 1 15629 822 2 13519 498 8 2353 2534 1 20209 5468 1 16068 7719 15 95 1954 1 13225 1247 1 13649 3573 3 11980 5505 1 16814 225 1 12423 213 2 232 3020 1 16036 4293 15 1618 1721 6 4052 470 3 1096 5018 6 7853 177 1 17 1125 2 16505 221 2 18193 235 2 12414 1781 1 13912 8071 1 8727 8146 39 1029 244 1 1389 6332 1 19401 496 1 11591 1752 1 2161 2889 1 12570 1537 1 9109 4937 1 5023 1369 1 6740 1819 1 10675 201 2 16176 3120 1 13913 6027 1 6413 1772 3 91 4105 16 10692 785 1 2234 5119 1 2284 173 2 17578 3535 2 20068 5325 2 14681 3227 3 4213 2454 1 14931 1248 1 17996 1762 3 3830 5922 5 8782 23 2 572 3703 1 17578 4916 1 18781 2146 1 4126 1796 2 9527 1234 1 14236 412 1 12570 8141 5 4107 505 1 11461 5851 1 5085 1248 1 12131 5943 1 9576 2920 1 6942 219 3 5254 603 3 14827 1755 2 3613 207 3 2186 175 1 10570 1235 10 5808 1772 3 5661 232 19 11550 1251 3 10399 6278 1 6091 82 3 3106 1781 1 4747 2671 2 310 4490 2 6987 5570 1 12619 1253 3 16667 207 3 3724 7404 2 7750 1781 1 10398 1728 1 13562 7424 1 11901 103 1 10127 2676 1 1711 141 1 6412 2863 5 18213 7857 1 10733 206 1 9678 3908 8 15281 4245 1 833 1561 5 3584 335 2 7312 7829 2 5305 1745 9 10061 6682 1 19338 5018 1 12322 1695 3 8089 533 7 11471 1471 1 13269 1712 1 9573 214 2 1838 3912 1 13928 870 1 11135 228 1 5573 691 1 12700 1284 1 18742 214 1 14652 518 1 14758 1612 1 10948 6259 1 35 1974 1 135 6173 3 20013 196 10 15513 3184 2 13490 4833 1 9022 1718 1 15974 7719 1 9816 3278 1 3799 1788 1 18177 4996 1 14002 5105 1 1872 1235 1 2637 526 1 17695 823 1 3801 711 1 7179 8022 1 4322 2821 4 1028 4531 1 10599 1146 1 4034 1374 1 6449 5649 2 9909 4606 1 8982 4383 1 3734 564 4 1291 2916 26 17159 7714 1 17088 1747 2 2803 2500 6 12606 411 2 340 1103 9 8249 378 14 10692 752 1 12199 7698 1 14351 8141 1 1273 3357 1 18402 1582 25 12548 1965 1 12350 1751 4 221 2424 1 12469 1736 1 19556 1275 5 10416 1357 3 3016 6170 1 4967 6826 1 1993 2566 2 4633 2338 2 3749 5261 2 8462 3511 1 3651 1824 1 15562 8145 5 7812 1142 1 4693 7101 2 16739 1235 4 10908 2662 1 12030 2490 3 4371 2369 1 5966 5120 1 11236 203 7 15409 201 2 15307 6485 5 12135 890 1 291 409 1 85 3904 26 14162 792 1 11169 3442 1 10670 303 1 2806 7948 9 7198 6137 1 18133 514 17 10883 2649 1 8441 5130 1 11489 1489 2 19892 2889 9 4706 335 5 1482 529 1 6269 203 13 6506 3172 1 16684 1357 5 15429 3570 3 1844 4203 1 10044 201 3 19867 5513 5 10677 8141 13 9891 3058 3 3495 6435 1 14791 1743 8 9511 2489 1 5029 2980 5 2966 2632 10 11769 5561 2 2501 5513 4 18679 6363 1 14786 1734 1 11430 532 1 954 3956 1 18510 221 1 19776 1887 11 7426 2269 2 10160 229 2 2590 1752 6 19209 175 1 12237 1722 1 3521 5513 2 8605 4643 1 1410 2058 2 6867 512 2 13647 7522 10 11182 891 1 3025 1761 2 18546 203 31 847 3645 1 10396 6531 1 1618 4435 3 18926 575 1 2210 1277 1 17962 1762 1 3434 2605 2 1773 232 1 2553 3391 1 12817 1253 1 9563 6979 1 8062 3903 7 8969 1756 1 289 164 10 346 5496 1 4662 5730 1 9595 3132 2 15344 219 12 8468 4819 1 10721 1632 4 5688 74 1 9959 1395 1 11598 367 1 3335 207 1 16869 3591 6 16176 6178 1 952 1770 3 7000 2864 1 4519 134 2 16850 2651 1 127 804 1 5200 7495 3 5453 1740 13 12523 220 9 6913 126 2 7469 7433 1 3471 173 1 13827 2354 1 18859 594 1 8723 1237 1 48 2387 2 11572 7825 2 19197 1341 9 19019 3600 1 5610 642 7 15082 855 11 12077 201 13 4181 3071 1 5639 2030 1 17918 4333 3 19246 6591 2 19990 1395 1 1437 4998 1 5980 220 8 3204 1282 1 4545 4613 1 10486 314 1 19466 1717 5 14245 5356 1 19760 1146 10 385 7407 2 15526 411 1 20273 6218 2 6983 3023 1 16096 5018 4 2338 7512 9 822 4211 1 143 6505 1 16137 2633 2 18681 2331 2 3661 4615 1 16245 6390 6 17300 23 1 12887 1121 1 13794 1416 5 3218 3389 5 20263 7254 1 2880 4307 1 13384 358 1 17049 1234 3 19679 189 1 5477 1424 1 3505 6238 1 592 377 1 10725 2349 1 1626 1237 3 1664 4582 6 16782 6946 1 18134 5538 3 16834 8054 1 2709 3461 1 10049 502 2 11911 3262 1 13185 1239 2 6233 2388 1 9957 2567 3 6755 223 1 8793 670 1 18410 905 4 11180 3512 7 9609 415 1 16780 3511 5 14120 1739 1 16467 1756 1 606 219 2 8391 912 1 83 3753 3 12104 6441 1 6217 5054 1 15124 1464 3 10219 1705 1 19435 7155 1 7354 1251 1 8118 3106 1 17276 1342 1 444 3523 1 1634 2068 2 16561 834 4 413 3910 1 1087 7350 2 5453 5882 14 2969 1825 1 5247 196 1 13574 3669 5 11523 225 1 15940 3378 5 8673 2528 5 2321 6106 3 4495 5996 2 11598 5767 1 1429 1760 20 2500 5165 2 16474 6537 1 18165 368 1 4733 8135 2 7181 5016 5 3441 3895 5 3306 8242 1 11723 5037 5 3037 336 1 10000 404 1 4095 500 1 2477 3546 1 2963 1508 1 12325 677 1 18140 3333 13 12280 7461 4 10525 7734 26 413 7073 1 1151 1696 2 5578 1707 1 18413 6656 2 13905 5393 2 2389 3015 1 12987 191 1 4627 498 2 15943 4009 1 11080 364 9 16906 2881 1 16886 5439 1 3307 3333 1 8241 6082 1 1606 89 1 13626 1146 1 1062 6434 1 151 6802 3 785 7823 1 5344 6019 1 15279 3352 1 6631 2559 1 1722 5762 4 14777 495 2 17135 2676 5 16494 595 1 5652 2056 1 1019 5037 1 83 366 6 300 6053 1 4894 2727 3 10604 650 2 2042 3862 1 8709 4287 4 18193 502 2 8969 2678 1 1727 2675 5 15502 1814 1 9597 184 8 12826 6890 1 3516 1837 1 2274 2118 1 9194 2748 1 8832 4302 1 18893 2019 1 7933 7402 5 18501 225 1 8451 1752 1 14162 639 3 11394 132 1 4311 397 10 19547 502 1 2698 6198 1 2328 252 4 5601 6383 2 1277 364 4 15824 6224 3 7274 1990 1 4542 1649 1 9141 910 1 7952 81 2 16355 957 1 18909 7237 2 17645 3979 2 15411 4284 1 13963 6343 1 15457 1660 2 18314 2632 1 9352 4132 2 14227 1146 3 5974 23 3 612 4385 1 11199 2649 1 14736 1062 6 15776 5097 3 6463 3851 2 572 3896 5 7181 203 4 6362 401 1 13430 2488 2 5911 7345 6 8580 7237 1 12289 6219 1 11218 6527 1 4681 1645 1 7606 184 1 12970 3050 4 13647 512 2 4147 581 1 4138 23 1 109 4961 1 17173 4595 1 13743 2382 1 14323 7881 5 3250 6716 1 11786 6595 2 1498 7466 32 5140 7229 1 7441 871 1 9027 536 4 13923 2355 1 15330 5018 4 13030 2829 1 12897 2058 1 6418 411 2 15235 524 1 10268 5018 2 12505 7602 1 16049 922 2 6164 1282 1 13032 1244 6 11334 702 3 12128 5804 1 11411 6868 2 14340 229 1 8286 1768 2 5433 2635 5 4960 1739 1 11082 4312 1 7994 678 1 18935 7404 1 6178 7018 4 6264 1191 9 2589 1057 6 5613 1035 2 17676 303 2 2313 2497 1 18751 843 2 5330 1278 1 6089 223 8 4784 6793 1 4596 46 1 15832 201 1 8255 5389 2 13195 1739 5 18198 1775 8 5481 3596 1 13388 533 1 17450 5260 1 1361 6018 5 2739 1237 1 9018 721 1 786 4427 5 11430 6204 5 14738 5206 1 1540 200 5 15676 2683 1 4625 4266 2 13014 7083 2 16346 5922 2 14888 4281 1 10805 1105 1 12809 3954 1 16971 223 20 15776 1780 2 13165 3805 1 6105 766 2 10038 4261 1 18561 1333 1 42 2165 1 886 3316 3 12619 215 1 13201 1814 1 2937 1827 12 2332 6093 22 17689 2552 8 5441 7392 1 5879 452 4 10911 1648 1 12777 755 1 16877 1359 2 9455 7515 1 16 1008 1 5493 2653 1 13 691 6 15920 496 1 183 682 1 12932 7911 1 15575 7213 1 130 5878 1 6913 3058 1 15376 1814 2 1612 225 1 5139 3027 2 11637 874 2 569 1247 1 8250 1779 3 1686 4093 1 11360 962 1 10999 196 5 10127 524 1 2135 5520 2 17716 7774 1 7170 215 1 9293 7051 1 4106 504 1 18309 1814 1 1171 4060 1 1739 184 3 6867 6059 2 17431 863 6 11987 2686 1 2216 2549 1 14900 2727 1 6955 1416 4 7439 7426 2 2231 126 1 745 1464 1 568 545 1 6617 5814 1 8598 2883 2 808 1248 6 862 4560 1 7126 5379 1 7305 1613 1 6703 2493 1 7988 3631 2 7210 8054 1 9629 6170 5 17723 235 2 9927 1356 1 2907 5325 1 3667 1244 2 6829 1685 1 1681 4536 2 9178 408 4 15634 3161 3 10883 6630 1 3813 4077 13 7000 1303 1 8091 4242 1 16554 128 2 5742 1146 1 6595 1730 1 18340 4621 6 16674 207 1 6665 903 7 11587 200 2 9614 1726 1 964 5575 1 2795 1342 1 6051 2737 1 3038 5425 2 15413 1755 3 17946 2686 2 18279 4249 2 6233 2955 5 2284 2369 1 3642 8235 5 7464 6435 2 6515 215 1 4498 7313 4 12468 8192 6 7726 1721 18 1547 1781 5 14963 1182 1 17645 1742 2 18980 1374 1 8459 219 4 59 951 1 10907 5004 2 2777 1825 2 15576 1251 2 7147 365 5 10536 2351 1 16288 2671 1 10313 436 1 11223 1681 1 13075 6051 6 17337 314 1 4878 6152 22 134 6092 2 9546 790 1 14003 6035 3 17290 4280 6 5695 2742 24 54 2631 10 11211 2004 1 18546 1742 6 16270 603 1 175 8133 3 5131 6238 2 7295 5488 1 15364 950 1 4755 308 1 11863 2369 1 9809 1956 4 2405 7235 1 3521 1250 1 18523 4379 3 2265 910 3 6790 207 2 9006 6013 1 15265 229 1 9346 5995 4 863 2923 1 15992 956 1 3581 2515 1 10829 4435 1 3397 5499 1 18014 244 1 18534 7832 1 2932 3669 1 4941 3937 2 15172 3466 1 1887 1092 1 8476 3619 5 1028 1121 3 1288 203 2 1630 4623 1 15007 5538 1 146 6696 1 10259 8235 1 11522 3747 1 13365 910 18 11861 4792 1 4572 4435 1 15952 390 1 13640 1740 1 6883 1740 5 8939 4948 1 7221 6243 1 13718 3715 1 5012 1600 3 4601 2229 1 15426 4385 9 7640 6500 1 12380 2348 2 9281 6623 8 13544 4306 1 7020 1374 6 707 6716 1 12606 1717 1 9385 1788 1 14561 578 1 19974 7512 1 15398 283 1 14957 259 1 19952 3250 1 17349 4694 4 8629 1643 1 9869 1721 7 14161 1464 3 538 749 2 4968 1464 1 12634 4435 1 6525 1761 2 15669 825 2 19782 1146 2 2020 3426 1 9812 7672 1 7604 4060 3 1723 6162 3 10843 2968 1 17053 667 2 8486 1682 4 19835 1103 1 20003 518 1 5849 8183 5 19923 215 3 10664 8113 3 2333 4435 7 14330 3671 2 6191 6051 2 9038 7633 1 13917 1121 3 9628 835 2 17995 6723 6 31 1747 3 5431 2636 1 12281 221 1 1713 2647 1 13419 7964 1 8406 2356 1 9586 1780 1 6795 5425 1 137 6289 1 6772 545 2 10733 408 1 7849 5083 2 9934 2878 5 5310 652 1 6860 5325 1 20191 381 4 6806 225 6 5117 588 2 6146 1819 19 5085 5513 1 2341 164 1 13205 1972 1 18472 2192 1 12499 5826 5 5662 1748 3 10316 3323 2 13700 2131 3 8585 3903 2 10815 6329 1 14993 229 5 15936 222 3 13302 1239 1 1780 1681 7 16442 1780 1 11515 340 1 11344 3787 1 2725 4389 1 1207 2444 25 8225 1726 4 17172 6380 1 16366 1342 5 532 6757 1 12031 928 1 9917 364 4 10080 5115 3 6057 3516 18 14126 1990 1 295 320 1 2743 6192 2 16476 2235 3 16462 831 1 11788 6257 2 11556 203 7 12029 825 9 9677 2266 3 5670 4274 5 7640 4609 5 6765 292 1 13800 1166 1 9166 4601 1 12470 3529 23 5588 5289 1 8652 2671 5 15812 3312 18 11853 1752 3 14862 5771 14 8969 910 1 2135 412 1 16063 408 1 8651 496 1 1466 1764 1 3921 3945 3 13084 1245 1 10815 3974 1 13023 5633 2 9412 3203 2 62 2940 2 7527 7466 5 6107 1779 8 10553 5260 1 3485 1363 13 12918 1363 4 5977 235 1 16491 3887 1 914 867 2 19508 1582 2 1915 525 2 10416 23 10 11253 1175 1 4098 3576 1 11183 4266 2 12679 222 1 12539 215 1 15573 5657 15 6183 1380 1 19741 35 2 1369 3685 1 983 665 5 4898 1146 1 1704 275 2 5703 1719 4 15777 7484 1 739 1739 1 787 2541 1 16057 5252 1 5898 4531 1 4687 7300 1 3025 1277 1 17630 5187 1 12821 2743 1 17494 6880 2 10132 232 1 18480 519 1 4012 6512 1 4533 229 4 4123 525 1 18326 4204 3 11616 912 1 4983 470 1 20266 3050 4 16330 2671 13 19775 5758 1 8088 3399 1 11414 40 5 11574 1743 2 2874 7498 2 18326 878 1 7336 8083 1 5860 7229 1 17076 6086 1 1614 3702 15 14669 2969 5 18258 3581 2 12357 1382 10 4492 1783 1 3436 173 1 281 5811 1 2071 942 1 19264 231 1 19975 2869 1 5157 1250 1 20191 892 1 814 5394 1 20082 1695 5 1086 6091 1 8033 214 1 15072 851 1 11678 3821 2 6413 1357 2 12159 1720 1 18325 7462 1 15750 557 2 11581 1313 1 10786 235 1 3930 5394 1 14540 1719 1 4898 7530 10 6006 3669 5 6840 3219 1 1586 545 2 12184 2027 13 513 3748 1 18021 184 1 2257 6481 2 3109 8153 1 8603 506 5 15979 1685 1 19055 200 1 971 441 1 18148 5259 1 16557 2633 2 12846 2369 1 18232 2575 15 14234 1880 1 15691 558 1 10225 4403 1 18278 3986 1 100 4502 1 7308 232 1 4045 541 2 1795 4385 5 15885 5966 1 17393 638 2 7688 1303 7 19238 3617 5 12217 1991 10 18755 1856 1 6021 6129 1 18064 910 1 18224 634 1 17579 1764 2 6404 3634 2 5389 81 2 18336 5058 1 124 94 1 4305 2945 1 8478 6473 1 15282 883 2 13071 6933 1 19954 202 1 13570 6153 1 11674 525 2 12912 4014 1 17599 840 1 10313 3552 1 17638 244 2 12470 702 1 16857 5347 1 17023 4472 1 10883 2246 1 6468 46 1 2669 2382 1 20054 3367 1 11026 8141 6 11786 6652 1 14839 220 30 16989 534 5 18512 2555 3 19200 3060 11 17227 2675 13 10591 5269 5 14647 1464 2 8526 5935 1 12121 952 1 13414 187 2 18818 74 1 4880 425 3 6994 1909 1 17386 3647 1 15430 3909 1 13234 803 2 7956 4275 1 14946 4314 1 6257 220 1 10311 798 1 13997 912 1 18287 1705 2 3817 518 1 17662 1719 4 18231 225 1 7868 395 1 10661 5281 1 11642 228 5 6769 6793 1 3434 1748 1 18379 6225 1 11306 3522 3 6541 7773 1 2678 7823 1 8532 1695 3 4806 2301 2 14388 7229 1 12817 903 1 5276 5086 1 8709 7616 3 13581 1295 6 12424 5098 1 7750 3511 1 5454 215 3 174 8068 1 14735 5077 2 4552 6597 1 13881 6779 2 1391 1295 2 6275 336 1 13535 4013 2 18014 4609 2 10452 3850 11 5425 7439 49 4667 1658 3 12915 219 1 4165 8040 1 11032 3442 1 6337 470 1 1472 200 7 13103 4436 2 11938 1814 1 10073 2354 1 9923 5292 2 12065 201 1 19014 1724 1 5859 534 1 8448 52 1 17078 201 2 4970 8127 2 11798 1700 2 270 1771 1 18272 1482 2 17383 347 2 3217 5023 1 5056 508 1 3934 11 1 171 7794 1 15117 6457 1 7723 1771 1 14218 6198 6 13032 1717 5 7835 2175 9 5176 347 1 2708 766 1 19700 5380 5 5344 6034 1 3152 2290 1 126 5698 2 2204 1166 1 8255 4363 2 11933 1757 1 18066 7809 3 4742 445 1 3261 937 1 11808 7466 1 15637 613 1 2917 3558 1 15106 2673 4 14921 867 1 673 6927 1 15280 23 5 4679 235 3 11065 1789 1 9232 7668 5 4566 928 1 97 206 1 14597 2169 2 9207 5466 1 8191 831 7 7991 2968 2 20228 1982 1 6420 4257 10 14628 2009 1 7088 6597 1 4086 1418 1 19047 5120 5 930 3143 1 4106 2588 1 13404 3558 1 5499 4992 1 14127 642 3 3008 4402 1 17500 545 4 15098 3138 5 3008 3460 2 1957 845 2 1590 2893 1 9968 5474 2 18068 2488 1 174 7862 1 6630 4447 2 17675 1246 2 358 3911 1 16131 5018 2 16887 7674 1 16818 173 2 4397 6470 1 2284 2494 1 7334 7671 1 12279 173 2 3982 1063 1 19295 2151 1 3852 175 5 9470 3899 7 18968 478 1 11533 3731 1 11 376 2 6057 1692 1 6166 4998 1 17992 3262 1 13544 4266 1 8965 1722 1 8268 1191 3 5318 3197 1 11957 2636 1 6703 2626 2 2197 4413 1 17067 1829 19 14501 200 5 12062 200 1 1136 510 2 3508 625 1 14951 7714 1 19182 1163 4 7944 3012 1 3442 252 1 1911 2930 2 11458 7681 3 7663 2721 1 3735 3438 3 18141 3338 2 289 6237 1 5198 1825 2 14632 1048 1 11367 207 1 19817 197 2 17120 1721 2 6457 2562 1 15398 813 1 17771 1825 5 5602 4314 1 286 1112 1 18826 4076 1 20090 2821 2 16378 1374 2 1725 6479 1 13827 1779 1 527 867 10 4936 1721 2 13694 5441 1 7267 6512 1 5714 1247 1 3343 219 3 16594 5157 5 7554 221 1 8833 5371 4 5464 4321 1 14964 219 1 3491 1786 2 11287 7916 2 16557 5487 1 17257 1421 1 6884 3516 5 14015 2064 1 14666 2865 10 16145 3911 1 1868 532 9 11764 3015 1 3401 657 2 4232 3484 8 2171 23 1 15055 514 1 160 205 1 7572 3021 1 167 6703 1 2727 7798 1 4575 6383 1 18410 23 65 4236 1788 2 4670 5994 1 15629 559 3 13328 5511 2 2666 1356 1 15764 6262 1 3972 2860 1 12384 1060 4 5775 3338 1 6894 1824 1 11058 2036 6 992 1334 1 9503 8139 3 5522 4979 6 4633 8137 2 19764 3666 3 16312 1741 4 4376 3334 1 12851 6457 1 926 3364 1 12858 3684 1 12149 7511 2 7013 8200 5 10219 709 1 5254 4972 1 19060 3164 3 7316 1994 1 552 1781 1 15171 2056 1 9753 455 1 15102 3512 6 3233 863 1 11277 368 1 3424 4458 7 16961 1507 1 5934 4761 1 4679 1363 5 6256 1407 4 4094 3370 4 6987 2860 1 4796 2795 1 19667 1295 1 9322 3599 1 16933 2789 2 11623 215 1 16787 6627 5 10462 2127 1 11616 779 1 7799 197 2 19386 1685 5 14695 3572 2 4239 1753 1 2212 6435 1 6526 7663 2 19131 4704 2 3521 230 1 8517 1990 1 14747 3511 3 10202 1814 1 10840 2880 1 19069 2563 1 17305 2407 20 1372 532 1 14598 6481 10 12501 1239 1 174 8034 2 845 1757 2 4320 231 8 13964 1250 4 12778 1460 3 2403 3061 2 4941 1361 1 15969 1784 2 822 1020 3 8831 1288 1 3663 2490 1 11 405 1 19462 3563 3 15314 5560 1 19319 23 4 12071 1385 1 3989 888 1 17580 3457 1 11857 2678 1 13089 214 1 6144 7840 4 13451 6475 3 1379 668 1 8606 1239 1 7224 200 2 16271 728 1 13508 4432 5 12969 1883 19 12525 7576 1 9642 1758 1 17633 258 1 18879 4739 39 16977 534 8 1760 7235 3 6063 4022 1 11736 5923 1 10290 1724 2 4158 197 1 9250 318 1 12014 6983 1 10916 574 1 9074 4019 1 6997 554 1 17675 173 1 19998 1184 5 1026 737 1 16002 950 1 672 995 3 10207 2673 1 19881 3315 1 2711 23 1 12553 411 1 83 3411 1 15152 304 2 1883 936 1 2013 6185 3 18276 874 2 11411 5018 3 15180 2789 2 10806 835 1 14218 5730 10 384 2138 2 15485 1769 5 18520 2143 1 12681 1253 1 2680 4306 2 4388 5832 3 15011 1700 2 14512 420 1 2341 252 1 18923 3556 1 17947 2103 2 16857 4299 1 4530 1737 3 13893 2935 1 3509 1789 1 11786 1781 2 10313 489 3 3756 3570 1 15356 800 1 10999 508 1 10026 7926 1 4622 206 15 18081 2362 1 16340 82 1 3249 3230 5 12817 3808 1 19177 452 1 1695 3637 1 20004 2356 1 13601 1369 2 10396 1603 2 2121 2675 1 6244 1770 1 5425 6957 2 9168 519 3 12667 514 1 5205 206 16 13291 1147 35 16426 524 7 16090 2657 1 3383 4060 1 17225 5532 1 15915 3203 1 5204 709 1 10822 4615 2 17693 2019 1 17933 5513 1 183 4540 1 5652 1728 1 10398 883 6 19206 4006 4 15936 5414 2 2177 2131 1 4712 6053 3 822 589 2 17283 4621 1 6501 1888 2 778 7682 1 15599 2228 1 11360 670 1 3982 428 1 9947 8036 1 17391 8188 1 2167 6753 3 11806 197 1 14805 2673 3 6867 7542 1 8211 1728 1 2059 753 2 6670 1771 1 7245 3476 1 14755 8127 5 11898 7538 1 13266 667 8 1488 3599 1 2272 498 1 7571 467 1 163 184 3 3915 2571 1 7792 8127 1 379 7051 1 7256 6091 2 18124 3298 1 12988 1761 8 7366 642 1 19336 1757 2 19341 1734 3 9920 1769 3 11952 8203 1 19648 57 1 4467 3318 18 17404 236 4 183 764 1 17519 205 2 11411 867 2 140 6401 1 18568 809 2 5380 74 1 9110 4992 1 19148 2292 4 13865 322 3 9930 221 1 6871 518 1 3432 687 1 1929 1606 4 18071 2721 1 3665 4043 3 7962 1707 2 5435 1261 1 658 4026 1 7498 6052 1 4223 23 8 1150 4275 1 5116 1037 1 7635 207 1 20138 1729 3 4708 3230 1 2338 7626 1 9168 1772 2 13522 4615 1 1571 220 1 20245 4421 1 1128 2241 1 2405 1333 50 11637 893 1 7736 8045 1 7000 6585 3 18741 53 7 9721 1237 1 31 74 3 3902 3972 1 8275 5517 6 10372 7407 1 9532 197 1 8836 853 1 8160 1768 1 5025 4385 1 8921 3511 6 16458 498 14 1800 401 5 4498 541 1 17698 1819 1 16709 7510 2 2023 1660 1 15940 4261 2 9497 197 2 9058 2552 14 18718 1328 24 16903 6098 1 10 337 1 12986 1770 1 18590 4056 18 13733 6702 10 1663 525 10 6563 339 1 19089 1721 2 6629 3480 1 592 2000 2 14154 787 1 10608 1738 4 8439 215 7 15263 523 1 15009 3732 6 16264 2982 2 17241 864 3 10670 2356 1 4779 540 6 1666 3009 12 97 496 2 7943 6120 1 5844 3023 1 15429 3414 2 20045 3820 2 7554 2918 1 15289 57 1 7226 6892 1 16394 7220 46 17645 7891 2 9342 5018 1 1376 356 1 561 3620 5 2119 6083 1 8620 219 10 19727 186 3 17968 1814 33 7914 6337 2 6256 84 4 8614 2750 1 10948 5427 1 2936 4623 2 18082 3 2 11114 5016 1 16366 1712 6 845 1296 3 460 1253 1 10856 1781 1 10671 5142 5 15996 6561 2 5494 891 1 9894 7406 2 1771 2691 1 17114 2020 1 102 4619 1 6145 5974 4 26 1568 1 2902 1775 1 4320 743 1 17440 616 1 14990 1571 1 1608 5757 1 4970 8194 1 16254 2704 2 19326 925 1 14286 6288 1 3887 1771 4 1027 8117 1 6004 6632 5 18909 196 1 5725 201 2 14908 6983 3 17585 5517 1 9393 594 7 10234 6091 1 7082 8170 7 10676 1277 2 3123 7586 5 3962 7850 1 5208 206 9 7263 8071 1 5131 6167 6 5936 3486 12 18847 3085 2 6126 1995 6 18366 1721 4 3710 1679 2 13264 5446 1 654 128 12 17184 554 2 2104 344 1 19454 4810 1 10061 3469 1 18797 1649 1 12892 430 1 20009 5353 1 16124 4984 1 16844 827 14 2116 4099 5 7293 3324 1 6213 2341 1 4925 411 3 1006 196 1 6228 1256 1 3765 2580 20 4102 6169 1 11591 310 1 3005 7485 1 11428 2722 1 16437 5550 3 5802 132 7 20007 232 1 70 3298 1 19264 201 1 19822 4984 1 17 1034 1 18408 6512 2 8947 6238 1 5478 333 1 5630 749 1 9670 413 2 8526 253 6 8736 3493 1 2253 203 5 9596 506 1 8960 1828 30 1719 23 3 8657 2155 1 11844 5105 1 7796 6152 1 4709 3343 1 199 4559 5 19486 1182 1 12170 2555 2 1337 1316 1 11763 590 1 9759 1655 1 10340 7279 2 2937 4436 12 10864 470 2 6749 417 1 11261 512 1 14896 223 1 5548 1503 2 5458 7189 2 1522 73 15 18681 911 1 6795 536 1 10783 1383 3 14211 1294 1 14492 1571 2 11196 201 1 20119 7606 2 4009 3888 1 108 4824 1 12208 7520 1 4791 1655 12 15791 4325 3 14202 883 2 1206 403 2 4663 656 1 7536 1686 2 580 1308 1 5017 220 1 18014 525 1 1663 3679 7 42 2211 1 8082 2497 1 675 5279 1 8036 7535 1 9322 23 1 11338 745 5 1198 253 2 3584 3273 1 3233 1060 5 11663 5686 4 13594 1475 1 715 3006 1 18963 7433 1 9561 3239 2 7814 308 9 12187 4245 3 5407 1783 1 14542 2019 3 18784 4199 1 8911 4724 28 14307 52 1 6817 2789 2 4589 2584 3 14786 6957 1 12897 903 1 14905 7672 2 18431 3070 1 15993 5257 1 3390 926 1 12717 1770 1 2413 6523 1 13804 1234 2 15471 7020 1 8405 6064 1 133 336 2 4429 5466 1 486 6793 3 10806 945 1 16857 1828 8 19993 6621 2 3485 1649 1 17105 3669 17 8989 1399 1 6612 206 1 1597 5446 1 9961 3086 5 1706 3378 1 15193 229 1 11170 5439 1 6359 765 1 18360 869 1 2474 203 5 2574 560 1 2348 512 1 16773 269 1 2783 223 2 13781 5336 2 16501 891 1 9143 3900 1 12550 3721 1 14758 3777 1 94 4289 5 3698 1623 1 4793 1819 1 8128 4761 1 4832 809 1 711 220 1 2047 1350 12 5488 203 4 4045 3176 1 9302 10 1 7336 232 1 6907 4447 1 7536 1776 2 12985 4653 3 2171 7220 1 14643 1530 1 15352 7871 1 12336 1727 1 6867 274 2 11632 3511 22 4663 640 1 2377 3562 1 4898 3888 2 1322 23 1 11543 1727 10 8554 1664 1 16592 6917 1 8872 8175 10 497 4369 3 45 2334 1 12821 1610 1 15736 1732 2 12733 3109 1 8952 2513 1 11411 3540 2 7613 4640 2 5010 416 1 11392 1931 3 14951 23 1 14566 4228 4 14218 2520 28 5994 219 2 10493 995 2 12350 173 1 13570 867 2 15289 6440 1 18328 1903 1 20092 200 4 19315 5642 1 8779 1589 1 11086 1728 1 1500 1356 1 5631 6640 1 14385 5783 10 8878 8200 7 6815 1644 1 20068 2352 1 19637 7320 1 17369 3317 2 16844 792 7 2905 499 3 18641 8113 1 12918 1374 1 8082 2114 2 12817 1194 1 18381 7850 8 4913 6892 1 9146 5929 1 16927 4938 1 15069 1722 1 19053 781 1 11998 1740 1 13 742 1 727 5419 1 10037 2459 2 19271 601 9 10086 207 1 2985 6085 1 3414 4615 1 7977 200 5 1618 206 5 15850 3463 1 4307 1717 1 8198 631 6 13349 688 1 8946 835 1 20012 5162 1 15419 219 3 2073 5451 2 9542 495 5 13965 6250 1 17816 2569 1 15833 842 4 17298 1909 16 18842 214 1 10854 5051 2 19729 2699 4 15390 6252 2 11928 2531 1 18899 5018 1 1886 3065 2 6152 3603 3 15741 1687 1 16236 3113 2 7785 318 1 10940 224 2 14777 6150 1 10590 574 1 18999 215 1 11022 5090 9 6903 1464 1 16474 1888 5 11158 1375 9 6848 525 2 20135 614 2 824 7511 1 1107 2626 3 525 758 1 17129 186 1 11938 4649 5 99 670 1 13759 4955 1 405 1508 2 4451 2677 1 6835 1304 1 20268 883 1 11902 6236 1 16399 333 9 15185 1252 1 6244 1686 1 6328 1248 1 2961 3221 1 9007 2374 1 11334 6512 1 20010 2971 1 5424 3000 1 13619 7946 1 3534 4175 1 8129 8065 5 1040 6391 1 18193 519 10 10422 5969 6 1525 10 1 8844 3649 1 7943 5949 9 8448 3411 3 19026 1295 1 5172 6268 1 15364 7953 1 1043 7693 1 3978 5109 1 11879 1416 34 5903 534 1 20233 5595 1 2743 200 14 6224 2678 3 40 2108 1 13445 3081 2 5719 7266 1 1629 8172 1 14572 203 22 2559 3558 1 6977 1685 1 13380 3285 1 3810 1751 1 13088 2355 2 8993 776 2 1028 4254 1 11559 1829 7 7780 3233 1 1976 4017 1 2320 5560 1 8481 219 1 6881 5686 8 2199 5180 1 1839 2559 4 735 578 1 3384 225 2 3991 1737 3 15911 225 35 38 1437 4 19660 7215 1 5244 3298 1 1265 6008 1 18081 5758 5 16866 5988 1 5478 8146 7 814 171 10 1665 5279 2 10772 225 1 10318 6027 1 9097 225 2 17916 4992 3 2607 2424 1 5263 3189 3 2364 4019 6 19360 2009 1 7260 3333 3 19833 2981 1 9725 3819 1 9609 386 1 20275 2823 2 14965 5674 1 15139 4379 1 13711 200 11 6727 855 1 9245 2728 1 13623 1664 1 6709 933 1 9347 2478 5 2404 6856 1 20256 6743 1 16080 411 1 19084 3197 2 13990 5043 1 5041 1880 2 1043 302 1 15025 3222 1 12124 1284 1 5574 393 1 5626 2678 5 7771 1909 19 15313 4623 2 7458 3304 8 1477 219 5 16442 5791 1 16943 7809 3 1521 1020 1 19842 2043 1 10103 8051 1 1361 1163 1 8394 2129 1 1296 2889 89 10018 7913 1 2734 197 2 14035 5494 1 16703 191 2 14558 5472 1 8005 183 2 8023 676 1 5532 1367 2 6057 1290 1 6806 206 4 12284 5044 1 452 3007 1 6773 4684 1 1438 1721 3 2542 2026 1 18027 7102 1 9596 2938 4 13626 1753 4 2221 314 1 19382 1757 1 8762 4040 1 6198 2100 3 496 1032 1 9519 863 5 9859 1207 9 9935 5243 1 13590 696 2 3189 6090 1 126 5672 1 3912 7259 1 4680 1295 1 8212 436 2 16346 4304 9 8936 682 2 16674 532 3 17420 200 3 16588 2398 1 508 3081 4 14890 4014 1 16857 1250 2 2985 752 3 15458 504 1 19067 3262 1 1397 7514 1 11093 222 2 16971 2969 1 7688 679 1 16767 7601 1 18698 4612 6 15159 1955 1 11388 3230 2 17924 6151 2 11131 230 4 2111 217 1 15398 752 1 12302 2727 2 7327 1342 1 15419 2617 1 13229 1374 1 11348 1827 26 4209 3428 1 9224 3845 1 13 854 1 4109 1239 1 171 7744 1 10510 1757 1 17158 6683 26 1852 1243 2 6907 1234 1 6183 5018 7 10169 709 1 15817 4041 5 11324 3222 6 4397 4392 3 13 626 1 9406 4623 5 11562 6684 1 593 207 1 12702 2 1 12286 524 7 3705 7215 4 17219 3230 9 17640 3522 1 19511 5414 1 79 3564 5 6753 220 34 1019 2571 3 11882 4144 1 2265 3671 1 14114 2011 1 18613 5538 1 17254 3526 1 1004 533 1 12302 1793 1 12322 1247 2 4231 460 1 5171 1350 1 4375 545 1 6366 2294 1 31 1789 3 12884 4090 6 12946 4312 8 5752 524 2 283 4436 1 18696 1275 2 20016 3590 2 1043 5951 1 4486 7927 1 977 3485 2 8370 3605 1 11312 3992 2 17319 5611 1 16956 4557 3 5366 5574 1 11839 4965 1 7535 4623 1 15426 10 9 16039 1814 2 6414 304 1 3134 4858 2 11122 4225 2 4913 2151 1 5433 4819 1 6094 219 1 14909 184 6 9245 3421 1 13152 3013 1 10036 7890 2 16802 1236 2 12075 761 5 17223 2051 6 15529 385 1 156 7158 1 16970 4119 39 20222 1245 1 6681 6434 1 11728 7402 5 2131 1184 1 3056 2415 1 14196 3256 2 13722 634 1 12237 1799 1 17578 6754 1 12949 5559 1 1258 197 1 8674 409 14 18701 5567 6 7243 5294 1 1433 1825 1 8153 168 12 6194 2787 4 9168 1721 1 7490 867 1 211 2269 1 18382 51 1 11495 2686 1 14896 203 3 11769 5037 1 18410 696 7 16484 10 2 17716 2777 1 18040 6440 3 3779 204 1 11272 3596 3 7092 1825 1 572 386 1 6907 2510 2 17987 7931 1 1997 200 2 15932 2918 1 16530 1035 1 2221 7452 1 3853 3318 4 12852 1110 1 9580 6534 1 13574 1627 1 15356 381 1 9865 23 1 10708 925 1 9941 2111 1 10869 1453 3 873 5255 1 1904 229 1 13042 233 2 16432 6053 7 10832 5874 1 9201 4179 18 6463 5007 2 11107 7895 20 1815 8140 1 7994 927 1 8126 2019 4 16570 2626 2 8261 2591 1 18441 5576 1 7358 300 2 1487 7438 1 6387 453 1 1231 1271 10 14767 1728 1 7240 6084 1 12550 4027 1 4044 8111 4 5937 2257 3 445 3081 1 1535 8041 11 15792 2355 3 13642 2411 3 5132 6047 4 3386 1747 2 20191 712 1 18434 3671 1 19210 5828 1 4670 3691 1 17302 1769 2 14568 5995 1 19649 4807 1 135 6203 2 14522 1801 6 14257 1046 1 5580 8026 1 17477 505 1 20046 1201 21 8819 6132 1 15722 534 2 151 6781 4 18053 214 1 11175 7857 2 9628 872 1 8340 6673 5 19054 8171 1 1857 316 22 2716 1681 2 19850 253 1 5723 200 1 2842 867 5 14440 852 1 3323 3421 1 6814 5407 1 8255 206 2 376 1761 2 14694 4945 2 10554 712 1 9250 670 1 1711 895 1 9827 2169 1 3133 7530 3 17988 685 1 15834 5864 1 6602 1531 1 8097 4563 1 8153 705 3 1520 1131 1 18285 699 2 13829 1249 1 15969 1244 1 13165 2868 1 12392 1752 1 10 336 1 11306 2242 1 1237 6259 3 6869 190 1 13116 7995 16 17736 5294 1 11634 2234 4 14815 1305 1 9168 508 1 1625 3043 1 2818 103 2 9781 496 1 2938 616 1 109 194 1 853 3827 1 13881 2746 4 18171 545 1 16065 1681 6 8636 2114 2 11 441 1 8914 1986 2 5207 258 1 15046 2768 1 16008 200 1 16121 2591 1 15790 2931 1 8728 839 1 15220 3469 1 3516 3400 5 8489 2421 1 3397 661 1 15974 223 9 14336 8192 2 896 1769 1 4525 7406 2 16470 4435 1 2420 4337 5 11509 536 6 20055 7030 4 3715 3614 1 11544 5258 1 16815 3714 7 20202 156 1 17386 6983 2 5842 7189 1 3235 6152 14 3873 222 1 828 3911 1 18721 4069 1 1965 766 2 4370 545 1 8568 541 3 1397 1819 3 14906 4963 1 8034 1698 2 13917 5594 1 4386 6793 2 11450 3915 5 13928 982 1 17652 1363 1 1712 3786 1 10245 4670 1 15530 1251 4 17850 225 1 2154 1960 4 12361 6404 3 13503 903 3 11898 5138 1 4052 1007 3 5008 6743 6 16857 1342 2 12690 4307 1 19972 1685 3 16185 2009 1 882 2605 9 1962 1191 2 17731 3333 1 15045 197 4 17088 7847 1 6584 4299 1 4577 4998 1 3424 1031 1 10245 1450 4 15315 4023 1 4755 1278 1 10049 1464 2 14573 243 1 3395 498 2 3116 5575 4 2442 258 2 14010 5256 1 2571 3803 5 12472 1775 11 4509 1249 11 209 1269 1 7916 1770 1 18510 1751 3 10036 6498 3 9178 1764 1 4570 545 1 19053 837 1 5619 1721 1 1539 4325 1 16951 6469 1 3804 5724 1 2712 2653 6 3729 495 1 5155 232 1 6109 4206 1 19425 4992 1 13591 1163 1 14139 8172 1 6707 3915 1 9178 6687 12 17485 5243 1 11367 3333 1 16618 7617 2 16348 6239 1 5769 2580 1 7029 1 5 6269 3212 3 15288 937 1 10737 509 9 891 1720 1 3057 6536 1 10325 902 1 11671 3444 3 11430 229 2 3586 5020 2 13312 5810 1 13014 6029 1 5863 4009 4 6651 206 2 8597 5800 2 3765 1825 2 11192 477 1 16730 7534 1 10916 850 1 1915 5348 3 1612 1146 1 15196 4614 1 6990 8122 1 5963 1342 2 2388 833 1 17090 4022 1 69 3269 1 141 1286 1 31 1749 1 6327 1745 4 9264 329 1 18757 4307 1 143 6667 3 5025 3333 1 16645 215 5 6261 7136 1 4859 225 2 19549 1370 3 7726 3012 1 5604 3233 3 1722 200 69 684 1727 2 2823 1649 1 7823 4199 1 12439 347 9 8015 3037 1 11848 2662 2 459 2827 1 19286 1760 1 16310 283 1 12595 1730 1 14898 1070 1 143 6622 1 14140 512 1 1528 2534 2 13126 1277 3 18899 1417 1 452 5903 1 968 219 1 20042 2602 1 16943 514 3 3106 7815 1 8647 532 9 6107 221 7 8394 1055 1 5773 2014 1 20218 1253 1 16994 2555 1 15881 7558 1 1783 1237 1 2962 2490 1 1188 517 5 12844 200 2 15426 3181 2 12208 6198 5 18353 34 1 10511 2360 3 12817 1152 1 16287 3888 1 6721 207 6 10020 5391 1 12441 409 2 9249 244 1 10682 512 1 2947 404 1 3826 329 1 2931 23 3 10472 442 1 11773 382 1 19774 420 2 1711 148 1 19362 203 1 5705 1681 36 4257 1311 1 20222 1642 1 19072 4557 1 7243 5905 1 17391 3073 1 17850 2863 5 11327 1164 1 18144 2356 1 4165 4607 1 12929 849 1 13461 1751 3 13922 244 2 6630 4867 1 16980 218 1 18681 951 1 13424 5614 1 15567 1648 2 14161 1729 1 17392 1705 1 17485 227 3 18377 3573 1 14233 6080 2 3324 3906 3 17910 864 1 9891 1342 3 485 4966 1 10921 95 5 3578 2307 1 8129 3629 2 13131 685 1 5805 6120 2 12856 3283 6 11861 1769 1 10525 2362 4 13190 1184 5 13020 1816 5 7000 5804 4 13640 1247 3 20123 6591 1 6697 5105 3 5896 520 2 1714 385 4 4905 1007 2 11750 3980 1 11849 721 2 1839 667 1 3366 982 3 6492 1736 1 17850 2344 1 19990 520 1 20145 201 1 1727 7719 1 2922 411 1 14992 2747 1 17764 184 1 19833 890 1 5158 8227 1 5316 1278 1 4832 4435 10 11723 2218 1 974 508 3 314 1995 1 15293 5018 6 12243 8167 1 1967 1661 1 3948 6687 2 9453 5294 11 1668 6677 1 14156 7736 1 6230 1819 2 20136 7404 3 3491 1342 1 2900 4248 1 3198 7468 4 17664 3876 1 5890 2104 1 8451 148 1 19052 437 1 2809 7308 3 4670 524 2 8046 7665 1 11220 4781 1 14522 196 4 7790 6482 1 1349 5407 2 13829 2727 3 19809 4245 1 15353 1395 1 2956 1877 7 12378 5208 1 10329 2710 1 20090 4673 1 15810 1363 24 19486 724 2 12 528 1 7653 4168 2 9967 1718 1 6332 895 1 18546 1827 12 16775 7815 6 11033 6132 1 15088 5758 5 5815 1722 4 13278 1383 1 6907 1035 1 6371 283 1 19165 3089 4 13561 229 1 14722 3081 3 10472 545 1 15638 1908 4 18174 214 1 16809 223 5 18524 3275 1 538 4543 2 2260 7131 6 1536 6500 1 9894 3221 1 3397 3396 2 16394 1332 10 13922 2352 1 17618 534 1 2801 2895 3 16108 2979 3 13397 4623 2 15608 796 1 19872 4623 1 7269 498 1 9784 5420 5 16700 186 1 10313 1238 1 16925 5930 1 4488 5538 1 10203 1610 7 11769 6615 1 5356 402 1 17682 5002 1 14988 3850 4 16092 470 1 10053 6225 1 4054 2549 1 18451 1333 22 593 3916 1 3307 1981 1 7325 52 1 3426 1739 2 14079 2626 1 11156 2979 6 10719 470 1 9038 4000 7 10360 328 1 109 4955 2 12777 4296 1 15318 525 4 17884 470 1 18275 200 9 12623 3423 5 1128 863 1 5132 1736 1 11060 1737 2 17488 500 1 15345 659 3 8118 3101 1 18743 1745 3 17647 3029 1 9776 852 1 13131 1775 3 13598 1769 10 16222 6012 4 15943 689 6 8174 2799 3 16730 374 2 13618 303 1 18399 200 14 7203 442 1 3446 201 1 7893 4649 5 27 1589 1 3826 2595 2 17728 221 4 7462 1647 1 16137 205 1 126 5606 3 1539 1784 6 15314 1738 3 98 4426 3 6144 2951 1 10309 592 2 1907 1762 3 2730 5284 32 13619 1250 6 4095 219 5 18186 512 1 3397 2584 2 19637 1669 1 15314 6675 18 14190 7470 1 11766 1737 3 3048 2806 1 940 1164 1 19875 1250 1 13983 1726 1 1799 1363 1 2198 232 2 10373 3949 12 13711 5826 1 9244 214 1 13627 2708 1 6273 964 1 7717 1781 1 19400 2686 3 4998 952 4 15159 2208 7 2643 201 1 3851 2678 1 6801 3361 3 15213 1465 1 4132 13 1 481 4307 4 18628 8067 1 11247 2930 1 7390 2342 3 11166 7181 1 16325 1772 1 977 6007 6 4494 4306 3 15874 2729 1 4389 7013 1 4309 4944 2 17001 5043 1 14400 1752 1 3483 762 1 17011 1236 2 15221 4796 4 4992 225 6 17563 1474 2 18417 2836 5 4946 1171 1 12501 1252 1 6852 1395 3 9937 1819 1 15708 156 11 116 219 1 7577 7533 3 3111 3957 1 8192 3525 2 18207 1243 1 13405 5704 1 13823 5567 1 15648 505 1 8560 6435 1 18214 205 1 3081 4996 3 3189 5327 3 4985 6053 1 16016 3705 1 4043 203 1 19521 1271 1 8255 5506 1 18431 6031 2 19486 2708 1 15205 2443 1 14234 353 3 11452 4998 9 13385 5252 1 1866 1374 2 3874 7296 1 2958 8070 2 18115 1582 2 535 3535 8 9066 1400 1 6387 419 1 19595 1090 1 5177 207 1 15751 1825 5 15599 3541 2 135 3021 3 4165 429 1 2200 7101 10 11964 1277 1 18733 3730 6 83 3869 1 14143 7938 1 13076 128 2 15302 6731 1 5591 2750 1 19913 525 1 1992 203 3 18149 1747 1 13066 6477 2 9373 34 3 16835 7530 5 11499 855 2 4268 3358 1 6420 5316 4 314 1721 3 1109 5820 1 19066 3980 1 8087 6897 1 16789 1236 1 10245 2897 2 6198 477 1 4093 5771 1 2111 1271 1 10498 3710 1 4691 536 1 5304 648 2 7375 8030 1 15791 4022 1 6130 570 1 9097 1990 2 8730 955 2 9169 6710 12 18431 3911 1 10972 2256 2 14445 205 1 13711 3589 2 7721 3557 1 5237 6064 1 12375 284 1 15841 2853 2 14079 2836 2 14255 518 2 9399 4312 1 1726 4029 1 10986 6330 1 3381 1991 1 13736 1748 1 18748 214 1 15576 5358 1 14522 647 1 8576 8026 1 14114 474 2 13302 1779 1 19040 3707 2 17815 3970 1 10060 1986 10 7485 200 6 19428 2001 1 17195 506 5 4662 2600 1 1836 335 1 5171 7591 1 15775 554 1 4539 2363 1 6541 2877 1 780 2889 6 12366 2426 12 5424 7266 2 1262 470 1 10353 103 1 13787 207 1 10407 1267 4 846 5064 1 19720 1164 1 13024 916 1 15939 598 3 9415 1450 1 14516 5574 10 17937 965 1 16768 1207 2 2305 1091 1 17977 545 10 10948 5565 1 2292 3163 3 17580 203 2 2619 5326 1 3424 724 40 16087 7740 1 1305 1764 1 19472 899 1 6445 1537 1 16834 7021 1 1425 5018 1 5009 5341 1 11314 4944 1 963 5346 2 18102 7819 1 6183 3888 1 18694 1453 1 8868 2735 2 15065 514 11 5663 3399 1 20133 5120 5 18526 232 1 4307 2831 1 16548 2027 13 10931 3510 1 12575 284 3 19673 3155 1 12232 1245 4 14234 827 6 2887 3059 69 2330 786 1 118 5237 2 8944 1734 1 7432 4789 9 16823 5411 7 9697 3462 2 16805 582 2 48 2432 1 1060 5048 1 16944 1946 1 14249 7586 10 18040 657 4 5555 5547 2 18921 5391 2 333 5556 1 6463 4251 1 19336 4013 1 15034 47 1 20261 1184 2 1933 3600 2 11297 1814 5 13069 1910 2 19056 6943 1 19111 2827 1 19990 1244 4 3532 5763 2 5244 5413 1 18115 3052 1 7528 6690 1 15791 708 1 18756 1263 1 15506 1518 1 19060 6599 4 3395 1250 1 9654 6053 5 1183 4944 14 130 5799 1 7254 4363 1 6524 1282 1 2772 690 5 18375 233 2 8620 7749 1 17 1177 1 18864 2935 10 18772 525 1 10687 1728 1 6394 758 6 7545 67 1 18590 7210 4 4991 220 4 4688 604 9 12632 3840 3 1919 1244 3 1402 3441 5 3261 772 1 18385 5393 1 9701 627 1 16635 5007 1 2185 206 1 11006 5591 2 8033 1296 1 1922 4403 1 12231 752 1 4228 8047 2 2566 1720 2 17258 1756 4 2204 1582 2 969 3778 1 17246 1752 1 10852 1350 1 14661 2665 14 2827 6099 2 14297 1611 1 9027 214 2 13619 4266 7 9724 3058 18 8609 1990 1 13734 7045 2 19636 1257 1 10692 591 1 9628 879 1 14996 2338 2 17139 1730 1 16742 871 3 10730 4022 11 2602 1288 1 17664 3511 1 19137 4540 4 19920 525 1 13994 1238 1 14301 296 5 18232 23 6 16698 3231 1 3110 2428 1 17171 5284 5 16192 1778 1 12283 232 3 13530 219 5 10513 1674 2 17762 11 1 10542 1768 1 13701 34 3 18474 194 1 1178 201 4 7099 4963 1 1709 5520 1 8839 3479 6 14759 631 1 12764 3512 5 10918 532 1 6455 2981 1 1858 4987 10 13299 891 1 7740 1903 1 9419 1784 1 20219 5133 2 10359 5996 1 19619 1740 2 4419 3922 1 18971 203 3 16259 201 1 10134 2105 1 2230 2127 2 15323 1999 1 8411 1718 6 3908 723 9 8859 2061 2 4645 4435 1 5341 1234 1 16600 624 1 10327 339 5 18000 3492 1 10163 207 21 16926 374 1 4629 5000 1 9446 2600 2 13781 1175 1 65 3113 7 8636 1548 1 5631 4333 1 11964 7265 1 6867 3974 2 20177 496 10 11700 2645 1 17135 5018 2 7817 368 2 6922 4643 2 12913 3419 2 20090 1103 4 12682 4242 11 12685 3972 5 1833 385 11 13360 1146 1 943 6706 32 1677 6065 8 10875 4269 1 19503 2508 1 19766 7342 1 16694 202 1 9565 2187 10 6420 1222 6 5449 4459 2 1130 4500 18 42 2186 1 10928 4472 1 11603 1465 1 991 7466 1 2784 2610 2 5926 184 1 8054 4351 1 7392 2931 1 4140 198 4 16431 3454 1 759 6486 3 1231 880 9 18860 2699 1 4534 891 3 15323 1760 3 1045 1245 1 18023 1893 2 18711 1116 1 19221 3756 1 15688 1248 1 8476 3483 2 14451 3750 14 9993 2013 1 7899 5837 1 10452 828 4 10311 341 1 19342 5077 3 10994 4355 1 1530 3298 1 14837 1363 1 15269 2126 2 9269 657 1 1834 1245 1 13448 8139 1 5053 4325 1 18197 1751 1 4462 2611 14 19000 3946 1 18170 4380 11 74 3490 3 16299 4849 1 15411 506 1 7699 4909 6 10948 221 3 13807 215 1 143 6580 2 18421 222 1 2423 4714 1 6154 3532 1 9463 955 1 16063 1307 1 143 6501 3 6883 2097 4 8015 3919 1 1852 1882 3 2529 597 12 16287 7643 1 10009 1529 1 1196 4007 1 6420 297 1 1296 3987 3 9442 1403 2 11118 2817 1 15629 662 1 11320 4716 4 17867 3021 1 7078 510 2 6650 742 1 7970 6268 1 8244 3220 2 9922 898 5 10955 411 1 7739 3972 1 13735 23 7 14147 1757 1 4115 153 4 18738 1146 1 10384 3161 3 16836 4740 3 727 792 1 17652 199 1 3110 7210 10 5306 3956 1 13829 2360 1 12496 982 1 152 6839 1 3329 1757 10 19145 1242 1 15122 3511 12 4264 2568 7 8539 640 2 18211 1239 1 1218 3078 6 10856 3682 5 13601 4458 1 5955 6106 4 10207 3600 2 17608 5058 1 10314 4623 6 9405 7931 1 17394 3389 1 3945 1955 1 4777 7965 11 7706 4929 1 14785 8029 1 2761 253 1 19055 57 2 18936 496 12 17326 6538 3 171 7773 1 11744 1472 3 7620 579 1 13735 1251 2 1736 7701 5 2382 1610 6 6622 7530 1 5681 222 1 2917 853 1 16471 1775 1 20095 6510 1 10441 470 2 12856 6793 6 7956 4867 1 10078 514 1 8091 1194 5 11968 5905 2 1864 7948 1 14824 1740 15 11 428 1 13295 11 1 6568 5031 1 15948 215 10 9015 1464 1 5246 1146 4 9584 7809 1 7065 2505 1 13 356 3 11826 505 1 7170 1482 1 13218 3233 1 2075 498 1 14162 3176 1 17610 903 1 1520 203 1 4424 318 1 18879 3026 1 7866 3195 3 14908 3337 1 19056 6949 1 9421 6107 1 8615 6031 2 15817 528 4 1706 6198 1 4691 1748 1 8571 7461 2 17681 1685 2 6341 1300 6 35 1981 55 2172 518 1 19509 2675 1 18938 4395 2 9071 6757 3 739 222 2 6894 2651 1 12897 2068 1 19115 525 2 6857 57 2 2873 2276 2 5378 232 2 9930 514 1 9445 2013 1 8153 7083 1 7193 173 6 12026 6658 1 3299 6355 1 143 6517 2 12255 401 5 6091 2443 9 1549 6192 1 2803 423 1 1653 1761 2 3491 5559 2 14478 5903 1 3931 512 1 19741 8083 4 6939 1062 2 15328 1967 1 17812 215 6 17628 1249 3 9697 7965 3 1866 173 1 5158 5223 1 14886 4375 4 9006 6694 1 15395 1720 1 11637 559 1 11098 5352 6 6731 5301 2 490 805 5 10320 4393 5 7306 710 1 4290 6512 1 12766 718 1 14305 623 1 15190 6943 1 11587 303 6 10916 4470 1 2818 3962 8 2249 8012 1 162 7387 1 4553 718 1 19217 1559 26 6259 6152 3 10832 4080 1 3988 792 2 18779 3545 1 8775 676 2 10601 532 6 18576 3916 1 8830 23 2 13411 1369 1 4519 2653 1 5253 1567 2 17906 1399 1 2985 243 5 3934 206 1 1465 5874 2 13835 7701 1 18350 4709 1 14845 1731 1 4550 4031 1 14358 1936 1 4549 6164 1 6038 2600 1 17184 4105 2 14350 5420 1 17645 3059 2 9737 792 1 10665 4917 2 18201 4801 1 42 1739 2 12685 4252 1 11837 7413 11 11515 1719 1 5245 1819 24 12988 3704 12 19826 367 2 18793 1342 1 5269 8036 1 10119 976 8 16303 2419 8 14861 4376 9 4500 8021 1 7101 6139 11 17525 1357 1 16594 950 1 11971 496 1 2531 7417 1 12690 4489 1 15025 368 1 18199 7535 2 12152 1357 1 2267 46 1 18014 7105 1 572 533 5 164 6225 2 6540 3276 1 19547 1251 1 5018 1814 1 19924 520 2 9154 3049 6 17331 883 4 19568 1719 1 9460 1698 7 1009 2869 2 15937 541 10 3544 7089 1 1598 6441 1 8845 3548 1 7207 2668 1 7432 1247 2 17961 423 1 19117 23 2 8501 4519 1 12151 5226 1 20007 3393 1 20057 5594 22 19456 670 6 12506 7146 1 8031 7013 1 1801 447 1 98 4416 2 787 3540 1 19428 2864 1 14813 314 1 788 16 1 1007 3293 1 14038 214 1 18350 253 1 19210 1779 2 2128 7704 1 5185 5252 2 13482 3233 1 18357 6064 1 19085 533 1 4486 3570 31 14791 1236 8 16847 6102 2 2045 1829 2 11779 3899 5 229 1819 1 5492 4277 1 12536 5105 1 5860 7964 5 13997 668 1 6731 5986 1 13922 1241 1 6197 2649 2 13575 470 1 8525 4411 1 20085 3171 2 9898 4675 1 15910 2392 2 4498 394 1 15896 2801 1 19272 385 1 12790 365 1 13293 1012 3 83 688 1 8474 5955 11 18262 506 1 4110 303 34 16645 496 3 5312 5879 1 10273 7719 6 9027 1748 2 14135 5004 1 11521 2602 1 19348 1184 4 4784 1758 2 4092 1658 4 2886 3255 2 18727 5018 5 3258 1275 1 2359 7446 1 11354 2142 1 2643 2918 1 19820 6435 4 11701 1909 1 1964 2686 1 57 2692 1 14946 898 1 1986 1781 9 13998 1924 3 12000 6220 1 7886 3693 1 3182 1533 2 4194 222 4 1839 7013 1 19748 3669 1 19675 2653 21 15542 2501 1 9195 214 3 2313 551 3 18509 5054 2 6752 917 1 9543 4280 1 8555 3283 3 8952 6695 1 8278 496 1 10102 496 1 8077 5331 1 5424 6588 1 12619 233 3 5555 3167 1 16860 4153 1 10236 1287 1 15960 4441 3 14578 2646 1 12007 7465 2 7796 8195 1 4688 557 2 20077 7652 3 15390 1631 1 7121 1249 2 14585 2971 1 6233 141 5 18207 1662 1 2924 203 5 19223 4029 3 9201 184 1 11503 200 1 5791 501 2 10855 6286 1 7955 3602 1 6319 6257 1 10973 232 14 2943 5521 1 18886 6664 1 20145 1239 2 812 2253 1 128 5241 1 3827 1363 4 17760 1253 16 1028 2958 1 2595 6716 1 12890 910 1 6505 2155 2 12231 304 1 7316 5994 1 10217 1764 5 3045 4698 6 10371 1967 1 6024 4992 7 13238 1819 2 12299 8206 1 10119 219 1 19849 6697 2 1461 3400 1 20093 3132 10 328 1769 1 5711 505 1 979 206 6 3739 1474 23 17088 1464 8 13876 4069 2 13058 5186 10 6537 2089 1 8479 1727 1 18792 228 1 97 222 1 19282 3232 1 992 201 1 12133 2989 1 2962 2479 1 7227 949 1 4554 2691 4 15150 412 1 3118 5260 1 12619 232 2 94 4120 1 1095 792 1 4327 523 1 16800 505 2 8849 4361 1 19431 1816 1 4240 1062 13 5431 5550 1 2081 1686 1 11866 3647 1 9476 207 2 5915 2978 14 14376 4299 2 13591 2098 1 13601 215 2 18922 1734 1 17887 2356 3 1379 2517 1 8194 7136 2 7823 7216 15 4305 834 2 8994 1252 1 2902 1342 1 9720 7218 1 16520 2617 5 14758 4665 1 4632 520 5 3106 1778 2 1553 3058 4 10290 1450 1 6769 6969 1 17932 5925 1 12618 252 1 16625 5018 1 11515 4950 1 19293 219 2 12717 3492 3 3817 1729 1 1590 565 1 16270 792 1 8610 1681 6 15969 3464 1 9306 3219 2 14881 789 1 2884 1666 2 5919 1772 2 13032 7022 1 10973 4903 3 5185 1324 5 15 992 2 13893 53 1 16612 709 2 56 2666 3 19872 1695 1 5817 7895 1 16733 6219 2 16121 6591 1 19690 1146 6 17283 2341 1 7455 7319 1 1143 10 8 7507 4029 1 9800 1718 1 7483 708 1 4632 928 1 6234 2149 1 11509 88 1 167 7561 1 7822 201 3 2133 1717 1 19415 215 10 16389 1416 2 1307 203 9 17168 3980 1 8615 6874 3 16378 1730 1 9628 720 3 11072 23 5 17989 13 1 4056 3101 1 5319 849 2 17884 1779 2 3150 3060 1 13 284 1 126 5682 1 18331 3206 1 10692 640 2 8746 1610 1 12771 4357 1 177 8157 1 4660 1234 42 11417 3562 1 8623 201 9 10692 854 1 1712 1113 1 1147 223 1 17014 7568 6 1660 1055 1 3613 514 9 359 5561 4 2599 7997 2 8408 2103 1 4572 1610 2 13697 6334 5 13730 156 1 12464 1246 1 15011 6783 1 9499 2645 3 5982 1762 2 9698 1133 2 15423 1781 5 14087 5874 1 19720 194 5 11451 3634 2 15791 1352 2 19809 1307 1 13880 944 1 2879 753 8 14237 2990 5 12648 1339 2 11352 6396 1 11763 1113 1 1181 2827 1 12970 5905 1 12540 564 2 8345 525 8 1082 2678 1 1625 1238 1 14707 1753 2 7990 5297 1 13977 553 2 6983 5612 1 4640 1827 1 16340 8150 1 14098 6098 1 10980 3308 2 6631 201 12 6183 8183 1 15220 1342 2 4108 23 1 11192 5814 3 4146 199 1 10615 200 5 1258 23 1 1749 1742 2 14130 5407 1 18573 8167 1 11374 6528 2 1398 5477 2 5124 3617 1 12072 5306 1 11698 753 1 6655 2353 2 12815 307 1 19179 1751 1 16539 2676 13 1689 6288 1 3161 223 1 15693 2143 2 7174 5036 2 2501 1239 3 18766 232 3 8920 7655 1 19636 7187 2 7841 213 1 10279 1241 1 16359 759 2 19502 1891 2 19137 2342 12 14818 8172 2 18705 1734 1 16493 1028 2 17850 6754 6 2197 7245 10 13403 4293 1 1198 7245 25 10730 2013 3 6332 766 1 17479 1253 1 349 3606 1 14344 1928 1 15362 164 21 5637 2661 1 2791 1296 1 14350 2276 1 19545 1266 2 10661 11 2 20027 1237 2 15530 1296 3 8183 664 1 2818 6031 2 16016 5273 1 7700 917 1 10127 7511 1 11882 3293 1 6218 5018 1 14947 2319 2 11418 5156 5 15512 5261 2 8730 148 2 19727 2917 1 13160 1732 1 16700 556 1 14207 165 1 16790 2363 3 3698 6541 2 2134 223 2 9993 2736 1 14970 914 1 3596 1740 1 7991 6674 4 16522 3570 1 17662 1357 3 6907 1328 1 10311 810 2 11 363 1 15648 2959 1 6705 7096 3 11297 13 1 8476 1727 1 954 496 2 2553 2294 1 19546 188 1 19026 4792 7 17954 5767 1 15364 3645 10 409 5269 3 10169 2173 1 13343 7473 1 10921 531 2 19286 1990 2 6414 128 10 11679 5018 1 15633 1146 1 18681 605 1 12202 5538 6 8749 23 3 14232 1313 1 9242 2352 4 15427 2562 1 18581 6197 1 18285 6902 2 12322 5408 1 2234 953 1 3309 798 1 4779 5418 1 8930 7888 6 14769 205 1 14380 2665 5 7179 4467 1 8969 206 1 9457 5157 2 9137 1508 1 16861 3493 1 5195 221 3 18534 3907 1 12232 625 3 2640 6260 1 9112 8126 3 873 1327 2 12739 2078 2 14264 6192 1 18481 4540 1 20193 3634 1 1522 3600 1 13684 4392 1 787 537 1 3985 3065 2 3536 437 1 18800 5137 1 1308 505 1 4708 8175 1 6202 1395 1 14617 1474 2 4784 6684 1 140 6451 2 6152 6520 1 14376 2068 1 11849 6294 5 9935 6680 1 707 3910 1 16530 1740 3 9079 274 1 50 2514 1 16132 355 1 4991 1727 8 6342 1775 1 681 3685 1 115 5158 5 16346 3910 1 2414 2935 1 9239 2600 1 5929 899 1 2917 600 1 7188 2614 1 4095 1296 2 3504 52 1 14005 4025 1 8377 3143 1 10099 2633 3 16787 6630 4 17436 2488 1 6722 5491 1 2261 2810 1 7566 184 1 17535 1770 5 17703 3743 1 6617 2495 1 14660 5325 3 6644 778 1 14522 935 1 14166 3781 1 15307 654 1 8821 1582 2 1149 5206 1 3397 2512 1 8462 498 1 13985 1119 3 592 2012 1 16292 3827 5 7490 1888 2 10856 4395 1 6164 4102 1 4197 3059 1 6010 168 1 6042 1247 1 11052 2490 1 2483 2591 1 3818 3522 1 10969 5329 1 13069 6546 1 12678 5756 2 19822 1474 5 7849 1363 2 17403 365 1 6731 4387 1 1332 2022 1 8140 1257 14 13176 200 1 10141 7292 1 303 1788 2 18119 283 1 9947 1303 1 3367 4816 1 6471 2423 1 15530 6238 1 18040 225 1 6866 6677 5 15192 691 1 2584 2494 1 8447 2444 2 18275 1244 1 3715 6442 1 1539 7570 1 10175 1990 1 2174 205 1 12634 38 5 3304 8065 1 15054 1166 1 8580 4275 2 15742 687 1 16788 7216 7 3491 1282 1 14700 1946 1 1270 34 1 8971 3331 1 16546 5874 2 14717 6132 11 11945 1244 1 18431 3391 1 14123 1313 1 13374 4446 1 7182 2973 1 2023 94 1 13046 1775 1 7802 520 6 5447 3854 1 2704 944 17 5428 1955 1 4284 2355 9 1171 1784 1 14996 1779 1 15106 6564 1 17675 303 8 4773 3798 1 9197 46 4 7951 2030 1 18476 5804 1 18878 4623 1 3201 4944 1 8426 5602 2 19918 471 2 14767 3671 1 18067 7618 3 10144 4636 4 14968 3697 1 9383 512 3 5602 6224 1 7455 2555 1 10267 244 1 6707 2563 1 18405 6697 2 13983 336 1 5539 6228 4 9965 6826 2 11411 1234 1 3424 470 20 11519 4268 1 2947 1112 1 696 3590 1 19667 916 3 1464 6021 2 11938 2356 2 6647 4397 1 381 646 1 3941 4447 1 188 1707 2 7263 8057 2 15817 4366 2 16036 7522 3 7113 4385 1 16561 680 3 7780 1741 1 17953 2401 7 9369 34 3 13572 3723 1 4608 2887 5 15104 3511 1 520 4351 6 4960 2626 8 4620 2555 1 14437 5047 1 15737 6480 1 18069 4794 1 9937 1380 1 12322 470 2 7780 5257 1 16196 4333 3 7780 2361 1 3245 8137 5 3078 2635 2 15243 7146 5 7194 6011 1 1730 3972 1 6727 1737 1 4593 788 2 16491 862 1 13177 4941 5 3817 2325 1 13077 1445 1 11510 292 1 12350 4998 25 873 942 1 5424 1411 2 17567 6527 1 12800 6212 1 2403 4366 1 5981 411 5 6183 397 1 18740 2443 1 4493 4228 1 14753 3698 2 19319 3156 4 19822 1667 1 10078 470 4 17922 2958 5 18575 2353 3 18923 3077 4 3663 2000 1 12328 4916 1 6478 2363 5 15664 463 1 7498 6591 1 13821 3337 5 15057 2789 3 2873 1990 1 1852 5543 2 6235 4267 2 16497 531 11 7319 7653 1 9196 3167 14 11055 2342 1 11122 3016 4 7176 2555 1 17379 1395 1 2701 1664 2 12755 1296 1 15661 4563 26 16090 6259 5 10988 386 1 5301 7976 10 121 707 1 9857 3871 1 14400 498 1 9622 2367 2 11516 4606 1 17887 532 2 12384 23 3 9207 5584 1 10000 358 1 8388 2307 1 18488 3590 1 6183 84 1 1422 1625 1 17953 5105 10 133 6023 1 11663 222 23 13425 451 1 16249 4470 1 13779 1364 1 1650 220 1 8198 536 4 17553 497 1 15750 586 1 10531 7222 1 8532 1726 2 3842 1727 1 10189 1240 1 14778 173 4 6563 1015 2 3485 1775 1 8982 1719 1 1594 6334 1 138 6302 2 641 533 1 8859 1238 1 6830 2343 2 13683 693 1 9061 1035 3 124 5404 1 8 230 2 7135 2686 1 3048 2246 6 5548 523 1 10942 7178 1 10146 2678 1 15323 1819 1 10553 409 12 15272 215 2 13252 3960 3 8622 2008 1 11028 3338 1 9187 6394 4 15392 2617 1 12392 7112 3 18357 1253 1 17781 215 1 15419 2068 1 18897 6806 1 11742 7241 4 2902 910 1 5585 2341 1 8585 1239 1 992 23 1 5288 1714 1 2960 495 1 11899 1251 1 3296 1665 1 13638 5490 2 18544 274 17 12209 207 1 842 5897 1 9787 4378 1 17896 8154 1 17932 3510 2 4050 1275 1 5688 84 1 16587 3515 1 10360 5715 1 10498 3239 1 9603 1751 1 15156 201 24 12351 637 1 14231 1342 1 16673 2591 2 673 2720 3 3007 2424 1 16698 141 1 963 169 8 13647 1975 2 3815 625 1 1464 4435 1 10125 200 1 3563 4246 1 7705 267 1 19063 3492 7 17664 1244 1 11108 4298 1 8793 962 2 7780 3472 1 18281 44 1 11 359 1 14150 3994 7 9833 3345 1 12012 6337 1 16096 2871 1 6853 2508 2 19850 1518 4 6063 3056 1 11863 3939 1 384 2081 4 19030 1904 1 877 6000 2 8808 7596 2 5963 6204 1 10223 1644 1 4995 3332 10 9445 222 1 9014 2649 1 14757 4623 1 11576 1718 1 8350 2665 7 19331 5054 2 8315 197 1 5453 1757 23 11411 200 14 6123 1740 5 15283 203 43 9212 1193 1 8286 3823 1 10999 2582 1 13649 735 1 8614 2424 1 14114 567 1 9596 2885 1 3048 5600 1 18797 723 1 689 4944 1 18672 2595 1 13727 219 2 8175 1751 1 16676 1146 2 7147 1095 2 1969 2964 3 13928 534 1 16727 244 13 12519 5325 2 13736 222 1 15850 2338 1 19719 2150 3 3131 1423 1 9117 4643 1 11942 5064 3 5588 6259 1 6412 612 1 12181 2327 2 4097 200 7 7246 1764 1 11364 886 1 4020 8117 1 17273 6355 2 177 1721 1 15025 7201 1 5875 2377 1 16185 2488 1 1858 1388 12 19470 46 1 9212 418 1 19023 470 14 3790 6200 3 16921 3515 3 2959 5016 3 1337 1344 2 7463 416 1 1816 4392 1 16878 6334 2 10203 4010 1 4305 840 2 7823 244 8 2128 1324 1 2922 4351 1 7700 852 1 18334 5538 1 10396 5916 2 12821 1656 2 2234 1727 1 14445 2342 9 11804 6341 1 11131 153 1 13870 1450 3 17140 6639 1 16388 762 1 10902 6912 4 15980 4992 1 542 5018 2 8794 1453 5 2113 4403 1 16322 505 2 19593 4702 2 8641 1827 2 1665 1228 1 11551 5248 1 13928 816 1 13202 1962 1 2266 4411 6 9597 863 5 62 2918 1 6958 437 1 2250 4980 2 8075 8121 1 18 496 1 5041 2735 1 6303 2118 1 16860 3874 2 15775 738 1 9791 225 3 4259 176 4 13475 502 1 16790 1244 1 12200 6565 2 17179 2734 10 18762 1717 6 20126 4355 1 15295 3619 1 15113 903 1 5270 2441 3 14826 3219 1 6834 2363 4 2091 624 1 11089 5565 1 10855 1383 7 17019 303 9 20218 3293 1 5171 975 2 17024 3906 1 4454 982 1 559 554 1 18116 4589 1 10027 229 5 5185 7417 1 7486 1331 1 6131 6105 1 14289 1209 1 14960 892 1 4735 764 1 3376 23 7 11243 5414 4 574 7829 1 8982 2993 1 12140 1758 4 12692 6435 1 7570 2206 6 14404 1770 4 4120 6139 1 2015 411 1 2382 7964 1 4092 203 271 15975 200 2 14798 8050 5 85 2969 5 1456 1965 1 18968 2486 1 14046 2252 1 14750 5354 1 11020 666 2 4583 788 2 4382 506 1 12311 8045 1 18184 156 1 382 4014 1 13829 519 2 1145 2109 1 19659 6986 1 16570 4107 53 325 2419 1 18866 8012 1 4239 2355 1 7284 2686 1 8269 865 2 11343 3547 2 417 3228 23 16903 1724 4 19760 2351 1 18981 536 4 64 2362 2 4314 1252 2 4259 1234 5 16506 2355 1 5875 7216 1 4886 1307 2 18871 4366 1 5266 5323 1 10325 4708 1 6064 1239 1 7620 5397 1 8597 458 1 5234 4622 15 3392 1464 15 7089 3558 1 15722 233 1 14287 7447 1 13626 4245 5 16881 1249 7 16280 399 1 17025 1728 1 19290 1995 6 4265 2555 1 4234 339 1 8110 3853 2 7994 6085 1 11562 6036 1 10569 1717 1 7791 42 6 7970 2076 1 18193 1705 2 1045 1781 1 5738 1691 1 812 1495 2 4444 762 1 1599 7474 12 18657 7138 1 4004 224 2 19872 6554 1 15821 4459 1 6223 628 2 19380 8022 1 17535 206 1 19056 496 1 13789 7537 1 19686 5212 1 10036 6152 1 11842 2675 1 6660 2419 1 7380 288 1 7530 1920 1 1038 200 1 14005 5097 1 2905 1871 1 8905 132 3 16424 2428 1 10772 2424 1 14824 5349 1 15319 4980 1 5441 1453 1 6508 2767 5 7821 1745 5 9445 1453 1 19565 600 1 2625 6828 2 8441 1169 1 2112 6080 1 13705 1775 1 10916 649 1 6459 3338 1 17110 23 19 2584 1758 1 745 5804 4 8548 214 4 4779 10 1 888 663 3 1137 763 1 4068 2708 1 2198 2382 1 7952 6363 1 19428 3699 2 1796 6702 6 13480 504 1 6416 2520 1 3172 3620 8 17633 2711 1 7245 1779 1 1940 1721 7 13797 20 1 14001 128 2 2645 6564 1 4735 893 2 13535 3058 3 17120 903 1 14778 861 1 15180 5897 1 9224 953 1 15140 4661 1 13899 219 9 524 196 1 1811 214 1 16865 3163 5 17688 197 1 16137 6713 2 618 3915 1 821 5814 2 17466 6139 1 18400 206 2 3759 6176 1 14546 502 3 2917 2722 1 12 206 8 9021 3909 1 15674 184 2 14522 728 2 15091 6839 1 12367 3338 1 6793 219 1 15009 1595 1 16786 6100 3 1551 1731 1 3397 5132 1 4462 1523 6 13461 1334 2 9178 524 2 19602 3039 1 17746 605 1 19217 3802 2 4022 6576 1 4845 7206 7 10049 225 4 4506 215 1 17 1179 1 17037 4703 2 6912 1773 1 7310 46 13 16881 5487 1 20090 4304 2 7570 380 1 14087 4392 1 11956 6091 1 11545 7455 1 15849 1707 1 4525 2355 2 19612 5346 1 1608 5266 2 15634 4949 1 6214 392 1 3551 190 1 20225 584 1 10553 3389 2 6166 397 1 11807 152 1 3258 225 1 31 197 3 16490 4014 1 7568 1711 7 12762 222 1 71 1207 2 18871 1305 1 18821 4534 1 10874 334 2 11626 199 1 8969 196 13 20248 7412 1 10071 190 2 15270 2743 3 17245 519 2 10151 7157 1 7823 1253 14 5644 502 1 18814 3411 1 16184 310 1 5635 1146 1 18604 4411 1 10498 1348 1 9216 100 2 16806 1909 1 7933 6610 2 3796 955 1 5276 6670 1 409 6259 1 10369 1739 1 85 3540 15 3122 3856 1 1422 219 10 8242 1184 12 14741 4620 1 18206 2056 1 16531 6174 1 18417 4020 1 7871 205 4 1137 707 1 12823 248 1 10575 6634 1 2461 1686 6 19902 4591 1 9485 803 1 2531 2114 1 18409 156 10 5312 1245 1 7397 4435 1 11615 3074 1 11404 626 2 16830 2912 1 7883 316 3 15343 532 1 83 3742 1 15970 631 1 5322 165 8 3491 1975 12 9767 1146 4 6039 4314 1 7658 201 1 1517 787 1 14015 581 1 2886 5294 1 6397 6204 7 4552 2641 1 466 7222 2 14196 2362 1 12602 2881 1 3440 4446 1 3018 1726 2 668 723 1 1520 2949 2 10176 4640 1 5052 1909 1 14519 223 1 8218 203 2 17626 7260 1 6064 4208 1 20224 225 2 633 8174 1 9316 2480 2 13213 1505 1 6634 2600 1 9141 2969 1 3222 203 2 67 3224 1 5247 3911 2 6301 5120 5 10360 1711 5 17771 203 26 5548 219 1 16817 7898 1 8517 5513 12 12853 5405 1 17665 2356 5 19030 8139 2 10738 7234 5 3690 2691 5 2313 6964 1 11397 6983 1 9459 23 11 17052 4351 1 16023 1814 1 9670 4284 4 4686 5351 1 1889 2063 1 10777 3858 3 605 7423 1 19246 4673 2 42 2221 1 9894 3578 1 15703 3464 2 17284 2650 1 7129 1781 2 14410 3640 1 14600 7674 1 14542 2605 4 108 4898 1 100 4530 1 12190 7830 1 3486 629 2 5677 650 1 6464 225 2 9718 747 1 4256 3333 2 5263 4470 1 5285 2878 5 9472 2219 1 121 2013 1 8088 1211 1 11020 505 1 12158 1909 1 7800 2881 1 8350 2432 7 3122 2002 1 16484 4944 1 6307 1146 2 6819 1737 1 14500 1747 1 12619 3061 1 2261 194 1 14808 4597 1 4444 3983 1 15059 1484 3 14227 7542 4 17250 4616 1 19203 401 1 10102 7948 5 13857 1757 2 11479 200 5 6473 6414 14 2087 527 1 7096 7719 1 6439 1275 1 1277 5389 3 1572 1315 1 8266 4333 1 135 1743 1 12343 1338 2 18067 7797 5 18175 3851 1 4881 220 1 14722 1334 3 9194 1752 1 12725 7358 1 10014 200 4 16236 1772 1 6890 5171 2 10444 5265 1 10498 379 1 5540 1729 1 5645 201 2 19999 6268 1 130 5907 2 73 3355 1 8528 187 1 12351 7522 6 710 2511 1 8097 6711 10 10720 952 1 1068 871 1 4632 681 5 13306 232 1 6922 2676 3 17271 4429 1 7006 7073 3 16836 2735 1 16245 2318 1 9192 207 10 18638 303 1 12391 6705 3 17100 5505 1 4726 4713 1 19759 230 2 16090 7271 3 2704 378 1 17500 2349 1 17725 7085 1 5943 5972 1 7969 3244 3 13433 5004 5 9279 1743 1 349 962 1 18040 2097 6 1344 1246 1 18132 3602 5 6329 5266 1 17638 659 5 7910 6130 1 9485 1399 1 9684 518 2 7550 6595 4 8050 189 1 4698 7308 1 2271 2501 1 8530 2491 1 5158 4340 2 9590 514 1 9468 2671 1 4 140 5 14993 2386 1 15672 618 1 4412 2949 1 4572 4727 2 12623 3880 1 9971 7570 1 12988 1804 7 3397 5560 2 3281 74 1 14060 3666 24 13637 733 10 16200 7503 2 18876 934 9 12145 5234 2 13 593 1 12843 1150 1 4462 4796 5 6810 3294 3 6335 4107 1 18174 727 2 822 3410 2 10107 1342 1 14207 3602 1 3397 2341 1 11370 2262 7 12913 742 2 3630 2507 1 4561 1395 9 12726 186 1 12897 756 2 19263 4280 13 12626 7450 2 4030 575 2 2795 1768 1 19137 5253 3 4170 4924 61 5259 7397 3 6913 4245 3 3337 801 1 20107 4998 5 16109 3511 1 9655 5099 12 9308 1814 20 15528 2352 3 13014 1737 2 9889 1062 23 9184 3021 1 10452 794 1 11371 5060 7 18601 222 2 8415 1296 1 2990 4015 2 3337 4681 2 18739 6057 5 6695 1529 13 9861 385 1 15849 5559 1 4234 1991 2 14566 3747 2 2646 2584 2 2560 411 8 711 7224 1 7790 6481 2 10185 184 1 14738 3510 1 4688 873 1 1311 84 5 16857 3571 5 3672 200 10 7652 524 1 4493 3326 1 18377 646 1 12126 3647 1 5515 1932 2 786 3109 10 11158 6355 1 16123 5018 18 8519 2580 5 4688 791 4 15679 1458 1 19788 3562 1 14668 225 1 16700 641 1 9440 7136 1 8514 223 1 11472 7294 1 13201 1734 1 12187 1362 1 13148 412 1 171 7652 1 5637 2675 5 10360 1135 1 2198 201 16 11839 2352 8 19401 3145 1 15935 23 3 12371 2618 1 9937 221 4 812 2488 1 4509 4241 2 3100 1416 2 11622 7948 1 9652 490 1 1273 3374 1 17803 5105 2 6446 379 13 135 6205 3 13993 6118 2 15281 156 6 4681 1595 2 10932 5259 8 19846 3512 1 14610 7869 5 14784 207 8 7656 232 1 12152 1333 2 4309 3571 1 15608 2970 2 15428 5446 1 525 680 1 4998 718 1 7824 5271 1 5854 905 2 17403 1277 2 18730 1253 2 7082 3596 1 6298 3298 1 4681 4076 1 1940 1247 4 1102 1341 1 17114 4680 1 8439 221 1 8595 995 2 5588 3337 1 3160 7936 1 6084 206 3 5203 1717 1 3935 201 4 6776 206 6 1813 6673 1 19961 4942 1 8532 1296 1 13587 493 3 6028 7677 4 1955 7117 1 6546 514 2 2885 1244 2 15376 1184 6 16743 5493 1 17127 1239 1 3694 495 1 13909 5402 2 9508 1212 1 4667 6414 1 194 2367 1 5659 4296 1 12541 880 1 9112 1713 1 4305 5260 3 8597 4905 1 14671 6053 6 11362 4967 9 5449 4467 4 14917 235 1 19313 1710 3 3397 7311 1 11663 220 1 11430 1698 1 8982 5327 1 1481 1747 3 5132 2109 1 18056 7975 1 4329 2552 12 17088 1751 8 9343 915 1 7099 3619 1 19133 2721 1 11314 5502 2 7455 4308 1 16570 2981 2 18180 4986 9 4583 6484 1 13906 4105 2 13115 1695 2 7287 4540 1 15872 2912 7 13205 3655 1 12918 1453 1 9098 524 1 9194 571 1 7997 1739 1 3207 228 4 11533 1757 1 17753 7018 1 14457 2435 1 6734 6588 1 7403 1665 1 3197 5676 6 19872 951 1 18360 3020 1 5375 470 1 16594 571 1 17416 4015 1 13555 4615 2 2892 2265 5 3536 471 1 322 1146 5 18814 1383 1 19486 789 1 1530 1903 1 9638 4950 5 18623 514 2 17005 1969 1 10133 4351 6 7676 903 1 12041 6484 3 17083 1573 2 19739 1814 1 17078 184 1 5172 5325 6 10312 1104 2 12988 541 2 16356 1518 1 5264 1236 10 14305 804 2 12550 6198 1 4047 692 1 14692 215 1 1618 1745 2 2408 1695 17 7177 6754 2 11129 23 2 1812 141 1 11755 4619 1 1011 555 1 11461 1695 1 15094 5292 1 18939 858 3 8558 1275 1 8369 5840 4 19970 1369 1 8448 4597 1 13881 5251 5 18651 525 4 13078 1342 1 3127 534 1 17734 3511 1 14906 1342 1 1489 7494 1 4453 1611 1 18437 1745 2 18409 6744 5 14566 8083 4 9263 534 3 10355 5413 1 8687 220 2 6734 1344 1 13829 187 2 2079 7936 1 11766 3571 3 10730 7624 28 6568 5026 1 8137 2588 1 2958 1744 2 13088 1764 2 17257 2022 1 15689 535 1 5283 2663 1 140 6357 1 5361 46 1 6971 1747 24 5952 1731 5 19163 187 2 9178 2256 1 100 4477 1 6887 5909 2 9907 8141 6 14824 4392 1 8328 4043 1 20222 6341 1 8109 470 3 13 562 2 3358 721 1 4593 261 1 3058 164 1 12153 6269 2 1882 3953 2 20039 6415 1 7582 3167 1 8157 5758 5 19322 834 11 11900 215 2 17683 792 6 6936 3896 20 1518 1734 1 13981 148 1 3442 4508 1 10057 2320 11 15932 902 1 11570 1089 2 7837 2146 1 14892 2552 34 18237 1752 2 2602 2492 1 19870 2675 1 19237 4404 1 13936 1704 1 5205 745 12 16102 1396 20 806 6111 3 2980 888 2 8732 219 28 18628 2681 4 651 3427 1 11786 7083 1 1773 1282 1 3397 1234 2 2611 535 1 5854 891 3 3463 3159 6 16308 225 2 1714 596 5 14805 397 1 6966 2683 1 2525 95 8 151 6018 2 13302 200 2 9114 2248 14 12337 520 1 4105 5207 1 3154 23 3 3036 3731 1 6854 244 3 3106 1738 1 1278 3134 1 9432 7920 1 10834 6031 2 2414 7190 33 16096 2915 1 11420 2729 1 14080 356 1 12316 3760 1 19369 5506 8 11668 1356 1 5952 1714 3 1963 168 1 3751 197 1 10900 5128 1 1912 214 1 8288 4614 2 2819 498 1 16299 3220 1 7168 1819 1 18698 235 6 3845 4325 1 18543 1737 1 10499 6106 4 19160 510 1 3916 3526 1 1712 433 1 3934 2889 5 10029 197 1 2480 1825 2 2629 1248 3 6909 1305 8 14091 3653 5 16588 2378 3 17395 2964 2 18891 1001 1 20122 1249 2 11926 1731 1 5794 2555 1 14162 407 1 314 3972 1 13684 1108 1 18286 2815 1 17781 1482 1 1967 2881 2 5117 641 1 17858 1714 1 18818 6011 1 16668 1369 1 3213 510 2 4163 1358 1 18060 215 1 4137 6159 3 17807 2276 2 6492 5420 1 11667 3663 3 18876 177 6 616 7734 3 10733 1721 1 12406 2727 1 10080 4807 2 14741 2577 4 12035 1751 1 13082 947 1 3003 7232 17 121 1170 1 12894 214 1 1801 3534 1 5906 7511 1 13116 8045 2 1275 1727 1 6564 1333 1 7982 6342 20 3085 7826 1 4142 8141 4 6249 554 1 8148 4245 2 5738 5343 14 6183 5559 1 906 382 2 20191 794 3 9090 506 2 6867 229 1 3090 4963 2 6183 1251 5 18968 4513 1 84 2480 2 18526 719 1 717 4245 2 7127 1756 3 5826 1582 2 3826 641 1 13543 3557 1 14191 316 3 19872 776 3 2418 6663 4 7991 4380 1 13129 1482 1 5444 514 23 14522 1726 1 14921 2488 2 1586 200 2 4753 5256 7 2726 1251 5 10670 5468 2 1893 536 2 17506 1990 1 14301 723 2 10970 498 5 15970 1406 4 13329 3147 1 2943 222 1 5409 229 2 15430 1369 1 8708 7884 1 17886 752 1 19504 4293 1 19611 23 13 15792 23 1 15468 215 11 12970 443 1 20126 5826 1 2060 770 1 10591 1278 3 12866 2671 1 5117 803 1 1612 1464 1 7252 453 4 3924 426 1 9674 787 1 16640 5524 2 18334 4949 2 8982 6690 1 7920 7861 1 2607 4245 1 365 500 1 2712 1457 2 15144 8067 1 7455 869 1 12644 2636 2 1791 2107 5 7144 1729 4 17897 7297 1 1779 4086 5 11313 929 1 7670 4018 1 3485 6606 1 7359 4998 16 5684 7830 1 8286 225 4 5044 1339 1 10302 4280 3 188 6150 1 8190 1235 1 16967 534 1 17306 2958 1 4459 7106 16 7906 2675 1 2985 914 1 9891 215 9 18044 5858 3 16755 165 1 17172 116 1 1133 3476 1 1198 3222 5 18546 1667 4 4573 2877 1 6848 1761 1 15926 15 1 18171 235 2 2129 1772 1 15870 1479 3 16980 3556 3 2504 5559 1 13111 1819 1 2875 2569 2 11622 5468 1 16249 1727 1 7787 1036 1 18374 521 1 20090 1732 1 9315 1374 1 5364 5903 3 20076 3441 1 19319 5527 1 1422 7853 1 7557 1901 1 4148 2678 1 1904 3230 1 15619 1758 1 13744 4996 1 12704 495 1 5577 3167 1 1016 248 22 6724 659 1 322 232 3 678 6120 1 11654 2139 2 9591 892 3 17477 8183 1 5769 200 1 18447 5349 3 13393 4789 1 17880 4950 1 13425 7689 1 3029 82 2 3128 1087 5 18768 6428 10 4913 956 2 5617 2720 1 16471 23 3 12952 903 3 3450 1784 1 126 5594 1 4867 23 3 9214 1909 1 1439 5800 1 2988 1740 1 16494 5193 5 9336 2337 25 5131 1312 1 14826 3595 2 20276 203 11 19302 3113 1 13148 5398 1 11917 1764 1 7626 521 2 8571 2632 9 15339 514 1 5477 5964 4 6431 3065 1 12988 3287 1 4217 4878 1 13 826 1 832 532 1 13 751 1 14295 2488 1 16093 6757 1 9708 4306 1 11771 7219 4 19568 2103 1 17296 789 1 129 1738 5 7065 4392 1 19966 7689 2 12299 7890 1 19470 3911 6 20 1318 1 8274 7725 1 19730 1116 1 11008 201 2 2905 2127 2 3243 1234 4 8673 156 6 6158 156 1 7551 6705 1 10110 5730 7 92 4151 45 3419 1352 1 19331 3180 1 6228 5758 1 7246 6602 1 16726 2958 1 7746 6565 3 13461 2626 2 16967 201 3 19560 1695 1 19255 3760 1 16908 1955 1 19601 5078 1 9793 1339 5 10997 732 1 19872 395 1 11052 2503 1 130 5883 3 13577 3208 1 9015 3522 1 14336 1661 7 10385 73 1 17620 1236 3 20191 777 1 12236 1230 1 635 520 2 13421 2898 1 12777 1230 3 8435 555 1 3980 184 1 6339 3578 1 3485 519 8 9525 6435 13 7651 4963 2 14626 5135 1 2792 6799 1 1771 7229 1 9450 470 3 9374 3333 1 3955 2678 11 2880 3971 2 704 3027 1 3642 721 1 3358 1531 2 70 532 1 19047 500 5 5943 3798 1 17731 1235 2 4124 2151 8 19486 2114 1 16635 786 1 6853 2129 1 6091 7433 1 1171 525 1 3670 4019 1 10595 2626 2 19883 853 1 1795 4389 1 124 5499 1 13136 23 1 17599 6523 2 18314 156 1 18475 3567 2 6666 1499 1 16491 304 1 16636 1222 3 15606 6757 29 3975 6295 1 5860 6132 1 12337 7186 1 7296 411 1 8530 6627 1 4310 525 1 847 1344 1 17807 2712 1 15180 975 1 16574 3888 1 4545 4186 1 1602 223 29 16416 7599 29 4552 5425 5 4460 4877 1 15538 2111 1 17188 1247 1 19680 2897 1 8358 3027 5 18638 7419 5 54 2604 1 12567 526 1 8591 4980 3 19931 1781 1 19451 4120 1 3417 973 11 11279 7086 1 9748 6428 2 5028 6538 3 11848 23 2 12285 243 1 18366 2372 1 9632 6007 18 12807 206 6 713 6174 1 1781 314 1 15545 5386 1 13700 911 1 12995 6743 1 13187 6031 1 10119 4487 7 3712 340 1 16130 5281 1 15307 625 1 20192 3911 1 15750 947 1 8673 4014 2 14780 498 2 9279 723 1 20180 1249 1 19252 3653 1 13881 3721 2 97 1751 1 15144 2673 2 5911 4411 1 1999 397 1 19225 1825 1 7188 1751 2 4376 1278 2 2194 6947 1 7334 3714 9 2801 719 2 10259 1204 1 1092 530 5 153 7122 2 5089 4582 1 10966 5557 1 7580 1333 1 8620 4086 1 101 4594 5 6533 532 1 12324 23 1 8315 1734 1 11504 1727 1 2131 214 1 10078 3639 1 107 4777 2 14630 3512 10 18568 5768 11 12686 5022 1 6938 411 5 9457 1310 1 14988 1209 1 17079 5254 1 4880 329 1 19401 1342 1 16727 82 1 171 7824 1 6724 647 4 20191 6990 3 10490 7326 1 11974 6368 1 6068 206 1 14668 5472 1 20090 1151 1 10643 659 1 18667 5022 1 11935 626 3 7977 2552 1 11582 197 2 17505 356 2 873 1703 1 5142 1724 1 14634 4521 1 18887 4557 1 11635 207 1 11732 5570 1 2197 2521 1 19201 347 1 5602 5130 3 4776 1042 3 2794 1686 1 5738 1129 1 8614 7406 1 8861 215 3 11072 1249 4 12103 2256 4 3881 2488 1 1850 3637 5 3813 6142 1 18071 236 1 3484 2380 14 153 7012 2 542 5558 1 14602 418 1 13730 4923 1 6485 638 1 15629 764 1 1042 7187 3 8775 1264 2 6437 10 1 2103 215 5 16205 4009 1 15495 1374 5 573 7597 18 143 5058 2 15648 3206 1 5217 2571 1 10340 4967 4 1376 3715 1 18689 470 1 18908 5888 6 12510 2969 1 3406 6529 2 6570 8026 2 4645 1508 1 17813 1917 10 9212 6469 1 8231 934 1 6652 4991 1 15346 3869 51 19771 4083 1 6570 5905 1 10498 385 3 5264 2362 13 12148 1447 2 8088 719 3 11883 1911 17 745 3557 2 166 7550 1 3119 222 1 8184 3970 1 8909 200 25 5773 4499 2 2804 171 1 18955 2927 1 2135 222 2 15943 1141 13 19260 4428 2 16436 100 3 592 3293 1 6512 5896 1 1839 4369 1 18011 2096 2 19883 4014 1 19182 1091 1 6348 747 1 6596 219 3 17375 7857 1 9067 1829 3 16116 223 2 62 2992 5 19448 1380 1 13383 5607 1 6856 508 1 759 1203 1 18174 252 1 10159 1266 1 4382 1745 1 5380 1236 1 3178 5691 1 17139 2354 1 7952 4869 1 16593 392 1 12294 5272 2 2590 545 7 19565 637 1 15025 8132 1 3077 1278 1 48 1695 2 181 8250 1 11092 4290 2 16895 3056 5 11705 3081 1 5445 1356 3 65 3186 3 18396 1686 1 6253 215 6 7179 6167 1 297 1245 1 13358 215 2 9141 1721 1 4259 1995 3 10334 3747 1 822 1319 1 10730 526 6 4460 7881 1 8967 2686 1 4893 6200 3 11643 5394 2 100 4523 2 7019 4363 1 18185 819 1 16197 5140 6 74 2647 1 6854 1235 1 6781 215 10 7991 3247 1 4083 4010 1 12166 6709 1 14007 3233 2 11585 3511 21 12723 4992 11 3760 203 1 7148 1698 5 19144 1736 1 853 1239 1 11569 7742 1 18048 5020 1 13329 5002 2 14155 207 72 352 1728 2 7751 3556 3 19387 1732 3 11327 1245 1 11938 1781 3 19822 4508 3 17009 3175 1 19977 167 1 4572 7511 1 4850 2767 1 4124 525 6 700 5513 1 12900 2517 1 14180 7407 8 19759 1239 1 4963 6723 1 8540 2708 1 18388 6155 1 17223 6993 1 14510 3972 4 11444 2109 2 7434 200 1 17918 4623 2 9718 258 1 11562 3446 2 9178 1781 1 12141 2098 5 1711 2605 1 1073 1737 1 19833 436 1 4250 3493 1 14685 2555 1 8532 1686 1 16137 1250 1 2735 5560 2 585 2443 1 15373 203 2 19286 244 10 16057 7308 1 6984 552 1 11400 1150 4 16919 6215 1 13744 4264 2 8275 2953 2 15100 892 1 432 4293 60 12755 4618 1 8149 1395 2 6642 4391 1 18281 599 1 11430 2678 4 6259 3081 2 18211 1076 1 17198 7527 3 1745 151 1 8760 452 1 7188 4615 4 3663 2488 2 8532 13 2 6250 2496 9 822 4203 2 3584 6383 1 10849 554 2 12765 4954 5 11136 4373 2 6644 23 3 7312 4351 1 1504 4616 1 8494 7586 1 2911 3851 1 13327 3058 2 4548 1316 1 2473 5385 1 4599 3556 1 19160 207 15 10102 1747 6 14465 2352 1 6163 7232 1 906 7750 3 124 1703 1 14584 1685 9 11377 5505 3 2227 4723 2 455 453 1 16395 3608 3 13234 6170 1 2678 200 1 494 3114 2 3258 541 1 3817 203 1 15220 3511 12 10770 4670 1 16470 1752 1 14845 3511 1 14296 3477 17 65 3183 3 7581 422 1 9318 244 1 11428 1267 2 10156 5420 3 16860 5269 2 2198 5436 1 1066 4274 1 12583 2169 1 16713 6252 5 8942 214 1 11938 1245 1 12704 244 2 18885 496 1 7065 3367 1 5104 1328 1 17446 4916 7 10017 8186 6 7042 1282 1 14645 1991 5 6183 1768 3 19731 5156 1 181 8248 1 14918 4929 2 13498 1482 2 2135 5392 1 12947 220 3 4498 1113 2 1988 498 1 13109 2908 1 6210 3079 1 13628 1361 1 4012 6692 2 1491 4949 1 12306 7719 1 4551 411 3 164 7445 1 103 4632 3 10053 6099 1 1825 214 19 83 3754 1 13734 726 1 3881 2641 1 957 5418 1 5695 2175 6 4620 3563 1 4612 4435 1 5840 7840 1 8170 1450 3 15743 5999 3 12900 7292 1 4473 6520 2 4935 5959 2 13623 1344 1 3484 2376 14 3972 5430 3 15564 308 11 6270 4589 1 340 7524 1 16246 23 2 8908 3333 1 9891 1751 3 11704 1075 2 6332 1752 1 16062 1702 2 4055 791 1 10691 7509 6 115 5153 1 4194 7592 4 3031 1729 1 4263 81 1 9861 3591 1 9836 6995 1 17256 411 1 10847 666 1 15102 229 1 6781 7267 7 3090 532 6 5240 3325 1 8125 214 1 822 550 1 19029 1638 12 6021 1296 1 18461 3483 1 1612 502 1 19602 1552 1 11306 3637 2 4753 366 8 20147 4395 1 4887 200 1 16550 4517 1 4441 7530 1 755 3767 3 17394 177 1 19656 2296 4 1302 460 1 17662 532 3 17575 2338 1 10973 46 3 10916 2501 1 14692 716 2 17922 561 5 5427 3447 4 8767 3491 1 11170 1747 1 11072 3338 1 18174 300 1 2696 2626 1 17252 3638 2 20120 905 1 5252 3444 1 14581 1395 1 133 6027 4 13400 411 8 11846 223 2 7993 201 1 9449 1827 1 18931 2229 1 6249 7948 1 17 1172 2 16096 790 1 7245 2461 4 17645 4977 3 2880 29 1 6570 2489 1 18132 430 5 8117 229 1 9433 5730 8 12257 35 2 54 1610 1 7017 1737 3 2694 201 1 14086 3228 4 3705 532 1 16619 6682 5 12815 1118 14 6076 903 2 15098 233 34 9835 2128 1 13790 1251 1 30 1685 1 934 7936 1 9224 765 1 1612 1726 1 3351 4335 1 8152 506 2 16930 461 1 12505 637 1 17463 6527 1 298 73 1 8295 5305 1 7400 6341 1 9707 759 1 6511 1146 4 886 203 51 672 1780 1 12231 2013 1 12592 164 9 3189 7205 1 12030 229 1 18014 1146 2 4019 3554 2 20145 215 1 11250 411 5 17809 891 2 5611 1710 1 10268 5484 9 3425 8141 1 15599 6457 1 9601 2675 4 2739 97 2 2540 184 1 10904 2970 5 14573 704 1 18071 2104 1 19078 1686 2 13412 1965 58 6538 6778 1 12245 5440 1 861 962 2 8914 4198 2 5027 1891 15 3174 5325 5 13262 2027 4 9973 367 1 9157 23 4 4779 225 14 19033 165 12 1653 4980 1 4006 1730 1 16236 84 1 10146 466 2 3988 890 1 14811 3484 1 7923 470 2 7672 201 2 15896 2115 8 15313 2549 1 4870 201 9 13157 5837 1 16547 293 5 492 3911 1 4054 5495 1 16768 4724 1 11180 6053 25 4995 2106 1 12406 219 1 9779 3167 1 3146 824 1 2668 7492 1 4900 325 3 5860 2534 1 3659 1470 1 9835 3135 3 5785 524 2 14522 912 2 19428 4738 1 11361 576 5 74 2675 9 15429 173 1 4072 231 1 2963 3525 1 5614 1776 1 9327 23 1 14201 1825 1 7035 4612 5 11 422 1 19626 2801 16 11325 1757 1 1959 6933 1 7188 6066 1 15376 2675 1 7141 543 2 3485 1334 1 17120 2356 1 11485 5287 1 6511 1742 2 13829 214 3 19286 5674 3 16506 200 6 14761 1252 6 6331 4641 2 16319 910 1 7652 2831 2 16592 7624 3 2319 4306 1 19136 4312 1 15435 2358 1 10859 6912 1 12988 1724 1 17172 5502 1 12780 713 1 1727 1819 1 3140 382 1 11344 3227 1 1628 470 13 1839 4008 1 11755 5558 1 13574 3239 1 8251 191 5 1391 1251 4 9050 7392 1 13758 5164 7 174 6152 1 138 6300 1 11108 7013 1 5176 1450 1 16895 5253 6 12817 4280 1 15722 84 1 19517 1954 1 756 5577 4 7226 3338 5 6601 7117 5 4442 6640 1 5772 4137 1 16625 3073 6 18340 4392 4 6451 6601 2 427 2360 1 12876 1354 2 18021 203 3 16294 7641 2 11884 3911 6 18385 1687 1 4057 602 2 12521 756 1 7135 1275 1 8147 1245 1 1118 206 2 9250 765 1 11105 41 1 14265 519 1 18887 3525 1 16954 2502 1 16511 3430 6 641 1758 2 7156 2257 1 10103 4794 1 11882 4192 3 12866 776 1 10601 526 4 14283 7216 1 4023 670 1 8543 533 3 15718 2480 1 1611 2355 1 16817 252 1 6991 2611 1 4204 6632 1 16230 2509 3 20225 864 1 13601 1717 1 2141 184 1 15599 1301 1 15100 597 1 14255 292 1 12501 235 1 13535 5054 1 10673 3339 1 2886 3367 2 13789 220 6 14854 2675 4 13162 7883 1 7508 197 1 20192 826 1 14781 1438 1 18892 3163 2 11919 3253 1 2803 5951 2 19341 1758 1 16674 425 4 10344 1296 1 20082 1307 2 17079 1238 1 11936 3638 7 14209 223 1 4163 5505 1 14664 303 1 7568 235 6 4170 273 1 3607 1367 1 12126 1686 1 14427 5291 2 3397 296 2 8373 1122 1 13787 1921 4 5863 7618 1 5239 1751 1 10736 2798 1 3619 3511 22 2529 656 13 17886 797 1 8244 1147 5 340 4277 6 9610 3311 6 5675 201 2 12415 5325 3 12127 1104 1 6631 1819 1 15289 4501 1 9989 364 3 13637 7259 1 6286 2138 1 12811 4589 2 5552 5018 1 6799 7414 35 15246 206 1 6674 7769 2 17313 6053 2 7119 7477 5 6164 1276 1 14826 3227 1 10785 941 1 14618 1995 1 3417 7671 2 10815 670 2 4371 2494 1 9635 2701 4 16583 7807 1 1336 6084 2 14134 1781 3 3038 1380 1 16231 3012 1 932 2175 1 10911 382 12 11111 1464 1 16133 2619 12 13646 5319 1 18556 1664 3 8929 2352 1 16636 975 1 7536 4012 1 11160 2383 1 10245 4107 5 8932 1736 1 16820 6067 1 13421 1760 1 16780 4136 1 3938 207 6 11615 6252 2 17316 5016 8 20009 1784 1 7114 1374 2 9433 7670 1 13636 7175 1 11900 864 14 15234 1991 1 2302 4029 14 3491 1748 1 15227 1776 1 19252 534 2 3436 380 1 3254 4901 5 17952 1762 1 18634 2821 1 2135 201 4 15480 6705 1 12850 1363 4 3043 1775 1 18634 709 1 156 7146 1 3846 2012 2 3723 7604 1 19466 7965 1 13789 1548 2 19538 4654 1 16491 4591 3 19759 861 10 14992 5115 1 16977 7022 2 8572 1054 1 2598 3065 1 17682 1252 1 10730 509 1 15960 1007 32 10559 1643 1 35 1899 1 5801 1720 1 19348 1495 1 12701 4560 1 10498 3798 4 8597 4555 3 5616 6413 1 3797 5291 4 17990 5574 6 1029 1363 1 17028 5020 2 174 7925 1 5064 581 1 4351 4947 1 8920 3881 1 3755 221 1 11194 7210 1 6834 6719 5 1943 7234 3 925 2646 1 6089 8172 1 3663 370 1 11943 4432 11 12457 863 1 12899 1774 5 14396 8121 13 2962 2008 1 3516 2362 6 4623 220 1 3894 1251 1 14983 1332 2 3075 4435 1 10676 2097 1 2729 2488 1 11631 4653 1 4490 186 1 3698 6551 1 10124 200 1 5421 244 1 17218 5105 2 17218 1703 1 6183 316 1 3971 7925 2 10862 1751 3 9146 5782 1 14758 1366 2 14327 2488 1 2429 1781 3 14238 759 2 13470 1714 1 5290 2614 1 4493 4318 1 3651 3176 1 12299 8241 1 18320 2743 4 6078 253 7 17678 7995 4 6142 1729 3 5036 6428 2 4688 623 1 6425 203 5 11533 2115 1 5995 1244 1 8015 523 1 381 1250 1 8573 8083 8 2891 385 1 17169 514 1 5292 2030 1 12071 1441 1 13837 5495 1 18887 3686 2 8717 8185 8 14630 4998 15 6229 6013 1 1704 788 1 5444 4992 1 5568 540 2 7217 1981 5 13492 1730 6 5117 571 2 16445 1761 1 9208 1464 2 7394 34 1 1331 1907 1 13042 7489 11 1358 2356 1 15082 2097 7 17613 227 1 484 3757 1 9083 1720 2 8184 3946 1 14474 4623 1 18099 290 3 745 215 8 2640 5440 1 6055 6152 1 5249 1783 13 731 2880 1 33 1823 1 10534 7165 1 16775 5097 21 17960 2671 5 15011 869 1 16772 2675 3 19775 745 1 15364 1249 1 16641 5128 1 15764 7902 1 9332 3591 1 14661 411 1 18004 2043 1 8339 7165 1 4561 535 1 2142 7427 1 15107 5253 1 17257 3456 1 10452 243 1 7768 6406 1 4901 532 1 3272 532 7 19331 1781 1 113 3214 1 9810 4302 1 468 884 1 18193 1247 2 1760 1705 1 12777 2085 1 334 1373 1 5837 3626 1 3414 2831 1 2071 2641 1 6873 1677 69 15713 4725 1 4223 4012 14 15896 368 2 11415 5000 2 11904 4307 9 16639 5054 1 7746 409 1 15220 7586 7 1379 4203 1 9447 1221 1 4498 1383 1 5264 1704 11 15241 7525 1 7784 3421 6 18367 7997 1 10840 5565 1 17155 2342 1 11933 2269 2 18014 812 1 12303 1100 2 4294 1762 1 12031 222 3 1760 883 10 1276 3909 1 18563 6502 1 8425 8192 8 15776 2356 1 20231 4262 1 5934 3210 3 6527 877 1 1129 225 5 19078 338 2 3570 196 5 7700 5736 1 2488 2698 2 20054 1727 1 6474 1990 1 745 2357 1 2234 624 1 17180 1414 1 10408 6588 1 20039 262 3 7179 616 1 17317 1903 1 9916 6342 12 14012 4112 2 1 10 1 18462 945 1 1609 4013 1 19378 514 2 17302 201 1 11613 607 1 17298 7420 5 524 6192 1 16502 496 1 5882 2151 1 3360 4064 8 15912 218 13 16486 411 1 18569 7201 1 15314 4377 2 14561 1819 4 7176 6785 1 17164 3016 2 20018 3619 2 12156 5127 1 11964 201 2 1035 215 24 4428 7333 1 11310 6575 1 1902 1781 4 4106 863 2 3337 7002 1 12988 1772 4 19154 1357 10 16674 4518 1 2701 3808 1 15947 6863 1 2308 6268 1 11345 2515 1 12766 659 1 9759 1775 1 10940 4723 2 11 431 1 15910 1881 3 7943 7274 1 16881 4357 1 9541 2648 1 8488 2534 1 14416 1664 2 467 1244 2 13010 7235 9 5591 3145 6 16184 1324 1 8488 7719 1 17879 6491 1 1433 196 1 7910 4163 1 351 4404 2 1041 201 1 12987 7591 18 6379 23 1 17244 4549 1 19289 505 1 97 1251 2 8034 1728 1 6309 4380 3 16723 196 6 16645 221 2 3318 5898 3 13831 498 1 2234 819 1 17851 4543 1 153 6981 1 11250 196 1 19655 2867 1 1530 5558 1 5637 2353 1 3871 23 1 10813 220 2 19503 1277 1 881 2645 1 14766 7948 2 3851 196 2 13254 606 1 12782 187 6 12795 2114 14 5801 2698 1 14660 3333 6 3323 4367 1 13405 215 4 2905 445 3 19872 1121 5 16787 3097 29 7685 7701 1 12727 23 1 127 725 1 2995 899 1 9315 201 2 5036 1926 1 5036 1732 1 8343 3752 6 7034 7229 1 12817 1248 1 15053 219 5 13922 1770 1 7580 6640 1 11297 2675 2 16474 2344 2 15559 498 1 3396 1829 3 15817 470 11 14108 186 1 18758 6205 1 2201 207 2 2578 1996 1 6932 524 1 13084 519 2 10948 8190 1 18404 2897 1 8284 4245 7 14092 1184 1 873 1944 2 3779 7570 1 15608 1450 1 18087 4967 4 1736 7719 1 2418 5309 1 11811 1758 1 12717 411 13 5374 2979 1 3806 1271 2 12257 495 14 13262 640 1 3414 4312 1 10819 7282 1 7455 692 1 8852 5099 1 11981 4607 1 7493 4019 3 17213 2698 1 2649 6139 5 3348 2542 1 5494 7912 5 1176 2980 1 1513 5341 3 6517 6536 2 6183 8141 11 12704 5306 1 14286 1374 1 11024 8102 1 15411 2071 1 10015 4516 1 12374 6059 1 18334 156 1 7956 291 1 1334 6152 5 16388 3438 1 12184 3526 18 13451 6754 6 15454 844 1 12075 2388 1 8525 2555 2 3602 5009 1 4107 233 1 5358 3031 2 1575 2262 2 12113 2261 1 4593 874 2 16871 3167 1 19368 2071 1 9589 4616 1 6959 8102 1 14430 844 1 133 6061 1 9462 1193 2 2526 84 5 1795 1748 3 17895 5730 1 13053 2486 1 381 1661 1 11131 6457 1 6592 4877 20 14350 7602 1 8674 3799 9 8196 4367 1 18508 5186 2 5256 1606 1 14758 5301 1 19759 173 3 13386 5604 2 18341 275 1 18081 1778 1 6630 410 1 12821 2993 1 809 1146 5 10583 3492 1 14778 1745 1 18014 1042 1 13829 225 5 16891 3511 1 9326 4987 1 15390 1762 5 17631 745 14 17156 7216 1 8358 498 8 2143 6184 1 14227 7529 3 16959 190 1 17762 1903 1 16865 3602 15 18653 184 2 5449 4005 1 4936 1686 1 6142 1282 1 12325 819 1 10869 244 3 14522 521 1 16862 6213 1 18045 3333 1 3069 7601 26 745 1184 1 17961 6707 2 35 1946 1 17521 205 2 18111 223 1 847 792 1 11820 4572 1 16661 3104 1 10482 1707 1 9628 595 5 11932 1738 4 679 663 1 15159 1908 5 6319 6618 2 20098 1734 3 127 2898 1 10828 3682 6 4809 1781 11 9567 7381 4 73 3398 1 11926 5922 1 175 536 2 2897 339 1 1743 3751 5 19034 1250 1 12640 3855 1 5573 2514 1 18017 3457 1 2169 200 2 10283 1991 2 13414 1718 1 13744 534 1 18263 5036 1 3411 2384 1 12221 1726 3 9156 4351 1 18992 1035 2 593 1764 1 5215 8093 1 1553 7830 2 17015 3175 1 6645 3460 2 780 1831 1 6556 197 1 20167 2668 3 8505 8141 1 14877 3693 4 14552 2552 1 493 2006 1 20089 6743 4 10263 171 1 18197 2336 3 4859 1729 2 8389 1613 1 17702 404 1 87 225 1 7193 225 2 5244 2422 1 16509 3050 1 6228 2946 1 6255 8041 1 7304 4436 10 4678 3788 1 15267 830 1 7459 200 15 6327 2363 2 19493 4511 3 17995 2699 8 13183 1178 1 12357 134 5 13880 1323 6 18565 7529 1 18045 320 5 1608 5263 1 3395 1453 1 17066 7520 1 14128 5126 1 18887 5257 5 11230 2399 1 746 6322 1 19569 2354 1 19217 813 2 8965 510 2 19085 665 1 3870 6064 1 12406 1416 1 14791 520 15 1530 6150 1 292 134 2 1193 2191 1 18508 4383 1 2154 506 5 17039 3386 1 9529 2964 1 10004 411 23 4227 1784 3 21 1406 3 2870 5162 1 10559 5988 5 15272 1737 1 9282 5951 1 17088 2683 1 9148 1685 6 13244 1265 1 5668 7534 5 15015 5468 52 15750 3733 1 13895 1719 1 6452 4623 2 17416 8083 4 7307 667 1 14492 2519 2 8930 2789 1 14868 6037 4 12697 2443 1 13800 5294 1 18572 203 2 2096 749 2 10551 4615 1 294 5879 1 1027 1779 1 13589 5090 1 889 7505 1 19149 619 2 3536 3879 6 14578 281 1 16095 1523 2 409 554 5 2479 1032 1 9937 4263 1 14436 7642 44 14320 4635 1 3546 1464 4 16548 3411 1 15583 4311 1 13758 2791 1 143 3603 5 915 2363 1 12067 4803 1 8117 6564 1 14117 1286 1 8710 6658 1 3833 1244 6 17966 1745 1 8831 2065 3 2905 4019 1 8176 1712 1 11315 4963 2 13557 2401 1 15477 1819 4 1296 239 6 5039 4397 1 9997 184 1 18122 1789 1 14762 505 1 8080 205 1 16707 7350 1 16593 1146 8 20082 1656 1 17120 864 1 17572 6649 1 3160 5171 1 16865 5115 4 16659 3517 2 5739 219 2 13488 23 2 17615 7531 1 16647 244 1 9114 512 18 9935 1373 2 9720 7339 1 5141 313 6 19495 1707 1 15202 2825 1 1506 1751 1 12262 203 28 1218 532 1 17350 6778 6 9826 220 1 9587 718 1 12424 7518 1 2980 4403 1 16839 4992 1 11996 203 33 3574 6460 1 4752 7355 1 18671 225 2 3037 1779 1 1379 5164 1 2309 2747 3 740 6238 1 11755 7029 1 13131 661 2 2345 458 7 14778 1703 1 5041 2888 10 12935 3421 8 17645 213 3 5743 3338 2 13417 6011 1 83 3755 1 16298 2665 2 3762 939 1 8086 647 1 17468 3834 5 7065 1322 2 824 5969 1 9445 1374 1 714 6480 1 745 2354 1 16821 533 1 12009 1975 1 3092 3113 1 10460 7238 6 570 1770 3 11158 942 1 3521 4853 1 17083 510 17 8047 7591 1 5926 995 1 6126 1705 1 3785 4643 1 12548 223 1 20076 2013 2 9167 23 1 5249 519 2 98 4432 5 9937 1296 10 456 2671 5 171 7703 1 9188 5135 2 9299 1748 1 14120 2656 5 3048 4229 1 12362 200 1 9426 541 1 18226 863 2 1361 1377 1 6183 6502 1 1783 214 4 2345 6058 5 16755 488 1 7491 2708 1 9535 1417 2 18924 1727 1 3638 7397 2 2520 638 2 9174 4201 5 12252 5710 1 4371 2507 1 17033 221 3 498 1751 3 787 541 1 17883 1237 1 18384 3697 2 9969 23 1 9730 2497 1 2450 519 1 6138 4029 1 19840 7948 1 2629 2068 1 6635 2552 2 6840 865 1 15409 520 1 4632 7933 4 10192 914 11 13399 4446 2 7194 1629 1 4539 232 1 7933 6570 1 4662 207 1 9224 946 1 1689 6466 1 3555 1819 1 9178 512 1 3170 1769 1 18736 3323 1 4354 244 1 13375 1757 2 6965 2319 2 7511 1819 1 11082 7136 2 13461 1250 4 13842 4167 1 3331 7250 4 13743 214 1 5775 222 1 75 3494 3 4663 607 1 10242 525 1 16981 4803 7 1854 4204 6 6478 206 1 31 1450 1 14196 949 1 19562 4699 4 309 6793 1 20019 1788 3 16389 1711 5 15676 1193 1 1518 2343 1 16373 4336 1 14789 883 1 10996 206 1 4368 2424 1 9792 76 1 809 1740 1 2973 4303 6 12350 225 1 6520 1235 1 3048 2774 1 7819 23 1 11333 2584 1 12712 173 1 10866 6880 1 10856 8026 1 11956 1762 3 5158 707 1 18121 759 1 15364 8036 1 19781 2493 1 17464 1374 10 17857 6799 1 14297 4961 1 1204 2029 7 4216 219 66 5074 4776 3 17748 676 5 13349 5737 9 9166 2364 2 7891 4924 1 18709 3197 2 9975 5325 5 8920 3937 2 561 6288 1 10513 2671 10 7267 1658 1 6732 7098 1 1487 7316 1 7991 6557 2 11072 1729 3 9441 2184 6 582 2949 2 19568 1752 1 16827 6414 1 6457 1164 2 13705 1724 1 7456 225 2 15922 1314 1 10179 3840 1 5570 7689 1 10265 5526 6 18847 685 1 11562 4306 1 14123 207 1 3299 6330 1 19336 6714 1 3118 2635 5 2657 6414 1 12766 818 1 3002 877 1 5961 3857 5 3521 1423 7 10098 3525 1 17950 421 2 948 219 1 9104 6640 1 5095 412 3 4093 3672 2 16995 1153 1 15535 1342 4 10882 6713 3 12593 541 1 10952 1990 1 17399 5270 2 15884 5859 1 8790 2541 1 10249 1249 1 684 2352 1 19972 6545 1 16185 1208 1 17809 510 2 18081 5120 1 15635 874 1 17702 201 1 1704 2155 5 1133 2318 1 12663 1239 1 19578 7602 1 8658 3714 5 15612 6278 1 20126 7189 2 9930 1399 4 2114 207 1 11615 7809 1 737 2746 1 10910 1188 10 4708 3081 1 545 5997 1 7841 3604 1 1962 452 5 10312 3021 1 4092 364 1 6811 3449 1 2062 4363 11 3663 1042 2 6305 5187 9 965 3710 1 3329 957 3 5018 210 1 12506 73 1 17653 2488 1 16560 6721 3 5849 1357 1 10766 2343 1 15321 2501 1 18415 7609 1 3562 1464 1 17836 2484 1 8969 1778 1 8060 6065 1 7523 504 1 9299 219 1 15346 844 46 19348 4516 3 8747 3106 1 1296 11 1 14857 23 1 3271 3050 1 14073 2175 1 230 692 1 17549 1965 1 7412 7948 1 12163 2541 1 15891 6063 1 14 983 1 5839 8162 28 11663 498 1 130 5865 2 18843 1781 1 5540 519 1 4538 2350 7 19055 3135 6 17963 4019 1 11410 8141 4 1507 1747 2 13084 4435 1 2405 8167 1 6588 3262 1 2816 508 2 20221 6706 5 18780 1184 7 18148 2488 1 17731 1184 1 19026 5712 1 1335 2483 1 4268 4528 1 3138 7964 1 15936 3715 2 9715 1464 1 9883 4276 9 10886 3959 1 9754 709 1 9419 6259 4 9310 205 2 6130 640 1 10452 6198 1 4761 1464 4 4147 3892 13 164 7494 1 15676 5004 23 2803 2506 11 1114 23 4 15011 850 2 17360 215 1 16674 5253 1 2413 5234 2 5688 201 1 18039 670 2 11786 3011 1 18893 579 1 12279 7519 5 154 7125 2 17004 1068 1 19952 4411 1 19587 495 1 16328 1251 2 8015 4029 1 470 1713 1 14344 219 1 5815 5559 2 13208 2268 5 15755 6144 1 20114 6680 1 9687 5157 1 8490 1482 6 14297 4077 6 16442 7850 2 10 303 1 7825 83 1 11692 2350 2 13816 2511 1 14522 709 2 2875 1732 1 4427 252 2 8557 7944 2 16316 6677 1 4234 4996 4 1551 397 1 7338 440 1 14791 1535 42 4057 5252 1 20 1336 1 4098 1495 2 8148 4972 1 6327 220 1 19571 3604 2 14440 3230 1 5352 3109 5 18924 1751 4 18772 206 1 18939 7704 1 13919 857 1 2031 6121 1 3110 1987 6 16474 2662 1 18578 1239 1 18476 827 1 13971 7474 3 9572 8122 1 18459 232 1 15184 215 12 3980 203 3 2121 4998 1 7049 3892 15 18709 2363 7 10728 437 4 16057 2027 2 10926 4027 1 7065 401 1 1465 214 1 16777 7607 1 14819 3146 5 6356 4547 4 15634 5950 2 5195 206 3 7498 8117 9 16800 232 1 19194 6102 5 5911 1762 1 8952 2770 1 493 4099 1 4197 2362 1 15533 1981 1 2072 391 4 15001 6139 1 12357 3519 9 9131 1267 1 12306 3702 1 1131 4651 6 1235 2402 1 4716 1769 2 11968 6979 1 1699 201 2 886 5144 1 15932 6970 4 8082 5747 1 18336 5037 1 216 5783 2 859 3321 1 3037 1757 1 7597 2102 2 17477 1719 1 7006 3039 2 13362 2155 1 1746 2506 1 3551 2355 1 2931 244 1 11385 1209 1 16978 3278 2 10170 7751 2 13015 2353 2 12392 222 1 15932 634 1 20046 6435 28 6595 201 4 15539 6683 1 11168 1303 1 593 222 3 10657 1762 2 15898 4929 5 3255 910 3 1801 1776 3 4343 148 1 16799 197 1 4489 5351 6 8708 1750 1 5745 169 1 9865 5758 1 1241 3333 1 12916 1338 1 1638 2568 1 10398 1758 1 15272 197 1 14035 5523 1 14870 4086 3 9930 4792 2 17258 203 2 15607 1495 1 7702 5526 1 1839 2729 2 7379 1721 1 8754 7590 1 6974 510 1 8615 4266 1 16700 649 1 6452 902 1 6327 1748 5 15098 1720 3 3397 982 1 5217 5036 2 906 7672 4 17039 4245 12 14686 2722 3 743 1252 2 15205 809 4 19999 7963 1 16861 4458 2 12678 5726 1 9194 1068 5 17088 244 2 1986 1548 2 4716 1745 3 14485 2187 1 19649 1703 1 16153 3393 4 12317 1819 2 15683 5986 1 1244 4081 2 18366 3238 1 5977 222 1 2904 1819 2 16847 4803 1 11755 3558 2 16373 2810 1 17981 303 2 2616 8012 2 8494 219 33 15982 4803 7 3520 3119 1 13252 2635 7 11678 3534 1 4139 3389 1 12237 4987 1 15812 5750 3 3494 4351 1 787 470 3 11727 5940 3 8690 1737 1 3603 2727 9 16878 1758 3 16966 6540 2 6641 880 1 9387 7494 5 6154 3338 1 18760 3167 1 3825 536 1 19473 1247 4 3003 6011 72 10477 201 3 2240 4636 2 13829 2560 1 8665 2344 1 9121 2675 4 7165 1660 2 8757 840 1 9283 4435 5 11336 6533 1 307 1338 1 18193 1728 1 13947 2152 1 7119 5686 1 1631 5180 1 11216 4623 5 7896 203 1 14121 4075 1 11694 552 1 10834 3525 1 10374 6010 1 1289 7999 1 8829 6914 1 2239 222 1 55 2652 1 8806 2584 1 6244 2024 1 4209 588 1 15726 222 13 2643 236 1 18175 1757 1 9586 1284 1 593 1722 1 2803 7674 6 15118 1183 1 12212 1153 1 3592 7570 3 8061 2523 5 153 6969 2 3335 3901 1 18916 5348 13 5582 334 4 9155 6697 1 19774 4404 1 12638 3124 1 19620 2671 19 12913 5986 1 821 4944 1 19850 236 1 10142 1734 1 17480 169 1 10565 5787 1 18016 4623 2 8443 7857 2 5069 3057 1 8405 1600 1 4971 1825 1 16343 219 1 7461 594 4 2 110 2 16324 2428 1 4060 1617 1 18523 7883 1 1607 1342 1 19449 225 6 19875 4029 1 19051 4599 10 15949 6608 1 15307 712 1 493 420 1 1139 871 1 2764 3156 5 9740 1752 1 3815 441 1 14028 6713 1 304 1111 1 11814 526 1 3523 489 1 10731 777 2 18193 201 8 6683 5202 4 16568 1454 1 19512 4009 2 6869 7326 1 9463 4341 1 18410 5119 1 19170 6991 3 2784 6038 28 19875 1748 1 17038 4020 5 18392 1742 5 12015 184 8 1176 1082 1 13240 1719 6 9284 7671 11 5124 2777 1 19197 1991 7 4051 3069 2 7516 1752 33 10461 2158 1 15346 1658 42 15329 2016 2 15770 223 1 1689 4299 1 5577 4764 2 16847 6001 1 16990 2290 1 8928 1434 1 19872 1356 1 18887 1244 1 11678 5945 1 3755 533 1 6504 200 1 17730 1396 2 6000 4301 1 4313 252 5 4892 1466 10 3803 207 3 18939 3084 2 11251 5983 1 14946 89 2 12582 1762 2 8513 231 5 8735 545 4 7672 1296 8 20261 225 1 13965 7309 1 545 1046 6 9401 3896 44 12351 5922 4 17578 7423 1 14928 353 3 6942 2056 1 11658 4587 11 16016 4496 1 10501 1757 1 881 5220 1 14234 680 3 19595 790 1 5631 597 1 16961 505 2 14905 1717 2 3668 3446 1 14053 7297 5 13084 7184 1 10123 1428 1 6501 232 7 2139 5466 1 13591 3263 1 701 207 3 3539 7601 2 13126 467 1 332 840 1 15117 2894 1 5617 2089 1 16487 844 1 19339 6868 1 4607 4963 1 19737 1778 1 17440 3598 1 8080 3644 1 19448 1904 1 4468 5004 1 6259 945 1 11028 224 1 14301 4949 1 4108 1235 1 3822 6288 1 11798 6355 5 8100 6564 1 1659 6743 2 8717 164 4 8510 578 3 527 3016 1 19156 8167 1 16883 5018 4 2617 397 1 7513 6414 5 19137 2773 2 19643 6721 3 14193 6723 1 13066 3138 1 1941 1292 3 18286 1780 1 16859 6602 1 4005 1738 1 18040 954 2 20225 869 2 8281 2894 1 97 1717 1 11327 6091 1 170 7591 3 19322 134 1 4860 7541 4 83 3730 2 6125 4179 2 10046 215 16 6588 4608 2 8167 2552 4 19050 8082 5 12423 3554 1 12853 4384 1 18338 2671 1 17498 366 1 747 6600 1 4503 3689 3 20223 6591 14 14711 5440 1 10763 6225 1 17960 7624 1 3801 1239 1 6381 561 1 1363 1257 4 11367 1814 3 12001 4961 1 6504 1469 1 10951 7291 1 8358 4236 1 8360 2860 3 17110 6107 2 14692 1246 1 1304 1296 2 16806 1245 2 11964 200 2 18287 4379 1 10911 804 1 14769 8054 1 13508 492 1 1316 4530 2 16249 642 1 13569 2356 5 6840 921 1 9622 8184 1 4239 6705 49 17416 7477 1 10839 470 1 7263 3239 1 11663 1718 1 8043 6004 1 12312 7189 11 16096 1369 2 13727 5347 3 16638 6378 1 1065 1518 2 19982 1825 1 9474 6658 4 15718 6152 4 739 1250 1 1618 508 6 18 505 1 13636 6537 1 15629 600 1 8328 5989 1 15756 4041 1 8272 1252 1 10187 1395 1 6064 382 1 17383 452 3 873 2324 1 17475 2737 1 19641 4386 1 17404 1731 4 1111 2364 1 61 2754 1 3852 647 5 9946 206 1 6670 2678 1 13779 617 3 11512 3510 1 10065 1788 2 18040 2093 4 10427 188 4 16916 378 5 2284 190 1 11013 1738 1 3445 2671 3 11610 411 1 14 984 1 11333 8184 1 18385 5019 1 3416 5943 1 4134 7821 1 6445 6198 1 9462 2653 1 19702 219 11 12010 3236 1 12798 1548 1 18634 3358 7 19158 8053 5 11107 4489 5 15165 43 1 16130 4683 1 1682 3966 1 9224 962 2 17555 11 3 19994 1691 3 10249 796 1 623 220 1 10528 878 1 5544 521 1 7891 3408 1 10742 4992 9 17399 1561 2 6776 7477 4 14753 3367 4 3759 5681 1 4913 1732 1 18059 4245 8 14257 1152 1 16624 7769 1 18705 1729 1 7987 6170 2 9335 2884 1 16395 6139 9 6176 1819 1 12688 6495 1 5342 8040 2 10906 203 4 13076 4623 1 7753 1036 15 3923 785 1 9295 1721 1 13601 3080 2 6158 532 3 15117 4447 1 5952 4794 5 2857 433 1 19069 7738 2 4231 3518 1 12820 6585 1 17682 1246 1 16286 1250 2 4791 1822 1 18307 1237 1 1760 2694 1 9947 2964 5 4989 1121 14 159 7230 1 12319 292 2 1747 2015 1 3900 1781 4 16096 1630 3 13642 3063 12 10997 620 1 8969 1718 2 1963 2024 1 4644 676 1 8839 4713 4 13829 1731 2 5510 2675 2 11354 3680 1 1150 2652 1 8250 2562 3 5923 852 1 16325 1799 28 855 474 1 11652 3448 2 19243 7719 1 18033 1235 2 8040 2363 1 4267 4950 1 4498 175 8 5025 1742 2 11950 1131 3 113 5038 1 19425 5807 2 9835 2133 1 3491 3556 1 124 5487 2 19301 411 2 2795 1729 28 583 2522 5 6525 1719 4 8886 3084 1 16056 3748 1 5473 1522 2 8530 2542 1 7098 525 1 14658 219 2 290 4661 1 15932 4000 1 4239 2671 6 179 336 15 20087 4296 2 10905 207 17 9281 6705 2 8815 219 1 12453 75 1 11218 508 3 16236 1239 2 16270 768 1 1233 3065 4 17393 4403 2 13183 1721 1 17004 2584 1 10502 5451 1 12000 1881 1 18178 1243 3 819 2242 8 7498 7291 2 14086 524 3 8744 1695 1 11314 4024 1 16187 156 25 2969 1819 4 11678 3853 15 13731 7217 1 9236 3627 1 18159 1762 2 4577 1761 1 2985 599 1 7640 5446 1 18315 7600 1 15235 1825 1 5959 637 1 5952 4974 4 18385 318 1 7997 4903 11 8329 891 1 14114 742 1 6617 2595 1 15030 222 2 19000 426 1 2562 201 1 13363 3770 1 8273 6205 1 20029 6470 1 1379 508 2 11 442 1 12852 1147 1 13720 869 1 2529 828 1 19486 4380 1 7076 7337 1 8487 5259 1 7208 3283 1 14754 4792 1 19532 7857 1 17703 1400 1 15936 10 4 4019 4143 2 17701 559 1 10539 1819 1 15745 296 1 4051 2353 3 20009 7702 3 14758 7091 2 5132 2290 1 13826 7494 4 127 5766 1 5188 995 1 13652 3333 7 14795 1388 1 4764 3685 4 3947 6435 1 6164 680 1 3553 6793 1 3817 3338 1 11098 1717 7 19590 1721 1 20060 2889 15 6208 7774 2 9652 6487 1 5983 1776 1 7688 4107 1 10687 864 1 8158 1245 1 4506 2662 1 10493 4132 1 2839 1304 5 3847 303 15 5049 6030 3 17825 8184 16 16743 2734 5 8546 4680 2 5987 498 12 7032 6675 2 5216 1131 2 16860 442 2 18763 1250 4 9494 2712 2 3715 207 1 82 215 4 372 219 21 3986 219 2 8746 196 2 4553 3031 1 18548 629 1 6263 1659 1 13999 221 2 14313 7208 2 6527 2009 5 222 2495 1 8629 1249 2 299 7761 7 13748 445 1 6250 200 5 12595 1778 1 801 203 7 13521 5093 1 1964 6415 1 15343 1253 2 5839 3262 11 4143 201 3 8558 6801 1 498 2555 2 513 4059 1 12375 270 1 10411 1297 2 11851 219 1 3396 6704 1 18119 292 1 16587 1877 1 1474 5090 19 13590 1685 4 2128 1343 1 11411 800 1 19319 4198 1 13667 4660 1 1738 6493 1 14322 1235 1 15471 919 1 14549 1234 1 17066 57 2 7730 4981 4 20064 2877 1 20191 649 3 13129 1772 1 14948 3916 1 4175 2664 1 1389 1687 1 4009 5538 5 175 8137 5 12267 3649 1 8137 1236 1 14798 5810 1 2162 1250 5 9282 1054 18 1677 1744 1 5172 6396 3 16076 1239 3 8475 7735 1 12054 2770 4 13065 2234 13 7709 1721 1 18321 8127 2 19679 6756 5 11736 7840 1 3967 200 1 10222 1769 1 1443 541 1 11709 2016 8 9167 3298 1 6322 6721 2 16758 532 3 14114 603 1 9007 2400 2 17413 3426 1 12817 207 2 175 8135 7 5358 3539 1 18128 2675 3 10595 4929 1 10579 5945 1 15943 708 1 5523 3787 1 12175 3915 10 10790 947 1 6506 1755 1 5205 3059 19 9755 1760 2 8101 5472 1 4632 2686 1 18451 201 4 3382 6806 4 13420 8031 6 3613 229 9 19731 880 1 11862 5090 1 13922 4325 2 18765 2908 5 4609 2351 3 13717 1342 1 12627 2556 2 16715 3558 4 19843 1247 51 65 3126 1 283 327 15 4107 4180 1 2587 6343 1 2714 3509 1 5909 7475 1 16700 592 1 2176 1688 2 6332 5300 1 9110 2698 20 8040 1707 2 16114 173 1 16645 678 1 2186 1825 8 8888 2671 1 11485 6012 2 7706 3167 3 14103 1288 3 13646 1941 7 5161 7591 11 10579 96 1 13799 2736 1 2 118 1 10670 1748 6 8083 471 1 717 1819 1 7524 4622 44 19312 1417 1 20243 4342 1 9597 214 1 19568 1751 1 15780 6009 1 6842 7427 19 17644 5051 2 10309 761 1 8946 597 3 6603 6102 4 1047 4204 26 2265 4868 3 6913 467 1 1028 5348 1 15140 3571 2 14522 302 7 11460 2649 1 18713 2671 1 15676 5649 1 15627 3038 1 10247 2633 1 42 2212 1 3110 2677 1 9367 514 1 4859 3511 1 19079 5703 4 15712 206 1 8887 5873 1 19790 1153 9 31 501 5 6156 7125 3 2056 498 4 5132 2680 1 7179 5120 1 8730 917 1 15144 382 14 16073 846 1 12569 1190 1 5023 995 1 10772 952 1 9117 3255 5 11968 4013 1 17764 221 1 9715 35 2 16357 3918 2 10119 7670 2 9087 3556 1 16651 1770 2 19850 2610 1 5148 4635 2 10675 2352 4 992 4867 1 18524 5545 6 2068 1615 1 11383 303 6 8965 3474 1 15826 891 2 16860 382 2 314 3464 2 16240 6640 1 6877 184 2 15383 2023 12 16924 132 1 17530 1356 2 4183 5252 1 1308 532 3 4451 964 1 5854 644 3 2529 3400 6 5998 13 1 19604 5997 1 4417 508 1 14296 274 1 5610 5035 1 9529 5252 3 5675 220 3 14241 335 1 583 2521 5 8965 1357 1 3183 5346 1 14233 84 4 1091 2673 1 3504 5757 3 12184 7512 1 890 1825 5 18979 6637 1 13145 384 1 12306 2686 1 10179 2896 1 9793 4413 3 12777 3874 2 6611 225 2 18578 1698 1 15233 931 1 4624 5018 3 13601 2721 1 16205 5441 1 10498 2000 1 12283 367 1 293 7933 12 11860 1995 2 14746 1762 2 17777 6897 1 8191 186 1 5444 867 436 6579 222 6 6848 510 1 11293 1707 1 16345 6157 1 454 234 2 16797 499 2 11717 7235 1 15167 2104 1 6733 3462 1 13660 203 46 12593 5115 1 19731 232 1 19869 3203 1 8600 2443 3 3540 1762 5 935 4981 1 16420 6754 2 7188 164 1 384 5018 8 5983 1367 1 5514 3953 1 14297 3787 1 16185 6793 3 12916 2675 3 4411 502 1 18152 1825 1 17257 244 1 12817 488 1 5379 3634 28 11687 1450 3 13012 1721 1 12817 4026 1 3175 5747 1 19619 4403 2 19608 6053 5 13997 890 1 8714 5994 4 10242 1342 2 2795 6442 1 1459 5220 1 13735 506 1 13700 3423 6 10896 4716 1 4386 1304 1 12902 995 1 47 203 1 6256 1755 2 5676 6414 2 1191 1729 1 4177 6591 1 19814 1593 3 10377 1717 5 1667 1751 1 15691 4266 1 7956 4338 1 18014 443 1 915 831 6 12977 222 3 5373 223 10 420 1104 13 12896 1109 7 1465 2378 6 17400 5922 4 1718 203 13 20141 1732 1 3815 1184 3 12409 4739 2 20183 207 5 8787 375 1 2998 4204 8 873 7824 3 12241 3252 1 17695 1044 1 8198 519 3 10340 7128 1 8708 1753 2 9724 7624 4 15465 7484 2 10703 2831 3 1045 221 2 14500 1276 1 13347 1712 1 12219 3995 3 16781 169 9 6510 3724 2 17329 541 8 18696 7446 1 2088 5265 1 16236 1769 1 9188 1814 1 18040 5267 1 7312 3071 1 5596 219 2 6089 46 1 14365 7717 1 3253 4811 1 2951 222 1 11188 1235 1 15087 7707 1 9269 615 1 818 5336 5 5616 7952 1 6502 4320 1 19440 2760 1 15318 325 1 7022 7639 1 11808 776 1 11796 892 1 17449 214 1 11202 7844 1 5252 1502 1 5388 525 4 13919 5302 8 17220 8141 7 16121 6632 1 19197 4395 4 19840 3216 14 11079 853 2 6013 5084 1 60 2727 2 15834 6640 1 17996 863 1 19852 5268 1 15935 1248 1 16916 5820 1 7697 1783 1 3463 2109 11 3718 1960 3 16569 1901 1 15110 2669 3 12406 233 1 11621 1721 1 12489 47 1 7295 662 2 17549 1379 1 13768 7320 2 3110 2412 1 4019 6868 1 10354 200 2 17992 519 1 19144 524 6 20181 4653 5 16238 1334 1 1103 8200 1 16130 8203 1 16180 236 2 10240 1727 1 6910 2980 5 12466 173 6 13126 791 1 10279 3106 2 11078 508 1 13635 6481 3 1568 1819 6 19608 4635 2 6449 4960 1 13829 1253 3 13743 2419 3 5961 855 2 20017 1893 4 2104 270 1 14722 235 3 11289 2216 2 8549 207 5 3471 1776 1 7867 2549 2 9760 502 2 16533 2682 1 5105 3305 2 15184 1201 4 15047 3233 38 19912 6161 1 17638 698 1 11764 1512 3 17623 4293 72 8295 4714 1 7916 910 1 20225 615 1 7817 1150 1 14232 2268 1 19182 2729 1 20090 2953 2 16223 215 11 14326 22 1 9401 1764 1 10168 197 2 496 6473 1 17902 2715 2 4012 470 2 8112 1234 2 13513 1635 12 13032 5365 6 17436 772 9 17143 627 1 11283 236 5 17121 1363 2 13922 7229 2 6750 126 3 1908 3693 1 11411 533 11 15115 187 1 10948 1342 1 16895 4902 2 7455 7050 1 18705 512 1 2985 801 5 14447 2367 1 8105 6692 1 13302 2352 1 14599 690 3 17328 3473 1 9805 1714 2 10628 262 1 15761 1995 2 9390 867 2 14089 2615 7 16076 519 1 10580 6983 1 11360 877 1 5679 3419 2 3792 1363 7 14061 4312 1 2679 3599 5 9888 235 4 16303 153 5 3146 2619 2 14891 2641 1 7868 5769 1 17258 1078 1 20191 684 4 7136 1649 5 19724 1235 8 19649 1781 1 11755 519 1 11122 905 3 1171 303 2 6143 5206 2 10554 1184 6 16491 1732 2 14397 2677 5 4264 1101 2 730 3578 2 16130 5686 1 4170 5326 5 19646 6011 1 2526 1396 14 8223 642 1 1461 1705 1 13857 1692 1 9674 5499 1 17535 532 4 9491 2237 5 13027 589 1 7267 1245 1 12934 5446 5 18326 638 1 19401 723 1 18115 184 11 4284 4435 2 16283 2992 1 6603 412 4 8665 201 2 4233 1395 1 15362 7229 1 13975 187 1 12286 1727 5 15752 3062 1 14253 200 16 5700 1738 1 20138 7225 1 1318 536 1 5725 3377 1 10496 224 1 7203 4217 2 174 7878 2 16220 1781 8 14025 1825 8 4113 203 1 1423 7135 1 6420 4653 2 14580 1356 2 12897 1181 1 16018 478 2 3597 1781 12 304 1132 1 2796 505 3 13441 3639 1 2670 6327 1 8734 7223 1 341 8191 1 575 705 1 12817 222 2 1551 1241 2 9556 533 5 17416 8076 5 10844 219 8 4052 184 3 7414 6064 1 297 545 1 14601 6341 2 10580 3598 1 15629 148 2 15131 7861 5 11363 6743 3 14183 232 1 15225 6777 45 16563 498 1 2963 7672 2 5873 2478 1 13600 521 1 7502 512 1 4963 1770 1 6332 774 1 12701 443 2 12050 7146 2 6686 6515 1 15213 1883 1 12988 5419 2 4898 3645 6 18620 2831 2 9265 657 1 4655 508 5 14379 1374 5 10306 201 1 10218 7021 1 1312 6537 1 18874 1819 1 7147 366 1 2917 2511 4 9715 7828 1 10801 6228 2 12140 221 6 15721 4563 1 1519 2363 14 14660 2661 7 8632 1021 1 4207 3911 2 18728 1753 1 10080 3939 1 8980 1728 13 2260 7655 2 8369 347 1 14253 5413 1 14292 3953 2 10110 8064 1 18469 23 1 19607 1042 1 19272 471 2 14532 2534 1 11769 173 2 62 2772 1 160 7339 1 20050 200 1 15098 1374 53 1929 7670 7 410 3706 2 8367 1299 1 24 1480 1 7750 1741 1 5027 1871 25 17526 867 1 2365 4903 1 19538 2353 2 5290 3560 1 15362 1498 6 18678 7769 1 5095 1781 3 17903 6092 2 14428 6204 8 17331 1237 1 19219 2058 7 17973 2690 5 12737 2699 1 7476 3220 1 9840 3662 2 17746 666 1 18013 10 1 11326 4589 9 17713 33 1 10439 1781 1 2586 639 1 14522 794 1 11866 7884 1 9778 2893 1 9824 967 1 14218 541 6 15644 4096 1 10130 1643 1 10360 7824 1 11938 23 1 5416 2881 1 6228 864 1 18505 6091 1 12417 536 1 143 6600 2 18578 2254 1 20 1298 1 8969 518 2 17652 5385 1 11250 4245 5 14900 2673 1 11559 4929 1 10266 910 4 10856 957 1 8921 1827 1 2861 23 2 18106 1587 10 4539 4468 1 5021 5586 1 2857 4120 1 15614 855 2 11895 214 2 4207 518 1 15957 223 10 18350 1037 1 4547 1740 1 19273 3776 1 4332 207 1 14344 200 5 10458 7397 1 18859 5259 1 6145 380 2 19346 4521 2 11324 5035 1 5076 937 1 17257 5986 1 6273 821 1 18202 8203 1 11652 1460 2 14089 4446 1 11320 6714 2 9195 7414 3 5248 589 1 20248 82 1 5639 3549 1 11829 4692 6 455 6637 1 10475 201 1 9188 300 1 1275 207 1 2488 2528 1 8332 7213 4 8255 1729 3 10241 510 1 7550 6198 1 10272 2698 3 15194 200 1 15143 1705 1 5222 7433 1 13472 6955 1 4794 5336 2 6913 2511 1 16505 206 6 14123 6343 1 2036 422 2 845 2103 5 13587 545 1 3337 5466 1 10404 623 1 15632 1909 1 5003 779 3 17436 693 2 14262 5009 2 16202 2922 2 11597 2885 3 17260 1736 1 13835 7060 1 1101 3023 1 8386 3578 2 1962 5897 2 11665 2352 1 18590 34 6 6630 1420 2 8266 6397 1 4044 4042 1 5806 578 1 7237 3219 1 10247 1893 1 6989 3050 2 13399 398 1 8985 524 5 5022 215 2 5189 6331 1 9250 616 1 5261 1247 13 14281 6038 6 12343 3421 2 130 5777 2 8457 523 1 10005 1416 2 5458 4916 1 10999 2869 1 3556 203 1 10461 4115 1 16499 3255 1 16300 5037 2 11720 7672 1 286 3567 1 9180 219 5 17084 5002 2 11583 340 1 5424 7633 1 11769 3598 5 17039 2378 1 10169 2013 1 8425 1778 5 10997 361 1 3233 2686 1 3530 519 4 13155 3556 2 14996 7603 1 6332 608 1 16403 46 42 17290 2097 2 16861 3491 1 9628 568 1 6913 409 1 11349 532 2 18548 2488 1 11556 2675 4 12620 4403 1 18742 6427 1 18905 2355 1 15311 1243 1 8438 4317 2 15373 7683 1 7149 235 5 4023 5858 7 13815 187 17 15894 4992 2 2442 514 1 20145 1736 3 9498 3525 1 19999 2016 1 5696 6341 7 19706 2155 1 16421 4793 1 1005 1235 5 9660 6897 1 11445 186 1 126 5597 2 9477 1784 2 19149 4280 4 19319 222 1 13119 910 2 2405 2355 19 18741 6526 5 15970 6892 3 4253 5243 6 124 4010 1 10733 1819 1 14111 5806 2 5195 222 5 15321 1955 1 886 7221 1 11150 6714 1 15845 712 1 5097 2478 3 668 6281 1 999 4902 1 14527 3400 1 7584 4314 2 15468 1745 2 1607 232 1 1872 498 6 349 3431 3 15776 4693 1 17094 6597 7 6215 4085 2 8102 2216 2 15368 2100 1 17710 2238 20 10584 3203 9 13234 1910 1 13543 1124 1 14310 4296 1 10862 2557 1 8451 188 14 17985 508 3 11872 8094 1 5615 3530 1 15328 536 1 9799 7655 12 12 541 6 7431 7320 1 8674 2686 2 6473 3511 10 460 1728 1 6718 203 6 19076 221 1 3832 2352 2 1491 397 4 15701 883 1 5755 663 6 3127 498 3 18724 1423 3 11085 6180 2 12343 3207 11 11968 10 1 18042 2490 1 8614 3020 1 17824 1825 1 17541 95 6 6593 4351 1 5977 1727 6 13723 3588 5 5108 3916 5 11498 510 1 17961 1303 1 9952 7420 6 5612 366 1 15173 6197 1 9759 533 1 1945 2675 1 8182 3263 2 1519 1770 11 658 3163 3 17664 232 1 2513 545 3 1137 623 3 847 5517 1 20202 2969 1 2905 2341 1 15339 508 1 19759 4099 1 5823 206 4 9639 6714 4 14951 186 5 10105 1743 1 10966 508 1 8405 402 3 13905 5390 16 7542 1710 4 8629 2115 1 96 201 2 17205 1244 1 12020 1831 1 12412 945 2 16845 219 11 2545 638 2 14526 2064 5 4685 84 1 4784 187 3 873 4343 2 11430 1253 1 8665 220 3 704 2908 1 8615 2067 3 10786 1307 1 8051 1335 5 9110 4512 1 12662 1251 7 291 420 1 5990 5433 7 10766 223 1 4614 4233 1 14692 1464 1 10416 1142 1 15938 2860 5 15888 2605 2 12501 525 1 5195 1748 1 10108 207 15 696 4042 1 19680 5570 1 12982 2521 5 8056 3512 3 18581 5031 2 745 4657 1 20244 869 1 11387 6962 5 12545 23 2 16132 747 1 4246 6874 3 14935 5748 1 31 1235 6 7804 2254 1 1134 2056 5 8952 5256 1 2107 581 4 17353 995 3 92 4125 3 13684 1199 1 17647 1037 1 16460 4222 1 17416 8045 1 6085 3333 1 14558 5132 2 16847 7850 2 13124 1519 1 8291 514 15 14244 7397 1 11472 2216 1 4769 4398 1 9163 100 2 15199 4954 5 6213 1745 1 13827 214 1 4232 175 5 7019 3979 1 10761 4090 10 126 5671 1 3914 2586 1 14800 803 10 6236 436 1 16036 7948 1 10293 1235 2 15456 203 1 2871 8168 1 17250 3779 1 8683 4500 1 808 1146 2 181 8239 1 11336 5549 4 7065 2600 2 9937 4201 7 14115 550 3 17710 1724 1 5757 2363 2 11212 864 1 7750 495 7 5320 1582 1 2126 7894 2 9405 1801 1 6024 1734 1 11786 7641 6 8943 2256 1 4757 1814 1 16481 4102 2 14211 128 2 15283 6702 3 220 910 2 19597 4721 1 4131 8111 1 6360 274 1 17337 252 1 14804 7853 1 4033 206 1 19211 677 1 7460 200 21 4873 7670 2 8634 4521 1 7404 3634 3 5118 5041 1 14934 6009 1 12496 1296 2 16176 995 3 582 4333 1 73 649 1 3226 5565 1 6376 4014 3 16148 1302 3 8451 5897 4 7444 2261 3 12430 23 2 3894 201 2 12142 7414 5 3663 422 1 1968 4948 1 18132 4322 4 6878 4325 3 15978 7477 7 198 189 2 62 2851 1 19193 212 1 12228 2013 6 9894 5487 2 4397 1247 2 13887 206 10 785 1738 24 9091 8183 9 10422 3370 8 15359 7997 62 17143 219 1 13800 2511 8 14873 1322 1 11804 3083 4 12700 5399 1 7176 1146 2 17197 6053 2 14259 2106 1 6057 4188 56 18489 7740 1 2882 3629 1 5332 1033 1 1277 4019 4 11294 1737 4 11125 8175 1 5338 3669 3 8313 4739 1 9457 4267 1 10879 2262 2 2544 534 2 6540 8099 1 1893 5513 2 8223 1048 25 17615 3625 5 4909 533 17 17903 1819 4 349 3992 5 19415 3311 16 18678 3262 2 14011 1686 2 12652 5304 1 13787 1707 2 6329 7424 1 2143 4230 1 17162 1887 1 4146 1707 4 11957 2606 1 3879 1632 1 7210 333 45 1642 3540 1 19137 4107 1 16000 1751 2 14565 7477 1 3449 2620 1 7065 3972 1 12014 7809 1 8291 1720 1 3874 6406 1 4696 1798 1 16096 1707 1 3853 3672 6 18138 7895 16 18289 2478 11 16814 200 1 5630 4671 1 16565 4986 1 14638 207 1 7386 7759 6 9949 6799 5 13231 1635 3 15709 8103 1 6757 3283 1 12998 4572 8 8735 2576 4 954 1663 1 13065 214 1 7148 5302 6 8435 847 1 35 1902 3 14324 2344 1 9321 1780 1 5952 1545 3 4829 215 1 5117 335 1 1722 203 67 17947 3645 1 15947 2617 1 139 6343 1 1587 589 2 4256 223 61 11755 4613 1 12485 6534 3 13245 3588 7 16886 4020 1 7317 916 1 3854 411 13 5753 207 1 130 573 1 3871 1832 5 708 3970 1 3668 891 1 12275 2021 2 11999 4124 1 9291 6363 2 12380 4992 2 13646 2830 52 1786 534 2 19233 2831 1 16456 6502 1 17909 3774 1 15788 3511 7 10584 1672 12 14633 5251 2 3496 1827 5 8532 2675 3 15778 2006 2 689 6226 25 15408 2675 4 16118 7899 3 3005 6051 2 13750 3190 1 11310 28 1 19641 5054 3 17748 840 1 15054 2580 1 15184 2525 4 16484 1364 7 12584 6256 1 19455 471 6 14515 518 1 126 5590 1 4688 2936 1 17771 23 9 6690 1567 138 13329 3151 1 85 3211 5 17500 3081 1 4972 7995 1 2147 2661 1 12988 501 3 8362 2686 1 1645 413 1 3547 8194 5 17369 5020 1 10613 1416 1 4130 4811 3 2175 220 3 20017 786 1 5619 23 3 6570 1046 3 4183 4403 3 14089 3 3 143 6528 1 12027 5253 1 18749 791 1 1579 7205 15 7452 7410 2 17314 6107 1 16852 3385 1 6806 4963 3 6506 4950 1 16700 774 1 135 229 2 12817 1044 1 1332 887 1 7652 7234 5 4539 224 24 18386 4394 1 6853 23 1 8965 1246 1 15542 370 1 19813 853 3 6323 2103 1 17441 3556 1 2696 201 3 6762 1444 2 9322 1789 1 13806 556 1 13031 2636 10 13030 581 1 12541 864 1 16388 2649 1 15256 533 2 6013 6615 3 7994 810 1 18481 7052 2 6617 1721 1 4512 23 4 171 7778 1 1590 756 1 201 7184 1 476 7237 1 15329 7996 2 10027 1374 2 10161 1249 1 18213 7018 1 7188 506 2 14666 4369 6 6838 3050 5 1065 4852 4 18859 7997 4 14994 1135 1 2151 2646 1 11339 1703 4 5952 7890 5 4958 203 46 10849 5978 1 1962 3698 1 3776 8010 1 13824 11 1 12230 1768 2 16016 2852 1 17156 975 1 6752 670 1 8821 5981 6 6556 4946 10 18792 6993 1 19256 2443 5 19982 1736 5 17195 1188 1 13574 3652 1 10575 671 1 215 5258 1 16669 3337 1 3837 2750 1 5559 7702 1 14298 6031 3 20148 1366 1 17404 507 1 5261 411 2 11645 6675 3 17235 3219 3 3459 910 4 10330 1698 1 7211 622 5 8378 6968 2 13574 1770 9 3740 2151 1 1465 1417 1 16036 6442 1 14681 335 4 7988 2989 1 8596 5325 1 10957 4204 1 16180 231 2 4859 532 2 1345 6551 2 10961 6192 3 17788 2903 1 2885 4435 2 14816 1388 9 17873 1748 1 1023 1726 1 1202 4379 1 8952 3851 1 4489 6591 1 130 5829 1 13950 1441 1 12117 3081 1 4387 2559 1 17907 5020 1 8531 509 20 200 5447 1 10882 82 1 2698 1819 7 4617 4009 2 10143 196 35 5401 859 1 4040 3511 2 5378 514 3 6520 883 4 6997 564 1 15091 3853 6 164 6140 1 19486 751 1 18089 4413 1 13328 1986 1 9692 4436 1 14015 4868 1 14161 5565 1 2023 203 7 4337 232 5 18577 4303 1 6387 3293 1 3521 235 1 6906 6414 1 16197 939 1 2046 1256 2 8237 3477 1 3813 1774 10 4784 1781 1 2387 1342 5 10019 7853 3 10254 5928 14 3103 4964 1 320 4609 1 19731 8230 1 15833 234 1 5249 520 21 14290 1396 1 7809 666 1 9839 1727 1 11786 7085 1 5303 1495 2 14402 1613 3 171 1296 1 11085 4203 1 13609 236 4 17169 7165 1 17777 222 2 15634 2250 1 14151 1303 1 8278 723 1 1005 214 1 9660 3537 1 19495 1268 5 12489 1917 1 4767 219 10 7129 1752 3 1147 6482 1 17472 2338 1 11786 2028 3 3037 3079 1 33 1832 1 11365 2912 1 19730 6487 2 11955 366 1 10923 1909 15 17981 1748 6 138 148 1 2116 2675 1 8982 226 1 5725 4318 5 11006 5604 2 4960 6702 1 14758 5332 3 7823 3417 10 4079 4977 4 2866 221 2 12706 232 2 10119 2638 2 4644 864 1 17326 1480 1 6457 7422 1 14405 186 5 9265 3923 5 11388 5499 3 13014 5730 2 16835 3068 3 10398 252 4 8334 63 1 8742 4976 1 12814 186 1 6776 1736 6 15827 4603 34 11611 7594 1 13591 505 1 16559 374 1 16546 5852 1 7294 5100 3 7099 411 1 14898 7538 1 3705 2676 4 16727 1779 11 2985 926 1 5025 197 1 6009 1718 4 18730 1274 1 19045 525 2 1495 10 1 9445 1450 2 18520 1484 1 9783 1136 1 16467 1341 15 11603 1738 1 12949 397 1 1830 214 1 17813 5120 2 16310 355 1 5483 3840 6 1629 3382 1 19924 1246 30 1349 413 1 19727 4599 1 13821 1721 4 6228 186 1 12909 3213 1 12679 200 7 2346 5105 1 9817 4041 13 3438 5531 1 5423 74 1 10272 1150 2 12424 7929 1 17472 2206 1 18056 7205 1 3718 1252 3 2445 1897 1 12168 4954 1 4049 4158 1 18386 3546 2 15155 805 9 3096 5352 2 6130 839 2 5022 64 7 17595 203 2 2423 4280 1 12361 947 6 1150 2555 1 14738 3320 11 16689 3473 1 19004 3478 1 5482 7414 1 5881 200 26 8566 363 1 8152 5730 1 9737 4013 1 17645 2261 6 10595 1236 2 19862 232 1 18001 2622 1 6089 6868 14 3000 5945 4 8793 4299 1 4107 4500 3 16073 4623 2 15853 534 1 17195 1139 2 8157 3195 5 13653 269 2 7039 244 6 6749 7890 1 8626 4680 1 16853 805 6 17478 1825 1 7787 6279 1 684 1703 2 18162 4992 6 9057 8135 65 7646 1190 1 7799 2721 4 5724 482 1 5592 303 15 10246 5018 1 3549 78 7 12029 8026 10 19552 2960 1 12533 4720 1 5440 2675 8 16346 2729 2 6287 3206 1 9743 4387 1 2529 605 1 3100 510 1 13660 411 1 20235 203 3 3638 156 2 15104 3474 1 9864 5322 2 9865 244 9 2020 407 2 64 3076 3 11297 495 1 2629 8026 2 14522 1825 2 15714 867 1 1825 207 52 19022 201 16 114 5120 1 9537 1721 5 4092 397 3 29 1669 2 16980 741 9 6114 6575 1 11333 905 1 12731 3 1 12550 1466 1 17647 4211 1 11279 1819 1 14756 3333 2 11693 7414 8 7376 1315 2 10592 7474 2 4410 2737 1 8580 3637 8 233 1330 167 16586 2584 1 17457 4268 1 4947 3283 1 1634 4669 1 605 1825 41 11535 1595 1 6242 411 4 15318 4998 1 4655 220 1 12489 1271 1 18462 532 1 2072 5257 4 1635 6396 1 15321 223 1 124 5386 2 16464 203 6 7147 3050 2 7413 4446 2 19486 937 3 17323 206 2 16157 201 2 15885 2502 1 19739 411 1 13328 5570 1 6164 4019 1 11029 1703 1 2772 3352 1 11882 3652 1 15430 3011 1 4187 1713 1 11504 593 1 11786 6933 6 18191 3423 21 6254 3078 3 13023 2480 1 17719 5 1 4573 411 34 15870 1644 1 6158 7401 1 3407 1907 1 16924 4575 4 1882 1757 4 10143 2355 6 8537 361 1 18665 6092 1 2826 7869 6 19997 5018 1 14800 883 6 2389 647 1 4054 7267 3 19512 1342 1 2584 1296 1 10468 5719 2 1868 3911 37 2707 3526 3 11417 339 1 11418 1146 4 18656 1732 2 9104 3464 2 5960 4488 2 18862 3062 1 5928 7473 2 9228 5730 2 6055 7597 3 18614 5506 1 3136 1271 3 3739 215 4 16649 10 8 15484 1740 3 12883 4369 1 15025 4010 1 2437 411 1 9978 1249 3 16635 849 1 153 6924 1 18431 3972 1 14394 1537 1 10146 7719 10 8638 6952 2 2081 2503 1 18939 6486 2 17967 2240 3 13329 2268 1 17884 506 1 14532 2778 3 5199 7750 5 19865 15 1 9090 2560 3 10621 867 8 108 4864 1 13737 2743 2 7148 6457 1 3886 2588 1 9131 367 1 6683 218 3 3769 1996 1 10519 3298 1 4676 222 1 7569 4780 1 3307 525 1 6010 196 14 8370 8212 2 1825 4413 1 7304 1263 165 8762 3493 1 10376 6102 1 11844 173 5 13205 6591 1 6781 1738 8 40 2109 1 10394 3482 5 8134 4299 1 1653 5004 1 17993 1775 3 18056 7701 2 5389 443 1 1345 1374 2 15874 844 1 15328 1345 1 15318 223 1 1904 3911 1 17932 74 1 6906 3539 1 6275 5903 1 3743 158 2 11423 3023 1 2461 7216 5 10034 1072 4 3718 1747 1 18574 1781 1 6801 5257 21 9216 1921 1 17850 1727 1 13353 7542 1 6692 5501 2 19673 4186 1 11848 1658 6 16916 6018 1 2738 8031 1 2198 1238 12 20154 3705 9 14388 2673 1 8590 220 1 18657 6435 1 10010 3666 1 20016 4293 5 11783 6368 5 6713 5520 1 684 201 9 2037 222 3 11603 1482 1 10299 2677 1 10837 200 11 11786 6900 1 5875 1714 1 18237 367 1 7663 1146 2 16177 1369 1 13543 3623 1 19826 695 1 15257 1250 1 1422 7706 24 15880 2708 7 2917 1649 1 11820 229 1 48 2436 2 5566 5157 3 877 2027 3 11786 1443 4 17003 2004 1 12459 1235 1 1866 4622 9 835 2407 1 16354 4662 1 27 1604 5 7857 221 1 17655 206 1 4886 1991 2 1607 74 1 6889 5513 4 8832 2367 1 13362 207 2 268 498 4 86 3979 1 14091 1903 1 3484 2381 5 16698 1346 1 19401 532 7 50 2515 1 14421 3233 10 7403 23 4 5519 1466 1 5208 5950 6 5861 939 1 18148 7365 1 10972 3900 2 496 5972 1 8105 2291 3 17996 545 2 9935 5493 3 11213 11 2 17664 1253 1 5141 282 2 5674 3556 1 15918 8190 1 18180 3268 1 8611 3637 3 10966 225 1 1281 201 3 8021 3074 5 4539 225 2 2513 6663 2 2460 517 3 6840 710 1 8121 3980 1 19201 328 1 26 1549 1 19969 1990 1 164 7487 1 11131 5792 1 6332 548 1 17298 2541 4 17946 5570 1 5121 1686 1 2761 7201 1 1300 600 1 9656 4258 1 18030 229 1 8032 3452 1 1062 716 1 6223 7719 1 18237 2727 1 17645 1728 1 9586 8126 5 5421 3619 1 12078 2823 14 14537 1384 1 6715 843 1 15635 564 1 20191 766 6 14278 3316 2 9968 5543 1 12537 1464 1 745 1246 1 13227 2955 3 14954 6676 1 18635 7466 1 13998 8012 1 4753 5252 8 1133 4090 2 11648 502 1 10852 284 6 18722 1710 2 5804 2423 1 15870 1781 2 16471 28 1 7148 3263 1 536 6719 2 17992 158 1 680 2078 1 9533 2691 1 661 495 1 15509 1819 5 10847 711 1 5711 411 1 6355 2508 1 12271 1209 1 31 1453 3 10663 2731 7 19713 1779 7 11453 197 1 2507 4758 1 15807 2099 2 12753 1252 2 1580 6252 16 6418 233 3 18434 2355 1 5959 7029 1 4506 2727 5 4930 206 1 19952 6170 1 19774 4233 1 1677 4635 1 94 4240 1 14374 524 9 18069 7045 1 11 485 2 2135 65 2 5319 235 2 7577 1582 1 20091 4811 1 16168 4261 5 15943 1085 1 17884 156 2 16546 3573 2 15861 215 1 4121 10 1 16063 5505 1 19534 3247 5 11747 4794 4 10042 6334 1 4664 631 1 538 81 11 13411 910 1 16916 2522 1 3612 3063 2 11769 4604 1 9188 601 1 1231 1328 12 8088 6278 1 19912 498 1 6848 225 2 4763 1286 3 1009 3378 1 14736 2777 4 17242 2520 2 14318 359 1 18066 7975 1 6229 937 1 3065 5306 226 2927 3836 1 9029 911 1 10037 1819 1 6735 1406 1 17669 1705 1 17521 4435 4 14131 2552 3 4060 1645 3 124 5505 1 8966 1770 4 13541 1990 4 12075 1133 2 2303 508 1 222 437 1 17326 3206 1 16792 1819 2 174 8101 1 19983 3294 1 5009 2864 1 86 3968 1 15310 5289 3 10572 1686 20 11597 3961 1 8044 7809 4 3241 883 1 17809 2555 2 604 3419 1 18211 4303 1 10146 6645 1 16143 1432 1 13351 2341 1 13132 548 1 13371 2192 13 18178 3511 2 7575 1776 1 16301 4011 1 18639 449 1 19404 34 2 19228 3556 1 491 5996 1 12274 215 1 6867 3417 1 13445 743 2 18939 1237 2 7039 215 13 18226 6185 1 15360 57 3 19632 201 2 224 6368 9 4925 3980 1 1247 199 186 7999 382 1 11871 4649 2 11261 1249 1 8015 411 1 4571 8145 1 3189 8054 1 10995 5325 5 19272 7396 3 1705 744 1 14708 436 1 8297 828 1 18623 232 1 11311 498 1 1454 4059 1 14375 3208 1 4716 3333 2 17291 215 1 9187 5251 1 3581 206 5 12888 223 5 10267 4992 1 2790 544 2 9566 4307 1 18822 4459 1 13883 947 5 4486 5203 1 8620 5515 1 6333 1357 2 15314 4702 1 9810 1714 1 19833 5312 1 7507 2888 1 6926 4211 1 18281 2864 1 2423 5297 1 5925 5385 1 8826 1251 15 4626 7101 6 13508 4107 5 19625 244 1 12 519 7 20013 3706 20 13294 5555 3 17500 1395 7 7688 5264 1 10215 2030 2 16674 221 15 4263 4597 5 10203 6218 1 18602 46 1 6016 709 1 17448 4566 2 16618 1423 1 3755 206 1 11551 2321 3 19429 530 5 19920 206 2 18115 7953 8 16473 533 2 9868 478 1 6057 7511 1 7070 1996 1 873 5251 1 4657 1965 4 15437 201 1 17696 4099 1 1718 524 12 10105 6892 1 13473 1775 1 12476 1698 6 910 398 1 12817 2056 1 4193 190 1 18237 1757 1 17633 5311 1 6628 1455 1 8528 203 1 54 2616 2 17319 2480 1 16614 6772 1 7311 6946 1 9215 6441 1 15870 201 3 16827 1732 1 11230 2448 1 14376 6414 13 11533 911 1 10579 889 1 164 7444 1 5859 1252 1 5939 2671 1 130 5798 2 1275 4435 1 2653 3872 18 14656 5018 12 16391 506 4 10178 206 1 19901 5020 5 17724 1819 3 15468 6500 3 16977 225 6 11962 1203 1 8093 5522 1 7179 857 2 16199 6207 1 5840 1938 1 7024 5986 1 14728 470 1 185 203 1 3703 1764 3 12855 536 1 651 3558 1 11869 3279 3 8769 419 1 1969 5817 2 2169 3325 1 5019 5172 1 6989 788 1 10399 1363 2 5421 836 1 14763 663 1 15687 1305 1 12231 692 1 10327 1732 2 14217 4562 1 20174 3233 6 13084 3671 1 11736 186 1 12165 34 1 18451 3333 3 5347 3742 1 124 5504 1 12237 3230 2 1504 1990 4 15266 911 1 4787 1561 5 4617 2422 6 3863 4623 1 1212 891 3 19872 5385 1 115 5168 1 3870 1698 1 4942 219 18 13909 5686 13 15083 2958 1 12054 7003 3 15104 534 1 2770 3242 1 19870 232 1 15117 228 2 17388 1964 1 10179 5860 1 19992 6729 10 19984 1755 10 17353 201 2 14657 4615 1 18230 7236 3 14667 530 1 11334 5325 1 15501 222 1 18887 4992 2 2382 8192 21 17082 4083 1 7061 4242 2 13219 1464 4 15752 853 1 7127 6181 1 13399 225 1 3131 561 5 613 2663 1 14813 3619 1 6479 3980 1 11219 7149 1 11786 349 4 10236 3278 5 8094 7427 6 19486 4403 1 11094 1101 3 4068 1705 1 167 7559 2 6619 1747 2 5335 7633 1 19275 7580 1 6234 755 1 7096 222 1 7650 23 5 2813 386 1 16271 788 1 507 525 1 8763 8190 2 1711 752 1 9279 1250 1 16730 2869 7 18405 7129 5 9288 3901 1 12363 540 1 26 1548 1 11968 867 78 13161 7976 5 464 95 2 9993 1729 1 12610 1237 4 6544 3511 1 8484 6023 1 14678 219 1 6739 5730 9 6987 5484 1 15721 5724 4 6690 1244 11 13743 235 1 11931 4296 1 16096 2727 1 16401 6268 1 16109 1698 5 3991 168 4 6183 1248 1 16660 5083 1 4267 186 1 18546 201 3 6813 6507 1 18434 1363 2 8636 541 1 12868 3889 1 8690 7963 3 9520 6441 1 17486 2297 10 11929 6200 1 17395 1342 1 11201 505 1 15269 1292 5 16767 1339 1 4468 2675 221 15374 5730 1 87 4009 1 12890 1250 1 4092 2918 1 10856 6677 6 17298 2831 1 18246 7 8 18886 467 5 8198 7098 1 5922 7570 5 11872 156 1 9586 1747 3 5254 3170 2 10676 1239 1 15939 3603 4 2973 501 3 2319 2737 1 547 2097 1 5806 2831 1 5677 616 1 11467 624 1 19090 386 2 10327 470 2 4933 3322 3 3355 541 1 16368 490 1 853 5349 1 10733 3684 1 7549 1001 1 4855 3370 1 19908 3371 1 7626 2131 18 11428 3911 14 6243 1729 1 15145 1731 1 15323 2349 1 17476 7477 1 12322 1296 3 3199 3132 1 12988 184 7 2880 4400 1 19221 1812 5 18792 637 8 9546 467 7 9916 497 24 8287 219 1 10766 6102 1 8835 5202 2 12453 6535 1 15041 186 2 6916 1587 1 8872 1738 1 824 7471 1 17285 7573 4 2985 1428 2 8391 2872 1 4496 1342 1 9209 1781 3 12380 6341 4 11968 6533 2 5052 2240 1 992 1745 1 3515 2678 1 7905 5008 12 6135 633 1 12392 545 9 18717 6125 2 2566 470 11 14931 3540 1 11042 1244 1 4276 1946 2 5914 2864 2 9321 3983 1 20068 1736 1 12929 1307 1 18189 233 4 19557 165 2 10489 5270 1 2116 880 1 17131 2899 1 11675 4252 1 10390 1782 5 9310 186 1 2748 6646 2 6758 550 2 9477 4429 1 14988 6423 1 17309 6705 1 7974 498 1 7545 6772 1 4180 7518 1 19294 3230 1 2608 1538 5 11189 2678 10 11591 554 1 4144 5289 3 2715 5964 1 3705 3869 7 7733 1995 1 3763 3900 5 11367 46 8 12838 1222 1 6221 230 1 10941 6705 6 4436 7850 1 17518 3065 1 1488 3600 1 3619 520 12 18425 5051 2 11964 470 1 18558 203 1 3399 7466 1 12343 6487 2 6511 3058 3 15549 3915 18 14998 1304 1 4495 4352 3 8597 6100 1 1485 1667 2 17805 3972 1 7928 1450 1 13031 191 11 10264 579 1 13775 7446 1 8198 233 5 10339 3526 2 5264 1498 1 13590 589 2 1748 5348 1 7872 3164 6 16674 3569 6 2303 1482 2 7076 5162 1 8343 234 1 4375 1990 2 171 7662 1 15298 2029 3 20214 2407 1 4536 6140 1 11937 8072 1 15394 1745 3 8532 1756 1 11 419 1 12016 891 8 7626 937 2 4303 1825 1 877 1303 3 5199 3666 6 12853 2009 1 12824 5086 1 6107 4022 5 311 7216 1 12609 2549 1 16674 220 6 11769 235 1 6654 5419 3 16024 4367 2 1416 6289 9 5923 353 1 3485 1743 2 8520 8096 11 725 198 1 5433 1245 3 18026 6482 1 10697 3921 1 12325 778 2 5657 7601 2 8727 7399 5 6801 1717 2 15600 3414 2 10382 2114 3 10443 3592 4 4464 7244 1 16700 785 1 16691 5115 1 4242 6949 7 11955 3409 2 18174 1782 1 9180 198 2 17742 168 2 13999 2521 1 2935 1278 6 11964 1357 1 6202 4599 1 4680 5547 1 13570 800 1 14652 1112 1 18995 3233 1 15186 1771 4 7630 7020 4 7942 5294 2 3759 6180 1 14187 6561 2 5117 561 1 9725 2009 1 17496 917 1 14451 6891 7 3307 220 1 886 7809 2 9743 2127 1 115 5212 1 62 2954 5 13619 1146 1 14729 235 2 418 6159 1 19522 1883 4 17659 3721 1 3466 6568 1 10160 4175 1 10815 289 1 13734 828 5 10146 2534 1 3536 390 3 10107 1721 3 8957 6618 1 10592 1721 1 14926 1871 1 12718 219 1 18867 3625 1 3881 367 3 4694 1954 2 975 23 1 2303 3878 2 48 2383 1 107 4808 2 9037 2534 2 8054 316 1 18651 8183 8 8995 841 1 19547 2504 1 2298 201 1 6215 1342 1 16378 206 4 15259 220 2 6631 206 5 9416 5504 5 19500 221 21 7857 229 2 13801 207 2 12133 700 1 19630 1737 3 7757 2019 1 17340 2675 1 13761 2261 30 16281 219 11 1114 2686 1 1399 2619 1 19354 7527 1 12153 336 1 13420 855 6 6628 3534 1 13416 8217 1 34 1846 4 8710 2258 1 1373 2675 5 18033 6993 10 7966 6618 1 14587 4233 2 3250 499 1 4213 1825 1 8330 5220 1 20154 7994 9 1752 1131 1 35 1891 1 3233 7225 7 13922 1734 1 18981 508 8 812 8047 5 1668 23 1 11192 404 1 7894 3367 1 10610 1768 1 1466 7640 2 3166 95 1 9061 2964 4 16933 7515 1 10975 206 2 13461 1710 7 16891 46 1 19763 54 2 15791 66 1 3376 5018 1 9778 885 1 6425 743 1 19243 1744 1 3233 6204 10 12174 1819 1 7285 4339 1 14881 6064 1 13850 1747 1 19111 3230 6 6249 4811 1 9978 1322 1 14562 411 1 7994 959 1 11742 4822 2 3375 1582 3 3822 2791 1 12919 1367 3 5963 4206 4 14884 4306 2 7476 3411 1 10327 889 2 452 132 3 19722 1023 1 7866 4065 5 12378 52 1 279 6231 23 15429 1734 1 3337 6959 1 13758 7930 1 15096 3781 1 16963 1737 2 10283 7857 1 8198 6687 7 14352 308 1 15048 1788 2 5725 914 1 10391 427 2 11108 3556 1 14522 1241 3 11637 914 1 3718 6231 3 16958 5903 3 9688 1395 2 8649 206 1 10918 496 1 6420 4710 1 9630 134 1 11 401 1 13526 2410 3 18488 1495 2 11591 718 1 17788 1250 1 5982 2649 2 10077 5022 1 19597 2353 4 1870 3477 1 7875 3629 1 9270 7809 2 6263 7433 2 3233 2649 1 5860 6202 1 13195 4998 18 10488 173 1 18876 3430 1 10027 214 7 18125 3512 1 18950 497 1 16916 1373 1 10179 4384 2 14990 3227 3 1962 7030 3 13238 1063 1 3488 1686 3 3641 880 6 1120 672 1 1817 7215 7 6692 196 3 9691 1827 6 5356 2061 1 13065 1814 2 16848 3367 3 7188 1698 2 1379 2503 1 1990 5234 10 6003 221 3 12328 5361 1 11066 303 1 3581 3654 1 14835 2291 3 7010 397 1 6086 506 6 17136 1819 2 13 924 1 6732 3361 1 16110 4947 11 15792 3167 5 2380 5331 1 3240 1781 3 1630 5922 1 6916 2228 1 10586 1721 1 4613 3980 1 18286 800 1 1610 397 1 13021 554 2 9449 1615 2 19680 541 1 8520 867 1 1696 4104 1 2068 11 2 8657 2555 3 12902 5420 12 17257 7030 2 14705 2351 2 18835 1764 1 17013 4384 2 16530 367 2 5258 6170 6 10137 3648 1 8051 418 1 8362 1728 3 4524 2817 1 8320 542 1 1488 880 1 4379 201 3 16083 2678 1 14695 6991 1 4913 4518 1 6256 3444 7 10060 7403 1 2002 3047 1 5176 1724 1 625 1332 1 6853 2489 1 155 7134 1 16236 1764 4 14696 221 1 6956 229 1 18534 1732 3 17992 2989 1 10065 5162 3 4606 1760 8 8013 347 1 2934 6500 1 15909 867 1 12230 3607 2 3788 1769 1 3090 1827 10 3491 2555 1 9767 201 10 771 1372 1 10912 4582 2 3258 3578 5 11050 201 11 18614 1295 1 19588 3899 1 15978 1951 3 9104 8188 4 8066 3855 1 4572 1277 1 17992 2297 1 4312 221 1 6592 905 1 7040 6656 1 2936 3791 1 8120 7463 4 745 1764 1 8995 5436 1 2267 3840 3 1453 344 1 11072 863 2 9638 3563 5 10302 497 4 11645 1814 2 7463 1273 2 9566 6484 1 2309 2737 2 6473 1995 3 13635 5460 1 11411 4615 3 19049 1472 1 11788 631 1 181 8259 2 19326 1007 13 2678 525 1 2194 707 2 4739 1706 1 2879 1587 1 9993 4123 1 2045 411 3 11072 197 3 6544 6091 1 3372 1737 1 4086 310 1 17771 4203 1 11510 1778 1 105 1291 1 4735 1721 1 10959 2361 1 3045 6561 9 100 4542 1 7582 525 1 16011 3447 3 14753 14 1 17738 3705 1 2195 3065 1 7022 7256 1 15854 1719 1 17631 201 1 11134 3447 3 12077 74 15 7217 2970 1 759 4331 3 3051 2143 1 15683 5013 1 1518 6162 2 8105 5800 1 1 1 1 8134 3208 5 4490 545 1 15113 845 1 6012 2811 1 6670 6937 4 11388 188 1 12283 220 5 1043 3556 1 7822 2876 1 1344 2354 1 19056 6756 1 6323 1740 13 18887 222 3 13414 532 3 17573 5810 1 727 3275 1 9825 1710 1 12903 2403 1 16215 243 1 20090 5294 9 18735 1686 1 1893 3811 1 7962 8029 3 4663 2729 1 8137 1991 1 9310 1164 1 19624 5783 3 18561 3552 1 19237 383 1 17872 3645 1 10015 4492 1 5246 7820 6 8910 7857 1 12801 219 1 3436 23 4 7480 512 1 15782 689 2 12909 2898 12 2248 194 6 5036 1395 1 8464 4791 4 11988 7734 2 11106 4622 5 11008 3798 1 11588 5730 1 13702 1073 1 14087 2636 1 6624 5874 1 13065 1342 3 11849 767 1 9776 7980 4 11156 6219 2 5025 3647 1 965 403 1 4105 1282 1 17556 4330 1 5005 2671 2 11446 7450 1 5677 894 1 13910 1770 1 13461 7741 1 10207 4996 1 18738 2151 1 6010 1369 13 15187 1718 1 11889 445 3 3586 4623 2 10856 1453 3 16483 442 1 17388 5628 4 11422 590 1 3807 1245 4 2902 1717 1 15932 5288 1 1140 1775 1 15343 3275 1 13487 172 1 19201 276 1 15220 2076 1 18935 1250 1 13743 94 1 12065 867 1 1539 5243 1 16624 5077 2 5082 3747 1 4082 1737 1 992 4459 1 17889 6686 1 14877 7275 1 4561 1182 20 11964 6607 1 6713 5402 1 719 5269 3 6835 3364 1 13899 223 1 16000 222 11 9302 6053 2 8566 200 7 17176 1184 1 10907 4338 1 4634 637 1 4250 6914 1 12393 3323 5 5775 232 1 14908 2927 1 16916 2109 2 7946 1747 1 6348 670 2 13414 1146 1 18155 1184 2 8957 6580 2 19147 201 1 16641 3584 2 3406 4069 1 18064 6952 1 3870 2737 1 2739 65 1 3459 6868 19 17508 203 1 8730 838 1 11766 6064 2 7910 7432 1 9660 2448 1 13017 1271 2 16961 3836 3 12283 215 12 12562 864 1 1086 3556 1 4376 2089 3 6837 4621 1 18326 687 1 7795 4103 1 13656 1731 1 17340 1252 1 17 1085 2 9255 1819 1 10699 378 6 16547 229 1 2816 229 1 19878 8247 10 4234 722 2 12918 3389 4 9450 1718 1 553 6192 1 6833 4589 6 1653 219 1 8015 3055 1 15593 4519 3 8411 1778 4 8934 5321 1 1798 3954 1 10843 100 1 41 2137 4 12619 3570 1 19558 2522 1 3835 3170 2 9093 233 3 19387 910 1 16526 7633 1 18056 35 1 6793 1950 2 18554 1312 2 124 5527 2 17178 235 3 9760 23 3 14522 1745 1 5478 1244 7 6350 1798 2 13875 7689 22 2410 7466 5 6394 4090 1 10404 6701 2 15208 1781 11 872 2605 1 14117 3239 2 18951 221 1 12406 1518 5 11790 4622 32 8453 8004 2 13640 502 3 10266 232 4 1414 1356 1 2509 682 1 7988 3603 1 4386 3399 1 6676 5979 1 16690 252 1 10382 223 6 12177 543 1 6152 2424 1 16921 7240 2 20148 4672 1 15454 4333 1 15108 6066 4 17658 219 15 8270 941 2 16573 1582 1 11576 1771 1 11940 3696 5 8278 1062 5 8307 2377 1 19872 945 1 2311 834 1 3759 4202 1 5132 215 3 5922 1146 1 18386 4485 1 17932 2478 4 8649 1755 3 6089 173 1 2874 1772 1 5395 4390 1 6132 5302 1 13264 5390 2 19113 200 1 16012 1215 1 15471 5874 1 171 7655 3 10659 8141 1 1154 4653 2 9521 723 1 10944 1812 1 14367 364 2 12594 639 1 18070 1251 6 18460 1245 6 13030 953 1 19961 6226 1 259 1743 1 525 1243 1 10601 6761 10 2886 768 1 9572 1700 14 19223 1250 1 2604 1221 1 1580 1763 2 20148 7098 1 3705 3619 1 11525 3684 1 18338 1789 2 11597 3974 1 4518 206 1 6624 312 1 8126 4085 1 495 4951 1 8872 6440 1 10676 379 1 9966 504 1 11001 3953 42 8944 1048 4 3481 3599 1 5157 532 1 19626 5730 1 7663 4303 1 15025 4044 1 14546 3135 1 15426 519 2 4001 4085 2 6658 6714 3 6343 4621 1 16859 7406 1 15217 5275 1 17926 4538 2 323 3411 3 15968 1241 1 8295 419 1 11251 5895 1 2152 4998 5 1136 1752 1 12 527 1 4729 481 1 4468 221 2 16405 1440 1 10304 199 1 16016 4307 1 16674 392 2 928 1245 1 7418 4367 1 15520 3518 4 12322 534 3 16674 5523 7 18206 2356 2 5458 4853 1 15278 7989 1 20262 1781 3 18903 5348 2 1976 2294 1 6414 5120 6 5381 3605 1 10318 1146 1 12327 1878 2 11820 6551 2 16576 7465 2 4183 4199 3 20148 4562 1 983 7255 1 3581 1715 1 9187 6502 1 9351 1247 2 7586 4478 1 18258 6562 7 5789 1465 1 8273 7800 1 3379 1739 2 17450 467 1 12283 1686 1 5914 891 1 17519 689 9 13546 1743 9 15294 180 2 13945 4527 1 7469 2678 3 16890 2930 2 20123 7995 3 18237 496 1 2938 869 1 14532 6828 2 11009 1542 1 19131 1891 6 13430 196 6 8067 3153 1 462 617 1 4681 2569 1 7517 4963 6 13254 1765 1 17046 8122 1 9160 1756 12 14522 665 1 397 1482 6 13328 518 1 16914 4333 1 11327 412 2 17583 1582 9 11388 73 6 5938 4383 1 8003 46 3 17143 329 1 9568 418 1 10950 868 2 19246 2488 1 9857 126 1 6003 2673 4 13252 3983 4 10078 1991 2 11845 1309 3 835 206 2 18089 4189 1 6838 5255 4 10840 206 3 5432 1946 1 15015 1728 5 20202 222 2 6997 7987 1 12895 1417 4 13126 148 1 12103 1995 1 2692 2 1 2148 3474 1 16953 3423 1 18628 7905 1 15471 2009 1 17507 8141 1 19266 5017 1 373 28 6 19431 1815 2 5737 2254 7 4076 3512 13 11630 1146 5 2044 6331 2 12749 518 1 68 3260 1 6753 223 106 988 5206 1 6183 336 2 2992 3367 2 11176 3086 4 3915 229 2 20055 4215 1 4551 1880 3 15202 2869 1 1790 1710 2 7000 855 1 7184 5018 2 863 2946 1 5954 5804 1 8549 203 10 12765 945 1 511 624 7 19455 2363 1 19298 1814 6 1995 7210 1 3595 1182 51 13754 910 1 14005 1883 4 8102 3889 6 10065 1582 1 8969 3492 2 8198 2877 2 13906 1251 5 16491 5272 2 7780 436 1 15372 5020 1 17395 1556 8 1832 6139 1 15142 8184 3 14526 1245 2 12083 3206 1 6428 1247 1 11485 2686 4 6033 1748 2 15629 916 1 5817 7603 1 1654 6714 5 4366 2639 6 9202 4397 3 4941 3463 3 11599 7008 3 5746 6658 1 6867 3621 2 10105 6121 7 18265 7218 10 15364 6484 1 18879 4612 3 3673 165 1 1604 7013 1 35 1900 1 872 5420 3 15368 1296 1 2141 8184 3 3747 1721 1 121 3634 1 11295 1827 5 16333 203 1 10647 164 6 5719 2949 2 6755 207 2 13488 219 2 7940 623 5 2738 5737 2 10972 219 10 13806 5256 1 9503 1309 2 5105 1826 1 3189 6063 2 18613 6454 1 17167 3175 7 2543 201 5 16925 3534 1 9566 3367 1 12371 1757 1 9567 2271 1 9113 203 1 17272 1717 1 10845 5888 1 1515 496 1 7527 1927 1 19005 5287 1 3748 1158 2 879 2184 9 19149 421 1 15056 4369 1 247 374 18 17618 1245 1 12548 2671 1 656 2250 10 10507 4924 2 18866 7964 1 15599 3537 1 8952 5910 1 18043 401 1 17850 6533 1 6153 525 13 15635 2936 1 1945 196 1 10449 6673 6 4840 1146 1 4976 533 1 10440 3228 9 848 3163 3 9044 3833 2 824 1243 2 3447 3337 1 16090 6100 1 10519 394 4 9669 3338 1 17350 7890 3 388 1692 4 10553 2507 7 7750 3233 21 16119 1681 1 14606 5252 1 6183 1241 1 5725 742 1 19178 5439 1 16090 7333 1 1665 5136 1 9624 84 2 2448 2248 11 9135 206 10 21 1391 1 3045 981 1 4430 4963 1 15419 4623 7 17887 7559 3 11072 2936 3 7327 1246 2 18913 6356 1 9469 1703 2 10242 1235 2 16048 897 1 4329 244 12 1962 363 1 8451 3220 2 3290 4343 1 16194 6268 1 6556 2836 4 4623 1703 2 18355 4987 1 8687 206 2 6144 6259 1 7952 104 1 19722 2671 2 7507 1714 1 15559 1341 5 1765 4029 1 1984 2661 1 15473 1840 1 18886 5794 2 12592 2632 1 2883 200 21 10851 2626 4 12740 2254 12 14997 898 2 3676 4029 3 16365 5858 1 7361 7050 1 6313 1986 1 7701 6343 3 14522 725 1 19368 4623 4 17384 1717 1 16611 215 1 11616 1190 1 7179 690 8 17447 7853 1 14292 1695 2 18879 5018 1 15756 1251 1 15844 6170 2 15084 6835 1 5361 3910 2 5628 7735 1 14284 637 1 8129 685 1 604 2000 3 4154 6242 1 12892 421 1 14322 1246 2 5064 912 1 17809 1751 4 2629 2013 1 17372 407 1 12913 1296 1 130 5959 1 6544 1760 3 12438 1573 1 7498 258 1 5356 6051 1 4345 5293 2 108 4924 1 8812 378 1 6913 3425 1 15047 200 1 11230 706 1 9281 5885 3 11422 788 1 4033 225 1 11379 3827 1 127 676 1 19548 1424 5 16406 8013 1 11585 82 6 12765 300 1 2647 1638 1 5652 2013 1 7230 164 2 5117 767 3 5078 1819 1 11746 1235 6 1900 8141 1 9050 1711 22 11701 1727 2 4820 365 1 2720 7583 2 13705 5077 2 6135 2229 3 11769 849 1 2980 868 1 19437 581 1 7689 1410 1 17120 1714 1 8744 244 1 8312 1745 8 10884 995 1 15031 5043 1 9429 524 1 6339 1705 1 1964 7313 1 8275 1312 2 5786 7741 1 738 239 1 12496 3389 1 18973 5472 24 13197 5879 1 174 8051 1 8215 5426 1 6649 308 1 15539 6514 1 18634 652 1 33 1827 3 8735 1253 3 14510 1241 5 19448 3042 1 2174 4894 4 4417 519 1 13003 1664 1 992 1728 1 7186 4770 2 11562 7135 1 19494 4343 1 10000 4404 1 7796 1698 1 3296 3367 3 371 5940 1 13274 471 1 1670 3021 5 226 3025 1 4773 4304 1 9606 1237 1 13603 4746 3 3700 6139 6 13369 506 1 11136 2019 3 5730 2817 1 3168 3221 1 155 7140 1 15318 1825 12 11348 1342 5 7966 859 1 5490 6053 1 8035 200 1 8130 692 1 11333 663 1 3947 4127 1 7509 1710 1 692 2319 4 10071 47 1 81 23 7 8078 2262 3 2886 6559 1 16547 4817 1 1706 1700 13 13 621 7 4733 1037 2 2962 1981 1 18999 220 1 14695 3892 1 12228 342 1 2710 1751 1 6859 1019 2 2369 8030 7 9701 670 1 18344 2662 1 4707 883 1 10661 3878 2 1025 1328 27 6581 2363 1 14162 3476 1 4248 3834 1 15718 1407 4 4009 3684 6 14811 1756 1 7610 780 1 18334 5410 6 16649 6744 1 10961 944 2 17682 498 1 12765 698 1 18817 223 3 598 148 1 171 7776 1 16689 222 1 17833 4789 1 12378 7953 1 6619 532 4 13535 1250 3 4528 1369 3 19733 7725 5 15202 7527 1 17887 1727 1 6449 1739 1 7370 7200 1 19790 4263 1 14652 2550 1 20090 2496 1 9973 404 1 4910 225 2 13000 3414 7 11256 656 1 20145 1342 1 19423 6669 5 6191 742 5 13564 4868 1 16851 4099 1 6809 4436 6 16412 7282 1 18518 519 3 1993 3306 1 5294 2683 11 18073 4099 1 13287 2646 3 10555 1686 6 4487 3647 6 5207 314 3 12715 229 1 19486 4307 6 130 5836 3 18338 4245 3 4393 3913 3 7245 1707 1 10586 3525 1 804 7850 1 4093 3641 1 7143 4807 1 17717 2492 7 5364 7965 2 7760 28 2 4774 73 2 7991 3400 1 9281 1110 4 7478 6219 1 10498 7731 1 6418 2869 2 15427 825 1 1852 3645 1 4926 6159 1 3258 1825 9 251 3170 1 13219 2653 4 6413 184 2 12322 1788 3 5178 1819 1 18855 2980 15 17003 5986 1 17775 3267 1 3171 1705 3 17199 3202 1 17505 6064 1 6669 1116 1 19952 2580 1 3973 648 1 6425 173 1 7550 6666 5 83 3724 1 18357 1757 2 290 2555 1 19647 1246 2 11321 1721 1 8423 525 1 6341 1328 6 5281 1732 1 18625 1251 2 17011 220 4 14522 498 2 15123 4120 1 1706 5289 1 832 335 5 11 444 1 3811 3333 2 19822 3612 1 16781 4312 2 16491 6484 2 7600 23 8 18113 3684 1 824 743 4 14689 1238 2 2405 1482 1 16961 6777 1 12990 3005 1 3692 2355 1 6671 2618 1 19602 7856 1 9185 36 4 12702 1661 1 13821 413 2 15090 7096 1 10879 1769 1 8329 3799 1 64 3068 1 15376 891 1 17498 1238 2 16475 223 1 2488 929 1 5266 707 3 5862 7541 1 6793 1702 1 15345 1932 2 10460 7255 6 19957 1163 31 3902 6074 1 14167 2351 1 7905 1304 6 3422 2351 2 15714 4998 1 3140 193 8 19527 893 1 11192 5922 5 91 4101 2 330 4307 1 121 843 1 4870 1764 4 19585 1154 16 10569 1814 5 7179 665 1 18803 5162 2 19800 3768 1 6045 1677 1 10383 2448 1 16080 151 5 16140 1093 1 18226 506 2 6670 303 11 567 2169 2 9821 7531 1 15593 2931 2 10587 1438 1 13640 1783 7 17753 6192 2 5264 5460 11 16267 4435 5 15471 950 1 11353 1944 4 8969 1334 1 8488 1747 3 20120 5162 5 9862 3180 1 1263 2982 5 13672 2369 1 15594 1739 1 11080 318 2 4769 1942 1 15807 4380 1 16271 3817 1 19836 2675 6 12834 5484 2 3147 4012 1 8865 2399 1 13955 1962 2 13994 203 4 16740 6900 1 3528 6224 1 17395 3203 1 17736 842 1 14828 41 1 2319 6784 1 542 7105 1 16563 6368 1 2917 3216 1 11597 4192 1 18470 4090 2 18733 4266 1 16831 232 2 14837 910 3 12283 2675 6 1653 3228 1 16847 197 3 14753 687 1 6866 23 2 6753 8175 28 12337 203 10 12652 1751 1 18221 184 1 2020 382 2 8961 1062 3 1568 4145 3 3237 4077 2 9503 35 2 9346 215 2 18058 6913 1 13964 1706 5 15339 1235 1 1651 769 1 787 5516 1 18350 7201 1 2606 207 7 7350 5685 2 16263 4435 4 15700 201 1 9978 1664 1 2947 1313 1 2345 5996 17 635 4351 2 998 1764 1 15680 4380 1 16659 7231 1 19626 2729 6 4365 7509 2 19857 7461 1 201 234 5 15608 759 1 19391 1150 1 15084 631 5 17585 1751 1 13684 1116 7 992 4023 1 6570 2885 1 6396 201 1 9198 2619 1 18056 64 1 3985 6531 1 6708 4375 1 16511 585 1 13928 1312 1 4601 8084 4 9519 3076 7 5850 6716 1 4742 7412 2 7423 4312 1 18431 2881 1 3488 3457 3 19195 2343 9 19725 3896 1 10105 6118 4 1464 393 3 1327 207 1 16048 3426 1 11502 1396 1 6435 1474 10 736 1726 1 11426 7256 1 14336 431 1 10948 2192 1 5280 877 1 11072 8141 1 3904 200 2 9957 7227 1 15318 196 1 1397 7300 1 5916 2798 2 13813 1453 2 11820 861 1 5132 4352 1 8094 1404 9 148 1686 8 10730 303 8 11195 397 1 5391 210 12 13623 5405 1 9567 4376 1 174 6457 2 4498 876 1 2795 4446 1 17009 1271 2 11562 1418 1 15847 3653 7 17485 234 2 1009 2008 1 10498 4309 1 11780 1720 3 17436 367 2 8591 1747 3 13417 2858 1 17395 205 1 17478 7870 1 18386 553 1 9869 4447 2 19724 630 1 1420 1762 1 16500 2662 1 5036 1729 1 5117 797 1 12988 1567 7 2523 3881 2 791 903 2 13294 6680 2 9511 4698 1 10261 3484 5 10145 5756 2 11158 2513 1 1958 1789 2 15712 523 1 6644 397 1 19354 7531 1 10529 1819 1 1037 1745 1 16253 745 6 16768 839 5 18815 1253 1 5381 1762 1 6647 773 1 4931 1112 1 18692 982 1 13490 5281 1 4627 3184 3 13252 395 1 4667 4199 1 6990 2729 2 17331 1241 1 9049 3197 1 16700 261 1 14108 661 1 11786 263 1 13782 1825 3 18451 1819 1 4450 2499 1 9774 3558 1 11292 716 5 15572 5008 1 18042 367 1 10 325 1 9628 837 1 5010 4310 1 16391 252 1 16027 6170 3 256 225 3 11621 1342 1 18089 1251 1 16278 7291 3 17135 1946 1 3484 2460 22 8412 4833 1 17142 2989 2 2726 1664 1 16851 473 1 15943 3592 2 18462 685 1 11072 1779 1 5407 2648 8 1698 6235 2 11206 4964 1 16132 673 1 8394 942 1 455 6551 2 15309 4813 23 4932 8171 1 12294 4623 1 13187 6011 1 14953 5971 2 3812 690 1 19537 1729 1 6069 1732 12 1551 1338 1 13417 6278 3 15791 2559 1 6519 2323 1 8439 1779 1 17379 82 1 2964 23 1 14350 233 1 9572 5297 1 17556 108 4 3414 1374 1 14645 1275 1 2488 500 2 154 7123 6 15472 7352 2 13909 1369 1 3931 200 5 135 6252 3 17766 34 1 6545 253 1 71 3325 1 11272 5285 2 3147 364 1 4533 501 3 2509 5319 3 14813 186 1 9753 852 1 17155 3762 1 17213 5708 10 16570 6051 1 6089 520 1 4805 7965 1 7670 718 2 11559 3020 2 5391 988 77 5116 34 1 16697 5018 1 12055 186 1 16803 4024 1 6183 1275 6 13999 7313 2 7417 3216 11 5602 3197 4 6412 6868 1 1824 57 2 14484 3330 18 4991 3511 27 19631 4435 1 731 5488 1 7712 5322 1 20082 397 3 19053 872 1 20 237 1 16493 2131 5 11468 496 1 14800 4144 1 7245 2399 4 536 5018 4 16685 4325 1 16870 1990 1 3057 6577 1 6588 2396 2 15791 4549 1 4904 1342 5 11241 73 1 17742 5468 2 20013 1338 1 12392 2729 1 19743 1244 7 19178 917 2 16096 2009 1 4779 470 1 9803 3167 1 10648 3477 1 5364 222 1 9815 1752 10 1733 206 4 18579 647 1 19503 4557 1 13615 1304 1 4338 3905 4 19896 716 1 9185 541 6 11730 1995 4 1834 1732 2 19725 292 27 9141 1253 2 14684 597 1 20145 1722 1 18287 5506 2 15569 3803 1 6152 6645 1 3505 1203 10 17887 2662 3 7366 4142 10 15485 1719 6 8804 3604 1 9572 440 2 16448 3885 1 1297 5460 6 12850 541 4 22 1410 1 6124 3518 1 17992 3275 1 4492 1342 2 658 3132 1 18496 8184 3 9127 7719 2 17633 6192 1 40 2134 1 171 7762 2 3128 1736 5 12209 1707 8 12760 2173 5 9213 4143 1 3111 7846 1 10815 947 1 11349 1730 2 12995 7817 3 8665 197 1 6344 510 2 4733 2 1 6510 6482 2 12860 1613 1 3779 4306 1 6437 2614 1 19774 5312 1 18251 95 1 5899 1724 4 2369 1480 2 3654 4435 2 4301 6677 1 9715 5806 1 9654 4616 1 3683 5108 2 10313 1103 15 14404 1781 7 19993 7105 3 9081 3758 1 1839 1745 1 12217 1589 7 16213 3899 1 12267 1724 1 5216 2832 2 2816 2246 1 2768 895 1 18580 1692 1 3636 8072 1 3376 214 2 5955 6099 4 19083 3462 1 11533 7674 1 11916 3637 1 8687 2083 1 13564 1244 1 8760 541 1 2321 6139 2 8090 8076 4 10548 244 2 6656 5018 14 15072 7869 2 19834 5686 4 18876 796 2 5744 220 5 7825 2479 1 14089 3230 1 7991 3251 1 6894 1779 1 13639 3547 1 9099 1761 2 6327 74 5 14629 441 2 8969 3081 3 18679 4009 1 13581 7021 3 16912 6494 2 10360 1712 2 18931 1613 1 6183 173 4 9052 1290 1 10569 203 5 773 4824 1 19566 6590 4 19401 229 1 12322 6341 5 17083 223 1 221 1752 1 18940 2565 9 2404 7210 1 20158 6406 1 15288 4217 1 10264 561 1 1999 548 2 8747 201 2 14710 3718 2 6575 532 1 14842 4448 1 13476 2118 1 19326 814 1 13535 223 4 6000 1045 1 19572 1112 1 717 8183 1 9935 861 1 716 520 2 3233 235 1 3177 519 8 10584 1244 3 13388 2254 1 5943 7210 1 13670 2727 9 11975 498 1 7769 931 1 5532 962 3 20243 5054 1 7148 1990 7 16535 3298 2 2386 6106 2 8327 5162 1 14692 3512 8 12050 1705 1 6332 665 1 2883 6091 2 8345 1207 3 5907 2600 1 15313 4496 1 3484 2410 10 4283 4612 5 12757 7407 1 873 2076 5 11082 4870 11 4734 5502 1 3439 1444 1 7228 5257 2 7306 953 1 13764 805 1 2708 803 1 1292 2913 5 4870 3206 5 1586 8178 2 19795 222 6 6642 5202 1 891 5517 1 4572 5120 1 80 3605 1 14910 1902 1 10056 4501 2 6692 3715 2 4925 235 2 124 5550 1 7179 208 1 13640 1363 5 2980 4447 1 745 197 1 18666 6957 1 16048 5325 3 19463 1235 3 13091 524 10 16303 6933 6 10807 394 1 4932 1727 1 15115 5302 1 7470 3 3 6158 7597 2 36 1994 1 11794 1209 1 679 1333 1 7175 3872 1 15852 6702 1 6348 865 1 7656 689 1 2216 1635 1 11873 3012 1 1851 7624 1 5556 7509 8 9537 4979 1 12652 1250 1 6323 1251 10 8293 6038 44 11160 1719 1 11742 4560 2 10843 5468 1 7952 8145 1 8093 214 1 5433 1999 1 216 5005 1 4886 8142 12 5959 4383 1 12319 334 1 8962 518 1 13994 1561 1 20 1310 1 11 413 1 10311 684 1 16268 1751 2 11145 1755 13 16881 6414 1 10468 2958 1 243 7313 1 5775 524 3 174 7854 4 3189 1333 1 10664 2895 1 8912 4695 1 9708 6847 1 159 7233 3 401 6585 1 13304 1031 1 2849 1819 1 8519 910 9 9868 4343 1 3582 3787 3 1678 874 1 7626 3361 1 3397 5437 1 135 1737 1 14799 4351 1 12619 3219 3 4690 1965 2 6275 6252 1 13193 6599 1 5676 2747 1 258 496 1 19779 3222 1 3759 5666 2 16156 8145 1 6171 4803 3 7145 1707 1 10874 1762 2 15614 173 1 10730 2633 2 6065 937 1 18685 201 1 19651 1356 2 10791 1623 1 298 4614 1 4932 6993 2 13633 215 4 3887 8184 72 6614 1046 6 14632 638 1 2590 1775 6 9311 1761 1 15263 223 6 10544 728 1 10065 3382 1 4757 7719 1 10957 3175 1 15230 220 18 126 5707 2 2917 2668 3 8015 223 1 8184 3999 1 9482 7570 2 2813 370 1 1432 1363 1 8796 2949 1 19401 6127 2 6821 2555 6 48 2431 2 15313 1101 5 4499 2951 1 6396 3233 7 5597 3011 3 17073 1751 2 5749 1244 7 14376 1529 5 12232 548 4 13570 568 2 12824 2363 1 16231 4949 3 12817 6051 1 5160 1776 11 470 7576 1 16742 834 3 14038 225 2 1389 7599 1 1361 5855 1 11356 2247 1 15464 2841 1 4410 1342 2 19990 514 2 6867 2107 3 13543 650 1 8849 2146 1 18656 3751 1 2803 2012 1 5059 1342 1 20246 1062 4 2048 1709 1 1522 2424 10 5087 4036 1 1143 5558 1 4141 190 1 6187 4156 1 5769 1239 1 15225 474 2 3048 966 1 13461 519 5 7557 5049 1 4866 1374 1 13647 7769 4 11363 4635 1 16299 2071 1 10207 5379 1 17521 7422 6 18862 3722 1 391 6140 5 9329 8081 1 15411 2651 1 14381 2155 1 4058 3492 1 12439 6053 4 12900 7222 1 14968 4807 1 16212 4810 1 3240 223 4 7582 1695 1 5147 7769 1 14828 3751 2 3892 6165 4 13928 3586 1 4301 910 2 3397 784 2 3739 2445 1 14615 23 4 16853 4120 11 7227 52 1 6912 1779 4 15967 1482 1 19385 6892 1 7458 2569 25 19233 1587 1 13874 23 3 13111 1342 1 17798 2016 2 5987 5052 13 16578 229 1 9988 232 5 6492 5393 1 5982 6801 1 6535 975 1 19724 1705 4 10575 608 1 7545 3197 3 6936 7404 8 8262 638 1 18610 5652 1 19232 1742 1 1669 2686 2 19331 4998 10 19545 1301 3 13686 510 1 998 518 3 6681 374 1 14685 7683 1 726 6640 1 5894 1720 5 13206 304 1 8206 4315 1 19478 66 22 15373 2357 2 174 3610 1 10565 5306 1 10740 1235 1 4784 1342 2 11451 3197 1 8727 7117 2 11388 3119 10 14939 1718 3 20219 46 2 19470 3540 1 18572 7815 2 1907 1705 1 9025 1464 1 17402 2534 7 10815 899 1 8097 1342 1 8169 481 2 822 2089 1 8987 2100 1 7994 767 1 89 3558 5 2930 5182 5 5738 623 1 314 1775 1 665 1245 1 14753 6793 1 19190 156 1 16345 3258 2 7560 6897 1 6881 3619 10 2629 545 3 9400 1244 4 6464 232 2 4805 23 1 7780 6150 4 13847 1342 1 9759 6120 5 6749 6984 1 7028 958 5 13187 1240 1 14197 203 10 16692 3316 1 9657 794 1 5745 6260 9 10462 3851 1 2807 7226 1 12817 438 2 2126 201 3 17843 4199 1 7251 1914 2 14767 532 2 17340 529 1 17472 4499 1 16270 692 10 983 1365 1 3016 1727 1 8735 4233 4 17500 1250 1 15288 6451 3 19645 7249 2 5583 7018 2 1019 4620 2 19807 1416 5 11591 525 3 11629 845 1 3906 6001 1 8237 3443 1 4707 495 2 10015 2378 1 19686 1732 3 14005 1745 1 8100 1243 1 18546 5420 7 11060 4030 1 12001 4914 1 7634 5060 4 7987 3476 1 174 7977 1 18899 1363 2 11080 880 19 10492 3522 3 4529 5450 1 14429 4314 1 18788 232 1 16768 533 1 8108 8238 1 4778 4392 2 13101 7110 1 2379 190 18 4572 5670 4 12747 200 18 11637 916 1 5915 1252 1 5117 907 1 14729 645 9 13388 1819 2 12682 1367 1 15009 1732 5 8192 232 1 16636 1329 2 2744 1374 2 6252 3842 1 9937 6897 13 17733 1658 3 6862 883 13 6369 6413 1 17224 214 1 14013 2675 12 13233 6666 3 6746 2710 1 12499 4369 1 8269 709 3 373 3632 8 19293 1241 1 19729 5105 20 14621 4203 1 15534 1703 4 19512 3898 1 4678 1724 15 14145 1960 3 8889 2017 3 9834 2842 1 11667 7184 10 6208 2253 2 8125 1751 1 10852 550 3 11755 500 3 2071 4258 1 17535 1450 2 189 884 1 2816 206 1 12592 8036 1 8490 1760 3 8299 670 1 3606 237 3 16674 2000 1 8614 6600 1 14695 3794 1 15160 1146 3 19026 3591 1 812 2775 14 19580 6064 1 5820 1396 1 8730 7309 1 7082 5301 1 19703 470 7 10187 1363 1 15753 1737 1 8872 23 1 16090 6228 1 15314 2344 1 16574 3301 1 1243 4996 2 8804 167 1 6774 6170 5 3415 5099 2 3434 3270 6 1677 5935 5 1613 534 2 755 1686 1 17 1185 1 2284 1991 1 17869 1775 1 14341 1567 1 3214 3400 2 11394 134 2 153 6901 1 15769 3228 16 3581 1022 2 18418 3756 2 10724 8141 5 13358 1482 2 1749 6174 14 2432 7021 4 1635 22 1 5100 1757 1 135 6215 1 12855 4589 1 9257 2571 1 1327 2683 4 6524 4029 1 6777 2143 5 19315 5685 1 8045 1567 2 44 2296 1 14694 3693 1 2060 572 1 1151 74 1 18891 3621 1 14560 243 1 3712 1779 1 13829 1242 1 2685 1827 7 14660 6335 2 4176 7570 4 5431 3558 1 19140 5517 1 19926 2276 7 6576 2935 2 19760 2013 1 270 910 2 19019 545 1 5100 3140 1 8910 1658 2 18892 5482 1 1172 225 14 17473 6207 2 13287 1752 1 10360 6286 1 15288 995 3 6770 5564 4 5447 47 2 16881 184 1 17505 3455 2 8440 1783 1 7532 232 1 13199 219 14 7264 3167 1 11559 1743 1 16401 6170 1 3261 1277 1 1663 23 11 7962 6527 2 17382 201 7 862 4325 1 745 13 1 17085 207 1 11099 4470 1 13963 6091 1 7362 3239 1 5596 1686 4 8198 6836 2 17153 11 7 15653 3224 1 7850 2121 2 1997 223 1 15091 7408 5 3596 8141 3 2875 7297 1 5003 1091 1 11271 201 1 6936 5105 7 19602 755 1 952 3511 1 16492 3808 1 1092 8143 2 17220 831 1 2890 7229 1 8545 840 8 17585 1996 2 9077 2662 3 19747 5670 2 5960 4583 3 1445 4266 1 209 1238 1 11059 1235 1 13813 1825 5 4313 2355 5 18060 4963 1 15294 152 1 322 1747 3 15948 206 5 6769 1251 2 6690 1037 4 16254 1244 2 6415 1249 1 12 539 6 5220 7176 2 2135 36 3 9465 7238 7 127 839 4 14465 2206 4 14308 1467 7 3898 2356 1 6962 7857 1 11950 3400 2 10531 6289 10 6152 2344 1 3663 377 1 9015 1237 3 7312 6278 3 10912 3203 1 16266 190 1 98 2855 2 1122 1184 2 11862 7255 1 6313 3603 3 14296 642 1 8269 707 1 6023 3412 4 13543 3006 1 658 8187 5 14553 6639 1 1422 2668 1 5854 441 1 2286 6368 2 9551 165 1 19877 6618 2 456 533 6 2917 4352 1 8143 1027 6 9112 2686 2 1443 1342 1 9081 1297 1 13302 84 1 1439 7692 1 15726 4958 1 17405 707 1 5207 274 3 14561 670 1 14946 4595 2 17533 518 1 4659 2663 1 10188 203 14 20275 3974 1 3871 2675 5 8560 7073 2 172 7840 1 2473 780 1 6773 5272 9 13986 5505 1 19404 409 19 536 23 2 18637 3228 2 1969 375 1 509 1739 1 16417 759 10 2634 1825 2 11230 1825 1 14428 3882 2 5161 221 2 9422 4613 1 12817 5329 1 14515 223 1 2991 4316 1 1478 252 1 3581 5305 1 19568 4325 1 9147 229 1 6516 230 1 8614 2860 3 17850 23 4 7819 1363 2 12271 1638 6 6942 13 2 3483 7096 1 5508 1909 2 13540 1779 6 19671 244 1 16788 3900 10 604 676 1 415 3946 2 8055 1467 3 3644 3906 1 8004 7112 1 16726 364 1 14780 1251 1 20138 1703 4 18357 2363 1 19354 7815 1 10615 4998 5 9924 1739 2 6045 204 3 18461 5018 1 3491 2836 1 19557 3869 8 5081 7020 1 5171 805 3 3005 7025 5 11846 6574 1 14958 5783 2 17029 409 1 9520 453 1 6724 5037 2 18393 460 1 1642 3558 1 2796 6150 2 5742 1747 1 11156 5162 7 19960 2382 1 3471 532 1 4730 2552 2 1542 1363 2 1823 188 1 7988 5259 4 1729 1109 11 3667 1482 1 15324 5099 1 14079 3877 10 12514 2760 1 9432 5879 4 6307 4067 1 1428 203 104 19899 4214 1 18879 1784 1 8052 680 1 10815 869 1 3505 545 1 12690 1779 3 11458 2464 1 2273 2969 2 8311 1250 2 7003 510 4 11430 514 1 10472 2821 2 14484 5771 21 100 4547 1 2560 1911 7 10584 519 1 18211 4314 3 13316 624 1 15448 7216 1 5749 3235 8 16468 5363 1 12708 4405 5 439 6342 5 18667 221 2 1718 206 1 12148 6551 1 17638 3807 1 12851 2104 1 9439 1782 1 11879 1388 16 16130 1768 5 85 3891 1 5176 1703 1 8196 7342 1 18357 975 1 11945 303 33 19026 4019 1 11996 470 1 5158 243 1 12501 1234 1 3100 207 4 13373 5871 1 9554 995 1 16958 5316 1 2538 3899 5 1171 1758 2 11353 3872 3 5424 1273 1 13811 4500 7 4554 844 3 14077 57 1 2260 372 1 19463 5098 1 9639 8173 4 149 6746 8 6105 888 2 8694 1997 1 11082 5518 1 17265 2897 1 17578 864 2 143 6512 4 6556 5477 3 17705 1395 2 2377 649 1 12213 2885 1 4092 7397 1 2312 1450 4 17252 1612 7 3128 6295 1 8339 7153 6 18320 4411 1 7132 5883 3 14489 910 1 15192 676 1 7013 1244 1 5982 6705 24 4350 6374 1 13367 4303 1 9589 1930 1 10915 4956 4 6942 5086 2 14156 6634 1 10525 8197 2 9184 1342 1 6781 6179 2 17805 207 5 15074 3417 3 13329 2478 1 11872 2114 1 8630 2449 1 7464 214 18 10775 3692 4 9873 6496 38 10080 1756 1 14626 4019 2 17829 206 1 7387 6109 2 14060 7398 19 18671 1252 3 314 2727 1 14298 1564 16 14297 3943 5 13222 6931 1 13508 2496 6 9832 3485 1 15428 1776 2 14917 232 1 6125 1955 1 18821 7020 3 15269 5426 3 9074 220 2 1614 411 1 16740 2374 1 2829 2068 6 10169 2636 1 12690 437 1 17088 1729 5 17032 2636 2 19881 6534 2 3329 201 6 6645 2488 2 8369 7805 2 15943 1997 4 5158 6414 1 18905 5144 1 9093 215 4 2776 3345 2 13866 173 3 160 7312 1 3126 7961 2 7597 2056 1 4375 308 2 7481 214 3 719 3382 4 1150 3234 1 13466 7602 2 153 6934 2 13176 5486 1 20 1294 1 6415 3511 1 9836 1901 2 6073 6065 1 17033 6912 1 17331 1755 8 6021 5428 1 8135 1698 1 19875 1779 1 71 3324 1 673 1085 1 10304 6011 18 8920 7727 1 8709 4303 1 6096 1201 1 12521 869 1 18992 1296 1 17518 859 1 1620 7477 1 13764 200 1 15943 3488 1 16229 1907 1 17555 1244 7 12375 568 1 1150 6585 1 19286 1464 12 17353 1342 3 19527 3824 1 6145 5960 8 19744 3163 1 6229 3464 1 3817 1698 1 9387 7407 1 18263 5488 6 14222 374 2 13894 1757 1 6767 995 33 19224 7345 1 4858 244 1 18761 1539 1 14296 2111 9 5246 6482 6 18338 411 1 9733 1734 6 13750 1292 2 13619 1369 132 7632 1907 1 5472 470 2 18559 5618 1 5902 1784 1 8751 1775 3 19603 1788 4 3008 2686 1 10313 1273 1 4993 2127 1 6853 475 1 7203 390 1 18193 1768 1 5318 167 10 9348 1615 2 963 1240 2 17662 1234 1 6749 6024 1 5185 494 1 1305 1593 1 4525 4877 1 124 2321 1 15553 7474 1 4170 2269 1 13041 8065 3 11305 5018 36 18820 203 10 1711 3557 5 6201 6207 1 16880 220 1 4375 1871 1 10225 6558 7 9519 7422 8 11761 4979 1 8969 745 2 12627 2676 4 12406 13 1 13328 4936 4 14301 3733 1 2376 82 1 20209 3491 1 16374 952 1 11192 3411 2 16709 5097 5 8160 519 1 9257 8183 8 11683 5570 1 3484 2440 5 17331 1235 1 33 1825 8 7712 1530 1 1551 7461 4 8831 589 1 9287 4425 1 15577 225 1 19845 1775 1 6415 215 1 18244 5586 1 13209 5146 1 6177 3911 12 3189 8043 1 722 6972 5 3663 2369 1 3954 1054 1 12837 6632 2 7745 8169 1 16470 225 2 2198 952 1 16836 6052 1 14834 173 3 3496 1946 2 15080 222 2 11583 3642 1 12774 7769 1 19781 6515 1 11336 5513 5 4190 724 10 10586 2076 1 18909 3333 1 4283 479 1 10328 203 3 18089 1740 1 15818 1718 1 14662 5506 1 11153 637 1 13126 660 1 462 3836 5 5161 5425 1 12900 4233 1 2623 3766 5 10670 963 1 8198 5312 1 13237 7094 1 9234 13 1 16493 1700 3 5052 2170 1 6668 2338 4 19067 2778 1 3696 6793 3 8001 1261 1 13749 4987 4 5543 3629 1 3515 1312 1 9603 2889 4 17009 496 1 18740 7237 1 5361 203 9 3322 2027 1 12291 1788 1 4082 4120 3 10498 1340 4 523 3511 1 9178 2109 8 171 6224 1 7402 3621 2 2965 5270 4 5506 4525 1 14678 1322 2 16800 443 1 8152 7237 1 19940 1872 1 4620 6276 1 11085 1727 1 18679 2330 1 13623 5488 1 17746 4333 1 5632 4022 10 19094 1076 1 18779 2686 1 13030 603 1 15298 3231 1 11251 4791 2 15748 2542 1 16346 5810 4 991 4377 1 5773 1146 2 4716 1736 1 19368 489 2 17991 214 1 1109 637 3 2801 4206 2 11908 4992 7 6628 3225 1 5158 608 1 11122 4500 5 12213 258 1 11775 2673 6 13008 1825 5 705 3175 2 14393 1781 4 6749 7995 1 12499 3333 2 16775 6252 12 18862 1757 6 10883 4085 6 11651 1251 8 11387 1464 5 11384 219 2 3806 1092 1 7107 6159 1 6793 1927 3 15106 7635 1 17833 823 1 14522 649 1 9859 184 4 1109 2626 19 16442 4935 1 7165 4877 1 16922 541 2 9888 2885 1 1469 1450 17 1488 1421 1 16222 5790 1 8895 6108 2 17996 1781 2 11297 1715 1 2528 1342 4 11128 2678 3 14305 584 3 19160 1443 1 9443 496 1 10856 3670 1 12030 7565 1 85 3887 5 4095 535 5 16152 2746 4 1498 709 3 727 3283 1 174 8095 2 17954 5446 1 9180 3671 1 7822 5313 1 10219 1251 1 19090 2118 1 11297 4615 1 19331 1164 1 11882 7029 2 10948 84 1 7638 157 1 16594 666 1 19702 470 1 17245 1704 1 13369 1364 2 2154 3653 6 9518 5036 19 17191 1660 1 13561 645 1 8528 1357 1 716 5060 7 10021 1768 1 13405 5903 2 13195 3511 39 8532 7573 1 11846 964 1 19822 3974 4 14633 6544 2 19509 394 1 7231 1734 1 9868 2501 1 6630 6018 1 13720 534 1 10044 3081 4 8991 658 1 2710 197 1 19023 1755 1 18869 1788 1 9677 171 1 8585 2980 2 4518 2216 19 19641 232 2 4926 3222 7 5884 3071 4 5964 3374 1 711 539 1 17405 5460 1 9099 1715 2 15303 4529 1 8597 308 4 3281 215 1 3258 84 1 11422 4816 1 14720 1464 1 8610 3625 1 3238 23 3 2154 1275 6 19105 1788 3 10329 4069 1 11687 225 3 14484 524 2 5453 5938 14 5098 3723 1 17696 3892 1 6122 1707 1 2972 2982 2 8681 1727 1 873 1612 1 644 148 1 74 3462 2 17384 3554 1 16534 1740 1 7575 525 6 937 5090 4 13461 3911 11 44 2283 4 16727 292 18 10245 833 5 12286 1363 3 5742 512 2 745 5871 2 17263 850 1 7810 1996 1 7581 1706 1 12343 4145 5 3827 508 5 6403 2508 1 15321 23 1 15408 512 1 7512 3945 20 17682 6436 1 7097 2710 2 13570 1277 1 8560 3869 1 14313 7085 1 13642 2444 3 4252 2316 1 3297 2319 2 15567 1624 1 18149 525 5 18193 4601 25 14695 378 1 20262 2331 2 1452 2675 2 5548 4992 1 13031 4504 1 11898 7138 1 3010 167 2 14522 7470 7 2308 554 1 13779 685 2 13322 1330 2 19316 2481 4 16156 525 1 18193 221 2 1513 4357 1 18858 1416 2 3146 225 1 826 5162 1 5298 4884 1 8597 1237 1 2418 637 10 10948 2241 5 9476 203 22 15291 536 5 17033 4653 1 19313 1742 1 8782 3180 1 5936 6152 13 127 736 1 10385 3142 1 1171 6204 2 10340 2917 3 12316 173 2 14595 6278 27 4640 637 1 8526 4853 1 4716 233 1 8967 6029 1 5977 512 2 11458 7216 1 14842 1621 1 7761 1755 1 8452 5905 4 19511 5521 1 9165 3193 1 1801 1728 1 4885 6504 1 14939 1235 1 12082 2344 1 10849 6576 1 10398 1302 5 3419 3512 5 15632 1644 2 3178 367 1 8997 3021 1 10393 745 1 13737 7524 2 8557 672 5 1028 4543 1 8198 7467 1 465 46 1 14892 7474 1 18123 1748 2 15943 825 1 11352 1740 1 15970 4607 2 522 8103 1 6210 3899 1 15091 2735 3 4990 4613 10 17815 3760 1 13865 1779 1 12982 221 2 8965 3482 1 1211 6645 1 4218 3027 1 13928 5758 10 11086 496 1 9178 2150 5 8885 7769 9 2346 2234 1 18507 495 6 7451 3132 1 9919 752 1 5652 3338 1 2483 1246 2 1125 2955 2 7737 6578 1 3326 5018 1 9171 4517 15 9551 5517 3 3427 1512 1 1499 5657 1 7994 342 1 11935 698 20 3898 4245 1 18042 6185 1 5239 1715 9 8976 6716 3 6563 957 2 15608 3693 4 6556 3714 1 6989 2888 2 11562 7143 1 6950 723 2 18270 6058 4 4554 6031 1 18063 15 1 18761 2853 1 13174 1971 1 13205 2229 1 8878 1395 2 18285 2111 5 6774 2580 1 11626 826 1 5675 6286 3 2931 193 1 18207 532 4 13800 1237 1 935 1827 1 4374 2356 3 16276 3869 3 1002 229 1 6256 4807 4 123 5375 7 14800 982 5 10124 2671 1 13293 3536 1 11159 411 3 18207 3869 2 16378 1751 2 47 2369 1 9062 6320 1 10313 3400 2 4057 640 2 13088 3203 1 9745 5767 1 16087 4036 5 6693 6197 1 20256 3552 1 12710 2270 2 3439 3556 1 3167 5022 1 11776 7683 4 2708 837 1 18683 4976 2 6768 470 1 17444 216 2 14958 3216 1 10563 1252 14 1092 7654 1 17342 5880 3 121 5263 1 6437 1369 1 150 6758 1 6332 3666 5 6979 1747 5 14518 6321 1 13735 867 1 18376 6460 4 15011 2316 1 8332 4410 1 9525 1284 2 10615 207 5 6095 474 4 14127 5763 1 14701 46 10 8735 1236 3 3760 498 1 7640 758 1 9427 6229 4 8566 203 2 18184 6621 2 10717 8122 1 8520 8109 4 992 1236 1 8480 2619 1 6942 6105 4 4023 1727 1 18885 1724 3 20237 4065 7 8015 1904 1 6661 5887 1 12801 196 4 2769 3617 1 17298 1863 11 20180 579 1 3133 2481 1 966 1881 1 14001 1241 2 18285 4098 1 18538 765 1 10327 957 1 11658 3811 2 18653 1236 1 6848 2356 1 10143 6220 8 15160 6230 1 8889 696 1 6759 1582 15 18121 1649 2 1968 6602 25 2169 1453 1 15599 1613 1 8082 3775 3 1072 203 12 3014 5348 3 6913 7820 34 15885 5332 1 15553 6683 1 18673 4623 1 14016 1781 1 3113 508 4 270 34 1 19021 3671 7 4092 1235 3 10633 1755 1 9351 3747 1 17253 1747 1 10498 2562 1 926 433 1 15272 1717 1 4165 4314 1 9867 3164 1 4162 1825 6 18481 2358 1 8307 3223 2 11786 6575 2 1712 7826 1 13252 1383 1 15918 599 1 2938 1471 1 11442 2968 1 9457 2428 1 145 6686 1 11632 2555 1 19539 6532 3 11597 7216 4 10397 3257 3 16481 6946 1 20191 2600 1 8585 1464 2 10313 453 1 5839 1649 1 6854 1772 8 15410 3767 2 181 5302 1 13907 6133 2 1973 7528 1 16726 3909 1 13792 1827 1 6781 167 3 19486 3352 1 4259 2352 1 12758 4116 5 14755 3618 1 12501 1243 1 18253 5971 1 413 7337 1 4935 1763 1 10752 5997 1 130 5924 1 3940 5849 1 12075 175 1 15683 6050 1 9580 533 5 2262 3822 2 132 4245 1 3734 230 1 15530 214 1 3651 1689 1 14758 2498 2 16625 4623 2 4946 502 1 1747 400 2 16083 201 5 14252 4320 1 4615 6700 1 9155 5532 1 12281 1987 1 6812 1703 1 8057 3953 1 12777 663 2 9293 5810 1 10312 1688 1 14522 233 2 3399 1756 2 20082 1643 3 7245 891 1 83 3714 1 1965 575 1 17120 1243 1 13601 1901 1 18821 1955 1 2284 7104 1 13881 4366 1 2992 663 1 1986 1705 2 4938 7719 10 18476 1272 1 17599 3588 1 15776 6690 1 14203 7511 2 12580 7853 2 855 1698 1 2827 7195 2 16670 525 8 14522 5133 1 17 1094 1 17353 4435 3 3661 177 1 6200 3477 1 1252 203 1 11820 1814 5 3258 5971 11 16310 1116 1 19267 812 1 6907 5858 1 6885 8026 2 479 2305 8 11170 4794 1 12367 5135 1 7347 588 1 17405 491 1 19160 3511 5 8097 3669 2 20090 2513 2 16875 4189 1 531 207 1 18279 2895 2 14791 498 9 6433 891 2 7033 4653 2 7404 905 5 11826 2743 1 4547 184 1 4218 180 1 17787 3479 1 7226 253 1 16036 214 5 18402 867 1 18623 3512 1 4251 3869 5 7356 378 1 3015 4435 10 7145 1736 1 15689 1245 2 19872 785 2 6740 1708 1 18111 221 2 2840 8126 1 14837 221 1 11999 5229 1 8097 214 3 3663 4211 2 62 2921 1 8528 1946 1 18188 470 1 2350 874 5 19391 1825 5 7780 6051 1 1140 1737 1 1858 1235 3 15587 222 1 6781 7236 2 2103 1748 6 4914 6174 1 16378 1720 1 525 8187 5 19137 593 1 7912 223 1 14493 2564 3 16076 525 2 7952 614 5 2262 4428 3 14305 263 2 11788 6053 4 18000 2949 2 3518 441 1 13656 194 1 13993 496 1 16137 3608 1 16600 935 3 15374 5258 1 10764 1146 3 4570 1720 4 13640 2626 2 12024 4513 1 174 8087 1 8664 4954 1 19680 5505 2 9437 1642 6 14488 2948 1 16184 953 1 12375 766 2 13628 7401 1 6524 910 2 14811 3513 3 14274 5905 3 3037 173 1 19559 5266 1 8649 514 7 7758 2552 2 13574 825 1 18821 1981 4 15594 2683 1 7390 713 1 19322 1990 2 8653 6577 1 11546 222 1 3616 8141 3 17852 670 1 9294 23 1 10517 6011 10 16836 6082 2 15026 594 2 7065 3819 1 18385 2383 1 2634 1105 10 2796 206 5 4460 173 2 16894 1737 7 17084 818 1 14196 1374 1 12141 1116 1 94 4326 4 10141 1731 1 18263 2875 1 2453 3625 1 18432 383 1 11772 4623 16 7528 6571 3 3375 3308 6 10675 1247 2 18740 3663 1 9610 1721 1 16645 220 2 14566 1834 1 14051 1453 3 9224 817 1 15923 1251 1 3180 4761 1 13733 1888 1 1720 1573 5 7805 6897 1 16184 766 1 6892 1687 3 17172 2880 1 18214 8041 4 10618 4971 2 6234 165 3 6884 190 3 4019 970 1 13883 659 1 8438 789 5 17472 8073 1 9978 560 1 11141 1744 4 9935 5245 3 4267 2701 1 13023 4800 2 5662 3625 5 13551 1524 2 6910 2069 1 7991 898 2 15898 6534 1 18508 1340 13 328 2343 2 9945 6897 3 9793 2392 1 5409 7018 3 17132 863 1 9263 2524 15 5199 2737 1 19032 6564 6 3940 642 1 8358 220 2 5475 621 1 8294 3811 1 3397 767 1 2343 2351 1 8154 4435 1 12580 214 5 3292 1985 1 3765 504 1 6327 1395 5 16489 4933 11 5255 207 16 17640 8109 2 8952 3715 1 8675 1727 1 16512 1729 2 19337 3097 1 5738 603 8 6964 3876 5 10050 5120 5 4699 4387 1 18755 1827 10 12755 506 1 2181 6165 1 43 2261 2 19715 292 1 13543 2535 1 14232 1734 4 9556 1721 2 13254 828 1 18696 1734 9 1443 1724 1 13091 1991 33 13098 528 1 4307 244 1 15128 4447 1 10664 2923 1 18431 2555 1 9655 206 1 18852 207 1 16955 3711 2 150 6752 1 17303 3373 1 15057 292 2 18207 490 1 18465 2552 3 17182 1109 1 6271 23 1 9451 2362 1 6503 4199 1 15411 1582 3 6772 826 12 10916 4258 1 3418 5589 1 8439 1740 1 460 7850 1 7413 2127 1 16860 8031 1 1983 1748 4 8868 5655 2 1469 1738 2 10692 243 1 12493 5555 1 10994 2522 1 3500 1781 1 12262 4019 2 11846 608 1 8082 1329 1 17290 5466 2 3643 4574 1 20191 2175 2 8962 207 13 944 3255 1 11550 471 1 18820 2260 4 8191 196 1 16468 7029 1 4832 706 2 6838 7822 1 7464 530 8 2258 219 5 6957 5193 2 7829 5182 1 16537 5308 1 4002 219 1 7336 2559 9 8398 6184 1 1005 1995 2 10450 7853 3 20093 200 1 18184 1908 7 19203 6288 1 6201 1748 1 6400 4635 1 18127 200 1 13520 2056 17 14590 3533 1 4825 215 7 15207 2736 6 11678 3822 1 496 4604 1 11798 1938 2 4583 1662 1 13513 308 6 4552 1137 1 11072 7750 4 18827 5023 2 10078 411 4 9561 4578 2 13684 1190 7 19630 74 5 2015 4413 2 6200 207 2 2531 829 2 16925 4402 1 5700 336 1 13705 1710 2 10994 244 1 2261 4612 1 15164 1658 1 2105 5820 1 98 4433 1 8913 3349 3 16970 4572 1 5246 6481 13 63 3038 1 12152 23 2 7935 1395 4 18132 2675 7 8754 128 4 4822 1667 1 3862 1775 19 572 1234 1 16018 1756 3 11194 6435 1 9941 5186 1 11786 3553 1 15103 214 11 19135 5268 1 5632 2743 1 518 5039 1 7896 411 1 3593 1234 2 1530 758 1 8279 2981 1 15683 6880 2 19664 2109 1 17152 1726 1 13640 3422 14 7278 532 1 4960 4998 2 13922 4435 5 8137 3516 1 8164 1751 1 14023 3599 1 13065 23 5 11809 520 2 12640 5820 1 873 3578 1 100 46 1 1872 3287 1 5231 1730 1 19872 5441 1 7769 1814 2 4924 219 1 20269 190 4 10856 8037 1 8087 3460 1 18197 3654 4 17561 233 1 13290 4307 5 16836 5663 1 14082 1764 1 13583 4379 1 10862 3163 1 14708 4535 7 13615 4201 1 17088 2727 2 19000 8060 1 13162 904 1 5783 207 1 3996 2614 2 12640 6374 1 14296 1328 2 18672 2132 1 18332 1615 4 3665 6482 9 9605 23 1 5352 766 1 11369 7101 1 5637 207 2 11820 1768 2 1904 23 1 5445 6105 1 14985 46 8 5036 1717 1 14985 3103 1 13 560 1 4583 409 2 6485 4307 1 4674 3058 8 17023 3389 1 1296 5187 10 4232 308 5 7076 5861 1 10902 5254 2 3448 1783 1 16114 23 5 16348 2380 1 3680 1745 8 17250 467 2 7147 1707 1 7679 3970 2 3655 214 2 1722 6091 2 12968 4873 25 17436 638 2 14292 1819 1 17395 2831 1 4153 1092 2 13750 461 1 1565 6174 1 13239 221 3 950 714 1 11158 2499 3 11616 5355 2 5407 5719 1 11827 1819 5 5866 6355 2 19093 1772 1 159 7236 1 18286 3036 1 1948 3503 39 17749 3142 3 9245 8169 1 5285 2995 1 16408 4285 1 14710 948 1 3540 5783 1 12281 1548 4 8843 1610 2 2570 6059 2 19549 1107 4 16063 4377 1 16090 5663 1 6014 222 7 5004 3634 1 12532 1184 22 2939 6584 1 7355 957 1 3397 557 1 15192 559 1 13701 3960 1 20181 1747 4 11738 8141 2 14098 6900 2 11827 2668 1 10694 512 1 9509 3263 7 19380 3787 4 18175 3058 2 7586 3971 1 16060 2268 10 19413 4649 17 14532 3608 2 9978 2990 2 10728 3117 1 13074 1717 1 17804 5350 1 4561 7577 2 9744 34 2 7959 2676 1 11138 766 13 122 5352 1 19422 1587 2 4975 5018 2 19060 634 1 6397 1245 1 7750 1721 1 954 1340 1 3689 6724 6 18944 8118 1 10502 791 1 11882 1666 1 9981 2356 2 6829 4274 2 5197 1246 6 7245 81 3 18410 4955 8 11794 1037 1 19432 3911 1 1389 5294 1 10 297 1 3417 1076 1 12424 4996 2 15666 244 1 20172 3464 1 6373 878 1 4629 214 12 411 200 7 11846 7853 11 204 1715 3 15756 1303 1 11020 7953 2 6705 5297 3 10736 1825 13 12111 4245 6 15943 7120 3 1856 1737 1 12704 506 1 6630 1079 1 349 7797 1 3642 653 2 12862 6979 1 16081 2356 5 5926 6341 6 11445 7037 1 4921 1104 3 5381 512 1 8831 7953 2 9046 6299 1 15083 1302 1 14710 669 1 11686 1248 1 16927 2636 4 8607 2885 1 16889 1788 3 12022 3567 1 2488 1814 3 20180 792 1 7687 223 16 19448 1307 1 8494 10 1 19972 1112 1 10692 803 1 18585 4476 1 3307 4435 3 3749 1794 1 16354 4306 1 8335 3914 5 16891 2555 1 9096 6669 1 2473 608 1 1711 676 1 10606 6500 1 9315 498 17 7970 1182 1 7415 4610 1 15041 2565 2 17636 1250 2 4605 219 6 15542 382 1 5801 637 2 19985 8026 1 20046 347 46 18151 101 1 140 631 1 27 1636 1 584 2608 1 18538 1128 5 5176 1909 1 16767 507 1 5569 2351 1 20107 84 1 12627 2216 3 18748 201 1 11559 8069 3 7480 656 2 1986 2710 1 5424 412 1 10203 7213 1 15307 4467 6 7292 1707 1 4329 4998 29 195 6283 1 12523 225 6 16946 187 2 9226 6082 9 16792 495 1 11162 7498 1 66 3208 1 7026 1993 1 12067 5219 1 20052 6278 1 12753 1395 1 3706 4060 1 8361 541 1 524 1464 1 94 4316 23 5117 857 1 4146 1760 6 6926 2641 1 19438 3911 1 7708 363 1 19608 207 2 2575 23 28 812 4299 4 1326 7191 1 8275 2251 1 17476 447 1 2128 51 1 5564 5018 1 18340 1757 10 488 6427 1 8587 470 2 10559 3869 2 4445 2317 2 19193 1710 1 3281 520 1 16503 6286 1 7034 1877 2 7757 3693 1 19826 441 2 8231 1000 10 1711 745 1 10955 1768 1 19864 1768 1 6474 2897 1 62 1659 1 1551 222 1 9920 2979 4 20085 6150 1 14745 3551 1 11020 3775 1 6733 1788 1 20039 420 1 6844 691 1 4106 519 1 12175 2352 11 2094 5097 1 6166 382 1 19562 6132 5 15618 6072 1 13964 7665 2 15136 837 1 4528 214 2 8917 4070 1 16358 3434 2 8435 5271 5 2834 2649 4 7092 3494 1 4561 724 6 10878 8034 1 9215 4276 1 15943 6083 1 14746 2980 1 17681 171 1 4767 7976 8 4708 1728 1 14824 4204 2 5738 636 1 9125 2422 3 14881 868 1 15530 5642 1 13922 2356 1 14767 244 1 20184 1665 1 8730 817 2 6867 4343 1 16886 7517 2 14016 1363 1 8992 7675 1 14040 1616 1 5658 214 2 3338 4221 1 9160 5113 11 8946 595 1 2497 1898 1 2237 747 1 1993 3325 4 12490 2863 1 8614 2572 7 745 2146 1 5367 6231 14 4898 4623 15 3695 2632 2 4018 1879 1 17967 4095 1 13638 1295 2 17289 7703 1 5515 3540 1 18625 3144 7 13095 7404 3 12570 2307 1 10978 7787 1 18876 950 1 6790 4623 4 10340 2853 3 7221 7570 2 18556 1662 3 10839 534 1 17191 7412 1 11763 3834 1 15495 206 1 19217 4981 1 15241 1036 1 11668 534 1 9358 1726 2 15025 1994 1 9866 1717 1 8391 714 2 9521 200 1 18357 1727 1 17186 2353 1 13233 6541 3 14224 5447 1 47 2370 1 17397 4027 1 6435 3909 1 5349 7602 3 5452 2009 1 1071 3922 2 18129 1774 10 717 1417 1 17379 8060 1 15364 3393 1 9916 235 9 14099 496 1 15896 2242 1 2609 1424 1 63 3044 1 1139 4019 1 14552 4090 1 19009 4320 1 18530 1819 3 9708 3946 1 12422 402 1 11860 232 1 3005 779 2 3700 6268 3 15634 203 4 7480 3775 1 6152 5543 1 9661 4435 3 9178 1557 2 11097 6064 1 17177 206 1 7756 5411 1 5602 784 1 6749 7025 1 1414 1781 2 2198 1339 1 9454 46 1 2962 1194 1 9659 3729 1 5488 1726 2 13439 4669 1 14539 3519 1 10103 2542 1 13601 4022 1 12247 6013 4 4387 6125 2 819 5319 2 16928 6338 1 12619 3572 3 9976 6341 1 14745 203 1 15159 1231 4 135 6105 2 4632 1395 3 15895 7646 1 8386 3238 1 14968 333 1 19230 6705 2 9140 3519 1 12176 231 4 10371 2653 1 14170 1266 9 17388 4439 1 6124 60 1 17965 5560 1 10111 6066 1 10721 5249 45 13121 7809 1 18005 8036 2 13827 510 1 8644 3442 1 15211 1296 2 1322 244 1 13544 215 5 440 118 1 14836 1724 1 16197 4807 2 10245 5255 1 10035 2355 1 15314 5567 2 7312 205 2 8458 7997 2 11145 1342 3 15599 347 2 11786 7692 3 3491 903 1 15691 947 2 10593 1724 2 4688 725 1 14699 510 2 5185 6198 1 6222 8139 3 10799 1747 6 787 3651 1 9767 1740 1 6149 3338 19 711 1729 1 12766 556 1 11926 2058 1 10111 3400 1 13581 1719 7 14115 228 1 19509 385 1 2726 3276 1 19661 2534 1 14862 214 2 10283 8126 2 16696 1395 1 20207 1987 1 6876 1778 2 17383 7565 1 2552 1784 6 4960 3600 1 18388 4065 5 16797 3537 1 171 7638 1 9713 519 3 14908 1582 1 13 549 1 9947 3364 2 12559 1669 1 19794 1726 1 11619 523 1 17843 2938 1 13276 203 4 19509 2097 1 17664 1747 2 7768 6361 1 15230 1245 5 4930 1464 2 1028 3262 1 1911 6082 6 10721 3808 31 95 4363 1 3616 1829 1 2277 6259 1 16698 130 1 5299 3228 67 10725 3021 1 17416 7886 1 9864 203 1 19862 1342 2 3760 4623 1 8015 3044 2 16960 6540 1 4610 265 1 15229 776 2 16374 6152 1 2959 1236 1 19898 597 1 3048 6349 1 6956 232 3 8614 7184 1 8921 533 5 527 874 12 6645 2076 25 13419 5887 1 5018 533 1 138 6318 2 6057 526 1 834 1781 2 16916 4264 1 8001 2439 1 13199 8183 17 16084 2730 5 11506 1342 8 4784 184 5 2789 6756 1 9152 4489 2 3636 2416 3 8718 6751 1 10542 576 1 2544 206 3 4909 3233 2 5565 6772 2 7220 244 1 17911 809 4 496 363 1 5952 2815 3 18940 2691 1 17589 2450 5 1725 6073 1 17505 274 4 19472 4383 1 6538 8047 1 7682 365 1 62 2915 1 13857 504 5 4720 6435 1 16643 715 1 7780 5015 1 13089 1253 1 17382 1175 4 17992 2555 1 7505 164 3 6776 7809 5 9305 286 3 3925 235 1 18400 215 1 16250 508 1 538 2708 14 17387 214 5 7333 7964 2 18668 394 1 2921 3685 23 17610 809 1 8564 1081 1 12841 722 1 12897 2076 1 12763 201 3 1206 6933 1 2123 6826 1 12112 751 1 6778 201 17 5738 707 6 6375 2786 1 4880 771 4 18878 1819 1 4015 2710 1 19896 5382 1 2915 2557 19 13758 6037 1 17995 377 2 9747 203 1 11066 1819 1 16895 4853 1 9411 6341 2 19137 864 4 8621 5018 1 17009 1235 2 7527 883 4 19679 5016 1 15579 6801 4 3109 7469 1 8035 1829 2 5252 1313 1 5358 2620 3 2019 489 3 12343 57 1 16768 728 1 19509 3622 1 2917 800 1 5585 1764 5 17181 203 1 18006 314 1 16057 5750 1 18162 244 1 1504 46 5 7784 6487 3 19342 7598 1 18562 4411 8 11369 1737 2 1067 8194 1 4216 4016 1 19426 6232 1 10207 291 1 2469 6451 6 817 597 3 14336 1290 5 4687 6880 2 10010 3250 5 16637 3575 1 18116 1374 5 7018 1250 3 4020 4963 24 559 970 1 1225 4409 1 8125 1747 1 13284 2392 5 13800 4116 6 14599 737 2 8882 2571 3 15313 7701 1 13328 4043 1 19645 1484 1 6065 244 1 9597 1241 4 3817 196 1 4676 385 2 15374 3206 1 11531 6161 1 5635 3081 1 9132 219 1 12999 336 1 4619 730 1 18939 4404 1 16969 219 1 7556 5040 1 14679 7689 1 16924 3176 1 15411 6546 2 3869 6691 1 3739 6231 11 7134 512 1 9476 6705 1 1341 4561 1 13307 2801 3 15292 252 4 3972 5511 1 3853 1457 4 10471 222 1 5573 420 1 1043 2352 2 5900 3466 1 8911 4016 1 139 6335 1 10692 895 3 19819 4554 1 13430 4723 3 4831 2747 3 8532 1247 2 13555 1747 1 6144 5977 1 4402 157 1 916 52 1 5433 6204 1 15112 4065 1 11785 4930 1 1844 7521 1 10468 2626 2 1714 1441 1 18486 1244 10 16755 497 1 3324 3669 2 1654 6677 1 15709 1251 2 12184 38 11 8749 6537 1 12053 6415 3 10090 4606 1 3075 1150 2 13 948 1 12620 7128 1 12359 3281 1 12934 1356 2 94 4318 5 19504 2292 1 15997 282 1 171 7740 2 7399 4649 1 18644 206 2 3297 6289 2 1207 7216 2 15532 3159 4 12517 3705 1 13998 3748 1 8875 3653 1 1592 303 1 5203 863 1 16997 6914 2 20187 3686 1 1665 5138 1 4672 460 1 11230 2942 1 12064 1761 2 19680 2109 1 5141 206 1 12159 5256 1 18518 1751 4 12634 6608 1 15858 10 1 11858 2665 3 2899 7560 1 2204 665 2 5158 766 1 5326 1721 1 15329 5186 1 16817 7955 1 14517 5105 1 7656 6242 3 6661 5698 9 5938 206 1 5695 1764 1 8687 3230 1 6183 681 1 7879 7333 1 6303 765 1 20248 7235 1 74 3431 3 17088 1707 12 15559 5408 1 8599 1244 1 3503 4383 1 9395 2788 1 4716 225 2 18526 910 1 4691 8053 1 3488 7291 7 8343 1751 2 4734 1341 1 14424 1779 1 20024 2356 1 7651 7884 5 14837 1357 1 6539 1987 1 14913 207 1 12397 525 3 17814 6473 2 5668 7533 7 10219 3159 1 954 6435 1 4470 367 1 5748 846 3 14986 6053 3 11693 1946 1 15172 5016 1 6323 2134 1 9756 347 1 4581 995 1 8036 153 20 14678 1764 1 4992 2676 2 13 695 1 5424 368 1 11943 1663 4 15192 2778 2 15629 606 1 3489 1250 1 5532 762 6 10325 629 3 13328 2767 3 3189 3618 1 4073 5018 2 5658 411 1 12281 4343 2 17020 6713 7 786 1400 7 5716 6031 15 17110 108 1 10586 225 5 11149 4370 1 4405 2958 1 10313 1365 1 2546 3050 1 6061 2710 1 6593 206 1 12521 574 1 10324 292 5 6723 2339 3 6885 2626 1 16579 2141 9 7224 2058 1 11554 336 1 16471 203 6 12125 6245 1 8532 1743 3 10102 1595 7 2131 2611 4 7994 6032 2 6117 2240 1 19116 8051 5 1706 219 1 8174 681 1 18796 4303 1 5743 2675 6 15507 2675 1 5029 1714 1 1919 1249 1 1308 1764 3 3561 809 4 19063 196 1 642 4101 1 19995 553 1 3287 618 1 14144 204 1 2181 5880 1 3755 1464 1 10135 3247 2 525 132 3 439 532 1 10447 1252 4 8895 861 2 15958 7653 1 5013 1333 70 3831 6095 1 15104 501 1 19144 203 21 19487 2321 3 12196 831 2 15935 935 1 1781 5644 4 10498 1699 2 12055 689 1 7022 1764 4 812 134 1 18089 6120 3 13461 1245 2 4061 8054 1 2461 2885 7 13234 3907 1 4710 2248 1 473 3230 1 4731 2559 3 3817 1718 1 5492 367 1 10000 444 1 15745 222 5 6233 8002 1 13039 982 1 19425 1363 10 10313 383 2 2707 7407 1 4970 561 10 16916 6719 3 19273 844 1 16532 219 1 3705 3600 1 9276 1729 1 70 3287 1 14724 1418 2 11882 844 2 18309 7381 30 1692 1363 1 16330 470 2 10813 5018 5 12939 3756 1 6592 3840 1 13178 3482 1 13809 5293 4 2295 6078 5 10777 3361 1 14292 1909 8 2448 1271 1 18377 6783 1 11708 367 1 15344 4981 24 8326 5758 1 7709 1707 3 14263 5336 1 15758 200 1 14729 200 6 4954 687 2 11497 3163 1 7297 1727 1 358 3512 2 12615 2671 2 12453 3592 5 9717 82 4 2147 4597 1 12299 4807 1 18476 5933 1 19223 638 1 73 3359 1 3269 3742 1 17881 3602 1 8754 5258 7 11115 3366 1 12012 1813 1 2796 103 28 9478 1282 3 3226 199 1 783 5257 1 17987 5905 1 2986 6268 1 17007 243 1 1110 1827 1 12918 353 1 10306 187 1 3459 2966 15 8001 4928 1 655 3156 1 6664 1775 2 10912 6051 1 13 627 5 16018 1184 2 8534 7857 1 708 3851 1 11612 7008 28 5835 788 1 6285 1686 1 3536 341 1 18543 1275 1 16768 4470 1 18527 3945 1 8211 723 1 16014 5018 1 3827 1727 1 14253 1105 5 9212 6471 1 4095 221 1 7194 2827 3 11721 290 1 19486 4325 2 6510 1304 2 2324 7586 1 4068 336 1 18526 3113 1 6513 1770 1 9883 1304 1 6660 1372 1 9660 1751 3 18518 5413 2 11690 2955 5 2674 3595 1 3481 489 1 7065 3954 1 14738 1539 1 456 1724 12 16437 1772 3 13490 232 1 18679 2419 1 13126 367 3 14060 1235 3 13060 2095 1 14120 221 4 16481 2875 1 10730 507 9 16192 1771 1 19327 7537 4 17367 200 1 3484 4796 28 18379 6213 1 2605 4001 26 17388 8155 1 14221 2617 1 4831 2617 5 9079 207 3 15853 200 4 14412 3146 1 6236 5037 1 10881 789 1 10204 4436 1 19476 3511 6 15006 6663 4 14051 1752 40 20137 2557 3 4061 100 1 17466 6120 1 7231 1755 1 9831 1991 25 5 159 6 11022 3669 11 6812 3635 1 7851 201 3 6228 606 1 14273 5311 2 2598 60 1 15911 2938 2 5174 1760 1 5913 5021 2 12007 5018 1 9835 2646 3 10488 1251 1 8907 2675 5 17088 1363 1 18039 828 1 7670 899 2 4089 2262 1 12428 7001 1 296 3402 1 14165 883 34 1465 2671 1 10781 526 1 1456 3293 1 4307 1728 1 9708 3135 2 1043 1710 2 527 3920 1 1445 1523 3 18195 1203 1 14100 1721 11 7181 5023 1 12510 1256 1 10221 3411 4 6070 4476 1 10222 683 1 9432 5737 2 13694 214 1 11678 648 1 19596 4803 2 6617 4014 1 11122 708 4 9250 5829 2 14409 7703 5 20039 4595 1 5776 7895 2 7231 173 2 15841 541 1 4381 3561 1 14758 718 1 20137 1825 1 19594 3554 1 14836 2488 1 340 3790 1 79 500 1 14465 1739 1 13743 1659 1 11336 5414 3 5540 525 1 18340 1251 5 8015 5903 1 8763 5437 1 6521 4394 4 17088 1784 1 20060 867 4 4963 1243 3 17899 3851 1 7916 197 1 10520 1635 1 16270 616 1 461 4986 2 6520 1728 3 13829 2363 3 11002 680 1 2776 220 15 5124 6658 2 140 6440 1 184 3511 1 7555 3106 2 20261 497 1 16847 1482 1 13274 394 1 812 7021 1 12375 564 1 8405 1094 1 4665 2771 3 12740 1252 1 10043 2114 4 14297 3984 4 4492 1730 2 10690 6102 1 17516 222 2 13607 5203 1 14146 190 1 1090 3351 1 12655 5686 3 7271 4992 14 6932 1146 2 10675 1695 1 14305 967 1 7189 8200 5 2793 2297 1 14939 220 4 8740 4090 1 855 1407 1 4200 314 2 11478 5379 1 9703 1635 6 3572 7831 1 5567 474 1 13640 496 4 12941 1685 1 20090 4098 1 10855 2552 7 2413 1903 2 10194 4613 2 4023 2951 1 5293 1100 1 20066 4013 2 873 380 1 13893 6526 2 11931 2675 6 812 2632 1 16270 654 1 10168 3070 2 484 2087 1 17765 2675 27 13462 1825 9 650 1315 2 92 4150 33 4880 6545 1 8626 5130 1 10452 4503 2 15041 221 3 16176 1450 7 562 2092 1 7197 6183 12 16715 1363 1 15138 1304 1 379 845 1 14540 6018 1 14936 1464 1 16394 5911 2 9084 7128 1 3812 1681 1 14156 7657 1 2911 494 1 10498 4595 2 13626 1959 1 6001 23 2 6018 474 8 5993 235 6 8261 1955 2 6320 1315 1 17969 5101 2 11382 1714 2 9319 1193 6 4785 1757 1 15433 2046 1 3811 1967 1 9922 7636 1 8658 3974 3 1530 4623 1 10856 6132 2 1881 3057 12 8260 1881 1 10376 4202 1 9919 7843 1 6064 2488 1 18904 1729 1 9318 1703 2 10242 244 2 18450 1153 72 11441 1245 3 2243 7511 3 18012 1090 8 19911 8141 6 17579 397 10 6944 303 1 16036 1995 1 3111 3763 1 15180 2698 1 3954 6754 1 17002 1739 1 11020 449 46 10733 244 1 16920 1587 15 14055 867 1 4968 3512 5 14294 1464 1 13959 3834 2 17382 126 2 10473 409 2 832 5083 1 2731 308 6 10240 2093 1 12496 95 2 10966 5478 1 6715 5437 2 17074 5885 1 5594 6334 2 8551 867 5 3777 524 3 14697 1548 2 10565 5266 7 6249 7930 6 16674 223 2 6993 2144 1 18476 761 1 15530 519 1 5972 6374 1 4949 1747 1 20062 491 1 9816 800 1 6348 899 2 3349 929 1 13750 1251 1 11059 222 1 19781 3796 1 46 536 1 9443 1395 1 19602 7875 1 12409 1819 1 7912 6564 1 10488 232 1 11360 344 1 143 6526 3 14164 8178 4 5471 4069 1 6545 200 1 11935 6754 1 6916 2650 1 3090 3203 5 1780 196 2 10339 1252 1 6320 5420 1 9479 6090 2 20090 1333 1 4900 330 2 5364 1409 1 3256 520 1 6457 1146 1 7956 520 1 4083 5362 1 13821 1772 2 17369 498 1 19159 3058 2 15064 4189 4 4016 1731 1 13779 2810 10 19680 4366 1 11488 5654 1 14853 7216 3 9038 505 1 850 496 17 18876 8109 1 19713 5048 1 7962 1827 3 16 1014 1 2830 4391 1 17894 1312 3 3860 1748 2 4688 661 1 9395 431 1 3054 4019 2 10856 1295 1 5115 1841 1 12705 2534 3 15159 97 1 1551 6268 1 1072 1251 7 8987 5972 2 11952 303 2 11124 207 1 2116 223 2 20274 2571 2 10049 201 26 11877 883 5 6851 2369 1 14061 1825 3 8082 2889 4 15400 1593 5 8614 5452 1 3802 8108 1 14685 1784 1 8443 8122 1 3079 4992 1 19822 6026 1 11953 6278 1 15318 3882 1 20 1274 1 15571 1125 1 11323 7894 1 2696 541 1 16157 207 1 1108 534 3 83 3720 1 12669 7672 2 9228 2581 2 7531 1761 2 17372 6011 4 11549 3001 1 19865 5413 1 6319 4972 2 4935 3534 1 8329 3718 1 4946 1154 1 8818 1825 7 7260 533 31 4072 1407 1 12888 514 6 2412 410 1 5087 219 2 2731 6406 5 18546 198 1 10878 6150 1 988 1771 6 19626 3684 1 822 1243 1 8001 1745 1 4495 7134 8 8408 709 1 17809 244 3 15502 6583 1 19063 518 3 14062 1239 4 12753 3854 1 3568 6537 1 4984 200 2 16267 2522 1 6644 2028 2 7128 1745 1 8389 6573 12 18709 3464 4 9364 4206 3 8458 7915 3 4970 852 1 9993 5472 1 7878 6555 1 15669 905 2 12297 5708 1 1839 5437 1 9250 527 1 16592 3175 3 2204 867 1 5796 1247 4 5804 1251 11 12573 1250 15 14850 6322 1 9604 2671 5 10391 2000 2 14080 831 1 8404 3596 2 6133 261 2 18628 4950 5 6817 1704 3 17652 532 1 901 541 1 3961 1685 1 19000 842 1 4023 4209 2 6790 5594 5 14304 6200 1 10663 3634 2 1091 1707 1 1081 1691 5 749 6706 20 7449 6481 7 3720 1761 2 13160 1762 2 9179 303 1 13705 6334 3 20077 8200 18 1499 787 1 17500 1714 1 11532 206 1 12346 7735 1 1389 208 1 7497 7400 3 17353 1731 7 13591 3534 3 67 3219 1 10586 5905 4 4378 1239 1 10907 995 5 15682 2369 3 6749 4339 1 15102 1686 1 16580 6557 1 18089 2849 1 13302 1995 1 6415 367 1 13664 2312 1 20180 1251 1 14522 897 1 15396 8195 4 32 1755 1 19415 1726 1 10702 4664 4 7783 205 11 2509 616 1 4109 5559 1 13857 2636 9 13405 1239 3 17738 5243 2 11472 1184 1 15781 2993 1 1138 1373 1 18294 672 1 16857 1235 1 3109 8157 1 14284 876 1 19074 2584 1 671 3721 1 9722 517 5 11898 7529 1 1157 4572 1 8157 7719 1 3147 219 1 8439 6091 2 13070 2505 2 16933 2849 1 16618 3333 3 10355 2875 1 10382 2369 1 18512 1727 2 6897 3284 1 1107 1374 1 9432 6053 5 956 5439 1 15634 1241 1 10049 1250 1 788 3896 1 17468 3364 5 17382 7244 1 19428 1763 2 20087 3696 1 3110 1996 1 10355 220 1 12845 867 5 15263 3511 5 7012 4377 1 18157 4219 1 3329 1242 2 18984 1245 1 19957 4288 2 1638 506 1 1801 3710 1 15048 4789 1 1760 520 1 5091 612 1 9269 2964 2 9941 1332 1 7952 69 1 7588 762 1 9213 303 1 11293 1781 1 14828 1031 2 5172 1238 1 18890 6334 1 124 2419 3 14558 8029 1 616 1401 1 8427 1729 1 14430 6769 1 6420 1184 6 4401 537 1 12755 1356 1 14330 1981 7 20014 379 1 3851 411 2 4884 2266 6 1029 1781 1 19596 4796 7 741 173 9 6802 2555 1 9261 223 1 18887 518 3 20180 573 1 9793 23 1 19578 4013 1 6190 6704 1 873 4715 1 6915 510 1 3843 3338 1 7780 5413 1 7507 2247 1 11562 7142 2 15655 4256 1 5951 4320 10 13749 4947 3 8973 1814 1 19316 4514 1 15104 1781 1 14957 6256 1 16112 5156 1 6007 5258 1 15781 3351 5 6457 4325 2 16516 200 2 6333 335 1 15877 3508 2 11234 7881 1 174 7965 1 24 1467 2 5881 6204 24 5356 4304 1 3003 5771 63 9151 4615 1 6381 570 1 13821 3685 6 11675 304 16 1109 3081 3 9776 790 1 7331 190 1 16829 541 1 15107 1352 1 5349 3747 1 13994 3760 1 8496 3427 36 11478 2721 1 3133 6914 5 17172 2767 1 17359 2556 3 13881 225 1 942 201 1 13570 853 1 12672 4012 1 12821 6533 1 2511 3378 4 6676 5906 1 10549 512 1 2562 1755 1 17749 2651 4 7991 3634 3 18876 945 2 11146 6046 1 13496 1737 8 8439 593 1 1133 7390 3 2974 4314 4 6091 1775 1 19489 7591 1 14890 777 1 18671 496 3 12005 7706 2 4352 3666 1 3064 9 1 16448 505 1 18886 6596 2 13561 231 1 13010 981 10 7251 1271 6 5472 6564 6 10579 2491 1 18989 236 2 8152 4796 2 11815 7440 4 18741 1877 2 7987 1731 2 8875 2883 3 8620 1294 1 5424 2512 5 18523 335 2 6250 4112 1 2136 4296 1 12322 46 2 13355 4034 1 296 225 1 3387 1357 3 8443 5937 1 6309 7489 1 3962 222 2 19601 5686 1 2922 1007 1 7593 221 1 16620 1739 1 7594 2627 4 19223 229 1 15477 7101 9 9052 201 1 14581 78 3 9244 1781 1 12071 5871 1 10595 201 2 15935 514 1 14455 1342 3 17258 201 5 18915 1342 1 10252 2614 2 1003 6018 1 7420 6021 1 694 336 1 93 4194 1 16250 1727 9 517 2355 1 96 4392 1 5263 3493 1 8082 448 2 1472 517 3 8078 4963 20 4385 5492 1 11638 1356 1 5379 7619 1 20059 528 5 18 1184 1 13560 2103 2 5928 2355 2 1520 1757 1 18585 5422 1 547 3590 1 8993 3206 4 2945 2717 2 14926 1657 1 18778 497 2 9645 1296 1 8952 874 1 18887 2515 2 4106 2344 1 232 1686 19 1713 3595 1 3806 237 1 10119 235 1 15385 3519 1 11849 616 1 4825 186 1 2739 7189 1 16137 6059 2 16881 3625 1 10369 2065 1 7165 1290 2 17208 629 1 18086 6946 3 12638 4796 1 10509 214 1 18116 4714 1 16619 252 8 1890 7719 1 15894 6135 1 1065 4314 1 16768 935 1 3851 3916 1 3128 2768 1 20019 1891 10 14828 941 1 6452 759 2 16645 201 4 20146 1339 1 9288 2801 1 16965 7689 1 19272 2515 3 1868 5245 1 14800 3352 5 16158 763 1 2672 1471 1 910 3939 1 9390 2319 7 4154 2649 1 16757 4951 1 16570 2517 1 16880 207 43 9275 651 2 17892 3826 3 1462 82 7 8273 2727 2 43 2252 1 19487 3980 1 1962 4499 1 12400 219 1 6570 7271 4 252 1150 1 19193 4963 3 18022 1587 1 14692 1737 1 126 4806 3 16199 201 1 7871 6116 13 18202 1604 1 4966 4221 57 9891 1769 1 6941 1573 1 997 3283 1 11938 3020 1 7878 3511 1 18561 5131 2 113 5068 4 1606 713 1 17383 512 2 10670 1153 1 11134 3511 1 9624 82 2 6768 3511 1 13104 7229 1 12809 201 1 16215 558 1 14906 1243 1 3041 7005 2 12759 7527 3 3715 526 3 7184 8141 1 6690 4500 1 1466 2690 1 19358 536 6 18099 282 3 13351 505 1 1890 4623 1 12319 229 2 7349 7586 1 18232 3147 11 5203 2241 1 3258 2184 13 6656 470 2 340 1250 2 15321 5674 1 16266 891 2 16843 7476 2 460 219 1 1653 1752 4 335 6265 8 1322 6939 14 10053 1699 1 4960 2488 2 1513 689 2 6402 496 2 10834 1991 5 10254 1464 2 17867 1610 1 19658 385 1 19322 5903 4 13422 2357 13 130 2146 1 15272 3556 1 3313 244 1 7679 5036 8 10828 3445 1 9458 274 20 14493 3511 2 3397 770 1 16287 365 2 13865 1775 1 862 1154 1 11832 2209 1 1059 1304 1 7251 3221 3 2274 652 1 14156 4540 5 20262 1729 2 18983 7788 1 16755 478 1 1191 229 1 5205 213 1 10604 3408 1 18 1146 1 2646 2150 6 14055 1917 10 3207 229 1 6856 1593 4 17566 2676 8 5597 1236 2 10387 1251 1 12834 193 1 16089 4312 1 4685 4728 1 15569 207 1 19568 2353 2 2369 2410 1 8926 5247 5 18681 745 1 4428 6107 1 5158 2930 11 123 5371 7 7962 1758 2 3607 3975 2 7301 2552 1 14313 6107 1 4880 682 1 11237 1258 1 13587 478 2 3189 6069 3 8956 1007 12 2100 6174 3 4486 1072 40 13055 6628 1 9322 6677 2 8179 4320 1 6474 1518 1 7554 7112 1 1587 755 2 18151 45 1 186 4447 2 19602 4600 1 16857 4312 43 8707 4961 2 2321 6145 1 12814 1789 1 13928 3511 5 12262 1395 3 11014 545 1 4654 3228 1 7257 1243 1 2382 1290 6 1325 3132 1 16771 3480 1 7461 4225 1 16622 6592 1 6987 23 1 124 5420 2 14268 3643 28 11938 3476 2 460 1244 1 9698 3263 1 10179 377 1 18811 4325 1 14253 2027 5 7573 526 1 17917 4992 1 3891 5502 1 13027 1172 1 6198 2080 2 19538 1237 1 14196 60 1 4389 4343 1 873 682 3 19462 5736 1 3694 3900 1 7775 2250 2 15080 525 1 11066 883 1 12837 4674 9 7871 2555 14 333 7596 1 13507 3571 1 14375 745 4 8971 3666 1 6717 365 1 6970 7216 7 19705 2894 1 8439 1245 1 8314 3974 1 14298 7851 1 14039 7852 2 16033 6700 1 9900 3952 3 17902 6464 2 17020 888 4 11826 5206 1 7184 1241 2 6867 5309 2 10217 5686 1 1488 1772 3 15056 4494 1 4297 3900 1 8641 10 1 1065 3748 6 8574 4769 1 19951 49 2 11530 6167 2 8987 4363 1 13231 3694 3 11213 5026 1 17871 4518 3 10071 1474 2 10806 817 1 3460 4724 22 10730 6170 4 12790 5767 1 6515 2241 1 14762 201 1 6337 937 1 15041 7642 1 8596 6278 1 14726 1743 1 9774 792 1 14699 1743 1 14095 3300 1 13490 1322 1 16776 4623 1 2303 4791 3 9228 1245 1 15713 2821 1 19026 518 1 7327 3612 1 5783 3329 1 17475 5807 3 8499 6158 1 5358 3863 1 14400 6400 1 3681 4380 3 13880 4460 1 5692 4451 1 7916 532 2 18852 4435 1 4278 3138 3 17161 5434 1 18986 714 1 16308 4858 2 16818 4986 2 14730 3417 1 3581 2003 1 8416 2497 7 10187 1399 10 7211 3909 6 11467 926 1 7109 769 1 4770 3213 4 5211 1171 2 19034 7901 1 15679 700 1 11139 4621 1 16998 1809 2 10733 196 9 6231 655 1 7020 6751 1 16558 3892 1 6709 670 1 10890 1257 1 17348 2698 10 17019 2686 1 11411 1955 2 16507 4933 3 17014 2129 6 5042 6377 1 4312 215 1 4519 1023 1 9656 1277 1 15608 848 2 10749 889 1 12231 573 1 9604 215 15 349 8081 4 142 6491 1 20 1368 5 14293 7327 1 17088 1770 8 2974 2794 1 10911 1624 1 5058 7342 1 15498 2883 5 11645 1738 11 18960 708 5 85 46 9 12361 927 1 4512 427 4 124 5463 1 8215 5412 2 19193 4311 5 3749 244 21 6283 220 4 15195 1955 6 20032 899 1 16548 6719 1 12071 5852 1 35 1885 7 17463 1882 1 12740 1275 5 635 470 1 15025 3569 1 20107 756 1 17210 232 1 16847 1714 4 16029 5397 1 445 74 1 7390 7670 1 6406 8041 3 19246 5256 1 5983 196 1 527 1474 3 12110 933 2 2020 6414 5 16835 1395 9 10830 5253 4 7165 2019 2 8693 222 1 2420 5048 1 44 1732 1 19972 5326 4 11047 3686 4 5989 1342 1 4095 5397 1 15581 5156 2 10202 35 1 3189 8131 1 3397 682 5 13706 214 2 11345 363 1 11015 8254 1 5224 1361 3 3035 1726 3 15708 523 1 6233 4447 1 7949 3378 1 12837 4665 10 19061 2343 1 7165 4010 2 12423 211 1 15374 3062 2 9428 1327 1 3894 534 1 1150 4721 1 9656 2118 1 13757 7350 2 5542 4367 4 8147 4379 1 2546 386 1 8914 5066 1 3907 7884 1 11789 3684 1 14683 6025 17 15485 719 1 12819 4623 6 17403 2676 2 8531 2315 1 13972 82 2 13918 2981 1 14876 1757 3 14232 5526 4 16860 6945 1 14993 1296 1 14933 4065 1 17560 648 1 6597 3711 1 9149 1700 5 7571 6545 1 18386 816 2 5313 724 1 19976 1972 1 3765 3888 12 15970 205 1 5183 95 1 19727 236 1 7670 3493 3 16427 6342 31 10819 4954 2 17 1190 1 15915 1779 1 14405 1819 1 14522 883 2 14522 813 2 1558 1788 1 19999 6868 5 16012 7809 1 5848 3374 1 20219 7931 1 3330 215 6 978 7149 2 4986 1304 1 5745 4304 1 17972 5420 1 13143 2617 1 877 1721 6 17257 2785 1 3764 1471 4 18329 201 2 7780 2250 1 15466 244 3 11933 6670 1 18274 6142 1 7459 4653 1 4172 3637 1 13652 3338 9 19705 3298 1 12053 8172 1 133 6031 5 17 1191 1 4689 3557 1 1079 6363 3 15689 223 10 14326 3742 1 14785 7413 1 65 3110 2 9954 642 18 13743 5414 1 4694 1930 1 17900 6727 5 10520 1630 1 3279 203 1 7472 6334 1 4250 7073 1 6414 1241 7 3247 7261 1 6527 4394 1 13339 3109 1 16266 525 1 7859 3287 5 7278 244 1 2646 541 1 16533 6640 1 7824 5427 2 17280 7769 8 19203 1119 1 16600 689 1 3761 4459 1 12399 960 1 130 5953 1 16249 4023 1 3815 558 1 14046 4043 1 8394 374 1 2730 3219 1 4805 215 1 2367 6435 3 10693 4026 2 15911 3230 1 944 2305 2 16877 5108 1 2421 4649 1 16048 1664 1 16057 2686 1 1798 1373 1 3236 2595 1 1104 4427 1 9533 496 1 174 148 1 11693 23 1 5833 3511 1 20191 822 1 10476 4741 6 7241 4611 13 5019 4623 1 17379 492 1 11025 7900 1 4876 7001 1 9662 6358 1 19890 3621 15 15205 1355 1 13082 2013 1 11026 4660 1 18973 1244 8 812 7224 1 6213 6680 2 13076 5018 1 10055 335 1 17871 1685 3 19246 1302 1 14926 203 1 19770 290 1 18040 714 16 16893 2675 2 7600 1871 6 10941 495 3 484 3608 1 9815 229 3 5495 4203 1 19434 8030 8 11278 723 33 115 5198 1 1718 7253 1 6349 6355 2 5839 1613 1 700 5393 4 5594 526 3 12707 1755 1 11072 533 6 14686 5318 5 10325 905 1 9408 7642 2 1065 550 10 6332 243 2 8299 5804 2 15948 534 1 8597 5950 1 4446 5655 1 14246 1454 2 31 1374 3 6631 498 1 5794 1747 1 15945 307 1 4330 1560 1 11509 7537 3 6452 4245 1 131 1677 1 13005 2370 1 15932 6027 1 460 2662 1 3516 3664 2 12459 1801 1 10712 404 1 16518 141 1 16303 82 2 14196 5715 1 4113 2662 1 11372 1747 2 9001 4225 1 2990 3573 5 6527 3278 1 2880 4393 1 8255 6622 1 17120 496 1 8255 1664 1 14842 2646 1 158 7216 1 14558 3171 2 19871 6482 4 4610 3460 1 7023 7829 2 3796 892 1 10498 1101 1 7097 688 3 17208 3421 7 15812 2013 2 19826 3839 5 18039 617 1 16676 1701 6 2163 1770 1 9999 8026 2 525 394 2 19588 1738 1 12711 8109 1 14818 3900 9 10011 38 14 2029 7187 6 7820 4435 1 1828 2675 1 10015 1734 3 14388 5560 2 2891 5018 1 12807 1757 8 16436 347 1 12126 74 1 8427 3511 3 8205 6374 62 9756 2268 5 8256 2548 49 12491 2575 13 8381 792 6 16090 3963 2 11862 1946 1 10011 13 1 17076 6876 1 10221 3638 1 15549 3138 2 4754 23 1 9347 189 1 12575 202 3 2919 4980 4 5088 1363 2 2928 3283 1 4490 1245 1 2553 1685 1 16914 843 2 18969 6994 5 4764 220 1 16645 654 1 9865 1707 9 13349 4446 3 13046 891 1 16781 1778 3 19380 1732 4 8451 219 1 19012 7404 7 10575 553 1 8716 7731 5 1391 201 7 18184 3554 1 12911 502 1 11895 1464 1 8239 6898 1 6570 8235 2 17749 786 2 8015 4379 1 4246 201 1 9689 916 1 6867 2071 1 11798 215 2 11014 173 1 2265 1315 2 10146 4026 1 11007 1819 3 7960 4998 1 7374 2184 1 17203 1991 1 18705 1743 1 17298 2409 1 4877 6251 1 3801 6083 9 822 1301 1 2359 167 1 4147 2609 1 6641 763 1 3485 1734 3 9459 3147 3 7224 2076 1 2476 8095 4 7352 206 1 8384 789 1 8448 3803 2 3470 3627 2 12521 5434 5 10610 880 1 18631 1753 1 14334 4289 6 15648 520 2 3688 498 1 13218 385 1 13638 6488 1 7336 3693 2 19822 6607 1 11364 8090 1 13705 1247 2 19149 5879 5 8860 1858 1 1191 200 34 18573 7599 1 2077 1707 1 9864 753 1 1631 2089 1 16468 3641 1 15530 1595 1 14908 4586 1 18564 2678 11 445 206 1 15015 4132 8 17662 4992 3 14837 190 2 4176 221 1 11272 3408 1 7400 6278 1 5568 5175 1 11411 167 1 13790 6793 1 9664 6363 5 16113 525 2 5624 520 1 2938 573 1 484 2522 1 783 1666 2 6744 6481 2 19140 221 1 6276 888 1 18322 1242 1 12740 2256 1 10948 3558 2 1037 1251 3 17257 571 1 1043 190 2 10502 1358 1 43 2265 1 7137 1714 1 7536 3895 4 1849 1564 1 8439 534 1 17610 8072 3 8499 6225 2 13126 2918 1 12077 304 1 10649 2461 1 14127 3224 1 1389 81 1 15411 7313 1 14753 5957 1 19380 1245 1 8926 3899 5 9419 197 1 3825 520 2 16036 8083 9 10732 2675 6 133 6046 1 17159 7228 1 17110 1305 2 13472 634 1 14972 7477 1 14567 5523 1 15816 3909 1 6855 575 1 2886 1615 1 18906 5326 1 4597 4914 3 15579 15 8 3227 1718 2 2711 220 1 2758 499 3 15497 2509 1 13743 2718 1 2621 3516 16 2737 203 1 1223 23 1 16270 725 1 15144 201 19 1330 3569 1 2646 6534 2 7876 2958 7 9793 5419 6 16570 953 5 5378 3953 1 12592 1720 1 6892 3056 2 10440 7408 1 14473 845 2 14970 1814 1 7252 5305 1 18917 533 1 19848 6677 1 12663 207 1 3536 8071 1 1445 4972 4 11502 7355 2 9572 227 2 7956 6435 1 195 3164 1 4843 641 1 12352 2675 1 13199 225 14 873 134 1 12680 2271 4 15548 7266 1 8674 1035 1 6124 800 1 20148 7672 1 4429 5493 1 7726 361 2 1029 4303 1 19733 8139 1 8736 5003 1 15757 206 1 1040 2680 1 887 1769 2 11045 2800 4 11258 228 1 8096 2260 1 9731 4521 1 130 5906 1 2115 6231 3 9911 6880 1 14630 1762 1 873 4225 1 3484 2384 12 19784 1972 3 10752 1434 2 4670 5060 5 1067 745 1 15363 232 12 14968 821 2 2566 5420 1 17961 200 10 869 499 1 11052 2505 1 10569 207 15 9779 7427 1 12818 1909 1 5983 1239 1 17197 728 1 13477 7342 2 8489 2440 3 11848 1776 1 16312 825 1 12535 1692 1 19473 1379 2 8053 6539 10 7646 4949 1 18251 2968 1 3781 1721 2 18608 74 1 8406 200 1 7726 1369 1 8666 7347 1 16292 1239 2 15061 4085 1 4072 7672 1 8346 512 3 2758 1783 6 16739 5048 2 16235 397 1 4157 533 1 19752 5750 1 19351 5342 3 15935 7622 1 19314 1770 2 132 4379 2 4949 7407 3 18610 5620 1 12580 4706 1 2887 1300 5 16199 441 1 10012 3510 1 14184 512 2 16266 3511 2 17710 2170 13 14481 6754 1 16831 3333 3 10915 5410 5 9580 218 7 20145 2056 3 12807 1251 8 12669 1825 26 4372 576 1 11899 4369 2 10339 4118 2 5212 408 1 11786 6526 2 15573 8229 9 3542 4909 1 81 3692 1 16180 821 1 18508 2114 1 11964 220 2 16833 418 3 10114 1712 1 10462 1303 6 5318 3489 7 1872 1342 2 13239 883 3 5202 944 1 16345 2650 1 10219 1238 1 10873 6006 5 7379 1743 1 11158 4120 5 19760 7986 3 1560 2387 1 1141 1707 1 8579 3427 1 20268 935 1 13103 6758 8 17145 3916 5 15310 5301 1 12619 508 3 6893 385 2 1035 524 3 7481 982 3 4601 861 1 7702 508 3 4564 4351 1 11148 5307 3 18149 534 7 5376 411 23 7849 4012 1 14919 3899 1 1905 443 3 6595 173 1 5580 937 1 12420 1249 12 15263 498 3 4124 3308 3 3681 5575 4 7817 431 1 13194 4345 1 15804 2646 1 1469 4379 11 15608 215 1 18874 7554 1 2546 335 1 6183 6152 4 7354 1768 1 19193 4777 2 5576 2534 17 14402 201 1 8540 2915 2 1977 7498 1 9511 444 1 6604 6013 1 13170 3065 3 16123 1363 5 3811 1986 1 15104 1758 3 17743 4367 1 15978 1644 4 2224 5018 1 14818 3666 1 8217 411 1 7414 2107 4 15491 164 1 2127 1251 1 8100 4995 1 18880 6053 2 4530 470 12 3358 3493 1 8552 8190 1 17961 676 6 1646 4807 28 18083 879 1 13044 4947 1 6910 2668 1 6889 6245 4 10806 590 1 5621 2662 2 10447 1243 1 7832 4397 1 2902 190 1 8155 6743 1 1334 1727 1 12765 736 1 1744 4459 3 6390 7411 1 18096 5549 1 8375 5358 1 10884 4967 1 11018 4204 1 2772 186 2 8518 7255 5 16441 2855 1 15499 6723 5 20093 1247 2 1969 2926 1 17291 5043 5 1465 1251 63 13698 3333 2 4688 3050 1 5962 7538 1 7267 6510 1 15376 1819 5 17989 236 1 140 6382 1 4128 2831 2 15567 1611 2 9250 853 2 20014 7105 1 15468 2675 47 19608 883 6 18783 2831 2 5745 1395 1 2271 2513 1 19515 2564 2 18344 7808 12 9224 846 1 12108 1781 1 395 7719 1 19971 6880 4 18544 1184 6 2213 1240 7 19567 433 1 17086 5467 2 20038 3334 2 10388 5324 1 8620 1769 1 17283 1282 1 4307 219 12 8135 5618 1 12281 1689 4 19957 3578 1 17833 2009 1 8157 498 1 10734 519 1 18182 518 1 11714 766 1 13 708 1 14964 3050 3 6397 236 2 17099 7197 2 16218 5289 1 2409 2401 2 7739 861 1 1935 57 1 16468 545 6 17991 206 1 14573 599 1 8417 222 1 15362 2801 2 17950 505 1 6538 5036 2 10999 1338 1 3579 6340 1 8573 8109 4 18048 2860 1 3005 7022 3 5993 541 7 2922 944 1 11336 2409 3 2990 23 2 16260 4059 2 174 5762 1 10942 3189 1 7632 1910 1 6670 2632 8 14908 2521 1 4305 6167 7 130 5950 2 427 521 1 4049 8109 4 11652 3129 3 8468 206 1 13307 2736 2 5551 3548 1 3882 200 1 7853 640 1 17017 2697 1 11877 1752 1 18576 215 1 196 6754 1 13965 4260 1 13046 1726 1 6073 6278 3 12710 6988 1 13193 1164 1 20096 982 5 12406 2671 1 10978 3353 1 4696 4132 1 9445 244 1 2075 525 1 2304 7229 2 13446 7563 3 2072 1273 1 3746 1942 4 4105 74 2 12781 6629 1 11430 1814 1 7750 3684 1 70 3295 1 6811 506 1 14238 3511 2 12592 2056 2 1922 4732 1 7065 3069 1 18012 81 1 17449 514 1 19401 2261 1 2584 903 1 15530 215 1 16888 4661 1 6519 1772 12 18526 1751 1 14124 200 1 2716 4623 2 12075 6576 1 5445 1827 2 15096 2626 1 16222 1003 1 16060 1715 21 15272 1965 1 16643 3373 1 727 540 1 17476 2827 1 18933 1760 1 10621 1146 1 9764 452 1 9612 303 1 15468 3132 5 16588 2448 3 16270 690 3 15472 7222 5 16812 581 1 15748 1819 2 65 3131 2 12322 1243 2 9222 564 1 10932 3255 2 14561 390 1 17637 855 1 10049 1146 3 16881 1555 5 17392 2555 2 5728 1341 1 14005 5922 1 10733 1237 1 18214 7860 3 18246 7665 1 17600 1249 56 14727 1284 6 6053 219 1 178 8177 15 10997 3827 1 2874 6058 1 4593 698 2 527 354 1 15670 335 5 6656 2068 1 5645 173 1 8700 593 10 16220 2653 4 7162 2355 3 12345 4288 3 8608 1751 1 13824 1241 1 7507 541 1 16815 1769 4 8391 141 1 748 7327 1 15629 564 3 15107 5568 1 15762 4431 1 7750 229 1 10 350 1 48 2433 1 16090 6179 1 1009 823 3 17472 443 1 17340 1990 1 10203 2614 1 5588 519 1 3174 539 12 14782 4538 10 13574 2747 1 12036 3230 1 11642 229 7 2335 3257 50 18276 840 2 18464 4796 1 11416 1252 6 8807 2970 1 18968 3592 2 11216 4425 2 2905 4383 2 8311 3519 1 2981 165 1 18276 623 1 3170 1732 1 7610 721 1 15750 1021 1 4913 7919 1 13876 303 14 4665 5141 8 16727 1482 18 16292 2918 1 3178 1768 1 670 581 1 4906 6102 1 12672 7466 1 4553 832 1 13415 229 5 16571 23 1 11388 4198 1 171 7717 1 4332 5018 8 12495 1615 1 5031 942 1 1986 2356 1 2045 883 3 11874 2497 2 17763 4998 1 15894 219 5 16933 1246 3 4498 524 6 6500 34 39 1038 1819 1 14906 1277 1 26 1564 1 5172 1714 3 16657 214 1 19193 545 1 17682 4329 1 6449 6532 1 3765 2512 6 17682 7643 1 11723 4454 2 988 2353 30 9877 3899 1 4057 1115 1 11497 2662 5 6074 2465 4 6049 780 1 5290 327 1 14900 7850 1 16244 1204 2 10670 3106 1 123 3619 4 18460 5269 7 18660 2144 3 17284 2646 2 9779 1762 2 8316 7878 2 9731 512 7 7688 4276 1 7688 6441 1 19823 6204 1 2550 252 4 18455 4954 1 18307 3072 2 11357 6150 2 9941 3239 1 135 6097 1 6416 5325 1 3809 7466 1 16222 1646 1 14232 6602 4 17761 1473 1 19224 6173 1 15922 4195 1 7007 411 6 9104 4653 1 31 1465 1 745 336 1 6274 1698 1 9422 4435 1 17983 7466 1 18891 34 1 4146 5538 1 877 7896 14 4033 221 1 4389 7857 8 6133 6669 5 11082 1434 1 11363 524 6 19139 925 1 14708 2595 1 840 2737 1 10374 6070 1 17562 510 6 8536 355 1 92 4154 4 1606 839 3 19216 525 5 5675 4789 4 3313 6949 3 4186 2268 2 7562 1246 2 18706 3911 5 19240 1721 1 18528 3261 1 18584 1675 11 11786 6541 6 13800 2602 2 19005 1396 1 15329 1188 1 17812 6721 1 10826 2942 3 7625 1734 1 3502 1122 6 1082 6716 2 7718 2184 11 942 6537 1 14952 5325 1 3395 7901 1 5076 4263 3 9195 411 16 17658 73 3 10545 215 7 16669 244 1 17041 3168 3 17771 2595 1 15615 6140 1 16190 2980 6 10859 1421 7 11230 4489 4 16137 891 1 17886 744 1 5789 543 1 19446 5259 5 15082 4065 11 15323 214 3 19937 159 2 18071 7266 1 17469 7543 4 9709 223 8 19217 341 2 696 531 6 10203 3516 1 19101 4413 1 6784 496 7 16263 3228 2 9445 2068 1 7457 3685 1 40 2101 1 7838 7922 1 15230 173 11 11728 3526 1 5685 200 6 10266 1686 3 2980 5810 1 4120 2646 1 6001 1730 2 7886 2304 1 13302 1776 1 17086 514 1 9224 1146 1 8410 207 6 8310 2975 1 14657 3491 1 13105 2869 1 12805 2575 1 10225 4621 1 10168 4489 2 17760 3836 3 1053 676 1 1172 229 1 18080 2068 1 13743 3283 1 7823 4246 1 19071 719 3 15012 2481 1 18692 1416 6 17167 1724 14 9374 74 1 8022 1991 5 16460 336 1 14762 215 1 13920 7850 1 10698 201 8 19887 4933 14 7215 2018 1 99 548 2 18706 221 1 10095 203 2 4678 3021 1 11254 498 8 11863 4857 2 10355 498 2 16158 867 26 18509 2566 4 10749 5439 1 16929 413 1 4739 1965 1 4288 221 1 2845 1582 7 4328 1827 1 4145 214 1 1499 1617 1 10595 1736 1 19872 3916 5 14157 4635 1 8913 348 1 12064 203 9 14299 1740 1 16961 1236 1 17083 498 36 9941 392 1 19993 73 1 8506 200 10 16825 3132 1 9759 1752 4 8439 1248 2 17142 4967 1 10543 3352 10 14218 1357 1 17645 7427 3 15612 6242 1 4307 867 4 794 6706 46 5877 8212 12 1923 1220 1 5612 5254 1 6183 1707 2 815 1775 9 4935 3367 4 17966 1244 1 15879 1252 17 1507 4448 3 15485 1761 6 10879 1705 1 14660 1734 4 1035 6952 17 16616 7423 2 8878 230 1 18244 5351 2 18127 470 1 20032 604 1 4091 1564 1 2584 1734 1 13443 7494 1 18963 8045 1 13394 1184 2 12892 1384 2 13328 5539 1 19368 505 1 8223 967 3 17850 4382 1 16397 1700 1 33 1819 1 5840 519 1 46 2359 1 17472 1705 1 14664 1755 2 18407 2307 1 16354 4418 1 11381 201 11 12757 8168 1 15868 1342 1 280 1482 1 3477 7407 1 6568 7407 1 19379 962 1 1139 2993 1 5643 1658 6 15561 5317 1 8082 5724 1 16308 1072 6 7970 1228 4 7543 8034 1 98 4450 8 7670 690 1 13543 853 5 9826 1720 6 4055 3627 1 18037 1781 1 8730 759 1 8287 1305 1 4563 1364 1 8904 2353 1 14794 6141 1 35 1855 4 1743 3367 1 11554 1764 1 17731 244 1 18080 2666 2 4332 200 2 9713 518 1 10057 3687 2 14053 221 1 12322 883 3 15635 7946 1 15791 3992 7 10557 5325 1 6164 3283 1 10160 5730 3 7532 4653 1 19878 1739 3 13 631 2 4779 1307 1 11057 2662 1 1725 13 1 16909 524 1 2895 4435 6 5435 1699 1 5003 7622 1 105 4730 1 16562 5257 1 20090 2641 1 14361 1738 1 12457 5251 1 9919 5874 1 2629 536 1 6208 23 2 2352 8195 1 19836 1717 1 16636 1711 8 9666 8103 8 7806 8122 1 11108 2508 2 9743 7831 1 18487 7719 2 5888 4006 2 6870 1772 2 5495 1238 1 18335 1986 4 9648 1722 1 18594 5011 1 13928 2352 3 7166 223 23 16375 540 1 5013 2248 75 207 947 1 1162 6091 1 19095 2698 1 7685 4849 12 9793 5483 1 17618 532 1 9725 448 1 11900 867 6 16740 2423 2 11666 712 1 7171 6482 2 18195 763 1 7498 2913 3 20123 3298 1 8947 1698 1 14125 2151 1 9979 235 9 7315 3491 5 15530 8194 1 484 5875 1 9388 4477 1 8319 7915 11 12619 1779 2 17061 3109 1 11295 4100 1 5220 7144 1 5191 954 3 8161 2299 1 16474 516 1 16997 1719 1 9168 630 1 14233 2261 4 18091 2953 1 1469 532 21 9590 3135 3 9374 1784 1 5567 812 1 14302 3058 4 10327 7022 1 18071 3000 1 12817 2652 2 3131 244 2 7208 1305 1 54 2607 1 13779 829 1 10000 4673 2 14017 3827 1 10772 499 1 10170 4622 2 14881 809 3 9548 1748 2 3118 2778 1 4092 2877 1 14998 385 1 11251 5864 1 15909 1328 1 174 7867 1 10495 293 4 14824 1903 4 15408 3333 1 19855 223 8 6013 2571 1 1712 2508 1 10350 1407 1 11131 2770 2 3901 1314 2 19654 6892 1 1952 6342 1 143 6619 1 5721 2683 8 3562 1751 2 6064 6696 1 5171 5740 2 16704 6617 14 6689 6549 2 4487 1715 6 5263 187 1 5063 5018 10 2915 1758 1 3491 74 1 15041 196 1 4265 5086 1 8907 3012 5 11416 4146 3 10960 413 1 8665 8167 1 10482 385 1 9041 249 1 6372 696 1 17252 1962 1 11326 2075 1 10225 3216 1 17031 3155 1 3414 1825 1 4314 3434 1 423 3556 1 10665 612 1 17889 6388 1 450 3491 1 13171 452 1 18443 7210 1 6211 891 4 19287 520 1 17721 6435 1 11295 833 1 7226 7085 1 16442 510 1 834 7519 3 5172 530 8 8361 1007 1 18871 7586 1 13496 235 2 17924 6109 1 18561 3278 1 7007 1594 1 7017 1272 2 5233 223 1 15629 571 2 10330 292 2 5952 1880 5 14150 1573 2 3397 5258 1 1665 1991 1 12771 6481 1 6906 4563 2 11160 1369 1 17828 1729 3 17937 262 1 7822 2889 1 19523 7674 1 18237 1399 2 1737 5444 2 18902 127 1 6781 8140 1 5676 2555 1 18338 336 1 13238 1210 1 9137 7815 1 14957 6006 1 16158 665 1 12054 4120 4 6478 221 2 14237 4387 2 992 1695 1 14688 1990 2 10133 903 3 14657 1277 1 20180 46 1 452 1209 1 1206 3939 1 4960 3972 5 16448 825 1 5132 4039 1 13204 2619 4 1607 1244 1 15576 235 1 16393 2675 10 4898 1770 1 17328 2448 1 12410 4400 22 9937 6632 1 4604 3484 5 6712 623 1 9171 1237 9 6667 1707 3 6020 7266 2 12893 23 4 23 1438 1 18147 1760 8 4885 6571 1 16123 8197 5 4092 3287 1 15409 6925 1 9279 1395 1 13822 2618 1 349 4489 1 9112 165 1 15802 5271 6 17705 1342 3 14167 689 1 13576 2040 3 10123 1037 1 8473 235 1 14769 4274 1 14020 6518 1 18080 5251 1 12557 5060 1 14326 1268 2 9877 8091 3 15502 1062 6 2807 1739 1 6776 3119 4 16681 7958 1 18170 496 8 17948 718 1 4012 2969 3 1522 1764 1 16016 2989 1 17736 4107 1 11849 657 1 5326 2385 1 18434 3693 2 7148 4218 1 13024 3417 4 7200 1707 1 17549 6252 1 20082 891 5 11573 7593 5 1270 1718 1 204 2683 1 6539 739 1 9656 5724 1 19204 5881 2 5950 4274 1 11956 200 1 4390 191 7 17742 6122 1 17194 1991 7 13363 1153 1 9612 867 1 4739 6335 1 1384 2259 1 9572 496 5 18096 7354 3 13642 2386 3 5319 681 2 14906 223 1 2834 4554 2 1888 5156 1 14062 505 2 11294 229 1 8274 302 2 8710 3074 1 5306 1731 1 8058 1455 3 11388 23 8 13031 854 1 18679 1457 1 4541 1782 1 2154 821 4 7048 2668 1 10943 6754 1 20044 1237 4 15314 47 5 334 1089 5 15906 2642 1 19550 541 1 7524 519 2 10590 7980 1 15362 1676 1 1191 1775 1 17781 8012 4 747 4476 1 9482 7403 1 1028 749 1 13718 1582 1 6013 6649 5 9342 7719 1 10565 874 1 13880 4473 5 14193 74 8 19881 5003 3 2917 1322 1 8732 196 1 13706 525 1 18045 7606 2 2484 4372 1 1638 5058 4 4965 1307 1 496 2514 1 668 82 1 10136 5526 1 17149 219 1 18526 1252 1 14679 1236 1 5373 7201 3 3544 1239 1 1217 1717 11 391 2618 1 2985 6031 5 10290 1745 1 2998 1357 2 14114 771 1 5987 4115 1 18111 336 1 13743 723 1 8798 215 1 6524 3512 1 11327 517 1 17734 331 1 7252 1277 2 4283 1288 3 6032 441 3 8872 508 7 12640 108 5 15211 5420 2 4793 2675 1 19332 4022 6 17023 3471 1 15471 3029 1 3491 232 1 14908 7734 4 8128 1249 7 633 3516 6 10000 390 3 17 1201 1 9299 5700 1 13530 220 1 1817 2646 1 4734 3020 6 873 962 3 8708 1742 1 17853 5016 1 6907 603 3 12101 156 1 10360 2825 1 2138 1374 1 1039 274 2 12897 5497 1 387 1319 1 6781 3163 1 15107 1194 1 11013 6152 2 3875 1779 1 15098 1200 6 18115 243 3 13700 841 2 16023 507 1 124 5524 1 17258 221 1 14294 2881 2 16861 1901 2 15509 518 1 14469 252 1 19629 7470 1 20174 3338 4 6193 930 1 17217 411 3 17710 7101 13 9696 215 1 5401 233 1 4483 502 1 4469 1769 2 16819 2636 3 11363 7614 7 11179 891 1 9178 2355 1 3416 5952 1 259 1036 30 19263 3267 1 10473 5253 2 16493 3417 9 18876 626 4 12636 6473 4 13161 6380 1 2865 5899 1 17124 203 7 8040 525 1 9628 675 1 16637 3889 1 4376 4523 1 6772 2743 1 3204 8167 1 12459 4232 1 6601 1342 11 15796 1756 2 11964 206 1 18633 2440 1 13907 2652 1 6817 74 2 7095 8131 6 17121 8102 9 11663 649 1 4691 200 10 5431 2109 3 8343 2369 1 14121 4467 1 10770 3905 2 3341 411 1 10102 13 1 10862 2443 2 6016 3681 1 14333 5043 2 10728 498 12 11872 1164 1 8890 6091 1 3918 3078 4 11453 2385 1 4767 1247 1 2922 1305 1 14118 5738 1 11489 1816 1 10665 581 1 19493 1396 4 19174 7570 1 16180 1752 1 86 3955 1 12307 8148 1 17184 840 1 13455 6121 1 8920 198 2 2281 1745 1 3962 1756 2 6683 758 3 19961 6682 3 18525 4262 1 6645 3634 1 2801 825 1 16631 3021 1 14196 108 1 10329 2980 3 9598 1824 1 3214 2968 17 11614 7931 4 12791 38 4 16743 498 6 6781 244 7 16642 1698 1 15781 244 3 2931 509 7 9 247 2 15732 5023 20 6283 201 13 19326 627 1 9758 7832 1 18116 532 3 9279 1698 1 13605 2030 1 14184 1374 1 7994 877 2 3340 1421 1 17416 502 1 13054 1312 2 9250 8221 2 3888 1946 1 3673 5294 2 15314 7466 5 3700 5022 2 9835 6341 1 17296 4554 1 12584 1251 1 2450 548 1 12614 491 7 11231 2132 1 13148 799 1 2433 2778 1 19693 4026 1 2704 1108 2 19664 532 1 9479 6920 1 5533 7414 1 1825 1721 2 8370 1740 1 4124 235 3 4817 220 1 7099 3511 1 9054 581 6 89 380 5 1519 1275 7 2135 1657 1 10813 3653 1 3915 4427 2 7179 608 1 12510 1548 1 3485 525 1 12933 201 3 3147 5538 1 37 2013 1 6995 7408 1 18763 1757 5 8965 1235 1 16431 4635 5 9759 7513 1 9659 1076 1 16236 496 1 6325 4618 2 7058 5436 1 7184 532 1 2575 57 2 11442 3464 9 11987 2353 4 10672 7670 2 5831 4044 1 3345 379 1 108 4820 1 18633 2402 2 8905 2646 1 8109 504 2 153 7099 2 10173 203 1 1212 2787 1 19608 4938 3 11402 3602 7 6806 1721 3 9077 2698 1 17105 3666 40 1044 6538 6 15764 6801 7 17189 7769 1 12343 1757 1 1297 883 7 18538 1814 6 5748 496 2 10772 637 1 13148 186 3 20 1366 1 3417 409 1 3973 318 5 17777 201 1 2266 603 2 12489 1359 1 2494 4435 1 389 6470 7 15180 1296 1 11846 881 1 16266 1184 1 18347 7565 4 236 7731 3 2109 3980 9 16018 365 1 5495 2369 1 968 222 11 4688 841 2 17695 3819 1 1223 6758 4 4685 1788 1 13735 219 14 10463 1827 3 15251 2653 7 19982 4013 1 18710 1203 1 11846 4998 1 11472 8165 1 3584 3477 1 4621 186 1 9941 4853 1 7188 3511 7 5977 667 2 17054 1040 3 5602 73 2 16496 23 2 455 1641 1 12291 2650 1 15909 276 2 3309 8093 1 7581 5379 1 2319 2600 1 9250 804 1 2153 4950 16 14275 3511 6 11857 206 2 7331 6152 1 18393 505 7 6152 2877 1 3324 8184 4 17218 3138 3 8426 5257 2 3496 215 2 15952 409 1 8214 2653 2 1825 23 4 15847 3525 4 10553 6054 1 6492 1698 1 7872 215 2 2997 1745 3 14815 3146 1 2608 5532 1 1494 903 33 18013 5414 1 3175 2653 7 1433 1450 1 1074 1334 1 15811 2355 2 9919 215 1 6070 3649 2 16087 1785 1 9883 8031 1 2583 5325 1 9310 5325 10 4896 2541 1 3695 3556 1 10366 3895 8 16019 489 1 10160 252 1 4743 4615 5 13024 605 1 17085 196 1 17494 520 1 1613 1721 2 3581 668 1 16518 7423 1 19014 8139 1 17950 3081 3 9050 6167 2 16391 3667 1 6527 477 15 15682 6943 1 8442 510 3 16004 5229 1 3275 210 1 13461 1720 2 10961 517 2 12888 1727 1 9191 517 2 1322 3072 1 8189 5442 1 16265 1752 1 10950 638 2 10236 7936 4 15389 3696 1 6341 7013 1 7020 6754 1 10247 6623 1 14217 5513 2 20107 3235 1 20225 899 2 3742 1235 1 16695 1184 8 2689 215 1 5326 470 3 16897 7705 1 1937 5690 1 8007 4012 1 1774 187 1 212 1367 1 8001 3603 1 20191 864 1 6752 1190 1 8311 184 1 10830 4609 1 698 1775 3 9275 899 1 18766 864 1 4688 666 2 17960 6383 2 6762 4521 2 9826 3276 2 3715 3230 5 5652 196 2 16886 1464 2 17958 205 1 11513 4929 2 5244 4547 1 14986 7508 2 8620 200 2 11 440 1 2743 4972 1 15826 244 3 12543 1363 2 18413 2208 1 9432 2626 2 17849 7466 2 15679 8186 2 17895 8127 1 2985 803 1 14270 1508 1 7710 5852 1 13827 244 1 13526 1363 1 4489 6632 1 15791 696 1 6769 7066 4 18625 7077 3 19349 2569 1 17605 6408 1 9881 3206 1 13960 1379 2 9898 3026 3 14660 1755 5 2267 1179 3 4459 963 1 16968 7848 1 18667 502 1 15495 220 1 2643 1296 1 7313 3324 1 8721 5101 1 11975 1235 2 13734 843 1 10078 2760 3 3485 1249 1 7780 157 1 6979 1731 1 8663 6383 1 3701 5951 1 10542 2586 1 17575 1595 1 14173 6286 5 17340 1755 1 9760 225 3 18076 622 1 745 201 8 11231 6779 2 19826 1190 1 1142 52 14 1073 7005 1 15881 4500 1 10245 7201 9 18939 525 1 12236 1388 1 12521 767 1 14665 1991 15 4218 5130 1 3048 99 1 6509 8035 4 13829 1771 2 7986 1590 4 7509 235 4 5896 2899 13 8553 374 1 13928 878 1 3888 1770 2 21 1407 1 11188 1788 1 10430 7748 1 8128 207 1 17331 222 2 7952 2014 2 8805 2549 4 812 1758 1 6323 1352 2 7993 1665 1 7296 200 1 4933 634 1 13543 2889 3 2963 498 2 9462 1582 1 19936 7726 1 15940 835 2 4081 3909 1 11042 2528 1 9836 1730 1 9315 2268 9 19969 2832 1 9147 2355 3 1349 1764 1 18698 6663 1 86 3942 1 10308 5036 1 31 1753 5 5401 5202 1 14839 1277 2 4688 812 1 19344 23 1 13734 666 1 7538 73 2 11352 1757 1 4147 2953 7 16132 568 1 1320 411 1 17607 4403 2 17819 4944 1 18689 3283 1 12826 127 1 11035 3853 2 16227 84 4 10584 1734 1 83 3765 14 17872 201 2 18115 1732 8 19578 6253 1 15516 2721 1 20090 3029 1 13436 411 1 1990 1714 3 16057 956 1 13031 510 3 8853 7027 1 7746 2636 1 171 7677 1 4005 3197 3 926 3386 1 12007 637 2 19937 1783 4 101 910 1 8275 4391 2 12821 207 9 7090 339 2 12084 4275 1 11412 2356 1 12385 1785 2 19506 2980 1 13110 6009 1 2306 512 2 1638 3968 1 16090 4518 1 79 3550 1 12817 4404 2 405 498 3 152 6825 1 11357 633 1 280 1776 1 413 1999 1 17502 2650 2 12904 3778 1 13829 201 2 17166 5404 1 17791 6481 1 2338 1213 1 5364 124 1 4106 6675 1 10407 2743 2 8959 1753 5 6473 1298 1 11678 3612 2 3304 873 1 2729 452 1 4376 5291 1 13714 1186 1 2552 303 1 13035 3326 1 10789 213 1 14985 449 1 18462 3757 4 16294 3070 6 1277 1776 4 10245 271 1 5494 4692 1 14738 6065 5 1886 3069 1 143 6530 3 7213 4367 1 15208 2488 11 15879 1775 31 12889 1248 1 3036 3079 1 12505 5243 1 18251 514 2 812 82 1 126 5649 1 3910 1722 3 6971 2534 13 4729 1714 2 124 5476 1 5916 3267 1 3683 8141 2 9894 6053 1 14436 1745 1 712 4435 1 12678 7101 1 6317 4341 1 11381 165 4 1677 1380 2 9010 3540 5 6750 3906 2 5738 803 42 12125 8109 1 3488 205 2 7142 3230 1 18876 649 1 3203 6058 4 6690 809 2 16698 4563 1 8594 364 1 3446 1995 3 20188 826 1 6126 1775 3 14297 1649 1 4050 1718 2 19590 5758 1 8319 6207 1 8125 1613 1 6855 2138 1 5515 1917 5 12739 921 2 11836 1938 1 997 880 1 14845 1235 2 4030 2146 1 6989 4467 1 11671 5607 1 12231 2435 3 9769 202 1 1635 48 1 19696 1338 1 12665 6711 1 3189 5220 1 18948 4033 4 17886 7719 1 20028 1573 1 17321 4721 1 9793 5037 3 4858 7251 3 10316 1352 1 5570 7829 1 7682 7902 1 4132 5105 1 14780 244 1 13707 4761 5 3085 2990 2 20042 5305 1 6111 270 1 7096 498 9 473 867 1 983 1277 1 7252 5257 1 9894 839 2 16472 4607 1 12300 7395 1 12375 676 1 15467 2552 2 12312 5492 1 18307 2087 1 5283 2138 1 16961 1184 2 6696 1561 1 3189 3588 2 15634 1345 3 6012 6694 1 3505 4332 1 20230 32 1 11490 1247 3 12851 7300 2 7306 726 1 15726 6335 1 5628 1734 1 2201 1649 2 17645 6031 1 18431 519 1 7785 258 1 11987 4796 1 20016 7353 5 3547 5408 1 4332 3233 2 10268 2671 1 17992 8171 4 6463 453 3 2870 2881 1 14233 525 4 11634 1962 1 2713 1221 1 12433 2831 6 12766 331 2 17259 89 1 14400 1758 1 6109 724 1 4940 52 4 13884 7205 1 5981 1911 1 13561 236 1 3548 5341 4 6618 4395 6 6954 184 2 18526 1776 2 20 1292 1 14145 6863 1 18193 1819 4 13590 4252 1 2189 4974 1 14278 89 2 7750 532 1 6776 6680 2 14877 4794 2 704 3025 1 16386 7995 2 9650 5730 7 2891 2349 1 7168 4555 2 8707 2305 1 16063 5405 1 13461 541 7 16491 4303 2 3535 221 1 19872 765 1 18289 3230 31 4519 5256 2 9844 2555 2 1149 1814 1 9754 2431 6 17450 1090 1 5 153 2 7824 7182 2 11849 816 1 1871 411 11 12821 1374 26 12378 5276 1 15629 575 4 4288 518 1 9082 232 10 4707 1768 1 3583 23 4 18706 1721 1 5088 1399 1 2367 1367 1 15401 3122 2 2070 759 1 80 3616 1 13006 3512 1 4195 206 2 14183 5468 1 14589 207 6 20156 4350 1 12740 1314 20 16922 7767 2 17436 724 2 471 1732 2 15217 3856 1 14738 3399 2 10600 344 2 15727 1417 1 1867 7347 1 1327 3558 16 17328 2897 1 10907 5472 1 9962 4620 1 18546 4992 1 14694 1679 4 16886 2407 14 12660 3671 15 2688 2032 1 17432 3556 1 13131 641 1 8343 786 1 6748 6723 2 18492 1380 1 12702 4404 1 8641 1748 1 14917 7210 1 8965 505 1 13278 1610 2 15405 1269 1 14326 7554 1 12459 1789 1 633 2881 1 2430 505 6 3541 3203 25 13329 413 1 4370 2385 1 8886 1263 1 3043 156 10 1552 1736 2 14883 2577 2 10123 3544 5 3041 7424 1 130 5910 1 6617 6527 1 17389 314 3 7495 792 1 2674 5302 1 13733 1374 1 17932 6546 2 12858 3676 1 11195 525 2 5009 3596 1 4333 7494 1 13426 7237 1 20167 1645 4 10698 631 1 5260 1363 1 1634 1304 1 1451 2056 5 19844 215 2 13623 864 1 6711 883 2 12384 1246 1 6 196 1 12181 4369 1 9122 6139 1 19078 3021 9 3564 7347 6 4221 5436 1 8403 4357 1 2962 3176 1 13669 3163 2 1289 662 1 8541 23 4 6732 1333 2 10856 236 1 16869 3920 3 756 1404 3 19857 3516 2 12739 677 1 14665 481 1 18678 532 1 3388 7801 1 2194 735 10 6258 2640 1 14851 1595 1 12538 380 7 19759 7624 2 923 554 1 95 1369 1 12284 3697 1 19056 6629 3 7129 3511 24 11131 7271 1 1093 1076 1 20017 234 1 11774 4137 1 1032 3334 5 9661 3642 152 12294 203 7 3337 5266 1 10883 5674 1 11314 2572 1 2886 57 2 18376 3021 1 9219 1784 2 4663 5286 1 18381 496 7 2921 3011 15 15878 1887 1 4898 6342 10 15344 207 5 6473 7345 1 18833 3909 5 4603 6962 1 14828 6343 1 11849 575 1 18524 496 1 9525 1756 7 3187 1722 3 17261 2653 4 13271 2246 5 7977 203 2 10980 6257 2 16029 2789 1 13227 4077 1 10988 5814 1 13 811 1 14580 11 9 12029 8036 9 9433 2100 5 3521 252 1 5428 5363 1 17242 2552 1 5117 6327 5 4072 2287 1 20045 1043 9 16222 2017 1 5860 1739 1 3324 3896 7 17922 665 1 16245 2739 1 19204 867 3 6712 874 1 18193 223 5 6829 6135 1 3667 498 2 2834 679 4 3694 470 1 15960 1695 1 2217 5255 1 740 501 2 2313 597 2 6592 891 12 15905 3097 1 13328 4946 2 19354 7689 1 4479 2859 5 13 730 1 19101 876 1 10411 6701 2 16057 5294 1 9224 954 1 18431 6162 1 196 194 2 7548 3539 1 6347 6845 2 9600 19 1 13383 5408 1 6412 722 1 992 1747 2 11411 219 3 201 181 5 9424 1732 1 12469 6640 1 8075 7883 1 5424 443 1 16984 808 1 6758 136 3 3804 6612 1 18054 6175 2 18500 2109 1 6570 4080 1 19730 7999 1 4584 5440 1 912 2626 1 11 445 1 19495 6673 1 17259 3460 1 17383 3998 2 12350 1342 4 19857 363 1 13394 514 6 16741 7670 1 17724 2831 2 5401 229 1 11377 6618 1 17242 2793 1 6983 6238 1 9916 4816 1 12128 4499 1 1906 3713 1 18613 3311 21 11746 1719 7 4220 173 11 10459 1359 1 726 3275 3 12677 1193 1 6963 7237 1 4941 3932 5 13734 888 1 3362 3693 1 8343 1721 2 12695 3512 1 12952 4720 4 1736 533 83 12283 1760 1 15185 1729 1 12009 74 1 2211 514 1 17557 1360 1 9638 203 43 6152 3027 1 7458 6363 1 13680 1518 10 3382 1643 15 17738 7033 2 8203 201 1 2938 950 1 5188 3536 1 2782 3602 5 17506 7086 5 3109 2228 1 11230 679 1 2127 3715 1 8044 4333 1 15599 6047 2 15943 3715 1 5602 5202 1 15468 206 7 9215 4500 6 7838 1732 1 8395 8054 1 2111 5349 2 18379 3617 2 1721 2355 1 5246 680 3 8721 4351 1 3395 3081 1 9601 303 5 7933 6581 1 15063 1308 1 4565 2361 3 19957 644 5 3892 6361 1 16603 3968 3 5083 2678 2 17335 3220 1 10000 2007 1 873 764 1 19332 8109 1 2064 6506 1 13928 1710 1 14686 443 4 17962 1240 1 1698 6212 1 997 4019 1 18149 1707 1 19996 885 1 16805 507 3 14525 4998 25 3910 336 1 13925 2801 1 18557 2508 1 9962 2522 1 252 2284 2 5093 74 1 9250 604 1 7592 220 1 19144 2678 1 6913 2043 1 12903 1721 6 4279 699 1 9959 1334 4 19159 1686 6 18508 4009 1 7186 5349 1 11857 215 17 7626 3378 1 3644 5186 1 12753 8054 30 3399 850 4 3539 3910 6 18579 3661 1 2640 4540 1 6538 1242 4 16561 821 3 3031 173 2 17084 534 1 17906 2191 1 13806 853 1 153 7111 6 5720 2056 1 13574 188 1 6469 6974 3 3826 817 1 1625 2608 1 12806 4654 1 16354 5314 1 15935 6484 1 11678 6059 1 14778 1244 4 8467 1779 1 13412 173 11 13461 505 2 14758 6036 1 11844 1182 3 18623 1737 1 541 3693 5 12821 1276 1 13204 910 8 11786 75 1 3434 4466 2 18027 411 1 9778 666 1 572 2295 1 12175 2760 2 7238 1888 1 17439 2640 7 14608 6915 1 13619 1745 19 11727 2502 3 18040 838 3 1551 1703 2 4546 225 1 3318 3482 1 9437 2727 1 16725 7304 1 9969 4622 1 16278 1930 1 2855 1610 2 944 3253 8 6318 2946 1 16772 1752 1 15800 4460 2 13647 2675 1 9346 4588 5 8298 5077 1 3100 200 2 18098 3648 6 5837 1328 2 8966 8194 6 13916 4131 1 11383 6547 1 11271 197 1 16794 339 1 4447 164 4 19000 2004 1 10595 1374 2 819 2008 1 2887 864 1 4572 2595 1 7661 1745 6 15885 5582 1 10592 215 2 11562 7314 1 8579 1745 3 8717 3692 1 6002 2504 1 12725 4670 7 2260 1321 1 19485 1363 2 6751 690 1 130 652 1 942 2424 1 2816 910 1 6749 6927 1 5878 1359 2 19826 3734 1 1625 2818 1 17772 1244 3 9205 1697 1 17879 498 2 9802 5903 4 179 8190 1 1133 6749 3 18252 229 1 12392 6979 9 10655 2373 2 20225 674 1 16057 3634 2 10021 6139 1 16509 6011 2 7327 207 1 10761 4342 1 1199 1950 1 8050 867 2 4305 5788 5 10309 2889 5 17739 7255 1 19293 1734 1 17353 1760 5 4627 3163 1 2675 541 2 2333 3556 5 4573 1292 1 140 1513 3 6332 4807 1 2313 8034 6 16378 1761 2 12152 910 2 17580 6164 1 2902 173 1 12078 3886 14 3215 5810 1 14557 1153 1 11230 550 1 10610 1237 1 16700 557 1 18526 244 4 12894 221 1 1032 3233 5 4965 467 2 4415 8230 1 19864 1241 1 12070 338 1 4793 201 4 7780 2422 1 16676 3684 3 12527 5436 2 3189 1663 2 15948 1249 1 2134 1593 1 18351 623 1 5440 206 1 11826 1277 1 4663 186 1 1239 1464 1 15296 220 9 5126 3228 31 13090 1747 1 7006 3053 4 20230 2419 1 8381 2555 6 812 1756 1 1057 8140 14 1235 1685 14 3146 7021 1 3199 1242 1 3153 3306 1 16911 2600 1 5276 2569 1 17001 1707 1 12995 6510 7 7605 2080 3 6016 23 6 15281 3512 1 4431 1104 1 8080 4411 3 9709 3164 1 1969 427 2 19225 207 2 20158 5919 1 12 498 7 910 2058 1 12668 4491 7 16538 3351 6 13743 1331 1 12299 8202 1 1620 1768 1 12288 4555 1 8439 1751 3 13092 2666 3 11079 2307 1 13080 220 3 14322 221 1 15295 4597 1 8458 229 2 4137 8178 1 4170 2206 1 2361 2331 1 5381 214 1 18184 498 7 11131 3866 1 12422 367 1 9545 2860 1 19711 187 1 13513 6775 12 16306 524 4 107 4811 1 6543 6744 1 8889 2001 1 18847 1732 1 7099 2016 1 8919 5121 4 13634 2515 1 12856 8141 19 14753 5326 1 11873 507 3 6588 3251 1 8337 1249 1 3397 3584 1 10133 541 3 14196 6697 1 12083 1734 1 15114 1734 1 14717 7736 1 2956 215 2 9215 3016 5 11129 1742 1 19989 1708 2 16750 5082 1 745 541 1 13919 4481 1 5137 6634 1 17353 3337 2 6463 2367 3 11388 1965 3 19024 5252 14 10396 6556 2 16860 7005 1 18033 3907 10 846 523 1 13490 2503 2 15374 7178 1 13329 910 1 18320 2132 1 19105 2138 9 14899 1357 1 12279 1955 2 1073 4716 6 15203 7772 2 11769 1662 3 6229 2043 3 20099 2675 17 13506 5695 5 4313 512 5 14767 2633 1 6630 6435 2 1282 1332 3 1586 222 2 17629 3304 1 4498 859 1 4268 3417 5 5132 2341 1 3718 5093 9 12299 3629 5 6387 5312 1 17368 2014 1 16705 2949 1 6509 3570 1 15269 4314 1 5815 336 2 118 5238 2 13922 745 2 14232 6150 1 11504 5486 1 10240 1721 1 14818 1825 2 4991 3191 3 4386 2103 3 19883 737 1 13623 5486 1 3676 5903 3 9155 2567 2 6525 4807 1 5860 5020 2 16550 7672 1 8325 3970 1 9270 6224 11 9736 4653 13 13568 4810 1 9816 2502 1 8918 221 1 18174 585 1 7835 303 1 252 6144 1 3337 761 8 6483 165 1 955 411 4 13645 1357 4 17331 4856 2 9959 1757 2 3495 4655 1 1801 477 1 17652 23 1 16574 5398 1 6409 2216 8 7893 2980 3 18504 2356 1 18370 5334 1 4901 517 3 11618 1054 1 6667 8029 3 6275 3516 6 12814 220 1 3852 470 1 11153 1363 1 14514 5157 1 176 8143 1 13972 6025 1 5463 2990 3 13201 2968 2 4154 6229 1 8179 8141 4 16358 1443 1 11270 2513 1 15276 2944 3 13046 512 1 7455 2009 1 13461 1776 2 9920 7352 1 15932 7763 1 1698 4603 12 19026 215 2 1445 64 1 15364 6185 2 12348 200 15 17185 171 1 9589 510 3 2704 4575 2 6726 6650 5 13219 6053 3 2917 504 1 10025 995 1 18968 6779 3 5266 722 6 10610 1897 1 7275 3733 2 6838 3762 2 17889 2737 1 6040 203 5 14135 7877 1 13107 1698 2 4243 2611 1 2056 1781 1 7526 219 6 824 6957 1 17179 214 1 6851 615 1 1279 1147 2 1615 1333 1 1551 5768 3 13626 220 3 17638 2820 1 6260 917 1 11321 7411 1 2045 1762 2 7306 243 1 252 2743 2 20202 2675 31 15364 4415 1 10843 1241 1 19076 6757 1 1752 1228 1 2594 411 5 17086 3698 1 815 510 11 16373 7900 1 7656 229 1 19283 3228 35 1553 200 4 10177 3973 1 8716 6259 2 8325 385 7 3467 5513 1 7498 1779 3 10123 5611 1 20034 2385 1 16557 470 1 15740 2935 4 6510 4525 1 1675 159 1 18654 665 1 94 367 1 19818 5515 2 856 7401 1 18704 4245 2 16130 4245 2 12663 1244 1 5921 7067 1 8192 7734 8 10975 6933 2 1555 3809 1 15383 328 14 12765 597 1 17261 1529 1 17175 2488 13 15272 1315 1 17416 4022 2 6862 236 1 3173 366 1 11105 61 1 5636 200 20 2583 206 1 14522 1357 4 3681 4952 3 17983 1734 1 17884 2534 5 15321 7412 1 9883 846 1 18450 594 1 8735 6183 2 5097 3798 3 880 6533 1 8094 4969 1 3536 4314 2 3065 5319 149 11736 1110 1 16676 1691 3 16222 2361 1 9658 5772 10 13402 356 1 3775 2653 3 19602 809 1 7203 3072 2 7612 258 1 12159 5550 2 6415 1611 1 8979 340 3 5873 48 1 11122 789 3 18259 3298 2 18421 1466 1 151 6763 1 10579 949 1 16448 3972 1 8913 2591 5 9366 1816 7 2356 3980 7 18237 2068 1 13909 229 1 4679 23 1 11143 158 1 17105 1356 13 4362 1342 1 4101 197 1 120 5252 1 1908 1363 1 17932 232 4 1465 1707 2 16600 626 1 14255 23 1 6432 5482 2 17219 225 3 19406 510 1 20123 7412 2 6478 8141 2 11912 4010 1 2198 4369 3 12907 5226 1 12232 6527 1 1204 481 3 17252 1296 1 13134 1613 1 784 2055 1 136 6260 1 7452 625 1 1019 1982 2 4634 554 1 11502 3468 2 16547 1480 2 11857 232 1 17011 1184 1 10763 2618 1 16187 750 7 11388 7466 20 18650 2247 1 17124 156 36 7017 7975 3 10670 498 7 1752 2618 1 9299 222 1 12777 3358 1 2716 745 4 15933 1828 9 4240 6363 9 14015 5130 1 5304 1338 1 1178 253 1 6951 5600 1 10698 219 4 14615 883 2 3186 2120 12 4592 6132 2 2885 3519 1 4326 5294 15 12619 3693 1 10451 1703 1 5738 728 1 7750 3556 1 7769 6554 1 19803 4407 1 9090 2575 2 11574 532 2 19661 1897 1 8208 3225 7 17736 4296 5 4708 6897 1 15368 4739 1 12951 4391 1 17 1028 1 9979 7073 5 12459 194 1 19510 1730 1 4265 1307 2 18597 3476 1 7498 6933 2 16700 893 1 6907 6890 3 7728 6268 1 9928 4242 1 9672 1505 2 17 1091 1 19182 1825 1 14692 4120 5 5266 6034 1 65 3168 12 10340 2291 1 2796 8140 1 19645 2594 1 12592 4245 2 11678 1355 1 135 759 2 6440 200 1 6371 306 2 19760 5131 1 10207 2343 1 18342 1038 1 8662 2880 11 19361 1661 2 10500 1772 1 15364 617 1 10553 3972 2 10867 2260 1 13735 8194 1 3119 7216 3 7899 2747 1 20130 6692 1 10283 3554 4 19712 3153 2 13376 4156 5 10222 742 1 4212 685 1 17985 34 1 17062 714 1 16860 905 1 1520 1301 3 7056 1819 5 7688 1017 1 14145 336 2 15626 4047 2 14326 1234 1 18236 1789 1 14748 496 1 4850 425 1 1489 3074 2 12060 3473 2 2891 3492 1 14060 1342 1 333 5479 1 8243 3911 5 7728 2578 1 1756 7336 1 15091 2980 20 17847 912 1 12145 401 1 9725 5257 1 12680 5543 1 19486 1147 4 1050 187 1 1705 5792 1 2718 6327 1 19452 4992 1 7235 883 4 3898 200 19 1345 6639 3 3871 5018 2 19872 3491 5 16149 6880 1 13306 1761 1 3128 1266 2 14561 316 1 13320 3275 1 2886 5618 4 4525 514 1 5908 3206 4 10026 2068 1 16185 1283 2 10393 3911 1 16488 219 5 11022 518 2 3359 1766 1 1013 3202 1 1191 201 18 17947 2675 1 1357 2826 1 3065 5341 30 13500 3509 2 17386 411 16 13178 210 1 14773 219 1 19246 823 1 9784 952 3 17798 1251 1 10771 4955 1 5310 962 1 6722 5412 1 12543 1770 1 7977 8139 1 14263 1324 1 11877 48 1 7421 6363 1 16460 1796 4 12834 190 2 11124 498 1 745 512 1 17260 3972 1 784 5858 1 18316 5496 1 341 1790 1 14928 534 1 1013 3620 1 12305 1596 4 17359 6663 1 11461 74 1 9875 1736 21 9202 2555 2 1292 2832 1 4241 303 2 16075 4002 1 4449 769 1 2160 1731 3 13291 1252 36 898 244 4 3147 2003 1 12933 3167 1 13668 7989 20 14827 6220 1 14205 6640 1 16925 383 1 19193 1404 9 19061 201 9 12853 3233 1 9465 6232 2 153 7089 1 4602 3315 1 14664 1363 11 5326 203 1 17295 3203 2 164 7492 1 2634 3667 1 5432 217 1 5669 2671 4 17957 1184 6 9641 215 1 11687 6488 2 993 6793 2 8852 1727 1 5588 7446 3 15068 2782 6 17110 4041 8 8728 591 1 17592 2343 2 16925 1329 1 11225 2057 1 16378 2608 4 5953 6001 3 5243 1757 8 20202 4027 1 1733 1395 1 15370 4312 1 9759 520 1 6892 867 1 1839 631 1 388 939 1 3290 6080 1 14508 7788 3 14795 4435 6 13611 3909 29 8198 6457 1 15535 5874 1 9245 1164 3 12000 3167 1 18909 1782 5 15130 229 1 19158 222 7 14060 222 3 15530 2103 4 13482 215 1 16126 200 38 9957 7238 1 3856 196 1 862 2519 6 18510 2675 4 2970 3974 1 15948 508 2 2461 1714 3 5663 1036 1 3835 215 1 6344 219 5 17746 4306 1 1119 1247 1 9509 496 2 3329 1208 2 1986 631 1 4207 220 1 8132 7439 1 19727 4022 1 11846 6517 1 188 1819 1 3973 608 1 18971 2360 2 5737 7958 1 19369 1666 1 6940 1769 1 10097 5253 1 26 1546 1 15926 1814 4 4663 2497 1 8969 4245 4 9697 7976 1 19408 10 7 2949 1078 1 6662 5325 24 14134 34 1 72 3345 3 842 7216 1 6656 1783 1 9725 2503 1 153 7011 1 6361 2691 7 55 2646 3 9280 2571 1 7099 2241 1 2886 688 2 5317 2351 1 7574 1328 1 18037 4370 1 9581 1768 6 17891 7964 2 7619 2370 1 20032 581 1 15248 2384 1 10554 4280 7 14840 1249 2 4022 858 1 6757 496 1 7725 2423 2 1874 533 62 11617 7674 3 10233 4448 2 13751 2678 3 15920 3911 27 18821 5712 1 3532 6064 1 10254 2549 1 16318 2341 1 822 870 1 952 1775 1 12766 947 1 14537 220 3 11837 6091 1 12412 599 1 18915 1150 1 4611 3467 1 16887 3947 1 17719 1825 2 18743 888 5 4930 23 2 11633 7130 1 16299 5863 1 18533 1907 2 17886 682 1 11616 845 1 14041 390 1 16048 10 1 6325 4403 7 13743 447 1 16236 1250 1 8088 7616 9 17527 1814 2 1508 2541 1 4716 1752 1 10977 964 5 7134 4884 1 12691 2712 3 19993 2935 1 14599 906 2 2643 8057 3 1397 205 1 1043 7720 1 3515 4660 2 11072 201 6 13044 4245 3 8361 2675 6 17941 235 67 11615 7542 1 19530 378 1 2663 4992 1 2851 156 24 13097 11 1 16897 4252 1 3748 5737 2 2931 545 1 605 1234 2 8138 6067 2 5856 5040 8 5695 534 1 10118 6252 2 13537 892 1 4141 1736 1 8528 1762 1 6927 232 1 8286 474 4 992 4460 1 12789 2722 1 13626 4929 2 17169 200 1 6790 4722 5 13335 11 2 9432 912 2 1834 6591 1 14238 506 7 1306 512 4 19822 7234 2 10535 4391 1 2803 428 2 239 4597 1 2143 7412 1 1653 5995 2 18666 545 1 180 4724 3 12972 7591 1 17771 4233 1 14625 23 2 13337 2953 1 17191 431 1 19357 1863 3 1308 1464 1 15144 1280 5 5294 3523 1 7270 4996 1 1171 2352 2 15130 3065 1 8307 173 2 18276 578 1 8525 7272 1 8557 5132 1 13623 5446 1 19837 1952 1 15307 791 1 944 1038 4 15817 5243 1 1801 1021 1 31 1746 5 18646 7719 1 1133 7379 2 3058 4796 1 12189 6884 1 9369 3247 1 642 507 1 17327 2573 7 14561 1357 6 5705 3206 1 1626 1241 1 19512 1037 1 333 1703 2 13521 2057 1 20029 1756 1 19355 1991 1 12521 856 1 15272 1395 1 6021 6174 1 6158 206 4 213 7769 1 18748 2933 1 3395 1399 1 5624 4607 3 15108 6024 1 13743 2341 1 7262 6229 10 11 412 1 3315 719 1 8763 2729 2 15140 7477 3 8966 5036 1 3663 3813 1 9315 2352 1 5446 206 1 10599 7522 1 35 1932 1 13615 2876 2 16925 1365 1 12947 221 3 17544 3511 1 17750 514 2 12844 1085 1 9178 509 9 10576 4789 1 11182 1814 10 864 2369 1 1684 7898 1 19872 2721 1 19957 4307 1 3895 6640 2 19347 6342 10 2710 512 1 12208 579 5 6007 6756 5 8629 2938 1 511 1090 5 17992 7593 2 153 7049 1 17556 4260 7 6527 879 1 5117 690 3 5198 200 1 19156 5518 7 2985 828 3 7065 2508 3 7068 508 1 15325 1734 2 17083 2639 1 1633 2633 1 16613 1721 1 1498 766 4 14052 6824 2 19175 4059 1 151 6772 2 4870 308 1 12897 2056 4 16891 156 3 18326 789 1 16748 1716 4 5216 6701 1 2985 186 1 12737 541 2 460 6414 2 14824 1756 18 15979 6225 5 17871 375 3 20 1346 1 4832 3511 10 1534 6713 1 8638 1707 1 5344 6492 1 1504 2649 3 9579 100 1 4057 5586 1 19108 3453 1 13453 4929 14 18725 3384 1 8690 2459 1 8270 1727 1 13152 2317 1 2886 4842 1 70 15 1 9369 2600 1 11277 234 1 6644 5506 1 4549 2698 1 11248 206 4 18667 6341 1 15376 1761 2 17156 3433 1 4902 6632 1 17589 2388 2 12702 2010 1 12548 1247 1 2087 6084 1 17880 4996 2 14753 1537 1 15943 3352 1 9475 5657 4 13727 200 1 17796 1714 1 10354 1761 1 17521 5018 1 2828 1819 1 6269 6779 1 13816 6545 1 10404 950 1 722 3911 1 20090 2014 1 17157 207 1 14275 235 1 6740 1153 1 15885 5801 2 789 203 1 11544 1046 1 8343 1428 1 12962 4951 9 14918 1819 1 9803 1247 4 15821 221 1 2762 3515 4 15802 2356 1 18756 235 1 13507 1731 1 745 601 1 9245 3889 1 14764 5101 2 252 2341 1 10562 5247 1 8006 7898 1 12274 3333 7 19221 5352 2 821 5517 2 8489 2454 4 11968 1380 1 86 1312 1 15394 2727 6 3306 6607 1 31 1759 6 20242 4199 2 201 232 4 5983 6776 1 9336 1244 1 14706 200 7 4546 498 1 6867 1121 4 6796 1250 1 12209 1717 6 7306 656 2 15117 1616 1 15659 397 2 6749 8109 1 2885 3849 1 15826 496 5 6418 753 1 12670 38 1 16142 4204 1 15614 495 1 13537 3220 1 13502 214 2 5272 1768 1 7769 650 1 8465 1737 1 10498 668 1 2552 1813 1 14086 1236 1 1337 1315 1 138 6306 1 9246 1313 1 14318 1235 1 13001 2504 1 4689 3447 2 7352 7739 3 8375 2639 1 15451 222 5 4773 1172 1 3450 6824 1 19348 7751 1 9093 3625 1 9793 2836 1 12412 726 1 4573 6527 1 17998 2617 1 11769 541 5 13472 7756 1 13290 7142 2 7227 3433 1 1638 3145 2 15847 3666 8 4762 1808 1 7625 333 8 2461 2646 3 7017 4314 4 10240 1707 2 1276 3900 1 17920 7606 1 10017 6670 1 11786 4852 1 3559 6185 14 13730 6644 4 12941 3009 1 3980 207 3 13079 1764 1 6449 5016 3 18165 364 1 1687 4470 1 4316 2023 2 20188 4344 1 727 1007 1 15952 8091 1 6228 605 2 19649 215 2 9171 1267 16 15996 867 7 16967 2265 1 8169 4577 1 8266 6226 1 11220 4785 4 694 1734 1 3987 1082 1 18133 525 8 10245 2097 1 19881 502 2 3540 1453 18 9432 2372 1 16612 945 1 3103 207 7 19596 4615 2 171 7752 1 16454 220 19 16697 3021 2 10579 7018 1 4345 4433 5 12009 2355 1 15389 6632 1 14058 340 2 4602 5586 5 1036 4501 2 3925 6538 1 8298 132 1 100 4510 1 19975 2403 1 2703 6231 2 9315 1686 1 15456 225 1 10604 567 1 15144 3590 11 9224 617 1 7452 94 1 923 853 1 16180 876 1 18040 6471 2 14330 3233 10 6298 6441 1 14022 219 1 4434 4056 2 8872 220 9 15636 1774 1 11585 1342 3 15943 6414 2 8199 2448 1 15235 203 1 4822 4963 22 15726 2671 1 17664 6341 1 14970 737 1 2056 6159 1 18037 2830 1 9579 1788 1 11720 590 1 16398 3227 1 153 7058 1 8853 3813 1 6990 4549 1 16674 2012 1 2834 4317 3 12103 7256 1 7325 1272 1 19731 496 1 2803 3813 5 103 4637 2 1415 4601 19 10118 2677 1 19371 1466 1 17318 6949 7 4249 1374 3 15578 3747 1 11372 3084 1 16322 7672 1 5207 825 1 17654 3334 1 10394 6196 1 18556 1307 3 1682 3995 1 19822 4279 1 12097 1859 1 14567 5330 1 4985 8168 2 20133 7187 1 1262 1819 1 5775 4029 1 17000 6177 3 8478 4303 1 7780 26 4 18017 555 2 15608 1686 1 17647 2118 1 19602 6884 2 18070 443 3 20055 4575 3 17859 223 1 6756 4306 1 18386 974 1 7017 4528 9 13997 918 1 5057 2801 1 296 1705 1 469 532 1 12182 1104 1 16669 1363 1 6473 6500 13 18010 3671 1 12737 7411 1 3479 3222 4 11261 636 3 9733 524 5 18671 1531 3 19182 4214 1 8878 910 2 18607 411 1 171 7634 2 13865 2056 1 11188 2881 1 14028 2691 2 18207 5097 1 10057 3615 1 2956 1062 4 16324 3503 1 13387 7466 1 4706 1818 1 15355 1786 2 9259 431 1 14047 1625 1 14818 225 3 3595 2424 1 1578 4312 2 3613 1235 9 9657 874 1 8406 1771 2 3785 4636 1 13192 4204 4 12868 1753 4 4397 2904 1 11542 196 2 8489 2459 4 10907 187 1 17859 171 1 7188 6499 1 17617 4132 14 10426 2290 2 7453 3117 57 174 8035 1 19193 5425 1 9660 2649 4 103 4650 1 13928 745 5 4881 442 1 18568 1035 2 18488 1073 1 7395 763 1 4791 184 4 6367 148 2 12 532 7 19559 5750 1 10917 2799 2 12819 214 1 7394 4196 1 11787 5063 1 17797 534 1 8585 1388 2 1962 2731 1 15896 327 1 20067 2345 11 11780 5098 3 8269 735 1 11637 966 2 17771 391 1 9291 7433 3 7653 1779 1 3061 5450 7 3518 5434 1 5146 225 1 3496 498 2 12898 1938 12 6313 7927 2 10725 2686 1 14074 518 1 16303 3800 2 12883 3600 2 1803 1250 3 12667 203 2 17171 1094 3 7324 2759 1 1178 6515 1 5579 2742 5 222 3824 1 6630 7857 1 5752 5150 2 11395 6705 23 1706 1332 1 6617 444 1 2528 3666 10 6975 5600 4 94 4272 1 4411 215 3 11320 4274 1 10694 1717 1 12850 534 6 9861 452 1 6492 1695 1 15898 1703 11 13700 2087 3 4681 6440 1 3471 7543 1 16730 2508 1 18660 7529 3 7463 2118 1 11882 2807 1 7418 190 1 14162 193 2 11183 6713 1 3388 3455 3 5464 1772 1 7241 1482 1 5391 1748 4 10053 6231 1 15400 6226 1 1528 1772 1 4098 1893 1 2902 496 1 13477 1197 2 542 199 1 12538 4351 7 18526 4435 2 3665 2712 1 14027 6252 1 14631 3756 1 14904 523 4 5304 732 3 13335 1241 2 8735 8094 3 9959 3191 1 9110 7570 7 16180 964 2 15849 534 1 15496 4378 1 8597 471 7 2635 1813 1 12903 8178 3 19466 5996 51 96 2595 1 94 4319 4 7684 11 5 11769 1898 1 16747 1762 5 4622 6640 4 18030 1613 1 4966 1775 7 62 2793 1 5863 4868 1 17298 532 1 3458 336 1 12244 2115 1 5830 2380 1 10290 1686 1 12970 934 4 9905 103 1 782 6495 7 6437 408 1 14407 4482 5 2772 1756 3 1608 6922 1 5596 1363 3 1988 3113 1 13997 2737 1 10266 4803 2 20059 559 1 4527 4947 13 4492 1743 2 1128 1721 1 12854 6683 2 20142 8072 6 1553 229 1 7829 1464 2 6478 502 5 10701 1722 1 7076 1762 2 812 1249 1 17184 802 1 8254 7591 1 11999 4460 5 3734 4735 5 13601 1729 1 6099 1784 1 6138 5903 2 52 2537 2 17823 5504 2 13382 1788 1 14917 2542 1 1522 5031 17 14214 303 5 14427 3378 1 13088 4435 8 2453 3167 1 592 425 2 6545 1070 16 7473 792 1 19504 6957 1 6510 3367 2 15782 6139 1 7312 5035 2 12700 214 1 15295 5048 3 8151 8191 2 11238 545 1 17583 5105 3 15100 829 1 3352 308 1 15515 1772 4 5172 1267 1 18042 3442 1 12830 1770 1 8356 2671 1 4867 2555 2 12247 5730 10 13363 3373 2 5911 3487 1 529 292 1 9710 3057 1 3350 4230 2 10741 1244 4 2064 3462 1 7006 4274 2 2127 7181 1 8751 1208 1 1999 728 25 6922 4636 2 2522 167 2 8299 3400 1 8078 1728 1 3696 4591 1 14380 7281 119 14283 4355 3 4415 2710 4 14305 1139 1 1047 1756 1 10856 743 3 16740 5135 3 8785 6065 1 6892 1702 3 12003 2089 4 77 976 6 5173 1819 2 14597 2651 2 3246 6639 1 17056 6640 2 14610 1685 1 20 1335 1 12235 8200 1 8388 1342 17 6327 1241 3 3337 3382 1 7711 5105 1 19881 8184 1 7805 5513 1 4161 1312 1 14733 4284 1 14957 2636 1 9797 6225 6 7882 184 1 4133 1965 5 1214 4607 1 6318 4498 1 7780 201 1 19272 3734 1 8823 475 1 14706 8194 20 13257 225 1 17388 4963 14 6641 23 1 19774 3588 2 1266 207 1 11839 1745 2 2900 467 1 19002 1672 11 17261 452 1 15933 2267 1 6152 1741 1 53 2564 2 19295 7142 1 1713 8111 1 2135 525 1 15766 1146 9 1206 7004 2 5117 794 1 1171 2056 1 17066 7541 1 7702 5557 1 14319 4603 7 14376 2342 5 11072 223 13 10183 1363 1 12902 7217 28 17659 1242 1 17417 3892 1 8082 1363 1 4336 520 1 2735 1339 3 15618 6022 1 9055 3591 1 6866 189 6 5630 2127 1 4512 2602 14 7991 1644 3 17258 215 1 15572 6868 3 3815 1946 1 15419 1250 1 9696 2671 5 15964 215 1 12049 7413 25 4386 3729 4 4110 252 4 7455 219 1 7019 3884 1 3664 1333 1 10555 1752 3 67 3232 1 9281 3867 1 13829 65 5 18278 7350 19 2084 3138 1 12485 2646 1 6091 1779 1 9332 213 1 6630 6135 1 5840 7834 1 5176 541 1 17881 3892 1 6124 1241 1 13235 3685 1 15680 5559 1 6781 1707 6 12759 2016 3 7065 2812 1 15775 886 1 11218 5495 1 5700 2357 1 17682 6648 1 2803 2118 4 3945 3011 27 12306 867 2 18132 4334 9 8406 1184 2 15364 5313 1 8525 6007 1 11938 8172 4 13705 1502 2 10766 1975 1 1271 7067 7 8735 3589 3 19373 2668 3 11533 5800 1 15682 1278 1 3471 215 4 3239 3660 1 20112 2801 6 62 2856 1 13461 1768 3 10440 1825 2 8532 215 7 10693 1753 2 14376 443 1 2418 2428 6 7868 7840 2 20119 500 3 12817 508 1 11870 3537 4 15885 6288 1 17549 1395 1 19283 6206 1 2308 596 1 7455 2503 1 11122 868 2 11181 2404 2 18561 5252 1 8391 769 6 5896 2966 1 19598 2620 1 19085 411 1 6869 4351 3 9479 6039 2 18413 498 3 17370 853 1 12011 200 10 14374 7229 4 9811 7311 1 15553 186 4 10167 5291 1 17884 3911 1 5596 4403 2 6740 3144 4 5062 1769 1 6641 1718 1 3940 844 1 13 756 1 19808 2663 1 10720 880 1 18113 225 1 14060 184 3 10225 6544 3 2109 1246 13 6044 1242 1 14465 422 1 8116 2633 4 17327 2565 14 3092 3313 4 5300 1203 2 16674 4230 1 969 723 4 780 7636 1 3947 502 2 14758 3824 1 9284 809 8 6492 4009 1 156 7170 1 16645 219 1 4880 3893 1 16608 470 1 1393 857 1 10701 1727 1 11898 6557 1 3146 6596 1 11072 5313 7 15811 4764 1 1553 3228 8 1530 1314 1 19503 7105 1 4572 382 4 7480 4597 2 11923 1726 1 1232 779 3 9104 2881 1 8361 498 1 14558 1809 1 8082 2004 2 2716 2534 2 19089 220 3 7363 4403 1 1716 215 1 6183 519 3 13430 4616 1 1379 2507 8 7507 1703 1 2341 536 1 18053 3338 12 14545 3494 1 3716 1363 1 15462 4796 1 12112 4262 1 124 5447 1 319 601 3 10728 7719 4 19596 1298 1 11890 1250 2 14051 514 1 12735 6038 2 18587 1819 1 1519 1718 4 19687 2345 5 174 8008 3 12964 4200 3 20148 3368 1 1911 5858 2 6989 4456 1 2067 314 2 10222 2889 1 17881 186 1 2962 2800 1 16511 2673 1 2072 420 1 10281 207 1 11080 313 1 7016 6510 2 5684 2495 1 7268 232 2 8559 3222 7 10245 4034 5 1852 867 5 17120 1363 1 2871 7591 1 11158 1146 4 19681 518 3 18089 1705 1 130 507 1 5410 5495 20 20180 6609 2 11968 5428 1 6230 7734 1 4665 8066 1 2353 135 1 10145 2845 1 6697 7403 9 14695 2438 1 13093 2444 5 7148 1705 4 8911 2478 16 410 3558 3 10145 962 1 8237 175 1 5503 1268 1 4880 801 5 3749 5996 4 18069 2981 1 14694 1247 3 11457 7231 2 1125 2364 5 7075 219 18 14080 981 1 11992 2089 1 19207 5018 1 15004 541 2 3178 1438 1 18198 5018 2 3358 917 1 420 4705 1 13095 221 3 9400 1315 1 16167 1827 1 40 2105 3 17077 1518 1 7432 5020 7 3003 8200 12 454 6760 1 4305 5673 1 7140 308 5 13708 2552 1 4867 5997 2 13589 1770 1 5977 229 1 14236 5362 1 18614 5245 2 6645 215 1 10591 1037 8 8330 5274 2 7480 5256 1 16130 959 1 7315 2146 1 10564 6683 1 4774 4996 14 7398 7931 1 15192 1819 1 611 4595 2 8989 6489 1 19143 329 1 7076 1737 1 3189 2369 1 11895 1762 7 3705 6596 12 4107 4489 15 19401 1707 1 1273 3411 2 7028 6500 10 14968 7601 2 2271 400 1 12987 2352 4 8878 235 2 12731 5575 1 20209 4069 1 10015 3625 2 10818 3391 2 15429 7083 1 11790 3510 4 13829 536 1 5543 196 1 13472 3425 5 14688 1505 3 5246 743 2 19848 2678 1 3060 5027 15 10715 148 2 17894 198 1 14889 5097 1 17353 1247 4 9247 491 1 11786 151 2 2419 2067 3 5659 1464 1 10400 3685 1 1133 1702 2 18431 1715 1 6891 5011 3 3249 1275 2 10580 2352 1 2535 5379 1 8425 1718 7 14219 3743 1 7227 4591 3 11558 7101 4 10320 2780 5 17331 1757 8 1671 2542 1 13055 4373 1 18866 534 3 13626 1939 2 17257 2508 1 16162 23 2 8787 467 1 6639 7073 5 19286 5506 1 18108 2246 42 19701 425 1 17384 1732 3 18892 196 2 8051 381 1 6418 5165 1 4023 1454 1 19143 847 1 20202 2353 10 4493 3810 1 12537 545 1 4634 215 1 8832 477 1 4514 1722 2 19333 583 5 14805 1979 1 236 1168 5 16886 233 3 3781 3682 1 1858 4967 4 19056 1764 1 3765 2368 2 2375 219 11 62 2822 1 1096 1814 2 19143 318 1 745 2356 1 9476 223 22 9978 6609 5 14657 4016 1 14811 1534 1 4264 4635 4 8768 3216 20 14425 2793 21 9806 411 1 20019 1617 1 10377 1739 1 10694 244 1 15225 4303 1 2902 220 1 11246 6082 4 11857 536 1 80 1072 3 19026 1334 3 10102 1991 1 2823 1737 2 910 225 1 18655 219 12 5328 1395 1 14001 1898 2 4371 7030 1 14566 8013 1 12704 1342 1 17505 7537 1 16910 1825 5 11616 7469 2 15484 3980 1 4706 2600 1 5401 4186 1 18558 3980 1 12474 1434 1 15074 1239 5 15853 221 2 8918 207 2 17682 1755 1 2905 952 2 15220 2992 12 3551 173 1 568 4618 2 6420 4665 1 5776 6194 1 18665 7266 2 3936 126 2 1899 1686 7 8014 4635 1 13145 8033 2 6074 2445 3 11325 1726 1 4095 201 5 18040 734 1 10703 5903 4 14907 221 1 15560 765 1 11695 232 1 7688 4253 1 16972 504 3 1986 5243 1 11131 2876 7 8019 6334 22 16674 442 1 2428 2131 1 144 1342 1 3178 2360 1 13117 7074 3 3310 382 2 3485 1243 2 3436 1721 1 8582 4613 1 10145 919 4 10188 214 2 18847 614 1 8913 2639 8 9035 1703 17 4050 8141 1 10969 215 1 16994 883 1 1670 1252 4 10351 1240 1 18140 4325 1 6329 3634 2 16156 7913 1 9104 2343 1 5606 4245 1 1543 1403 1 1229 1089 2 10067 7213 1 62 2888 1 15943 589 2 13387 4164 2 15074 5969 1 19822 7625 1 12548 1345 1 16366 5083 1 15191 3611 15 349 742 1 13800 545 1 18628 6430 8 7560 5001 3 877 7891 7 6332 712 2 19434 207 94 12262 542 1 15909 1278 2 14673 3334 7 4667 4380 5 3180 7495 1 14508 7652 1 11882 6973 1 19573 3257 1 113 5100 2 11209 3535 2 13591 4912 2 3743 7635 1 3561 508 1 2974 7030 1 19286 1720 2 18421 3556 1 6942 498 1 3666 2357 1 17250 3009 1 17120 1739 2 18518 10 7 13999 3540 1 16684 2712 1 13035 1128 1 287 1988 2 13909 2150 1 14758 4670 2 296 2645 1 9007 2440 2 2143 4236 1 3919 6908 1 13379 690 1 1571 514 2 2082 6549 1 16805 4601 5 19158 7455 1 7599 910 2 379 828 1 7023 207 30 5254 3416 1 7501 3522 1 20158 1116 1 16137 471 3 14095 791 1 259 2662 14 13807 1717 1 16732 960 1 2963 1946 2 164 4296 1 2473 444 1 6158 1739 5 7692 2399 1 3707 2094 10 16544 2649 2 16740 2380 3 13328 709 1 15608 6713 1 6370 2534 1 802 221 1 19612 4245 5 10442 2353 1 18293 449 1 18730 385 1 12970 3562 1 46 13 1 4097 6334 1 17179 1827 2 12328 5371 1 15948 1707 1 15471 718 6 5775 495 2 3249 1453 6 20174 1755 1 1812 219 1 18251 1369 2 11098 2488 2 19602 7919 1 15960 6912 3 15553 3972 1 12985 2356 7 16762 201 1 1590 943 7 62 2849 1 14388 4992 1 11846 219 14 16647 2138 1 2056 1703 3 19420 1249 4 19848 2644 2 14767 219 1 3008 13 1 10000 4203 4 16676 1344 2 18679 833 1 16562 7167 1 17859 5018 44 5204 869 1 58 252 1 10641 1373 1 1713 535 2 11333 5903 1 5916 2447 7 4488 7466 5 7546 5730 1 13650 415 1 62 2786 1 3337 4538 1 4265 7424 2 12911 214 1 6667 518 5 8463 2880 5 3536 1110 3 14722 200 1 17459 3219 1 3985 103 6 4708 46 1 14816 4807 3 8966 4998 5 15429 429 1 17892 608 3 19507 1871 1 135 6177 1 1093 60 16 10014 8141 8 1839 7946 1 18301 8167 1 151 6770 3 14312 647 2 8641 4320 17 16575 497 1 19648 4366 2 17565 2360 1 5853 512 1 10554 810 1 9435 4452 2 12710 3478 1 12140 1781 2 121 3015 1 527 4452 3 5248 7573 2 12337 5084 1 3609 7399 5 855 1251 2 12373 1101 1 19833 2061 1 18674 7454 2 17880 3536 1 5195 1719 1 8982 6703 1 9183 219 1 11467 568 4 7175 6697 1 9997 1405 5 12055 5461 1 484 1245 1 500 634 2 14773 7351 2 15593 81 2 19901 1775 1 16669 550 1 8531 196 3 18334 6667 2 14089 2352 4 11622 148 1 19221 5172 1 9775 224 1 4991 1703 9 18067 1611 1 9056 6051 1 3765 7466 5 8174 81 1 13730 6577 1 76 3504 12 11912 1378 1 4632 863 4 16087 2368 1 9755 2329 1 7007 5543 1 2103 2138 25 12505 1344 1 456 7403 20 2274 5480 1 5380 517 1 15192 4394 2 1050 1719 1 2213 127 2 14305 689 1 19847 1498 1 2286 864 1 5349 5538 2 13529 3 2 17068 36 1 19603 4967 3 18160 16 1 8083 1561 2 7487 4476 1 10730 1752 7 10854 232 4 4106 5413 1 11200 508 2 18939 7477 1 15438 541 1 18134 193 5 5938 6620 1 7770 6510 1 18014 367 2 3236 7674 1 16000 4947 1 15875 616 2 12911 6150 2 15395 4435 3 10380 804 1 6332 5397 2 8674 1775 1 11412 47 5 9395 3705 1 17508 1703 1 18900 327 4 9743 128 2 13633 206 4 5456 3009 1 19870 4623 8 4519 4029 3 4767 863 1 19660 2836 1 6712 850 1 15456 23 4 14479 1203 1 3340 1445 1 19954 3907 3 14998 1277 2 15952 2498 1 16394 4998 2 4936 3287 2 83 3830 1 10962 3024 1 4788 2993 1 140 6374 1 17809 2986 2 4459 368 1 13131 735 1 14108 201 2 7112 5045 1 4207 1814 4 2194 896 1 20038 7206 6 10729 229 1 17298 1374 1 5882 6473 1 20148 441 2 7245 8192 3 13774 1380 1 17645 7881 4 10916 1116 1 14146 811 1 1378 2727 1 2180 681 2 3528 6691 1 18476 1470 1 16286 3578 2 3755 2671 6 337 1909 1 8255 1738 1 13045 506 30 2213 7522 1 6939 2362 13 2135 5435 1 14563 840 2 527 745 8 6227 7085 1 8705 1738 2 10579 3386 1 15376 411 2 2807 287 1 15818 3106 1 9042 1734 2 17079 5252 1 9642 5466 1 174 7858 1 5444 1121 2 2992 7670 1 14710 8127 1 1097 1772 2 3397 225 1 4469 222 9 12959 1241 2 2571 3838 5 13268 574 2 13813 1307 9 19883 1764 1 7534 910 3 3472 1252 1 13283 1146 1 7488 5607 1 3695 600 1 18295 173 3 9764 505 2 11533 5898 1 10479 3512 5 16109 1245 1 5858 6607 3 16284 6132 2 802 6421 1 2933 225 1 9717 1295 2 8691 7101 2 11 424 2 3048 623 2 19586 3785 1 6674 6278 8 5727 5018 1 8995 408 1 9319 1241 14 13328 2761 2 14905 1078 5 13858 411 9 11667 1866 3 17628 3697 5 13415 1395 2 4769 3460 4 19489 235 4 5350 2698 1 3420 1818 1 6722 5466 6 9817 2662 1 17411 4967 1 525 7689 2 3437 3325 1 12759 6557 1 6521 7301 1 15396 532 67 6064 5993 2 12196 4269 1 3573 5022 1 2607 6756 8 16569 5137 1 435 1464 1 17538 200 21 13124 682 1 12497 8194 4 6669 5258 1 7834 1333 13 17662 1758 2 6440 173 1 12060 7423 1 4676 471 1 17331 4511 1 2860 1658 1 14339 1825 1 12817 1776 1 19177 1781 1 19957 905 5 2716 4369 1 6369 2009 2 10169 844 2 5176 2739 1 4767 1728 1 7455 4266 1 14146 263 1 16231 3370 1 15380 7201 2 16491 6481 1 5257 7538 1 48 2454 1 3300 5018 6 16281 1698 7 11399 1374 1 65 3097 6 4124 6473 2 3100 1772 1 105 4682 1 2498 7614 1 19428 2815 1 11324 5263 1 9012 1903 1 6689 4601 15 6749 6999 1 5287 1266 1 19332 6095 2 14063 1304 1 11228 1508 2 35 1877 1 17760 844 2 4240 1748 3 18722 6334 1 6417 5478 1 16346 7112 2 16002 600 6 16828 229 1 1686 1755 2 2999 7045 4 10548 1247 2 14642 1748 2 9140 173 1 11720 4304 1 2345 4288 1 9961 7708 2 8093 4950 9 6597 1302 1 473 2589 3 6534 8043 1 15708 4648 1 2602 201 1 10550 1423 1 17488 1987 1 19937 3127 2 2748 6652 1 7409 2097 11 16447 2675 46 198 3078 65 784 222 1 3140 196 2 5478 167 1 18548 573 1 16327 1781 2 5769 203 1 20133 3601 1 4444 7018 2 10856 8141 5 2550 3138 1 3081 4086 1 14074 203 44 8606 5257 1 19053 955 1 14633 2683 1 11848 1965 2 6183 2353 1 18886 4560 2 11820 3297 2 12870 1464 6 16457 7930 1 17009 3511 1 1498 4944 1 3712 3239 1 18029 745 5 11820 637 1 19197 3447 1 19223 606 1 5 166 1 17142 1245 7 5981 2564 1 8082 564 1 3521 1369 1 10447 200 96 19999 6252 2 17298 6736 1 3406 6651 2 4804 7806 1 1866 2155 2 13023 4718 7 1387 319 2 7549 2836 2 4428 1013 1 18197 4002 9 4648 1363 9 7991 2580 1 1322 7976 1 7483 1235 1 15493 1374 1 12378 4288 1 14694 4242 3 7799 2646 2 10313 3845 5 12903 8137 3 18739 201 1 14299 4357 1 6580 5373 1 9891 4403 1 16914 1752 1 4675 7512 3 3694 3298 2 13040 910 1 17412 7611 1 11251 944 1 20180 6013 1 8326 219 1 3583 221 1 8615 2647 1 8889 1423 1 4843 627 1 19083 3890 1 14127 2495 1 18508 3851 1 6824 692 1 14221 1245 2 6521 1243 1 135 6211 3 12782 1727 2 100 4544 1 835 353 2 10465 1242 9 8075 3629 2 3881 474 1 19626 1146 4 17550 4877 1 10948 1344 1 4417 214 1 14968 7930 4 15870 5561 2 19770 4314 1 4330 46 1 7770 4998 1 12640 2184 1 11047 7694 1 16692 1054 1 12139 1265 1 792 1938 1 8858 6100 1 7455 5327 1 12322 2056 4 17571 1244 2 387 7711 3 2902 1730 1 17127 745 10 17033 4306 4 6854 6152 5 14694 2127 7 7509 863 5 17809 1718 2 13710 1237 1 1887 1109 1 4423 719 4 6597 2342 3 8001 2069 1 12970 6084 11 124 2382 1 19687 8044 1 4913 951 1 3806 6220 1 11601 792 4 17195 8071 7 19620 2525 3 3910 1726 3 5424 363 2 11999 4139 1 10045 2980 1 2885 221 4 3868 2831 10 6518 659 1 838 523 1 19918 1827 5 10327 755 3 14639 3012 1 10060 207 9 19053 911 1 988 2365 1 7523 4369 1 3264 4435 1 4597 3167 1 2458 8109 3 844 10 1 19538 1703 4 3426 206 12 16303 6059 7 14717 7403 4 16843 590 1 6781 1827 2 18608 4974 2 1857 207 1 14059 422 1 9604 173 2 7896 156 1 13 872 4 112 5022 25 3898 3909 4 11675 274 4 8585 6135 1 2063 5011 3 18755 3668 1 4237 201 2 2762 3556 9 8410 545 1 19243 1083 1 1711 186 1 19217 4345 1 14700 894 1 9891 1729 1 13320 2385 3 2834 706 1 11774 1474 1 5249 1363 8 6570 405 1 557 2353 1 4576 2329 1 1551 193 1 7803 6225 1 2776 1771 1 2041 232 4 12029 8072 8 2041 3228 1 10049 1235 3 17011 1334 2 6 193 3 4492 1235 1 6587 235 2 7533 3391 2 13700 2058 3 3599 2247 1 7256 1268 5 11644 6590 2 8343 2455 1 4663 2068 1 9793 7614 2 11890 1424 4 300 7565 1 10350 1244 2 3947 676 1 8083 3233 11 12817 2869 1 11335 1721 1 299 6102 7 13162 3906 6 7742 7497 1 11585 221 4 3975 7411 1 10579 423 1 14028 1271 1 15529 1317 1 7051 3669 1 16674 173 3 8069 3885 1 1705 5157 1 19468 1471 1 2271 2488 1 10670 5187 2 9546 856 1 5281 128 1 1647 4285 2 15672 8148 1 14301 7466 2 6183 2727 1 17149 3476 1 85 3899 5 10219 6252 1 40 2058 4 19461 6192 1 12219 3985 1 12102 7688 1 485 6868 4 2831 3248 5 11702 4403 1 1018 1774 1 5028 6581 2 17514 6053 1 191 1146 1 14226 7542 3 7571 1768 1 4399 3663 2 12343 417 1 17988 841 1 748 7340 1 15202 1076 1 1387 7692 2 6371 334 1 7736 6886 2 960 3247 1 17909 2995 3 11368 2980 20 3670 200 6 12037 4467 1 11509 7542 1 8920 3936 2 19991 553 1 11977 1147 4 12916 5737 8 3579 7586 3 19234 1482 1 3491 6527 1 4428 6080 1 7354 232 1 7071 4435 1 15817 833 1 1919 1250 1 6602 622 1 16250 407 10 2194 756 2 19660 504 2 11528 23 4 11145 1814 3 12765 839 1 10806 581 1 19872 5414 4 19912 4653 1 15940 344 1 10452 652 1 17043 4435 1 160 6213 1 12534 378 1 18149 200 1 1262 158 1 8936 3536 2 13806 1277 1 19080 8160 2 9212 4099 1 11241 173 1 1045 235 1 16724 1357 1 6781 74 5 8198 3070 5 14858 2559 2 7020 7602 2 4236 205 1 5850 2682 2 8273 1713 1 936 6237 1 18968 425 1 2529 3619 14 14689 891 4 812 1304 1 20039 1552 1 17850 453 1 2176 629 1 17638 803 2 12064 367 1 91 4106 1 15530 2693 1 14958 236 4 7780 3322 2 10902 4204 7 5522 7466 11 10961 1294 4 4880 618 1 12920 82 3 10255 2351 1 6339 4616 1 8244 4105 6 1772 1736 2 7039 910 4 13537 2016 8 7705 893 1 8065 1482 1 17519 8113 1 1139 7223 4 11030 2652 1 2625 6368 1 899 834 1 1263 1824 4 19817 190 2 2816 2737 1 19649 2534 2 19868 2887 10 13721 3138 1 16788 2575 22 13734 3371 2 17159 3587 2 10733 2955 5 3629 2507 2 5499 6723 1 177 229 1 7334 1662 1 11678 1825 1 6244 1248 1 8528 1707 1 869 2931 1 2985 770 1 8266 1009 2 2800 308 3 3665 2076 2 8190 6152 1 7179 342 1 17871 204 1 16970 392 3 19913 215 8 12817 6153 2 19972 3411 1 7619 1781 1 3734 4613 1 13011 225 1 3152 6031 4 10265 4609 6 13445 203 1 8159 650 1 14958 3872 1 14145 7352 3 1499 6325 1 14773 1184 1 3397 549 1 11176 7400 4 18556 6436 1 16548 7736 14 10786 6979 1 14249 207 6 12339 3023 2 4173 1747 9 17763 2671 3 10323 7397 6 3366 553 1 130 5832 1 18508 3293 1 11826 5814 1 1449 1710 9 1670 3515 3 17663 1753 3 12710 4427 2 8343 528 1 15479 6434 27 717 867 1 18488 3164 3 14951 947 2 5769 8036 1 11783 4998 1 7532 225 1 6654 227 2 19056 7937 1 2341 201 2 2328 1724 1 1073 6481 2 3175 2557 1 11766 2737 1 16090 8071 1 9809 601 2 19378 1357 1 16130 7541 1 17226 496 2 7883 1423 1 13 803 4 15015 3876 1 1120 1175 8 95 4365 1 2116 411 1 2739 73 7 13744 4261 1 15321 367 1 6997 5783 1 4716 220 3 3521 1302 3 10383 2385 1 5086 2632 4 454 471 1 3175 3808 1 11331 3756 2 10371 203 14 12818 5553 2 9002 1745 2 8642 3526 1 7498 8043 1 17062 963 1 15728 7462 1 11400 5360 1 14011 6561 9 3005 6063 1 7109 95 2 17578 745 1 13328 5440 1 20266 2342 1 4386 3367 1 565 6675 1 6975 7570 1 18320 1209 2 16588 2454 1 6325 1757 2 3968 1766 1 11306 7216 2 16393 3012 3 15061 676 1 19354 7542 1 1383 1954 2 81 1363 5 18968 5385 1 9660 232 2 3636 5737 1 4329 206 9 10116 3526 1 9658 1852 1 2010 1251 1 409 327 2 13461 1698 3 3562 2727 1 8072 206 1 115 5152 1 3414 7719 1 10374 1190 3 5753 203 11 825 1760 18 10197 4009 1 9517 10 4 14988 316 1 6726 3525 3 17138 5054 3 17744 4344 2 4445 1752 1 16907 1466 1 8979 6370 16 15343 7639 9 4560 1416 1 5279 219 37 1328 7850 2 2885 3855 2 10963 4471 1 18251 3608 1 10 256 1 17803 3476 7 5479 258 1 6201 4761 2 10686 445 1 6314 8122 1 19355 5110 2 17078 2306 3 100 4525 1 17218 221 3 11994 3950 3 16323 6086 5 17646 253 4 18728 1718 1 9264 316 1 14334 3338 5 18198 207 1 12115 7462 1 9145 7282 1 8000 1728 2 2865 4420 1 19932 4 6 2097 2449 3 16881 3588 1 19494 4572 2 3243 903 1 17 1204 1 9504 528 1 11769 3581 4 16265 3896 1 6584 7624 1 7455 2510 1 11525 1703 1 15296 7492 1 6425 3077 1 17892 819 8 20201 3747 2 2204 912 1 10961 7237 2 19759 479 1 8356 1245 1 4954 2639 3 9464 1356 1 8327 1710 2 7571 5215 2 9319 7477 14 9341 206 2 15568 1748 3 17825 5408 3 10210 3526 1 14566 57 2 3031 498 1 682 5657 1 687 7511 1 6164 5437 1 5782 46 8 2935 6162 4 14124 227 4 9364 1154 5 6461 1771 3 9250 186 6 16686 1881 2 6751 998 4 11154 7021 3 20221 2671 1 2396 2675 1 8654 1772 2 19286 219 6 18033 2549 1 20007 1242 1 16787 2268 36 3704 23 7 17708 4099 1 17748 5518 5 4245 1295 1 18499 3159 1 204 232 1 6089 1748 8 11349 2662 1 13770 1658 1 12449 3691 8 3189 6990 2 14686 7520 1 19822 2646 1 13961 667 1 10593 2559 2 13922 498 1 7591 3798 4 15726 6331 1 3880 6226 14 16271 564 1 14212 1277 1 48 2405 1 18765 5002 3 17054 4266 2 6690 1266 1 14788 196 7 11437 2735 6 15133 219 8 706 2635 2 10522 7928 1 14892 2699 1 4325 232 1 18776 6983 1 11820 2485 1 2722 2753 5 1986 1825 2 16795 1085 1 19293 200 1 10169 331 1 2660 2649 2 6926 2493 2 17086 1450 1 6913 4864 1 17224 5270 1 18320 5015 1 17802 1775 1 5189 3117 1 9275 874 1 13127 6339 1 15552 2838 1 6808 1564 5 4305 5307 3 4583 3922 1 15264 5712 1 4256 5022 4 11145 6979 8 3249 2662 6 6183 7850 1 18089 2918 1 19033 955 12 12815 7189 11 991 2104 1 5177 7777 1 5960 3043 6 8507 6663 4 13165 6122 1 3089 1244 1 19242 1681 1 5271 7127 4 14998 2503 1 1500 1241 1 18164 7112 2 1274 2552 11 8962 6091 1 16391 4998 1 19620 2256 19 13215 3685 1 19098 2675 17 4493 3389 1 104 4678 1 15364 836 1 17498 5253 2 9933 7597 7 11661 3459 1 13881 2729 6 14628 3540 1 9014 6046 1 19668 1374 6 6341 529 7 20007 1146 2 7941 1250 18 8250 1720 1 270 496 1 2345 3105 1 7707 1638 3 4259 6278 17 4094 1691 4 5725 3192 1 73 3376 2 1510 1818 5 7884 1990 1 15159 6114 2 12061 3599 2 2797 6638 12 8275 1748 5 8180 1222 1 14007 1247 1 35 1908 15 4117 2949 1 11336 5000 1 18064 4373 1 403 84 1 8327 2675 44 16174 1315 1 15279 7986 1 6997 6278 1 18371 4658 1 18193 498 2 18886 2014 5 17272 1208 1 13001 690 1 19502 519 1 16493 2374 1 10558 1737 1 5383 2632 1 3099 7265 1 8605 4951 12 15508 2959 1 16777 6132 1 8250 4436 1 18467 5325 2 5803 3343 3 6265 2557 1 11613 581 1 6641 221 1 597 2316 3 1214 252 2 6545 1776 1 855 367 1 20191 573 1 18144 1761 1 7404 219 15 1079 3721 1 76 3508 1 15295 1284 5 1212 789 2 12087 1721 5 1870 4959 1 8137 2224 1 13402 1324 1 8532 3556 1 135 2971 3 1756 745 1 15683 394 4 9676 944 24 1574 1895 3 3280 200 5 11966 6396 1 14726 1761 2 13800 426 1 6488 1298 1 13676 3132 5 13185 4998 5 717 46 1 14063 3399 1 16453 1770 3 5843 207 2 11461 2167 1 4629 6640 1 11849 2945 1 7684 1663 1 4165 1781 1 17371 7096 2 635 4427 6 15058 200 7 4488 3414 2 12747 23 1 1625 3770 1 14760 1853 2 1647 4310 1 554 1727 1 14 975 1 5185 8099 1 4146 1741 1 1355 1734 2 6560 3533 4 5160 2591 16 1551 498 3 17675 1247 2 20075 3824 1 18309 6341 15 3927 505 8 4023 2000 1 7750 6342 5 3304 636 1 9899 3899 5 14087 5864 1 1012 6705 5 12457 514 1 4970 8081 2 18432 3367 2 4197 507 1 16198 519 1 19362 6204 1 2624 444 2 17652 1729 1 5878 403 1 6784 1241 5 2917 2501 1 8271 10 2 1831 3893 1 8239 3586 3 13205 3255 4 17561 3170 1 7450 3442 2 19680 3888 1 15329 592 1 8771 2155 4 17249 233 5 996 6713 1 11164 340 2 7554 232 2 16236 1748 2 12345 5410 1 3759 2646 1 14998 4299 1 4701 898 1 5569 3832 1 5567 1737 1 75 3495 1 8952 5993 1 2733 4893 1 10821 829 1 8641 95 5 15726 303 5 15108 2932 1 11305 3119 2 12817 7091 2 2227 78 1 17682 3918 1 1207 2373 2 12153 339 1 20039 874 1 16454 3905 8 13280 5874 1 7884 206 2 12279 1237 7 15103 1760 5 5454 3599 1 19634 6884 2 4960 1728 1 13348 8192 1 8008 316 1 9661 5531 11 17962 46 1 10078 3457 1 710 1273 1 6690 1249 1 2652 6494 5 16355 232 3 18365 737 1 857 719 2 17779 1747 1 18823 6435 1 13829 4950 1 16484 537 5 9325 5916 1 13375 4549 7 12961 2651 11 17809 1695 2 6386 7395 2 3150 498 4 3704 1722 2 4626 2721 1 8268 1745 3 6003 1710 4 8261 1863 1 2054 1146 1 1323 7853 2 12867 5468 2 20180 642 1 19193 1704 6 18165 4013 1 6312 467 3 14758 962 1 4467 8191 1 6700 221 5 9639 3581 1 8226 364 1 99 4464 5 12522 7734 1 10730 206 1 17463 3283 1 1904 411 2 10240 3 1 14617 6192 1 3473 171 1 1218 1707 1 4617 5545 1 13046 1751 1 10123 5374 2 11216 6697 3 16185 4591 1 13788 6490 1 91 4093 1 2975 8091 3 19578 4475 4 17283 2103 1 6872 201 1 8454 215 3 7997 2609 1 8946 581 3 9224 148 2 7758 203 40 878 1236 1 11882 6552 1 11141 4222 10 5659 1960 1 18842 5162 2 3031 532 2 19594 165 13 10078 1379 1 12177 1465 1 6987 214 1 7596 519 1 12094 215 1 3175 502 8 17988 874 1 9869 3090 2 5417 2184 3 16827 2838 1 4634 220 1 7931 6414 15 631 3877 2 6753 2114 39 11238 2109 1 70 232 1 780 1997 3 18265 4698 1 702 7599 1 20263 1442 1 18797 1235 1 14599 587 3 9250 584 1 17 1047 1 7885 7719 1 2529 682 16 3760 6640 3 18235 5347 1 7363 1772 1 11796 642 1 8994 4306 1 14404 244 8 143 6585 1 4314 3438 3 13827 206 2 19490 4622 1 12279 5105 4 8665 4010 1 6740 6480 1 4924 524 4 3823 84 16 14754 6415 3 8250 3074 2 14746 3705 2 17127 1747 2 18462 4245 1 14060 207 7 1505 507 1 7368 2636 4 14472 1396 3 3550 7094 5 6510 3 3 1002 196 1 16773 4308 1 5742 7601 2 14695 6503 1 162 7366 6 15107 165 1 7020 3652 1 15280 1751 4 8377 2083 1 939 84 1 7024 5253 1 13286 4603 4 19958 1703 7 14795 4963 2 64 3088 3 3501 3637 7 15468 534 4 14865 5490 2 1028 433 1 12819 223 8 4294 2127 1 7509 8141 5 3380 5441 1 5431 225 2 12362 215 6 592 1273 1 10353 461 1 113 5075 2 19527 814 1 3812 303 13 12212 363 1 6110 6754 2 6120 7462 1 11471 6640 1 12441 6489 2 18949 6442 1 3337 7033 1 12273 4241 1 188 1776 1 6538 262 1 4318 5971 1 8798 370 1 15338 3242 2 18320 5904 1 16869 1466 13 7554 545 1 13131 8111 4 4873 8065 5 11034 1945 1 6164 3298 1 19870 3836 1 19174 3132 1 6781 3059 3 9935 361 1 13 634 2 17111 411 24 18282 3869 1 3189 3216 1 8198 4020 4 5141 223 1 11820 3298 2 6522 903 1 3133 3697 1 6796 6434 1 15833 233 1 9110 5346 1 18124 2292 2 16625 8194 1 1596 1814 15 18237 1722 5 2910 57 1 11008 3239 1 5239 2247 4 1663 3652 6 2720 4643 2 11786 53 5 13316 904 1 7575 1235 1 1548 5575 2 14939 206 3 1011 1781 1 9787 1589 4 3035 1778 2 1005 1719 4 4389 214 1 5435 745 1 16951 1136 1 1092 3311 1 171 7770 1 8451 196 1 15940 705 1 5681 1374 1 6124 5349 1 7653 4760 1 18353 844 1 6644 1363 1 9567 3606 1 17872 2271 1 4140 7237 3 4788 184 7 1540 23 2 10342 6436 1 10381 173 2 4052 6716 1 16574 2662 1 19872 6500 1 17123 2560 1 4022 2415 2 15864 504 1 18080 6793 2 16232 200 6 8539 800 2 13460 1315 1 124 5517 2 10396 6641 7 7853 5538 2 12093 8096 1 1596 1363 2 10672 6402 1 11339 1760 7 17985 3155 5 1191 215 9 3948 3477 1 3699 2419 2 11177 3685 40 11613 671 1 9693 2704 9 16287 6100 1 13040 2097 20 3485 4383 1 19159 1328 1 17110 7021 4 11018 23 2 15480 1334 1 15155 1705 2 9337 1277 1 15313 4450 1 8171 23 2 6449 2444 1 8129 5325 3 16491 638 2 16473 219 1 12097 7607 1 5420 1613 6 5104 1277 1 17905 1474 4 13589 6527 1 2012 7231 1 1506 2993 1 13541 1518 1 7560 910 1 10333 1718 1 8924 891 1 13829 4998 7 2692 5518 8 7499 1103 11 19434 4476 1 3822 2004 1 6524 891 1 8554 3591 1 16501 870 1 10264 842 1 14305 816 1 17167 1762 5 15230 1747 1 13334 336 2 16530 1757 4 9055 4580 1 13288 6335 1 13021 1997 1 9883 7936 4 16137 8071 1 13603 6700 1 496 3634 1 4685 5837 3 15415 2360 1 15080 506 2 11255 2355 1 10509 74 2 16645 728 1 10145 7618 1 10000 4704 1 174 5737 2 7346 1967 1 19605 203 3 18515 2742 1 5613 2853 1 6650 867 4 11131 5880 1 8964 1995 3 12141 1085 1 11131 4587 1 5362 4312 8 9868 3808 1 4157 6484 2 5617 4107 1 13254 955 1 4139 1156 3 8930 6607 1 8255 5565 1 3340 333 2 15961 1015 1 3978 3135 1 17087 1823 1 1746 718 1 12869 2043 1 8620 860 1 10570 196 5 11968 4352 1 15969 1721 1 5950 23 16 6332 925 3 20123 2918 1 19996 837 1 16956 443 2 1620 521 4 4593 894 5 8518 7714 3 83 3824 1 17011 637 2 13419 6585 1 7363 444 1 1333 1686 1 353 200 1 16255 3338 1 19870 1699 1 2386 3639 1 17962 201 1 17827 4085 5 19867 2990 5 15117 7073 1 16221 1819 4 13089 1740 1 13684 1035 6 12806 7 1 19833 489 1 15900 2017 8 8969 1784 2 19856 7890 9 6183 1737 3 17404 7406 3 12184 2727 12 7060 5758 5 12705 3267 1 10385 1449 2 16758 336 6 6908 3572 2 4691 3197 4 18149 1698 1 11751 1153 1 13647 1752 2 4498 1757 1 6123 2734 6 18726 3693 2 13101 7124 1 4155 449 4 1273 624 1 7823 471 11 12682 5020 1 13088 5446 1 8975 7850 11 16924 4540 2 18574 3464 3 5960 6912 3 1211 8183 1 13027 663 1 12548 4013 1 18585 499 1 1509 313 1 15509 4312 1 2980 4404 1 265 3747 1 17088 534 1 15542 392 1 12740 8122 3 12398 519 1 4 138 1 161 1788 2 20219 2662 1 3258 2942 3 16234 169 7 19067 2885 2 8568 995 4 873 805 1 11404 3879 7 11766 2277 1 7211 230 1 13205 1881 2 17434 849 3 10325 870 1 1790 1838 2 17113 502 3 11336 2767 1 18912 692 4 17983 497 1 11818 4622 1 2102 5090 1 672 303 1 18554 1361 1 11107 7352 11 15465 1036 3 12614 214 2 9656 7840 2 16887 3939 1 14984 419 1 4784 214 8 98 4408 2 8948 5288 2 20038 533 2 1704 899 1 7951 1825 1 2671 23 1 5602 4803 2 16090 6227 1 16768 229 2 6541 1761 1 10840 221 2 25 1506 5 12725 2144 2 11786 7512 9 91 4066 1 14661 220 11 3607 8072 1 16390 1784 1 4631 3203 1 3920 1416 3 1549 3071 1 8870 5058 2 6510 5849 1 954 3109 1 12520 3516 1 6348 685 1 6381 718 1 15096 867 1 1012 223 3 2880 4196 1 18705 1761 1 17391 7809 1 7986 1691 2 17505 3012 2 3249 6150 1 16916 304 2 17805 1363 1 14302 7313 1 12299 215 2 16354 1537 1 8427 3686 2 5373 1498 1 415 401 1 19259 220 1 755 1242 1 11050 3138 1 65 3159 1 14532 650 5 15741 1981 1 10065 1761 1 11336 5473 1 1231 6699 3 14618 4123 1 10661 2698 1 8175 2355 2 1050 1714 1 14553 6571 2 13373 7998 1 10754 23 1 14994 5004 1 5856 7802 1 6987 8210 1 9596 7008 1 9836 1001 5 15685 7235 1 2312 525 2 16817 1757 5 10105 1740 1 2922 235 1 17422 5594 1 17182 6943 1 5389 617 1 4935 96 1 2015 3138 1 11708 360 1 14099 1718 1 4627 5036 1 3270 2495 1 3703 1745 4 14824 5951 3 3548 891 3 14669 6983 1 1709 1146 1 12958 4867 1 6341 5516 2 5695 220 1 8830 1235 1 1796 7466 1 3776 7986 2 12025 7601 2 15599 364 1 19737 3573 5 7135 1745 1 16096 914 1 16373 401 1 11345 2981 1 1991 4152 2 12070 3334 1 13928 167 1 11900 200 72 18110 22 1 16096 2936 1 19054 3464 1 15567 1635 1 6748 148 1 15729 4849 1 11668 1770 2 15025 1768 1 11693 1593 8 7135 1740 1 11 423 1 3004 762 2 12158 219 1 19354 7533 1 11145 4293 1 4572 2938 14 14343 1779 3 6322 2676 1 2406 1799 5 16478 283 2 12636 201 5 3094 2474 1 12730 6751 1 18115 6777 12 10125 220 2 3025 1244 1 2004 222 1 6348 766 1 12710 308 1 15986 200 1 12227 6754 5 17587 2549 2 7295 498 1 14394 719 1 10213 5859 2 9101 5571 1 16557 1692 1 4412 8184 3 16881 1612 1 2980 1038 1 4565 43 1 156 7166 26 7024 1338 1 10857 1710 1 14833 1204 1 4199 7573 2 845 23 1 3390 2384 1 10145 3403 2 3199 1282 1 9033 505 2 9879 89 1 3804 1117 13 4483 4589 1 17279 6320 1 17403 2503 1 19703 1721 2 11925 7018 3 11365 5259 7 8394 3007 2 6037 1252 12 659 223 3 5432 1770 2 13328 727 1 8532 1720 1 3112 436 1 5941 5321 2 873 1589 1 9949 509 1 10325 3767 1 10449 235 3 12261 1724 1 15214 606 1 10460 1770 2 17 1129 1 19031 1647 1 15876 2646 4 5996 304 2 6046 1784 1 6332 1660 1 153 7036 1 16036 7779 3 16977 833 5 16370 4026 1 10553 2494 17 2942 1727 1 17127 1825 5 10279 8030 1 8236 8141 1 8789 3571 2 12777 136 1 4525 5513 1 18946 554 1 6713 6527 1 15363 1686 1 240 5499 5 16308 6507 4 2412 1999 2 5878 7097 1 3044 558 4 5671 3910 5 6844 869 2 11708 7527 1 14578 4606 2 16700 912 1 14909 206 2 18797 222 2 13254 1028 1 4397 4567 4 19395 6540 1 3815 6066 2 1937 4015 1 12298 8176 1 18511 525 1 9189 910 1 19454 6736 17 9773 46 3 822 2488 1 1207 1686 6 8878 496 1 4305 3389 1 17761 2423 1 12831 270 1 17618 214 1 5631 2170 1 11192 4479 1 12149 1814 1 10730 2686 10 14900 203 10 12119 6242 1 18613 7013 1 135 6251 1 11877 3230 3 7956 5421 1 12923 6398 1 5445 214 8 17652 910 1 14632 5142 1 5312 1771 1 5704 1789 1 6091 1752 1 6712 4456 1 19450 2488 6 1618 365 1 9836 3444 18 16574 4383 1 10725 2626 2 2885 4029 6 2376 244 1 1551 5730 5 7140 1070 1 13195 23 4 65 2256 3 2900 375 1 17952 1772 1 427 520 1 17354 1731 1 14843 23 1 11104 1658 1 13347 38 10 20148 4479 3 4332 1248 1 16914 3732 1 6521 867 18 20126 2699 1 9038 5950 2 5784 23 3 633 6106 1 130 5903 1 14522 284 1 2905 395 3 15128 6152 12 2046 4289 5 9297 3294 2 5618 205 9 16067 7395 1 17440 917 2 6104 1012 12 9460 2449 5 10283 48 6 9978 4394 1 10000 2513 1 5141 221 1 1731 200 1 12267 3908 1 20225 798 1 11857 203 3 7251 2878 5 19958 5272 1 15996 5440 1 8439 252 1 4301 6632 1 1182 2370 1 11131 5252 1 6867 1702 1 6765 201 1 14105 3281 1 10953 5348 1 8519 1655 6 19272 1027 2 5340 1453 1 9503 4378 2 8340 5560 1 143 5037 2 14906 1363 1 6039 78 8 289 2542 2 4553 4076 1 15429 1738 1 1028 3949 6 16151 2891 1 5977 1247 1 14832 1332 1 4512 3409 1 10708 331 2 7515 191 8 13009 3540 5 10123 5628 1 18565 1146 3 460 2363 7 5401 235 1 7596 1946 1 12821 235 1 2292 3686 1 9168 1705 5 8255 1663 1 3168 2103 1 4050 1732 1 5716 525 1 11073 4411 4 369 2584 1 19246 2191 1 18101 5686 1 19011 355 1 4572 4963 3 1872 378 5 13 822 1 12777 1819 2 14720 6140 1 6401 6561 1 70 1720 1 9435 219 2 9383 3233 1 5213 1707 2 7188 219 1 14721 1723 6 18666 1775 1 13869 6122 3 63 3037 1 19030 5182 10 15852 7601 1 1465 6481 5 17715 7494 1 873 7857 1 12079 8176 2 1805 4622 3 4126 1357 1 3954 7210 1 17462 2617 2 7605 2068 1 15776 7477 1 8343 864 1 2902 883 1 12574 1752 1 4015 8145 1 17092 7320 1 6817 952 1 17867 368 2 8781 168 1 19955 1339 5 15275 7847 1 6360 5130 17 1546 514 1 2163 1761 2 7795 5018 3 16610 6692 1 10850 2386 1 14326 3840 2 2710 1184 1 14928 215 1 15937 23 13 2762 1728 6 3817 1717 3 18255 7134 1 11246 3693 15 19912 6413 1 16886 7225 2 12824 1374 1 18064 4597 1 19069 1745 1 17370 947 4 16622 1630 1 9947 918 1 8426 1238 2 14711 2920 1 13035 5260 2 608 4403 1 15364 4252 1 9364 663 4 1234 2392 3 6819 173 1 10207 203 2 4640 667 1 3842 3021 6 7763 8251 1 3317 1256 2 11306 4228 2 7267 2099 1 13412 191 70 9445 1399 1 18809 867 1 5088 5468 1 6492 534 2 16833 2127 1 6305 318 7 1130 891 29 5738 6340 1 19502 1863 1 5987 3910 6 15960 1781 5 19849 200 1 4092 2382 4 19304 2675 3 10333 188 2 15181 7233 1 3590 1722 1 14402 1764 2 236 4996 3 3765 537 8 15909 2169 3 2084 2969 1 19079 6082 21 7400 1788 1 16018 1312 1 6332 263 1 12540 822 1 11768 3391 8 5955 6174 4 4050 1342 3 4920 4805 1 15629 615 2 19140 2737 1 123 5361 7 5565 1304 1 2772 6484 12 2696 88 1 16970 3477 2 3189 8122 1 19750 1721 2 10 323 1 2623 5484 1 16895 4591 4 126 5631 2 16916 2743 1 13419 7569 1 8142 1296 2 143 6663 5 11952 203 24 11973 1250 1 8995 930 1 3031 244 1 5829 471 1 12273 694 1 10163 1739 2 17034 942 1 3072 1747 2 5745 233 1 20016 4807 1 15746 759 1 16860 789 1 16888 4662 1 5675 1374 2 13564 219 6 9295 1751 1 10315 7222 1 15041 1357 1 17710 496 1 1665 3234 2 19877 1713 2 2716 1242 1 4525 502 8 414 5256 1 18469 1037 1 18920 1819 1 5423 2016 6 9188 941 1 7536 1730 3 13366 1209 1 484 943 1 997 7050 1 5257 1831 1 6144 789 1 13328 5547 1 7956 214 1 5161 7406 1 14292 1284 9 15394 4621 1 1551 5254 2 5033 758 1 18495 3879 1 7117 1395 6 12988 97 1 1291 7734 12 14758 3718 2 1542 2982 5 14552 6338 1 7670 694 2 16471 578 1 3307 1751 2 14525 1819 20 18248 173 8 11769 910 1 16081 3684 1 15969 3671 1 11683 7380 1 1248 1249 3 2127 221 2 5140 1726 2 8361 220 1 11951 1184 4 18635 3634 2 9051 505 2 7241 6801 1 18778 6414 4 14120 7848 1 4458 825 1 17562 2292 5 1872 910 1 17432 203 1 16802 5054 1 7224 1719 5 9836 5119 1 10605 3511 1 8888 2357 1 13993 8015 1 10697 3905 1 14881 1342 11 13501 46 1 17675 197 1 3765 718 1 18362 95 5 16714 1656 1 3401 6053 11 11121 2696 2 17886 2146 1 3797 2729 2 8658 4799 2 10170 178 1 13090 2724 1 5641 4581 1 7928 7793 6 4908 1241 2 15376 336 1 13461 1738 3 2560 233 2 2777 223 5 874 1720 1 3653 1374 9 7320 944 2 19494 2507 1 17615 7529 1 14430 4086 1 8339 5533 1 13430 2860 1 3000 740 1 12365 2964 1 13630 6338 3 4811 3103 1 15023 5434 2 15059 1743 2 3210 7552 2 14068 3588 1 8532 1714 1 13734 597 1 8694 1249 3 9609 4702 3 124 3898 1 1553 3511 3 5292 508 1 4423 1314 8 14027 3036 4 11687 6139 4 8438 845 1 4981 7665 1 18431 1727 3 8250 46 2 17521 7829 2 6256 1801 4 6063 541 2 7163 7847 1 17 1104 4 7097 4029 1 11327 201 1 1013 7227 1 7799 7641 2 19457 4268 1 9778 785 2 10516 536 4 6644 960 1 83 3852 1 5058 6187 1 6681 6342 5 3491 1247 1 15935 2118 1 15318 303 5 14917 910 1 18711 201 1 8767 3573 1 18546 524 1 14543 6054 1 15861 222 1 4357 1981 13 5644 500 1 12814 235 1 4572 367 1 153 7104 1 12640 5780 1 8761 631 1 6618 502 4 7181 4435 1 3240 219 2 7246 8029 1 15629 722 1 218 4385 1 17960 863 1 16968 3449 2 11156 8126 6 4273 5525 1 6249 2841 1 10940 1464 1 8198 8076 1 9336 1647 25 19401 1726 1 1129 2686 2 7477 1399 4 16691 4635 2 6892 601 1 5421 728 1 8410 1184 4 10531 6759 5 65 3101 5 7610 661 1 9310 2645 6 873 6948 1 8823 2517 1 27 1625 1 5041 1464 1 3004 571 2 15084 2678 1 1658 1242 1 3946 6268 2 16130 7525 1 19568 74 1 65 3125 3 3653 5251 11 1871 1275 3 9244 200 1 9511 381 1 157 7192 2 14783 7921 1 18546 1780 1 11461 409 1 16355 7719 3 7768 1245 3 143 6671 1 3678 7597 4 18263 5537 1 6556 4979 11 2819 23 6 4862 1681 3 17227 4293 1 12890 498 1 16363 5782 1 12231 2376 1 542 637 1 9838 3122 1 5318 497 1 7961 1753 4 12856 89 1 2362 1241 3 16641 912 1 9743 2016 1 14607 1909 9 4147 6925 1 17710 545 1 1138 8036 11 15664 3301 1 10000 419 4 2194 1814 5 16845 1100 19 14128 2827 1 15364 4524 1 2673 1252 1 4553 4229 1 4832 679 1 899 4560 1 19719 1721 3 1760 3234 5 11964 1244 1 10841 1955 5 9857 3232 2 11164 3464 4 2286 1781 1 7347 604 1 16604 223 5 5890 2649 1 7974 4614 3 3554 5004 1 108 4861 1 1677 4266 1 16024 5120 1 14462 7576 5 309 1302 6 6061 5604 1 6843 2617 1 6170 496 1 15272 1399 1 6207 5187 6 15722 1714 1 15968 1237 9 13582 1686 1 2990 4467 1 10879 1715 1 17302 2673 9 4005 1778 2 6405 1001 1 7841 1555 2 1378 6723 2 18968 5480 1 13385 201 1 9103 8057 1 3236 4203 2 16046 7133 1 11301 3686 10 5551 386 1 19877 3321 4 565 5905 1 13629 4949 1 16131 200 1 17469 745 2 10371 5206 3 18205 3634 1 1173 670 1 10346 1717 3 10340 2951 1 12443 2248 1 8946 561 1 4397 1564 1 10792 4293 11 19478 4448 5 10789 74 4 4042 7011 1 1505 4759 1 212 6271 4 19402 627 1 1977 1252 1 4998 1241 1 6889 3203 1 13214 2240 1 12809 2004 1 7734 2357 1 6154 221 1 15980 222 1 19796 6744 9 8551 2246 5 10442 3326 2 18320 1303 2 3550 2086 1 15471 3597 1 7117 1242 4 11 457 5 13087 1982 1 11752 3512 5 2973 525 1 16844 140 6 9220 4245 1 2345 6268 15 7999 6482 1 16254 3323 6 5433 3175 1 698 3882 1 14115 891 2 1779 7931 1 4622 3660 3 4483 3335 1 16547 220 1 14896 1357 1 188 1710 1 5738 6107 2 7824 1334 2 7916 225 3 17436 4500 1 4045 214 1 6045 253 1 14965 2481 2 15130 232 1 14731 6018 1 804 766 1 10376 4369 2 3187 1784 1 17872 7719 4 13835 201 18 4623 1827 1 4716 1705 1 19476 2529 1 19872 810 1 7455 4209 1 11907 6826 2 3694 1531 6 13909 5514 1 13039 3713 1 6154 23 1 14522 4792 2 14879 1717 2 14427 1020 1 19983 1498 2 12627 3313 1 6929 502 2 7879 5914 1 12864 5439 1 9508 310 1 14762 532 2 13662 3399 1 17917 1731 1 9628 865 1 1 6 1 5954 2146 1 6841 6558 4 11072 6606 8 7415 1727 14 1567 3431 46 1446 2889 5 3483 3639 1 559 1250 4 163 7405 2 14949 3586 5 13016 8145 26 12988 173 1 9789 1010 1 18696 1730 4 9894 471 1 16111 519 2 7165 2614 2 16420 150 10 13058 2831 3 4606 3485 3 4097 1731 1 17809 3621 1 13607 6535 1 15362 188 1 4831 203 1 10272 1251 2 4144 274 1 8613 6147 2 9743 4816 2 14290 419 1 17877 1710 4 4068 6398 1 4898 880 1 16595 6887 1 6606 1907 1 6837 910 21 8494 1819 15 382 1720 1 1489 4041 5 14156 364 1 4784 221 7 16844 1704 3 9374 215 12 13126 840 1 1937 2772 1 16968 490 5 9376 510 1 19923 2342 9 18204 2661 8 14326 4623 6 9978 1656 1 15037 6686 1 493 375 1 10138 1244 3 456 4325 2 18527 4044 1 7842 8175 8 13021 690 2 3418 8108 1 14906 1825 5 9543 5252 1 3074 6053 3 3651 1245 2 10664 591 1 3965 7741 2 19449 223 1 5538 2356 1 15213 1472 2 19578 1917 4 2204 616 1 62 2848 1 12745 197 2 6437 5558 1 3521 4916 1 11184 3447 1 19758 518 1 9987 3512 1 4913 724 1 19271 1742 5 1987 189 5 17434 233 11 10815 6430 1 7275 7433 1 2674 3799 2 1464 410 1 6384 534 1 19159 530 7 5102 3312 2 3446 512 1 3596 1756 1 1610 5105 1 16279 507 1 8358 1705 4 2666 3679 7 17226 244 5 2818 3976 3 6700 498 7 4207 2880 8 19852 697 2 3532 3875 2 19957 8031 16 143 6641 3 12367 1710 1 10941 3113 1 10000 3715 2 16714 7511 1 879 6702 1 9737 409 3 20216 2678 51 8356 200 8 5453 523 1 12619 1222 1 456 495 1 17953 3540 1 14346 2675 15 18973 256 1 8252 3380 1 11051 5962 1 5972 5115 1 19448 2614 1 9301 6406 2 4735 221 2 14522 220 2 16815 4623 8 16141 7424 2 11932 1730 3 6452 1145 1 1171 1717 1 17327 1474 1 497 4085 1 13465 916 2 108 4905 1 18880 6663 5 17412 367 1 18876 5513 1 10272 201 3 16055 2671 1 8015 7085 1 19975 525 1 6848 532 1 13461 506 5 10327 6892 1 8342 7847 1 10881 719 1 9661 1781 2 7556 2734 5 10257 3892 1 2697 3615 1 4410 7013 2 4505 65 20 15920 223 1 888 3833 1 164 4306 1 18506 3113 2 2387 1776 1 11320 1341 1 15096 4559 2 3845 5342 12 14729 1717 5 16537 6196 28 11935 867 2 8097 1062 4 14780 219 2 11687 220 3 94 4279 1 16724 1280 1 16174 1244 1 9784 2419 1 10221 504 1 2002 206 3 2801 1036 2 455 6644 2 15075 3074 2 1634 1302 1 15208 2889 37 16981 1755 7 16378 2355 2 4829 3133 1 13560 306 3 14906 1739 1 7432 221 5 5626 203 5 17675 1747 1 17120 1710 1 19160 1237 2 18881 2736 10 17746 588 1 6238 5758 1 3765 2810 1 14626 906 1 10060 1780 1 4200 186 1 11971 1757 1 16841 8141 7 14958 1539 9 17395 2120 5 13031 2494 12 18281 4005 1 997 7699 1 11072 1244 4 13993 200 5 6280 2986 1 13806 1154 4 19840 7654 1 9511 3813 1 16002 917 2 10676 2938 1 9957 7652 1 3046 380 1 10747 1191 3 10313 8183 5 8057 4730 2 16355 4623 2 12397 534 1 18699 6256 2 17662 1363 4 13126 5138 9 5361 6091 1 4348 533 6 16742 681 3 8591 4963 4 13841 7506 4 12034 1903 1 12019 23 1 1086 3233 3 3781 3654 3 13574 1965 8 7099 3911 1 9911 1374 1 18633 6076 2 13811 878 18 7910 2542 1 5466 1171 5 9374 219 2 988 10 2 13 680 1 17384 1250 1 12341 1755 1 11542 2355 2 4556 74 1 7065 1234 1 7000 5253 1 10879 3689 1 491 714 1 5246 6434 2 15180 203 2 7949 3847 1 19220 533 10 13543 605 1 13126 3325 1 13412 3101 1 17911 4500 2 3872 2261 3 5449 944 1 59 2714 1 7823 4403 9 13646 514 13 18410 779 15 7390 742 1 14047 2668 5 496 221 1 8430 7379 1 12737 534 1 19433 199 1 3947 156 1 7487 2534 3 2827 6120 2 15236 1901 1 11191 3233 8 8658 1328 1 17738 827 2 12897 443 1 7188 6065 1 18104 2722 1 12005 2610 1 684 1768 1 17379 863 1 16684 81 1 10786 2743 1 13870 2560 3 13126 1600 1 8051 438 1 5023 4944 1 7756 7172 1 10169 5787 2 1704 6414 2 6926 420 1 3337 2936 1 14767 534 1 10333 525 5 14514 1332 1 1672 2675 1 16740 2461 1 7640 365 2 2154 3059 5 944 4651 2 13323 954 1 17139 6428 7 16150 191 8 453 6473 9 1817 5018 3 2612 3057 1 3584 6415 3 1812 692 1 13543 828 1 14320 2646 1 452 57 2 6310 7403 1 6406 379 1 5840 2415 1 9466 3511 2 8735 3325 5 701 5254 1 11976 4998 3 12009 2443 2 19686 1374 1 7165 744 1 14543 753 1 18596 561 1 13465 616 1 18489 505 2 9084 184 1 8231 4386 6 15788 2530 3 1234 4123 1 2315 3474 1 2803 2642 1 5631 6545 1 16941 347 3 10712 2869 1 4991 23 5 20090 410 9 2617 2424 1 15982 2343 8 18261 1257 21 18663 3511 3 9445 1731 2 1576 505 2 5833 1781 1 6925 1775 2 16174 215 7 16881 5306 1 6813 6536 2 18706 222 1 174 7881 2 18421 7125 2 18279 7839 2 15288 6481 1 745 1249 1 9147 682 3 12394 2138 4 18905 1249 1 14355 6098 1 11956 2671 1 13731 5950 1 14276 2841 2 3407 1927 1 2390 801 3 11050 6649 3 2382 3907 5 12159 5395 1 16526 263 1 4539 8175 21 17610 1324 3 10665 186 1 3940 7586 6 11812 7726 1 12665 7752 1 5365 1996 1 9463 8081 12 9429 6341 2 4643 200 5 8055 6706 36 12868 4963 3 10592 2399 3 16643 8096 1 111 5010 1 6598 4998 1 18149 336 1 16843 7445 6 17578 274 2 46 222 2 9791 3619 29 4092 417 3 6824 3337 2 1642 1814 1 7761 4987 3 9017 1244 1 3826 4203 1 18490 186 6 15907 7128 1 5544 7439 9 9652 512 4 13462 1819 3 6617 1272 1 8097 2555 3 10105 197 2 7105 7404 2 20236 610 1 13490 6288 1 7640 1373 1 17210 229 1 1904 719 1 17809 1252 1 17015 173 1 1503 1241 2 7823 6427 3 10792 1743 3 16525 719 1 579 5475 1 5589 2512 1 6670 1342 1 787 5495 1 16786 6226 2 1721 74 1 3947 4929 1 411 4003 1 18665 3743 1 9341 2742 19 19853 2261 1 1809 861 5 7203 1182 1 8599 3643 1 5117 752 3 15818 519 1 10583 495 4 4122 5922 3 1801 6537 1 4092 4026 2 15102 6414 8 19216 3676 2 4223 4992 1 189 2388 3 13608 4620 1 15249 1012 1 17725 4059 1 10498 4334 1 18756 229 10 9712 1246 1 18257 2380 1 2529 877 2 1801 4304 1 8090 1772 6 1733 1243 1 1152 6018 1 18987 2671 1 1782 725 1 9868 5252 2 12009 1537 1 10037 5970 6 15726 883 4 1 33 1 18813 6077 1 20041 2171 1 5390 659 1 4519 6343 1 171 7618 2 17039 8081 2 9783 2495 1 7109 130 1 19807 2686 1 179 8196 1 18149 2675 1 5079 2831 1 9010 1819 1 529 952 1 13737 1194 3 15328 1399 1 6598 3619 5 15982 3600 10 17548 7925 2 1499 5713 1 3852 3920 1 12740 206 3 6754 1076 5 10887 60 2 10511 8031 1 19608 4187 10 4799 7986 1 6718 883 18 6061 2831 1 11047 5374 1 900 2363 1 9788 1474 15 9666 289 1 5479 947 1 13225 200 22 12327 1819 10 19764 3070 5 13705 4293 22 5172 5922 16 10736 4599 1 8614 7397 1 20275 3865 2 19115 2549 10 7506 2912 3 14301 537 3 19464 4245 4 739 1762 1 11512 4382 1 156 7155 4 10692 202 1 18511 1707 3 6146 1247 2 14157 6368 1 9778 2922 1 3894 6924 1 16493 553 6 16550 201 2 10852 947 13 8849 3626 4 7571 1025 1 17014 382 1 52 2553 1 11875 532 6 1498 943 1 11303 864 1 4144 5306 1 9050 2186 1 7082 749 2 6645 2519 2 15159 3715 4 1135 115 2 113 5095 5 5212 5536 1 11663 214 17 5884 1724 3 8058 2552 5 11430 1374 2 18293 379 1 8735 7707 1 19211 561 1 15743 532 1 11643 8036 5 14621 426 9 14184 6680 1 10217 23 1 4290 4657 1 9789 7120 4 17738 260 1 452 2853 1 4495 8043 2 8457 1246 1 547 73 1 11877 1729 1 6440 5525 1 10801 4789 13 16095 4615 1 13126 455 1 8795 184 2 13187 7860 1 4483 4982 3 7018 3669 6 19247 7703 1 6867 4326 1 7738 184 6 16797 4775 1 710 1277 1 16180 3378 5 16266 470 1 153 6090 1 5266 4760 1 1824 679 1 7251 1721 10 2710 1752 1 2032 5018 5 2284 489 6 13883 1256 5 9511 2602 2 8863 1235 5 19603 6341 2 1131 6343 2 9763 6714 1 4629 200 1 20218 2883 1 9076 1616 1 17832 1612 1 14998 4248 1 5003 1278 1 19701 2003 1 10570 1698 11 10948 2662 3 12280 1561 4 3851 3558 1 6018 2874 13 15725 8171 1 10331 2968 1 658 7606 8 5023 491 1 16584 2743 1 20196 2827 1 2826 6058 4 8482 3511 1 19107 545 1 4530 2878 8 1414 1753 8 13601 3679 2 2666 2532 2 18578 3072 1 18080 3710 1 7851 3276 5 27 1601 3 19563 52 1 169 7587 5 3760 1739 1 11187 1695 1 7165 1664 2 20235 4107 1 9733 5266 1 15063 7377 4 16889 8169 10 17652 1342 1 5681 1184 1 2716 2678 1 20126 8091 1 9396 222 1 5358 4493 1 10621 1193 2 15561 783 1 11625 4508 1 5423 1906 1 6558 3845 2 16036 5768 1 18000 1776 1 10956 6471 1 6059 5852 1 17120 1250 1 7136 7710 1 9394 5325 5 15732 5389 6 13896 517 1 18080 3036 1 9864 5996 1 5066 499 3 17179 514 1 9392 1784 2 873 205 1 14665 6946 9 5864 2980 1 12740 34 1 8784 236 1 12964 3074 1 15855 1625 1 4410 1736 1 8358 2543 4 13638 232 1 13238 1825 2 9302 7853 1 2387 2675 26 9755 224 1 16090 6441 2 7912 220 1 212 5740 3 12378 5289 1 1999 4387 1 16367 5575 1 15355 2697 2 2723 5730 1 7568 1437 1 4092 2146 2 18099 864 1 10879 1469 1 1537 1987 1 19319 206 7 4428 2044 1 16670 5518 5 10163 1731 2 16626 244 1 11324 7703 1 1577 576 1 19650 196 1 3434 5146 2 4214 231 7 7780 2898 4 4076 4653 5 153 7112 1 4433 467 4 14107 3820 23 18692 7604 1 11732 2572 1 992 1734 3 4228 2129 1 2035 3663 5 19713 1752 5 9865 498 1 15130 11 1 7039 3693 3 960 1529 1 7791 4204 15 3348 4367 2 812 2489 1 14209 7593 1 18876 840 1 9132 533 17 9239 5306 1 2974 4288 4 16690 5878 1 6878 327 1 6692 1453 1 2948 2229 2 452 7670 1 4417 1444 2 15675 34 1 1849 1307 1 12279 1747 8 14770 5327 3 4606 1505 3 15635 650 1 6349 6102 2 10389 2663 1 9551 3228 5 15718 2352 3 16310 341 2 18788 2541 1 18357 206 2 672 4607 6 153 6925 1 2042 3511 6 2330 1154 3 10690 1371 1 2954 3147 2 10905 1241 1 1970 214 1 917 6570 1 14418 8065 1 17088 7832 3 6781 8227 5 5315 3071 1 181 8207 2 13377 1942 1 2002 3113 3 593 2920 1 8528 1758 1 8636 3174 2 19246 8135 5 10893 2049 5 4670 200 28 8448 1324 1 496 419 1 19835 374 1 745 1756 1 18404 2889 1 2707 520 1 1083 206 4 12305 3462 1 18128 3684 1 9650 8203 6 3018 1728 1 16294 1884 1 13118 1871 1 4965 2208 1 17418 1402 1 11212 6031 1 13603 1402 1 14400 367 1 18534 1685 3 11613 652 1 9363 2229 1 6681 3361 1 7069 6700 1 15272 1762 2 11411 2428 3 11357 6534 1 19452 5082 1 8681 171 1 9879 4595 1 390 1903 2 6890 5174 1 2386 6231 2 5918 1425 1 15697 7127 2 12329 3132 1 19637 6435 1 15673 252 1 8164 1770 1 434 504 1 11582 1799 5 5973 510 9 16083 723 2 6350 186 4 16767 6080 1 16857 5379 6 2 117 1 11092 8126 1 1393 814 1 6068 1105 1 13165 1737 8 6328 498 1 8301 4723 1 10730 3247 3 8765 4040 1 10053 3271 1 10587 544 1 9224 916 2 4337 215 2 17978 8065 2 4825 5325 4 6718 1357 1 5336 6228 3 18059 169 5 16674 4404 3 9166 1776 1 14902 690 1 19 1262 2 16689 4214 2 4535 1730 1 11349 221 2 10772 6228 1 15888 2608 2 8015 214 1 5377 4456 1 56 214 3 8013 3865 1 14710 3782 1 19044 2443 2 20046 1686 5 4832 4567 1 1998 3917 1 9513 6363 4 9306 1242 11 2167 5477 2 8396 201 2 14212 1285 1 13755 203 1 20172 4945 3 18488 2968 1 5261 2671 1 3823 2478 10 14292 397 2 14492 2582 1 19333 1248 7 7892 325 2 232 1146 5 16314 223 4 3883 190 1 8343 3278 1 4437 206 6 12821 1250 1 20193 6682 5 12030 844 1 7350 5597 1 8251 222 2 18249 4314 1 11033 759 1 107 4781 1 9674 1648 1 16109 910 1 8051 7809 1 3487 1724 3 16625 1184 1 13175 2552 13 17698 1243 7 6648 7474 4 17638 586 1 6772 1703 1 11098 164 6 20090 2494 3 18251 1967 42 11018 232 1 6840 919 1 19149 8047 4 2383 911 1 2938 916 1 16310 344 4 12142 1658 4 9919 828 1 858 2549 1 7378 7270 1 1389 4554 2 4893 502 1 8157 303 1 12594 848 2 3250 7187 1 19978 3634 33 16875 4534 1 13430 4427 4 14986 2549 4 7597 3798 1 7194 5654 1 8518 5054 4 3063 7848 2 15893 1146 4 14863 3666 1 18696 519 4 10402 2639 2 12322 496 2 676 1363 1 6996 6278 1 17736 867 1 19782 349 1 14550 1423 2 164 7497 2 8128 6341 2 18573 7886 1 10221 957 8 19223 1695 1 8813 6397 12 18494 4380 18 18133 5403 2 11285 525 1 4277 792 2 15599 782 1 19737 4016 1 9864 3945 1 10123 5614 1 3636 3705 2 14131 3556 13 7034 1356 4 3686 1573 1 3299 4623 7 10429 2505 1 15368 1190 1 1172 70 1 14307 3705 11 15269 5546 3 379 2581 2 10436 3511 1 9346 3230 1 19566 6626 8 14244 986 1 17866 6925 11 17683 510 1 5817 407 1 8198 6083 1 6598 2534 5 3583 2970 2 14156 4204 1 16857 1783 1 7440 23 1 6721 495 1 8441 136 2 10633 215 3 17960 5814 3 17290 6665 1 151 6810 16 2218 167 2 923 665 1 18442 2645 6 6568 727 1 13777 3892 1 1839 8187 45 14227 7521 5 1912 97 1 17640 1999 4 2403 1242 6 14087 2710 3 7432 2588 2 19336 13 1 11036 342 2 11430 4435 5 9826 4770 1 138 6320 1 12998 5395 13 18037 6557 1 781 7592 11 8965 1705 1 8621 1876 1 7147 6922 6 1054 526 6 12243 4435 3 12961 1808 1 4498 7693 3 10429 7529 1 18797 4021 1 6070 3548 1 3190 1995 1 7834 1243 3 3219 2571 1 388 6268 1 5244 535 1 11947 1740 4 17120 1722 2 17220 3511 13 2011 532 2 986 3 66 3089 910 1 190 4653 1 17058 2931 1 6922 1357 3 17996 1732 1 322 6682 2 1506 3113 1 6061 7535 1 12619 7948 3 7455 4277 2 10086 1721 4 4539 4015 1 18014 6533 1 5689 3462 4 11085 3845 1 9249 1727 1 15155 4708 1 16517 7998 1 19032 7112 11 19572 449 2 19093 5349 2 14826 1269 1 8921 7594 1 7780 7826 1 2274 805 1 494 3101 1 2691 960 4 15634 498 11 10387 1649 1 1631 2058 2 12950 5626 1 2863 2559 4 13800 380 1 159 7261 1 17895 842 1 18939 1748 3 7999 1333 1 9195 4983 1 6000 3253 1 1897 201 2 15791 3134 1 16974 1489 2 16063 3558 1 11381 1146 10 11928 1778 13 2879 6236 3 9422 1450 1 7285 61 2 13959 3400 1 10813 156 7 7127 1249 4 19201 3225 1 13283 184 1 2379 1734 4 13084 1739 1 4155 2010 1 5749 2626 8 13234 235 1 16635 229 1 9102 367 1 4279 1 1 4735 200 1 536 496 1 10241 3345 1 6618 2710 5 3436 541 1 15136 839 1 17550 6785 1 3136 1371 4 19659 2290 1 4916 23 4 2103 1363 5 392 4622 1 4204 6620 1 4311 225 5 6635 1606 4 7825 220 45 5185 3954 1 17265 1091 1 17891 7359 5 14587 894 1 24 1455 4 18203 1753 21 11155 3591 7 9773 726 1 13733 1667 2 14996 1769 1 15291 34 5 10364 4792 1 2831 3261 5 19896 5172 1 651 3910 5 11008 6457 1 14758 6330 1 11846 1729 1 5075 1781 1 18609 3078 1 2375 233 2 5503 1337 4 11687 2633 1 787 1243 1 14127 3231 1 7916 229 1 13636 5435 1 5076 4267 3 8915 1251 1 15429 957 1 13566 692 5 2244 7979 1 7982 6868 6 8015 1825 4 11925 1873 1 13537 7878 3 8871 2356 1 7682 735 1 7678 3936 1 3945 541 2 14948 1726 1 9122 4261 4 6851 4062 1 10020 1305 1 4820 4699 2 19898 5292 1 18843 1677 2 15059 1727 5 3463 2646 4 5494 5263 1 4054 6706 7 13148 1245 1 13357 2569 1 2454 7298 8 11208 2981 3 11698 1954 1 10245 5011 1 15010 404 1 8620 3248 1 7987 2270 2 8997 1529 2 14782 1141 1 17935 6204 21 8102 2528 1 13252 4343 1 13252 1610 1 171 1823 1 19158 2358 1 16303 3809 3 503 222 2 2560 6252 1 6332 2424 1 18639 1782 1 4671 1910 1 18768 1062 9 17755 10 1 9771 7719 3 6670 1748 3 17372 4504 1 1625 327 1 16625 2678 1 1954 1825 1 2054 4293 1 7953 1380 1 6485 905 1 9306 3224 1 7127 1825 13 6646 1453 1 18929 2353 2 11502 4375 1 15067 4148 1 143 1471 1 11882 4343 3 11110 207 1 252 4343 5 16676 7388 1 3178 73 1 83 3797 2 3827 221 1 1362 2678 4 6758 2626 3 5356 2488 3 3621 1832 1 4430 7586 1 19137 5875 5 4507 7895 1 822 4299 1 13031 6457 5 12878 745 1 6375 1266 1 5620 840 16 14964 532 1 9700 159 2 6451 2291 1 2584 891 2 9369 1241 4 3521 845 5 12142 1191 4 559 926 1 17088 1277 1 16236 498 1 15691 1825 6 8393 2727 4 6995 1814 2 152 6820 1 2345 1245 12 7571 232 1 9668 1290 3 1581 23 3 4805 1784 1 19872 620 11 116 207 1 7910 7961 1 110 1235 6 11935 900 1 4357 256 6 14155 1784 6 15307 709 1 3197 2110 2 7219 5420 1 6794 5129 3 126 5700 1 1456 525 1 10337 4956 4 160 7292 1 13461 1714 6 1571 3138 1 13705 1745 4 3105 2555 2 20275 2814 1 1073 1203 6 20145 1729 1 628 5315 3 7812 1752 3 2204 452 1 5804 759 2 1765 7997 7 9957 1507 2 12134 7901 1 11207 1234 1 20257 3648 3 14996 1190 1 15853 1717 3 5643 5986 4 7071 23 2 7287 200 1 11755 4013 1 12552 3231 2 11160 1464 1 9450 3540 3 2905 1736 1 19160 5018 5 3090 496 2 14762 506 1 18530 219 1 17049 512 3 6650 737 1 11376 7403 1 19879 5036 1 12184 2970 11 3830 4075 1 14276 3782 1 11367 1971 1 10063 5879 1 14753 4531 1 15732 3412 21 12140 1751 3 15291 206 4 18814 7412 1 13674 7878 3 11336 4983 1 9445 13 2 94 4225 1 15833 232 1 13607 53 2 2413 1906 1 16471 225 1 3650 203 5 4605 4038 5 1923 5518 1 8451 941 1 10139 5420 1 4503 1305 1 3337 6956 3 10856 5496 2 19707 214 2 7240 4796 28 14524 5686 2 14686 488 1 13461 1745 2 417 219 1 3306 8203 1 6942 545 2 9944 5427 1 3485 1722 1 10670 4453 2 9193 4615 1 2161 1296 1 3095 2120 1 7498 6607 1 14301 2708 2 10436 4992 1 14780 1705 1 10111 6091 1 14307 3917 1 19477 4559 4 9015 506 3 9767 5266 7 1822 5919 1 4625 1776 2 10502 2419 1 16253 1784 2 3853 2851 1 798 22 1 4050 206 2 7473 1757 3 4544 2792 6 6926 383 2 164 7435 1 1270 1726 1 10 288 1 11131 1757 2 5202 692 1 153 6872 1 10604 5586 5 17403 428 1 11562 4804 2 18398 1587 3 6348 243 2 5025 5397 2 10611 214 2 11448 1743 1 5745 723 1 6589 2989 1 15599 2743 1 4086 331 1 11186 2728 1 16109 1695 5 8659 200 1 11820 1656 1 7432 2877 1 1705 688 5 14312 200 1 4663 671 1 4444 934 1 16205 5486 1 4694 4274 1 15595 2082 7 17720 6152 1 10233 6259 2 607 5048 2 1519 1146 12 19428 2023 2 648 3914 1 16500 3511 5 7858 2992 1 4716 221 3 15635 292 1 18069 743 16 19331 1242 2 8436 2797 1 14081 7403 1 8503 2653 1 6947 3903 1 12720 2633 2 7624 215 3 12895 3167 2 15406 221 2 15877 347 2 11269 8184 8 16916 1779 5 17799 644 1 17302 1863 3 880 1356 3 4382 1727 1 10366 867 20 12770 1710 5 13351 2331 1 3069 4105 1 17972 3311 1 18229 8096 1 4475 3284 1 4995 517 1 4716 1734 2 9875 2883 2 2382 1752 10 16442 4386 2 979 1703 1 19504 222 1 3397 6658 1 5318 1755 9 7744 3417 1 17257 4794 3 13916 4166 4 13623 1777 1 26 1545 3 11770 3836 1 5492 2369 1 11702 2493 1 10801 6139 2 8863 385 5 2990 4459 2 16512 1482 1 16136 4266 9 7268 861 2 5775 1819 3 12821 214 5 5591 5534 1 12064 3556 3 16215 954 1 952 1728 1 5882 762 1 1110 4435 1 3406 6508 1 20013 1207 3 12829 6435 2 7295 900 1 16396 4367 2 1379 3710 1 11166 4854 3 20219 519 1 13252 2747 1 16268 6713 1 15451 1784 4 2133 1655 1 15862 545 1 18243 2980 7 11868 347 1 12054 1312 4 13404 2260 1 6563 835 1 5620 1695 2 19549 2988 1 2985 5267 1 4650 7854 1 15409 4838 1 6701 1245 1 17809 2355 3 16238 1724 1 11404 3876 1 8580 7597 4 2505 4974 2 12906 692 5 10575 575 2 3903 2098 1 11775 1710 6 8989 4764 1 5637 219 6 5863 2372 1 20003 532 1 14255 2555 1 13755 2555 1 16421 7925 3 152 6842 1 13 133 12 17251 2653 3 8943 2883 2 14620 5775 1 7397 1561 4 7098 6150 1 17332 3370 1 6270 1613 1 8767 5327 10 3687 2831 5 2233 4724 1 17833 391 1 18785 244 1 10198 2789 1 18921 293 3 109 3979 1 15686 2248 7 7237 799 1 2722 6310 7 12700 2863 1 15778 4734 4 14612 887 5 8858 5696 1 1577 7614 1 14515 201 3 6982 4648 7 14218 2415 6 156 5439 10 15743 4435 1 18175 2995 1 10953 5146 2 11253 2802 1 18624 2691 1 12064 7229 3 2674 6276 2 3726 6705 5 9535 514 1 7554 1814 5 5793 207 3 19295 1347 1 2795 5418 2 13055 667 1 2874 222 1 10918 525 1 17159 7654 1 20097 2966 1 7257 903 1 13829 1450 3 11363 1466 1 10832 8071 1 259 1105 1 12141 745 5 15693 3071 1 6869 3920 1 16357 1814 2 11255 225 3 13 792 1 6308 173 1 2121 2671 1 4860 3729 2 99 4461 1 5354 5686 1 101 4596 1 8365 1721 1 13961 876 1 5251 1732 2 4417 1342 1 17556 1359 2 19774 1072 1 1858 1734 26 17899 6406 1 1551 501 1 19032 3294 4 7682 661 2 20244 5617 1 1389 1755 1 10034 3591 1 19495 1825 1 1635 6455 2 26 1566 1 12532 4029 2 5104 918 1 980 3558 1 9868 2009 1 11028 4306 1 6989 5268 2 8478 355 3 11326 201 1 18765 2883 5 4898 1717 2 11409 4951 1 15805 303 16 1028 377 1 20045 2806 4 3268 1784 3 17850 521 1 1575 2693 3 6926 3903 1 2580 4174 1 15310 3608 2 20039 108 1 5427 3478 1 14786 506 1 19044 2569 1 14301 4240 1 11222 4732 1 6415 1695 1 6073 6189 4 12856 398 8 1062 7980 2 14218 891 4 11388 5060 4 10455 2489 1 3589 6066 1 19239 3669 1 4382 232 1 7943 6714 2 251 1571 1 2045 1764 1 19872 408 1 17302 911 1 138 6313 1 2761 347 1 4106 5558 1 9541 4479 2 4158 4306 1 11658 3360 10 6656 4998 1 4620 6873 2 7392 219 1 15969 519 1 12235 2188 1 2980 4669 1 1825 4029 1 6721 7769 1 15017 7836 13 253 7598 9 16428 6887 1 2461 1727 2 16819 1153 1 15002 4985 2 3337 649 1 2674 6129 1 5303 2980 1 10096 3666 2 9527 3972 1 17828 1472 2 17961 867 121 3970 512 1 6866 2166 17 983 461 1 6859 4967 1 18532 5448 1 394 4321 2 9043 7105 1 6851 794 1 19406 3645 4 17402 3021 5 2623 4043 5 14580 232 1 9829 6534 11 15791 2134 1 14368 47 1 8889 347 1 1586 1454 1 8888 1251 1 9197 3361 1 15476 7419 1 1804 883 11 3362 7271 2 6501 3072 3 12431 7582 1 11617 418 1 18944 6152 1 9572 4098 5 3267 578 1 10428 6262 1 12384 220 62 81 2175 1 16205 5451 1 9093 1724 1 17867 3901 1 15830 1013 1 17389 2993 4 17257 5381 1 14144 3045 1 19160 891 1 13636 7089 1 11920 7663 9 10999 4076 1 19853 1742 2 13557 502 2 552 496 3 7767 168 1 6649 4427 1 15471 4023 2 9680 4277 2 3689 4761 2 10316 4912 2 11678 5783 2 14720 6231 3 13191 3380 1 19669 3921 4 6235 4692 1 17992 3072 3 80 2013 4 16870 7291 1 16961 5737 6 11399 454 2 2190 524 5 2890 634 1 2237 5700 1 9543 3570 2 11307 219 1 13638 5389 1 18334 6600 8 812 2715 3 6089 6140 4 8086 3203 1 16057 4816 1 15098 2710 2 5641 3464 4 6801 5002 1 13906 1740 6 10482 936 1 7020 2749 3 14352 1737 1 16645 2695 1 9099 1593 2 5972 4609 1 3664 1611 2 18637 4383 2 12327 308 2 19500 232 14 4898 532 3 9457 2403 2 16106 7244 1 3526 4293 4 17697 8178 2 3193 470 1 3235 1752 40 16925 2720 1 3924 5156 1 213 2256 2 6197 5031 10 753 4950 7 11883 5578 6 6567 314 1 3037 221 3 2006 7466 2 18508 4675 1 15272 1781 1 13752 554 1 9228 6198 2 13402 202 1 16881 1726 1 9245 1827 23 13619 1172 6 3734 1295 1 15024 7566 1 9324 1998 1 12011 203 1 5247 7997 1 739 244 1 19779 5670 1 8969 1249 1 8660 398 1 707 200 7 8860 5331 1 17589 4777 1 19219 2076 10 9628 896 1 4237 5820 6 10313 2729 1 8594 653 1 8851 1395 2 7980 186 1 17416 2151 2 17124 7852 4 12194 1851 1 1254 690 1 16234 540 8 10179 5291 1 14053 4727 5 15931 1760 7 105 4708 1 19865 6680 1 3444 156 10 14184 3056 2 10552 470 3 5454 3113 3 3837 5393 1 17443 2261 4 16151 3619 1 4106 378 1 13980 7237 1 4193 220 2 7184 1748 2 17109 1239 3 5158 4361 1 19900 1374 3 18357 1743 1 16569 3497 2 19626 7570 1 12911 235 1 17506 1996 1 4092 5419 4 3329 7439 2 12936 3163 3 11417 8144 1 11935 525 1 5146 200 6 19145 502 1 19228 2956 1 20142 2111 1 1029 186 3 10816 3250 1 13743 2789 4 13323 3373 1 19331 206 3 11158 6224 1 17040 7030 4 13 243 5 4784 1245 11 1551 3308 1 15861 173 1 17279 4764 2 850 2109 1 16825 6649 1 16584 6954 2 14211 200 29 8582 1814 1 13013 6053 16 9847 501 1 1202 3475 1 11958 3464 1 14995 6737 2 7481 1244 2 17512 4528 1 8980 8140 5 4320 1482 1 1062 2231 6 11388 6368 1 17889 3910 2 7928 3647 4 9894 942 1 6587 1234 1 15558 758 1 1570 5446 1 14639 3308 1 13462 132 4 18494 2385 1 16241 386 1 13829 520 3 5994 520 1 379 891 1 15374 73 1 11327 207 1 8579 1770 2 5738 5809 6 14861 2334 5 1311 6414 5 13663 6268 1 4343 410 1 3507 1784 1 167 7554 5 12592 1757 11 18462 6775 2 12375 571 1 10670 2600 2 4705 411 1 13807 864 1 14146 649 3 11059 232 1 11301 2528 1 15864 6620 1 8321 1129 1 14114 94 1 2274 2495 1 14375 470 1 8098 1342 3 17384 758 2 16742 557 1 8620 1274 6 1084 1740 1 559 3556 7 7228 2785 2 2800 228 2 5015 2555 2 16236 222 1 3397 837 1 17097 5312 1 16631 1657 1 11346 3059 1 4627 3101 2 20119 3233 1 17809 7474 1 9783 1277 1 11047 944 1 8034 1717 1 16016 1244 1 840 3540 1 6102 206 2 18727 1727 1 94 4293 24 16692 1207 1 18550 1985 1 7851 526 1 2153 1711 12 18205 7695 3 19822 7240 4 12456 1363 2 19781 367 1 8692 99 2 12702 4065 1 808 196 1 4332 524 6 15458 4352 1 13609 6946 1 5884 1718 2 17955 6204 2 105 4743 1 2151 2182 19 15811 303 11 4023 4912 1 10867 7753 1 12594 676 2 3801 1369 2 9674 4343 1 16857 73 1 4786 203 5 7 221 1 19532 1518 1 19193 2552 2 10664 3019 1 14232 7642 5 18198 219 17 14414 6361 2 13210 220 1 1584 1819 1 8458 496 6 2103 7734 14 11827 335 1 14019 753 2 3177 3721 10 4753 5257 9 11045 1611 2 12766 658 1 14305 742 2 4784 1721 2 13578 6358 30 8285 8200 3 5688 1464 1 107 4819 3 11989 6252 2 16425 6677 1 615 1642 1 7091 1631 1 7165 2010 1 3287 316 1 10498 3992 1 5653 1965 1 17058 666 1 6665 7522 9 15599 491 1 18876 4029 9 18786 4135 2 4503 2671 1 18623 692 1 9093 1747 1 3788 1357 1 14954 6519 1 373 903 1 17673 4244 1 48 2416 1 18088 4810 1 6102 4998 8 16578 631 1 13187 1288 1 8361 4435 5 3116 5758 2 66 3209 1 8591 2555 1 6776 233 7 3833 1363 6 19823 6278 2 2709 334 1 16541 1663 2 1453 7097 1 5210 2268 1 18968 2399 1 10454 7596 5 5207 356 1 1601 3899 1 17066 5253 1 19364 5994 1 6989 202 1 1665 6560 1 19517 4369 1 1030 1007 15 3146 5618 1 5821 737 1 17331 1703 2 9660 6283 1 14043 325 1 2704 470 1 12350 221 1 314 3630 2 7829 4245 3 6438 4011 3 14114 4304 2 7849 2240 10 19022 880 5 9279 1756 1 19552 1395 1 3031 23 3 5895 4460 2 697 4807 3 12142 2876 1 2498 219 5 19147 4780 1 18979 1721 1 11661 3523 5 13274 474 1 8012 8141 1 13285 1251 2 9104 1356 1 19056 470 1 3238 258 1 10738 2248 2 8286 382 1 18232 3653 11 8982 214 4 9604 38 1 20085 3669 1 10065 545 3 9129 6166 1 2962 666 1 11938 306 1 15009 6083 10 15821 4460 1 12159 6682 1 3951 1987 1 17695 2981 1 7146 1755 1 16970 7520 2 13156 3135 1 14276 1124 1 14685 1734 3 14684 963 1 15791 4567 5 7836 4085 5 2229 1146 1 109 4943 1 2081 7322 1 9188 4463 2 14247 2351 3 11885 4653 1 7277 533 1 8553 1825 1 13619 156 8 2526 5335 15 17332 1453 1 601 1717 5 3057 6031 1 9935 4609 1 11925 2363 6 9014 5207 1 16814 1707 1 19952 8141 5 6929 3512 8 18175 2810 1 13131 658 1 20181 3774 1 9969 496 6 11072 1764 2 9281 74 2 124 5521 2 11581 7136 1 2962 7953 1 19588 214 1 9973 2495 3 10677 2528 1 12580 197 1 19197 7338 2 11392 7382 1 188 518 1 16758 1729 5 12817 1019 2 4888 1996 3 3822 1703 1 17112 411 1 19252 2569 13 10103 1380 2 9924 1482 2 17010 545 3 16529 7138 2 17291 6204 13 16833 2831 5 4314 2360 2 13891 1072 16 6840 891 1 9836 4005 1 12812 6602 2 3064 49 1 10055 6481 10 109 4974 1 171 7746 3 6697 3170 4 11444 431 4 4166 1757 1 12337 3146 1 16192 1772 1 18184 7593 3 6070 2141 2 14826 6481 1 2096 679 1 10929 5022 3 13970 318 3 14915 477 1 8585 6164 1 7179 722 1 18725 3398 1 16531 7205 1 9847 5487 1 8344 7411 2 14615 2343 3 14642 1780 2 6974 1825 2 17946 6061 1 11594 696 1 4018 1969 1 4335 561 1 11669 2980 1 10902 7008 3 3057 2966 2 6757 3285 1 19664 1278 2 3536 8214 4 1509 4312 2 22 1416 17 14877 6912 5 6403 366 1 9898 1768 1 6752 941 1 2690 2708 1 19530 5618 1 2318 4727 1 9281 5318 2 17477 1239 1 2880 1190 1 15979 6268 1 16249 252 1 13879 7197 1 11124 173 3 1445 4306 3 8771 2192 3 17118 489 1 3246 6522 1 1698 6166 3 14 979 1 11820 1237 2 4593 581 2 13349 4555 10 8639 6205 1 4705 5278 1 12663 1402 2 13648 6170 1 10372 4992 4 9077 2699 2 8425 2675 10 8330 1768 1 12995 463 1 8532 381 1 10865 3511 5 20052 1761 5 10245 7542 12 9390 5550 1 12457 723 2 18508 4607 1 20122 3572 2 13087 2353 7 1002 252 1 9567 2724 1 5860 1238 1 16534 6793 1 3884 231 1 2599 2817 1 10698 23 8 16847 4941 13 8903 1756 2 1002 1710 1 14006 1423 1 13626 1906 3 19891 3570 1 8391 877 1 3847 4623 17 17285 236 1 19853 219 1 13416 229 1 7356 3351 4 14780 200 7 8088 2675 1 7178 505 1 8773 1718 20 4105 2571 1 17 1206 1 8448 3842 3 9875 1747 6 15214 627 1 1625 41 2 16346 6527 4 2590 5341 5 7976 2521 2 7179 568 1 929 2737 1 11090 2068 1 4825 4623 1 9362 7518 1 12765 8062 8 822 6414 1 20186 7534 2 20256 7674 2 13420 308 1 8332 8183 9 8513 5445 1 19354 4408 1 5444 186 18 6966 200 10 7184 244 2 2902 1770 1 8719 1172 1 270 1357 1 3307 200 2 4538 244 7 11447 4792 28 4964 5758 1 10245 5336 5 14994 518 1 14562 200 4 19022 500 22 17871 420 3 16570 449 1 10692 874 10 4279 7456 5 11866 84 1 11983 5294 1 6769 201 3 14567 1962 1 17633 713 2 11436 533 1 3793 190 4 13710 2673 1 3100 3512 6 15294 2043 1 20032 243 1 15111 4939 6 19971 2841 1 19254 6197 1 8481 222 1 2772 933 2 1812 718 1 18183 1727 1 4021 805 1 12805 203 3 6440 4366 1 11598 442 1 1732 304 1 10818 2633 1 7590 5043 2 822 1230 3 14685 1748 3 3815 2786 1 1664 1938 1 1560 2448 1 4092 2993 2 218 4389 1 7111 222 2 1900 1748 2 6463 4296 1 8875 1372 1 18338 6091 2 16725 5559 3 1311 7946 1 1068 645 1 18939 3876 1 10313 370 1 19160 6152 1 12424 4056 28 19401 173 1 4757 470 4 10000 428 2 1009 46 3 14786 541 2 373 2732 1 2678 8029 1 13058 3587 2 9084 5771 4 8135 3578 1 1352 5408 2 3329 505 4 2910 1999 1 16274 545 2 15339 220 2 12628 507 1 9173 6481 3 16082 534 3 18485 5584 2 13607 1046 3 3439 867 1 11998 6510 3 7672 6705 31 10307 223 5 12050 7250 5 3012 570 2 15669 870 2 18465 534 1 433 4986 1 3031 1244 1 10133 1184 1 14986 5325 4 18878 203 1 19872 616 2 6046 1772 1 1188 5245 1 5695 2316 7 10137 1819 4 19283 1714 1 18739 1172 1 4561 8099 2 13640 4403 1 3397 696 2 122 5347 7 7823 2742 95 8841 5737 2 9708 6254 2 3484 2404 14 6716 5397 1 6172 7020 8 13806 571 1 17710 1781 3 17991 380 1 8392 221 4 8629 7013 2 11246 5538 2 18290 495 1 1677 2109 2 4309 1698 1 15429 7250 1 8278 6442 1 13046 1747 1 13125 4431 2 15970 3778 1 17809 1747 4 15429 995 1 2462 6365 4 14139 3117 13 6501 3556 1 8412 5294 1 4804 3631 1 1385 4867 1 13406 823 1 14504 207 6 18574 1502 1 15486 1710 2 1740 1374 1 12473 5734 9 2198 445 1 13905 4435 1 18609 525 3 9224 5674 2 3201 7411 1 7868 512 27 13295 1768 1 9074 173 1 11968 3643 1 6517 2935 4 1198 495 8 1530 2341 1 3977 5567 1 7977 2138 1 4963 1720 2 4985 4319 1 413 4448 1 658 8195 3 5860 6198 1 7354 167 1 10165 3387 1 8159 953 1 15055 235 3 16924 3853 1 19781 3798 1 14592 1751 10 19872 4467 2 16048 4355 6 4023 6485 1 340 1366 1 4913 8063 2 12919 6522 1 19413 413 1 14626 2454 1 10565 7008 2 11797 4613 5 12618 5327 1 3210 3015 1 11683 5521 1 12004 1241 1 17 1182 2 10813 2552 7 9739 887 1 13193 514 5 1838 1748 14 4234 2881 7 13273 6185 1 4080 1740 1 163 7424 3 3357 2320 1 1465 5829 1 14578 1272 2 7605 2058 1 7943 5315 1 585 1776 1 2304 510 1 5497 95 1 12526 1736 5 14361 2262 4 19020 6155 7 5640 173 1 13047 23 3 159 3515 1 10470 1903 9 10205 4944 1 3318 2036 2 14755 6596 2 6942 1781 2 4908 495 1 2937 3511 3 19724 883 1 6146 6091 2 279 1761 2 11284 2649 1 3940 2686 1 14358 1950 3 1530 233 1 19486 1302 8 16574 5420 1 13225 5434 1 9894 1184 2 18036 883 3 18102 3304 10 17899 7710 1 13430 7216 1 8373 7897 1 10960 1785 1 18534 5385 1 5756 6170 2 5253 4902 4 8690 4622 1 18377 4905 1 3773 207 49 2917 7878 1 4905 274 1 12783 957 1 1050 1648 1 17336 1888 3 18689 234 3 385 5559 4 10223 7604 1 17503 7965 1 19502 2636 2 9743 295 1 2072 5737 4 8439 1275 2 6032 2068 3 19534 3882 1 17872 1743 3 19319 3888 1 6673 220 1 19115 200 2 3889 1244 5 5556 4623 5 5431 5474 2 10105 1760 1 19312 3911 1 5100 3163 1 14332 2395 2 3812 6342 2 16635 2533 2 17709 215 6 8237 724 1 14769 5712 1 11919 6034 1 9589 380 1 18214 4274 1 20114 1662 1 19073 867 1 6051 3483 19 223 3255 1 16955 1251 11 873 4357 1 850 3684 13 4858 508 1 17738 2663 5 17143 200 1 19085 867 1 9894 3602 1 15727 295 1 124 2758 2 3447 225 2 5668 7535 1 7538 6993 1 4680 5530 1 17587 6207 1 7937 219 22 8159 632 1 2529 822 1 5775 2675 10 6473 1728 3 9699 4528 1 18633 1484 1 10324 1706 7 15093 4986 2 7461 716 4 4320 4022 1 4207 3276 4 14296 7542 5 14001 2353 2 7080 4012 1 19791 2671 20 16996 3231 2 10245 5737 1 1237 1721 7 4524 7351 3 14384 510 1 18984 1638 1 10283 8170 2 14310 1713 5 8405 6776 1 5479 7517 1 19455 221 1 1749 1762 11 19194 1728 3 10290 1235 2 19822 2488 1 13362 1244 1 100 4475 1 18866 530 14 15385 910 2 7966 7611 1 5888 1277 1 867 2563 1 8928 415 1 18071 706 1 14262 4403 1 16814 4245 1 7923 84 1 5148 518 2 19700 207 1 9453 5352 1 14032 6490 4 10772 1244 1 7948 883 7 8629 3393 6 13466 2262 1 18401 6192 2 4253 834 2 2112 7322 1 9437 197 1 12412 718 1 8422 4029 2 13207 201 2 7653 4177 1 7536 1247 2 17749 1732 1 13550 502 1 2284 2955 1 17589 4131 1 10772 2503 1 7962 222 1 9269 629 1 16501 749 1 8198 1312 1 4498 3132 3 7751 6003 1 16176 167 2 5185 3278 1 14836 2662 1 17384 232 7 14161 1789 1 14184 372 1 9670 1241 1 7994 944 1 7287 2508 3 9050 2760 2 16185 4513 1 2850 837 1 13719 3027 1 19774 4384 1 18401 6018 3 8811 4314 5 11305 4245 1 835 1745 4 11694 559 1 17548 835 1 2238 1772 5 16045 773 1 10498 2132 1 15180 1025 1 13131 650 1 14527 283 1 11450 4606 1 20057 6557 12 8984 214 1 14408 3626 1 5739 2675 2 4106 5538 2 15397 3671 21 15926 203 25 880 7222 1 3005 1561 1 7120 5543 5 2336 3060 1 9626 3595 1 9604 221 12 1542 74 12 14583 3448 1 18803 5607 1 7703 6482 1 1132 3304 7 3242 188 1 11922 1701 1 8742 1748 2 9954 3435 10 17646 3227 2 18446 3408 2 6420 2635 1 17284 2228 1 7577 7538 2 1465 4254 1 16857 2569 1 3891 1396 2 5538 1184 2 5132 497 3 11786 1441 5 460 1752 1 6835 1248 1 4449 2494 1 12821 1660 1 4898 7237 3 15943 339 1 12757 7086 5 11903 1539 2 11948 1768 1 12077 3511 1 17662 1246 6 13227 1019 2 6514 201 2 10394 7976 7 667 1104 1 6417 1363 1 18206 3138 1 9922 1248 1 9146 5810 1 5606 3511 2 2761 4695 1 17260 1243 1 19898 3734 1 15174 5148 2 4767 1244 1 5005 1728 1 1969 5082 1 1527 7706 1 15092 7217 1 14712 2521 1 2291 2498 1 17284 6129 1 140 821 2 14491 5347 1 12007 6513 3 13015 1768 9 7838 694 1 11554 8183 17 8572 2173 2 2890 207 7 6809 201 7 6397 4266 3 17506 4317 1 5676 6091 2 48 2461 2 14123 526 1 2334 2787 1 6073 3554 1 4991 8141 22 19930 7300 1 19688 4099 1 279 4929 1 6090 2016 1 301 3922 1 15169 7466 1 9167 6539 1 17354 6091 2 4898 1747 7 6016 767 1 4688 790 2 18546 5352 12 6236 6670 1 19176 943 1 11422 839 1 19588 2639 1 5279 207 1 6748 4653 2 3963 672 1 7628 1748 1 18386 3898 1 5276 5037 3 8288 4796 1 1265 398 1 2345 1737 2 3667 215 2 18183 501 1 3800 7420 5 4055 4516 2 18698 232 2 12419 207 2 5463 1796 2 6081 518 1 3817 252 1 14933 4399 1 12913 669 1 15812 6754 3 126 5654 1 6606 1954 1 4183 4587 1 11846 23 7 14616 1250 1 126 5585 3 4178 1453 1 10693 3161 1 3841 825 1 15217 2581 1 6178 6719 6 7431 5759 1 17382 3872 2 17910 1751 1 15639 341 2 10681 4460 4 18320 825 4 17180 2849 1 6778 206 14 592 7674 1 321 5018 1 14643 1571 1 5494 291 1 15314 1745 1 3536 2345 2 4688 270 2 2367 1757 2 10015 2352 2 4092 4391 24 6801 2495 4 18026 1244 2 3397 943 2 13734 617 4 6276 844 1 15394 1755 14 16916 631 1 8419 6025 4 14606 1322 1 1439 5950 2 16236 2353 3 776 5227 1 4382 1342 1 12963 3256 1 143 6511 1 16644 2138 1 19264 3414 1 6144 550 1 152 6837 1 4828 7403 4 4249 514 2 12826 3753 2 12826 2852 3 11889 7734 2 13 558 2 5976 7155 2 6802 6702 10 12188 6210 1 1143 229 5 259 7823 1 5121 2921 1 1732 5809 1 10137 2836 1 1949 207 2 6007 1981 1 4057 5267 1 5076 4295 1 12322 8183 1 578 517 4 8554 665 1 4495 5768 2 4655 4363 6 151 2268 3 18175 3059 1 3190 6334 4 8606 3167 3 2208 4039 1 2004 5285 1 18000 3692 15 17416 5287 2 1795 3181 2 9947 676 1 12516 1987 3 19115 215 12 19053 548 3 9437 6341 8 17483 5758 1 6238 6744 3 4268 2114 5 17833 4159 1 15629 763 3 11947 3923 1 2507 2056 1 13335 5575 3 6595 541 1 19418 7433 10 2917 3312 1 14416 6242 1 4867 222 1 10771 4107 1 19990 1781 1 4054 2671 6 153 7100 1 7991 1625 1 7327 3742 1 4068 200 5 7498 8015 1 15318 1164 2 11976 1728 2 9464 1374 7 6506 6207 1 5990 3961 3 14593 6231 2 1065 4528 1 18546 4380 1 171 7609 1 19048 1728 3 2529 3417 14 16464 6204 5 1837 470 3 1929 1727 22 18313 206 13 16089 1757 2 4385 3534 1 379 776 1 16862 2193 1 6332 1731 1 17088 3511 2 683 1482 19 7408 1293 2 12459 7949 1 11860 173 1 14898 1018 1 2273 6231 3 14773 3230 10 19193 1717 3 12990 505 1 9983 325 12 10114 5499 1 18876 839 1 1495 1703 1 12636 4543 1 17762 6768 2 10908 525 1 74 3471 5 6152 803 2 11997 6829 1 15818 3147 1 8980 6534 10 19502 2632 2 17645 3600 1 9261 219 1 7317 945 1 11744 8181 2 10650 3367 1 9616 7831 2 171 7742 1 1620 3474 3 531 495 1 12177 23 4 4190 789 8 2272 5649 2 2226 1818 2 1627 3225 4 12453 2737 3 9572 4223 1 4330 1363 1 9564 2413 1 160 1685 1 8422 2175 17 2694 1781 1 17403 2000 1 4778 1307 1 48 2376 2 5987 5758 5 19776 1344 1 4460 7018 1 3933 860 1 4095 2364 1 12367 6157 1 10365 6268 1 18398 510 1 756 6697 5 6857 1314 2 6003 519 6 17657 7710 1 15960 5054 1 18631 1748 1 8872 7606 7 3370 2652 1 13746 1748 2 8439 2534 1 16535 1679 1 10847 244 1 12640 2875 1 15936 1784 3 9730 410 1 13961 232 1 14836 1296 1 13023 4814 1 3326 4040 1 13035 5962 2 4804 2671 1 6506 194 1 4958 3979 1 12988 2877 1 18396 1893 4 19774 2519 1 4859 1730 3 45 2344 2 2062 7787 7 812 7809 1 10128 1235 12 17664 2683 1 11582 2352 2 12183 1191 2 11292 773 5 7958 8113 1 13032 1760 4 8946 329 2 6502 3854 2 5003 589 60 6867 1700 20 3924 385 3 3659 4794 1 11112 3602 2 7823 7427 2 2189 5715 5 2623 7848 1 2823 1635 1 15318 2352 3 11050 2569 12 2585 1184 1 9410 184 1 5524 1373 1 19649 23 3 12159 6521 1 4182 505 5 18495 5999 8 13517 223 1 14466 7255 2 16151 6505 1 7914 8082 1 19102 6639 1 10245 4710 17 4465 910 4 148 6435 1 3072 249 1 8744 910 1 487 2109 1 416 3234 4 115 5214 1 14250 6723 2 812 8027 5 4262 1819 1 12817 407 1 15130 1237 3 635 1275 1 8044 1243 1 4327 221 1 11192 2372 1 326 2120 1 13044 5016 10 15057 1728 1 10197 1041 1 17435 5443 1 6908 3585 1 617 1247 3 15752 560 1 6268 4281 1 10954 191 4 9690 1649 3 16403 3618 1 15667 6289 4 10245 3227 2 14767 2266 3 8653 613 1 15899 237 4 1760 2968 5 11938 3621 1 15085 512 1 1705 555 2 18886 681 1 7542 6334 9 12267 2352 1 14671 5022 1 15791 2858 1 8716 5903 8 13801 4436 1 13867 973 2 6723 3466 3 2834 4225 2 15800 1399 1 15866 498 1 19486 550 2 15781 4377 1 15117 4656 2 18264 1883 1 11686 1302 1 11458 4059 1 17248 2385 1 13829 1698 3 12972 2620 1 15095 4441 1 14612 3155 1 6781 2662 8 1341 6361 1 3397 3692 1 16274 1781 2 8799 3338 4 5676 2953 2 16726 1814 2 10698 7670 1 1191 3074 4 9755 7850 1 3427 6408 1 20076 3696 5 15529 3220 1 15727 1761 1 2985 2774 5 13305 1338 3 19814 525 1 2045 512 6 1345 6641 5 12983 2727 13 7430 4234 2 9945 38 4 468 2415 1 10313 2964 1 3168 3518 1 16240 4944 1 12941 4266 1 19053 260 1 7415 1489 1 18508 1310 1 9589 2206 4 10155 207 1 10717 7806 3 3924 3403 1 897 203 105 527 865 1 16962 2968 2 1332 3391 2 11297 2662 1 9197 7005 3 4211 878 2 388 3535 1 7518 4992 2 7804 5997 14 17757 5260 1 5467 525 1 496 409 1 5890 57 3 13632 5247 1 19938 3275 1 7203 2097 1 18665 5018 1 10610 234 2 10582 893 1 8831 682 4 9084 5148 5 12378 4677 1 19014 2363 2 1420 524 1 11873 532 3 14412 2653 1 16114 215 5 8965 1783 3 6718 219 5 16348 2555 3 8735 1191 2 7856 588 1 11872 3387 3 35 1768 1 2257 1576 22 10165 872 1 19870 7474 12 1552 1764 4 15465 188 1 19633 6633 1 1922 7980 1 3857 5019 1 4250 4453 1 13611 3911 12 1191 222 5 1171 2353 1 17250 6414 1 12511 1703 2 11820 3540 1 1002 1740 1 6463 2489 1 9438 1768 2 3516 6482 4 11926 394 1 4644 187 1 1519 7847 1 263 1728 2 8097 6632 4 15182 5852 1 5983 1908 2 706 2955 1 14063 623 1 14770 863 1 14731 6174 1 15271 207 6 2834 825 7 8103 6200 7 16971 2254 1 19494 2056 1 10337 7353 6 17763 4992 1 14554 1537 1 8528 206 3 18762 232 1 6458 514 2 12833 4516 2 3258 232 1 13009 2948 4 19848 411 1 13731 4623 23 9884 1464 3 15117 4138 1 1942 2980 1 8890 3855 1 9035 1867 26 10198 232 1 3854 1814 1 13169 325 1 2803 1044 2 818 765 2 9533 1251 3 7329 4201 1 1101 2111 1 1986 2633 3 9554 7243 3 10316 1286 1 12064 2636 11 9886 6288 1 17303 597 2 12994 2951 1 4784 1745 7 6228 1234 1 8740 4695 10 16249 1248 1 5836 5480 2 15648 1715 1 4968 3494 1 1711 2608 1 6145 5907 4 12455 3378 2 13361 7890 1 78 200 3 7336 2356 8 2571 7030 1 7473 5495 1 19941 3732 1 13225 8167 1 16562 745 11 4449 6538 1 1246 1249 7 19881 3672 1 14133 2678 7 12170 4559 1 2686 2529 4 12879 3233 1 5983 2673 2 18226 4367 1 7168 1727 1 6926 2743 1 16496 1244 1 4224 1718 2 3697 203 2 16655 507 3 8192 8189 1 4524 3511 1 10245 1208 1 19590 1995 1 11014 3671 1 6918 1827 6 9215 4206 2 12669 3558 3 20191 778 1 9154 6738 1 9250 606 1 8430 7188 9 17901 422 1 12400 94 1 1741 4720 1 14305 609 3 13320 15 1 1323 207 2 14896 7771 1 13601 1695 1 1996 222 6 12441 1713 11 3395 1531 1 13532 214 1 15530 2522 1 808 3287 5 17960 1955 2 3600 23 1 18508 1302 1 10305 1926 3 15111 7440 1 1464 3604 2 10204 7597 1 1730 6783 1 2551 220 1 11755 3888 1 19316 5677 1 3309 7413 2 1625 5413 1 4303 5579 1 13640 532 9 6527 3491 1 11388 2357 2 17416 2953 1 17960 156 1 14029 5010 4 11449 203 1 18623 934 1 14998 452 1 2056 517 10 12762 1474 7 4329 506 24 13572 230 2 9572 5176 1 222 2991 1 15184 1707 9 19030 2327 1 3432 936 1 19030 40 1 7984 500 1 17796 1404 3 18059 1437 1 16791 7753 51 4701 246 2 8872 214 2 14294 5018 3 219 825 2 1218 2699 1 11027 1903 2 16087 7410 1 14310 7530 2 12077 514 12 15336 2508 1 470 580 7 1489 952 1 1812 504 1 8395 2292 1 19782 6081 1 2743 514 1 1387 349 3 5375 534 1 14532 3615 3 10725 6471 1 3549 1729 2 1109 2678 2 140 6434 5 8588 4938 2 15822 1762 2 12970 2990 8 18262 1482 2 9395 2443 39 9308 23 2 13201 867 1 9383 5350 3 14598 3733 1 20043 1246 1 4900 4987 1 14888 4286 1 19249 365 1 16803 1656 1 4086 202 1 6708 1357 1 9743 7965 2 5774 954 1 3044 796 4 19428 4954 1 15940 930 1 10128 4964 3 11899 1334 3 19105 2247 5 15629 954 2 10017 2577 1 16396 6048 5 18883 4588 1 15328 214 1 11668 1827 3 14758 3782 1 7531 497 20 4880 6674 1 11502 874 2 18299 196 1 18900 132 1 10193 3634 2 1999 1244 9 8367 194 3 4054 7237 1 18214 325 1 11805 7470 2 18609 1247 4 3379 1867 1 5708 5058 1 34 1835 2 15234 2361 1 15943 1290 1 62 3012 1 4898 1724 1 15940 607 1 19080 7861 1 8890 3911 1 3186 219 2 5464 8031 1 6359 554 1 5023 7642 1 5831 200 3 14028 229 1 9235 2646 3 4724 2542 1 11786 1610 2 12887 1251 2 7390 6482 1 10655 2379 2 11315 1266 1 4779 1363 3 881 620 1 18938 4391 2 14727 7342 1 593 1237 1 812 4588 13 11678 3945 2 7914 1441 1 14790 4922 2 2691 861 3 16847 6334 1 11762 1736 1 1296 4396 1 19985 3239 1 18068 1532 2 39 2034 1 9644 910 1 9546 5329 6 18183 2363 1 17547 7563 1 19601 3258 1 16459 1146 23 14270 3191 1 6726 5794 28 393 2508 1 370 7271 1 8423 1706 1 4583 6777 2 18452 4339 1 11561 3072 1 9865 207 1 13031 221 7 6688 891 1 1711 4513 1 9886 3081 2 16918 8178 19 17135 215 8 4870 229 2 2140 219 3 10509 6414 3 7652 186 3 11311 1768 1 7001 1748 1 9208 225 2 5386 1153 1 18111 1738 1 18115 258 1 17403 1063 1 16887 2506 10 13677 173 1 330 1303 1 16887 3971 2 5745 5826 1 1896 3227 1 11108 46 1 14412 100 2 2067 883 1 1927 222 1 13042 8235 1 19160 1423 1 4611 7958 1 8930 1664 1 15434 2910 5 18064 2701 1 4276 214 1 4034 5408 1 6077 4963 1 4812 7986 1 14198 148 1 13722 336 1 14948 952 1 17220 622 1 3855 3074 2 14301 6640 1 3705 7621 4 8000 5999 5 4454 5922 1 10115 3474 1 9461 164 3 9638 206 4 14197 1707 4 9383 1903 3 12539 1770 1 13711 2686 2 19648 6627 2 9533 1731 1 3275 4435 3 18096 4253 1 17159 1829 8 6197 6268 2 14474 7719 1 7516 1705 6 17787 1985 1 873 4985 28 11763 926 1 16090 4258 1 71 3316 1 440 4698 1 10374 2742 1 1866 232 4 20278 8022 1 3189 2173 2 16548 942 1 5357 5712 4 6667 7471 4 1558 1903 1 4527 207 19 11236 5022 2 19838 2795 1 12174 1251 1 1211 1417 1 9281 3170 1 2586 38 5 5317 2803 1 5745 5903 1 13185 1819 6 18296 4576 1 1979 1407 2 17743 3626 1 3947 7850 1 17111 1007 5 3619 6673 1 13583 4615 2 10245 2912 1 6245 1761 3 7816 5783 1 7230 3747 8 5579 4572 2 11566 6157 1 389 197 2 4005 520 2 1017 4444 1 7916 520 1 20180 1825 1 583 7470 1 7047 1259 1 7986 1374 5 3397 2632 1 3358 4195 5 17257 3490 1 1200 1250 8 7544 5121 1 12660 642 1 14664 8192 24 7017 4551 1 10810 3896 7 19977 5018 2 9051 6009 2 17858 6207 4 8022 2356 3 16675 4061 2 20 1311 1 2082 6618 1 8917 4172 1 2345 2968 1 8977 1955 1 10071 7244 5 9603 1328 1 15379 597 17 4898 1507 1 13738 2678 7 7928 215 1 18357 220 2 12399 876 1 12686 1324 2 11738 3686 2 8991 6084 1 17850 1721 1 19331 2363 1 9437 1731 1 13579 2917 5 5801 903 1 16961 4884 1 14759 206 1 18897 124 1 3528 6688 1 19268 910 2 15184 4156 17 3159 1737 1 9445 197 1 1998 3970 5 7017 4295 4 10369 4274 1 12918 705 2 494 1321 1 1182 4538 2 384 1736 1 14975 3911 1 15926 378 4 11613 618 1 7147 4204 2 11736 5945 5 18637 4120 1 14556 4996 3 7273 4582 1 11352 8176 1 13799 215 1 1689 5349 1 1618 215 8 2185 219 1 65 3172 1 8946 838 1 7322 7473 1 15572 5420 15 13630 1784 2 1147 506 1 13187 670 1 18508 4248 2 17416 5516 1 15991 2149 1 121 5292 1 3274 84 1 7705 202 2 17736 770 1 9095 4436 1 13865 1450 1 6960 2290 1 9 244 3 11786 4853 1 10245 2732 1 13 550 1 18857 3164 1 1962 3717 2 4594 1403 1 15364 762 2 16594 1717 6 13638 2011 1 12424 1401 11 9865 470 33 17 1166 1 4947 6128 1 1411 4325 1 15681 562 2 13 874 15 9296 2317 1 7817 1307 2 9795 4060 1 13601 4467 2 9559 5490 1 4023 3622 5 5663 1280 10 19259 447 1 10316 6263 5 14153 6238 1 17473 3581 2 18083 4246 1 11533 557 1 1518 5325 1 4471 5379 1 8546 891 1 18116 1747 7 14906 2671 1 10940 911 2 3697 1757 1 12029 5171 5 13636 4012 1 3671 2181 1 11449 8171 1 7879 201 1 124 5395 1 20202 514 1 15604 215 1 12806 4648 1 174 8110 3 100 825 1 13617 2712 1 3579 6339 1 5278 203 2 16338 3798 2 11958 4065 1 3309 232 1 10130 1125 2 12406 1770 1 42 2202 7 8793 791 1 1801 4302 2 333 6534 1 11192 3087 2 11951 6482 2 7065 2510 1 11932 2354 4 11867 1751 4 1143 397 3 16978 3578 1 2008 2439 1 15136 652 1 1276 6150 2 369 1736 1 17767 467 3 19316 6986 1 8913 252 2 12322 4303 1 15088 982 1 5102 1068 5 11951 4623 1 178 8176 24 4499 2810 1 937 532 4 3723 1768 1 9947 3842 2 4770 4877 1 2154 6294 1 521 4680 2 12684 3516 7 5821 709 1 6683 5013 1 8982 4012 1 403 207 5 19975 2386 1 1711 395 1 6597 3769 2 9025 470 3 4767 1772 2 14385 5020 1 8358 3081 2 1013 7638 1 7586 3159 1 4994 5348 4 16140 367 3 7885 8183 2 354 220 1 2204 634 3 6268 2342 4 16862 2165 1 19597 1518 3 819 506 5 20023 1728 1 9733 1239 11 17809 6098 1 452 385 3 15323 2645 1 19300 1727 1 10051 3431 1 7864 1707 1 15180 4436 1 17003 1338 1 7872 1252 8 2260 5844 1 1185 221 1 10404 4261 4 3663 1781 1 16270 799 1 7929 4623 3 2404 2638 1 17479 2959 1 4386 7667 3 11732 23 2 8237 4614 1 10258 3250 2 3397 712 1 6326 74 1 5738 5269 5 17523 2506 1 9478 6398 1 18942 903 1 2707 1762 5 13839 4511 2 11821 3949 1 17525 3556 1 5798 1695 3 14290 5339 1 7729 5255 1 11875 1772 6 17399 1248 1 4860 6481 1 6451 5952 1 16390 498 1 18260 23 5 13103 1356 1 156 7171 1 8372 4884 1 10000 2821 2 12964 1035 7 7952 1277 1 19334 3895 1 7306 881 2 7467 5281 3 15116 5547 27 15811 207 10 11931 3326 1 119 5246 1 796 2240 5 9784 364 1 3309 3298 1 10340 7466 1 14114 2495 1 8532 3203 1 9264 659 2 3683 221 1 18076 1168 1 1705 3378 2 15356 2256 2 17622 1564 1 7404 203 11 15318 194 1 9173 2708 1 8842 8212 5 7977 3693 2 16714 5952 1 13602 853 1 17889 637 1 15348 196 1 2835 23 5 2962 8072 1 1505 4530 47 18362 46 5 19648 1277 1 6123 3693 1 1013 1342 4 11551 5546 1 18 367 1 8232 942 1 886 5215 1 6778 23 8 8034 1250 2 11613 316 1 20012 6164 1 3544 1091 1 2313 5724 1 14915 728 5 7134 2495 2 8448 3009 5 9187 6865 1 9924 3114 1 4810 2368 1 10703 8228 1 10245 2018 1 14565 2353 1 18407 380 1 18089 201 8 10856 5437 1 17996 74 1 4133 1726 1 4542 7539 1 15068 5783 1 11222 6198 1 19470 534 2 44 2275 1 13739 1092 8 3024 6659 4 6821 5676 4 458 196 11 10759 6332 1 780 507 1 4688 835 2 1704 263 1 17561 237 1 31 1763 7 6591 2698 1 11106 1450 3 12777 779 2 17778 519 1 3189 519 1 12868 470 1 3294 2018 1 11730 223 2 7571 3431 1 91 4069 5 5303 1309 1 11460 6100 1 4488 853 1 1391 1728 1 6488 7643 1 18694 196 1 1191 532 1 11322 8172 4 12627 2488 11 20133 6874 2 886 433 1 18682 7439 1 7985 1827 5 18827 2712 3 16340 1824 2 6230 1825 1 6153 1961 10 2980 7536 1 14972 3256 10 5199 1612 1 18099 550 2 11259 4600 2 19491 1819 10 19857 3715 1 5459 6924 3 15211 1757 2 3468 232 1 14993 46 2 15713 210 5 17 1067 1 11912 1363 1 2710 1738 1 7147 1184 2 8853 1184 1 380 1245 17 16397 4245 1 12633 203 1 14040 5262 1 13402 283 1 3826 148 1 6332 656 3 13 664 2 14612 514 2 6263 214 3 19826 1239 1 12190 1368 1 20170 397 1 20181 1641 2 7765 1916 1 3599 6721 1 14275 3512 1 6556 411 1 18703 6552 3 4524 225 2 13743 4370 1 13890 5866 1 3376 1244 1 932 1664 1 3504 545 1 15368 7726 1 11032 6260 1 12064 244 1 17610 2710 6 9178 5016 1 16089 1752 5 9451 23 2 16288 867 1 17771 2495 2 130 5854 3 10279 3097 1 19989 4836 1 16997 2831 2 18457 534 4 2198 1244 2 4583 937 1 4784 1756 2 14722 222 8 11827 7420 2 640 97 1 121 3361 3 2795 347 1 10695 244 8 11277 5558 1 2375 232 1 11271 525 1 10155 200 1 13 947 3 10692 814 1 9319 3065 4 12576 4992 2 12791 883 2 7931 6457 1 10575 839 1 5356 453 2 18548 3333 1 2100 5216 1 5392 3238 2 4236 1713 2 3941 7037 1 4072 800 1 14900 2354 1 3603 23 3 7125 3465 1 9279 1450 1 12777 2864 1 6776 1698 4 11742 2076 15 8316 2511 1 8266 5212 1 3074 3592 1 12171 1245 1 5739 200 1 15429 252 1 12681 1342 1 6070 7413 2 6519 627 13 5179 1705 2 11931 1244 2 79 728 1 10117 2838 1 19326 1334 1 15807 4096 5 8325 6027 6 4115 3635 1 14100 192 1 10302 6751 1 18916 506 11 17847 722 1 105 4726 1 16263 6434 2 13829 1745 4 7892 190 4 17912 5318 1 9269 4615 1 10916 898 1 2605 6677 1 10482 1367 2 20177 5558 1 19455 1721 1 8926 5758 5 11678 6071 1 11427 4006 2 171 7731 1 15130 4623 21 10218 1210 1 3910 776 1 9566 1237 1 6853 1110 1 8982 244 1 1952 3180 1 7509 197 5 14092 2626 1 11794 1035 1 5197 3602 3 17429 4242 21 125 235 2 2173 7601 8 16945 869 1 2093 4262 15 4092 232 4 11497 1745 1 7214 1245 1 3215 4618 1 8614 5457 1 6867 5264 1 10957 7750 1 10029 330 1 19296 1296 1 20180 2552 1 633 1820 4 7568 1752 4 10531 518 1 19433 1705 1 13073 5379 2 6154 225 1 3331 960 1 2939 6495 7 12424 4967 1 23 1421 2 15648 3525 7 4857 303 4 1495 1367 1 3463 3904 2 19727 8054 1 7879 3869 2 6769 8060 1 19225 206 11 8973 1374 1 13642 2392 1 2319 1307 1 9186 6900 1 9108 4996 11 4629 3450 6 10847 653 1 14428 304 1 1597 657 1 18080 682 2 10308 7237 1 11971 197 3 13387 1648 2 13293 1213 1 2943 1703 1 4561 1421 1 11094 6776 5 14778 3206 1 4425 443 1 16754 200 1 5978 676 1 5868 4108 8 11339 43 1 7231 292 1 11321 4198 2 9151 470 1 2319 225 1 13402 357 1 5346 7509 18 10776 4773 1 4170 2056 1 4428 501 1 8660 501 9 9478 7639 1 13665 200 4 17960 6484 1 7149 5474 1 10867 2442 42 15940 3602 2 8730 2367 1 10856 3427 1 17083 3283 1 6091 5170 1 6776 6152 6 11277 6533 1 14212 6083 1 777 2561 2 6294 595 1 20091 910 3 18781 4384 1 31 1778 3 4921 6207 3 17706 4563 1 12537 4723 2 12736 1997 1 8077 5270 3 7991 2021 3 17971 4796 11 8747 533 2 4644 222 7 4768 2319 8 1801 2721 1 13922 1814 1 2487 7511 1 4965 827 1 13069 7413 1 14233 3600 2 16810 581 2 5596 498 4 171 7809 3 8831 550 3 13825 1705 1 15201 5301 1 13084 244 4 17 1111 1 3189 6039 2 3154 201 1 1489 2557 1 1235 6663 4 13522 6093 1 11577 1582 9 4644 1710 2 7480 557 3 4153 1685 1 6348 656 1 16860 3278 2 1839 231 2 5675 1814 2 18568 441 3 11581 6161 1 3314 2255 2 9321 3963 3 2767 2081 6 12821 1283 1 11093 190 1 18740 534 1 1832 82 1 14051 7989 1 6854 207 3 16301 15 1 14753 6482 1 5201 2639 3 7799 7474 10 14905 7217 3 85 3021 5 10199 7433 10 13986 1321 2 6346 2645 1 15054 2513 1 19578 431 1 4218 7352 3 9609 1070 1 1379 438 2 83 2656 1 14532 4314 6 15969 1747 1 11230 2385 1 1143 1369 7 13337 1136 1 11393 881 1 14218 498 3 14194 1974 1 3963 366 1 9199 175 1 9399 4366 1 15726 1731 13 227 4077 6 15313 7767 1 17135 7477 1 6193 3040 1 12736 2881 1 10758 6507 1 94 4285 7 16740 2385 1 19085 219 2 5053 1999 1 2226 787 1 7871 520 7 11251 5834 1 10082 4855 1 3131 214 1 12757 3511 8 14896 13 1 10241 2258 1 62 2922 1 17217 2337 1 4503 6705 1 13126 5252 1 17151 235 1 15394 6793 2 3434 2131 1 11916 1715 3 2914 5005 24 3581 382 2 1884 3556 13 1002 1781 2 13490 948 2 10584 502 5 15208 1727 1 18239 2822 1 17238 1244 2 544 524 1 20076 2150 1 8731 1396 5 10354 330 10 19678 449 1 6712 770 1 15507 1244 1 18171 23 1 5357 2369 1 17081 505 2 19085 215 3 14059 1067 1 40 2079 1 6229 3595 1 9537 4377 1 1841 2351 3 14377 3987 2 15608 3571 1 6332 650 1 4539 508 1 20145 2662 1 13787 1244 1 1308 23 3 13953 1903 1 11858 4435 1 1171 4998 5 12436 6228 2 12273 4242 2 20210 6928 1 2667 2636 2 73 3395 2 5357 3817 9 4110 1695 18 3975 7486 1 8211 206 1 12303 3233 1 1801 1112 1 1147 7777 1 12152 5011 1 9959 1007 2 2834 1439 3 11933 4403 1 17636 220 1 19180 4086 1 5977 982 1 2723 2724 3 4509 4322 2 17382 501 2 18 498 1 19180 6885 1 14686 1277 2 14929 5521 5 4625 7918 1 11915 203 13 2935 2353 5 3505 1752 2 4147 4105 17 4943 498 2 17391 2692 1 7360 1235 1 14011 960 1 3146 2353 1 11891 5018 1 17086 219 30 1439 7797 1 11755 6488 1 10684 1307 2 4108 1395 1 4187 1717 1 10966 3473 1 7082 3757 2 8442 1833 1 17056 539 1 3337 883 5 14945 523 1 3846 452 1 1198 4714 1 10014 219 1 6540 2880 1 9511 890 2 6387 4667 1 11772 3999 11 11844 36 1 9231 6032 1 11652 3331 3 1944 411 1 1642 2580 1 3160 1756 1 386 215 1 16609 84 3 18740 5098 1 10156 132 2 10916 600 1 19282 7533 1 5378 5413 1 8278 1748 3 18551 201 3 9538 7206 19 1174 7403 3 12772 1164 1 15652 23 4 20077 1508 4 55 2647 1 8010 84 4 6630 276 1 2325 1007 2 6909 1286 12 18280 6135 1 4054 3693 3 10233 1431 4 6644 10 1 6969 1707 1 181 8211 1 14519 1269 1 171 7615 2 6372 1249 6 7780 3587 4 11611 4436 1 17395 4902 6 13683 1717 1 14376 8203 1 19624 3920 1 14990 5037 2 6570 4698 1 8644 1727 1 5254 2443 2 17152 1698 5 2962 3556 1 7685 7629 1 10621 3596 1 3468 1987 4 15788 222 1 9921 1819 1 11733 3402 1 18623 4312 1 2973 201 1 3471 545 1 17328 2423 4 13185 5018 5 4812 1819 3 7304 200 33 8476 4245 12 19286 1007 17 11603 336 2 7923 1775 1 14853 2206 3 16876 4391 1 14872 2569 1 19681 8062 1 1583 7367 2 6166 360 1 3551 215 1 5216 8192 2 13705 5495 1 17922 4704 5 7188 23 2 2598 190 1 1262 7209 1 16754 5105 1 2490 625 3 8047 1762 1 17920 533 5 7550 6644 5 873 5281 1 2008 2065 1 11239 2098 3 10670 38 5 13880 4172 1 10125 3999 1 16417 201 1 20085 1818 1 16427 4312 1 15704 3556 1 1698 6129 2 10367 214 1 16484 47 1 19721 3671 1 19387 3058 1 7452 911 1 9154 7191 15 18033 2363 1 19174 215 1 14430 4905 1 8367 1533 1 818 411 1 131 5997 1 3963 1523 1 8658 7530 1 10839 759 1 19632 1768 4 17909 3836 1 174 7912 1 13758 2703 1 11512 7511 1 2334 3494 1 9178 7455 1 6111 1630 28 5261 7404 2 7977 3512 1 11732 220 1 6913 5741 2 19493 891 5 6001 3074 3 5934 1755 2 10841 2439 3 2546 683 2 17302 7466 7 16846 501 1 2229 23 1 3571 3651 2 2744 1268 5 15272 1482 2 7455 3819 1 7610 574 1 10883 780 1 7414 4517 1 14755 552 1 15730 2677 1 5626 883 5 20278 3744 6 2356 5350 1 20191 3220 4 18431 533 1 5977 3525 1 6081 3895 1 9083 525 1 19918 4029 5 12511 4998 17 10905 1772 1 3432 3855 2 2771 4791 1 3236 7534 1 5341 2636 1 1861 3836 8 7452 7013 1 3090 4293 4 17121 7859 1 174 7880 3 4707 1495 1 11392 1936 1 17859 200 6 4172 7229 2 13106 7130 5 9861 2508 1 6152 5259 1 572 1819 1 18608 3472 1 12122 3911 1 7493 880 1 12118 1395 1 14807 46 1 279 196 1 578 524 20 6681 1470 1 6342 510 1 3694 1720 2 14775 206 1 19056 7841 1 9714 2494 1 19780 4306 1 18910 1982 1 7010 3674 2 15376 3911 1 83 2892 1 20166 4344 1 14221 1975 1 11660 2683 1 9329 2508 1 8405 6754 1 899 667 1 14992 2263 5 17379 3819 1 7455 4107 2 7202 2989 2 16931 637 1 10143 6286 3 19660 203 1 153 1267 1 11623 1703 1 18284 7231 1 4740 6716 2 19866 6435 21 11509 7529 1 5100 3104 1 9188 605 1 10043 6603 1 6149 3896 1 15819 1334 1 10695 4189 20 1405 3603 1 12538 1856 18 133 6060 9 13245 295 1 6801 6053 1 1393 962 1 11863 3224 5 12097 1761 2 4201 7461 1 4092 4009 1 1957 903 7 1896 7201 1 7840 151 1 5983 5491 1 14888 206 1 18703 6506 3 12569 221 4 10462 3285 2 18017 761 1 12019 4395 2 3715 1825 1 16912 7154 1 417 2076 1 17867 5791 1 13640 1743 5 2598 7477 1 6369 23 3 15376 196 1 5453 910 16 14387 2742 46 19470 1814 1 17723 1356 1 13970 283 1 12104 453 5 10539 6713 1 932 555 1 15192 839 1 3188 1986 4 12499 1482 3 15169 1687 4 3083 378 11 15718 187 2 14690 23 1 14162 1110 1 11426 7237 1 1486 519 1 16090 6156 1 10856 5389 1 18518 6091 1 12470 7440 3 4980 5077 2 20225 865 1 12900 6914 1 5004 5840 3 5257 393 1 15374 3634 6 2677 7250 1 4658 1761 7 14579 1950 1 5088 1453 1 5312 2369 1 17635 518 2 7872 2355 1 15301 3462 1 3963 230 1 14472 262 2 15978 2362 12 1031 200 5 4283 173 1 19935 688 1 2911 6875 1 14758 2505 1 19034 5517 2 16574 5451 1 9721 5014 5 7879 215 1 19134 7748 1 11019 522 1 11844 7238 12 15098 136 4 18685 1296 8 19270 1573 3 15081 8192 2 1168 2023 1 9952 7427 2 19322 1819 19 10087 177 1 18226 23 1 822 5120 1 4330 6169 1 1045 1250 1 15419 867 5 17290 3222 6 5228 2737 1 16090 7857 1 3833 1747 2 2020 1946 1 14145 3516 4 5831 520 3 7261 1395 1 8237 171 1 17014 82 3 18091 6673 1 2544 3464 1 13262 2001 1 3343 1717 1 9332 3199 2 6332 2993 1 4036 2058 1 13499 1539 1 13557 1334 1 13921 223 2 7780 8142 1 17781 1703 1 13623 2860 1 10080 316 3 6337 3079 1 5301 1703 2 15826 3729 5 11155 6342 17 3384 880 1 3822 232 1 19763 200 5 7268 36 4 16535 2894 2 13487 505 1 6907 1153 1 9410 1757 2 12452 423 2 11026 2980 1 10158 1764 2 14489 7413 2 10564 2675 6 17841 1770 1 12789 420 1 18147 1937 3 16369 2953 1 8620 4013 1 14803 1245 1 14011 228 2 11844 340 1 1606 595 1 2530 7102 1 6650 642 1 17610 4607 3 8379 1464 1 171 7625 2 11591 1244 2 12718 411 1 5829 5277 1 10692 548 1 7756 5552 1 16374 2175 3 4663 835 1 15818 1743 3 18237 1745 4 14140 6164 1 16709 7597 2 12900 2511 1 11874 415 1 16767 4363 1 5104 869 1 11786 1996 1 6856 1946 5 14104 2352 1 16491 867 1 647 3076 14 17296 6473 3 15872 4043 1 1498 365 5 6611 1242 1 13574 532 7 4392 222 1 10684 1726 5 14619 6107 1 10842 3839 5 5424 2889 10 9409 1431 3 50 2506 1 3889 3511 2 7358 5251 1 1212 903 1 2944 3298 1 11658 219 5 6331 4642 1 15409 1728 2 12537 4429 5 18033 3679 11 2269 223 1 6838 3724 6 18113 5256 1 12327 1772 5 17162 4011 1 13429 215 1 11938 4716 6 17954 15 1 19655 578 13 8050 201 4 4054 167 1 8744 3697 1 18917 8194 10 18815 1825 2 16600 839 1 13730 7636 1 7640 7418 1 15194 5164 3 153 7019 10 7797 3876 1 8834 8141 1 15791 1949 4 7086 1453 11 6492 197 2 12680 6538 2 15147 2248 10 7876 2500 5 16397 3423 1 16250 471 2 5825 23 9 9027 6723 1 5386 1184 1 16340 2345 5 1330 1076 1 4227 4792 2 6097 4974 4 14400 235 3 18691 303 2 1367 2363 1 19146 1714 1 11562 7062 1 20145 880 1 17463 1721 1 12641 4325 3 16776 442 1 15573 5685 16 3673 1142 2 13328 683 1 15398 769 1 2575 844 2 13724 4596 1 3881 1277 3 16144 1946 2 16470 203 11 16890 5138 1 17809 1357 1 3332 7466 1 9808 3890 1 5589 525 1 13183 4508 1 11451 445 5 115 5174 2 3975 5551 1 10728 451 1 19494 3036 2 9503 2968 3 9442 186 2 16483 5996 2 6536 1250 2 2607 1395 1 336 4615 3 153 2334 35 6915 6278 1 11616 4591 2 12529 3460 1 20016 1771 3 15629 911 1 5205 452 5 15778 4490 1 6913 2978 1 18637 2678 8 5246 6095 1 2803 2497 3 3189 1250 1 20216 12 1 10746 498 37 4325 3842 1 5827 4246 1 19807 1744 1 15025 6805 1 1065 3595 1 174 7918 1 143 3684 1 10078 6242 1 10933 6533 3 11678 3859 1 13244 728 2 6683 230 5 3235 7915 40 18012 7528 5 5185 2894 1 5312 2493 2 19229 2672 9 10473 1108 1 14238 1755 8 1539 4435 1 6772 6574 2 12918 1342 1 3724 3167 1 11687 1832 1 17405 516 1 8813 644 1 130 5828 2 19026 411 5 10168 1238 1 2661 1054 1 19047 3586 1 17961 3602 1 17058 617 1 11495 5326 1 19267 5286 3 10053 6106 1 7029 1116 1 7382 381 13 7823 6471 2 7006 3612 1 19131 825 1 2919 4262 1 2394 203 6 19428 7529 1 19193 197 1 4963 2549 1 2228 383 1 5075 222 1 7288 8144 1 8438 4870 11 16508 1246 1 10117 5294 1 12894 201 2 3321 233 1 11458 7791 4 9915 4795 1 11259 5254 3 11786 1495 4 11915 3511 2 17897 5362 1 270 1730 1 224 219 14 5616 1582 2 18415 1681 5 11766 5018 1 10133 2760 6 17836 1705 7 16902 4967 2 16768 6868 8 9601 1681 3 3044 7035 2 5831 2305 1 1519 6198 8 15811 221 1 2887 2618 1 13598 84 15 4867 5446 1 7017 4333 3 4851 1761 1 16019 910 2 554 7606 1 16851 3536 1 9555 885 1 1010 2675 2 10111 1074 1 15871 596 1 4898 3558 1 926 1194 1 17779 6682 1 11086 1707 1 5684 1095 1 11066 196 1 7966 1634 1 12712 1955 2 10363 3005 1 8665 5551 1 6183 184 5 12725 1073 2 17877 219 1 7933 1825 1 15329 598 1 14150 3408 1 2500 6161 1 7941 23 1 10999 499 3 6313 5915 1 13755 6591 1 12469 187 1 232 1705 5 12846 1819 15 16416 1734 1 8849 3423 1 2598 5827 1 16304 2279 1 697 1399 2 17935 3570 26 3233 229 1 6513 1724 1 11798 4452 1 6153 1871 9 8373 7928 1 7556 206 2 20180 571 1 2529 588 1 19168 3351 3 16109 810 2 6171 194 1 9122 4262 2 251 1278 1 143 6520 1 17700 7237 2 676 3909 10 13779 4999 2 14418 8121 1 9224 1188 1 53 534 3 15973 2675 5 4165 1109 1 706 1363 1 6144 5804 1 7610 670 1 19289 8183 1 1705 804 2 18260 203 2 126 5664 1 16827 23 1 18705 3333 1 1834 6620 1 8332 3666 1 18973 4563 1 14604 1965 1 14993 1146 1 8793 7840 1 16894 3369 4 127 2877 1 6256 190 2 13531 883 5 14862 3230 4 14913 1361 4 15180 3836 1 5917 3234 1 19173 2990 2 12678 3378 1 15518 162 4 1524 3012 23 5097 1338 2 14549 2742 1 15410 1399 6 5369 3822 2 19217 853 11 19720 7406 2 19263 1274 1 2575 4612 28 11687 501 4 10462 7614 5 19328 8127 2 20278 2955 1 19092 6470 6 4615 541 1 3395 508 1 17227 3518 1 549 2385 1 4055 7120 6 8128 1734 8 5028 6457 1 18040 7021 1 19283 203 1 7184 1727 1 12897 2636 1 1696 997 1 19438 4615 1 18784 5303 1 17056 8178 1 7099 524 1 9093 4403 1 11111 215 1 4545 5410 1 16812 640 3 1669 3516 6 2748 1634 2 5882 705 1 4372 325 2 6774 1025 1 3075 1729 2 2087 1239 1 11109 1714 1 4671 899 1 18206 6710 11 7354 1105 2 2879 2386 5 4612 3230 1 3622 1990 3 19231 498 2 13261 7570 3 15352 3000 18 11344 1245 2 9270 786 2 7515 7124 1 12603 1755 1 5952 7424 2 19289 3230 2 19273 891 4 13425 1251 1 5725 759 1 4538 201 2 16458 200 1 6502 2534 11 3085 1042 1 9581 4022 10 2911 252 4 13195 1747 11 10880 3911 12 19137 5817 5 5025 2363 1 18628 1531 1 13089 4563 1 1520 1287 3 14661 200 2 13521 3685 1 10029 3334 3 9525 3895 8 19225 5018 1 4233 741 1 5756 6252 5 17742 4156 1 10137 3992 1 15676 3337 6 13335 3522 3 3058 531 1 4019 531 2 2448 1298 2 20035 867 1 2726 5428 1 5980 23 11 19351 6027 1 11559 6588 1 8730 837 1 19097 1250 10 6070 7174 2 1389 2089 2 12960 74 1 3581 2369 1 17783 6754 1 12831 2312 2 8538 745 6 14992 864 1 682 1190 1 781 1474 1 10777 5873 1 3219 5031 1 19568 7352 5 4769 2998 2 19556 1450 3 7679 5297 1 15091 3023 2 15370 7734 1 12054 705 6 19605 1747 2 11605 4012 1 824 4436 1 15728 5960 1 6306 219 6 4560 6704 3 11243 5325 2 6607 6725 1 6940 8122 1 14522 5018 2 12496 5461 2 17720 1464 1 16857 2645 1 935 6684 1 7450 1237 1 11612 1294 29 2984 2223 1 17033 204 2 60 2724 1 6314 3871 1 10452 615 2 14939 1277 1 7056 6707 1 9453 7834 1 12633 1748 1 7956 4210 1 15205 1353 1 16063 4022 1 7581 910 2 19740 3634 6 17350 1752 9 19493 7807 5 20221 1236 2 14519 219 1 13755 7229 1 6817 5137 4 3395 1238 2 12755 1251 1 1879 1824 1 1171 23 6 625 3974 1 8198 1366 1 9864 1146 2 6376 2878 4 14549 3081 2 756 3024 1 18806 2861 1 9145 2363 1 17182 545 1 10670 3156 7 11317 214 1 15100 709 2 9978 4280 1 13626 1965 18 11755 960 1 18575 1241 3 3752 5295 1 1733 203 7 5312 6064 1 8532 4312 1 45 2323 6 7425 4611 2 6436 3163 3 12526 6561 3 2734 1631 1 481 3262 1 4121 7570 1 15494 205 1 18955 7586 1 16752 5113 4 6088 1724 1 8531 3453 1 13857 4304 1 1551 1395 3 7774 225 2 8435 766 3 17803 1234 5 10729 1665 10 9733 186 10 19149 1239 7 6922 3421 16 7188 2727 4 11637 684 1 14870 5687 3 8223 2645 4 12414 1342 6 2877 95 12 6238 1945 2 1265 7674 1 8388 1146 2 11484 6963 1 10578 196 1 13144 7401 1 7293 3905 1 2660 3427 2 17470 4821 4 260 4673 1 15850 3293 1 12814 233 1 4263 3244 1 882 4796 2 19877 3685 5 92 4145 3 11615 4299 1 12222 7888 1 10409 149 1 9174 6053 5 3521 7632 3 9374 225 4 16594 2908 1 4756 1825 2 5205 2980 35 12902 3558 10 19862 508 4 454 4288 2 13390 997 1 9275 616 1 2199 222 2 13646 2686 5 16855 519 1 15838 514 1 10231 4476 1 8391 554 6 11764 4174 7 3032 3057 1 1108 499 2 13320 2380 3 17615 7052 12 13587 3710 1 18887 1705 1 6099 3522 4 18706 232 1 2366 1946 1 6269 2712 3 4946 1251 1 1040 1240 1 5825 1241 1 1079 1613 13 19690 1779 2 15507 220 1 8041 198 1 130 5886 1 3649 1772 1 13706 1150 1 18727 196 1 11428 207 4 3606 1369 2 8654 156 6 11597 3973 1 1768 533 5 290 1996 1 5671 159 5 19870 3747 1 1701 6415 5 9878 6159 1 15403 508 1 5421 737 1 11591 574 2 12994 2795 1 16417 2143 8 8872 7202 1 5884 532 1 19026 5262 1 6827 706 2 18821 3869 1 6263 2729 1 6372 3798 1 19725 1772 9 2666 7184 1 10114 8069 1 1973 570 1 9948 4436 1 7712 4240 1 4583 656 1 605 4287 1 19780 3457 2 5428 6745 1 17195 684 2 13016 8141 15 16481 2897 1 14694 1416 3 17850 6215 1 2181 1367 2 8645 7719 7 9204 219 1 108 4877 1 8638 1775 1 108 4886 1 12119 6106 1 19826 5256 1 2154 8183 52 7081 5523 1 19115 2176 10 19428 3902 2 10292 517 5 11839 207 1 12491 7689 1 18276 676 1 13261 8156 2 19784 3511 2 18593 4393 7 15091 1642 1 3796 7477 37 13482 609 1 5271 6066 1 8174 2065 1 7493 863 1 10065 2488 4 17680 6435 3 18177 4264 1 3103 10 2 1565 6251 1 10303 953 1 3637 7880 1 13335 214 1 12305 4059 1 13745 2133 1 5594 1691 4 4519 2056 1 5204 874 1 1912 197 3 20129 1357 1 1964 4909 1 14974 1705 10 6889 6799 8 5453 4635 14 15074 4379 1 727 1638 5 1698 2881 4 15254 7806 1 12050 3021 5 1138 7512 2 1198 6640 4 14990 1990 2 426 1561 1 20248 6533 1 4910 3476 2 19644 883 2 1219 214 1 18975 2665 1 3285 1283 1 17820 4375 9 3847 200 19 62 2889 3 4874 7972 2 2903 1454 5 11135 3813 1 15946 903 2 18096 6533 1 1752 1660 1 6907 4281 1 5312 2580 1 12726 3972 5 133 6088 16 5823 1727 2 2345 550 9 13183 4600 2 97 214 2 114 5125 1 4864 3109 1 17257 4595 1 18921 1380 1 7850 66 2 7942 1121 3 9861 2964 1 20048 165 1 17 1178 1 18631 3911 1 19350 1774 5 15850 5855 1 13134 2668 1 3391 3403 23 17009 1752 2 14578 4595 1 7390 671 1 1631 2056 1 17208 5275 2 10687 2721 1 7595 1402 1 11428 2632 7 873 3701 1 14196 6237 2 8413 74 1 4236 4540 2 16758 223 41 16876 207 7 9864 6776 3 9803 1342 1 4772 7556 3 3324 3069 1 19286 225 2 7194 860 5 822 3842 1 13631 206 1 11666 840 1 6016 518 2 12208 6058 1 6153 1661 1 1273 285 1 16368 6801 2 13461 1748 2 5479 23 1 15831 891 1 9915 670 1 14059 428 1 7691 6620 4 2816 6170 2 11622 5905 2 1079 6666 3 7179 557 1 19872 475 1 2125 5090 1 872 3558 2 2885 3774 18 17365 8031 5 11660 1770 3 15576 7750 1 15600 8031 1 7832 7668 1 11177 470 5 7780 702 1 2575 5266 5 2894 608 1 10322 2253 2 4049 4177 1 5742 4013 2 524 4185 1 15993 1226 1 1669 7250 4 7411 2256 1 31 1734 3 18488 5018 1 16299 7632 1 10930 88 1 14737 215 3 14668 1785 1 3938 23 19 2959 1238 1 8484 3634 7 16103 6091 2 8735 8181 4 11663 5379 1 19568 225 1 6729 6680 1 18237 74 2 17110 6201 3 10279 3184 1 14997 243 2 13629 3427 3 6133 3562 5 2141 336 1 5943 4612 1 1133 3271 1 10382 4029 1 12265 3872 11 12675 6983 1 3695 1814 1 7231 1743 2 11158 4254 5 15098 1464 15 2560 200 5 14778 1250 1 8410 1482 1 4145 206 1 19590 2671 5 760 1208 1 6207 3653 2 12135 3856 1 13813 303 9 7907 498 1 2892 1938 4 18476 502 1 17488 7857 1 16333 4704 1 8710 6606 1 11764 1543 3 7823 1194 6 5248 336 7 4449 194 2 7000 3808 1 5064 574 1 13633 156 1 153 7119 2 20269 197 1 4670 514 1 10636 4103 2 6050 1632 1 8429 1734 18 1537 541 1 4197 1664 1 733 8002 1 4660 1245 2 861 243 1 12389 8194 9 15296 1776 7 16916 1104 1 15943 8170 1 19085 197 1 8090 1710 3 16278 308 1 11880 4555 1 11473 1076 5 12244 3263 1 13908 381 1 7822 7215 1 18445 5290 1 14289 2882 1 17150 1650 1 11882 910 1 7251 196 3 944 447 1 7452 7029 1 19666 1737 5 4887 2269 3 8193 197 1 18927 164 1 982 1256 1 1063 23 1 9715 6532 1 8398 6239 1 48 2443 2 15689 1691 1 2928 1380 1 11645 3511 1 1803 5020 4 3521 5496 1 6835 5186 1 7550 6647 1 18696 1752 2 6322 1548 1 7412 6031 1 11428 3050 1 15943 6288 5 13364 4266 2 5638 520 1 5653 1252 1 126 5589 4 16017 308 1 8587 2372 19 5588 470 3 15634 3679 2 16700 907 2 12797 4789 1 17809 1705 1 7307 863 3 1580 7859 7 300 2068 17 9162 2419 1 974 952 3 4933 6693 2 8166 2575 2 19123 153 1 20060 7820 5 18060 471 1 13909 952 1 5488 2354 1 6160 1537 1 14695 419 1 13119 1244 3 1173 818 1 14744 220 1 31 1718 3 12040 1275 3 4299 1276 1 11026 1719 1 15272 1658 1 4954 4343 1 7688 4939 2 1171 219 20 13373 5437 1 8915 2608 1 12060 4835 6 1757 23 4 14239 5403 2 2885 498 2 15599 5517 2 15227 1779 1 181 4980 1 17066 23 1 17372 4524 1 18797 1819 1 2885 3742 2 6772 1707 1 621 4293 1 4960 1150 1 14204 1635 2 124 5489 1 16916 883 2 2474 502 1 15825 3698 1 19578 3558 1 18135 3233 13 7359 1698 2 1772 3893 3 13076 7803 1 16079 3666 1 14052 2151 1 10926 23 1 6867 606 1 5366 2055 1 18404 7011 2 13488 220 2 787 3283 1 3970 7597 1 14063 902 1 19727 2173 1 8327 6368 2 1172 3216 1 1331 7668 2 4279 1095 1 6039 1695 1 9048 200 8 19578 1704 1 113 5058 2 16825 1955 1 1472 534 2 2582 525 1 16140 2493 1 17886 604 1 3631 530 8 3824 3554 1 20145 1748 1 14530 7191 11 2198 964 1 2985 581 1 17896 8126 2 7203 3329 1 3414 3464 1 12003 5052 2 8879 536 3 10414 1727 7 19137 2488 2 5739 2534 1 8636 2799 1 3189 6545 1 16368 206 2 6889 164 3 6570 3869 3 11306 7580 3 6307 7308 6 14522 1363 5 16956 5292 3 2194 770 1 1133 7164 3 15752 893 1 16700 3557 1 7070 4342 1 859 2662 2 225 5321 3 16625 514 6 12817 1768 1 18229 203 1 13126 5312 1 868 6532 6 10535 3020 1 8840 235 1 4951 6091 4 14778 525 3 3463 1235 1 8097 1507 1 10304 1282 1 4511 2698 2 4286 7997 2 17455 2146 1 320 229 1 9832 6775 1 722 3511 1 9846 4992 1 2712 5408 4 14310 7250 2 19958 3516 1 6420 3697 1 4178 214 1 31 1248 2 8238 3518 1 11430 411 8 8565 225 1 5936 3425 1 13854 1728 4 12510 5281 1 4173 7094 2 6449 512 1 11254 221 5 10885 8083 1 1296 3992 10 6260 629 1 9955 219 1 11354 2657 1 17507 1663 2 2234 258 1 13895 1772 1 19033 6120 24 17724 4403 3 15374 4555 3 15108 6057 1 1962 566 9 18546 4963 6 19428 1146 2 3195 5800 1 12777 1256 1 12123 1994 1 6236 5058 1 12454 5081 9 4025 2362 2 20230 3672 1 8040 4436 2 15471 5119 7 1083 1734 1 18410 1464 5 15431 1182 5 12693 510 4 349 2774 2 1836 2611 2 12702 4226 1 16400 8187 4 19872 2065 2 6183 1686 3 19230 1236 1 9967 3686 5 11 369 2 5977 1717 1 10925 1955 2 19139 6542 1 9403 2675 1 17776 676 1 11728 1974 2 11769 2668 1 4735 684 1 893 1489 6 3703 3298 2 14783 1717 1 8019 1727 1 12325 1314 1 2772 648 1 9941 2599 1 11046 3267 2 388 7980 5 5443 7927 2 770 910 1 20268 5551 1 389 3460 2 14408 1713 1 968 1251 10 4147 3571 1 5665 7821 1 17628 2847 1 17710 7424 2 8751 5187 3 14993 1395 6 16327 1721 2 19476 5996 1 1133 6268 1 16650 461 1 16057 1355 1 143 359 1 11072 196 1 18862 2488 2 11559 5565 1 3822 4613 1 10471 1036 30 1059 225 8 19658 5905 1 40 2064 2 14276 3581 1 18681 766 1 14665 4022 11 3109 7487 1 9468 6278 1 9815 5771 8 10633 229 2 6138 687 1 2405 1150 1 8229 2992 1 14890 641 1 4696 225 1 14756 7853 3 1679 4447 1 5952 2979 2 8757 4355 2 1527 5922 2 20129 23 1 8058 6031 1 16491 7525 3 10016 883 1 8870 1582 2 9609 4670 1 2477 745 8 1895 1769 4 7899 6204 5 14845 1825 1 11853 23 1 7566 1801 5 8084 221 3 6907 2068 1 759 4255 4 10000 6051 1 8635 4059 1 11798 4803 1 10635 200 1 576 1785 1 5895 4459 1 4554 4796 1 13477 1376 3 7193 1707 2 11937 2139 1 5158 652 1 7455 1773 1 124 5449 1 9097 891 17 3671 220 1 19596 891 3 16788 2600 1 2061 2438 5 4970 4086 1 8375 4718 1 9117 1464 1 135 1464 1 8609 2980 5 15315 4015 3 10676 402 1 17257 3430 3 2680 2649 4 3455 5311 2 7823 3219 3 5700 983 2 7862 2114 5 10733 5031 1 8401 6088 1 4407 4599 2 11964 1727 6 3354 3356 1 9913 1819 1 16249 206 6 11852 7105 2 9876 3308 1 12237 1726 4 14010 3749 1 3485 2727 1 2167 1380 1 8585 2557 2 5745 367 1 18890 1244 1 7402 1085 2 840 225 47 348 203 123 1962 5879 1 11950 7222 1 11190 1734 7 18568 905 2 11942 883 3 8291 2013 1 3471 23 1 13923 506 3 18887 223 14 13328 605 1 13033 2254 1 7484 4834 1 16427 5272 3 3230 2517 5 9919 933 1 19727 3578 1 3340 299 2 3954 1744 1 2651 2645 3 17223 1990 16 10206 1760 1 5249 3113 9 20202 498 1 14878 3236 1 2438 498 2 17000 7410 1 7065 1042 3 7769 408 1 6446 383 2 14599 658 1 2204 7520 2 14678 5879 1 17228 214 2 1576 184 2 16463 2079 2 12633 3516 1 17910 541 1 4539 520 19 18637 3916 1 18671 5325 26 17379 6068 1 15073 7349 1 8186 2131 1 5035 203 2 1501 232 1 14517 5506 1 11882 843 1 7043 3939 1 11452 4992 3 18920 207 2 12576 411 2 14554 5670 1 891 7029 1 16270 766 3 16131 220 7 17446 897 5 4250 5584 1 2151 3219 1 6922 5783 20 19326 642 1 143 4476 18 14090 3021 5 6512 5864 1 13731 1360 3 3214 1414 1 375 5121 2 16768 737 1 13238 3326 1 7397 1819 1 5645 1714 1 17220 816 2 19314 1241 1 1551 1757 5 20026 225 4 5427 7380 1 787 2109 1 3268 304 2 406 1643 2 7179 718 4 2917 5497 1 2724 7426 1 18320 1153 4 2939 767 2 16270 578 1 140 4762 5 20243 7829 1 10019 5903 24 13705 7599 3 4798 2532 2 9660 6706 1 9240 4304 3 15518 7271 1 2639 4396 1 12114 1784 1 18283 1564 1 7948 6091 3 5573 4501 1 4843 177 1 10206 1334 1 4599 196 1 17110 5837 3 5588 6588 1 16933 2799 1 3505 2146 5 8222 5326 20 8918 184 1 7119 1772 1 6712 612 1 16689 3213 1 4561 844 8 942 1656 1 7507 13 1 16825 227 2 19223 1399 1 10843 7512 1 8793 7091 1 12312 7610 2 6070 5555 1 13462 1253 4 5676 1250 1 9322 1453 1 11216 883 1 14726 1724 1 13591 1183 2 15488 6793 1 11610 1751 6 14917 2571 3 17575 1629 1 745 879 4 13919 4879 1 593 1738 1 7147 5757 1 6229 6473 2 13613 891 1 19144 206 1 4455 2021 1 15772 219 1 1157 840 1 16827 1244 1 14921 232 11 1726 570 1 12895 7615 1 16574 540 1 17675 1724 1 13601 5767 1 16700 734 1 5561 1311 1 4690 8183 4 13981 590 1 17555 1328 4 9806 470 1 31 1251 3 16548 2030 15 12391 2982 1 17495 6482 1 19337 1424 1 3712 1537 1 19053 962 1 12817 1770 1 20053 7915 6 18027 1814 1 5514 4065 1 1507 3511 1 1634 2492 1 1794 1421 1 2959 1241 1 1009 3389 1 2384 623 1 7637 6152 1 16907 1707 1 20170 4366 1 5192 235 5 11240 6609 13 8714 6680 1 13113 1755 1 10838 1184 2 10999 8034 1 15849 1147 1 6058 3558 11 2748 6628 2 4044 1529 2 16548 4225 1 8690 5480 1 8659 219 3 10720 7050 1 11725 2591 2 7116 2678 2 6987 4014 2 9083 532 2 13339 292 1 13729 2691 3 45 2330 8 17456 1995 1 4023 420 5 11634 6669 1 17135 4992 1 7109 742 1 19124 253 5 9836 1235 1 16057 527 1 17163 1356 2 3908 201 4 10676 471 1 15782 7424 1 4917 995 15 2935 2788 5 349 46 1 5124 219 1 17353 1755 3 11336 5447 3 3044 913 3 9104 1758 3 14255 2678 4 4880 8081 1 14517 6761 1 6263 220 3 15307 618 1 4316 23 1 10374 6032 1 9403 23 1 8832 365 1 18140 502 12 3661 1827 1 2259 1788 1 14443 1234 1 6656 46 1 10575 722 1 13686 1453 1 20051 1827 6 17404 2646 1 3641 233 6 7440 215 1 16844 1776 1 12453 5258 1 17005 1302 1 20126 308 1 9604 8141 3 3781 1730 2 11808 8167 14 19076 4937 2 1841 7342 3 7675 1769 3 5801 1369 1 7956 4334 1 11521 461 1 7892 34 8 10997 5991 2 16783 995 2 7811 225 1 2998 5256 5 11374 6511 2 20228 2889 1 14823 4256 1 6885 1035 1 3824 347 1 11428 1903 1 10855 1661 8 15629 654 2 6715 103 1 4134 206 2 5630 2897 1 4072 786 1 4701 697 1 18905 6901 6 7208 225 1 19174 1364 1 19536 537 1 20036 7008 6 6776 2353 5 10572 6031 1 15572 532 11 15394 1416 36 11933 3056 1 11805 6341 10 593 5414 1 17228 3511 31 15476 197 1 8411 201 1 3258 4501 8 3705 229 1 18043 867 1 17778 5517 1 10340 2343 1 9859 1208 1 7469 5353 1 12382 1453 20 6244 6670 1 6413 519 2 12775 4012 1 17263 927 1 7994 2497 1 14060 2665 20 11519 4269 1 4914 3425 5 9178 525 2 1966 1271 2 16156 514 1 164 7480 2 12032 3728 2 9104 1731 1 19932 1827 1 16636 1067 3 9224 796 1 14548 206 1 16700 722 2 8716 1298 8 13734 629 1 1361 2915 1 14946 1305 1 3812 3492 6 6105 552 1 11755 364 1 14046 2663 1 7483 2017 1 14517 7029 2 2827 2646 2 16016 4355 1 13602 779 8 2969 4623 5 18249 4333 1 20032 341 2 18231 2650 1 4314 3878 1 9011 7848 2 216 6278 3 17653 457 1 15508 5418 1 1043 1355 1 4954 3005 1 3738 1730 1 16575 3584 1 13574 1732 2 19322 7687 1 19936 6251 1 4198 3255 1 15307 3117 1 1656 1934 5 19598 3558 1 3815 841 2 16962 3663 7 11839 541 3 3046 4619 5 9944 1721 10 2332 792 2 18530 5018 1 5860 1249 1 6905 2600 2 9374 1739 2 12007 1686 1 12038 3135 3 1853 6519 1 6729 661 1 14173 793 1 15228 1727 1 4195 1743 1 12907 2671 4 2848 489 2 3504 3065 1 2369 1582 1 171 7763 2 8894 205 5 13540 5325 63 8737 3676 1 18154 2808 1 14485 7309 1 1650 200 14 3755 514 1 1131 1714 3 1638 3925 1 343 3671 1 16202 769 1 11254 220 3 19988 197 1 7893 201 5 430 2482 1 1601 3230 6 1037 1275 3 3199 1805 1 6332 872 1 12401 3851 1 1375 23 1 10856 4011 1 11086 1357 1 10219 1395 2 10152 6680 1 3426 1742 1 7012 2970 10 5784 4013 5 12686 7241 1 3505 5874 5 15230 1146 2 6854 2488 5 19833 441 1 18902 625 2 3967 244 1 11523 1762 2 291 375 1 20275 2902 2 14218 244 2 10244 2254 4 1031 6091 2 8376 4314 2 4389 6979 1 11613 914 1 3907 203 3 19590 867 1 1824 52 2 19413 3517 2 6035 8054 1 12695 1909 2 15412 4998 5 19243 7983 1 7612 7669 1 9637 3511 8 10322 190 6 11549 917 1 4016 390 1 17395 7090 3 3491 6680 2 554 1729 1 19418 6542 1 8334 2998 1 9224 885 1 3824 441 2 11276 6286 2 8395 7946 1 745 74 1 12935 1356 1 1308 201 1 64 3080 1 1983 1946 4 2490 967 1 870 1587 5 9583 4614 9 8051 6056 1 19182 6167 1 3899 215 2 7020 222 2 11444 1237 8 3765 2496 1 2555 1606 1 1221 5460 3 11148 270 3 4218 8078 14 1642 4352 1 1089 867 2 239 1240 1 3189 7018 2 8641 1464 1 12233 1730 1 15895 3278 1 15687 232 2 13117 3874 2 13472 805 1 1328 200 1 29 1671 1 7360 229 7 15704 3571 2 18574 4435 2 17195 34 1 5344 123 1 9756 3186 1 9633 1480 1 4708 222 1 3089 7239 1 13490 4909 1 11469 891 1 6683 168 2 4018 1308 3 17056 171 1 1986 3219 1 1029 508 2 8361 1825 5 19543 6640 1 1747 1094 2 9883 4500 1 7979 1762 1 1171 2357 2 8526 4833 1 12918 7727 1 18242 504 1 2194 3708 1 7931 5768 1 14124 5325 1 13487 6759 1 9930 2727 1 130 5931 1 6074 3621 1 9591 841 2 14416 10 1 1772 3686 11 9089 883 1 14806 859 2 18526 1363 2 4368 1932 1 4181 5187 3 8605 2971 11 3337 7664 2 16375 8184 2 8922 8184 2 17954 5495 3 15447 207 1 1623 7101 15 2167 4269 1 15761 3482 1 14124 3333 1 10948 793 2 5644 169 10 9680 2158 1 17505 7342 2 10009 1226 5 83 3825 1 1170 1720 10 14232 2254 2 5378 1241 1 5208 2864 10 181 3902 1 5972 5512 1 13425 4403 1 1139 7726 3 4583 2938 1 863 3618 1 12236 3844 1 13544 2651 1 786 6174 12 4472 3456 1 12429 2550 1 19286 3540 5 11191 6334 1 15640 6993 1 15364 471 1 2003 232 2 18289 4383 1 2752 6779 2 948 1703 1 14010 2184 1 15211 1998 10 8789 6939 1 10035 7815 4 10692 5313 2 18257 2373 1 16270 648 1 2968 2404 1 13640 1243 1 1340 5120 1 4539 214 20 5100 2424 3 17529 524 2 15940 5341 5 11666 207 1 12496 7280 1 2951 541 1 11771 6946 2 10416 3643 1 11616 895 1 3750 6623 1 6332 1745 19 1416 1729 3 1432 173 1 3185 3248 1 4663 616 1 17872 1724 5 4267 365 1 14722 244 4 14390 7601 3 14641 6322 2 14968 5778 5 17773 1825 1 8439 2352 1 11388 4992 2 19428 888 4 2356 4796 1 19380 3697 3 6811 5257 2 11058 6727 2 18191 6470 1 8530 2569 1 18610 526 3 14296 177 1 1332 848 1 8946 735 1 19217 1073 6 3149 514 11 7252 1819 1 7611 5206 1 9280 517 6 10422 5253 3 1337 5810 5 10871 5146 4 13270 3129 1 20110 1363 1 6504 5495 1 19147 2708 1 6712 615 1 13178 3463 1 8439 1246 1 18808 1235 1 2333 2193 2 8387 954 1 8788 23 1 16626 4013 1 8083 7586 1 886 5180 2 18303 5567 3 10978 461 1 18968 499 1 3118 5313 5 18638 1819 2 7284 1658 3 106 4746 1 565 821 1 2657 3556 4 2508 4459 1 3597 4059 1 8050 2867 14 15192 929 1 8573 5285 7 2985 874 2 689 4935 2 7923 7321 1 2380 1357 1 8735 5077 2 18468 2736 3 20154 5285 2 8464 3884 4 14522 1739 2 19177 880 1 8481 252 2 14301 4196 1 13512 1747 4 4632 84 2 14527 3421 20 8051 5305 3 16883 504 1 3941 1590 1 18549 1789 4 6867 602 1 6749 7018 7 17368 2514 1 950 1374 1 11766 5906 3 8657 786 2 2198 5005 1 8426 1705 3 7134 5348 1 11669 3511 27 8268 534 6 7078 2523 2 2411 411 1 655 219 17 19222 4325 9 3424 2139 1 9433 2701 1 1465 2945 1 2674 253 2 10290 514 2 14690 2392 17 12523 3065 5 11404 4303 1 12536 372 1 542 4013 1 13829 169 1 9835 188 52 16944 2831 1 11999 4459 3 5246 764 3 16286 1423 2 10398 7461 1 3337 4915 2 6867 545 1 15968 1898 2 13114 1150 3 1822 8135 1 3672 141 1 4353 7022 1 9596 2497 1 9511 428 1 10815 846 1 647 5971 1 8843 1665 1 5268 5259 1 7633 2699 15 1273 5105 2 16945 1582 1 4900 6331 2 13207 203 21 12619 230 2 13349 3975 2 3353 1666 3 1760 3602 5 5087 3511 1 4061 8083 1 11678 6970 5 5388 2698 8 3613 1781 1 1385 6454 1 4399 5996 1 2653 237 21 16348 2373 1 5816 3012 1 16860 8036 2 14617 501 4 16847 2649 1 4593 690 1 3447 7853 1 1361 6128 1 7099 4714 1 12817 5696 1 9881 4699 2 7188 1664 1 4590 7965 1 4784 519 11 16672 2673 5 14284 3633 4 19927 1997 28 7868 7525 1 602 2953 1 12491 207 2 11192 7497 1 3164 6231 1 20048 7511 1 10575 925 1 2121 201 1 4884 3138 2 9014 7528 1 10206 536 1 19360 910 2 10783 597 1 9787 1985 2 525 645 1 16725 4714 9 7476 663 1 19425 5826 1 17191 361 1 18017 4804 1 19418 8141 5 19055 203 1 19850 235 1 12021 46 1 7585 4096 1 12322 5996 4 14699 1747 1 15996 214 2 10220 7187 1 3406 6672 2 17289 3071 3 3021 1907 3 18119 514 1 10254 7489 5 4708 1734 2 15778 6019 1 527 5286 2 15329 897 1 11215 682 1 11632 3230 8 14861 237 7 17813 4451 7 18876 5255 4 5977 2899 10 4018 2353 2 4049 4152 1 17675 1244 2 10840 184 1 16442 1719 1 11387 1146 2 10114 7431 1 1171 4435 1 14993 6414 1 18174 284 1 14416 5419 1 17074 2539 1 10192 636 8 3806 197 1 18625 5737 9 16056 505 2 140 6397 3 9846 7359 1 15030 5089 28 7807 4998 1 9332 3608 1 15160 229 2 16016 2651 2 11050 3324 3 10887 7477 1 1353 1898 1 19632 525 4 14564 1698 4 15152 252 2 10086 215 3 17181 2671 2 18779 2496 2 13735 883 1 18380 498 12 15261 5060 4 13865 1275 1 2726 2918 1 18914 1827 14 13659 1324 1 9306 200 3 5216 2552 1 655 7823 3 11277 5437 1 7619 7850 1 11698 1910 1 1826 4929 4 6843 1237 1 5632 1474 1 4626 2743 1 9590 201 7 15208 6404 35 10579 5252 1 18381 6027 7 10876 411 4 18109 2970 1 3271 698 1 7555 1573 2 10176 2405 1 2851 2363 3 6300 1770 2 10076 4078 1 3678 6152 4 11122 5346 2 15659 1339 1 4173 1757 12 3303 8034 1 6291 7546 1 14663 4013 1 15897 2 2 755 23 2 15915 6871 3 9559 2591 1 14540 1770 1 9104 1374 1 11562 4266 2 3826 7027 1 3139 235 1 3755 470 2 18681 867 5 12624 5592 1 17954 3301 1 3134 1583 1 19957 3787 3 6116 173 1 18893 1749 1 1542 2559 3 8012 1721 2 1677 1685 1 9935 4026 1 3570 3766 1 415 2626 6 18988 6334 1 12231 2465 4 15429 4200 1 2205 2949 3 14230 4803 1 2054 1582 1 5959 1245 2 19865 368 1 1194 786 1 1143 7602 1 9693 929 1 9374 336 1 10143 236 39 1586 520 1 17850 2158 19 17877 7422 1 6309 1927 4 7413 3301 1 2071 1103 1 157 7210 1 744 3698 2 4397 4998 1 8189 1235 5 15599 4383 1 11935 1054 1 7994 597 1 8695 1721 4 12257 303 23 3389 1124 1 6245 1995 2 10502 190 1 15745 2478 6 20100 1357 1 12176 200 1 4006 6122 1 174 7915 7 1673 132 1 16046 8021 1 12818 2682 2 9493 3267 5 15572 206 5 10340 3211 1 12003 800 3 8004 229 5 16775 3273 10 15293 2555 2 11882 2813 2 4471 6220 11 18174 1761 3 17518 7550 1 18284 8091 1 1498 764 1 19914 5791 2 7435 1748 9 13119 1942 2 11392 1126 2 1542 2256 3 7290 8076 1 19486 1244 1 4092 201 10 340 2722 1 10 333 2 19554 1665 1 14406 4241 4 86 3963 1 3607 6256 2 557 3036 1 2689 1751 1 9617 589 1 4843 616 3 8279 452 1 19857 2369 1 5399 8175 4 6234 809 1 394 6968 2 2646 1242 1 14011 699 3 10333 3180 2 3755 4610 1 11068 302 2 6421 1561 1 19026 519 1 13871 5719 6 4956 4073 1 19401 8095 1 6152 408 2 8946 662 1 18736 3328 1 197 1240 3 4189 1737 1 5202 148 1 18711 1190 1 5804 2399 1 1156 8076 1 1065 3081 3 11524 6074 55 13975 194 7 932 1996 1 6544 3512 1 9784 1345 1 7573 1721 3 9904 1342 6 12234 7229 1 6075 6091 4 17398 7895 15 8822 1710 1 18924 1342 2 15113 755 1 7956 2363 1 3189 423 1 77 3527 5 20077 7815 3 8864 7477 2 4256 2675 1 19862 533 5 126 5704 1 16295 952 1 1029 1658 1 7006 1424 4 12641 4616 7 18748 207 2 7249 6692 1 11857 1756 1 16700 671 1 11663 3351 1 17711 1484 1 16174 5530 1 3491 1764 1 15288 2686 2 13 710 1 11591 814 1 10513 7263 1 10245 4665 1 13215 2569 2 9168 1251 1 16762 220 1 1801 438 1 3144 498 1 13203 478 1 6636 7120 2 18483 8127 1 18938 2876 11 2443 1705 16 19722 3916 1 11521 2981 1 12412 564 1 10313 2061 1 5624 2362 1 7952 1285 1 3659 591 4 6806 2256 5 18921 398 1 15141 8170 2 18968 2009 1 6023 4614 17 19779 1020 1 18843 1286 2 10384 3190 7 1836 2443 1 3581 910 2 5439 2645 1 9430 5468 1 20068 225 1 18847 661 1 10641 215 3 12387 647 5 11233 1247 2 3038 4945 1 18761 3361 3 456 1818 5 5281 6124 1 9491 168 1 5838 1819 1 7734 6125 1 2033 2069 1 18859 6054 1 18464 3979 5 14234 631 4 6158 3515 1 19428 3972 1 15016 5326 5 14842 2966 1 11629 3256 1 10339 3202 1 3817 520 1 17476 411 1 18089 6793 3 14306 233 4 17482 2555 2 10525 5018 26 14177 23 1 16396 152 8 19448 4001 1 2886 7601 4 19195 2533 37 8441 4387 1 14985 367 1 4049 4159 1 7518 3408 1 19608 1717 2 18734 3697 1 1735 629 1 12935 1275 3 1883 3472 1 17688 2992 1 19739 222 1 10156 491 2 16697 200 3 17610 6011 2 19145 2436 1 14525 3492 1 11549 367 1 1467 4877 1 11388 5408 10 6741 506 2 9466 411 27 6644 5538 1 5164 411 1 1669 173 4 1878 1776 1 18979 955 2 15610 612 1 5823 220 2 9972 4458 2 6973 5146 5 16457 1212 6 16286 385 2 6424 6671 1 10720 7647 1 4805 303 10 14458 6769 3 11580 3485 1 18917 3911 5 4420 2329 5 760 316 1 12690 1251 1 7485 1374 1 20197 504 1 9224 912 1 1816 7622 1 17381 6717 2 44 2284 1 14596 2351 1 18973 4635 2 18191 3634 1 18538 6091 1 9619 200 13 14072 1305 4 16775 235 9 8126 2639 7 3118 6053 1 3694 6868 1 15122 2321 1 11864 1687 2 3397 1745 6 4826 3999 1 4257 903 1 5823 1275 3 13478 4417 2 17163 3667 1 13653 1627 1 7503 74 2 7174 203 2 19403 2748 2 4841 220 6 7524 525 1 13009 6665 1 19725 1407 2 1750 1576 1 14527 962 1 19607 1110 1 13663 3391 1 9187 95 2 17677 1236 3 181 8255 1 3504 4387 1 8720 1482 3 15948 190 1 8311 5408 1 6228 571 1 16854 1717 2 2147 712 1 6333 4811 3 4255 8026 3 8420 35 4 9767 1342 1 7780 1827 2 15669 706 2 13462 6817 1 8055 2138 1 16772 1703 2 12929 631 3 4373 6288 6 16842 496 4 17662 2676 2 998 6150 2 17540 1247 2 6536 225 3 17571 498 1 4617 5420 1 1276 883 2 4060 2016 1 7118 1274 1 18357 222 1 8503 8141 1 12331 4612 1 17345 3602 2 20275 1740 2 3594 378 1 7816 440 4 13947 6435 1 17141 1644 1 18198 864 1 18816 6744 1 13267 5767 3 3485 1736 1 12263 335 1 8528 867 1 7823 756 5 7819 519 1 395 4623 8 14881 779 2 13555 1728 5 1291 1258 1 11612 3072 14 1065 4567 6 2762 1271 3 2103 7552 10 13136 1820 4 8141 795 1 11877 1747 1 15683 2478 1 4016 385 3 7999 407 1 9535 1721 1 13445 3168 2 15527 196 3 10789 1685 2 4728 2353 1 14486 1249 1 7316 7491 1 6569 6252 2 4337 2675 7 12579 41 5 5577 533 4 149 6745 8 8833 947 1 6578 533 1 10285 6549 3 11863 3706 1 15744 214 1 7385 5018 2 12349 3511 103 15547 2591 3 11349 3113 10 18295 215 2 12285 689 1 10391 385 1 13292 2367 32 3972 6714 1 7390 600 1 11502 689 2 2562 1732 1 14284 5292 1 7498 7022 3 6204 1395 4 9915 2982 1 18411 6189 1 8798 220 1 18281 48 1 6164 1378 1 1525 2489 1 10224 1871 1 3490 1007 3 11216 4366 7 4906 6135 1 4681 2646 5 8925 1257 10 17762 6534 1 14662 5450 1 5911 4698 1 11327 224 1 8981 2552 7 15759 7687 1 11263 1062 1 1912 1703 3 19763 21 1 8528 214 6 4282 2743 1 5777 1972 5 12918 1248 1 6032 292 1 19316 4490 1 10119 4303 2 4015 2132 1 9777 3044 1 10123 7963 1 5890 2351 2 8620 3612 7 18465 6159 3 8969 1770 2 11676 3721 6 20092 3338 2 14211 2651 2 5015 2739 1 3694 1705 3 17645 519 6 18099 719 2 14434 1724 2 4101 7194 1 4264 3464 4 1893 1324 4 9721 5010 1 1138 4065 1 10308 164 1 1968 1282 30 18711 779 1 8615 7085 3 12320 1658 4 7763 6168 1 13731 89 6 20004 5325 30 2613 7220 2 812 2100 3 18538 4779 1 20244 558 1 1241 1991 1 9055 1159 1 10156 4029 1 3662 4033 2 3703 1721 6 18933 2488 1 4501 7660 1 96 1296 1 7850 3791 7 163 7420 1 20 1266 1 15396 2563 3 12621 5837 1 10242 225 2 14828 537 16 17404 2649 1 5064 746 1 17227 3516 1 16773 1112 1 8851 541 3 174 7928 1 19624 495 5 8077 2494 1 11755 1234 1 19563 2710 3 15683 4605 1 18886 1080 1 9140 470 1 3633 335 5 19266 3623 1 11024 4791 1 3694 1369 9 15191 5137 15 10719 1363 1 18293 2821 1 4756 196 1 412 6677 1 9227 1829 5 14221 982 7 15107 792 1 17833 1277 3 4057 646 1 17414 4458 1 10533 7441 3 3607 2068 2 19246 7911 2 2463 1685 5 16488 4600 3 13729 7859 1 19727 244 1 13739 769 1 18702 215 1 2042 5185 1 17953 6065 12 10747 6434 3 5231 1703 2 10432 3012 6 3241 203 1 7786 243 1 615 2100 1 3581 1529 1 2356 1410 1 15264 2010 1 6135 2376 9 17162 3012 1 17930 3602 3 1865 4105 6 9597 2056 26 17772 6924 8 19688 6192 1 10168 2883 10 11861 2729 2 18356 4640 1 1410 5018 1 9857 2079 4 16378 1710 1 3973 911 1 13643 661 1 18665 7902 1 13534 193 2 12127 8079 1 14824 4870 1 17799 870 2 4405 386 1 9322 1450 2 7452 5495 1 9431 381 1 15834 1781 1 18431 6192 1 4564 8194 1 9564 2461 1 1704 3197 1 17084 874 1 18768 1417 1 12640 3084 2 12097 1724 1 16001 4352 1 9741 1322 1 5646 2010 3 6145 7298 1 15192 837 1 2062 3208 1 16546 5829 1 12686 1757 1 11857 4395 1 9948 519 1 18538 6560 2 12325 235 1 4311 826 7 4080 1251 1 9358 2584 2 11485 5309 2 542 681 1 4490 1250 1 15776 57 1 9161 1403 2 2359 3701 1 7860 6720 1 95 4357 8 18705 2352 1 6305 6933 1 19069 3172 1 19874 3512 5 4430 1705 1 100 4569 1 18040 6698 2 20244 683 1 7780 3144 1 4757 5018 5 4222 5924 1 11462 3021 3 10590 3361 1 7017 4572 3 3016 8188 14 7684 5097 1 7420 7274 1 5899 4411 1 3717 6702 5 4982 3909 1 2087 33 10 8969 1717 1 13865 1246 1 19759 390 4 835 534 1 18869 237 1 124 5567 1 1962 1212 1 17736 718 1 5540 1727 1 13234 1893 1 9104 2350 2 16476 5505 5 12772 8093 3 13657 4259 1 11201 2708 1 17809 1249 1 13262 6036 1 3469 502 1 7667 541 1 256 498 6 9567 3483 8 2386 6140 2 10317 498 2 3025 545 1 3524 702 1 2140 201 3 10806 877 1 15230 4992 4 15379 3762 1 1492 6038 2 16270 767 1 16283 1978 1 8198 863 14 17481 173 1 11503 5441 52 13644 6710 3 9793 3649 11 13607 6544 3 10115 292 1 7867 1990 2 13490 4920 1 10883 836 1 1043 1755 2 6294 1727 1 4859 221 3 18276 838 1 983 1322 1 4057 7814 2 6412 1779 1 812 7894 7 9275 921 2 4906 3466 1 17250 255 1 13873 23 28 14221 196 6 721 200 16 2127 1756 1 15144 6051 7 9912 7205 1 11349 1827 42 454 820 1 15926 3298 2 11042 3511 10 230 200 2 3536 374 10 873 4567 6 12343 2636 2 153 7051 1 6795 7244 2 17365 4293 3 346 1726 7 19122 6150 3 11826 4879 1 1654 7884 1 16897 2675 2 13252 1903 18 744 4794 1 3157 5287 1 1178 2146 1 17910 219 9 17291 2686 1 2291 3370 1 15929 2641 1 3925 4987 1 16373 546 2 15041 496 1 15849 514 2 9104 1825 1 2782 2743 3 11616 905 1 12510 3201 1 12538 7183 1 11813 1416 1 11959 7596 1 15952 2517 1 65 3090 9 5840 7576 1 9024 5341 1 2938 704 1 15278 1695 4 12817 2955 2 14398 6690 1 10445 5266 1 10914 244 2 5660 1395 4 9737 364 1 31 1686 3 11388 1244 3 19685 2581 1 8439 4303 1 11533 177 2 6496 365 1 13999 4572 1 17664 1399 2 8004 523 5 3440 4988 1 12293 4014 2 1599 2362 4 1334 1245 2 9351 4997 1 10218 1779 1 4183 4600 1 3501 3494 17 15203 4554 5 11929 546 6 5605 4348 1 14149 1453 2 15262 528 2 9178 5558 1 16876 1243 2 2149 4967 1 13638 2938 1 5963 4623 3 4678 3707 13 17961 2087 1 6675 1091 2 16593 201 12 9223 623 1 7030 1721 2 10391 662 1 20016 536 5 20269 200 1 13601 1720 1 4023 3795 2 11399 492 1 17505 995 1 20107 3266 1 4764 203 39 16487 1518 1 10571 7857 1 5854 3219 1 7726 7104 2 9945 1295 1 16831 498 1 15535 525 3 869 3684 1 13791 5403 1 2607 910 1 9648 1745 1 7718 7772 1 11442 1454 1 18949 5757 1 8850 4564 1 2119 2216 1 7564 502 3 14972 2682 1 1542 495 1 3397 3351 2 18027 7229 1 9284 1240 1 4489 2632 1 15870 2938 1 6922 4660 29 2995 694 1 15267 537 1 2917 219 6 13963 5018 3 9759 7414 1 17269 688 1 16083 2685 1 15220 2355 1 14439 2675 2 1799 3460 1 3419 200 5 13715 519 1 10720 4186 1 5130 1705 1 14622 1721 2 18653 3904 1 6538 3364 1 7173 910 3 12742 197 1 7186 1263 10 10078 167 1 12409 360 3 16735 4021 1 17167 1482 1 388 6571 3 5631 3732 1 6412 23 3 7188 501 1 104 4677 4 6761 506 1 17192 2371 3 15683 5253 1 14767 220 60 15264 3798 1 17127 534 2 16665 8012 4 10132 2167 3 12718 867 2 1034 3202 6 15074 5253 2 14233 3571 3 4072 277 2 19378 2165 1 16092 1686 13 6918 2708 1 17810 2961 1 12777 3417 1 18567 378 3 6228 904 2 16288 5018 1 15936 5256 1 1173 935 2 4902 2632 1 9351 1825 1 1743 4248 3 9316 4615 1 7432 201 6 3822 4211 1 4880 186 1 17142 201 1 20040 1634 1 5195 367 2 11411 1251 1 10245 2297 6 4663 7035 1 8375 2140 1 14302 5097 1 15633 1296 1 14657 6100 1 7481 7404 3 17682 219 2 7211 7332 1 8890 1587 9 819 1768 3 542 8037 1 13261 3334 1 19486 638 1 950 3304 1 11062 2316 1 11992 2488 1 15510 5538 1 12569 201 1 4068 1277 1 6363 197 2 34 1838 1 11147 1450 1 7629 7308 19 19696 253 1 10879 995 51 9894 3219 5 7065 385 1 6683 743 5 11392 2379 1 5411 3334 1 18164 2722 1 14993 4148 1 13232 1449 3 4639 6053 1 9398 7098 2 9526 214 3 8671 525 1 4390 23 10 9692 1246 1 9324 1769 2 1141 3164 2 12114 5945 2 6808 6897 1 29 1666 1 3396 8200 1 17886 877 1 12906 883 1 6037 7404 2 10313 4258 2 15362 225 3 14266 6252 2 2895 207 6 16559 597 1 7426 5066 2 18187 654 1 19414 229 1 1634 3399 1 3258 471 2 19348 2760 1 2674 3909 5 10402 3807 1 18809 2534 1 6350 1338 2 18560 7304 3 14660 325 1 168 7583 1 18590 7847 6 10732 411 4 15785 656 1 18514 1737 2 17003 5256 6 1134 4563 1 17809 1686 1 9513 3070 2 18511 2355 3 13402 52 1 3824 1814 22 7799 905 8 13526 2386 3 13581 2424 7 4444 7041 1 11882 936 1 420 714 1 7101 1282 1 12367 1756 4 4449 8057 2 33 867 1 12294 1781 1 16340 2980 1 18158 7857 1 9395 698 1 13941 2534 2 12367 4139 5 2284 520 2 19655 7690 1 6504 1770 3 19464 1261 1 3008 87 1 2647 1484 8 18526 206 4 12541 1464 4 8914 5086 1 6372 1829 1 7017 8142 1 3899 23 2 12117 5252 1 17697 6743 2 11786 2935 1 3227 1146 2 9281 6875 7 15192 292 1 12054 2720 3 15280 215 6 3806 1407 1 4429 1383 1 548 6874 1 7832 5951 1 17180 1739 2 17179 541 1 16894 975 2 14028 1384 2 3855 589 2 4880 6441 1 5597 23 2 4901 7717 1 1405 817 1 567 6892 2 15866 2552 1 7691 6591 4 6125 201 1 3544 7804 1 16090 6687 2 7152 6692 2 11111 532 2 19549 724 2 812 6370 8 11777 5306 1 15225 390 3 19602 8100 1 10955 523 1 4404 7652 3 3496 3146 1 13014 6267 2 3043 1738 1 17371 3457 2 11349 1235 11 6776 1775 6 2911 215 1 10071 1762 2 9595 2146 6 7396 224 1 4337 502 3 13621 2720 1 19348 4403 2 4407 3255 1 17975 378 1 19165 1440 1 14507 5517 7 19319 3114 2 19632 103 1 19542 5073 1 15206 5340 4 9276 84 4 1538 470 1 2140 867 5 10691 2443 1 13129 1703 1 7092 1819 2 4492 1760 3 8183 665 1 9784 1720 1 18765 3899 34 13579 2068 7 16029 952 2 17418 6139 4 18695 2653 57 4820 3701 1 2777 46 1 16240 296 1 987 484 1 10633 225 2 5176 1743 1 11352 81 2 12796 2325 21 18728 8184 8 855 219 4 14865 949 1 15303 3407 1 20249 506 4 15041 5555 1 12283 201 5 11900 8183 20 14728 533 11 9605 534 2 14233 4929 4 6424 6666 2 7028 1367 6 3437 7949 1 4286 6200 1 19017 417 1 8683 905 3 19900 1245 1 19015 1764 2 9713 2591 11 4931 505 46 13748 201 1 8568 173 3 1665 8010 1 6878 127 1 13392 5115 3 456 745 15 1708 4383 12 7144 1235 1 1717 3839 3 7568 982 5 10808 411 1 270 219 1 4525 1827 13 14220 1455 1 14798 7967 16 14755 3869 1 14671 2633 5 13 588 4 336 4187 1 5840 5788 1 17647 2494 1 1629 7206 1 4784 232 4 8669 3532 2 11908 7719 1 992 2352 1 15497 1827 2 509 207 6 10879 5385 1 8079 2487 1 12716 501 14 11715 867 1 7157 1942 1 9097 7857 2 2907 1255 5 4191 2732 1 5025 2780 1 5982 8057 2 4603 2027 5 3554 200 1 10283 1518 2 13312 367 1 12257 7850 8 1196 1012 1 5977 2352 1 8913 1245 1 17954 700 2 11295 5350 8 9701 3408 1 6848 541 1 7463 723 1 10355 5389 1 1322 1965 1 17350 200 2 15943 6052 1 39 1341 1 11545 3522 6 1481 1704 1 2737 533 1 17633 3595 1 101 4603 1 12532 2098 3 42 2242 2 9582 2691 5 11860 225 1 19200 389 1 8373 5738 1 18237 863 4 9449 2626 1 4992 867 1 236 5547 4 17575 3576 1 593 223 1 19265 4996 2 5763 215 12 92 4177 22 4512 2511 4 1520 696 1 4141 1755 1 2258 200 10 19978 5306 5 13 739 1 130 5811 1 18637 1277 1 4914 6143 1 8687 4929 1 17662 501 5 5423 4320 5 7133 512 2 12251 6231 1 1328 84 4 10546 3851 5 12147 1985 6 9907 7206 1 15657 1059 1 6695 7848 2 897 223 6 19725 1751 1 9650 6723 1 6504 540 1 9169 883 6 16299 7105 1 899 5255 1 10073 6322 2 6341 2746 1 3032 2292 1 3580 7850 3 18440 202 1 17675 3515 3 16796 883 2 11533 6481 5 9523 4935 1 114 5131 1 427 3612 1 13440 8139 1 5880 3796 1 19152 5099 2 15411 88 7 1896 4761 1 3391 4616 15 5312 2869 1 44 2289 1 17556 4275 9 7956 4198 1 10661 5916 5 4963 891 1 11115 1981 3 16089 225 2 8022 5325 5 17272 7670 1 2560 1727 13 14522 557 2 12575 307 3 17 1128 1 1206 3893 1 20233 5600 1 14385 6542 2 13 867 14 1065 214 2 19774 4090 1 3358 8081 1 16235 3531 26 7991 6544 1 4544 6700 1 20180 753 1 13084 1748 5 12819 6142 1 7360 520 6 2784 496 2 15413 8200 5 6061 6714 1 6024 3909 23 16844 2424 3 11156 4792 3 1198 159 3 1 77 1 10509 650 3 9250 23 1 4868 6204 28 16098 1917 1 2428 4242 2 9852 8203 7 16439 4803 1 367 5341 1 11615 1253 4 2298 1758 1 7910 7603 1 11761 3503 1 12275 4156 1 17169 518 1 5561 3332 2 10761 2032 5 8915 5879 1 6742 6555 1 4573 4572 3 151 3971 1 13735 7474 1 19538 6355 1 6499 8140 23 17233 2571 1 9793 2863 8 15764 3078 1 17521 2675 1 17740 4803 4 14156 1338 2 17018 1342 4 239 4607 2 11698 1914 1 15454 5253 1 13406 1103 1 1908 7511 1 12799 1238 28 20058 975 1 15802 1995 3 2239 2307 1 7415 6228 4 16918 1743 20 19524 4107 1 8936 1239 1 5589 2869 1 13305 3919 16 3160 4481 5 14234 229 1 8458 4992 13 3282 3483 15 16740 5123 1 3826 570 1 13647 1769 1 14890 558 1 15826 1247 3 7463 4203 2 1206 4321 1 9609 6288 1 19316 5341 1 9245 1561 2 2126 8027 2 4098 3581 2 15533 411 12 727 2789 1 15601 207 7 2546 3588 2 3853 3540 1 14939 215 3 14147 1761 1 5008 4603 9 9566 759 1 3427 7878 1 17884 1720 1 4688 778 1 6360 3951 2 12789 7101 1 7193 1776 4 6645 2058 8 12851 1035 1 17224 23 3 2586 863 1 527 761 1 7498 6146 1 17636 4963 2 330 2299 2 4215 995 1 15580 2613 1 15891 7244 5 10484 5099 1 6070 7810 1 18944 7901 1 17708 2132 1 4072 7427 1 3064 3011 1 10247 1781 1 4979 1150 1 1300 714 1 14117 1903 1 2937 201 2 17876 1356 8 6938 219 5 12501 184 1 6695 4967 2 18116 5285 1 18237 1729 3 2758 1729 2 8332 2351 5 10561 1296 1 6848 1250 1 6881 3444 1 12406 23 2 7410 3022 2 8728 945 1 14235 7719 5 11131 4827 1 17449 1242 1 16109 1720 2 14149 543 2 12975 2827 1 13461 1722 3 4708 1703 1 3000 3364 4 11615 3540 3 18237 222 1 5295 3491 1 2765 2216 3 5440 1751 1 16010 467 2 11551 6414 2 7351 5408 1 16471 1930 3 16459 206 25 869 6152 1 2204 5305 1 6332 817 1 11464 7466 1 15861 2021 1 7706 7597 1 8934 1479 1 3005 957 2 13777 6140 1 143 6607 1 14900 84 1 10653 4919 9 8975 292 1 15211 4622 1 8278 206 2 7811 214 2 11844 1454 11 8646 215 9 12376 500 1 16570 7527 1 2931 225 3 9865 4623 1 2127 1712 4 7886 1928 1 13445 545 1 18001 2737 9 2778 2316 2 7986 3715 2 2886 3535 1 9347 8184 1 5918 7612 1 11381 545 2 14341 689 5 1279 1146 1 17889 1990 1 6776 1751 2 9280 11 2 6341 1518 4 14573 794 1 18200 1703 2 12361 274 10 7494 1990 1 16705 2480 1 12212 4528 1 14902 4120 1 17331 864 6 9374 1720 2 7991 3569 1 11784 4830 1 8715 5325 10 171 7733 1 7181 833 1 126 5618 2 973 4403 1 4178 225 1 10678 926 1 20074 6206 1 15272 1780 1 10340 5994 3 9861 6669 2 5444 545 11 18569 7517 1 6207 225 1 6752 2415 1 12497 1718 2 1783 8184 1 5808 1751 1 17416 1762 1 1489 1718 1 5320 1092 1 10960 1147 1 1806 534 1 6681 5263 3 3844 3570 1 4195 867 4 14344 6701 1 6668 3596 4 616 4013 1 17714 2588 5 19032 1788 1 1914 156 1 14018 1755 1 9213 867 2 11182 6520 1 14619 2197 1 13960 5513 3 15182 5804 1 15943 3549 1 18560 5162 5 19246 7201 6 16095 531 1 13986 4870 2 6341 1353 6 16874 5686 1 8793 548 1 10079 4614 14 12025 4996 2 4288 347 15 7748 5907 8 7282 186 4 12862 426 1 18693 498 2 4688 839 2 11388 225 4 4994 4967 2 19596 868 3 20197 1770 1 17257 1295 1 17564 5314 1 9318 4395 2 13337 382 1 12307 3512 20 12596 2560 7 3157 5315 1 10123 1642 2 13965 411 1 1669 2879 2 12774 1587 1 14639 5559 6 17897 535 1 11947 4325 4 6970 769 10 1799 7409 1 11938 1482 1 3824 2949 2 13297 6957 1 12716 1235 13 6051 4796 4 11179 1779 1 18671 6207 1 11 432 5 9464 3587 1 8097 532 3 17690 1265 3 3447 6053 2 5837 471 5 13 609 1 380 1703 3 3504 1133 2 19864 1739 3 6100 7652 1 6130 954 1 18728 1331 1 18107 1739 1 2367 3771 3 94 4255 1 17388 3932 11 18676 5017 1 3822 4022 1 16843 5331 1 20123 2509 2 15474 1726 2 14197 215 1 809 4403 1 6444 3006 1 16270 344 1 8345 1741 4 2198 411 2 14637 203 1 10320 215 5 4691 1755 1 20219 1244 2 18033 2196 1 8034 1761 2 1830 6537 1 14829 6530 1 175 8134 1 19382 2675 2 19472 6031 1 6589 4000 7 13038 1013 1 2917 6342 5 161 222 4 15364 1285 1 20276 411 5 2529 582 1 19222 6150 5 1789 6226 1 15880 2710 8 229 1762 6 6278 5767 1 143 6515 1 6658 65 1 15068 445 1 1286 3050 1 143 5026 2 17549 2646 2 8833 6473 2 7301 6331 1 1445 1537 1 5479 6121 1 1341 2312 1 4898 7654 4 5214 498 3 2294 1250 1 8909 7601 1 3236 492 1 13105 1022 5 935 207 97 1150 2415 2 15576 201 1 14946 1898 2 14814 5496 2 16881 1737 3 6152 3570 2 10883 813 1 17120 508 1 15909 1361 2 16786 5771 1 12817 1783 1 1490 206 3 15060 1770 2 4081 1736 3 14522 1714 1 4361 3900 1 11227 6704 1 130 5882 1 3324 3333 1 18910 1903 4 11591 588 1 10168 4307 1 11467 2018 1 592 482 1 13004 891 4 4055 3615 1 4922 512 2 6273 1360 1 9883 4604 5 4772 2495 2 10519 1764 2 20053 3462 1 14489 6692 2 18030 206 4 515 1729 3 11228 340 1 1530 2155 1 14981 214 1 19649 1146 1 8340 2312 5 15472 1748 2 17142 1747 5 6047 8183 2 19023 526 4 15405 488 1 11502 872 1 43 2259 1 19602 8046 1 3298 8153 3 8281 2860 1 1966 165 1 9508 1140 1 9712 1829 11 3902 6054 1 14773 1714 1 16151 2949 1 10245 236 25 12617 2880 1 3972 7396 1 19774 7840 1 7780 2712 1 3811 4987 2 13605 3540 2 2072 3840 1 18396 2640 1 17389 4635 3 5463 5133 1 13337 1331 1 3025 1251 2 18901 1275 1 15601 1339 1 8871 207 1 7440 7210 1 9508 5874 1 10724 3484 1 8080 93 1 5681 1363 1 16997 1373 3 5290 4667 10 3703 1372 2 9121 1244 1 4309 193 2 7382 196 5 2152 1732 2 8187 7249 2 7545 7670 1 7570 2058 1 5577 2665 9 5813 7883 24 14095 3676 2 8554 4156 10 8418 2419 1 12176 314 1 17950 7525 1 788 2355 2 15239 4378 5 18244 532 2 6683 834 4 13543 1825 5 12075 855 1 4767 43 1 5515 7241 5 3306 3058 1 6340 3328 1 2310 745 5 20059 1819 1 10380 600 1 14519 1986 1 9828 7235 4 8799 3421 20 14618 1307 1 13217 6039 1 592 2505 2 3440 2653 1 16002 6585 1 1120 840 5 20090 2869 1 4701 864 1 20062 499 1 3358 713 1 19472 1431 16 7823 1825 51 7702 5464 1 10037 2378 3 8208 5800 3 14497 1244 1 7893 6170 6 12530 4606 1 12686 4303 1 14037 4653 1 17841 1296 1 1291 3909 1 18274 6219 1 4860 1208 2 4049 3615 1 19250 4609 1 1465 3671 2 11930 5000 1 2274 1208 1 7363 489 5 20013 1238 1 10381 2357 1 3853 1276 1 2514 2569 1 10315 7604 1 135 6130 2 10946 7229 1 4542 7094 4 11820 2291 4 6536 512 3 9556 2560 1 11025 1825 1 5052 5249 1 1307 200 18 5893 1991 1 3467 3460 1 5854 5957 1 135 6112 5 4061 6434 1 12305 95 1 14192 4995 3 10245 849 1 1584 3337 3 5914 528 4 6064 1201 1 6770 6755 1 5902 222 1 1301 258 1 2139 7368 1 1801 5253 9 7566 6334 9 19272 393 1 10813 200 1 18881 2675 15 8211 205 1 10879 6532 1 18085 3794 3 9566 6892 1 6247 197 1 135 6121 1 17404 6139 1 6018 1249 11 539 292 1 14719 510 2 989 532 14 8328 2507 3 5445 3511 17 151 6780 1 18760 2949 1 9279 1453 3 18666 7674 1 19724 1703 3 7507 1338 1 19649 3512 1 3324 2727 1 5423 505 5 12333 2571 3 14109 5018 1 500 4404 2 2102 3669 1 10837 23 7 9982 2617 1 18205 6238 11 13114 5888 1 3037 225 1 12706 156 15 15909 3853 1 17416 7404 1 14908 7005 2 12727 976 1 17 1124 1 12384 263 1 6519 2626 1 15530 23 2 5781 1239 1 18215 498 1 13649 3338 1 3665 5264 6 11629 789 1 4786 7786 5 8192 1921 17 2213 1296 2 18465 1548 2 1043 7593 1 18554 2721 1 10579 5757 1 1136 1472 1 13425 7629 1 16048 1819 3 13462 57 1 3651 4274 2 18887 2489 1 5817 2488 4 15081 200 1 10832 2018 1 1453 252 2 4751 219 1 7564 3135 2 99 4470 1 15164 7515 1 18043 420 1 149 6731 2 592 3992 1 15893 2899 5 16090 2324 2 10382 232 2 6683 4020 1 19761 2841 1 13922 1450 1 3147 1356 1 15497 419 1 4662 6341 8 12988 220 1 14157 3202 1 7105 1770 1 18310 4949 1 392 452 5 17058 6583 1 376 1710 4 3061 6713 10 753 2484 7 2639 6407 10 15651 3074 1 11374 6616 2 13042 231 6 18278 1364 1 11343 867 5 11402 1985 1 5244 4009 1 12995 7708 2 7756 2761 1 14109 471 2 1866 2748 5 6441 7363 1 10701 220 1 17108 15 1 2496 339 5 1397 6278 1 10355 206 3 18585 3645 4 12837 2632 1 9077 6683 2 19663 869 1 933 470 7 18730 3411 1 4023 3438 1 7349 3334 1 8154 2268 1 11321 6760 1 4234 2206 2 19233 3998 1 17746 329 1 641 1965 1 9630 132 1 7652 1997 1 2789 4660 1 18415 1658 1 13305 1374 1 11801 4314 1 15146 502 9 16931 1295 1 9555 763 1 18760 4933 11 17125 2438 2 14377 6526 1 11809 1764 1 18634 945 1 10691 5319 1 18912 548 1 7435 7512 2 9374 514 2 2478 534 1 7568 1841 1 20068 201 2 5378 214 2 17039 2103 2 18893 773 1 1942 8170 1 1689 4860 6 15352 5256 6 10988 7814 1 13508 3781 1 13273 5750 1 6016 5063 1 1986 8141 1 862 6051 3 19931 3155 1 163 7399 5 10557 1244 3 4238 7450 2 18249 451 1 10593 1730 2 9709 4930 4 9120 4663 1 19732 1761 2 12665 1533 2 19727 1338 1 14249 6215 7 3485 1238 2 15805 2529 2 15673 314 1 4236 7450 5 3817 3915 1 2177 3767 1 17647 2641 1 12355 6457 1 3121 1756 1 9594 510 3 4492 5351 7 5768 3220 1 1150 5874 1 7626 5258 2 14810 2256 1 17198 3732 2 6085 5479 1 18154 6576 1 11199 578 45 18281 1250 1 3243 2397 1 6204 3511 14 11900 4435 19 8786 7073 1 5023 1305 1 8170 2678 1 15676 621 1 1391 5000 1 13005 5162 2 19568 385 1 16290 5432 5 5823 2691 3 18096 5137 1 5652 3911 1 10462 1145 3 2616 6128 1 9815 8013 4 19316 4441 7 16806 1707 1 17662 1748 5 17127 1247 2 5669 3693 2 13825 173 1 5827 881 1 17416 1548 1 8976 6721 9 7751 2953 1 18705 740 25 3970 1315 1 16468 5362 1 4400 196 1 16016 732 1 15025 4807 1 2387 23 13 16511 6013 16 7564 995 5 12354 910 9 18968 4918 1 18844 6192 1 661 7895 1 2424 501 1 4346 23 1 157 863 2 12412 865 3 15542 4404 1 2939 4540 4 9120 4632 1 9319 843 2 19410 6281 5 6484 4727 1 5898 4245 6 15384 222 2 6273 680 1 11900 3899 7 14970 886 1 11020 7622 22 19160 7618 2 15969 5559 2 7899 6687 1 13818 5115 2 3849 831 2 14512 2821 1 4561 233 1 13400 1342 2 17061 3757 1 745 1717 1 13813 1482 5 14540 1235 1 9993 5467 1 15510 201 4 15107 367 1 18518 501 4 1542 1781 1 1801 1698 3 3326 2863 1 379 885 2 20191 588 2 11187 23 2 28 1662 1 4134 647 1 3307 6414 2 1090 7674 1 5993 8200 3 14996 5583 1 4189 6189 1 7306 6363 4 10187 5715 1 5214 3649 1 7994 608 1 17541 575 1 7882 232 1 12511 23 1 2895 3233 1 8051 844 2 10341 23 4 18115 4504 1 6630 1437 1 18979 4035 1 54 2618 2 12968 821 21 14035 5416 1 10849 665 5 17242 4386 5 6808 204 1 10583 6225 1 19125 1975 1 6382 4572 1 1312 1704 1 14139 7350 1 13326 6031 1 18672 6482 1 3699 1342 1 2066 6723 6 18346 3563 1 6021 6945 3 2832 4157 1 13506 1707 1 17672 470 1 16439 2933 1 3816 7210 17 19152 3567 2 12484 3615 2 13 943 5 1476 837 1 2531 812 1 14629 3824 1 2321 6231 3 3770 7777 1 1073 336 1 1771 7422 1 86 3996 1 16299 5972 2 10879 1729 1 5332 8040 1 11687 2486 4 11533 215 1 12453 6662 1 7617 5243 1 18886 6571 3 3258 1698 1 15429 1484 1 1312 225 1 14541 867 1 15307 496 1 6983 3625 1 9987 4615 7 4305 861 3 17219 5293 2 12244 1184 1 2314 1758 1 135 6141 1 8324 1730 26 11048 2138 3 2321 4661 5 8965 219 2 5066 540 1 6183 496 3 13044 1981 1 5048 207 1 5025 229 1 7837 1613 1 130 5927 1 4868 207 37 5906 5182 28 395 201 2 19152 2938 2 19990 7404 2 524 3512 1 13789 1321 1 17939 5128 3 9275 3760 1 19112 1245 2 19510 1472 2 2805 219 1 9063 1717 1 3496 520 1 11752 6662 3 17981 3689 8 1467 7388 1 13292 5329 1 1464 8057 1 17809 1703 4 6859 4062 1 8798 225 2 5895 5461 1 12328 4853 1 13510 5128 1 791 201 5 14190 2534 6 19711 190 5 4623 2662 1 16403 4681 1 1274 3480 3 5075 3653 3 11176 1818 19 12768 6061 1 15982 893 1 8284 5594 2 5666 773 2 6907 6252 1 656 541 2 8636 447 1 15383 1440 13 7999 3367 1 8886 2795 1 18371 2542 2 11895 6897 3 1198 3331 1 13743 5391 1 15139 1548 1 1011 6640 4 15750 5305 1 4463 910 3 16291 6584 7 8145 1695 1 8863 1519 2 2966 2683 2 9079 3894 5 18752 1247 1 12861 1242 1 13574 905 1 17740 495 1 174 7958 3 19639 1242 4 11887 2617 1 9793 5538 4 14104 6334 1 1498 553 2 8110 365 2 16730 363 1 13 759 3 12322 1736 3 17533 5659 2 3008 1040 2 2455 3508 1 6789 4913 12 7577 1311 1 11562 6073 1 14716 3208 29 18335 2216 1 4130 3721 1 12643 1241 1 14929 1374 1 17031 200 1 19504 232 10 6553 8247 4 3277 1707 4 1311 2653 1 9760 532 1 15068 6059 1 12471 6167 1 6092 5586 1 8299 5852 1 18420 411 1 2603 4118 7 9693 292 8 8765 3916 1 6976 1146 1 18140 4436 15 18179 4245 10 7284 7573 2 8969 84 1 6927 235 1 1702 589 4 1307 221 1 17664 411 1 4931 2958 1 11325 1721 1 10051 2513 2 4283 1269 3 18860 1082 1 9809 404 1 8391 7850 1 12731 3442 2 4183 2342 2 20106 1903 1 3698 1649 2 3515 7869 3 18178 207 1 9891 7850 3 14746 7936 1 868 3325 1 1625 316 1 15750 417 1 14196 1274 1 552 1284 1 8435 7402 5 17058 771 1 18698 207 31 6907 5253 1 2350 360 1 2045 3167 5 10712 1531 1 1828 4972 2 12660 765 2 12208 2392 1 93 3484 1 9762 6276 1 11261 3913 1 9936 6993 1 19326 1747 1 8785 7704 1 6644 656 1 992 1778 1 9699 6540 2 19772 1819 1 4289 1363 1 8451 1239 1 1184 2294 1 2291 48 5 4970 7862 1 10838 3840 2 12294 3511 10 9110 1774 1 5853 844 1 3892 207 1 12343 6925 1 14753 5897 6 17083 5398 1 15995 1247 1 8250 2747 3 9672 1677 3 8783 1467 1 5358 4581 2 6556 2767 9 124 5411 1 3414 518 1 9430 7961 1 13119 1903 1 16347 215 1 8053 7030 1 19951 7578 3 10509 3050 1 17777 206 1 8798 214 1 15159 792 21 873 3840 1 16860 1198 1 6630 162 1 12934 2675 1 9743 4599 1 5763 510 3 11932 3653 2 10741 505 14 5900 1845 2 13829 1742 1 4492 1770 2 13032 327 22 19187 6646 1 14211 1819 3 9815 7895 5 822 2990 1 734 2830 1 16052 3920 1 12592 1818 37 15405 370 1 7845 3534 2 1839 793 1 2471 6512 6 9922 1245 1 16016 4252 2 10879 8192 7 19602 8063 1 7768 514 2 18245 4974 1 6556 3916 10 18161 910 1 7334 6031 27 6069 1685 4 5287 4761 1 19267 200 1 3571 534 1 18775 2542 1 3910 1778 1 2808 6673 1 12970 8083 3 8162 4741 4 1355 1507 1 64 3078 8 1993 3315 1 3372 1774 1 130 889 1 2702 5348 1 6866 2170 20 8367 7531 2 15970 1237 2 14566 589 1 7783 1464 10 4386 5309 2 4690 526 1 17486 1207 135 12230 1237 2 1251 6665 4 20106 6363 1 5199 7013 1 1494 1663 18 14193 1785 1 18236 5408 1 2153 6192 5 10692 275 1 7369 1692 9 1498 662 1 7527 5432 5 20032 6575 3 17974 8135 1 14973 5385 1 16869 7440 3 14409 1764 1 3759 6128 1 1120 891 1 8683 878 1 12817 1247 1 12299 6152 4 4807 1769 1 2886 378 8 10988 402 1 11817 2678 8 1116 56 1 4805 6102 1 15866 221 2 18375 235 2 13775 539 1 14876 201 3 4459 6866 1 14338 6683 2 13590 4490 2 8358 201 3 7033 7895 1 12358 4693 4 17275 7216 13 7846 4129 1 94 4262 1 17405 1369 1 5568 8192 5 15213 532 2 5364 4013 1 16392 534 2 382 4284 1 20117 2933 1 10361 232 1 8931 7847 2 3175 2016 2 1722 201 2 18827 397 1 6705 3434 1 2560 1739 20 758 3648 1 4267 7171 1 1706 579 1 11211 3454 1 4132 1695 1 7670 656 2 6363 4987 4 18206 1247 3 9348 4615 3 11938 233 1 13544 1146 21 4007 6555 1 6492 5447 2 8383 34 1 62 2809 1 18182 1782 10 11698 6778 1 7371 5077 5 14758 186 1 8116 1982 1 7366 1116 2 4092 4012 1 724 1250 1 4765 1703 1 14570 1775 1 17681 4306 2 18922 2874 1 201 4699 2 2646 1745 1 1998 7689 5 16938 5016 1 4876 2895 1 18682 3494 1 12384 1698 1 2405 1731 4 1760 524 5 17652 1373 7 13185 3511 5 14861 3206 2 821 1663 1 17013 443 1 14282 2170 2 2916 7961 2 4618 6731 1 2040 1781 3 1916 2559 3 413 235 4 18511 201 1 6570 4280 1 87 411 8 15286 6467 4 13947 2981 1 10 190 1 10956 659 1 16994 2990 9 6045 225 2 10916 839 1 7378 378 5 6556 4352 5 13900 220 1 7701 7948 1 5600 244 2 6950 230 2 17159 7259 1 19314 1313 1 18387 4716 3 9988 2327 2 5031 5305 1 161 10 2 15184 1728 5 1385 5497 1 8872 336 1 19712 4992 13 1890 5011 1 18399 2875 1 13543 804 1 4921 867 1 8061 197 1 2877 3323 1 17015 1748 7 6459 3911 4 14053 1726 1 4995 6496 4 8436 7948 1 18014 942 1 19034 4856 1 296 3024 1 14017 3798 1 14958 2482 2 17597 6219 1 9354 308 1 10942 1755 1 3261 862 1 17495 2100 1 873 6658 1 3228 1564 1 4862 196 4 1618 1342 8 16898 6204 1 3853 1721 1 4784 173 2 1461 304 1 7469 5433 1 6310 745 6 7214 1274 1 7180 46 23 65 3117 9 20009 3167 7 3015 419 1 1907 2409 1 3536 2484 3 11786 6899 2 10424 2262 1 12041 3747 1 6117 411 1 5411 534 2 17815 1757 1 15329 5725 2 16063 5414 1 3440 6198 1 14865 4337 2 17788 1249 1 8730 2970 2 11899 4933 2 4057 7109 1 11072 336 1 8506 1775 3 6663 1363 1 5690 539 2 14798 7975 1 20096 470 5 8758 805 5 13201 4622 1 14985 1242 1 9602 2880 1 11182 498 1 14988 3278 1 6681 1298 5 9187 508 1 19517 3532 13 14438 6229 1 2246 5758 9 16130 5294 3 6314 3588 1 2962 243 2 19286 2897 1 873 5252 1 10676 482 1 4483 200 3 4334 1764 2 672 3081 1 8232 2343 2 3976 5826 2 6755 7821 1 3880 759 3 14369 7523 1 12085 525 1 14051 497 2 1104 338 3 5746 506 1 10725 6006 1 11467 5937 3 11259 1038 2 17347 3618 5 18698 3233 2 2803 407 1 12570 411 2 17105 520 55 8760 1169 2 9279 1464 5 3634 2894 1 13965 8229 1 1298 4622 2 14798 331 1 17960 2998 1 1422 2735 2 13915 5899 1 8845 6817 3 12387 1417 1 1519 1363 1 13637 5586 1 4092 1458 1 10990 203 6 1962 2809 1 9366 6018 1 13430 38 18 16456 960 1 8278 3019 2 14727 1118 1 9000 3870 11 19946 1150 5 16045 4766 1 5130 1788 1 7640 499 1 11188 6004 1 15136 603 1 18263 7365 1 5984 4706 5 2274 5274 7 18946 716 1 10256 528 1 7385 1814 1 18282 2481 4 10579 4246 1 9886 4967 2 6387 428 1 10168 1705 1 1159 1971 1 16003 3821 1 10694 1784 1 2898 3138 2 14973 4609 1 8343 228 1 6749 4394 1 1131 3512 13 5304 3866 1 15313 5670 1 15559 8186 1 16412 6192 1 11101 817 2 2066 6663 11 3100 203 1 9781 2356 1 7991 3408 4 5505 1808 1 392 4612 1 20049 7769 1 14778 1207 6 13323 654 2 9279 1686 4 1134 3749 1 10730 7466 6 17157 3138 1 984 304 1 5745 498 1 9596 367 2 171 7613 2 9652 327 1 1468 3454 3 17994 3742 1 17884 2626 1 11078 23 1 18730 184 2 164 7503 1 6934 6330 2 7682 186 2 5023 6537 1 18320 4511 2 11925 13 2 9463 6674 1 18797 3511 2 6853 402 1 3187 1730 2 3083 470 26 1188 2109 2 7688 4283 1 19184 2342 6 4147 4009 1 6070 2580 3 818 141 5 3252 1687 1 12692 6159 1 7413 2109 23 12499 225 2 16201 7554 1 8108 4635 1 16377 4099 1 5663 7632 1 16669 524 6 14939 232 2 640 215 3 15409 3442 2 17637 1253 3 14161 1778 1 20145 1760 1 7751 74 1 9872 1247 1 13639 6874 1 18916 5356 12 10988 3813 1 11183 338 2 3358 573 1 15542 477 1 8468 3301 1 121 5343 1 2571 1904 1 1586 1745 1 18660 7526 3 6820 1717 1 16491 877 2 17507 156 11 17058 7394 1 9767 1757 1 1551 1825 8 15885 1828 1 18909 470 1 20090 2488 1 18421 1761 1 7365 6423 1 9988 638 1 13089 1757 1 2966 173 2 5037 3423 1 808 201 1 18609 215 2 9501 2552 2 9027 3516 4 9432 3840 1 13068 443 4 17772 467 1 11987 5703 1 15100 894 1 11336 7395 4 11561 1313 1 15065 2056 12 3620 7440 5 17298 4435 1 6654 175 1 16535 229 1 7462 2678 5 5916 4794 1 6444 441 8 819 7531 3 13928 696 1 12740 1342 1 13602 696 9 6848 2645 1 1726 629 1 126 5604 1 9295 2261 4 16238 156 1 6866 4019 4 10450 445 1 4428 7831 2 17416 6979 1 18660 2287 3 12550 2970 5 13909 5440 1 7799 7189 6 17849 1878 1 14376 1248 1 15050 6363 1 14619 1895 1 19737 206 3 16945 1728 1 9894 967 1 1618 1703 7 6225 4144 1 19649 200 5 15548 4947 1 16925 7814 1 8423 229 1 6458 1369 4 5213 1244 1 5817 4098 1 6618 5272 2 6475 1729 2 15796 478 2 9661 6031 2 12213 2386 1 20145 1747 3 15243 1727 1 17019 2783 1 12279 6682 4 14694 1380 7 19839 1825 1 12808 3117 1 7056 3882 1 1465 757 1 12092 2737 1 17177 1752 1 7101 2881 6 15160 3426 2 12622 1363 1 10319 883 1 16768 634 1 11591 545 1 10272 5408 1 2935 340 3 13199 3301 11 3149 2382 1 15192 605 1 12933 5559 1 2707 7857 4 15025 2860 1 60 207 1 6081 3492 1 5356 5294 2 14508 5064 1 12885 5407 1 20177 470 1 18679 3276 1 5148 191 5 2325 1752 9 16703 8183 4 16881 5301 1 6729 869 1 4124 2276 6 745 1726 2 5583 943 2 1227 2543 4 17681 891 1 17432 4992 1 6748 4015 2 8591 1164 1 16104 215 1 6088 1751 4 10014 1271 1 19298 222 5 9835 1893 5 13070 2012 4 243 4555 1 18875 5471 1 9660 229 1 6598 1784 3 11709 2132 8 12396 2552 1 9756 3145 2 3698 6338 2 6918 7809 1 6171 5999 5 16020 336 3 1369 6670 1 15041 1363 2 3545 1187 1 247 3612 14 2198 2671 2 18105 1564 1 16090 4077 2 17554 5234 1 10789 7434 1 2748 6556 2 17416 2771 8 5982 7719 23 5739 3556 1 514 3817 1 524 7124 1 11109 1788 1 12414 2534 7 1565 505 1 6444 1209 10 6719 3501 1 12496 46 11 15604 214 1 3240 214 4 10416 203 2 13541 1987 5 20063 7253 1 9453 530 5 18115 3747 4 5118 6762 12 15982 6192 9 14240 1929 1 2865 8051 2 1816 5294 1 1999 692 14 4833 496 24 16111 5105 7 15872 7252 1 3384 2363 1 14023 3973 1 221 6692 1 1700 4998 5 2776 5495 3 13928 6754 1 13402 5674 1 7991 5120 1 9809 10 10 1709 200 3 4519 430 1 4397 222 1 13676 1827 1 7554 23 1 8515 6152 3 12009 7229 2 19520 1208 1 5860 1695 1 14470 6723 1 156 1703 11 16474 5003 1 14270 7256 1 14777 7408 1 2045 3625 2 19268 1380 12 14221 4101 1 17167 1720 50 14519 2572 1 17416 7948 2 14908 4303 1 1499 1648 2 9939 207 2 9113 335 1 10907 1812 1 16806 1453 1 14583 3351 1 4222 152 1 4631 214 5 4693 436 1 13394 201 3 5617 6979 1 1127 1401 5 11505 2343 1 19486 6281 1 7240 5162 5 3975 1037 9 6561 1819 1 12332 304 2 62 2811 1 3994 1464 1 20191 582 1 2331 545 11 13373 7840 1 664 426 1 19832 3439 1 17743 6064 1 11796 674 1 14416 1657 1 12984 1727 4 6619 206 1 10733 1193 1 20090 5252 1 17392 1721 1 9778 636 1 3651 1403 2 12553 867 1 12051 8083 3 9763 2138 1 11365 3230 2 4882 7275 2 18320 644 1 10414 507 5 14053 496 1 1375 1752 1 8965 383 2 10843 2353 2 14566 1395 1 3876 1730 1 3070 1734 2 19497 7085 1 16189 711 1 2918 3047 1 19744 1738 3 3808 1240 1 1966 1705 1 7141 1946 2 11207 3460 3 12851 4599 1 3180 910 6 5448 3693 1 19511 1660 1 16231 638 2 4023 2853 1 11859 3133 1 15061 6584 1 6645 3077 2 9188 691 1 19865 1369 2 1073 7271 5 16588 5121 1 2498 5018 1 5479 6434 5 4936 3906 1 113 5071 1 8888 1771 1 5312 5294 2 19401 308 1 1133 7376 3 7165 2936 1 2980 6952 1 9015 221 3 13423 7466 3 67 3228 1 11592 201 1 10720 234 5 12846 910 3 8192 7229 5 17305 2938 2 1706 3389 1 15104 232 2 3204 1764 4 6515 207 13 886 3861 1 12828 3167 1 11220 3482 1 3411 2392 22 1927 1342 1 11244 1638 1 4811 5332 1 6659 5036 3 9115 3634 9 6332 7027 1 5560 2742 5 18575 7512 2 16018 7840 4 8129 4793 4 16437 225 3 19805 1464 2 15203 461 1 7538 7427 1 15140 4629 2 9415 510 1 11422 2358 3 5412 1719 1 15362 8188 2 101 4586 1 14678 4667 1 18336 6597 2 11084 5227 5 7367 4274 3 2278 478 1 13906 1763 1 2935 1241 3 1630 6252 1 6137 34 1 16951 7809 1 124 4022 1 5829 316 1 11573 201 3 15710 184 1 1464 696 2 6783 6099 3 5610 735 2 1653 232 4 14521 4196 1 11502 5324 1 11772 2958 4 2386 1727 1 4444 6025 9 3712 1396 1 341 1724 1 12231 945 1 11222 521 2 7010 2970 2 17088 173 1 6043 1359 1 1731 411 1 7743 3447 1 14960 737 1 14755 6609 1 13740 903 1 3199 589 2 12013 6278 1 948 1305 1 11066 200 1 1622 74 3 4133 336 1 1356 5261 21 6840 670 1 13670 1752 8 9547 4403 2 10051 2001 1 14318 297 1 891 365 1 1571 1738 7 14074 201 16 379 1374 3 6070 520 17 19608 2714 5 15867 221 1 11872 514 2 17828 8192 4 13857 1331 1 8614 4043 6 9141 506 1 7377 2938 1 136 6262 10 17820 3891 1 1709 203 3 6102 4992 7 12322 1275 3 5338 1728 1 11895 1707 1 9686 2618 1 1422 1046 3 14658 524 49 17896 1352 2 3815 621 1 16137 3539 1 18183 1730 1 7579 1990 1 14857 2698 2 6935 2534 5 18152 4992 1 14561 126 1 3668 4266 1 293 2001 21 4985 7353 3 6153 514 10 12297 5715 1 11158 57 2 2171 2662 1 9098 1825 1 19457 1819 1 15203 647 1 5424 2779 2 4106 5398 1 13427 576 1 14059 2917 1 7574 1278 1 4658 198 5 9341 1700 7 15822 1795 2 15364 4379 4 6878 3409 1 18211 1362 1 14095 900 1 6064 1081 5 5022 2889 4 10143 6633 10 13509 1736 1 11399 1582 2 10250 517 1 8969 7706 1 13745 5734 1 10791 1665 1 17331 2770 1 7141 5083 4 14586 5996 1 5588 4792 1 1973 7541 4 14146 648 3 11211 6066 3 19864 5487 2 12392 2743 12 11430 207 12 18696 1235 2 14738 4834 4 6410 3972 3 2471 23 1 8646 3059 1 18264 6747 3 5044 6760 1 18055 1955 1 2883 203 23 2699 7102 4 12789 4304 1 4380 3511 8 8269 931 2 3730 1334 1 18596 1424 1 18978 1726 3 16348 235 2 9759 3310 1 10261 6159 2 8966 1814 13 13857 1238 1 9507 3079 1 6952 6781 1 15640 1312 1 11089 4105 2 17980 5315 1 11046 1714 1 15662 6341 1 1725 22 1 684 1779 1 433 1731 1 5409 2938 4 4886 1774 3 824 7494 1 6696 3698 1 12338 3087 1 15657 229 1 6748 602 1 9348 6127 2 14201 505 4 9940 200 1 1364 1699 1 6196 975 1 1106 2521 6 13451 6557 1 7640 1458 1 19763 3869 1 15895 3592 15 8311 244 1 16137 1775 3 2196 221 1 17617 4592 6 16448 1825 5 15920 514 3 18705 1698 1 525 5256 2 4267 3911 1 2803 401 1 7177 6557 1 15229 1363 1 6595 1726 1 153 7083 1 11131 1277 1 17218 520 1 20090 4392 1 11878 2657 1 18071 5257 1 1660 2595 1 20218 2056 1 11353 777 2 17405 894 1 10702 5995 2 7705 263 3 1144 6704 5 11278 743 29 11845 6231 1 2582 1731 2 2281 5466 1 5892 2229 1 17746 956 1 19687 4120 1 13324 2894 1 6485 3588 23 4561 5961 8 5972 6749 2 2589 386 1 10361 215 3 19227 7408 1 39 2046 2 12745 8083 19 12902 7570 10 5963 199 6 19748 5083 1 4130 8015 1 17960 3433 1 11230 4531 1 19754 3547 1 4397 207 1 6605 7636 1 14714 207 7 3329 8095 1 16832 3552 1 17083 4010 1 15314 1898 1 105 4688 1 10782 3997 2 12135 1037 11 7444 519 1 9724 7997 1 5035 223 2 595 2605 1 4068 520 2 124 431 1 17746 768 1 15108 6990 1 8991 4029 1 8128 222 1 18114 3074 2 12424 1346 1 13758 3973 2 16997 1696 2 13051 1145 2 15450 5504 1 13349 164 9 948 4491 1 1962 2012 1 3925 545 1 3557 7850 12 5330 1729 2 19324 631 3 4593 629 1 7312 1784 6 17086 3649 6 6822 1825 1 2937 1729 1 13132 841 2 6593 1955 1 17999 5758 5 3934 1363 1 9381 6152 1 6189 718 1 10040 4409 1 2200 421 1 7568 412 3 13726 6250 2 20 1382 1 13065 523 3 7803 235 1 10449 786 1 8695 1342 4 10090 4600 1 14599 564 2 14336 1692 1 10698 786 1 2174 8071 1 1830 4022 1 16494 5266 1 4570 5285 3 3380 3283 1 17974 7244 1 6742 1237 1 3668 706 1 17079 5257 1 7896 1706 3 14229 5411 1 8562 6334 12 13579 2795 1 17173 4606 1 19833 4304 1 84 3883 1 13185 223 5 8965 520 1 11545 2801 1 9909 2488 1 15970 252 2 2151 126 1 2002 1743 2 4101 3492 12 13278 4887 1 10394 197 2 1045 3283 1 11877 2356 1 7392 244 1 12548 222 1 12654 409 2 4767 2280 2 15202 5312 1 5294 244 2 2407 1748 1 6851 582 1 83 3809 2 2800 4029 2 4536 5036 1 1706 470 1 17498 3798 2 548 6899 1 15220 3457 1 17000 544 1 2386 6105 1 16491 3706 1 11820 3065 1 11554 4653 2 728 214 1 3002 5342 1 7222 1363 1 19730 7352 1 9603 1250 1 17756 5391 2 12897 1076 4 8065 5146 2 16887 1534 1 8209 1259 1 10916 659 1 15332 1736 4 81 3660 1 6524 6957 1 5173 5018 2 3871 6706 1 17615 4247 2 13490 4369 1 15634 1239 1 6464 1342 10 12506 1897 3 12925 5737 1 13736 5513 1 5378 156 5 15065 7803 3 17038 5565 5 11533 1373 1 3902 521 1 17078 5018 9 9660 204 1 4626 7013 1 18275 1311 1 16220 1728 6 14162 7296 1 4609 6714 1 16156 1825 7 3133 7101 2 19940 2419 1 16894 6874 1 15142 2448 9 73 3418 1 19531 6126 1 11769 1378 3 2397 7848 1 3360 2695 2 11020 1333 3 17384 532 2 11388 36 2 12399 231 1 19497 204 1 19655 3732 1 812 201 2 6392 707 1 4577 4947 1 20090 2491 1 3145 235 1 19014 1399 1 698 1164 1 109 4966 1 109 4983 1 18989 237 2 17611 5474 1 18841 6127 2 15884 2016 1 15942 226 2 17384 344 2 4435 2949 2 2101 2572 1 3467 1997 1 2115 2881 3 9253 3262 1 422 2884 1 15276 524 5 7198 6914 1 4095 2981 1 18037 4042 1 745 1784 1 7776 3230 1 14233 1245 1 13705 6640 2 13312 4142 5 20036 244 15 7816 1333 1 6273 8194 1 18660 7462 3 1983 2927 5 1466 206 1 348 7468 5 9407 4363 1 11629 1245 8 4570 523 1 13557 7144 3 17165 1737 2 17314 512 1 6697 3262 3 10593 7746 1 4496 1235 1 9770 219 1 14612 1783 1 16438 7465 1 18892 2355 1 4435 1275 1 11480 207 9 1719 225 3 2646 440 1 6125 3998 23 10654 4444 1 11182 936 1 15710 222 4 6112 647 5 9133 2068 2 9725 3534 1 10911 746 1 10693 72 2 2545 891 3 15272 6053 1 17644 3058 2 9244 1772 1 27 1588 5 16977 6892 2 18754 589 1 8340 1453 1 14800 5133 2 17662 1686 4 4898 1784 1 16945 650 1 11029 1464 1 17078 545 1 13459 220 6 17867 1691 1 13427 2502 1 2863 3985 1 12225 2552 2 8591 6471 2 3665 2087 3 2271 3457 1 10051 4067 2 3765 6697 2 2390 4566 1 4081 2883 2 1462 545 2 6658 3518 5 10073 7395 1 17141 1464 1 10313 444 1 15882 3409 1 16667 203 4 15429 3731 3 2508 4458 1 4376 1706 1 6049 552 2 11590 910 5 12758 4342 1 6449 8167 3 11122 1249 3 6348 862 1 19794 1191 1 9797 3563 2 1794 269 1 13938 4514 2 873 7596 4 13463 3058 1 9269 728 1 17705 4902 1 16998 200 14 3358 967 1 13490 2599 1 9759 100 1 11127 525 1 6690 765 1 1489 3298 1 18120 596 1 13786 2316 1 11572 7824 4 405 1752 2 18619 1498 3 3399 1513 1 13866 8178 1 15673 1147 2 4571 1819 1 17738 6959 2 6070 6602 1 4070 745 5 3182 1250 1 15956 1656 2 13053 3148 1 9387 4375 3 6078 4884 1 13899 23 2 19549 4498 2 11860 910 1 10575 597 2 2980 1338 1 12570 205 1 14599 930 1 9275 7554 1 4235 1695 1 17716 6442 1 2123 4856 2 64 2114 5 13737 6561 3 7542 3671 3 5588 3526 2 8368 4511 1 16106 1825 1 10783 3146 1 18869 4296 1 10881 550 2 16132 3267 6 14818 7995 1 3696 57 1 13101 4647 1 6656 2678 5 270 2662 1 11702 1288 1 4887 3971 5 17368 2114 1 9269 575 1 4860 7526 2 12837 799 1 12990 81 1 5169 1319 1 8343 861 1 3855 1055 2 16916 849 1 7010 1752 2 9341 5346 4 2135 1729 1 13207 215 1 5033 5202 3 4303 4325 1 124 1373 1 5357 1188 2 12569 1035 1 11270 4233 1 7020 3679 1 153 7120 9 11512 3653 1 6692 5388 4 5224 842 1 15326 6541 1 14893 6557 2 968 1374 9 19137 1247 2 3299 336 1 6440 7409 2 4710 5151 1 10988 2372 2 18066 2071 1 14408 880 1 2643 2126 1 117 5228 1 16961 7715 1 14238 6683 6 2832 4143 1 9463 3603 1 18546 1283 1 9653 1088 5 4688 1277 1 1361 3372 3 9748 530 1 16363 1705 1 9179 6868 1 20123 412 2 19857 4107 1 17634 221 8 11882 5757 1 19727 1211 1 9279 5408 1 3000 5566 1 8441 327 1 17348 200 1 8710 1453 1 9178 4025 1 100 4541 1 15722 525 3 2875 5783 1 3962 3167 1 9178 5905 1 2962 368 1 8965 1740 1 7469 5202 2 20170 215 1 17749 7956 1 9267 5573 7 12375 348 1 2872 2244 3 5652 3271 5 13426 206 1 4644 1247 3 14016 229 1 6989 945 1 13845 5726 1 5075 1737 1 10441 336 1 17995 4436 1 223 6064 1 17589 5917 1 5748 4588 2 13461 3113 3 16775 823 1 10525 6865 7 62 2782 1 18805 222 2 1552 6561 6 18220 6546 1 16704 6631 5 13934 3221 3 13735 524 1 9978 363 1 3031 1819 9 429 1357 5 8496 3604 18 6308 1235 1 9183 7586 1 2012 1747 1 71 3332 1 15025 6257 3 12829 3757 1 8313 5758 6 15226 1745 1 16891 6897 6 3255 534 3 5987 6567 15 11390 897 2 8036 392 17 16130 580 1 2013 240 31 16747 2363 5 2186 1705 1 14306 871 3 9947 1277 1 19355 3908 1 10319 214 2 1422 758 1 2571 2904 1 13535 496 2 4525 1784 2 6773 7167 1 13770 7427 5 18431 1726 2 2748 964 1 5641 6640 3 19234 506 3 14722 1271 1 704 1814 2 17142 2645 3 18517 1256 3 2522 190 1 9283 6512 1 17628 1421 1 2957 844 3 4032 823 1 8106 1994 5 6123 3689 22 13304 7520 1 9721 6914 4 18932 728 1 11582 6150 2 10949 1357 2 7819 1722 1 4621 3170 1 16674 308 5 17403 1222 1 18939 3181 1 8024 4107 1 7082 8159 1 2318 244 2 14900 1788 1 15449 2712 1 4716 1755 1 17790 203 2 11052 3275 1 16329 148 5 6556 6897 1 174 8077 1 16267 156 5 14664 508 6 1464 1705 1 9164 7486 1 12457 631 1 1090 57 2 8597 2815 1 15263 244 1 14756 3411 3 7127 1286 1 16404 3511 1 6204 5897 1 15602 556 4 11148 1784 2 5977 1342 1 17225 1728 1 17716 4022 1 18451 3558 2 10856 227 1 18909 1760 1 6658 1430 1 13874 1756 1 13383 5595 1 375 2534 1 10555 1450 2 3490 6591 1 13575 1796 4 269 2949 1 105 4740 1 12308 4053 1 14731 3569 1 9224 850 2 19826 1366 1 9104 229 1 73 726 2 8832 5750 1 9066 7607 5 9973 767 1 7000 4402 1 8471 219 1 354 215 4 15307 8054 1 1276 520 1 17868 223 1 10575 911 2 289 6754 2 914 821 1 17463 2918 1 137 6281 2 12620 1453 1 13126 413 1 12510 2677 13 2020 330 1 20 1253 1 12892 1402 1 13743 5555 1 19681 6777 2 2419 3714 4 8332 3228 2 9279 1757 2 9535 336 1 6348 554 1 14208 545 3 17804 524 1 5103 3233 7 14865 1512 12 8693 2295 2 18694 496 1 14758 608 1 9432 5880 1 17298 2636 4 18909 7719 1 1570 230 1 19444 1745 1 16491 1312 1 4030 904 1 14679 6150 1 18188 6434 5 12279 1236 1 3358 5137 1 6314 789 4 9374 1719 3 15608 4179 1 19057 4689 1 16625 5758 1 15202 392 2 7746 1453 1 7070 3851 1 1330 2922 1 1130 1713 3 6991 2626 3 9999 6435 3 18992 822 1 16933 5040 2 13205 4198 1 16270 694 1 12433 3400 1 5323 470 2 7850 2077 1 394 3945 1 2079 1032 1 18797 1730 2 16513 4956 1 18781 7674 1 4547 2352 1 19594 167 1 19971 2581 6 19633 4980 2 18965 2143 6 11938 7848 2 11425 7458 1 712 1814 1 15923 190 3 1453 275 1 18357 201 6 3056 717 1 17478 7875 1 4583 3283 1 10355 510 10 6644 919 1 2828 5245 1 4902 2216 1 14430 2065 1 73 648 3 3635 2246 5 20012 5262 2 2674 2980 4 3399 6793 1 2795 167 1 19064 2228 1 18392 197 3 12326 410 6 6038 201 2 14218 3021 14 10161 4299 1 6509 3603 1 20160 1976 1 15376 7229 1 15648 232 1 6112 1298 4 7058 4609 1 6105 274 1 4016 5447 1 16847 7427 1 19105 1734 1 11066 764 1 7406 2559 3 19649 1184 3 15727 3516 1 6723 7848 3 7965 203 8 17003 2958 2 15429 3389 2 13873 229 6 15529 2080 1 4978 1747 11 128 2508 1 6283 1726 4 554 3206 5 15826 74 3 12064 524 4 4524 1298 1 16378 1146 2 5884 1826 6 15130 5052 1 4083 491 4 19401 23 1 14797 6190 1 3258 1146 1 16346 823 5 16546 6515 1 18520 498 5 7868 6039 1 11512 7630 2 4791 5389 10 140 6405 1 18814 8167 1 12140 1703 4 16155 1503 21 15804 3511 5 521 4112 1 17058 5734 2 10145 1091 3 15031 3207 8 8090 3193 3 6160 2016 1 460 1706 4 5390 7302 1 4804 223 1 14127 127 1 18656 6970 1 16500 225 3 12322 4325 1 18747 219 1 456 1367 1 18249 4059 1 19810 215 2 6328 2662 1 7750 4325 1 10741 1325 1 15683 809 1 15972 5007 4 309 1035 1 16775 1498 24 11985 6772 1 20168 8066 1 6587 891 1 6587 232 2 13792 1814 1 6905 4079 1 8052 1383 1 19585 804 1 20090 7525 2 5454 7205 5 13739 855 1 11706 156 2 3881 2595 1 15495 1242 1 944 6225 3 279 1710 1 1546 7988 1 14905 1321 1 20089 1837 1 1705 3368 1 3580 197 6 10381 833 1 17909 6777 1 11522 2061 1 18664 4299 2 6113 7739 1 3801 682 1 10591 5011 1 9178 3135 1 7188 1788 1 19722 200 13 3975 4919 3 4246 4242 7 13081 1073 1 8387 893 1 7651 1788 1 8785 3463 1 13352 4459 1 19471 6312 1 6651 3685 4 11043 7883 1 12638 3492 1 8597 81 2 7326 173 1 6420 386 2 10062 1717 9 16336 2439 6 5041 132 1 15701 3556 1 10263 4435 1 9117 2591 7 10105 8099 2 113 5064 1 11585 1747 4 16458 220 1 14724 4847 1 1072 4245 6 16636 1152 3 6125 2443 3 1928 3511 1 16470 411 10 2104 929 1 9983 330 3 8343 3649 1 16231 3388 1 7455 478 1 4546 244 1 15997 4653 2 6542 3511 3 3426 205 3 3453 5187 2 8153 5255 12 9859 1726 3 18508 1348 3 14177 201 1 1204 2747 1 14989 3619 1 13011 6955 2 11786 307 1 2140 976 1 15885 4740 1 8132 3685 1 13705 2268 2 17628 524 4 14993 156 2 14082 2671 1 16166 1567 12 8643 810 1 15849 5297 1 15630 229 1 666 196 2 20253 7836 2 17827 6100 3 10689 3464 1 115 5211 1 12838 1108 1 5281 231 2 8040 220 3 6768 5018 3 17953 3216 6 17403 400 1 14533 1012 1 10525 7683 4 12216 1706 1 832 200 5 7550 3257 2 4294 1245 1 18136 4877 1 12610 1241 3 4101 6187 1 13601 5385 3 13262 2668 1 15909 1092 1 17110 2636 1 12721 1656 1 10847 948 1 3817 4948 1 18426 7859 12 5148 304 1 12535 1904 1 15011 935 1 10340 1747 5 3550 3902 1 16554 3221 8 7817 3211 3 4307 1747 1 6544 8194 1 17159 1790 2 14233 5730 12 6086 1764 8 16501 2032 4 5994 4692 1 10732 745 2 19260 6152 1 15710 1751 4 6057 23 8 5562 4357 1 10247 2343 1 8376 1307 2 952 3959 1 20219 6116 2 17645 2815 2 19319 1236 3 6681 6231 2 18455 303 1 2127 219 1 19715 670 1 6907 4228 3 11063 5130 1 1241 2661 1 1858 1710 2 62 2934 1 1323 1315 7 17459 1193 1 14161 5281 1 19930 1249 2 11267 7719 23 18425 5091 1 7899 1727 1 1839 236 1 3313 415 1 3484 2461 17 445 200 9 4772 3759 2 15435 125 1 10927 229 2 11531 4620 1 12733 3103 1 16792 219 1 1506 244 1 9699 3535 1 8707 2355 4 3106 534 1 9275 665 1 188 1760 1 8323 4060 1 11614 1395 1 15970 2508 1 151 6812 1 18044 7692 1 11999 4015 2 11562 974 1 14522 4623 1 5424 2493 2 17094 4692 1 19326 397 8 16391 1374 3 12371 220 1 16096 5420 1 8391 584 1 18133 5018 1 5391 519 4 2856 2757 1 20009 2889 2 1821 6512 1 222 327 1 18761 4333 2 16712 5389 1 1654 1245 3 13399 5425 1 9180 3167 1 6651 214 2 6962 2646 1 3175 367 1 19368 7719 2 14720 1755 5 8015 220 1 5324 5998 1 8327 2261 1 2304 2520 57 14465 5243 1 862 1037 6 19030 68 1 11533 8031 1 10175 2552 1 6023 2571 2 15865 5394 1 8946 722 1 26 1539 1 830 3552 1 4812 173 1 18743 534 2 101 4601 5 19002 5434 2 15380 2352 3 17405 2409 1 12673 6288 1 17589 1188 1 19995 7050 1 7857 232 1 14301 1359 1 18080 2885 1 19193 524 1 10586 221 1 7945 7840 1 11502 4988 2 2526 6006 1 11683 5453 1 18526 252 1 3788 4501 4 13 557 7 19502 6659 1 5859 1775 5 4559 3556 5 9104 6342 1 3815 2275 3 710 4280 1 717 3492 1 15471 3617 1 4408 193 1 6704 4077 1 11215 5182 1 12702 2352 4 14216 2541 1 9921 6979 1 9606 522 1 6053 514 3 17191 6925 1 121 5261 1 2274 7933 1 15648 1738 1 8794 500 1 16887 1019 1 7387 6128 1 11026 5306 1 10820 1732 11 17395 3903 1 18462 3865 2 17078 7511 1 5208 207 20 1654 7600 2 1465 5292 1 62 2919 1 4524 1234 3 11504 875 1 16675 7621 1 14059 2369 2 3122 3562 1 5977 2354 1 14921 1131 1 1242 518 24 5955 2977 9 9319 3433 44 2385 7474 3 4843 837 1 6907 7565 1 8416 1589 3 5665 1131 2 1711 4467 1 17662 1277 1 17471 3976 4 11300 1282 1 8995 7506 1 3808 1548 2 4492 3230 10 18413 2362 1 18984 3479 1 12332 318 2 18262 1363 3 11587 201 1 1629 8173 6 4055 1537 1 12582 2979 2 13829 2678 7 19642 7424 1 11461 214 2 15080 1732 1 10135 7848 13 19912 3920 1 10916 674 1 12143 2698 1 12329 4303 1 12279 1341 6 13183 655 2 10595 1730 21 18321 2732 4 14011 236 1 148 6712 7 12856 769 5 11882 6363 1 10078 2798 1 10168 505 1 786 6162 2 12487 6705 3 14758 857 1 13735 74 1 7186 660 1 18587 197 1 17176 23 1 10772 5506 1 6563 844 1 11215 108 4 6854 225 3 3180 7470 1 14993 3843 1 303 224 1 14522 765 4 4158 2983 8 108 679 1 1568 769 9 6790 226 6 5630 1774 1 7632 1916 1 11836 4582 4 5028 1334 25 14906 1714 1 10873 6080 6 15482 7401 3 12947 1184 1 10827 1724 1 14604 776 1 11276 1147 2 17606 6922 1 153 673 1 5176 4311 1 19038 7801 25 6367 158 2 15849 1768 1 327 3271 1 1145 1784 2 4659 5810 1 1999 1537 2 12815 6933 1 5244 4578 1 17019 2064 14 6449 1761 2 3358 220 1 19665 2426 1 17767 1304 2 13942 7008 2 15468 1751 7 12591 1819 1 44 2291 2 3397 4966 3 2803 2508 2 10580 545 1 16189 665 1 8628 8071 4 15944 2138 1 1849 7777 1 6503 878 6 11775 201 7 4072 628 1 1087 4192 1 16790 1781 1 1002 1761 1 8532 1374 1 4667 3919 1 17405 6183 1 8560 7103 1 13537 6539 1 3846 753 15 13789 1237 1 12238 2662 4 16132 235 1 12424 1747 2 17550 5060 1 15866 533 3 1043 492 1 3043 5568 1 17290 5999 2 4146 1695 1 10758 6575 2 19857 385 1 9954 1242 40 18385 2761 1 3447 2663 1 1513 6914 1 18366 5294 1 11031 196 2 10060 214 1 15059 6568 2 14118 4258 1 2345 3476 3 16994 3058 6 10692 704 1 19872 6588 1 12078 8091 16 19803 2357 6 3149 2757 1 7135 1731 1 5424 1401 1 3118 4048 5 14445 3426 1 6021 6860 1 13828 1819 1 5 172 1 3695 955 1 19806 4691 1 2888 2880 1 16691 205 1 40 1251 1 10794 3516 2 6200 6169 1 13543 629 1 2125 7606 1 11844 7008 15 5589 7674 1 8281 156 1 7049 8145 2 745 214 8 17644 1357 1 10155 1244 8 8851 7968 3 251 7073 1 1026 650 1 18115 6779 1 18081 258 1 3218 3693 5 455 488 1 12619 5043 2 2361 1282 1 14211 5083 1 5454 84 2 2408 1772 8 15637 3074 1 17549 6723 1 467 550 2 17996 1244 1 16674 1038 1 7769 1248 1 18754 23 1 13 855 1 6574 5090 4 13045 1007 6 14336 3255 1 16018 2721 1 1948 3283 1 12064 1742 1 8142 4621 1 11320 7210 1 2045 4963 2 18195 735 2 5388 1239 5 6707 3161 1 17191 1656 1 2406 1739 1 16656 4217 1 704 470 1 3580 514 1 6469 207 8 18633 2376 2 19324 3592 2 12417 206 2 11629 2262 1 94 4267 14 16857 2016 4 4541 2881 48 5273 8139 2 16128 6793 1 149 6735 1 7454 1243 2 2863 2352 1 11877 3135 1 4811 4029 6 13762 100 2 12517 3808 1 33 1830 6 17088 1748 1 416 4351 3 187 6053 2 6611 207 1 4257 2549 1 1718 6709 13 7288 282 2 255 6200 2 1799 7419 1 17088 1250 1 16066 411 1 4995 2265 1 6089 8083 8 12934 7643 1 12554 5730 14 7956 3573 1 17548 316 1 12850 3686 4 14710 962 1 13262 6025 1 7910 7304 1 4090 8081 1 19782 8071 1 6164 5555 1 13195 1703 5 18698 3516 5 14296 7098 1 12196 6687 1 3846 5175 2 704 3892 1 5631 3578 1 15691 1721 1 18531 2876 1 17578 6414 7 6312 2626 1 15791 936 4 11769 103 1 6037 5607 6 18431 3072 1 20137 1741 1 1844 7534 2 92 4135 11 11362 3193 1 19758 219 16 3255 2263 6 16594 712 1 9815 3579 1 16538 8103 1 4784 2103 1 13185 7282 1 1983 1738 8 4634 5285 1 915 4948 40 14808 1703 4 14450 8069 1 655 3161 1 16802 498 1 4170 6435 3 6867 6162 2 15344 197 1 15124 157 1 10374 66 1 1716 1380 1 7374 3899 1 11432 5282 1 14573 597 1 4056 750 6 1649 7814 3 8911 200 1 3037 1703 1 17886 8103 1 1221 6793 1 6932 1374 2 12502 1244 1 12501 1253 1 20268 2542 1 4463 3167 1 5276 5104 1 17959 517 18 3939 76 1 6683 4398 1 17091 5108 1 3505 3954 1 9680 823 2 5022 3741 6 16595 1246 1 46 2353 2 12534 1307 6 11729 2974 2 1204 7098 2 15297 1737 1 65 3155 6 13574 644 1 7124 7355 1 8982 5518 1 18734 1422 3 8251 3427 1 5364 995 1 11196 4949 4 6126 4963 5 19135 889 1 19718 6500 1 16742 880 6 12184 1698 15 232 2678 1 19889 2712 1 3951 2542 1 3697 5018 1 755 910 1 1798 2969 2 8736 608 1 15678 6053 3 17505 3206 3 16730 824 2 926 2662 1 17414 4467 3 15618 3175 1 10245 100 7 19213 6597 2 12821 387 2 20163 1256 2 7165 467 1 14305 573 3 5248 1732 3 4931 6053 35 10406 617 1 20181 6442 5 13589 13 2 11216 253 1 7203 4339 1 12457 827 1 8191 4245 1 3180 7338 1 9807 6150 3 5881 1247 15 12294 8141 1 17227 1747 8 575 1278 1 19336 4528 1 3113 1251 2 19401 1450 1 3755 1751 1 16151 2729 1 6420 2729 3 13111 1235 2 12828 7734 5 9383 5060 2 2428 235 1 17545 3512 1 5659 219 30 18484 4237 2 10554 1350 1 13283 1576 1 19949 3910 1 11442 225 1 14357 1762 18 19180 6972 1 3544 1238 1 14063 698 1 2583 6663 1 13711 4833 4 10796 1333 1 19286 220 1 12318 4288 1 17670 1037 1 17709 4435 5 8440 1663 3 5025 265 1 5441 470 7 11416 1147 8 19568 46 1 14076 2610 3 15778 233 2 9572 229 1 9973 1277 2 2835 2736 3 19601 2572 4 17700 23 10 8639 6688 2 12918 3549 1 4265 1727 2 10694 173 1 19342 2584 1 11013 1722 1 9349 1621 5 20114 10 1 16594 5294 1 17227 7404 1 15371 2114 1 10078 2401 1 1746 554 1 654 7512 16 387 375 1 6772 23 8 16674 3741 1 409 235 1 16955 3781 1 5018 201 1 7491 1819 8 9928 2497 1 16806 1374 2 3012 23 1 1586 215 4 10973 6341 6 2128 52 1 17164 3203 2 8439 1743 2 15202 629 1 9503 198 2 3581 1747 2 65 3193 1 18014 512 1 9572 3322 1 11928 1747 2 20090 4667 1 16500 1395 1 18176 197 1 4933 3069 2 11566 6120 1 8226 448 1 17500 1720 1 8410 1248 17 1837 8209 1 9659 8081 6 9509 510 6 18706 215 1 11537 203 5 4135 512 1 4305 2068 2 17184 1740 1 8174 3114 2 2566 5325 5 805 1246 2 15313 5513 1 11320 1105 2 14305 850 3 1590 934 1 2508 3493 1 19875 2653 1 19649 501 1 14488 3239 1 2886 60 1 19360 5439 1 8930 4992 1 9193 1573 1 15132 787 1 7652 7829 5 15969 1710 2 788 1421 1 877 478 3 19082 5259 1 17078 2591 2 11093 1772 5 20044 1781 1 16334 6173 1 12279 1991 9 808 926 1 6350 452 2 4998 274 8 8590 215 1 6063 5905 5 1851 3892 5 1082 6721 1 6183 1357 3 1296 100 10 16831 23 14 9674 871 1 4932 536 1 11534 200 7 102 4617 2 19293 215 6 993 4403 2 15809 7850 3 1875 5105 4 7476 7758 1 15836 1819 1 13634 4251 30 10 356 2 9112 1769 1 2128 5860 1 19712 4998 21 2886 5224 1 6081 196 3 16284 1825 5 8237 696 1 3874 5440 1 8558 200 2 14721 460 1 16265 6669 1 16494 467 2 3352 7612 1 460 8187 1 14335 5494 1 187 6390 2 9782 214 1 12196 4301 1 153 7000 1 2640 4952 3 324 4618 9 14416 5495 1 2313 2889 5 9341 3333 6 16547 2265 4 14201 3827 1 10166 925 1 11727 5252 2 314 1695 3 16676 233 2 4255 3634 3 20210 6457 1 2273 1814 1 16470 5758 7 5235 7412 6 15508 5433 1 11467 82 7 19205 1819 1 15599 6568 1 18508 1375 4 17662 173 3 8495 6669 1 16391 504 1 10279 2563 1 10630 252 1 19826 2089 1 8657 6682 1 40 2091 2 8732 2114 8 13130 221 1 3697 3167 1 17726 845 1 4530 8002 1 1969 2729 1 3874 35 2 11382 1147 1 20148 3352 4 16932 3233 1 10249 575 2 5036 4403 2 14297 1613 3 10693 6363 3 4563 8184 4 9597 4029 18 1389 2710 2 17543 838 1 16639 1825 2 17415 2552 1 9098 1955 14 14718 8094 1 3550 4386 1 1198 2982 2 11852 1395 2 11402 853 1 6871 495 1 5290 2864 1 15683 1037 1 15634 2057 7 15192 3768 1 9604 3900 2 48 2427 2 3790 1356 1 3556 219 1 33 1815 1 12128 2729 1 19740 726 2 10441 1738 1 18876 5333 4 3826 7910 1 2278 1156 1 456 520 9 9793 5202 3 7685 1573 10 11363 5555 1 5336 7210 5 6873 4065 6 9833 1730 1 143 1662 1 7034 1350 1 6683 681 1 8105 1718 1 1228 203 1 4935 6049 1 693 7309 1 8885 5105 1 2716 1819 2 9291 3070 1 6245 4279 2 9572 233 1 3373 5574 2 8828 200 13 4514 3309 1 1598 7512 1 19000 5517 3 9628 930 2 14853 6278 6 5662 173 3 18075 533 11 5638 5817 2 8298 2016 1 4843 648 1 3025 1453 1 3253 4807 1 1201 1235 4 17 1202 1 18500 667 1 8658 7672 1 8751 1663 1 11339 4403 4 2189 3011 1 5573 646 3 15656 1788 6 10649 4387 1 17548 2743 1 11855 2352 1 2739 1147 1 10207 220 1 16626 1331 1 16699 4971 2 9759 3556 1 16655 1374 1 14522 187 10 20244 666 1 174 7900 5 8419 1685 2 18873 6065 1 12918 1304 5 16970 1629 1 5048 1828 1 19560 2191 1 15447 5018 1 19730 3263 2 270 1722 1 15897 7936 1 14462 617 1 7970 308 2 17713 4281 14 6314 891 15 16417 7857 1 8184 4001 2 98 4431 1 14006 2356 6 15429 7215 1 4649 5998 1 20273 129 4 5444 1146 5 18462 6618 2 17714 7029 1 15511 203 6 7354 1272 1 9422 8184 1 18976 4623 1 17785 3059 1 16878 6335 3 15620 4221 2 17902 2894 2 7111 4992 3 873 8176 1 13352 649 1 4332 2356 1 17311 7381 1 9474 7489 3 8004 4343 2 5363 4829 2 17141 747 1 4492 1451 1 3702 2555 1 19675 2648 8 11935 780 1 815 496 3 4431 7331 1 14295 6252 1 13468 1731 1 412 2306 4 12710 4411 4 6252 223 1 12521 785 1 6835 5472 1 822 903 2 2413 3152 4 6504 2138 1 4525 541 3 15085 7772 1 62 1711 1 11985 3399 2 6770 5490 3 9941 3283 2 5967 3787 1 10653 779 1 15721 7094 1 11912 232 2 8171 7355 1 9632 4987 12 13711 4911 3 11786 6522 2 18970 3117 1 592 477 12 3426 2356 1 15156 1190 3 8597 8033 1 6853 382 1 19967 7857 3 14832 3409 1 19175 3366 5 6303 7846 1 12592 2087 3 3455 4807 1 65 2083 2 1812 1825 14 174 6037 5 931 3684 1 1358 7142 1 11451 3480 1 19730 5989 3 17887 1499 2 8439 184 1 2891 215 1 5028 5783 1 915 4635 3 16137 6262 2 7147 6053 23 314 3671 3 6543 2341 1 9336 1416 11 17664 5018 6 11155 6164 4 3594 4020 1 14035 5411 1 19491 188 2 19241 753 1 13926 6346 1 19145 1751 2 12682 867 5 17886 4540 1 5249 1764 9 4852 4060 1 5769 5879 1 873 878 1 5202 6368 1 16494 812 1 9941 7878 1 11711 7407 1 18325 747 1 20192 1819 1 6979 525 8 17037 6286 2 20100 1367 4 18555 7863 2 133 6065 1 18557 5327 1 2807 3778 1 4462 7410 1 15886 420 1 11028 1247 1 723 385 1 15253 129 1 16916 3625 3 7452 551 1 914 827 1 5299 2626 13 11985 1249 2 18791 214 4 1320 533 1 17662 219 1 11259 6070 3 10852 1443 1 6990 3410 1 14005 6567 1 10907 2662 23 14233 1453 1 1683 5301 1 11968 5418 1 543 6888 1 17563 6229 2 16140 2488 2 4880 7529 1 18281 4125 4 19322 4387 1 7295 5512 1 15935 1342 1 10763 3926 2 4385 2493 1 19637 3442 1 18014 2849 1 16594 7535 6 10929 2369 1 5831 883 2 13093 203 22 2354 244 1 9199 898 1 12250 2250 1 15429 6487 1 18287 1606 1 3258 1727 1 12773 1751 1 1374 1728 7 15653 1209 2 6233 203 5 13236 173 1 18259 1783 1 4531 787 1 3894 23 2 19091 7145 2 4965 1877 2 17578 1342 1 2748 7313 1 16236 1252 1 8125 519 1 6269 5420 9 1734 1245 1 15429 2107 3 4179 207 1 11195 229 4 16676 718 1 6183 3230 1 10698 880 1 2135 3518 2 13663 2552 6 15160 3442 2 7019 502 3 15508 960 1 8953 6481 4 87 4026 1 9802 3333 2 4709 4983 1 5840 4998 6 1822 3747 1 745 867 3 13 135 11 10498 4310 11 14599 766 4 1530 834 1 12389 3900 13 143 2662 2 8529 3511 1 8553 407 1 2342 5506 1 18939 2899 5 5239 1450 3 416 1707 1 1825 4312 1 7267 221 1 2927 334 1 4287 2913 1 10374 7860 1 8174 1740 5 10636 1235 3 9503 1727 6 15915 3586 1 9182 7410 4 17216 2268 1 14148 2792 1 14380 2691 2 3841 8022 1 15180 1783 1 14487 4996 1 2985 3601 1 7770 1814 1 11857 6192 1 16034 2535 2 6271 215 2 9737 3827 2 19537 1728 1 5748 2478 1 3072 5272 1 2568 3067 12 16584 8008 1 5296 7149 1 1255 220 1 1204 6892 2 12668 4555 1 20221 525 1 5208 3411 9 6045 7706 1 10382 1250 4 9457 258 1 19608 581 1 19551 441 1 3307 1249 1 3216 7601 1 7417 7931 2 12501 891 1 17677 207 1 14906 470 2 554 1341 6 10826 5991 1 6085 4435 5 16307 6683 14 8690 2403 2 10918 2729 1 9308 995 18 18092 207 4 4663 837 2 11342 6595 4 2020 4578 2 5421 4314 2 1650 1237 1 604 3081 1 17169 215 1 17998 502 12 11277 4363 1 6855 219 5 12362 777 1 15314 2269 2 13461 1719 3 6802 223 2 8949 1825 6 3176 3615 2 14335 7407 1 14696 2737 1 1269 5496 1 12884 4085 7 17500 289 2 16625 214 8 171 7722 5 10170 7530 3 13760 4065 1 8228 1781 4 3665 2056 3 5365 3512 13 15608 6106 1 15683 7573 1 6724 2571 2 14196 7612 2 5542 1305 10 2300 2445 1 11923 1718 1 3189 3518 2 6187 1190 1 151 6793 7 12800 6242 2 18029 2675 13 14543 3074 6 72 3343 1 784 196 1 2403 2032 7 6541 2552 2 19763 225 1 4199 3109 1 1806 853 1 625 3364 9 14170 1374 6 3486 2080 1 11080 3414 9 15513 4041 5 9998 6202 1 14605 2522 1 10579 4351 1 17506 6806 6 8223 6213 17 8528 519 2 7799 4919 7 5882 3361 1 3256 2513 1 18535 300 1 46 1756 1 16378 1695 3 8043 220 1 135 2652 1 11687 5496 2 12870 2555 8 15850 4603 5 4758 3078 1 16751 2307 1 7633 220 4 13666 5325 13 19641 8122 2 5453 7527 1 12717 1695 1 19440 4585 1 6156 6413 1 16756 6738 1 1796 165 2 13608 308 1 4563 2734 9 4998 23 1 20 1350 1 19354 7538 1 18123 3511 4 11366 203 1 11148 1271 4 13909 5512 1 7261 225 11 14926 184 1 11219 1770 4 3704 1757 16 19505 2665 2 8296 4638 2 5095 1985 3 8225 1738 3 13865 3645 3 19730 4246 4 12775 237 1 13262 1573 1 3581 7883 2 14305 2888 5 8159 954 1 10461 1285 1 15777 2675 1 6038 2419 1 14086 2908 1 7738 214 1 7892 4796 8 13705 3667 6 7186 2645 1 5249 2727 6 6752 3382 1 15787 6576 3 8528 2678 5 2643 8071 2 11786 6140 1 4563 1718 2 10436 1739 1 4095 533 5 15337 1395 1 14566 1779 1 17606 7474 4 8212 3056 1 8532 1757 3 10604 1038 3 13004 2831 1 13590 679 3 13892 196 1 11687 219 6 9444 2860 1 9154 1883 1 18471 2184 4 2441 1819 1 18270 7948 4 11769 1942 1 13698 1277 1 17983 1722 2 19769 380 1 160 7287 1 19348 2107 1 19636 2805 1 10701 514 3 3521 1757 12 6884 187 1 15749 1784 1 8528 1724 1 2702 7410 1 10383 2026 1 13613 879 1 18494 1356 7 13905 2663 1 20149 2147 3 4094 2089 1 12902 7245 10 13728 200 13 14685 2938 3 439 883 11 14458 4186 1 667 4703 1 7995 7554 1 608 5712 1 7630 6557 1 13535 514 4 13670 5804 1 2880 2671 5 7011 201 9 1551 1734 1 14016 1342 1 19272 7264 1 150 6756 1 8571 6038 43 12453 5654 1 12975 199 1 7236 6105 2 3337 7119 1 11516 4295 1 15159 1338 1 18496 5020 2 12958 201 9 14657 3633 1 17109 1705 2 7757 23 24 863 3361 1 15648 74 1 18692 4653 9 8554 1589 1 18249 1732 1 13961 3391 2 6749 5768 1 15400 3586 1 15307 855 1 16388 2361 1 6647 3851 1 4519 2058 1 13763 6714 1 18862 1913 1 684 214 5 9983 995 2 18814 3909 1 18815 173 1 14201 5257 3 7962 23 1 6635 23 3 9968 5567 9 19639 2354 1 16006 1146 2 7281 2561 1 4678 3480 12 17835 365 1 4130 4680 1 4357 8153 1 8248 6675 7 14148 1407 1 15669 845 2 7256 1169 3 4301 203 2 11898 7531 1 16389 3333 5 16063 5533 1 5441 1518 2 10404 1093 2 12261 1728 1 12286 1781 1 18796 4333 1 18644 1721 2 14963 3389 1 15668 4946 1 1045 3902 1 18373 2789 1 13774 2632 1 11156 7517 5 4307 3556 1 109 4977 1 6431 2353 3 11853 1698 1 17167 525 1 9913 193 1 328 2957 1 16016 944 6 992 2727 1 13642 2450 3 7768 1184 1 787 222 10 6123 1296 1 8083 7257 1 5063 203 5 15084 7471 1 6692 3798 2 16843 3389 13 7999 7670 1 19634 13 1 4170 2534 1 13059 2642 1 6733 6084 1 10846 6663 1 2081 200 5 11111 496 6 9701 780 1 14744 221 2 16140 6924 1 1710 1126 3 18867 3876 1 17809 502 4 11357 4807 5 15770 1150 1 135 544 2 10797 7374 1 11487 1883 2 15507 3156 2 6767 4311 1 4499 200 2 9468 2013 2 6564 526 3 787 3682 1 20015 1764 1 18734 4288 1 12208 7542 1 14700 2676 1 781 4987 4 10604 623 1 11616 3364 1 16913 2913 1 13 950 2 6435 500 1 15759 4242 1 6360 304 2 14968 206 3 10973 1243 1 15593 4493 4 11233 215 4 7994 602 2 3397 3626 1 15826 7840 6 4374 4796 3 18199 6481 1 10199 2419 1 1995 1286 3 5453 229 11 18999 536 7 80 3624 4 1399 314 2 12993 3247 1 14669 3464 8 9628 646 2 17892 953 9 4303 3840 1 1631 3057 1 2147 3441 1 15935 385 1 2345 8122 3 18535 1819 2 6032 1147 9 12257 524 3 6776 1342 6 15636 2299 1 15764 855 4 10133 512 4 19062 3685 4 3505 2570 1 13103 6150 1 9044 1955 1 9985 7260 2 5701 682 1 17463 2104 1 20278 2302 1 1047 1296 1 18427 4436 4 7390 1825 1 5679 3358 1 19186 411 2 4401 175 1 3594 4352 1 3569 1314 3 8506 1995 1 130 5966 1 19777 7424 3 19506 5018 4 10832 1091 1 8456 379 1 9374 1649 1 16676 3558 1 5363 4821 1 4768 532 14 1783 5270 1 11192 730 1 14905 4245 1 18499 2901 1 14600 1244 1 383 7086 10 1277 540 1 3544 1251 1 3857 5021 1 16856 397 2 17126 2831 1 19857 4203 2 7933 3502 1 4689 2675 5 13414 184 2 62 2819 1 2556 8190 1 7507 1720 1 17259 8099 1 8996 2913 1 14759 215 2 10043 65 2 2365 3334 1 7823 126 23 6152 2747 1 13472 8200 4 4383 883 1 10703 929 2 10013 470 1 8952 3140 1 15091 1037 33 14694 8197 2 143 6588 1 2304 3635 1 2075 2662 1 826 3605 1 15535 222 1 11511 1356 1 6862 1359 1 11694 938 4 16191 7670 2 8198 6661 5 64 3087 2 19737 1081 2 20081 7101 4 8435 1482 1 2803 4704 1 15776 5740 1 40 2066 1 5759 291 2 12382 6568 1 17645 2686 4 5161 6949 1 4392 525 3 16378 1752 2 4898 7234 4 19211 6713 56 6154 411 1 14287 7374 1 655 3114 1 18535 4623 18 5882 7308 1 11026 605 1 13999 2863 1 3427 3876 1 7028 225 1 4282 6090 1 17 1127 1 6314 3629 26 18815 207 3 5956 1571 1 745 1441 1 10000 425 2 6228 1774 1 15634 169 6 10398 214 1 49 2480 1 3651 5148 1 19710 2777 1 833 6342 26 12428 2646 1 11416 8071 8 10145 2940 1 10841 6760 5 9032 2656 2 18016 200 4 7432 1686 4 7577 3951 1 6269 3747 2 14368 736 1 10649 4204 1 14384 200 7 4850 4476 2 13544 496 1 8406 1762 1 9879 3203 1 9463 944 5 2404 2548 1 9875 221 4 3048 4386 2 3199 1713 2 16254 1737 2 15549 2560 15 13615 6270 3 4049 4168 1 1147 2367 1 14347 8109 5 6999 2353 2 3963 964 1 6232 5022 5 12047 2361 6 8298 4591 1 6326 532 1 13045 1283 1 7940 753 1 16736 629 3 15419 46 2 4511 2350 3 20 1315 1 16869 2392 2 10785 411 6 9279 903 2 16612 2013 1 1102 229 1 6573 196 6 12459 7466 2 1613 1718 2 1143 5522 12 16548 1757 1 4092 244 1 15756 201 1 8481 1721 2 103 4625 1 153 3549 1 16329 3085 1 1204 3556 1 18902 2508 2 9567 3479 2 6887 6536 4 7222 8175 3 16835 2559 4 194 386 1 5773 415 3 15870 6512 1 3642 694 1 4063 448 1 6313 8035 1 3812 1482 1 9946 3621 2 19163 203 1 1445 3516 3 2041 520 3 9060 411 1 2552 3311 3 15318 1814 6 18344 1357 1 15429 1781 1 1848 4312 3 19537 207 1 16397 215 1 7534 5049 2 3907 498 1 1009 838 1 1730 4588 1 8644 2829 1 15775 874 1 17120 1731 1 13430 2567 2 19112 433 1 8872 215 7 10988 2938 1 3128 5555 1 10205 3915 7 12468 222 1 1041 1248 1 5025 6414 1 2462 6431 1 7884 496 1 3527 7210 1 6468 692 1 16287 4446 1 2583 2386 1 4960 452 4 1037 806 2 18161 3221 1 13 584 2 7000 5923 1 17521 3081 1 2405 1417 1 8532 1769 1 6403 1238 1 1663 225 7 10099 1003 1 3060 2401 4 3315 1238 1 1309 506 1 87 1244 1 18518 190 1 7966 4033 1 6642 5518 3 19069 3190 1 1945 6031 1 15699 7023 1 4232 1082 2 1743 4560 7 11854 6536 1 3765 3556 5 8015 3053 1 11047 2302 2 9334 8197 1 15986 3599 1 16259 1247 1 13024 1757 1 19368 390 1 18699 1282 2 15202 581 1 459 4001 3 6046 214 2 3746 792 5 4060 4321 3 13290 1201 1 10396 1878 1 10314 7719 4 14921 1184 5 12883 1278 1 1969 1396 2 1635 2640 1 14733 3533 5 3287 822 2 18739 1756 1 7585 2315 1 4632 320 1 3427 5710 1 17191 5391 1 13778 7231 8 19447 2019 4 13880 5253 1 2296 200 69 19319 5090 2 12000 1878 1 20124 1814 2 12933 1710 1 14662 5482 1 873 634 1 11422 935 2 4985 4996 1 6593 508 1 17894 6039 5 9847 789 1 16605 4429 1 16758 498 6 1552 6564 8 13829 1334 3 15228 1190 1 14524 3444 1 2731 7201 3 11 399 1 8216 2339 3 5638 7528 1 16072 550 2 18115 4314 7 11430 1730 1 1262 6402 30 7585 2955 1 3134 6883 1 11626 1731 1 2473 652 1 11877 7829 2 17858 4929 3 369 2266 1 15651 5349 1 140 6414 1 16095 2356 2 3025 197 3 5424 4296 5 1435 1863 1 17290 6252 2 18499 5546 1 10912 4252 2 7824 156 2 14522 2349 1 6856 1724 14 15206 1248 2 6336 2605 3 6003 4435 12 19322 844 3 6063 3699 4 13327 1234 1 7178 670 1 18040 4623 11 1435 4799 1 3066 4274 1 569 1722 5 113 5080 3 8692 5690 7 12317 1718 2 15320 6824 3 16167 220 5 12945 165 1 16450 2854 1 2046 2927 3 5559 5018 2 6515 4992 1 1622 1610 1 13384 5945 1 20278 3764 6 9457 57 3 322 5060 3 719 648 1 15004 1241 2 14132 1781 1 18298 2254 14 6510 96 3 1879 1423 1 9348 4212 1 1445 3248 1 10332 1606 2 8343 230 1 14887 7232 1 3106 221 2 14133 5686 4 5009 3593 6 62 2877 1 9284 5175 4 6397 5266 2 16695 1076 4 6894 4794 1 15523 411 5 14253 5420 1 16089 520 1 5571 497 2 10462 7078 2 11400 5380 2 3581 2247 3 9978 3813 1 17416 23 2 13989 4435 1 17887 1764 3 4793 8156 1 11430 3492 1 15722 903 1 16236 1707 3 16000 5016 5 3045 1737 1 2437 1818 4 4726 1788 2 14957 1644 1 18082 6663 1 2570 6920 1 8751 4572 1 15818 3669 1 13930 1748 1 3694 2254 3 16417 235 1 7065 482 1 14566 1454 3 143 6661 1 8489 904 2 18040 4339 1 15144 1357 1 1494 5349 16 2289 6435 1 6765 307 1 4734 5531 1 15508 793 1 1504 6152 2 4984 229 1 1853 7897 1 9305 326 2 7977 214 2 4492 3511 2 6984 1587 1 18179 3155 1 8683 2675 6 12967 303 3 17403 5810 1 19993 1312 2 3108 7815 4 4167 200 1 12933 520 1 17084 7850 1 16815 5346 8 14764 7234 1 11199 1819 11 888 5234 1 4727 7719 1 3100 3233 1 10015 4561 1 5312 1726 1 17328 214 1 10372 23 1 14710 2838 1 19385 8057 1 12385 190 12 16835 526 4 11549 2974 1 5951 207 5 17113 1184 2 3406 6569 2 11418 3939 1 19300 4708 1 16256 5433 1 12640 7570 50 12412 670 1 17507 3511 1 7085 698 1 4554 4567 1 15084 7412 4 17647 2718 1 14698 175 1 6036 2699 1 19239 1237 1 3296 6897 1 3750 3408 1 11866 3878 1 2405 207 50 4832 186 1 3189 6066 2 8878 5202 1 5025 2399 1 6313 1740 4 2502 2742 2 12978 1697 3 12806 6564 1 19661 5504 1 16072 789 1 3871 1363 2 2030 203 5 6907 4318 3 19934 3511 1 17124 1250 1 4087 5148 1 2511 2175 3 595 1955 1 1478 4292 1 20053 533 3 8443 5931 1 9505 533 1 7882 1965 2 19872 1184 2 18833 500 5 2673 2727 1 19872 700 1 13672 1235 2 3697 207 2 8235 2363 3 64 3059 4 9999 1367 2 812 5903 1 20014 1556 3 19664 1781 9 17499 5502 1 16765 3634 4 6105 6030 1 19426 4972 1 12682 6065 1 17657 4623 7 10672 3477 1 17383 1241 1 8275 3301 4 6906 7205 1 6755 4609 1 6158 1150 1 15875 5791 1 12282 1987 5 14669 531 1 14301 7586 1 11392 1910 1 1756 4245 6 11895 2353 1 7124 6481 3 6447 6561 1 672 196 6 16084 534 1 531 3556 1 12828 5090 1 4859 1251 2 4220 1729 1 13602 3024 1 19178 4009 1 7452 637 1 18387 7474 2 5506 2610 15 8399 4394 4 1786 2883 1 17749 1245 4 19975 6192 1 8359 2354 4 1727 4623 2 13010 3283 11 14629 2494 2 18132 96 2 6038 244 1 1479 7815 2 15970 52 1 1705 6303 1 14507 2938 9 6312 235 3 1491 2749 28 126 5624 1 8860 5120 1 17607 1728 1 340 274 4 17416 395 2 379 1442 1 17493 5318 2 16303 1073 4 13827 1719 1 16860 374 1 19252 8188 8 2359 314 4 13779 2908 1 3362 470 5 2767 194 5 18276 690 4 11207 7936 1 16120 6127 2 2096 4543 1 4082 6047 1 11773 2729 1 1150 6110 1 5977 1277 1 19859 888 35 124 5492 1 60 1267 2 11562 2982 1 6327 1727 6 16791 1823 23 19649 864 3 10895 6761 3 5368 1072 11 16109 534 6 5344 7098 3 12463 6698 2 4108 1819 1 14746 1696 1 16016 3612 1 12663 3414 2 10856 1745 1 5388 2699 7 17452 7853 1 1555 3760 5 124 2877 2 2081 7062 1 7327 2686 3 12322 201 7 17519 624 4 9395 642 1 11540 1706 1 9284 3135 5 13068 2009 1 9058 1321 1 15025 1529 2 62 2963 1 8687 5507 38 10730 545 5 4373 1245 1 4279 4276 1 4009 5442 44 16412 545 37 151 6788 1 13672 378 1 8946 801 1 9268 891 5 9939 518 1 13591 2488 1 12208 5332 2 20262 7128 5 10959 201 1 413 1590 1 954 2368 1 1064 8141 11 10498 634 1 4524 1331 2 1631 7674 3 18508 408 1 5066 517 1 8198 1470 1 15683 2581 1 873 650 3 12855 3892 1 3423 6912 1 11857 385 1 10145 759 1 7146 937 1 9639 3598 1 11502 1244 1 6122 1784 1 18748 223 3 10695 38 85 2391 681 1 17420 7404 2 15419 1829 1 235 1903 7 14201 1357 1 15104 1730 1 16710 3980 2 14744 214 3 15712 3684 2 15106 5559 1 994 2572 2 14191 931 1 17302 307 1 16824 3138 6 18037 5135 1 12882 8110 1 4324 1909 1 5977 3333 1 16286 471 2 13866 23 4 4020 1384 2 11026 1995 2 3397 967 1 2922 499 1 3822 15 1 15148 4789 1 19872 2620 1 18933 1658 3 881 1278 1 9061 825 4 18671 4950 1 4687 2698 4 4493 3275 3 1517 796 1 1745 190 1 16126 223 2 14657 5119 2 8878 228 1 5477 1774 1 8311 5052 2 3532 1328 1 12128 1099 1 170 7593 4 15608 3895 2 10313 4518 1 4734 5450 1 171 7738 5 8944 5227 2 1898 214 1 1705 3389 1 1393 574 1 171 7627 1 15299 1784 1 19863 1304 3 7783 6494 1 15349 5018 15 14612 1464 1 1705 784 2 159 7264 1 153 7061 41 77 3517 1 9829 3635 9 3505 505 1 2852 1253 6 5798 4065 4 16408 4301 1 19221 205 1 10457 6343 1 1822 5062 1 18660 981 1 15975 514 1 15671 3036 2 20174 518 1 2478 1728 2 14173 869 1 4859 1726 1 17242 203 2 15 991 1 19026 1920 1 14325 2675 6 4288 6723 10 8764 3167 1 10741 3230 2 5981 5226 1 14610 1466 8 10879 776 1 2233 2896 1 8229 184 1 3424 6150 3 2448 5758 1 15653 2841 2 14578 3554 1 4267 4452 1 1407 4261 1 1443 206 2 745 718 8 10290 1752 1 4030 624 1 862 2071 5 13446 1887 1 14232 2992 2 6749 5315 1 2656 7815 3 19270 7787 1 19319 84 1 19182 3855 1 9947 8031 4 12740 3180 1 16695 1756 1 19768 7723 1 9655 2260 1 11964 1786 5 4963 1244 1 11426 203 1 2917 1779 1 20134 1710 1 8913 274 2 15201 340 4 15865 5971 1 42 2174 1 8244 7719 14 4237 1324 1 11512 7755 1 2267 2030 11 7943 2580 13 9815 3491 2 1612 532 1 11014 518 2 2885 2362 3 10728 7694 4 7107 2312 2 4488 1721 1 16071 6715 1 16048 6583 1 19027 2969 1 15363 910 9 10887 11 2 10799 7881 1 14591 7311 33 6881 5468 1 633 8172 1 17816 2260 11 6713 7397 1 13601 229 1 11576 1738 1 19939 5513 1 9759 244 3 5972 4986 1 4030 709 1 1756 609 2 9753 584 1 14059 64 1 13211 1772 1 2553 426 5 9457 1558 1 1969 1782 1 18485 1587 1 15948 1748 1 8735 1379 3 12330 6086 1 4650 506 1 18584 7268 1 18727 188 2 9754 2428 7 18876 2572 1 18886 6051 1 7934 215 1 7463 681 1 14147 1722 6 9894 608 2 13219 501 6 8478 4288 2 9471 2355 1 14202 3180 3 3613 1729 1 11497 2683 3 14182 203 1 3427 752 1 14580 3747 6 5922 214 1 825 1755 1 696 891 1 11392 3663 2 19434 518 3 17705 1717 1 3766 3012 1 9865 1363 9 9390 8224 2 5112 3167 2 4243 1661 2 6652 219 5 372 6625 13 443 392 1 18613 1743 19 94 3710 1 19159 7317 2 5446 525 2 2795 6073 5 6509 8012 2 2128 4587 1 18968 488 1 2213 6469 1 19428 4794 1 5494 6507 1 3270 4484 1 17390 34 2 10741 2708 4 4023 1053 6 11709 1706 1 7459 1007 2 16810 718 1 16214 347 1 14778 1727 2 1223 5515 1 1011 1717 3 15718 190 1 839 7769 1 17607 6488 2 7000 5952 1 4092 1703 1 10463 2727 49 10774 411 7 4183 3472 2 11964 2109 5 3514 862 1 2795 1253 1 8190 1719 1 5022 2721 1 10824 1986 7 16072 215 2 18574 4398 1 5843 1775 11 11714 608 1 15360 3240 1 12049 1909 22 14715 1661 1 20105 1704 24 5515 206 2 10502 876 1 14318 1594 2 9915 962 1 6341 1299 7 11786 202 1 14755 6575 1 1060 2459 1 7859 4980 3 16063 341 2 14619 380 19 8585 6080 1 12730 1119 5 19760 318 2 11559 5485 1 7750 7229 2 7390 916 1 14778 23 9 6941 2149 1 16271 7098 2 16016 862 1 15534 498 3 8198 834 21 4426 4245 24 1161 883 1 13614 7222 1 11387 2358 2 7334 3050 1 3733 3220 1 13981 838 1 5890 2751 1 12152 141 5 10933 3899 1 3524 385 1 8560 4427 1 17664 3884 2 18033 3230 21 17121 4963 1 1738 205 1 15857 1727 1 41 2146 1 9381 4623 1 954 409 1 4442 8184 7 12329 1245 2 15367 258 1 6968 156 1 19233 4868 1 12375 898 1 17142 7236 1 11786 6504 2 6681 855 4 10219 578 1 16437 2385 6 4838 605 3 486 1296 4 17104 7030 2 10459 7592 5 15057 5674 2 13919 5215 2 5695 1691 8 8833 6252 1 9759 2480 1 7702 364 1 1606 7814 1 19990 1703 1 7786 5730 2 1047 2175 1 4239 867 2 1164 5347 4 12472 501 2 14302 2107 5 14862 4285 1 12934 1718 1 11835 1072 2 1040 4508 1 7241 3747 7 18879 575 10 3219 864 1 4309 5018 5 12424 7517 1 7857 214 1 9148 1990 3 10543 5011 21 11820 6666 1 2911 6993 1 6711 4333 3 8281 5495 1 13084 1751 5 13591 525 1 12772 508 3 14289 3378 1 18042 1893 2 7192 6759 1 10396 6587 1 1397 4306 1 6300 1946 1 15651 3922 1 7184 232 3 8735 3654 2 80 3601 1 15982 3197 8 135 6219 2 16775 1275 8 18810 2646 1 18511 1342 3 8295 3335 2 19718 215 1 10145 3370 1 15526 1770 1 2368 603 2 5577 196 6 15330 207 2 8004 395 1 4292 6736 6 10168 825 2 3703 7235 2 9432 756 1 20117 5940 2 7211 4352 1 976 1819 2 4963 507 1 4603 7670 3 18251 2488 2 19826 4522 1 6111 5306 1 6733 2087 3 7944 5119 1 572 1757 1 4332 191 2 17575 6435 1 9405 6758 1 9391 23 1 10577 6212 1 7560 6521 2 17054 1571 1 6222 6192 5 14114 3029 1 4268 4547 1 19369 3172 3 11183 4274 1 11846 894 1 5189 523 1 1012 3298 1 18962 1567 1 16726 5449 1 10931 3059 1 1 101 1 19807 225 1 3351 229 1 3571 6682 3 6650 186 1 16831 1707 4 9412 6377 3 14459 196 15 10531 3679 2 15782 6169 1 1280 2831 1 9249 2496 1 5739 201 1 7179 803 1 17686 3163 1 18667 222 1 7725 1423 2 19026 1727 1 9432 5600 1 6712 573 2 11883 4377 7 12979 7630 2 10447 533 2 14658 6992 2 7695 1150 1 14773 1783 4 13806 6330 1 12142 2959 3 16029 206 1 3505 3595 2 222 1054 1 3613 2653 1 14755 6443 2 3111 1788 1 3136 1274 5 18443 2971 1 9581 215 8 17331 2917 1 9096 4476 1 133 6018 1 1705 5296 2 15329 935 1 12933 206 1 8579 3175 4 9439 1342 1 5872 1153 1 8043 603 1 11553 5447 2 16843 244 1 1659 5950 1 367 682 1 1741 4811 1 179 8188 1 18792 3293 1 13711 203 10 17907 1827 1 819 6140 1 14645 1762 2 20219 1727 1 1713 214 1 4634 918 2 16916 231 1 10593 1783 4 5271 5922 1 15881 4314 1 15728 2018 1 3007 1038 1 7483 418 1 17120 1251 1 1196 1721 1 18719 5654 2 13967 3197 3 11530 4609 1 16857 545 4 14522 203 3 19823 1995 1 13 568 2 16511 3138 3 8599 3333 1 9168 244 1 11333 708 1 16860 3705 2 16854 517 2 19138 1374 1 35 1875 1 18852 2488 2 7369 7593 1 5914 3278 2 5453 1732 14 8591 2355 5 2526 1395 4 14912 5575 1 18667 5294 1 6333 1762 1 6074 2404 3 5546 3637 21 13323 612 1 16329 5686 1 5023 7418 1 3915 1827 1 4213 6793 1 3395 8083 1 8965 6484 1 14484 167 2 745 1747 1 4428 129 1 9281 3549 2 11 481 1 16966 824 1 10815 614 1 7610 841 1 16089 1730 1 6348 935 1 11327 1184 1 4883 5129 3 3398 3458 1 3113 3685 1 10589 200 1 3358 850 1 15364 5694 2 16825 1818 1 1431 7419 1 14522 864 3 8971 411 1 3882 2673 1 15896 3480 1 11320 1582 1 14536 609 1 11727 5810 4 10233 8031 1 12501 201 1 4614 5331 1 17710 1727 3 10107 5432 1 9763 236 1 14548 2552 1 17742 834 2 18372 4739 1 2508 4468 1 9661 776 1 7607 3422 1 13302 1717 1 15530 2727 2 16775 2363 1 3871 236 2 10240 4961 2 4391 206 5 12074 2746 1 2980 2864 1 5816 1928 1 10468 1052 1 18832 8158 4 17065 1721 1 13645 3849 1 18748 533 1 14601 512 1 6749 327 1 9668 6810 3 3189 3603 1 4495 7137 6 7452 229 1 20123 877 1 4061 520 1 5049 785 1 11026 197 1 12063 5348 5 15424 207 5 4629 1967 3 4095 3908 1 19823 4723 9 11335 23 2 728 7606 15 17884 1775 1 5515 215 3 12817 370 2 5330 15 1 14696 1395 1 18173 1745 7 4092 1728 1 6108 995 6 14132 219 8 7050 1955 2 15349 4435 2 13890 4849 5 11116 191 84 7507 1239 2 17945 1466 2 4593 4456 1 9422 1703 1 14345 3293 1 6269 1352 5 2477 3497 1 658 1742 3 452 1116 1 12183 714 5 15756 4321 2 19722 201 1 1631 2708 1 17803 2114 6 3240 4467 1 11746 520 21 6691 4992 6 10777 232 1 1432 1705 1 6510 4606 3 1824 3421 1 13631 359 2 9501 7427 3 9870 758 8 17914 1363 2 2845 1819 2 2045 215 4 1958 1782 2 13328 1369 2 1357 4762 1 7356 2930 5 13375 200 31 2250 46 1 18524 232 3 15112 946 1 13461 1718 3 19399 4059 1 6018 407 9 9392 223 5 16264 5325 3 10146 518 1 3310 528 1 19326 2677 1 16645 8017 1 11362 1761 8 17901 4392 1 14999 6011 1 9729 194 1 19727 7521 5 18692 1779 7 9569 2481 36 6858 1249 4 14532 712 5 18014 770 1 1194 910 1 17947 6158 1 18936 2356 1 4004 6414 20 15769 1236 2 9421 5225 1 7247 8219 1 3663 4499 1 19331 303 1 16137 2056 1 12208 3626 5 9365 1474 1 13543 712 1 9341 1303 1 11895 1482 1 11326 1729 1 19568 7565 1 5993 2970 4 3697 1363 1 10765 1358 2 18806 2955 2 1187 3325 15 9605 244 1 3397 519 1 3765 1474 1 11588 6541 3 10135 1761 12 9867 7850 1 14062 8013 3 54 2592 1 17226 169 1 802 4275 1 4552 3710 1 13012 532 1 9305 200 1 15718 330 2 14810 2971 1 18217 6115 1 18149 1757 1 12 511 5 5224 824 1 5301 3669 3 2943 5045 1 11020 307 5 5360 507 2 11786 6590 1 1514 1383 1 19991 2097 5 11775 7829 1 6332 1761 1 9919 709 1 6504 223 5 18973 512 5 1045 22 1 6116 220 1 10595 1703 8 7142 4713 1 1944 2978 1 13088 2531 3 9701 548 1 9524 659 1 16801 244 2 8636 3086 1 10544 7082 1 5424 2372 1 15574 4242 2 7184 1728 1 812 2380 1 6451 5788 1 353 4019 1 17491 1710 1 9511 7750 1 16988 3062 1 8730 752 1 8817 4019 1 1647 4253 1 15791 4489 2 14513 5255 1 27 1606 5 2623 2665 5 10765 3663 2 3826 664 1 658 1786 1 12897 749 1 1853 5757 4 745 6330 14 15998 214 2 7707 3444 6 1005 3910 5 3471 350 1 12492 3324 2 4503 7414 1 3976 1146 1 2985 615 1 15732 1768 2 17124 5408 1 1546 7484 1 15599 199 1 143 6538 2 17386 3426 3 9154 1994 1 13 595 2 12623 263 2 16025 7704 1 13239 7251 1 14985 1726 1 10695 188 7 20114 215 2 1145 203 1 822 3411 1 2844 3510 7 5102 1658 3 6597 3809 2 2509 3591 1 6436 203 1 19775 4933 6 6473 5730 6 4995 169 7 13733 1991 1 13023 2484 4 5330 1361 1 8684 3331 3 4279 1022 1 6806 512 7 7027 7835 9 6806 2350 3 4012 1707 7 7682 752 3 9110 2897 1 11451 3911 5 7361 6817 1 10068 232 1 5278 74 2 5685 3456 1 5515 1891 4 12378 5851 1 4216 1359 1 4492 1686 1 14988 507 1 12704 1359 1 10225 3618 4 840 200 6 12296 225 1 6678 196 5 3962 545 1 5218 5440 1 11846 498 1 15222 1334 1 4018 207 1 3134 1275 5 6645 743 2 1893 381 2 17165 6706 2 8692 5670 6 19461 4673 1 8676 2111 1 16593 3972 4 417 7474 1 13992 2639 1 16681 1819 3 20180 3431 2 17505 4525 1 14883 2729 4 16664 206 3 8026 4444 1 2416 252 1 1801 4501 1 8832 5312 2 13355 7308 1 13860 1282 1 14532 5289 6 6086 2268 16 2902 252 1 6063 164 1 6089 1243 1 7710 187 1 2210 471 1 6517 5538 2 12412 656 2 7788 1736 1 17863 6751 1 19597 6526 2 9146 5949 1 5246 821 3 17556 4319 4 132 6004 1 8775 8057 3 14691 1242 1 14350 723 1 6616 1672 1 1719 6962 1 5059 215 1 13591 1154 1 6420 2772 3 9457 967 1 4050 505 1 10183 7511 2 12896 6640 1 11964 525 2 12870 4803 6 4784 6427 1 259 225 12 12095 5523 2 5738 8034 1 83 3356 1 873 499 1 12104 3658 1 3116 4378 4 17572 4614 3 8695 215 1 7700 348 1 13080 7261 2 3783 4849 2 5338 4363 3 12385 1781 7 8512 4185 4 9196 1150 12 3607 46 6 760 2367 1 19418 2229 1 4784 2405 1 11297 2363 1 3822 743 1 9358 1778 1 18281 1769 1 12614 385 3 4234 6303 1 12988 431 1 8987 5397 1 9967 3012 15 9815 3570 6 18754 177 7 5416 5824 1 20219 1762 2 17089 3748 1 10414 4022 9 5668 2369 1 17310 1237 1 3935 1739 1 1927 23 4 17556 4283 1 3734 3757 1 10031 353 1 6630 7270 1 14522 408 1 140 6427 1 7148 8082 5 10948 6644 1 835 1484 1 17078 1766 4 5685 206 1 16158 864 13 20055 7294 1 1876 1453 1 10000 399 1 14672 952 5 12071 206 1 11072 4394 3 27 1593 1 10374 4726 6 7276 1696 11 15169 271 7 7245 6294 4 10821 6700 1 5023 1239 2 11798 7210 3 6717 489 1 7647 520 1 5049 1824 1 9453 845 1 6135 496 1 8139 206 1 19223 1730 1 5479 355 1 2369 7719 1 14968 1265 1 7219 5506 1 2819 225 1 14352 7477 1 6412 874 1 15810 206 12 5026 2980 19 5675 1482 3 11428 2894 1 16468 2720 1 12140 1450 3 13169 1357 1 6535 5740 1 5155 5543 1 9160 1752 3 9945 1007 1 11867 219 1 12007 867 1 13246 6167 5 16766 8183 11 20123 5000 1 18617 3723 1 14020 2346 1 454 458 6 12821 867 1 15961 7052 1 1443 2663 1 4267 3497 5 17767 8026 1 13135 411 1 1491 6048 8 14758 7534 1 124 5422 3 18932 6585 1 10838 1706 1 18192 2508 1 1912 1747 2 2039 1019 1 15230 910 10 18887 1752 1 4372 1762 5 5771 753 3 11999 1788 7 19870 800 1 4092 2509 2 11203 5303 1 10381 532 1 7648 6661 2 16020 244 4 15510 1275 2 11306 869 10 4160 3604 1 10184 533 1 7685 5355 2 4727 6263 1 5171 74 1 7799 903 1 13640 1245 2 16611 1363 1 18800 4400 1 17911 5318 5 18862 2853 1 12384 200 4 8585 7018 1 983 4233 1 73 3402 1 3613 206 10 15307 6442 1 14938 6256 1 20186 7527 1 5188 3906 1 5147 3525 5 3660 4073 1 3828 5297 1 4593 186 3 6749 316 1 4688 742 1 2680 4274 3 19030 541 2 16925 2595 2 18344 7229 1 8192 7477 2 19922 842 1 83 3821 1 17731 2058 13 32 190 3 20169 1719 1 11628 1829 1 15047 4245 57 19091 1466 1 18027 3544 1 19401 3148 3 15298 2030 4 1506 197 1 4601 3748 3 16634 4740 1 14892 3422 1 1542 6204 14 7000 4930 1 7707 1996 1 7480 1544 1 13790 4403 1 4708 215 1 19470 3900 1 14158 184 3 5025 303 4 4269 1705 1 2181 740 5 16148 506 1 8629 1324 1 14558 84 1 16974 2725 2 9761 2647 1 18259 5349 1 18964 7520 1 11809 1054 1 12894 1701 1 9642 510 5 16864 3227 1 18634 803 2 18847 441 2 19726 6683 1 10758 937 1 16185 852 1 3703 1717 6 16063 5436 1 4170 1518 1 12458 7716 1 11250 201 1 17268 3511 1 6144 203 8 3447 1727 1 1308 225 1 2284 244 1 9412 4559 2 18793 184 1 8064 545 1 18089 2143 1 16828 1705 1 5216 1352 1 15091 4738 3 6124 3747 1 9546 837 1 5638 1239 1 6712 893 1 18886 6507 1 9736 1747 19 6032 3256 5 14946 4288 1 1433 1658 1 5217 3076 1 16175 1374 1 54 2581 1 1355 5060 1 14931 7719 5 19961 2667 1 19491 1721 8 1720 2925 1 16951 2367 1 6263 2480 2 13831 1108 1 13447 347 1 3786 593 1 6322 1707 2 12049 7420 3 7306 839 1 8855 1246 1 17935 3109 2 387 1287 1 14060 6141 5 17429 2635 31 9281 2106 3 6593 1770 2 19137 134 2 9906 2698 2 4688 864 1 9868 2507 1 1655 1752 6 9088 7921 1 7507 235 2 5743 2661 1 13 230 2 19407 206 4 11545 351 2 11297 4245 2 15881 936 1 4895 303 1 7201 1017 10 15769 532 7 9374 4811 1 8831 6053 4 5540 1395 1 80 1046 2 1839 859 1 13638 1741 1 3484 2413 13 2135 1734 1 14698 1383 2 13985 236 1 5623 153 2 16605 253 1 15476 2810 1 4267 223 2 3365 1751 1 7886 3480 1 6543 2424 1 998 3477 1 17887 3113 2 16784 2261 2 11773 2686 2 4306 6341 3 9521 221 1 19648 1108 1 14084 502 4 11461 864 1 8952 733 1 218 5115 1 1780 524 1 14414 7601 2 16768 341 1 16798 2797 7 455 6621 1 2271 4203 1 13636 6533 1 270 244 1 19222 5018 7 12911 910 2 7640 1356 2 7188 3910 10 12934 3954 1 2818 1734 1 15970 1241 1 14328 15 2 14327 1334 1 11091 8194 1 14522 2352 4 18561 5700 1 4491 200 5 18326 724 3 7028 1721 1 2107 4204 1 12740 3333 1 17246 6144 1 2803 2969 7 2862 1757 1 18 1245 1 9318 534 1 11820 6671 2 17772 6670 7 14826 3627 2 10123 4159 2 20089 6706 2 2198 7112 1 14980 4836 1 18384 2155 1 5781 4780 1 16016 2778 1 16130 1582 1 17096 1342 1 15712 2698 2 5831 3228 1 9463 347 1 3516 57 2 3537 3730 1 16509 1623 2 12972 528 1 18617 1819 1 2152 3635 9 13674 1037 9 10043 6587 3 18091 466 1 8687 214 2 14836 23 1 4688 616 2 12170 207 4 9651 207 2 80 3609 1 2440 743 1 7303 2878 5 19615 5427 1 12529 3920 1 20 1369 1 9572 4325 3 17586 833 1 6636 4189 10 8538 5119 1 482 1785 1 11950 3494 1 8202 84 1 14760 1629 1 19266 7719 1 18060 1234 1 14607 4951 5 91 4085 1 9063 6139 8 3481 6106 2 14861 7073 4 1125 5418 1 121 5258 1 10693 38 5 164 7491 1 8322 888 3 18214 6037 2 19400 7853 5 11331 6268 2 17373 221 2 11738 1748 1 16593 505 9 8289 2980 2 6755 1363 1 16378 1814 3 3146 6633 1 20265 2382 1 17618 1703 1 5412 1374 2 1346 4102 1 12329 5567 2 16754 222 2 16278 1882 1 12392 2721 13 18173 214 11 379 5518 1 96 1757 1 11411 1729 1 19286 7857 1 16561 681 3 16916 4209 1 17076 1573 1 1499 5614 1 5521 5104 1 855 390 1 8779 167 1 11597 5318 1 5445 8195 1 19955 1681 4 3885 1707 4 20114 793 1 10650 3851 1 19999 1940 2 6193 605 1 11968 1344 1 19957 638 2 153 6888 28 10 332 3 8211 1243 1 4597 1806 1 12817 4501 1 6463 1366 1 3031 1727 1 19326 1757 1 6742 6583 3 15851 524 2 11509 4982 1 3676 3840 1 593 506 1 5149 206 2 92 4148 2 2938 3627 1 11461 1710 2 18405 220 1 18204 6568 1 8958 1420 1 11162 2648 10 13735 545 1 19720 6334 2 15670 1296 1 2496 2675 5 5132 1342 1 12789 2495 1 6712 604 1 18982 3684 1 16238 232 2 6233 759 1 80 3576 2 1780 1819 1 14906 4245 8 3947 8183 2 11737 1743 1 13638 1736 1 15691 853 1 4258 3203 1 13290 2622 5 18704 659 1 15870 23 4 2710 1724 1 216 3175 1 3048 555 1 8100 5018 12 7012 1751 8 9224 6576 2 16102 6219 1 14231 562 1 12343 1324 3 4962 34 1 10145 342 1 458 7234 2 17741 2018 1 6519 8083 1 10245 6155 1 6123 1718 2 12571 7508 1 3031 8114 1 8471 1825 6 2717 5837 1 7682 558 1 12989 5888 6 1530 1369 1 9294 2331 2 11276 229 1 19778 3604 1 14797 7380 1 8080 2399 1 19944 2969 1 11530 1724 5 18095 7805 1 14312 4446 2 11549 1638 1 14599 602 1 5543 745 5 10138 1357 2 13743 395 1 4572 4375 14 10732 200 4 9270 5451 1 8957 6652 1 16726 904 1 16764 244 1 10290 1241 1 1732 2880 12 6343 4530 8 2602 5329 1 14262 6757 6 16861 8057 1 11890 2675 2 12493 534 2 14059 2342 2 2630 5468 3 13957 1363 1 8383 3330 3 572 4503 2 18082 637 1 16378 200 9 14290 1695 1 5281 2715 5 17585 4302 1 4946 1242 2 18232 4299 8 20090 3773 2 3790 3191 16 9783 82 1 3521 1728 1 16090 889 1 2693 5495 9 11786 751 1 296 7632 3 10101 1771 16 9424 6237 1 12299 23 2 18821 7085 3 16894 3719 1 11098 3540 4 33 1817 1 5823 1752 2 2111 221 1 5604 3334 1 16742 3625 1 3015 518 1 10105 1719 1 4859 1703 3 15847 7221 6 14298 222 11 19287 2955 1 14762 1764 1 12623 3882 1 6867 2841 1 4708 303 2 13667 6139 5 2511 4021 1 9104 1312 1 17505 3487 2 16997 3284 6 12994 1752 2 8361 532 1 18230 525 2 19822 1760 1 3556 1714 1 14109 5425 1 2990 1396 1 4868 1420 1 6282 1475 1 13465 837 1 16417 7533 1 7630 4573 18 9521 1784 4 11306 1046 2 1904 470 5 9587 629 1 8657 6673 1 4940 3220 35 2091 4023 1 4551 6710 3 10014 3476 2 4519 1819 3 80 3587 1 9432 5860 3 7261 1775 1 15812 7021 1 9952 2270 4 4371 394 1 10371 1819 2 17610 1110 1 19774 1019 1 13425 1277 1 9826 1658 1 5003 4299 1 19401 1578 1 9512 2589 2 17803 3370 1 6021 7102 1 1607 995 1 12459 3473 1 12194 5289 1 7743 3605 1 16442 853 6 4415 4792 1 20019 1973 3 7853 1251 2 19970 4435 9 15395 498 1 15307 837 1 17173 4591 3 7376 894 1 2709 2360 1 11374 1276 1 1414 1752 2 12897 671 6 18473 891 1 18385 5547 1 5293 7719 1 6538 7837 1 12299 8212 3 4822 7850 2 6138 706 1 19090 2951 1 9189 4511 1 1143 365 1 6781 3113 3 7574 5243 1 2884 4508 1 7632 1954 1 6021 1582 4 14162 855 1 12783 4316 11 3830 7433 1 9906 519 1 3776 5129 2 13741 57 1 4022 443 1 526 6132 2 16943 2247 1 7460 1775 49 10393 6341 1 10661 5271 5 3340 2022 1 8264 385 1 5818 1286 2 6275 7857 1 5478 5018 22 13865 1334 1 12213 2410 2 4694 4601 4 13705 1727 1 18138 7983 7 5588 3608 1 12673 1732 1 3181 658 2 3118 95 10 18444 1369 1 6647 6260 9 108 4928 1 2440 6966 3 4947 5445 1 17432 3911 5 15817 5005 3 16185 461 2 16814 303 1 19857 425 1 16583 363 1 7557 1718 2 7670 5286 1 16564 693 1 8535 5090 10 13547 4621 3 5863 5413 1 17156 878 1 9631 6507 1 11914 203 2 14960 5708 1 216 3633 3 11857 3181 2 4332 7719 3 1004 1730 1 1691 1718 1 9250 718 2 11965 501 1 17562 5018 1 991 5418 2 1636 1146 1 4796 5993 1 12184 3979 18 10902 8036 1 10352 1615 4 12592 201 16 13404 5108 4 14254 103 1 6673 219 1 13036 7227 1 3130 3903 1 14188 6339 3 5431 8141 5 3236 1172 1 7480 829 1 2398 3949 1 11184 2899 4 18173 1784 4 6835 5480 1 2829 838 2 10065 2721 1 7295 7155 1 11912 372 1 408 34 1 15902 7238 2 11822 1743 4 17846 719 2 9988 2485 6 17389 4363 3 16217 3511 1 334 5425 1 8391 200 1 7928 1743 3 2943 7174 2 8135 5255 1 6508 2656 9 1888 4296 1 9309 1732 2 285 2740 3 16378 1737 1 3337 5848 1 14753 1296 1 9610 3203 1 8863 597 3 10396 6595 2 640 1955 1 5737 525 1 14055 5018 1 12375 963 1 16059 221 3 18040 5425 3 18992 1153 1 3844 2646 1 6865 3884 1 15113 663 1 17550 4916 1 3112 1328 2 6781 8175 3 2391 861 3 1780 5758 1 1445 6320 4 524 5059 1 6414 11 9 1608 7674 1 16259 225 2 2395 605 1 16407 7836 13 19596 7215 1 14408 5420 6 4994 5688 3 124 5566 1 13490 4919 1 8426 4768 3 11418 5257 1 15996 1703 5 19826 3795 1 14492 3312 1 2974 937 1 16083 220 2 14913 4303 1 12207 1363 2 11131 2342 2 9891 1721 3 2803 395 1 8878 3512 3 1465 1229 1 16858 5150 2 18526 864 2 11955 3850 1 14233 1734 4 745 609 1 15202 685 1 1590 801 2 8462 200 3 19223 863 1 8441 2675 1 5596 532 5 10494 7997 1 17440 223 1 10000 4869 3 663 2742 16 2288 4614 1 14075 3230 1 17287 1453 5 7670 571 1 2992 5291 1 16651 3669 1 20149 4944 1 19872 3888 16 4337 7419 6 94 4297 1 15146 200 3 2643 3308 1 15138 764 2 3673 1193 1 14330 1751 1 13631 4540 1 11258 960 1 8361 5037 3 10847 828 1 16457 3853 1 17014 2508 1 13064 1312 1 9660 2445 1 19156 221 1 1186 1374 1 12124 2830 3 20158 3072 1 19148 5099 1 16022 6477 1 19738 1762 1 17009 1363 1 4092 1345 2 17432 4623 5 11738 2737 3 17290 3308 1 14400 1238 1 18149 508 1 7441 1764 2 14758 1103 1 135 6221 3 9281 4043 2 7090 1119 1 9113 200 1 2181 6228 1 15805 4540 1 4050 1728 1 300 4217 12 3561 5487 2 6779 4792 2 8397 229 2 19056 2331 2 20 1325 5 17671 2150 2 375 3556 2 15542 1108 1 346 2363 3 1801 416 1 9509 1880 15 704 4619 1 17384 1734 1 528 7401 1 17353 2316 1 379 7030 5 12918 1880 6 14738 1247 19 14602 7767 1 8015 1907 1 13335 1236 2 19483 2487 1 135 6188 2 3607 5285 2 14819 220 1 13462 5903 2 812 1732 1 10670 3114 8 9677 151 2 4693 2953 1 8066 3494 6 7659 8052 20 13072 2646 2 4211 2307 6 1964 5156 1 11326 4391 12 17889 5758 3 16789 1356 1 12412 767 1 17129 6375 1 4361 1738 1 17664 4818 1 14669 6887 4 18679 2127 1 639 2614 1 3008 5810 1 13076 1712 12 15670 4490 6 5653 512 5 32 320 2 19405 1909 1 5605 1638 2 8832 177 1 6858 1250 6 2737 219 2 8853 634 1 14423 207 1 803 843 1 16054 4842 9 7577 1352 1 5696 8172 1 11130 3774 1 4536 6669 2 3696 1740 2 4020 2645 1 9483 3556 1 7987 229 2 3662 1043 1 15651 3595 1 16493 1211 7 65 3128 2 15426 1062 7 11180 3230 39 5938 863 2 10892 6334 1 18623 23 1 18723 1775 2 6497 1727 5 8872 1241 2 3956 219 20 10580 1314 1 19115 514 11 18989 849 1 19273 617 2 3873 5826 1 17975 3503 1 12877 3910 1 3261 1238 1 16997 5750 2 11683 5523 1 15271 23 4 17159 1793 1 13406 4328 1 18679 2918 1 3350 1686 12 8031 1464 1 15898 7850 1 1465 3206 85 14234 236 3 12166 6241 1 1499 4813 3 10081 1417 3 19652 3519 8 18821 3808 2 31 1698 2 12438 937 3 8926 184 7 17019 197 1 13461 187 2 18614 1342 1 6038 97 1 19213 1739 4 16275 200 5 8145 1342 4 7587 6541 1 12375 811 2 9188 141 1 1164 5356 2 19385 6027 1 12988 4019 2 3158 184 2 10693 6552 1 7657 8184 5 18450 716 2 6222 6108 1 15106 2355 1 14751 1991 2 6135 214 1 8749 215 2 755 1736 1 4889 7652 1 2992 3747 2 11912 199 1 15701 303 5 11634 1783 1 15883 995 1 10584 220 8 12521 939 1 17486 3638 2 11354 23 2 12897 596 2 2466 8141 1 16090 5517 1 2917 220 7 14436 6680 1 14800 320 6 6907 705 2 6630 1421 1 13266 910 15 4565 1760 3 9767 252 2 12774 2555 1 18517 207 5 9479 3928 1 19322 232 6 17416 2737 1 6895 716 1 235 1728 1 31 445 1 2338 3032 2 18604 5020 10 3765 411 11 10449 3255 10 15319 7407 1 7802 224 8 3304 3006 1 6750 2790 1 2682 1909 2 6023 7292 1 18149 201 16 14124 1825 5 6158 4613 1 15718 197 3 16553 1284 1 16591 1390 25 9508 3400 4 9827 1652 1 5730 364 1 8317 336 4 11772 3203 1 14824 1942 5 8082 3278 1 9607 2111 3 13461 7253 2 13267 1239 3 15634 1369 3 15061 23 1 11944 867 4 14667 505 2 10513 4344 1 11461 512 2 2890 2841 1 1232 7556 1 3579 1772 1 4490 1783 1 6945 5260 1 20107 196 1 7417 8122 1 18431 1245 1 15063 1879 3 5454 3164 3 11061 7995 2 7099 5882 1 12514 1282 3 279 222 2 12614 1249 3 12212 2519 1 541 3698 5 10060 1751 1 10923 8071 2 74 3479 2 19640 207 2 2134 8191 3 12691 2710 2 4197 1686 1 8007 1363 4 7987 1374 4 2310 3475 1 18441 1341 3 14125 1994 1 12712 1768 1 1516 4914 2 5378 175 1 15706 6527 1 14492 5497 2 15164 2737 1 3449 2260 1 6697 347 1 1938 7491 1 12312 5453 1 13436 2056 1 7540 3556 10 10997 6015 1 3035 2357 1 86 3985 1 13126 1146 1 14648 2588 3 4050 244 1 12757 4200 3 4693 2495 1 944 2155 1 2765 3250 3 13985 426 1 5312 2354 1 20256 2005 1 3140 910 3 17955 1703 1 15567 1290 3 19579 6260 46 6645 7189 1 1433 215 3 1530 4245 1 1969 2708 1 12668 3471 7 6451 5943 1 3206 506 1 15794 1342 1 10855 1657 3 19326 841 1 10998 1987 1 1043 5763 1 14201 5391 1 113 5037 2 5960 4577 5 2842 3334 1 20130 514 2 2289 6772 1 3419 1334 8 6183 1747 4 15827 2645 1 7729 1775 3 9310 349 2 13066 6663 2 9462 6874 1 10907 7455 1 140 6376 1 9843 2114 5 10007 2860 1 9178 6246 1 3015 4311 5 7799 1302 11 10145 348 1 9201 2248 1 9920 2645 1 6178 3621 8 9976 1739 1 12841 5885 1 6463 2508 4 10813 2675 6 20258 7850 1 11441 684 1 6394 4708 1 1711 656 1 17365 7256 1 18608 3479 1 5911 3869 1 2783 56 1 8454 1997 2 12141 1035 1 12953 200 10 19145 5502 2 4307 3283 1 8721 7125 1 314 505 2 3207 235 1 11415 2626 1 2677 8126 1 18476 1277 1 298 532 1 14716 7734 43 18251 4508 7 10852 6414 1 5202 852 5 19058 4640 3 4234 771 1 11687 1307 2 12139 3775 1 4472 214 1 14080 624 1 12080 7304 1 14566 2771 3 6731 1705 1 9 240 4 4663 4328 1 14631 235 1 16585 5472 3 2207 1703 1 17225 8193 1 8684 5077 1 17079 1026 1 875 506 3 6650 4343 1 8182 6183 1 340 7525 1 14696 1781 2 6781 2557 3 4423 550 3 8585 165 3 6765 7719 10 13697 8194 3 958 214 6 9279 1758 1 12071 1909 5 10608 1363 3 14791 514 14 6013 6623 1 14610 6139 4 3128 1367 1 2307 3253 1 170 7607 7 13406 2508 2 14218 7840 6 5754 3605 3 9164 1848 3 2213 2349 6 2716 81 1 8394 4107 1 8532 1243 1 19160 1437 3 16736 2481 3 2319 810 1 14087 867 2 11687 3516 21 9374 197 3 16695 1703 1 6681 1686 2 2135 1237 2 12678 7566 1 1743 5171 1 10348 411 2 20184 6979 1 17662 1710 3 9537 6640 2 15128 1399 6 13461 6342 6 1330 232 1 11630 5538 1 16941 1825 1 15648 1729 1 2956 1863 6 1804 3707 2 18193 219 9 634 3310 1 17084 4987 1 343 3840 18 1438 192 1 19233 1762 4 9379 6213 1 13981 7466 1 9154 4351 2 748 5051 3 15146 506 7 7653 5692 1 3281 1482 1 9165 7881 5 10664 7925 1 6036 533 2 17464 671 2 5280 869 1 3082 219 15 15424 7719 1 12036 5472 1 2758 1743 3 2032 23 1 12534 7628 5 9835 6682 2 15188 34 1 4785 235 3 822 1277 2 5119 2343 4 10948 2180 3 9731 6204 1 20017 4236 1 19602 2613 1 16732 631 1 11990 865 1 5914 6342 1 16084 3180 1 807 1241 5 13999 796 1 17013 1153 1 2357 204 1 12375 709 1 15056 903 4 522 23 1 6973 4312 2 373 184 1 15343 4986 4 18140 4963 12 14602 3613 1 19632 1717 1 3025 1686 1 19995 2489 1 16518 175 1 18140 6091 2 14309 1464 1 10864 519 1 2091 5461 1 384 2691 1 18946 23 1 13943 5559 1 5015 3516 1 13544 1737 1 1878 34 13 3945 6541 2 18350 1245 3 19346 5532 1 7910 2552 1 6313 4056 11 9909 3086 1 10384 7353 19 14124 1091 1 5692 7021 1 792 3367 1 17409 1736 19 11363 2341 2 7638 2392 1 14993 3698 8 16296 184 3 4583 2710 1 4612 883 1 3403 8142 1 18175 3526 1 16673 206 1 20 1383 1 11014 6527 5 16583 2118 1 9593 7270 1 14051 1404 1 14077 3693 1 16378 525 1 10988 7528 1 13274 1103 1 14714 1775 3 13429 1342 5 12899 7233 1 10404 650 1 4265 23 2 8211 303 17 10065 1464 1 3133 3626 1 4251 1705 1 1772 225 4 3947 3230 1 10652 2150 1 8264 1367 1 1948 1078 1 1701 5505 5 10222 7570 1 7882 5005 2 4973 380 1 16481 6029 1 5264 7823 8 14719 23 2 1861 244 2 1312 781 1 5082 8137 1 17990 2416 1 4796 1208 1 421 524 2 5005 506 1 9347 372 6 7507 1395 1 4971 1295 1 10111 409 2 16775 2552 16 11622 34 2 7257 235 1 14658 1715 1 1142 4595 9 17160 6962 7 18396 4406 1 13234 1705 1 10961 2970 7 103 4645 3 19057 190 1 19871 6260 18 5454 304 2 1447 1705 1 12925 8072 2 15286 419 5 3452 4992 1 18320 184 11 5761 3476 1 6511 1721 1 8751 532 3 10869 1991 1 10961 1464 3 17348 173 1 6630 2647 2 5661 903 9 9535 1760 3 13046 3621 2 5231 6534 2 2139 1307 2 10404 6892 1 11786 6857 5 11469 903 2 8734 5430 1 10404 2595 1 11926 7920 1 9836 3491 1 11300 2949 1 1444 7759 1 5866 2443 3 17189 7477 1 5254 6053 4 1028 3822 2 20020 1036 1 5196 4683 2 9626 3664 4 4665 4792 1 2785 334 2 9421 7358 1 4854 1582 6 1772 6167 10 3042 1571 10 15713 198 2 19080 501 1 8998 7407 2 867 3135 6 4301 723 6 341 539 1 13373 6252 2 16844 7672 7 20255 232 1 13201 23 1 11314 3909 1 143 3631 4 7067 7787 2 3923 650 2 8153 5251 11 5053 1121 6 19494 2262 1 10244 1819 6 13815 1710 31 11601 206 2 3085 3824 1 19429 510 7 16977 1305 9 15732 215 1 11700 219 3 10741 1751 1 8047 2552 1 20180 64 1 13035 1706 4 6998 1760 1 1551 197 1 7799 1396 4 4793 518 1 5243 638 11 19410 313 2 8903 8126 4 15896 2666 1 18431 1275 1 2662 445 1 15429 3923 2 2086 3492 1 14992 4963 2 13430 1244 2 11602 6714 2 2875 5362 1 15567 1661 3 5028 2980 1 7046 3510 1 2075 1482 1 13596 1705 1 11154 4658 3 16721 4937 1 572 407 3 13299 367 1 2430 1819 1 16442 791 1 12361 252 9 10281 1748 3 5117 5723 1 16997 2701 3 14217 6477 1 16096 408 1 9801 2488 2 19287 5294 1 825 888 13 14114 626 2 10561 2104 1 1708 1236 12 98 2276 1 3724 1760 13 4493 1036 1 1844 1643 1 17892 3227 11 19877 2653 4 151 201 5 18639 8072 19 2461 4961 4 15833 1764 1 3008 6051 5 10313 2495 8 3963 3715 1 17917 5132 1 12159 500 2 19316 5366 1 6005 2935 5 10535 1703 6 13709 1167 2 17384 237 4 7820 3206 4 11372 5105 1 9280 5054 2 3188 1681 6 14900 219 9 16073 329 1 2031 6166 1 3907 8102 1 20007 1226 1 17589 5292 1 1539 251 6 13205 6521 1 15412 2356 1 11428 7013 1 13827 1717 1 13640 1747 3 16376 6480 4 18042 3025 1 19486 3378 1 2917 2721 1 18625 867 4 8024 725 1 2744 481 4 17257 5015 1 4716 214 2 9215 4489 3 8324 1726 13 1704 270 2 729 6620 1 6667 7439 4 15764 8017 3 8654 215 1 17734 573 1 11656 2826 1 5108 3900 5 4990 200 39 8343 2439 1 11486 4732 1 12952 4572 2 1178 5922 2 14777 1724 1 2962 7664 1 8911 2522 1 9217 3012 1 552 1282 3 11317 1482 1 7610 554 1 16482 1747 1 10058 5295 1 5589 4296 1 19153 894 1 12614 3511 17 8641 3558 5 12177 1770 1 20180 481 1 17544 196 2 11933 7351 3 17036 788 1 7776 867 1 13670 5153 1 6414 1237 15 10243 2980 5 14519 225 1 19717 6363 1 2738 4710 1 16437 1342 1 18389 4269 1 5617 407 1 5310 722 1 18608 1745 1 6990 545 2 580 3391 2 171 4403 1 6376 225 2 7356 411 1 7184 518 1 1551 4954 3 11622 2720 1 14669 2805 5 17019 201 10 11551 5748 1 8770 1595 2 9374 7890 1 14856 2653 1 1846 5829 1 11156 6238 1 6332 791 1 15791 1756 2 18366 3540 11 7306 606 1 17882 4534 1 8135 3424 6 11965 1727 2 10307 2620 2 7901 1760 1 791 891 3 2680 205 2 9522 1760 2 15010 1019 1 12116 3184 1 15572 6897 7 2186 3304 1 8320 2884 1 2882 5259 1 18486 4006 7 5738 1280 1 12649 7949 1 10911 629 7 952 2646 1 2629 1416 1 10856 2632 3 19034 1396 3 6684 1734 1 7147 1383 1 7804 2216 1 13697 3167 3 11410 3228 9 11542 1613 2 3013 470 1 9318 2675 2 3397 804 2 12078 1706 14 1504 10 1 12081 2205 1 9815 781 4 14602 3632 1 2890 1256 1 17000 2653 2 20193 5262 1 15553 2058 1 12743 923 2 10272 1730 2 15271 200 5 14522 1718 1 1235 529 1 1824 903 1 9732 466 1 16857 215 2 3859 601 3 7866 3979 1 9024 6152 1 8638 1342 3 15842 23 1 8654 5437 1 16736 7830 4 15343 6754 4 17717 1269 2 15584 3263 2 10999 5379 10 16508 945 1 18980 1820 1 19553 1447 2 13995 4796 3 11651 2103 5 9234 1779 1 10948 1356 1 5074 330 1 19865 5385 1 19727 7672 1 17675 1742 3 17369 4992 1 16018 6979 1 3432 3361 1 18204 2319 1 14913 4333 2 2426 73 1 8785 3472 1 18149 8066 1 1202 1000 1 1539 6341 1 7326 1827 5 4862 867 6 18635 589 1 13088 197 1 6413 244 2 15252 2982 1 1198 536 2 4610 3834 1 14643 541 1 11849 768 1 16748 7612 1 1278 498 1 13029 581 1 18320 6934 1 8031 2542 1 15864 1726 1 12817 510 1 1109 201 3 10145 5174 1 9606 206 1 10051 420 1 19564 2836 1 1404 1084 1 3344 3645 1 8468 229 2 4594 5768 1 9393 773 6 130 1104 1 10245 3494 1 11702 3963 1 790 8109 2 10531 3684 1 1716 1305 1 20214 1781 1 6224 1164 1 12682 3389 1 5943 5313 1 6217 4963 2 9558 1748 2 12913 7587 2 19319 5555 1 8532 2686 1 5364 2261 1 9351 4905 1 3077 1271 1 12966 509 9 17354 6710 1 8970 1146 5 4283 1296 5 12899 4713 1 16466 6150 2 16838 3494 2 9878 5420 2 7272 40 2 8658 5351 1 5252 8051 1 14578 6484 1 12696 6546 3 5757 65 10 16831 184 6 164 7507 2 16790 1738 1 714 3709 1 12532 4540 2 4049 4146 2 13865 5417 3 12633 206 1 2366 8184 21 3485 1755 4 3613 225 9 3074 3510 1 2593 7235 1 403 4721 1 3635 5271 2 12821 2424 1 148 6721 4 6838 2342 1 10988 488 1 1625 2633 1 17662 1721 3 7750 1334 1 9374 1407 2 2036 385 2 15615 6229 1 18524 667 1 930 3834 1 8818 2246 5 11392 1954 1 1576 222 4 12055 885 1 12009 3071 1 12324 215 1 15220 3233 7 13430 198 7 5766 46 6 2158 6706 13 10201 201 1 12231 790 1 15729 7275 1 8438 638 1 124 5565 1 11786 6662 3 4451 723 2 10354 4944 1 10749 308 1 143 6620 1 83 3700 1 3683 1339 1 4259 206 6 4105 743 4 8842 6661 5 19875 496 1 17459 3838 1 14854 7599 6 11678 3532 1 16847 2698 1 19787 684 1 16853 3464 1 11925 1698 5 11383 5432 1 4183 4595 1 12956 7 1 10507 944 1 7917 3797 5 5013 200 16 3124 3206 2 16036 4635 4 5293 1819 1 6776 4363 4 9501 6241 5 18257 2403 1 7288 23 1 12782 330 6 10761 759 1 17738 964 2 3635 8017 1 11881 3338 32 7529 1748 2 9860 2676 1 9288 222 1 6001 207 9 16771 2534 2 10575 615 1 15181 5245 2 18576 823 1 10910 5730 1 18262 1788 1 20085 5023 1 17485 3010 1 15269 2869 1 1868 2698 3 293 6335 21 1566 229 1 13006 5022 5 18886 443 2 4611 5234 1 17046 1691 1 2246 1818 5 14539 4695 1 340 7531 5 536 1751 4 6588 2449 4 10967 2699 6 522 3629 9 7545 1945 1 969 1271 1 5097 521 1 17924 6231 2 17505 526 1 15996 201 8 4259 2727 1 13865 1726 1 7082 8154 2 10060 184 11 8965 214 2 18229 223 1 3460 1499 1 7399 4225 1 11040 7007 1 15615 228 1 7962 517 5 193 5783 1 16310 261 2 16951 6471 1 5172 1498 2 13997 316 1 3299 6402 1 15239 7101 2 15807 4345 1 6045 1996 1 633 6203 1 17291 4613 1 2962 668 1 13031 1363 2 64 3074 1 7366 1211 5 14362 5037 1 4150 3411 1 18809 221 22 2890 4435 1 1654 8083 2 17009 495 3 6389 6345 2 9168 214 1 7610 864 1 11001 3476 3 2519 6031 8 10676 1322 1 4715 1401 1 9319 2600 5 10573 190 7 20046 6632 18 18079 4647 1 2288 5036 23 2139 5245 1 536 173 2 14307 2964 11 12903 7484 3 9884 2109 5 12306 1163 1 15776 90 1 19109 4963 4 8072 215 1 8870 4619 1 17710 5786 3 8313 2931 5 18194 4311 5 17809 1247 1 18643 1772 1 13922 8183 3 3721 23 1 4143 173 5 5096 1909 3 1711 1404 1 18158 1235 2 16178 1655 1 14002 1295 1 9721 1768 2 5008 6946 3 6228 3973 1 15634 1243 1 9859 4909 12 20211 5004 5 13925 177 1 14758 619 1 20180 6674 2 15424 533 5 838 6527 1 347 2549 6 12513 2675 1 108 4853 1 2635 6278 1 12960 1062 5 2118 4653 1 16063 5391 1 5884 2645 1 12967 6284 5 3717 1747 1 16612 682 11 19585 1234 16 19767 4929 5 3113 215 1 12184 6023 4 7759 2552 1 10509 1825 1 15339 173 1 3924 5234 1 19428 1271 1 598 2663 1 8520 1072 3 10601 175 2 15939 2639 1 10462 1209 39 10316 5385 1 6449 7976 5 83 3874 18 8816 4476 1 8134 2307 1 656 3953 1 10843 300 1 9840 1235 1 16557 1695 3 16299 4321 1 5185 2184 1 12348 207 5 9178 380 1 5440 225 2 18985 7097 6 2110 498 1 153 3546 2 7893 1762 4 14759 499 1 6080 4764 1 5216 911 1 808 1464 2 13132 642 1 10554 6585 1 9061 4314 1 13874 1740 4 12929 6502 1 16974 759 1 10143 206 8 13957 3979 1 7624 3231 3 11491 1342 1 2997 304 1 14758 5289 1 16443 5549 1 6327 883 1 15669 878 2 15899 4363 1 11417 963 1 20086 4777 2 1642 2908 1 3000 1975 2 11327 411 2 5739 207 3 11452 5108 2 13671 4000 1 19543 1466 1 12902 2062 27 17362 1395 2 3593 206 3 12027 3970 8 18902 919 1 16578 1333 5 3519 2443 1 12237 6341 2 7963 7338 1 5124 7915 1 15852 3511 1 1431 8141 1 6209 7614 1 761 2675 1 4050 5642 1 4242 4403 1 16476 7372 4 12064 3511 8 8709 8062 1 11144 2355 51 15491 2488 1 4425 844 1 8059 1596 1 10051 4499 3 11585 6107 3 15403 3511 1 17683 5413 10 1606 892 2 6219 3464 1 6001 203 4 14089 6038 1 2838 7485 1 10290 512 1 8579 532 2 10146 2993 1 12657 164 6 2410 2355 2 7071 1275 3 8763 2718 1 7411 5341 1 7173 1250 4 14310 237 1 18418 403 1 7786 647 1 16236 1374 1 7857 1250 1 17141 2247 1 14497 215 1 9642 4949 3 10189 5348 40 9883 4489 1 2474 1827 5 65 3161 5 14701 2109 1 11165 1399 1 13264 5502 1 16881 1122 2 15708 5488 1 124 3573 1 18850 2305 4 13591 1396 1 988 1036 4 5617 392 1 8804 1475 1 8391 4326 1 534 687 1 17745 4967 2 12151 7222 1 17992 5531 1 17198 7538 2 14894 1242 3 944 1781 2 15362 2645 1 14500 359 1 17749 2647 2 1093 3781 1 17357 4226 1 7176 336 1 8116 1780 3 8522 8126 3 3173 3827 1 13652 1736 1 19779 4780 1 16354 1147 2 3175 7910 1 2863 215 2 13625 1509 2 13271 934 1 50 2517 1 6164 5905 1 6058 1367 164 18761 4476 10 13470 3222 12 15855 1649 1 9173 2104 2 4303 235 5 15753 3647 2 1825 2678 1 10742 6053 5 7670 556 1 755 1784 1 174 8107 2 5248 1104 3 326 3456 1 19271 6101 3 5757 3077 13 9443 6661 1 3521 6065 1 3996 1664 1 11228 3512 5 12148 1436 1 124 827 1 7757 3171 4 10826 5313 1 5019 2355 1 6598 4268 1 6183 1363 2 18703 5550 3 17986 5490 1 19973 1772 1 7184 1698 1 17781 1705 1 9605 5018 5 4924 924 5 14741 2556 2 10004 497 6 12182 6143 1 9117 236 1 14839 451 1 4805 676 1 9224 925 2 14109 2056 1 4330 1453 1 3896 6252 1 5834 2609 2 1566 4011 1 17391 7988 1 4347 201 4 18667 495 2 2828 1946 1 11737 2559 1 1014 3065 1 11026 553 1 9052 2649 1 3512 4120 1 12619 1395 5 18575 5905 8 9883 931 1 14879 6073 1 10472 479 1 7327 988 3 3687 696 1 456 7850 7 5026 347 11 3329 4384 1 12824 2912 1 15269 5481 3 2443 881 1 19000 2495 1 9213 219 1 70 3300 1 8965 891 1 18524 57 3 17120 190 1 12821 2877 1 4970 898 1 13460 2296 1 7213 3015 6 1631 3323 1 16862 6047 1 6556 4262 1 10604 817 1 8668 8149 11 433 5408 1 9196 23 11 8287 7255 1 11953 5306 1 9222 575 1 10972 23 1 9396 244 1 13619 3556 8 4130 3586 1 11327 156 1 16511 318 7 10564 2534 2 19034 6028 2 18755 510 2 2096 550 1 18013 1703 1 373 696 1 19802 1395 2 12182 6196 1 592 4499 1 18445 5307 1 4194 1731 8 7566 5324 2 7898 234 3 2315 4784 1 7986 6538 2 17331 1784 1 8052 232 9 17678 7298 1 4940 505 1 13327 525 2 5433 1737 2 19727 6051 1 7416 4956 2 10839 1752 8 10076 264 2 6125 1312 1 7334 1270 1 111 861 1 1280 3427 2 15509 4245 4 14908 1037 14 9121 8161 1 19608 1719 1 10783 402 1 19977 5758 1 8892 1250 1 15589 308 1 15419 203 6 4092 1775 1 1986 219 1 14859 336 1 54 2627 1 2629 496 4 14758 2712 3 12424 4351 3 11804 6113 2 7967 207 1 3710 7234 2 14093 2943 1 9306 867 1 16574 5409 1 17521 5077 1 10176 2356 1 6116 1761 14 18001 5324 3 11048 1658 1 18145 1339 1 7509 1758 1 14162 2083 1 13573 200 1 15496 6915 1 9628 702 1 16456 762 1 8250 2569 3 13806 1174 3 2549 533 1 8862 7530 1 17290 5035 2 10753 1711 1 11072 235 3 11324 7230 1 1 5 1 6255 2980 5 18027 3911 1 2147 2641 1 1834 723 1 12794 5249 1 17060 5255 1 19115 6640 1 7235 1739 4 10601 4903 1 1969 7807 1 12037 554 1 5716 206 6 5108 1827 5 7815 5258 2 19872 4246 1 4570 1814 8 12213 3903 1 3924 3395 1 12249 3998 3 8177 3414 37 1497 3920 1 83 3827 4 3157 6868 1 1025 3426 3 12102 3188 1 1879 3021 1 17947 2071 1 18780 910 5 4471 505 3 19206 340 3 604 4209 8 9417 1466 1 9521 883 2 2874 1779 2 7383 2478 2 658 2528 11 12392 2964 8 11926 1251 1 19583 1369 1 5285 2991 1 3694 361 1 3704 1718 29 4552 4065 5 16596 5043 1 8362 197 1 14695 6687 1 8994 1404 1 2372 3081 3 917 6581 2 19878 2656 1 171 7702 1 7652 505 1 1466 244 2 11297 3637 1 17505 944 1 19568 8041 1 3397 2810 2 6796 4699 1 850 1235 1 17194 5758 5 998 23 3 822 779 1 6634 1901 1 9093 6714 1 16458 214 1 697 7254 2 14296 523 2 3111 4447 1 5624 1561 2 8754 3608 1 12954 201 1 20228 4086 1 15292 1814 16 15318 7112 2 12454 5043 5 954 443 1 12424 6082 4 118 5240 1 698 3647 2 4773 2595 1 10472 668 1 12879 7419 9 13490 4852 1 6510 3762 4 15184 3573 7 10554 7840 1 2925 316 1 18324 2109 3 2403 6979 2 2575 5258 4 2906 3163 2 7823 7719 65 46 891 1 612 1703 2 9178 1007 1 7918 4964 16 6240 3704 1 4384 5313 1 2646 1290 2 18994 745 1 341 4982 1 19430 4107 5 19297 1284 1 10622 184 1 4517 7395 1 16490 5478 2 3860 1593 2 16999 2260 1 15576 5011 1 343 6662 1 10754 7251 2 18981 171 2 2771 4773 1 9201 1244 1 19916 46 1 3702 4578 1 13262 6575 1 1171 471 1 5837 442 1 9374 2626 1 15083 6481 2 388 709 1 17250 7300 1 19641 6597 1 216 4164 5 3399 6377 1 7179 704 1 11167 132 2 495 2875 15 14999 2552 1 7918 5899 2 1029 225 1 15608 235 1 3521 5506 1 6063 1040 2 17662 2686 3 14522 565 2 1766 3906 1 13078 222 1 17946 13 2 2853 3233 1 8737 7411 2 10152 1099 1 4263 96 1 1698 6145 1 954 4277 1 8985 1663 1 475 3945 4 10637 6494 2 11968 3511 6 12813 3206 1 10237 214 6 4691 1747 2 13710 215 14 2913 4029 4 12868 5905 1 8787 1304 1 5701 948 1 11226 5903 2 4739 2254 8 19272 2514 12 8153 3747 1 5421 829 1 17803 235 3 12009 534 4 9694 7673 1 7970 2087 1 19000 2508 1 1174 6380 1 17256 4075 1 6348 4230 1 17607 3866 2 7461 4992 1 13382 875 1 181 8258 1 14623 6714 1 7050 1595 19 3086 532 3 71 3305 1 7440 667 1 18859 3869 6 18075 6484 1 17109 3798 3 2925 566 2 19806 4680 1 6575 498 7 6960 4325 2 18431 1234 1 15874 3005 1 1277 5561 4 20235 397 1 14758 2118 1 3399 2639 1 13187 2510 1 10861 2512 1 17584 6487 1 10450 372 1 6597 6107 1 12643 5586 2 3100 2675 2 3167 3228 1 6112 3516 11 7544 207 1 1028 453 1 1526 6897 4 3683 4774 2 164 3133 1 4965 7878 1 17724 1757 1 5854 696 2 5730 6574 1 9613 215 1 10427 518 2 17758 5826 1 13254 838 1 5320 3540 1 17960 227 1 17717 6487 1 524 470 1 19871 6270 3 14908 199 2 1171 698 6 10950 270 3 13329 5389 1 18116 6213 2 1705 771 1 17405 1363 1 7846 1539 1 11458 6190 4 6490 1781 2 3791 3335 1 18907 3430 30 10499 545 2 16869 2343 10 10743 4252 2 16768 951 1 16427 336 2 19265 2343 1 2674 1420 1 15895 1404 2 8255 3463 1 15321 1745 1 13323 874 1 17518 1768 2 11866 3876 2 12412 886 1 11192 5749 1 12238 1275 5 5661 235 18 19953 1245 3 7564 3155 2 4189 1278 1 11042 2639 1 9150 3493 1 1410 46 1 13919 5293 1 2529 770 1 11952 156 1 9302 1825 3 14060 518 2 15098 5266 2 15465 3305 2 16299 5903 3 11763 4919 1 4128 5737 1 18973 2636 2 10095 2014 11 15192 2676 1 827 6110 1 9044 3494 2 16099 2352 1 16096 1608 1 17633 194 1 6750 6058 1 12271 3478 2 92 4126 15 19057 1772 1 5524 7961 1 4631 71 3 16727 235 17 484 853 1 13829 2683 1 13909 5454 2 10911 665 1 18867 207 1 6208 2262 2 4011 415 1 19713 2727 2 4381 2307 2 873 879 1 9804 6669 1 18887 7206 1 5681 1779 1 17596 2555 1 6254 223 1 9507 1383 1 8868 5633 2 9007 2378 2 3594 2908 1 14736 4393 5 10530 3634 1 14060 5018 1 745 508 1 11733 6674 4 13800 394 1 18502 2559 2 13360 225 2 13697 502 10 2350 473 1 7775 1824 3 5826 1248 1 15802 2248 4 1739 1778 1 10580 1 1 16137 6237 1 1614 158 58 16310 617 1 19286 1721 1 8811 2100 2 7538 501 1 1304 46 12 6191 136 1 17201 3556 4 17960 207 6 7020 23 5 1822 3238 2 17423 3834 1 2036 460 1 9797 237 9 18886 6636 1 6051 6682 1 12064 2555 2 15870 3596 1 8343 4279 9 18887 2561 3 16881 225 1 5859 4780 3 17205 169 12 15683 1367 1 19764 6663 3 18125 8192 2 9761 3661 11 11167 8043 1 31 1768 2 5758 519 2 16106 1681 1 682 5639 1 12119 1464 12 17440 219 4 279 2881 7 2951 232 1 6061 545 1 2073 5090 1 12633 7606 1 15687 204 1 7881 23 21 15235 1814 1 15588 3487 2 13602 943 1 15642 3334 70 4913 561 6 19630 3972 5 130 5937 3 17671 3895 2 2130 3164 1 13880 573 2 15429 1730 2 16531 6166 1 14788 508 2 15876 6139 3 1722 4998 5 19794 4435 5 7000 7963 1 9281 1367 2 5191 5008 1 19530 1775 1 31 1765 8 17488 3900 1 1618 2555 8 3134 589 3 10057 7420 1 6821 1311 4 1797 745 1 8615 2219 5 7575 173 1 8417 215 1 13800 1768 4 7009 4325 1 4019 983 1 10404 1265 1 3715 1745 4 11343 2448 1 2885 11 4 8591 1776 7 17440 207 2 7987 1985 1 16183 201 1 11651 1296 4 19872 5445 1 8614 1887 1 8451 4242 1 2723 4355 1 12909 3676 2 14348 1611 7 10051 4557 1 16346 2747 2 6228 770 1 13894 4228 3 18886 859 1 6452 567 2 16152 545 5 14255 219 2 13105 6785 1 15321 5400 1 20207 6267 1 915 3903 20 19464 867 3 4493 3323 3 1012 308 1 6369 203 14 4617 2455 6 15098 1758 5 5450 2356 1 18615 3135 11 14722 206 8 8878 2534 2 14430 2131 1 11428 1745 1 122 5345 5 8941 6680 1 1927 229 1 17184 599 1 4914 3951 1 7058 4383 1 5667 23 8 2713 1338 1 18915 510 3 18973 745 1 890 3391 1 4357 7404 1 10728 6155 3 2771 1814 8 13390 4484 1 4490 1342 1 13228 1692 5 18307 1924 1 16568 5251 1 13105 1108 1 13360 891 2 5433 308 11 932 5595 1 13465 874 1 17766 1280 5 19815 520 1 10259 1148 1 2512 541 1 5368 1202 1 7143 6204 5 13743 4019 1 14820 1946 11 4417 545 1 1465 3474 1 8878 237 1 16818 65 2 11165 525 1 19877 3684 1 13735 1561 1 6852 2307 5 2140 5187 4 8519 235 8 15158 4060 1 143 6644 3 2103 7353 3 9163 1237 1 11280 7788 1 14722 534 1 3213 3167 1 10087 911 1 14852 1249 2 18244 2729 1 1522 225 1 6201 4996 1 6070 6669 1 18797 1248 1 19632 1234 3 19871 5329 1 9941 819 1 10601 1752 2 16628 4992 1 12317 1726 6 108 4911 1 15226 2550 1 19314 1244 1 14832 3399 1 19160 1421 2 19857 441 1 17066 2821 1 6776 3643 9 18989 5962 1 6158 2662 3 1065 1825 2 3760 411 1 17578 2175 15 10081 3894 1 4050 6723 1 11786 6121 1 12359 5018 1 3387 6139 1 17911 4531 2 16299 6497 1 13997 489 1 10518 6288 2 18667 1342 1 14400 1247 1 8824 5018 1 7446 828 1 19022 1720 19 2309 1804 1 14313 4000 1 6225 7815 1 18988 4517 1 18256 1104 1 6090 885 2 14335 2561 1 2292 8171 1 4646 1184 1 2213 1251 3 14566 2958 1 4539 519 21 7317 581 2 18231 6080 2 16890 698 1 13287 3113 2 3268 1909 2 135 6226 4 6793 2727 1 5748 8067 1 9947 2139 3 126 5675 1 10154 3588 1 13827 215 4 165 7523 1 18287 1776 2 18070 3534 1 12232 616 1 19190 4351 1 4729 4127 2 8328 3403 1 153 6967 3 15209 3911 1 16630 7750 1 1059 2123 1 18071 5264 1 16857 4623 40 3889 1363 2 7856 798 2 4055 6487 1 9055 1589 1 12959 3911 37 17572 6597 2 16799 353 1 13857 421 3 10754 200 1 6458 2949 4 16148 5105 1 13594 194 1 10507 1208 1 1799 221 1 5273 1474 1 2501 4985 3 9310 1090 15 10569 1825 15 5763 4998 3 712 215 2 18329 1248 2 13646 1827 23 13662 6482 2 16130 4311 1 15251 7852 5 4068 1768 1 20123 943 1 11648 222 54 19233 5708 1 15909 1299 1 4673 372 1 10899 162 1 9468 5064 7 15471 707 1 15689 411 1 9281 5517 4 3485 1237 2 9828 6207 6 15836 2030 2 12789 367 4 14218 6334 8 11857 4448 1 4246 35 1 12320 6228 4 5 178 1 14778 3316 5 515 3676 1 14629 367 4 12219 3996 2 8856 203 58 5378 1208 1 15270 1743 2 7355 888 1 19878 7098 6 856 3336 1 6332 1720 1 12603 187 2 19567 2344 1 7919 8146 5 5977 1464 1 2918 2651 1 5185 421 1 2970 2725 2 11155 1737 7 1171 1184 9 19971 5261 2 19102 3555 1 6589 1819 12 7894 3906 1 373 732 1 16346 4604 2 6333 3512 5 10752 2675 3 474 3511 10 15778 3394 2 18303 184 4 14037 1267 1 10197 1316 1 18235 4996 1 3005 855 2 6342 498 1 9704 2104 3 2077 3512 1 8913 880 1 6112 1357 9 11263 1779 1 15530 5672 1 16844 4022 2 1865 2832 1 9427 1656 1 7104 2111 1 4378 3630 5 7058 2509 1 6193 664 1 17926 1340 1 18279 263 2 13031 382 2 19995 7600 1 4878 5325 1 4703 223 1 17261 10 3 9680 4623 11 4732 6151 16 8278 8029 1 3720 1703 7 6478 496 7 10123 5365 1 15865 3666 1 11220 2360 7 10105 3378 1 8312 1342 6 17476 2374 1 2434 769 1 19957 2710 6 10832 2588 1 12623 3511 1 14598 7569 5 14008 759 2 1706 5070 6 7903 6957 1 13224 5016 1 11268 2951 1 14376 7012 2 14218 5943 1 16736 2955 1 2213 7719 1 4688 906 2 2712 232 1 6859 1052 1 11272 186 2 13590 550 3 9501 190 4 6769 8254 1 12009 8096 2 4429 637 2 954 2608 2 18175 381 1 6219 6423 1 12641 3588 1 13829 1238 1 13110 495 1 5044 7169 1 13466 2588 1 16090 3983 2 8435 5468 2 13293 4059 1 13235 524 1 1 97 1 17675 1235 2 14594 2626 2 14696 1235 1 5964 3403 7 18460 7097 14 8608 201 6 20112 6139 1 6184 1314 1 7006 3046 6 18046 6159 1 17736 622 1 9853 5996 1 4680 5470 1 7273 6368 1 6692 5459 4 5704 1771 5 12427 184 1 15930 1698 1 1908 1825 2 3190 3430 2 9759 1825 2 12457 861 2 5208 1091 4 7994 737 2 14412 200 3 11445 7103 2 3505 7576 1 15712 8095 4 18360 1115 1 834 4376 2 17353 1296 1 10221 3592 1 4767 8173 8 16692 647 1 8966 532 5 15207 3338 7 11947 633 2 7223 1721 1 19054 2919 1 16548 4077 1 11435 718 2 19645 313 1 6268 679 5 281 3308 1 7994 640 1 11087 1339 6 16775 6912 15 11402 4427 4 20045 126 1 16318 764 1 6596 23 2 4583 1658 2 5745 2131 1 11346 4020 1 8610 4013 1 2075 1825 1 11863 4855 1 11645 201 1 572 2815 1 812 4599 2 11277 395 1 3134 1819 2 18179 2653 1 9011 222 3 20008 5524 1 1723 509 4 2646 244 2 1713 1582 2 17386 1715 1 12779 1146 11 16259 1761 1 5248 2724 2 12284 159 6 10143 4796 8 433 2357 1 10355 5524 1 3075 1819 1 901 2055 1 5315 759 1 4256 502 1 13519 2989 8 18743 3074 9 12378 4681 3 10217 1990 2 18869 1425 1 16265 200 1 11931 1717 2 6933 2663 5 11365 3511 1 14740 2352 2 3471 3453 2 5568 8181 4 4689 2443 1 19975 1416 1 13208 2356 2 8540 505 1 16303 3909 1 1019 3065 1 16236 1184 2 8919 215 4 46 2357 1 18240 1007 3 7331 8091 1 4887 3592 5 8632 2508 1 2863 3990 1 2312 1729 2 15566 187 3 19140 545 2 18207 5570 2 16966 6613 1 19025 4436 2 8944 1714 14 11072 3755 2 103 4633 4 18350 4731 4 5855 164 2 8470 3434 1 9790 5737 1 14018 523 2 9976 219 1 133 6013 3 13134 1430 3 18743 6075 4 19300 7474 1 37 270 1 2666 4613 2 1887 2649 1 15056 1990 13 19977 200 4 4930 1235 1 15203 4511 4 8156 3167 3 7835 3911 1 17623 1762 141 6611 4392 1 4375 2072 1 4680 4936 1 14587 5737 2 15787 5804 1 16824 4157 1 18886 6083 1 18259 2605 1 18205 4245 2 11550 1307 1 6781 1718 3 4144 5195 1 14221 173 1 5468 973 2 4806 4379 1 7706 190 1 864 2869 2 11220 2358 1 13384 1658 1 7719 7996 1 4386 1296 1 1000 201 1 1878 4019 1 14064 1686 2 11458 5314 2 6580 4352 5 6749 694 1 12693 1715 1 3081 698 3 6700 4435 1 130 5874 1 19480 615 1 14686 6398 1 18616 4815 1 16825 910 6 11617 3389 15 17499 3511 1 9224 634 1 3536 1251 2 12206 6564 1 16500 1764 5 10 255 1 9374 187 2 3460 222 1 10381 7961 1 15233 766 1 14656 201 2 2045 3338 1 9606 498 2 7692 2656 1 4330 514 1 9604 2759 1 17353 910 2 16622 6662 1 14540 5604 1 20180 3570 2 3012 3610 2 873 3283 1 13141 3338 3 11561 6202 1 11259 3284 2 7194 6106 1 18416 6341 2 2885 1247 2 17416 2013 1 14005 3872 1 121 929 2 2267 127 1 12135 375 6 18099 867 1 10865 1909 1 6990 1350 3 8744 2762 1 6895 757 2 4575 4245 1 6009 1726 6 16823 7165 2 18383 3230 5 4956 335 1 115 5210 1 12501 1245 1 12682 6084 8 5694 2760 6 5254 5427 1 18862 3007 1 19463 1724 1 5106 1775 1 14086 3557 1 7672 524 7 6252 200 1 2531 3916 1 4963 219 2 12208 8031 4 10461 810 1 19679 519 2 14466 7268 1 1904 1819 2 17696 3029 3 9626 2089 3 16096 5436 1 16063 955 3 5926 207 16 17219 1779 2 18641 7188 5 17084 4967 1 4655 8184 1 15321 1658 1 17808 5031 3 13400 1751 2 14580 1237 10 5 164 1 3133 1338 1 20027 680 2 10272 2331 2 10681 5468 1 1328 496 1 5785 223 1 13668 225 2 7882 201 6 12300 5515 4 18114 230 3 3349 23 1 10856 1342 2 4050 3283 1 15592 1395 1 8910 1290 1 6290 1779 5 5294 74 5 16997 7467 3 10184 860 1 873 5285 1 10969 1819 2 4940 947 1 4185 7793 1 13046 215 9 15593 2710 5 16174 3647 2 1011 665 5 3826 819 1 18486 222 6 7783 3731 10 14493 1656 1 4331 690 1 11964 6754 1 2857 377 1 8872 498 9 9973 778 1 16542 6375 1 15608 6053 6 15981 6152 2 3472 514 1 17 1148 1 13082 222 1 5281 1241 1 1635 6450 2 19833 1322 1 8528 244 1 6123 23 1 393 57 2 1469 1775 15 18338 1732 1 10977 6037 2 17392 514 1 3124 631 1 570 518 1 12919 789 4 17890 258 1 5000 2713 1 3165 5318 1 7986 1623 1 13084 509 1 3694 6062 1 5185 2056 5 5531 6471 5 2708 604 1 8657 2649 2 4449 1727 8 13928 779 1 11581 6714 1 11190 4038 1 14874 6368 2 19602 3426 1 17133 203 1 5862 5004 1 14270 8149 2 14237 4029 5 17260 1705 1 4332 512 1 7653 2461 1 1086 4623 33 16162 1235 3 17449 1342 1 5485 1745 1 3296 409 1 4378 5686 2 18057 200 1 12510 2735 3 12760 1251 1 1269 5517 1 2740 4264 1 251 4849 1 11504 2424 1 2811 6500 1 8657 3070 3 4472 219 2 7315 304 1 2631 215 1 3158 5451 3 70 3296 1 863 5266 1 9340 303 16 9408 2552 1 8539 788 2 10815 2104 2 17918 4724 1 143 3298 1 19593 4720 5 171 7640 1 9044 3631 2 16691 6147 11 6145 5229 1 17087 1781 1 17803 2656 11 15542 4343 1 8349 1761 1 1040 7674 2 10999 1322 1 18574 2552 9 19816 969 7 422 3511 1 11881 4998 15 8865 510 7 10422 3760 14 10923 1871 30 3570 193 1 14075 190 1 18885 206 2 1026 5252 1 20 1281 1 12977 223 1 10303 7911 1 11086 1752 1 4554 1250 1 11165 2626 1 17363 7287 1 19914 2327 1 130 5970 1 9429 1819 1 12817 512 1 8582 1721 2 2301 1641 1 10381 4026 1 15270 2056 1 16480 1726 1 19749 4352 1 19319 3161 1 13909 903 1 17088 7353 1 8343 5202 1 3794 2534 1 7481 3671 2 4376 7857 1 343 2676 4 15180 200 6 7797 3879 1 9001 4252 1 1361 912 1 12631 6754 1 17844 3704 1 14053 6179 1 11755 5398 1 439 1825 7 6688 1769 1 18720 1421 1 7484 3408 6 10080 186 6 16791 3228 10 19658 1745 1 2066 4192 11 4328 1819 13 2905 3298 1 5213 1720 1 11131 1594 1 16350 518 1 4566 5016 1 7877 2242 7 10177 3972 2 1059 2552 19 5912 682 1 19322 4314 1 16020 3669 1 787 4179 61 7981 7963 3 9921 5887 3 17856 833 1 94 4247 1 1618 220 5 13935 7353 1 14564 214 1 12593 4476 1 91 4114 1 2826 910 1 1649 6152 4 19336 4992 3 13829 173 3 1692 1019 1 10115 777 1 5843 1661 10 19869 1903 1 1498 670 1 2744 5791 2 19975 4156 1 7245 3972 1 10783 6062 5 1618 470 3 4561 5817 11 8641 1238 1 11509 97 1 10556 1313 27 3813 2360 1 11336 5522 1 10838 1825 10 13126 713 1 4303 1454 1 1263 7473 4 3134 151 1 439 303 2 20138 7311 1 11928 6754 3 7560 5549 1 11786 1424 4 17805 7486 1 16222 828 1 17791 2260 1 433 533 1 121 709 1 3109 7462 3 14786 1718 1 14197 1784 5 8798 1137 1 19053 316 4 65 3103 1 11072 1235 3 13079 5997 3 2191 688 1 1635 3635 1 19872 2494 1 14954 6551 2 19174 4933 2 17176 1363 2 17298 512 1 14578 4226 1 5280 1658 1 15979 6099 3 954 4101 5 11301 3909 2 14236 409 3 5653 194 5 7028 891 3 15085 418 1 2969 2990 1 4854 2 4 1716 5551 1 7455 2488 2 15012 1751 1 13023 5688 4 20069 206 2 20193 5817 6 1507 518 1 525 7792 3 2635 6052 1 10553 3417 1 8511 4638 1 143 6532 1 17405 604 1 7620 475 1 3805 4969 7 14970 670 1 18610 5697 1 413 7096 1 16700 841 1 14427 617 1 17412 1366 1 6125 498 1 10877 6606 1 5684 1253 4 15405 1615 1 3806 4929 1 2629 502 3 13461 1523 1 13557 2639 2 12966 860 2 6991 5897 5 7203 6053 7 13 672 13 5681 1238 1 18671 4789 1 7840 3334 2 12934 4013 1 18613 5532 1 499 1760 2 6781 6242 2 5304 3840 1 1816 3808 1 11497 5257 1 20062 4036 1 297 4929 1 16654 1085 1 855 221 1 8532 1776 5 1305 1430 2 17384 670 1 17508 1251 1 1068 863 2 4725 2475 1 17705 1775 2 8469 6084 2 18105 3855 2 4524 6341 1 3376 6946 1 5506 2798 1 14951 1238 2 3324 1771 2 4029 5018 10 8626 4379 1 6889 1893 1 18149 1776 8 9443 6414 5 290 4643 3 19920 84 1 17250 5279 1 7555 1819 1 17403 200 3 15968 1548 2 19460 6414 2 2995 766 1 11117 3220 1 19734 3203 2 2936 1354 1 19551 1146 1 15493 307 2 9299 867 1 17079 1338 1 13484 3927 1 17925 219 15 16914 6457 1 10536 6570 1 3414 2671 1 20085 3228 3 1089 1825 1 10447 4949 6 7449 6363 1 15315 568 1 10861 1703 1 3447 514 1 14773 1715 1 10996 1877 1 715 292 1 19683 2815 1 7502 5294 1 17330 792 1 7188 1383 1 4805 4998 1 2046 1548 7 11642 2678 1 1481 1781 1 12532 2626 1 2917 7614 1 8034 2555 1 11360 1314 1 8151 184 12 11202 8050 2 7668 2908 1 12502 23 9 19350 1731 3 16925 2641 2 10081 6480 2 1923 1384 1 20114 2104 1 16914 1824 1 10080 1205 1 10879 3655 2 12535 1484 15 2391 863 2 4234 4249 2 504 8172 2 9129 6073 1 222 1136 1 15743 4941 6 14903 7418 1 19718 23 18 3536 2029 6 6773 1342 1 16238 1277 1 3207 503 5 17783 1357 1 3419 1245 8 19489 7604 4 13640 3117 6 12099 382 5 9011 2734 1 14921 550 1 14204 4936 1 15398 341 1 16894 4555 2 2488 3844 1 2669 1727 1 17324 2501 1 6013 3637 10 10855 6252 2 10553 3349 1 15285 1728 1 2489 7643 2 13841 7573 4 8532 4807 4 3020 3430 2 5302 1573 1 1870 6406 1 9315 1464 2 8878 7948 1 19505 4413 5 3145 910 1 3471 304 1 19128 1474 1 18491 5413 1 52 2542 3 17104 5288 3 10462 398 1 10473 535 1 5739 4316 1 6475 7591 3 2520 550 2 13185 5256 2 2413 7702 5 5756 3493 1 16021 6512 2 7362 2549 1 15531 1981 1 12399 849 1 3411 2380 1 19069 4929 1 10064 5105 4 8633 7528 2 1319 1741 1 18281 819 1 17939 214 4 8832 7719 1 16236 1781 6 12317 219 3 2890 648 1 2372 1757 4 6459 5506 2 19695 203 2 11554 1710 1 2111 1829 43 7000 3722 1 218 1344 1 7681 6793 3 1354 2626 1 5675 2559 4 544 883 1 1361 3806 2 7965 3511 3 13640 536 1 6332 5561 3 15839 1721 1 8773 1722 19 16570 438 1 10227 214 6 14773 173 1 10764 3743 3 11342 2636 3 10791 2331 3 14868 1250 1 19211 7705 2 13067 7848 1 19869 196 1 8540 5820 2 6875 7167 1 10698 3367 1 10670 1739 1 11033 6252 1 14669 2636 1 7410 3433 26 11033 1747 1 4483 13 1 12384 6238 5 684 232 5 95 4364 1 9834 5899 1 8373 8119 1 3101 863 1 9195 1704 1 11764 1542 4 5775 2555 1 19846 3979 1 16276 3526 1 5657 1342 1 11549 4504 1 13238 4967 1 11156 6242 6 768 6193 2 12044 1460 1 19286 5018 1 20076 4249 1 15213 1450 1 7184 1399 1 9997 517 11 8767 1742 1 3755 203 11 13645 536 2 13896 1498 3 14836 1383 1 12824 1461 1 18357 1342 1 3306 1819 1 2127 173 1 1593 261 18 8376 1732 2 3008 401 5 17662 215 5 17873 2268 1 7604 1395 1 3082 203 19 19237 1277 1 17252 5289 3 62 2773 1 12148 1446 1 6819 374 1 13546 7231 9 9628 737 1 17813 1952 1 1783 891 2 12757 7422 5 1962 6263 1 7870 1252 8 17662 1453 3 3384 1686 1 17555 6754 8 7111 904 1 13423 1702 2 14606 823 1 42 2204 1 6853 2821 1 9250 722 1 9677 1453 2 19774 4657 1 9747 4807 1 7871 1482 10 10340 2029 1 7243 4793 4 954 3808 1 18654 3562 1 956 5014 1 14599 627 1 17637 5251 1 16468 5789 2 6463 404 1 7297 1703 7 19034 327 7 19719 5234 3 4320 233 7 5827 2356 3 20 1326 1 14482 8051 1 9283 2859 2 15321 1380 1 5769 2509 1 4769 1997 1 7501 1672 2 8946 599 1 18476 6585 1 10911 1635 3 4947 2993 1 3338 2883 11 5264 2081 7 13785 3230 81 7028 1757 1 8610 6150 1 10371 1352 1 16484 3519 1 7610 656 3 2073 1764 1 10948 1784 1 6551 6845 17 3247 1638 1 7751 1482 1 11271 1756 3 9317 4022 1 6503 644 3 10567 2636 1 4483 536 1 17645 2259 1 4832 1781 1 14145 5043 8 15640 498 3 15886 5477 1 12897 2494 1 14048 2363 1 1445 4202 4 5185 1720 1 633 168 1 14297 2676 1 17015 225 2 4125 154 1 1383 1950 4 12354 743 38 11417 1242 20 7740 3512 1 1551 2710 1 18989 5955 1 14205 1466 1 1634 2710 2 2422 3220 1 4223 431 2 5596 541 1 19537 3895 11 572 74 1 14612 676 5 13455 6065 1 1460 201 2 16628 4403 1 8356 36 1 1948 1342 4 19234 1275 1 4500 934 3 10698 876 1 14194 1428 1 16924 5252 1 17135 1764 2 9465 1523 1 7396 1747 2 15718 1399 3 822 6970 1 16674 2490 1 18387 537 6 14975 1363 2 8474 1743 10 2803 2369 1 10831 2559 1 11306 692 1 121 894 1 11059 1721 1 6904 244 1 18193 1242 2 9927 5060 1 5448 1644 1 17932 233 4 1863 2423 1 18524 6779 1 781 1710 8 18260 1740 7 13978 6759 1 4492 2352 1 6795 495 2 18089 6202 3 5424 2517 1 2367 3516 2 18623 1245 3 16430 5011 1 16466 7060 2 4873 505 1 4170 1243 1 19637 5945 2 124 5441 1 16501 936 1 18637 502 5 12231 605 1 9916 3072 7 13123 6259 1 2221 5759 1 140 6398 2 721 6683 1 11485 1241 1 16018 2388 3 5357 2721 8 16847 4635 1 17312 842 1 3427 7021 1 10232 6487 1 3486 2056 1 4883 8010 2 15736 169 1 15743 156 2 8519 206 7 2126 8108 1 3240 5083 1 5980 201 6 12633 3058 1 18135 982 6 5310 671 1 570 3163 7 1752 4447 12 2107 4245 11 6536 1245 1 5033 5935 2 4930 496 1 4976 1771 1 9485 1932 1 6396 223 5 5638 1271 1 3463 5346 3 8795 1730 3 14173 5398 1 3674 1595 1 8851 6414 2 496 1176 1 15257 219 6 5152 2062 1 9178 2575 54 9869 568 2 9754 7237 2 2629 1739 1 13961 7702 6 9306 3770 5 625 512 1 13636 6549 1 15314 1548 1 19952 7821 1 17175 864 1 7178 820 1 11937 3634 2 10410 613 1 12361 659 10 3267 3522 1 11072 470 2 3442 204 1 19895 2383 1 15943 6925 1 259 502 13 8594 3050 3 16768 7526 1 62 2862 1 6892 7350 1 5602 880 2 15206 2054 1 135 6143 2 16140 474 1 15608 5022 1 5738 6426 1 17203 2935 1 15166 7216 1 18144 252 1 18487 944 1 4688 1170 1 12501 1720 1 14162 3773 3 14865 822 1 7146 3536 1 6420 4511 6 9861 3581 1 17083 205 36 15966 3175 1 2256 203 48 11592 6106 1 11267 4623 25 11634 1931 4 16978 1981 19 4575 390 1 252 1737 2 13375 375 8 8599 222 2 6644 2020 1 6322 1271 1 83 3400 1 17946 2708 1 15732 1241 2 13623 221 1 2344 310 1 8654 1357 3 8036 1242 20 10966 5654 1 7575 3685 8 12803 4090 1 11772 8183 1 12013 7765 2 5651 215 1 2153 1229 1 5281 5336 1 3853 1460 5 7626 2080 2 5877 1247 15 7366 1303 1 13091 523 1 9429 545 1 14985 8235 5 5102 175 5 8975 304 4 20275 4328 2 19235 1221 1 10435 339 3 16984 6835 1 17436 706 1 10398 4838 10 69 3270 1 14055 6986 1 12060 3478 1 1296 5935 1 2931 1727 3 11062 2852 1 1944 1307 1 19239 1734 1 1309 1235 1 18017 625 1 5521 5453 96 17682 1778 1 17642 2789 1 17540 3911 1 14253 3540 1 12760 1737 1 8519 203 1 16719 2877 1 153 726 1 17039 2072 1 12390 5443 1 4703 1388 1 11192 738 1 17519 7543 1 7056 7355 1 14343 7972 1 3337 645 1 6748 4467 1 19217 1202 1 4332 3338 1 11357 2354 1 17371 6107 10 6550 6196 1 608 6793 1 11483 508 1 9057 524 41 18071 7731 1 18992 1740 1 3221 1342 7 2197 6692 4 14301 6754 1 1019 6615 2 8069 7853 1 1904 1825 2 73 3365 1 15546 2329 6 7107 6192 6 16593 1748 8 12249 5035 3 17039 4312 7 15272 745 1 10977 5202 3 15849 1748 1 10342 3316 1 12682 5670 7 7803 2675 1 7540 518 4 7065 2865 1 15192 7857 1 935 308 3 6380 1921 13 16702 5243 1 10791 6680 1 11947 1756 4 4329 1247 2 13676 521 7 16645 203 1 5294 6669 1 16375 200 1 17887 7714 1 7695 4998 1 5638 2981 3 15651 5505 1 4423 1321 4 3295 891 1 13201 3916 1 14696 231 1 8987 2998 1 2513 7013 1 4622 2443 1 11399 3715 1 9419 222 2 11299 1743 2 9815 8054 3 14007 244 2 8082 4298 1 15870 3511 5 6749 7905 1 15114 23 1 10039 765 1 2588 4557 1 7180 375 1 3282 2951 1 19762 1251 1 8630 7062 1 3759 6216 1 14354 1252 1 8025 6957 1 14990 2793 3 8226 512 2 7726 460 11 8082 1360 1 7016 233 1 6756 4202 1 7260 207 1 2571 3734 1 4620 1402 5 18123 3375 5 10119 2588 3 4716 496 2 2424 6142 1 15263 4270 1 17896 5962 1 16486 201 7 4851 2675 2 6853 425 1 4197 3601 1 19878 2982 11 15568 1764 2 7609 3511 1 2784 213 1 6312 5882 1 15412 1235 2 3521 4868 1 4593 649 1 3759 2935 1 2284 365 1 15517 343 1 5601 193 1 7503 1712 2 3455 3878 1 6421 519 1 7459 220 1 3541 3619 1 15769 3135 1 7436 5408 1 7486 3146 1 1670 3516 8 14305 2946 2 10772 3283 1 5954 467 23 456 867 12 1739 1718 3 19131 8072 3 7299 203 2 6570 2557 3 15471 444 1 10340 4325 1 6449 1762 1 19503 1032 1 13647 3109 2 11244 6252 1 7763 8238 1 19273 3807 7 13252 1307 12 8197 1235 3 7498 3003 1 8278 4065 5 15620 221 1 10585 891 2 4663 4203 1 14533 4150 5 19322 1083 1 4539 1775 39 6813 2251 1 1169 7924 5 1350 6383 1 844 2549 2 11291 2533 1 7650 1718 13 12570 6892 1 1986 229 1 9937 214 1 10957 7407 2 7627 1826 1 18912 4363 2 3852 6197 2 6133 1643 2 9463 1184 1 19255 1242 1 83 3750 5 2744 2887 10 11562 2986 2 16458 303 6 1296 38 4 7062 3531 1 18465 1334 3 14102 3391 2 11882 8099 1 18042 4248 1 4619 8137 6 19002 5063 4 20275 2944 1 16474 6645 2 11827 1649 2 812 1573 1 52 2556 1 7841 3893 1 1675 2248 1 11442 3596 1 4619 3276 1 14037 6065 1 13638 5243 2 1973 737 1 1322 2698 1 43 2258 2 861 712 6 10741 5018 1 6606 1916 1 11675 2908 1 17120 502 1 8313 4226 1 10859 844 1 16394 3238 1 15807 7292 2 17084 6099 1 19261 203 5 9250 814 2 12328 5366 1 6991 215 3 2716 3233 2 4498 2009 10 4876 3522 1 7604 3304 1 1555 460 1 3083 3900 6 19137 6731 1 10670 471 1 11554 184 3 9935 2918 2 16607 1703 1 1727 5017 1 630 2636 2 14985 1237 1 17549 1715 1 10313 4211 1 4237 4245 3 13304 1607 1 9546 785 1 12620 6207 1 16768 4015 1 6332 689 1 8826 4403 1 16238 3338 2 10586 508 1 9724 4572 4 15192 3351 2 2480 7592 4 14758 3851 10 527 620 1 19511 3558 1 11612 8013 1 10247 4351 1 19002 2576 7 12406 2686 1 1957 126 1 19993 4343 1 6446 3780 1 19014 5054 8 7395 659 1 2241 2356 2 10554 689 1 12860 3601 1 6715 5903 1 2399 946 1 1413 6278 9 3921 4333 3 6874 7407 5 6853 2993 1 2149 470 1 6818 3298 1 10128 4622 1 11441 1277 1 15319 6001 1 3739 512 7 2345 6674 6 11160 5700 1 12467 1748 1 9719 1819 4 18915 1244 3 13329 167 1 11613 718 1 13185 5879 3 8710 411 2 12627 2591 1 4862 207 1 7065 3998 1 2874 225 2 14616 514 4 8217 4998 5 3397 874 1 16964 7420 1 9615 11 1 10044 1275 7 14512 460 7 14292 23 4 13676 8183 2 11052 5120 1 11360 561 2 12731 6690 1 11051 1714 5 19472 5389 1 14087 505 4 5213 2727 3 11598 823 1 19400 5402 1 14193 2344 1 11882 6925 1 5972 5505 3 2072 5862 1 8164 1730 19 6712 575 1 7306 590 1 5454 1769 5 16327 3235 2 4051 4816 2 13235 223 1 10570 203 11 1211 3645 1 8887 2415 3 6336 6725 1 16101 1770 1 10655 1699 1 18279 6325 1 12076 7958 2 7593 7731 1 8423 7734 1 10724 7862 1 10730 6342 1 259 8175 13 10996 3058 12 1983 4222 11 607 6226 2 17013 1740 2 3759 6193 1 11131 201 3 14532 4868 3 12594 867 9 1620 935 1 11647 411 1 9002 1241 3 16916 2495 2 14492 955 1 6743 1747 1 10165 652 2 12412 804 1 5918 1300 1 18968 2099 1 171 7819 1 5591 1282 1 5269 244 1 10948 3283 1 14908 2656 2 16089 2661 1 11343 8141 1 6922 6343 5 7609 175 1 16584 3404 1 8080 2448 1 9909 6469 2 8872 1236 5 4978 5105 38 11282 4998 2 3999 7843 2 4107 1748 1 17662 2354 2 2519 1705 1 12394 5837 2 808 498 2 19025 541 1 759 512 3 640 1819 1 18052 5408 4 6075 2488 1 11882 1371 1 13845 6946 1 6166 1273 1 604 1273 2 5368 3697 5 19094 1063 1 18146 1714 1 12821 7602 1 6173 2678 4 12283 5018 6 17405 709 1 7646 1286 5 19190 173 1 48 2463 1 14616 2675 1 1382 2325 1 14047 7846 1 10586 2080 1 14804 4967 3 15364 474 1 17305 4582 5 5023 244 1 4998 747 1 16185 4905 1 18089 827 1 16943 2557 1 496 525 1 8606 5256 1 13129 1781 1 14883 507 2 1739 223 7 10434 1756 5 13064 6586 1 18499 2951 1 6177 7740 11 7262 6161 4 9183 3338 2 8489 2428 1 12663 7829 1 19333 7670 15 6332 5400 6 10137 1825 2 2344 6673 1 5809 6180 1 5961 1020 1 14218 579 1 11020 8099 2 12463 3163 5 593 1251 2 3659 514 4 12099 219 1 14682 1996 8 17730 1253 4 11124 3492 3 8913 331 2 16648 4496 2 6940 13 1 17961 2056 1 4898 542 1 13761 2555 1 11031 3645 2 6441 2552 1 13688 4192 1 9131 6127 1 1009 615 3 15974 411 2 9566 7758 1 8211 1244 1 12009 291 1 875 520 1 7286 3138 13 8082 1138 1 12350 219 33 105 1398 5 10382 496 1 9477 3511 1 6206 3587 2 6104 2304 1 8117 545 2 8721 5047 1 7450 206 1 13778 3164 20 15364 2436 2 5264 517 16 14316 5014 12 18193 3663 2 6524 4807 1 19259 5561 1 3814 532 1 9756 1423 2 12817 2671 2 701 232 1 14970 707 1 4587 1731 1 20141 4351 2 11773 724 5 1498 917 1 18421 1464 1 15192 3586 3 18510 1244 3 15365 554 6 3530 6091 2 12965 277 2 18498 7075 1 6801 1238 10 7829 3447 1 16828 3287 1 4901 1965 1 18300 1762 1 18814 417 1 2479 1755 1 11574 5446 2 19595 8127 1 5704 1778 1 19063 207 2 9941 1145 1 5711 216 1 14946 3578 1 5981 1781 1 14165 1946 33 11931 1175 2 1029 1756 1 5639 5313 1 16005 4174 1 19267 597 1 4680 5523 2 11456 4355 2 1839 1664 1 17226 4245 4 1133 678 2 15368 4522 2 15411 1537 1 19874 1814 2 3654 5515 5 10422 2080 1 3505 4324 1 13105 2517 1 16098 1705 1 7119 2555 1 326 7820 2 121 616 1 11766 1104 3 14289 6361 1 18543 1776 2 4170 7136 1 5202 676 6 19846 6192 1 9783 843 1 333 5492 1 14898 1595 1 19996 712 1 8849 2428 1 15230 520 1 11428 5005 4 8107 2080 1 11346 1222 1 19980 303 1 19857 205 4 13743 3684 2 16013 519 1 13167 1772 2 15718 4774 1 7392 3644 1 8860 6969 2 2531 692 1 19568 5018 1 4716 1707 2 4933 3318 1 13731 3798 1 2959 203 6 19655 2410 2 143 6601 1 4050 6669 5 6288 4622 15 1372 460 1 12 533 1 12378 4651 2 10884 5258 5 2094 11 2 16021 1909 1 9270 1395 2 38 1443 3 3075 225 1 7607 5436 1 19332 4296 4 5589 1747 2 12286 1146 10 6524 1747 1 11509 5105 3 15383 1423 14 15487 2416 2 20013 1380 15 13659 1573 2 14595 1714 1 13684 1170 1 14722 1775 3 1705 894 5 15159 1921 2 3247 1781 3 3501 7909 3 15364 4006 1 10916 4107 2 16905 6064 1 3496 3911 11 3390 2461 1 937 1236 2 13033 3653 2 8200 2343 1 8022 6756 1 1444 3949 2 7051 191 1 14952 211 1 17662 3011 26 19409 5467 1 3810 1247 2 4917 2665 27 7780 7825 1 19246 4667 1 11882 6039 1 11427 1705 1 6683 880 3 15796 382 1 7295 3114 1 12856 5922 1 1059 5768 2 4942 7848 1 15964 2640 1 5304 934 1 8775 84 2 16636 981 3 12816 477 2 9847 687 2 19145 1658 1 17945 1751 2 3516 3381 1 20236 2841 1 3492 2555 4 7202 3647 1 6061 3844 1 14011 821 2 10900 5121 1 10256 3511 1 15502 3181 5 6681 316 2 16886 1825 1 8094 702 2 50 2493 1 7025 207 2 7778 336 3 18042 681 1 19316 7187 1 7933 3693 5 11 464 2 13647 1713 5 15262 3916 2 19360 3056 4 3613 201 12 18417 3916 1 19448 1665 1 5838 200 1 369 5402 8 17121 225 1 3853 7763 1 11388 3518 5 2830 221 2 8665 5277 1 19273 8031 1 9287 3649 1 7633 525 1 15199 6875 5 8343 5001 1 3093 5737 1 6359 5736 1 5450 1253 1 14005 2836 1 9868 5294 1 9457 7670 6 1786 1703 2 8712 506 1 7347 953 1 11678 2800 3 143 5296 1 14873 363 1 1103 4972 1 8458 3691 1 16625 7397 5 18246 6639 1 13865 1692 2 19941 1819 3 16109 1748 4 2081 2955 1 17485 235 1 1277 3283 1 19331 1247 1 16839 219 5 14530 6343 25 10612 8217 1 17011 1246 1 13821 2635 1 10103 3475 1 21 200 23 2619 2620 5 7929 4204 1 13540 23 8 8439 1814 1 14669 6198 1 8900 1975 1 11352 4403 1 9741 1222 1 18538 4998 10 17929 206 3 17544 4963 1 8994 3464 2 8313 891 1 16366 2263 4 1300 574 2 11820 2580 1 12316 7189 1 3843 8184 9 9778 902 1 17379 379 1 8087 1207 1 12392 6875 6 12103 534 1 5149 2737 2 16835 232 3 2124 4929 1 7296 219 1 9572 6993 2 17295 200 1 7756 2767 2 10565 892 1 4095 3916 1 1650 203 1 50 2494 2 12817 1249 1 6332 660 1 17174 1374 1 3619 7491 4 9145 4067 1 8368 518 1 3694 6527 1 4743 1464 1 18951 7852 6 11569 5187 4 17171 2581 1 197 169 3 6348 581 3 5635 252 1 18835 1342 2 5416 4409 4 14106 3248 4 15868 4118 1 10311 885 1 19947 3203 4 6822 3915 6 7139 1990 2 3975 320 3 5380 1707 2 8768 1770 1 14632 441 1 8947 6756 3 14002 397 1 19451 1788 1 17434 227 4 12484 2885 2 20078 206 1 13646 227 12 3270 370 1 15311 1782 1 7028 1751 1 174 8084 7 7823 1266 2 8202 6925 4 130 5982 1 7804 4366 7 12918 502 5 6332 763 1 5659 1940 3 3048 4319 1 745 545 1 19386 4584 11 822 407 2 17518 1951 1 19503 493 1 1301 660 2 8196 1313 1 11082 5472 2 7382 7719 5 4429 2127 1 14423 580 1 8159 695 1 17463 1728 1 2304 200 30 6420 687 3 1662 3202 1 7828 219 7 10997 461 1 15695 4099 1 6038 2883 2 10279 3177 3 14939 3911 1 10032 8184 1 16413 1557 8 5613 148 1 828 524 8 6382 385 1 127 5728 2 4884 2662 1 5025 7570 1 4763 6473 1 19505 3921 1 3552 3511 1 19127 7786 1 4535 4435 1 10437 4174 13 17347 8121 29 65 3136 4 13697 1467 1 5960 7621 5 11131 3714 2 3889 1416 4 18473 550 4 10398 1250 10 9224 941 1 659 6434 1 7703 1302 1 1019 201 3 4688 926 4 12679 520 1 12670 4582 5 14892 4204 1 18447 2729 5 8262 1762 1 11709 1763 2 14775 244 3 5356 2000 1 11968 2718 1 1867 7511 1 10953 5153 2 14870 6251 1 7243 622 1 7572 6276 1 6749 2747 1 13503 7533 1 12375 548 1 14326 203 7 9149 7311 2 1388 6139 1 10769 1023 1 10674 65 1 6630 4738 1 19990 221 3 10731 495 3 17331 23 6 12208 6457 1 8158 1757 3 17384 233 5 6099 76 1 12897 2080 1 8528 1965 5 1705 4308 1 18790 6375 1 3644 1366 1 6064 5830 1 14805 5395 1 6628 2511 1 10470 1769 1 8252 3361 1 17382 2076 3 19289 191 1 5993 518 1 13438 3632 2 4354 745 1 3653 1720 2 4279 60 1 18750 809 1 14664 1728 8 5635 6152 1 2696 173 1 12569 252 1 3324 220 4 15940 7097 1 11872 4077 1 7135 883 5 944 1762 2 5854 6131 6 17454 2369 1 9637 5105 1 11725 1453 1 14900 1783 1 10353 4245 1 7144 1698 5 11363 7642 1 17135 3655 1 5676 2407 1 14114 711 2 18946 586 1 594 804 1 2504 2331 7 121 5271 1 19369 4435 4 4146 532 2 14566 2149 1 10170 1757 9 153 7043 1 15750 597 1 2749 4447 4 3610 7753 1 12837 6673 1 12337 1730 2 18676 5011 1 18080 134 2 15726 3511 3 19950 7206 2 8600 1363 1 14599 584 1 9444 1363 2 13465 715 1 9803 316 4 13601 1239 1 7995 2675 3 5690 6924 1 5414 1356 2 17218 1275 1 16114 221 1 13305 4623 11 3712 4202 1 7135 1296 1 10106 1739 1 18079 6164 1 9952 8126 1 8326 4963 7 6704 1996 1 2584 1783 1 11545 2542 5 6893 451 1 17680 2009 1 8373 7927 1 1002 524 2 3181 4379 2 5287 6610 1 8166 5348 5 16012 709 1 18924 3391 1 4914 2881 2 17394 316 1 14258 498 1 4492 367 1 6478 232 1 9737 6682 1 12177 1721 4 46 880 1 18511 4312 5 19601 600 1 13373 205 1 10879 1804 2 19826 2795 1 5361 225 1 388 374 1 18232 4392 8 20256 3409 1 12464 215 5 171 2331 1 3776 5126 2 14881 845 2 14900 4403 1 16831 215 8 12757 5105 6 14394 903 1 9678 3669 3 18797 6342 1 12972 4020 1 9513 2729 1 13672 2884 1 16925 363 1 10145 3760 7 6425 132 1 8151 3230 4 18886 375 3 6684 5997 1 15029 1474 1 2228 219 5 18597 6640 2 6776 1745 7 2513 232 1 16125 498 2 16143 1819 2 11862 5060 1 2986 2030 1 19034 57 3 5282 5402 1 17088 1374 2 11786 237 2 9395 8031 1 11422 3454 1 5244 2998 1 9374 510 2 10887 2040 2 635 1814 2 16429 74 1 12010 1571 2 1143 1761 1 8425 1729 5 6751 2350 3 4343 413 9 1027 1395 1 16248 6064 2 16461 505 6 4277 3558 3 11445 2889 1 15940 599 1 11733 4188 1 8329 7725 1 18899 1471 1 8776 3980 4 8097 1464 2 7191 2358 1 2445 6557 1 7173 229 2 17500 1146 9 16141 910 1 14242 5691 1 12326 3330 4 4530 3660 2 13972 1713 1 10803 205 1 13830 2889 6 11326 222 1 6792 2247 1 143 6614 1 8439 520 2 13892 3556 1 16566 4944 3 12359 156 3 18034 5583 8 5410 220 5 17165 1826 11 19014 215 1 553 2646 1 17472 4518 1 17061 6539 1 13928 6115 1 8930 1276 1 5207 638 1 1311 214 1 3941 506 1 13722 184 1 9236 1239 1 11108 883 1 16482 219 8 9185 4450 1 5389 934 7 2046 5023 1 14037 545 1 4811 2363 8 17286 7470 1 17753 496 1 17664 7719 2 8184 519 1 8198 7214 1 13021 714 1 7454 526 1 5176 520 1 18251 5715 1 2601 23 1 3407 2632 5 6232 502 1 939 23 2 15566 1799 2 3963 2787 3 12378 6744 1 3782 223 1 18465 3448 7 15932 3671 1 474 7073 1 9661 3540 3 8250 6777 1 15192 452 2 16287 2993 1 15429 1775 1 11384 4344 1 10777 2577 1 4251 1253 8 7516 2727 19 11411 1762 1 17681 3375 1 4880 823 1 6841 6674 3 19223 541 1 1004 7597 7 3815 603 1 15412 6204 5 11362 2480 4 1555 2600 2 12704 3027 1 14251 524 2 19044 5052 4 14883 2699 3 10123 2613 1 16090 4582 1 14318 1464 1 17216 3083 1 10528 8203 2 8890 200 1 7585 401 1 16902 2352 2 3796 5018 1 15535 5018 1 5819 1686 8 13240 6152 4 3175 2000 1 16010 3600 1 3175 1364 2 16958 132 3 8411 1730 10 5796 4998 1 7543 2063 1 3416 7840 2 9131 370 1 15771 207 2 6057 2265 8 19634 159 1 4779 4019 1 1861 3418 2 3092 2889 2 18546 1357 6 12829 5262 1 10485 206 1 4840 184 3 2428 1244 1 7858 5545 1 5811 440 1 4054 1726 3 5133 203 1 12196 3851 1 4810 7278 3 14688 1508 2 324 7544 6 13254 148 1 14567 6185 1 14833 3026 10 11156 2881 4 1580 508 2 3668 8017 1 19498 1509 1 7820 2958 1 15006 6406 1 678 8238 1 15202 2896 2 11020 4514 1 14607 1610 1 2246 6231 17 10916 1820 1 7555 207 1 4858 5496 1 6913 4325 2 6414 3005 1 19193 6207 6 14275 219 7 11360 624 1 10911 148 2 13232 225 2 7331 7731 2 17644 3464 1 8863 3516 6 19968 1827 1 11374 6611 2 8174 2337 1 19242 3492 2 6275 2404 1 18285 589 2 7872 1388 18 4471 806 4 3226 6554 1 9295 1781 1 11072 6595 9 19476 2530 1 17141 206 1 20090 201 1 13922 1342 1 4576 6680 1 16327 498 1 6703 1244 1 19614 1981 1 7539 3421 1 4688 4015 1 13601 3275 1 10826 898 1 1918 4617 5 11325 201 12 13356 2355 1 727 6665 2 18083 4296 1 18259 6701 5 13265 4764 1 6781 2881 2 14099 6197 1 109 2970 1 11504 7235 2 6229 1748 2 19542 3237 1 5529 3452 1 10422 5260 3 3188 1738 3 11467 7534 1 17416 5905 1 15535 3497 5 13281 1249 1 17589 3283 1 6183 1760 2 12417 8241 2 1275 1761 1 3212 1981 2 5492 962 1 2373 2958 6 12262 3892 14 13046 534 1 5362 203 21 18672 3367 1 12082 203 1 5856 4293 5 13918 4022 1 12267 2341 1 17340 7592 1 11554 1243 3 12411 1612 1 15964 6640 1 17521 4245 1 14553 411 1 11895 1991 7 1347 1658 1 19246 201 1 2127 3545 1 11035 2488 1 9940 497 1 1606 3029 1 12629 5310 2 16924 1582 1 14152 230 38 11598 4909 1 20221 506 1 5809 1775 1 5873 2069 5 6107 4006 4 18171 1727 19 19160 23 2 15307 967 1 19710 1721 4 13083 3020 2 18205 2657 10 13100 6527 1 19262 3306 2 18193 1727 3 130 5926 2 15635 766 1 3886 514 1 15272 8000 1 17 1156 1 5251 8013 1 9432 625 1 4390 3540 1 3048 5311 1 19655 821 1 32 271 2 9868 942 1 12548 200 2 14322 6901 1 1504 1705 4 18669 3685 34 12135 2014 5 1730 512 1 14857 982 2 2829 852 1 15548 3973 1 2265 236 1 7786 200 1 20202 4222 45 16484 6839 2 15091 1689 1 8793 900 1 17530 1342 2 19393 2889 8 17374 1707 16 10948 5558 1 143 1363 1 12789 2517 1 11296 156 1 17917 5468 6 12247 6719 3 9439 3011 1 11070 5561 1 16831 508 4 16790 1698 1 15318 206 2 11072 3781 3 5407 2460 1 15507 5770 5 19795 225 7 19854 4996 2 9815 5325 12 6160 2651 1 11554 2251 2 19760 5129 1 1457 7582 5 19816 3421 1 5162 841 1 8831 6268 1 14233 4985 2 8129 3842 3 10146 637 2 19503 2602 1 2126 4303 14 18015 534 7 5060 6208 1 2752 4680 1 6979 1453 4 4735 853 2 6512 5842 1 9128 2355 3 12138 173 2 4043 1819 1 7315 2013 1 18173 545 6 7597 2087 1 8994 512 1 12628 5016 1 12789 5309 1 4691 506 2 18939 2565 1 14616 5102 2 7589 4429 1 5652 533 2 10593 201 3 3014 7848 1 17110 769 95 13045 3900 2 94 4301 6 1602 4435 4 18056 792 1 9935 4446 4 1447 5440 1 19774 3442 1 15926 3540 3 6749 5275 1 9910 1756 2 2890 4867 5 4615 506 1 7 211 2 439 200 16 9408 1764 2 8314 512 1 4706 5018 1 18455 4996 1 5276 4613 1 5884 7229 1 10864 2675 1 3907 2998 1 5576 4351 1 15618 4016 3 971 4308 1 19211 7572 2 15156 1054 1 11586 1395 1 10525 4436 3 7043 6252 1 4509 4285 1 5117 608 3 62 407 1 18710 484 1 1385 215 1 17083 413 1 13490 1038 1 11999 5468 2 14530 1705 13 6236 6597 1 15943 4233 1 14960 691 1 15866 411 10 5117 636 1 6907 3954 1 12777 3731 1 5874 5663 1 17 1060 10 9628 549 1 3560 7227 1 11392 1927 1 9749 7144 7 11344 7244 1 11269 1495 3 17242 6793 5 5495 2415 1 16670 2656 19 16844 5409 1 11230 825 1 12116 3114 2 13417 6414 1 4410 219 2 11805 4204 5 5312 423 1 17491 1752 1 10752 4849 1 3718 7809 3 10289 7719 1 8238 201 1 1289 641 1 7455 1350 2 2901 5328 1 12913 5961 1 6577 4325 2 6064 4303 1 4539 206 1 11331 4266 1 14522 541 2 2811 2969 2 10327 336 2 717 156 1 17226 6658 1 5916 1249 11 4472 203 1 4385 2369 1 12988 2789 2 8548 215 4 7867 7603 6 3711 3442 1 8806 1146 11 1010 3899 2 4843 670 1 13939 6170 5 12294 207 2 18202 171 1 9081 1353 1 7952 4119 5 8016 716 2 9806 500 1 8211 220 1 18462 6714 1 12574 514 3 873 7878 2 9586 1475 1 3440 4540 2 14406 1756 2 6229 1400 1 5185 6100 1 17962 214 1 4829 1819 2 11167 7948 1 11402 4459 1 13582 6546 1 17402 6868 2 17608 2577 1 16924 5727 2 19319 2860 3 10916 916 1 16166 4867 1 2917 3655 1 16865 3333 1 1376 3625 1 9317 327 1 13669 199 1 1199 2892 1 8004 7089 1 5943 1238 1 4305 7840 6 16714 745 1 9155 2855 2 1065 6402 1 8594 934 2 14865 296 1 170 7595 12 12890 220 2 1664 1259 2 3765 2678 2 3590 3331 2 11388 1267 1 9543 467 1 6332 329 1 5464 2677 1 7566 1722 1 10549 2695 16 8438 1997 4 18076 1256 1 19779 1775 1 4954 5888 1 14983 3723 1 20133 1571 1 11044 7521 3 7413 3285 1 10543 863 14 18101 2343 3 65 3139 3 469 1344 1 15429 7690 1 1554 4992 1 4095 411 5 15041 4803 1 7194 3979 3 10228 232 2 1263 3462 2 9527 1727 2 1291 6865 4 9463 7501 1 9215 1642 1 17662 336 2 1840 5565 1 12760 6659 2 7349 5018 1 4681 4357 1 12819 514 1 1151 2508 1 296 6029 2 12765 3957 1 8313 6457 2 16604 219 10 16674 2003 1 20045 452 1 5860 4325 1 3434 23 2 19331 1729 4 8333 1067 2 3277 2653 5 12378 5291 1 11620 4974 4 18998 7162 1 17156 719 1 4519 336 3 1760 237 1 16185 4911 2 1625 1277 1 11766 3591 1 2056 3180 1 4498 1658 2 18608 4992 1 20202 1237 11 9269 8034 1 153 3446 1 18320 3770 2 56 2677 1 16553 4623 1 2782 7915 1 13755 4325 1 11320 3464 1 6907 1304 1 8989 84 2 8192 234 1 15676 3895 21 2885 132 5 12000 1721 1 9260 5060 22 6878 8041 4 14599 798 1 7145 1677 1 10340 186 4 12548 7851 1 13717 2678 3 2962 6700 12 7361 6556 2 15851 303 1 17939 1244 1 7427 6120 4 13252 447 1 8104 2864 1 3065 3591 1 5808 1244 2 4139 7556 1 3133 5957 1 8972 8183 7 5214 2341 1 914 5135 1 10218 3414 1 16394 7753 2 11980 5502 1 13461 1482 4 17633 721 1 5707 6634 1 16016 5708 3 16933 6537 1 12983 1425 5 7015 1248 3 16798 7828 6 4984 398 1 19773 1825 5 12455 5786 1 9534 303 1 1059 173 4 11717 1747 1 19160 7797 2 6410 508 1 1912 525 1 16249 627 1 18014 814 1 7498 7948 1 16355 1146 2 1911 3402 3 8161 533 1 18912 578 2 4614 3764 3 14156 805 1 17809 1235 5 383 7976 2 17384 307 1 4708 867 1 10262 1770 1 12753 6231 1 18800 1761 2 11211 4606 1 13234 3869 4 8975 2261 3 13624 3250 1 19602 457 1 12283 3512 1 4343 959 1 9245 3521 3 6975 1691 1 15468 1776 2 6535 6442 1 916 251 3 14661 7847 7 16184 765 1 13234 1395 1 13404 2969 1 2384 1244 2 14578 7651 1 16056 5294 1 12553 200 1 5709 3321 2 16222 7592 5 15424 200 12 6464 206 2 19976 1342 21 18859 157 1 9543 1137 1 3133 689 1 2529 649 1 561 1253 4 954 2372 2 13320 197 3 7011 4922 5 19602 708 1 7336 1700 1 8443 1441 2 4620 506 2 2619 4448 4 4471 7576 2 3070 2646 2 13356 7398 1 5057 3228 3 19410 23 2 1678 3334 1 1100 1768 1 15144 1146 16 9978 1112 1 14946 4606 2 3309 1871 11 14348 2668 2 5969 4856 1 9084 1771 1 9079 5004 7 5878 6083 1 9582 7005 15 8139 525 1 1265 8143 1 4063 8029 2 2919 2645 1 1923 7809 1 1410 232 1 10457 6387 1 7040 1271 1 4337 2134 1 18847 2951 2 12257 1760 1 2676 2270 1 12439 1190 1 18313 1116 1 4860 3628 1 17129 670 1 7993 1658 1 19568 13 2 19380 3945 2 4663 3741 1 2259 7489 1 7757 2268 5 15766 1995 4 8923 1825 1 9778 828 1 19558 520 1 1198 1356 2 3496 1768 1 15429 3577 1 14385 6635 2 4095 2027 5 18698 4293 4 14855 1374 12 14350 4026 1 6997 3536 1 14199 1781 1 17072 4998 25 9865 1251 1 5806 5829 1 16700 802 1 7326 215 1 3189 1383 1 4334 206 3 8200 5715 1 4124 3213 7 11190 1761 5 3796 2299 5 18705 84 1 745 484 3 20036 6297 1 8979 1769 7 8231 879 15 4090 4459 1 6712 658 2 16561 960 2 15408 8183 6 3826 449 1 10525 4011 4 3721 8195 1 12375 202 1 5888 7466 4 2834 1420 6 19648 2068 1 8710 525 1 13796 3071 1 1852 6564 3 3125 536 1 15364 5740 1 20055 2617 1 124 5415 1 4883 1990 5 11678 898 2 5830 2398 1 7511 207 1 14968 1825 1 16787 3184 26 5983 6716 1 4805 1760 1 14253 4998 3 14326 1772 2 2533 219 1 16168 6897 8 2071 386 1 4930 214 1 7943 7083 3 4195 1721 2 19190 6702 1 11167 5903 2 14168 1037 1 12487 533 1 11002 1814 5 5860 1814 1 10172 905 1 6570 5258 2 11461 1247 2 11803 235 2 10575 610 1 1498 771 1 4663 605 3 8721 5102 1 10311 874 1 11132 308 6 6496 797 1 16277 4345 1 16458 207 3 18397 201 1 16029 1248 3 13646 191 1 2372 1251 2 2249 6334 4 854 8167 1 17890 235 1 11072 1738 3 13880 759 5 17572 3079 2 11387 4980 1 4617 2097 3 160 7315 1 11585 1783 6 6130 736 1 11773 6082 1 89 4041 5 13535 201 3 19348 1740 2 20177 1819 2 18277 1713 1 5326 1707 1 9517 1760 3 15055 4446 1 4361 223 1 12763 173 1 9859 1103 2 7799 1314 1 18373 5526 1 3337 5374 2 130 2505 1 10786 880 1 13055 1470 1 10948 4014 2 2127 3542 1 10684 1665 1 140 6372 1 13536 3104 1 20077 211 1 5320 347 1 19578 3135 7 17152 1732 1 1092 4065 9 3898 496 1 10192 1965 3 19536 1333 7 10218 6025 1 3243 809 1 6623 1663 1 15075 1647 1 7065 422 3 1378 2798 2 8761 723 1 4274 4038 1 2939 567 1 9374 1783 1 983 4302 1 874 2254 11 5999 2265 2 2143 1721 1 7705 916 1 1551 1720 1 18620 5737 4 7599 5674 1 17454 1184 2 14330 6125 2 2131 1903 2 3544 3715 1 16436 1423 1 1474 1718 9 11978 6610 1 14362 6670 1 11317 1395 1 14745 1734 1 16147 2016 1 16180 227 1 16106 524 2 3976 1721 1 9235 1251 8 17342 5855 1 15542 1304 2 19601 4413 7 3432 437 1 12826 3847 2 5020 1460 1 19957 4199 1 7685 498 17 5675 509 6 15060 532 1 18033 2584 7 16779 3222 1 673 6883 1 15487 3276 1 16388 3998 3 5737 6683 31 17809 519 4 10826 551 1 11947 443 20 15011 2673 1 4593 557 1 8278 1827 1 18793 214 3 9279 2013 2 17983 411 1 10407 2497 1 14622 8127 1 4936 7874 2 12787 4243 1 15782 2363 1 5379 3540 29 5983 1917 2 1875 1331 1 115 5195 1 2940 420 1 18356 361 1 5738 6064 1 8052 4019 1 14484 49 12 13015 221 3 11019 1246 2 19770 385 1 8117 1751 3 17664 2353 1 5158 6053 2 13088 411 8 8264 4411 2 11587 5649 1 19461 687 2 1456 3138 1 17404 7358 1 18149 5121 2 565 2789 1 1801 410 6 4089 2729 2 1530 5206 1 17568 2261 6 19316 3939 4 10160 1728 2 9344 5848 5 490 1691 5 15683 82 1 2598 7714 1 5245 1243 4 17431 2398 1 2902 23 1 19400 6252 14 6857 1272 3 3813 952 21 11687 6192 5 12413 1063 2 17954 10 2 7535 1237 1 10799 581 1 7034 173 2 12378 3255 1 1760 3909 9 14416 4391 3 6912 2691 2 16954 2641 1 8025 5345 4 13730 6606 4 5916 3853 8 6445 6601 1 11441 534 1 17541 608 1 1878 5412 1 8761 964 1 314 1729 2 8962 303 2 1948 7149 35 15916 166 1 13069 1950 2 14974 3414 2 13916 4148 1 2338 5905 2 13270 2653 2 19431 7817 6 15381 1374 1 13813 4947 5 6656 3511 1 904 6537 1 5146 196 1 6023 6615 2 18231 1464 2 10936 3230 3 18096 2708 1 10933 5495 1 8226 6826 1 17418 1401 1 15853 1342 10 9953 1247 1 2405 3494 6 19452 207 2 4881 232 1 4784 1296 1 11276 864 1 13919 8081 1 19833 367 4 7960 3210 1 495 6754 3 7750 2831 1 9029 6040 1 3790 214 8 14371 1363 2 1771 509 8 3433 2657 3 496 2369 1 2586 961 1 8620 3475 1 8762 177 1 6178 6883 4 5352 5555 3 12400 4041 5 17654 6481 1 12159 470 1 16557 4972 3 18128 8184 4 13655 514 2 11277 1363 2 1091 5440 17 6585 7210 1 2729 306 1 7264 1751 1 4036 844 2 8226 173 6 16029 2817 1 9457 1304 3 1339 2676 3 19608 4967 2 9655 883 1 14177 5571 1 5453 1298 13 17950 4029 4 3090 385 1 20107 3909 6 16391 1728 1 9489 207 1 20180 7987 1 9508 4490 1 14305 885 3 16096 3556 1 13873 5425 4 16998 1235 1 11140 4996 1 9258 1246 1 3100 1334 1 8585 6242 2 20092 207 4 14284 6585 1 1822 5144 1 874 1363 8 10247 3511 1 6261 6343 1 11299 3113 4 12591 196 2 16690 843 3 6690 779 5 6907 575 1 4070 6507 1 20123 4413 1 17606 1561 2 15979 6106 3 19869 5053 1 18633 2465 3 7988 6558 1 13649 7422 2 20062 244 1 415 3865 1 10952 6100 1 16346 1740 7 6998 7750 1 5107 5427 2 6264 7853 1 5161 335 5 13177 524 1 2072 3552 6 19732 23 2 8749 206 1 3698 1617 1 7507 1776 2 6749 2864 1 20036 4275 1 12507 6207 1 12988 1383 3 2359 165 2 18481 1781 1 18524 3711 1 13091 223 2 14416 225 2 14089 3142 2 18979 3233 1 8418 339 2 13829 1246 3 8402 1719 1 8668 3906 4 19006 6677 3 8952 5219 1 1206 853 2 10630 5325 1 17013 409 2 2818 207 1 7934 201 1 7780 2678 1 83 3841 1 4067 4411 6 7099 1028 1 9822 8001 2 7524 6355 1 13 916 7 17755 2789 1 15847 1705 2 814 5405 2 2902 5018 1 1379 409 1 7760 8109 2 18115 917 3 4718 7205 2 7986 6064 3 14604 1986 7 20030 7030 2 16832 23 1 16018 4343 1 17633 411 2 174 7921 1 6536 1721 1 1043 7761 2 18880 6288 1 8833 4723 6 14165 1100 47 12071 2099 1 19784 6622 1 1109 1732 1 7910 8162 1 62 3032 1 10879 215 1 16870 7279 1 17767 1779 2 15468 2863 1 1926 4077 3 8913 1600 1 16350 3911 1 11885 3489 3 2985 640 1 12082 3558 2 3973 662 1 5518 7915 2 17506 5825 1 11238 8102 6 11786 4905 1 19466 7881 1 9079 1416 10 12227 1037 20 1414 6150 4 4492 501 2 7750 4245 5 7105 4992 1 18807 829 1 2198 199 1 2546 3006 6 10003 2407 1 2990 5504 1 3796 804 1 4712 7880 1 19268 1305 12 15496 2729 1 3449 3909 1 13841 6098 2 9741 8126 4 15675 5618 1 10146 1703 1 6828 690 1 2624 2721 1 701 470 1 15690 5724 5 14600 1235 1 17929 4312 9 6229 7317 3 11847 6139 1 19351 10 1 14736 215 8 8837 1324 1 4500 3466 2 11658 248 8 5602 964 1 5421 4288 1 4791 1610 5 17949 733 3 10114 7997 5 6689 2992 2 6801 366 6 238 13 1 9104 2529 2 13357 5036 1 11577 891 1 17891 1995 1 496 7527 1 2125 2263 1 10473 2489 2 130 5917 1 593 1395 2 17195 6022 1 92 4141 2 6772 184 3 10279 11 1 12821 5018 64 12296 5011 1 15815 4394 1 13909 5390 1 14908 2528 2 5831 7948 1 3121 6793 1 15427 4511 1 7991 3617 1 17512 505 2 3014 1955 2 935 3512 89 13919 3578 2 2731 4490 5 127 5754 1 130 5935 1 745 5788 1 16695 5903 1 8578 6253 1 9630 609 1 6846 1748 2 711 1783 2 12034 2528 1 14327 1738 1 9674 364 1 10056 5970 1 10340 512 1 13084 2860 1 18748 6714 3 2010 1981 2 19193 5495 1 12206 1715 8 5931 303 1 18270 8013 11 9549 4400 2 11372 203 18 8982 232 2 18289 82 11 4561 3715 1 15868 1781 1 19366 2841 1 2338 173 9 10666 4193 1 11952 1814 36 16364 5349 3 1466 1363 2 15160 7210 2 11554 220 3 13414 411 3 1198 3480 2 11421 1649 1 7731 6738 1 16723 2555 1 18899 4012 1 14944 1995 3 5906 5820 1 1147 7434 1 17780 219 14 12745 5768 18 4253 230 2 9625 7270 3 18304 3244 1 1714 3842 2 3282 1770 1 3557 303 3 1551 1730 1 2019 382 1 15325 519 1 7486 84 1 2332 220 8 15011 2806 3 19649 1417 1 15140 1781 6 14196 1706 1 1485 3653 1 18573 3167 2 1228 867 2 3705 6713 2 5145 1374 1 11678 815 3 658 517 22 1530 6665 1 73 3358 2 14114 698 1 4619 6246 1 9549 3710 1 16162 3526 5 2646 1184 1 17756 867 32 11809 6252 1 6348 4598 1 17084 200 1 6681 7750 1 9458 4746 3 2905 4613 1 8337 2444 3 270 2632 2 3237 7594 3 5085 164 1 521 4667 1 11072 219 19 845 6793 2 6853 2003 2 13911 222 2 15272 2552 6 5117 899 1 18386 850 2 19080 205 1 11687 910 2 15926 1729 3 17040 617 9 12399 230 1 8198 237 1 18847 5506 1 11951 1304 2 7536 5446 1 10435 3731 2 1711 648 1 18207 955 6 4307 23 3 9696 4998 11 15821 5495 1 14772 4941 3 14740 1710 2 18672 5419 1 5246 5935 9 17324 896 2 14400 1734 1 6228 4386 1 19688 380 1 8544 7850 4 12121 2789 1 6406 4667 1 19303 330 1 15061 2369 1 6867 2862 3 7965 2675 30 17391 8094 1 13084 1732 1 19300 188 1 6429 6424 1 7725 2608 1 8938 184 25 14678 568 1 5421 4333 1 4830 64 1 2318 4728 1 7119 7848 2 17007 694 1 16016 205 2 17372 8057 1 2116 883 1 164 7479 1 14522 1776 5 7906 517 1 13020 7350 9 10714 874 1 2376 2974 1 13190 3219 1 14905 4998 3 18876 5270 2 862 3227 4 26 1532 1 12466 188 4 8520 1090 3 18656 5781 1 8198 365 4 399 2860 1 5845 186 1 1866 6543 1 3173 4258 7 3002 141 1 4561 5897 1 171 7696 1 17697 539 4 7188 235 2 17440 717 1 11430 3911 1 12705 3612 1 16230 696 2 19960 10 1 8484 6126 2 14698 1777 1 5205 590 5 7220 498 2 16736 7828 13 18619 756 1 6183 1827 2 12970 698 3 5712 7850 1 18037 6091 1 18082 2787 1 9194 3408 38 4213 2146 17 6682 1729 1 8110 1732 1 20 1332 1 14896 4245 1 9773 23 4 13787 1781 1 20020 5144 1 6699 214 1 18615 1721 8 6094 7517 2 4620 1747 2 9543 5327 1 10852 341 8 14059 2595 3 14990 1893 1 35 1874 1 12821 637 4 5258 134 1 7253 207 1 18852 74 2 1581 1747 3 18279 505 5 3044 310 1 3149 2676 8 4963 947 1 9556 5018 5 12864 5004 2 11014 5758 1 133 6040 17 16018 2737 1 9959 1464 5 5254 3225 1 11384 1721 4 14063 1819 4 8098 2559 3 9754 2385 6 9058 6972 1 18795 2724 1 11786 7821 3 14040 460 1 8094 991 1 1665 3317 1 6622 1641 1 7647 6683 26 20146 4413 1 10916 444 1 2780 6053 1 6722 2329 1 1872 229 8 19608 846 2 8636 3056 2 926 1146 1 1563 550 2 15279 3389 1 18634 3855 1 1416 8184 8 11610 23 70 246 3239 7 4796 7206 5 4259 2653 1 16970 7533 1 8760 5546 2 16292 6701 4 3397 916 3 18252 6363 2 18637 3114 5 7380 6252 1 8895 834 3 1568 6697 1 9535 1726 1 1316 57 1 8036 3399 1 19793 6723 1 17777 2363 1 8608 1727 2 17416 766 1 559 7210 1 19198 7144 2 17252 3592 2 19002 5615 1 4886 1464 2 3887 1772 1 6983 2804 2 9626 201 2 5675 2883 4 10738 7311 1 163 4142 8 17599 6672 1 9421 7319 1 11093 1727 1 7540 1819 1 2308 506 1 9801 2089 2 10463 303 1 18263 5434 1 14477 200 1 11591 4019 1 5141 23 4 3963 4333 6 12690 3796 2 4003 6874 1 10732 524 2 12136 6776 1 19635 188 2 14836 1357 1 18647 1648 2 6537 7705 9 7359 8057 6 18188 3900 1 10319 252 1 15924 2261 10 983 4304 1 4204 2552 6 5653 1734 5 3386 526 2 15683 779 1 296 7670 2 19600 519 3 7536 4761 1 889 737 2 4130 3999 1 3397 3649 1 5961 3337 2 13743 6574 3 18959 1202 69 10954 1946 1 4648 1814 1 17778 4890 7 10542 308 1 12930 5826 3 3650 6407 1 1171 233 1 6673 1164 1 9661 2584 1 8665 1244 1 10471 5004 1 10098 2664 1 5712 7964 4 20107 3645 1 19552 647 3 4804 203 1 15740 1374 5 6617 2005 1 1794 1420 1 8532 1146 1 6801 5253 7 7340 1887 2 17715 7597 2 3365 3167 1 16167 514 3 4417 244 2 6503 4489 2 14561 4479 1 7652 1781 1 8892 200 4 11333 779 1 3037 214 3 6468 628 1 14993 7474 1 12804 8043 2 6727 2068 2 3522 2276 3 16805 6338 1 10708 830 1 16626 1741 1 3980 5474 1 14466 3331 2 9044 7433 1 17781 1395 2 3931 1333 23 17578 558 6 4832 2495 6 16873 7740 5 17746 819 2 14454 1238 1 17400 5294 1 3765 4352 6 4462 155 1 19605 1704 2 10721 1284 55 247 2494 1 64 3084 5 1273 415 1 15873 500 5 3774 3233 5 2325 1938 6 12435 5271 1 7194 3619 2 2515 125 1 18042 2493 1 13558 1453 1 4805 207 9 8473 1453 1 6074 2421 1 10190 2571 7 17 1074 1 12629 2463 1 15398 828 1 4685 8158 1 7329 1362 1 14468 8081 2 9947 618 1 6183 1732 2 15091 1092 15 140 6395 1 13941 1736 2 2696 3276 2 1129 215 2 11363 156 8 19485 232 3 17689 1705 2 20007 1768 2 10376 2009 1 12670 5091 3 6063 1825 2 14527 2635 1 15504 1740 2 4810 6607 1 11158 5712 2 13619 1658 2 1145 134 2 108 4856 1 16151 5686 1 10789 4296 2 19872 883 1 5522 5071 11 15211 3703 1 19169 6502 1 2325 3511 15 12491 6754 1 17555 7512 6 5008 7127 1 5214 221 3 17191 499 1 5839 1654 2 16674 4280 2 13642 2410 2 3561 903 2 11131 4 1 16254 3024 2 15841 3058 3 18066 4280 5 10147 8083 1 11135 7701 1 67 3234 2 9446 3798 3 658 3412 3 2493 1582 1 6645 6053 17 11192 829 1 13440 2675 1 124 5538 2 8294 4708 16 11561 198 1 8262 1703 1 16636 4280 2 12988 943 2 14730 460 1 1534 7684 1 13284 861 2 14612 449 4 1625 931 1 1206 335 1 3962 4572 1 12412 956 1 1874 526 16 16922 173 2 13932 2378 2 15307 3396 1 12170 6375 1 2453 3540 1 15339 525 1 18705 1695 2 3397 3893 1 11938 4761 1 19727 2737 1 15016 6983 3 3397 3619 4 2942 2009 1 19651 6705 4 7849 6721 1 7193 1772 2 12619 2488 1 17395 1051 8 7761 2484 2 1349 5494 1 7863 3516 1 16270 718 2 17867 5851 1 1625 6421 2 18066 7672 1 12104 3592 1 14021 4935 1 18115 5254 4 8164 1778 4 4049 4134 2 13299 1658 1 2646 1334 1 9604 214 19 10028 23 1 19787 850 1 18833 4397 2 10360 3512 1 10692 605 2 17911 1768 1 11742 3050 6 17416 1698 1 19872 445 1 20215 1824 1 7823 1312 26 12014 2363 1 11 396 1 8039 7120 1 16518 997 1 1824 4567 2 20180 2990 1 3975 3531 35 18730 7083 2 17555 1278 8 915 6108 2 9014 2600 1 15982 2737 6 7181 6343 1 7020 223 3 15978 1630 1 17992 6839 1 20090 429 1 5735 2383 1 16922 1955 2 14297 3936 4 15041 1827 1 15169 330 7 9188 5332 1 15718 4958 1 1090 3634 1 6932 2530 8 5172 6066 2 3755 7229 1 14273 7476 1 10371 222 2 16176 1707 5 6449 1001 2 10732 5018 4 13205 6632 1 382 2109 1 3118 7230 2 3261 4298 1 6697 3512 1 10077 536 1 456 3230 3 11786 3462 6 11587 2698 1 2818 7719 29 19760 5686 3 4851 1751 1 19812 4187 1 6190 7229 1 20177 495 1 18673 7719 1 11131 5935 1 14945 2147 2 19308 3979 1 6332 5137 2 2546 5259 3 9275 7953 1 13562 5071 1 17521 3511 10 6357 2792 6 873 4884 1 460 514 6 19834 4614 1 3442 99 1 7070 6210 6 5600 1606 1 18524 3400 2 5972 5488 1 4072 461 1 19112 4298 1 3662 3457 1 11111 206 2 16271 6533 1 18897 1758 1 1307 4245 1 1857 148 2 10103 860 1 19180 6201 1 7957 7734 6 14400 2671 1 4247 5559 2 1789 1466 1 8451 7522 1 10923 1978 1 14580 1768 10 2437 523 3 6668 707 1 92 4157 6 31 1706 5 7877 1747 3 8334 541 1 7944 4143 2 18978 6368 1 10843 1 1 19985 1036 1 15006 6415 1 8483 7665 1 1807 2409 1 4429 94 1 5574 2710 3 4663 4022 1 13653 1263 1 109 4951 1 14194 1990 1 18008 6192 1 14629 4211 1 15982 244 7 7863 3088 6 9072 8154 1 19034 6892 1 13832 202 3 5145 5503 2 2555 4592 1 4913 954 1 18776 5345 1 16238 470 1 8946 720 1 12272 1819 1 62 3021 7 2531 5004 1 12453 6606 1 14789 4085 5 12440 624 1 15177 3884 3 17578 341 3 5093 5036 8 16314 1748 1 7197 5460 5 1225 3408 1 6853 5256 1 8859 413 5 16851 1747 5 3915 4435 1 18237 1771 3 7821 534 14 15796 5996 2 11020 355 7 16054 5105 13 12548 2699 1 8735 3638 5 5065 157 1 11585 1745 5 15970 1324 3 633 8166 1 13396 489 1 15376 303 9 10873 48 5 745 232 3 11835 6011 1 10461 5607 1 12807 510 8 13268 5329 1 11846 7719 1 15883 944 1 7627 1770 1 1912 221 8 6853 1226 1 16275 1748 1 17384 2778 1 4883 7963 6 9155 709 1 16090 3457 1 15204 8139 1 19729 883 25 3003 7404 2 4979 2727 1 4141 167 1 17946 3531 2 12064 1739 1 13845 206 5 19002 1593 2 13242 7201 3 17170 200 6 18179 1703 2 5490 7021 1 2704 1707 1 16857 2065 1 4913 8040 1 12535 2246 5 5879 1193 4 1865 200 22 16459 1247 21 4995 3135 1 14690 1891 1 6457 5903 1 13031 1247 4 1376 1239 2 10736 753 1 6848 244 1 11683 1369 1 17941 2648 22 8105 23 3 11947 1757 3 13463 2737 3 11444 8171 4 5282 4243 1 18089 497 3 17512 3709 1 12037 1909 9 16292 1244 1 4679 7612 1 10374 3045 5 12075 7840 2 16600 954 1 8913 357 2 3678 4555 2 1509 3997 4 19882 6627 3 16894 7120 1 12977 3452 31 2980 1251 1 8580 2727 1 2570 6087 2 2917 8054 1 12088 4590 10 17262 8121 6 92 4122 2 1262 1705 2 15856 3086 3 15423 5037 4 19112 132 3 5171 6685 1 9655 2877 1 12024 525 1 6412 853 11 14616 1164 1 7943 1201 8 11644 6578 5 18056 7911 1 5675 1752 4 7451 1728 1 8746 2364 5 17901 2701 1 3234 4623 6 7170 525 2 5706 1271 1 12340 1150 1 10873 10 1 14090 1235 1 9489 1417 1 9315 1249 2 12280 3558 1 7378 4142 3 15086 6053 15 20078 523 1 943 3370 1 11072 502 3 13997 893 1 14233 74 1 16990 4472 2 15024 249 1 6519 2089 1 1825 5565 1 6899 4425 1 18326 719 1 9953 7404 1 6881 3493 3 13430 3869 6 11883 6680 3 15264 2595 1 1330 108 1 14517 2877 1 17388 7498 9 8965 221 2 10121 1338 2 9395 252 2 11045 7275 1 18366 2369 2 10670 4123 4 9534 4142 2 10064 223 30 3072 2290 1 6928 1759 1 3899 1729 1 17850 200 20 17360 220 1 6889 8187 1 10799 524 1 4963 4635 1 11367 1235 1 8327 1000 1 16775 7537 12 5084 6228 1 9290 5162 2 19875 7542 2 9601 3492 1 7669 4279 4 10309 862 1 18587 1250 1 12071 215 1 12142 3210 4 13743 497 1 15710 2626 1 7893 8203 1 12187 4277 2 1725 5740 1 13985 7030 1 8709 4243 3 11082 201 2 17494 1698 4 18330 1768 1 8579 1751 2 15025 4092 1 16805 6481 2 15352 553 3 7685 1368 1 7809 780 1 18696 1453 3 4527 2352 2 7336 2096 8 4397 936 3 6178 5264 3 2333 3909 7 18543 3639 2 17173 4607 1 4183 3378 1 17767 491 1 140 6363 1 16254 6700 1 16645 1249 1 2911 356 3 1183 4006 1 12064 215 2 11287 7083 1 12361 735 2 3582 4596 1 6890 3386 1 18040 4494 2 1783 470 1 15429 4538 17 18950 23 6 18940 3164 2 9672 1740 10 2976 4099 1 11591 2691 5 16473 2767 1 6269 88 5 16074 220 1 11848 203 1 4016 1686 1 14646 514 1 1007 3991 1 19588 1730 1 18415 5493 1 6774 1307 3 15329 5887 2 2319 1383 1 16354 6077 1 13575 1249 3 16458 2617 5 6306 2675 1 15068 187 2 4540 5498 1 17500 2363 1 13019 4006 1 3644 3333 1 6463 4304 1 8947 1464 1 719 903 2 11345 1745 1 3735 512 5 3678 7494 4 18317 1825 5 31 1721 3 5099 8029 3 12521 916 1 12378 3203 1 7264 2355 1 13357 4614 1 17662 1251 2 18479 963 1 4498 2653 3 3389 1100 1 14645 3213 1 15599 8141 1 12541 723 1 19379 590 1 10725 805 5 10675 7689 2 2747 4008 1 16099 206 1 6124 3065 1 10195 224 8 3335 5500 2 3143 2687 2 17556 4323 7 19246 1760 2 9249 5004 1 4841 942 1 9039 1267 1 11020 461 45 1305 1436 3 6343 3603 1 12579 61 4 17472 7817 1 12765 4793 2 9157 201 2 15281 219 26 10 272 1 15465 1715 1 11332 1715 1 9907 203 1 2706 206 4 11533 7828 1 19758 5407 1 10813 5758 38 6124 2362 1 127 5748 1 634 4640 1 16267 745 5 8269 639 1 9957 7267 2 8614 5392 1 16176 1363 1 4612 6341 2 13866 539 1 6677 5206 1 17961 7719 2 6314 617 2 2829 561 1 420 6014 1 5401 631 1 74 3227 14 16777 6150 4 6334 1788 1 4735 7098 1 18821 4248 3 7179 564 1 3118 335 15 16925 2517 2 542 207 12 8658 6120 1 12814 206 1 14273 7902 1 19503 1021 1 9968 5442 1 857 1241 2 6712 1039 10 18270 496 2 4495 8066 1 10725 1298 2 3416 5978 1 9975 533 10 19131 911 1 10098 7669 1 18762 411 1 11 420 2 4137 1814 4 4127 232 3 3219 4620 1 18584 7256 4 1198 2015 1 3739 1782 19 18968 1193 2 5962 5034 1 13544 1698 3 10160 4152 3 17682 1277 2 14470 4436 1 19664 518 3 11317 3526 2 19038 186 1 8370 2300 1 1464 329 1 10554 6083 1 14753 177 1 8528 367 3 5033 631 2 2843 5018 1 10361 6622 1 15764 2086 5 12064 1827 8 5896 3206 2 5216 1730 1 17083 2534 2 6913 7565 1 10853 8117 1 630 1751 4 18902 4501 1 19619 1757 2 1468 3869 1 18376 2918 1 8340 933 1 8614 5432 2 13560 3316 3 3123 200 15 824 1738 1 11798 4304 1 9168 2993 1 18821 5877 1 33 200 6 11020 202 3 17220 709 4 10580 3972 1 16736 5860 2 108 4839 2 6987 1339 1 14745 1703 1 835 498 1 4545 6521 1 20145 1762 1 17020 6633 7 20180 1555 5 14467 6210 4 10688 7146 1 19380 8031 1 10456 1700 1 13328 846 1 1801 3796 1 20096 4234 3 13927 470 14 8334 1750 1 6001 200 3 8921 206 1 3485 6680 1 15984 1239 9 16431 4653 3 11422 616 1 13520 2058 2 6029 7005 1 7005 1250 4 105 4714 1 102 2969 1 11681 2331 1 14425 2549 1 10170 3060 2 6332 792 6 1313 3685 1 5319 631 2 15281 528 1 7799 6139 1 5896 6192 1 4718 1737 4 19751 1748 4 19170 196 1 7605 1367 1 5845 4578 2 8478 270 1 8198 859 6 5029 1761 1 9310 578 29 19205 8013 3 8681 308 1 14711 3916 1 5216 1573 1 3329 2708 1 11086 1705 1 6979 8200 5 19244 5353 1 5495 3715 1 10586 6615 6 12830 502 8 3545 1085 1 9490 152 1 1465 4060 1 8646 1772 3 15205 845 3 8728 575 1 2483 3159 2 1783 5922 1 14853 2686 3 5424 1704 1 475 3578 1 1194 2938 1 8632 3511 1 5362 1308 5 4870 792 6 19351 5260 1 14561 3224 2 8709 5792 1 1888 7210 1 11336 952 1 1212 825 2 5179 2116 1 2305 6794 1 7406 910 2 544 1825 1 16022 838 2 8311 2356 1 2703 2881 2 13517 1926 1 6144 679 1 160 7316 1 9497 1718 1 1551 3634 5 9935 2331 1 5339 3979 3 19662 222 1 15943 366 1 19705 199 1 14619 3433 1 16768 763 2 14694 82 1 11033 213 1 19026 4998 16 3100 1250 1 12510 4003 6 8544 3021 10 14047 6633 1 1171 1730 1 220 206 2 18665 1843 2 322 1342 2 16447 1244 2 13748 1728 1 5610 316 1 9759 1184 2 5588 1745 1 7109 1755 12 18096 215 1 5911 6203 1 1828 203 6 4130 7925 1 14155 6334 3 17681 3983 1 10156 3840 1 6890 1756 1 12841 5286 1 379 1359 3 6164 1286 1 3287 4460 1 7838 1706 1 17436 3172 1 4963 4621 1 11218 200 18 13315 2528 4 5983 3516 9 4332 518 3 19241 8227 1 17709 1729 3 11820 880 1 15408 4992 4 12152 559 1 7641 201 6 8027 173 2 15220 1751 2 13686 1776 2 10438 1325 1 12895 1764 5 4238 5325 7 15102 1752 2 14034 449 4 13532 2626 1 15742 679 1 18149 1779 6 8515 1104 7 19131 1871 3 13972 6069 24 19614 7583 1 3005 1250 6 19173 912 1 17526 4623 4 13425 2513 1 1265 2708 1 13327 4635 2 9660 3531 3 10948 232 1 15272 1748 2 9626 159 2 15969 3180 1 15943 3009 1 12351 232 1 74 3433 7 13077 1825 1 3741 1112 1 15315 5137 1 6176 5308 1 7464 1990 2 9876 776 1 6913 5272 5 20262 2683 1 12053 883 2 13437 7407 3 8021 2360 1 9542 225 1 9512 4572 2 6864 536 2 7068 220 7 17879 3228 3 10669 6485 16 109 4962 1 873 2760 1 177 8162 1 2166 3409 7 19222 3556 9 18930 507 1 11912 1656 1 2749 3143 1 3189 7101 1 812 7934 5 4372 1583 1 8102 3045 2 39 2054 1 11 388 2 15760 562 1 9150 4015 2 8730 869 1 19292 6434 2 15402 6139 3 19774 1277 2 8878 3071 1 10245 2792 1 4251 2989 1 8913 355 3 15321 864 1 17011 834 1 7226 2029 5 5653 5325 1 2643 6283 1 2651 7763 2 8014 6415 5 9677 519 1 2271 668 2 1438 183 1 18725 3372 1 7693 222 1 10000 4119 1 6124 1237 1 16881 221 17 20153 1184 1 16631 167 1 10945 316 1 54 2638 1 14135 1576 1 19230 1903 5 9535 4761 1 5577 2699 2 3436 202 1 18226 880 1 17731 7424 1 20202 2534 1 13023 5241 4 15059 1753 2 17405 822 1 1973 392 4 14012 4903 2 9150 4470 1 12128 1277 1 19346 253 1 19471 1313 1 7842 7748 5 19604 5432 1 18609 207 4 4854 7723 1 5341 4635 1 5725 3779 3 60 2723 24 1171 864 1 18491 2172 2 456 3910 5 15982 4653 6 19727 222 2 8082 4555 7 17746 581 1 6990 1092 6 3981 4013 6 13648 220 4 10766 2478 6 10137 6510 10 145 6685 1 15679 514 1 18931 3255 3 1711 917 1 15508 175 1 10772 818 1 16096 2228 1 5021 200 2 18749 945 1 19690 201 4 19759 821 2 7080 4992 1 6927 252 1 14806 863 3 12760 825 1 13453 212 1 19387 1482 2 6651 2165 1 10187 1146 1 17615 3663 1 17871 4248 2 8271 7964 1 2731 6390 5 19193 6152 4 13326 2058 1 6422 496 5 1663 4992 3 5943 2881 1 7751 225 6 13430 335 2 2404 1357 2 8608 3287 1 18791 1248 5 4055 4288 1 1348 4136 1 3338 1764 1 16192 7403 1 8894 6767 2 10137 223 6 18317 722 1 19478 3518 1 18781 422 1 4904 3549 1 8783 498 1 8396 225 1 17664 883 4 9660 2219 7 17740 4555 2 635 411 5 4282 5310 1 6673 518 1 1462 6946 1 6642 229 1 6720 198 1 13088 1356 1 12231 690 1 19597 82 3 1237 7621 2 16903 4963 10 17771 475 1 12158 5928 2 17983 5407 1 4382 1296 1 12633 1747 1 12018 4378 1 3813 4363 2 1091 2949 5 16580 6757 1 19089 532 3 16048 4056 7 19180 5018 2 15122 186 2 15170 2662 1 19485 225 4 12909 4996 1 17168 1717 3 14001 2362 1 19360 2488 1 19734 220 2 13994 2362 1 13829 1737 5 19733 4090 1 17450 792 1 12970 843 2 5294 1814 1 10 345 1 17548 215 1 9720 1341 2 17191 1776 1 19511 1369 1 16810 956 1 3561 8197 1 14530 4034 3 108 4829 1 727 7466 1 2607 2727 1 19159 5064 5 18040 3557 3 16768 3573 1 7130 4992 6 20123 793 1 6686 2415 1 13160 498 1 6204 1781 12 13657 2043 3 13705 3167 8 1527 206 1 18381 4807 5 12858 206 1 7056 6278 3 4443 809 1 3673 7672 1 11697 1104 9 6269 3492 2 4934 1518 1 1043 2675 1 9713 3682 2 15098 2671 2 174 7869 1 18730 11 3 19569 221 1 163 7407 1 11955 5256 1 16916 500 5 5970 222 1 1009 3089 1 19022 215 11 20123 6990 1 4314 3884 17 18679 4343 1 7125 2958 1 4519 5903 4 5801 6979 1 983 838 5 21 1399 1 17268 3851 1 11851 1305 1 6611 1757 1 19820 1341 2 11086 1741 1 13237 2980 9 4006 525 1 3936 891 4 857 3916 1 9268 905 3 7017 3239 2 655 7217 5 1369 5051 1 3355 203 1 12740 5768 10 393 471 1 873 441 1 9758 7257 1 11903 4559 1 8633 7524 1 7487 190 2 18880 935 1 5185 1338 4 8067 1748 2 4052 1755 3 6418 1054 1 7412 840 2 2640 4688 1 17808 201 1 15640 7112 1 8546 2708 1 12755 1267 1 9089 7143 1 18116 7414 1 11164 1698 3 2752 415 2 16442 7863 4 9061 5712 1 9178 225 4 2980 8070 1 14538 1741 1 14187 3164 17 19853 205 3 2641 5314 1 13531 518 1 16481 7112 1 5306 5000 1 16857 1721 1 6967 2356 2 18778 495 1 18465 6200 1 7075 1434 9 11506 2662 15 18303 2673 1 9358 1369 3 14017 1238 1 13405 3840 2 17910 1720 1 4423 1292 7 15611 4967 1 1504 1752 1 6242 6170 5 13806 608 2 3985 1241 2 17635 532 1 11111 498 2 7245 2076 3 755 1778 1 9396 7596 1 13811 679 1 6305 173 1 12807 1728 8 174 8037 1 18326 23 1 8709 1054 1 10044 4590 8 14022 200 1 3911 4963 3 7592 1146 1 19476 1286 3 2949 1431 1 17298 214 1 10820 5513 13 15742 4276 1 6449 537 9 14413 5496 1 4397 3016 2 17731 514 1 745 1779 1 3024 1781 1 4620 4789 1 1291 203 11 20180 232 1 1307 215 6 16509 2044 10 12280 3907 2 10078 5016 1 1235 2132 3 13 177 3 18893 6470 2 7480 5961 1 18488 6192 1 6739 3479 2 14610 7353 1 18679 5558 1 2917 383 2 6928 6167 5 12456 5600 2 13743 4343 2 15211 764 4 13646 532 1 6914 1022 1 8918 200 2 4593 707 2 3397 708 2 20090 401 7 8443 2025 2 16594 3333 4 14318 4641 2 4208 2617 1 10391 4242 1 1587 687 2 18992 1692 3 8890 354 1 1602 3343 4 4602 187 1 15820 1629 1 7991 6434 1 19296 4403 2 448 23 1 5044 6658 1 13928 681 1 1572 3511 16 13122 5381 1 18158 5881 2 19246 401 1 6326 1751 1 11388 2673 23 15687 4202 6 14599 713 1 9556 4623 3 5882 5730 1 2078 4029 1 9168 2737 1 12623 4780 1 16606 7013 3 19144 74 2 5677 569 1 17886 670 1 15235 1819 3 19649 1722 2 2693 517 1 10000 7105 1 3947 1736 1 5617 433 1 7695 6640 1 107 4776 3 18910 88 2 11259 7022 1 1342 2646 10 18202 5293 1 9966 1717 3 6449 5108 4 7208 5425 1 18968 2626 1 13865 1729 1 9844 164 1 19749 4105 1 15041 200 25 19727 874 5 3703 15 2 1756 5862 1 8989 1235 1 8532 1778 2 16662 200 1 19272 1055 2 10692 762 3 16090 6118 1 6105 826 1 3393 1758 1 13777 2228 2 12544 411 3 18071 7101 2 5318 6343 1 18508 2127 1 9259 1686 2 5952 1649 4 3090 1748 2 10014 6091 1 16706 475 1 6819 223 18 16988 204 1 6595 220 1 2226 7964 1 3015 5004 5 3796 225 1 2772 3380 3 5369 3749 1 16963 1104 1 161 4988 1 745 1357 1 12693 1883 1 162 7377 1 16442 4264 1 1150 1252 1 4602 5708 1 19774 4203 1 2226 2597 2 14143 4640 1 12334 225 3 11504 1150 1 12378 4266 1 6983 2542 1 19776 7060 1 19833 823 1 14384 191 3 1145 3167 2 1629 6180 1 124 5457 1 7949 3817 1 15636 1764 1 16491 903 4 13581 397 20 8291 8054 1 20024 512 3 967 1781 1 17618 1726 1 3395 514 1 5977 1718 1 18060 1775 1 7990 348 2 7591 210 4 2194 709 1 8863 4139 1 14000 8171 1 19987 3022 3 1273 7998 1 10838 452 2 6137 23 6 15919 23 9 3985 6519 4 19957 1302 2 3521 6059 1 12554 211 2 8332 7217 2 6561 2266 4 19649 1395 1 635 1720 3 7147 5903 3 17205 526 1 5444 3879 4 17341 2534 7 11349 222 1 3335 1468 1 19026 6655 1 8735 4019 1 5772 7426 1 15055 6252 4 14479 1666 1 16740 2447 1 4273 2127 2 13 717 1 17078 1384 1 7991 1631 5 9740 74 1 6213 3649 2 11230 1997 5 7530 156 3 18030 6047 1 8597 4722 1 14740 190 6 13077 1819 1 1709 2889 1 17132 541 1 17850 496 1 11935 835 1 12841 573 2 17478 5971 1 12986 5408 5 5613 7540 10 4330 207 9 8295 393 1 11976 1342 7 125 200 1 11625 229 3 8593 2836 2 11683 4949 1 18293 367 2 15103 46 14 7455 2511 1 10425 3312 2 11605 7246 1 4625 7308 2 725 2969 5 94 4218 1 1092 7741 1 16486 203 22 18040 677 2 2186 368 2 9042 5531 2 13530 2399 31 470 902 1 8239 1523 1 7571 233 1 15373 4622 11 19134 1665 1 130 5977 1 15888 443 2 9889 4391 22 11730 515 6 708 242 5 6539 937 2 8462 525 1 2710 1747 2 1312 6085 1 6560 4189 2 9494 1756 1 12257 2360 1 9894 382 1 24 1473 1 18305 173 2 5817 3247 5 16579 3971 1 14773 1247 1 8966 206 4 9119 222 1 6105 291 1 7955 4105 1 1812 2683 11 15039 5041 1 15429 6845 2 2094 1237 3 10682 496 1 569 203 1 19159 2552 2 11645 5003 12 2376 1381 1 1647 732 1 10554 4314 1 916 5952 3 17141 4662 1 19759 7213 2 1225 6278 1 7439 7448 1 5157 225 1 18914 1769 1 5009 3726 1 13770 1557 1 14146 911 3 14298 13 2 15712 197 2 11786 7191 2 12163 525 17 12337 871 1 687 6252 1 1579 705 25 16535 2151 1 17886 831 1 10251 6533 1 12398 694 1 11271 4343 1 16843 3356 1 6712 899 1 14578 5862 2 11212 1827 4 15029 2787 1 13908 2488 1 604 560 2 5241 5018 1 16722 1801 1 4056 5335 1 19530 1245 1 15436 1778 13 1629 6658 1 964 5207 2 3118 636 1 6458 1695 1 11728 3021 14 15184 875 1 4524 303 1 20044 7682 1 9997 6591 2 12050 1752 1 3950 4998 1 1851 3424 1 16087 5466 1 10728 7767 3 12104 2791 2 10832 5829 1 7799 1267 5 13446 4198 1 51 2523 4 14522 2678 3 1954 1561 1 16493 5307 1 10719 1764 1 13496 229 2 16443 4996 1 11158 4251 3 4056 1367 1 18803 2 1 10709 1007 49 11169 520 1 20265 1776 1 3119 220 1 4411 3167 2 4539 3884 18 9342 411 3 17578 7920 1 15405 1291 1 5794 2676 2 2413 3171 5 11345 206 1 13131 2724 3 8174 883 10 17407 745 10 4307 1482 2 1755 201 1 1472 1730 4 14905 4085 1 6697 1396 3 270 1245 1 10931 231 1 4138 7086 1 5676 2486 5 8375 5321 1 3372 535 1 11064 2727 74 19176 4915 1 10720 6198 1 7705 3356 1 11693 3649 3 10379 606 1 6728 2699 1 2217 2016 2 3852 5234 1 7235 3430 1 16531 6231 1 2617 3276 1 7145 1311 1 9242 4322 1 1631 2488 1 10199 5036 3 9817 5105 17 15239 7342 4 15774 7847 1 19268 237 2 230 1482 1 14837 1734 1 16574 6979 1 2531 7425 3 15069 1738 1 14350 5550 1 18142 863 2 107 4772 1 14348 1644 2 12727 1710 8 12112 4249 1 10799 3644 2 6751 1707 2 15261 7498 1 11693 1715 3 6768 1827 1 8754 2571 2 1620 1241 1 27 1618 5 18523 6445 2 1634 2708 1 11158 2958 10 6647 520 9 19197 5130 1 11305 1775 2 3331 681 4 18071 7824 2 2267 4403 1 12841 694 1 3797 2361 2 11809 5972 3 17073 2366 2 4498 5426 3 17989 3596 1 8962 203 1 1568 1054 1 19243 6908 1 12528 235 4 10290 215 2 14630 532 1 2760 2494 4 7146 304 4 14818 532 1 107 4780 3 15479 535 5 3781 5495 1 4688 5286 3 16290 6451 1 6703 5350 3 819 1108 4 923 690 1 10575 828 2 5879 1316 4 17960 2424 2 18656 6470 1 16426 3228 8 13023 3883 1 4428 3045 1 13829 1707 2 15160 523 1 15468 3331 29 6319 5730 2 11333 706 1 12970 1253 1 8578 35 2 16020 173 2 12210 1247 1 157 7195 1 14944 203 2 15258 4244 1 1801 1357 5 13271 1357 1 17133 523 1 19283 7400 4 17657 2248 1 12720 6009 1 1062 2161 15 14656 4623 51 17633 5263 2 14530 5677 1 2589 5142 1 6317 5259 1 9374 1772 1 7444 5325 2 14084 534 9 3673 2370 1 6198 6435 3 18222 1523 10 10876 1249 1 18738 4206 1 4138 5251 1 5329 498 16 5231 7424 1 6464 201 2 1508 1972 1 14566 339 12 4368 1307 1 7191 187 1 9578 2363 1 10340 3007 2 11452 1703 9 2167 162 1 13829 1727 2 3175 2493 1 17423 3411 2 18545 206 1 47 2367 1 15468 292 6 19853 8193 3 12081 2241 2 2367 1244 1 2803 403 1 10766 3071 2 4870 1573 7 5971 1779 1 17352 2247 2 18536 1055 1 7000 1322 1 15475 863 1 4253 821 1 2094 1369 1 12003 173 2 3880 1768 7 11809 505 1 8620 1309 1 10875 6682 1 5479 929 1 12448 5026 1 12361 1302 3 5792 201 2 17191 2938 1 2643 2127 1 8053 2936 1 16247 2661 1 1727 533 5 10376 4085 1 13 843 1 153 6910 1 16925 422 1 7355 843 1 13543 634 1 17335 1581 1 15932 6052 1 8374 6141 1 3695 725 1 17171 1042 1 2935 1274 4 7403 3311 2 4410 1814 20 12406 1242 1 3818 125 1 10856 199 1 12883 3264 1 10042 207 3 755 545 1 15088 203 9 7199 8030 1 14131 3972 1 10955 1877 1 7282 1784 9 6212 2665 4 9462 1238 1 13961 863 1 11024 8095 1 8732 2106 5 7259 8084 1 2792 411 1 15791 4257 1 13402 74 1 15072 634 1 15211 792 2 3397 4500 1 6839 4060 1 18473 825 1 14680 1728 1 20161 5874 1 14758 5306 1 18888 2353 1 18368 291 2 8361 2268 3 8709 5291 3 8443 5850 1 6951 4083 2 12725 1610 3 12374 6065 1 8140 1259 9 6045 5690 3 17378 2268 1 12635 2564 1 16278 7327 2 18754 2115 2 17746 3138 1 9794 495 5 12205 3457 2 992 899 1 16925 399 1 18404 2353 1 13918 423 1 19306 7086 1 8471 4713 48 8549 510 2 17535 1752 4 6032 4122 1 5326 207 1 10966 1721 1 18577 2614 3 15726 2352 11 10815 803 1 14034 7565 2 19017 4400 4 10717 1760 3 3765 470 10 10725 3457 1 4960 3633 4 5161 219 1 10708 764 1 18617 2831 5 886 3239 6 9231 6010 1 1480 5771 10 11451 4376 1 10179 688 5 20076 526 1 12760 82 4 9394 6111 1 2345 679 1 95 4366 1 8134 1342 4 4346 5555 2 4620 524 2 14786 1334 1 17135 4069 4 7252 477 2 1109 233 1 8573 512 5 10856 859 1 15778 3204 2 14724 2608 1 14141 3560 1 4468 995 2 8343 7936 1 9093 232 4 8859 2594 16 12903 314 6 15211 215 1 13997 935 1 10730 23 4 6273 5203 3 4353 650 1 17056 4447 1 13922 514 1 12851 6687 2 16954 428 1 1816 4308 1 7211 4024 1 2406 3275 1 2573 2727 1 12437 303 5 14690 1363 2 6649 2071 1 13701 2686 27 7473 1267 1 6081 4245 1 9733 867 7 15102 4807 2 3572 7599 15 11737 173 1 19872 2497 1 9281 1377 2 3036 2269 1 10609 2529 1 5254 4314 1 3521 6713 2 20090 1243 1 15063 1962 3 18805 7596 1 8726 506 1 6867 3969 1 6333 4660 1 14059 5253 1 6501 200 2 10554 597 1 14758 2007 1 17899 6361 1 15192 925 1 15150 2699 1 8987 1615 1 15825 3760 8 10929 440 16 15056 779 6 10813 3685 1 1079 4179 14 36 1762 2 18559 7232 2 8584 3511 1 16048 1661 1 6492 491 1 18404 6252 1 6641 512 1 5078 4615 1 4583 2747 1 3826 954 1 18076 1072 2 14738 5156 1 7312 2827 4 14852 1250 2 6238 23 1 18147 947 4 3765 3900 1 20261 221 1 16676 518 1 19080 517 6 2453 3511 6 2360 7291 1 16972 412 1 13987 1752 1 20175 6510 9 4614 2068 1 6945 5115 1 7078 221 1 16491 4248 3 111 5005 1 7226 6700 6 5851 5397 3 18267 5788 1 992 1743 1 14500 1244 1 10852 3572 11 1126 3175 5 10826 3775 1 14283 327 3 18667 8141 1 4087 3592 1 13266 535 2 6536 1770 2 5281 175 1 5352 1150 2 11330 7304 1 19594 229 4 17392 6183 1 18175 6979 1 1671 3691 2 11195 232 4 3697 518 1 4902 6721 3 2898 1482 58 5545 2735 1 2803 363 2 15685 3318 1 14307 3056 5 16767 509 1 5385 489 1 14755 76 5 11855 1275 1 13465 839 2 5422 505 1 20034 1710 1 10481 1991 1 3863 1819 5 7039 4998 5 17799 589 11 17384 1249 1 4921 7958 3 8215 5481 1 7026 7617 1 11746 3619 3 18992 2080 2 2874 512 1 14737 2760 3 10272 2571 1 321 1747 1 9050 164 14 13165 2407 10 14307 1245 1 15573 5365 5 11843 411 2 8608 244 1 3609 6602 1 7261 221 14 153 6880 1 16726 1774 5 5104 479 1 7028 303 9 14497 225 1 16236 215 1 4359 225 1 153 7062 1 16140 4392 1 1237 7895 4 6527 4479 1 2797 1466 14 20032 3632 1 6158 1707 2 1732 292 3 86 3997 1 14418 3494 1 16645 1244 1 16278 7320 4 13 732 1 13992 206 1 8628 6021 5 10670 8033 1 6439 518 1 17488 1990 2 16913 2649 2 11766 252 4 2194 623 1 5440 1775 2 13 754 1 14374 7261 3 7317 597 1 16275 7351 1 18880 318 6 10055 3445 4 18226 2549 1 8042 7216 2 2367 870 3 1464 6037 1 7056 347 7 19932 1825 1 18713 4014 1 10791 1764 6 431 759 1 6073 5664 1 10973 385 21 19639 534 6 14344 1664 1 115 5166 1 160 7302 4 5359 7481 1 12619 3711 4 9844 206 7 3368 1190 1 6253 1395 5 16563 514 5 701 3911 2 14972 6210 3 7823 2424 4 7086 2678 2 17812 6338 6 7739 496 3 4519 335 3 5431 3020 1 13024 5341 2 8730 5305 2 19428 1421 3 13238 470 6 10918 221 1 6010 1755 12 7995 7848 1 1202 2980 2 6463 5327 1 19630 507 6 174 7891 1 9869 4022 7 9166 833 1 10404 653 3 4606 3525 2 19105 197 2 802 270 2 16810 283 1 15195 2669 1 16526 4198 1 601 1946 1 5928 196 7 10078 440 1 17743 6103 1 13402 2517 1 3337 898 1 456 3233 1 18149 514 9 10498 4268 1 3817 5531 1 10553 5763 3 4045 501 2 10166 1242 1 14687 3251 2 393 3526 1 19740 2748 1 15885 6041 2 4934 2897 1 6641 3540 1 7359 1235 6 20029 3225 1 11430 1334 2 6687 2493 1 5195 184 1 20 1275 1 7750 6801 1 15648 1768 1 15364 639 1 17283 2683 1 5495 8008 1 16737 1548 3 10815 712 1 18116 225 2 4963 2056 1 3975 5264 4 6412 3494 1 4983 1570 13 19503 477 1 13636 6680 1 12361 1407 1 4572 7105 1 10771 7522 3 16782 6880 1 5189 8002 2 5147 218 11 14911 2331 1 11868 4334 1 8311 23 3 17203 1994 1 455 6616 1 14060 1244 2 1510 4460 1 4312 214 1 16696 1250 1 2886 2184 2 1171 3556 1 8394 2508 3 15666 3005 1 7197 1250 18 16508 677 1 18303 4357 5 9388 7723 2 17388 5004 1 381 783 1 115 5190 1 5294 6945 1 4337 3334 5 19502 1751 1 14935 1184 12 2064 223 1 162 7380 1 6509 3583 1 11328 43 5 11971 7901 2 8987 2057 2 4655 2671 37 16925 5305 1 12128 5873 1 6314 4107 5 5140 2357 1 17088 2555 2 6611 1207 2 12262 4413 2 2521 2792 3 15025 3021 1 6275 2977 1 10187 1775 12 4498 5943 1 5047 1613 1 5738 4274 1 5681 201 3 592 3998 29 9865 6341 1 583 4695 2 1576 206 3 2319 1889 1 5515 1862 2 20263 6150 1 18524 4518 1 18028 7748 2 11099 524 5 9305 214 3 3149 629 1 4901 1236 1 19990 470 1 11098 2552 2 14890 690 1 11964 1253 1 18250 7590 2 16664 498 1 20278 1264 1 7246 3663 1 4798 3283 2 11070 1283 1 1282 3920 2 1908 3778 1 14800 457 1 3158 1781 9 4448 1760 3 15354 525 1 9672 1829 21 20131 3013 1 6508 4946 5 3347 23 2 3804 1023 9 260 4672 1 9638 2681 2 8717 8194 1 1700 7251 2 15402 5420 4 17220 535 1 3700 4355 4 5495 2489 1 17405 5532 1 9270 545 2 4457 3427 1 10733 3534 1 7363 1251 2 269 4490 3 18633 2411 1 10569 222 1 16820 3021 1 4379 23 1 10815 2923 1 10102 8126 1 14493 3258 1 3397 854 1 2566 3462 1 9482 2880 2 10815 931 1 14726 7232 3 10283 6250 1 6595 505 1 3509 1785 1 16036 1779 1 11121 6793 1 18070 1748 3 8585 1374 1 92 4160 3 16739 184 2 6854 1784 6 3082 1246 1 12619 4951 12 18133 11 2 3258 1686 1 2274 428 1 593 177 1 5862 1029 1 19852 5311 2 7446 3484 1 8620 2919 1 11812 3159 25 11504 4085 1 8274 988 1 19176 756 1 135 6131 2 18206 505 12 19044 5054 6 15791 842 4 18081 5086 1 15970 7308 1 10534 186 1 19156 1760 1 7573 532 1 4265 6140 3 12988 792 6 10730 3689 1 15368 207 1 15211 3391 8 19243 5016 1 12400 3207 1 1202 6723 1 3092 1724 1 4132 7463 1 18591 4085 1 2313 715 2 19193 1726 2 9915 906 1 14580 3074 5 4663 648 1 1997 2675 1 14661 5486 1 333 4476 1 9394 867 5 17945 3684 2 9894 2006 1 18258 3387 1 15270 164 1 15000 4230 1 14445 2889 2 13358 2256 2 14474 3338 1 6888 8194 7 8296 3600 8 15595 6167 1 1596 3909 10 17662 502 3 19596 6342 32 6697 1561 1 13587 2494 1 17073 1736 1 24 1476 2 6471 3743 1 16471 660 1 11746 6065 4 954 7929 1 4492 1703 1 14239 5051 4 12406 1783 1 11072 220 5 3505 3036 1 5495 4540 1 138 6310 1 685 4029 1 3106 215 1 9759 2727 4 10302 3511 2 19181 4435 31 6521 316 5 20168 800 1 11566 4655 6 5943 3827 1 1131 6250 6 19723 42 1 9639 2392 1 4615 4992 5 14352 5187 1 4440 793 1 13066 1062 1 14037 3352 2 10841 2396 6 19844 222 1 17724 853 3 7507 519 1 3634 2990 1 5401 681 1 13555 7829 7 9619 2799 5 153 6877 1 15429 5559 1 9555 3412 3 11736 7792 1 9027 3197 2 19655 1154 1 12850 219 50 9930 1269 3 11929 2342 6 19833 370 2 822 366 1 15682 2860 1 12328 5363 1 5158 4915 5 15599 2161 1 5192 853 1 2283 7410 1 6032 1209 1 3903 5255 24 11290 4490 2 7023 7238 3 5710 1781 2 17109 6512 1 452 891 1 2643 7998 1 16254 3163 1 17165 6150 1 16736 911 1 6431 2305 1 12032 520 1 6164 7268 1 12507 512 1 10545 223 12 8589 325 2 2756 514 1 16271 8054 1 6371 4427 2 16494 1054 2 1858 6331 2 16974 2254 6 9365 3512 5 18821 2014 1 15854 1748 1 19401 3114 2 3458 5098 1 15056 878 9 835 7614 1 17664 1719 1 18498 4369 2 3718 5041 3 4310 1342 2 9576 995 1 3110 3478 11 19523 882 1 16777 3729 1 9194 2632 2 3008 4277 1 19193 215 1 7151 2402 55 19593 1237 3 18479 2322 1 14271 3576 1 17177 393 1 572 1250 2 17662 891 3 12614 534 2 19347 1369 1 16777 1740 1 4949 4122 1 9257 191 6 7991 5285 2 19354 7878 1 17977 200 5 18336 5051 2 17133 3511 2 2529 625 1 16199 23 1 3515 5370 2 174 8064 1 17903 23 11 4590 5824 1 7147 5234 2 1935 3920 1 15937 1241 12 5117 618 2 7336 5507 14 18709 1062 1 2899 1717 1 967 525 2 992 514 1 9341 1253 2 322 1770 6 15164 1736 1 12850 3073 20 11610 203 1 4773 545 1 18193 7850 1 12436 214 1 8641 524 9 5884 7259 3 11540 1776 1 8831 3760 2 16774 6349 5 19671 5493 1 2772 7868 3 19649 1252 3 16484 3022 3 7916 184 4 11145 173 8 7454 507 1 4057 341 1 11901 2114 1 11270 5767 1 19799 1819 28 18140 1734 13 8553 251 1 2338 1736 1 2711 221 1 5207 344 1 18530 1320 1 7530 1751 1 7199 7448 2 1382 3910 5 1668 1464 1 20275 416 1 5428 7742 1 8438 679 1 7462 3666 5 14218 2056 1 20009 5887 1 1129 189 2 66 3206 1 2 124 2 4234 4245 1 15864 1363 1 4634 557 1 6942 7621 3 20090 362 1 9717 397 1 8094 252 15 17416 166 1 7545 3117 1 7645 4436 1 6047 411 1 13526 6993 1 17205 3747 1 18942 5950 3 12190 3752 1 8469 6470 1 13405 525 1 14437 1734 1 18307 6227 2 7394 100 1 18922 5440 1 5348 1717 1 17314 1762 2 11441 411 1 6811 3056 8 14825 5321 1 157 7198 2 8118 2419 1 67 3220 9 6539 6559 1 13 909 1 2473 603 1 10976 496 1 13414 201 1 14374 8192 4 4960 1780 3 15477 6086 1 6348 810 2 5610 661 1 15100 148 5 2147 407 1 6610 214 1 19045 4369 6 19476 5559 1 17463 519 1 8614 6753 1 110 1995 2 15150 4278 1 17152 2056 3 1065 6467 1 5701 3387 1 3581 6541 15 8077 5307 1 19776 4254 5 14196 3069 1 7158 3477 1 8977 2715 1 7663 336 1 6327 1781 2 6183 1729 2 18285 4486 1 15003 1027 5 8978 964 1 1063 1363 1 143 6673 1 18014 1363 1 6848 723 1 18462 3526 1 7179 921 1 162 7389 1 4688 658 1 2121 1825 1 530 3670 1 9188 4472 2 381 612 1 19055 220 14 11259 7083 1 9063 221 1 19805 252 1 12104 7174 1 11097 4581 1 1691 1801 2 15959 6323 1 8608 225 1 7737 6637 2 4683 3247 5 15805 2520 5 14889 1971 1 12426 6232 1 951 3267 2 3078 2980 1 17812 2678 5 9921 7740 1 3796 962 1 15827 2317 2 15310 3625 2 15462 867 1 8438 749 3 5774 682 1 9065 1404 1 8291 3276 1 7022 7165 1 1521 1042 1 4234 4380 1 19703 2953 1 15681 5479 1 12685 5860 1 2903 3669 2 10010 5439 1 2445 2761 1 17554 6252 1 16674 2953 1 15722 1334 2 9290 6080 1 17562 215 3 1994 2352 5 17125 7008 14 8383 1985 5 2096 4582 1 2761 5259 1 8710 6526 1 19338 765 1 19783 1752 4 867 173 30 15225 8013 6 1745 7342 2 14692 173 1 12760 5351 2 341 2861 1 7095 6259 1 19223 236 1 7507 6345 2 3561 206 1 15269 5950 5 10905 216 1 8439 3233 6 9477 7604 1 8555 1367 1 15614 532 1 8118 7811 1 85 3921 2 1669 103 3 7731 5085 1 290 13 4 3962 201 1 8982 3442 1 15230 1752 2 18462 795 1 16994 1736 20 7122 7111 1 6205 3233 1 11233 520 7 15782 236 1 1079 6541 2 4018 223 1 10222 6754 1 8435 186 2 3813 1991 16 11311 6677 7 11314 4012 1 15948 1727 3 3258 1236 1 11238 2993 1 1228 190 1 1509 525 6 17904 1247 1 5553 6228 1 15945 5153 2 18534 8062 1 5269 4435 2 11930 7937 1 10266 1938 6 14788 4980 1 19530 1357 1 13461 2727 3 6403 1758 1 18978 541 1 12322 1743 2 15943 3558 2 3806 8192 2 5977 786 2 12060 3951 2 7004 7185 1 65 3092 1 4680 5386 2 10514 1825 1 14322 4435 4 14445 3735 1 14010 3430 1 7099 4310 1 496 1350 1 6735 335 1 16229 6788 1 3157 8203 1 17903 8122 1 1051 201 2 17736 581 1 824 303 1 16259 1235 1 17019 252 1 15750 1366 1 4977 1995 2 15429 7962 1 9064 497 12 16347 1727 2 16079 525 1 10588 200 1 6105 350 2 15429 1922 1 6492 1453 2 8762 665 1 10856 8051 3 9156 6538 1 10741 2831 1 17678 2649 13 9725 365 1 12855 2251 1 6662 1781 6 17805 244 1 9144 6234 2 14684 2029 1 15226 6018 2 7435 1737 1 19867 1023 2 9859 3328 14 8383 2363 8 11461 1126 1 20198 2158 2 19735 665 1 7718 1256 1 15172 5018 1 9250 4132 1 2953 460 1 8891 201 1 14318 4656 2 6083 3757 1 1436 2645 1 11999 4159 1 7726 3027 1 3580 2248 1 5479 2338 3 6596 201 2 3573 1965 2 13387 3378 1 6997 3153 1 5739 7719 1 6125 2353 1 4471 2246 5 20046 2632 51 7799 1406 5 1529 23 1 9096 5550 2 12980 5043 1 10693 6691 3 171 1716 1 717 1720 1 10382 1819 6 2635 6164 1 16220 184 1 13773 498 2 12023 1686 1 5241 200 1 12159 23 3 9325 3247 1 18508 4019 1 2813 823 1 19100 5511 2 5315 221 5 2647 506 1 15735 7190 2 10408 5016 1 18213 2897 1 6249 894 1 3505 3135 1 8585 7474 2 6145 4884 1 1545 5234 3 8664 1731 5 781 1234 1 4237 684 1 6818 5550 2 13526 2423 2 7183 197 5 19063 219 3 67 3242 1 8409 4269 7 8547 3488 6 7168 1305 1 17340 2647 6 4093 220 1 2526 5325 1 15471 5468 4 5157 173 1 20087 2349 1 13384 2722 1 17957 1303 1 11327 1764 1 4940 1235 1 6437 1267 1 12453 5306 1 14147 1726 7 16170 2968 3 16566 671 1 17615 3596 5 5860 3230 1 13710 2540 62 12821 1146 114 8023 692 1 3442 4813 1 10383 2437 1 954 4251 1 5573 835 2 10156 1381 5 6556 2897 5 15121 200 5 19905 867 2 10274 4967 2 10916 915 1 14131 1819 13 20191 2617 1 9630 5903 1 209 7719 1 4130 5871 1 3079 167 1 8117 235 1 19774 2415 1 15208 1732 12 5681 903 1 1074 1399 1 6312 3378 1 8452 219 3 17958 207 6 16274 1721 4 9282 470 1 7706 222 1 18188 3540 1 18900 1424 1 4963 2068 1 106 4761 1 11054 545 1 32 1791 1 5172 2729 5 14527 676 1 564 206 2 10019 134 24 25 1501 2 1577 2407 1 19176 658 1 5397 6710 6 6801 6435 7 16777 1819 4 6723 1731 3 8914 5051 1 18733 2965 1 9537 1785 1 3581 6159 2 19430 1115 8 819 1146 2 14722 1294 1 8654 3591 3 143 6611 1 14916 2357 1 12235 1816 1 13017 3075 1 10311 615 3 6185 5320 1 10632 2622 1 18623 1237 1 3128 23 1 18677 4696 1 6556 805 1 2578 164 3 11535 4740 1 16673 220 1 14059 1076 1 7378 3540 6 19407 518 1 5199 7447 1 333 5505 1 17562 203 1 5126 207 2 8451 617 1 11914 1687 1 19621 1453 3 7842 6706 30 12037 659 1 5815 1789 1 6818 1535 12 14445 4251 1 18357 203 2 14892 1783 13 17328 2398 1 18202 5262 2 15625 2588 1 14607 2043 8 13231 7413 2 8147 5234 5 6848 13 1 8082 443 3 8368 967 1 9743 4635 2 9776 745 5 6809 229 5 4044 6949 1 14517 1267 1 12496 2342 5 37 2015 2 1872 4391 1 14286 7953 1 6759 452 13 14049 3482 1 4159 4511 1 18174 6710 3 18423 1990 1 1636 6320 1 15429 1183 1 7494 4590 7 5445 38 1 3391 6414 10 20208 864 4 10298 191 2 7317 854 1 18876 742 5 11770 4741 1 18748 8183 1 3945 498 1 822 652 2 17675 2569 3 4663 697 1 10219 221 1 11430 8184 1 2034 1399 2 776 6692 2 16238 201 3 19833 5252 1 18179 5758 13 10219 3799 2 9580 2727 1 214 1730 1 7692 1687 1 7029 1035 1 10452 3817 2 4147 5414 1 42 2166 1 4132 2653 3 15982 3571 33 11020 292 7 14986 7178 1 5310 641 2 1092 4079 5 16482 164 5 8443 1990 1 13520 2595 1 10193 545 2 9917 1211 18 15299 7853 1 6712 2013 1 13035 4386 13 16373 668 1 12627 1714 1 6032 1583 2 19957 2602 2 8417 867 1 10761 5364 2 18675 187 1 3337 4877 15 9670 3367 1 17961 6341 1 13570 4490 4 87 4024 1 7179 654 2 2344 4436 1 6810 6591 7 863 6049 7 18966 6772 2 9520 422 2 14059 1366 1 17507 219 1 1465 3820 31 7448 4367 4 4679 2986 1 16123 1007 23 8859 2003 1 1125 2508 1 1528 3625 1 9910 215 2 18433 617 1 14892 2349 1 15640 5517 1 14010 95 3 11156 205 6 8633 1302 1 11502 514 1 17589 2423 1 6781 1670 3 14522 846 2 4860 7534 2 3307 3175 1 1507 46 1 18231 7474 2 14040 6949 1 3322 2029 1 14127 762 3 5023 4009 1 899 949 1 13919 6060 4 7342 7397 2 2898 1250 4 7313 3556 5 1905 1103 1 2795 1721 1 18160 6793 1 12058 1342 4 17850 540 1 4570 1236 2 9126 1762 1 10179 2708 44 7753 3409 1 10583 1743 1 3496 891 2 14730 3349 1 2082 5022 1 12883 1372 1 11999 5692 1 16236 1395 1 17531 1190 7 8941 7642 1 5292 8141 5 9305 4386 1 16234 497 1 12712 1898 1 19134 526 1 873 3911 4 20145 1450 1 1625 3037 1 12815 2737 7 15468 201 12 4784 833 1 5367 229 5 16307 214 1 6247 4949 1 13075 6719 3 20261 1315 1 6229 5806 4 14587 1042 3 19302 1719 1 17913 8029 2 8383 1741 1 10192 7958 3 16085 3408 7 9891 1277 1 9017 1271 4 16457 4060 1 7490 7427 1 791 6082 1 6107 6368 6 5771 4640 11 2951 206 2 19971 7893 3 8674 1190 1 4432 2392 3 3105 3376 5 2303 221 1 7702 5496 1 3175 6506 1 15994 4824 2 874 2560 2 13943 525 1 6427 4935 3 19872 3301 1 19243 7083 1 15042 1339 1 19322 4312 1 17491 1748 1 4492 1453 1 4044 167 1 11428 6687 2 18814 1745 1 4309 743 1 10838 4312 1 17883 1768 1 8489 2465 5 3421 2686 2 14883 214 2 1625 419 1 2103 1417 5 11736 4009 1 7823 6480 65 7373 3899 5 16844 1695 8 8735 2566 4 13601 960 1 19678 2853 1 19026 244 1 1991 5696 2 8428 7003 1 15412 1252 1 16479 2020 1 14108 6892 2 11968 223 15 7010 206 1 17656 8150 1 16491 4597 1 359 5018 2 17079 3798 1 2796 541 4 8843 1660 1 15802 506 16 12504 1509 5 13466 3058 8 3687 4582 1 11688 3637 5 6922 1996 16 13459 7519 1 19304 4623 2 12116 3134 2 15122 867 19 130 684 1 11698 1962 1 9322 2354 1 18033 1745 2 12377 7811 1 160 7340 3 20265 5513 1 20060 7058 2 19090 4233 1 281 497 1 1684 7917 1 18709 1686 9 9478 2263 2 12814 1727 1 9260 2276 9 15301 2611 1 5172 4536 1 8462 229 1 1747 95 7 17738 8072 2 13425 201 2 14722 4019 46 1 32 1 6180 481 1 7403 7537 1 4688 629 1 4716 1244 1 11327 215 7 18165 1295 1 18726 7401 4 6561 1710 1 8153 134 1 15898 193 1 11346 363 1 1638 3156 1 8937 3138 7 16442 470 1 4708 1784 1 1803 2710 1 12320 509 1 12879 200 15 4199 1724 16 12304 1270 1 18347 336 2 12067 5313 11 4493 1700 1 19380 8072 1 11591 7311 5 1035 23 22 16036 7905 4 3397 2127 2 1551 1450 1 12035 1395 1 11645 2357 6 9224 712 3 1839 166 1 7822 7466 1 15535 219 2 8736 7466 1 18450 842 3 14294 1247 1 10879 6053 2 12208 2369 1 14758 3475 1 12766 588 1 9401 4311 3 19649 219 17 11614 553 1 1414 23 12 12150 1784 2 12073 206 1 14305 3821 4 13829 512 5 16935 6500 1 48 2385 2 15119 1999 1 14996 1116 1 12702 7241 1 7261 498 10 16674 2501 2 15143 1234 1 4165 5332 1 8004 235 4 16764 1729 2 62 2775 3 11323 8042 1 17710 2555 5 17227 5858 24 6053 2618 1 1771 6150 1 9537 7729 1 6976 1244 1 17336 3464 2 4734 5510 1 15286 6435 2 14708 402 1 930 3684 1 10692 5220 1 14853 1705 6 16493 3405 1 8255 214 1 16057 4266 1 10456 1352 1 19568 3492 1 19655 3621 1 2345 4792 2 10219 3798 1 10554 2016 7 6158 4081 3 121 5269 1 623 219 5 2139 5559 1 9874 5247 5 6332 2363 2 4519 779 1 17883 1365 1 9315 1239 4 15671 3609 1 9597 2352 6 3365 1729 6 16248 6029 1 10290 629 2 14646 6793 1 322 2584 4 20100 6899 1 9759 3511 1 7473 5758 1 17810 2295 3 54 2621 1 2512 470 5 9051 3104 5 3241 2620 5 18769 329 1 13821 5670 2 11890 2626 4 9826 4784 1 2653 1748 6 11987 2600 4 14034 2029 34 9073 28 2 2274 205 6 9025 1235 1 6506 197 3 5996 5404 2 17263 4317 2 7769 1662 1 9120 2894 3 4898 1819 1 11882 7041 1 15790 3855 1 3072 244 5 2210 4299 1 2804 8203 1 6644 1439 6 3705 304 19 8763 5418 2 13574 2584 1 5433 590 1 2200 7018 3 1009 5257 1 3557 2727 1 17647 2132 1 13730 3 2 6152 3631 1 13829 1164 1 19724 704 1 6063 3519 1 4050 1737 1 4057 617 1 5518 5853 2 12378 2539 1 107 3472 2 5223 1762 9 7780 1298 1 5263 4467 1 10286 5420 1 14173 1638 1 3258 2661 1 1794 1445 1 20 1343 1 6811 4613 10 19331 2676 2 20104 2352 3 2713 13 1 17892 1572 1 16299 136 1 18476 5800 1 19868 1692 1 18431 173 1 15081 5018 1 8042 2905 1 16259 23 1 7575 1761 1 12985 8117 4 2944 206 13 11118 1703 1 4910 1781 1 13920 1758 1 13694 1750 2 11396 6620 1 8723 1768 2 9388 6229 1 9270 5532 1 6154 498 1 7568 1728 20 3768 3337 2 12535 2019 1 17802 1788 1 17638 7642 1 15608 136 8 19326 221 1 15669 339 5 14368 222 2 4307 1235 1 4710 260 1 2943 4019 3 10016 1825 12 8136 3882 5 7868 6083 1 7835 3315 5 10999 2488 2 14244 992 1 9845 7206 63 12433 5255 1 10735 6067 1 14522 1703 2 123 5373 6 3874 1895 1 7135 2662 1 11577 1825 10 13928 5922 1 1846 862 1 12471 5257 2 4886 11 6 11033 1762 1 3765 2508 1 1705 4404 1 8991 943 1 15323 411 1 12206 2484 1 7577 2114 2 7651 4929 1 20123 1705 2 12988 412 1 12439 5202 2 812 4029 1 18518 6009 2 14621 5599 1 4586 1991 1 1198 3693 5 17618 225 1 20090 5879 2 2413 1938 2 6644 1789 1 914 2735 1 9395 357 1 3170 2626 1 19104 2493 1 15974 533 1 9760 1757 2 11082 4218 1 17342 4245 6 17066 4326 1 1612 6259 2 2167 3721 1 12614 1742 3 18705 514 1 4714 358 1 2834 4498 2 1085 2678 1 708 3971 1 7868 7079 1 11039 74 12 18080 617 2 15313 7719 17 11122 4489 4 7208 2127 1 10441 3900 1 9262 3570 1 14052 759 2 824 1321 1 12809 5256 1 10192 801 10 20145 74 1 19368 1304 4 5970 1721 1 18736 3327 2 6867 2013 1 19569 156 5 8866 3649 1 13126 478 1 6172 201 1 15750 906 1 5117 578 1 5738 5819 6 19053 274 1 10173 1830 1 11796 3382 1 4662 3619 2 8665 5397 1 11804 7759 1 8571 2591 4 95 4362 1 4213 7512 1 10234 7494 1 4117 4119 1 5952 5971 1 2127 3742 1 2367 4618 1 8763 5517 1 19272 1731 5 6420 663 3 10988 1277 3 4536 1474 1 9366 2316 1 5753 1244 1 16351 3679 2 10309 636 1 5929 939 1 11505 3610 1 18483 8081 1 7851 7692 7 6641 2056 1 16016 1474 1 5038 682 1 4593 767 1 11370 1753 1 17263 749 1 1465 7689 4 14221 1985 3 19958 1007 2 11799 4065 1 20248 7240 1 5488 2357 1 1962 1055 1 8870 1333 9 1903 2971 1 2850 514 1 11509 545 1 17121 2649 1 4691 2686 1 7179 847 1 8641 7461 1 20180 666 1 16676 534 2 3535 5649 1 4976 2354 1 3308 509 6 15330 470 1 7006 6933 2 1029 1707 3 6993 1245 1 18755 4640 20 9168 1737 1 12208 2581 4 10948 6924 1 9660 2592 2 2094 1739 1 4202 1333 1 945 5820 1 7597 89 1 2741 3906 13 12320 6226 1 17163 3492 1 19975 1718 1 3005 5260 2 2984 1635 1 16033 440 2 456 1748 3 17261 262 5 3889 2534 1 17233 1703 1 5761 6259 1 1935 3615 1 4229 201 14 17243 1441 1 11050 219 1 4393 3170 1 6221 540 1 16355 3556 2 12603 3932 2 2513 4020 1 18042 360 1 16426 4610 10 15548 3974 1 6533 7217 3 3243 589 1 3000 23 1 9707 1705 1 1118 3738 2 16933 46 1 17670 4333 1 15098 1743 26 5701 496 1 5140 1395 1 1773 1827 6 1713 4649 1 15427 23 1 19446 2107 2 13928 550 1 16397 1819 1 2980 6210 1 14483 7604 3 12558 2324 1 8946 177 1 8226 751 1 5243 6342 20 9612 4615 5 17850 3569 1 14291 6231 4 17365 1781 2 524 867 1 7738 1729 6 6656 156 5 16240 1784 1 17987 6441 1 12819 2668 1 17150 7249 1 79 3566 1 18257 2460 2 9803 532 1 9189 606 1 10450 2626 20 10528 2443 1 17331 5961 1 16845 3233 2 19875 215 1 4995 518 5 19579 1998 2 5452 3979 1 7535 1730 1 11573 7200 17 7143 1788 1 16222 6338 2 7363 5515 10 490 1991 2 7966 7811 1 7434 184 1 20278 2786 8 5252 6252 2 17392 3167 1 35 1927 7 174 7864 1 11365 3911 1 1969 1267 1 1141 1784 2 1345 1453 1 13 780 1 1435 407 3 8984 6031 2 14058 3682 5 235 1818 2 11192 554 1 7065 823 1 8782 215 1 14162 2990 1 17353 1482 2 11430 214 2 18543 7397 1 7882 6150 1 3764 1707 5 6519 2827 17 9145 7342 1 15119 2908 5 18968 1277 3 19037 5289 1 7822 5643 1 454 3349 1 10132 235 1 19418 5020 1 6070 175 3 3366 221 1 7979 2646 1 9835 23 2 9033 1819 3 7636 6963 3 15996 3911 5 11270 2129 1 17403 1721 1 18730 4903 2 6091 3872 1 6993 206 1 3851 2671 9 2035 5274 2 2091 4460 4 17596 200 2 4681 1632 1 17159 530 1 11556 3337 6 10080 709 1 2424 3076 1 7040 1238 3 10931 3412 1 17652 1339 1 572 995 11 19718 221 2 15151 368 1 9463 937 4 17127 1395 2 10525 519 4 13666 5137 1 11155 1342 9 3755 7801 1 15599 2737 2 123 5376 31 13935 5504 1 14130 5052 9 15903 4638 1 9688 413 2 17088 470 6 15791 1314 2 12693 8182 1 19649 1250 2 19776 7808 2 15576 52 1 16283 4586 3 19806 5827 1 2413 1885 2 13350 6446 1 174 591 1 873 4738 1 14086 128 1 6067 7612 2 13162 148 4 17186 1681 3 3613 197 1 16930 449 1 19461 809 1 4378 7423 2 15405 5253 1 16984 725 1 4623 3180 1 6683 228 1 10695 1731 1 14516 7814 1 10676 7112 1 6109 4317 1 3061 5997 4 9473 1978 2 6757 206 1 14114 382 1 14881 3816 1 1065 1706 7 19159 6309 2 16960 5022 2 7635 194 2 11502 229 1 4688 736 1 11694 300 1 8055 8181 5 18508 4859 1 3521 1372 1 4493 804 1 2560 1757 16 15272 524 1 11786 6514 1 2985 3373 1 9542 244 3 4160 2292 1 1551 769 4 19989 5161 2 13865 1740 2 13187 2114 1 16774 4047 4 13698 222 3 6415 1645 1 8053 785 1 18149 541 10 3106 1776 1 1212 2864 3 10918 1244 1 16242 1390 2 6742 3663 7 9430 3573 1 9519 1995 1 8931 215 3 17756 3023 2 15849 214 1 873 905 1 7670 674 2 12514 4019 2 18027 883 1 5078 411 1 1005 759 1 12205 2362 3 18936 2885 5 4081 1703 1 5003 232 2 14197 534 3 14567 3276 1 20 1239 1 14695 7593 1 10065 2737 1 8075 8065 1 11013 2354 1 2905 397 2 19147 4791 1 20275 5294 1 862 2132 1 10026 200 5 5078 525 1 838 508 3 13735 1235 1 717 3685 1 12517 2010 1 7568 8041 3 12851 1303 1 14284 723 1 1815 6150 12 20180 941 1 18909 184 1 5244 1474 1 7663 2358 1 7216 1333 1 18633 46 1 4350 4961 1 6520 6237 6 6774 1777 1 20173 1747 3 16026 5677 4 5423 3391 8 5088 5461 1 4593 1749 1 20001 3230 1 7823 943 2 11698 1930 1 14199 1707 1 2716 2743 1 858 3070 1 8934 7788 1 3516 4274 1 954 637 1 5453 1184 7 10999 2027 6 11428 3836 1 14753 6484 5 17477 367 1 18687 303 1 20114 519 1 2031 1747 1 7142 8169 1 6158 4435 1 12262 1730 3 1631 5378 1 7252 4107 1 18508 6588 1 13556 1781 3 9216 2591 1 17987 1234 1 15932 8230 1 14992 220 1 4342 202 1 10247 1788 1 10159 229 1 7088 4444 3 8935 1416 6 8720 1981 1 1040 1666 1 5303 4572 2 2911 5517 2 6769 130 6 15086 6435 15 18491 534 1 5284 3023 2 6750 3232 3 18140 223 2 18857 2727 1 1206 2015 1 15025 347 2 16809 23 9 12290 2373 2 1214 3671 1 10720 1724 1 7670 767 1 19655 2480 2 4873 3399 3 7179 261 1 19724 5018 16 17393 197 2 5738 3405 12 11964 880 1 3695 728 9 1236 4961 1 4234 719 1 14052 4713 1 891 447 1 8343 470 1 717 1772 1 12470 4944 3 3741 1194 2 16869 215 2 18609 1363 3 6869 581 2 14524 152 1 3907 519 1 6236 3371 1 5025 2662 1 19865 952 1 17903 380 3 9636 3904 1 19713 4029 2 3841 4325 1 14780 1184 1 20227 8158 1 12268 148 1 7180 3808 1 19246 2370 6 14379 214 1 17015 1734 1 5924 2572 1 13097 8188 10 14162 471 1 1548 3522 2 18992 201 1 16513 1719 4 15636 6245 2 15011 3951 1 10830 23 15 6108 23 1 17127 2363 1 17019 559 1 19693 2542 9 13404 4944 2 18408 3911 2 18040 569 1 6819 470 4 17886 623 1 17872 2254 1 280 532 1 10249 327 1 4072 3715 1 5176 1464 1 9372 1747 1 7135 3113 1 11725 6620 3 999 6479 1 16020 883 17 14052 2679 1 4002 514 1 7990 2633 2 19319 3152 2 12365 7920 1 887 57 3 18149 220 1 4593 2841 1 19776 3408 1 15364 382 1 5949 23 2 1083 502 6 19019 2360 10 18 1246 1 38 2028 4 20259 4564 2 9388 2290 2 1441 1991 1 16158 4459 2 13957 1235 1 17009 1781 1 7682 900 1 17773 5235 1 124 5437 1 438 1241 8 13534 516 1 349 2481 1 926 642 1 10928 3081 2 2525 5700 6 19476 4344 1 3450 207 10 19792 200 2 1363 6091 1 5244 1344 1 11345 3710 1 3270 2107 4 13521 5040 1 6055 7359 9 13322 6564 1 5960 5328 1 15471 2990 1 15272 514 2 12809 5391 1 9084 3191 1 18992 3220 2 17780 2339 7 6587 841 2 1692 2982 1 14727 372 1 10043 222 1 16222 6074 1 12534 5318 1 12629 1418 7 4778 35 10 6919 597 1 2133 5903 3 1263 3600 1 3307 156 2 3485 190 2 12482 5035 1 10323 3649 1 5639 2813 2 20068 2357 1 16442 898 1 10714 573 1 8807 3012 2 9806 1814 1 10000 1239 1 8585 1036 2 3651 3449 1 16603 1734 3 10302 1232 1 5996 5432 1 7858 1730 1 17197 4996 1 11314 519 1 13425 719 1 5342 2743 6 7207 4956 1 13247 5570 1 1620 6064 1 305 229 3 15098 864 2 11468 1728 1 14741 5026 1 3806 1783 1 16132 1573 2 2313 7704 1 13415 235 4 20058 7210 1 7469 2935 5 7994 918 1 19434 1755 1 954 8071 1 11082 1286 2 7241 3511 10 15683 3267 1 13821 5513 4 1461 3747 1 2935 7477 2 17298 1917 1 5763 5124 17 18818 1244 1 16331 1825 5 11567 3556 1 17519 1762 1 18992 1280 7 3616 156 2 8751 220 1 5045 15 1 11388 1967 6 14131 3475 1 1337 5814 2 1035 203 1 8264 4230 1 17359 2632 5 20209 3493 2 13266 681 2 1593 1404 15 10843 709 1 17799 1374 6 10692 798 1 7228 366 2 18184 3169 1 16454 1736 16 4936 3298 2 18471 3809 2 4716 1751 1 6536 1235 1 14212 1238 1 17847 604 2 18876 3608 3 14759 2849 1 6644 94 1 16236 903 1 16721 229 1 160 7322 1 4092 7843 1 8096 206 4 90 4054 1 11827 219 14 9195 7643 2 527 840 1 8641 1819 5 18017 603 1 12977 207 20 10325 801 1 8599 6167 1 18508 890 1 18609 303 2 14694 185 1 16897 6053 2 16925 4308 1 14791 7245 10 15896 4972 8 5613 2097 2 13911 236 3 20007 227 3 8281 5020 1 15269 5529 5 2057 411 6 5281 11 1 3387 4073 6 6813 7142 2 879 3911 1 18048 647 1 291 2014 1 2931 1703 4 11334 197 2 6809 3904 11 1650 73 1 8426 5162 1 7591 1363 5 13421 7560 2 7955 2600 1 12856 5425 3 15352 3698 2 16246 1363 1 8667 2356 1 3514 5256 1 2405 7184 1 18231 6174 3 15060 3800 1 5214 1661 2 12929 5496 1 4831 7847 5 613 8168 1 4688 3534 1 15055 7530 1 16768 177 1 8135 13 1 20030 967 1 11811 5550 1 16569 3573 7 11525 2894 1 16746 5319 1 16797 1716 1 9536 3518 5 7477 1761 1 2829 292 2 10791 1721 3 888 668 3 2813 367 2 6024 1715 2 13684 1042 2 4469 3233 3 3169 1246 1 8821 1685 5 8987 3715 2 15718 7498 1 20221 1938 1 18250 6040 1 1765 5004 1 4090 3573 4 18792 5437 1 19955 1739 3 10966 203 12 18835 1758 1 13358 524 2 12241 4357 1 19034 1373 1 19596 3931 2 3340 2031 2 20258 2349 1 11649 3569 1 19578 2407 2 9937 97 1 11253 1296 6 3940 3797 1 1712 4852 1 4412 5341 1 15167 5896 3 18942 4291 5 13082 6546 1 8394 1303 1 1933 4643 6 8851 1146 3 14906 6204 3 10671 6561 7 11807 2276 4 11165 534 1 14900 1305 1 6260 591 1 6907 521 1 737 5767 1 5653 7427 1 20275 2833 1 3123 3067 3 11798 4204 8 5637 520 1 17731 502 1 10862 4312 1 19680 4352 1 1530 2662 1 13244 1193 2 7649 8261 1 13329 4011 2 10190 1757 8 6344 1275 1 10180 7216 1 7750 1245 1 1928 309 1 12641 6481 1 1432 1247 1 14201 2931 5 13813 7360 1 5479 1464 1 12897 1700 1 7478 1705 14 10496 1256 1 4947 1295 1 6873 4060 4 2680 2646 2 2962 2175 2 10327 3723 2 9026 1721 3 19826 1194 1 17073 2698 3 1886 4280 2 1433 4949 2 20007 1847 5 1669 1627 3 572 785 3 2282 747 1 2101 5504 5 6432 207 1 6360 1990 1 16244 7565 1 8969 1703 1 11418 2641 1 14327 2354 4 18761 4404 3 16916 2521 1 17369 4375 1 17757 6435 1 19393 5294 1 1777 4944 1 5117 869 3 17163 520 3 4055 4492 2 1816 1366 1 1721 452 1 18608 6164 2 18790 328 1 14128 888 1 7753 1248 9 14612 3106 1 766 232 1 12591 219 2 6819 1827 1 2512 4187 1 16816 4345 1 1830 203 14 1625 2010 1 6045 1705 1 15300 1760 2 19030 2951 1 14568 5324 3 16162 1399 3 19416 7738 1 16510 3896 1 412 517 1 8554 5301 1 6801 5961 6 50 2512 1 5748 8060 1 14330 1342 1 7549 5504 31 8608 23 5 19362 2528 1 484 2342 2 9695 5052 1 12586 6031 10 6669 5266 1 12918 10 17 10385 6662 1 6420 4635 2 9212 665 1 5678 2728 1 5525 2889 5 11325 541 1 19645 2639 1 11795 3792 2 11663 688 1 12970 3634 19 4323 1994 5 1760 867 1 343 3748 1 6450 2522 1 13103 1450 1 10573 1453 5 18730 2367 1 14283 4413 14 3677 2908 1 17858 205 3 12112 1238 1 9401 207 25 10916 148 6 13461 1717 2 20186 7529 2 20032 6540 1 16443 6705 5 15382 244 1 3479 1450 2 3146 2639 2 13711 1257 1 7480 5253 2 1821 1649 3 3134 3016 2 3397 780 1 3783 1304 1 16454 3525 20 4851 2534 1 2849 3685 2 12320 4344 1 8094 5054 1 13293 664 2 13732 2569 1 5117 713 1 8624 1955 3 16674 1031 1 6263 5488 1 13032 46 18 5010 1401 6 7072 2897 1 13624 4435 1 11435 175 1 1499 5671 1 9875 1453 22 2428 5413 1 5922 1245 1 4620 1328 1 17668 8173 2 7017 6826 1 713 1251 1 13425 7750 4 13451 1613 1 11261 1253 1 18118 2606 2 8361 196 5 11450 6402 31 12663 5407 1 17909 2894 3 18199 2710 1 8356 1819 7 11952 4352 1 16669 1784 1 19937 5922 18 411 1247 1 100 1903 1 4234 1732 1 4551 1981 3 12159 1539 3 8531 6268 1 7333 1719 1 19094 6442 1 7986 366 5 9652 291 1 5557 169 2 15996 3511 9 15436 2671 5 11422 891 2 5003 644 1 592 2712 1 5972 5527 1 8082 1019 2 666 201 2 2082 156 1 14599 872 3 1489 1467 2 294 4067 1 9656 689 1 753 2681 7 6596 223 1 7580 5018 5 222 385 2 6769 394 1 9211 7563 2 1893 1250 1 11846 6607 1 8965 1768 1 4382 201 2 8994 501 1 13743 2817 2 18344 8171 2 7647 197 1 10309 569 1 8962 1404 1 8961 6725 1 19280 4595 2 11994 3425 1 6183 200 9 18855 221 2 7012 4413 1 9149 5325 6 1794 5461 26 17819 1819 1 11591 4944 1 10328 1784 1 13115 23 5 14270 212 2 7273 825 1 14307 7750 5 19131 1863 3 20107 292 3 16312 550 1 6641 525 1 13445 6152 1 8239 2552 3 18852 5291 1 11533 5935 1 10523 6135 1 19972 2504 1 17977 2555 16 174 8041 3 20009 3338 1 906 1420 2 4750 4008 1 17088 1184 2 6247 5997 1 745 5873 1 4963 5255 2 11529 7229 1 165 7528 1 4751 200 1 14522 817 2 17132 1784 1 10884 5285 1 13922 233 1 10371 5018 5 15542 3399 2 12603 7820 29 18122 2138 2 8069 4818 1 18293 366 1 10281 1819 17 18042 5550 1 5472 206 3 3892 1649 1 17310 7570 10 9155 624 1 3189 844 1 17835 4024 1 5364 1234 1 3092 4789 1 4299 519 1 18408 4998 2 10694 1729 1 5132 184 2 3419 5206 2 16650 7629 2 19113 4196 1 8028 1260 8 11796 571 1 1264 3020 1 3210 6723 1 11786 2314 1 7184 1239 1 18033 2237 7 12602 6225 1 19605 34 1 8407 1717 1 80 3595 1 2418 2099 2 9278 1727 1 13601 4012 1 1518 2131 1 6942 1686 1 19568 1018 1 9270 8037 1 11383 156 1 10384 3228 2 6840 590 1 9639 347 1 13167 1287 10 16810 874 1 11773 6047 1 13326 6719 3 8394 360 1 3985 100 5 10852 6949 3 6943 1467 3 14896 232 1 3395 903 1 20123 1253 1 5478 7117 3 11327 506 2 10830 1722 1 14522 1758 7 3985 11 3 5823 2262 2 14160 5758 18 1765 2352 2 5444 214 9 6078 7018 1 5788 4421 16 19359 2450 1 19703 1312 1 8632 1277 2 12887 7725 1 19267 917 3 17331 2795 1 1662 6232 1 9808 207 1 2511 907 1 13829 514 4 18170 3398 1 15753 1469 1 13238 46 1 19364 3168 1 10384 5810 5 17749 4274 2 15339 1730 1 159 7257 1 8201 198 1 5848 880 1 9714 1881 1 14301 4336 2 19320 874 1 18751 6946 1 3243 2377 1 8129 341 1 6488 23 11 8098 1369 3 6431 5315 1 17870 4980 2 6125 1756 1 4566 1784 1 6150 1466 1 15827 5669 1 1631 2016 11 18501 4613 2 19952 7308 1 16484 7570 1 9245 5451 1 11819 8036 2 11312 3322 1 9638 2329 6 10381 1252 1 17495 1248 1 12322 1989 3 5565 4486 1 9836 225 1 7652 5162 2 11307 2009 1 7812 304 1 8775 2691 2 1528 1782 1 16249 4459 2 5495 6164 1 14114 3050 3 133 6035 5 13714 4228 1 2127 1740 1 15346 1561 48 3683 4959 1 19293 1244 1 19217 6052 1 19700 412 1 6183 1695 4 3228 5557 1 16130 5326 5 2217 5008 9 5866 7351 1 2078 4394 1 3315 5356 1 16625 506 4 4679 5243 1 4538 4489 1 11387 1727 6 18016 219 1 5799 4408 11 1133 883 1 17514 2897 7 5087 883 3 4105 1036 1 15144 7466 1 1906 5159 1 9945 1710 2 16534 4403 1 18058 6899 2 3542 203 11 9271 1965 1 7823 5425 4 14090 23 3 14994 1797 1 9244 1363 1 1028 481 1 9819 2352 1 2803 425 3 15869 5928 1 9224 714 1 7632 5071 1 15952 2118 1 8957 6647 1 7701 7267 1 2866 1247 1 8264 2010 1 14896 2356 1 522 1244 3 15535 6091 2 19385 6817 1 1037 1282 1 15904 219 1 13097 4400 1 4597 3949 8 4376 4649 1 12760 3983 5 15597 2089 2 17491 1757 1 5775 2363 1 18635 825 1 16755 1322 1 12757 190 2 18679 225 1 19069 6564 1 17678 7083 1 2009 973 1 3806 1742 4 8746 3391 1 15296 2559 2 171 7649 1 14784 3694 1 18193 883 1 10580 1658 1 17395 4920 4 16018 2953 1 7203 2106 1 18193 1775 2 432 34 20 9305 2343 3 5185 7210 1 11349 534 3 9394 1784 1 15750 6785 1 11459 5018 1 18690 1235 1 15996 1357 5 18115 1757 1 9164 1850 4 13891 3011 3 13352 912 1 9366 188 1 1735 569 2 7746 6252 1 8886 2248 1 6318 782 1 94 4296 5 8269 785 1 19193 1681 1 3053 2355 1 4985 1363 1 6855 817 1 6080 2743 1 19605 532 1 10436 5120 1 14716 3211 1 7509 5278 1 11769 1383 1 11399 391 1 18281 3011 1 10676 2003 1 6940 5162 3 11327 84 3 15108 6883 1 18698 74 4 8340 6632 4 17331 303 5 4791 575 1 14746 2367 1 5745 6270 9 18252 6038 5 15554 4572 1 11188 3613 2 7573 1770 1 9916 4653 5 13977 634 1 1418 1342 3 1107 3230 8 16429 6179 1 7790 413 1 14669 6252 1 7309 498 33 5203 1819 2 11122 6340 2 2319 3684 1 6776 1464 5 4166 4206 2 17 1106 1 2345 3015 16 19217 667 1 493 1055 1 1065 3278 1 11140 34 2 6734 2109 1 16882 2363 1 81 3656 16 9462 1154 2 9342 200 1 16368 222 1 13676 6697 1 5218 1357 1 67 3237 1 1941 1286 1 15360 6586 1 12698 2722 1 16916 46 2 1009 853 17 745 7844 4 7433 2639 1 12496 698 2 4696 3403 36 15778 2151 1 13015 3233 1 8096 2257 2 13905 156 10 5433 514 2 18258 3626 2 18916 1721 13 14771 7497 1 9941 616 1 4257 1739 1 15855 5203 1 17298 6192 14 19585 3731 1 8493 200 1 15140 7215 6 10447 501 2 19700 3432 5 12365 6053 4 1273 4056 1 15522 7576 1 8493 3492 1 17058 567 1 12821 1342 3 15318 621 1 15280 207 1 20148 1324 1 19428 228 2 19637 6576 1 9945 4243 1 2258 203 5 10233 3911 1 7980 545 5 6597 3864 1 15371 2521 2 7619 2968 1 8655 4563 1 13 938 1 16624 1946 1 2697 3390 1 4050 5385 1 1505 6220 1 7757 3161 5 5728 2356 2 18988 3334 7 144 6682 2 19360 6500 1 8098 1748 4 11511 8191 2 100 4519 1 4764 219 32 3515 2651 1 11658 46 5 165 7533 4 10445 5413 1 18706 883 5 10967 5044 2 13004 3906 1 1700 1816 1 13086 2415 1 135 6104 1 16084 23 1 14845 512 2 15424 4312 1 5926 2920 1 9375 207 1 2238 7425 1 13684 2014 1 16436 60 2 15791 4531 3 20202 1729 1 17141 186 1 8275 7857 1 1409 1342 1 18575 3263 2 19463 7259 4 373 514 1 6872 207 1 18728 8194 6 19470 395 1 11158 4404 1 12299 1250 1 4886 1241 6 4307 225 3 14457 560 4 11072 1357 2 5996 3298 1 16236 521 1 6811 5559 16 14219 761 2 12864 5390 3 16135 6202 2 6692 541 1 3249 1761 2 14397 7583 5 17928 4232 1 7991 249 1 13461 1707 4 7331 1399 1 11357 1135 1 16016 5293 1 2202 1962 6 1269 5436 1 14339 292 1 8614 5439 2 9457 3382 1 14609 23 3 15858 7461 1 812 7840 1 824 6150 1 18851 2640 1 13447 2980 1 16857 1748 1 9453 2392 2 9355 215 5 11561 304 3 13998 525 1 1465 4724 1 5616 7863 1 5158 3408 2 3033 1251 1 877 5739 5 5628 3012 3 4149 1649 1 7127 215 1 7883 575 4 4388 5836 2 12376 3287 1 18123 4391 1 13786 2509 2 19872 891 2 16299 4568 1 6907 441 1 5776 1781 2 10976 8122 1 4331 4073 6 14394 550 1 17366 6268 5 745 5313 1 4054 6801 1 17321 834 2 16841 1235 1 17631 5853 3 19433 1721 3 16570 4099 1 13569 1776 1 18843 1825 1 94 4223 1 4190 638 8 1164 5350 4 18651 4011 1 14758 3863 1 10957 7701 1 19957 4317 1 17586 2522 1 8299 3405 1 12632 2522 1 9079 1772 1 12611 509 6 9072 4996 1 19711 2352 1 19020 1775 4 4052 5408 1 1462 1713 3 18122 214 1 17404 4803 1 6268 1362 1 17922 634 1 13359 898 1 14075 1498 9 20145 2407 9 9505 3163 4 7823 3220 7 8278 2780 1 983 796 1 19115 3138 20 4147 7112 4 19902 3036 1 6451 6625 4 7476 905 1 4401 5294 2 4223 3684 1 7688 1151 1 4372 1714 4 10078 188 5 18876 5458 1 2985 652 4 11162 1960 1 2910 7392 1 17767 201 1 17783 5319 8 18070 252 3 7686 3147 1 94 800 1 7084 4787 1 3109 8170 3 12361 284 8 12375 691 1 5504 763 1 9978 4387 1 8138 7705 1 13646 4245 1 6332 1283 3 3521 1658 1 5036 506 1 19760 3591 1 3493 502 2 7252 201 1 13 767 5 9606 74 1 16886 6225 3 7188 1245 8 15659 6754 1 4092 4074 1 16873 2992 5 139 6334 1 13329 2727 10 2020 4582 1 10422 1342 1 15945 304 1 14089 2649 1 1083 201 1 17610 3705 3 18748 1827 1 17569 6682 6 822 605 1 6811 593 1 9224 652 2 4421 3850 5 17664 219 1 18462 689 1 13543 3556 6 3544 5740 1 9641 523 1 12467 3511 2 18524 4312 2 10507 6696 1 13743 5437 2 318 6198 1 16236 1721 1 3571 3689 1 593 496 3 15062 6107 1 15691 8013 2 713 6027 1 10183 5242 2 2806 6341 8 17384 1747 2 3815 6048 1 18027 3702 1 2970 1728 3 873 3698 1 4416 8126 1 13384 8117 1 5916 1825 3 10668 7514 2 1990 2206 2 5199 3275 1 2877 858 8 14896 3117 2 7046 1701 1 17916 4998 4 16381 583 1 3174 2352 2 9299 203 1 7914 7465 1 3656 169 1 16016 2903 1 18366 15 3 281 5011 1 12733 3096 1 12979 7542 1 13088 3682 1 18535 258 1 11530 1699 20 7226 171 1 2716 1814 1 7025 3511 1 3012 1819 4 5796 505 1 452 7558 1 15608 769 1 13574 2673 1 899 631 1 6724 7060 1 7194 1245 1 5769 3798 1 8455 6606 2 7197 3133 4 6835 1784 2 17799 6892 2 15429 1999 1 10371 5172 1 9300 3692 1 2198 1378 1 15193 23 15 10267 223 5 5503 467 1 10078 6743 2 3991 3391 2 19408 1728 1 5857 3181 6 20132 4074 1 9698 6902 3 18060 234 1 18549 1718 9 7463 861 1 11349 206 1 8875 1764 5 7946 7215 1 4749 4996 1 13905 2572 1 6765 8060 1 11697 3425 1 20090 1312 1 7099 518 1 14842 2552 2 6237 7096 1 16309 2889 5 9457 903 1 15448 1498 3 15385 2327 2 16674 3576 4 4860 1076 3 7644 668 1 17954 5551 1 5641 501 4 18440 2759 1 9937 7477 2 19033 3525 25 8427 8184 1 944 6234 1 18122 222 2 13009 6495 4 8736 893 1 14727 1250 2 222 471 1 9717 3633 2 2910 1324 2 10360 5633 1 15405 4404 1 4773 374 1 11614 6058 1 3590 1764 1 3175 2003 1 10843 950 1 6690 5607 2 4549 2974 1 17140 7249 1 18909 5139 1 427 1278 3 14985 1776 1 20189 441 1 15045 1698 5 18029 1772 1 8585 6196 8 16530 6358 5 10569 470 5 2411 5998 1 5453 1238 15 1638 498 1 18634 1035 1 2023 8167 1 14645 3516 1 18575 2591 2 9782 976 5 54 2019 5 11087 7404 2 4279 809 2 8710 1703 1 4182 222 1 4701 926 1 12941 4284 1 1650 223 1 18986 1825 11 16391 1369 2 16109 1241 5 12812 508 1 15757 1879 1 174 7926 1 950 601 1 2586 4796 1 5271 1883 2 11411 524 6 13346 510 1 5104 1249 1 239 4591 1 5833 215 1 10772 1725 3 2784 1732 2 8244 7758 1 2227 3684 1 1151 520 12 278 1649 1 17234 3234 1 13574 5090 5 17459 2626 1 8088 1304 1 18507 2548 1 8343 23 10 7746 6572 4 12370 233 1 8969 505 1 7857 1727 1 4532 3015 2 11915 303 24 11023 5091 1 12353 1582 1 13947 4020 5 16365 867 3 18663 5234 1 13794 3896 1 14484 3911 12 15869 941 2 13758 4257 1 2152 5698 5 2303 3884 3 10643 867 1 7110 1634 1 14908 8141 5 18498 6482 1 11504 1342 1 5185 5879 5 19602 8106 1 13697 1363 1 6712 916 2 12378 6545 1 19949 2139 3 15054 367 1 12351 1146 6 3484 1374 27 8961 1727 14 10498 5339 1 14838 7259 2 15960 223 1 7373 2357 1 10258 1471 1 593 1771 1 10999 1721 5 16977 175 5 3336 773 1 15315 3633 1 9417 1714 1 83 3873 1 17440 201 1 3963 1239 1 2775 554 5 15762 6475 3 10237 506 1 15561 595 1 3673 7661 1 5532 893 4 17612 200 18 1821 46 5 13267 3827 1 4012 6640 2 11542 1932 1 7172 2572 2 14297 3950 9 9713 3464 3 18091 1250 1 11965 1762 2 2158 7793 1 5681 1745 1 18821 409 3 4896 2881 1 17913 2263 1 12985 1402 4 5865 8140 10 6642 1374 2 12637 1757 1 16604 220 1 7208 5817 1 15778 5105 1 20180 629 1 12375 283 1 13296 219 1 1078 8159 1 14212 367 1 3797 1400 2 6854 1246 2 19460 13 1 7322 3258 1 12082 5517 2 14302 7573 1 3029 7243 2 20256 6482 1 1989 203 16 7574 910 2 8397 1342 2 10576 501 2 10019 7565 15 16742 743 4 12702 1986 4 8965 903 1 18665 1267 1 17 1212 1 19585 891 2 7295 2750 1 8892 203 2 20219 3338 1 13543 2088 1 8083 3334 11 9279 23 1 4635 5572 1 17809 1721 3 4163 2252 1 18508 5528 1 6332 641 1 4286 1679 1 14686 360 2 17556 4285 1 8340 1471 1 20180 762 1 2294 23 1 2898 225 2 98 4449 1 2935 5690 3 5252 7216 1 714 5072 2 376 1275 1 2198 3558 1 13857 2493 1 13535 1105 2 10145 5971 1 2180 880 2 20225 5379 1 6348 232 1 10002 219 1 19466 4352 1 17296 57 2 19326 3333 1 16246 5674 1 3606 1781 4 8375 5378 1 1212 719 1 12658 2649 1 1231 13 10 2814 219 2 14026 4231 1 14326 3338 1 17778 1305 1 1698 6209 11 19788 6350 2 17697 1764 3 19853 7850 2 2794 3351 2 16792 200 1 1255 1246 1 15788 1705 1 13459 1243 7 14757 7719 2 15011 912 3 16347 2354 2 963 1235 1 4868 1699 1 13806 718 1 13141 2675 5 8237 225 9 19731 8017 2 17083 2356 24 4947 851 1 7917 3768 3 18421 201 1 7650 184 11 160 7323 1 2586 1705 1 14419 2968 1 1354 4245 1 12516 4225 3 2243 2620 1 4623 1748 1 11678 95 2 3822 1342 1 8394 5769 1 9931 497 3 5410 1771 1 9011 3512 1 4016 1755 1 1385 1038 1 10461 3442 4 10416 545 3 10236 1721 1 12817 6083 1 6125 1921 1 9793 7642 9 1719 2639 1 6595 367 1 9011 1682 5 15893 7542 4 17892 877 5 1872 2353 1 18231 6219 3 2542 6414 1 12740 1244 1 7577 7542 2 16785 23 12 13672 4619 1 14114 6481 1 3309 640 1 15506 1828 6 16178 534 4 16652 3449 5 15123 5307 5 4149 1600 5 10279 3156 3 19602 6435 8 11678 1191 2 7206 6710 3 5168 4903 1 3602 2797 1 19026 214 3 15970 314 1 2250 5294 1 10733 4246 1 133 6010 16 9178 500 1 19570 84 1 12952 84 4 15906 423 1 1037 8158 1 57 2695 1 2195 2635 6 13676 3669 2 3397 5423 1 4991 2555 1 692 1271 5 8633 7534 1 11604 835 1 3544 7611 1 5775 1768 2 17140 7539 1 12970 6719 5 15708 2678 3 12753 6203 1 6314 404 5 10110 201 1 456 186 11 593 1357 1 12481 1244 1 5817 2508 1 13619 2424 1 8686 253 1 4170 215 1 4667 1665 2 14288 3632 1 875 201 1 1732 4622 1 13001 3391 2 4705 825 1 16851 5289 1 139 6340 1 7261 1244 12 8717 2385 2 4057 327 1 19428 1238 2 16313 4451 1 12757 7850 4 7536 4969 1 13105 2504 2 11072 4245 1 10920 4380 1 17610 8031 1 1801 4282 1 143 5410 4 9524 148 1 2385 6089 1 121 694 1 4590 4604 1 18655 411 22 8959 4407 7 9453 696 1 8027 534 2 14409 8200 5 9144 6140 2 7599 252 1 17120 1453 1 2181 404 5 15363 3445 24 11593 200 1 20219 3558 1 2917 517 4 8654 2698 4 7783 609 1 8078 518 20 15572 496 5 14951 36 2 15519 3590 3 17416 1243 1 8437 2151 2 6066 1909 1 890 2488 1 4056 2870 1 2521 201 1 2613 1241 1 12561 2477 1 3240 203 6 11648 203 2 19182 4643 6 6159 532 1 18410 1245 1 12552 130 2 13672 3167 3 17262 4380 1 807 910 1 18741 1649 33 6126 7850 5 655 3147 1 12411 1705 1 11567 1304 1 10435 7521 1 6259 1760 2 1110 1891 1 15295 89 1 19989 6067 1 5655 1755 2 10593 3512 1 18992 3748 3 6154 207 8 2990 3661 1 7577 1296 1 9928 1244 1 6144 3234 7 3048 2810 1 17273 6406 2 19428 7359 1 8339 6159 1 14095 641 1 14839 2503 1 5424 6665 1 15043 5266 1 14124 2661 1 17392 215 1 14993 7365 1 17607 3275 2 4760 2027 1 1426 2636 1 12964 4597 11 8620 6582 1 19373 2646 1 12911 1728 1 3118 5730 2 3439 2678 2 4910 237 1 15858 221 1 17283 225 2 12755 1238 1 2085 1761 1 7991 1658 2 3947 3877 3 10312 6186 1 1824 809 1 11191 4316 7 6534 8060 1 8368 809 1 1241 13 1 17191 516 1 12833 4505 4 180 3909 2 8532 6204 1 7769 1727 1 4034 2534 1 314 1031 1 11357 855 7 10670 2056 1 417 2131 1 12935 518 1 7962 3298 4 5143 4818 1 4514 6527 1 11422 1705 1 6234 4237 1 12916 3329 1 6070 1936 2 17932 2646 3 8658 5730 17 745 1235 3 9145 973 2 19538 558 1 13430 6900 5 1826 234 2 7966 1720 2 12333 220 4 14504 2671 6 18847 4022 1 19872 875 1 19385 1752 1 16285 173 2 14162 7096 1 6402 775 5 121 4297 1 707 23 3 7025 3512 5 17578 2774 2 12493 1344 1 19930 804 1 13906 1716 1 17508 3511 1 7693 534 1 6612 203 3 12361 788 1 10398 244 10 16128 2256 1 19267 600 1 14824 979 1 7165 1663 6 12821 23 8 9883 575 2 8658 512 2 6235 4309 2 3972 2252 2 9477 220 1 8614 5417 1 1058 921 3 11461 1663 1 14617 2727 2 5696 5826 8 9628 846 1 1713 1685 1 14597 214 1 10691 205 3 8751 2256 1 17906 4351 1 14918 2671 2 14459 2671 5 5310 711 2 3380 5348 1 11698 1893 1 15752 788 1 19952 2663 1 6827 1987 3 9077 2353 6 19322 6342 10 739 1727 1 6647 3748 1 5675 520 4 11585 986 1 10687 252 1 19809 4623 2 17036 4706 2 11999 6101 1 13120 3320 6 3213 1275 2 13318 2097 1 3277 1734 3 14501 1364 8 16844 871 5 10966 6091 1 8730 4369 1 15410 5774 10 17391 3949 1 1825 6569 1 1514 1656 1 6244 128 2 3331 876 2 18968 225 3 16944 4312 2 4267 5461 1 14349 471 1 6244 6567 1 2718 214 1 10245 3757 3 4092 233 2 8439 864 1 7783 252 9 15319 200 1 18535 186 3 3104 6192 4 9156 745 1 12196 1643 2 8687 2265 1 11030 2881 3 16587 2651 1 5229 6257 1 18980 5018 1 143 6626 1 19872 5397 1 12459 4264 1 11251 5896 1 17956 6406 1 8878 1454 1 2883 411 1 16378 6341 5 9978 3842 1 10948 3682 1 10147 6231 1 10576 1247 2 14906 1399 1 15595 203 2 1002 223 5 9872 2363 1 13731 4607 5 7609 470 10 4586 4090 1 15041 1247 1 6717 2889 3 3291 1072 1 18665 7850 1 7879 3519 2 2936 3592 5 11556 4013 1 19331 501 1 5589 1739 1 8532 5408 2 2471 1724 4 3268 4761 6 812 6957 4 11498 1357 1 4284 221 5 9808 219 2 122 514 1 16028 6543 1 152 1118 1 19604 6635 1 2641 4099 2 9264 5922 8 8051 957 1 16844 545 2 3256 4470 1 3358 623 1 496 2009 1 1269 7884 2 12126 5285 1 592 4304 4 712 6341 3 3306 5940 1 14566 3216 7 7564 4939 6 5243 903 11 3521 2686 3 18979 1990 5 4773 1338 1 53 2577 9 17384 275 1 15500 3561 1 9342 2675 1 9281 7529 1 5980 1250 1 4908 219 5 10422 2175 1 16844 529 1 18986 3855 1 14256 1752 8 2990 5750 3 14305 761 2 11155 4792 6 7000 1245 1 7721 7506 3 1397 3441 1 3489 52 1 14727 1950 2 17913 3669 1 682 6058 1 13270 3193 1 7933 3206 2 8585 4144 4 4778 6633 1 13790 201 2 308 1416 1 3860 235 4 6073 1714 1 1335 6509 1 4402 4609 1 13891 743 3 2450 874 1 2459 1317 1 9423 274 1 1213 5223 1 918 1718 30 18116 214 4 725 6053 1 18921 5425 1 13362 1819 2 14926 201 8 18554 6993 1 10004 3627 1 2291 1193 1 11693 1764 1 310 7400 2 17662 1730 2 11765 3263 3 4166 867 2 20039 5863 1 10206 1374 1 19781 579 1 5818 517 2 19217 880 2 1650 8033 1 4815 4425 5 6876 525 1 18193 5837 1 3683 3503 2 15480 1722 1 18056 1249 1 5113 4351 1 1397 4591 2 19504 381 1 9784 533 20 20176 1461 2 19787 853 1 13743 6537 1 14406 4269 1 10205 4290 6 3550 6545 1 7306 756 1 19731 1388 1 10020 219 1 16925 6288 1 11316 2268 1 9195 3911 5 2643 8041 1 13133 3247 6 2612 5352 3 9439 159 1 4106 372 1 314 1705 2 20055 5193 8 19241 6539 1 3156 7411 3 493 488 1 3221 5572 1 18792 235 5 1020 5807 1 16819 5346 25 2803 2641 2 15368 1981 1 17331 2853 1 19057 1758 1 2860 411 7 7969 716 1 13414 1374 1 18329 2708 2 13504 5981 1 16235 221 3 3580 4792 4 6884 1363 2 407 201 1 11492 4559 4 15989 4950 1 15216 1249 1 17416 2509 1 2985 8071 1 5647 7427 1 7169 3900 1 17416 863 1 17174 2958 1 7363 5922 1 15921 910 1 16249 367 1 15271 1737 6 11801 4939 2 12 496 1 13132 709 2 11215 4821 1 6748 2360 1 6478 1748 6 11880 3883 1 6817 23 11 4926 3069 2 18206 5115 4 8476 2970 1 12141 2424 2 317 3334 9 5025 2675 2 15964 214 1 17414 2240 7 16667 3911 1 5675 1147 4 19085 1333 7 6449 826 1 13735 1698 1 4826 1703 1 756 7997 42 171 3813 2 16424 8109 2 10245 374 1 10252 368 1 8345 74 6 7065 2003 2 19494 385 2 18936 207 1 12851 3285 2 10560 23 1 5994 6225 1 5591 4592 1 10801 8146 5 2701 1383 1 8878 834 1 2242 2691 1 10091 5077 4 19085 1342 1 18644 201 2 2405 3742 1 16767 506 1 1698 8022 4 19700 5365 5 11729 2338 2 17386 1593 1 15159 1781 11 176 1909 1 4279 1226 1 8826 201 4 5420 500 5 8975 2336 28 1416 2678 7 4339 1482 41 4720 6488 1 12579 12 4 4120 3612 1 19444 2424 1 3133 5257 1 3771 5258 1 10667 1733 2 8654 3464 4 15861 3920 1 3750 3153 1 4264 4653 7 18885 1251 2 9421 2650 1 6549 4065 1 18148 533 8 8699 221 1 7259 3404 2 18289 4836 1 5532 350 9 8495 3911 1 19152 5023 3 15419 593 1 1206 2495 3 2689 2981 1 6325 203 2 18197 1761 1 17726 663 1 10856 6533 1 13429 1356 1 12064 4325 9 4627 1673 1 19865 5437 2 9392 1729 3 18517 6868 1 987 1304 1 8952 3762 1 12269 1996 1 12972 1342 6 12941 1595 2 4880 3631 1 17988 654 2 18091 1881 1 1798 5182 1 13987 1764 1 9978 3395 1 13638 5506 1 16270 828 2 12041 2488 1 14253 1814 3 70 3285 1 8562 232 1 5839 1611 1 7493 233 1 13017 1396 4 16728 8141 1 13193 8029 6 9299 554 2 13748 214 1 1468 8225 3 14150 3431 1 4296 3540 1 13743 6527 1 4291 6278 1 3663 7098 1 13638 1307 1 13461 891 2 12112 1338 1 8870 1751 1 8143 1037 1 12468 3690 1 17738 3806 3 3059 845 1 3973 344 1 19713 6025 3 14530 1060 1 3642 2882 1 593 221 2 17296 385 3 19787 756 1 13865 256 6 6327 1736 1 17502 6201 2 19607 705 1 63 3054 1 13521 5419 1 1613 1707 1 19289 200 1 12367 1784 4 20 1338 1 19609 533 5 13951 1757 2 17046 519 1 13789 7519 1 189 5871 1 4873 4232 1 12322 4435 6 7325 96 2 1986 2534 1 4265 5048 1 16117 3685 5 19412 1666 1 2920 1561 1 4740 6538 1 6256 5550 4 259 7708 1 4880 570 1 18183 1235 1 19743 1726 3 18132 452 2 15608 1907 1 13126 718 2 7702 2104 1 18634 441 1 2818 1737 9 5397 1342 3 14590 1423 1 1760 7719 1 9119 1293 1 2326 3013 1 15126 4320 1 15561 662 1 6183 499 1 3455 2480 12 17130 1275 2 17373 222 1 14126 1738 1 13358 222 2 12510 6710 23 14722 3193 1 688 4055 6 4678 214 3 110 222 4 10155 4998 31 4806 2381 1 8394 1172 1 4970 659 4 10601 1724 3 10928 660 12 17696 528 1 288 6568 3 6091 4945 3 17600 508 1 12273 606 1 6653 2737 7 1962 385 1 16491 5313 1 1465 2415 2 17109 496 3 20191 791 1 8266 4288 1 19872 1691 8 135 6241 2 12312 4983 1 2347 6946 1 9390 3767 2 14727 1721 1 16720 525 19 1706 745 9 5025 5999 1 153 2542 2 4185 2344 1 12244 800 2 121 944 1 12807 545 1 16471 3074 1 14483 1747 3 100 4535 1 7286 6705 4 12459 4987 1 2135 541 8 94 4339 1 9556 2632 1 12954 2480 6 156 7160 1 13922 1184 1 1221 1296 1 18790 347 3 18689 1721 1 13734 1383 1 2138 1669 1 4819 7744 1 9870 235 17 17250 7098 1 5588 335 1 2590 1747 6 19556 510 3 18709 225 2 4503 510 1 12542 3622 9 18246 7612 1 7464 1573 2 17087 3693 5 6449 196 7 15412 2352 1 18792 5202 2 19751 206 4 18310 2344 12 13525 5774 1 9284 1244 4 3975 2742 5 4050 1244 1 11213 2134 4 14182 200 1 17151 4476 1 6091 4563 5 10670 4016 1 14738 910 1 8159 911 1 7000 7433 1 7893 1313 5 557 1374 1 5273 197 4 6826 23 5 1399 5328 1 15146 2362 12 18033 3667 10 15095 3257 1 8294 1277 1 4843 554 1 3718 235 1 12209 2560 1 16517 2986 13 18797 2686 1 16154 500 1 8052 2419 1 16997 1610 3 14738 7668 2 16158 3573 1 12312 5502 1 11678 6756 1 5877 5414 1 56 2679 1 19134 5101 1 12695 7420 2 140 6409 1 3807 2675 19 10601 2727 3 16306 1716 2 10316 1582 5 9999 1249 2 16448 4531 1 10948 500 1 7306 3382 1 2321 552 1 5039 2103 1 6686 7918 1 5354 1753 5 4663 64 1 9346 2327 2 12676 5182 1 10656 7388 6 10369 3913 3 12817 5951 1 2364 541 7 6841 3570 4 12182 6107 1 2473 3649 1 16089 470 1 1839 5517 1 17732 1247 1 8823 2503 1 14584 5341 12 31 1241 1 14599 148 3 7203 1037 2 160 1737 1 1661 6346 2 5031 2953 1 16465 2860 1 9803 222 2 4386 5339 2 18876 310 1 4209 7597 1 9985 7040 1 14385 6979 5 5585 184 2 19436 8174 20 5315 1745 1 1125 757 5 8964 4792 2 14767 3163 1 932 2871 1 15326 4508 1 3696 1302 1 19336 1296 2 10289 2577 3 5602 2173 1 116 2635 5 14145 743 4 14233 4653 1 10529 46 2 4796 7853 1 12923 3591 12 11728 6252 5 6913 5948 1 6907 6835 1 9708 5830 2 18175 1296 5 44 2305 2 9335 833 1 14629 2641 1 19776 3891 1 12190 1247 3 16455 3298 1 17664 4312 1 7315 3497 6 3327 6567 1 10302 4208 2 20009 5060 3 20129 219 5 4299 23 3 3358 3551 1 19147 505 1 15870 1924 1 6710 1738 3 3817 225 1 3455 3999 2 9141 1781 1 18116 6325 1 11755 225 1 7306 632 1 14939 4404 2 5122 206 2 14380 7344 2 4634 5319 1 20 386 1 15732 244 20 19677 3110 1 16890 8203 1 2843 7734 1 13295 2353 1 16114 1244 1 12077 1737 1 4588 1 2 4963 7826 1 2302 5348 15 3376 498 1 8299 6585 1 1783 6355 1 13466 6185 1 10355 10 4 19705 1720 1 174 8029 4 19822 1411 1 15640 6252 1 2390 584 1 19538 4435 11 14867 7832 1 5493 3072 10 5389 4726 1 5028 3393 2 5827 634 1 5513 5266 2 3606 3138 1 11320 6874 2 6091 4604 1 13375 23 2 9572 4022 1 7957 1706 1 14211 496 1 5959 2409 9 659 1819 7 745 190 1 4609 3255 6 17396 409 1 3572 3741 4 8947 6682 1 10856 6537 2 10325 46 1 5962 4333 1 13203 7658 1 12725 1591 1 10445 5389 1 17540 6501 1 5869 7980 2 17564 6762 1 12615 1734 1 9864 7915 1 7363 7750 5 9072 6334 2 15750 925 1 2918 3037 1 19865 2849 1 5841 353 1 14072 1756 7 2091 201 1 4305 762 2 15945 1757 1 18792 231 2 15300 4992 1 18904 336 2 4998 1076 2 1612 1244 1 11399 2518 1 14101 5345 1 9824 2831 1 3318 2016 1 8620 1893 1 11445 7077 1 1325 1731 1 4716 1239 1 16944 1699 1 19182 7018 1 10256 470 1 18938 2998 10 9268 663 4 20192 411 1 13097 23 4 15230 496 7 4304 7151 1 492 2671 1 12888 512 1 13185 532 5 10724 519 2 2891 2360 1 9691 7401 2 3874 7647 1 11165 2352 1 7060 863 1 1132 8027 1 10061 4189 13 9072 190 1 12007 1729 1 410 1482 3 7554 4436 1 8261 1881 1 5617 2517 1 15871 718 1 11820 6220 1 14010 2016 1 17356 1714 1 2135 1751 1 11443 6482 1 1166 5289 1 13590 6252 2 18497 6561 2 16426 910 12 3813 1428 1 3288 367 1 10575 627 1 1345 1312 1 9246 7395 1 766 1995 1 4767 3926 1 2914 2263 6 10730 8102 2 18516 1827 1 941 1244 3 17875 530 5 7553 1312 1 19159 4612 5 1178 842 1 8340 1776 1 84 3884 1 3665 4242 3 13293 4029 2 5861 586 1 4593 614 3 6997 1202 1 18323 5340 1 12929 4383 1 5542 2661 1 9543 478 1 16479 7692 1 1660 7652 3 11655 759 1 19872 792 1 10311 893 1 17142 982 3 6888 2259 1 7751 1470 1 2886 5315 1 6332 591 1 5124 7958 3 19144 1239 1 16259 1728 1 14694 3167 1 11107 1328 1 6504 700 1 16958 3840 4 4216 6451 5 6459 144 1 3442 4806 1 19014 2356 1 863 5257 1 123 221 16 723 478 1 15502 6500 1 16249 1724 1 13103 509 3 14375 1497 1 8080 5448 1 16175 1363 1 17384 222 1 16613 201 2 10688 4013 1 5515 2241 5 11113 7229 1 18149 1246 1 19759 2494 1 4561 319 10 10374 6088 1 2377 6713 1 140 6465 1 15895 849 1 12406 496 1 17405 3645 1 16495 5783 1 10930 7235 3 17505 1023 7 19364 5783 1 8769 7622 1 2756 1981 2 12555 207 16 10036 5554 1 10610 230 1 7294 5106 4 787 1761 1 4348 470 2 4110 188 15 16364 1242 1 9927 3669 1 3287 791 1 8590 524 49 7795 8139 2 18732 5448 1 3198 6435 36 2818 206 11 8754 680 6 4397 663 2 3488 2053 10 14921 2068 4 14900 23 10 8452 1305 3 19957 4225 1 9828 7243 1 2025 4310 1 4179 1707 1 17011 667 1 16772 6705 53 16816 5547 2 12343 1250 2 5494 6065 2 7184 1762 1 4009 1703 7 5653 6167 3 13 778 1 18721 6613 5 20027 871 5 15932 8238 3 8513 6464 3 1165 336 1 4019 975 5 13183 5733 1 10283 3485 6 13995 82 1 3860 1757 14 1116 536 4 6997 3426 1 3797 7076 5 10103 5798 1 5048 3655 1 9072 4789 2 19812 3449 1 13111 525 1 279 3294 1 28 1656 1 6535 4963 2 13266 3071 2 13350 7847 1 11336 6488 1 10534 3180 2 10856 2729 3 20029 790 1 108 4862 1 12337 4020 1 1620 5029 1 18397 3584 3 20258 589 1 5261 215 1 7352 7609 3 4691 7769 5 73 3356 2 12055 926 2 5938 7212 1 1263 6278 10 17698 3516 2 18199 7541 2 10581 7267 1 19528 219 27 3351 1721 1 16765 8083 2 4421 6342 15 8134 231 10 13017 1195 1 16736 461 3 1665 2233 1 9188 4460 5 13418 2675 1 3069 214 22 15289 7841 1 320 2419 1 7361 6666 4 8439 512 1 12337 5091 1 14006 2363 1 14275 411 5 15673 8054 1 19540 207 1 9433 6933 1 9517 5003 22 8375 4623 1 15073 2522 4 2704 3409 1 13626 1768 2 5542 3159 7 3925 1253 1 809 889 5 9700 7576 7 9572 4216 1 10279 3101 2 1142 96 13 14247 3297 1 7165 698 4 2863 3938 1 8641 1764 1 19331 8141 1 19655 316 1 74 3461 1 1962 7814 1 2321 6162 1 349 5165 1 8239 7621 2 11562 7312 1 18628 8154 4 1586 1783 4 27 1609 1 14385 1334 2 4688 814 1 8993 223 1 14738 6256 1 11573 3349 1 11932 336 3 5029 1728 1 3031 6586 1 16789 200 2 471 4444 1 5677 839 1 4213 7052 1 6420 825 4 3258 505 6 14759 1718 1 10610 4555 1 19896 1783 1 9567 35 1 15634 6776 3 7812 1775 2 12688 7326 1 15861 206 1 10150 222 22 3002 410 1 13328 803 1 10540 3857 6 11866 5348 2 16768 810 1 1943 1829 5 16700 617 1 1541 200 6 3287 5468 1 7380 5700 1 7131 1745 2 11617 7772 2 1028 696 4 20123 215 1 9997 181 3 15564 6396 1 12330 3222 1 3037 498 1 9935 7474 4 6269 3275 2 15091 6949 16 4092 533 5 13768 509 2 7837 1863 1 4068 1820 1 6206 1246 2 315 5447 29 1108 1275 56 2980 5294 1 3853 2979 2 835 215 2 16943 3197 1 18675 1739 1 6292 1257 6 13490 5327 2 10222 1054 2 14754 6383 2 8613 8013 1 2143 2559 1 6183 1783 2 3323 1774 1 5633 2354 1 17634 3163 7 3730 1282 1 17304 359 1 13093 2460 2 2508 6192 1 3819 8144 1 2002 1724 4 2985 812 1 10642 3622 9 10630 5480 1 11587 1827 1 8532 6342 1 18543 1252 7 6540 3889 2 13334 1789 1 2907 5781 1 11101 661 1 13601 4010 1 16258 1286 1 8657 206 2 20017 7029 1 11854 5325 1 2408 2673 11 19647 207 5 6719 1073 1 358 2675 5 7295 1677 1 15107 1825 5 8728 817 1 12036 3228 1 13320 3239 3 9628 588 1 3782 6127 5 19401 6487 4 5118 2097 3 18132 2661 1 18800 3869 1 7555 15 1 8379 3511 15 3536 1269 1 121 872 1 7017 3023 3 7540 2678 1 17373 206 2 8226 3468 1 19485 524 4 1952 2968 5 3707 7102 2 4264 4144 5 8418 1772 1 7125 4245 5 14338 497 1 15948 225 4 15046 6758 1 4658 5994 2 3362 3447 1 15529 4296 1 1296 498 4 5453 425 1 373 519 1 4779 5437 1 4199 2355 1 16442 1090 5 16096 6435 1 6305 1250 21 14724 2019 1 19564 5271 1 7071 2254 34 18797 200 17 1801 1019 1 11265 1191 1 9384 207 2 13023 2360 1 13145 8102 6 13 702 1 6781 5758 7 17152 173 8 15775 4657 1 11548 7410 2 3127 220 5 11637 740 1 19649 1770 4 16877 235 1 6733 2071 7 17578 3414 7 19759 6868 1 10689 6210 8 10078 8178 2 8439 2678 1 20255 1768 1 12159 533 10 19223 532 3 17227 292 1 14633 2068 2 8410 3679 2 6124 7512 1 19053 575 3 3358 148 1 13589 2662 1 16232 2584 1 13634 1395 1 17539 23 3 20126 1817 1 10362 1531 1 49 2473 1 4174 5105 4 9412 23 1 9054 864 3 9141 214 1 11458 3284 1 10039 745 1 2989 7008 1 11195 532 4 108 825 2 6332 5267 1 9294 2341 1 7294 3215 2 4368 2676 14 13162 610 1 3397 872 1 1520 5817 1 273 3012 2 13013 215 3 18811 1946 1 5344 6070 1 15940 3460 8 8378 764 1 278 205 2 14642 7221 2 16338 1154 2 9288 5825 13 10169 8113 1 8023 5220 5 6256 498 6 19296 1740 1 1825 303 1 20253 199 2 17953 1242 22 1282 3220 3 19563 4587 1 15367 7497 1 17662 1334 2 9777 3773 1 19131 8031 2 19355 4204 2 1871 1727 3 3340 328 2 7849 3695 2 19819 401 1 11403 1244 3 2138 7201 2 16674 1736 12 7296 2675 1 14650 2970 3 19741 3593 4 1945 3230 1 10861 6701 1 3086 5413 2 10385 4190 2 5245 6091 2 1929 201 2 1279 6252 1 15932 1779 1 5403 1443 1 5296 1062 4 7822 169 1 4995 498 1 4902 6549 5 6140 1615 1 10859 1688 1 3513 6729 5 20059 5674 1 4384 1015 2 7064 207 5 8780 4099 4 7848 2980 1 16481 7076 1 10327 696 3 11552 1902 2 6682 1789 1 14753 1151 1 6292 7191 1 10960 190 1 18058 1694 4 6428 7597 3 5878 6051 1 13268 243 1 4074 5133 1 126 5663 3 542 516 1 7627 7648 1 8443 8083 1 8558 1819 2 11985 6776 1 3346 3233 1 6989 735 1 5237 2881 1 10539 2549 1 3103 3233 7 17252 5312 8 18091 1695 1 4243 6368 1 8551 2291 1 7597 5252 1 11981 2341 1 3505 2745 5 20249 512 2 16184 879 1 15426 3135 4 15314 5570 6 17035 232 1 19881 1726 1 12548 6706 1 5601 4013 1 11118 1730 3 11362 1399 1 7514 2392 1 14196 2869 2 15352 2061 1 11014 8194 1 1491 4431 4 8921 4998 10 711 512 1 1379 2595 1 20221 5023 8 7853 1296 1 605 883 1 17899 7747 1 2010 1296 1 16916 4227 1 1578 3698 12 10919 303 5 11422 6540 3 4945 1819 3 8299 3358 1 12464 1395 1 17664 1752 1 15530 5677 1 7751 863 4 20145 1732 2 9462 7772 1 6558 7750 1 6926 2369 1 11823 2294 1 8944 8093 1 1556 3840 5 1151 5180 5 18652 490 4 8170 153 1 4475 6355 1 9236 367 1 1866 203 1 15184 1363 4 14917 8175 1 16561 237 3 4779 2419 1 8375 7719 3 16029 7521 2 8793 1243 1 19569 1356 1 12329 3697 1 10988 2958 2 12704 1267 1 1204 4257 3 2459 7818 5 7527 5524 4 270 1757 1 16299 132 2 8528 220 6 6021 2646 1 14834 6152 1 9434 3693 3 19271 2261 3 17168 1783 5 7308 4664 2 54 2619 1 4708 2356 1 9279 1649 1 18912 864 1 5076 2710 2 14290 2409 1 6572 5131 2 5074 3600 2 9594 2531 8 4068 534 1 983 2743 1 2905 519 2 4389 1999 1 230 232 1 13845 931 1 11303 200 1 19585 1564 1 12231 2410 6 14397 1342 1 6512 867 2 15811 222 1 14435 863 4 10720 1356 1 14201 1239 12 5618 6659 13 12962 134 1 3535 7599 5 8747 2563 2 14745 7881 1 12972 2743 1 10499 1781 3 1455 4807 1 11294 23 4 9417 3512 1 13648 65 1 7046 5172 1 12919 3558 1 3029 7881 3 16240 1611 1 16236 519 2 14530 501 1 5023 2409 1 18876 879 10 6084 525 1 15629 642 1 1962 3783 2 13461 4998 8 11932 1770 1 5022 838 1 8034 1760 1 3455 4773 1 20013 200 13 1444 1825 9 3650 498 3 12817 367 11 3015 200 2 8358 2056 5 18481 3482 2 4960 222 8 5561 7530 1 8471 8051 16 14900 1775 1 10801 1693 10 15272 207 7 12704 4460 1 9663 1784 2 12688 1556 1 1509 4000 5 3118 2882 1 13394 2649 4 340 5316 6 7725 2428 1 14566 8045 1 1510 4470 1 493 545 1 14147 4096 1 18258 753 4 548 4029 1 74 3482 1 2877 3304 1 4524 1747 1 14946 4041 1 7750 411 21 2138 5207 1 602 1342 1 9947 8099 1 9007 3666 5 15055 1980 3 5983 1739 10 7200 519 1 16914 316 2 12758 6682 2 4105 2099 2 16682 411 1 8466 4366 1 6403 4282 2 13746 2261 4 9672 518 3 5478 5001 1 8417 1422 2 9973 4203 1 20262 2401 1 20091 1357 5 17487 2114 3 17662 1740 1 2249 7925 2 16063 261 1 19486 23 1 16860 8034 1 15405 4107 1 20275 1153 1 17494 7485 3 17954 5496 2 3609 6579 1 8488 1719 5 3436 2626 2 10472 1277 1 5310 787 1 7362 2315 2 15563 258 1 19975 186 1 19668 6586 1 1876 7881 1 10968 1245 1 6452 3050 1 18415 6268 1 19246 6169 1 3240 1721 3 8990 6723 1 11755 229 1 9295 1342 1 19740 6192 1 7999 442 1 13670 910 2 159 7262 1 19399 7819 2 9168 1727 1 14412 1921 1 12279 539 8 14672 4363 3 17250 460 2 13581 5105 23 9978 3447 1 9693 1250 1 4446 2141 5 17263 899 1 13827 13 1 11131 433 1 9671 5444 5 14694 1775 2 9966 6640 7 16681 3337 1 8878 1703 1 15316 4623 1 16263 38 2 16509 6669 2 5068 6168 1 12807 1705 6 9404 1748 4 12670 6343 1 10728 7702 1 11968 5532 1 12888 1333 1 17521 1827 1 10502 4382 1 4034 3909 1 12480 370 1 7000 3278 1 174 7999 7 4363 7530 1 2060 6938 1 12993 5245 5 16381 3760 1 11723 5036 1 10530 2691 2 19193 4807 6 9282 4726 1 3070 1758 2 14522 1783 1 9598 5809 6 9224 935 2 6527 2981 1 11952 1296 1 18258 397 3 10695 187 3 16354 2911 1 5604 6728 1 17088 8184 1 13758 5311 1 11168 1116 1 14085 1404 8 12766 584 1 15743 225 1 13271 253 1 15100 760 1 3711 2392 2 7435 1768 3 14522 816 1 10103 5162 1 16522 1747 1 16645 1146 1 17672 184 1 7991 1383 2 802 219 1 438 880 3 17403 367 2 2512 6213 1 15614 1698 1 3109 7452 1 8082 656 1 9472 4307 3 8614 5521 1 8580 3526 1 19568 1762 2 10267 2620 1 6670 3351 3 2795 1250 2 12596 6677 5 5190 1242 1 2367 4860 2 16151 1992 1 6245 3531 1 15512 5314 2 17822 506 10 4884 1772 2 15905 3152 1 17146 2885 1 13326 3656 2 1204 505 1 9453 545 1 4660 6053 14 8298 1244 1 2883 223 6 18936 1772 1 12318 365 1 3142 8141 2 5082 7616 1 1519 4096 1 9606 1747 1 19833 3819 1 1832 1464 1 9438 1402 1 10183 189 3 6821 173 4 2935 3642 6 7990 2935 2 16680 2577 1 6422 1783 1 42 2155 5 9061 4306 3 3938 1827 18 2451 2114 1 19195 1819 28 151 1757 9 17009 1342 2 521 6083 2 13994 74 1 14170 633 3 4614 3775 2 14769 206 1 7568 1374 3 10694 220 1 17996 1239 1 3806 1703 3 10105 308 2 12682 915 1 1043 43 1 5860 510 2 2234 23 1 5312 2504 2 8990 2647 1 177 8171 1 14296 1146 5 8982 1244 2 16146 4992 1 10071 1252 1 16645 7851 2 6842 222 1 6413 1342 2 10 352 1 715 1819 3 16197 1825 1 18813 1638 1 10826 3403 2 15300 303 19 7641 5903 2 13829 1747 3 5121 5896 1 143 1721 2 10884 1000 2 14859 222 1 1273 5760 2 13421 3287 1 10431 1718 3 11289 1819 1 10732 156 3 9697 2261 1 9672 532 2 18862 1756 7 17544 883 7 19661 6701 1 10194 6197 2 14616 7256 1 11031 23 9 17228 5077 4 9886 1374 1 7331 1770 1 3927 831 2 13145 8091 7 301 3275 1 14464 128 1 7455 6913 1 12618 559 2 9170 7446 1 1252 148 1 5960 3044 2 15697 533 2 4049 4162 2 13678 207 1 18336 6599 2 15075 3206 1 2592 7313 1 7649 844 1 19555 409 3 1551 367 1 4663 441 1 359 292 2 13290 7487 1 31 1776 3 8890 203 2 11590 9 2 7199 5302 1 4622 140 4 5143 2343 8 7778 5905 7 14312 2109 1 17911 679 1 11293 6396 1 9074 2559 5 15186 1722 4 5106 5467 1 2627 5524 1 11401 5347 1 12145 628 1 15898 222 12 15689 222 2 19053 899 1 15180 6564 3 3416 7576 1 12682 5690 1 4468 6756 1 9865 1703 13 18671 6286 5 10730 7639 17 121 4246 1 7823 2104 1 4236 3072 3 7056 1249 1 18503 6844 1 7868 6863 2 19283 566 1 3134 638 1 10060 7229 1 18886 1450 1 6383 3760 8 14357 1548 2 14124 152 1 116 690 5 10078 1658 4 17003 1238 10 8015 5404 1 18329 339 1 3451 533 15 14341 1037 5 10060 6669 3 14972 6776 1 16448 6342 5 15676 3338 1 14233 6276 5 11616 4600 2 12775 1267 1 3025 1743 2 12406 223 1 2529 915 1 15306 1756 1 19900 2486 1 2449 3072 7 11153 2849 1 4483 219 2 6851 804 1 14889 2569 1 13851 1819 1 7392 1434 1 4619 1494 8 13155 92 1 9041 363 1 153 6930 4 17219 8235 6 3573 1909 1 20170 201 1 20042 2009 1 18072 187 2 1943 1946 3 7366 1582 1 5951 5995 3 5219 811 1 2962 1819 1 2020 1728 1 1361 4279 1 8271 3563 45 3426 1247 1 143 6616 1 15211 232 1 16309 3655 1 6869 1428 2 15167 1119 5 12548 4761 2 1635 6077 1 7046 201 2 7219 2555 4 388 6575 1 18118 880 1 9263 2523 11 10955 1881 1 8237 891 1 18484 7222 2 4740 2678 47 2902 1752 1 12897 489 1 7688 3426 1 2710 533 1 15743 4992 2 12625 6538 4 2283 2260 8 109 4994 1 4575 394 1 16617 3635 1 9319 3477 27 2213 5607 1 1068 229 1 5453 1361 13 5980 1244 2 6539 148 1 6522 845 1 10054 2392 1 3672 718 1 1074 7491 1 5021 1344 1 8542 220 3 5857 1062 1 19807 2478 18 6640 5487 1 382 2737 1 406 2058 1 18768 532 1 7297 910 2 9445 525 1 14784 1482 1 19352 859 1 31 215 17 4606 6231 1 14811 6053 19 10272 206 1 2772 1649 1 5117 5278 1 7355 35 2 14580 74 2 7227 4600 1 11668 173 3 6697 1374 1 16424 381 2 376 1399 9 1825 1342 1 13140 313 1 9056 844 1 7695 1241 1 11671 5762 2 8458 1395 12 7387 2228 1 14900 2353 1 3805 4379 4 16270 746 1 18170 1261 10 19030 2111 2 4490 222 1 3081 2494 5 19649 1399 2 7017 6260 5 14330 1703 2 10219 654 13 15579 215 5 19218 338 2 13607 6616 1 8591 509 3 4138 200 2 10399 1769 2 5344 6049 1 5981 11 1 6130 629 4 7478 292 2 17743 6245 1 14837 229 3 14376 628 2 14430 7834 2 2907 8121 17 10452 1140 1 6806 3511 26 12409 2012 1 10396 6390 1 7184 214 2 2458 549 1 5837 3595 1 6228 654 1 6164 637 2 6452 50 1 1968 7642 3 5659 7003 7 3739 2437 1 8538 394 2 8514 5880 1 6635 6198 2 11955 6776 1 3118 4409 5 2345 891 26 1783 6435 1 15996 4447 2 1246 3556 1 14561 1139 2 13901 6091 1 6081 223 5 915 3464 17 11683 5502 1 5130 792 1 14716 5013 1 17169 225 1 13329 3156 1 9930 1731 1 7241 3453 17 11550 1717 3 923 904 1 6330 848 1 18653 201 1 13997 2488 2 7547 6866 3 18076 650 1 14955 2120 1 2928 6091 4 16777 545 2 19967 1146 1 14057 1819 1 9253 1686 1 10838 1174 2 14476 3511 3 16346 201 2 6332 558 2 7999 127 1 2776 1164 1 5921 4607 2 11515 3164 1 6882 528 1 1212 779 2 12807 223 18 236 1454 4 13785 5018 126 16767 4985 1 13685 8065 2 18899 1369 2 8161 66 8 3085 1819 4 1001 57 2 14993 3828 2 10219 6027 1 7181 4187 2 12686 1756 1 2010 1757 1 6511 203 6 17950 7719 20 14746 3536 2 13512 1784 1 6969 1275 4 15230 518 3 15098 534 3 5655 5552 2 16584 3785 1 5171 4280 4 10360 1445 1 10225 624 1 6593 5253 1 4387 498 3 16835 2649 3 8425 215 2 15259 1275 1 109 4934 1 17416 7905 3 17809 2265 1 163 7406 10 19900 1781 1 9342 4245 1 18187 608 1 10590 3419 1 8614 5421 1 4507 2399 3 19820 5193 2 2490 769 5 6884 4963 1 8171 1691 1 10687 545 2 18085 292 3 10690 229 1 5390 1774 1 10469 3946 1 14619 2539 1 4554 5757 1 5015 3511 1 13534 7300 1 11322 8174 3 19834 4803 4 19770 6031 2 7646 3319 1 15274 6912 3 4498 834 1 8759 7676 3 12281 232 1 13031 1827 1 19310 5398 1 11238 6993 1 13838 91 15 14762 1399 1 9093 1757 2 9978 200 1 5005 514 2 18734 308 4 12399 681 1 15427 1350 4 14981 1587 1 108 878 2 12273 869 3 10000 800 2 1171 1756 1 7780 745 1 2951 1250 1 3487 82 1 17486 3327 217 16789 3511 1 376 225 1 10595 2352 12 16800 1757 5 6765 3287 1 11898 3883 1 8728 785 1 18538 6445 1 14779 7215 4 8394 422 2 334 2918 1 8491 867 1 18 1249 1 1552 1695 4 6806 203 54 11338 411 5 11349 220 1 15356 4325 3 3504 5251 4 168 7578 1 9901 500 5 4337 3525 2 11354 5686 1 1669 4144 4 13071 759 1 11059 214 1 15778 4486 1 16247 1687 3 16085 514 1 10881 809 1 6394 3333 1 7982 4325 2 6528 6396 1 7597 1380 1 10046 2354 1 279 215 1 7553 1745 1 8949 1819 1 10837 1700 6 10161 3634 5 15091 5266 2 3705 6540 14 3935 1242 1 15339 1738 1 15978 206 24 14400 4435 2 2116 1705 1 1198 5758 9 999 7695 1 17127 1234 3 16147 1780 1 9637 3899 1 4606 5955 3 4727 3511 3 12777 3760 8 6503 4276 1 1515 6018 1 9183 308 5 14379 1770 2 11566 7401 3 16546 5945 1 9509 3119 4 18703 7724 2 14993 458 2 5860 2356 3 15691 2864 2 6715 2677 10 2928 94 1 88 201 1 4493 1342 3 19731 5513 1 7502 4288 3 19668 2649 4 10883 6100 1 13625 1670 1 16307 6868 12 15246 186 1 8561 4963 2 514 3841 1 5738 4967 6 12470 1400 1 601 4363 1 15576 2384 1 10311 557 1 17867 1657 2 15311 215 1 16834 6192 1 14054 3202 2 19993 2272 1 11223 532 1 2803 441 1 16790 1727 1 16887 1208 1 7246 8094 1 373 1779 1 15382 521 1 18509 4998 1 2146 235 1 6034 191 13 15854 4391 2 19007 883 17 18511 2171 1 10338 1770 4 8343 2139 1 9310 6756 15 13329 2970 1 3548 8017 19 10316 1272 1 13640 173 10 10117 6607 1 14527 201 2 1824 4498 1 15838 6142 1 12603 3952 1 113 3215 2 9100 1788 8 19336 6053 15 4812 1464 1 6081 3511 11 1499 6855 5 13466 4761 1 1178 4505 4 18064 2746 2 1273 1182 1 5722 335 1 5094 6132 3 19187 6531 1 6630 328 1 9236 890 1 8328 2800 2 9188 666 1 6757 4456 1 12683 5008 5 9012 1955 1 7780 3327 4 13870 361 6 1848 4623 1 10176 826 1 6164 5182 1 13245 6545 1 18443 7127 1 171 1357 1 17549 6682 1 6932 203 2 7589 1627 1 7940 3760 10 2029 4296 7 11597 3954 1 1089 470 5 4769 4245 2 5827 3710 1 16776 944 1 4277 868 1 18899 1454 1 13234 1927 1 18431 236 1 17100 692 1 6684 4102 1 1712 4853 1 18136 525 1 1695 3497 2 3897 3278 2 7025 867 1 7952 890 1 15932 942 1 18212 7719 1 4072 228 1 191 1170 1 12970 274 3 14758 2641 1 10692 820 1 17596 6714 1 12988 1282 1 6783 1762 6 48 2378 7 1065 1154 3 3307 6714 1 1791 6487 1 6326 2534 2 5018 883 1 3395 1761 2 4839 3511 1 7331 6527 1 17333 3511 1 10161 7643 1 7956 221 1 8798 5879 1 19226 470 2 19331 541 2 10459 3117 1 18250 4819 1 16167 23 3 100 4576 2 655 2268 1 5637 3334 4 14600 215 1 6306 4992 1 10114 213 1 10694 214 1 16649 508 1 18361 7518 1 14553 4116 1 9270 4299 2 19120 229 3 2238 4269 4 1110 3230 1 18814 2580 1 11667 200 10 1743 4557 1 18819 1784 1 12023 1738 18 1171 196 2 15818 5090 2 11603 3113 1 18428 8186 6 20235 1776 1 16346 425 6 8093 5325 12 19833 2517 1 17085 995 134 18153 2508 1 17662 200 2 17092 1239 1 7248 2360 17 4519 460 2 115 5180 1 19567 2010 1 13161 6204 10 3817 10 1 12053 207 1 14632 3715 1 8423 203 11 20090 7658 1 7522 5686 1 19592 2353 2 3233 5730 14 9864 928 1 8636 2012 1 15192 244 7 14541 995 328 7034 2758 2 19931 1908 5 11002 2016 8 19401 1076 3 8549 367 1 370 1246 1 12988 526 3 17174 3573 1 6199 6407 1 11968 235 1 8327 1251 1 7407 4156 5 1714 477 2 1866 525 1 13721 5394 1 18524 888 1 8159 582 1 56 2675 1 6848 496 1 20101 7726 1 5676 2964 2 17174 461 1 15247 3679 2 5049 6075 1 6024 1295 1 11757 1731 1 12702 6228 1 1628 2555 11 12290 2392 1 3332 203 7 9432 605 1 16860 6885 1 10337 8172 8 9461 1271 3 2359 2889 1 13315 2296 2 1311 7240 1 7651 3878 1 10161 353 1 14628 5519 1 7362 7345 5 9029 3869 1 16199 2853 1 11325 1244 3 19486 385 1 18237 1825 100 7549 223 1 14557 1017 12 140 4890 1 1453 7036 1 14833 7726 1 10070 148 1 15357 244 1 15534 1776 4 10474 397 1 12594 1990 3 9245 1814 1 13824 4623 2 7656 4202 5 17681 6368 1 19504 1237 6 2192 5115 1 863 2990 2 17781 1453 1 16740 3287 1 15182 848 1 18826 308 1 7841 6107 1 11411 514 1 17494 6793 2 5246 23 1 12913 5957 1 12014 2859 1 11768 184 3 20123 6441 1 7640 6031 17 2045 1776 1 17713 1352 3 16894 916 1 2479 3515 1 8054 8109 8 16107 3684 1 16012 1171 2 11137 38 1 6193 661 1 16777 648 3 12695 3511 2 13689 8091 1 6723 7128 2 7679 4835 1 13574 5060 5 9721 6880 3 16036 2480 5 12029 3278 4 13845 1999 1 17837 6777 2 12283 1764 1 3940 825 1 18252 4391 1 14999 186 2 4085 3584 1 26 1515 1 3822 7772 1 19664 4436 7 15794 1507 1 9707 596 5 14522 1275 2 834 214 2 2190 844 1 413 6268 1 13987 156 3 19315 5672 1 14988 3239 2 4471 2488 7 16468 2139 1 113 5027 1 6233 3964 10 8107 7719 2 15785 818 1 439 840 5 12378 3542 1 19251 5362 1 14237 1250 1 7390 937 2 7768 1727 1 16202 567 5 18015 82 3 339 3484 1 5563 3906 1 12316 4099 9 1349 1739 4 14692 2673 1 15025 5297 4 12690 868 1 19538 5903 3 177 8169 1 3256 4467 1 682 3172 1 11420 449 1 8646 6683 4 19509 1423 1 14347 1696 1 83 3725 1 13579 221 1 17088 2363 1 3991 2966 2 8539 2089 2 6270 2216 2 6021 6162 1 12887 5971 3 2265 5550 4 12592 8034 1 7463 3808 1 18935 5997 2 11769 128 2 9088 4572 3 6510 1048 1 11228 826 1 5108 2969 11 16231 3714 2 2886 5595 1 10624 2644 12 10905 5054 2 7607 5451 1 13443 5105 4 11237 3258 5 14114 2641 1 14031 1363 1 14482 2443 2 2890 760 1 13138 306 1 9178 74 8 608 1757 1 18546 1380 2 5836 4233 1 296 164 6 2267 2029 6 15491 1277 1 3515 1824 1 5287 5996 1 16109 1777 1 8218 3556 1 7544 5018 1 5449 5594 1 65 3107 3 14658 1717 1 13607 3631 2 13801 203 1 1389 6400 1 15947 4307 1 14120 7466 1 14147 4403 1 9604 4623 1 1172 1380 1 11562 6430 1 12850 1752 2 9155 1022 1 4688 4304 1 10725 3058 5 11814 6155 2 10457 5136 1 5786 222 3 2496 1380 1 11301 2877 1 7783 3522 2 223 3250 1 18883 3198 1 20041 2186 1 24 1459 8 875 1771 4 15753 3651 4 1893 3411 1 10435 2018 8 16109 221 6 12447 8200 1 12353 1092 1 1570 4019 1 5950 4446 1 8128 3298 1 3891 156 1 3581 3572 1 12611 8139 12 18610 5814 1 8658 2127 1 13530 201 3 4524 6334 2 12753 6164 1 6848 220 1 640 214 1 14758 1193 1 18867 190 1 11968 3276 1 6015 235 1 5375 173 1 17555 1768 5 10875 4310 1 24 1474 5 15430 5437 4 12243 1105 4 418 4972 1 4671 1962 1 14580 964 2 17400 5814 3 16196 4238 2 20029 1740 1 9937 347 1 5353 5408 2 12589 175 1 14721 5810 1 15398 612 1 10361 1305 1 17464 1762 1 8519 5255 1 9212 410 1 15993 867 4 17198 7531 1 12897 943 5 8273 224 3 6333 4088 1 4397 2419 1 7969 5234 1 15530 4461 1 4273 1561 4 17384 197 1 9759 506 3 3665 7217 1 16857 1705 1 17667 203 1 7899 7902 2 13883 442 2 8000 1464 2 13619 6680 3 496 5186 1 7679 3408 2 19460 7498 1 18521 3146 3 2730 1035 2 11515 2261 1 16012 1243 1 2646 5416 1 12590 3707 28 8930 651 1 3075 3138 2 17416 8015 2 11700 1244 1 5819 4274 2 17560 647 1 16120 3434 4 5314 4056 10 5146 221 1 16500 1342 2 2647 1776 3 4112 3706 1 8334 3070 2 20218 4006 1 1219 201 1 9713 205 6 12345 4333 12 11310 6504 1 15102 34 2 939 292 1 8853 560 1 19559 3596 1 7324 4021 1 12424 8111 1 13820 201 1 2687 2860 3 11355 15 3 3242 7256 1 9791 525 1 1913 4105 5 10370 5020 1 18312 3896 5 9838 1751 5 8506 8149 25 17403 394 1 14404 3511 15 4092 6321 1 13423 7419 4 10169 728 2 5918 3869 1 970 532 1 16090 4554 1 15364 7300 1 14326 23 3 17434 234 2 12695 1495 1 10553 5290 1 6716 4363 1 4047 1997 1 14168 4088 1 19602 460 2 4757 206 1 15960 5018 1 1081 1761 4 5420 2240 5 16905 308 1 1687 2577 1 643 2727 3 12817 1237 1 88 4031 1 6724 853 2 20212 470 1 13437 1981 2 56 2664 1 2817 3879 12 4437 214 8 9705 508 1 12862 2494 1 9948 553 1 7962 1781 5 20004 634 1 2302 7414 5 552 6620 1 456 4615 3 18048 6758 1 6332 798 1 18192 172 1 1558 3590 5 13897 1770 1 5863 1445 1 18056 682 1 14226 4721 1 837 3334 1 12658 252 7 19945 1600 1 6840 606 1 3427 709 1 10053 6120 1 243 330 2 6449 534 2 2629 506 1 10734 221 3 926 5446 1 11866 4791 1 7504 5272 3 17182 4367 2 5453 7622 1 11786 5362 1 4600 523 1 16810 558 1 70 225 1 72 3344 19 13760 5826 1 5433 6231 2 1193 2980 5 1258 200 7 11130 196 5 271 7470 1 16343 292 1 7780 1819 1 5636 303 10 7000 5318 5 17389 1731 3 11094 1825 1 20154 5737 11 13668 1707 1 16997 6025 4 812 7880 11 7751 4972 9 19381 5021 4 3716 1755 1 4957 530 1 7125 4204 5 3078 3760 3 15586 5319 1 11789 5474 1 8982 329 1 340 426 1 9085 4479 4 4533 2290 3 4530 150 2 7721 8057 1 10807 442 1 8913 1611 1 16180 7795 1 17683 1748 7 838 3117 2 12190 7632 1 13172 156 1 7338 1110 2 3416 2146 8 12286 1705 5 8866 5538 1 18060 3526 1 15893 5301 1 15181 5105 2 42 2191 1 160 7331 3 11 421 1 13079 156 8 13825 1761 1 9909 4587 1 17904 1271 1 12783 4435 1 17058 571 2 1056 3558 5 554 7801 1 15098 11 1 19455 2494 3 2201 3230 2 10772 1655 1 1712 6091 1 3220 5084 1 3712 5757 2 2643 3301 1 13430 2548 5 13710 496 1 9104 7342 2 152 4718 1 12129 2138 2 1276 1766 1 4297 4115 5 18337 502 1 916 698 6 11938 1356 1 2545 222 5 12025 6754 2 873 1129 1 9743 2478 1 12389 378 6 3822 6588 1 15943 1296 1 31 1742 7 10643 5023 3 1121 4761 1 875 2673 1 11322 518 1 7315 7576 1 2131 6549 2 20174 1825 1 5756 3573 1 12682 7073 1 8870 251 4 18783 5185 1 6588 2692 6 14686 1103 3 11297 207 5 8667 3217 1 13230 3736 1 8754 155 8 16865 5513 11 6682 8194 7 18761 5282 6 5709 1946 2 1618 1951 2 8602 1462 1 3505 1728 2 1455 1399 1 9939 1825 1 3397 903 3 15660 2698 3 4963 1296 1 415 4912 7 2962 3558 1 18089 412 1 10957 2575 2 18814 1660 1 15435 124 1 7872 3113 3 498 1464 1 14156 5901 3 9178 4245 2 17329 7414 1 16111 3901 6 15263 1825 31 17549 532 1 19193 3896 39 2596 8071 1 10876 5390 6 1447 7386 1 11375 1721 2 16635 960 1 10874 6120 1 16316 6632 1 767 2317 1 2542 2022 1 3441 2192 1 2513 5281 2 6535 2139 1 14322 222 1 14658 1743 1 17324 2503 1 151 6777 1 672 2343 1 8467 1648 1 5316 1747 2 17020 5461 5 1551 1719 1 19245 521 1 9743 7450 1 17725 582 1 55 2650 1 3436 5674 1 5028 2889 1 1296 3519 5 5185 1571 5 7962 1743 2 8949 4435 6 1752 2369 1 1807 6436 1 13 231 2 18071 2515 1 18580 4614 1 18543 7251 5 10593 2788 1 11131 5830 1 9700 1819 3 13937 2998 1 17476 2376 1 2952 5398 1 2640 5499 1 10782 7948 2 15502 4386 2 1005 2541 1 2194 5286 1 13201 2727 3 10290 1756 1 7832 4544 1 1351 6435 1 6556 6243 6 4376 1332 4 7817 234 2 4968 4996 1 130 5794 1 10554 2013 1 15818 3114 1 143 6674 3 6368 4435 10 4030 893 1 4950 7018 1 602 206 1 15016 6323 1 6415 1464 1 16370 516 1 2582 225 1 19656 1150 9 19855 7086 1 14393 3302 1 6819 23 1 9050 2798 2 12873 3540 1 4490 1758 1 5023 8037 1 5662 1769 1 19708 304 7 15743 6341 1 15726 4132 1 18847 935 1 8405 1314 1 7184 3923 1 5483 6435 1 14330 1315 3 5604 2675 1 19331 244 2 15870 3687 2 14362 3079 1 3351 6537 1 16890 4950 1 2480 1717 4 1576 1734 1 13742 219 2 10021 7477 1 15113 779 1 4757 219 2 8131 2635 15 14649 518 3 780 7136 1 10055 4558 2 2900 409 1 2674 6031 1 19639 5408 1 15873 470 3 17927 3361 2 1191 514 2 1010 207 4 739 225 1 16881 1589 1 4784 2396 3 18126 1241 2 11786 2023 3 10670 3338 1 305 235 5 1742 518 1 6304 7308 1 9743 7576 1 5239 1342 4 16362 6680 1 6997 7487 1 19862 1819 8 11350 2980 1 8447 2380 2 13880 676 1 4305 3356 1 7165 4011 2 7956 4269 1 5047 7848 1 8546 3913 1 11601 7351 1 11842 2758 1 16330 1784 1 4680 5534 1 7540 200 8 2855 2614 1 2014 3518 1 14010 1814 8 1445 164 1 162 7364 1 18879 1681 1 13518 1962 1 19239 1593 1 91 4077 1 16694 5584 14 15245 3738 5 153 7052 1 9911 4961 1 1235 535 6 296 3399 2 16229 1464 3 15281 411 8 14226 4732 1 13262 6612 1 5264 7217 11 2857 2502 1 1040 382 10 7884 1363 1 19979 6683 1 5475 939 1 8214 7232 1 2818 3967 2 17440 7843 1 18125 223 1 13329 4599 1 18433 5762 1 14695 6018 1 13722 1729 1 9978 2508 1 4734 5495 1 19127 1760 2 10473 5810 1 18325 8126 1 5652 520 1 15334 7748 4 1176 1737 1 5868 4123 1 15144 1274 7 7928 23 1 12895 4992 6 6211 541 1 456 510 5 10636 1245 3 15429 1238 1 16207 23 2 6021 201 1 8146 1664 1 13254 4013 1 15314 5488 1 15429 1146 2 1465 1203 1 5778 1646 2 18508 2007 1 5528 6615 1 19568 1241 2 18851 2522 1 15861 532 1 17098 3511 1 10567 2646 6 14654 2880 5 18530 3743 1 149 6730 11 2902 1751 1 14826 57 1 17599 851 1 12592 3219 2 7056 3338 21 1665 3536 1 6587 1251 2 12118 1399 6 13816 589 2 3760 1703 2 16844 3056 9 5205 2743 7 14712 1721 3 19769 8013 5 1235 1705 2 16327 1253 2 12623 3884 1 18532 3757 1 12518 3512 1 9281 5339 1 1927 1247 1 2519 883 1 14470 3070 2 18518 1745 1 1853 2173 2 12542 663 10 3433 3605 1 17667 219 1 8153 4411 10 10684 3663 1 4055 939 1 16886 3798 1 16887 1996 2 11218 1275 1 16688 1654 2 15405 2007 1 16394 7666 23 485 6341 5 4744 203 2 2037 5436 1 10883 665 1 1274 8203 2 5791 190 1 3397 3577 1 2164 5353 2 5863 3587 1 16425 6673 1 17803 2362 2 18806 1737 1 17141 780 2 3720 1752 7 14162 3404 2 10555 2263 6 10715 690 2 7246 7859 1 14822 7862 1 14999 6170 10 1086 1819 1 19776 1259 1 835 244 3 15004 97 1 6857 4597 2 14906 506 1 6379 2675 1 171 1814 1 2169 498 1 9432 733 1 1301 312 1 10399 596 1 6327 3916 1 4619 199 1 13619 14 1 16598 7522 1 5863 7539 1 3255 214 2 8528 8195 2 873 7454 1 13028 200 7 7034 8235 1 9947 415 1 19690 1698 4 584 523 1 16954 3715 1 640 7684 1 5474 7241 1 5208 2729 1 6703 222 1 13369 1247 4 15858 219 6 6683 236 3 474 7020 1 13126 631 1 100 467 1 19192 4037 21 4212 177 1 19400 1244 1 17384 300 2 8384 232 1 4362 1695 1 331 1244 2 15553 518 1 17405 6924 1 16625 5477 1 8054 3597 3 14338 1776 1 16693 883 1 1772 506 1 12704 4467 1 5887 5512 1 5280 1235 34 5394 8187 1 12182 1656 1 10 298 1 19635 221 2 8394 7674 2 15230 1707 1 17644 1711 10 6658 498 2 18364 95 1 8 229 2 16921 1747 3 11253 4618 1 18385 4278 1 1878 5432 1 6515 1731 2 19346 6484 1 8188 5513 1 1101 5888 1 16203 6688 1 6164 8183 1 5160 6993 1 17688 1235 3 108 4927 1 3841 845 1 14212 3778 4 1327 490 11 16111 411 1 11971 347 1 12361 578 4 11411 244 1 2414 4343 1 15899 1759 3 14797 1356 1 11765 215 3 11621 201 1 13626 1078 4 3796 2362 40 10625 205 1 16916 1305 2 4417 201 2 15629 574 1 6016 710 1 5433 2649 2 8278 8096 1 2816 7829 1 19779 5657 1 19193 1695 1 5389 6440 1 10592 3161 1 2724 6700 5 4015 3788 1 8031 231 1 11815 7937 2 14007 4992 4 12817 184 1 4788 510 7 10586 215 4 19643 3684 10 3623 4795 4 15021 8149 13 745 596 5 11392 1930 1 5980 184 1 10457 5007 2 16562 1700 10 12450 539 1 14692 3511 17 17488 411 1 15576 4618 1 13434 506 1 270 508 1 18793 206 2 16636 5355 2 5010 1737 2 388 6636 1 10525 1466 5 11562 3045 1 13429 1295 1 15379 895 1 10508 220 1 3683 1715 1 15230 207 18 3406 5798 2 11263 6534 1 12841 4331 3 5202 924 5 18876 769 4 676 2087 1 17995 3114 12 1443 1739 2 14055 3135 1 10861 1244 3 1443 2662 2 174 8125 1 9120 2064 5 3699 4435 10 19115 1920 11 2266 266 1 17053 6557 1 812 8075 8 3425 2880 1 2423 1277 1 20060 934 1 3073 205 1 781 3742 6 18237 1146 14 17109 1249 5 14713 1751 1 18999 4963 1 13234 5219 3 14108 894 1 14171 23 1 4838 5 1 25 1495 5 414 201 1 18413 6025 18 14201 4446 1 10393 3556 3 3396 891 1 10994 232 1 15697 207 7 7839 5077 1 17870 6192 1 10692 745 2 572 3483 2 7268 234 2 625 3973 1 5441 2542 2 9712 524 18 4632 1814 2 10691 995 5 4667 4065 4 5373 214 1 5303 4288 1 2860 467 1 17727 1825 1 5304 3972 7 893 3167 2 17695 379 1 17171 2595 1 10513 1678 4 15896 214 1 19733 927 1 12733 3143 1 19115 2760 8 6397 821 1 8530 4620 2 12971 2317 5 7868 1146 20 1443 1239 1 4221 7398 2 10160 2352 2 13187 6068 3 15192 8110 3 17552 3222 1 2826 1781 6 13323 1725 3 815 1342 12 5827 2443 1 11250 203 18 6184 834 1 11797 4202 7 15858 545 1 62 636 1 15261 1946 2 12511 3230 1 19759 6414 1 10133 1146 2 2302 2419 1 15662 4204 11 5883 99 5 17317 7711 1 20033 2495 1 6722 5529 1 633 2899 31 17319 4791 1 16060 1779 2 10703 7098 3 17767 4383 1 5656 2675 50 11719 8145 2 15885 5942 2 17617 7848 3 2134 518 11 11789 2737 27 11323 6473 7 17762 1237 1 19705 2152 5 18603 461 1 15936 505 4 16763 1472 1 1883 3486 1 11827 6278 1 6533 6487 1 18039 554 1 27 1629 1 4963 2626 1 906 6132 1 115 5170 2 788 5253 1 13703 4341 1 15272 2316 7 19784 2216 2 11252 5036 4 4049 7505 4 8456 1193 1 19368 214 1 2161 3308 1 11074 3427 3 7822 524 5 12893 2699 7 19649 1357 1 15998 2555 2 13444 2673 1 3189 2980 7 10638 5574 18 6545 3685 7 18166 515 2 8198 3954 1 2803 1042 2 8169 1054 1 18183 4435 1 1722 219 57 3163 954 1 16081 6564 1 19983 6085 1 18400 3175 2 1969 7809 1 14095 906 1 17395 6629 1 13963 1007 10 17538 3058 1 6527 5871 1 4268 505 16 13332 1482 9 635 510 1 11214 1883 1 540 5018 3 3023 5859 1 6126 1772 2 7886 3446 1 9551 2250 5 12044 508 1 13632 4711 3 5392 540 1 12833 2107 2 13986 3627 2 94 4222 5 16825 1342 2 3306 3399 1 15564 5325 6 1304 215 3 7750 1236 1 13183 1594 1 7834 2534 1 3846 2821 1 17569 1658 5 4995 3998 1 5410 1778 1 9545 3222 5 5839 1647 2 15356 2488 1 16564 6027 1 7986 5257 2 16828 5420 5 9317 7878 1 153 885 1 13723 4288 1 17850 1775 1 17892 899 8 14493 1344 1 15620 196 3 2513 411 10 14474 2058 1 12836 2016 3 5722 4716 1 4734 2860 1 8591 3693 11 12182 3511 4 4315 1825 2 19182 5908 2 13290 6073 1 16861 13 1 11719 1729 1 11057 1739 1 11624 1622 1 7354 7201 1 18634 7570 17 7323 1814 1 1500 6363 4 6640 6761 1 19044 220 16 1677 205 1 11363 498 1 4130 4246 1 7019 1748 2 19359 5486 5 9642 520 2 17572 2269 6 6030 1883 1 7127 505 2 3187 1778 1 13 774 2 15262 325 5 19834 189 1 10721 1751 10 873 1116 2 12888 1282 1 12774 3511 4 2835 1752 2 9804 5458 1 4492 23 1 13490 4902 1 18239 2338 3 3175 444 1 2364 1776 17 1587 696 2 126 5615 1 4213 2488 2 1665 722 2 140 6425 1 12231 869 1 14877 7250 3 12566 4041 1 13131 608 1 12079 318 1 3414 867 1 5141 295 1 15698 1726 2 452 3029 1 11844 1338 15 13649 3979 1 13787 1356 3 9916 1780 6 18572 184 2 9368 4796 2 11987 3155 3 7071 1342 2 6889 4411 6 6530 220 15 13335 220 1 17290 3638 6 17263 929 1 12171 23 2 16936 6084 62 14298 4951 1 2265 1909 10 12436 3045 1 6055 7128 3 10489 5260 1 9275 1249 1 9497 3447 1 869 3625 2 11491 1635 2 915 8033 6 62 1190 2 6338 7853 2 3226 15 1 10806 768 1 10106 514 1 8174 3747 3 7970 2131 1 18237 1734 1 13327 201 2 16949 2730 1 8660 2503 1 16657 8102 1 16984 8164 1 1028 477 1 10288 1770 3 1530 200 1 19993 2953 3 6063 57 1 19568 7965 1 13811 687 1 19589 1621 1 15326 1245 2 16057 4325 11 8889 1019 1 15026 4314 1 4020 2591 3 9500 6806 9 8876 1518 1 9810 1244 2 15782 233 3 8330 1263 21 1993 5027 1 7065 2061 1 16442 3671 1 7203 2989 1 1575 385 3 19578 1241 7 16445 13 1 4623 5051 2 13705 3164 4 10585 3283 10 16669 303 1 1171 5826 6 4777 1704 14 9865 532 12 18056 1022 3 8217 1814 2 4984 1938 1 2967 6375 2 835 3230 1 14800 5308 20 14967 1727 2 7404 825 3 5111 1863 9 171 1761 7 19073 751 1 2703 6099 2 10152 5386 5 8345 2350 1 14633 6059 2 6712 602 1 5932 78 5 12947 1752 1 14307 6949 5 11367 7606 1 16388 4601 2 15429 7814 1 19945 1819 1 4018 208 6 15266 6018 2 11392 1979 1 16096 6922 1 15537 834 1 14211 3338 7 15655 2927 2 6878 6481 3 15701 3685 1 10162 2193 1 11159 8141 2 15593 4574 4 5093 6252 19 1067 186 1 6867 1146 1 18617 3267 1 12064 470 8 17500 1761 11 11490 222 1 1752 6780 1 18979 3257 1 16625 7604 1 20123 828 1 18205 1727 6 7711 4653 2 11392 5781 1 100 4478 1 19000 2481 1 1446 1747 1 12616 1819 5 16311 7646 1 11177 5083 2 5688 1761 3 15159 3617 4 17148 6414 4 1469 1770 17 15480 1672 1 16213 3685 1 8793 774 1 12042 7604 1 15419 3167 1 5843 214 5 4353 3939 1 7445 4059 1 1663 6777 9 17184 1251 1 11963 2392 1 10202 7235 1 20 1373 1 20180 4034 1 8278 7471 1 13294 2331 7 16278 7319 3 12152 244 3 151 1296 4 768 1996 4 7670 561 2 5515 1867 3 19193 1770 1 17699 76 7 20248 5495 1 8160 382 1 6045 6711 17 4193 1235 1 4195 470 2 17090 2968 1 8408 3511 6 17244 3260 1 14048 3308 2 7463 2489 1 10240 4435 1 13132 762 1 3889 1819 11 140 6435 1 6152 5526 1 9304 5086 1 6990 1063 3 10857 1843 1 18496 8183 19 11956 411 2 19820 2107 1 1875 8194 1 7568 7222 16 19774 441 1 17615 5306 4 5884 219 8 11938 3113 59 8294 1732 2 18869 7446 5 9877 7988 5 13103 498 1 10919 524 1 10684 222 7 11377 1396 1 1237 8057 1 1077 1715 2 7147 1046 1 153 7042 6 7179 659 1 2219 1078 3 10132 2193 1 10630 10 1 10711 2029 3 4519 3921 1 12969 214 3 12053 3081 5 12956 2509 1 1534 1307 1 19360 3316 1 1927 220 6 12951 3915 1 16141 6025 5 9435 4462 1 2322 6105 1 5620 1363 1 3037 1247 2 18165 229 1 16521 7672 1 15085 1234 1 7956 4218 1 9335 518 1 15323 541 7 1760 1356 1 16887 2500 10 8343 4366 3 6671 875 5 1361 3377 3 20212 562 1 19856 4956 20 6997 6544 1 10580 2422 1 213 545 3 6002 4282 1 18135 196 2 4400 1681 24 11 415 5 2917 7937 1 15676 2355 1 18059 699 1 12541 863 1 143 6591 1 340 705 6 14733 3414 11 3494 6414 3 9844 7156 1 4483 3132 1 15861 220 1 8585 3023 1 5025 7881 2 8009 461 6 12817 2488 3 3358 926 2 13629 1357 7 11683 2860 1 9058 7229 1 4883 7970 1 7717 223 5 12198 6150 1 7325 4606 1 11521 2061 1 6116 23 26 12624 5707 1 19019 4312 6 5981 3923 2 12546 7219 1 9924 2385 6 19957 4567 7 121 690 2 2710 5379 7 14400 210 1 1932 219 1 16704 6636 5 2962 669 2 18614 397 1 4614 3744 1 4055 4529 2 15025 3433 1 4478 517 1 1803 3691 5 12821 533 45 94 2981 1 8585 3804 1 4055 967 1 3255 1764 4 12903 252 3 16626 6687 1 14858 502 2 10200 8029 1 14908 2488 4 18083 4231 1 17445 5017 2 9783 367 1 16057 5310 1 12562 6213 1 4092 3888 1 19 1254 18 13748 23 1 6244 4620 1 356 7955 1 6997 134 1 18940 1275 1 1045 504 1 1883 1987 2 3015 3922 5 7729 1003 2 13014 3575 1 14753 3731 1 11 465 1 2156 23 4 17333 1244 1 4092 7104 1 19085 1239 1 48 2403 3 6724 8008 4 16554 1703 2 10741 502 1 6310 5018 1 156 7182 6 8538 3491 1 9199 378 1 6854 7359 2 18914 206 4 16812 3488 2 18711 663 1 11408 3193 3 17498 2626 2 17 1231 1 1666 1417 7 2267 1699 1 4627 2568 2 87 470 8 3743 2591 2 12363 23 1 14917 1748 1 1101 2787 1 4373 2555 4 3794 169 2 11082 4922 11 13997 2000 1 11693 411 4 16649 1472 2 11502 1342 1 17748 581 1 7034 2959 2 12181 6705 4 11502 2572 1 3975 7474 5 16201 95 3 12988 499 1 5312 6031 1 12024 4568 1 19034 4276 18 3742 207 1 15388 1244 1 5872 6979 1 10923 1912 1 4397 6435 1 891 2722 1 13756 5814 1 15411 65 2 10883 411 1 2146 7537 5 10827 3113 1 16881 5341 1 1469 1828 66 5695 5513 9 10044 1363 4 10549 6334 9 19158 2361 3 19267 746 1 10676 6161 1 396 470 1 7928 1062 3 13681 5708 1 8096 2256 4 11702 1239 1 19375 7395 1 4074 3892 2 94 4281 7 174 7956 1 592 4501 1 5401 626 3 6001 7586 1 1869 206 1 13627 3378 1 19510 2354 1 11192 3946 1 5347 7255 5 18520 504 1 11955 1244 1 17477 495 2 13894 562 1 10782 5008 1 8978 6031 2 15496 230 1 19960 7602 1 14036 6723 1 16802 1768 1 16519 837 1 16378 1235 3 3696 96 1 17404 2584 1 712 4351 1 12648 6322 1 19822 6228 1 916 934 1 1155 1253 2 42 2181 7 14741 3079 1 4936 776 1 9120 4807 1 18728 1789 2 10053 3250 1 17678 1241 2 13841 290 1 14155 3308 4 5605 4986 1 1 43 1 6275 3478 1 1867 2237 4 17867 431 2 13895 864 1 17290 1185 1 16853 4274 2 7536 3456 3 2834 276 5 17853 7739 1 2709 283 1 2380 1243 2 6533 1770 1 4217 4894 1 13587 2869 1 1610 3255 1 3608 219 1 5281 4351 1 136 1571 1 16346 5905 2 13865 1760 1 15263 2686 6 15726 5324 2 19053 931 2 13928 57 1 11026 7413 1 3448 201 1 7020 5487 2 5921 35 1 14035 1471 1 9220 2511 3 16238 1244 2 18592 1190 1 6014 197 204 17003 481 2 5240 919 1 19713 6140 2 11333 8194 4 4092 5517 1 5099 2256 1 5296 7178 3 15235 5758 1 1421 4563 1 4472 2675 1 5616 171 1 62 3023 1 4912 6349 1 16831 525 4 4297 470 3 985 7753 1 20202 196 1 19872 833 1 17132 466 1 15619 225 7 10345 200 1 17406 184 6 9465 7259 1 16981 1464 8 18705 2056 1 16806 1645 1 3898 411 19 10 294 2 4960 2362 2 11796 658 1 11885 3021 6 6637 4056 2 2763 2983 5 18634 3821 2 7050 5202 3 15546 3408 1 5863 6807 1 11366 1757 10 17682 1758 1 15791 633 2 13015 5105 1 17335 70 1 1398 1772 6 9857 3224 3 8528 229 3 17928 2244 1 2529 670 14 6801 3484 1 16236 1758 4 13705 4982 1 12376 1720 3 16346 2103 3 12770 23 1 4182 1246 14 8793 7672 1 14622 8081 1 819 6330 18 10422 203 32 3727 5505 1 8842 6198 2 5318 1739 1 8016 3353 1 10479 214 1 14290 2767 1 743 6196 1 9449 6341 1 3057 6507 4 8639 7714 1 19271 1284 1 8721 8195 1 11642 236 7 13 852 2 2041 508 2 10105 2683 1 2637 3045 2 14070 6164 2 6819 514 3 11207 335 1 723 3715 4 15277 4373 1 6652 1247 3 5264 2793 16 3167 1967 2 524 1271 6 18845 5018 2 14845 201 3 17139 1738 1 9655 6644 15 9638 6152 4 18713 1736 1 2646 2407 2 1412 6454 1 8987 911 1 17871 2881 1 13430 4649 2 4842 6122 1 11636 3258 1 18331 3900 1 4947 827 1 11477 4446 2 1237 6640 1 1465 4979 28 15822 3483 1 3382 1146 2 14114 489 1 12049 6229 4 10443 169 1 9937 244 2 15712 1369 6 15318 4791 1 10725 2369 1 9805 1762 2 13373 5558 1 16675 200 1 10449 2534 3 4663 817 2 16979 207 5 9269 714 1 11502 4937 2 6510 4911 2 19085 4623 1 1065 1239 6 10162 2240 5 7670 548 1 4061 1184 1 2752 4497 2 11763 606 1 15034 2016 2 17682 7850 1 13219 4041 10 11786 342 1 14318 1975 1 7237 713 1 15191 1775 20 16442 864 3 5573 3868 2 5431 534 1 9799 1938 13 1567 1748 1 15095 4411 1 15091 3045 5 6033 200 12 6907 1070 1 10017 2268 4 7617 233 1 3233 2333 1 5447 867 1 12533 4303 1 11165 164 1 12140 1776 3 3014 5570 1 3182 4274 1 2847 244 1 12525 5005 1 10544 84 1 18587 461 1 17257 4600 1 4859 229 1 2480 4289 1 11923 1778 2 10725 2345 9 1055 1338 1 1551 5817 5 13876 4083 1 8896 5018 10 121 5298 1 417 23 1 19713 34 5 1464 891 3 2918 3044 1 11160 2993 1 14862 225 1 15496 233 2 777 524 21 4727 4538 5 1695 3491 3 3304 141 5 11443 2747 1 2602 1236 3 4149 1728 1 942 2617 1 9160 1775 3 11786 3907 1 13328 5477 2 406 2080 1 7055 3146 2 2951 502 1 4868 4586 2 13539 4950 2 10575 854 1 12623 5011 1 15551 1778 1 1689 3563 1 16698 937 1 4321 3074 43 10110 4156 1 7904 570 1 1 94 1 13851 518 1 5338 519 2 2647 5774 4 16802 1672 13 2623 1573 5 8439 1758 1 17142 6192 2 592 7726 3 14132 718 1 15412 2363 2 10676 7105 1 13 922 1 15920 5758 16 1397 4703 3 8072 1345 1 14106 2559 3 14015 6783 2 12457 667 8 11846 7735 1 10254 1780 3 16625 3067 5 12821 1775 1 5637 5018 1 11317 1662 1 7910 84 1 15435 6053 1 174 8031 2 2447 6677 1 1465 7227 2 7760 5310 2 164 7499 2 18040 939 5 15778 1270 1 9976 1939 3 17686 519 1 242 1357 1 10056 1328 3 17462 2600 1 16090 2701 1 2716 6204 1 6070 4014 1 1689 1217 3 18381 4780 10 2886 5715 9 19026 6132 1 17995 3685 1 2303 3876 1 512 6544 1 13892 303 1 6057 5436 1 7980 207 1 18737 4435 1 15798 7645 1 12523 6682 5 4687 2506 1 5794 1727 2 7147 134 2 13225 3693 31 11787 4956 1 20133 2353 1 18071 6964 2 14818 3316 1 14917 215 1 14916 502 1 14861 229 2 11882 1271 1 19270 1763 2 15970 7928 3 15691 470 8 17414 4005 1 2237 691 1 5859 3884 1 15630 7215 18 18225 1996 1 11846 5560 1 18211 1740 4 1178 5844 1 6387 7674 7 7796 1715 2 14824 201 16 10714 707 1 11082 552 2 13105 1170 1 8229 6268 6 4197 6486 2 20139 581 4 11346 7802 1 12895 1482 3 3219 5026 1 17491 532 1 1513 5011 1 13662 3721 1 14303 2528 1 19924 1734 12 17357 5254 1 3858 7353 3 7898 5518 1 2560 2216 6 5993 4992 3 11626 3275 1 12594 5277 1 9533 2675 2 12686 4288 1 10431 7597 10 10728 7807 3 18608 7601 1 16424 6957 1 121 5267 1 17992 490 1 16908 2698 1 19135 2729 1 264 411 12 7179 814 1 11266 7165 7 6319 5325 1 17472 2010 1 10553 6069 6 10 268 2 7395 3557 1 388 1438 5 8385 407 1 5175 213 2 4057 597 1 143 6678 3 13705 1784 5 18230 1965 1 14087 3399 1 17996 1275 1 2962 831 1 10664 1308 1 16961 7752 1 18633 380 1 19139 7146 1 18040 7205 1 16653 7701 1 9534 5264 20 16881 2935 2 11101 874 1 413 2478 1 11966 6839 1 18431 1729 2 9639 1495 19 16506 203 8 5988 2581 1 12954 219 1 11393 7902 1 4963 794 1 19246 1250 1 12888 84 1 3505 4228 2 5620 3895 18 15094 4080 1 6835 2515 1 19682 6135 1 3581 426 1 10073 4986 1 3824 5420 1 8965 1778 1 13464 5288 1 13928 5325 2 18519 1762 1 15374 380 1 14964 8034 3 2386 2646 4 7682 3540 1 2174 4740 1 18334 4435 1 5304 3974 4 4611 1752 5 83 3845 1 10638 1284 1 6400 1762 2 16416 6341 3 9521 220 1 11545 313 1 559 6262 1 12312 1677 2 4481 1776 1 18381 6196 1 17314 219 15 14232 2656 3 2087 3480 1 1725 2889 2 17675 1727 1 8787 890 1 10006 6946 1 1059 6553 4 11304 6570 1 15431 1095 6 14233 4706 2 14612 3177 1 6990 4673 2 2777 2671 1 12826 7012 2 16413 7965 18 19346 4555 1 74 3454 2 433 1247 1 10776 4791 1 19135 5018 65 14554 7719 2 8823 1021 1 2100 6166 1 2801 3954 1 8180 1518 1 19671 700 1 2111 1717 1 20276 4435 2 2905 6588 3 696 2595 1 6774 2021 1 17141 2646 2 100 4518 1 15682 6423 1 9244 3167 1 9259 1770 1 12913 2746 1 17608 5052 1 19966 4992 3 15697 223 13 10553 7933 1 12981 3233 1 10168 1768 1 16966 5022 1 11085 2555 1 17226 1342 4 13257 2849 1 17416 400 1 3240 2969 1 6510 1208 1 6472 1685 6 14951 864 2 8340 2727 1 12104 4226 1 13559 7021 1 13543 625 1 11445 2596 1 7885 3233 1 14179 7470 1 2891 867 1 1349 2673 2 12492 7153 2 4318 514 1 687 544 1 17778 1363 1 5216 2778 1 7704 5325 1 12760 1249 10 17887 3202 3 11559 2552 1 18968 137 1 10404 768 2 7125 2743 1 11461 6455 1 9473 1863 2 3478 1781 1 14692 6801 1 11844 1238 22 3659 7651 1 11318 4638 5 15310 5319 4 18338 200 1 11566 6174 1 15745 5325 3 3815 1110 1 10716 2729 1 9534 7915 6 4691 235 2 4880 582 1 761 219 1 12567 2698 2 17850 1172 1 2393 4407 1 467 7761 4 13199 1703 5 10308 7719 5 6202 1779 1 10991 4575 1 11182 510 1 16103 1482 1 3268 5531 8 269 1184 1 5983 229 1 16700 819 1 572 762 1 19730 1303 1 11370 196 1 17716 7018 5 19192 2748 1 6016 1727 1 6982 196 5 8298 7473 1 6595 215 3 9395 4105 5 4921 1991 4 16881 5266 1 9695 1146 1 15866 220 1 3075 222 1 1761 7466 1 12733 3110 1 12592 7311 2 824 1305 2 1713 1374 1 1756 3532 1 17757 1573 1 4179 200 1 11585 1423 4 1347 525 1 2582 1784 1 17788 2006 4 15329 1669 1 11727 1239 2 6719 1390 1 2332 1356 1 10426 2480 2 12148 6606 2 14215 52 2 5390 763 1 9432 1238 4 74 3420 2 2584 1193 1 9543 1103 1 15100 5224 1 3458 5325 3 14948 3647 3 6351 222 6 10732 2534 3 16322 5718 1 3796 925 1 48 2444 3 11108 2931 1 2571 3828 5 7340 82 1 17488 1996 1 9393 2416 14 12916 1244 2 11964 235 2 2341 1747 1 10542 6435 1 15009 5712 4 19185 5758 1 14312 304 3 10383 3069 1 7440 498 1 8589 6648 1 7868 6038 27 17089 3427 1 12740 6058 1 3337 673 2 14653 3301 1 15184 3591 8 17662 723 1 11108 1273 1 5912 6922 1 17549 164 2 6220 6534 2 9726 225 1 16704 33 14 14190 7851 1 19996 640 1 10557 3233 1 6452 91 1 16299 130 1 871 1742 1 1803 2065 2 14168 4373 1 14698 6677 2 386 470 8 10591 863 4 12603 5324 1 13286 597 1 12777 828 1 4913 1245 2 7955 4075 1 16834 6107 2 7675 164 8 9364 2147 2 5560 3333 1 20275 423 1 10826 1338 1 13649 4460 3 18464 4816 2 4432 1763 1 11430 1464 2 10312 848 1 16376 2146 7 14400 496 1 17604 2318 2 3414 2626 1 16887 1093 2 4013 477 1 6204 3705 1 17753 7266 1 8438 1249 1 2390 761 1 15041 7240 1 1 28 1 19470 222 1 4170 6406 2 13561 235 1 2931 206 3 8746 3923 5 3304 709 1 2158 3049 3 14784 1781 1 10347 190 1 16109 661 1 1712 28 1 18909 1240 1 13328 642 1 19504 1508 7 13384 2488 1 12384 5672 1 6396 883 10 17893 3540 11 8803 6414 2 7311 6066 1 1760 8190 1 8082 768 1 9374 505 2 4550 1649 3 3048 600 1 8615 252 2 7893 519 6 413 219 1 9345 5992 1 5185 7423 1 7916 201 4 15011 5321 1 15895 3721 1 4577 219 1 3236 432 5 15221 6414 3 1327 1834 1 9110 525 1 20037 3563 2 5818 1721 2 1262 207 1 9096 5020 4 3012 869 1 15700 1312 1 17465 3847 1 15948 510 1 7568 1421 1 17101 3855 1 12991 1342 2 10815 3285 1 19321 6141 2 18521 6414 1 12171 1661 5 14048 507 3 149 6736 16 5675 3167 2 4731 3427 1 12995 1548 2 8019 6225 1 11899 1734 2 15046 1136 2 5675 1743 2 10575 917 1 15791 1302 2 1562 6946 1 15192 919 1 4098 1877 1 9944 1369 1 143 6522 2 9639 5355 2 7351 1482 11 4034 952 1 11566 6162 1 18373 5397 1 2917 728 1 679 8235 1 1489 2671 1 11402 533 1 14741 6632 2 3188 6702 11 14312 2138 1 19420 3824 1 14646 2488 2 1712 3540 2 786 2650 6 14412 3163 1 11566 2179 1 12592 6150 4 4020 5420 8 6444 3007 11 435 235 8 11693 502 2 10313 479 2 13157 5906 2 14721 3592 3 19590 524 10 976 1732 1 20045 1073 2 10687 1695 1 9597 1184 1 2331 7591 5 10217 2549 2 7842 1681 38 5981 3946 1 12596 3657 1 19722 207 8 2195 2569 2 17717 766 1 5774 730 1 19660 1247 1 20145 236 2 20072 244 1 5769 7878 1 16448 3578 1 17356 6343 3 7395 1757 1 12676 5319 1 6172 1184 2 8239 3494 1 2338 4179 1 3571 2424 2 12619 84 3 6337 891 2 15244 219 1 3315 4293 4 11065 1722 12 2985 2882 1 4199 71 1 10056 5971 2 2762 1249 4 4663 1338 1 1699 1985 5 741 6708 1 13187 8071 1 3188 2354 2 14436 200 37 6159 1770 1 17384 1235 1 4727 6538 1 15619 2352 1 20216 5654 1 12230 2683 4 3679 1760 3 1551 6198 2 4716 229 2 14996 5612 1 16566 6777 1 717 1738 1 9521 207 1 2057 5018 1 7206 200 1 9246 6322 2 5025 1466 1 18524 2508 2 18577 407 2 7977 3686 24 12809 2964 1 8054 3607 7 17771 3710 1 7961 203 1 17730 498 1 5104 4536 1 4096 1036 1 3177 6561 8 8153 1615 1 12475 1779 1 12439 3433 1 9949 6564 1 139 6339 1 6235 1289 2 7577 7597 1 5914 382 1 10988 3534 1 4267 554 1 14839 3382 1 7189 1781 1 13323 316 1 1705 604 3 17809 1717 4 4468 988 1 13097 3558 5 7312 7597 4 19326 222 1 18548 1662 1 13732 3511 1 7377 3061 1 18906 7726 1 13122 5376 1 7372 2697 6 7256 7565 1 5785 4615 2 19186 1825 1 13210 1955 1 10043 6535 2 18154 4025 1 5725 3015 1 325 201 1 10982 4967 1 5421 4575 5 10670 2649 3 1673 1825 2 11409 1464 1 16222 3434 1 850 3679 57 13951 7967 1 7000 2139 2 5362 7313 11 13640 1721 5 17836 4635 2 15270 3920 2 8653 3417 1 6611 206 1 9741 4763 8 9609 1248 1 9677 7153 2 11308 2944 2 17184 795 1 4896 6067 2 2959 219 4 16096 7241 1 15406 1251 3 2710 1717 1 18705 1253 1 8157 203 1 17992 1363 1 6000 4330 1 3097 4314 1 2459 5252 4 16019 232 2 11999 1777 1 7911 5435 1 14946 4303 2 10376 723 1 15683 3274 1 5926 6756 1 11072 508 2 10579 2054 1 6611 8178 1 8202 2068 6 1670 2256 4 7946 214 1 14089 2363 1 7988 6377 1 12399 861 1 12392 8034 2 19643 4395 10 8746 411 1 13020 867 198 12438 5260 1 15004 532 1 18982 6721 1 18486 4435 13 7879 7021 1 13161 5011 2 17276 23 2 13646 1384 1 6195 4037 1 20 1367 1 8620 1259 1 2023 4979 1 1969 1306 1 13323 670 1 20126 5888 2 8405 6484 4 173 1829 4 11890 6427 7 6164 1721 1 12766 691 1 14599 685 2 18888 6597 1 13800 5312 2 16090 3502 1 15688 8143 1 16643 3382 1 12108 167 2 4002 1819 1 1689 6473 3 17252 3203 1 10583 247 1 13935 222 1 5833 470 1 7560 5022 12 13743 5243 1 13134 2605 1 8694 1277 1 14015 769 1 18928 3676 1 4578 1247 3 4995 206 1 14063 5333 5 15323 1705 3 1551 1713 3 15307 3408 1 31 512 3 10606 4013 1 11340 1363 2 10265 5442 4 15821 1717 1 15791 941 3 635 1776 2 3417 3239 29 3138 1719 5 8160 232 2 6145 5805 1 5152 203 6 4763 7213 5 10554 953 1 4970 1539 5 5116 366 1 18968 1019 1 1296 7213 3 8343 5559 1 11742 467 5 11652 2645 1 3581 367 2 8560 603 1 9275 579 1 13412 7220 6 8475 2341 3 9711 1782 76 11260 6640 1 9168 1758 1 1518 3920 2 830 1253 1 4077 496 35 5742 1755 2 9537 2407 2 171 7831 1 19182 6407 2 3307 3511 2 2176 934 1 8695 1730 104 6749 606 1 6064 3578 1 4451 5310 1 771 1764 1 17701 355 1 13590 755 2 13544 4274 1 16643 263 5 6457 200 5 7877 7223 1 15321 215 1 9056 420 1 11415 2708 1 7056 200 1 8328 7569 6 6596 3911 1 18091 891 1 10575 711 1 62 404 1 12614 327 3 16965 3820 1 5332 1024 2 19537 3077 2 7056 3876 1 4211 719 1 2760 2949 2 19217 4640 3 6681 1170 1 15192 3871 1 98 4435 1 15887 6329 5 12816 6609 5 9776 642 1 1568 2678 2 61 2765 1 10115 316 1 2816 1236 1 5866 4618 3 11769 232 1 17309 200 1 11866 7594 1 19822 6723 1 10461 4085 2 9259 86 3 8832 3845 1 5185 7632 4 16526 6263 1 15877 533 1 11362 3854 3 12122 200 10 18115 7878 9 12460 4713 1 4935 5862 7 14193 6537 10 16283 2869 1 14911 1764 1 10518 1201 1 7577 4144 1 4445 6200 8 5610 383 1 2586 201 1 1789 1271 1 13148 867 1 19520 3698 1 2844 1072 2 13752 879 1 427 1353 1 1361 3357 4 6527 4396 1 4668 5552 1 2474 541 1 8848 222 1 6453 205 2 19921 3129 1 1952 676 1 4092 199 1 7392 1251 1 14813 3986 1 16314 3911 1 1721 2817 1 12808 1743 2 12436 2152 1 4953 2338 1 74 3468 4 11550 2354 2 6806 2675 5 3150 7213 1 12325 232 1 6485 3483 7 18363 4470 3 15243 1357 1 10901 5603 2 15216 232 1 9623 368 1 7404 891 2 792 2131 1 3191 8082 1 2920 23 1 10973 505 2 17383 4325 8 4309 3915 1 4742 700 2 2605 3909 1 13829 367 2 14845 221 6 8840 5940 1 1609 7735 1 15294 2649 1 5216 2056 2 20114 4009 1 3024 6608 1 1488 3494 1 17169 3900 1 1612 184 1 17088 1244 1 1014 232 1 12262 6666 1 7949 3822 1 11492 2646 5 17377 7439 2 124 1658 2 7904 627 1 6229 3511 1 8174 1921 4 8186 5255 1 9355 1245 1 1453 5307 1 9596 447 2 16303 2478 2 19500 1686 14 8735 1469 3 2459 6693 1 6153 1863 9 5261 200 7 6007 4992 1 15826 1757 2 19293 214 4 15272 4029 4 16963 1366 1 4667 1091 3 7623 597 1 6515 1734 2 14350 4879 1 7577 7750 1 5729 525 3 2081 235 1 16526 2995 2 18999 184 1 11900 186 1 16364 505 3 12571 1717 1 3427 4698 1 6207 3645 2 7295 7643 1 583 4093 1 11877 2645 1 17220 228 5 456 2678 6 16016 808 1 2199 220 1 545 303 1 19034 1732 1 12934 6177 1 1542 1724 3 9031 4262 1 4688 911 2 2864 8096 1 133 3484 7 6985 2279 1 982 200 8 10543 2639 4 19288 5071 1 18546 7642 1 6055 1775 2 121 718 1 18042 5193 1 13829 1756 4 13015 1237 8 14645 3081 1 10984 1999 1 7817 5625 1 4343 386 1 24 1460 2 4784 2142 1 14351 411 1 17904 880 1 2274 108 1 16156 333 1 11637 850 1 13598 8017 7 4601 7 1 201 207 10 8789 6585 1 11585 4435 1 5637 206 1 13857 229 4 15871 689 1 108 4885 1 10469 7280 1 12230 1898 2 15981 6868 1 13600 2349 1 13028 1105 1 12085 6677 2 19507 82 2 8760 3911 1 15993 84 1 9945 1358 1 2795 219 1 15307 3175 1 17459 1571 1 17776 7443 2 15122 1257 1 2134 219 24 6987 4936 1 11685 5586 5 7651 2653 1 5725 764 1 14458 4877 2 7258 3895 1 3485 1241 1 13722 2575 13 19451 5277 1 1601 6152 1 6610 3707 1 124 1660 1 16694 5595 1 9638 1252 9 16090 2909 1 10359 7342 1 6630 2040 1 5491 867 7 2886 3840 2 17404 2691 9 11756 6752 1 14270 8183 1 2803 416 1 16719 3230 1 19977 7404 2 5453 541 11 16178 1656 5 10441 517 2 18338 46 1 3147 466 1 219 3893 4 8201 156 1 8065 3526 1 15676 2419 1 5758 6527 2 19501 6058 1 10 296 1 15471 6576 1 17485 5905 1 20094 1692 20 20145 1740 2 13646 1770 1 16017 225 2 17925 200 8 322 23 2 6764 207 3 4525 5090 1 1777 2534 2 17736 890 1 7235 3159 8 8532 186 2 3180 5771 1 2675 1726 2 8082 4667 4 6743 518 1 13328 690 1 18546 3333 1 787 3558 13 3963 6031 1 20148 3358 1 3426 1995 4 4095 545 1 12814 502 1 17969 5098 11 27 1584 5 7097 1305 1 13928 3591 1 13869 4012 2 1140 222 1 1302 2626 1 283 3138 3 6855 6374 2 5246 3748 1 6909 2109 2 14162 895 1 20269 6009 1 18635 696 1 15657 876 1 2677 2407 1 17347 1342 4 17120 1747 4 2377 2088 1 5796 883 1 15025 7955 3 17 1110 1 19806 448 1 9968 2878 2 4425 5768 2 6781 1924 1 3485 1770 1 6644 545 1 4843 721 1 13155 219 1 17406 514 4 4489 2591 1 5623 5051 1 14760 219 1 18014 1357 3 19160 7730 1 16370 7232 3 11938 1721 1 5185 823 1 18071 6925 1 16227 3554 2 10791 1745 1 7188 8117 1 7139 2639 1 11614 1779 2 7182 3671 1 18351 3385 2 3876 6116 20 268 1726 1 174 6692 2 7312 219 5 7334 1663 3 12614 3586 19 5969 6487 1 19055 4188 53 11022 23 17 18681 1704 1 10027 6053 1 108 4835 1 20275 3589 2 18681 671 1 9421 3902 1 3170 4115 2 1896 200 1 8015 132 1 1849 175 1 15952 4182 3 3002 615 1 20145 545 1 13277 206 2 3152 8057 5 495 4320 7 127 864 1 17097 3622 1 3797 1999 3 9634 203 1 10224 2632 1 1515 525 1 17205 5319 2 10855 1307 8 9679 200 1 6611 2257 7 19037 5301 2 6723 330 3 7055 5758 1 17433 23 1 9014 5719 1 10033 541 1 6503 4225 1 3340 2020 2 7233 5999 3 11257 7980 1 4913 7670 1 18855 1747 1 7681 6754 25 17220 943 1 9722 1726 4 1872 1748 1 11428 6993 1 16395 304 1 86 3947 1 2198 4026 1 17472 497 1 460 6714 1 3160 1251 8 7162 2810 1 13813 8146 5 694 5427 1 174 8076 1 10951 203 10 17014 3393 4 5652 303 4 15726 1734 16 86 3958 1 14231 7096 1 10105 3732 1 1454 3798 5 16288 5414 1 18170 498 2 12519 589 1 12941 403 1 8180 1108 1 11108 2514 1 10772 4022 1 12625 3483 1 267 910 6 11882 231 1 4982 378 1 1623 943 1 9152 132 1 19952 1819 1 4199 1898 1 1079 1740 1 8815 173 2 19026 207 8 13928 8148 2 19331 1277 1 12089 4145 1 7823 2294 8 11791 910 1 5555 1244 1 11545 5319 3 9256 1363 2 4573 4026 11 1522 5051 14 2405 200 65 821 10 1 17609 8175 5 6776 5315 9 5908 3909 2 5320 4289 1 6873 6704 2 5453 1779 10 7964 2777 2 15745 4243 1 15704 1770 3 16388 5341 1 8505 3421 2 5754 6003 7 5923 6502 1 2598 1768 4 1296 2353 1 10839 411 3 16978 4496 2 12079 344 1 10093 6192 1 3655 1819 1 8597 4369 1 10095 3420 1 14218 5945 4 13572 2792 1 2284 4343 1 13828 898 1 5639 3608 2 14218 5873 1 12828 4435 3 19380 4288 3 14810 2385 1 8679 13 1 4050 6581 2 3765 1208 1 1958 74 1 3358 3600 1 14312 7046 1 4443 7827 1 9046 1357 9 14544 830 16 607 242 4 10004 518 1 4108 215 1 6471 6136 1 8710 6603 1 12343 207 1 6556 237 1 6549 5063 2 9743 6544 1 12759 2981 5 10153 1293 6 2198 6690 1 11160 5879 1 17884 3333 1 9779 4262 1 2288 2571 6 2023 1250 3 11080 3400 5 6591 1710 1 787 4343 1 17242 1207 5 527 670 4 4906 7407 1 12009 1482 1 16893 1687 5 9859 1729 3 1614 995 2 10046 1730 3 9321 3448 3 455 4251 1 4108 4622 5 13057 200 1 15576 5381 1 9924 2355 2 11276 222 4 15376 6341 1 9660 2749 1 11164 2352 3 6504 7412 1 6032 23 1 9941 5156 1 6475 1363 2 17788 4779 1 19734 4312 1 4859 1164 1 2494 867 1 17257 2800 1 5742 1675 3 5248 197 1 4804 200 1 13003 6721 1 3043 496 1 12807 1751 2 2387 206 6 13412 1078 2 14893 5700 1 4572 1757 2 2333 7254 1 2550 4949 5 7528 1777 1 14865 698 1 15319 207 1 18132 569 3 13684 5810 1 3149 665 1 10916 561 1 8381 2443 14 19215 3742 3 14798 318 5 11924 3378 2 4538 23 3 8269 857 2 4092 5446 3 15205 878 1 8844 2877 1 1882 201 9 814 5557 1 9537 1471 1 17746 814 1 10911 780 1 1002 533 3 6999 7674 1 14632 3085 2 9783 475 1 16016 349 1 13892 1825 1 3516 5281 3 2739 4193 1 1147 7604 1 4050 1399 2 6525 7964 5 8281 5420 1 14043 5572 1 15154 232 1 15150 6533 1 10507 5945 1 16698 1128 1 19158 3338 1 4223 5506 1 11916 2727 1 5344 6010 1 135 1504 1 13257 2040 1 20025 207 1 9933 1747 73 16497 3050 8 4057 616 1 151 6813 1 8458 1726 3 1150 6576 1 5943 366 1 3700 7786 4 5541 6065 2 9609 3403 1 7356 6018 1 1091 2438 2 14302 4653 1 1825 6608 1 6413 201 1 9197 2030 4 15286 57 4 13827 222 1 6811 2571 1 3164 196 3 10326 4530 1 576 2584 1 15155 1991 1 5472 411 4 10584 496 5 17096 3113 1 14123 525 1 6420 7599 5 20039 6125 2 6179 325 1 18116 6073 1 14530 8230 1 6130 367 1 2917 3283 2 4092 5472 1 4002 5018 1 16254 2327 2 15387 200 1 13841 3910 2 8070 3257 1 6654 5091 3 2839 7670 10 16146 214 1 13735 221 4 201 6649 1 19026 1788 1 17892 865 5 17675 2675 5 7555 4613 1 12569 4511 3 6305 2056 9 10098 7757 2 16860 3569 1 18886 890 5 10360 347 1 13743 2383 2 3649 4320 1 19217 964 2 7181 2352 1 13134 6002 7 6556 6557 2 7060 3910 5 9445 1789 1 19486 4554 1 13741 201 1 3397 852 1 5111 1747 5 8368 4960 1 4109 3216 1 17156 519 2 4391 2307 8 6271 3301 1 4495 765 1 692 849 2 8159 642 1 8174 207 1 70 1244 1 19610 1604 1 18734 6609 1 19527 379 1 13543 6435 1 3360 2348 9 4204 6677 2 18926 1907 2 10593 1727 1 17809 229 4 5710 201 2 13537 8036 3 5638 206 1 8497 7884 1 2710 519 1 96 4404 1 2716 853 1 6521 1768 1 17273 2639 1 15201 5319 22 7550 6541 7 6556 1358 1 270 1342 1 15460 3600 1 19486 4498 1 10679 7 1 7738 2555 4 3505 1043 1 11478 1342 1 17731 878 1 16303 333 1 19158 207 52 11314 5506 1 5567 2974 1 7651 1742 2 2788 43 1 17665 1464 5 176 8151 2 16994 207 9 19360 1548 1 9077 3065 6 10467 7271 3 14766 229 1 13412 3987 1 11795 7929 1 10035 6228 2 5023 1658 4 8608 524 15 16310 334 2 322 1739 3 9330 2260 1 13084 74 3 11143 5755 1 19601 221 2 873 2742 1 13827 1727 1 4971 372 1 19212 2646 5 13097 1770 1 8934 3007 1 7994 916 2 12826 2854 1 18980 220 6 19655 1825 12 16625 1751 1 13510 4015 1 17760 553 11 91 2964 2 4016 382 1 11418 1825 1 14286 4803 1 114 5141 4 16346 390 5 2525 6414 4 14745 2355 1 14685 508 1 19332 7342 8 6848 1705 1 1520 638 1 86 3944 1 10498 823 2 229 1235 1 3025 1357 1 4554 4274 2 10884 1778 1 1003 2256 1 13089 4380 1 15 988 5 3032 3748 1 4257 2969 5 13750 3114 1 6556 5271 7 10441 1036 5 7304 2795 1 5959 1248 1 6432 7997 3 4651 3799 9 1325 197 1 10290 1246 1 10633 1734 1 13919 4288 1 18607 1783 1 6057 7537 22 10973 880 3 13472 1696 1 13144 7151 12 6341 2721 1 13845 5964 1 1028 4326 1 79 925 1 2446 623 1 11786 6627 3 189 5804 2 904 2721 1 19091 1471 1 2212 6418 1 11126 8008 1 15343 514 4 11472 6109 1 4802 5115 4 4839 3925 1 20042 367 1 17682 1734 2 11428 4998 30 10585 1825 3 17797 1247 1 9725 2367 1 7015 225 1 19990 215 4 12375 411 6 12841 721 1 163 7413 1 19270 1716 1 1683 7944 2 12850 3138 2 5370 8022 2 15329 830 1 14628 2869 1 8184 4244 5 5416 3621 1 9704 2918 2 16774 4013 3 15395 1814 1 14800 2055 1 19034 1404 1 13418 1825 1 9731 6126 1 14755 348 1 3024 3812 2 13174 1968 1 20208 745 4 6410 82 3 3007 3590 1 8135 3021 1 9595 6471 3 1530 753 1 10179 451 1 15499 1278 1 10774 1407 1 5822 525 1 18044 2476 1 6018 461 15 16151 28 1 1513 1444 1 4998 292 1 7267 225 1 8687 508 2 19834 3742 1 18705 1275 2 6261 2144 2 130 957 2 10803 222 2 15555 6899 2 6889 7530 4 20154 489 1 18359 4988 1 5218 1738 2 1120 5686 24 8307 3059 1 19500 1501 6 5617 2118 1 18876 7857 1 1614 262 2 690 2717 1 9254 206 1 672 1726 2 11250 7719 1 11415 5516 1 6670 1909 8 4234 725 1 16537 2987 1 15329 5804 1 17477 203 8 11250 1814 1 15474 184 2 13865 291 8 15289 1362 1 14600 7750 1 2135 1356 1 8585 1518 2 3437 2480 1 3243 2747 5 5681 1751 2 15168 203 1 6444 2951 10 16881 1309 1 569 8194 17 15493 1250 1 17061 141 3 8486 1313 2 783 1238 1 17595 200 7 20090 7534 1 1171 1768 1 3404 407 2 20091 743 3 10099 3482 2 17664 1721 1 2522 2555 1 3826 573 1 13414 8196 4 1141 3608 1 17289 7232 2 20167 1649 4 13461 2357 3 181 8226 1 5281 500 10 5524 7031 1 5424 1410 1 16303 3864 2 116 5018 1 5053 3932 1 15726 2013 22 8620 3323 1 4898 1235 3 17746 925 2 2555 4092 1 279 1775 4 13631 1007 1 4716 1743 1 1182 2964 1 14151 429 1 7754 7840 1 16589 5404 1 1303 100 6 6375 6769 1 12686 1242 1 13217 1172 1 19000 416 1 15115 5690 1 10032 4458 1 2465 1769 4 6681 471 1 19222 495 15 11842 347 13 16308 7474 1 7950 6139 1 381 5820 1 6292 2955 1 5981 4150 1 17731 545 1 1339 2632 5 153 6994 1 19990 23 5 14785 801 1 10188 221 2 18631 5020 2 12599 1328 1 46 2363 1 15471 797 1 19957 4276 1 6007 6125 1 17184 798 1 17088 1482 2 15388 1251 1 10948 6220 1 13830 898 1 19094 6819 1 6776 1764 4 18262 2109 1 6140 2353 1 3673 2008 3 12817 2683 1 19480 7083 1 10886 1727 2 798 3969 1 3988 4248 1 8061 1450 1 4054 206 1 12387 2384 1 9230 1715 1 270 1247 1 17694 1423 1 6229 6122 1 5247 1247 6 13099 6368 1 15830 1762 2 3665 2492 1 7610 929 1 9633 1780 4 14745 2068 1 8610 7097 1 18587 518 3 13138 2678 1 1296 6440 1 17388 3931 1 3372 4563 1 12 173 6 5945 2912 1 18066 7911 1 12702 7222 2 3258 545 1 10636 1995 1 5280 670 1 13664 1717 6 5827 685 1 15742 2582 1 13508 3475 2 16956 494 1 2971 207 2 1457 570 1 8192 11 2 4668 6322 1 15156 4601 2 1263 1642 1 13570 7060 3 12967 6093 2 2879 6124 4 5792 196 28 10311 652 1 5488 23 1 11746 6957 3 10879 3693 8 6647 382 1 4340 6578 1 13007 6250 1 11184 1518 1 2106 3913 1 8723 1241 1 5866 1739 1 14788 1748 2 12305 6855 4 18464 303 5 17090 7518 1 5648 3592 2 4189 7178 1 5602 1743 2 15816 1830 2 19250 221 2 4189 2206 1 16230 755 1 6844 612 1 17735 2555 1 11246 1407 19 17994 3840 1 13928 190 1 13770 1613 1 17977 1363 9 17888 2734 1 1265 2918 1 4428 5315 1 5376 23 4 3248 688 2 15743 1464 1 11925 5325 7 3120 1235 4 15271 1779 6 6519 1752 9 3468 6630 2 3504 5339 2 629 1244 5 19568 4616 1 17762 7512 1 2413 1866 2 14356 1303 2 11392 1691 3 14053 197 1 3826 2490 3 17682 1724 1 18672 5551 1 10290 505 1 14567 4261 1 11233 2678 10 1845 3742 5 15788 23 1 12972 3492 1 6867 201 1 8244 200 1 19705 6591 5 9904 23 1 12685 2981 1 10162 6602 1 9174 1903 3 9572 8043 7 19486 947 1 13436 1007 1 1937 2146 1 5877 3315 2 7675 1302 9 7914 3033 1 15712 1244 8 135 532 2 6144 729 2 18526 1244 3 11737 1248 3 18933 883 1 18091 5504 1 12701 420 1 11821 3464 1 8824 3921 1 2529 574 2 15896 4096 5 1611 385 1 17385 2678 7 6543 2522 2 16860 2815 1 17947 4882 1 7070 1990 2 14275 1235 1 8779 10 1 4758 3378 19 8104 2605 1 16015 23 2 18187 569 1 18534 3572 1 35 1958 1 18506 1729 1 14645 533 5 15853 1721 2 19705 3667 1 10160 2686 1 3424 518 13 2265 23 3 3579 1744 1 18053 1416 4 9317 2844 1 12067 601 1 9688 1482 4 18203 2675 17 17566 1247 2 1312 2877 1 9146 5834 1 4375 1395 2 19491 521 5 10627 3821 2 7245 2184 1 2830 219 1 16408 141 1 9445 1251 1 6479 3454 2 17556 4200 4 684 229 2 10128 3952 1 19606 1374 1 8594 5336 2 12900 2369 1 19922 1707 3 9847 4554 3 1463 1332 2 18244 540 1 10302 642 3 13405 2989 1 3853 5755 1 9389 7085 1 19930 7080 2 19319 1776 3 19678 3847 1 11377 4648 1 4967 2015 1 18587 1146 2 7502 7520 2 11843 6543 1 18314 380 1 1596 8192 1 2917 3015 1 10051 3585 1 9367 5272 3 3106 5064 1 9306 126 2 4376 3540 9 174 7950 1 1886 4922 1 12821 1825 2 19246 1211 1 3367 2443 1 5643 1450 1 17859 7466 3 2951 173 1 11926 3592 5 5329 2561 1 3140 3516 4 18575 3221 18 9522 201 1 16301 229 1 17194 6826 2 11378 7341 1 10228 1692 1 2227 3679 2 4688 689 1 5076 6197 1 8508 300 2 314 1252 1 121 798 1 6259 7984 2 10740 1762 2 15497 2958 1 12140 2354 4 6013 2577 3 1736 1193 1 14533 855 1 5592 207 2 839 1747 1 9178 6311 2 16569 4470 2 7144 5036 15 18324 5551 1 16439 4796 1 2886 7456 1 14515 200 1 456 215 4 2711 222 1 17284 6179 1 9077 1756 3 13117 4734 1 6890 420 1 19990 225 4 19272 545 1 20120 4306 1 8629 4022 1 12054 2721 5 6769 8167 5 19075 1341 1 2403 222 1 14810 2550 1 5052 867 1 15943 5262 1 2345 724 2 18332 5023 3 14522 7965 1 15179 5874 5 5606 4992 1 7000 7576 1 2284 2489 1 18761 3710 1 15303 2100 1 10381 3545 20 9494 2708 1 17519 411 1 5341 3973 1 1624 3531 3 5669 3921 3 8052 6801 16 14039 303 12 12337 7642 1 5430 223 9 2537 2251 1 7574 6252 4 35 1923 26 3947 201 1 16439 2560 22 12935 1999 3 2704 7189 2 1490 6173 1 11543 1781 1 121 931 1 17662 1745 2 11084 4382 1 17627 1718 6 14696 1728 1 2879 3512 2 19835 1019 1 14769 1341 1 19131 679 1 1171 1783 1 4279 4667 2 11983 4325 1 7799 1248 10 7510 173 1 2047 1251 12 7627 7817 2 16665 534 3 9642 911 1 17028 4620 1 13131 864 1 14335 1739 5 1243 252 1 390 1686 2 3397 5414 1 157 7194 2 14758 841 1 2495 2626 1 11736 2495 1 14920 519 5 10316 3558 1 17098 3230 1 5877 2261 20 6152 331 1 7887 6731 42 16063 4435 1 6172 2742 3 14951 5272 1 19934 1707 2 124 5435 2 15906 2504 1 8665 3285 1 8532 2488 1 4773 4673 1 3136 1298 8 18883 3096 2 18589 200 80 19144 207 5 15538 2079 1 11427 10 1 18860 23 1 11641 1268 3 11373 4377 1 2866 2575 3 153 6927 1 14694 6492 1 15948 3556 4 12118 4811 4 16096 2877 2 5132 201 6 9383 2114 3 15339 23 4 12041 3570 1 2308 1245 1 1951 2580 1 655 5146 5 13619 496 7 14447 1819 1 9029 571 1 18791 5026 1 10763 6139 1 7098 218 4 1374 499 1 4305 484 1 14786 1331 1 13111 215 8 12541 505 1 14783 3222 2 15428 1252 2 7008 867 5 8994 6031 1 12591 4615 1 2629 2363 2 6855 537 1 9835 6231 2 17445 1819 1 6230 7229 4 16887 844 4 16270 814 1 3158 197 9 16588 2404 3 12838 1226 1 11626 4811 1 1204 7022 1 174 7997 6 15075 2668 2 7372 505 3 19160 2562 1 9432 3866 1 15318 3911 3 12923 3625 13 19990 220 3 7893 545 5 14161 510 2 18672 358 1 14870 1661 1 5185 409 1 7520 1395 9 1908 743 1 4805 2360 1 13754 6414 2 18712 7501 1 19714 3029 1 12066 3604 1 3073 6226 7 14429 4333 1 9224 548 2 4251 1367 2 13860 5018 1 1408 7769 1 3755 219 15 8171 221 1 20030 642 1 12523 235 2 6975 6268 1 17686 1251 1 11591 652 1 3406 6584 2 8606 3283 1 18425 188 1 12496 2871 4 6089 1730 1 4496 1253 1 19266 2535 1 222 1322 1 11177 2263 2 17519 5513 1 10406 702 1 19727 1250 1 13148 1247 1 16006 1245 2 14777 2662 1 8394 423 1 3958 3593 1 19490 6754 2 17038 203 11 15015 3573 53 10295 743 2 4144 3596 1 3806 1315 4 17456 1235 3 17208 6031 2 13997 1277 4 3490 4035 2 6960 3760 3 3905 335 5 4352 5762 2 9511 476 1 13546 3175 5 5364 502 1 80 3604 1 15463 6281 7 18386 6777 2 12009 5077 1 5392 8123 1 10327 589 3 19504 3540 1 15600 5737 1 10954 502 1 1920 2632 5 5290 1652 1 8684 3900 1 8278 7738 2 2306 4500 1 17498 5257 2 6700 215 12 3568 1721 1 9310 1732 2 6089 1242 2 7597 7803 1 9941 1365 1 1609 3283 1 9343 5286 1 6089 498 2 16029 2849 1 18689 2127 1 9364 4317 2 5364 215 2 7574 1371 2 16635 6170 2 15230 221 19 15095 2604 6 15202 2840 2 12480 7520 1 12060 4850 5 10711 7621 2 13303 2552 2 7235 1302 3 10554 629 1 10633 3113 1 11567 7670 2 9467 792 3 14824 1757 18 16244 1201 1 15119 6753 5 15468 361 3 15923 206 4 9445 252 1 14696 4096 1 19225 232 4 1551 1742 1 2473 869 2 7799 1728 3 11291 215 2 8519 3511 2 17562 2662 1 2962 584 1 18692 1814 16 673 7116 1 13 715 2 7879 3457 1 2345 1249 18 10916 1377 1 15164 175 7 11595 2191 1 6418 960 1 1908 532 1 6592 3699 1 7725 2386 1 12210 214 1 5626 6204 5 15834 206 2 3739 1234 8 3461 215 1 343 910 1 11887 2600 1 9633 187 9 16925 1021 1 11846 4245 1 688 615 1 13 789 1 12075 792 2 17787 6252 1 18033 2541 1 126 5687 1 6152 4352 1 8575 4101 1 62 2894 1 15970 5352 2 11220 3438 1 5294 6943 1 13777 7368 1 16385 6262 3 11231 3074 2 18014 2344 1 9762 2785 5 14080 366 1 6975 1328 1 3704 1237 2 6862 750 1 5379 7622 1 7712 5262 2 20132 7403 2 13088 1707 1 9835 2175 4 12677 3790 1 4632 6042 4 15419 205 1 2909 3617 1 16346 2953 3 18685 203 24 6676 2899 2 12195 5607 2 14748 957 1 7222 23 2 17572 6567 1 12477 1548 4 4503 3145 3 9660 8012 1 17220 230 5 6683 5445 1 8334 226 1 8337 670 1 13436 2702 1 6926 2497 1 9001 1819 3 6302 3732 1 11863 3873 1 3644 5156 1 1665 8109 2 17792 1727 2 6068 1995 2 7020 3695 1 12143 7433 1 18547 1776 1 10610 2353 1 7994 648 1 5609 2540 1 6651 4351 2 19316 4571 1 1171 1732 1 3271 1967 2 19770 2355 2 569 3691 2 12826 497 1 18304 3748 2 15184 4339 1 9538 1539 2 14000 1235 10 157 7202 1 13117 3862 1 5495 5952 1 16176 1745 1 2884 5363 1 12821 1728 1 18300 1146 4 9797 6992 1 19828 514 2 19461 4531 2 10231 1722 18 8614 5430 5 4386 6772 1 11888 84 7 17215 1819 1 8927 73 2 2098 1819 1 1421 5767 2 17494 1783 1 12500 3421 3 18115 15 1 7780 2595 1 12615 3906 5 19521 1741 1 25 1492 1 5117 912 1 4100 4245 1 14361 3267 3 8932 2253 1 9437 194 1 2905 3283 2 1104 1776 1 7476 809 1 2917 4534 1 592 449 1 12760 253 4 7553 6993 2 17399 2173 1 3634 7013 1 18874 4499 1 15530 1244 1 1456 1770 1 13706 23 2 8546 3824 1 16546 3497 1 6855 718 5 6834 6546 4 13349 8034 1 7208 782 1 3704 184 7 18567 1814 2 10870 1090 46 9921 5686 2 19757 218 7 8957 6606 7 13387 1471 1 7987 5740 1 9168 199 1 1973 275 1 12406 3230 1 4620 1271 3 18886 861 1 45 2335 1 18633 2460 2 14819 23 3 6274 6234 2 4181 4884 2 10078 4982 1 18583 1729 2 4680 5385 1 5124 4799 7 3037 215 2 15167 5997 3 1588 52 1 19331 3113 1 13574 880 1 12496 441 1 5598 1784 4 19887 1244 9 11325 1740 1 3351 2344 1 17 1155 1 10149 1721 1 2646 5521 1 3229 1788 6 2127 3840 1 18148 5294 1 806 8200 1 18326 706 1 2980 5940 1 11786 6785 2 5324 2580 1 15630 252 2 522 6457 1 17220 4394 1 15791 6414 1 646 3460 1 18431 7846 8 902 1825 2 18254 708 1 20145 206 1 1171 292 1 50 2489 1 40 136 1 10867 7220 15 15895 6484 1 1464 380 1 17917 10 2 11849 752 1 42 2220 1 6656 3230 1 15094 1203 8 17331 206 2 14731 3621 1 8860 3592 1 7736 2111 1 6412 3352 1 19193 2356 1 16236 1248 3 8709 14 5 12821 952 4 8751 2559 1 8250 1770 2 10967 5067 2 11233 34 1 3003 1726 15 1663 235 8 13031 1239 3 6049 650 1 5249 1745 7 14958 3540 2 11574 2552 1 3397 243 1 4113 2930 5 11938 187 2 16844 786 4 17167 510 15 5826 5762 1 12720 196 5 1043 2502 1 16643 629 1 3109 2881 1 2540 5516 5 3060 4955 20 2419 1453 5 6894 496 2 8821 6943 2 11863 1756 1 10664 3692 1 18183 1743 1 12907 6801 3 15745 5518 3 8599 219 1 6866 2155 22 17172 4609 1 12251 1762 1 954 2510 1 8610 5105 1 9151 6132 7 19776 3396 1 17983 1252 1 14034 5272 1 15082 4246 1 13282 4938 1 10393 4441 1 19448 3203 1 10698 6772 1 1941 1253 3 17218 1248 1 1866 3255 17 17681 4266 1 1825 215 4 670 3617 1 61 2761 1 13779 1564 1 5860 1720 1 24 1452 11 9917 5389 2 6681 304 1 6769 1564 4 12821 5565 1 15782 6165 2 729 1363 1 16924 3742 1 14800 1466 1 143 6572 3 2390 4386 1 2985 783 1 8016 647 1 11598 5951 1 304 1173 2 20159 188 1 2863 1243 6 17210 3584 1 2829 5251 2 10467 2 3 3180 6286 1 14985 1739 1 13055 2069 2 5718 2054 1 19137 6053 3 18043 2118 1 2459 6899 1 6658 1062 1 2796 1482 6 6332 566 1 333 5502 2 14091 5971 1 12510 7231 1 3982 363 1 13922 3230 7 11566 4641 13 6085 278 1 3679 525 3 4627 3171 1 13183 608 2 9007 2437 4 500 867 3 148 6719 10 6755 1275 1 17953 7643 5 12860 5856 2 10234 1572 2 8250 2913 1 6883 1344 8 20009 3012 1 12710 1698 3 6641 1238 1 12071 3853 5 13843 1017 1 14406 201 2 2896 7466 1 19730 1153 1 19643 6719 9 4055 4996 2 141 6486 1 7257 1737 1 5952 1917 3 16356 4716 1 3492 4187 2 6081 4435 24 89 4037 5 17986 4427 1 12329 3578 1 5359 7395 2 13017 6487 15 4545 6534 1 120 5256 1 8161 4379 1 10088 215 1 15826 6487 5 10587 4803 1 11627 1781 1 14566 1150 2 16417 545 1 7130 4738 1 17734 803 1 13546 2727 9 7480 7936 1 18020 7135 1 1660 7841 1 10311 5762 3 18181 1705 2 5310 673 1 15787 6585 1 1046 4115 1 16897 4582 1 9904 1417 4 1299 867 3 4258 3914 1 2316 6897 4 3331 667 2 18040 1296 5 3712 2104 1 20111 5670 2 5204 659 2 11689 214 3 18479 692 1 10026 3848 1 19812 6145 1 7770 533 1 3750 1790 2 19162 2591 1 99 4459 1 9348 4596 3 7275 2276 1 7065 1365 1 16252 1768 1 9058 5187 4 11293 2771 1 15022 2405 10 172 7841 1 16176 6159 3 9703 1752 2 11409 7318 1 13397 3196 1 8746 431 1 7559 3233 5 7799 6687 10 15656 205 2 11158 4560 1 18797 3233 2 12407 203 1 14062 201 4 13126 3261 1 7252 2877 1 16399 2633 1 13743 1656 1 9132 2675 1 13555 4363 4 15613 2895 1 15770 2699 1 7463 386 2 2351 1208 1 7882 23 1 18015 7467 1 15943 4258 1 15436 184 2 9380 3909 1 103 4657 8 16602 525 5 1825 3233 1 12475 201 4 16638 7695 2 14906 1762 1 19470 1729 1 15275 4019 4 8831 1380 3 12633 1724 1 5036 520 1 13205 2668 1 5789 4613 1 13305 23 1 4779 1764 12 14114 649 1 1325 4945 2 3387 3021 4 11786 5243 2 327 2599 1 16924 3375 5 5657 201 2 15167 6949 1 5010 7201 12 267 229 3 17519 7430 1 4240 2378 6 17484 6198 1 2434 1323 1 15619 197 1 1844 4236 2 6525 1658 1 7219 5391 1 1064 411 7 10082 367 1 5624 2453 1 14908 5294 17 2520 4582 1 15462 8145 2 6009 1729 6 11755 5923 1 11289 3337 1 20 506 2 18279 4264 1 14778 223 4 13898 1756 2 8505 7086 1 14194 3591 1 15662 203 16 9367 891 1 13714 20 4 12262 6541 2 13043 7358 2 7310 719 3 7910 5664 2 2009 2953 1 7555 2563 1 16920 5708 4 11820 11 1 7883 1305 14 11139 1757 1 433 1718 2 11504 1776 1 16687 3970 12 8450 232 3 16684 2708 1 71 3320 1 5980 232 1 8728 768 1 9153 1729 7 7396 229 1 13 851 1 7986 1617 2 5276 4620 2 8034 864 2 16929 2341 1 2694 4385 1 6773 4105 1 17565 7401 2 4249 517 3 15394 5559 4 18511 252 5 9889 3119 26 4330 6188 1 17336 2356 3 19573 1342 3 9793 1757 9 19019 4623 1 9409 1438 3 8658 3973 3 1330 761 1 2980 3945 1 572 2591 1 14773 534 1 16921 2651 1 18806 4297 1 109 4973 1 11259 6050 3 14899 1342 21 138 6296 1 5535 411 26 11671 257 1 14730 3368 1 9921 23 4 16249 4123 1 11029 23 5 13730 6541 4 12887 1775 6 17399 8191 1 14008 2553 1 8026 2176 1 80 3600 1 2020 5105 1 164 7463 2 18462 1728 1 13198 3685 3 364 2111 1 17416 7995 1 1866 514 2 16018 6993 1 5304 772 1 10692 934 2 6090 568 1 5227 5093 4 12679 4716 2 19326 930 1 10947 507 1 2885 220 4 10698 1248 1 19131 5263 1 10207 3536 1 10736 164 2 15634 3676 1 5621 23 1 6749 4811 1 6855 6818 1 2844 1691 4 19718 214 13 3780 1635 1 8499 1464 2 3183 169 2 12439 6383 1 7682 570 1 3613 1726 2 8915 2103 2 11672 837 1 5075 1245 1 9821 1146 4 17918 3578 2 120 3827 1 3824 6132 1 3317 1264 7 14908 3540 38 4210 4620 2 2079 8026 1 16643 457 5 14836 521 1 8457 6496 3 1551 4403 1 11406 7411 2 18841 5325 1 19101 3058 1 3133 3827 1 5423 2708 1 16981 1399 9 12201 3625 1 9566 6481 1 2919 6378 2 17697 4012 2 19886 5162 1 8730 727 1 14457 2735 5 822 917 2 10293 1761 1 4426 7719 45 8721 7232 1 18662 8016 1 9733 496 1 19559 5726 1 10650 129 1 19207 411 1 14211 4960 1 5352 1249 1 151 6800 1 5185 1238 8 11510 1705 1 6469 6289 1 16603 2355 1 6183 7719 1 5964 3556 3 10948 1762 1 16926 4467 1 14836 7050 1 19115 520 17 5515 1978 3 5311 340 1 18891 3463 1 8226 1238 2 17931 1509 9 10123 3485 1 8089 3346 1 399 408 4 9272 5686 1 8383 505 1 1013 3442 1 16990 6268 2 17833 4124 1 19096 6054 1 10180 6640 1 2801 1768 1 19881 215 11 279 1743 4 3918 1355 5 13369 4949 1 2151 7878 1 17121 8029 3 8528 2626 1 1757 274 1 14305 2838 1 11844 6192 5 13 898 1 9155 519 1 4207 3287 6 3750 3570 3 3043 6506 1 15648 1171 1 18211 4257 1 11131 4120 1 10575 712 1 18195 596 1 231 1173 1 3397 2922 1 1736 3540 2 11857 1251 1 10313 426 3 3826 3540 1 16881 5018 25 2261 197 1 13432 224 1 17 1116 1 16497 1283 2 9937 1757 11 7088 7216 3 2450 5448 1 10445 3596 1 11091 1038 1 8261 201 1 1539 219 2 15046 6330 1 10521 1775 12 17776 1054 1 2755 1484 8 4320 1781 4 13864 341 2 3069 2027 24 3824 2254 6 9609 3029 1 18090 157 1 3642 3374 1 7105 1783 5 5653 2896 4 18939 74 1 18755 1720 1 19494 499 5 19673 5386 1 7490 1814 1 19166 3747 1 10990 5121 12 18507 7915 18 15338 6769 1 439 23 5 5621 1827 14 16638 6427 2 19655 4947 1 11769 1290 3 13829 2353 1 14755 3603 1 4843 953 1 14376 1302 1 3525 2669 3 12638 2656 2 2962 2246 6 4629 1727 1 7751 6340 1 17088 1827 6 14767 1703 2 13427 5758 17 4583 5516 1 12893 2361 1 13883 709 2 14639 1774 1 83 3716 1 2800 4425 2 16736 2800 1 8394 2118 2 10399 1760 1 11367 1938 1 16416 3421 1 11653 3556 3 16645 1561 1 12850 3167 9 7721 1745 1 2616 4774 2 17416 1732 1 17753 952 1 174 7919 3 9937 5686 1 6869 7937 1 9633 5052 1 8476 2652 2 16446 7840 1 15509 500 3 16396 976 10 540 3893 1 116 5219 5 15545 156 1 11856 2261 2 18171 215 18 2562 23 1 7285 1732 1 18421 203 11 13009 95 4 14883 867 6 1654 1243 1 19855 7592 1 7377 1298 1 5179 215 2 1109 2184 1 201 4067 2 18198 6031 1 2839 7632 7 17432 223 1 2990 7936 2 8077 5342 1 290 3255 1 7459 232 1 6592 5903 1 17544 509 2 5652 2534 2 100 4527 1 5056 8195 1 2433 460 5 13902 500 1 13873 1539 12 1330 2871 1 4368 2669 42 15974 1819 8 14289 6481 39 16305 1698 3 9178 1728 1 2204 1769 1 18768 7229 1 543 1762 1 2917 412 1 7559 6500 1 14416 1062 3 1488 1464 2 11735 6286 2 1428 524 8 4735 883 4 3505 952 1 1282 3219 2 559 6435 1 12933 221 2 6926 4258 1 15752 7145 3 17833 7089 1 10285 1714 2 10817 6196 1 18692 214 6 5176 1250 1 2531 6185 1 19812 1745 1 10313 2641 2 7640 3285 1 12739 714 2 13829 3911 7 5519 5573 6 7568 6142 6 12525 4741 1 9745 4860 3 7507 3113 1 16397 3389 1 7991 4868 1 5981 2608 3 13623 7089 2 4570 1081 3 4410 1721 2 3683 1655 1 18992 7511 2 13225 291 2 9279 1739 2 9403 2424 1 3454 1752 8 10553 407 12 12638 4446 3 6387 823 1 10160 7495 1 17886 847 1 1068 134 3 15041 883 1 19207 219 2 13412 2559 14 7513 46 5 17073 7642 1 1174 3558 1 17996 1395 2 6634 1886 1 8383 23 2 11428 545 5 1801 2003 1 7682 270 1 2797 8141 8 9947 3834 2 17384 342 1 13601 5391 1 3924 3384 2 3499 23 4 4320 4435 6 1383 1982 3 12446 3512 7 7390 7632 3 2231 6772 1 11199 4982 1 14962 6294 2 5312 438 1 17142 1357 3 9168 1748 7 6064 3460 3 6554 2150 1 5732 7666 1 4539 506 17 3622 6487 2 16887 4328 1 12285 564 1 9558 206 3 5525 1369 5 5860 2769 1 7999 474 1 8408 4397 2 6305 2082 2 1145 7739 2 1962 5961 2 1588 57 1 12071 1391 1 804 926 1 1 71 1 19054 1717 3 12985 318 6 4401 2069 1 19069 244 1 19111 252 1 2513 496 2 16836 3563 1 4056 1537 1 2302 6692 3 5505 3972 3 12826 4429 13 2499 1234 1 15518 1775 1 10481 6690 1 5495 3742 2 9279 1399 1 17486 3333 6 1141 7240 2 18262 219 1 16861 907 1 18236 5453 1 9044 200 6 12236 3949 2 16877 7530 2 2512 4435 1 16491 2675 12 9168 520 1 19326 203 6 16536 4352 1 16262 1357 1 11637 685 1 2135 5506 1 252 545 3 12890 215 1 4080 1296 1 14664 1593 13 15701 1819 1 9566 3227 1 18508 4696 2 5132 3425 2 10295 2541 1 5199 4681 1 17973 7672 7 151 1954 3 3397 663 2 8860 3056 1 16562 3406 4 17130 1781 3 18797 196 1 14876 3219 6 11251 1689 1 10688 4811 1 33 1828 5 19820 5882 1 6692 201 3 19872 5446 1 13543 768 1 11104 1664 1 7846 4149 1 15397 5575 2 14805 221 2 12897 5866 1 19030 4 16 19448 1184 1 5026 3458 5 6796 318 1 1530 3301 1 8320 4614 1 14993 6481 6 1465 1710 4 15909 4528 1 10862 201 2 15229 1331 2 7010 1613 3 16141 3670 5 8815 1245 1 19401 6612 3 873 6970 1 8223 666 1 18041 7563 1 9512 2093 4 9188 2893 1 5185 3592 10 1721 3525 1 20191 885 1 19486 4490 1 14921 1238 1 1465 7145 2 2363 5444 1 17331 2671 3 11055 2778 1 4570 3684 7 16994 1078 1 10584 1681 11 15321 201 1 18893 2027 1 11533 6288 1 1533 2319 1 17169 2889 2 19283 3138 1 2916 5881 1 3423 6255 1 12370 6204 10 701 5571 1 11549 1037 1 16346 3899 3 11709 3932 1 12828 4796 1 12987 6675 2 158 1241 2 8287 225 5 20231 1416 2 15180 6500 2 10916 874 1 6059 5260 3 11385 1707 1 17859 203 1 11694 35 15 7392 2953 1 4877 2897 1 10381 1770 1 17500 6457 1 13572 960 1 14782 4739 1 19472 3558 1 7245 1689 1 3075 1363 2 7403 7829 2 15024 5995 12 614 1313 1 15213 1467 1 153 6886 1 14908 171 1 11625 1245 1 1890 3556 5 2127 1710 1 2425 2099 3 12921 2410 2 4814 2657 3 4332 3492 1 57 2691 1 15872 7189 1 12841 5989 3 8654 1717 2 873 341 1 6470 1611 1 14211 1946 4 3928 4578 1 11693 1729 4 9262 2248 1 15278 2341 2 5950 8217 2 8851 512 4 527 4199 2 10102 4296 6 682 6030 1 16833 164 4 3771 840 1 4962 676 5 2851 1990 6 6361 2262 2 4305 571 2 5318 6345 4 3922 6897 1 15529 1119 5 5792 524 17 20262 308 1 8536 4961 1 10482 3479 1 954 1344 2 4423 1332 7 10252 431 2 9891 1770 1 19432 3669 1 6564 7532 1 6028 1060 1 14047 167 1 4104 495 1 15993 5251 1 96 4399 1 130 5818 1 18081 8184 2 1138 6806 2 9394 6341 5 118 5236 1 10261 1072 3 2926 3557 10 1147 6435 1 18876 629 12 8045 2542 1 11877 550 1 8407 1244 1 18252 1814 1 19849 505 1 15424 4245 1 12838 1022 1 1026 2014 1 18596 3556 3 18754 4560 4 6782 5405 1 969 514 1 16579 3426 1 9302 3085 1 5519 6591 3 6828 8171 1 14063 314 6 10579 379 1 8001 1348 1 10287 1825 8 4593 722 1 181 8251 1 15696 2639 1 14629 3540 1 2545 6341 20 3111 6993 11 6250 4105 4 6275 1243 3 5176 495 1 13587 7098 1 13957 1772 3 1337 6557 1 9094 203 2 7739 3619 1 6420 2510 4 16021 6047 1 6926 425 1 4691 220 7 11246 2767 8 13217 7018 2 18110 545 1 10604 769 1 1057 529 1 4195 2261 1 12318 210 1 8937 4320 15 9319 3069 3 8910 1990 1 5931 3556 1 9104 6207 1 17281 914 1 3038 4599 1 4859 6342 6 15806 6268 37 648 6758 2 8387 672 1 12194 3990 1 8663 4339 1 2546 243 3 236 262 1 9642 864 5 2793 2248 1 15501 7188 1 14124 196 5 4394 1104 1 7778 2062 4 7312 3175 1 13147 7404 1 4322 609 3 5738 1263 2 1013 2889 10 11926 2675 1 4174 853 4 3098 7085 2 124 2002 1 7266 508 5 13804 891 1 3781 1417 4 11809 2057 3 10862 148 1 2816 4367 1 5635 1404 1 4657 745 1 17589 3234 1 9451 3222 1 4090 4468 1 16310 1190 1 302 5035 1 8385 7438 1 7631 7695 2 5875 7305 1 5596 1771 1 12209 4436 13 2917 2239 1 11656 201 4 2072 3970 22 9072 194 1 14824 530 1 15160 3701 4 19021 7054 18 17372 4723 1 17010 7995 1 16085 6954 1 18762 229 1 9921 1610 1 10396 6671 5 5327 5011 1 16268 3970 1 15712 411 2 8629 2729 1 17066 4297 1 13636 5531 1 19223 4023 1 4236 2097 2 15977 23 1 5863 2167 1 18792 5385 1 8417 2675 1 5831 1764 1 7780 203 29 13831 3058 1 20239 6824 1 5424 2642 1 836 6749 2 62 2842 1 8974 1827 9 6539 419 1 12388 8146 88 6048 2534 37 15329 5736 1 5018 222 1 3342 6341 2 16755 3767 1 18330 5026 12 9733 5903 1 3815 260 2 19822 202 1 954 5036 1 8019 6762 6 16583 385 1 15853 2530 1 5567 5829 1 17328 7298 1 2319 201 2 11252 6713 11 3340 2023 1 17662 534 5 4486 959 1 10770 2591 3 745 510 1 14452 3813 1 19322 231 2 5124 1374 3 6406 3872 1 18296 3069 4 19000 4392 1 14200 1743 2 11922 1312 1 9758 6685 1 3841 3059 1 11900 2691 2 2306 845 1 2951 1146 1 12399 236 1 9295 524 3 18818 221 1 10049 220 8 6520 2686 1 7652 1509 8 11744 1478 1 17795 1991 4 4036 5513 1 8730 177 1 4561 2488 1 10139 792 1 4137 35 3 7046 227 1 14813 3926 1 15651 2931 4 3275 533 9 7942 1147 7 3826 4518 1 16560 188 12 12803 1583 2 14028 7640 2 7310 809 5 7829 550 3 17563 6139 25 10179 7750 1 19115 1770 15 13461 201 6 6459 3684 2 6598 534 5 4629 1924 1 6587 1245 1 20091 229 4 17388 347 1 18518 6368 1 1012 6341 2 171 7823 1 9463 2686 1 391 5730 9 15429 3220 2 3322 1184 1 13936 952 1 18431 7414 3 8270 1062 5 163 206 2 14601 4792 1 18462 7571 1 350 6435 6 81 3691 13 12534 1438 1 16924 3699 1 2880 2485 1 18876 912 12 19602 8023 1 3665 3132 1 15791 4578 1 20068 4436 1 10766 7752 1 17765 1681 179 3861 1732 2 12322 1738 1 8356 229 1 3915 252 3 16645 3974 2 12817 2495 3 2598 1648 1 12337 3079 1 13721 1778 1 14310 526 1 2777 518 1 10579 3234 1 15286 3760 4 12895 482 1 14639 923 1 4263 4607 2 723 1242 2 1795 4395 3 7832 6065 1 2081 4380 1 5185 6844 1 3243 411 1 3175 858 1 8967 1252 1 8415 1893 1 14906 1719 1 6853 4507 1 8519 1660 1 18132 1223 1 19901 1710 1 11219 3331 8 18574 1424 4 74 3257 3 12904 553 1 16847 6714 1 11632 1883 9 4223 215 2 3416 6539 1 2459 7747 4 9503 13 3 9224 780 1 745 1482 1 6235 2248 1 14729 1819 8 7694 2830 1 15159 1721 2 6819 2690 3 470 914 1 2922 2661 1 177 8174 1 2280 541 1 2750 4120 1 12299 1729 1 857 1243 1 3175 1399 4 17537 4204 1 12641 95 9 14722 1764 1 13 829 3 2072 6481 18 8328 3840 1 18675 197 1 2951 1717 1 11516 1464 1 2529 917 2 12086 1629 11 9366 7752 1 13649 945 1 16726 709 2 3093 1946 16 19953 252 1 11678 5804 1 10473 647 1 13392 6568 1 18124 1877 1 14599 3050 1 2213 6378 2 6057 3155 6 4773 2493 1 18861 225 1 6089 1762 2 5821 548 2 15596 2969 1 1608 1453 2 12132 8194 2 14429 3748 2 861 661 1 15940 917 1 9102 5767 1 16069 5574 2 711 190 1 176 3138 1 6982 3204 1 20049 3011 1 14861 2312 2 2045 867 1 9699 5172 1 3947 1753 2 15550 1776 1 1697 200 1 6091 3059 1 13957 7643 4 1228 1245 1 14671 467 1 11786 6571 2 11115 3864 2 4137 4351 1 10204 411 9 8946 600 1 9528 206 1 19875 1819 9 4550 6673 2 15508 1728 1 9889 4400 29 10384 1286 2 17555 1482 7 122 1401 10 2318 1642 1 4556 1975 1 740 1737 1 1709 525 1 10106 244 1 18381 6167 5 3221 5051 2 4987 661 3 6207 6127 1 1832 8017 1 4572 2645 4 9444 5016 1 9775 6435 2 19490 530 2 17368 1304 2 16230 903 1 11835 3618 2 19822 6368 1 17911 4489 2 6907 2516 1 12753 2634 1 16114 214 3 14678 2504 2 14929 2995 4 19036 5317 3 15754 1788 2 11416 5602 1 17594 2141 1 16869 3667 3 16278 7317 3 4023 5853 1 5848 962 1 11077 222 1 2570 6024 2 15225 382 3 14402 1464 5 7455 452 1 16026 7672 2 11006 5603 2 13076 1576 1 10669 6484 1 13322 4635 3 525 4351 11 18270 8054 3 17992 2268 1 9894 1366 2 8343 859 1 9455 203 1 18455 1244 1 222 402 1 8597 1247 1 13827 7850 1 14990 4716 1 452 7526 1 11067 2352 6 10468 6053 6 4801 7706 1 8018 219 1 19722 411 1 10312 7271 2 14933 5574 1 13937 60 1 7823 5516 1 7991 664 6 7295 5534 3 16674 7540 1 14660 1249 3 18939 3937 1 19267 734 1 5247 2363 1 18517 201 1 415 1814 1 569 5518 6 19822 4972 2 1669 3519 2 10404 836 5 17884 3233 8 8368 4200 1 19271 2259 6 10721 1635 5 6146 2698 4 1198 6706 14 17682 766 1 5999 1752 4 8226 256 2 20123 570 1 15432 1464 1 15633 523 1 2309 1342 1 5964 2675 1 4784 7204 15 15943 891 1 9877 206 8 7575 1719 1 16971 1296 1 806 4615 2 12520 8103 1 31 1774 1 8639 7604 1 14400 505 1 1606 7292 1 12597 8194 12 18040 1768 3 5938 2626 1 8250 507 2 19939 4983 1 12006 3172 1 10766 219 12 7000 4456 1 7065 3771 1 9556 867 11 2635 2552 1 14957 7082 1 19527 574 1 16570 422 1 3784 5694 1 19187 6628 1 8250 7492 1 19840 1779 12 2268 5758 1 14063 6482 1 7510 215 1 163 7425 1 2334 349 2 15743 23 1 5244 2439 1 15888 2019 2 8531 6690 1 12459 302 1 9726 23 5 16333 4077 1 14114 6484 1 11343 3643 7 19404 6714 1 10687 1244 3 1460 1757 1 9188 828 2 17744 1758 2 12024 638 1 10146 2343 1 3010 2860 1 3968 1374 1 17328 6690 1 3704 6340 2 349 718 7 6538 1250 3 10274 5324 4 18231 1396 2 2135 1781 1 1908 5257 2 14700 471 1 18487 5603 2 10749 1819 2 17327 498 31 10037 2339 1 11202 7876 8 5515 5051 1 11502 924 7 14736 4395 4 14536 4635 1 16806 5150 1 5322 7388 1 9315 236 2 5915 5538 1 9642 5826 4 19425 519 11 12879 496 1 9802 2661 7 11418 1238 1 14292 2878 1 174 7875 4 12745 2661 12 9875 235 4 3580 6754 1 7363 4297 5 9538 220 2 17682 222 2 7651 3884 1 7956 5564 1 15140 11 3 16379 498 40 10320 3181 4 65 224 1 13126 934 1 18501 3869 3 4382 496 1 5356 4404 1 7470 291 1 1571 3167 1 7294 5092 3 15223 4980 3 140 6404 1 10519 1721 6 13461 4245 11 15736 5016 1 95 4334 1 5743 3233 3 9626 1985 2 14813 3996 1 8499 5054 1 551 2698 1 16222 6912 1 17977 367 2 2277 1774 3 5008 6728 2 19294 232 1 6043 864 8 14845 7719 1 8943 2138 7 19316 5363 1 13741 1757 1 3401 874 1 7999 471 1 1055 5253 1 12686 201 1 16933 3153 1 6989 873 2 3438 1917 1 3581 1617 2 7321 6731 8 6832 1789 8 18417 2863 5 5254 3132 1 5591 3134 5 7143 1298 1 107 4790 1 5035 1775 1 7610 720 1 593 1717 1 11158 4309 1 3815 3038 2 1914 200 1 10179 3867 26 12506 1571 3 17000 7083 2 6854 1411 4 17518 667 1 958 8141 8 17989 173 3 19222 4435 10 15527 5071 1 2170 7710 10 20180 3849 1 19463 676 1 551 3081 2 14517 2953 2 17384 520 1 9444 5807 2 163 6521 1 19056 2065 1 17608 5051 1 14196 3953 3 7455 5302 1 1344 1234 1 12893 1770 9 2586 6332 1 7947 197 4 6198 6355 1 14233 4737 5 6492 1731 1 5796 5018 5 17142 4792 3 9948 1145 1 94 4276 1 7852 7602 1 10643 1548 7 6990 5187 6 6740 633 2 5304 911 2 15547 500 14 11229 3676 2 6878 6903 1 18385 4025 2 14908 2089 3 17851 891 2 530 2591 1 19833 6925 1 160 7293 1 10616 282 1 5643 1388 4 13833 1728 10 10242 1726 1 16234 3511 13 16628 173 2 15484 200 1 9278 1995 1 16730 7536 2 15714 4320 1 11465 6912 7 12824 1712 14 15930 8150 1 8759 3843 2 702 603 1 1938 8126 1 9725 4203 1 18340 4618 5 13084 1827 5 18817 2880 3 17109 2760 1 1449 4949 1 15554 4236 1 1185 4941 1 19690 2363 3 16743 495 1 6614 3431 1 11241 214 32 8344 7466 5 8047 2353 1 6717 1275 5 1520 550 1 5104 2864 1 745 1241 1 15615 6120 1 13252 5206 5 3002 4242 1 19060 1748 4 2291 358 1 4979 5496 1 8983 3613 2 5636 4998 5 15321 2344 1 5271 6738 1 5587 1244 1 19525 2678 1 2135 1717 1 13132 780 1 9439 6155 1 13178 6421 1 592 2493 1 1348 470 1 9096 5277 1 553 5673 1 350 3448 2 19372 3910 5 19034 237 2 10803 4274 3 1287 3556 2 12264 173 1 11835 8071 1 6670 4435 1 16844 3019 10 11461 1357 1 16734 2488 2 19026 4022 1 11052 2004 1 4885 4077 2 7455 441 1 12852 4727 1 11789 2424 1 63 3039 1 124 5474 1 8078 1704 1 17263 4276 1 10361 534 1 19607 1073 1 153 6874 40 6038 1768 3 11864 5543 2 3358 2013 1 12322 4623 3 701 3840 1 5632 2555 2 12406 1417 1 12758 4070 1 11295 3666 6 8764 221 1 19840 3511 1 12680 1237 2 1027 2864 1 11845 3554 1 6510 4591 2 625 214 1 2686 2530 1 755 1237 1 18781 2513 1 19588 6868 2 6449 6207 3 1076 6462 1 8488 2662 4 13806 702 1 14292 1692 1 5401 880 1 4055 651 1 9743 282 1 18215 1573 1 13909 1751 8 1398 7621 5 12304 1184 2 11629 696 3 13328 5494 1 2332 4998 6 11417 336 1 12014 1742 3 14400 1717 1 4320 1244 3 9787 7309 2 13919 7461 3 9907 2620 1 12988 1146 5 14797 5105 4 19861 1776 1 143 6535 3 18615 411 6 1090 3333 1 6145 5884 10 19033 2881 2 4935 3239 3 13792 201 15 6202 4126 1 4337 97 2 5136 1730 1 8614 5550 1 11153 1655 1 2980 1110 1 14947 3616 3 7708 1245 1 11622 2364 1 10123 5376 1 130 5833 1 2886 597 5 16742 656 2 17151 5471 2 12337 5052 4 6341 1271 2 6230 244 2 8056 550 2 18755 1450 2 10060 3663 3 2045 7229 4 10381 225 1 7208 2918 1 18229 5319 1 4960 1235 1 17224 1996 2 7149 645 1 6034 1707 1 18665 5389 1 13587 423 1 12152 4047 1 16914 578 1 4288 1395 10 8878 227 1 16775 5036 24 10852 712 2 6478 220 1 7509 3216 2 2338 520 1 4688 3234 1 19286 828 1 12320 6195 1 8554 838 5 14044 214 1 8356 1235 1 2813 4392 1 18922 2665 1 19296 1662 1 6983 5677 2 13132 896 1 1849 226 1 9304 4984 4 787 1248 1 4143 190 16 16584 3375 1 16016 8238 1 7929 1825 2 1641 6150 2 19112 5262 3 3434 6697 3 16236 1363 1 8484 5325 8 7141 2263 2 15108 7041 1 19772 514 1 14300 6837 1 11852 4022 2 11003 2355 4 19434 3020 2 4195 1275 1 6382 8082 2 1171 1734 3 19822 6334 2 2886 841 1 1014 3058 1 7179 865 1 19655 61 2 5556 3494 1 10695 325 1 637 7167 1 2784 8122 3 13042 530 1 4273 5873 1 15610 829 1 17508 532 1 17630 220 1 8389 53 5 12592 4403 1 16442 3456 1 19685 203 1 11418 449 1 3536 1130 13 17960 8194 1 1587 903 5 11663 1239 17 1126 220 2 6610 1508 1 7778 7220 4 20023 6210 1 4273 579 1 4092 1331 2 19480 3493 1 13564 6435 3 12236 148 1 13743 7466 2 4092 5874 1 11072 8036 2 5401 4345 1 11131 3813 1 18689 229 3 9250 588 1 7245 4257 1 8775 7915 6 6420 1042 5 8528 505 3 2273 158 2 5863 1021 1 9375 197 4 5004 5803 4 16027 5272 7 7699 471 1 5878 4274 1 9178 2620 3 17647 2369 1 19473 223 3 2508 7216 1 2103 1753 7 5972 5437 1 14148 6700 2 17120 232 1 19737 1757 11 6519 2897 13 13921 203 3 19408 304 1 8410 222 5 11601 6683 74 18793 372 2 15935 2132 2 9753 761 1 16618 70 2 16138 5083 1 9998 3203 1 11561 1453 1 11068 1531 6 5287 5314 1 6688 74 1 7020 6537 1 15874 4394 1 10452 6473 1 4329 2360 7 1332 6136 1 5246 631 1 4023 2602 6 19123 844 1 5401 2509 1 9548 8060 1 20106 232 1 6327 15 1 9548 8043 2 18254 7037 3 1418 206 3 16113 215 2 13427 3468 1 4496 244 1 18042 5020 1 4900 1247 1 6023 6599 3 19454 74 13 4673 1190 1 19270 4807 1 5075 23 3 9354 2439 1 5662 2056 1 15583 7466 1 7125 2516 1 14956 883 3 9168 514 1 7477 4774 1 20164 3558 1 14055 4983 1 11428 215 1 13397 2494 2 11399 3069 1 5078 5018 1 8261 200 6 16570 489 2 1322 4963 1 14826 96 1 14852 545 2 18427 2341 3 18682 777 3 14054 2744 1 873 3797 3 5031 4411 1 2128 4600 1 18631 4411 1 906 394 1 19029 5961 11 12188 6435 1 16128 2027 2 3296 1471 1 1625 1213 1 18781 2495 1 10514 277 1 15272 2698 2 5685 2372 2 18819 1244 4 4954 201 1 1118 225 1 6152 2729 1 5431 219 1 4575 382 1 9634 6640 1 17215 8041 1 13636 1548 1 18852 203 2 9304 5037 1 8129 780 1 1844 1705 1 20060 5445 5 14144 3454 1 1841 381 1 9798 474 1 14784 6170 2 16614 6481 2 12148 361 3 9493 3639 10 18730 1741 4 5868 3912 4 15214 828 1 11496 7915 1 15885 4560 3 1783 1184 5 174 8098 1 9986 4260 1 12009 6159 14 12610 1768 4 15910 1470 2 17127 1752 1 11600 73 1 17638 742 1 10169 5120 1 6089 87 3 784 385 1 10085 7580 1 1665 7445 2 10032 6681 2 12954 505 1 7872 1705 3 739 206 4 19714 4077 1 15683 6030 1 9240 1251 4 19982 5499 1 5654 7857 1 6904 3431 1 9444 1723 1 3505 2076 1 18852 3494 1 16694 1812 3 6348 912 2 4575 6268 1 1885 200 1 10344 973 1 7856 933 1 11 447 1 10013 378 3 13640 206 3 13881 1129 3 2643 1283 1 126 5644 1 9642 1717 3 12356 214 2 8368 712 1 469 1236 2 6748 1277 1 17096 1734 2 3857 1303 1 19802 5757 1 6260 4387 1 19633 6648 1 17005 1882 1 10034 1620 1 6926 391 1 12444 6125 1 18215 222 2 3718 7217 1 7756 5523 2 9626 995 5 19881 3540 9 2194 917 2 7882 1286 2 855 4435 3 10907 5002 1 197 5355 3 17384 962 1 8082 3824 1 10405 3794 1 16881 2488 2 13829 186 1 12320 3932 1 8009 1991 6 17845 1778 1 9699 2100 1 2023 1697 2 13695 8197 1 207 5404 1 12357 1938 15 13826 1184 5 6611 3210 1 17340 222 1 17098 533 1 16987 5444 1 2045 536 1 17634 2265 2 6595 534 1 7705 737 1 2213 3232 1 20009 2998 1 18879 6346 2 10859 4077 1 18363 4016 1 11656 4059 2 5350 1471 1 6848 545 1 9399 2097 1 8401 6252 1 5322 8126 4 10271 4988 1 13634 672 1 4975 207 3 11786 2632 1 8264 7511 1 4566 1307 1 16109 650 2 150 6757 1 15084 1721 5 6752 765 1 18621 1131 16 11612 7250 27 10870 4361 1 4386 4558 23 10642 498 33 8782 225 1 14055 6231 2 4314 3981 1 3584 7210 2 2723 2739 6 7626 2058 4 9639 290 6 4409 1927 11 6144 2792 4 3515 3250 1 18320 5249 2 19237 2000 1 18031 1113 2 18938 3101 2 20258 1453 1 20258 222 2 9268 903 3 13998 1731 1 12499 496 1 12196 1203 1 7384 3470 1 13613 312 1 13886 190 7 14126 4266 1 12190 6481 2 17662 508 7 1969 1363 1 13 939 1 13348 5105 3 9178 533 12 2771 2484 12 17505 6108 3 17109 304 4 5377 930 1 6892 1287 4 7640 7880 2 8342 1023 5 4606 2488 1 11772 8029 2 16600 916 1 16802 4707 20 15993 714 1 10222 99 2 3211 3117 1 13203 4402 1 12932 7414 1 5117 604 1 2855 395 1 19972 3818 2 14988 1990 1 12377 7819 2 8082 580 1 15941 4278 1 7556 8184 5 17342 1186 9 17777 221 2 18886 6613 2 4195 411 2 7020 184 4 19693 1363 38 10948 6202 2 5612 3775 1 18523 4340 6 13178 7826 1 2611 7229 1 1005 7890 2 15483 1727 2 15398 284 1 1212 132 1 1019 7512 1 10752 219 1 4313 3616 7 5216 3893 1 14710 7726 1 4210 5036 1 1530 4622 1 5672 6030 1 164 7469 1 12757 1772 2 5911 7073 1 19053 774 1 16806 2541 1 15614 4435 2 4314 10 12 15918 677 1 10468 366 1 16826 2495 3 16442 7829 2 939 203 9 4415 1747 7 10444 211 1 787 1250 1 16378 1728 1 10143 3617 4 9215 621 8 8041 508 5 95 1962 1 19031 6386 1 6322 5389 1 13760 215 1 1322 534 2 8063 4471 5 18633 2448 2 7065 4404 1 9343 943 2 3319 1781 1 11775 184 1 14758 933 1 1498 348 1 16334 6211 1 16373 135 4 15078 3836 1 14522 471 2 6711 1756 15 4165 7461 1 9894 2581 1 7991 346 1 4467 4081 3 11622 647 1 14786 5994 1 3355 518 1 717 4992 1 788 303 2 6225 7754 1 1344 200 1 9047 7850 4 2860 7311 1 19241 3853 6 13609 1464 1 9849 6396 1 5696 1464 1 280 5022 1 17954 1663 1 18332 1924 1 4634 4905 1 11428 3652 1 3218 7691 7 4001 3442 1 9194 51 2 12985 1752 7 16254 496 2 706 5220 1 14842 5234 2 9148 2815 2 10710 43 1 11344 8103 3 6833 4405 1 258 880 1 3705 1395 1 1084 2240 1 1378 4032 9 16700 838 1 12208 4989 1 11769 1656 3 10509 910 1 8532 534 2 6838 2922 1 6403 2014 1 18337 23 1 4180 797 1 11629 891 2 20262 4375 5 1397 344 1 1654 74 2 757 4245 1 16530 201 3 7257 236 1 6514 638 4 13407 5439 5 17083 256 1 17494 6105 1 8720 8141 1 4425 2363 1 15497 5312 1 17 1079 1 18149 2737 1 19486 845 1 16049 338 1 11345 215 2 6332 1407 2 9917 2620 1 10301 1416 4 11844 5077 5 8599 2265 5 1555 4105 1 14686 1153 6 6245 1407 4 1688 4022 3 10807 407 4 17328 6193 1 1665 7362 1 1889 244 1 6753 3892 10 1795 215 5 15831 870 1 18149 505 7 17088 197 1 12772 745 3 7245 6480 4 6564 520 4 6348 566 1 15509 508 1 8742 1062 2 10119 74 1 6887 6596 3 18508 1289 1 143 5389 1 7132 4388 5 702 2542 1 19322 6053 18 10887 4687 1 954 1665 1 13619 7308 11 17173 937 1 11614 6457 2 11355 1341 1 13821 2361 2 10004 2966 2 10486 5120 20 15427 891 2 100 4574 1 14612 1235 2 8146 2617 1 8490 498 5 2233 4098 1 15871 622 1 3473 860 2 2850 602 1 12378 89 1 16960 2294 1 19489 1743 1 17704 2363 1 10923 6231 1 4695 1235 12 8052 2584 1 11426 7255 2 6690 3600 8 7652 1779 5 14970 8060 1 15608 2966 1 6449 4807 2 13793 1593 1 16378 1251 1 17360 214 1 12588 4060 1 4943 1721 1 12270 1706 2 891 2894 1 17151 2571 1 4328 4992 1 19289 23 1 15763 3586 20 10331 7102 1 17960 1374 1 4105 4623 8 1073 5362 2 13012 7229 1 1864 1292 1 17916 1734 1 3351 225 1 14728 2534 1 9171 3706 26 15692 4306 11 11942 47 1 2296 23 1 6061 7541 1 19690 1251 10 6712 737 2 3718 2257 3 11736 595 1 11367 520 1 18535 1416 2 12817 1244 1 10366 4435 6 12165 2292 1 16739 4992 2 6774 973 1 4107 4923 3 8736 1707 2 10741 3515 2 14321 2743 1 16674 371 1 4245 545 4 19053 558 1 2260 1739 5 1062 7023 3 4784 6471 2 6043 1769 16 492 3132 26 19046 3671 1 16978 3945 1 11996 3338 1 7700 954 1 1212 870 2 171 7812 2 1891 6155 1 15210 7884 1 9503 7501 2 7147 1251 2 15030 5050 4 10916 873 1 8369 7477 1 10456 3168 6 15782 205 2 5631 1284 1 7203 385 2 13023 6028 4 2239 1891 1 17139 184 3 16583 2737 1 4305 2146 1 6533 2268 6 18344 1261 5 6842 1717 2 1002 1399 1 5510 184 1 10900 6588 1 812 360 1 18680 443 1 19486 177 1 9661 4252 30 19463 7829 11 5148 201 1 3562 222 2 11964 3526 4 11616 648 1 19145 2356 1 3253 1721 2 152 6817 1 19144 200 10 9168 5413 1 7183 190 1 5076 6161 3 18281 877 1 5445 4727 4 17662 197 2 18384 6101 1 14117 7920 1 17636 1717 1 121 213 1 9061 5302 5 5117 819 1 10942 7096 1 15167 5255 1 9725 2821 2 11226 206 1 11987 1898 3 2414 545 2 16726 840 2 16509 5284 1 6200 1343 1 3369 5119 1 9224 5887 1 3530 7101 4 16501 878 1 13402 267 1 11984 1582 1 1635 4069 1 4174 3693 1 4304 7512 1 10446 3477 2 18561 571 1 1760 7243 4 5444 676 19 6618 5420 5 8876 1464 2 6318 4582 2 14047 1617 1 11248 3840 5 6333 6231 2 2429 792 4 16697 411 2 15714 4435 1 6089 1761 4 18973 1357 9 18608 983 1 11545 1788 3 14347 156 5 19026 397 2 17628 6534 3 4592 1764 1 19668 3907 1 13958 2735 4 670 649 1 19985 1321 1 7829 2027 2 542 3556 1 14950 5018 4 645 867 1 10462 2795 25 19173 629 1 11766 225 2 7853 792 3 6618 7237 3 1125 4254 1 1009 714 10 14946 3697 1 6117 8076 1 13417 6756 1 3797 7191 2 2886 4595 1 1142 4597 10 14362 1245 7 10948 6606 1 15948 525 4 18634 1287 1 14583 336 1 15262 5097 4 11820 6578 3 16557 1737 2 13302 206 1 9978 533 1 19061 7222 6 7893 6242 4 6928 3132 2 11461 863 1 2265 230 2 17014 1661 2 676 5767 4 5677 76 1 6402 20 2 13734 1658 2 2959 1829 2 16884 1863 1 16600 177 1 18709 3132 1 3512 4612 3 3296 7461 2 4853 4096 1 4736 4493 2 14438 1762 1 11058 4835 1 13755 3512 7 10104 834 1 17416 3610 1 17023 1706 1 9423 2013 1 6757 225 3 8063 10 21 6072 1265 1 9025 1252 1 16974 65 1 9412 409 5 1435 7388 1 5868 4459 2 11103 8192 1 9678 1965 3 19568 132 1 3048 2922 1 19030 2114 1 8735 201 3 10323 4986 1 5304 4567 1 16408 665 1 4242 1757 1 19863 416 1 17120 1249 2 16525 891 1 8436 3852 1 19420 481 1 17404 1752 1 6658 3011 4 10256 411 1 9601 7451 1 8327 225 2 16691 3611 4 11591 1739 1 8417 219 1 14852 534 3 873 220 2 4556 3252 1 14133 225 2 3878 1938 1 1954 95 1 5218 1573 1 18800 1707 1 6222 6252 49 9224 5286 1 17019 927 1 153 7008 2 7709 3511 1 18608 1752 1 17085 4998 4 7770 7415 1 17767 11 2 8615 6892 3 11622 2721 1 5900 7439 1 5176 891 1 14010 4351 1 1689 6933 1 745 252 1 8430 46 13 6314 7948 1 2931 2662 2 13476 1825 1 11181 7257 1 17708 745 2 6700 514 11 179 8183 6 17056 5036 3 10593 1374 1 13622 2698 1 2525 5302 1 9567 6946 1 15144 1249 14 9270 6163 1 10348 501 1 11387 1474 4 18781 2015 1 10525 1450 5 12592 7212 6 4969 1712 15 5979 1779 2 8383 1309 1 10733 2104 1 18029 3213 1 10943 222 2 4452 5975 3 12056 1783 2 3436 1374 1 5821 581 9 13985 4312 1 14583 4572 1 9079 1244 2 1120 4294 1 840 1555 20 113 5060 2 17961 1042 1 6387 449 6 836 1907 3 2153 6018 6 13922 6213 1 7931 1146 5 5438 221 1 15363 229 11 11596 7397 1 16887 5007 1 14881 1720 7 10973 220 9 10452 648 1 13283 196 5 14115 8072 1 6772 1761 1 15419 910 1 16784 545 2 4305 5917 4 10495 197 1 1712 4833 1 3308 1454 4 684 1235 3 13123 2662 1 3146 3618 1 35 1955 1 133 6087 7 8438 708 1 5501 654 1 4160 215 2 11936 4479 4 2457 7481 4 4195 1739 1 19331 7850 1 17805 2949 1 18320 719 7 17976 1023 1 16769 5829 1 2593 1747 1 16264 2338 1 14385 6618 1 6544 470 6 13461 74 5 18917 1819 1 1429 1677 1 17392 1298 2 2292 2027 1 10907 537 1 19604 6610 1 17732 2013 1 65 3122 3 7288 3113 1 13055 2637 1 15943 644 1 15091 6167 1 9177 2559 2 11349 6225 6 8859 2509 2 3507 3180 1 13619 6457 4 1547 198 5 11097 2055 1 14678 3573 1 17823 1054 1 15712 2331 2 11018 3911 1 18333 6623 1 17348 4985 4 7991 1664 1 15257 7642 1 18351 963 1 7662 3535 2 7994 2444 1 4804 1717 2 1123 7642 1 2081 3021 1 10670 514 5 12459 4944 3 4716 1730 1 12817 2595 3 7757 2877 2 8709 4060 1 17088 512 1 2795 3258 1 16490 1736 3 2265 206 1 6756 1687 2 9289 1249 1 10647 1917 8 14902 3426 2 15072 879 1 4076 4391 4 6681 3621 6 1760 1747 1 11388 1819 3 6792 1743 2 11214 1334 1 9718 4572 1 5047 6512 1 5401 743 1 18260 6564 3 19041 6663 1 3827 2344 1 14233 244 5 14632 489 1 12030 4325 1 11820 1378 1 1698 2228 3 325 549 1 165 7536 1 8262 7653 1 17218 1464 2 6109 5219 1 2129 222 1 11922 13 2 4963 4351 1 12829 7027 1 890 4379 1 153 7076 1 369 1730 1 4967 505 1 6269 2708 6 15342 3135 4 7483 7674 5 2571 3847 5 15861 508 1 17390 3602 1 5963 84 1 19022 2746 8 3695 571 1 3924 407 1 12367 7586 1 8831 943 2 14722 1770 1 484 3233 1 14753 4478 1 20120 2647 2 8257 6434 13 11590 16 2 4453 1600 1 10977 6074 4 5459 2727 4 19970 3645 5 11766 1245 2 19034 4877 1 12623 3854 1 5908 1467 5 5117 557 4 103 4660 1 1509 5715 1 12980 2353 1 7853 553 3 14346 187 5 18128 1722 1 4841 3980 1 13078 3203 2 743 1235 2 11014 1464 2 16303 593 3 982 4648 5 17187 3575 1 1295 132 2 448 219 1 19465 7076 1 12503 6435 1 8288 1752 1 10636 510 3 3641 874 5 17277 7407 1 12833 4528 4 18275 1734 2 19872 1282 1 17463 1916 1 11968 4413 1 6692 500 1 16425 2632 1 6217 1748 1 8832 379 1 18818 206 1 1634 1238 2 19538 2867 2 12489 883 17 15502 500 1 14251 4435 5 7463 377 1 17252 889 1 15858 203 5 406 5712 2 9406 1825 5 20007 1825 5 16724 1320 7 7148 941 1 7046 1184 3 3705 5952 1 98 4415 2 10307 3971 1 6096 417 1 13349 4559 3 9468 5018 2 19607 437 1 18610 1352 1 18199 6979 1 7306 768 2 16536 4069 1 13909 2860 1 35 1985 52 8859 201 2 6249 2581 1 14145 1763 4 3042 3313 20 10511 2361 3 13215 4314 1 7431 3522 1 2767 2265 1 18083 2981 1 7652 5252 2 6221 1706 1 8614 6581 1 17257 3731 3 3013 5089 1 727 2104 1 8775 7958 4 2274 602 2 15782 2407 4 14663 214 1 15108 7046 1 9726 1770 3 4806 1792 1 10153 1753 9 11778 175 10 13743 1345 3 8016 3365 1 16682 1825 1 925 200 1 16137 440 1 17576 5315 5 19759 541 6 19871 460 4 105 4699 1 1884 232 1 14284 736 1 9104 235 1 13490 1184 3 3134 5234 2 14378 7565 3 9853 7487 1 14429 624 1 6803 5099 1 18949 1395 1 18447 2737 3 18876 895 2 17268 4803 5 11235 718 1 8196 3571 1 2431 1731 2 5053 4963 1 8532 6341 1 8337 778 1 1059 2132 1 1336 1147 1 1104 510 1 18681 1280 3 2795 197 1 14275 440 1 7246 156 28 3630 385 1 173 2671 1 15858 4623 6 1235 1743 1 16421 1235 2 5391 1450 13 14356 191 4 1625 575 1 1801 409 1 10399 1342 1 3283 1710 2 20275 3661 1 429 1271 2 12125 5127 2 12682 4000 1 20032 797 1 100 4476 3 7028 1244 1 16587 3526 1 7946 7251 2 17910 186 1 14384 8183 2 416 6561 1 16727 23 16 12497 336 1 18040 2980 3 15409 1243 6 14738 4252 1 14513 1594 1 9243 1720 1 7566 190 5 9027 520 4 3 128 1 1090 165 5 17809 1728 4 289 2930 1 6433 411 1 10399 525 2 5785 2675 1 17424 84 4 12925 4077 3 13767 8013 1 16618 4333 1 10105 5792 2 17369 6053 4 9341 3634 1 3831 5436 1 19872 2678 2 1530 1464 1 2860 3697 1 19734 201 4 10490 4179 1 8633 2367 1 6881 5123 1 19782 292 3 866 3471 9 15364 845 4 4606 1814 1 16303 3762 1 18211 5205 3 6570 2488 1 2209 2882 1 4090 3584 1 15075 1985 3 8763 540 1 1801 974 1 16730 1019 1 19855 5531 1 1680 2678 3 15948 221 7 7128 6200 1 17599 690 1 13244 1208 1 5911 6939 1 4552 2009 1 4049 3570 4 19872 2369 1 14853 2656 1 3548 4470 3 1283 4379 2 13046 190 1 8657 235 2 18176 1837 2 10530 165 5 14596 74 1 20032 3590 1 3397 864 1 8549 1751 1 932 1991 1 15129 7346 1 16571 1453 1 8004 1245 12 2261 3493 1 8641 4794 1 5565 1036 2 6724 5952 1 7858 7410 1 18982 5506 1 18667 196 1 3683 219 5 8946 799 1 14883 206 2 5960 4539 1 13055 3848 1 12855 34 1 16609 82 2 1631 2080 2 5266 8203 1 18064 7652 2 15025 4796 1 8370 4868 1 15730 6295 1 10692 575 2 15030 2382 1 19735 1147 2 17642 648 1 3035 1738 3 5663 6772 1 17237 203 10 19368 442 1 14992 1707 1 13445 1557 3 18012 1176 11 9957 6113 1 14780 223 1 7765 1889 1 11720 794 2 15874 2721 4 5304 3973 8 8624 1825 10 14529 7397 1 14318 2746 1 1421 7313 2 11913 3422 8 7653 4145 1 3664 3787 2 5044 5419 1 14503 23 29 11844 88 1 2980 6793 1 136 1997 2 17405 3684 1 12453 3816 1 6228 690 2 11746 471 6 2936 2442 1 5302 3876 1 13599 4695 5 6990 3638 1 887 917 2 10730 1748 3 1801 2499 1 13045 1814 7 5199 3411 2 5652 1815 5 8435 4458 1 4055 5627 1 14302 1781 2 2550 5325 2 14306 229 4 12826 3874 6 11687 244 3 19434 1710 1 20009 3135 1 4670 8139 2 14622 1751 5 10272 1722 1 14629 4499 1 9178 2721 3 8082 5945 1 1679 2481 2 19276 1703 1 18709 910 1 18589 4435 17 14301 4020 1 7334 2974 1 13711 235 1 15041 1716 1 906 3084 1 13345 1648 2 17472 3263 1 14387 1395 5 16123 200 2 888 3865 1 14573 812 1 18115 4526 18 1098 203 1 18576 1322 1 48 2430 2 4173 541 8 16339 1736 8 6125 792 1 7306 814 1 7275 4680 5 6527 5933 1 5575 1235 2 19686 229 1 343 1352 1 627 7850 8 8404 4811 1 4334 201 4 3733 7573 1 5578 536 1 6492 1363 1 15898 506 7 3821 671 1 16868 1727 1 2642 3487 1 15979 6242 3 3540 525 1 1079 5036 17 124 5450 1 1043 4967 1 2045 292 1 1013 525 2 743 203 1 17892 4243 2 10145 2004 1 4495 1582 1 8978 2175 1 1999 2651 2 7333 5266 1 8168 8194 1 16481 6161 1 74 3459 9 4467 912 1 19544 1781 1 8853 1146 2 14992 1965 7 8735 541 2 1530 5420 1 6457 3263 1 8943 3540 2 18992 629 3 18181 4794 3 8580 203 15 12897 4029 2 7682 869 1 115 1304 1 18386 3549 1 19286 6085 10 1481 3512 17 5745 3239 1 18667 46 2 14258 200 2 12103 7829 3 4137 1743 2 3579 1710 2 17286 2952 1 18476 770 1 767 7130 2 7965 1424 2 257 3338 2 9484 1150 1 13681 3069 1 5856 3057 1 10615 219 5 15107 1657 1 11218 3956 4 16894 6986 1 14946 7726 2 8518 7765 2 175 8138 5 13334 221 2 2258 3911 5 18140 201 1 20249 411 15 834 509 4 2005 5325 4 67 672 1 20068 236 1 6932 4877 1 6796 5260 1 8019 197 17 17219 5425 2 1568 817 1 3406 5051 1 11006 3233 1 4056 5339 1 15493 331 2 14667 2584 3 7487 3201 22 9493 5880 1 6259 186 1 18737 2555 45 12501 23 3 13508 2958 11 16517 6037 1 19500 1752 1 15497 215 1 18410 755 2 7362 1961 1 18526 520 1 12596 4274 1 5025 1827 1 2387 1236 1 10207 3522 1 19324 1105 7 4016 498 1 13115 1770 35 5316 3838 2 14628 186 2 9471 196 4 8514 200 1 4970 829 1 9968 6520 1 9058 518 1 835 2678 2 19568 501 1 10559 5768 1 16267 8141 5 9941 905 1 7208 957 1 13928 4794 1 14633 6065 2 12623 3879 1 10324 1482 46 10999 4964 1 4850 169 1 1551 173 5 18251 206 3 7531 1825 5 4067 6268 1 13183 4587 2 8251 8183 6 20120 1092 1 15622 1356 1 16213 518 1 10099 397 1 9026 1755 1 6111 1245 1 16197 7958 2 454 7565 2 15456 1721 6 1520 5961 1 16432 1757 1 6888 1721 1 17682 2356 1 14778 3323 4 7414 4529 1 531 867 1 17719 4448 3 17662 1241 1 4311 7419 30 15180 1171 2 659 23 5 7366 1237 1 4009 2894 4 13168 5307 1 9279 186 2 798 8150 1 110 5002 1 3090 1995 1 6757 221 1 19382 8148 1 12281 200 1 16012 699 1 19957 7857 1 1618 8190 1 714 5928 1 8499 13 1 8319 7997 7 9930 219 1 6752 7533 1 5418 6053 1 20191 648 1 2198 200 6 17762 1453 1 19224 3426 2 12260 1464 2 14218 1211 5 8969 891 1 17223 545 1 5972 4370 1 15896 6155 1 2167 1309 1 18317 893 1 6821 523 3 18765 1703 2 14692 1827 9 16712 6697 5 5132 7409 1 1443 5488 2 16625 1965 8 17731 1380 2 16222 617 1 341 6708 1 10605 2964 5 15910 2168 1 16090 5740 3 10087 316 1 7359 1705 4 12900 4357 3 2302 7481 3 6647 35 1 113 5049 2 12887 2019 2 15096 7216 2 10692 865 2 13623 5495 1 5950 4501 1 5490 3227 1 4898 173 2 14549 1332 3 12864 1334 2 5993 1487 1 17415 4002 46 11645 23 1 7688 8143 4 11932 1703 1 9338 1820 2 6183 215 16 35 509 17 6269 1309 13 970 5068 2 17539 207 3 9188 4086 5 6433 3213 4 17891 8012 2 13544 2001 1 143 6623 2 13789 1286 1 13267 525 1 5631 3945 1 16083 1751 4 13829 2673 1 17992 3448 7 10791 2305 1 13705 188 25 680 35 3 1855 7235 20 2006 2549 1 1803 2087 1 18545 200 2 4307 203 24 10091 7829 1 16914 728 1 13465 670 1 542 1695 1 14296 4258 1 15429 6953 1 17580 7829 2 13741 2635 1 16197 867 60 15308 203 5 8693 4640 1 1551 5256 2 14253 207 1 15364 1119 2 8198 2004 1 17433 2327 7 11854 8030 1 6023 5026 2 13183 899 1 16765 8122 1 17015 207 1 18 1251 1 6314 7946 1 10516 7257 1 17587 2325 1 13356 8145 1 484 684 1 18599 8143 1 15893 880 2 11809 6723 2 9581 910 6 11180 1748 3 15202 690 1 16546 262 2 138 6323 3 11270 370 1 14469 3610 1 2917 883 3 1389 4307 2 16231 7433 3 12406 244 1 3703 2542 3 17083 952 1 7653 2400 1 7065 383 3 3874 1739 1 1733 6091 1 7844 6484 1 7649 3370 1 6512 5847 1 11835 3583 1 4714 1052 1 6510 3409 2 18561 3578 1 8998 5513 1 16244 6908 1 1129 2918 1 5447 520 2 5100 3176 1 4759 787 1 8669 6761 2 11111 534 5 6154 883 2 2062 1724 6 4279 4119 5 16734 1482 3 17696 401 1 4874 5097 5 12710 4189 3 7109 4261 1 5111 2646 8 8332 1685 1 6477 498 5 7991 3567 1 11108 380 1 15845 7279 1 4330 1245 1 7271 4998 1 15220 215 1 19859 1760 37 16322 6091 1 17992 2132 4 3408 23 1 11340 8194 1 11901 1153 1 153 7072 24 15939 863 1 19404 2653 1 13665 4459 5 8943 411 15 9660 385 1 4170 5277 1 5990 3294 1 2488 1849 4 6274 3600 1 7089 911 2 17151 6669 1 13652 1739 1 14522 224 2 18801 201 3 16109 1762 6 17189 1719 2 6750 4603 2 135 6204 6 11632 1781 2 2937 1464 1 13126 765 1 10730 1328 5 3668 6754 2 18893 6500 1 2880 3946 1 19724 244 5 18552 6107 2 11533 906 1 289 4945 5 4298 1930 10 12122 3230 1 109 4945 1 1189 1768 2 15497 1307 1 18380 88 12 11617 3368 1 9937 1963 1 5626 5758 5 17097 3370 1 2925 837 2 13699 2675 2 8040 1951 1 7102 7711 1 4854 2912 2 10897 6167 1 17 1113 1 20145 336 1 18206 7240 2 9941 5161 1 15124 6721 1 755 1768 1 11651 1757 5 1259 1726 1 10078 2584 4 9180 6900 3 427 7222 2 11567 809 1 17708 425 1 14015 6970 1 1602 8192 12 2190 883 1 11649 1423 1 19034 5750 3 9957 506 1 812 1248 15 4195 7229 1 2736 7018 4 4498 1308 16 1212 4225 2 3436 1582 1 13361 6669 1 17566 3335 5 19264 1757 1 44 2288 1 16805 623 1 8259 7719 8 19282 1147 1 9042 1715 1 17881 222 1 20 1319 1 3397 936 1 17662 7850 1 9844 8201 1 14708 3234 1 13132 725 1 8416 2710 3 10011 7414 3 7498 6011 1 18210 1495 1 212 5897 6 15931 1747 2 11548 519 1 8808 1772 1 9552 2351 13 5310 575 1 12995 7220 6 6556 1470 1 18664 215 2 11082 2737 1 15813 4436 1 19395 926 60 5216 2955 1 3947 200 3 10496 2001 1 11809 2600 1 12615 207 1 5539 2270 1 9507 6790 1 9364 335 3 18933 156 1 7750 1356 1 18733 7136 1 10733 2269 1 12037 4096 1 10881 905 1 12837 1774 1 16635 6880 1 15154 320 1 2625 308 3 8721 5098 1 1043 1298 2 14296 1757 16 7531 1146 10 15970 4306 1 2630 4015 1 11080 861 16 179 191 10 4743 4640 2 19407 2675 1 9868 4207 1 18781 5441 1 10331 4796 1 8683 779 1 19149 815 1 8591 3684 5 11709 5883 1 19955 7298 3 9250 5917 3 171 7805 2 1024 5690 1 2937 214 1 17110 1191 1 330 1938 1 11320 2832 2 16331 219 7 6710 1789 2 14091 4569 1 15170 23 1 19493 3831 2 18462 600 1 4472 5036 1 94 4330 1 12365 1245 1 8922 3540 4 16714 1178 1 6610 7652 2 6032 1890 5 4551 3909 4 221 1247 2 7830 1023 1 18577 232 5 13699 7933 1 6945 947 1 16222 8238 1 5586 912 1 2372 173 2 681 3788 1 15438 4312 13 3963 2190 1 8211 233 1 6203 1466 1 103 4651 2 8101 5518 1 4071 1747 1 1019 4345 1 17740 3175 1 7991 1613 5 8683 936 2 3824 46 1 2911 318 3 8735 3804 3 7337 995 1 5128 5566 2 5938 1373 1 6519 1784 1 7823 426 6 4736 3404 1 1973 7527 3 4316 2620 1 10722 1985 3 1832 1747 1 18999 496 1 9919 5804 1 16287 199 1 18989 3081 1 13185 200 7 11403 3472 1 10354 207 2 3561 5855 3 18628 6457 1 11270 2118 2 9790 8072 1 16367 6150 1 16036 8060 1 2086 223 2 2778 4833 2 16568 5171 1 14711 3922 1 20106 6268 2 19093 2480 1 8980 2355 42 1551 1363 2 3826 316 4 18693 2542 2 153 2746 1 6752 141 2 6684 6288 1 20 1354 4 18887 3813 1 11545 8167 1 11863 3866 1 5433 864 1 6813 6661 1 9178 2559 4 685 3698 2 3874 1730 1 1038 203 1 18237 234 1 6107 6027 11 19246 5263 2 19246 6056 1 3837 2767 1 18152 203 2 17703 3774 1 2691 743 3 11895 334 5 1000 3585 2 5652 3230 1 11719 1720 1 16227 235 1 6681 3370 1 7490 1734 1 20084 1743 9 12152 656 1 9745 5257 1 18462 2813 1 17141 1634 1 12817 2489 6 527 141 1 19223 222 1 10537 3748 1 13031 1246 4 18029 5131 2 1646 6152 14 12535 7101 1 15978 11 3 7241 525 1 2135 5502 2 14565 1548 1 6451 5292 1 13743 4013 1 330 165 13 16645 23 7 7358 7307 2 14412 3685 1 10720 6100 1 63 3052 1 3076 74 4 9714 1395 1 15943 5254 1 17379 2519 1 15718 7470 2 11458 2374 1 15041 1698 1 1969 6084 3 9310 766 2 9906 1707 2 15548 2256 1 19026 1251 1 6859 488 1 4554 1819 2 9239 2598 7 11192 4879 1 539 1779 1 10117 2800 1 14983 1054 9 18727 533 6 14326 1251 1 6517 6577 2 11 489 2 17549 3072 1 8383 7259 1 17562 1727 6 17159 3511 2 10740 1761 1 20008 533 24 6681 4519 1 7334 3387 1 9566 5288 2 11157 3942 1 16567 1752 54 5248 708 1 20009 5047 1 12176 5730 5 5395 2534 2 5887 4459 1 18438 2534 1 62 2795 1 19806 4394 1 3258 1363 1 5387 7719 1 19722 203 7 7061 4489 1 2116 156 1 11436 4299 1 3406 7857 1 13792 1363 9 17555 1779 4 6812 6183 1 20079 4156 3 3130 4006 1 215 3634 1 18289 2147 7 1043 1731 4 9446 5252 3 16859 2560 11 5053 995 2 10967 5046 1 3562 84 1 14055 4086 1 14526 5837 1 4072 1740 2 17482 206 2 11796 874 1 13899 1235 1 8439 6655 1 2135 532 3 277 7902 1 19428 236 1 14527 745 2 4284 1247 5 3458 23 8 3018 206 5 16421 4807 10 16851 1732 1 16562 3086 2 16997 6993 1 9463 7204 4 3074 3423 5 4138 5255 1 6513 3895 6 11877 3511 1 6213 8247 1 15896 7250 6 12244 7461 1 4757 1825 1 20191 926 1 5675 4992 3 9446 3625 1 3668 3645 1 1214 2348 1 17461 6596 3 15308 1341 5 4459 2814 1 19184 6204 5 14055 7489 2 11207 4727 1 18444 1783 1 7810 1475 2 4267 1695 1 11033 6256 4 18462 852 1 8692 1582 1 18174 3511 5 19596 1713 8 2497 173 1 5155 1715 1 4415 7240 1 3985 6628 3 5421 173 2 11296 1664 1 13000 3375 4 19588 1769 1 554 3671 2 14791 1768 15 5908 1401 6 14211 7146 1 62 2945 1 6590 3899 5 1457 787 1 5407 6084 1 6551 1116 1 5124 3019 1 12570 6819 1 19819 2889 1 7885 2260 1 11762 1703 2 4714 4534 1 3021 1732 1 124 4198 1 17920 1770 1 15052 6204 56 15576 863 1 121 869 1 10912 448 1 18446 6761 1 6204 545 7 7782 4623 1 18363 1752 10 124 4944 1 3719 2969 1 1154 3591 1 6461 2354 3 3228 6757 1 10966 215 4 10057 3537 4 20228 3414 1 18012 7672 1 3365 223 1 7800 1613 2 13055 2912 1 18653 1760 1 18998 3167 1 11020 357 5 16147 2559 1 6332 186 1 11418 3592 1 17995 3751 4 11406 222 2 6381 756 1 15634 3155 1 6987 5048 1 203 8026 1 5074 1731 1 6587 1719 1 4828 6092 6 14911 6618 1 3962 6183 2 7509 6071 1 13080 517 29 8394 366 2 4302 470 6 10214 6377 1 15936 366 5 17992 2027 1 19833 2507 1 11248 3073 3 3127 134 1 7571 1241 1 13633 1356 3 17926 8096 1 17572 2577 1 48 2396 1 16838 3920 2 19369 8048 1 822 437 3 4264 7511 8 3955 1751 1 12991 221 2 18537 2071 1 19163 2368 1 5261 6053 54 10613 1729 1 16805 3855 1 2962 7705 1 10498 7571 2 13328 243 1 6032 1333 5 2899 1246 6 10337 1782 7 11350 1050 5 16457 928 1 11741 7101 6 16130 741 1 3485 206 2 1036 2071 1 7418 7073 1 10 317 1 16232 4075 1 3352 1768 2 14250 3513 1 3483 6946 2 12361 6397 1 14416 5446 1 153 3382 1 3439 2534 1 10027 1238 4 12575 252 1 11629 638 1 939 2662 1 8191 3883 5 14650 221 3 16773 4321 1 19425 6031 1 8598 1741 3 9752 3511 5 12988 5566 2 12777 3862 1 7224 1819 1 6333 6382 1 15753 205 3 10519 1776 5 8160 2114 3 2598 4636 1 4046 1007 6 14567 1910 1 1783 1757 1 19160 2356 1 19865 2368 1 952 411 3 4969 2325 1 6731 1589 3 12406 1399 1 11406 4960 1 12362 2777 2 9759 2319 1 19649 1164 1 13560 4312 2 11199 536 1 11611 1464 7 18950 5537 1 2704 1745 1 62 2873 1 10532 5401 1 17459 943 5 1122 201 4 2886 575 1 207 751 4 9816 475 1 19840 7769 11 12892 6406 1 10376 2536 4 10948 23 2 1361 1324 2 7188 1721 1 14558 2626 1 3377 3247 2 2829 753 1 13492 4013 1 10551 5294 1 8271 1235 27 9478 1667 3 13439 4672 1 10107 3298 1 10939 4156 1 14416 1703 1 13089 1756 1 18978 184 3 17767 7809 2 18357 229 1 15419 1946 1 11192 430 1 5022 442 1 11440 223 10 15788 244 1 6141 7300 1 6344 206 1 16294 5496 1 2172 719 1 5775 1770 3 19898 5741 2 10313 4248 1 3974 4065 3 4861 2438 1 9873 206 1 13338 1054 1 18534 1421 1 15364 7999 1 4305 718 1 162 7388 1 2581 1243 1 11844 2555 3 12897 1243 1 7458 6716 1 4145 184 1 54 2590 3 17338 1819 1 14430 1145 3 15518 518 1 17600 2618 1 10436 10 1 16758 1726 1 1580 860 7 18660 1732 1 6238 3135 3 4146 1247 2 14155 222 6 10436 5121 1 19972 381 1 14114 653 1 19761 2128 2 8537 1283 1 65 3153 2 13909 1757 13 4946 4098 1 3765 368 15 6164 5441 1 11726 6442 1 12216 514 1 3718 6278 2 5753 219 6 5716 532 1 3031 7770 1 153 6879 1 7135 1253 1 929 3492 1 5360 7702 1 6553 3743 1 14522 1252 4 824 156 1 12417 4683 1 17331 1760 7 1497 1825 15 15737 3748 1 6824 7054 1 16574 5560 1 6658 3134 2 16294 2333 1 13922 1686 1 9869 744 1 11238 8093 5 16428 7187 3 16270 608 1 12410 1819 1 4055 742 1 10699 1738 2 4092 2817 1 12777 7060 1 11755 499 1 5280 1458 1 11062 6141 1 15576 6793 1 382 7029 1 6269 3510 4 6907 2626 1 9826 1819 3 3962 1752 1 18499 3096 1 17219 3329 5 1631 2563 1 18610 5671 1 13667 282 1 11769 1548 1 9061 5266 5 13973 2889 10 13586 7689 10 8503 1239 1 7526 203 6 5596 438 1 2905 1342 1 4498 3412 5 16346 2743 8 11826 1237 1 16850 1328 3 3118 718 5 18637 223 1 16825 2261 1 4663 915 1 10593 7446 1 9221 132 1 14755 3588 10 44 2293 5 160 7282 1 14746 292 1 8229 5082 1 16605 3427 1 10110 7986 5 14009 3583 1 13251 6435 5 1718 2552 1 5261 1756 1 3281 4796 1 508 2256 3 2180 863 2 6960 2742 2 2951 510 1 10245 2508 1 2687 496 6 15635 778 1 16109 200 2 5257 7734 5 373 1765 1 944 2649 1 8895 1695 1 19056 2087 1 5340 221 1 2682 1529 1 10384 5064 16 18263 6557 1 10051 6544 1 10621 3389 18 3676 1571 1 16702 3334 9 19426 4296 2 4049 4143 1 10692 596 4 18 1240 1 6866 221 6 14992 4022 2 4951 1242 1 10033 2876 4 19995 4328 1 20256 8072 1 116 203 6 5787 1474 2 5025 5285 1 2462 6459 4 6892 879 1 5172 2027 3 2219 1883 4 8785 3422 1 3110 2450 1 628 3901 1 542 387 2 14045 3261 5 5973 7073 3 11 490 1 4192 2778 11 2154 5093 1 9767 912 1 5623 5788 1 6205 3334 1 189 476 1 5141 184 1 5745 638 1 8375 3422 6 4186 6207 1 16895 2964 4 16283 2488 1 14322 207 3 1964 7534 1 1590 3050 1 8097 191 10 13046 1738 1 7295 720 1 7646 3448 1 6553 722 1 3672 3911 1 7121 302 1 15172 1416 7 2917 2118 4 13829 233 1 13619 910 1 19258 3556 1 12838 1044 1 8581 3667 1 12895 5737 6 11975 220 1 19741 3608 1 16980 5730 1 12941 5740 1 8406 1250 1 5977 501 1 10054 2378 1 16894 981 3 8129 710 1 4311 23 4 4632 8183 1 18530 200 1 4716 1234 1 8037 3899 3 12252 5370 1 13333 1498 6 917 6635 1 6868 2534 1 14005 3011 2 6868 2792 3 18260 2721 1 5342 2026 1 170 5325 3 1133 7186 1 17930 1762 1 18447 292 4 18428 200 1 15608 2930 1 9014 5517 1 14626 2404 1 10997 7936 1 16333 2495 1 6527 4515 1 12060 4718 2 19014 244 1 13389 7120 6 18 1237 1 7188 495 1 11019 1745 1 15567 1655 3 7263 3869 1 9155 6537 1 841 1881 1 14616 201 1 8746 3558 1 62 3028 1 11877 1644 1 7331 3427 3 4977 7964 9 16997 2666 12 3404 385 1 12323 6363 3 12239 5097 3 14183 4470 1 17870 4279 1 10010 4379 12 19537 2056 3 8656 8022 1 20145 1775 3 5796 1240 2 18153 3082 1 6183 1373 1 14908 1315 8 11309 5048 3 259 495 9 15315 3573 3 7150 4245 1 18172 5004 1 6437 2509 1 362 7850 1 100 4513 1 1536 200 8 18910 1593 4 19813 303 1 4072 1153 1 1160 7117 8 17767 1732 1 16257 252 2 2086 200 42 5563 3494 1 11254 1772 3 17830 3009 1 1129 1466 3 3765 4036 2 18298 3184 1 5690 4963 1 14296 421 1 18733 4107 1 13883 5654 1 9173 1248 1 10973 6480 1 5542 2549 1 1673 95 66 11687 3487 10 12670 724 1 13751 745 5 20017 375 1 16557 4014 1 19160 2024 1 14680 6165 6 15826 419 1 17332 3224 1 18740 5255 1 4880 597 1 10720 4635 1 19727 2656 1 2151 4563 1 9319 6406 16 1675 522 2 11574 1758 2 12766 5440 1 19974 3691 5 8129 926 1 4974 196 1 12878 867 1 42 2205 1 19993 1706 1 11271 2746 1 2292 6692 1 7817 1656 1 16886 4635 2 7853 1357 1 11762 1707 1 15266 798 1 14784 1164 2 126 5629 1 1692 5018 1 7221 1631 3 5387 6777 2 1606 913 1 7871 2444 1 1318 3242 1 1843 766 1 4587 4065 1 4706 23 1 1108 214 23 15285 1342 1 92 4173 5 10753 215 1 19021 7141 2 10816 6744 2 17177 2003 1 20062 225 1 7726 2540 1 8368 5995 1 2710 225 1 7610 5286 1 4492 203 10 18026 3367 1 18193 518 5 7135 2360 1 10821 3024 1 16925 2003 1 10094 497 1 2274 101 1 13827 863 3 3085 2004 1 3980 214 2 6570 3603 5 1590 566 3 18289 235 13 9969 501 2 16382 2552 1 16427 203 3 11786 7300 1 3491 8187 1 13126 5715 1 1904 1757 1 6234 845 1 5706 514 1 1498 4375 15 1592 4967 1 8730 2508 1 3151 3119 8 10390 203 1 13913 4706 1 3585 1891 1 2779 215 2 18082 6011 5 3121 7101 8 6906 1685 1 19270 196 1 13589 8183 13 1067 7919 2 13055 4505 5 654 1241 17 7893 3907 4 11202 8008 2 8318 6623 3 2124 5826 1 19731 7298 1 3171 3119 1 16936 1278 9 83 3838 1 14233 221 3 15453 6166 3 1794 1440 1 12764 7597 1 19638 2442 1 9689 263 1 8057 6534 5 10579 1172 2 3175 954 1 5361 200 18 4094 505 4 41 2148 5 14554 4623 1 9264 5810 2 12401 823 1 10130 4077 1 10692 931 2 7879 3021 1 6106 4336 1 14965 962 1 2019 407 1 3613 525 10 16143 929 1 4237 5551 1 5738 8099 1 14412 103 1 14079 4780 1 12531 1252 6 2851 6192 2 9642 2686 2 17577 4403 1 11612 1374 27 16132 316 1 3195 3567 2 6681 7470 1 15330 215 1 475 4333 1 7017 1302 6 6515 1703 1 3874 6201 1 17137 7466 1 14052 4270 1 12640 3796 1 267 525 1 12009 4213 1 5711 295 3 593 1235 1 6463 6922 2 8351 1727 1 9429 1727 3 19924 3193 2 2330 7013 4 12725 5022 2 229 5905 5 11252 5084 1 16851 3634 1 5519 1781 1 19914 567 2 9745 5256 1 13883 5269 1 2810 495 1 7569 458 1 14630 501 1 13601 2341 1 2480 7850 1 17152 235 4 19579 5970 2 2201 3685 1 12676 2103 2 10176 23 4 118 1994 1 13867 203 1 19822 3224 2 3718 197 1 6028 7716 1 873 660 1 9495 3920 1 19460 6051 1 11632 7829 2 11399 5186 1 7444 3563 2 7688 2499 1 10717 8154 1 18737 525 10 11779 6358 1 3170 5007 1 14994 4999 1 19706 200 5 9519 859 5 649 2268 1 5354 4366 1 17697 1707 2 17194 1818 1 5306 3946 1 19160 1440 1 8585 8188 2 15025 1658 1 9759 514 4 6690 2722 2 2075 220 2 8951 4609 1 697 1761 2 13763 2899 4 10268 225 4 670 186 1 8930 207 4 4056 5281 1 11706 4807 18 7840 2675 1 9010 6436 2 16249 400 1 7832 1740 1 8665 1383 1 11416 1235 10 13 594 9 713 8111 1 504 1416 1 14147 1277 1 5875 7308 4 2641 2384 1 3005 845 2 18027 518 1 15943 679 1 7853 832 1 19286 196 12 3152 1383 3 5615 7616 1 15140 1751 2 8223 2011 2 13374 1251 1 130 5944 1 19126 7750 1 16924 2990 2 19115 411 2 1315 7846 1 6641 2683 1 3908 609 3 17628 460 1 9828 4950 6 17171 436 3 3103 200 1 2386 2650 8 15456 1453 1 7520 3167 19 165 7527 4 9450 500 6 10430 2398 1 9919 575 1 3376 7542 1 12176 7473 1 4479 7719 12 10907 5518 1 15833 2097 5 6534 1395 2 19913 5018 4 2079 3705 2 20072 1747 2 9573 498 7 151 6792 1 14570 2480 1 10482 2896 2 4141 207 1 4417 200 18 5021 2675 1 252 3647 3 10010 1529 1 14205 6198 1 14252 5488 1 17764 23 13 6813 215 1 95 1929 1 8221 4016 3 9949 5052 1 15075 7275 1 3324 2698 2 8678 1535 4 7966 1663 1 48 1295 2 9177 225 1 8305 3540 1 3975 1768 1 5044 1887 1 3358 4018 1 9013 6231 5 4832 589 1 3546 2881 1 11081 4242 5 12028 411 2 8189 23 1 1743 2010 1 10313 2367 1 16509 5664 2 12551 2151 1 3109 1769 2 16817 1819 1 1834 6673 1 8532 506 2 163 3138 7 26 1511 1 19975 1464 1 4898 1737 1 13028 3233 1 8202 5517 2 12217 5319 7 14095 3868 1 12877 1363 1 12299 1805 1 373 4567 1 18893 1437 1 12016 2056 16 2956 561 1 16296 3909 1 31 1725 7 4615 3135 1 940 534 2 16346 447 4 9457 2447 2 7262 6166 7 15751 203 5 1465 6170 1 18243 1737 7 4905 545 3 16028 1756 1 14312 7052 1 8110 7013 1 10151 6591 1 12011 1819 1 16046 3635 1 8161 484 1 17000 4746 1 10438 4333 1 11247 249 1 15495 1247 1 19757 7407 3 10316 5187 1 3467 5008 29 15213 1007 6 14147 3073 6 16301 1776 2 573 1762 18 19590 7719 5 9745 3798 1 18906 7616 15 5023 2883 1 13826 4929 3 16857 5018 31 13314 509 47 11111 1781 1 3583 178 1 19336 2626 3 6934 3433 1 15826 1357 3 19770 7427 1 5890 4836 2 5588 411 2 17003 5897 1 15838 2268 1 14298 224 1 3150 3086 1 3365 1718 8 3595 855 1 456 1184 1 91 875 1 6795 1724 4 7267 6268 1 16033 4673 1 926 1760 1 18053 1707 1 8833 304 1 5021 7406 1 12182 1495 1 4921 84 2 5775 3233 2 5789 1738 1 11616 911 2 12988 2127 1 18443 2282 2 6001 215 5 150 6500 1 6907 719 1 2920 498 2 12177 3669 1 13578 1734 1 16236 2360 1 8031 1396 1 8687 506 3 16511 1720 1 4240 6900 1 5158 850 1 6068 84 1 11928 1509 3 11317 408 1 16670 4702 10 19294 1726 1 8469 6102 1 14965 638 2 12918 2626 5 10518 1028 1 18959 5686 2 9720 6189 1 11931 336 1 16458 411 2 16212 4987 1 15686 2356 10 14522 8090 1 10232 4405 1 819 7538 2 991 4884 1 43 2249 2 11742 420 2 16951 6427 1 6323 2016 2 2386 6225 5 20059 929 1 607 1085 1 12811 6880 2 10855 1774 1 17011 184 2 19056 187 1 2386 2608 1 4129 7184 1 7017 6374 1 17164 6373 2 14535 1561 4 3934 1705 1 48 2446 2 16621 507 1 17935 318 4 2726 397 1 5934 193 3 2543 1251 10 9091 214 4 16925 2369 2 3627 3905 3 20240 214 1 16093 7181 4 3236 5420 1 17295 223 1 18431 1235 2 7670 715 1 15575 882 1 5472 1751 2 11550 1339 1 17353 2708 2 16736 404 1 17344 215 1 18244 7474 2 8439 1681 1 135 6155 2 13174 23 1 16746 1239 2 11729 2363 1 17012 2591 19 4387 4949 1 2055 215 2 349 3588 10 9767 10 6 19957 390 10 17996 7920 4 3544 1296 1 10661 4800 1 11388 498 2 13490 742 2 4212 223 1 18891 3334 2 16309 3233 1 18581 5097 3 8444 6228 1 6998 186 2 6867 5690 1 14767 23 2 15030 5109 21 10316 3747 1 19085 1737 1 11610 206 3 19645 2644 1 1810 3230 16 18512 7902 2 16471 863 1 1906 5547 1 2876 1736 5 15143 318 2 433 5440 1 1443 4946 1 2880 2487 1 14892 1561 23 13117 6890 1 14764 5098 2 5287 647 1 18464 1802 2 1843 5618 5 18199 365 3 14305 342 1 11612 1713 22 19326 2555 1 16542 524 1 2362 1726 5 6501 1780 3 18375 2380 1 540 910 14 3414 470 1 239 1582 2 19400 6009 9 2512 2534 5 7962 1965 2 9877 6957 5 19648 64 1 11938 5341 2 140 6432 1 11678 6067 1 2274 377 1 2707 197 1 16984 8157 1 15429 2686 1 6448 5129 1 2917 897 1 8915 2605 1 4921 7229 1 3429 3453 3 171 7637 1 10771 3979 2 15763 1938 1 2066 2555 7 2067 244 2 15460 6374 1 18893 7914 1 9168 1374 2 7455 3021 1 15536 1728 1 17257 761 1 7089 203 5 15895 6933 4 13 866 1 19516 7250 1 5972 4174 1 15714 3452 2 18814 4009 1 4837 3626 1 4003 5756 4 17568 1724 1 17082 2618 1 15140 6140 3 5326 200 2 14645 1772 2 15508 1191 1 19639 1771 1 6412 3072 12 16857 6705 7 7495 7275 2 17084 4937 1 13893 6647 2 13623 1721 1 4072 3972 3 13385 2938 1 10093 4307 1 7557 5408 3 3817 1727 1 42 2197 7 3673 7704 1 11964 1239 1 18398 1751 1 5132 1775 1 20265 1729 1 2087 2552 1 12077 1342 2 3494 883 2 19140 230 2 1741 1707 1 3765 2995 3 6038 11 1 10911 690 1 570 2522 2 20158 6706 3 14865 2923 1 3673 7363 2 17260 5036 20 9224 943 1 1863 214 5 9543 2007 1 7966 758 1 10762 303 1 14773 46 6 11599 3476 6 1609 6925 1 17779 225 1 13845 3203 2 19814 2355 2 20276 3025 1 2303 5002 2 10353 4204 1 2213 3231 2 6588 4042 9 10923 5783 1 16665 525 9 18040 561 8 8362 187 1 5336 3438 4 1335 8127 7 1259 215 15 20219 534 1 68 3262 4 18082 6330 1 12758 2291 1 13035 1251 4 18535 7210 2 12412 316 2 4357 1797 2 9696 883 1 6509 6545 1 17736 765 1 6343 3431 1 5356 2010 1 13105 260 1 14695 7604 1 8022 5420 4 5928 5074 1 16979 2675 5 12119 4635 1 20145 536 1 1109 4029 3 12704 167 5 14330 4998 1 3262 2560 1 3607 2964 1 10573 1342 11 18593 1742 6 4305 561 1 13626 1968 4 83 712 2 19130 3453 1 12964 1190 47 14860 7362 1 19822 3667 2 8518 7228 3 16557 1282 1 1999 1717 7 12102 6997 1 12251 6225 1 14552 3556 6 17608 6406 1 3824 7601 4 812 365 1 17960 6669 1 8610 3511 4 4658 7878 14 20207 2897 1 1636 5449 2 18420 180 2 10772 244 1 15566 1507 1 4631 2829 3 3218 3212 1 17494 35 3 3362 3604 1 16684 1244 3 1749 2650 12 19104 444 1 15722 236 1 1571 252 1 2383 956 1 1977 3119 1 17952 1374 4 15105 23 2 2739 447 2 18511 244 3 5310 640 1 16483 489 2 100 706 1 13031 1721 1 18701 4006 6 9319 2353 15 17395 381 2 7455 2003 1 19854 4375 83 9194 470 1 4536 1529 1 11809 5798 1 10553 3974 1 6371 811 7 7727 194 19 17953 1395 11 12037 4172 1 149 6734 1 8946 790 1 1633 1780 1 9056 3697 1 1050 1758 2 11993 793 1 1866 723 2 11895 1298 1 15314 7811 2 110 23 5 15230 1717 3 8328 5880 2 4054 188 1 8035 203 1 6869 578 2 8580 34 1 16426 534 4 3340 319 2 12595 1718 1 2208 3662 16 8831 6396 1 4508 1819 1 16146 1727 1 2715 3590 1 19276 6579 1 16378 173 5 6855 2963 1 13461 1732 2 8991 3699 1 8946 852 1 91 4099 1 16092 412 1 7925 3207 1 17662 1768 2 873 5306 1 10080 201 2 13873 2635 72 19137 745 7 11786 3475 3 16266 2620 8 899 758 1 12322 1776 5 4092 7089 1 7203 471 1 13185 5986 2 9909 2595 1 696 3915 2 10966 4983 1 4774 7231 4 9809 6717 1 14099 2727 2 12915 7466 5 2919 6424 2 13490 769 3 6398 1593 5 12112 57 1 391 4635 6 3536 1740 3 8654 6880 3 14358 1893 3 13185 3699 1 17673 4196 1 13271 768 1 4784 197 3 12777 6141 1 18113 3710 1 10851 1380 2 13601 1995 2 4898 1768 1 11798 3982 1 11327 512 2 19687 4929 1 18672 412 1 16249 3573 1 18062 6343 1 2935 3628 6 12765 627 1 11766 6167 5 1798 4944 1 6058 1661 1 7445 534 2 18735 6241 7 10920 7252 1 13949 7915 1 16270 243 1 6927 201 1 6023 1259 3 13824 1308 1 11820 1307 2 12540 917 3 1689 3263 1 6433 5018 18 4694 1927 1 6429 1798 1 3023 868 1 4885 3509 1 5136 1722 1 8376 3109 11 12710 158 20 10590 1893 1 7002 3227 3 16354 5261 2 5088 1743 1 8554 1901 1 10543 1732 5 16006 165 2 19914 918 1 12548 207 1 19323 6534 1 13234 4069 2 18534 6205 1 9463 2422 1 6464 215 3 12449 201 1 17076 3449 1 19296 1251 3 10264 8047 2 5211 6955 4 8914 1955 1 14690 1236 1 8674 3876 1 13461 1715 2 160 7330 1 19332 6243 2 15585 2770 1 17680 1720 3 1849 470 6 18160 2341 2 2990 4123 5 1853 8034 3 16859 7153 1 7090 336 2 10079 6597 3 4108 223 1 16088 2675 7 19402 2343 10 11428 1814 5 2219 2889 1 3561 1721 2 3618 224 1 10073 5245 10 9371 3432 1 20191 5260 4 17992 8139 2 9561 2114 2 19751 1770 5 15091 3426 1 11929 1825 10 7599 1242 1 8556 1814 1 2844 1324 1 5906 6454 1 5818 1946 2 13266 1146 2 9155 3725 1 9332 8054 1 4449 2342 1 92 4155 1 4536 545 2 18017 5775 1 8456 7569 1 8937 8185 2 1865 2803 1 19193 3512 7 13488 201 2 1019 1296 1 6740 773 4 12778 3690 1 19265 545 3 9418 23 1 6535 1395 2 4860 3735 1 1505 2027 5 19034 2743 1 16286 1146 1 13894 2889 2 1510 4462 2 7705 704 1 9093 1251 1 100 4561 2 10452 748 4 1141 1724 1 8184 1819 2 793 523 1 7181 196 25 6848 219 1 608 7712 1 14196 206 2 9322 1573 1 18646 7674 1 3544 3562 1 18748 3492 1 3513 4351 5 16758 1236 6 12152 1610 1 9029 4291 1 17719 6150 2 7780 7850 1 16689 5809 1 6631 23 11 16485 7655 4 2910 4591 2 3217 5019 17 10197 8183 1 7099 4390 1 10182 205 1 9763 910 2 8405 5333 1 136 6255 1 10060 6570 3 1554 4288 1 10706 5292 1 17184 260 1 10856 4413 1 5117 659 5 4116 1687 1 9119 5480 1 10670 952 1 17948 8194 1 8471 2686 2 9899 5758 5 16834 1474 2 8269 718 1 11006 2675 1 6513 2256 2 6099 4234 1 6183 1724 2 1677 6014 5 6045 506 3 11327 244 8 17910 196 1 9969 1464 1 1125 2953 1 5 157 1 3358 900 1 12638 6084 3 10706 6585 1 18610 492 1 17992 7292 1 7568 4009 2 20032 6577 2 2483 6363 1 9800 745 1 6927 1251 1 18287 3639 1 18431 2424 1 9450 1726 3 8322 126 2 2396 6341 1 13743 237 1 11367 4029 1 10973 2096 10 16645 877 1 7548 3694 1 8166 7809 1 6656 167 1 13683 1323 13 8530 4524 1 2518 5971 5 2585 2542 1 10856 2459 2 3516 5333 3 1865 1724 1 12030 1686 2 16648 4951 3 5831 215 5 9645 1250 3 11790 1749 33 9178 2729 1 6423 73 12 16017 2938 1 12020 7787 1 460 203 2 3395 1770 1 14935 867 2 16643 6421 1 6086 5441 6 10859 1424 1 83 2655 1 4319 1246 1 9883 3267 1 14251 525 1 10120 5698 2 14221 1249 1 14539 1 2 16255 3233 1 92 4134 1 750 2271 4 7285 660 1 19870 5347 1 4552 2571 1 12414 6634 1 10056 3233 5 983 2118 1 16637 1816 2 14118 4465 1 20179 1829 4 11353 6984 1 2886 5708 2 130 5840 1 3934 4940 1 12049 6721 7 11663 4029 13 14848 200 1 6198 385 1 16674 383 2 12729 1895 1 5848 4721 1 20048 4345 1 6004 2832 5 15772 23 16 12457 2068 1 15614 2097 2 6324 5446 1 11436 6442 1 15698 1771 2 20191 2488 2 16185 57 1 19286 3916 1 1433 1482 1 12890 1244 2 16138 4245 1 6723 3213 4 10105 4372 1 7432 4952 7 7184 1747 1 8055 2559 15 17549 229 1 12377 7626 1 13811 4567 18 10907 5436 1 15144 1184 16 3531 245 1 15845 1259 1 9387 6135 1 11057 7712 1 8961 2555 6 16604 201 2 19409 753 1 8591 190 1 2704 441 1 16930 184 3 19727 6066 1 10240 2646 1 18079 5748 3 14896 184 1 6383 5331 1 4163 2729 4 3430 1363 1 4070 6540 1 4012 7200 17 3358 23 1 16237 1333 7 5158 3402 2 3003 470 2 7751 1781 1 4749 498 2 10918 1369 1 2778 4918 2 2791 411 1 745 903 1 18858 2671 23 17493 6080 2 20146 5415 1 3417 219 7 5641 6031 5 4811 6435 4 11345 203 2 5304 397 2 10463 2683 24 8655 338 3 2186 4508 1 12054 5767 1 9534 2678 2 18691 196 1 3427 5653 1 6135 2686 1 2122 5996 3 11826 419 1 10554 4710 1 9773 1825 26 4632 6061 4 4165 1539 3 10237 4448 5 8640 4258 17 3700 2369 1 1794 1464 2 11317 1772 1 5743 207 13 15063 1982 3 16481 6109 1 9912 223 1 4498 1561 2 3547 1363 2 11932 8029 1 19395 6984 2 5564 190 4 13587 416 1 6449 1312 1 3043 5474 1 5488 1729 1 15824 3482 1 1104 3492 4 3585 5673 10 16636 724 1 5141 1266 10 19029 3007 1 17449 1781 2 13642 2378 5 7293 1453 1 3734 793 1 2236 2484 1 3170 252 1 3734 201 1 13802 2728 1 9720 2649 2 8322 6484 2 12317 1738 6 4287 2686 11 12807 1712 3 15203 4500 1 12640 3987 2 15086 1193 43 9660 5119 1 17743 6139 1 4545 7651 2 17392 220 1 11846 1244 2 8259 6868 4 8264 3698 4 873 155 3 16636 7021 4 4618 6542 1 2509 752 1 12177 1450 3 17342 4318 2 17028 5097 1 1306 1752 2 15686 7955 8 14474 2729 4 4299 3276 1 7138 1891 1 19033 2880 5 4286 7915 1 10290 236 1 15885 7098 1 17076 3433 1 15885 4392 1 10865 5018 2 1379 416 3 10856 232 4 8415 1756 1 8389 6252 1 11097 4971 1 10313 367 8 6869 222 2 16583 436 1 1606 1007 2 19782 276 1 19649 1761 3 13743 4022 1 3397 945 1 18015 1245 4 3794 7753 7 19223 512 2 13 914 1 10024 3146 1 15614 1235 1 5280 5425 1 10112 4245 5 8708 498 1 4840 708 1 2842 3338 1 4949 5513 3 12392 1764 1 8849 1995 1 3925 506 1 113 5074 1 1604 7215 1 5615 244 1 20123 606 1 10546 2528 1 7991 3869 2 171 7608 1 9949 7771 4 6719 6844 4 5478 4702 11 7181 2671 2 8776 2355 9 15649 499 9 4631 3526 1 3118 759 6 6839 4363 1 18575 2600 1 15087 7808 2 14048 6435 1 6796 2864 1 10285 97 2 9250 202 1 16608 2241 1 5679 3389 4 6375 1656 1 6506 7515 1 7119 2736 5 17416 1333 2 314 1752 3 19428 525 1 3468 4105 1 2862 5312 1 16817 201 3 417 2098 1 8957 6626 1 13283 3685 5 1084 2193 1 9075 1784 20 14006 5133 1 12685 789 2 17180 6705 3 18279 858 5 10554 7576 4 4287 506 3 16778 4435 1 18912 7601 2 6556 2880 6 10487 1686 1 11345 219 1 1864 1184 3 14758 737 1 10107 3275 1 15343 1334 3 8930 8113 2 44 2276 1 19512 1751 1 16161 5127 2 4735 603 3 15411 1561 2 6055 4929 3 13405 512 1 6016 6748 1 15098 2013 15 1379 4304 2 6049 895 1 9874 3691 2 13 839 5 4429 2368 1 17311 8188 1 3151 229 1 5362 1819 9 17112 1715 7 17549 7311 1 20130 8102 1 18979 1994 1 14315 6534 3 17449 206 1 13031 2675 13 20009 7229 4 8946 853 6 18739 1253 1 54 1656 3 15107 2518 1 4716 1703 2 7356 3375 4 2380 5323 1 3531 1379 2 5451 4467 1 17086 331 5 20156 2885 5 1454 5969 5 10950 4572 3 2992 3399 2 16951 7531 1 12121 1819 4 174 8038 1 5597 5352 1 12993 1758 1 10530 6341 1 19579 452 5 12244 7672 1 14261 1778 4 4941 3438 2 15400 229 1 13 721 2 7136 2632 1 5326 1819 1 20202 5004 1 9816 545 4 11212 533 1 6471 954 1 3037 541 1 10078 162 1 7226 4527 1 1801 390 1 6407 5758 1 12864 4986 2 14184 5082 2 8298 96 1 4691 74 2 14902 6053 1 7283 1590 1 10034 4199 1 1226 8158 1 15722 225 3 13967 2699 3 14657 1555 1 13743 2363 1 15396 1776 1 13937 1237 2 11789 5425 1 1780 200 12 6357 4951 1 15323 3635 1 13249 4060 2 13601 221 2 992 2356 1 6228 316 1 4784 6378 1 16090 5291 1 9063 1781 2 13017 6585 11 8597 1150 3 9759 1249 1 3361 6032 1 15709 1296 2 5463 6897 10 2342 6192 5 15426 1729 10 20025 8188 4 2562 1760 1 19331 186 1 19270 6152 1 13829 1783 3 3172 196 1 6630 6297 1 12449 7201 3 15910 5072 11 6488 6527 4 8952 689 1 7145 960 1 669 1703 2 734 7792 5 1641 2555 1 16860 1064 1 14430 2076 1 16183 3511 46 5245 2352 6 3810 10 1 11562 7289 1 16547 320 2 4189 7857 1 10256 2675 1 9082 215 12 3901 6147 1 2906 206 4 16612 4428 1 13928 1357 1 11014 6414 17 17132 1705 1 17154 2292 1 15742 4252 3 16887 449 1 2345 4303 1 12954 7498 2 16965 4295 1 2772 3400 3 7823 3170 6 14305 794 4 4488 5264 2 3337 629 2 12660 2698 1 14035 7104 1 7450 1146 2 16016 13 1 1481 4653 2 13035 651 8 9204 2419 1 16327 1548 1 6144 2206 1 16869 1707 6 5997 4996 2 17416 1756 1 1671 891 2 5584 6023 1 12501 244 1 9212 207 5 12376 1342 17 1725 497 1 17734 148 2 2066 219 1 17061 5151 4 13349 6011 4 4805 125 16 4259 13 1 979 1776 4 7765 2673 2 17630 505 1 17531 3742 1 11756 3417 1 5425 2671 3 20090 4231 1 8156 6091 1 6259 4764 1 14658 215 13 346 1150 3 1551 1781 2 2996 1685 1 10684 1717 1 218 3181 1 17224 201 1 14489 6673 3 13387 3633 1 4542 1996 1 1361 3233 1 6313 3583 4 11517 1484 3 1328 2671 1 13 660 2 18970 1724 2 8456 1277 1 15408 1819 7 8650 3202 3 7892 6640 1 6024 5649 5 6768 411 1 2282 2103 1 4536 4614 1 7571 128 1 10410 575 1 8408 3556 1 6450 2521 1 4850 5479 4 17092 2056 1 16249 641 1 9402 3031 2 16087 4020 1 19981 3322 1 3000 4657 2 7158 6406 2 143 6575 1 35 1951 1 7662 6897 1 4545 7791 2 19500 1705 12 19314 3129 2 6644 323 1 19822 7673 1 11326 23 2 1626 1548 1 4283 4299 1 13594 975 1 2886 6970 2 1389 4225 1 17961 7570 2 20031 1761 1 7994 857 1 10525 8141 22 7486 1246 5 15943 1989 1 5602 221 1 7454 6874 2 18844 6053 1 5112 3138 1 6611 232 1 12066 1737 1 20022 4316 1 1117 4409 3 6966 3615 1 19826 3809 1 1745 2980 2 10464 1416 1 12856 2875 1 14087 3327 1 11509 1548 8 15648 6226 1 5573 599 1 15995 4603 1 17416 592 1 16674 1495 1 4055 3453 1 7892 221 2 18120 867 2 7612 3459 35 17009 220 1 13050 6288 1 18285 5825 1 17267 215 3 19364 1887 1 15937 7815 10 9857 3847 1 4467 220 5 6177 4227 1 3358 3849 1 3111 7073 2 9367 523 1 8029 1955 6 20123 6588 2 1883 7351 1 7347 712 1 8198 383 1 296 2930 4 4889 1762 1 7214 1689 1 69 3266 2 7356 3909 1 121 5315 3 15450 3457 1 15634 1305 2 4214 5005 7 11835 6069 1 2167 1656 1 18633 2452 1 7295 2761 5 10290 1783 1 153 6993 1 4905 244 2 16288 2675 1 6335 545 1 20192 2254 1 8679 6029 1 7533 2488 2 130 5895 2 8532 8141 1 2404 1251 17 4777 1775 8 12652 4204 1 1383 1927 3 10465 4944 3 19500 1739 13 14432 1757 1 6654 2569 6 17756 4242 7 10212 558 1 5849 4003 1 11736 7576 1 5638 3081 1 16134 1247 1 13235 502 2 11602 11 5 16043 470 5 5626 1342 1 12666 1237 1 100 4581 1 605 1705 2 11239 2076 1 825 219 2 1422 303 33 13946 3654 1 15575 23 1 5108 883 6 14326 6424 2 15091 1737 1 6446 140 3 14404 3056 4 18945 2675 1 12809 7529 1 994 2640 1 1844 475 1 8364 3911 40 4401 6481 1 20226 6035 1 1469 1247 14 18202 3698 15 12057 252 3 19593 4697 2 8751 910 1 17328 2402 1 4688 953 2 2623 3645 5 9408 413 2 12959 533 1 18462 767 2 13831 303 1 4056 4006 1 2709 2971 1 4044 158 5 11434 1417 1 3536 279 1 8852 2571 1 1482 2678 1 7418 7096 1 13935 6322 1 12449 203 2 12725 753 7 1677 2522 1 7 214 2 6617 3106 1 19145 1150 1 7184 7850 2 16502 215 1 10839 1439 1 19655 479 6 16819 5997 1 7799 5517 4 17235 4667 2 10579 413 1 17416 6341 1 10783 2061 1 20 1288 1 10865 3258 1 6256 1758 5 3518 1996 1 14751 1241 1 10693 6521 1 4199 520 8 40 529 1 9783 844 1 15059 1932 2 18985 3881 2 2778 4868 2 20199 4369 1 9808 7355 1 13584 3233 26 1819 6510 1 3491 2331 3 17803 6473 1 14340 4574 1 19322 5263 1 6473 520 3 6673 5005 2 6571 2673 1 11882 743 1 869 3012 1 2313 492 1 17023 7216 1 7245 1819 2 7114 536 5 5650 6132 1 17850 910 1 1647 883 1 8757 833 2 12465 2969 1 19515 8008 8 11796 857 1 14581 5243 2 4721 1248 1 16029 5817 1 2296 219 88 17168 1246 12 8097 6706 1 5097 6091 2 19878 1211 1 9676 1761 23 14965 1596 1 9628 555 1 19727 4914 1 7145 1363 1 12592 6091 1 17740 4572 3 3668 1258 2 3110 6670 1 18410 2626 14 14635 6181 2 20043 7189 2 10948 1395 1 1575 201 1 10209 1883 1 12818 3596 1 18826 219 1 15352 81 1 73 3354 1 15468 498 6 13900 221 1 20145 7719 1 13619 2981 2 4369 496 4 6061 5718 1 5449 4064 1 9161 8096 2 15104 1724 1 4034 876 1 5855 1770 1 8890 1311 1 523 5325 1 18797 229 1 3703 1356 2 16199 1303 1 14147 3479 1 14696 3059 1 18106 3164 1 13422 1738 6 4634 5332 1 14202 3895 6 10923 6591 1 13698 1244 1 19193 207 2 17585 3855 1 2413 3067 1 13638 229 1 19626 7643 1 2011 1235 1 20180 5299 5 13254 685 1 14381 3494 2 10286 2555 1 653 4810 1 1906 5274 1 19664 534 3 1666 3556 18 13084 1781 2 4734 5411 2 12351 1991 7 17731 4022 1 7327 197 2 55 1146 4 778 4013 1 16720 1747 11 418 165 1 524 863 1 13461 1752 3 14114 407 1 11616 176 1 17738 274 4 8369 1421 2 13363 2503 1 12187 4549 1 12934 1727 1 7815 3634 2 7454 3893 2 5876 2356 1 3264 7599 1 8082 3288 1 17168 1772 5 5378 2488 2 18509 3203 1 6312 2016 6 20278 7884 5 6989 658 1 17432 1819 1 16202 1727 1 10907 4805 1 17083 2889 1 4057 2668 1 269 382 1 20007 3972 1 10492 4623 15 15068 501 2 19135 1779 2 12221 1771 1 7746 2591 2 30 1693 2 15100 962 1 3337 3608 1 19770 8126 1 812 3569 1 17403 918 1 17383 5517 1 3322 1825 1 16394 5866 3 9713 1781 3 713 6031 1 8530 2392 1 1305 1433 1 13626 201 7 18193 5018 10 10708 3691 1 10475 1761 2 18770 2676 1 3498 7593 3 1948 2262 1 15648 536 1 3847 6226 2 10761 554 2 18936 7850 4 1641 4245 1 13387 6716 1 153 6870 1 10502 6517 1 379 817 1 14099 2307 1 17411 219 5 11034 1906 1 19054 541 2 10359 5261 1 19014 6152 2 9322 1771 1 18279 4996 2 3759 5602 1 12758 2588 1 7615 8012 2 11461 1781 4 12235 6167 1 4054 1328 1 7991 440 1 17291 1736 1 10859 7533 2 15314 7804 1 10502 6198 1 8718 5518 1 3309 6192 1 15975 402 1 13733 520 4 4158 4284 1 11297 1819 1 10064 719 6 4674 5511 5 15208 6252 10 11192 770 1 10320 7570 5 1235 3058 4 14519 863 3 9353 883 5 13626 7220 1 4216 860 6 109 4929 1 1922 1559 1 5507 7259 6 16099 1401 2 15291 2248 1 500 512 2 8129 652 1 5416 411 3 3911 186 1 14593 2646 1 11072 3648 8 17867 1383 2 20070 2678 1 16741 2009 1 18651 1610 1 12903 1704 2 1276 3904 1 15516 215 1 4499 528 1 19708 215 5 4112 232 2 16390 3180 1 4437 498 5 4092 395 1 19872 885 2 3592 470 1 11156 313 5 18687 203 10 9131 4077 1 13570 706 1 1143 1707 15 5199 7374 1 18963 8076 1 6502 1783 1 935 196 2 5208 23 14 14763 336 1 5911 7142 1 3847 191 3 2905 1295 1 160 7342 1 2758 7597 2 11424 7933 1 6470 1548 1 12464 1252 3 14074 1395 17 15691 1249 7 20262 4640 1 1730 6785 1 15909 323 3 5280 225 13 10676 494 1 17 1093 3 16361 6252 2 180 200 5 12498 1081 1 1689 308 1 9714 3660 1 16434 2549 1 11310 5016 1 17753 206 1 209 1239 1 13777 6118 1 696 4232 1 3885 1072 11 1636 1443 2 658 8091 3 542 776 1 9404 214 4 10309 904 1 15629 814 1 13328 867 1 4334 508 2 4064 1748 4 4034 3175 1 5917 3273 2 13498 3895 74 10051 3600 1 8369 2020 1 12918 7060 4 3665 1780 1 7705 270 1 8214 2559 3 13587 2369 1 7560 3872 8 6322 5437 1 15084 7439 2 3860 2184 1 18127 203 17 15952 425 2 15508 5415 1 16177 5472 1 9543 3540 1 2440 1981 1 3022 1769 1 8844 1464 1 10212 289 1 1765 3081 2 9628 689 2 2535 1677 1 3085 7622 1 16612 2343 13 13657 5733 4 14010 3774 1 7646 6783 1 7991 175 2 17242 7206 1 13099 207 6 2748 6606 2 10921 46 5 6420 870 6 8426 1721 1 484 756 1 12519 4489 2 11581 3045 1 14376 2742 5 9957 340 1 11786 6536 2 16664 3660 6 6776 3869 12 10554 559 1 14055 1877 4 17610 347 1 1305 5559 1 7916 1251 1 14780 203 7 6451 4015 1 18429 4085 2 57 2689 1 9110 6341 6 1481 2737 1 15205 1999 7 2917 2129 1 2853 2822 1 18793 7149 1 3716 2879 1 15530 1727 1 121 5283 1 17843 724 1 18237 512 1 16916 3913 2 19142 1153 1 812 8029 3 15411 5282 1 16189 926 1 17638 712 2 9552 23 5 19862 244 1 1265 5858 1 9503 6068 1 12739 4583 1 8149 73 4 10123 4785 1 15754 5325 1 5097 1296 4 5424 2369 4 7780 1681 1 17088 1717 2 9715 1780 1 19545 610 7 11149 1507 1 4644 3233 1 19286 8188 2 9572 6424 5 12496 3408 1 19258 6705 1 19422 6106 2 18705 201 4 2422 651 1 14370 5909 1 15075 1660 1 4714 4203 1 126 5588 1 1670 6252 1 15712 1814 2 16036 8122 1 14091 153 3 6875 5512 1 214 510 1 8327 1825 34 2459 6009 2 16819 46 1 7501 5035 3 19578 6180 4 17736 800 1 17529 196 1 3323 1470 3 225 5293 3 14797 397 6 17244 4560 1 3177 3747 15 18741 1881 2 10554 5923 2 6655 2352 6 18057 1819 1 3384 1235 2 12740 8083 14 12537 2815 2 10011 1698 1 3085 5517 1 16622 1656 2 19930 945 1 6681 2 4 9639 891 1 18081 214 1 18476 5863 1 18293 1239 1 14052 2726 1 18909 2363 1 7383 4274 1 5281 7477 1 3109 6207 1 2658 3457 1 2461 2555 3 9978 2614 1 6871 203 2 11303 844 1 16484 3266 1 171 5020 6 3505 1395 2 11659 180 3 12537 8029 1 11987 190 1 64 3063 1 9274 304 1 18134 2424 14 15765 7560 1 17 1167 2 6524 214 2 10676 4404 1 8833 1271 1 11882 5253 2 85 3892 10 10855 1714 3 3485 1757 1 1537 1991 1 2077 6683 6 14330 4992 1 11415 1757 1 17811 4635 1 10347 1734 1 11072 1825 8 9701 784 1 12994 2853 1 6113 38 2 11184 7857 1 6668 3608 1 7056 6995 1 17613 2662 1 14805 6600 2 16089 1357 1 15817 2364 1 14567 6220 1 15953 4623 1 3025 512 2 2026 5129 4 14573 722 1 10701 1738 1 8301 1339 6 1872 532 6 5424 441 2 16426 6739 1 3142 156 1 9017 534 1 13205 8141 1 11935 1756 9 14580 2362 6 17477 518 6 11267 8194 3 14758 441 11 3766 4991 1 4022 611 1 3491 3081 2 2716 2897 1 8759 3478 1 3397 931 1 15896 4312 1 14664 1752 41 7780 5561 1 8274 6334 2 7591 1338 3 14031 219 1 8054 615 2 85 3919 1 6183 3511 10 5745 514 1 13829 506 4 13355 2651 1 171 7829 1 5515 2202 1 17463 1910 1 7610 726 1 16964 1007 1 11663 1772 1 15750 2514 1 14758 3408 1 7385 495 1 14150 3570 1 1551 6064 3 19830 7565 1 7756 5504 2 10176 534 3 10757 2894 5 13970 4974 1 2390 5333 1 1814 7542 12 15068 519 1 10587 153 2 10595 1710 1 5662 203 1 10179 7474 1 19990 1249 1 9503 2353 2 16484 3 3 19094 6487 1 9194 6341 1 2948 6051 23 4449 668 1 19982 3113 4 14642 2559 2 12053 6383 3 15712 1748 13 7856 654 2 9978 3384 2 10610 2552 2 11563 3930 1 17298 1737 3 8135 2686 1 12558 5187 1 11072 1751 2 10730 520 13 14890 751 1 18666 3101 1 484 2424 1 6492 2352 1 10374 5288 1 12453 1611 3 9628 829 2 15893 7536 3 756 1758 1 18705 1251 1 17682 8146 5 10498 5315 1 13731 1324 6 13084 1698 2 17068 7008 6 3786 184 1 13997 953 1 16420 2143 6 1520 5253 1 18017 6107 1 1469 219 6 4163 2661 2 12322 1146 2 1031 203 3 16125 1482 12 100 890 1 8574 7244 1 8775 471 1 11 459 2 17204 518 1 14225 3663 1 748 4409 1 12676 7220 2 5117 284 1 14301 3334 1 16571 2789 1 11554 303 15 4854 2349 1 9195 5496 3 5957 8141 2 4572 6627 3 899 8057 1 1772 1342 1 17241 84 9 16493 2065 5 6213 4014 1 10743 3138 4 7348 5868 1 12057 1739 1 18526 1784 1 7420 175 1 18064 545 1 11411 7734 1 10074 1775 2 5088 201 2 1045 7276 1 7991 1665 1 3521 6561 1 9050 3476 1 12476 477 1 2584 1239 2 16543 3747 4 53 2560 1 10715 4386 1 16548 3546 22 10643 1772 6 19607 493 1 13084 207 5 1575 505 1 10374 46 1 9945 1814 1 9743 2484 1 15516 1247 11 17404 1328 1 10661 3875 2 7535 1121 3 17962 1245 1 4910 976 6 15321 516 1 19680 2971 2 12033 6132 1 1389 99 1 8183 710 1 1774 3337 4 5766 4992 1 10329 1903 1 12345 723 6 18960 724 1 13203 1055 1 6532 3220 1 7952 381 2 14435 173 1 9985 7474 1 16665 232 4 9529 1367 3 6983 5306 2 31 1735 1 3170 6435 1 19776 1518 1 8152 233 1 12695 1907 1 2345 6343 1 8639 6163 1 2885 3910 1 14762 1748 1 4616 5347 3 15269 5444 3 14191 334 1 8550 1717 1 12230 1241 2 9445 1734 1 9945 6400 3 3411 7413 1 14658 518 1 4659 1308 1 4978 303 34 17184 688 1 14910 5324 1 15463 3393 5 19872 5451 1 13881 6993 7 8520 5136 19 11334 1238 1 141 1076 2 16270 1369 1 15608 855 4 12614 8083 1 2273 1762 3 14295 1965 1 5472 525 1 19430 1031 1 15359 3193 41 5461 7874 6 8620 7724 2 2752 4673 2 10856 1764 2 1273 944 2 6244 7238 1 17261 534 5 11254 1781 4 17388 4314 3 17625 5472 2 4196 23 5 4612 7255 2 15432 7485 1 12320 3611 1 12891 1819 1 2962 3423 1 18755 3421 1 19608 7586 7 17748 6576 1 19222 411 12 16340 2651 2 19030 3729 1 13358 220 2 8027 2789 1 18508 519 1 2748 233 1 143 5446 1 4539 1239 16 5397 4992 4 803 1642 1 13829 1464 4 1904 215 1 14539 33 2 15791 235 1 11844 7259 2 13219 777 28 177 225 1 1273 2497 1 992 3573 2 15343 2247 2 10290 1482 1 9648 1718 2 5837 2542 1 18926 1893 1 584 2683 1 17135 3895 2 4092 1660 3 4774 8160 15 19204 213 1 3677 222 1 13563 5527 2 1010 3233 11 5784 2559 6 16500 1965 1 10730 7597 4 8994 1686 1 15208 3693 1 3064 3705 1 9515 792 1 18347 7616 1 7285 5201 1 4635 891 1 15756 2519 2 10935 1764 4 19286 1739 1 17704 4409 1 14580 3590 6 118 5235 6 9412 1251 1 9457 7525 1 11898 3876 1 14905 46 26 2616 4956 1 2265 4877 6 812 4807 5 11733 3404 1 9138 5018 1 1964 1374 1 14369 506 1 14558 1275 1 10957 3666 1 7187 863 6 8378 762 21 9632 354 12 13590 891 3 3406 4345 1 4832 638 1 13411 229 1 3847 244 2 5804 2461 1 8699 1244 1 14328 3679 1 16463 7275 3 5840 1373 1 15778 5996 1 8128 2675 38 19182 5011 1 13558 4806 1 4459 7018 1 809 7474 4 16090 4427 1 9110 23 1 18800 229 1 6853 1288 1 17575 5302 1 15202 177 1 17637 841 1 8180 2881 1 14476 167 6 611 4607 2 4572 2591 2 5588 6152 1 19115 6720 10 19385 1740 1 9660 6084 3 16057 6023 1 72 3338 1 6568 5052 1 6733 5325 13 16612 931 1 19267 666 1 1576 221 4 13557 514 1 2098 1342 2 11259 4597 2 4140 3227 1 8217 200 2 17023 1654 2 1653 7427 3 1607 1732 2 12253 2255 14 10517 5999 5 11388 411 3 11728 1342 3 8097 3311 4 6806 224 3 16764 1342 1 9639 5243 1 121 3389 7 9317 2780 1 6326 510 1 10839 6698 3 9678 3155 1 17724 1296 1 16864 1827 1 8789 6986 1 18179 203 21 8969 214 1 4606 2881 2 109 4947 2 15948 1251 7 17528 3009 1 10123 4727 2 5414 1757 3 7672 215 7 17738 3862 3 10037 8191 1 14745 962 1 14993 3414 3 6357 6700 7 16299 3231 1 9493 501 2 18246 2912 1 2134 1942 1 17718 8109 1 4267 5137 1 8961 5064 7 1970 206 1 16484 2675 8 8858 308 5 15159 1308 9 2620 3706 1 1677 2478 19 16734 3915 2 10518 4556 1 1791 7624 1 4460 336 1 16921 7668 1 13091 7815 1 9996 4508 1 3278 633 1 7399 3034 1 7000 415 1 100 4498 1 19313 3787 1 10985 5355 1 10575 677 1 16943 1995 1 4378 1238 1 213 512 2 3505 4585 2 7683 5083 1 2703 6762 1 13864 4200 1 3841 663 1 15287 1431 1 1296 1237 4 7404 3707 1 12436 6120 1 10912 6836 1 16245 4695 1 35 1957 1 16730 593 5 13909 4979 1 5863 1530 1 12322 2678 2 14368 5603 10 2653 381 1 6509 3494 1 16601 537 1 9429 1357 1 7176 1726 8 16758 215 3 7188 3869 1 168 7582 1 15046 7281 1 15614 214 1 5539 4819 2 10843 128 1 7363 1717 6 5951 4951 4 14326 4996 15 18569 2248 6 4020 220 17 10593 1146 1 15429 5971 2 10410 243 1 2427 6723 2 4252 215 2 10993 4102 6 8532 3911 1 16116 200 2 10633 498 1 10000 6288 1 5586 4456 1 6265 1251 6 6387 5883 3 1995 6486 1 19981 883 1 17454 7674 1 19272 225 2 9879 1272 18 14722 1985 2 7135 903 1 13097 200 1 8701 4610 1 3090 2681 1 10355 4385 1 13392 6632 1 4511 8183 10 1378 1734 1 6725 5774 1 19833 2595 2 18042 4211 1 16919 1772 1 9989 7684 1 6658 7167 2 9374 1296 1 20187 3228 1 2560 1736 7 10692 690 5 13817 201 3 835 500 5 11502 1781 2 7986 1634 3 20090 634 11 4297 4118 1 4728 498 1 11766 1686 1 9954 2562 10 13860 4582 1 12187 4499 4 16064 3730 1 7876 6136 2 2103 1719 1 7252 428 1 7484 2206 1 14196 2355 1 8242 6406 2 8710 197 5 17298 200 3 4346 5559 1 18197 1752 1 14371 1826 1 20031 1770 1 10132 3535 1 8859 1757 2 679 7670 2 16861 4016 1 10078 5758 1 16847 2552 2 7359 23 3 8728 761 1 18797 244 1 2035 1464 2 6457 4815 1 301 1827 10 5588 3596 1 12757 8145 9 9287 1745 1 19952 7668 1 15865 7503 1 7542 211 7 5009 190 1 1029 1760 1 10019 1076 24 19264 1699 1 5290 1656 1 16887 2897 2 6154 201 1 20077 1505 3 19095 214 4 9909 3057 2 19667 2874 1 13402 6065 1 17962 1819 1 17672 7259 1 16074 23 1 13105 1044 1 1389 4435 10 6089 7231 6 9102 2488 1 153 7077 1 10805 4245 1 8519 95 7 12372 1453 2 4626 545 1 9352 6374 4 10013 3909 3 9711 2439 1 18132 420 6 10692 694 2 6142 525 4 8631 4085 1 7649 4310 1 9104 1235 2 19455 1784 2 4902 6064 1 1304 219 3 13748 5495 2 15691 4387 13 18748 23 3 6070 7642 1 6339 5906 1 26 1553 2 873 6699 3 5424 2607 1 14005 7127 1 3417 6260 17 8405 1825 4 13766 2588 1 3900 377 2 11409 7958 1 8783 2761 1 15316 6341 1 18198 200 42 19648 52 1 7795 3660 4 12441 4303 1 8639 7815 1 5573 3087 2 19975 2206 1 14184 1707 4 143 10 1 6228 839 1 17033 3138 2 5074 6210 9 1736 4245 8 19201 323 1 8097 1863 3 1998 1819 1 6983 4967 1 16768 1247 1 19137 3827 2 16936 1995 15 12322 1825 7 1212 878 2 1834 6677 3 12170 5162 2 367 7980 1 18968 441 1 11637 689 1 4873 4559 1 12970 910 1 14062 215 6 14397 2885 5 8438 4276 1 1904 2056 1 5952 7008 1 18938 38 6 11877 1742 1 13046 1245 1 3540 4622 1 8641 5339 1 13514 4011 1 12378 1324 1 16266 1245 4 5734 1695 3 8902 931 1 6611 203 1 2449 5517 3 4349 4963 1 17048 8200 21 17317 1105 3 19538 6512 1 4859 222 3 4642 2549 8 18761 1105 3 19243 1638 1 2387 1783 1 8015 3036 1 17567 4476 3 14869 1687 1 11458 2404 3 8994 205 1 6724 756 5 5158 640 1 4018 1950 1 6378 2676 2 712 196 1 602 214 2 334 809 10 14367 500 30 17809 1248 2 18733 7292 1 6528 470 5 19035 4101 1 379 4314 1 591 7825 1 11835 6054 1 18548 4528 1 494 523 2 9351 173 1 15713 1303 1 19558 2665 1 15497 1044 1 177 7599 1 17169 533 11 5380 2256 1 3081 577 1 14748 4369 1 620 6500 1 9624 2478 2 15987 7173 2 676 514 1 16341 2675 1 19990 235 1 8417 184 1 18581 4620 1 14758 2388 1 6347 7455 3 3522 5257 4 3926 2675 3 4493 4575 2 3551 723 1 6396 2661 1 6136 6004 6 2284 1703 3 13574 1776 1 15257 5385 1 15726 46 1 13688 3698 1 10813 5105 5 18802 4929 3 11938 4245 10 4386 4621 4 4696 292 2 4817 7244 1 6769 4315 1 12809 6883 1 15025 1313 1 3254 6744 1 2542 231 3 19760 6280 1 11206 1399 4 1204 1239 1 4488 4706 2 9383 1236 1 2013 1399 3 2676 1751 1 9110 220 2 7228 1338 2 15054 423 1 4908 1237 1 5108 411 1 6830 3119 1 2445 3138 1 14824 5814 2 15568 219 1 15471 417 1 7556 1827 7 878 4533 1 14996 1752 4 18072 1784 1 10699 1721 1 14617 2634 1 536 1768 1 15159 6119 1 86 3992 3 11334 194 1 135 6247 1 9341 5826 3 11923 1946 1 4998 1236 1 1492 1819 2 4678 207 1 19030 56 1 17843 2670 1 9546 5256 6 5695 215 2 13607 3015 1 16828 4019 1 5185 1248 1 17289 232 1 8159 608 1 2562 1722 1 9444 3180 1 14336 7511 2 11192 3747 5 101 70 1 7965 244 8 19730 5860 2 14423 4156 1 11847 5018 7 3704 8146 15 11766 1241 2 3463 314 2 10601 4609 1 15061 4105 2 19282 4107 1 1056 1363 2 7603 7006 1 15205 4884 1 13490 2821 1 8965 496 1 14741 6670 8 11104 1660 1 7450 910 1 16661 3159 1 11853 229 2 1171 222 3 12392 367 1 10119 4571 1 18273 1248 1 13734 1083 11 14114 394 1 17690 1729 5 14758 3552 1 7241 1707 2 1389 2488 2 11981 4597 1 15863 3081 6 19093 4811 1 20090 492 1 18568 2114 3 3431 1814 14 6502 7964 1 11863 169 1 268 191 6 13589 1250 1 10887 2151 3 6075 8113 2 16777 1356 1 6570 8072 2 18037 2844 1 3701 4560 1 12988 2341 1 20225 946 1 19760 5332 3 6564 505 1 12297 5584 1 2905 2817 1 133 6014 3 10557 210 2 9650 2646 1 14291 2228 7 17963 2883 1 3970 8200 4 18876 5311 1 19298 1819 1 11143 3315 1 9919 722 1 16185 1757 4 10179 6487 2 5652 203 1 15608 6225 1 3119 498 12 7205 2691 1 12766 355 1 16312 7414 1 4305 944 1 10468 3827 2 6152 2746 1 10633 2356 1 791 3273 1 13069 790 1 9395 724 1 2289 4562 1 13417 6161 1 4763 1987 2 910 8064 1 9279 1242 2 12887 2639 2 8251 6334 3 8309 3519 1 15561 5270 1 15635 841 1 18524 3762 1 13465 950 1 9868 4030 1 17000 520 2 5304 1819 3 14973 4377 1 19872 6537 2 9216 3900 1 8831 1201 1 18390 3479 3 6617 4849 1 383 1772 2 6811 1705 3 318 509 1 12060 340 2 6907 6970 4 18610 7511 2 15832 3972 1 1191 1342 1 10597 1825 1 3081 942 10 14819 201 1 5542 2057 4 10587 4306 1 4788 8194 2 1622 215 1 10470 207 1 14201 201 1 9215 868 4 16765 501 2 4716 206 2 1331 1893 1 9834 5813 1 19299 3015 1 4511 34 1 18823 7210 2 19300 2542 4 5445 1752 8 9464 193 5 14337 234 8 6556 7271 1 8356 222 2 11714 3287 1 969 3721 2 3110 1464 2 6400 1991 1 14153 2649 1 2827 6106 2 10623 506 1 405 511 16 13645 6091 2 15468 2013 4 15199 1245 5 807 1752 1 2917 689 1 5908 2908 1 17917 244 1 349 5296 2 11165 214 1 18175 7483 1 2985 835 1 599 1762 1 18017 683 1 16685 7690 7 15278 2331 1 4792 2920 1 6401 1752 2 16270 260 1 13166 1111 3 8500 6127 2 6413 532 2 7227 1324 1 8969 1681 1 2901 5274 1 13 788 2 6349 4351 3 11035 3516 24 526 7466 6 10461 4090 1 16697 3916 1 17809 520 4 15654 2480 2 4822 2880 1 5017 4296 3 8175 1769 1 16096 1646 1 4105 7602 3 3606 5531 2 684 219 4 9462 1338 1 5938 233 2 10404 3939 2 4791 1897 10 18281 2918 2 15244 3012 7 17078 173 1 8573 186 4 7952 4112 5 13219 5783 3 1801 3824 1 4168 235 1 11481 347 2 17917 5016 1 17871 4560 3 14522 304 2 4165 57 1 5118 73 2 17250 4792 1 18628 1779 2 18879 8167 1 10067 2568 2 8358 1248 4 12935 1703 1 6502 3121 1 4051 3117 2 8534 3799 1 12110 6084 1 8683 663 3 16033 367 1 2442 267 1 8405 1464 4 19151 1195 2 10907 7407 1 252 7021 1 470 4599 1 18237 508 1 17408 3684 1 2045 203 6 671 207 1 15511 1703 1 283 3766 3 10438 4307 1 1757 292 1 13348 7229 1 10146 2368 1 2519 2261 4 18858 2617 1 13634 763 1 14861 4658 2 18393 7719 43 4631 4376 5 838 7665 1 5029 1788 1 4315 1772 1 13889 220 3 18351 761 1 6570 5327 1 19293 496 1 8821 1654 2 15653 127 1 7772 3525 5 19468 6406 2 20107 671 2 19315 5703 1 5095 2789 4 392 3378 6 13145 7859 5 35 1921 1 17273 6435 3 4993 769 2 4879 5400 1 8609 7857 1 15355 7677 1 16895 3519 2 13126 526 1 14196 4262 1 12507 4266 1 4992 1251 1 1453 7908 1 3464 4373 1 15267 5804 3 10383 2605 1 14876 2172 1 15224 6658 2 19286 187 1 8291 1819 4 3075 508 1 2993 6153 1 1412 6648 1 13613 6481 2 12616 196 5 6273 3129 1 11591 243 1 12559 1685 1 12602 6120 1 4330 4245 1 13698 1717 2 4880 1203 1 4404 4615 1 17454 7719 1 2055 190 2 3479 506 3 10079 3068 2 19200 1019 1 10916 4665 1 1002 470 1 9545 397 1 17011 520 1 1593 3378 16 13761 1752 1 10535 1062 2 12835 188 1 15059 229 4 10429 723 1 19690 1378 1 17596 525 1 18357 1249 1 14226 7533 3 8856 1758 7 13999 3511 1 5818 3317 3 6437 793 1 9102 3824 1 9025 1819 1 14312 7088 1 19222 4992 3 12975 5654 1 8563 5686 5 3374 23 2 15895 3939 2 3657 3077 56 10799 1714 1 7524 7210 2 5801 668 1 8969 2082 1 5877 4963 10 15682 6949 1 12118 3511 1 11482 7603 1 8559 3164 5 6193 627 1 20180 3742 1 9224 911 4 13678 200 3 6198 471 1 130 5855 1 6990 1946 1 5399 1724 6 11336 4038 2 10104 4868 1 3765 500 9 10482 6874 3 8074 1374 1 9157 8194 2 15154 1755 1 18575 2938 5 5312 1789 1 3838 6268 1 20258 1672 1 19985 5550 1 326 201 1 14778 1730 1 11458 7649 1 6717 2555 1 11509 71 1 2563 2263 1 174 7936 1 12286 1752 3 4660 1275 2 10165 926 1 12058 206 6 4092 6924 2 9077 3556 3 11585 1784 1 11105 2493 1 9628 812 3 19530 6219 1 10080 575 4 10060 2673 5 10575 767 1 9027 4635 2 8151 6683 4 11492 3923 7 19047 5559 7 12856 23 8 1973 7539 2 53 203 58 15229 445 1 19999 1819 1 18108 6288 1 7194 8165 1 4282 5945 1 14898 5321 1 4452 1287 1 13563 2899 1 5715 3731 2 17304 4351 4 7111 502 3 6440 5520 1 10069 484 1 15192 917 1 13619 13 175 18115 3715 4 18011 6816 5 3118 7073 1 2646 1904 1 18276 832 1 3124 7101 2 19560 7591 1 10717 5573 9 11533 410 5 11692 1776 2 13891 3588 16 14692 8024 5 14708 712 1 5938 232 1 12726 1244 1 5831 3230 7 7034 5432 9 2450 1373 1 6268 891 6 2094 2269 2 8889 328 1 18016 524 1 8349 7890 6 2718 4527 3 4092 173 1 7144 5543 2 1393 799 1 15411 295 3 3547 1482 3 16564 854 3 18026 3065 3 2475 2555 1 7009 7827 1 5141 4653 9 19243 6435 1 14618 200 1 5390 8141 1 9986 755 2 5848 7565 1 6681 753 1 4183 3800 1 12028 200 1 3536 6042 1 3504 3928 1 12901 1247 2 1023 1778 1 152 6858 1 16197 7989 2 11126 8073 1 11756 3378 1 18040 1548 2 18234 221 4 1218 156 2 1663 2747 6 19727 7531 2 9229 4369 1 16458 2268 11 15318 1686 4 592 5257 2 10388 1755 1 14218 2140 20 12475 4807 2 983 502 1 18206 367 2 18862 2965 1 11766 1732 1 4195 4435 1 11026 2021 1 6249 2071 1 2308 1732 1 575 1265 1 14256 6192 1 19024 545 11 5960 753 3 13997 1365 1 18768 3331 1 5495 6515 1 13640 3511 4 17926 3889 1 5407 264 1 11826 2057 2 19937 6330 4 1171 206 5 8969 411 6 5977 1778 1 6513 1728 1 11642 910 7 17680 1721 1 9241 2474 1 17475 2656 4 8268 3649 2 5804 251 1 1886 1292 1 3211 1955 2 9181 2980 1 19872 736 1 11683 5396 1 16298 3516 1 1848 4245 8 4960 1710 2 14259 200 1 3742 1972 1 9840 1342 1 16682 2671 2 6124 201 11 13267 821 3 3020 3456 1 12476 1184 7 15943 5934 8 5312 64 1 15011 768 2 3109 7249 1 3909 6343 1 17405 2419 2 15619 2608 6 1537 3516 1 157 7208 1 6779 325 1 5105 200 1 8317 1730 4 3822 5419 1 1389 4623 1 19409 6540 1 9388 6242 1 6105 306 1 1801 2495 1 14333 5094 2 15394 223 11 2890 186 9 20213 2541 1 15963 2999 2 12271 7221 1 13724 3798 1 5132 2673 1 10712 489 1 13023 2821 1 9390 6085 3 13160 7948 1 18528 411 24 12525 5011 5 8198 4803 1 14216 1645 1 5357 2743 7 17712 2878 2 2701 452 9 4160 1474 1 13167 1756 2 12820 953 1 13559 3045 1 13352 186 1 10398 84 9 7950 7554 1 8868 3945 1 8250 2292 1 5823 510 1 16777 3071 1 11956 1745 4 19034 1113 1 15909 1037 17 11458 2911 1 9553 7853 3 12520 1531 5 6193 804 1 5818 7846 1 40 2093 1 444 6132 1 834 225 3 8614 5530 3 9031 3516 2 19342 3138 1 10575 752 1 17945 258 2 11026 1235 1 6848 514 9 16711 1788 4 12640 1358 2 12190 2087 1 10914 5496 1 5574 6933 1 9166 6669 1 7950 207 1 86 3935 1 11775 1772 3 770 4049 1 3397 584 1 15749 1705 2 3505 1184 4 12363 303 1 12597 6289 7 17728 1729 4 16388 1184 1 11085 2344 1 6233 766 1 11020 2710 1 13675 219 2 9280 210 10 8624 3059 5 11899 3522 3 7194 6193 1 12820 685 1 19517 1573 2 2345 1762 3 14632 5326 1 5274 6687 2 16881 23 12 17077 2897 1 16381 34 1 11002 4540 3 5216 5255 1 13717 184 2 1644 207 1 8872 910 10 15343 3666 5 15009 6288 4 4050 5583 1 2068 6705 17 12391 1105 1 11629 644 1 13195 1781 5 9120 997 1 46 411 1 3397 1720 1 11274 6256 10 9127 6150 4 20078 214 1 7832 2439 5 1040 5346 5 7024 5817 1 5963 4492 8 4661 6361 1 1962 1110 1 10347 7976 1 14522 2356 1 1774 1033 3 13841 1727 4 15772 1184 4 20042 931 1 19968 6481 2 17851 1535 2 14629 377 1 3171 4974 1 5146 23 3 9347 7940 1 10752 5016 1 7190 4212 2 14160 6141 5 15425 6708 3 1513 7520 1 6857 4607 1 9443 8054 1 631 3875 2 14358 1969 2 1 66 1 19643 1342 12 18294 904 1 16230 220 2 16246 7964 1 5943 5254 1 15722 206 2 14018 502 3 9910 7404 1 8077 2792 2 15865 5513 2 9949 3066 14 17766 3070 4 18743 4960 2 10101 1778 9 4691 6196 1 15429 1748 1 3561 1184 3 18230 5083 2 2470 1799 1 12142 5897 2 18923 203 1 16655 7933 5 16970 4279 1 4449 2649 7 3715 3693 16 14515 514 1 5473 6377 1 8283 576 1 16305 1769 1 12474 372 3 7480 1324 1 14975 3685 1 11 452 1 6970 3608 6 5624 1321 1 14603 855 1 5297 891 1 11036 314 1 16614 5863 1 9834 74 1 15106 4311 5 3025 215 4 13728 947 1 5076 3231 1 2401 5686 1 7463 4211 1 4009 5020 9 16346 492 4 5022 2097 1 474 1418 3 1718 1681 6 12704 2104 1 10692 654 4 3210 1007 5 15884 579 1 5075 1766 1 7243 2559 6 14522 236 1 4210 5086 1 10416 200 2 16746 3453 2 387 5255 2 10399 1707 2 4132 3494 1 8775 8071 2 18939 3931 1 13990 2257 4 15272 3113 1 11252 3916 1 18650 2636 2 18524 1825 3 18278 4945 2 18115 3697 10 11104 1610 1 8930 2352 5 15774 6268 1 19246 1146 1 23 1422 1 2521 7153 5 7017 4925 1 8459 498 1 10973 382 3 14376 1613 1 2584 215 1 6809 8091 7 14010 46 2 8835 206 9 18260 2793 3 4978 6207 1 362 1775 75 7267 173 1 17623 2138 5 10078 1201 2 13860 4199 1 15614 2385 3 3714 6404 1 1264 5162 2 7554 3908 1 712 1727 2 15875 4525 5 5990 4944 6 15323 2932 1 6492 525 1 18382 3715 2 2964 379 1 20123 3306 2 4868 2675 62 17027 4967 1 12215 206 3 19967 5332 1 15766 4956 5 1518 2097 4 566 7595 1 4016 1277 1 9503 2363 2 19380 7353 1 15753 1877 1 14996 3511 1 4667 162 1 17290 4304 1 198 506 7 6906 5674 1 18508 64 1 8615 5909 2 10340 1748 1 17747 4245 1 7823 393 1 11243 891 1 15082 7489 1 16519 746 1 8027 23 1 8717 2550 1 3064 6413 1 143 2027 1 11725 4640 1 1468 7350 3 1969 4963 2 12459 184 1 17314 1663 1 8394 2003 1 1235 3526 2 1606 665 1 3488 2647 25 11199 1374 1 9398 6288 2 10718 223 1 12489 1334 1 20036 3938 2 6820 3334 19 14724 2639 1 4267 4460 1 13745 2291 1 8709 2504 1 11602 4813 3 5938 4022 1 20180 3827 1 13415 5963 10 16494 783 1 14576 173 1 17984 233 1 7132 2516 2 16887 6132 1 153 7047 1 18137 4357 1 11573 496 6 13614 167 1 19995 6278 1 4435 3011 4 17127 2671 5 8052 5560 1 10368 3234 3 19957 4333 2 10684 1244 2 15722 13 1 7334 7008 1 1243 4261 1 19774 7600 1 9901 6506 3 2660 2665 1 10145 3033 1 1171 510 1 9868 2517 2 11679 411 11 2199 997 3 9224 616 2 16491 3781 1 13752 4156 1 1460 2606 3 2855 6675 1 7769 1703 3 10288 5090 2 9543 2132 1 18534 7679 1 712 173 2 19781 5810 1 1182 3497 1 6647 1740 1 5960 3053 1 16068 1239 1 13042 235 2 17662 1416 1 8779 4294 1 15027 609 1 12894 5245 7 2154 3385 2 4168 2670 1 1839 2727 3 12686 1296 1 2709 6065 1 16448 8083 1 3522 1991 4 9482 3766 5 18874 1077 3 7695 6368 1 11360 864 1 18788 4020 1 52 2554 1 2081 1827 1 4309 7643 1 9031 5407 1 7892 6345 1 1706 1737 2 18237 910 1 3948 3770 1 15313 5576 7 13706 3488 1 4234 5670 1 18689 219 2 12388 2683 5 16935 1721 1 16397 893 1 17662 2675 1 6611 5041 6 18281 5123 1 3505 5255 1 18546 409 1 12901 4006 3 11975 1729 1 181 3780 2 11964 223 5 154 7126 6 9195 2653 1 14599 5747 1 19326 233 1 14090 215 1 3175 82 2 20180 6558 2 8709 4301 3 13823 3433 1 8670 1819 1 7617 229 1 6503 4554 2 14114 2065 1 3154 1342 12 10876 2649 2 16090 4252 1 16546 1374 3 11673 6430 7 2710 1888 4 778 499 1 14544 2089 1 4389 498 1 16828 5561 1 10038 221 2 2201 3233 1 18475 918 1 16995 1190 1 8939 1489 1 11773 7522 1 1645 5362 1 15495 1769 1 4817 3654 9 1809 5263 1 19774 399 1 9909 1277 1 15831 844 1 17847 4560 1 10733 379 1 19336 1357 2 3053 5318 1 249 2219 1 2517 7153 2 14733 7655 6 14985 1757 2 13522 203 25 9718 7205 2 13829 2980 30 20174 3511 1 16645 829 1 2303 3880 21 6611 834 2 15652 206 1 19944 2528 1 18320 7112 1 14367 4623 1 4400 206 2 19957 1146 5 4447 208 1 8793 214 1 13543 5016 1 19910 1502 13 10197 1381 2 15502 1342 2 18242 6669 3 4208 2649 1 10715 554 6 13 853 5 15074 3798 5 7490 5018 1 11230 2386 1 2098 4779 3 17803 1237 1 19327 1681 1 2696 1244 2 13397 1131 1 3160 3396 1 13266 1770 1 18735 6908 1 15023 7406 1 9183 2675 6 8416 1342 1 11430 1164 1 8615 1644 1 10907 1126 1 16185 1305 1 17903 7101 2 2572 173 1 2959 1357 1 11252 482 1 863 7794 1 5692 6107 2 19649 1277 1 7625 347 19 17248 1763 7 15263 533 5 9077 1241 4 4601 6592 1 14671 957 1 2045 2534 4 6502 759 1 1150 2513 1 13909 1730 1 20239 798 1 13722 4090 1 19344 2584 1 14259 4325 1 15956 4691 3 10896 3425 1 9704 5425 4 4163 412 1 15762 1522 1 8716 3949 1 19655 2068 1 19965 4780 1 14522 23 2 16531 6179 1 13165 3756 1 8697 3255 6 71 3306 1 7647 2356 1 14876 6482 2 1801 1166 4 15041 207 14 13114 7725 1 11195 1342 1 6539 740 1 1883 638 1 12935 529 1 14803 7870 1 11444 1991 2 14780 1363 1 7224 203 1 6772 359 1 107 4774 2 8438 3276 2 4415 8245 1 15211 4304 9 12499 201 5 10110 718 1 14784 7420 1 5424 417 1 14731 6714 1 15222 6091 1 5420 5731 1 17506 4206 1 9886 6713 1 10494 2575 2 6897 1356 1 19404 3625 1 17947 4621 2 7513 219 3 19657 3888 1 8320 6690 1 291 4499 1 11100 1242 4 9644 197 1 1711 3327 1 3414 411 1 9793 5499 3 17638 2990 1 16410 4517 1 8831 1091 1 13238 3328 2 16835 7202 2 19310 5767 1 20145 1738 2 18748 1825 7 1969 5517 1 12676 1834 1 19076 2673 1 19470 3771 3 8654 5723 2 14808 221 6 2359 5259 3 49 2482 1 13289 4366 1 5244 4483 1 14558 3233 1 8054 6040 3 10447 1730 2 454 4529 1 593 214 1 7988 3431 1 61 2759 1 13586 2563 21 5583 1695 1 12461 839 1 8573 7498 4 13162 690 2 17221 514 2 8094 6183 1 517 1244 1 1082 2165 1 8853 127 1 18140 518 2 18843 6058 1 17500 1249 1 4050 1772 1 1384 3273 5 9836 5461 3 18037 4521 1 12892 2015 1 14114 636 2 14767 1721 1 4688 5468 2 7786 1819 2 7986 6238 2 5068 2262 1 4524 525 1 17085 1736 3 124 5427 1 16787 3228 47 3020 715 9 5301 184 7 10110 8109 5 18260 3146 8 6630 13 2 10219 728 1 12897 724 2 1028 1076 1 13373 8017 1 11820 519 15 18381 5325 7 5102 2580 5 16518 7411 1 670 769 1 4106 1339 1 2418 5318 1 9725 2507 1 17962 150 3 18115 4392 1 1047 963 15 10290 1146 1 6611 1921 2 4019 3227 3 2886 263 1 20090 4099 1 10914 1946 1 10912 4043 1 2013 4379 2 16218 1734 3 7404 7077 1 16816 8168 1 16971 7244 2 6126 4792 1 12674 6111 3 48 2429 2 2367 536 1 17056 1747 1 4573 3663 5 1114 495 4 770 4045 2 13241 5814 1 12456 5584 1 17909 3275 1 16909 3068 2 7868 6940 1 17348 2727 2 15004 7512 1 413 6170 3 17331 1761 1 17991 4363 1 19396 8141 6 11852 5263 1 14958 4764 2 13619 7511 2 12380 7895 4 13546 1164 7 2693 1236 7 14171 910 1 2818 203 9 4092 1245 1 1599 4022 6 13327 514 3 20191 661 1 14055 2678 5 11029 471 1 1801 4211 1 9896 5826 2 11394 5903 3 18219 4123 1 4408 7397 2 17359 6677 8 9404 1781 5 20225 261 1 3683 1282 2 1700 8200 1 16363 2879 1 4329 997 5 841 467 2 16263 165 1 13302 1756 1 940 5985 5 6091 3074 1 4626 2953 1 17476 470 2 6099 1731 1 15853 7997 1 14806 1814 3 12681 4635 1 19706 1474 1 14 980 1 17710 1721 1 936 206 3 1360 561 1 17767 4478 1 9528 1710 1 4299 6677 1 4860 7003 1 14685 2567 1 11882 925 1 11591 498 1 5884 1234 1 17403 4099 1 5058 6159 1 9853 544 5 44 2299 6 10228 1819 3 5657 3197 3 700 5523 1 7750 1770 1 20145 1482 1 17760 489 9 7773 4612 2 10893 2039 5 15689 221 1 18082 4555 1 12159 1307 1 14993 6779 1 20016 4648 3 13266 4512 1 3157 4695 1 727 3301 1 10327 4333 1 684 1762 1 15223 411 1 11789 1356 25 18284 2686 1 2025 4334 1 3651 8096 1 20261 4972 2 10554 721 1 9204 5398 1 12392 23 2 5972 6753 1 10948 2885 1 8211 1705 1 16657 1342 1 62 2946 1 413 6200 5 4774 8203 5 13601 6645 1 18286 4245 2 4305 3378 2 19545 797 7 16636 1184 5 2656 7689 2 672 1464 1 17961 4242 1 5022 220 1 9732 6962 2 7474 843 4 18922 2663 1 13972 2478 4 10111 7674 1 18915 2698 4 286 1134 3 17342 1377 1 9279 1764 1 14114 3283 1 7198 1471 1 16857 910 2 6332 5478 6 6031 1658 2 1090 3522 2 18981 2860 12 13302 6341 1 1050 2247 1 9566 1699 1 10692 557 3 19863 3399 2 3878 1704 1 8488 518 1 6884 2555 1 18862 2821 1 14622 1783 4 7348 5955 10 4279 7809 1 19225 203 1 10477 489 2 19518 1235 1 10056 2016 4 2999 3869 3 268 8141 8 13105 252 4 4507 203 1 14524 1201 1 9467 223 10 13636 5513 3 2127 2114 1 12903 2261 11 1472 1778 3 4453 7420 2 8326 1728 1 12817 2675 1 14758 707 1 8760 244 2 18946 222 1 5364 207 5 10912 4119 1 19578 1331 1 8405 2668 1 31 229 6 1048 2351 6 8947 1253 1 5449 4156 4 11771 7216 5 15379 4174 2 12659 7591 1 64 3066 1 8579 3071 4 3434 2080 2 18651 372 1 6418 4562 5 13126 2729 1 12620 1714 1 18939 449 5 8413 1955 1 5185 3318 1 14640 2058 1 16428 2738 1 8813 891 1 16110 7455 1 12766 5219 1 15237 833 1 7765 1931 1 3485 225 1 2962 8034 1 13296 1062 1 4574 6536 6 13 764 2 16491 5804 1 10159 1319 1 9921 5398 1 17279 3554 3 5671 2768 6 2345 5757 1 2595 4031 1 3554 5133 1 16924 623 8 12530 709 1 5899 737 1 19686 1235 1 19326 1758 1 14071 6743 1 15456 532 1 8425 6744 4 2842 1995 18 15186 1778 4 19957 868 2 19703 2737 1 16635 637 1 13199 1965 1 12412 5788 1 17555 1423 4 14612 4623 1 3406 2057 2 11890 7853 5 92 4161 13 1028 5294 1 7882 221 2 13278 1307 4 18766 201 1 4092 463 2 4492 1738 1 20 1146 4 7754 4007 2 12337 496 1 6258 206 1 10442 1768 3 18122 3230 1 2488 7120 1 8326 1184 2 597 5536 1 5178 5270 1 7789 3694 1 6555 1454 1 12180 2675 1 13058 2599 1 16437 1062 14 2384 4203 1 4009 10 2 15787 5945 3 14993 7542 1 14438 2138 12 16453 1734 1 13925 3045 1 8524 3749 1 8965 13 1 17886 6539 2 16570 360 1 2974 4333 8 15234 2352 1 10164 1710 1 8833 4866 2 19193 4085 3 10100 1734 4 9569 8017 49 12614 3512 8 18530 903 1 6630 6106 1 16345 6724 1 3384 236 2 14666 6640 2 11964 512 1 19259 368 1 13787 1986 1 4703 214 1 10518 5306 1 5934 3485 1 2127 5257 1 2910 4600 2 19182 8228 1 20175 223 2 14949 292 3 18924 3679 5 9672 191 27 8532 156 1 2442 508 2 4015 1825 5 18160 1282 2 17350 1764 10 17011 236 1 1059 496 6 3071 5379 1 1579 7094 1 1406 7124 1 5634 1703 4 10586 2056 1 60 2721 16 10624 7913 1 10895 7311 2 11751 1184 3 15221 5670 3 4769 5291 1 96 4395 1 12494 2253 1 86 3988 1 14857 1751 3 1794 2025 1 10869 534 3 16636 2027 1 8045 6473 1 12969 6743 12 86 3951 1 12910 6180 1 153 6919 10 13891 4521 13 4098 1979 1 13496 2633 4 16569 6705 1 17712 1783 3 9178 3059 4 13683 5897 2 17036 801 1 74 3446 1 9513 1644 2 1959 6162 3 10313 2003 2 5058 3516 3 18158 200 2 18580 6534 1 15886 367 1 5884 1778 4 16881 1250 12 18214 82 1 2629 184 4 10360 7657 1 19548 214 1 6164 2383 1 19438 2241 1 16096 6512 1 13605 1054 4 19368 1112 1 2126 7876 2 3521 2993 1 4851 525 1 9364 6487 1 12140 1778 6 9456 4986 2 19914 7425 1 15743 47 1 40 2126 1 14209 4407 1 15159 1342 2 17962 1717 1 15608 3389 2 16057 291 1 14917 3146 1 8269 243 1 18727 1825 5 8620 7830 1 548 4188 1 10625 2832 1 7966 470 1 8617 1834 9 6623 5418 1 10349 3911 15 10225 6609 11 16403 407 1 15261 2263 3 873 7104 1 16481 6256 1 3397 5466 2 16187 2572 1 5389 854 1 6070 7420 2 3242 1321 8 8767 4404 1 17066 5690 1 19193 1333 8 4798 8194 1 13461 1764 1 18116 5696 1 16916 496 2 15791 6252 1 9783 2478 1 10089 5420 1 13227 4107 1 1752 2698 2 726 1062 1 13 233 2 11993 4013 1 15229 5000 1 4602 5002 2 18398 6106 5 17550 4911 1 18251 2876 1 6976 314 1 4498 6962 5 14318 6537 1 7668 3599 1 16439 4764 2 17288 222 1 13640 1250 3 9445 2353 23 15635 893 1 9860 6721 1 3704 1730 11 5203 3663 1 5132 6108 1 8091 186 9 1002 2356 1 14446 225 1 11755 3954 1 2363 1055 3 19351 6054 3 5513 3720 1 10901 7809 3 12184 4807 11 16590 4557 3 8160 206 2 19360 7477 1 16231 3972 1 15782 4266 1 7359 215 5 6073 4727 1 10219 5251 1 121 888 1 10078 2633 1 1856 1392 1 17995 2557 2 14842 6278 2 7122 7038 1 665 382 1 1551 4245 2 4268 3567 1 127 5741 1 81 3649 5 4279 724 1 1259 1752 1 12821 4012 1 15718 6334 1 1343 7611 1 8571 8141 2 20114 1736 1 165 7538 4 19539 1453 10 1379 2009 1 19563 505 1 5773 1819 1 439 225 1 16318 5559 1 5688 1760 1 5643 4022 3 16553 3482 1 19465 6106 1 16881 520 1 59 839 1 2413 4716 1 10187 1243 7 18096 5398 1 2800 1374 4 6208 4640 1 11591 1721 1 14301 2014 1 10973 2853 1 3358 6207 1 18887 5879 1 28 1655 1 11968 186 3 19219 7719 2 8203 23 1 7769 1704 1 2735 5419 2 11250 6341 1 11370 7224 1 9784 1995 1 6057 2801 2 7610 652 1 19452 7735 1 14308 1236 2 6403 2493 1 5205 1333 29 12147 1768 1 11885 6245 4 4694 440 2 9770 3338 3 7135 84 1 19401 1664 1 15952 2114 1 9551 4998 1 8110 447 1 7070 6406 1 14738 888 4 7455 4297 1 10886 3995 1 14037 1146 1 13313 1791 1 14146 6069 1 19530 1244 3 14135 4218 1 6773 3227 2 10080 6933 1 16016 1825 1 15560 494 1 20180 177 1 17205 5346 6 16230 779 1 4863 1778 20 9443 6723 6 445 1658 1 7630 4389 1 15562 207 10 296 3351 2 10351 201 1 9048 203 6 1866 1727 1 19606 214 1 16215 570 1 4859 215 5 17939 3889 4 9707 657 1 12040 1705 1 7991 1608 4 64 540 1 7799 5767 7 10183 8235 6 13448 3442 1 17706 495 1 13132 629 1 7991 397 1 7203 1296 1 8709 4200 2 222 4203 1 19649 506 1 9631 6090 1 17870 3563 2 8688 525 1 15932 1100 5 4075 2636 1 3008 2118 1 65 3200 4 12384 225 1 5645 1703 1 701 1576 1 13956 502 2 13777 156 2 3044 756 2 7870 6442 3 1629 2836 4 5146 207 1 3061 2419 3 6501 1686 2 9820 385 1 1374 1727 1 17992 6706 1 1747 2139 1 388 6540 3 18071 5548 1 18017 2097 30 4337 4615 2 12131 592 1 4896 6065 1 2571 4013 2 4195 3511 3 9969 1762 2 17918 5408 1 2353 133 1 13097 220 2 17216 2250 1 16236 367 3 14612 501 1 8919 200 25 17515 1922 4 12695 518 1 3326 964 3 8647 3604 5 18188 7120 8 8674 1116 1 1385 1996 1 8687 1819 1 153 6898 1 9736 2710 13 17099 5299 14 19206 2584 6 8890 6174 6 8208 386 1 10371 4986 3 12371 2482 3 18966 3167 1 1872 184 1 19607 1136 1 17034 3719 1 16645 2131 2 14813 3491 2 5659 6139 1 95 1922 4 12817 3474 1 174 7971 2 654 1734 1 3468 743 1 16174 197 1 17424 1244 1 3471 292 5 19624 7751 3 14493 3262 1 12478 4963 1 13219 13 7 10692 944 2 15213 8181 1 11195 203 2 14351 200 6 15780 214 2 16604 232 1 12322 1775 2 15456 910 1 73 3378 4 3826 801 1 11591 682 2 6371 1997 1 2249 525 2 1725 5130 1 3397 5203 1 16093 1703 2 10948 445 2 18568 1531 2 17589 313 2 15230 5018 4 15871 2019 1 4885 867 1 13846 1775 5 2266 726 4 15494 1751 1 16590 420 2 16568 7287 1 13283 4877 3 9537 470 1 19322 1756 1 9130 822 1 10183 1267 1 5511 5029 5 2772 8089 5 8620 7414 2 10331 6903 1 5617 4499 1 7427 858 1 7697 232 1 6092 6557 1 6137 514 1 14252 4038 1 6585 1275 7 9317 215 1 8010 3637 5 4210 5091 1 16089 1464 1 7219 2266 1 18876 577 2 16348 1482 1 7944 1819 1 12903 2793 1 13445 5491 1 6403 3029 1 16008 2673 6 11712 7503 1 2906 3113 1 13590 4543 4 19665 1379 1 14772 7167 2 6848 215 10 8641 1705 2 1969 505 1 6662 7857 1 17886 5294 1 8568 3330 2 11467 1333 1 2428 2419 1 3318 1991 4 12126 2385 1 19095 221 2 6111 964 4 18938 4349 1 3869 2618 1 8367 7542 1 19795 214 3 7933 541 1 10989 2671 12 9432 718 1 6681 3972 4 14006 1334 7 19559 4227 1 5227 5040 5 4011 3698 1 5217 1960 1 9734 7399 1 14197 292 2 17454 3520 2 17169 4144 1 12094 6705 1 7665 2675 2 19009 891 2 13505 3694 2 4057 718 1 13727 7439 4 3863 4293 2 164 7446 1 6501 518 1 3100 1784 2 15713 6713 1 12760 1250 2 12821 4377 1 17680 4451 3 3455 1775 11 15817 7614 1 5413 1453 3 19899 498 1 12941 204 2 6058 1751 3 16932 7586 1 11199 6091 1 3815 6010 1 5385 1250 1 1226 5402 1 19270 7738 3 16886 1781 1 14686 2746 2 18508 1360 7 7454 5763 1 17418 4609 5 9432 368 1 3804 6505 1 15094 484 1 16327 214 4 11935 3604 1 1726 316 1 10724 5740 1 7993 2614 1 2878 2082 3 48 2423 6 5455 3206 2 9836 221 1 8157 4435 5 10398 7474 1 7423 5879 1 4898 1781 1 2529 947 7 18408 2559 3 3134 3578 1 8735 1908 6 12817 520 1 10789 6039 3 135 6250 1 4466 219 1 11658 3999 6 17083 533 5 968 229 13 15296 507 12 812 428 1 18633 500 1 3651 1732 3 174 8112 1 10916 810 1 11872 2000 1 4267 1164 1 9562 7233 1 3806 1781 2 12392 508 1 1235 4266 6 10078 3273 1 15790 2107 1 10089 506 1 16481 6355 2 13278 4836 2 12870 1395 5 11216 4992 2 3874 6229 1 9591 737 2 3015 1303 3 17463 1969 1 11346 7098 1 14756 5257 2 9710 1814 6 13392 1703 2 16240 525 1 10957 3512 1 7392 6719 2 8368 1305 3 9421 1781 1 11730 1698 2 16568 4475 1 15500 1529 21 1492 1379 1 2716 2675 1 5140 184 2 7604 2511 1 18690 514 1 20248 173 1 14193 1060 5 1679 3629 12 11072 1718 2 8198 723 4 4183 4606 1 252 4409 1 6832 336 10 13249 1658 1 17918 4303 2 13435 7606 1 7709 408 1 18058 7045 2 12102 3669 1 6348 718 2 16857 219 24 17365 5052 1 8716 6682 8 8438 550 1 13734 3351 1 7417 1734 2 1088 7707 2 843 1788 2 6701 6170 1 18189 1685 5 705 510 2 13743 1276 1 13016 3693 10 15712 200 1 6211 1241 1 2962 3971 1 14522 219 4 19485 2662 1 8843 6662 2 11192 4392 4 5560 8141 1 7997 4105 1 13537 3278 3 5681 1788 1 6729 458 1 1631 2256 1 10015 1453 1 2970 6342 2 8838 156 1 6644 445 1 1316 3945 4 1625 3541 1 20103 4714 1 13647 3338 1 16025 15 1 8211 235 1 7653 8066 1 5963 845 1 3567 883 3 15691 1238 4 1937 22 1 12830 7517 1 2461 4713 1 1816 452 2 7099 880 1 3025 1464 2 17710 1244 5 1962 5817 1 9464 3571 2 835 4889 1 2426 1235 1 1875 2256 1 10341 525 1 19085 1453 1 19080 3199 1 4778 4448 10 17954 834 1 6164 1369 1 6888 221 1 2338 1312 2 18933 867 1 7706 3138 3 9224 666 3 13012 2691 1 6612 220 1 3024 6569 1 5829 6564 3 17477 883 1 18623 1736 1 17321 6482 1 2326 4157 1 9155 962 1 580 255 3 13461 1277 3 17939 3333 3 6551 2015 1 17140 8150 1 2992 6482 2 2886 6776 1 12305 4427 1 77 3528 1 17395 2089 2 9417 745 2 5540 520 1 1489 5097 5 11180 1482 1 663 6710 18 4264 1692 4 18763 1748 6 7639 1829 4 11509 502 3 5515 1250 1 16060 221 14 2219 2876 3 2629 510 3 18608 153 1 14997 795 1 5847 524 1 16442 2661 1 10261 6756 10 8729 7938 1 3583 1363 2 13613 4578 1 758 1736 1 3491 188 1 8585 70 4 13601 220 2 2047 3007 1 16167 7688 4 15329 736 1 270 206 1 1616 7403 1 1949 1819 2 138 6298 1 19504 2691 1 3358 1825 1 7986 1239 3 14748 419 1 19246 505 3 6327 2555 4 4018 1910 3 17755 8037 1 8987 2876 2 18099 638 2 9857 3231 5 7974 3146 1 8051 1184 2 8918 232 1 999 1243 1 4583 1720 1 9432 655 2 17886 694 2 873 792 1 11817 5150 1 7184 200 2 6990 3866 1 9736 1780 15 15318 207 7 14379 3540 2 8643 588 1 11950 1965 8 6314 477 1 6624 1737 1 14916 5408 1 4386 1757 2 9000 3167 3 5202 874 1 19137 1019 2 2142 470 44 3584 5575 1 3822 365 1 5550 1638 11 10128 325 4 8849 7617 2 14766 8103 10 17662 510 4 11809 5950 16 4941 4288 1 19590 3233 5 6634 7123 1 15051 1431 1 6314 66 3 11968 2366 1 834 2640 14 15209 6341 5 17579 2769 1 572 4548 1 15790 1358 1 16270 892 1 18721 6664 5 12937 7427 1 14805 5474 1 19795 1751 5 10179 1184 2 2534 1000 1 17252 3578 7 13058 4607 1 3734 215 1 9853 1313 5 12688 709 2 10608 1778 5 19483 524 2 4147 368 3 12209 222 12 4432 7673 4 17960 232 2 8905 6398 1 12760 724 3 4743 1705 13 7404 745 1 3258 1253 5 18945 5245 1 83 3710 1 7000 135 1 8519 936 1 4263 52 3 5785 2534 1 252 3202 1 5801 444 1 1125 4268 1 20145 1416 1 16790 519 9 9688 7145 3 14318 4660 2 4529 6363 1 19501 8083 1 13734 1659 1 340 4877 5 17207 6754 1 1028 7725 2 5459 4009 16 4659 380 1 31 1695 3 12166 7895 1 5631 828 1 152 6833 1 16322 232 1 2204 4293 4 4044 6945 1 2010 203 5 12191 1819 1 17088 8168 1 17909 7101 3 11160 5539 1 8615 6507 3 9548 7861 4 13 966 2 2911 310 3 19034 8117 4 6339 3920 1 1520 679 1 14227 1242 8 2272 2675 1 4519 696 6 19693 7606 8 19826 4623 1 4524 495 2 3258 349 5 2601 519 1 10862 1814 1 4445 541 1 20090 1112 5 1318 3519 1 4955 1482 1 19137 4242 2 17353 1284 9 13 678 2 12437 7988 1 19240 23 1 6926 1193 1 6564 1474 1 19086 207 1 8989 5339 1 2472 3072 1 5086 2541 1 8690 6082 1 6564 1251 1 12685 4511 1 2459 1658 1 10262 1342 8 4371 4919 1 11530 4945 9 3176 7134 1 18184 5757 3 6113 207 4 19637 4684 1 14604 3167 2 19420 937 4 3818 4067 1 17058 2915 1 18673 6711 1 8549 214 2 62 3003 1 17720 7964 1 2542 3653 1 1629 505 1 14826 7674 6 8911 82 10 3980 215 3 4828 2951 1 3155 7168 2 19147 3880 1 9146 5842 4 17120 1237 1 10389 4367 1 14336 1664 1 9449 1658 1 3988 4501 1 19219 126 1 5440 3113 1 135 6210 2 16857 6983 1 7179 916 3 4784 2422 3 14578 815 1 11072 498 3 8921 3132 1 19957 4206 1 4134 34 6 13323 837 1 19137 5336 5 877 6902 1 14842 1714 1 17556 7466 1 15608 7225 1 10313 2721 1 658 518 5 81 3644 1 9103 7518 1 6617 4704 1 6964 7168 1 5614 910 5 2590 1698 6 4616 2949 1 14183 8054 1 12710 5750 2 10078 7602 5 9429 1707 1 4343 596 1 14762 1745 1 2905 5437 2 1291 5146 27 16202 3448 19 5952 1121 5 13543 893 1 19727 714 1 7241 1903 11 11320 292 1 10920 1752 1 1335 7883 2 18174 777 1 3677 2508 1 6926 4251 1 4297 223 1 6809 4983 5 1447 1769 1 19134 3935 1 6724 2269 2 11845 1647 1 20148 1211 1 12224 3420 3 20126 4000 2 10387 1756 1 18303 3167 1 18289 3045 8 121 148 1 14753 3760 6 9670 1302 2 7359 222 5 19518 512 11 8151 1345 5 11877 74 1 6514 1146 3 15767 1929 4 15213 4467 3 4561 132 10 14669 6480 2 9711 3059 1 12804 1710 4 2267 5879 1 15581 1244 5 10105 1738 1 12208 2367 1 4265 3511 7 18814 545 1 17347 1039 2 14939 5253 1 15614 1783 9 13148 4233 1 9198 1732 1 15826 545 3 11181 2447 1 106 4752 2 20219 1395 1 19034 219 1 14503 1685 1 11516 3478 1 13520 3423 1 19552 6816 1 13207 4403 1 19271 775 4 8475 2749 1 3331 6713 3 15184 235 7 20254 1637 3 174 8063 3 8982 235 1 5940 14 23 15817 3540 1 17613 2344 1 12525 2072 1 1935 7931 1 17761 354 5 9077 1304 5 19178 1121 1 13328 5390 1 6468 5294 1 3887 1629 1 3424 6309 1 15868 6743 1 4376 3400 1 10620 7750 1 14278 3056 1 17011 244 2 17670 7531 1 11558 1399 1 8540 1556 1 3581 365 1 10498 3519 1 3395 1251 1 52 2545 16 174 7865 3 2267 130 1 11261 1887 1 8982 510 1 3607 4245 1 5872 2493 1 8369 1443 1 18351 947 1 163 23 1 9454 365 1 476 262 5 10887 1898 1 11315 749 1 4617 6542 1 91 4092 1 3397 5315 1 16916 10 6 15343 5543 1 15679 6607 1 8571 3592 4 19765 745 5 10396 6548 2 9666 129 4 11702 1296 2 8620 6200 1 16914 1705 3 17298 8184 1 4804 5853 1 1418 222 2 10856 964 1 9215 4303 1 19332 4972 12 8950 4967 2 5840 395 1 19602 4606 1 3081 4967 8 15050 1975 1 6554 2632 1 1491 2447 1 3734 4743 3 8987 7946 1 4496 200 1 11314 1344 1 16684 505 1 16530 1303 1 13731 186 1 8286 3024 2 8426 5653 2 13044 219 18 17662 1738 3 10429 215 1 14162 3096 1 2432 6250 1 6420 6572 3 10 202 3 11396 3367 5 19446 4490 5 2922 3230 1 18797 2534 1 5672 957 4 8239 7421 4 2021 1019 1 15167 3357 1 5004 5850 3 8598 4413 2 3048 580 5 5522 5472 4 152 6851 1 2134 1739 6 10733 890 1 4428 3072 3 6051 6242 7 18876 650 1 1122 78 4 12740 1251 1 2552 210 2 5171 1366 1 1151 7887 3 14336 378 1 14544 2564 11 121 314 1 15634 229 2 5616 6303 1 2004 4992 3 9341 23 2 9321 420 3 10532 215 2 14011 5110 2 11726 38 2 725 2528 5 11314 5486 1 45 2320 2 12231 5052 1 11787 5048 2 18149 1253 1 8761 821 1 18654 8150 2 467 5897 1 3256 1363 5 14341 43 1 1708 187 1 333 5503 1 14988 4314 1 10756 1235 1 4245 6777 1 13023 7342 1 19727 7807 1 2197 5531 1 6305 244 4 5927 2675 1 12630 1245 4 12968 6497 23 11786 328 4 6944 207 1 6611 221 1 13754 512 2 10670 4963 2 27 1583 1 7756 5394 1 7188 8185 1 12501 1724 1 9247 516 1 20219 214 1 2497 1241 2 9820 3893 1 3991 1184 5 601 1721 4 11502 3356 1 9449 1277 1 1866 229 7 3697 1146 1 13995 1399 1 17090 3644 1 8439 525 2 12046 5243 2 8362 13 2 13008 1819 24 16532 629 1 16914 3617 1 5428 3788 6 140 2542 1 6516 4204 2 16198 7586 1 13638 2419 1 18207 7466 1 850 2363 10 8343 2396 1 16180 230 2 4840 1717 1 18451 1251 4 7487 2555 1 2248 1755 1 19843 1417 1 4242 6970 1 20191 4325 5 1366 2290 1 13623 5514 1 14696 514 1 9141 244 2 18821 4277 2 16747 3457 1 5408 7946 2 12118 1407 3 16300 4620 2 14892 3438 1 8291 1827 2 10429 367 1 4539 505 1 13800 452 3 9457 2432 1 1337 2019 2 4023 4849 1 12325 730 2 176 207 2 5952 1775 4 8706 1182 3 9445 1146 1 3815 3382 3 17466 1713 1 20082 809 3 14669 6916 1 6687 6051 2 8614 4936 4 8924 1747 1 12514 336 1 16618 5324 1 11451 7621 1 2555 5003 1 12075 449 1 17565 3454 2 11738 1717 1 7621 7829 2 15211 2369 1 6214 6150 2 15605 7189 17 10252 1663 1 2885 222 4 1349 3649 1 15940 5307 4 20275 7719 1 19210 7948 2 10931 863 3 19061 203 7 8942 232 1 14114 2131 1 8237 3298 1 1238 244 3 14690 1707 1 1361 3382 1 6456 225 1 1308 518 1 1253 955 1 12736 335 1 16740 1988 1 4913 5212 1 7868 2737 12 19101 6537 2 59 2710 1 6140 244 1 18635 809 1 9242 1755 3 8114 1352 1 16197 1705 1 13402 552 1 1517 636 1 14988 5518 1 7220 1241 1 16546 4572 3 14077 2056 1 4832 3425 2 15471 754 1 6893 1138 2 10509 769 3 2815 525 1 135 6101 2 13826 509 5 14549 7535 3 4392 215 1 5495 1151 1 17257 6502 1 11604 141 1 1265 2626 2 13280 4623 1 2462 6401 1 14778 214 6 105 4690 5 18344 1686 1 13461 1783 7 9009 3556 1 3208 1464 2 18561 6084 1 3853 2969 1 18788 4102 1 3411 2459 1 13570 2151 1 17464 235 7 6275 7350 1 12209 1695 4 8340 1245 1 19806 2132 1 6484 4740 1 1670 6004 3 16568 5156 1 11330 7294 2 5310 822 1 13461 1730 6 8558 2252 1 612 826 1 6644 1345 1 11261 2936 1 9236 5327 1 3908 667 9 8343 2341 1 16379 1921 2 10179 1343 1 10254 3635 5 10311 943 2 7459 524 1 5580 2147 1 19724 220 3 4880 2488 3 4885 6507 1 10944 6108 1 2995 331 1 3915 2363 1 15980 5497 1 14472 1464 2 7194 2645 1 542 1322 1 15046 1537 1 5455 3155 2 8069 5120 1 11304 2632 1 19913 514 1 83 3766 4 17977 1705 2 8900 537 1 17009 520 2 13519 6228 4 10271 6085 1 8198 234 8 5712 1407 1 12399 723 1 4779 5446 1 5433 1995 1 19239 529 1 15778 2951 1 6012 3454 2 5347 214 2 5142 214 2 10864 1244 1 18033 1369 11 11966 671 1 18266 891 1 10319 1745 6 1265 7475 1 19619 4019 1 18834 6602 1 9783 366 1 1750 4951 2 9030 3640 7 18968 1136 1 4681 4789 2 4686 4612 2 19102 6526 1 1462 4367 1 9628 894 1 19459 3312 1 19289 2575 1 14016 4615 1 15429 3393 1 11687 2357 2 16871 533 7 4841 7528 1 6707 3184 7 1677 7506 1 8371 4972 3 3619 1249 1 11402 7216 1 73 3385 1 1980 470 7 6984 225 1 2816 3074 1 19641 1245 1 17 1102 1 18613 1373 1 10766 6925 1 9099 809 2 19316 3003 1 12543 221 1 15439 5538 3 11533 835 1 4662 6537 1 7641 471 6 17455 2415 1 915 3391 3 10502 6537 3 13290 7138 1 12312 5390 1 1490 5019 1 4093 7593 1 1258 1755 1 9239 4120 1 12112 4232 1 18286 2897 1 17756 6346 1 1606 694 1 10916 4105 1 11502 795 6 6568 283 1 8229 3324 51 3532 492 1 5918 508 2 6853 942 1 3521 8212 1 5842 502 3 16481 4613 1 9344 1244 1 17099 3632 3 10014 4992 7 10954 532 1 3796 495 1 18992 3382 3 14970 591 1 7751 1751 1 992 244 1 19057 6341 2 18080 6013 1 5812 2721 3 1013 2055 1 3817 167 1 12453 6595 1 11846 715 1 15852 1707 5 15979 7021 1 5319 5146 2 8394 2014 1 16141 1774 8 121 274 1 13829 1720 3 11415 1296 1 12593 36 15 16178 1659 1 4193 519 1 2529 561 2 1663 411 18 7785 261 2 7798 6268 1 12563 5524 1 17486 4490 4 15530 7640 2 8253 1760 1 13486 1717 10 2019 3633 1 6611 398 1 2479 1727 1 17405 413 2 5246 253 21 1908 6183 1 6726 3848 16 17033 4284 1 11687 1150 1 6328 1374 1 12217 5258 1 1552 6170 3 6259 550 1 9388 3463 2 9104 526 1 2710 1734 2 12208 1296 5 19022 1705 7 11269 7815 3 14753 3417 1 19347 1747 2 13207 1740 1 413 1990 3 308 1921 1 10693 6583 1 10169 4653 1 20068 1695 1 14522 707 1 8439 1827 1 6889 3036 3 10482 1656 1 17391 2488 1 10696 664 14 18476 867 5 15009 2881 4 5251 2488 2 8198 409 1 1118 1235 1 18667 2555 1 2443 3216 3 6541 200 2 19263 3449 2 13596 518 3 14377 7512 1 5199 7533 1 16550 1396 2 16101 206 1 1908 5083 1 3545 1244 1 8526 2057 2 17023 1825 2 7853 3704 2 2683 203 1 4756 6341 1 9616 4623 3 88 23 1 18849 1334 1 15154 197 1 6420 339 1 1866 871 1 12556 6713 1 454 714 3 14060 215 7 11617 1246 4 14225 4476 1 9208 3516 1 19887 520 13 6332 615 3 3807 1271 2 11349 223 2 11738 2234 1 8671 3320 1 1981 5281 2 4617 2442 1 18275 223 29 11556 1730 5 6555 2980 1 7334 2068 1 18476 6515 1 18566 724 1 14982 200 6 6323 4621 1 745 7204 1 17505 4738 6 4855 4118 1 12953 5758 5 5411 338 1 2260 367 1 19267 606 1 8246 3417 3 6688 1235 1 712 5018 1 12990 8013 2 8182 2290 2 16642 4208 1 4030 5952 2 1710 325 3 143 6590 1 16325 7404 1 6048 1374 8 11141 6378 2 8735 1741 6 3397 966 1 15214 877 1 17694 7877 1 3728 2810 1 15539 7413 1 3986 167 1 9784 1761 2 10721 1146 10 11376 5325 46 1870 5203 1 14095 599 1 8458 1450 15 10975 6892 1 16886 23 1 6515 200 1 17922 887 5 18091 427 1 522 7980 5 15408 411 3 14748 1137 2 6420 2498 1 6670 1717 3 10698 6482 1 18179 7240 1 4720 1473 2 17086 339 5 16063 6502 1 17634 5261 3 4019 6817 1 11489 4792 2 5831 207 1 15818 1679 1 126 5715 1 4052 1722 1 7832 7450 1 31 1772 2 13894 201 1 11283 235 5 1050 244 1 8405 6046 1 3927 7719 1 18980 524 2 9213 495 1 3768 230 12 253 7592 2 2716 3578 1 9722 502 5 3736 4649 1 11591 747 2 3335 7404 1 18981 2978 29 12411 3625 1 15893 7541 1 1301 947 2 5570 7237 1 16090 5648 3 6490 1736 2 13 820 1 2483 1304 6 2997 762 1 17013 1251 1 13111 2671 1 15159 1352 1 17014 8083 6 8303 5018 2 19639 1729 11 8680 222 1 9275 607 1 9737 2737 3 5907 4114 1 17500 864 2 1369 5084 1 10854 236 1 17058 3751 2 5227 5043 6 10339 3464 2 16090 6415 1 1746 1112 1 9657 526 1 3489 3827 2 8872 219 5 8132 3873 1 5315 4949 1 14052 1642 2 8153 749 1 9063 252 3 17199 6144 1 9448 1363 1 20262 1474 1 4134 1524 5 10942 4959 1 1625 3042 1 17657 7671 6 10509 1748 1 19649 1720 1 20060 5313 11 9551 3219 1 4240 2398 3 19099 3242 1 9017 1248 1 20129 3511 3 16109 215 13 5645 232 1 2917 482 2 19322 1296 3 2778 1721 3 8743 1028 1 10519 1244 4 4225 7244 1 11533 7687 1 18968 6680 1 19339 6204 11 8311 73 2 17300 3848 1 9193 526 1 5023 7602 1 16368 1745 1 10787 206 1 11951 2542 1 10110 5910 1 4906 4796 1 6305 498 7 8340 2127 1 1883 749 1 4023 3476 1 101 4592 1 16287 5495 1 17416 1037 5 18315 5291 2 12474 3896 1 4880 718 1 8965 1729 2 19686 2581 1 2288 6670 6 2084 201 1 19267 818 1 6622 1292 1 10584 7187 5 98 4437 1 15056 4511 3 7653 205 13 10196 214 4 19322 6040 3 18688 3485 1 48 2421 1 3485 215 2 11786 341 1 996 6159 5 3399 1967 1 5623 8146 9 6595 498 4 5620 736 1 1929 23 1 9465 7773 1 143 6609 2 8269 177 1 15471 357 1 301 207 2 10381 1253 1 3896 4954 1 13253 6028 2 15599 2698 1 1028 789 3 5188 8154 1 12209 7250 2 18152 1819 6 9707 554 1 18833 6549 1 19857 2010 1 18715 6752 11 5617 379 2 11637 649 1 17585 897 1 3085 479 1 13561 4343 1 3085 200 1 17127 7850 2 10345 1250 1 13130 8139 1 10610 861 1 3578 2580 3 18633 2431 2 18149 1743 11 4598 7815 1 73 3353 1 15271 219 6 17450 6053 10 3417 467 1 12681 222 2 4970 853 2 9825 1760 1 13001 554 1 13629 1991 2 1801 426 1 6690 3284 11 19826 3873 1 17409 1761 16 863 2806 1 993 4902 4 18287 165 2 5602 5339 2 12577 3573 1 10879 7206 2 7349 2675 1 7778 698 2 11360 694 1 14909 2841 1 9619 3675 11 14184 65 2 296 3448 2 18667 5018 5 6313 5851 1 6598 23 6 8674 6107 1 18600 1067 5 8619 2982 1 2245 4796 1 6091 2691 1 7229 3593 1 7198 6640 1 278 838 1 3941 2737 1 8674 5756 1 7322 108 1 8831 782 1 19418 2683 1 1899 7406 4 10407 366 1 12883 1174 1 13103 2727 1 16494 4621 1 9054 186 3 5248 4034 4 12765 604 1 15896 1037 7 14708 425 1 4171 470 22 2054 4796 1 10558 1762 1 8419 3378 4 17423 5255 1 3147 863 2 12971 5274 1 780 1780 2 12729 1573 1 1780 6204 1 13638 2746 1 18987 4293 2 8998 7112 1 16697 1819 2 7443 3625 2 16897 175 1 3400 2880 1 1838 6288 2 10242 498 1 6806 5018 5 1133 1070 1 7527 8148 1 382 4382 1 1138 6059 5 6487 4077 5 3642 3830 1 12821 4998 28 13475 4144 1 3686 4976 3 8703 3570 2 5645 197 1 7948 4998 1 3188 2268 1 12592 1819 8 4095 5018 5 6234 5258 2 12102 532 2 18852 3447 2 17092 235 2 15055 1913 3 13461 4029 1 10049 510 1 9946 4189 1 4610 3020 2 19069 4299 1 3258 525 2 7858 3113 2 3335 1928 1 9282 46 2 16542 3906 1 2707 1751 1 17870 198 1 9152 4387 2 19654 3248 2 10698 230 1 19456 314 1 8994 7597 2 9351 1771 1 4806 1618 1 6973 34 20 15117 4728 1 15785 603 1 20046 3670 5 4055 4306 1 3365 2671 1 17213 7466 2 2387 501 5 8128 219 1 9155 1660 1 8998 6330 2 862 2342 107 18455 3167 1 10585 1305 10 19127 223 2 19486 3351 1 3397 3234 1 19193 1722 1 9660 1698 1 12371 7817 1 17416 201 1 10692 624 1 18812 3138 1 14047 7895 1 11789 365 6 5202 320 5 5433 1762 1 18638 1247 2 7301 3452 2 1893 2009 1 6647 2018 3 12060 333 1 82 3696 1 13254 810 1 9657 925 1 4846 7229 2 10519 1728 1 13535 173 4 10670 11 1 19637 2078 1 18289 6107 9 10283 6064 12 15903 3670 1 16422 3066 7 16359 1262 1 6854 215 6 7462 1635 6 8265 745 3 1009 95 2 18578 1686 1 8343 496 1 16388 7586 1 15634 1903 2 18814 5493 1 1440 3207 9 5441 1686 5 11725 6677 2 15041 2671 8 413 562 1 873 6407 2 2150 6762 2 20121 1950 1 12688 235 1 10856 229 5 1600 4825 4 18792 7602 1 20144 2369 1 3061 4196 5 2917 866 1 12291 23 2 18543 4969 1 8054 6088 3 863 804 1 16897 354 5 2956 4389 5 10592 3190 2 7535 3081 1 4734 7642 1 13653 1535 13 14573 702 1 17850 532 1 4309 2675 5 4279 4669 1 2046 210 1 164 7450 2 54 2613 1 18508 358 2 15670 970 2 14416 2557 1 13941 397 3 9279 1374 2 19225 219 2 11428 3648 2 891 3275 1 15952 367 1 12013 7227 1 15618 8040 2 2733 4904 1 12726 6754 1 9400 2675 2 1870 3406 1 13864 342 1 18058 1835 4 4755 1271 2 9567 2852 1 17267 4761 4 4902 2585 3 1275 509 2 3277 4807 3 14398 4369 2 3944 6880 1 9332 4387 1 10624 1582 2 8946 316 1 9589 1882 1 20235 1741 2 9977 5436 1 19955 506 3 1225 4194 5 9780 6486 11 17340 4977 4 5860 4435 1 1 13 1 13748 365 1 1568 4961 1 6593 3180 1 18193 84 1 20071 223 1 15907 215 1 17331 4929 1 12322 1755 1 16090 3531 1 12 544 4 11877 506 1 5367 506 2 8585 1712 3 18852 2705 2 8532 723 1 3287 836 1 15025 2271 5 2105 201 1 16477 6716 1 12300 8168 1 11756 1719 1 18504 222 1 15330 1819 2 17477 1771 1 11772 3685 5 14417 1700 2 19595 752 1 1029 1236 1 13391 4074 1 8159 926 1 11674 215 3 6089 8141 2 13001 2831 2 18127 5245 5 5963 1796 1 6415 1241 3 171 7624 1 5303 3598 1 7664 7005 2 4375 3464 1 17378 518 1 3851 200 1 14063 89 1 939 1363 1 18144 214 2 17836 3333 9 1096 411 3 12360 1470 2 2267 1044 2 11968 1659 1 7832 2502 1 17 1050 1 17172 1396 2 11837 534 3 17867 1663 4 9604 3911 1 1469 173 17 7730 207 9 9624 4794 1 5362 4245 16 17405 5448 1 10238 670 1 6048 2883 13 979 218 3 19730 1367 1 12826 3806 1 18791 425 1 11080 1287 29 12065 5715 1 4549 1334 1 12858 3693 1 13672 518 1 11615 496 1 2045 1731 2 5645 1819 2 20051 191 18 138 6326 1 19110 336 2 4238 6231 6 8863 2083 5 15818 2087 1 8975 518 1 670 766 2 7295 5533 1 9836 4473 3 4689 5325 1 12685 4209 1 10579 8187 1 17959 1764 1 5290 647 1 16916 3453 1 4460 8186 6 4150 5444 1 9422 336 1 18940 38 1 15025 1466 1 18151 83 1 11887 1292 2 15785 810 1 2330 3293 1 16029 3528 1 14392 6845 2 13035 6793 4 11706 1781 1 10422 2076 1 17445 518 2 15148 197 6 3258 215 1 4701 690 2 6574 191 3 6449 2949 1 18268 1249 1 18984 6252 2 9235 6225 5 6023 5036 17 14817 3386 2 19454 7467 1 450 6395 1 6562 3497 1 474 4945 1 5049 617 1 10114 4249 1 17753 1388 1 12807 514 8 1498 853 2 17152 1253 1 17586 8195 1 8913 1751 5 7348 4950 1 739 1775 1 11212 201 3 11601 221 2 6023 5099 2 2350 545 1 9759 6351 2 17552 2499 1 12392 220 2 16681 2699 1 9308 5352 3 2414 1312 1 10609 219 1 11427 4675 1 7041 220 1 72 3336 2 3408 221 1 4740 6721 2 14527 1825 7 18705 1738 1 10166 5759 1 11084 4012 1 16628 1757 1 17947 1740 2 12077 2297 1 11678 403 1 18939 1819 3 4716 173 1 3972 5471 1 10452 841 5 17184 201 1 4963 4618 2 9707 4867 1 7799 1758 2 7987 2363 1 17127 314 1 7640 1331 1 4172 509 1 6883 1328 1 7151 2385 19 14400 8141 5 17455 6585 1 536 3333 1 16448 3216 1 845 1250 3 18017 7920 1 5142 3117 1 6228 666 1 40 2102 1 7604 201 18 12789 3534 1 11572 215 15 11162 3489 3 2395 7229 2 17142 7652 2 113 5094 5 16316 3648 11 10741 1707 2 778 3086 1 3659 5279 1 18563 5905 1 7750 1395 1 20262 1363 3 10852 1582 4 2385 3748 2 2226 3070 1 6681 489 1 19809 3911 1 18148 4664 8 82 223 2 12361 316 20 3521 2584 1 13312 4304 1 5301 1726 1 13758 1185 2 6061 2720 1 11777 2682 2 3822 5418 1 14890 590 1 6211 7477 1 46 229 1 4806 3364 1 13453 74 14 13324 3276 1 17142 215 1 5578 470 1 314 1236 1 9935 2409 1 16855 470 4 1760 2528 1 8577 5447 1 454 1145 1 7455 2005 1 4023 3007 1 163 7404 2 1822 7477 1 2885 1898 4 2896 7427 4 1985 252 4 19063 2534 1 13275 1251 1 18289 8203 21 10997 4251 1 20134 6897 2 3397 3306 1 7834 2626 1 13922 203 11 3146 2935 1 4772 201 16 15884 842 1 4310 1718 6 3362 509 1 14425 2534 2 15651 6757 2 7769 8141 2 12453 1600 1 11769 1610 3 14900 223 2 2948 6568 4 8104 573 1 5305 23 7 16672 6552 5 16698 3224 1 9279 496 1 17618 512 2 5472 2555 2 12136 4254 8 3158 1747 2 1447 5485 1 10015 5894 1 8966 1720 1 12548 1824 1 2079 3403 4 2772 5532 5 16473 38 1 10595 5408 1 373 3617 1 8387 892 1 17258 3596 1 5505 1150 2 9542 2935 3 3557 7976 3 8735 777 1 5739 203 1 3619 3653 4 17760 8094 2 18023 2392 60 10019 4029 24 18413 6954 1 18431 3512 1 13227 634 1 10518 1371 1 5851 2849 6 13 697 1 8550 5255 1 6766 4829 1 15340 3164 1 4172 1782 4 16072 905 1 14132 3511 1 15364 7381 2 5706 3138 1 12067 676 1 19742 4288 2 7184 1703 1 978 6510 1 10442 3323 7 9259 4591 1 14034 4623 3 16440 507 2 166 1776 1 16971 541 1 18735 4944 8 6535 1725 1 1691 1783 3 10221 235 1 18924 1253 5 10080 2103 1 10245 1946 1 7617 849 1 10513 8167 1 14105 7693 1 3417 4245 21 11622 1374 1 19463 3164 1 18203 2575 9 12894 7726 3 17934 200 5 11082 743 1 17906 7266 1 11112 4956 1 18567 470 2 2803 2507 1 7756 5390 1 14629 2132 1 5785 4435 1 5754 3469 1 4592 6187 1 7706 1718 1 20129 303 1 9850 2867 2 5424 1234 1 14929 36 1 18524 96 1 18750 905 1 7832 6713 1 14681 1037 1 15501 855 1 9536 3510 6 6475 1770 3 3021 1893 1 10803 1760 1 13731 2447 1 14094 1507 2 1278 3106 1 3489 3378 1 5309 5018 8 4658 2737 3 11207 442 1 11380 374 1 17400 3239 1 5840 1188 1 16158 4460 1 124 1663 1 11161 233 4 14501 203 5 10079 5052 3 13922 207 16 2886 3742 1 8794 3721 1 17633 734 1 10648 3433 1 19774 5945 1 11626 7210 1 10361 225 1 11786 20 1 19590 533 10 12167 99 1 5053 1535 3 6473 1146 1 7556 214 1 3846 367 1 12592 2131 2 18751 5878 2 16865 1315 4 19289 219 8 15722 1739 1 12437 1825 10 7560 3945 2 19319 1237 5 1129 6640 2 4199 4599 1 11550 2292 14 10217 201 1 11556 3073 1 4850 444 1 9292 2678 10 16860 4387 1 15272 506 2 485 1814 2 124 5385 1 7455 402 2 7579 7210 2 3822 2341 1 7224 3124 2 9511 391 1 12614 1331 6 46 2362 1 11200 220 2 9317 507 1 14099 7601 2 12317 201 7 16464 1658 2 13442 1770 1 5431 372 3 130 5863 1 9836 4458 6 8930 637 1 14861 235 7 12515 1101 3 10565 5979 1 6587 1756 1 14125 335 1 11010 5575 2 9495 1582 1 10519 1777 1 7368 769 5 153 6024 1 7010 498 1 2100 1266 1 1505 1796 2 17820 952 9 8316 1656 1 6712 186 1 15368 1354 1 8012 5245 1 12050 4373 3 12408 5040 2 1691 5245 3 14495 4983 5 10923 2646 1 7640 6665 1 1703 1903 6 15100 853 2 6435 2989 5 17817 3267 1 17260 1698 1 13935 534 1 13836 3233 1 7768 1249 3 11020 594 2 12934 3298 1 19433 3298 1 3240 1819 1 15429 2410 3 4898 1311 2 12297 5595 1 14197 201 5 3762 200 1 1171 220 3 12640 4288 1 10994 1737 1 6687 1146 2 11772 7719 5 19401 5018 1 13404 3689 2 16625 883 1 6960 3410 1 17156 4252 1 13972 5266 1 19900 1752 1 14700 232 2 15956 1610 3 15272 1710 1 9168 1756 1 10241 1926 1 3116 2552 6 3493 4635 1 15530 6286 1 19606 23 3 17867 5820 4 2959 1658 1 3889 6031 4 12275 200 1 14051 1474 4 5433 2562 1 4880 377 1 11418 3869 3 8886 3007 1 1130 6487 46 18548 3405 1 18262 1730 1 8266 3578 1 3287 4467 1 19431 7644 1 10728 477 9 10645 1824 1 7677 5120 1 6314 7824 2 17688 207 1 8005 223 3 13667 6363 2 10051 4248 1 18885 201 6 16630 461 1 13579 3096 2 13165 6168 1 13835 1253 36 19217 289 2 18357 5873 1 3765 1307 2 9249 4578 1 19326 229 1 1043 1819 2 16925 385 2 5281 2407 2 4631 4603 16 17253 534 1 11485 1898 1 4898 6706 10 498 1245 1 18134 1776 1 11735 6177 5 15468 5082 1 6922 206 4 15196 5036 1 16481 5418 1 9208 182 1 14296 844 2 1504 95 6 6333 1544 1 14522 2337 1 17666 5162 1 15025 3426 2 7961 506 7 9194 3230 1 2590 692 1 5426 7167 3 4679 2555 7 4 141 5 15608 850 2 9713 4031 1 17053 637 1 8658 94 1 10595 1758 1 9672 3311 3 2762 5397 2 6990 1312 1 5763 4992 2 18797 498 2 7284 1781 2 5493 1449 4 4597 1775 1 7769 756 1 8989 1719 1 15991 1184 19 5930 5269 1 5688 252 1 4105 173 1 12361 5888 1 6745 7201 4 13265 4945 1 9864 3464 1 790 2352 1 9051 201 9 14753 4512 1 17220 234 5 2708 925 1 2386 4727 5 4197 4355 2 4380 2488 1 7306 869 4 6449 1247 4 12655 1704 1 12766 1417 2 10160 1747 3 8528 1819 1 5613 1190 1 135 6129 2 1259 3480 5 5007 3071 3 17135 4035 6 5199 449 5 2630 3573 1 4138 223 1 12929 7602 1 7392 4343 1 18363 7869 5 399 3155 1 10639 2305 1 16299 3224 2 17731 903 5 1435 6064 3 7575 1726 1 8547 3239 2 7536 2908 7 14495 5938 1 2086 1150 1 12397 37 2 11248 3230 4 13212 4345 3 7099 3556 1 9432 3315 1 12725 6892 2 7123 4325 1 8962 1760 2 8645 2114 1 14560 7522 1 11480 1981 1 3193 184 3 8356 1825 1 7893 1374 5 2827 7998 1 4259 1827 5 9224 284 1 16889 1714 5 643 2649 1 12676 10 2 1029 1734 3 7952 5940 1 7699 219 1 8950 1371 2 2297 6546 4 1469 214 13 16925 1239 1 6861 1251 1 17216 3155 2 7969 3021 1 6246 2613 1 4301 7461 2 3049 4369 2 19450 888 1 15898 221 14 8088 57 1 108 4908 1 2288 200 2 9185 5349 2 4710 165 1 1043 3061 1 5287 6583 1 15495 2727 7 8129 1428 4 17340 7351 1 4268 4521 1 12851 3219 1 3360 1150 2 1024 5380 10 3472 1729 1 3397 6675 3 6161 5559 3 16734 3058 1 8420 6946 8 13271 3807 1 6007 292 1 7574 235 1 11072 244 3 15956 4562 3 153 6876 1 12192 2646 2 2508 5461 1 11255 5054 9 16180 197 1 14471 4411 5 13990 3980 1 12680 23 1 11024 3879 1 8201 88 1 5445 519 6 13526 2459 1 9224 575 3 16805 3642 1 2744 5851 1 15471 1203 4 11954 1453 1 16143 318 1 16817 235 1 9835 2649 1 8189 5566 1 4616 1221 1 14748 413 1 13785 1745 1 8792 6231 28 13049 5324 33 15734 4794 1 15 1001 2 10943 215 6 4050 235 1 3326 3910 8 8198 367 2 20146 5419 1 15221 2651 1 15205 1278 1 15896 2360 1 3558 541 1 4598 7652 1 16202 2653 2 10966 3181 1 12410 3721 1 18130 203 1 16976 3012 1 2661 1035 5 7463 800 1 17905 7271 1 1465 1772 1 6100 5064 1 6209 5243 10 4207 200 3 9585 2552 1 14828 6435 6 11104 1665 1 12826 4427 4 9041 478 5 4829 5018 1 11402 1244 3 14883 164 1 14755 1072 11 5202 200 6 2483 3648 4 14758 2499 1 7631 7846 1 11018 5550 1 5637 1760 1 13866 220 3 5948 1903 2 2980 5880 1 1702 1416 4 634 1325 2 1045 1775 1 3241 7596 5 340 1194 1 397 197 4 6907 2114 1 18149 1247 1 8793 737 1 18261 2663 1 17249 3391 10 18608 4796 1 13967 2649 10 13254 929 1 15529 6220 1 4092 1729 2 2917 2495 2 14522 839 3 16857 201 1 20128 229 1 12064 534 1 12912 1692 26 20 1365 1 9442 3893 1 18334 6655 5 18179 201 3 126 5710 1 5789 519 1 4599 867 1 12121 3138 6 4382 220 1 18659 380 1 17682 6454 1 755 1720 1 16920 4204 1 12262 2908 3 863 6050 6 1420 2534 5 12929 235 1 3189 1102 1 2154 1748 2 8806 4533 1 14786 2673 1 13169 1770 1 7658 6192 9 11924 4296 2 14132 851 1 3112 2535 8 14427 550 1 4455 5266 2 6855 962 1 18930 6487 1 14736 4385 6 19460 6065 2 14473 779 3 13328 6521 1 6070 1916 2 15184 869 8 9217 2295 4 18183 2675 5 8298 1747 1 171 7708 1 17020 3671 9 9190 1731 1 2710 1245 2 17474 7972 1 19197 2356 1 18299 1712 1 15885 5916 1 5908 532 4 13204 1737 5 9093 1756 1 14156 3770 1 7203 214 1 12055 828 1 12770 7850 11 9178 6532 1 18402 4792 3 16303 3795 2 5602 7522 3 2776 5090 3 6578 1703 1 9573 215 1 12041 201 2 9881 789 1 1635 915 1 10715 840 1 19300 1996 2 15818 507 2 13387 3920 1 17331 4920 1 14503 4306 1 15108 6056 2 10664 6320 1 19939 514 1 15895 545 2 473 2677 7 7986 6777 1 14512 336 1 14518 1245 1 10463 1995 45 13886 1755 7 13570 682 2 18087 4996 2 12453 1641 1 1086 223 1 17960 1251 4 2201 221 1 9095 215 1 8638 1686 1 24 1456 1 18946 6539 2 824 3370 1 8751 173 2 14698 1610 1 10985 1791 7 11477 505 1 6397 215 1 1231 3109 1 2218 3911 2 5270 1717 7 20094 3916 5 7688 5335 1 12104 2958 3 15184 225 8 19867 1946 1 13829 1784 3 14952 252 11 9808 1244 3 6690 5999 1 14573 959 1 1969 7750 1 13619 1686 2 7462 6512 1 186 4352 1 9589 4723 2 15890 1025 1 20169 1235 1 3000 760 1 19759 2109 2 5456 20 1 11625 518 1 6313 6674 6 8620 2419 1 4195 495 1 15920 220 52 2367 4237 1 3383 461 1 4913 4669 1 13328 11 1 16600 728 1 238 7712 2 10738 7380 4 2526 1245 8 11020 4484 12 10179 6088 1 9784 1363 1 14485 6946 1 19872 3333 1 12763 23 2 13442 8183 11 16916 880 1 15893 452 1 4347 1453 3 10763 3643 1 8198 7901 1 7455 3851 1 11050 156 1 3829 2964 1 16602 200 21 1725 3516 1 14985 2673 1 8119 3431 1 2688 281 1 10016 5018 1 3806 6341 2 16287 372 1 2391 637 1 2884 5611 2 8993 203 10 9215 4567 1 7829 3338 4 1706 229 2 14952 304 12 11932 1469 1 9884 910 2 14794 2552 1 9555 7622 1 10125 536 2 5717 532 1 3090 6801 8 19495 3619 1 10633 4169 1 16055 220 3 12159 175 2 696 1247 2 15778 205 2 16881 1244 1 14347 888 1 6539 925 1 9569 3072 1 2483 512 4 12954 220 3 12961 1801 1 7910 1595 2 5827 457 1 3075 3906 5 17560 5996 3 16002 818 1 5117 665 6 16183 1707 28 13290 7135 1 156 7162 1 6543 5243 1 18175 215 1 18183 1814 1 6769 5851 1 6540 1210 1 17813 1932 1 17756 3167 8 5860 13 1 8733 3731 1 16366 1728 2 29 1667 1 5763 518 1 5142 3175 1 9978 741 1 9886 1266 3 6459 6683 5 10930 1724 1 8578 2312 2 6219 7466 33 3036 8197 11 591 206 2 7786 1740 1 16844 1402 2 16992 2678 26 14826 4591 1 12320 2827 3 5911 2775 1 18197 1363 4 4072 4998 1 19149 133 1 9374 1244 2 13490 2497 1 8117 596 1 16512 776 1 19131 4531 1 9364 724 1 5298 6954 3 7533 7902 2 13722 470 1 14493 4009 1 4670 1482 1 7858 1369 1 18404 1727 5 3296 221 1 8532 222 5 19022 1116 1 13663 7021 2 14900 221 2 12988 5436 1 14295 3177 1 8798 1244 1 10290 1721 2 18137 6052 1 20014 423 1 4663 895 1 3537 1784 1 4786 2401 2 5821 792 20 13015 1764 1 19881 2671 2 6957 6836 1 7991 1072 1 4030 869 1 19246 4304 1 18782 6748 7 10967 5049 5 3846 2514 1 5093 153 7 15975 244 1 17647 4120 1 13187 4692 1 7956 4996 2 18508 7336 1 10930 508 1 163 1738 6 183 1747 2 9694 1737 2 11999 4011 1 4250 4123 1 16881 2673 1 17586 2528 1 2529 737 2 11365 3962 2 16548 3006 1 9542 1743 3 11884 200 23 10661 7008 6 13098 1819 1 6617 1194 1 2404 1737 1 9535 1722 1 1578 4623 1 4493 3287 2 8761 786 1 11469 5897 1 7599 1756 4 1172 6442 1 5828 6706 8 17283 1764 1 10862 3516 1 9479 1231 1 19559 1307 1 7498 7931 2 1928 3626 1 10856 2385 2 15308 222 1 13329 5105 1 1074 7593 1 5433 2980 2 10575 4310 1 11791 7256 1 1666 1416 7 8884 3706 1 16089 232 2 16096 853 1 15075 1659 2 6369 1757 1 11904 2958 1 16947 7138 1 2265 196 5 3847 883 5 14227 1250 9 18149 74 1 7888 4116 1 3103 219 16 18023 6278 1 5411 3338 3 9166 4200 1 14425 2352 5 6786 6421 1 13 591 1 1853 5561 1 19434 6200 1 4229 1827 1 9351 223 1 4762 320 1 296 6481 1 12377 7615 1 12829 6979 1 16992 2878 5 17406 4012 7 3835 3176 1 3110 7349 1 11072 1722 2 6613 4998 5 9748 6150 1 9146 5800 1 6848 1729 2 7812 2013 1 13517 219 1 9969 1739 1 16442 1146 6 12097 6152 7 13169 330 1 2834 687 3 10931 5758 1 83 3763 10 7407 303 1 3406 5950 1 12369 2276 3 610 6341 1 10060 1334 6 14663 1721 1 17141 8141 6 15263 1244 2 153 6979 1 15854 6139 1 16768 604 1 12690 863 2 8298 2675 1 2738 4675 1 4290 2517 1 6064 2548 5 6742 6600 1 14275 910 1 530 3462 22 5912 1239 3 19500 190 13 20114 201 2 5776 957 1 17014 3705 5 11935 8145 5 19193 2480 5 2171 2062 1 18549 1730 5 17822 1512 2 17645 3669 5 6403 5516 1 15948 1819 8 8597 7220 1 12501 506 1 15356 6865 3 3471 1191 1 3024 4951 2 5016 510 1 382 2349 1 2367 1756 1 18847 412 3 16141 2646 5 13865 3503 3 15686 2169 7 9725 2625 1 11551 5251 2 16768 3592 1 17416 200 1 3931 188 2 18250 6341 1 14928 8096 1 7882 365 1 17555 1271 10 415 3666 5 83 3795 2 835 6236 1 2643 553 1 13108 2422 1 14617 4967 4 19932 4065 1 12776 4949 6 12770 525 1 9718 966 2 14686 1245 3 9166 4287 1 11072 541 3 14162 2494 1 14292 1728 1 17809 3216 1 7966 6663 3 11954 2355 1 4016 252 1 3771 1819 1 3323 174 10 5983 1113 1 9816 385 3 5498 1762 1 130 5842 19 5022 4673 1 8924 1748 1 3362 7244 1 5445 1781 5 10313 3026 5 1719 2930 2 680 1658 1 494 3138 1 1675 1474 1 19568 1686 1 17664 1241 1 10728 3685 1 5356 4280 1 15104 667 1 11451 220 1 3544 1756 1 16728 167 1 3947 883 1 18149 1734 7 10309 1054 2 14162 57 1 18027 4615 1 18071 3956 1 11912 3684 1 16860 4554 1 2951 1775 1 18946 2388 1 4449 809 5 1481 2360 5 19326 1717 1 13572 78 1 14673 7895 1 12134 2508 1 4572 792 2 14530 8221 2 931 2675 9 13818 214 2 15102 5837 1 2489 108 4 13829 6988 1 19918 203 16 18465 206 1 15895 8012 1 16033 7422 13 13183 7996 1 6451 23 1 15246 361 2 19996 923 1 15618 1774 3 2966 23 18 5312 2516 1 100 4570 1 8159 342 1 6687 2737 2 9650 6037 4 7575 496 1 14602 6882 1 1942 1762 1 4005 1150 21 15824 411 1 10549 1686 3 12971 4063 1 2634 2715 3 13530 200 2 7812 512 1 17246 1237 1 14080 6754 1 14327 1154 7 3715 7948 1 100 443 2 15833 2876 3 19418 3663 2 12753 244 14 13587 2129 1 16283 2958 1 18883 2083 3 86 3974 1 19241 3756 5 8476 1250 1 15802 228 2 4283 2114 4 2294 201 2 19428 5957 2 8832 898 1 836 1962 4 17935 1779 43 12988 532 7 92 4183 8 109 4944 1 17608 1897 1 9213 533 1 723 1239 2 5458 7814 1 10199 2675 6 19510 2357 3 6611 23 1 15181 6335 1 15940 2151 1 12817 4328 1 120 2068 1 3246 53 1 9622 1042 1 324 1757 8 13573 411 1 8391 596 5 3975 5315 3 12358 4380 1 11160 1235 1 11958 1758 1 16980 4274 2 4299 1935 4 5780 2530 1 3015 2626 1 5374 1814 1 7926 2191 4 13126 8096 12 3491 510 1 7455 4211 1 10999 2369 1 15826 514 3 10356 2646 3 16775 3248 5 18620 8031 1 12480 2508 1 9628 959 1 1756 1819 1 6332 361 1 9689 885 1 4429 1290 1 9178 7486 11 4938 7857 5 15943 1054 7 3594 528 1 7640 2260 1 15648 5425 1 7850 2092 2 56 2667 1 13446 7173 4 17521 524 1 17068 524 10 16569 4473 3 7823 7807 21 16000 203 1 174 8120 1 124 365 1 2762 8012 1 6452 555 1 15965 4421 1 15339 1242 1 7117 2509 1 9776 3629 9 7700 243 1 7972 525 10 14906 2678 10 3279 196 1 1951 7319 1 2818 225 7 745 1781 1 9656 2145 1 1686 4274 2 2842 5995 20 1206 5186 2 13178 1270 2 14926 1041 2 15957 221 6 1899 235 1 18357 1246 1 11327 1686 1 1029 1762 1 2404 4403 30 16646 5686 1 2007 1731 1 16566 222 1 18637 883 2 15563 1784 4 19344 2109 1 835 975 2 16972 5442 1 19760 5341 2 11607 235 2 12826 4049 1 13674 7953 3 4273 2214 1 270 229 1 5695 518 1 518 3237 1 9986 6933 1 11082 1333 3 12532 1466 1 5928 7702 39 18404 6360 1 14629 6083 1 11276 6383 1 167 4563 1 16920 2030 11 15108 2807 1 2223 215 1 5612 8099 1 11595 1344 1 12837 2897 4 8721 5074 1 19450 1744 1 4220 23 36 14141 1284 18 7485 203 5 16234 1240 4 14818 4967 1 8674 6059 10 3874 7857 1 14326 3511 1 19758 1819 1 10834 8083 1 3307 532 1 8006 2356 3 2462 6461 1 19568 236 1 4492 1775 1 16767 2336 1 3940 4665 1 19729 203 1 1553 1243 1 11810 6342 35 13387 2296 2 11131 5256 1 1399 252 3 2663 1761 1 4687 5220 6 9077 6484 4 15075 6064 1 20258 3432 1 7099 1309 1 10670 7801 10 4663 316 1 12739 5267 2 1529 1827 1 2141 533 3 19385 4474 3 2967 1374 1 2748 6528 2 4768 518 16 314 1756 2 4622 3684 12 11705 3684 1 17001 2021 16 19471 6011 2 1699 1664 1 20229 404 1 6449 1235 1 13835 479 1 7173 1253 1 14840 1250 1 19302 6150 1 10337 7410 2 4731 1112 1 11963 4189 2 12644 1184 1 4946 3411 2 6183 5558 1 18346 3485 1 2201 470 1 5468 3369 3 7688 878 1 19215 200 1 13 752 6 3544 6793 1 11471 3318 3 11299 2691 1 14653 5391 1 18896 1509 2 174 1395 2 9797 6705 1 5591 3152 4 11687 520 5 5368 1333 6 4853 1482 2 12510 5060 1 4498 6719 1 10295 229 1 3037 220 3 18705 236 1 9546 685 1 10663 23 1 3066 201 2 6126 3113 6 11259 1324 2 8404 4274 2 1825 8160 13 18178 7769 1 5696 2534 1 3806 221 5 14193 5905 1 6913 3219 3 204 1235 2 15718 1758 1 5851 2789 3 17125 5352 4 86 3971 1 633 6173 1 8762 657 1 4068 2675 1 14628 2383 1 5228 1617 1 11048 5018 1 11436 3896 2 19131 1973 6 17746 1787 1 15648 1242 1 18145 1731 3 18404 1464 2 14843 586 1 15307 606 1 9816 7878 2 15807 2608 3 5171 219 2 1839 491 1 16259 501 1 10788 4730 1 13800 2129 2 14668 5385 1 4357 1719 2 7463 2109 1 12078 5253 16 8191 2332 1 18857 2691 1 11230 845 1 271 1507 3 2710 1146 1 6945 4156 1 15687 667 1 8191 1742 9 3734 2552 1 13458 7742 1 18689 1814 1 18960 4206 2 15087 7612 1 18921 4790 1 16374 1704 1 17078 222 1 14127 1700 1 4939 3071 2 19721 489 1 10874 6099 1 3255 1721 4 10029 320 1 4851 1748 1 1038 524 1 19965 200 1 7994 818 1 9869 2120 2 17331 2087 3 15756 336 4 1161 156 1 370 3129 1 13405 132 2 6913 46 1 11390 1349 4 19047 3256 5 13148 766 1 17633 4156 1 12754 167 1 4615 2662 3 13669 7185 1 4184 194 5 18686 3203 1 2925 846 1 13976 2027 5 15832 3512 15 9281 380 17 14193 4026 1 86 3994 1 40 2132 1 5745 1186 1 1794 3208 1 4329 521 7 847 964 1 6973 6704 2 18180 509 76 4701 874 1 19688 883 1 107 4769 1 166 7547 2 7710 3434 1 10203 6105 2 19387 1703 1 11887 3070 1 3822 6537 1 17460 1706 5 18698 23 7 11215 484 1 9776 956 3 17678 1555 6 11566 6184 1 14853 1404 1 3044 260 1 7135 1242 1 2913 4156 1 8393 1404 4 11345 222 1 8337 798 1 14253 500 1 113 5050 2 5823 2356 3 8709 4300 3 1635 6400 1 10919 883 1 16432 6503 4 17159 3592 6 18229 7853 1 19131 8054 1 15430 1721 1 9374 201 8 417 2080 1 12710 13 5 15751 2675 5 105 4742 1 9694 4870 3 15190 7103 1 11832 3696 1 19223 235 1 17878 1818 6 6907 6125 1 9865 514 1 11295 7491 8 14211 4988 4 6317 3137 1 7444 7240 2 6851 675 1 7114 1788 4 18681 926 1 19175 3206 1 19218 6434 5 16831 1035 1 9429 1450 1 17850 4010 1 9566 7719 2 10146 5513 1 18212 411 1 10650 608 1 1219 518 1 9512 5618 1 11336 221 3 16715 6198 2 6922 8150 3 62 2863 1 4869 637 2 873 844 3 8978 232 2 19626 6537 1 9049 2057 1 17083 3512 5 4524 320 2 7682 616 1 3651 2093 2 13323 1235 1 14791 525 9 8969 1252 1 12343 6875 1 8798 2009 1 2980 5879 1 15133 1911 2 5812 7187 11 6128 3334 1 13343 1617 5 12777 3352 1 7454 4411 2 8367 7308 2 2951 201 1 19549 1225 5 10494 1752 2 324 1251 10 17819 1250 1 8826 3399 2 1689 7326 1 12789 1277 1 11827 223 1 5132 3138 1 12017 882 1 13857 1785 1 436 4279 1 835 3074 1 15920 200 18 14971 203 1 13928 708 1 7117 1053 1 13787 244 4 7877 1245 1 9332 1357 1 8868 5714 2 6467 7943 1 3612 5477 1 13897 470 11 6622 2114 1 164 7477 2 11430 470 5 9443 1482 2 4183 1251 5 18960 905 5 109 3012 2 11478 1703 4 70 3302 1 18893 2016 1 16200 1249 3 1217 4403 4 3974 867 26 115 5150 5 10009 5618 1 18649 3247 1 18762 4998 1 7445 218 1 19060 6021 11 12441 84 6 15781 206 1 4056 2998 3 10649 6031 1 20130 1234 1 3677 524 10 11194 6124 2 5344 6071 1 2793 172 2 7725 2398 2 9836 6900 5 1668 1739 2 4030 4015 1 2271 7658 1 7473 1703 1 4734 5521 1 40 2090 1 635 1761 1 62 2768 5 3483 4378 2 16916 234 2 7769 387 1 18593 1748 5 4941 471 1 873 3274 1 15871 931 1 19822 7839 1 83 3352 2 8299 3368 1 19813 4435 2 19342 2355 1 12152 947 1 11388 523 1 17578 3382 8 16494 6484 1 143 6565 4 16500 214 1 20232 1256 51 6272 6727 2 16099 1037 1 13865 7511 3 10057 7424 1 3414 7598 4 16292 5257 2 11919 7167 1 12260 6179 6 4868 2025 1 19568 229 1 2217 1037 1 1790 7961 1 15157 2358 1 13999 6620 2 8420 1686 1 16913 7331 1 7952 1705 1 8391 4213 1 13652 520 1 4179 3511 3 7273 5294 1 4758 4299 14 17415 8171 3 16423 7788 2 20090 1208 1 14140 2360 2 3548 1258 40 14772 6557 2 2743 206 3 2447 6190 1 15452 6057 1 251 167 1 18535 7719 2 557 1797 1 11562 7322 1 19984 8083 11 17372 8111 1 5709 5060 2 7429 3459 5 5748 8013 1 9097 1819 6 1218 4967 3 12934 1369 1 13490 429 1 17578 2946 2 1414 3511 7 4691 525 1 17809 367 3 7179 712 1 11959 4601 1 7756 5402 2 14849 5302 1 13895 1395 1 5734 210 6 112 5017 3 10587 4676 1 18303 5783 5 15145 190 1 5223 7308 4 12505 4944 1 10084 235 2 3360 2355 4 2232 6769 1 18731 520 1 14117 3794 1 12231 292 1 9864 5260 1 10883 2499 1 19575 347 1 14162 3382 2 8118 6513 1 9329 5748 2 10225 1740 1 6199 1236 1 18739 1251 1 8251 219 74 15461 4563 1 7832 201 3 14259 533 5 4470 427 1 1935 3024 1 18915 1707 1 877 429 1 18559 1507 2 11583 4761 2 18506 1771 1 13916 4137 3 14877 7308 1 14721 7595 1 1090 7812 2 11769 1659 2 3768 532 2 13649 4156 1 20275 5345 1 13762 2671 5 7463 7809 1 19029 2058 1 9495 1644 1 18056 986 1 7846 4157 1 4130 7083 7 17088 1245 1 3289 404 1 2795 1548 1 12241 3248 1 7490 1731 1 15998 203 1 20091 1719 1 314 1253 2 4277 1871 6 4072 7772 4 18979 2556 1 14351 2671 1 9836 184 1 7964 4401 2 2877 2073 9 11367 1855 1 2746 4427 2 11776 3086 6 17633 5000 1 12815 2938 12 7893 6106 3 1491 2385 1 9793 1752 2 17901 1748 1 15861 1450 1 19569 1764 6 8851 2476 3 3759 6147 1 18887 411 11 6332 8190 3 17771 5294 1 9777 5740 4 17575 5844 1 2356 1844 3 2629 1235 2 18706 867 5 15012 1249 1 14098 6341 2 19030 514 3 14027 1037 1 17494 3065 1 15593 2346 1 16353 215 1 4960 512 6 4688 877 2 15394 874 5 11473 5472 4 16378 518 2 11487 5051 2 4519 1245 1 12727 3510 2 19520 3760 1 18524 1126 3 2489 1784 1 5393 6283 1 572 5349 1 8856 1736 1 18587 7521 1 15343 2559 1 15484 1757 2 20133 1495 4 13684 482 1 11275 214 2 16096 5425 1 13208 470 1 8347 6481 2 2284 7689 1 6867 1249 1 19112 1613 5 14065 497 1 8294 665 1 4694 153 1 16158 4467 1 3347 8141 1 14745 201 1 17886 3257 5 16359 1364 2 11033 2885 7 5543 219 1 18281 1040 1 8233 5559 1 6779 187 1 16574 519 1 13126 1303 1 16754 4613 2 2407 2407 1 113 5029 1 10720 4380 5 7528 1307 1 14988 6776 2 14059 2821 2 17350 1707 9 11346 6288 1 4144 2013 1 19833 416 4 2505 8093 2 768 6166 2 8058 1147 1 124 5562 1 16068 1238 1 16684 457 1 17734 869 1 8054 5138 3 16254 855 2 12708 7742 12 6708 1416 1 12499 532 3 5653 4266 1 9655 3 2 15922 467 1 14850 207 1 1597 852 1 12038 3228 2 15100 915 1 5873 1766 1 19360 5206 1 191 2517 1 3171 1715 1 19990 411 1 7451 229 4 1945 1164 1 17867 5115 1 14041 382 1 15338 3222 3 3898 2671 6 13936 1728 1 10484 1352 1 8890 4242 1 15618 4015 2 167 46 1 4208 5285 1 19492 7404 1 17954 397 2 12922 3244 4 18069 2118 1 4614 4123 2 2023 1745 2 18978 1241 1 14758 7528 1 19091 2142 1 1461 5127 3 19241 5296 1 739 1235 1 11316 1729 1 16833 6082 2 1251 2908 1 5247 6231 2 5615 2413 1 6867 803 1 15791 3204 7 20225 2841 1 10584 507 11 11955 1184 2 6697 1784 2 17253 190 1 12184 7603 10 13070 2869 51 14832 1248 5 5036 1698 1 12312 304 2 135 6095 1 8462 1146 1 10686 6520 1 4871 2817 1 14251 188 3 19661 1721 1 15879 1699 1 12595 1789 1 8919 201 7 19435 7144 1 14077 3534 1 2019 5712 4 1997 222 1 8283 237 1 19725 1284 10 20158 6178 5 10036 4956 1 13909 23 1 7958 6299 2 16880 498 1 19776 3972 1 18508 1067 1 11077 3135 1 15956 1665 3 1 41 1 2935 125 5 2394 1781 1 6332 4019 3 18115 3732 7 17092 910 1 7835 411 1 10078 1714 5 1349 1745 1 8872 1164 1 4442 6150 1 11038 2710 1 2848 5302 2 3095 452 1 19790 3411 2 2103 6682 5 12177 532 2 11737 221 3 10381 229 1 427 7251 1 18480 517 7 4971 1373 1 14748 3442 2 16319 236 1 6200 237 2 10290 1244 2 2194 1005 1 17998 4105 3 4417 215 1 7898 4944 7 18391 2801 9 4970 329 1 18568 2082 9 5624 4606 3 18330 3479 3 6544 8184 1 1765 506 2 17847 893 1 1043 1297 1 9692 219 2 18985 3882 8 15480 6226 1 18946 6576 1 13482 3571 2 1276 200 7 11843 2268 2 14891 3333 3 11530 1701 1 6197 6623 4 19840 1685 2 643 2852 1 3870 3250 1 5982 3492 1 8083 127 1 712 23 1 16364 2353 1 4288 6620 6 5213 23 4 4546 220 1 11156 3563 5 16586 5531 1 7306 962 1 333 5494 1 4619 165 1 13402 6032 1 18909 6091 1 10313 5922 1 6509 8056 4 12704 5105 5 4779 1695 4 7568 1704 3 18632 885 1 8793 564 1 1194 5234 1 9204 1663 1 1000 23 1 16561 228 3 8443 1531 1 10178 498 1 13623 413 1 18508 375 3 12112 1320 1 18476 2369 75 14527 203 5 11766 235 1 7251 8135 3 15568 411 1 10997 3619 1 9347 1911 1 14436 215 1 4898 525 2 11684 3657 1 1374 7643 1 17783 7463 1 1878 8187 4 2615 7624 1 6647 3355 1 13970 252 2 12680 1819 1 17434 1887 24 1043 1328 2 5946 543 1 4327 1395 1 4165 1081 1 8440 1738 6 26 1543 3 14358 1889 1 13015 103 1 18609 1726 3 17835 8050 1 3146 2317 1 13471 2671 2 5316 55 1 7940 46 2 15937 514 4 5951 1691 1 10408 4104 1 5645 1762 1 10313 382 1 16083 229 2 7019 5506 1 7728 3626 1 1143 221 1 1890 537 3 2331 6640 4 3915 1772 1 19683 1698 1 9941 8034 1 14755 3920 2 8481 203 1 12112 4654 1 15321 1137 1 3972 5390 1 8589 222 1 130 5975 2 17952 1752 1 13526 2392 3 10986 222 1 7267 2549 1 17690 7235 13 7301 221 1 19246 52 1 7261 1726 4 15765 2993 1 15091 97 4 19843 219 15 3963 3816 1 15321 3922 1 11 366 1 542 5436 1 5862 2511 1 18754 870 5 4498 2493 1 2350 1138 1 38 2025 3 11067 5285 6 9281 5309 4 8126 639 1 3847 1772 2 19568 232 1 2556 3167 1 18546 2580 1 13910 221 1 12544 3426 6 2488 23 1 670 734 1 5601 526 4 6469 3163 2 6391 7815 1 18999 1775 1 10437 5826 12 2101 4038 5 15794 4794 1 7856 839 1 4696 186 1 7786 203 2 14445 4723 1 19655 407 1 7760 1263 30 62 3034 1 6145 308 1 17899 7830 1 15567 1662 2 4391 2575 3 14758 1172 2 18792 871 2 9491 2194 10 100 719 1 19293 1658 1 5285 7763 1 15457 175 3 2001 4565 1 17909 244 1 9114 1164 12 18414 6132 1 15708 3138 4 3243 4284 1 19082 4365 1 19480 692 1 16895 1819 19 3418 2871 1 5150 1946 2 7432 2265 6 12606 883 3 15980 3701 8 19360 11 1 9250 141 1 14478 5517 2 12887 505 1 14753 169 7 5573 890 1 13328 906 1 6233 7020 1 1560 6526 1 3764 6640 5 15481 2331 1 15737 57 1 717 520 1 10146 417 1 17918 1190 1 18074 200 5 9877 4179 1 15709 1573 2 15521 327 3 10207 292 1 19160 1776 1 11307 532 1 15045 4792 5 5717 3167 1 16555 1705 1 19222 6341 30 9178 3317 4 8729 7614 1 16491 1324 3 87 4004 1 10601 411 1 17738 5737 2 149 6729 10 13017 4600 12 5049 4266 1 1770 690 1 7147 2109 1 1969 7672 1 140 6402 1 17205 1819 2 9767 1395 4 13829 1734 7 10374 6342 6 12121 219 1 9492 1747 4 8150 1247 2 7486 5513 1 1646 1995 14 1304 1740 1 12934 4980 1 3193 1764 1 6580 5385 3 14680 8171 1 11912 1356 2 7555 5036 1 980 911 1 11130 3704 5 14060 532 9 3683 6723 3 8298 7529 1 18876 134 3 13644 2508 1 13126 402 1 18138 3556 8 6214 1146 2 10608 1946 5 8643 762 1 18963 1573 1 12576 2675 2 7780 1431 1 5859 4296 13 10903 7674 1 17502 6278 5 12897 603 2 13590 4531 3 11549 697 1 17083 4615 2 2413 3186 1 8135 6064 1 6508 5453 5 16860 394 2 5023 6532 1 8255 2817 1 20020 509 1 13438 6190 1 15773 4363 1 12438 6435 1 7749 4380 1 6619 3113 1 17548 839 1 16951 1137 1 10381 252 1 2386 37 1 3505 1305 1 9157 2671 1 12656 5252 1 11055 248 1 14601 1747 2 18956 125 1 17184 852 1 9648 519 1 3313 7102 2 8337 579 2 11943 2534 1 10176 1736 6 11418 6845 2 7480 3016 1 1464 825 2 12240 1237 2 3807 1762 3 16046 7229 1 5497 207 1 11740 1363 1 3947 223 1 3158 1727 2 62 2941 1 14485 2155 1 11613 682 1 2917 359 1 19776 508 1 1376 274 1 14522 1762 4 6124 350 1 14758 3591 1 19489 520 3 5052 2165 1 5515 525 2 4498 5553 2 757 2481 1 16796 3612 1 13670 5573 1 7243 2370 1 7757 2749 1 16083 498 1 4601 3703 1 1589 1704 1 17705 4949 1 12789 2595 1 7294 7224 2 432 5758 1 17295 7520 1 11522 3056 1 10047 1736 1 7530 4343 1 2281 23 1 13574 834 1 10584 3202 8 19151 1232 5 2735 1482 1 14327 1775 1 2403 3522 1 1927 5434 1 2686 207 1 2079 404 1 6733 1714 1 8708 1388 3 11755 232 2 2855 7643 1 1382 500 14 6942 5031 2 697 7850 5 7433 1819 1 6153 1917 8 3667 534 1 6692 1238 2 15160 2151 1 4072 308 2 18831 1146 3 938 4448 5 124 5497 1 7910 2650 1 8135 4186 1 1760 303 1 755 3563 2 6289 2316 6 16570 3715 1 5075 5020 1 14190 1717 3 10 347 1 9666 8076 4 17180 5467 3 8335 3460 4 9463 693 2 12018 7569 1 8159 344 1 19127 1755 1 10554 844 2 5525 100 10 11529 214 2 14518 1548 2 14549 1250 1 15352 8084 2 16927 3421 1 15 993 2 2905 1331 1 19990 1726 4 7273 5051 1 11234 1309 1 13302 1788 1 12171 3021 3 7799 2729 1 7354 203 7 6929 1727 1 13508 422 1 1705 3419 1 14538 3558 1 8328 3370 1 8859 419 2 20123 2017 1 9945 4884 1 14583 2698 2 10730 1717 4 8373 8016 1 12097 7925 1 16236 1246 2 16593 5329 1 8709 496 1 171 7826 1 16089 1727 1 15269 313 1 14331 221 3 9116 6663 9 13688 1561 1 9660 7423 2 10821 595 4 20090 1329 1 7663 1658 3 153 6860 1 18084 4299 1 2629 1719 2 13131 950 1 10787 514 2 11598 5327 1 16542 194 1 10451 2505 1 14318 1600 2 18522 5971 2 16207 525 1 9141 215 1 7853 1301 2 18338 5940 1 19774 401 2 3655 200 1 10010 2677 2 3337 3851 1 18431 1788 1 12321 5550 5 427 1274 2 1857 3334 1 18067 5586 1 1040 449 4 7769 574 1 20163 5278 1 7575 1729 1 12168 7468 1 14196 4107 1 1143 5400 1 6894 3920 4 5408 7474 1 114 5121 1 100 4514 1 15427 2015 3 11050 200 21 5407 3882 1 11314 3283 2 8980 221 23 4330 4325 1 775 4387 1 156 1638 5 1125 5398 1 2000 4418 2 384 74 6 15343 506 1 16918 2860 24 3700 6435 8 13674 6493 2 10721 46 43 16474 508 1 18584 7237 1 11284 1990 1 7157 1254 1 15511 6150 1 15960 4992 1 17159 3979 2 14430 5887 2 10613 2671 1 14425 5771 9 11545 4387 1 6997 3431 1 11786 6621 3 456 470 2 7910 6229 2 13619 4200 2 7774 4202 1 2362 1638 2 17201 4245 2 10852 356 4 2349 995 3 4915 1732 1 2605 2541 1 19338 219 1 822 382 1 7390 2068 1 10612 7008 2 4524 1235 2 3189 6949 2 19134 4383 1 379 7466 1 2082 1334 2 17765 232 1 16310 342 2 13800 475 10 11705 2327 1 4397 749 2 10585 3181 11 4519 2635 1 18019 1395 7 2692 8144 3 4909 203 11 7871 1965 1 11786 230 2 9705 1250 1 171 7723 1 13212 2944 1 11277 5555 1 14027 696 3 16316 4186 5 7750 512 1 16246 1407 1 19428 7787 3 15530 2521 1 11512 7617 2 7157 3919 1 14292 184 3 16395 252 1 5525 3877 5 2384 453 1 13967 7958 1 9383 5347 11 10868 508 4 12467 1738 2 19322 4029 1 5677 554 1 3178 1775 1 15251 3065 4 3964 5817 1 5946 1770 1 13195 2555 6 19418 6716 1 2906 219 1 15472 2256 4 15676 3554 1 17186 6702 3 5752 23 3 130 5806 1 12384 1241 1 11796 836 1 9535 244 1 12094 2259 2 12236 3770 1 9598 5439 2 19949 3278 3 8636 1237 3 4387 502 2 6557 2069 6 3090 7240 1 16318 1736 1 16914 1395 3 8340 6924 9 17142 2801 5 3625 6192 3 12789 890 1 13450 3821 1 4694 3308 6 6242 519 1 3694 1342 2 11252 5243 5 17120 1395 1 5158 4341 2 3134 6991 2 6120 219 1 8585 1775 2 19406 1363 2 5466 8173 1 11629 8034 1 7753 220 1 15686 1582 8 8410 6341 3 12519 719 2 10840 2678 1 10996 1863 1 2461 1788 2 13745 3782 1 7538 5516 1 7850 5316 2 18184 667 3 8920 3877 1 9858 6706 7 6032 2428 1 8969 207 8 18546 6268 8 12574 1721 1 12777 891 2 10387 1244 1 20 1267 1 9234 637 1 1841 6526 1 13285 5903 1 19412 6688 32 15151 6540 1 14278 4288 1 17686 3556 1 2571 5367 1 1839 4604 9 16384 1758 7 8529 497 8 4784 229 3 19664 1770 4 8716 2363 5 14221 2626 1 10817 194 1 2529 911 9 19193 201 1 1752 46 1 8808 3213 2 4386 5281 2 8658 6157 1 19286 926 1 12717 2691 2 10146 4020 1 19645 631 1 13547 1236 1 6819 203 6 14394 40 6 19668 1909 4 15679 463 1 7072 1056 1 9539 7255 1 15496 218 11 3123 93 2 19766 470 3 2338 8083 1 12018 4874 1 13601 233 2 12033 1657 1 11786 1445 4 18404 6164 1 5853 1374 1 12890 229 1 15866 1717 1 9916 507 6 4386 589 1 14146 4601 5 4005 3666 4 1779 875 5 11812 6532 1 6875 6501 2 13587 4534 1 12550 1745 4 12389 533 4 10839 5018 13 6111 5341 1 3991 1760 3 640 518 1 10916 6051 1 2951 1737 1 3923 828 2 7853 3684 1 13839 696 3 10013 223 1 9392 23 1 5495 3304 3 13496 2155 11 5972 2767 1 16060 534 9 1509 4245 2 855 407 1 12720 2355 1 3694 1395 3 13763 3308 5 2094 2353 1 7530 3920 2 17819 1245 1 647 3691 1 16090 1099 1 3057 6504 1 14284 4186 2 171 1757 1 6587 1247 1 3504 3997 7 18582 7477 3 17257 1247 3 9168 510 1 15084 7859 4 19705 2247 8 19241 1755 1 5270 2385 3 18421 1768 2 7107 4090 1 12903 214 3 19222 6234 1 3501 3536 3 9572 960 2 13305 1029 2 17083 3511 5 745 536 1 16089 1814 1 11950 2698 3 5480 6484 1 19660 510 1 19137 132 1 12856 2521 24 12901 196 3 14245 3063 2 4870 880 1 7004 533 1 10733 5294 1 2687 5503 2 14332 2436 3 18815 498 4 4632 8043 2 128 475 1 4804 2016 1 8760 533 1 3750 824 2 10530 6084 1 10692 669 1 4268 7308 2 14558 2552 2 2157 6713 4 1711 355 1 7183 5324 1 9279 520 1 4536 1612 1 5837 1037 3 1872 232 2 15061 467 2 13585 3127 8 4371 1113 1 19369 6341 1 156 7149 3 10623 2123 1 14364 4274 1 18048 1686 1 19313 5319 10 8343 880 1 16530 1248 2 11428 4391 1 628 5309 2 7320 1424 1 17635 3911 1 10584 1184 19 4624 8120 1 14863 5554 34 12377 7651 1 15505 1582 1 8832 1103 1 8860 5550 1 8343 849 1 1191 502 1 13540 5420 4 1931 4435 2 9189 4206 1 7312 203 5 17186 1721 4 7461 672 2 10381 510 5 3227 1778 1 7270 1572 1 15823 6640 1 8952 2130 1 4688 948 1 13023 6943 1 2064 7402 5 13 718 12 11409 7544 1 17650 1686 1 11964 1721 1 17721 6135 1 15886 5256 1 8832 6083 2 3659 498 1 8370 8251 2 5684 5903 2 13399 1737 1 11018 3612 1 1013 1190 1 13484 3938 4 1581 1710 3 6243 200 2 3667 3964 1 8965 1184 1 7908 540 1 2660 2980 1 15450 1159 1 14191 8096 3 8182 6164 1 2922 880 1 15788 8168 1 14219 3836 1 15811 1784 1 12519 663 2 18022 2989 1 18973 47 1 9745 4295 1 8138 1401 3 177 8164 1 8925 10 1 8969 2058 2 15510 1247 1 3411 4380 4 3668 2360 1 74 3467 1 8847 7181 10 2596 1780 1 11786 4833 3 6544 1241 3 171 7768 1 1689 7098 1 11415 3283 1 15214 603 1 9863 5826 1 13126 919 1 6328 910 1 23 1432 1 7868 2388 1 8484 6268 1 16729 1927 1 7853 1664 1 1145 1250 1 83 885 1 3675 221 1 6829 2881 1 16883 4022 1 19745 463 1 1360 3557 1 11357 3283 5 14522 514 6 71 3308 1 19026 3655 1 9337 458 1 19136 7240 1 3008 400 3 4689 2863 1 11087 1703 5 16553 5017 1 11428 518 5 18356 5228 1 16886 206 4 10228 5903 2 20209 4015 1 4716 520 3 1454 5021 4 6292 1228 1 7977 7489 1 10855 1664 14 1405 6545 3 13829 8141 1 13594 7984 1 1387 3591 4 359 6527 1 6721 1734 2 7402 4792 3 15106 3343 1 19717 4572 1 2917 4343 8 6338 3633 3 16474 2722 1 12266 3494 1 12310 1649 2 12078 7240 15 1969 5355 2 11013 1399 2 6618 57 2 19972 1825 2 3663 824 1 18542 4807 17 18207 1253 1 18792 227 1 18919 869 1 13356 4075 1 9249 4696 4 16074 201 1 15234 6342 6 3817 4245 1 19142 3763 1 11308 2790 1 9881 848 1 5624 57 1 15429 3370 1 2696 215 2 16921 5150 1 3118 5279 12 156 372 3 130 5826 12 7933 2302 1 10381 2705 12 63 3040 1 1139 5532 1 10473 800 1 153 7098 1 2985 762 2 7184 207 1 9250 790 1 3160 2139 3 12706 1363 9 11131 6170 2 2405 3012 1 689 5393 2 19812 1686 1 15854 4386 1 13503 1420 2 812 6692 1 6883 2096 12 850 1814 34 8368 801 1 19596 2356 8 17682 1244 1 12755 6204 1 15322 6414 5 15676 200 6 1869 525 1 17563 2646 38 17223 5607 1 4949 4351 4 19877 7597 1 14748 3522 1 44 2281 1 16104 1748 29 10600 562 1 8663 6435 2 14218 7761 2 7950 1758 3 18159 1760 1 16470 215 3 18393 888 11 13266 5202 2 2408 520 1 7942 1377 1 19602 1582 5 9341 1416 7 1866 200 1 12997 157 6 12988 7466 1 19321 4794 1 7536 6334 1 9042 524 8 6460 6549 2 7068 1716 1 14145 4816 8 11926 5324 1 941 1333 1 7555 5051 1 15662 207 11 13482 196 2 5570 5054 2 2312 1778 4 2448 3951 1 18042 2489 1 1112 2787 1 15895 399 1 16165 4043 1 3570 7407 5 1760 3113 1 5453 1146 16 18992 558 1 14622 8146 5 4452 7633 22 11698 1969 1 4935 7632 2 2052 5083 8 3521 7602 1 4846 4179 1 2135 23 8 13091 7251 5 174 7996 1 18876 2841 1 10754 7229 1 745 299 1 15267 7844 1 2729 4937 2 7135 1710 1 5854 870 2 10553 639 3 5679 5331 1 7669 8095 2 14350 880 1 15106 3904 20 11687 3113 6 7176 5002 2 3765 4107 1 6914 5390 2 10783 1352 1 948 244 1 8368 4988 2 3924 442 2 5038 929 1 14236 4527 1 13387 2247 1 14581 6897 2 18544 957 10 9580 1814 2 16146 23 4 19102 6603 1 109 4930 1 11656 6053 11 18867 2262 1 15902 3071 6 126 5619 1 7523 6242 23 4210 6649 1 17719 5389 3 19122 6139 1 1752 8194 1 18222 5451 9 19820 4528 4 6813 2582 1 1387 269 1 17713 3953 1 9616 3062 1 14007 517 1 11192 2061 1 12104 4716 1 15170 3685 1 156 7183 10 382 3539 1 2803 453 1 18476 4591 1 724 8103 1 1884 1707 1 4759 509 2 5639 1825 1 12121 5480 6 14865 108 3 18440 5560 2 14212 461 1 11160 952 1 9543 394 1 11388 3138 17 6496 3710 1 6877 3167 1 8730 2499 1 9408 5559 1 4715 1402 1 15776 2206 1 9954 1728 36 13488 2605 1 14136 3698 5 11352 4245 1 711 1482 1 542 5551 1 3484 2378 22 2956 2133 1 13363 796 2 14256 1374 15 16921 1764 1 11314 3684 1 4767 207 15 3036 6649 1 17174 2869 1 10123 4728 2 13495 7128 1 877 1253 1 3326 3059 1 19034 3227 1 9001 1825 14 9891 1275 1 5993 3135 4 2546 2951 2 7988 3535 1 12110 7441 1 2098 292 1 524 1686 3 3427 6793 1 8068 3512 5 19817 194 1 4898 6204 10 6535 3266 1 19649 1243 2 9322 1738 1 9995 518 1 4060 1613 1 1344 219 2 2890 177 1 18357 1245 1 17555 889 6 14673 512 1 11612 8060 23 20013 3323 2 6519 1244 1 3262 1781 2 17908 1686 1 7029 1825 17 124 5451 1 1028 148 1 10916 597 1 11545 7241 1 3550 3588 6 183 1201 2 4867 206 1 9743 2104 1 160 7336 1 3242 489 1 12279 3519 4 11727 5253 1 11461 173 3 1698 1256 1 17403 2595 2 3515 1596 1 19649 867 1 8177 1242 61 11952 470 4 1826 3023 11 19056 1758 1 16676 1703 2 3064 5538 1 12147 1717 1 8268 23 3 15866 214 1 3181 7999 1 8591 6031 1 12155 148 1 18195 765 1 10607 6350 2 10245 1582 1 6626 4435 1 13419 2945 1 1730 6780 1 4195 1755 1 17252 1381 1 555 2173 1 1302 4105 7 10838 200 1 9432 6697 4 19862 1825 5 2931 6169 1 4498 5874 1 15029 2627 2 7480 2139 1 9499 7655 8 4055 3448 1 3337 316 1 17822 3799 8 161 7353 1 8007 5451 2 3972 5504 1 17477 1710 1 8690 2645 1 11 406 1 7932 3907 1 8677 3899 5 15373 167 2 10828 7424 5 5306 157 1 14996 292 1 1029 2013 2 10014 2385 2 8507 510 1 19298 219 1 4776 402 1 12148 6590 1 14656 471 14 17879 7174 1 6405 2727 1 12954 867 9 9250 904 1 6493 3748 6 1712 1296 1 6907 843 1 4368 189 2 17771 441 1 8128 1784 1 6275 1737 1 2271 186 1 17134 2577 1 17556 1687 1 13647 1698 2 14151 310 2 17542 5287 1 18069 3554 1 20273 6227 2 17120 1247 3 14596 7212 4 19509 3333 2 94 4221 1 13574 1739 1 4389 1315 12 16925 436 2 10246 219 1 14951 1498 6 17070 2001 1 20123 4363 3 4708 2881 1 13234 678 1 1954 2675 1 3147 2662 1 13517 2534 1 9725 2489 2 5963 3333 2 11046 4635 3 5083 1464 1 13 802 2 10575 2995 1 6538 5068 2 3817 470 1 17448 2107 4 7451 6704 3 9815 7881 9 9051 1259 1 11769 3693 1 2905 2580 1 16944 2567 4 13399 1380 2 19032 2541 3 13378 1731 1 9435 4460 4 14688 5077 4 19311 8184 1 19655 861 1 18158 6091 1 11820 2191 2 7750 196 2 10916 3433 1 5849 3135 1 15480 2675 2 9293 885 5 6152 6609 2 6950 5511 13 2795 6741 5 11997 1244 1 12 506 7 16238 225 2 14811 236 1 6749 2721 1 10781 5162 1 17402 3203 9 19607 1277 1 7252 3819 1 11309 23 1 14688 1675 2 291 443 1 3014 1244 1 10676 437 1 16916 7953 1 9382 593 1 10528 3421 2 174 7877 2 1044 4027 1 13105 1277 3 9278 2262 1 2018 4120 1 14906 1374 1 6755 5506 1 6238 7096 1 17738 3203 2 15272 7404 3 19833 1277 3 16308 2312 1 9193 6946 2 4938 2256 1 18213 7021 1 19219 3219 1 17162 1717 2 16471 471 1 15677 5468 1 10788 5107 2 1879 205 1 1659 1363 1 14379 3905 2 9759 867 1 1203 3250 2 9404 506 4 7131 6680 1 15156 6150 1 1237 1369 3 16674 3798 1 6420 809 10 2462 6367 4 11158 374 1 4842 1333 1 17165 7689 1 10956 219 1 15874 7089 1 12299 1806 1 17950 1737 1 13490 1108 1 12761 5497 1 11168 2853 1 9129 2276 2 11705 3676 2 4236 4945 3 1466 1686 1 14037 5690 1 15376 4029 1 3924 394 2 9714 5011 1 8751 3973 2 1465 203 7 13012 1363 1 15576 5971 1 10424 1331 1 10496 5999 1 2737 220 2 7361 2019 1 9767 235 1 38 2027 10 15521 1234 1 19451 1463 1 15307 725 1 1772 6200 1 17721 23 2 11971 201 1 5485 5490 1 12580 1745 1 10501 3225 4 8965 1732 2 7682 581 1 14443 1775 2 1022 3539 1 2204 5327 2 9672 3203 6 2068 232 3 7962 508 6 7790 1601 1 7366 867 3 5380 1334 1 12889 3671 1 5294 3743 2 2514 6586 1 881 5120 5 1322 5060 1 12436 7857 1 10553 3577 1 12901 4992 4 15202 7619 1 10725 6358 1 18924 3408 1 11366 229 6 6704 207 1 5734 6677 2 17140 1996 1 16387 4379 1 8665 1417 4 19912 2650 1 12817 1136 1 126 5593 1 3662 1727 1 593 1729 1 14298 1271 2 14584 7311 8 18873 507 1 14108 3920 2 6063 6159 1 12104 2407 1 16895 1827 19 3434 891 3 2710 1727 1 6059 3634 3 4268 2885 15 14233 1755 6 5195 1235 3 5303 4314 1 17710 2166 4 16180 645 1 16123 2555 1 12286 496 3 3228 6322 1 17854 5928 1 3395 534 3 16583 425 1 568 1282 1 10394 2361 20 19069 524 1 15028 1184 4 862 5670 5 17650 910 3 8972 1591 3 19602 3046 1 4867 201 3 19630 1284 2 11709 7738 1 1790 1847 1 6278 3873 1 7507 8141 13 2071 5327 1 4542 3138 1 15104 244 1 10841 3221 2 20019 1862 5 14033 4265 1 15294 3083 2 18756 964 1 19896 1453 1 6070 7181 1 15726 5018 3 11832 1163 8 1969 1244 1 6032 340 5 15202 5674 1 3189 1463 1 11717 1724 3 3754 203 1 15388 3596 1 5453 637 12 12213 929 1 4023 3534 1 6692 10 6 12190 4267 9 17310 4949 8 9383 1249 2 639 3595 1 10539 4351 1 11002 891 1 149 6725 7 14028 2262 2 18103 215 1 13052 525 3 2620 532 1 11107 1712 2 81 3657 3 7793 5293 1 4519 2114 7 18462 6202 1 4449 2118 2 2969 809 1 11158 3998 1 16570 4233 1 19822 7686 1 464 5255 1 15060 2653 3 11948 3519 1 6378 4029 1 251 3423 1 7480 8031 1 5911 4780 1 3931 1713 2 3565 1909 2 9086 496 1 11882 2953 1 9916 5807 6 741 6665 1 18486 4949 2 19187 6647 1 17191 6675 1 2274 2970 1 19570 7485 1 4801 3787 1 17549 1638 2 7065 429 1 14633 5008 3 20262 2356 9 13254 712 1 1711 4460 3 18091 5391 1 1609 8190 1 5614 723 1 15376 3556 1 10241 7256 4 17530 1284 23 4208 1658 1 5301 215 4 1668 7229 1 13711 4905 1 10147 207 1 4897 5390 1 13845 6039 3 1935 6994 1 13266 2147 1 5722 2247 1 9312 236 4 2886 3401 1 9566 1054 2 3043 1334 12 19498 7226 8 17260 1761 1 18874 891 1 9395 5573 5 2187 3500 1 6538 6758 1 5998 1825 1 8730 608 1 12539 1251 1 4143 194 4 18740 498 1 14678 1703 1 31 1703 3 8388 2737 3 10396 1635 2 9341 2795 1 17152 1248 1 18056 8085 4 16689 4329 1 133 1698 2 3329 3592 3 7943 1245 3 8690 2378 1 16568 812 1 6867 3994 4 3437 6527 1 4886 1707 1 8832 385 1 3287 4156 1 4093 1730 1 17867 1661 2 7568 2881 1 9566 6041 1 13865 508 2 13046 201 10 16488 201 3 12501 1703 1 2158 1753 27 19062 4903 1 16977 1745 2 6892 605 4 12752 214 9 8643 595 1 19425 190 1 8939 1828 20 174 7978 1 10884 1121 6 16531 6251 1 4136 1073 1 9164 7447 1 16346 1267 4 12367 4470 1 9104 225 1 3020 595 1 3014 470 1 14590 5259 2 10325 2068 2 3315 809 7 3508 917 1 19680 1244 5 12126 173 1 11192 5550 1 7107 1685 3 15025 1982 1 1541 8184 1 3003 6546 1 11558 512 16 3755 3911 1 16249 1726 1 19348 497 5 14426 716 4 13652 5082 1 5652 2691 1 8082 2016 1 5171 7840 1 2466 4435 1 6781 3180 6 6009 184 6 5116 127 1 5215 2686 1 18276 1256 2 553 525 7 11585 1245 2 12748 1922 1 5860 233 1 15573 5690 16 18574 7267 1 1 22 1 17684 481 1 14151 385 2 12868 203 4 9793 1814 1 10720 3197 9 9058 2834 1 5687 1762 2 19309 2339 1 12950 7529 1 17657 2488 4 13132 894 1 3853 3771 3 3750 3351 3 6576 4104 1 8778 4252 1 4022 7844 1 19711 197 1 16063 6533 1 5959 536 1 14330 1356 2 9547 156 2 6751 7433 4 4493 1054 5 7631 1745 1 15107 1312 1 1393 881 1 6956 223 1 15272 232 1 3939 5328 1 17102 2355 1 7560 4935 5 3498 2646 1 11080 471 9 11144 995 34 12424 1265 5 6132 5730 3 5538 1498 5 1774 334 4 17142 1235 2 9569 1109 1 8993 3685 5 7195 5037 2 13125 1779 1 1522 7850 1 5681 1241 1 16296 203 1 11950 3663 18 14997 935 2 6373 1990 3 12970 2021 4 3283 203 1 11408 4929 3 4223 501 7 3516 214 1 16340 4047 1 7455 2504 2 19840 7946 1 19291 4086 1 3855 903 1 11165 1729 1 11453 5559 1 16626 970 1 14367 3275 3 8046 508 15 16378 506 1 12864 4476 2 11628 1991 1 4561 4029 12 2980 1351 1 9628 641 1 18018 8197 2 17372 442 1 11820 6652 3 16853 2724 2 5503 5903 1 16732 220 1 15395 184 2 10362 5251 1 8160 215 6 2815 502 1 11616 2795 1 62 2932 1 3085 1052 1 15881 3578 1 5055 3009 6 15685 3164 1 8334 100 1 12322 1768 1 16535 365 6 8356 232 1 1502 5783 1 9948 6025 3 4061 1028 1 18876 575 2 9173 505 1 7138 1871 1 6332 652 1 5202 963 6 3071 3888 1 8799 2675 1 9826 496 1 16951 453 1 14908 6933 1 4153 5677 49 178 8178 1 16880 221 1 10811 3774 1 18404 3476 1 14784 2675 1 11349 2338 1 19160 1827 1 4552 6543 1 5860 880 1 8080 2404 1 12485 214 4 3839 3619 2 18536 2071 1 2701 467 2 18371 5150 1 6533 130 2 17877 1775 3 11116 336 1 3131 219 2 13767 1208 1 1233 4034 4 12807 7719 13 5424 4984 1 14333 5046 4 8476 496 1 19707 624 1 5637 411 1 19629 6527 1 16073 575 1 18909 3909 1 8993 3916 5 4561 1991 10 20191 817 3 16850 2132 1 16185 668 2 9539 169 1 18476 4890 1 17404 2352 1 1498 684 1 17092 6355 1 1747 1302 1 3485 368 1 8957 6656 1 16433 4290 1 15847 203 3 4694 4189 7 9182 32 5 14800 34 1 8448 3850 3 17558 6243 3 13126 1732 1 7334 1325 1 543 2261 1 14225 5036 3 13290 2206 1 3207 527 4 14018 7815 3 19794 203 1 13734 584 1 7543 4376 2 11999 3573 5 4879 4367 1 4075 1582 1 13267 232 3 12159 1887 1 2816 1234 1 14256 5071 1 10061 1418 2 11383 6534 1 930 8084 2 4400 2735 18 94 634 1 10604 565 3 16970 411 3 5775 5018 2 19406 520 1 15679 7412 1 10539 378 1 6830 1724 2 15599 2197 1 7994 761 2 9713 2555 4 711 3113 2 2345 876 1 16264 4967 1 2135 3519 4 18914 74 2 14082 200 1 15429 8026 1 19293 638 1 5380 501 3 17163 1388 5 14599 641 2 5785 6091 1 8762 4459 2 8054 6010 6 9676 1757 7 10000 942 1 19967 6334 3 1379 3798 1 13997 2508 2 18260 1296 4 2414 1396 4 9811 1778 1 19145 1334 1 9541 381 1 11072 2027 2 11251 5313 1 3695 628 1 2418 667 2 16984 3253 1 903 214 1 4978 2555 1 6997 778 1 1553 1250 2 3281 201 1 5628 5398 1 12799 5253 9 4867 215 1 15412 1686 1 1079 2270 3 6819 1251 1 3603 244 1 16947 8241 5 9550 1638 7 8965 1776 2 19086 3163 1 7812 261 1 5264 6091 1 12078 8094 19 5884 495 1 5952 5472 3 1600 1104 4 5414 4622 7 9922 5011 1 14527 575 5 11678 3732 1 1831 3684 1 159 1784 1 15272 1275 1 15398 616 1 10160 4146 2 6695 4992 1 14418 1529 1 14658 1769 1 8125 2682 1 15508 2419 1 18960 7719 14 11613 646 1 4236 4266 2 2375 230 1 14034 6342 1 11687 507 8 10156 201 21 3871 303 1 19160 2031 1 4561 3426 3 17035 221 1 3397 844 3 15652 910 1 15980 6241 1 7290 4622 2 10730 1750 1 10463 6897 18 2886 4267 1 3986 4245 1 12433 7936 1 11714 1789 1 20207 1990 1 14326 512 1 5222 518 1 5003 708 2 3197 1691 1 16348 6717 1 4335 846 1 5454 3742 1 4093 2849 2 19319 229 2 16480 1722 1 7352 1311 3 45 2340 1 8439 84 1 5180 4612 2 17507 3276 1 13951 571 1 13369 10 1 12596 1718 2 1732 3924 1 5189 2350 9 7194 2891 1 17486 3411 75 10283 2657 3 7624 1147 2 11583 5740 1 8254 2051 1 18398 1184 1 2384 2636 6 5311 3400 2 13498 2343 2 11111 23 3 2398 4581 1 12329 5922 5 10290 232 2 16089 532 1 7943 1582 3 14221 1751 1 13723 5212 1 16676 688 1 5290 4672 8 10367 1535 1 1361 3722 4 11935 769 4 3262 200 14 5764 3222 1 14778 532 4 60 2719 3 15978 1646 1 3198 1249 4 4304 11 1 5588 5495 1 4625 3625 2 6692 5254 2 587 561 1 18168 2653 1 4305 3405 1 5015 4559 2 2672 5909 2 4092 1184 1 10807 385 2 7944 4157 1 10751 3512 3 27 1613 1 13743 4382 1 19408 1761 7 16778 4312 1 19080 6273 1 578 411 1 388 3588 1 6413 2673 4 787 506 1 11098 3058 8 6752 659 3 14449 1539 3 8208 5935 3 13244 6227 3 11926 5018 1 14998 417 1 745 2727 1 18575 184 1 1519 6132 4 15509 1342 7 8151 1726 7 15791 3016 3 2273 1721 3 12806 1814 1 20262 1464 4 9586 520 1 15184 206 4 12322 1184 1 12283 229 1 5861 768 1 7507 6721 1 14221 5105 3 8464 2480 3 13 576 1 6049 677 1 2128 4595 1 105 4704 1 3103 6414 1 8394 2938 1 394 3452 3 14905 5090 1 15431 382 1 12257 508 1 14522 200 2 9689 935 1 12900 4107 1 11183 1631 1 13835 519 41 12640 3786 1 11948 216 1 14390 1298 3 16412 215 31 10462 4856 2 6781 1374 8 36 300 1 16481 3446 5 14278 5251 1 14527 817 3 17298 792 1 6509 2126 1 18827 1695 1 5363 4855 5 7327 5669 1 18283 1252 1 6437 225 2 15974 2671 1 17960 7632 1 7488 186 1 16642 1441 2 4234 1757 1 10324 1252 3 12537 3263 1 18559 1082 1 15917 6541 1 15778 903 1 19079 1582 7 10528 7586 6 16646 244 2 5675 5559 2 11160 15 1 1733 1761 1 14218 7803 2 6228 697 1 3037 1715 1 17700 8192 53 4000 3625 3 9829 5499 11 25 1493 4 10171 4982 2 1363 201 20 8789 2935 2 11471 1730 3 9570 1784 8 15726 910 14 13320 7726 1 17809 74 1 2949 1877 2 3765 2869 7 18198 196 52 16740 2410 4 6502 7466 4 9725 1052 4 5342 4077 1 3703 2584 4 5023 871 2 16568 229 2 12526 1827 7 14758 2009 12 4769 3558 9 5738 948 1 15313 1772 3 18103 214 1 15279 3378 1 15527 3525 1 13730 2912 1 17314 1739 5 9029 6049 1 9095 201 1 16347 336 2 5141 220 2 16509 186 2 1744 1804 1 2976 2964 2 3237 3540 3 7135 1739 1 7369 5441 1 3057 1768 4 5199 4343 1 10165 5286 1 73 911 2 1999 2383 1 12344 304 1 7354 3330 1 5185 1272 7 5977 827 1 1969 2980 7 13405 3974 1 17809 1374 2 18992 46 1 6618 638 5 10590 7883 3 19410 7474 1 4995 3147 1 9319 3033 43 10883 3747 1 15289 89 1 1141 4977 1 16543 3599 1 2555 750 2 5952 1768 1 2500 6242 1 20013 3866 16 2135 1251 1 11549 505 1 15430 1814 1 18278 6754 1 4259 6152 2 12378 4333 1 12818 292 2 12834 1356 1 2859 2559 1 12285 783 1 7740 6156 1 10148 2980 1 5498 93 5 8815 207 1 19774 2503 1 17947 4403 2 3947 867 2 14213 1338 1 8156 3260 12 62 2952 2 12768 7037 1 7682 636 1 12100 184 72 15743 4029 1 1719 201 1 18806 6209 1 18171 236 6 166 7549 1 712 2675 2 873 584 2 6086 1778 4 16984 738 1 13042 7213 10 18284 3164 1 7670 4468 1 19938 6633 1 4546 8137 2 12395 1561 1 7757 1530 1 4092 1761 1 4902 3576 1 11238 7484 6 496 1244 1 16199 1146 1 16800 220 1 4670 194 8 10664 682 1 164 7464 1 17994 5285 2 19315 6219 1 12765 624 2 8343 723 1 4147 1659 1 7879 206 1 17169 2992 1 5445 7412 3 9793 2760 2 108 4897 1 15980 1762 1 13909 5473 1 14522 1247 3 3898 203 12 9269 763 1 11683 5467 1 12740 3386 2 17074 1275 1 2292 4065 1 8886 6473 2 10663 7719 1 5049 4306 1 31 1786 7 12397 20 2 4558 3230 1 971 4060 1 15691 652 1 10766 7234 3 1198 8175 2 1560 4634 2 19872 634 1 20058 87 1 16797 8190 1 2710 506 1 14828 6842 5 17107 1742 8 8538 867 28 19872 597 1 4386 6564 1 17803 73 1 6381 735 1 10856 7206 1 5399 6705 1 4467 2360 1 17643 2275 9 12618 1052 1 18791 1241 6 113 5028 2 6721 7265 1 457 6231 1 177 532 1 4614 5270 1 15068 7924 2 1125 385 4 17500 23 2 13042 1727 2 5505 8183 5 12987 1730 2 2405 533 1 7913 2362 3 10772 5183 1 17001 1356 2 14324 3679 2 9556 215 4 16205 6111 45 14266 186 3 2880 93 1 13015 6377 2 6269 220 7 11190 3175 15 14064 1985 1 11468 2575 32 3512 785 1 4307 220 1 19965 3199 1 19290 7601 7 4610 4555 8 18918 903 9 10398 215 1 6942 232 1 14218 306 3 580 1247 3 427 6052 2 8969 221 2 3616 2016 1 3115 205 1 1296 208 1 19267 662 1 19655 947 4 6833 7829 1 6305 514 9 2584 496 2 9869 244 3 7231 1236 1 40 2130 1 3529 1395 1 7621 6706 17 16204 7890 10 11703 4653 1 2368 1613 3 3986 1819 1 1011 838 5 19204 7427 1 19520 844 2 13111 3203 6 314 1728 3 629 214 2 13415 1062 5 10670 7912 5 18623 765 10 9029 356 1 12378 2682 1 17470 4846 2 1839 540 1 2578 6159 1 153 6960 1 8641 2698 1 16861 4460 1 15514 3573 1 4750 504 1 15216 5737 1 15489 3020 6 5282 4260 1 3504 219 1 17681 3997 1 4606 7251 2 11322 1819 1 18276 867 11 10906 1721 1 19273 769 5 16506 6702 18 11445 7096 1 15578 1249 1 16820 7463 3 1162 164 43 787 235 5 19193 1736 2 8144 1105 1 135 2646 3 3304 5950 1 15832 1721 17 3397 589 2 16494 409 2 17257 7730 1 17353 1315 3 9256 169 7 7089 1400 1 11563 1146 3 174 3629 8 2812 1243 1 5795 221 1 15326 6551 1 17578 57 1 20060 2942 1 10123 1629 5 12689 6711 10 11534 207 1 8806 1068 1 5993 6680 3 2511 864 2 17159 1466 1 8382 5020 7 18201 7466 7 15792 1164 1 65 3181 2 5329 501 13 11473 3231 5 7129 510 15 5775 200 2 20090 2964 1 10034 4252 1 12593 3600 1 17662 1242 2 13971 3204 68 18526 1453 1 2943 2348 1 9228 347 1 9908 200 1 3683 200 5 4267 1296 1 11411 46 1 10168 1724 2 15922 3591 1 19293 2056 1 12841 4998 2 8950 3497 1 3705 6004 36 12281 3058 5 5636 1819 3 6225 1499 1 9678 23 3 7454 4603 1 5860 3511 9 1538 3511 1 5244 1626 1 1291 378 1 9141 525 1 20129 8192 2 316 1464 30 10513 7262 6 3074 57 1 7595 5352 1 16347 244 2 3648 2355 4 20084 23 2 17088 496 2 12918 3511 9 1045 2344 1 5905 189 1 7217 1395 1 18698 1742 6 19318 1330 1 4211 663 2 322 244 4 12952 22 3 18411 6663 5 17818 3298 27 4256 201 3 6683 876 5 15943 3642 1 15587 8228 1 14091 1253 3 15578 4877 1 17950 6091 1 15679 6622 2 1262 4949 1 10091 7609 1 16787 3152 18 6716 2686 2 19771 4619 5 4288 500 20 20014 4274 1 16140 2981 1 12414 411 11 13164 5004 2 4092 876 1 18655 206 1 15855 6526 1 548 1242 1 7780 3073 1 15629 602 2 1884 200 18 9783 7522 2 7714 4435 2 8716 164 11 9311 502 1 236 916 2 171 7694 1 19014 1761 1 11365 634 1 16484 4983 2 18994 219 1 13620 1388 13 6361 7824 1 6268 1416 2 19957 6943 1 7058 1728 3 17664 512 1 17410 3221 2 9812 5011 7 16527 3021 2 12935 4963 1 8451 207 1 17015 203 43 13402 4606 1 4050 520 1 7058 23 1 14753 1184 15 15142 5537 1 15390 4297 1 9433 6481 1 16804 7420 1 10461 7996 1 4778 1661 1 2771 3979 17 18614 5520 1 5745 3731 1 9077 2254 1 153 3870 1 14698 1658 1 8665 3900 1 2726 2993 1 10204 6150 1 18876 902 1 19982 225 6 9566 3634 2 12064 4029 1 10633 3980 1 12412 629 1 159 7263 1 19900 7240 3 18285 3239 1 7127 1781 2 11213 2116 14 7179 5336 1 340 7529 1 7487 5352 2 9660 1396 3 15330 1025 1 10741 35 2 6861 1296 1 10303 1245 1 14241 6164 1 16844 1384 1 10250 23 2 18939 6640 1 12279 3074 7 15861 4261 2 11654 7920 2 19822 5325 1 11167 134 2 3668 6031 1 872 6723 1 40 2076 1 13646 1294 1 9589 519 6 15314 2571 4 12669 1298 4 1915 986 2 17675 534 1 11487 5043 2 2891 223 10 8532 2056 1 7682 316 1 3399 6415 1 1607 225 1 16303 3380 2 4216 4336 2 10815 640 1 8597 518 1 8237 6263 5 2221 313 2 11601 5538 8 10355 1610 4 20146 7398 1 19050 2295 6 12271 6470 7 16720 1727 1 1964 1734 1 6306 411 1 18546 7008 2 7020 2656 8 14650 1736 2 1659 5935 1 18812 156 9 2199 7467 2 4546 1819 1 16244 7229 3 12949 3334 2 15025 2636 1 3698 6514 1 13384 2016 1 13363 4587 1 5114 5072 1 8969 1374 1 11470 6777 1 9250 725 1 19566 6514 4 10137 3511 10 11179 6102 1 12867 689 1 5657 1357 4 4460 6342 6 15364 3355 2 11769 88 2 5354 4289 5 6090 3512 6 2845 8139 2 11072 1482 2 819 1245 2 16896 3511 3 1991 2044 1 130 1324 1 20145 1395 2 8036 7520 6 9395 108 1 4432 237 1 2772 916 1 13640 510 1 10482 1287 1 10189 7592 12 15932 5336 1 18781 593 1 9264 7719 3 1736 46 15 174 7964 1 16728 2165 1 19693 1345 17 872 7222 1 13145 6957 4 15754 3230 21 3887 200 1 12140 1745 2 3085 5294 2 14992 1775 1 4767 3995 1 18101 1721 2 13065 203 5 14985 4616 1 15508 5505 1 6990 6058 9 7147 2626 4 80 3621 1 1458 1822 1 12739 808 1 17416 688 5 19358 2549 9 12133 793 1 12614 2261 6 1109 203 7 18676 4403 1 2917 206 8 15552 605 2 2198 6435 25 18645 220 1 8067 7976 2 10181 2767 1 3304 555 1 10245 4678 1 7011 1292 5 14736 3181 6 11502 5005 1 16582 3337 1 457 2881 2 18593 2777 10 11098 3236 3 9433 397 1 11435 623 1 2274 4199 1 19878 2355 7 3382 7936 1 5877 3625 8 1355 7404 1 3516 3399 2 10312 2151 1 950 8096 1 13358 3197 2 5254 4635 3 5124 1037 10 284 1925 7 15608 1211 5 17392 2138 6 13135 470 1 19500 4998 5 538 215 22 12537 4266 1 1553 215 1 13827 173 2 17019 10 4 15202 6487 2 1521 1089 1 16880 201 2 16817 1251 2 13234 460 1 13126 407 1 14047 4540 3 16345 3255 1 19957 724 1 6098 1691 1 4368 3511 1 8475 6520 1 4880 2931 1 143 5506 1 17544 222 1 20049 1453 16 2385 6044 1 4833 498 1 1613 541 1 15307 912 1 8406 561 1 18538 6204 5 4524 4954 2 11230 4420 4 11084 1721 7 6769 1784 1 160 7349 1 9445 1743 1 15984 409 1 17171 1020 7 18669 191 23 857 4459 2 3127 23 3 14628 457 1 10000 2502 1 727 445 2 18033 1466 8 11583 256 1 1738 7101 1 4923 3449 17 9755 10 4 9714 272 1 14862 220 1 12821 200 78 6544 525 22 10080 1251 1 2750 6309 1 7658 23 1 4805 43 1 5158 575 1 16500 46 5 3701 5814 1 6728 1051 2 8934 4803 2 12953 354 2 18922 1386 7 17331 2951 1 16030 220 39 1459 404 1 9857 3367 1 439 1236 1 3344 3330 2 4471 74 3 1863 3647 1 5927 1825 1 2834 2730 2 19380 1333 1 15211 4187 1 15576 4528 2 5273 506 1 13619 1453 4 7498 334 2 2834 3016 3 15208 4096 1 9447 2488 1 9838 7397 2 15427 696 1 15199 7112 5 2205 7013 1 576 5433 1 19680 5504 1 8599 7467 1 19759 474 4 10043 5903 3 4210 2569 1 4000 3425 1 9294 512 1 279 6702 1 11581 2633 1 9193 3512 5 11347 3175 6 8597 6152 1 3067 1917 1 2511 651 1 7879 7857 1 15272 1755 1 4305 3792 1 8761 861 1 3315 687 1 11638 532 1 6418 3803 2 8924 1695 1 7252 1112 15 13009 2089 5 11412 10 7 7728 3595 1 16470 1703 5 91 4100 5 9709 3691 1 19286 5000 2 3325 6897 2 16689 108 3 4011 1561 3 16021 1863 2 3806 10 3 2766 1471 1 1462 6687 1 14522 863 1 189 436 1 14772 1610 2 15308 3842 1 15990 6716 2 3009 3320 1 5239 1721 2 10643 148 1 10058 1686 3 10430 6630 2 13613 816 6 11367 6204 1 16895 523 1 11203 1827 1 14549 92 1 8905 7769 3 19141 2678 6 15314 5031 2 2905 6533 1 5775 2241 1 3226 7424 26 14797 1295 5 10948 718 1 4014 1251 2 4464 5348 1 17778 5391 1 4050 525 1 19690 1374 6 18207 1251 1 17574 6663 6 14530 7695 9 2880 7700 4 969 1250 1 9315 1776 1 15785 911 1 6570 3570 5 1315 2675 7 13829 903 4 16006 2169 1 17983 1778 2 17604 3230 1 4759 3536 3 16924 841 4 6183 864 2 9244 3671 1 143 2138 2 16790 244 2 5250 223 1 1706 3417 1 1802 1454 5 127 5753 2 6202 8060 1 12190 3016 2 20119 3676 4 16137 6052 4 5785 1814 2 6348 925 1 11769 871 1 2459 684 1 13743 372 1 8957 6541 5 11072 5333 4 514 1332 2 12818 8096 6 17384 666 1 4267 236 1 13238 1131 1 18211 4403 4 3000 3834 2 2860 5550 2 7147 7112 4 10078 244 1 19649 1342 1 16705 8029 1 16511 1282 1 6204 4903 10 3847 207 1 10591 6058 5 9639 696 4 20126 1245 1 3527 3399 1 15347 3896 12 7088 2889 3 19932 1988 1 13829 1705 2 9000 1482 7 19015 222 1 17992 7596 4 12322 214 1 17 1118 1 17498 5256 2 8798 2503 1 13750 6339 3 12994 4788 7 11231 4672 1 17121 2852 1 12140 1739 2 3663 525 1 19579 7670 6 15314 1726 4 256 6339 1 13577 2678 3 12663 2256 1 15009 6051 7 7068 23 1 14745 1656 1 18464 1827 5 2689 3219 1 41 2141 1 16250 1705 11 6459 1726 1 12283 214 2 12592 1296 1 17871 4549 3 5210 1105 2 19525 3567 1 17696 500 5 16426 1482 1 4170 1638 1 5676 6993 2 15943 471 1 4987 3380 1 1736 57 14 5720 1258 1 15772 215 16 2121 219 10 13640 215 11 6681 635 1 7285 1341 4 19914 4279 1 121 5320 5 10142 206 2 16027 525 1 10267 6398 1 10543 690 1 14671 6557 5 1646 6276 1 10297 2735 1 4868 5017 1 18528 1814 1 127 5736 1 13647 7008 4 14091 2343 3 13718 3798 2 18246 4867 1 10145 640 1 17246 6107 1 14865 1359 1 12358 207 1 18458 1819 2 13390 5586 1 15941 537 1 16961 7857 2 1591 5602 1 8051 889 1 108 4844 1 18252 1644 1 19655 2392 3 19494 533 5 7550 6621 2 3521 3713 1 298 2392 3 3659 5325 1 7844 3869 10 349 709 1 16715 5420 1 15435 107 1 10145 879 1 12990 404 1 19879 5574 1 18258 1600 15 18910 2268 3 68 3261 2 14488 4695 1 2255 3231 1 4716 2056 1 19286 1344 1 3548 1437 1 15065 2832 10 13864 4213 1 10988 2686 1 11058 1789 2 19608 3333 1 6712 935 1 17662 496 4 15364 6220 2 17142 3132 1 17603 7512 1 14599 722 2 20215 2647 1 13328 5422 2 13734 3779 1 393 6880 1 4092 2555 1 13425 1756 1 15157 7598 5 4784 2442 1 14027 7102 2 1065 2100 6 13011 1704 1 11070 3558 1 16375 1738 4 4151 3630 1 6074 7732 5 6760 303 1 7312 3167 5 4867 1727 2 13559 6931 1 8919 2534 6 10219 2175 2 1037 510 1 19806 5776 1 5860 158 1 12913 6993 1 1009 4456 3 9245 156 23 18042 1053 1 17771 422 1 12378 5306 1 3841 809 1 15827 3512 1 5116 3220 1 17895 2097 1 19887 525 12 13574 7511 1 10879 2261 1 7987 6198 1 5994 1244 1 13190 5903 2 6690 512 10 13974 7597 1 1368 2678 2 5362 4572 10 13619 2584 2 2338 4142 1 8088 5017 5 12817 2953 1 63 3041 1 3150 221 2 9733 1374 7 10969 6868 2 14233 215 3 6184 443 1 592 443 3 16090 6935 1 12987 1758 5 17268 7734 5 7412 623 2 17561 3233 1 15687 7201 5 14473 589 2 10410 1176 1 6064 2495 1 8061 5077 1 6524 5018 1 13465 935 1 4092 234 42 5216 1282 1 19877 1707 4 6602 8013 1 583 3090 1 8720 1275 8 15251 2698 1 10715 2675 1 8763 412 1 5859 4320 2 6848 1253 1 13596 1721 2 108 4854 1 6267 6106 1 3607 428 1 10060 7411 6 3304 5005 6 4841 1146 1 10734 6243 1 5344 2015 4 11882 7825 2 1602 7267 7 314 1146 1 15595 4105 2 1849 4320 1 2636 6949 1 8597 1686 2 10956 214 1 2483 3399 1 6844 817 1 5960 1495 2 10518 1035 1 14544 2727 13 10948 1665 4 17013 3827 1 17405 694 1 16089 8141 1 11543 23 1 8824 292 1 4011 3856 2 8054 575 1 13363 89 1 16508 736 1 7987 1659 1 5313 1253 8 19608 864 2 5431 6669 1 8211 1707 1 16651 1328 1 8391 4243 1 4385 6029 1 18609 2355 3 18169 6754 1 16691 8096 3 13619 6618 10 2905 2662 3 12217 3608 1 2631 207 1 18256 22 2 14226 5888 1 19225 223 2 14527 712 1 8031 13 1 2986 5497 2 16491 6559 1 1296 86 2 18914 223 19 13262 6278 2 10800 7857 3 16464 3421 19 16618 1731 1 13676 1971 1 2629 336 2 596 460 1 4632 1211 2 1386 3326 1 8033 2683 1 1647 3535 7 3313 203 1 9655 201 1 17205 3203 15 14415 1023 5 13183 7840 1 13402 6010 1 7498 8017 1 15939 1046 8 17395 6633 2 16663 4132 1 18147 8051 1 13975 197 7 3025 206 2 14522 4791 1 20188 2855 1 14154 335 1 18204 498 1 10078 7530 1 19266 4245 1 18425 5052 1 16413 8137 8 16036 3877 1 1687 5058 1 18042 1239 1 19332 1713 1 7941 6091 1 20106 6534 2 5248 4649 7 15572 2747 4 7703 6484 1 15195 7202 2 10575 715 2 13842 6100 1 1969 4248 1 11343 201 1 10279 3151 1 17544 1464 1 3621 4807 1 4898 1719 1 18386 838 1 11985 236 1 3818 1504 1 14660 194 3 1410 3410 2 11577 2649 1 11628 5054 4 8934 8251 1 7275 4669 7 17697 1247 6 19056 2056 1 4207 3058 5 14758 4209 1 6193 709 1 1204 903 1 19776 5326 1 14184 97 2 4949 1374 1 13238 320 12 17574 1244 5 10452 588 1 4273 2656 1 17562 2488 10 2380 5298 1 863 7490 1 17607 4314 1 5695 891 1 8275 7268 3 13468 7596 1 6064 15 1 11577 2990 17 2340 8095 1 4788 1728 8 13964 1184 2 8785 3438 1 10923 1665 13 16702 506 2 7184 1743 1 4232 1825 10 14232 7245 1 14798 2016 1 20 1351 1 3516 3219 2 10509 1658 2 14369 3156 1 12821 1720 1 4277 46 2 19601 590 1 14010 2635 1 19990 534 1 2762 1819 9 12817 1772 1 17368 6260 1 11002 132 1 14985 545 1 4012 7196 1 2317 6167 5 16593 1250 9 1276 5018 1 16624 215 5 8128 2699 1 4681 3312 5 20079 7976 3 9152 3760 2 9341 184 1 4841 203 1 16089 508 1 6853 1665 1 12669 1466 3 1037 2016 2 1128 7593 1 135 6178 1 16090 2938 1 2816 1482 1 7022 534 2 7780 2710 1 42 2210 3 20249 1234 2 13624 4436 6 3228 7406 1 16951 1112 1 18237 1707 4 17912 6868 1 19001 1234 1 5653 1762 2 16538 6457 2 16156 1342 1 8735 3087 9 10806 892 2 13887 2737 43 14078 4807 1 5854 2917 1 3390 10 2 2241 4615 1 19163 1731 2 19223 220 37 10 300 2 9714 4670 1 11438 5278 2 10838 214 1 11779 5710 1 10999 2503 1 17638 691 1 6070 3663 9 16623 3617 2 3797 3474 5 1009 624 1 15272 982 1 932 5586 1 4835 7586 1 580 4769 2 7380 3222 4 8015 3732 1 12501 1715 1 17750 1244 6 15849 3175 1 12856 4591 1 2480 1798 2 8211 910 1 4288 6700 6 4050 506 2 18500 15 1 18567 3637 1 7507 1784 3 9104 1781 1 6114 5253 1 18193 1238 1 2643 649 1 7012 5560 1 15371 207 1 4234 5690 1 11458 2444 1 11394 3840 2 8669 2304 5 15364 3811 1 13183 730 1 9440 2600 2 18197 2138 1 8198 416 1 3090 3180 3 8762 219 1 7295 7162 1 15993 562 1 8316 4296 1 4339 4618 1 18623 532 4 8088 845 1 2336 1887 1 16914 1573 5 17654 4307 5 19395 2566 4 14063 6402 4 20085 3114 2 6491 3731 1 15684 1342 1 16045 531 1 13533 4961 1 4267 6343 1 16869 2673 9 4115 7145 11 18706 184 1 570 2620 5 11968 519 2 2313 1092 6 1906 834 1 1834 3693 2 18014 872 1 7415 206 1 19518 541 3 75 207 1 6793 1969 3 9463 4237 1 11267 1539 5 20169 4807 1 4363 2930 1 15442 2552 1 17505 3462 1 6 190 4 9715 223 1 10509 2931 3 12694 1298 2 5157 220 1 10882 2478 1 824 1695 1 4629 1025 10 3408 219 2 382 3285 1 16205 6500 1 19158 4325 1 17298 1718 1 3822 1663 2 2803 1303 2 6414 4453 2 10374 5617 2 16400 7726 64 12357 184 4 9168 229 2 2917 7098 1 3651 2918 1 9363 2206 1 17695 221 4 13779 943 1 13023 1092 2 11461 1719 1 16616 1250 3 393 394 1 5911 1727 1 2674 6139 2 10766 1713 11 15216 233 1 17871 4274 1 9066 318 2 6257 1714 1 4040 6414 1 3098 6892 2 935 411 1 8269 348 1 5085 3571 1 16274 3283 3 7245 4325 3 19293 236 1 16994 533 6 9155 2869 1 3853 4036 1 745 5933 1 413 2729 1 4825 3233 12 3000 525 1 1779 2908 1 18781 2388 1 4810 412 1 12728 1710 5 17286 4967 1 6242 525 3 12922 716 5 9087 1082 1 18575 541 1 12336 1747 1 1499 277 1 7545 3367 1 2382 532 6 15834 7477 1 18889 1190 1 13919 1201 1 19840 8060 16 10017 2556 5 8097 2897 8 16587 205 1 1438 3684 1 15981 7465 5 17135 411 1 13558 5363 4 15794 5428 1 19444 1695 1 45 2332 1 6502 1246 2 11008 6053 3 3697 219 3 12614 1720 2 6482 2292 8 8198 5922 1 17680 4877 2 20079 707 1 6539 5292 1 19997 1827 1 18610 73 1 17195 8057 5 10114 1404 3 10283 1737 8 19546 4193 2 14573 933 1 9793 1296 2 17803 2889 1 8321 8060 2 538 1146 12 863 911 3 13461 910 2 14489 1909 4 2461 1745 2 954 4614 1 8580 2261 1 8417 3230 1 17756 6383 15 6463 2746 1 12641 4245 1 1151 201 10 3484 2402 4 8383 2844 1 2905 5905 1 834 1724 5 88 215 1 6878 3760 1 14250 3686 7 14606 478 1 15701 411 1 11270 383 2 17585 545 1 2631 201 1 3260 2133 1 4880 419 3 471 1244 6 18620 3705 1 8786 60 1 19741 3853 1 14424 6120 2 5117 780 2 11827 7424 5 10202 520 1 2428 2065 1 1330 514 1 14275 7695 1 16448 5359 1 3369 1747 4 19268 2109 12 18253 7834 1 171 7782 3 5344 4258 1 1875 508 5 7531 244 2 1551 1764 2 2405 1453 1 10538 1825 1 15396 225 2 13231 2682 1 19428 134 2 2807 6480 2 17220 761 2 17088 514 1 10468 1396 5 17606 4528 2 13736 215 1 3755 8191 1 2373 1103 1 11844 1727 3 11363 2366 11 2876 23 1 11261 711 1 8332 7682 3 8088 4591 1 4342 537 5 16415 1981 1 19470 5451 1 592 2009 2 11766 1062 3 13930 6747 1 4843 906 1 19245 7655 1 10376 4090 2 11241 3081 28 10452 770 4 11771 2715 1 16656 505 13 19944 1395 1 1743 5203 1 6501 7614 11 2274 870 1 5352 7495 1 10263 2663 1 10676 2488 1 2886 839 1 5255 7206 15 15364 5258 5 6848 5758 5 9642 222 2 6647 824 1 9722 445 2 527 564 2 16447 1710 2 3540 1654 5 2442 207 1 14282 1703 2 16308 1804 1 6058 1482 1 5048 1643 5 8623 1296 6 19976 411 3 16860 3775 1 4485 2889 1 5808 222 4 4124 4708 6 9699 3638 2 14746 1333 3 3521 1707 2 2959 495 1 15184 534 6 16743 2268 1 6990 2488 2 1712 2007 1 11670 5550 5 13275 7719 2 19434 525 1 13490 1344 1 19708 8171 4 13369 1728 2 20178 5758 1 9337 477 1 19952 5783 9 18826 6374 2 18968 6698 1 14706 203 36 17328 4464 1 4019 6228 2 8993 3558 1 11654 2650 1 15529 2481 2 19160 1464 1 6556 3266 1 6765 6863 1 9609 2169 1 13764 1975 1 3182 864 1 19333 1926 1 15253 824 5 15388 215 2 10518 1374 1 17303 911 1 10290 1775 1 14516 2256 1 7670 646 1 6533 4201 1 5447 1747 1 13397 3195 1 6382 534 1 17850 4080 5 17 1057 1 13754 3945 2 12821 6537 1 991 1276 2 16800 3625 1 15257 1748 1 14800 867 8 15980 6121 1 8332 8188 6 6611 3328 1 1866 184 2 13579 233 1 19182 7621 3 11213 7726 1 15794 3276 2 18014 557 1 7433 7202 2 9946 536 1 8269 837 1 10862 745 1 15192 316 9 2973 512 3 7306 641 1 19872 628 2 174 7471 2 11440 1334 2 4572 5318 2 15272 471 1 3488 204 3 16132 956 1 1908 4435 3 4914 6154 2 10176 2645 13 2674 861 1 18665 3599 1 11786 1150 1 14842 6225 1 17026 2904 4 5214 232 2 16776 203 1 14992 1781 2 1312 6027 2 1059 2014 1 4165 4600 1 18876 931 1 16698 1999 1 15244 1827 7 17767 496 1 14516 843 1 15037 851 1 9799 3707 1 2795 4959 2 8532 7542 1 15664 10 1 5911 6228 4 8762 4460 2 3523 634 1 8761 834 1 5922 2959 1 3484 2465 6 13691 6544 1 6254 5325 1 7952 488 1 4207 2075 1 15485 2626 1 16970 1109 3 6517 6504 1 4970 926 1 5201 6252 1 13283 1986 1 10457 4459 2 17819 7098 1 15314 1729 3 14305 728 5 17384 356 4 10798 2216 1 19834 4033 1 8823 46 1 4146 3649 3 8051 7066 3 20121 4427 2 19748 1489 2 20262 222 2 2271 6121 1 15943 6070 1 8141 347 1 18202 3988 1 2171 7823 1 9308 3540 20 9122 4435 2 18792 792 1 17638 621 5 20068 5206 1 7799 545 5 7413 2104 1 13254 767 1 9894 1263 1 8798 2061 1 8298 575 1 20176 6758 1 29 1676 1 10223 1600 1 17515 1555 1 11556 354 1 4587 2979 1 14926 3899 1 1361 957 2 6164 1344 1 9444 3333 2 15640 2938 1 3037 1245 1 143 6676 1 18797 7850 1 1542 1770 1 16132 885 1 12365 2990 1 14214 1489 1 14005 5091 1 11336 883 5 3081 7490 2 5963 663 3 16090 7075 1 10864 2363 2 17534 5673 1 2334 6713 1 17816 1829 4 11246 2760 3 445 2057 1 17102 244 2 5264 4245 4 13910 1775 2 18451 1424 3 6652 3905 2 4094 5730 7 15394 4811 5 1733 1770 1 11402 568 1 10103 156 5 5143 3881 1 4170 164 2 18198 545 5 4978 2919 22 3025 1416 1 16214 1437 1 8969 4325 1 18546 505 4 8405 653 1 2267 7210 1 9043 554 1 4121 5153 1 3048 2991 2 607 219 2 9546 627 1 7592 496 1 13031 532 6 18485 5595 2 11557 2194 4 17505 6751 7 4960 6343 1 17618 1751 1 215 5686 1 6095 442 4 4159 749 1 4796 843 1 17578 929 1 15314 2357 4 8687 5768 1 7832 3011 2 9364 7531 1 19935 3691 1 1634 1310 1 11736 1669 1 15205 204 4 11662 3211 2 5288 6341 2 17843 7701 5 19234 2138 1 5444 385 1 1561 203 1 1609 1295 1 4171 378 53 7117 2720 3 18613 5558 1 17004 5499 1 15595 1248 1 3075 2319 1 19944 4101 1 11678 6956 1 15742 868 1 4929 6640 1 12383 6946 3 12026 1692 2 1296 3525 5 381 715 1 18625 2562 1 5726 23 1 15509 2103 1 3945 2275 1 4657 200 4 9998 291 6 15192 3354 1 20029 5574 5 20053 7073 1 10859 1572 15 13542 203 5 10857 1282 1 10570 219 5 7041 1826 3 2223 506 1 9778 683 1 10496 3109 1 11354 1751 3 14695 363 1 14807 2979 5 6008 5992 1 8493 203 1 5212 5406 1 18876 877 1 4889 10 8 822 390 1 4753 5814 10 12469 6673 1 25 1486 5 2474 378 2 130 5785 1 1629 1282 2 301 3913 2 874 1709 1 15169 4947 1 3695 554 1 12817 1243 2 15107 2104 1 10144 1621 1 10999 3906 1 2863 3966 2 5685 221 1 4305 871 2 62 3004 1 6887 2921 3 11096 6758 3 1612 518 1 100 4500 1 4397 5922 7 13632 6132 1 12815 6457 1 2266 6892 1 5214 225 4 18366 7740 1 13058 4404 3 18193 1738 1 16388 4132 1 19471 6322 1 12897 2087 1 3744 3698 1 2531 4337 1 16141 5299 9 18721 6636 5 4371 4580 1 2834 1309 3 19164 4868 3 6049 2192 5 8369 1445 1 17117 7222 1 18040 6700 10 9807 518 1 12231 252 2 9317 1726 1 1551 1707 1 8275 2737 6 3233 5612 5 9135 1719 4 16063 5401 1 14046 4983 1 18930 253 1 18410 1249 10 17362 1731 3 10146 364 1 18214 6054 2 5243 2990 9 18762 207 2 7965 1783 24 873 2955 2 5742 6268 6 153 6862 1 15263 1772 6 7065 386 1 19505 3138 2 5250 220 3 4022 4501 1 160 7320 2 15630 2360 26 19566 5730 1 6012 2484 2 163 7421 21 15718 194 3 5610 685 2 12895 1265 2 4587 3471 22 1755 5322 1 14437 5077 2 153 6873 1 522 206 1 9997 532 3 2318 534 1 13910 3164 1 1683 6280 2 17388 1714 1 1600 1321 5 18887 232 1 2571 4572 1 11566 4629 20 16192 201 2 3967 2151 1 13999 519 1 19914 5826 1 1054 7050 1 3846 2489 1 15743 206 1 4399 1482 3 2748 4572 1 18755 1275 1 11218 365 1 15710 196 10 6516 4623 4 7261 506 2 5204 263 1 3641 3584 5 10985 1798 1 11489 1252 2 8363 5051 1 7181 1778 1 17657 7830 15 17469 887 2 11399 579 2 5407 4818 1 13894 7029 1 14086 100 1 1129 3283 7 12412 673 1 14696 1726 1 7664 2151 8 73 558 1 16291 1969 2 14926 3653 1 15041 3511 2 15264 2003 1 18989 5144 1 14162 1454 1 12619 3731 1 77 38 7 15186 184 6 19115 206 8 6352 411 25 13601 1771 1 6731 5897 1 13498 4019 1 13 700 1 19759 496 1 2829 4840 1 8427 1681 5 9699 3510 2 1908 523 1 2796 11 1 11786 5316 5 10678 5686 1 1958 1718 2 9250 881 1 5096 3494 2 7111 3181 10 17833 370 1 6379 215 2 13387 6941 3 9259 4309 1 6869 8054 1 5887 6159 1 13928 1985 2 12042 184 7 15886 7655 1 18149 1464 11 15314 7791 1 97 4407 5 9228 3255 6 3561 471 1 3328 4029 1 8930 4411 1 8182 5052 2 1625 5257 1 9102 2489 1 8965 534 1 13187 7968 1 10398 1783 9 83 3748 1 18861 23 1 2195 1037 1 10105 3578 1 3220 6784 1 7708 2003 3 7800 232 1 5269 1814 1 11039 5146 1 9332 1034 4 10856 2444 1 11640 1407 3 15610 243 2 5802 2508 1 2726 937 1 6130 584 1 15943 789 1 48 2374 3 12337 1727 1 18815 3911 1 14672 6537 1 10468 350 2 6644 6983 1 8373 7956 2 8455 6666 3 6211 957 5 12670 7857 1 9921 361 1 12060 6126 10 13490 5333 2 14380 164 1 12985 1730 1 1495 1374 1 14791 7229 13 12889 233 1 4617 491 1 17633 847 1 6991 4325 1 6183 225 7 6142 1482 5 14679 5559 5 3667 3180 1 1911 6954 3 19079 734 3 7883 2109 15 17423 46 22 15329 5952 1 3008 6042 1 10047 222 2 14048 2815 2 10785 3540 6 5433 880 1 12838 4606 1 8652 470 2 3202 1662 1 9406 4706 13 18488 6164 1 6332 4382 1 6554 4013 1 10769 470 2 1906 5525 1 14578 2057 2 11411 1727 3 4847 3511 5 10948 1660 1 9008 1558 3 9431 3526 1 2753 3587 1 1551 6700 1 13461 471 2 8528 510 1 18847 201 1 17208 4623 1 19159 506 5 13111 532 1 13283 2027 10 7769 863 2 6848 1757 3 7641 1146 2 16574 4609 1 15898 1399 11 1145 1395 1 2488 521 1 17710 340 2 2147 4534 1 17405 545 1 17992 3056 1 18320 663 1 7000 5887 2 8860 3400 1 13898 1296 2 18071 6078 1 15624 1184 9 3086 1770 4 16006 201 1 8137 6412 2 17586 2366 1 14923 1406 1 15104 227 7 16515 338 2 16457 7750 1 18977 449 3 14161 1275 1 1712 4919 1 2643 233 1 3242 2439 1 19434 512 1 18886 2010 2 13697 1717 2 16966 6650 2 11933 6793 1 6037 525 1 5943 2626 1 11770 5167 1 13909 5533 1 15233 575 1 7896 1315 5 9680 3585 1 15943 512 1 542 1659 1 2100 4274 1 10503 335 1 4632 6051 1 17 1046 1 6708 200 6 6764 6754 1 19649 2662 2 19111 5018 11 4288 1661 16 10911 839 1 15556 235 1 1498 606 1 7985 5018 5 10879 2331 2 10242 5018 1 44 2277 1 8082 2007 1 14326 8036 1 8757 4026 1 8198 229 23 19916 201 1 10940 2363 5 19246 252 1 1204 2114 1 10999 7404 1 16743 206 4 658 6588 3 4579 7229 1 397 3635 1 20191 4075 1 8946 916 1 11968 1369 2 15681 5227 1 2267 6414 6 1663 1150 4 8475 6680 5 12209 6777 2 19322 723 1 12888 4995 2 5630 205 1 16375 1726 1 17708 2980 1 17830 3947 3 12717 532 1 8239 6259 1 17314 1686 2 1039 670 1 153 6946 1 8169 769 1 968 2626 10 19167 532 2 18042 382 1 12838 4607 1 1799 325 1 14670 6150 1 17357 3399 1 20226 3167 5 1866 645 1 8775 1752 1 17555 1710 9 8705 1247 1 1214 1244 1 19217 943 2 15318 2678 1 11430 518 2 15944 1523 7 6717 2737 1 16857 2649 2 15801 2541 1 153 6039 4 11926 200 6 628 7474 5 1143 1728 8 745 7738 1 6857 96 2 17077 501 1 10556 215 3 16703 1726 1 5863 792 1 3437 207 1 17887 1505 1 4554 7933 3 11461 1250 1 12324 1721 1 11165 6053 1 6973 2567 1 15870 1762 12 6305 1783 3 15733 6106 1 11510 471 1 94 4199 1 17033 3211 5 18334 6579 7 92 4132 5 14234 3430 2 2647 4992 1 16083 859 1 9189 2097 2 11148 1241 6 15473 1242 2 16719 15 1 6867 1145 5 2423 488 1 6522 809 1 13846 1252 5 583 8203 2 12136 4547 1 1059 2571 1 2760 458 4 7467 1396 3 7842 6776 1 15073 3475 1 7007 4992 2 19700 5466 1 18183 498 1 850 1705 8 1435 7424 1 8007 1730 3 1011 761 1 19776 822 1 2293 7187 3 16299 2830 4 19648 2517 1 2198 523 1 13660 201 2 16918 3164 24 16378 545 1 2875 2141 1 10314 2742 1 14566 1324 1 7933 5432 6 7479 1339 1 6375 6783 1 16288 6091 1 11530 205 1 10948 2166 1 12034 6252 1 18847 581 1 1635 6161 1 13683 862 2 19003 219 1 259 3135 13 11763 4877 1 9896 3882 3 10670 200 1 3279 524 2 7557 1771 2 18431 6473 1 4314 3879 3 6332 148 2 4399 1772 1 2198 47 1 11933 201 1 14113 6106 1 160 7277 2 9533 6091 2 2529 615 2 13445 3066 3 3351 1655 1 14773 2056 1 17664 1707 1 18424 2912 1 16984 8159 1 18679 4192 1 16020 1772 15 18197 1745 1 6379 7403 2 2771 3758 1 10304 1242 1 17378 1734 1 7455 1762 1 14060 5496 1 592 3824 4 14236 443 3 10557 1717 2 11341 3784 4 5216 867 1 19115 173 4 20191 548 1 10720 1464 1 11543 759 2 4492 3233 1 4268 3471 6 8683 719 3 12388 6897 2 15942 3919 5 10683 2549 1 6061 4022 1 14093 7703 2 17887 1509 1 2364 6697 9 18444 6801 1 3532 5180 1 11658 7009 1 7769 2419 2 4542 2678 3 17333 7586 1 14527 950 1 6699 203 2 10852 3973 4 6229 6493 2 11008 514 2 3915 198 1 5854 779 2 2368 3664 3 5312 2512 1 16787 3177 22 15468 1778 4 2716 525 1 14906 519 1 70 1235 1 1666 3421 28 8187 6743 1 8969 2675 25 19333 2559 2 19182 1154 2 10355 23 26 6326 206 1 1925 3766 1 12970 3053 1 1751 1104 2 9916 2730 16 6332 5526 1 801 1778 5 14896 2269 1 2865 961 2 18056 2481 1 16921 4406 1 17167 1342 15 12614 2488 56 14726 7829 2 13299 6091 1 6768 533 1 1026 3710 1 12343 7719 1 9702 3647 1 12841 411 2 14695 223 1 11045 1645 1 14958 3920 1 542 2383 2 15559 23 1 9284 2701 1 11981 385 2 18207 190 5 15346 8 1 11367 745 2 15305 6346 2 15952 5943 1 5516 2656 1 18968 5487 4 14690 526 1 170 2636 1 13743 5420 1 18183 173 1 10391 215 2 10309 2946 1 19853 7268 4 12935 1441 3 11511 7400 1 14011 235 2 14945 3652 1 13242 308 1 11067 194 2 7894 3838 1 5213 229 3 3715 1007 2 7709 1244 1 14970 3909 1 110 2789 1 3734 5436 1 19989 3625 1 13638 2382 2 8531 4266 1 16698 3714 1 126 5596 1 16932 5325 1 17450 2831 2 16895 1548 1 26 1525 1 9171 1022 7 3243 1781 4 11458 2459 2 8316 2495 1 135 6118 2 1530 1825 3 113 5105 3 7065 2494 1 6073 6234 3 17403 4704 1 18505 1819 4 14013 2260 1 4465 6174 19 16899 2639 5 99 4455 1 14737 1747 4 551 5774 1 18908 3239 1 11325 525 1 17917 848 1 10832 6623 1 12938 5528 1 13672 2869 1 19648 4246 1 13065 2671 2 15660 214 4 11964 508 2 18341 751 1 19498 7251 16 7882 6698 1 4277 200 2 10955 4799 1 7375 2610 1 15691 4635 2 10583 2686 1 12182 3278 1 19322 3526 1 8502 6900 1 15520 201 9 5378 3558 2 10193 3854 1 13561 4306 1 2709 3463 1 17746 1772 2 592 2014 2 14692 46 20 9283 6568 4 13359 2998 1 2909 805 2 4662 2260 1 9433 6892 1 10832 95 1 14900 186 1 873 903 1 10923 1664 1 1687 1728 1 1599 1705 2 2729 1352 3 456 1819 6 12863 164 1 11131 3809 1 10145 3357 3 14400 745 2 7536 4935 4 1051 2742 19 3804 7452 1 10113 1736 1 17606 3 1 153 7080 3 1765 6341 3 3695 945 1 17824 4521 1 7412 676 1 7076 6242 2 14985 5848 1 7624 1825 10 17019 7643 2 12677 1110 1 2865 1701 1 10772 5448 1 18692 8013 10 100 4522 1 3516 3536 1 13412 3332 34 229 1296 3 1663 244 7 6043 411 6 4181 100 1 14639 515 1 5349 2801 2 14808 222 1 18116 3591 2 15514 1454 1 14561 329 1 18089 700 1 4138 6480 10 2049 2017 2 259 3515 1 1824 1289 1 1801 4107 1 5264 952 16 11053 7471 1 7068 206 3 8491 745 1 561 6083 1 5977 1745 1 6844 661 1 145 6689 1 8641 2068 1 16997 8031 3 8540 2712 1 12760 6863 4 17051 229 1 3581 1730 2 899 4616 3 14233 2656 20 14053 1245 1 12841 6358 1 10319 891 1 6166 1277 1 13272 1664 1 12397 220 3 15003 1960 5 17653 1825 5 9725 393 1 9660 236 5 20191 3715 3 9978 6680 1 16984 736 1 4963 3693 1 614 709 1 17678 1237 3 3505 201 1 5319 880 3 15964 1727 1 19723 1244 1 7830 6014 1 6412 718 1 19642 7420 1 19351 1717 1 9693 314 1 11775 2675 1 153 5769 1 16312 889 2 17662 1772 3 13278 4837 1 6221 6665 2 15524 1783 4 9485 3263 3 1063 1356 1 18576 4156 1 6152 2817 1 12472 3175 2 2053 4059 7 1973 7520 2 11422 903 1 18526 186 1 4488 907 1 17894 6380 1 20123 562 1 17852 557 1 17968 1061 1 3930 5419 1 19324 1827 4 7188 1928 1 12872 203 5 3718 8057 2 16281 2542 4 11458 7712 6 6242 7955 2 13352 4015 3 19401 1236 1 18431 1396 1 18037 6374 1 6681 3596 1 5911 2881 2 130 499 1 873 1319 1 12923 1769 7 1580 13 5 16493 3361 1 19912 2543 1 9002 23 1 3424 196 1 140 6469 1 18203 219 1 19461 4567 4 14091 1658 1 4935 5935 1 1618 231 1 13873 532 2 3935 1253 1 3439 5018 2 12835 1681 5 12114 6576 1 9178 1772 2 18730 394 1 14578 6482 1 19679 1416 2 15041 545 1 9168 766 1 3236 448 1 8221 4460 3 3378 512 1 20179 7829 1 13119 509 9 17039 1296 3 17401 1567 2 3633 7275 1 14663 412 1 33 1833 1 1968 3057 10 14162 6915 1 2943 2419 7 1618 1715 2 9719 4179 1 18244 214 1 62 2947 1 13030 5257 1 8017 7229 2 147 6704 1 10519 3060 2 2643 548 1 11081 7406 1 35 1972 1 7257 1757 2 30 1684 2 3906 1782 5 6089 2686 1 18204 3135 1 15978 1241 18 16919 3199 1 6124 510 1 5738 2964 1 2583 236 1 19104 2517 1 981 1282 1 18468 4122 1 3704 6268 8 8789 1699 4 20248 1747 2 2082 5547 1 6039 308 1 5818 7603 5 7783 2248 20 9688 2331 1 15969 4635 1 5843 1760 1 432 4363 12 8180 1179 1 13633 2206 1 9408 5555 1 5441 1990 2 5983 1105 9 13881 1368 1 1979 2727 1 802 4941 1 16438 282 5 13709 1363 1 7966 6546 1 14545 2970 1 20013 1819 1 9090 23 1 4267 5128 1 19272 6398 2 8598 1692 1 3848 5390 17 15535 225 1 16767 1015 1 3397 5519 1 12102 5212 2 13807 1241 1 17041 3519 1 3536 3531 8 16726 3558 1 12453 2488 2 1068 237 1 9556 5137 1 12412 592 1 50 2513 1 12096 2728 1 7217 4949 1 2917 379 1 15329 6539 2 18067 1635 21 4449 2352 2 12104 4230 1 12499 1234 1 7773 1245 1 13602 708 4 13906 1757 2 2768 498 1 7056 4695 1 2357 1769 1 18567 7961 2 4092 6576 2 1539 6368 1 11654 7953 2 12444 6200 1 5624 89 2 19602 6271 1 2980 1203 1 2858 869 2 14218 1730 14 12740 2675 1 4906 2523 1 12009 204 1 8878 5243 1 19069 3135 2 542 223 5 14193 221 16 8001 7621 20 5104 407 1 13484 3967 3 6854 1482 5 17170 1742 1 12841 4337 1 17899 1495 1 2917 493 1 6449 1315 1 5856 7823 1 14162 479 1 2325 3333 1 6337 719 2 12941 1537 1 8153 4427 11 8156 1707 5 15567 3816 5 7382 2626 12 11241 3233 35 10385 1776 5 1573 3045 1 10907 203 40 5494 1346 1 4130 2738 2 6519 2019 9 630 6577 1 11827 201 6 3521 3718 1 6820 1247 1 9017 4436 5 15818 1487 1 7910 6231 7 6525 1991 2 2304 3230 1 19317 8192 12 9306 219 3 6063 417 1 16955 4204 17 12438 177 2 17392 5325 2 5649 893 18 4082 1779 2 13104 545 1 1816 2721 1 8291 7223 1 12296 5341 1 1029 519 1 12473 3777 1 2273 3512 8 19807 1717 11 3748 2964 1 16096 6058 1 9224 582 1 5640 1707 2 16614 6480 2 20098 200 17 6486 561 1 5505 1768 3 19368 6213 1 14931 4435 1 14926 3167 3 20 1279 1 11477 724 2 5653 2675 8 4017 3900 4 6290 201 11 17935 2205 69 9433 3012 1 20049 6868 58 15687 7308 3 652 535 9 10792 5350 6 18917 207 6 3189 4288 5 15688 5963 1 3833 232 2 10559 1307 1 7688 870 4 10884 1731 5 10327 1814 2 9280 1768 4 1581 4014 1 10397 7424 3 16310 1707 2 18331 335 1 8269 316 2 2632 5289 2 7916 220 2 12328 426 1 4519 2087 1 15230 411 8 8281 2662 2 6579 4311 2 18243 3613 2 17143 7212 2 10044 4409 5 13982 5099 2 6656 2555 1 11786 6555 2 15086 230 51 6107 2721 6 14040 6884 1 18941 3666 1 9391 519 1 6983 6219 2 6332 911 4 6682 1726 2 18101 3610 1 535 1072 4 15213 759 13 19026 220 1 4243 1237 2 15184 1342 8 5962 3570 1 12503 6330 1 143 6553 3 2753 3592 1 143 6632 1 18564 1909 2 13743 5767 1 9413 2533 5 349 804 15 17005 3398 2 13432 3163 1 1902 5319 1 124 2767 1 6558 4386 1 18735 5011 1 14764 5077 2 10183 23 8 10733 4620 1 4860 86 1 6896 415 5 15140 4656 1 32 1802 2 9784 792 1 7935 6152 1 2739 2888 1 963 6150 1 5097 1234 3 15599 7212 1 6781 1395 1 7780 1921 1 9490 4002 1 4012 4436 3 15100 659 6 11327 1743 1 16448 4245 1 1832 1635 1 1801 4280 1 10498 7629 4 11418 2071 4 9511 2508 2 19222 4615 8 7144 3666 6 18989 1036 1 25 1489 11 18026 221 2 5616 6468 1 15925 2879 1 7643 148 1 9520 2505 1 19090 2009 1 19428 2938 4 18679 3647 1 18379 6053 6 506 745 35 5960 3037 2 2180 229 3 9896 545 2 13508 4254 5 10575 737 2 4378 911 9 2143 7522 1 3692 5686 6 16185 1756 1 11520 7267 1 5725 673 1 18534 6685 1 18676 201 2 2376 1561 1 6229 7168 1 19194 4844 1 18375 237 1 11354 3683 1 6415 1252 1 16470 220 1 10012 6206 2 222 379 1 15982 5783 2 11297 2056 1 56 1277 1 18764 411 1 16777 911 8 17058 769 1 12783 2992 7 19715 534 4 3964 1779 1 13161 6414 1 12998 4555 9 4539 545 19 3841 3923 1 2914 1946 8 4072 7767 10 2911 5289 1 12378 3278 1 8027 5478 1 15364 177 1 7677 4724 1 13568 1762 1 12984 8197 4 5213 1482 1 6889 995 3 16109 5532 1 53 2563 1 13986 1207 7 10486 316 8 7568 6665 1 5082 1054 1 12811 3429 2 2405 194 2 7621 7404 1 8552 6675 1 10057 3694 2 15716 220 7 2882 6245 1 19240 1728 4 6305 1700 3 1883 3427 2 4779 219 1 11848 5550 4 14702 1685 1 13004 1146 1 2480 867 4 4795 6491 3 4612 1781 1 13445 4022 1 6379 4967 1 5929 869 1 4213 1332 2 3288 444 1 7991 1774 2 12210 883 1 17628 2370 1 10133 891 1 5972 5534 1 3592 1242 1 11106 6677 1 10912 6924 1 10852 275 5 7548 2534 1 14481 3167 1 3703 6164 1 16468 8031 7 10462 2917 3 6420 433 1 5606 7124 12 7178 900 1 14682 3333 8 17954 2344 2 72 3333 1 13625 7597 3 15858 1060 1 3868 7085 1 5074 7498 1 13652 2383 1 19145 1146 1 10437 6044 1 17079 5969 1 5357 3838 8 13336 200 2 11156 6632 16 1546 8094 1 494 1820 2 14400 201 5 4647 1734 2 7784 1572 1 834 2673 24 9935 1657 1 12263 3621 10 20185 7210 2 7653 7723 1 11933 6597 1 2429 1727 3 16123 1752 4 7098 5022 1 3044 274 1 23 1439 2 19658 2737 1 16945 1369 1 19455 3081 1 18185 3648 4 11775 222 6 15395 1395 1 17805 3146 4 6551 1188 4 11632 510 1 19145 5515 1 17758 5064 14 4874 5036 1 19843 5054 11 5758 2522 1 5915 3614 7 484 1147 1 11533 616 1 7493 910 5 7480 1184 1 8519 175 5 1593 2329 1 12294 883 5 9475 1235 37 17899 3477 1 13461 186 3 14466 6116 9 16860 687 2 9704 1380 2 5556 3278 2 9942 982 1 14600 1251 1 1422 3529 1 10193 225 4 3976 222 1 11882 3698 1 17088 1764 6 16981 1737 8 10472 367 2 2992 903 1 17511 46 4 15710 995 1 1609 5437 1 5088 525 1 10930 7224 1 5596 891 1 124 5445 2 19090 1190 1 16021 1912 2 13379 5292 1 7610 604 1 5719 214 2 6796 3787 1 4835 196 3 842 4361 1 6867 6434 2 16359 964 1 9662 3233 1 9215 638 5 16894 415 5 17909 8131 1 6332 5436 1 12267 7433 2 8015 4013 1 14433 308 1 18104 2509 1 3253 15 2 1801 448 2 5591 3171 3 13543 5917 1 5251 7826 1 5866 201 3 10455 475 1 15563 2899 6 11346 7217 1 17331 1779 1 14060 1677 14 14549 2100 1 6987 5541 1 19759 442 3 20032 5426 1 13220 1772 2 15184 3536 20 18008 7349 1 12614 365 1 7496 520 1 15526 4992 2 6158 2356 4 3337 3338 14 3358 8013 3 1364 7719 1 3892 2798 1 19160 7327 1 4072 2056 7 15761 23 3 153 625 2 11602 1241 5 18633 2374 3 7867 4789 1 5556 8109 1 18932 590 1 7868 3973 5 8560 23 4 6656 303 5 5301 7895 4 2891 1819 2 172 7836 2 13493 7184 1 6617 2641 1 7028 196 8 623 46 1 14375 1827 1 35 1969 4 1171 1769 1 3411 520 5 16977 4026 1 14108 616 1 7135 1732 1 11901 495 1 19182 4555 1 165 7522 5 2045 534 5 8930 3293 1 19895 4609 1 9606 232 1 10038 368 1 2776 2258 4 1312 794 1 192 1698 1 4647 1743 5 12184 6633 16 19511 1728 1 7006 3044 3 2276 4992 1 347 2982 2 6104 274 1 3037 222 1 8746 3492 1 10973 225 8 8150 223 70 7184 1363 3 18876 132 6 5158 4864 4 10274 4664 3 11164 1772 2 103 4627 5 11905 377 2 8878 964 1 14300 2355 1 7688 1190 1 19415 1247 3 1506 652 1 18859 6011 9 7731 3694 1 16021 6673 2 12757 210 7 1553 512 2 8532 84 1 130 5905 1 18620 3411 1 10652 2683 1 2576 6230 5 19840 6442 1 8845 6777 2 20106 2459 2 18396 6435 2 7188 1732 6 3007 5182 1 5310 713 1 17328 6670 1 20090 1296 1 4696 7327 1 9556 676 14 18278 3990 2 3366 726 1 121 5266 1 9498 1655 1 11549 4716 1 12562 5334 1 4301 232 1 3841 638 1 1590 850 1 6848 1244 1 6650 6748 1 11208 1729 2 14075 6702 1 19147 3878 1 10943 2653 11 8082 417 1 7023 7237 2 11882 234 1 184 23 1 12922 452 4 9563 33 1 9310 304 4 17220 236 3 19137 2087 1 20058 7021 1 16870 253 5 745 23 8 5553 6192 1 17151 7408 1 140 6479 1 18033 3648 7 20042 6079 1 13765 1727 1 15966 2261 1 1461 2562 2 10217 6152 8 4779 378 1 164 3482 1 19789 200 10 7799 6140 2 11182 8013 1 8801 274 2 605 6125 5 11964 1275 1 13147 3333 7 5428 5375 1 916 556 1 14968 496 4 18968 2012 1 6749 6993 1 2366 336 1 11999 702 1 7246 7439 2 16823 5524 5 2194 784 2 4870 519 1 17700 1236 3 15495 512 7 2920 232 1 2436 193 1 19243 7004 1 11695 5285 1 6344 3911 1 6835 4099 1 13084 1717 2 19348 201 4 878 1304 2 9973 629 1 13190 81 1 1996 11 3 9512 101 2 162 7385 5 16500 203 5 1499 8227 1 10382 7531 2 5453 5252 13 18260 1757 21 19996 831 1 10381 514 1 7987 5243 1 14903 3335 1 12008 215 1 10940 496 1 4112 215 1 4823 5981 1 24 1477 2 11736 2097 1 2674 4196 1 15030 5068 3 5247 1146 1 54 2601 2 954 5420 3 13618 2656 1 18600 775 1 3309 6000 1 8901 502 3 8519 225 7 5972 7381 3 11381 190 2 333 2368 1 10611 2480 1 14924 5940 1 8799 222 4 10954 5922 1 6503 706 5 14983 6777 1 5771 5138 1 5246 1242 5 10353 470 1 6331 4636 2 14578 1764 1 18366 2883 2 13472 7045 5 1551 995 1 13564 4264 5 15204 1417 1 18837 757 3 886 1036 9 18889 3693 1 4500 3248 1 1839 6645 1 3338 1334 1 16924 1238 2 5015 1613 1 525 1826 5 14377 1237 1 6690 4623 6 9204 7602 1 19854 581 1 716 1771 12 5977 232 1 2442 314 9 9358 23 1 9969 4096 1 6987 6579 1 16861 6707 1 10027 4067 3 2222 201 2 7080 1764 2 14144 742 1 18742 2626 2 19984 190 12 10458 5454 1 10341 220 3 16860 2507 1 9891 519 1 13928 7521 1 2778 244 16 11082 47 1 15208 5434 1 11258 347 1 13678 368 1 15691 5903 23 5924 7379 1 2140 1292 7 6914 5505 2 3150 100 1 9308 3510 12 11242 7505 1 15101 1454 1 1643 1737 10 9319 335 5 19560 3516 3 9793 6488 1 16690 5979 3 6459 2569 5 10073 6658 1 10856 5566 1 13 944 1 7288 7474 3 3741 1019 1 18543 229 1 13587 1322 1 17169 220 1 17664 1775 2 8015 1726 1 3048 879 1 3111 7857 1 2606 222 1 2237 6415 1 11876 6334 1 11476 514 1 14162 4029 1 5695 1146 1 15413 1734 1 9141 1770 2 18609 2675 2 5831 743 4 15678 580 1 7010 220 3 8062 3935 6 19693 359 17 6028 5583 5 5244 541 3 11688 1204 10 5899 4427 1 3422 2352 1 1705 2990 2 121 747 2 1009 5905 1 11592 6231 1 16997 8036 2 10771 3625 1 280 2591 2 234 225 1 15614 719 1 19814 1379 1 2931 1247 6 5879 4403 15 15438 1736 1 3987 6257 2 16921 7368 1 8127 1663 1 18614 5430 1 19092 2097 1 4156 8238 4 7809 2435 1 12397 6228 2 14466 4967 1 3581 229 3 5952 638 9 2907 3547 6 5597 3971 1 94 4280 1 19360 2653 1 10803 4987 2 9861 3853 1 397 2055 2 6341 5206 2 8872 1686 1 9288 6475 2 133 6038 8 3694 1453 1 12918 2710 2 19428 7661 2 16196 5011 6 12747 1101 3 59 2712 1 3029 84 4 13625 1675 1 9515 1349 8 14888 4219 1 9305 4343 1 17930 867 79 3642 712 1 14422 7788 2 6154 3911 1 10024 6692 2 4438 2172 1 9587 690 1 1498 761 1 19222 3230 9 17662 1698 2 8023 831 1 19722 2302 1 20104 6683 1 4234 6213 9 18723 6435 1 15629 617 1 490 1990 2 320 232 1 15394 5758 1 10290 1770 1 13107 5162 1 6438 724 1 18792 232 2 13800 2958 1 12888 201 1 16564 7425 1 11882 6993 1 12972 5486 1 19867 6159 1 11668 214 1 6781 520 9 19679 883 1 9271 203 3 2304 1219 1 3126 7965 2 11017 4363 9 11566 6278 6 9007 4427 1 10256 219 1 13136 556 1 14266 8109 2 2449 4333 4 6124 1898 1 13646 517 4 476 7422 1 14219 3050 1 2891 1450 1 15396 173 69 1582 7374 2 6333 3247 2 19091 1339 1 18985 1775 5 1905 366 1 12739 7138 9 9059 6701 1 12995 7602 1 13675 7275 1 2886 2635 1 12553 5018 1 473 3591 1 1842 5997 11 16179 4351 3 130 5813 1 14902 5730 1 12058 1751 3 9456 7178 4 16270 554 5 3358 671 1 18450 2013 1 10311 597 1 5515 6675 1 4196 1783 1 5704 2409 1 8299 3361 1 776 7859 2 2710 1770 1 19636 6213 4 18193 6900 2 20030 571 1 10172 825 1 6642 233 1 10581 7229 1 13638 5460 2 1061 3632 18 3822 5294 1 10313 5256 1 2772 7632 3 6307 4950 10 13751 867 3 8055 2671 2 16881 6714 3 10586 534 1 6141 2522 1 11585 7021 5 17902 1720 1 4247 23 6 4606 1751 2 19152 2797 3 13551 4022 4 10696 219 5 3485 1779 1 10107 5395 1 5853 1238 1 3446 1380 1 15817 4024 1 13577 1819 1 19995 2507 1 5552 203 1 7165 1109 1 18681 797 1 10080 1757 5 9702 6207 1 16667 6341 1 10599 1776 1 7267 1610 1 7750 1730 1 15314 2353 1 12023 1736 5 14015 8137 1 16441 2798 1 8117 1482 1 6183 1727 4 7528 1662 1 8808 1739 1 13826 206 5 16167 206 3 5410 499 1 19732 1762 3 2004 1761 1 3360 7815 9 12970 262 1 14902 2302 1 15939 231 1 83 572 1 20202 232 1 11418 1643 7 9999 1083 1 18042 4411 1 11461 5446 1 9924 203 6 9497 1784 5 12928 3420 1 3934 2618 1 65 1048 1 18056 1991 1 3734 1339 1 6510 3587 2 3544 3827 1 4941 3432 2 633 7410 3 9628 7922 1 13724 1211 1 2917 865 1 748 3469 1 18191 4680 3 14095 930 1 3048 804 1 10385 6603 1 2479 1341 1 3131 1748 2 10105 1464 13 7188 347 1 3390 2435 1 727 2383 1 5911 3878 1 13165 6029 1 19995 5879 19 3934 6662 1 12755 199 1 18446 3250 1 13103 3228 26 9198 5234 2 12620 215 1 12241 4614 1 2166 5460 1 3375 1395 20 6853 1267 1 9468 244 7 16847 1313 1 17159 2645 1 14835 292 1 10283 1990 2 16189 916 1 17170 1770 1 17700 3097 3 6640 5513 1 10896 8040 1 8629 7880 1 18965 23 1 18762 23 5 18397 1757 1 15041 6091 3 2513 470 5 9310 1719 3 15165 7404 1 6848 864 1 5898 7719 9 838 1243 3 1585 2261 3 11307 518 1 7099 2675 1 39 2051 1 12400 5903 3 18404 6341 3 14430 2056 1 9731 3625 1 18706 207 5 17506 340 1 9167 3551 1 12760 1062 2 8427 1718 1 13708 46 1 6350 201 1 4933 2507 2 2732 3206 1 1682 3462 4 8391 3530 6 7832 2547 1 14972 1184 2 2605 2158 1 914 229 1 3683 1399 1 7699 223 1 2902 197 1 11020 3732 3 8072 201 2 13922 3338 2 14584 6278 30 14606 2004 1 6544 3911 1 10479 853 5 13075 230 4 1468 3422 1 1092 5098 1 5023 1383 2 13829 1760 8 16185 1296 1 14758 6320 1 14233 194 1 11981 1991 1 11952 3916 5 12121 207 11 19916 7719 1 13303 759 1 3146 6477 1 18560 7623 3 10632 6355 2 10606 4033 1 19134 1965 1 13461 214 3 31 1767 4 13423 7411 3 18272 3317 1 6305 510 11 11786 2363 1 20219 1363 1 15367 449 1 9835 7621 34 6839 1342 2 17432 470 2 15567 1646 1 6609 7125 1 1958 5408 1 15686 1760 12 8082 7725 1 12817 3845 2 56 2662 1 18919 2772 1 16881 8016 2 9751 4811 1 16857 173 2 12831 263 1 5370 4131 1 14376 6481 52 4488 247 2 9335 1770 3 6124 4501 1 17662 1718 2 5064 899 1 12918 7633 2 12682 3558 4 12837 805 1 15836 7588 4 4321 6900 1 9731 2557 1 9886 4290 1 1951 378 1 6435 501 1 10670 502 6 2379 23 19 18385 331 1 4678 524 30 9215 809 1 11786 167 2 343 6653 1 16649 2268 1 13936 1331 1 18276 1997 3 6111 1613 1 4199 1743 1 17578 912 8 17680 1342 1 9445 186 1 10107 6610 5 8435 3493 1 15367 3552 3 4076 235 3 13498 6682 3 14582 2497 1 17137 2815 1 7725 2399 1 9524 200 1 6813 7138 1 6749 804 1 2135 1775 1 2803 379 2 11581 7346 1 952 1328 1 701 8013 1 8539 1062 2 12540 962 1 13157 889 1 5681 1724 2 9275 7878 1 16806 910 2 7994 881 1 702 650 1 124 5531 1 9752 215 1 8368 5268 1 12064 197 1 16944 4245 3 10021 1250 1 1721 205 1 4503 232 4 7928 4391 2 7224 5018 1 15688 3081 1 15307 896 1 836 1916 3 12766 813 1 15499 4043 6 8620 2269 1 13382 1737 1 19993 5517 2 3089 1770 1 11367 7672 3 7388 4960 1 10730 1246 5 18921 2918 1 634 2068 4 2571 4303 7 1238 220 8 6995 2675 1 3468 7017 3 1567 215 52 5552 214 1 11058 1582 6 97 229 2 18040 763 8 787 792 2 6866 5108 5 5125 366 1 17884 8183 7 65 3145 4 11494 78 1 16018 3909 1 13919 5174 1 16859 188 2 18574 2840 1 17576 3911 3 9250 219 11 6325 5113 1 9279 502 1 3613 214 11 16500 2671 6 19649 73 1 7252 2000 1 12231 2384 6 3881 370 2 2899 7949 1 10766 6254 1 12308 2987 5 1469 4992 3 4109 1727 1 20085 1576 1 12422 2004 1 15771 518 3 80 3574 3 9519 2261 1 5148 1236 1 141 6487 2 13014 6209 6 13045 411 6 5582 3625 1 10587 3384 1 16274 1374 3 13779 148 1 13212 3556 1 8664 1686 10 15084 2555 1 4410 7045 1 16865 5999 4 19869 1703 1 11093 203 1 2219 3077 1 16491 3378 2 6135 536 1 13187 6022 1 7376 1884 1 16239 1774 2 11157 1038 1 13329 38 1 10723 5113 1 19649 1251 4 8925 2419 1 2004 205 2 2252 6031 2 4768 4306 1 4130 2726 1 141 2076 2 3436 498 1 2385 4572 4 8631 4592 2 12592 223 1 11981 1150 1 1 44 1 6776 1898 6 9250 5952 4 11827 2141 5 17142 7259 2 5141 7450 2 20019 1871 35 16192 1730 1 8321 724 1 1344 2419 1 19857 360 1 11270 453 1 12496 1070 1 15502 23 4 15025 2366 1 520 2488 25 1962 1267 1 1459 7907 1 13071 5269 1 6265 976 2 16510 533 5 1884 2698 10 5336 4379 2 11598 857 1 8311 536 1 18879 1245 5 11231 4680 1 14691 1781 1 1870 1615 1 8444 153 2 6664 2478 1 479 1714 2 3919 7073 1 4385 2297 5 5959 229 1 4375 4448 2 2529 5306 21 13055 1436 2 5671 1256 5 18634 5082 1 6801 937 7 7994 651 1 9700 7677 1 2432 7450 1 18096 2184 1 20273 7807 4 8969 367 2 205 5011 1 18610 4814 1 16939 2356 1 8641 931 1 10821 791 2 7701 6106 2 16503 225 1 18876 8238 1 18667 244 2 659 203 6 1674 2675 1 13649 186 1 8114 2876 1 11574 2673 2 7395 4403 1 18462 796 2 8897 7259 1 14059 1172 1 143 6650 1 9600 23 1 11717 7231 1 10825 2255 1 4691 223 1 5099 5356 19 15357 1917 2 681 3707 1 18631 5222 1 868 2027 7 1593 5546 1 14629 385 1 10290 1728 1 130 691 1 13731 5951 1 1127 1751 2 13453 1146 9 3199 3155 1 6723 4132 2 9586 7234 4 12022 6288 1 9986 845 2 2008 2131 1 12988 3081 3 15498 203 1 3754 3689 2 18536 800 1 4632 6026 1 1518 3696 6 10233 1344 2 8757 6665 1 5304 1755 2 16123 1721 1 12638 861 1 17846 22 1 16996 3146 1 12346 222 1 18886 4549 4 4734 5271 1 8090 1235 2 18111 1776 1 12391 3840 4 15426 1730 1 3826 407 12 19289 156 1 3947 1450 1 15156 3760 3 14376 6031 4 4329 8167 7 12812 520 1 8137 1724 1 18037 7806 5 1312 880 2 17838 5036 9 1706 2877 1 14345 7412 1 9333 6111 6 16557 1482 2 12757 5995 2 7555 3900 2 8614 2880 3 9744 1917 1 1002 13 1 17151 3972 1 14778 2363 1 91 4074 1 8109 3890 2 7010 5279 1 8913 2147 1 14836 638 1 19178 6330 1 19874 470 5 1609 1340 1 17505 6826 2 19774 5434 1 12152 519 3 17712 2686 3 13009 2691 5 10692 962 3 16166 609 5 12988 5543 1 13909 5549 1 5416 6139 2 1143 2138 12 4524 3333 5 8826 1304 2 592 4231 1 9808 498 4 9840 5388 1 11786 4867 1 7261 229 9 4870 1249 8 13636 193 1 5773 6469 4 15364 2768 1 9978 1150 5 5866 6383 2 13905 1932 1 7725 2019 1 17870 221 3 7432 164 2 9999 844 1 6533 3224 1 8614 2344 2 9250 762 1 9479 7719 3 17476 1819 1 15936 5986 3 9523 2316 2 1414 411 4 18226 1769 1 6990 1037 1 13027 2514 1 9815 304 3 10534 3167 3 11040 4667 1 10360 1265 1 13731 5864 1 404 3421 1 6673 200 1 16090 2562 4 1801 5879 6 11145 1721 3 2917 2517 1 14960 946 1 5137 1707 3 1997 221 1 1968 1736 1 140 6476 1 2902 532 1 387 7749 1 13010 5264 9 14147 2528 1 3277 510 3 8281 1784 2 17094 4614 2 13910 7237 2 6926 2505 2 525 2065 1 9507 1446 1 14024 1762 1 14685 1780 1 10360 3997 1 1607 1184 2 9463 1911 5 15896 1312 1 19924 8178 2 2725 6756 5 10347 7850 1 15462 1776 1 16622 1632 1 16288 6546 7 19234 23 3 115 5178 1 6634 4351 1 4054 1778 2 1847 8170 1 6752 837 1 15937 1748 16 13469 5600 1 18054 4663 2 2689 201 11 13478 6325 2 828 196 3 3118 2809 2 19602 6088 1 10520 1644 1 10219 888 1 12064 1829 6 15652 173 1 5335 6341 3 15436 2354 9 19759 7210 1 817 911 1 5117 674 1 14745 200 1 4397 2502 3 7575 1342 1 13076 1548 1 18178 4448 1 8255 1703 1 11562 6251 1 15107 493 1 8924 505 1 10694 1752 1 1472 5408 3 357 6688 1 6152 597 1 14806 232 1 17920 1470 1 13 581 11 19955 1062 3 16922 449 4 17522 7542 5 16816 5497 1 11208 2606 1 16923 1829 4 12550 2332 4 2682 1819 1 8878 232 2 13402 4427 1 3704 1778 6 2882 1967 1 6259 840 10 19094 1184 1 17252 3570 1 7363 2505 1 5827 363 1 7495 6900 1 553 1727 1 3602 167 1 10268 518 1 17437 3204 1 9737 417 2 14412 931 1 11931 3333 1 7882 1374 2 4023 2511 2 16192 5324 1 7851 2020 8 9429 1781 3 2884 2360 2 9628 877 1 17331 5408 1 6811 155 1 4279 1053 1 1593 292 17 151 1251 2 4223 1721 2 11556 194 2 7916 1309 3 2362 5594 1 19331 214 2 7220 3333 1 13926 7136 3 4581 520 1 12937 168 1 10590 3400 1 17662 1752 3 19140 231 4 7363 545 1 14212 2369 1 3581 262 6 17764 203 9 64 3071 2 15306 201 1 5738 5737 3 20209 23 2 10777 792 5 5144 2226 1 4170 5051 1 129 203 20 3524 382 2 20145 533 1 10902 509 10 13948 3083 2 9891 1715 1 135 6114 2 5185 5253 6 11465 1338 8 4615 3684 1 14522 1772 1 10156 4383 3 18551 3953 4 16308 3262 1 9110 7857 1 9095 1727 1 4371 3370 1 5431 6758 2 8637 3426 1 10090 89 1 13728 219 1 7640 1736 1 4785 23 8 2891 2358 1 19855 1739 7 11293 2027 1 711 2265 2 3191 7511 1 14826 705 1 14862 1658 1 8255 3888 1 16302 4612 1 17335 1604 1 13052 5245 12 13132 186 1 17925 5018 24 19597 6154 1 17039 2384 1 4036 7271 1 13114 3333 1 2939 553 2 16491 3945 1 2643 6609 1 13985 1025 1 15807 6949 1 10584 7229 2 2795 2353 1 18149 1296 1 18320 826 1 8337 967 1 16130 7533 2 4301 861 2 8778 518 1 10147 5016 2 14618 201 1 11042 1010 2 7165 1659 2 14170 5573 5 4181 7512 2 12041 753 3 6332 640 3 9816 1019 1 13867 6702 3 12817 1761 1 10065 1234 1 14087 4394 1 9911 13 1 10816 1635 1 11238 7013 1 9713 1737 2 6189 554 1 17505 166 1 9351 219 1 8997 6120 1 4197 8126 1 4089 7911 1 12051 6152 2 11354 1275 2 2850 785 1 13721 6549 1 4755 1991 2 12257 4363 8 6371 260 1 15202 2899 1 11333 1250 4 16727 534 17 13645 1825 1 11663 265 5 948 502 1 1461 3733 2 15929 3213 1 6009 3653 1 17678 1548 5 6590 1743 1 1625 61 1 1161 2675 11 6582 5525 1 6459 7815 4 153 6972 1 7682 808 1 18101 3408 1 19034 1296 5 15763 6220 1 16956 2955 1 11550 1450 9 8878 2552 1 296 1302 3 18058 1909 1 11061 1779 2 11882 7112 1 6687 3552 1 630 6504 1 19901 222 2 8006 2737 4 15144 4258 15 8191 3230 1 5652 1416 2 12885 6322 2 61 2762 1 1969 883 1 17550 8195 2 5336 6355 3 11377 4979 1 4812 207 4 9043 837 1 11430 3233 1 11674 1482 2 14095 780 1 5344 6329 1 18140 506 11 2479 6204 5 13134 6662 1 3127 201 5 8721 7227 2 10337 4807 3 7056 3227 1 14229 1710 1 1 19 1 920 1747 2 13543 5333 1 4009 1677 1 15826 7995 4 19776 3233 5 18675 190 1 2529 933 2 1963 2097 1 6751 2261 2 10791 1663 1 17500 1727 10 9304 8167 2 18795 5105 1 11468 5374 1 17 1160 1 1132 2749 2 1727 5018 11 14434 4929 1 3168 6214 5 9354 4498 5 2815 7388 1 18535 334 1 11262 411 1 15084 1363 6 16021 1453 2 7390 615 1 6519 3592 1 4815 5356 2 2081 1781 5 19010 4661 2 16860 947 2 2204 476 1 4492 3333 1 4570 4380 2 11744 2575 1 11402 23 3 8438 936 1 610 1164 1 17910 223 1 5453 545 28 15996 1756 1 11336 5520 1 340 3786 5 2303 206 2 9023 4686 1 16675 560 1 15980 5016 2 11855 3135 1 4165 4199 2 5876 1731 1 548 625 1 8028 5612 2 4981 215 1 8336 1649 15 13343 1623 3 17331 809 1 19382 1740 1 690 698 1 18717 7128 1 3759 7308 1 2473 737 1 17508 201 11 13461 1705 3 126 2891 1 16496 232 1 6950 233 2 16008 2649 1 5053 3612 1 18933 4435 1 19857 2071 1 17738 202 1 13999 7491 1 15211 3858 1 382 359 1 18493 2867 2 1513 4351 1 3668 2228 1 1464 7502 1 5390 7427 1 1703 2443 3 12725 3583 1 824 7597 6 1552 5506 3 4072 3813 1 13561 505 2 1439 276 1 2387 1760 4 80 3578 1 13615 5018 1 19392 3991 1 9168 1658 1 17172 4242 5 4049 4140 1 2998 947 5 15453 1990 2 95 4380 1 16445 1770 2 10290 1748 1 1016 1119 1 8270 215 5 18879 186 10 4449 4321 1 14208 2671 2 13367 4333 2 19939 3693 1 3516 2009 2 12327 5627 15 52 2546 1 12766 869 1 16276 7461 4 10565 5928 1 12457 964 1 16725 5603 1 439 498 1 340 5294 1 4330 339 1 15128 1995 11 6107 225 6 14010 6032 1 19478 6647 1 8319 7965 2 1513 1264 1 1863 6395 2 4915 3732 1 8313 651 2 18483 141 5 8926 253 1 4444 885 1 20248 1770 1 4068 1239 1 10730 1825 1 4716 519 2 334 589 9 2731 1170 1 14147 1146 4 12682 156 11 3146 3233 1 7032 1703 1 20262 221 1 6690 1756 1 133 6084 1 3146 6332 1 8946 787 1 17700 4949 2 9907 533 1 9463 7210 1 11556 1755 1 13417 3262 2 19136 1742 1 153 7116 1 8932 2691 1 3516 6484 7 6698 6538 1 3017 833 1 5455 5036 1 19568 863 1 17953 381 1 8152 1707 3 19331 867 6 12922 4022 1 13028 3412 1 11267 4245 25 11976 200 5 15096 7719 4 4328 3230 1 13631 8192 3 16636 1304 2 11320 1996 2 10610 960 1 6471 900 1 18089 519 1 9945 3635 1 2980 381 2 10297 220 1 11656 4077 1 6710 206 1 18122 34 1 11901 3612 1 9660 6285 2 14233 2555 2 807 235 1 16690 5787 1 941 4242 1 15753 2155 2 11562 6908 1 11861 6276 2 613 883 1 13859 7626 1 745 1395 1 14706 2584 1 16739 1450 1 19820 2130 6 7964 1748 1 16860 2363 1 3915 1250 1 7745 219 2 2222 203 1 15629 794 1 174 7933 3 3536 2139 3 17354 1249 3 18508 2409 1 4930 173 1 4921 512 2 18461 4074 1 5377 215 1 9543 4246 1 5548 4013 3 18876 744 2 10730 3228 3 8967 6080 1 604 428 4 18071 687 1 1465 4085 1 16688 43 1 4524 6152 2 13383 1431 1 18237 1695 12 11562 6320 3 873 749 1 5758 214 16 1702 1424 1 9187 3023 1 10695 1704 9 2828 2555 2 2128 4505 5 3008 1339 1 3673 1443 1 15164 2938 1 6431 1768 6 13615 411 1 8320 3285 1 15107 223 11 10670 398 1 2885 1768 4 10393 1147 1 13698 800 1 13881 4041 1 9949 1990 5 17393 719 1 11827 308 2 4337 3024 1 16728 200 1 1495 235 2 9564 2428 1 5213 1752 3 10422 1034 4 19626 1985 2 5475 411 1 13084 2262 1 1464 6343 2 153 2722 1 5387 374 16 12231 2550 2 19974 4622 1 18014 967 1 12763 221 2 17 1071 1 9831 472 5 10553 3973 1 7252 4231 1 13341 6507 1 17405 5495 1 6719 5228 2 11786 2020 3 9463 5739 1 19528 2675 1 183 7474 2 11773 7101 1 9765 1359 3 11786 1911 5 15785 893 1 980 4992 2 9732 840 1 7198 5584 1 6173 7562 1 3593 2959 3 7535 6031 7 194 2831 1 18357 1909 1 5281 2353 1 11069 171 3 15229 1295 1 5668 5325 2 9442 853 1 17746 307 1 17833 367 2 4311 6754 7 8230 336 1 8890 6035 1 6776 1632 4 9713 3515 3 10000 5312 2 188 1356 1 11860 2251 1 50 2497 1 10599 200 9 698 1715 1 8369 2353 1 20173 5820 1 14722 5905 1 9341 207 10 2995 1444 1 6249 537 1 4268 1700 36 18520 6185 5 14079 1721 4 9638 2735 2 2204 482 1 6457 1732 2 17058 3807 1 8135 1654 1 16647 5467 1 13304 89 1 16764 508 1 66 3202 1 5589 214 1 12043 1356 3 2480 1768 2 17616 675 1 13160 2605 2 6544 411 11 19960 1342 14 18821 467 1 5421 3774 1 1866 7598 2 3797 6080 3 11683 867 1 16374 3159 1 1499 912 5 17298 7466 2 2294 197 1 12619 6083 5 745 1770 1 19865 5496 1 10850 2385 2 5769 5561 1 13160 2019 1 17382 2080 1 700 222 1 11409 6371 1 8925 8146 6 12322 196 3 16891 1237 2 16474 6190 6 4787 5905 11 13076 1768 1 11025 3029 1 18431 6159 1 6229 507 1 15383 347 19 2896 1731 1 13477 3626 1 12541 1334 1 18508 4277 1 5453 1756 12 13606 3447 1 19396 6557 1 5176 6754 1 11908 222 11 62 1700 1 16370 1399 3 5216 2974 9 19380 1255 2 10452 561 1 8394 2489 1 11 480 2 18447 1775 2 3686 8141 7 4072 7517 5 7795 4075 1 16674 1137 1 19145 1661 1 1816 2007 1 16984 5293 1 19630 6150 1 10468 3824 1 3247 7815 3 6420 413 1 2672 577 4 18922 167 1 11105 4918 1 19817 6663 3 13705 6192 2 8157 2897 2 6642 2416 1 7336 2729 8 5792 194 1 2094 2600 1 9224 873 1 11297 1827 1 9275 4570 2 9744 2096 2 3118 5270 1 2040 200 2 16137 6868 2 95 1916 1 2851 509 34 3150 1236 1 787 1721 2 5785 201 1 7681 4621 5 6520 1724 1 3181 3393 2 3124 2385 1 14051 2949 7 83 3857 1 1096 5998 1 13508 810 1 5282 4210 1 17578 911 4 13928 891 3 7699 6150 4 12592 1251 8 12665 4325 1 60 545 1 10575 741 1 2526 3216 3 3505 4065 1 8425 1722 6 15046 6139 1 13762 1997 1 7751 6190 1 54 2628 1 18589 4998 24 9842 4796 1 7769 670 1 15698 1729 2 2204 2118 1 14957 2895 1 11145 1453 1 8572 230 3 5772 6101 1 12864 1897 1 16568 2653 3 7723 2357 4 18237 506 1 17788 371 1 18666 2424 1 8918 215 1 19649 1710 2 7986 5256 2 8458 5018 5 6479 957 2 137 6288 2 18861 1757 1 4877 805 1 1773 2863 5 16237 898 2 3332 2600 1 9998 2443 1 20058 7077 1 15648 1703 1 5989 5097 1 9599 6278 1 12991 1582 9 14151 7556 1 19286 329 1 160 7296 1 20077 1675 3 6220 1363 2 17331 1244 2 4722 2481 7 3331 229 9 14301 3697 18 11375 3679 1 16889 627 1 10252 1658 1 4528 545 1 17184 703 1 601 3012 13 14211 3167 5 2716 3442 1 12954 2671 1 5724 3756 1 17442 519 8 16020 1717 24 1079 2351 1 11585 2356 4 11838 203 4 16137 7998 3 11937 5787 1 15394 1407 1 4498 8071 1 6833 216 1 7933 173 2 14908 609 9 8394 668 1 18085 1219 2 12592 7347 1 8001 4917 1 1125 1312 1 19287 4724 1 690 1877 3 943 3365 2 10859 1437 7 19070 3236 1 8588 2841 1 7738 1726 3 4784 3684 11 766 1747 2 14682 5583 1 3 129 1 3613 23 13 19594 171 2 734 6158 1 12935 3448 6 3765 4992 4 18538 5294 1 9826 1705 2 13244 4673 3 10856 2650 1 16154 3540 1 7635 3311 1 812 1241 5 9398 2015 4 6697 1464 1 1706 6434 1 7065 365 1 10585 937 3 18420 1727 1 14968 1661 1 18807 682 1 15318 203 2 19458 918 1 2836 484 1 301 203 1 7259 6436 4 7183 4967 5 1178 1699 1 12279 214 1 4507 2555 1 19056 4998 1 8610 1707 1 631 4773 1 1229 1788 3 18574 1271 1 4094 1781 8 10000 5905 1 3701 890 1 11458 7611 3 858 7099 1 1005 1407 5 8798 2917 1 17003 4461 6 458 501 1 4658 1747 2 16124 7003 1 3833 1356 5 279 6139 8 17911 825 2 12375 318 1 15712 2721 5 16662 1825 2 15532 3176 2 4840 4024 1 4498 1664 1 10416 496 2 9534 223 1 2319 642 1 1251 4013 2 18482 168 1 18634 3352 1 11591 148 1 13601 2789 1 4428 6065 6 18684 2831 4 15787 5968 1 1007 5252 2 19604 242 1 3349 221 1 13400 1450 12 8693 5559 1 13826 8139 6 14400 2678 5 14733 205 2 14318 1994 1 824 7884 2 19287 2367 1 19346 6481 2 11279 3906 1 18716 3305 7 3916 3642 1 7681 7189 1 16873 3556 1 9017 7670 2 16961 6256 1 382 4377 1 1647 7182 3 7757 4436 2 7619 1717 3 11006 169 1 4665 7946 2 4501 4107 3 14112 5004 5 9854 162 1 2071 4246 1 11629 4245 6 3976 4389 2 10502 4609 1 4055 4505 1 19644 3511 1 20171 724 1 873 1190 2 18748 3512 1 16346 442 3 12163 221 12 19101 417 1 8924 214 1 17647 370 1 4262 349 1 17734 867 2 1214 4591 1 8447 2460 2 19955 173 4 9580 4245 5 9166 3918 1 14601 1742 4 8185 353 1 5144 4760 1 9188 596 1 12659 1819 1 13743 5506 2 18214 1824 2 8884 1757 3 7034 2663 1 19504 8200 1 17019 235 1 13183 4595 3 15497 1277 2 17843 2964 5 8975 215 15 7906 8173 1 12620 1244 1 58 2698 1 9295 1717 2 1786 4996 3 7322 638 1 4236 5414 1 17418 2881 1 16543 1284 2 19896 7090 1 12597 6683 8 17586 2678 1 13788 875 2 3516 2990 1 3358 7005 1 4665 3634 3 5879 1757 18 378 6721 1 5612 1249 2 16199 244 2 13623 871 1 7880 631 1 11480 2534 10 15471 670 1 4313 3175 2 5053 252 1 4614 5343 1 172 7844 1 7656 2556 2 6095 385 3 5537 6140 1 18304 505 2 5977 964 1 4313 7215 1 12493 6527 1 7859 3275 5 9038 7474 3 10145 3851 1 18546 1359 1 11766 1424 1 11366 1705 6 8368 719 1 11502 1235 1 8082 34 1 64 184 3 2297 6777 3 2217 5251 1 11220 3024 1 6070 5485 1 3593 6005 4 8542 221 1 18096 1762 1 15863 190 1 12882 5690 1 7405 6682 3 17775 1297 1 3654 35 1 171 7636 1 13938 2100 7 19271 7915 10 17083 745 1 9910 1247 1 19117 4448 1 142 1129 1 20255 8185 1 8088 1699 1 12959 207 8 1361 6956 6 4615 1369 1 8309 3333 4 608 1756 1 10311 148 3 5957 411 1 10539 506 1 15854 2817 2 1637 6088 1 13126 4207 1 10913 4105 1 4170 1239 2 18462 588 1 15053 3625 1 2310 2497 5 17606 2680 1 16521 8011 1 13864 261 2 83 2946 1 7603 2144 2 7884 4716 1 8120 235 2 16348 233 2 8391 1819 1 16857 84 2 14049 6242 4 17811 496 2 2744 659 1 11264 6402 1 10543 803 2 7780 3512 1 9714 460 1 17747 6341 3 19030 2076 1 19730 891 1 2868 7254 2 11305 2262 4 15926 3275 2 4136 7621 1 13521 2257 1 19368 1103 1 11456 1990 2 8399 4387 1 2795 175 4 6934 6383 2 12322 2676 1 12453 2668 2 16346 6500 5 4627 2563 1 7978 5696 1 7029 1395 7 834 221 8 17887 7601 2 5264 3059 13 2462 6475 4 16539 6716 11 14343 6899 1 14778 514 4 16150 7127 1 8585 3604 1 9215 2636 6 153 7102 1 592 668 1 19380 4314 3 9172 719 1 1663 1369 7 20090 1267 1 2101 5505 3 6228 814 1 6332 776 1 11342 3920 1 15619 177 2 16136 8029 1 12040 212 3 121 829 1 4372 718 1 314 1237 1 6642 1239 1 9445 2673 1 12665 4312 1 68 3249 1 5301 2333 1 18281 232 1 14734 227 1 11111 222 1 2488 1464 6 1988 1464 2 12537 2885 11 3805 4589 31 7331 6414 2 8690 3453 1 11591 4033 1 861 548 1 9465 1508 1 5564 5003 1 99 262 1 17700 207 35 2197 1721 11 5370 3336 3 8462 206 1 12530 57 1 19855 867 1 6880 1991 1 14421 1695 1 10580 3601 1 18281 236 1 15551 520 1 2813 4499 1 4256 883 30 15686 4774 1 5710 6460 2 9927 1858 4 15411 536 1 7838 650 1 1320 200 1 17380 1752 1 83 3378 2 16579 1 1 11919 2020 1 10818 1245 1 649 3135 1 4137 4073 1 13733 411 6 17886 318 1 14114 7670 1 19748 7689 1 13417 934 1 14015 2372 1 17120 2686 1 3939 5278 1 7203 2184 1 3397 573 1 15272 2727 1 10123 3284 1 14773 1164 1 11558 1707 1 5601 3323 3 12541 1275 3 12740 498 2 6479 3974 1 19222 518 9 18667 214 2 1866 1692 1 12583 5814 1 12738 6599 1 18883 5289 1 12534 175 7 3505 5844 1 19178 364 1 3892 3556 1 15046 2004 1 11595 2949 1 6718 1788 2 5977 1242 1 15888 4501 14 13961 964 1 6471 2376 1 7560 4476 1 17454 3456 1 18876 558 1 97 525 1 19611 3511 74 10404 3009 9 17132 525 1 8906 6268 1 10123 5381 3 11647 223 1 18824 7570 1 17572 6615 2 5132 207 3 14553 6680 2 10663 7915 4 15937 2362 5 19111 2594 1 13349 4521 12 3434 5153 2 8946 270 1 17778 1295 1 6776 235 5 8327 5905 1 2739 1908 1 2313 624 1 16424 6108 1 11860 4807 2 15894 2555 5 1712 1277 1 8883 4981 1 18633 2392 2 20248 6865 1 10779 7624 1 1288 3492 1 1752 2814 5 4898 206 2 8597 3671 3 17559 501 2 13619 3511 5 8332 3086 8 15208 175 1 10875 5486 1 4329 519 3 19957 4500 2 8746 4075 10 171 7830 6 17397 5663 1 16468 1363 2 15804 1825 5 835 1772 6 1677 4202 2 13699 185 1 5549 2647 2 9278 698 5 7774 1737 2 13829 2354 2 1542 2662 2 4032 1322 1 7518 200 4 8620 863 1 12487 3059 4 8576 3775 1 11192 2486 1 5185 2968 1 16625 470 1 9199 1814 1 11131 6793 1 4785 201 2 770 6744 2 5963 2443 8 8129 1508 1 19428 3798 1 10078 1573 3 12147 200 18 12136 5206 1 7498 306 1 6164 5558 2 6628 5645 2 16266 1250 1 16725 2043 3 13866 2662 6 14060 6484 1 17251 3197 3 15227 201 1 5936 4780 2 413 5078 2 7868 3928 1 13857 2071 1 17521 1772 1 7184 1730 1 16016 5320 4 12298 1825 2 14427 825 1 6995 3380 1 12345 876 6 127 5752 1 14233 1772 2 12693 4293 1 17393 1757 2 14658 504 9 15352 1238 1 18968 230 1 11898 3605 1 16851 8095 2 5681 519 11 143 1745 1 17174 3167 1 5744 6125 2 2064 5515 1 20 952 1 1907 4653 1 19708 234 6 96 206 1 1866 2559 10 2724 4157 2 19648 2009 1 3841 1110 2 11107 7530 1 5356 1277 5 14358 1914 2 14948 7642 3 5636 1981 25 522 215 1 11900 1416 9 1472 1772 1 5148 1235 1 17681 1732 3 9195 2691 1 1645 7254 1 18011 6435 1 153 6982 1 12333 498 4 9017 1304 1 14795 1712 1 13226 1717 12 13126 3540 1 5157 206 1 12528 1374 1 2385 353 1 14546 222 7 11320 902 1 5543 867 1 19458 141 6 2020 2656 1 3066 314 1 19217 235 1 873 5763 2 1801 890 1 3307 1395 1 9168 525 1 15262 1159 8 6158 7146 4 1454 4709 3 1801 4277 1 8668 272 24 9993 3571 1 11971 1734 1 4437 222 3 13332 215 4 9689 718 2 2886 588 1 16671 5883 6 11446 2746 1 6713 5487 2 17487 3798 1 12054 1288 5 1836 246 1 4498 1548 1 12103 5064 3 5007 3625 1 3521 5659 1 16860 7846 1 11456 201 5 9758 7604 1 8451 794 6 2866 1772 25 14669 2552 1 6993 5306 1 7605 4220 1 12954 203 8 18530 1253 1 15509 219 1 9987 173 1 11180 2352 2 8974 203 11 6332 584 1 7056 1775 2 3485 1740 1 1522 1758 1 2576 1698 2 14698 6673 1 3089 4827 4 7224 3128 3 314 7244 1 15788 3230 4 18207 3399 1 10849 2415 1 1608 7701 1 9195 4013 1 1609 5551 1 4525 6602 6 10338 1724 2 12267 1734 1 9429 3671 1 11852 207 3 60 2732 1 13821 3482 2 13492 1789 1 6010 2260 1 3004 3602 1 15666 7719 1 7910 1788 2 18127 6217 1 11736 292 3 14018 1482 1 4829 518 1 7812 3943 13 5695 1638 1 8209 2580 1 17738 4192 1 10236 8036 3 5317 536 8 15471 5252 11 9693 2013 7 18498 1118 1 9492 1784 3 9566 939 2 15648 1248 1 12633 1965 1 13420 5737 1 124 5554 1 19263 4389 1 17687 1757 9 5916 1294 1 10550 219 4 113 5081 1 17908 1996 1 7619 381 1 14318 955 2 1631 1825 1 1517 564 1 16827 534 1 2232 4916 7 20090 5940 1 599 1508 3 9945 6276 2 138 3939 1 15782 2966 1 18845 2699 4 14330 8192 9 16133 4755 7 18263 3905 1 13711 4918 2 10689 200 2 16043 214 1 7879 73 2 916 7051 1 1818 1374 1 12594 5340 2 12987 1783 7 3975 8002 5 10361 5767 1 19030 1796 1 18517 244 1 13993 5768 1 9577 1707 1 18821 1280 2 1741 5097 2 15826 215 4 9245 1374 1 10345 1772 1 3121 1251 94 8735 220 3 6650 2720 1 17436 868 4 7823 2127 2 9150 3573 1 2529 577 5 2616 895 1 17003 5253 1 18781 634 2 8846 3916 2 17473 1705 4 4762 4686 1 11938 198 1 5666 579 1 2772 5766 5 109 4979 1 1262 196 1 18425 470 3 3826 2494 1 18886 5909 1 19996 2922 1 1008 759 1 7449 3063 2 17680 2640 3 17078 1819 2 10698 849 1 18207 3391 1 8484 3596 1 4697 1752 1 15893 2675 2 3723 7489 1 11106 2632 1 8613 1595 1 4262 6209 1 19947 3314 2 18262 4403 1 20 512 1 7931 6434 8 15098 81 3 12913 3349 1 1638 8183 85 7065 3399 1 17242 6484 2 17245 3909 5 16574 1356 1 11241 508 9 10414 5517 8 17279 667 1 7701 198 1 19486 4500 1 6697 1698 2 17141 2676 3 4389 184 1 1722 3446 2 620 1740 1 4776 1366 2 7019 3172 1 5304 1357 1 9383 3906 6 15214 918 1 11912 4009 1 12789 889 1 20182 379 1 13244 4680 2 18258 3576 6 2338 2639 2 14244 4592 1 45 2348 1 12205 2248 4 2966 4501 5 3217 57 18 11617 3358 1 3915 777 1 15834 3283 1 17958 1711 5 11629 1278 1 3418 5690 1 3887 5408 2 625 3842 5 17544 207 1 11515 1724 1 3430 8200 1 7286 1730 1 9907 196 1 7580 219 3 17843 4695 1 10948 2167 1 1202 6165 1 13199 1356 2 19322 132 1 13676 65 1 3803 218 1 10973 1760 6 16612 553 1 5659 7915 1 10146 4009 1 18103 7850 1 12740 200 11 2823 4572 3 12675 6442 1 3059 2930 4 2088 7392 1 11591 2541 2 2666 2673 1 12532 6487 15 10361 220 3 6556 3888 2 16241 1240 1 5952 1407 2 15031 1267 2 15026 3578 1 6410 5775 1 3425 2671 3 15329 3824 1 7390 669 1 1065 5559 15 7834 3884 2 7334 2820 1 19718 508 12 17120 197 1 8509 2184 1 9521 1151 1 6183 2683 2 4632 6135 1 18705 1235 1 1708 1946 1 17799 7761 1 13557 3132 3 3211 1293 1 10850 215 1 10118 7799 1 3432 3536 2 16970 2768 2 8391 3634 8 20256 7658 1 20 232 2 5756 4023 1 16150 1782 1 14161 5408 1 14522 561 1 8537 2721 1 113 5079 2 1839 6993 1 10644 2261 1 9660 7425 1 3005 789 3 3815 3378 1 15993 887 1 13180 2730 9 14246 2096 1 8690 6600 1 12614 2935 5 10766 207 1 229 214 3 10313 407 3 1397 1595 3 8982 221 2 6853 5769 1 17114 7953 1 17634 1756 2 17088 1705 2 1235 509 9 13874 4427 2 14755 6571 4 8005 3980 1 8939 4754 2 4368 1881 3 11900 292 6 16891 219 6 19091 4013 1 12870 6662 6 2055 3222 1 1088 1748 5 13199 1741 6 11622 440 2 8739 3059 3 5156 1756 1 14275 496 1 13097 502 1 19193 2013 1 16533 1658 2 6183 541 3 16236 292 1 10835 201 69 14284 615 1 3941 5097 1 11678 2246 8 14509 1246 5 717 235 1 3695 274 3 16777 2555 2 2172 4245 1 18309 2352 1 2274 1990 1 7028 3411 1 3427 5730 1 3874 6441 1 8616 3138 1 15753 1909 2 17084 325 1 7148 7350 4 13896 3212 9 13797 2699 1 13827 541 1 9019 5996 10 15235 2534 1 11588 1751 1 7878 6570 1 16388 4785 1 19147 6793 1 12322 1242 3 16548 3841 1 13107 13 1 15834 3276 1 3699 220 1 9576 1812 1 3810 1772 1 14161 5027 10 95 4360 1 3178 4204 3 2571 4333 6 17047 2931 2 7046 8183 5 18189 237 5 2886 3387 1 18097 7275 1 13734 844 1 4763 229 4 17406 361 1 12858 6268 9 4620 1466 17 16588 2373 1 3075 214 2 16095 4707 5 8709 3422 1 12828 1981 3 11200 1736 1 12133 1246 2 1514 6278 1 14512 7098 1 3801 976 2 13939 3605 8 10456 2737 4 18287 1727 1 17773 4708 1 7034 36 1 19914 1168 1 19727 1146 1 5977 1771 1 19454 235 1 17977 6341 13 665 1244 5 14011 5095 1 16943 525 2 13881 3371 1 12104 4351 1 10340 2256 3 3728 4366 1 16730 1146 1 5 150 2 6140 4435 9 15683 1035 1 10146 6622 1 11617 3378 5 19727 4622 2 10999 3278 1 19167 517 1 333 5403 1 2419 3686 18 18795 4949 1 11122 870 4 17588 7958 4 19425 4555 1 1327 1105 8 9755 5686 1 15530 8191 3 2337 1909 1 16968 6207 11 4577 3421 1 6414 3556 4 4105 931 1 5025 1704 2 7096 200 2 19793 3758 1 5066 6533 1 6834 1973 11 1459 4949 1 19573 4056 3 5950 3556 1 19656 2676 5 11491 1781 1 12580 508 2 13674 6949 1 18358 1453 1 725 186 1 3504 6576 2 9883 687 1 81 3665 1 14289 4481 1 14970 329 1 3081 4069 2 7245 4315 2 16500 207 1 6485 4554 2 340 1032 1 17995 3063 6 127 5735 1 18909 1334 1 7123 7602 1 17324 585 2 11070 4383 1 13768 7332 3 15643 5700 1 8117 7531 1 15144 228 13 1570 863 1 13809 3175 1 17169 8145 1 18812 533 30 7147 1182 2 4534 1434 2 14114 712 1 10699 411 25 5342 6346 1 38 1421 3 11780 201 9 6191 759 1 2732 1691 2 6967 188 1 256 6480 5 710 3764 2 7273 4882 1 5022 452 12 11158 214 3 4739 1770 1 17471 867 1 18498 6690 1 15599 1283 1 20162 561 1 9141 5922 7 1518 4261 1 11475 4345 5 1312 6021 1 16824 2678 9 17585 2407 1 19651 1770 3 17328 2404 5 6387 4404 1 9574 221 16 16696 13 1 15769 3208 3 8683 845 1 9093 4977 1 4045 1357 1 13084 506 2 4538 1707 7 13560 4621 5 14147 1724 4 16577 244 11 3111 3021 4 5337 1146 1 2274 7643 1 16257 5341 1 15762 1444 1 7713 2748 2 1695 203 1 19883 1282 1 2228 2010 1 19272 1720 1 3505 74 3 4186 3135 13 9483 4944 1 1302 4103 2 17781 6152 1 12807 46 19 14590 2565 1 13084 1734 1 2152 4622 4 7187 1772 8 8355 5905 70 18918 6245 4 19438 518 1 8604 1247 9 12751 2056 6 3906 188 4 15511 215 1 14964 11 1 1361 3352 2 10325 912 2 16624 7994 1 891 2938 1 9208 2291 1 12489 5518 3 712 229 1 10422 3366 1 14350 910 1 9779 1573 1 1216 4065 1 9404 525 4 17442 3554 3 121 5286 1 11020 7878 2 11386 857 1 18080 1757 1 5146 220 1 4688 642 3 17449 1768 1 19846 1743 1 11820 2407 1 1646 1235 10 18617 5670 2 11026 1295 1 1171 6342 1 19336 4568 1 11687 7216 3 17210 3275 2 2565 4060 5 15849 1772 1 565 499 1 7452 892 2 10391 417 1 4496 1745 2 17409 1739 15 10245 2180 1 11981 1175 18 7641 864 2 8198 637 19 11294 7511 2 7320 1302 1 10581 3331 7 18049 965 3 1784 203 1 968 506 11 9699 1352 1 19850 229 1 4009 7466 7 11622 528 1 4940 1407 3 17508 514 5 2824 2657 1 15874 6993 1 12633 1698 1 11388 2354 5 13205 3324 1 8469 7919 1 19021 5636 1 7827 2193 1 143 6633 1 11377 988 5 17049 1781 1 20069 225 1 18665 2555 1 10078 516 1 7042 6645 1 14043 4610 1 4632 871 5 3705 3536 5 18296 2351 1 13 766 3 3482 5008 1 11863 2548 1 3437 7498 3 20208 3633 1 3134 6186 1 4691 4963 3 6171 510 1 12337 3081 5 5337 864 1 18303 4986 1 16604 184 1 10847 727 1 18576 3491 1 13794 3625 1 9523 759 7 19145 13 1 617 6229 1 4941 3203 5 5628 222 3 12041 1304 3 19338 353 1 2917 702 1 11937 3705 1 3999 7844 1 6348 329 1 18548 3065 1 10447 1717 5 7426 7237 1 9168 1730 2 13329 3184 1 11388 541 6 15925 7127 5 3717 196 7 1474 1726 4 916 5943 2 18981 2749 6 9216 7477 1 1879 7250 1 19731 206 1 14926 3721 1 7586 582 1 1723 1762 4 17996 1710 2 3851 4435 2 19648 6605 3 9279 1234 1 2803 4211 1 17259 130 1 18908 6539 6 1384 7473 6 3426 8141 1 15308 4076 1 3734 61 3 7460 1717 3 11502 893 4 12019 2008 1 16746 4615 1 3855 488 1 14768 6878 2 3003 6334 2 3278 716 1 17939 5141 1 19576 7308 1 9555 243 1 15573 5597 16 1928 4105 7 3794 3518 1 18960 845 6 19301 3898 1 6332 1610 1 695 4411 9 4768 1752 12 11267 1523 5 4163 2262 3 1828 2980 3 20105 1986 7 18299 186 1 1551 5026 1 5915 2151 1 13349 3065 11 12459 5133 1 6332 623 1 6001 506 2 14926 1736 5 2094 5495 1 8586 661 1 130 5838 1 8049 7237 2 2902 1251 1 18513 2649 1 16184 243 1 1752 244 1 65 3167 1 7986 3556 1 3544 3234 1 9432 3827 1 16016 201 1 5026 6023 2 109 4964 1 3720 5048 2 259 191 2 14881 749 1 8221 6753 1 3036 2577 1 7901 207 1 3232 1356 1 6193 329 1 4967 1357 2 3261 1321 1 16781 5355 5 9280 5037 1 19425 6793 2 7632 6749 2 19732 3511 14 10999 219 62 6794 7986 7 11955 1717 2 252 1748 1 9218 6705 27 11357 2614 1 2147 425 1 3765 196 1 5674 6481 8 843 4766 1 9462 6687 2 11786 3540 1 11354 3491 1 11912 861 1 8125 4351 1 3137 4412 4 9332 3634 1 3812 3334 1 6197 5058 4 18134 1703 2 5338 7606 1 7034 2761 3 18886 6617 1 11687 3135 2 4770 6323 14 16186 214 9 13705 7184 1 7760 3577 1 18936 7086 1 17987 3036 1 15943 385 1 3634 723 1 3189 2735 1 13710 1819 4 2902 1395 1 8709 6341 1 15184 894 6 13436 3540 1 15456 1729 3 5645 1244 1 10693 1768 1 13740 1819 1 2704 2636 1 7531 4425 4 4110 1395 3 20 1304 1 20174 3058 1 2620 518 1 241 222 1 2863 3058 5 17353 883 3 11277 5905 1 7101 519 6 10855 4172 1 2274 327 2 7245 2065 2 16887 1239 1 18705 1357 1 19794 1709 1 19680 84 1 13316 561 2 17432 5018 1 14326 8034 2 18698 3012 1 1 98 1 9540 4623 10 10879 74 1 7649 1304 2 3794 2876 2 8376 4643 1 19872 662 1 6357 848 1 7896 220 1 19912 1561 1 2803 1108 1 343 2068 2 19182 617 1 6510 4607 1 8831 4228 2 3175 6585 1 11674 1729 1 12715 514 2 4092 1250 1 15661 3449 46 9388 6161 1 15427 2994 1 1581 4929 2 18052 8184 4 17527 502 6 16834 1395 1 13009 952 7 60 2735 1 12931 6334 3 10152 1344 1 6460 1334 4 6045 6108 13 5176 411 2 7003 1995 3 2014 1211 3 17675 6150 1 14400 186 1 20238 7716 30 12623 6058 1 452 225 3 9759 409 31 4898 5077 14 13481 3842 1 13015 1444 10 15314 336 1 159 7269 1 5853 1239 1 9546 342 1 7583 4059 3 13427 1182 1 5473 2069 1 7464 4097 4 9417 1252 1 8795 1718 2 3831 2671 1 2905 4013 2 13637 23 1 5084 23 4 150 2572 1 16141 498 2 19782 2879 3 14877 5302 1 7404 589 2 12009 6139 1 7600 1961 3 20114 499 2 11726 448 1 2413 3101 4 5341 6198 2 5695 222 1 10145 594 1 11872 2508 1 15485 214 1 16292 5281 1 14778 215 7 16836 5687 1 18040 1184 1 9701 709 1 2885 73 1 5775 23 2 13267 23 1 222 853 1 13445 235 2 2957 1705 2 11672 5267 1 9044 3748 7 10330 3512 8 14730 5331 1 13519 4807 14 4756 5105 1 10691 3488 7 6250 225 2 14377 6666 3 9457 4120 3 17847 3104 1 11585 4245 1 19331 8192 5 12860 4069 1 530 3487 1 12663 1229 1 7531 496 1 89 1434 2 18887 2129 1 18745 7716 1 8343 5485 1 9639 5346 2 822 4296 1 2917 5968 1 8468 514 2 11058 6943 1 18876 555 1 2907 7969 1 11183 1895 1 10636 1275 4 15712 910 2 17695 1277 1 18508 1362 1 18912 1357 1 2020 1128 1 14688 6047 1 62 2920 1 9393 7546 3 3048 6192 1 9770 3445 13 6907 448 1 3755 207 9 8833 5360 3 6130 702 2 17218 1707 1 972 1726 1 3927 467 11 5681 219 1 9983 1801 2 172 7834 1 19286 929 1 9677 490 3 6085 4986 1 4499 385 3 13526 4274 1 6617 441 1 14965 4992 2 7893 1776 6 4880 3378 1 8614 2673 2 143 6560 2 11559 506 3 12469 1745 2 5058 2488 2 16406 5011 6 9556 5686 1 12740 222 1 18193 506 1 8221 4467 2 62 950 1 5185 433 1 18082 1467 5 7741 1723 17 14059 4518 1 1426 3901 1 14770 304 1 19810 1726 1 9656 2869 1 19688 4944 1 3898 1237 1 14590 7987 1 14275 2737 1 15325 7599 1 2212 7767 1 6013 5052 1 12125 1338 1 1047 4403 1 17578 6288 1 6213 8146 6 878 191 2 11860 1743 1 5801 667 1 7691 1245 5 16765 5258 1 5241 207 1 17056 1342 2 14900 2266 1 4134 2251 1 1631 471 1 18071 3482 1 15323 821 2 1824 2114 2 17272 3576 1 11935 6487 2 9077 1150 1 5914 3283 1 9387 5135 2 869 952 1 4182 4761 2 4273 5466 1 1194 914 1 2377 869 1 15102 3164 2 7683 1778 1 12911 219 1 16740 2450 6 3459 2373 45 7188 1703 1 19993 2743 2 44 2287 5 16238 910 1 14940 760 1 148 6716 3 14007 1784 2 10693 6600 2 1498 578 1 17870 4929 3 2969 825 1 1551 2671 1 2391 871 1 19881 3329 5 13619 1234 2 18628 6441 8 11674 221 3 783 5256 1 5884 5035 4 9784 5451 1 16856 222 5 18777 2303 4 2674 1991 1 1861 575 1 13490 2595 1 11252 3558 1 14011 5055 3 4807 3652 2 3236 379 2 4057 1625 1 16368 1729 1 15499 1561 9 2133 1363 2 16271 23 2 10102 1713 3 20 1309 1 11064 525 37 1177 6268 1 11080 7948 13 1927 496 2 8015 1985 4 10452 950 1 7868 7905 1 12995 505 2 2776 1726 1 6524 1395 1 2643 7929 1 5591 4352 1 7387 6151 1 10586 1718 1 8735 3163 3 9946 867 9 11804 6206 1 6089 3827 3 12054 7013 4 16063 5530 1 15762 6462 1 4835 3337 1 15343 1819 2 4158 1761 6 20078 514 1 3887 7563 2 14115 3705 1 1147 1453 1 17988 790 1 19246 3864 2 17544 303 2 1749 6179 8 2445 5458 1 12569 3409 1 11485 1768 1 5880 7750 1 15345 2678 36 6691 525 2 16270 881 1 11935 141 11 872 3227 1 11938 2678 5 17662 1751 2 2813 1277 4 15486 5245 10 9688 1367 1 3397 819 2 11884 4375 1 11020 3697 3 9292 3672 3 18244 7117 3 8824 2675 1 12301 1141 1 217 5251 2 3270 270 3 10554 4681 1 16878 6345 2 14288 8110 1 4910 5758 13 115 5148 1 10498 461 1 3355 1751 1 9779 235 11 7444 4467 1 12053 5607 4 20145 232 1 11430 5758 5 15945 5146 1 12777 1287 1 15108 6941 1 9449 219 1 14614 225 1 4106 395 2 10168 719 1 10187 1743 13 1114 5420 1 5452 2419 2 5643 506 6 2886 6039 1 13105 2034 1 9056 13 2 11585 1464 5 11324 1496 1 1043 340 2 4498 863 2 2447 1372 1 9231 6048 1 9947 2367 1 4287 4067 1 9046 4202 2 10236 7614 1 3484 1235 26 11399 7542 1 17946 1776 2 3921 1146 14 8368 870 1 9787 335 2 12766 846 2 6352 8187 1 8503 3020 1 13646 1498 15 17304 4622 4 17 1198 1 10244 1105 1 14503 6237 14 16512 1356 1 10146 177 1 8209 3693 9 6781 203 20 11106 532 2 7882 1292 3 2099 2683 10 2341 196 6 4050 1374 3 621 1923 1 4667 782 3 19239 2575 14 19602 7914 1 18847 1613 5 14553 579 1 1606 906 1 143 2577 2 12809 6091 1 822 3351 4 13042 6170 1 3096 7414 1 20230 1356 1 18748 244 4 12705 521 2 11422 737 1 6869 329 1 5208 1296 18 14695 2254 1 1325 2363 1 14191 1312 1 16392 6259 3 115 4466 1 16999 3511 2 7996 4792 3 10669 1248 15 10283 8154 1 17252 2595 7 7060 7815 1 17507 199 1 2169 6564 1 11367 200 2 9485 1635 1 17507 2683 2 8521 8185 1 12172 1825 2 17457 207 1 17009 215 1 6053 203 2 14027 1253 8 11290 5336 5 12807 3081 5 6444 2853 8 17406 447 1 16021 2556 1 3111 5291 2 16860 6434 1 8414 2240 6 15140 6717 2 48 2391 1 14993 2792 1 19115 2665 34 7941 2832 4 16317 292 1 9899 7812 1 15270 2722 2 17999 203 14 2679 904 1 19122 244 1 18029 4903 7 15429 229 1 1847 4974 2 15527 5037 1 14025 745 2 2047 201 7 2974 3578 4 16160 2732 3 4898 1748 1 6357 6278 2 3337 1560 1 2416 6107 1 8798 367 1 12856 1324 1 15653 1228 1 12492 5245 1 18520 7652 1 4789 2902 1 3427 3426 5 6401 3511 3 19937 6268 4 12117 5879 1 11349 1718 2 5088 496 1 10978 1034 2 18939 7662 1 53 223 35 1705 803 2 19669 4413 1 10574 2271 2 12208 3293 1 13959 3378 1 14888 4305 1 5443 7216 1 2721 1768 1 15072 3556 1 19724 284 2 13745 6197 1 14973 1331 1 17010 8083 1 18107 222 1 3971 1235 1 15296 215 7 5306 759 1 56 1736 1 2750 1062 1 8980 1474 1 3505 982 1 314 1245 1 1882 6748 3 16959 2653 3 11430 541 1 17838 5097 2 19940 5105 3 14921 1063 1 5126 2254 2 11870 3811 4 7358 46 1 6021 6880 1 10004 1760 5 11060 4590 1 15815 4188 1 7663 1062 1 9868 7289 1 4347 1747 3 17463 4012 1 5453 506 14 16442 6105 1 14691 533 1 1114 74 3 5574 7022 1 13625 3516 1 12136 8081 10 4503 1827 15 9283 1235 4 17767 103 1 1801 1208 5 164 1775 3 5221 4093 1 1173 650 1 1145 3311 3 1088 7612 1 3113 7229 1 1677 6708 3 4332 4998 1 6496 2515 1 10325 937 1 9637 7368 1 10636 4104 1 5652 74 1 19779 5144 1 2491 3516 3 11467 3763 5 16671 507 1 15728 335 1 3651 2123 1 2021 1756 1 4389 220 1 4034 3331 1 1258 203 6 15807 6415 1 17494 4198 1 4498 1819 1 5891 1356 75 3075 1482 1 18793 23 3 14221 5023 3 8294 442 2 18854 6630 1 15405 5993 1 494 3145 2 2755 6618 1 1598 1247 2 18771 6038 5 2174 4899 1 11149 5433 1 9718 4555 1 19134 3987 1 13341 4160 1 4693 367 1 9090 502 1 14489 3132 1 14031 1760 1 15830 3554 8 7452 819 1 7768 6355 1 6664 7997 2 5433 839 1 10089 5495 1 10309 732 1 17969 5083 1 15318 6342 5 4061 1454 1 7554 4014 1 2278 409 8 8930 6198 1 4451 876 1 12147 229 1 11050 2673 1 5451 1250 3 4553 567 1 478 5514 1 6241 222 1 11151 1946 1 7020 2760 2 19424 175 1 19486 3368 1 5850 6139 2 2156 214 1 16929 1357 1 19128 7011 1 1816 407 1 12850 1734 2 445 638 1 5653 1946 2 8211 222 1 17555 534 9 14522 2534 2 3976 1763 1 7452 916 1 16199 1116 1 12281 220 2 10916 804 1 105 4733 6 15227 496 1 9628 642 1 15075 6435 1 2128 2880 1 15890 2614 1 6692 5256 2 11562 1104 3 5431 3645 2 377 3271 3 6664 1724 1 16741 3395 1 2902 201 1 18538 2831 5 15683 7860 1 6867 1744 1 135 6102 2 15031 7050 1 18132 1272 1 17171 1366 2 10916 3748 3 16968 1686 1 14532 7598 6 14845 222 3 5392 5551 1 15041 1721 1 8532 1825 2 17954 5561 1 72 3341 2 15425 4803 1 18130 196 1 5364 2144 1 1198 1727 1 3025 1450 1 1677 8154 1 3985 33 16 13136 943 1 10724 8145 5 3811 5439 3 1171 1705 1 10327 5789 1 10159 1253 1 13775 1284 1 19774 1267 1 6091 910 1 9412 1513 3 2407 1453 1 20133 1118 1 8260 5036 1 15885 5585 1 904 1369 1 7640 7769 5 10738 3962 2 9920 8154 9 5290 4779 1 5859 2691 4 9387 1719 5 8747 6700 5 15203 7622 1 5938 2993 1 9803 196 1 11596 1487 1 8051 2729 1 15259 4998 4 15082 4465 1 16766 191 7 11868 1062 1 10586 214 1 8718 6758 1 7869 6507 1 1105 479 1 4935 5798 1 6263 1785 1 16378 1698 1 3464 7229 1 15078 2841 2 11387 2114 1 5486 200 9 1361 1191 1 4614 3755 1 5364 2686 1 11827 221 8 18204 8178 2 17595 502 1 4227 3505 1 8737 1703 6 7058 6665 1 10558 3164 2 20235 222 1 3608 5077 1 18976 4914 2 6228 2871 1 1612 4382 1 12361 810 1 17811 2727 1 16135 205 7 11857 1395 1 7065 2955 2 17753 2443 1 16156 206 1 11098 252 2 14896 2571 1 5606 518 3 10274 1755 5 538 7534 1 4309 411 36 13425 589 2 11502 214 5 13488 203 2 1036 2507 1 19346 5390 1 9432 841 1 9677 3645 5 79 3542 1 14779 3644 2 33 219 7 560 4366 1 62 3005 1 8974 206 4 9250 865 1 20219 2352 1 11443 2626 1 3299 4245 2 9733 197 7 3358 4015 5 10721 232 9 14753 1324 1 6566 2900 2 17039 4403 2 18197 1453 51 8022 855 1 7476 755 1 7151 2444 1 17664 1720 1 12025 2016 3 9215 878 3 3286 4245 16 19730 2261 2 14463 6150 4 7944 7963 1 2795 215 1 65 3109 2 17260 3591 1 8503 232 1 2382 2885 1 6038 1244 1 7928 6226 1 4632 8060 3 6327 3230 2 18434 1721 2 11334 1315 4 17653 243 1 12756 7599 10 10407 425 3 13827 367 1 14993 496 2 12256 8121 75 14048 6167 1 7395 1296 1 19396 6756 1 15496 506 2 6197 2569 1 10102 2478 3 94 4202 7 757 3432 1 6749 7031 1 15015 252 18 10688 2097 2 18966 5021 2 3421 3333 5 567 1234 1 17559 7133 1 18359 5001 1 11255 8126 1 2766 4343 1 1106 2729 1 2891 3474 1 121 3417 4 10988 4248 1 8852 13 4 5769 2139 1 18406 2398 10 7756 5514 1 19342 1369 1 269 452 2 4384 1119 15 7966 6640 1 14599 836 1 8016 380 1 2280 184 7 8532 1275 2 16980 1756 8 15915 6954 2 6914 2475 1 8546 550 2 6769 2897 1 17134 6623 1 3261 1239 1 10499 2442 2 18346 1999 1 9072 4635 3 4177 6620 1 11107 2333 2 16099 1363 2 5564 188 2 1962 3370 3 10429 3534 1 4091 7457 1 7498 46 6 8006 1374 4 11677 167 1 11323 231 1 15683 407 3 3348 1449 1 4924 203 1 16403 1072 32 65 3188 4 17559 1743 2 10498 3851 1 3296 7474 1 16477 2637 1 2902 1721 2 13440 2552 6 12521 3787 1 12785 1237 1 1171 505 1 6752 1253 1 18237 4029 1 9044 6656 1 16048 2407 5 2562 1740 1 19480 690 1 6228 3263 1 15939 3618 3 6133 355 2 14939 1342 1 4686 4711 11 12166 7805 1 7354 2673 1 13 610 5 2045 1714 3 1689 7989 7 2985 244 1 9857 3389 1 108 755 1 6684 5995 8 2198 207 3 13626 510 4 16494 1302 1 17505 335 9 6322 514 1 8913 230 1 13225 512 2 4935 893 1 15568 232 2 2772 3403 10 17273 3348 1 11932 7665 1 15426 7184 1 18893 10 1 20003 517 1 18730 1825 8 452 5315 1 10106 510 1 13960 3666 5 8614 5488 12 7780 500 1 13786 1449 3 17088 1730 1 6867 6837 1 7564 220 7 13465 894 1 9780 1400 3 592 2718 1 15184 4139 4 2428 2409 1 8157 2675 1 19060 2617 1 19368 935 1 11388 2992 1 11533 7313 1 14254 1825 1 4700 207 1 2962 5336 1 3559 2549 26 5769 7920 1 30 1696 2 14158 1728 2 6889 1755 3 9680 419 2 19887 8139 16 2917 6979 3 8564 4494 1 15310 3596 8 15091 3558 3 15035 867 7 17112 206 5 19332 6154 2 11637 1184 3 17529 4992 1 4523 23 1 8168 1816 1 10145 3756 3 1672 200 10 65 208 1 11228 1357 2 2361 1745 1 9587 624 1 2064 23 3 18512 6038 1 950 1403 1 2726 4436 1 15620 1729 3 10350 3233 1 342 3707 7 12392 506 1 10000 3033 1 8327 1244 9 18884 5294 2 2127 3699 1 3004 3991 1 7933 6669 10 712 411 3 1361 841 2 16299 4029 1 4460 512 2 9543 6558 2 7856 3252 1 12988 2357 1 7209 7222 1 2266 597 1 18040 1537 1 4426 1727 2 13566 148 5 14326 4262 1 11169 38 1 12275 2671 1 455 6541 1 14960 2970 1 12725 3697 1 8298 3338 1 19881 6532 2 9632 190 13 7916 1747 1 13219 5806 6 14892 2254 1 19995 1021 2 1990 2640 1 7157 4245 3 11796 837 1 3189 4303 5 7780 514 1 14894 1253 13 7020 1686 3 996 3020 1 6341 328 1 3564 2269 1 11105 2097 1 11023 7227 1 16951 392 1 8211 498 1 1379 206 1 3755 3511 1 4050 470 1 1868 1748 11 14391 3890 1 14666 1265 2 1274 2671 1 7544 659 1 3414 203 3 11651 1756 17 13429 175 1 19556 4998 1 2154 166 2 3867 6683 3 3007 1312 1 11059 206 1 583 325 1 11014 1356 3 18027 2241 1 4612 7815 3 10695 5758 12 14533 1267 1 5652 524 4 7062 2572 1 2704 3909 1 1500 4441 6 13996 6343 1 5005 223 2 17809 1737 2 4791 1677 9 3100 156 5 10179 7767 2 9279 1751 1 13352 652 2 14221 4096 1 16726 5018 1 20181 347 4 7995 1682 2 18352 6278 1 17165 498 1 6866 5018 27 1281 1251 2 134 470 5 4620 224 1 2995 850 1 15823 220 3 6722 1282 6 14753 3744 2 15573 8209 9 7022 221 2 9808 2671 1 19833 402 2 2985 725 1 520 219 2 17917 4460 4 12532 1211 26 9783 7533 2 17847 260 1 6064 4246 1 7577 910 1 5378 2353 2 15184 239 13 17157 533 80 3874 4013 1 6718 5018 21 10823 23 1 18563 4609 1 5422 2708 1 10410 535 1 15869 2633 5 1626 7477 1 10054 6158 2 4174 2584 4 1311 4274 3 5379 5341 2 6404 1761 1 14580 2353 9 1580 214 6 9472 2419 1 1186 818 1 143 2683 6 10145 261 6 1521 2595 1 13076 8193 1 10698 1304 1 2473 554 1 19675 8175 7 6019 235 5 8665 219 3 9446 1825 20 2807 3065 2 6776 2646 2 15641 4640 1 6749 893 1 8093 7976 4 35 1931 1 11402 756 1 15683 845 1 12475 2350 2 20072 206 3 13574 7606 6 17583 3016 1 5162 4975 1 5128 867 5 6420 3834 9 9803 2675 3 4050 1395 1 18213 1441 1 6158 3167 1 12385 207 47 18907 520 27 14617 403 6 3527 3729 1 3293 3338 7 3708 1960 1 2674 1440 1 12299 8250 1 7147 1335 1 9873 5347 9 11336 4198 1 17228 510 1 16674 3824 1 14610 6717 5 19759 4242 1 9809 2885 2 11066 1184 2 3615 3522 1 10923 232 7 5052 2155 2 121 652 1 15272 4803 2 4898 222 1 17772 413 1 3976 4435 11 5199 545 1 17761 508 1 20120 903 1 2985 8164 1 18392 7850 7 12890 536 1 6692 215 1 1704 274 2 7107 2555 14 18286 5285 1 1227 2027 1 11343 2450 1 1469 200 8 4630 2695 3 8022 7098 3 11882 6078 2 15362 1705 1 17695 427 1 10217 5999 6 62 2951 1 12817 419 2 13684 3007 1 12244 5866 2 379 3334 8 16388 3285 1 11870 8046 1 16036 7937 1 9051 3338 4 15020 4027 2 9374 2676 1 14132 178 1 9160 1704 3 17014 5425 4 8952 5175 1 19319 1234 1 14791 1237 17 10286 2676 3 19241 592 1 12620 1399 1 18111 1721 1 2274 7857 1 812 7632 16 123 5379 4 7165 669 1 9322 839 1 6845 6534 1 3260 2092 1 6007 4824 3 12765 1307 1 12821 1727 1 10534 1739 1 12448 221 7 18755 2560 5 17322 5433 1 12009 3222 1 3048 5336 5 3709 7295 4 3739 2430 2 18645 7489 1 2151 227 1 17105 2559 10 174 7885 1 13580 460 1 10554 5767 1 1707 5663 1 19722 1819 5 7400 1147 1 17127 6341 5 16580 7461 6 16700 962 1 8580 1752 5 5821 839 1 14478 1906 1 15041 867 5 423 3167 3 6183 5532 1 5913 6610 2 9277 2633 8 8810 5514 1 13758 6954 1 16196 1732 7 5936 3883 5 2980 363 1 19957 1273 13 816 5120 1 6236 5099 2 18029 7237 10 4152 7857 1 17966 2260 9 13498 1275 26 20256 3244 2 2135 1770 1 15017 787 1 8467 1395 1 62 2784 1 4288 910 1 14759 1342 19 12055 615 1 14035 5394 2 100 4566 2 19306 4785 3 18625 7096 3 19862 220 2 17885 1817 3 5775 6341 2 7965 2024 2 5478 207 47 11165 201 1 9282 3696 1 745 148 4 10872 3995 1 14114 413 1 5884 1783 2 13040 5996 1 11442 1752 7 34 1836 1 13623 6622 1 5494 7101 1 17505 2798 6 481 7903 1 16656 3088 2 475 4303 1 12640 1045 2 6915 6092 2 3349 1357 1 6229 7456 2 15786 209 10 14276 41 1 15018 1676 1 8100 4299 1 1612 215 3 1529 510 1 8086 6047 3 19759 458 1 7986 2881 4 7077 2555 6 171 1078 1 305 231 4 11230 3423 5 5385 1824 2 19193 883 1 18160 1251 1 16945 4019 1 6320 7853 1 10770 4665 1 4498 1076 2 14797 1783 2 4043 470 1 741 220 12 6990 5299 2 19705 3677 1 14053 1235 1 11148 2661 4 3824 1303 3 11621 3540 4 11349 518 2 19897 1775 2 2551 6054 1 10233 7803 2 6024 1785 1 5877 1819 5 17571 201 2 792 1105 1 7348 6409 1 3878 863 1 764 1772 2 3826 841 1 8744 4261 1 11125 201 1 11663 23 2 10509 252 1 7832 1705 1 6519 7346 1 171 7760 2 14633 703 1 15905 3161 3 11015 1410 1 10479 4177 1 5207 809 1 8147 1762 1 13076 1247 5 19771 4101 1 16087 3900 1 6890 890 1 16270 793 1 4033 3230 9 15978 3065 4 17973 7447 10 8920 4791 1 14988 5120 1 13676 201 3 6475 6226 4 9921 871 1 14883 215 3 18115 3216 2 1498 896 1 18010 203 1 13027 2061 1 14833 1148 1 10585 3084 6 4236 274 1 15788 1721 1 3641 1235 5 13957 221 2 300 4325 10 17450 6884 1 3642 2922 1 17011 680 1 14102 6268 1 6501 225 1 2371 6268 1 15749 6198 3 11990 307 1 12821 2789 1 1397 6013 2 12677 7509 2 12378 1168 1 15993 603 1 17290 6414 1 14610 6196 26 4145 23 1 6987 5547 1 11177 1818 2 1790 1836 2 13640 214 4 5767 582 1 19152 3366 3 12356 1363 1 2964 370 1 9188 584 1 7817 680 1 756 7961 32 10017 543 5 6342 184 1 10393 2241 1 8813 905 1 9902 3589 4 18868 6638 1 1679 318 2 11898 3884 2 3726 219 1 12927 2668 1 11415 6925 1 1253 858 17 2081 1606 1 14688 1686 4 18866 1395 5 1 70 1 11243 2246 14 13626 215 2 19957 5352 20 1825 5020 1 172 7842 1 19669 7395 1 4279 11 1 16196 3907 7 1097 215 1 19344 1655 1 20108 819 1 8967 13 1 10146 861 1 1405 3431 1 9952 1245 1 12009 1705 1 4234 84 1 717 745 1 15231 3887 17 12122 2675 1 4437 2949 2 18039 702 1 497 6690 1 11786 3484 6 592 1267 1 16140 7050 1 10160 4176 2 18281 879 1 4429 2721 2 14757 2831 1 17083 5224 1 4468 4591 2 11415 4446 1 14161 541 1 9421 2040 1 1622 1246 1 6457 2675 9 9605 1363 2 14157 6334 2 6058 382 15 7916 1721 1 17602 7255 1 8683 809 1 19069 3525 1 536 221 2 15427 903 2 4868 523 2 983 2508 1 10815 606 1 15842 184 1 19031 7867 1 1043 6334 2 635 214 1 11766 4022 1 14144 2069 10 11953 1595 1 13201 221 2 12104 7618 1 397 1740 4 13711 1725 1 5801 1395 1 20191 1193 11 13025 522 2 19962 3704 1 11786 6647 3 13004 207 1 10485 510 1 12404 498 6 10670 1308 3 10940 1146 2 2143 206 1 1962 5736 1 19121 1819 1 14540 23 3 124 5544 1 16848 1354 6 7652 3911 1 17384 545 1 18981 1728 3 9628 900 3 15411 1756 2 16150 3152 1 14738 1333 1 11591 597 2 14741 2269 5 9374 207 1 935 2675 1 8457 2645 5 18613 7829 18 8585 1774 3 6160 1338 1 12312 200 5 11072 1705 1 15992 2886 17 20108 656 1 439 201 2 16378 508 3 3817 534 2 3116 3522 1 17221 171 1 16349 219 1 4493 5252 2 19871 2208 3 6512 3584 2 1345 6676 2 9793 2749 1 10275 1825 3 19990 207 4 8383 1573 1 18887 7013 1 2842 2675 2 12854 1505 4 19648 4870 1 53 2570 1 18093 167 2 10264 8084 1 10376 409 1 4147 4059 2 137 6280 10 14298 301 1 4678 3671 1 12867 4156 1 174 8043 2 1145 525 1 143 6556 1 11737 502 2 1894 6322 19 7846 4169 1 14763 442 1 12938 5545 1 1361 4591 2 17930 186 2 19601 6713 12 111 234 1 17242 4395 5 6806 1827 5 1132 1720 3 18174 334 5 19111 7466 1 14507 4461 12 4092 630 1 16097 1369 1 11255 520 8 1173 926 1 18692 498 2 9531 2584 1 3700 292 2 9909 1324 1 15511 638 3 872 529 1 5905 3909 1 672 7828 1 11693 4019 1 17298 6129 3 9921 3558 1 18232 2103 17 12325 852 2 11851 3024 1 15295 2885 2 358 534 1 4170 7623 2 1464 6082 6 7443 205 5 9483 1760 2 314 23 2 9353 1814 11 6081 207 2 16491 7336 1 5638 2864 1 6630 4306 1 16493 2056 4 12322 1745 4 7797 2484 1 1908 1761 1 4018 1979 3 10398 1658 1 13659 1243 3 19649 903 1 11363 3184 1 8243 4378 1 1970 197 1 1757 2247 26 3701 467 1 14566 4623 1 9015 1717 4 14161 470 1 3871 1731 1 13672 7926 1 17762 2292 1 15346 26 29 11097 235 1 8332 1068 10 2194 2915 4 6700 1363 10 15468 1251 1 13991 7943 1 9219 6334 1 2009 5740 2 13346 194 2 12740 3911 10 4923 623 2 4314 1243 4 13183 590 1 13320 2352 3 9783 1713 1 11591 532 6 17500 357 1 1560 6606 1 6905 148 1 14318 5072 1 2444 164 1 926 548 1 14114 367 3 13522 2671 27 9419 521 4 2622 3707 1 3360 8175 3 2260 1373 1 2087 5119 2 13739 831 5 667 1788 1 17741 3370 1 15429 505 1 3796 2675 2 5149 184 86 8895 230 2 10815 385 1 18445 5342 1 17120 910 1 314 2662 5 11967 1271 3 8801 660 3 19764 5091 4 19760 6152 6 17440 847 1 8388 3012 1 12054 417 2 8195 1234 7 2390 4409 1 8088 779 1 5190 7641 1 16789 1728 1 415 6481 17 11239 589 3 19510 3132 1 8064 214 1 12558 73 1 13185 5252 2 66 3210 1 8264 7474 5 12872 2599 6 14168 7695 1 16458 1250 1 484 850 1 20277 5855 1 19293 1726 1 14214 223 5 15508 2953 1 12187 2014 2 18224 2721 1 6319 7101 2 15307 3631 1 9522 525 3 10720 4026 1 17099 7455 2 15411 430 1 4233 2737 1 8652 156 1 6140 1751 1 6144 46 5 6166 690 1 15093 6322 8 462 206 1 9992 1642 1 17785 2655 1 17867 7381 1 11780 500 13 2045 1814 7 16458 244 1 5560 8145 2 12855 502 2 3427 2290 1 5115 1401 1 17803 1548 2 4208 2885 10 15206 2109 1 18024 219 10 1999 5325 5 3408 203 2 12826 1917 1 4510 1202 11 11780 5035 3 10396 6526 4 8273 3590 3 15743 3338 9 8540 3239 2 10 312 3 5280 74 43 7084 1184 1 174 7439 2 18592 949 4 7605 5737 1 12082 2789 1 10490 3425 1 6437 1345 2 17500 1779 4 6273 883 1 19649 1246 1 14147 2354 1 9340 1717 1 17577 6777 1 3507 221 1 14301 5791 1 12412 915 1 10969 7259 1 13807 1234 1 2817 235 1 1456 5051 1 3811 7167 1 1159 1855 1 1603 411 1 10554 1454 2 19239 207 20 14903 23 2 8156 3333 4 10736 497 1 10025 4289 2 19170 6704 2 11428 3408 1 18578 225 1 9865 3113 8 4935 1272 1 6024 7599 9 18760 1728 1 1206 756 1 18316 1736 2 94 475 1 16590 2019 6 3841 1193 2 11723 863 2 15713 3770 1 16557 4274 3 15429 1235 1 12821 834 1 1609 6500 1 5771 6435 7 2413 3097 3 18128 1677 1 7686 4303 14 17473 5162 1 5763 2877 1 15404 4763 2 19360 498 1 16669 460 1 16381 196 1 13012 8192 1 5421 4524 2 15691 3849 1 10759 4145 1 85 1363 1 2985 962 1 18548 1740 1 1722 4325 1 177 219 2 15567 1307 3 6819 2363 1 314 545 2 2843 200 6 598 4312 1 2907 3497 1 2834 1062 4 10879 6868 5 19747 7655 1 4495 7948 3 14060 23 7 1705 3088 1 14292 2424 1 16374 184 1 15199 5018 10 12678 1700 1 2311 5449 1 1539 495 1 8927 1909 2 11159 1707 2 95 4370 1 2309 5257 1 17086 2831 1 11917 1721 2 16980 647 3 14836 4403 1 18119 1739 1 12915 3335 20 11020 356 4 5624 2614 1 6268 1248 2 2998 1698 2 14341 7300 1 5745 2208 2 18681 650 1 5743 505 3 5469 883 1 18071 3705 3 9197 982 1 4009 4252 2 2560 221 2 15083 3399 1 13806 2118 1 16451 3633 1 15747 1495 1 10498 4891 1 1445 2980 1 3675 2488 2 2840 7013 1 4032 2501 1 2186 378 1 3788 2885 1 16403 3570 1 10500 1734 1 2743 1819 3 16059 534 4 4784 8139 2 174 8090 1 12355 1328 1 7823 1996 1 19400 4204 2 19224 3042 5 6687 400 1 4208 1656 1 10498 5017 2 12412 591 1 5213 206 3 16026 3089 2 12281 6496 12 16977 537 1 12995 1676 1 3202 1656 1 8748 221 1 2306 3973 2 15593 4494 4 9924 325 2 8708 7484 1 4320 2737 2 4572 1685 1 3673 800 2 2716 6341 2 19472 1873 1 8435 1244 1 14142 2317 1 11398 7073 1 9773 911 2 13884 1737 2 3734 2898 1 9195 232 4 11418 1338 1 19759 4204 3 3806 1244 1 11614 764 1 13 842 2 5222 220 4 18655 2782 2 1277 7808 5 8311 173 5 1706 1261 2 6704 2885 1 7029 1209 1 11798 173 1 19289 223 3 8528 498 10 1491 7256 2 12236 1074 1 17952 6231 6 10103 2385 1 18740 5105 1 10359 2862 1 9882 1727 1 14193 2382 1 12526 2331 22 18115 5991 1 6509 2027 3 18244 1764 5 14685 3167 1 16271 1350 2 174 7868 1 4895 1825 1 8454 1235 1 2765 5018 2 14161 5416 1 17476 2385 1 2223 1244 1 2818 6091 5 18144 4390 3 7481 534 1 14892 223 1 4589 1776 6 15406 235 1 10730 3980 5 12883 3617 1 2520 4199 1 5304 7474 2 749 3911 9 9998 1727 1 10585 498 17 14767 173 1 19776 1357 1 4451 237 1 18984 3485 1 11601 5051 2 17700 5997 8 1117 2316 5 14076 233 1 10579 1272 1 170 1965 3 13730 3627 1 14639 1201 5 17344 4963 15 8053 1256 7 2194 722 1 14566 7946 1 1689 223 5 17762 1082 1 8984 4818 1 19029 4404 9 1395 508 1 17435 671 1 14336 526 2 4696 87 2 11794 394 1 2611 4578 1 467 903 3 80 3608 3 4425 409 2 14275 2043 5 4730 1038 5 10586 5097 1 9552 4320 1 11987 1395 1 6729 917 1 3851 883 1 13076 1250 2 19870 514 2 10856 645 2 340 4499 1 10752 1364 1 17647 2505 1 13675 7305 1 19053 665 1 15593 46 3 18777 2678 1 11581 220 1 16082 7300 4 3871 3230 1 18828 6231 5 12542 3592 19 7610 671 1 8987 2849 1 15974 6341 1 5296 4193 1 17617 4435 3 580 303 7 1198 2555 4 572 4375 1 15708 1784 1 3417 200 6 10340 3689 1 3312 200 9 4634 1695 1 2433 3599 5 4263 1170 3 9660 2387 1 1263 4796 1 17662 3333 1 11306 5897 2 2175 23 3 2228 2504 1 17892 341 1 575 1328 2 2741 1846 2 67 3215 1 10619 172 3 713 7689 1 17 1222 1 1520 719 1 12535 1756 1 6585 206 13 9189 1324 4 5734 5531 9 2778 3845 2 2520 724 1 73 3380 1 19190 2143 1 15042 2762 1 13936 519 1 19649 520 1 16494 3747 2 1889 2019 1 8250 517 4 9759 891 2 15052 519 9 17003 2129 1 15476 7597 1 14372 4464 1 12499 1731 1 7455 6355 1 15896 7601 1 20019 1524 9 5117 186 2 10927 234 1 20191 300 1 7219 4156 2 3569 3629 8 8595 1769 1 14201 74 7 5670 7850 3 14114 630 1 11562 1996 1 8582 1304 1 10390 4395 60 31 1771 3 8006 4467 1 17237 214 4 4749 5496 1 5052 4019 1 17677 196 2 3427 8158 1 8066 792 1 7862 4963 2 4892 3547 1 1754 1476 2 5401 827 1 17908 2338 1 10988 5294 1 7140 1661 1 4615 2995 1 20025 1819 1 13951 858 1 11371 4589 1 14580 1236 3 19272 850 1 17833 4203 1 8778 4204 9 8532 173 3 3663 1717 2 1420 5325 1 10850 2410 3 12826 3828 2 9572 834 1 14156 136 5 9224 595 1 16535 200 1 18380 5051 12 3665 505 8 18397 1245 1 14583 5008 1 18667 4325 1 10236 7878 5 10122 6120 1 13466 1356 2 1361 3384 4 3582 1245 4 7681 3056 2 13076 1374 2 14011 3168 3 19818 1184 2 884 7850 1 6007 4320 4 11052 314 1 3310 2507 2 5854 169 2 16498 1327 1 15263 3410 1 7931 1689 16 8458 23 10 11101 646 2 18132 1244 1 6338 836 1 13543 674 1 3595 3663 12 16970 4555 1 13413 6077 4 6982 3207 1 17075 4937 1 1474 203 3 3703 1363 2 2432 631 1 3177 6259 62 2375 236 1 3704 8145 40 81 3676 1 16329 2871 1 4566 1721 8 2390 1450 1 14948 4038 2 655 2250 1 11025 4473 1 13800 399 1 11485 1396 2 14990 4620 1 2980 4203 2 7886 1498 2 14632 915 1 80 3581 2 4902 6610 8 3765 5996 2 14540 6192 1 19169 5558 1 143 6543 1 314 244 4 2710 2186 6 7107 1751 2 19530 4467 1 13321 7573 2 10610 871 1 15601 1703 1 18797 219 22 4296 23 3 2988 2618 1 14696 38 3 4055 5674 2 5637 2671 2 9199 874 1 17549 5996 1 13076 200 6 12682 804 1 7463 4680 1 5515 1455 1 12236 7541 1 13028 3220 1 13865 2633 1 8177 3353 68 11714 6777 1 19807 7442 1 20 1273 1 16945 2107 1 9566 4333 1 6510 3638 3 16146 4998 5 13752 690 1 3467 1804 6 6091 4985 1 11727 1298 1 8946 356 1 15911 2378 1 3214 3368 2 14114 2058 1 16442 4112 1 13623 1369 1 4092 2268 1 10549 6363 6 18279 4261 2 17954 5398 2 15599 1781 1 19144 223 5 17327 6710 1 8831 3913 1 10787 3180 1 59 912 1 62 2939 1 10585 3220 1 12599 2801 1 5821 5762 10 16017 2885 2 14675 3021 2 6110 853 1 10198 206 1 3025 2626 1 1668 7216 12 11411 470 3 1996 6162 1 18646 7701 1 10016 597 2 3588 2747 1 5950 1242 3 10655 1726 1 13644 1150 1 12592 6777 3 342 5325 1 9606 1244 1 4716 514 2 2642 207 2 13388 223 2 19174 7603 5 14968 471 3 14676 2959 1 9547 1257 1 968 496 11 4242 6069 1 1590 4743 2 6012 3696 1 13788 3206 1 20085 5060 1 12757 5002 1 12091 5523 1 2898 303 1 9665 1342 2 3972 193 1 4492 2056 1 17621 3980 3 6420 4616 1 19559 5756 1 18217 4378 1 6166 2737 1 16172 4179 5 6348 582 1 7006 1537 10 14296 4702 1 760 3029 1 6833 73 10 4721 380 1 14993 3056 1 1227 2155 10 18762 1244 1 16776 5999 6 19320 659 1 13919 6868 21 18542 1761 7 4298 6549 1 175 8139 1 593 505 1 8946 906 1 16689 4247 1 14114 625 1 2582 1363 1 7077 6435 2 10294 23 12 10146 3298 1 6277 849 1 19872 4107 1 2571 5897 1 19193 1730 1 10848 1327 5 5773 6427 2 12412 762 1 16348 2646 2 19602 253 5 14503 205 2 581 2912 4 3207 6139 1 12322 745 3 3296 46 1 12746 6091 1 8045 1819 1 13821 6159 2 16346 4436 5 11033 7216 2 8532 867 1 16482 7244 1 12748 6600 1 12740 201 4 7536 3556 1 17550 4555 6 14606 446 1 12686 4623 5 13781 1980 1 14800 195 1 16718 1303 1 12538 7159 1 18843 2254 5 7181 1260 1 19688 723 1 14645 5555 1 19034 6013 2 2853 5120 1 10042 1339 2 14373 7182 1 7261 1781 1 5244 2637 1 12501 236 1 16547 232 5 5819 4612 2 343 4201 6 4253 4345 5 17737 3592 3 10844 8184 1 6274 8113 1 13461 2352 2 4211 339 6 12777 2773 1 4771 1726 4 2271 2089 1 16 1012 1 4519 773 1 14522 2675 1 12168 5658 1 11566 6239 1 19385 6373 1 62 2967 1 11158 453 3 6769 3992 10 19456 316 3 20194 5328 3 16836 3234 3 4115 4947 1 1248 8096 1 3781 5418 2 16987 2307 1 9744 4345 11 15899 1146 2 15323 244 1 19145 5547 1 4089 1999 1 4629 2673 4 65 3130 1 19794 3899 5 5767 2076 2 2676 229 1 2020 3702 1 9945 4310 2 15229 2993 1 547 1897 1 17671 6132 5 17193 1672 7 4261 1924 1 9567 4427 1 19184 1825 5 11786 3956 13 16674 5097 1 14617 2352 2 10887 2353 1 3606 2266 1 12376 3540 6 171 7661 1 5745 2087 1 5373 1829 1 13 622 1 14562 3556 1 2434 1169 1 17995 3899 6 20106 167 3 16997 4972 10 8746 2969 5 12251 2646 1 14441 10 3 6001 533 6 14683 4676 1 4213 8127 2 3119 215 4 6423 6769 8 11526 5506 1 10502 23 1 10651 1995 5 4305 3358 1 6091 215 1 18526 2673 1 14233 1911 18 1624 2678 1 1065 1249 1 20044 7751 1 5841 3057 7 6089 2678 3 7455 4026 1 16569 5136 1 12445 1401 3 10393 3511 48 18014 6574 1 9029 3608 1 5303 6545 1 8237 2858 1 14006 4684 1 745 733 1 8206 7719 1 19136 7850 1 15753 8102 2 14017 5254 1 5203 859 1 5465 232 1 13003 2353 11 14059 2489 1 11080 7013 17 2652 7319 1 9535 1755 1 6904 6674 2 11780 1007 4 1461 1748 1 11086 74 1 14283 6343 1 20244 765 1 14630 1728 2 10393 2675 2 19972 6053 3 14722 167 2 5681 1244 1 14937 1184 6 18403 1955 1 1433 496 1 15957 23 4 3925 1731 2 6655 175 2 19331 1246 1 8848 6331 1 15508 5514 1 6420 489 28 926 5506 1 11072 252 3 18741 498 2 11766 1454 1 18972 4951 1 164 7495 1 2066 520 9 6564 6512 1 15932 3423 1 15052 1752 11 9244 508 1 19957 3696 1 593 541 2 18115 4478 14 10514 6997 1 5281 6032 1 18618 5786 1 6630 269 1 14964 2068 2 11585 1751 8 19923 1881 3 15279 639 1 7679 7869 1 15654 4793 2 9422 534 1 15952 374 1 8629 7967 1 15726 4435 2 4773 2512 1 14420 5698 2 2664 1184 2 18584 2555 5 17563 6129 2 19184 5326 2 4859 514 3 16741 385 2 19064 6159 1 19223 23 6 10125 3970 1 11122 4206 3 2113 502 3 11449 508 3 15102 4296 1 18207 525 1 14658 1243 20 5728 1698 1 10688 903 1 19326 604 1 13543 5844 1 11908 4245 1 6233 1456 1 12988 3684 4 7238 182 2 4055 3557 1 13826 2552 5 6670 1374 3 16836 2443 1 18004 5251 4 10457 2021 1 12406 1996 7 6966 4386 4 7463 425 1 10394 207 3 10410 186 1 6644 2614 1 19842 4000 1 8608 1729 1 19776 2915 1 2116 203 9 1115 219 1 10561 1380 1 1858 4653 6 322 534 3 4495 5131 2 4955 1401 1 845 1582 1 3175 2369 1 671 222 1 10692 918 1 12817 2641 1 5246 859 1 3553 1756 1 17484 7591 1 9258 203 1 18423 1244 1 13312 7674 1 16887 3813 1 8054 578 1 3738 2671 9 10340 2620 1 3081 2496 5 5060 6222 2 1922 409 1 15429 4562 1 6844 600 1 15029 1484 1 15015 7215 1 17344 3558 1 17347 7883 9 18069 4404 1 16266 220 1 20106 6192 1 8444 536 1 4880 2928 1 3025 1727 1 14524 506 1 5684 597 2 8965 1395 1 14800 745 2 4263 4595 6 17458 6276 6 12187 4518 2 1930 7841 1 7530 518 1 17472 6723 1 3257 2643 5 20123 5561 1 2512 411 1 11206 2360 2 16238 229 1 7119 6047 3 18175 1740 1 4113 23 1 7785 344 2 1665 7986 1 4389 2729 1 13752 816 1 404 199 2 4199 745 1 6794 8109 4 7155 7235 1 19201 3987 1 10474 1707 1 16267 1819 2 3089 1965 1 11353 6150 1 16576 3693 2 8358 534 1 8725 7346 1 14347 6669 5 15756 1757 1 15517 231 1 379 2661 1 807 1727 1 10456 545 3 4622 6363 1 984 5379 4 12209 1788 3 19449 200 1 17146 158 1 1302 3511 1 15722 2352 1 20256 949 1 9586 1395 1 7862 1781 4 5755 809 7 19356 5397 1 19397 1324 1 18922 4789 1 7130 223 32 2137 5060 1 18469 470 1 16202 937 1 11354 4467 1 12399 235 1 9103 5325 5 15447 200 1 11237 1255 1 14778 1251 3 15923 1710 5 462 5251 7 6921 7497 6 5097 201 3 16033 2242 1 11192 651 1 171 6793 1 12014 2653 1 10042 3167 1 2682 203 1 416 4065 2 8591 1784 3 12687 3482 2 7523 1762 2 7900 3516 1 12260 1334 4 7157 7831 1 1663 3774 2 10037 718 5 17259 7073 1 7194 7138 1 91 4070 2 14412 3512 1 15579 1369 1 822 201 1 14701 6480 25 18635 719 2 2694 1782 1 13925 6130 1 16887 2981 2 19418 2678 11 16569 1263 4 12638 219 3 7000 586 2 6929 6414 3 4716 1248 2 6895 2369 1 14916 2354 1 11597 706 1 17135 221 2 9289 6039 1 5332 1071 1 10828 5016 6 6670 524 10 19380 5737 5 5310 202 1 14896 2663 1 14187 6152 7 14768 4580 3 3125 2292 1 11188 1464 1 16611 1825 1 17507 6547 7 7417 3632 1 7080 502 1 10634 1981 3 4330 74 1 12208 1298 4 4615 1951 2 143 858 1 9957 7815 2 19865 3283 1 6656 7229 1 5207 679 1 6341 417 3 1193 2557 1 11411 1245 1 9969 6152 1 6966 6581 1 15678 2029 3 4602 3637 5 13312 8051 1 6335 8090 1 5042 5550 4 18119 8203 5 16196 5207 1 18669 173 2 8859 386 1 14162 3789 4 16789 7236 1 803 1803 1 16192 1251 2 18923 7123 1 19967 2277 1 4663 962 1 170 7603 5 19331 1736 1 14515 1819 1 14064 4427 2 12208 1042 1 20123 4796 1 12595 184 2 5536 1775 17 19425 7222 2 12592 411 1 12728 1748 3 15041 2056 1 4455 6972 5 6070 5466 1 17688 7231 1 1262 8141 1 2852 891 1 9369 33 2 7056 5016 1 11338 1146 1 4810 3063 1 7749 368 1 7967 6084 1 5705 23 2 14870 5611 1 341 4819 2 8250 199 3 4680 225 2 4462 6790 9 12821 5517 1 2754 1508 2 8294 7857 1 15508 5561 1 9797 2676 1 19568 235 1 12903 1760 3 11345 214 2 14089 7201 1 3798 3133 1 11944 5468 1 15637 203 7 13949 6150 1 8831 891 4 5248 779 1 14753 3399 1 13640 1277 1 8848 1755 2 15807 5996 2 13328 5566 1 14600 2675 14 1385 220 1 4504 1717 1 14196 800 1 16348 229 2 12730 4261 1 13865 497 2 16036 1395 1 15143 7407 1 6854 23 9 16176 534 12 11933 5051 2 6811 6418 1 19859 1242 36 3924 3423 1 18475 1085 1 7562 3884 3 12619 1825 5 4092 2104 1 18608 1975 1 745 712 1 10967 5042 3 16841 23 4 6692 366 2 15935 201 4 18575 3705 3 17331 8194 1 19990 244 3 14964 2633 1 10692 939 2 20 1249 3 1625 6698 1 15993 2068 1 13046 225 3 18608 7319 1 9284 3033 5 1013 206 1 4492 4476 1 7965 2550 3 8775 7434 1 7952 7672 1 3594 982 1 1803 2080 1 7181 514 1 4707 2126 1 14848 3896 1 10313 3517 7 16601 5054 4 16269 1203 2 9360 3119 2 14512 749 1 388 840 1 12559 329 1 16670 7184 4 10457 8096 1 9761 1762 1 17275 229 14 2917 942 2 4464 2148 5 4530 6059 1 8352 5446 1 6152 5493 1 10314 1696 1 12292 1710 1 16811 576 1 4593 756 1 10720 5730 1 17717 3074 1 561 5133 5 17937 1736 3 174 7856 3 16268 3946 1 6502 6957 1 18178 6342 1 16288 3906 2 7295 812 1 9725 1288 3 9604 200 14 1237 6343 1 91 4115 1 7750 1774 1 8801 5506 5 16809 201 2 7890 2363 1 9178 2899 7 11596 191 2 2807 5758 1 7665 3233 1 11772 8187 10 11618 4062 38 3626 5538 3 11430 3556 2 17657 7690 1 15314 1308 3 15186 1730 5 2656 2523 1 18016 2675 8 6063 3257 1 14672 8184 2 8934 5914 1 19322 1038 3 15530 1060 1 18821 400 1 14126 3135 1 2418 2404 3 7916 1730 1 4465 2693 11 276 6332 11 8269 606 1 9346 470 12 10305 506 2 413 5517 1 20249 1770 1 17743 6106 1 12086 499 1 4059 2975 1 13634 3874 1 8808 2355 1 19639 1722 7 17155 1243 12 1689 6341 1 1375 1801 1 6063 6875 1 15405 1056 2 16408 4213 1 6135 6510 1 9354 6323 1 18178 3512 1 796 2155 6 11457 6152 1 14993 5223 5 15689 23 2 4626 7105 2 14839 1322 1 14872 792 1 5695 1990 1 10499 3523 3 9766 4367 26 13402 310 1 7663 1342 1 14090 510 1 524 4140 1 115 5162 1 16486 220 1 20107 203 1 16671 1518 4 9250 4159 1 7917 5187 1 4005 1771 6 16767 4217 1 4851 1747 1 4399 7406 2 7335 5248 1 14236 4343 1 4632 7775 1 16860 5903 1 6112 225 4 8890 6027 1 6534 5130 8 9868 2869 1 19597 6666 1 17429 6091 2 8664 1758 3 14184 1539 6 17244 7953 1 130 5302 2 11416 474 1 8458 1825 6 2560 1334 26 4851 520 1 13947 3057 2 5512 411 2 3358 215 1 39 308 2 5831 6716 1 1105 426 2 13384 367 1 5675 8178 5 16305 6289 1 7047 4972 4 14849 5322 1 18893 4916 1 3268 1917 1 12214 863 1 10798 3009 1 9175 3024 1 14758 5517 1 14641 5673 6 8165 2557 5 15826 5943 1 15364 6914 1 4960 6210 5 4059 232 1 11066 4090 1 11947 3534 1 16860 755 1 1491 7602 16 13718 3827 1 863 3417 1 2907 3414 2 3886 7155 1 2548 1757 1 14034 4245 3 11846 1251 2 14811 201 2 1662 3311 1 10966 4944 3 8480 6702 1 1507 2260 1 8280 2686 7 7853 1367 4 16860 807 1 14206 2356 5 2408 1334 1 14568 196 2 9715 7346 1 991 5506 1 1 84 1 8878 960 1 3206 2968 1 13634 621 1 10856 1660 1 8290 440 1 2447 6488 1 9475 6343 42 16242 3338 8 17120 501 1 11744 1770 1 1705 600 3 6690 644 1 14380 507 1 2969 903 1 8219 7976 1 12695 4992 1 1839 1062 4 18133 1751 5 1957 6884 1 18508 7670 3 10374 7021 1 391 2555 6 11 450 1 11349 1356 1 6926 436 2 4623 1416 1 5997 1732 1 7251 5538 1 13055 175 1 3695 5289 1 4694 4409 6 20 420 1 9509 7672 7 10160 1698 1 7688 825 1 7131 5539 1 1965 252 1 2096 687 1 10097 1421 1 7034 7410 1 5117 6436 1 17961 99 2 1031 2675 5 14558 765 1 19866 5758 12 13676 502 4 4110 2626 4 6834 4996 6 270 232 1 16834 2090 2 12837 6512 1 9566 663 1 18601 1739 1 9216 560 1 62 2927 1 4305 681 2 19380 1067 1 8532 883 1 10078 1776 1 62 2879 1 3642 911 2 17578 1118 4 9116 6228 5 18076 785 1 20 1362 2 10791 5553 2 4223 184 2 13543 7224 1 19123 70 2 3941 3533 2 18340 4403 5 2153 2555 7 15781 4413 1 1893 809 1 9466 1796 1 11533 2489 1 17878 5062 5 14911 6506 1 14145 7215 1 15691 7297 5 8241 1236 1 13549 2324 7 7797 3884 1 13750 1740 1 126 5668 1 19354 7754 1 6509 7962 3 15321 692 6 19870 390 2 17562 1752 7 334 891 9 1504 1731 3 7010 2541 1 5408 4795 2 16500 1363 2 15350 1464 2 7838 3611 1 11545 4684 1 1864 1286 1 9224 597 2 14599 578 2 983 382 3 8183 778 1 62 2944 1 15567 1645 2 19719 4065 2 482 4566 1 60 2739 1 5074 7890 1 5214 222 2 1889 6288 9 7823 2955 2 18329 2056 18 15576 3477 3 1852 5442 2 3214 3378 2 8255 1728 2 19568 2933 5 16815 3798 4 2391 631 2 17184 918 1 494 3266 1 8939 1369 5 92 4166 4 17077 1464 1 1887 1991 1 18653 508 1 2558 1726 5 1380 1259 1 17038 223 3 4092 1781 1 5459 1108 16 7188 1752 4 8337 148 1 3817 8141 1 19314 3311 1 471 1717 9 6487 634 2 17477 1825 4 15496 2938 2 20256 6484 2 14011 231 2 5716 184 5 7210 2024 41 3488 4306 2 5336 2880 1 9886 2307 1 506 7466 1 17224 200 2 18207 1357 1 10532 1137 1 17789 7477 3 8937 219 3 2509 4229 1 18209 6031 1 8892 2671 19 16236 1714 1 17013 3715 1 1587 868 2 11502 6091 4 16629 7073 1 19493 159 1 13987 6534 1 10197 5897 1 13587 4304 1 8458 201 18 3142 3788 11 19544 470 2 15952 2507 1 17719 25 1 12762 4998 5 2772 3377 2 5464 7953 1 6515 5472 2 16768 258 5 1395 5090 2 19034 4543 1 518 3214 1 16057 6090 1 19156 5472 2 8343 231 1 19649 1241 2 9346 4245 12 11577 4815 5 7099 4615 1 1296 1308 14 18116 6106 1 19930 6872 1 18329 1121 1 14170 4972 3 17102 206 1 11363 3649 1 4509 2510 1 17388 200 1 19326 1184 1 10221 3834 1 7043 3869 5 4634 186 2 7832 1732 1 10341 222 3 4867 4266 3 10336 2671 1 6611 5425 1 904 1383 1 2180 876 1 18734 316 1 14018 220 1 14257 3081 1 19521 545 1 16787 3033 1 11820 1781 8 771 1771 1 17036 5115 1 13551 525 1 9998 3479 1 6496 3552 1 7179 967 1 20180 2126 1 5035 411 8 13642 2398 1 3192 4961 3 970 4349 6 1962 2089 1 14616 1829 1 19890 3432 15 7951 1292 1 1101 1302 1 12569 1324 1 18829 867 3 17528 181 1 18338 5810 1 4273 7840 1 4546 1374 1 10247 252 2 11964 222 2 7312 1751 4 19568 390 1 9269 709 1 13628 831 1 13601 1380 2 18644 1781 2 15248 1209 1 10242 518 2 6527 2449 1 767 5748 1 6130 836 1 12208 3596 2 18237 201 3 11965 1705 4 8006 3021 6 7640 5005 5 14289 4667 1 6003 1703 3 12633 1713 1 7916 1729 1 4631 4428 20 379 1732 1 20219 2649 3 10847 650 1 6111 1893 2 2529 804 21 8754 2889 1 388 4059 1 9902 4751 1 14292 1804 3 4098 1950 1 19378 2573 1 19427 7342 1 19957 4232 1 15811 3333 1 15688 6776 1 9661 1707 1 10916 658 1 736 367 1 6796 4303 5 112 201 2 4663 5737 1 2332 1482 6 14414 1346 3 5543 1829 1 15103 545 15 812 7967 25 12030 1146 1 18154 5804 1 153 177 1 5687 221 2 12332 356 4 1 24 1 8361 1770 2 455 6647 1 16857 2080 1 19763 56 1 15726 197 17 13414 3512 1 17184 5222 1 314 2877 1 5298 6962 2 14021 514 2 4392 214 1 15572 2343 2 611 1990 1 6013 3079 2 11964 1751 1 13800 4296 1 10279 7641 1 6479 5121 1 18529 2066 2 6740 3234 1 14313 7257 1 1214 5091 3 15557 6738 1 7619 23 3 2521 1819 1 16346 458 1 10562 222 4 7731 2196 1 17740 4202 2 17436 3798 1 9317 4395 1 16574 5418 1 11702 2770 1 810 1786 3 9093 496 4 10108 6669 1 1945 5379 5 6364 496 1 6077 201 1 14658 1275 1 4886 6667 2 11766 524 11 2154 5905 3 16773 349 1 7754 1484 1 15364 1319 1 11632 3314 1 7822 512 1 15708 4179 1 6158 1729 4 11220 5621 1 3359 7351 2 18029 6713 1 5 182 1 7313 2678 1 979 6680 5 12361 8013 1 18887 203 18 1642 537 1 9495 1324 3 7150 4572 1 19499 206 1 4429 1658 1 5577 207 5 12493 6607 1 10350 200 1 18413 7481 11 2413 1939 1 7902 5064 4 1055 5961 1 15515 1062 4 17000 506 2 17866 3799 2 12759 308 3 10590 541 1 6932 1311 2 9011 4242 1 14753 3764 2 979 1739 3 62 2828 1 20126 7455 1 5133 207 8 18174 3742 4 19486 1054 1 16491 3371 3 15325 222 2 18277 505 3 18739 95 1 19579 5910 1 17706 2586 2 8278 7707 2 6781 1747 3 16674 5312 1 6307 5850 1 19002 5069 11 19079 4784 1 17521 1252 1 6070 5433 1 14666 1707 4 10926 219 163 13183 819 1 20031 2352 1 17331 173 2 19822 4478 1 4533 496 4 12217 1612 3 10053 1762 1 14059 5879 1 19732 219 27 6848 4019 1 11487 36 1 5523 1070 1 2198 225 3 16481 1283 1 4740 1613 2 14706 1819 2 16440 1416 2 4357 995 7 2135 5420 1 13535 3328 1 3862 3879 1 899 6414 3 19030 6487 1 7754 1717 1 4954 878 1 3203 6477 1 15405 4211 1 3114 2292 1 17399 3664 1 1171 533 1 4976 1789 1 14205 3635 1 10340 867 25 7143 6091 1 7208 5253 1 4674 6457 1 10676 8013 1 10929 165 22 16768 385 3 1505 6756 2 873 7948 2 7393 2689 1 17701 4022 1 5478 2683 6 2266 233 3 5969 4916 1 20163 5328 1 8385 7517 1 16580 193 6 18462 3833 1 143 6537 1 15753 6512 6 1265 2710 1 879 7494 1 7663 903 1 5436 1722 4 1734 1994 1 6776 6013 6 14385 6534 2 5216 809 1 14906 3113 1 135 6140 1 6268 3167 1 7444 4992 1 15781 2580 1 2352 7446 1 10319 1731 5 10730 4933 21 8486 2316 1 8196 1776 1 9868 1103 1 11 473 5 14703 496 1 15072 623 1 15075 6933 1 899 409 1 5821 919 1 7247 3032 1 2495 5351 10 4606 3425 5 1325 1734 1 6210 4500 1 3799 496 2 13960 998 4 9638 221 2 6776 82 6 4036 809 1 14218 1146 2 2186 1681 2 807 229 1 1445 335 1 16483 502 1 3008 2508 5 1838 2343 4 15041 6680 1 16094 470 1 11786 5202 1 5983 1881 2 1754 3338 2 3606 201 5 11999 4713 5 17148 6708 2 17987 5516 1 14970 7948 1 16659 2555 1 8720 4992 1 5701 828 1 13228 3511 9 11968 5420 1 11082 526 1 5916 385 7 153 6933 25 14812 1573 3 1765 5915 1 12718 1819 1 1689 1717 3 10004 2915 2 10159 1367 1 2289 7616 5 2829 368 1 19705 1613 14 17127 1416 3 6769 2009 1 1218 1731 1 1552 6053 1 2401 4383 4 9130 684 1 7287 4870 1 20174 1695 1 10410 4595 1 7455 422 4 130 5968 1 11 486 2 13943 534 2 3391 46 1 2951 214 2 14472 186 2 8210 5879 1 15471 3611 1 14664 194 3 349 2097 1 19297 5105 1 5025 519 1 14126 6500 1 12372 1666 1 11141 4435 1 17559 6238 4 135 6127 3 9980 4380 2 9190 11 2 6615 5363 2 2302 3628 7 280 1881 1 18278 1762 1 17390 867 1 4195 5018 5 3395 519 1 16635 308 1 9793 2269 4 1742 2358 1 4232 1661 3 5717 3899 10 12629 1737 3 2685 6957 1 20048 2447 3 10684 534 2 2748 1644 2 13922 1146 2 16755 7807 1 19872 624 1 3278 4303 1 15374 3820 6 1386 1610 1 17084 192 1 15192 6053 2 5604 883 9 2101 7403 1 14721 410 1 10553 5323 1 12075 416 1 5959 6645 1 17638 804 1 8823 381 1 7487 2588 1 17557 2513 1 16493 1169 5 7202 4603 6 14612 1706 1 17746 2841 1 49 2471 1 1444 4427 2 10327 844 2 15718 5133 7 12970 2938 2 20191 707 1 18386 7044 1 18827 2708 6 6751 627 3 16784 215 3 8547 2246 2 17742 637 6 15807 6383 1 8627 5035 3 14840 581 1 9265 6007 15 7145 215 1 16235 4344 2 11687 252 6 10372 1819 1 8531 4379 1 9453 638 2 14299 7086 5 16048 7810 3 6064 5951 1 12208 2720 1 13646 1271 1 10813 506 5 18530 244 4 18260 236 1 19387 6150 3 12361 6198 1 18623 1707 1 9007 229 1 8074 1184 1 6070 501 2 13767 5341 1 2315 4245 1 15151 2742 43 20041 6839 1 153 7105 1 1104 601 3 4805 3192 2 2384 402 1 11952 201 1 9284 514 2 11591 943 1 1034 2889 12 9215 7411 1 10976 1752 1 4966 8108 1 11678 1985 1 18926 1969 1 19335 6278 16 9224 877 2 135 4095 1 5134 7888 5 692 6665 1 4530 496 1 1465 2342 5 6617 428 1 3352 1763 1 10103 1464 2 18609 3511 4 2959 200 6 7336 1775 3 3542 2986 1 6011 5604 3 11384 520 1 6907 550 2 16057 6039 2 5601 1717 4 11786 186 1 14120 1247 6 16854 3516 7 8261 2883 2 14336 8041 7 9898 5187 1 20007 458 9 20191 902 1 10578 7352 3 12765 656 1 5531 4293 5 17125 214 4 10472 363 1 5491 1263 1 8179 4877 3 14161 1722 1 3931 3980 1 13 583 1 17476 3540 1 11448 3913 5 1839 2383 1 4486 1464 1 6135 232 6 12049 3512 8 16130 7719 1 20032 304 1 17289 5054 2 5540 505 1 16146 1464 1 15927 3536 1 13997 746 1 8909 7976 12 7452 764 1 12999 2560 1 4498 506 2 3496 1236 3 13518 1188 1 9250 5874 3 6889 2844 1 830 411 27 14084 520 1 247 2709 1 10954 5060 1 7435 7624 3 16126 5018 1 6821 1783 2 11014 4706 1 3793 1538 2 17887 7255 1 20182 2005 1 5250 3653 1 586 3138 11 10509 2488 3 15689 1251 4 7987 1470 1 3119 214 1 12231 710 1 8965 1707 2 18524 5767 1 8959 191 6 17191 4383 1 16490 2534 9 17331 541 1 18578 3826 1 4707 156 6 19602 596 1 109 4972 1 2029 7401 1 1325 1707 1 5952 2645 4 2067 525 1 19718 2076 1 2632 5306 2 1642 2884 1 4092 5565 1 19 1258 2 8936 4807 1 6348 604 1 18037 3493 25 14815 2109 1 14033 5758 5 13777 233 1 13764 5740 1 2158 1728 25 4985 447 1 19455 1184 6 17461 6536 3 6690 5730 1 11678 7554 1 2544 1707 1 15159 2626 93 15765 510 2 18191 4411 1 6265 411 1 15497 453 1 11858 1395 1 7133 7774 1 10105 221 2 10988 436 1 11827 214 1 5739 8141 5 11295 7229 4 4496 496 1 1586 1775 1 538 7533 9 9633 3903 4 12406 1771 1 12322 1249 3 7526 6340 1 1704 267 1 6244 2114 1 10509 4379 1 10354 1825 12 1174 4842 2 18539 7831 1 1147 489 1 14939 1721 1 11952 4622 10 11031 2559 3 16978 1342 1 15491 1721 1 9843 6874 1 12731 1312 1 48 2450 5 11295 4069 1 7796 1788 2 10323 2383 2 2657 7980 1 12221 2357 1 16339 1703 1 5318 1727 1 1986 2248 3 296 1304 3 13156 3159 1 6328 1246 1 9110 2475 1 14812 6992 3 874 229 9 1045 1235 1 4985 1721 1 3093 556 2 8309 215 1 17693 2605 6 16921 7235 2 11922 6031 5 1229 6177 1 12379 7271 3 17767 3367 1 9390 953 1 19822 5999 5 19053 262 3 15520 502 52 3960 207 12 340 316 1 17777 3283 1 5868 5468 5 11467 707 1 4380 2439 7 988 2742 14 11240 5259 10 13821 1741 5 19326 1251 1 20105 219 22 5542 3096 2 2885 1729 1 5567 1819 1 11955 1133 1 12938 413 1 19966 223 1 19550 6457 1 4368 6673 1 6090 263 1 13055 6603 1 2345 825 3 14187 7597 2 8922 2671 12 17327 524 57 3540 7229 1 14519 3283 1 7965 200 8 13653 6126 5 5472 1453 2 4869 1146 1 6717 3512 7 1109 3163 1 2935 8162 4 15028 6482 7 9912 7931 2 18690 1342 1 9364 3591 3 3243 870 1 766 229 1 16626 5442 1 16547 726 1 367 6540 1 16478 348 2 1418 214 3 5424 5256 1 5056 4939 1 6943 2097 1 11789 6665 11 16474 6360 5 7744 800 1 1331 3070 3 5542 8072 10 3924 1303 1 18183 1719 1 13131 655 1 12766 694 1 17992 1819 1 7499 1643 17 3397 737 1 7923 2254 2 7481 6150 1 11124 5060 2 19489 3476 2 7417 187 1 2785 6259 1 8585 2949 2 12006 1969 1 12826 4060 9 14335 514 12 19742 745 1 11450 4607 1 11207 3808 1 9585 501 2 9483 1121 45 661 2793 1 11094 8026 1 222 3710 1 16775 4684 5 522 5768 1 19940 397 1 15471 4059 2 2331 164 17 9432 732 1 10856 2392 1 2976 2580 1 8997 1406 1 647 1742 16 17955 220 8 15875 526 1 13417 1537 1 12223 4090 1 4716 545 3 11848 1721 3 10732 3338 2 11369 2407 1 12378 4314 1 6371 2240 5 9237 1466 4 4068 1779 1 4340 828 1 11854 8111 1 14554 2208 1 8265 3642 6 12592 244 4 13978 4080 1 3536 4579 3 4163 4946 1 13039 3469 1 3934 1909 12 18262 1277 1 17388 205 4 17140 1645 1 16953 4473 1 712 524 1 10176 7204 2 14609 184 1 19123 1732 1 17061 2497 1 3892 867 1 5515 200 1 14600 207 5 13266 964 1 133 249 1 10655 1715 1 7176 1062 1 6152 540 1 12391 4623 4 11177 5060 3 10650 1019 1 62 2830 1 11212 199 1 2387 498 5 19498 7256 1 3168 4397 1 13537 135 1 3812 4245 1 18353 4969 1 15314 6488 1 11131 4403 2 159 7240 1 14896 46 1 13585 2555 9 18045 5905 1 15681 3782 1 9395 260 1 8571 214 1 4115 7331 1 10498 3263 1 16887 3946 2 269 2302 1 18260 6691 2 4332 1718 1 4193 541 1 6046 1235 1 1171 1374 1 10997 3325 1 6641 1236 1 18526 545 1 12575 312 1 2602 2516 2 18667 203 1 14836 545 1 7929 1721 1 18797 1726 1 5025 1760 3 1547 2355 5 4970 831 1 15619 1707 2 9848 3206 1 5444 225 7 7476 708 1 16668 5466 1 6420 2006 3 10916 807 1 18303 2675 3 10856 5418 1 15423 490 5 10931 1940 1 17387 3317 1 6121 196 7 11 488 1 6650 896 1 10723 2969 1 15870 3591 2 17096 206 1 11113 5758 1 14366 6163 1 17127 1761 1 2716 4245 2 5884 1305 2 14813 3497 3 5858 7291 1 349 623 1 4950 1776 1 5223 221 5 5591 3161 5 18549 1729 10 18385 263 1 15560 629 1 10245 409 1 8326 3980 1 1498 2618 2 17152 23 12 12399 232 1 17554 861 1 7822 5659 1 11002 7474 1 8411 336 3 1865 2559 1 5185 3893 1 15281 8029 1 13 368 1 14700 188 2 19913 244 3 11545 5571 7 1131 6107 3 3879 1635 1 3972 5457 1 16430 3312 14 17960 1819 1 17596 223 2 12279 3747 1 15235 4245 2 5798 4060 3 13302 496 1 18183 7734 1 16490 23 3 11070 4009 1 1897 1631 2 10394 1734 1 15945 2416 1 5928 5047 1 13252 175 11 3718 6106 1 16645 206 2 11697 5016 5 9879 3360 3 9257 6615 1 65 2563 7 16768 568 3 4072 5480 1 16990 1863 3 6183 1779 2 6806 219 27 15792 1778 1 11086 1277 1 18187 747 1 19090 385 2 6063 883 5 9783 2737 1 19530 3591 1 19448 3747 1 10540 2626 2 6664 1252 2 9166 4983 2 20123 3898 1 18887 506 5 8809 224 15 171 6163 1 14773 1779 5 17085 303 1 5577 7404 1 16855 214 1 9027 2699 1 12127 4101 1 18263 5097 1 15995 2560 1 14051 532 1 7977 225 1 7184 2662 1 479 3255 3 11933 5814 1 442 3901 2 6089 5253 27 14161 5453 1 10670 3491 2 11259 4607 2 9743 7573 1 15518 4425 1 13633 191 1 9735 67 1 6697 7191 1 19655 6288 1 15896 5363 2 19340 1234 2 6144 878 1 10553 3624 1 16236 173 2 878 1248 2 712 200 6 16087 2959 2 19159 7928 3 6449 4373 7 5231 1726 1 873 5220 1 8528 1698 3 1454 1338 4 15364 4479 1 4147 2614 2 2806 6286 10 15870 2219 3 17040 817 7 1576 1703 1 6994 2676 3 16684 3333 2 10360 2025 1 13234 4732 1 2376 937 1 836 1954 4 1889 214 1 4305 5275 2 3417 5186 1 10999 2410 1 7750 1751 1 10381 2790 1 7536 1710 2 10676 7912 1 1660 3311 3 3043 23 2 3860 502 7 10543 5341 1 11964 207 1 3287 670 1 276 4730 1 3255 1703 2 14558 203 32 3331 5758 1 15007 2559 7 12972 1703 2 7196 2165 1 15180 198 1 19029 1251 5 2970 3059 1 10670 4363 2 9232 502 4 19920 2443 1 77 3024 1 13535 200 4 8097 7815 1 7987 6252 2 2560 1252 3 13 611 1 3599 1645 1 12817 379 5 1160 5020 3 13116 3216 4 6755 408 1 6012 3438 1 3125 164 1 12 215 7 1837 1269 2 67 3225 1 604 3361 2 646 889 2 19908 3012 1 1660 2367 1 9700 7222 19 7796 2671 1 18524 4591 2 11742 1751 1 7221 1341 1 10690 153 3 16700 554 1 7495 1825 5 14149 1721 1 12142 792 2 18887 7466 1 17436 4203 1 13951 6538 2 12914 60 30 6760 4242 1 5223 3164 4 6926 2009 4 6684 505 2 7340 1897 1 11600 7229 1 6333 5916 1 10815 709 1 16063 562 1 13909 5394 1 2591 4293 8 10570 215 7 11230 1245 5 15834 4096 1 11339 214 2 15849 173 1 17803 533 15 10340 3180 1 4251 10 1 5379 1243 29 10188 23 3 10777 3417 1 6969 1761 5 9705 215 1 20184 7681 1 15074 201 2 20090 477 3 834 2353 1 15484 1246 1 5297 1962 1 340 1287 10 8033 201 1 5602 4022 1 11330 7321 1 16971 2522 1 14037 13 1 18149 244 1 11052 411 2 783 1759 1 4056 3145 1 12934 700 1 6729 5327 1 13096 3081 5 9978 4525 2 18660 1234 1 19809 518 2 7039 1247 9 7392 1756 2 6864 1686 4 9955 1785 1 4589 206 3 16570 1277 1 8287 1252 4 7765 4348 3 9270 7234 1 17025 1245 1 5302 2480 2 19131 7937 1 812 4343 1 10327 782 1 6183 229 4 17708 2981 1 10452 5804 1 3679 1776 3 3963 3827 1 7745 201 1 1469 2675 6 163 7401 2 13604 3532 1 16922 2687 1 9999 3893 2 756 7965 14 16369 2721 1 18809 1282 19 1941 1829 7 3362 3427 1 6009 1738 4 1962 608 1 19058 206 3 3759 6231 1 4887 6257 1 12141 1184 3 712 1342 2 13045 364 1 1303 1 6 16358 1813 1 16464 1781 1 18213 607 1 572 1713 2 9718 2018 1 5142 5642 1 4724 4183 5 14369 952 3 3750 5754 1 181 8201 1 16270 736 1 14358 1271 1 95 4356 2 679 5673 2 15336 4099 1 7190 2155 1 19397 1442 1 16072 891 1 13155 4559 1 808 3059 1 13343 5301 1 8909 215 1 13356 6521 10 11849 1203 2 4290 6564 2 4328 411 10 9545 1981 1 14894 5252 14 40 2124 1 20019 5916 1 18015 1374 5 18257 2378 1 10999 5121 8 17606 889 1 12077 3453 1 13223 1147 1 17432 207 1 184 215 1 13395 506 7 15759 4029 10 10852 292 2 17553 2392 19 11131 2057 3 17653 7621 1 454 919 1 368 2254 4 5653 3427 8 6804 1956 1 1677 82 24 17792 790 1 11634 5432 1 19759 385 3 8671 1356 2 7751 1146 1 12918 350 2 8652 7515 1 12826 3817 2 10591 127 1 9085 575 1 13976 1054 6 15885 5812 3 16831 222 4 16373 3733 2 14652 5018 1 13619 3693 1 18353 5202 1 11008 2876 1 9752 508 1 15978 184 11 7020 187 4 13084 1247 3 19364 1388 1 2134 201 2 3562 514 1 12548 7850 1 17482 219 4 6374 325 2 11533 7830 2 9099 4811 1 5767 946 1 9295 1730 1 12141 6053 5 7780 367 2 1755 3522 1 19579 3399 8 6453 1444 2 7586 7030 1 11670 3652 11 17 391 1 15870 2138 2 16222 7402 1 9603 347 2 16993 5881 2 14605 524 1 13212 6396 1 877 564 4 15648 1239 1 1485 510 2 10511 3444 1 16595 5347 1 5124 1695 1 8763 3283 2 12817 1252 1 19872 871 1 559 2831 2 10471 4299 26 15374 7857 1 297 1781 1 10772 2666 3 14731 7101 1 7575 519 3 5990 1705 9 14905 203 39 16487 6334 1 6742 6602 1 9840 498 1 12412 766 1 17519 3693 1 17695 1226 1 16587 1987 2 1887 1727 5 4141 206 3 14606 370 1 17457 2675 1 684 1743 1 13058 629 1 62 2796 1 3697 1277 2 989 5513 1 4770 1243 3 16990 1932 1 12750 1883 1 14095 835 1 35 1956 2 4640 201 2 15839 1395 1 1884 1275 1 14182 1819 1 53 524 1 6502 1748 1 17753 1903 1 4331 554 3 13 571 2 6265 7530 1 5258 2279 1 2406 2363 5 3531 5281 1 13402 3372 1 6389 5853 1 4813 1764 1 14984 6100 1 3471 4365 1 11479 411 5 18893 2058 2 19570 5885 1 9317 525 2 3526 206 1 5261 1825 2 1489 7787 1 3149 793 1 1296 71 2 10829 1374 1 11844 1484 2 3236 415 1 16020 3333 3 241 2355 4 9485 501 1 15676 4976 1 6841 4725 2 17353 2056 1 14993 1227 4 1551 4392 2 188 215 5 10537 3307 7 5431 1282 2 7530 200 1 19067 535 1 18422 7351 6 12680 4346 5 17998 4069 5 7328 5829 1 1900 219 1 2453 4976 5 7053 201 1 10293 1748 1 13105 1226 1 7842 5350 9 9173 398 2 6453 3585 2 10151 6568 1 17388 4635 18 6670 3253 1 16099 1384 2 1499 4802 1 2594 1781 5 12283 1248 1 12913 5817 2 8532 196 1 7567 8196 5 16711 6278 3 14596 164 1 10828 78 10 3327 5574 1 13893 1731 1 15507 3511 6 9421 7240 1 7572 3227 10 20009 3114 1 6194 3023 4 9199 665 1 11947 3731 3 4839 303 2 18207 5052 1 13484 3966 1 18171 1761 1 3075 1778 1 15432 1396 1 1371 5018 1 6272 7125 1 15156 200 1 5066 501 1 4170 1747 1 10843 837 1 16578 232 1 8082 2139 4 12375 799 1 16374 4436 1 3851 1819 1 15364 914 1 19686 215 1 7750 6204 5 17992 1025 2 10276 4534 1 8793 874 1 19970 3679 7 5283 207 1 14385 8141 15 18199 395 4 10575 605 1 6536 1747 4 15886 2595 1 14661 23 1 18520 2343 1 17785 2656 1 16762 2531 1 5449 3906 5 10610 229 6 11577 2058 2 5524 7983 1 17995 336 16 11755 5506 1 941 1121 16 12731 2600 1 16482 200 11 9275 148 1 14790 4870 2 781 1755 1 174 8054 2 4136 3366 4 12322 1784 2 10612 1417 1 15615 3592 3 18814 397 1 4040 2861 3 11976 2502 1 14804 1242 2 535 5259 4 3253 8154 1 5411 7586 1 279 7427 4 17043 2683 1 8268 4363 1 19210 663 1 845 3747 2 19809 201 1 16656 1819 21 5423 1866 1 18968 6630 1 2571 3817 5 3570 5466 2 11585 1728 10 862 4280 13 3505 219 1 17696 3899 5 31 1730 5 11748 6031 1 19759 507 2 18260 1453 1 17889 2409 1 3885 2487 8 6563 2508 2 4840 687 1 9293 571 1 6198 7672 1 4566 1719 2 4572 23 8 17520 3152 1 2103 203 3 8746 3476 1 6811 214 5 15875 7517 1 17992 6132 1 18115 2479 2 17525 74 1 455 428 1 11581 5740 1 14197 206 2 1444 13 4 18180 3532 13 18178 1758 4 3894 4115 1 1893 3752 1 8926 3786 1 9593 2552 1 631 2480 3 5479 2179 1 1550 5083 1 9587 893 1 6332 588 1 12322 1751 2 18681 5222 5 8343 7204 2 18874 6816 3 14592 1703 2 9369 1728 11 11057 3515 1 10999 3592 2 3339 1473 2 7162 1739 3 4355 1092 3 14184 8141 3 2032 1342 1 16736 2958 1 10876 1146 1 13601 793 2 15712 1312 3 9406 883 5 16674 1250 1 14937 4245 37 17541 46 7 3337 653 8 12932 7874 1 17996 1453 1 9153 525 2 4721 6053 2 3112 2127 9 19056 1871 1 12245 1726 7 17633 5257 3 19713 8062 7 5117 1256 2 7398 8113 1 17193 2357 6 6492 1755 1 19401 7606 2 2255 1305 2 19700 3906 5 4163 491 1 3607 5817 1 17743 2407 1 14517 5532 1 7832 544 3 18065 4940 3 14196 6900 2 189 3697 1 13986 3326 8 10241 7237 2 112 5023 3 4498 2114 5 153 629 2 13815 23 5 1 104 1 7632 5390 1 18071 6836 1 850 2673 1 8419 6242 4 4483 520 1 16 23 1 18115 366 7 4495 5325 5 2560 2363 19 14415 4156 3 94 2118 1 7557 1730 3 3532 1395 1 73 2114 1 292 4431 1 7585 2367 1 7994 623 1 8298 529 1 172 7843 1 20246 2648 1 12367 3333 1 4688 962 2 6278 395 1 73 3367 1 17328 3391 1 17321 7632 1 15564 868 2 4158 224 3 14616 496 1 17 1196 3 17662 1247 4 10105 6120 10 9503 5022 2 12209 221 5 14037 1743 1 3397 684 2 11333 1756 1 1332 2729 1 13727 5353 6 19332 6136 2 11827 232 1 13265 1829 23 19135 8054 1 16965 3791 1 4414 5097 1 12925 7920 1 5675 3649 3 1610 3056 3 15159 2138 3 10027 215 3 8110 2743 2 6949 6677 3 9408 6231 1 13 891 1 4333 4555 1 11854 5302 1 14457 6860 1 1296 5798 2 4329 6179 1 3504 7089 1 2357 291 1 16035 3349 3 11823 5300 1 16995 1116 1 16287 793 1 6342 1740 3 3913 5569 1 20177 510 1 16592 7116 1 10059 7455 1 15885 843 2 15495 867 2 17171 1263 1 14803 237 10 847 519 1 7028 1784 1 16471 1788 1 13425 1125 1 15307 3050 1 1659 3464 1 9803 1946 4 11 397 1 13259 222 1 7247 6187 1 8224 3446 1 16814 203 2 4382 534 1 11433 1509 4 14168 2132 1 5478 6245 1 16057 7881 1 18042 3824 2 14289 1201 4 12838 96 1 1171 214 1 12773 173 1 2710 207 1 616 2392 1 19160 349 3 11444 1665 2 1090 6719 1 5773 375 1 16589 541 1 12003 3171 3 7625 7806 4 6074 2413 2 13649 4459 5 3756 2972 1 3221 5538 4 4848 1593 1 4389 719 1 16815 2714 1 16795 4986 1 8082 1153 2 599 1505 9 17708 429 1 2976 4352 2 12841 4329 1 14164 1251 3 1733 252 1 9826 6692 2 6792 7995 1 9341 441 1 7044 1109 1 976 1990 1 18067 1645 1 12245 214 3 16163 95 1 17928 4261 3 9897 1184 1 13132 608 1 3358 4189 5 10587 2304 1 2795 47 2 6867 624 2 14958 334 1 1013 6205 1 10586 2131 1 12942 8156 1 13337 4085 1 12757 2355 2 1551 5270 3 3338 743 5 115 5216 2 6315 3686 5 11622 545 1 3853 7412 1 13626 3057 3 8069 1775 1 10283 7462 1 5521 6132 1 17644 1240 2 13601 1762 1 7832 1762 1 8726 23 3 10763 4792 1 16914 1146 1 10325 627 1 13122 6489 2 7542 6164 6 6023 2269 2 9566 4427 1 16671 942 1 6913 6487 1 18876 5343 1 16595 2263 1 830 840 1 6116 6102 1 3197 4120 1 6420 2508 23 7999 394 1 907 3637 31 1872 220 1 10105 74 1 15429 5115 1 6878 3224 1 80 3625 1 18956 526 1 9802 3233 9 10847 617 1 1520 878 1 18205 229 1 16549 1235 1 19286 1758 1 11741 1104 1 1711 691 1 17436 1909 1 12498 4831 4 19233 3477 7 4425 5517 1 6740 579 2 10813 2376 1 16471 222 2 19867 2645 1 3025 2353 1 2777 4623 1 11353 2655 2 1625 8000 1 10815 575 3 4778 2138 1 8291 201 6 5005 7423 7 6534 3945 1 3598 6192 2 529 1313 17 1610 1613 2 835 2902 2 15471 5461 1 4094 3234 6 2951 1464 1 10245 623 5 19283 7474 3 5588 2333 2 10451 3316 1 15394 197 5 16276 5999 1 18631 7184 1 58 206 1 17244 4534 1 11999 4740 4 115 5159 1 17960 470 1 13893 6595 1 11529 201 2 14424 6231 3 6642 883 5 11399 3244 1 7034 167 1 4488 5771 25 3655 6150 1 11301 4502 5 1444 7964 2 1629 3445 1 92 4180 2 17639 6197 6 5645 303 1 6024 7829 3 143 6544 1 19943 1710 1 10004 263 1 18939 506 2 15362 3163 2 2511 202 2 16016 5724 1 8591 1686 6 19319 2662 5 14722 1374 10 19050 863 4 18894 477 1 156 7148 1 14587 4120 1 8915 201 2 11428 2747 2 3683 1781 2 2809 3890 2 11345 518 3 4106 1363 1 2240 1758 1 4337 1237 2 3081 6019 1 16090 2789 1 5908 4653 1 14470 3671 2 4354 1363 1 9566 845 1 16813 2383 1 10156 3549 5 3075 207 2 9886 715 2 2775 3906 1 18887 1819 7 9793 4377 2 16474 532 7 12935 2549 2 1181 2735 1 5304 4540 2 15948 1686 1 7079 2338 1 6783 2270 1 19340 3138 3 5515 7740 2 14383 2013 1 15718 3878 1 15419 1464 1 7194 5611 1 18735 1190 1 462 785 1 8514 219 1 2941 220 1 739 1717 4 9283 1819 6 4068 203 5 5533 6561 1 9759 7009 1 6878 2981 1 8530 2818 1 10238 385 5 2891 1721 1 4617 716 1 1745 2552 2 13172 6669 1 2062 6705 25 18851 6880 1 3395 1751 2 13091 7406 1 9281 2746 3 18876 584 1 5433 167 2 17968 130 1 1816 379 2 19314 3333 3 11573 219 22 13351 6469 21 11331 3203 1 2295 1772 12 13711 4112 1 62 2777 1 10862 8168 1 20172 5018 1 6801 3406 1 6791 1234 1 1705 684 1 17650 7311 1 2646 3679 1 10060 156 1 19579 3556 16 1477 518 6 12013 207 3 14159 3586 5 7532 2727 1 10145 4700 2 15659 4413 3 14002 3298 1 14530 6238 1 14686 823 2 6505 910 1 14549 1251 3 19774 1137 1 19862 506 1 11296 2239 1 12412 721 1 2646 1946 1 5760 254 1 19952 4702 5 20223 6620 7 14161 520 3 8083 4549 4 9365 1762 1 11308 2367 11 3323 2043 2 16676 1743 2 4707 23 2 1886 1308 3 18769 1564 2 17197 3213 1 4307 8034 1 7107 6139 3 20202 47 1 18223 3276 1 13239 10 5 11733 857 1 9880 1751 2 5237 6139 1 11212 6342 1 7943 2645 9 15776 2149 1 10960 6098 3 10732 4623 3 11020 2712 1 17011 229 3 17809 514 4 5318 6014 1 8749 200 12 19342 196 2 8793 605 1 1047 597 14 12268 765 1 12424 7441 1 11057 1729 2 8832 950 1 3826 640 1 3887 1729 1 3817 7422 1 11842 4619 9 2405 6683 5 10373 1261 2 6229 2290 1 1005 6152 6 433 1703 3 9687 4075 1 3540 4345 1 11938 6204 39 12252 1361 1 19211 7684 1 15712 533 1 11950 2626 1 2939 771 1 3781 6533 1 12122 745 1 10132 970 1 14755 7020 1 87 2662 3 11276 235 1 7962 1734 1 181 8203 5 15410 6207 5 10207 3333 1 7823 658 7 19331 2673 1 19273 683 1 20022 342 1 1133 2252 1 6664 495 1 14250 1764 3 14668 4011 1 16961 342 1 19246 4680 2 14077 4526 1 153 6889 1 11392 2675 7 5637 3338 4 2758 2671 7 15305 2549 2 6773 13 1 12339 1719 6 17400 6051 1 10730 4395 2 17536 1466 67 1607 6047 1 9210 1121 5 2666 6255 6 17662 1238 1 6857 526 1 2338 7155 1 7135 1784 1 18743 1717 4 14906 501 1 12253 3345 9 6452 904 1 14695 1781 1 11776 1245 9 15672 918 1 3743 4635 1 4124 209 1 8695 23 10 7179 918 1 406 6051 1 14447 2071 1 11786 310 1 13779 6897 1 7042 1996 6 17887 1695 1 1389 995 1 12303 6758 1 9875 1739 6 7653 2613 1 6226 341 1 14900 1698 1 18565 7538 2 11714 3842 1 15647 203 11 2943 1736 1 19840 2304 3 16831 173 1 15885 4119 16 12573 1772 5 17935 2219 71 3073 1147 1 1712 470 2 18633 2403 1 6032 2821 3 3886 381 1 19682 3452 6 8376 6038 6 3355 2779 1 9854 408 1 1786 2649 2 17932 4605 3 6608 5837 2 12701 375 1 7138 2290 1 14187 4019 1 13789 7512 1 5143 4773 1 11221 1727 1 7508 7025 1 9717 1695 1 7267 1949 1 878 1400 7 8275 6687 1 7933 1334 1 10693 3186 2 15046 4939 1 14350 3622 1 19331 2559 1 12760 2813 2 12320 1769 1 15939 2608 1 12128 858 1 15108 6078 1 18040 5996 2 7029 100 1 8323 3288 2 19863 6772 1 2103 1395 5 153 6867 2 2758 1724 3 13740 1295 4 8532 495 1 4690 1236 1 1560 1622 5 17809 7224 1 24 1479 8 12574 1827 17 12262 3492 1 991 793 1 16857 4245 46 10575 4338 1 10923 1307 16 9728 7840 1 3331 1804 7 7498 2735 1 13615 1827 1 6748 4460 2 7769 244 3 17695 415 1 17224 1721 1 7551 6341 1 67 3235 7 7415 4447 3 12397 6758 1 153 6970 1 783 1239 1 18681 2114 1 4095 225 1 5716 4012 4 6457 1825 6 2772 3372 3 4807 6924 2 1631 3721 1 15766 1705 5 13500 6946 33 11387 207 1 11742 3414 5 18577 6713 3 1752 4101 1 3483 4447 2 6755 1719 1 13023 7498 1 16196 1245 14 4492 6564 1 19254 1776 2 15782 4306 2 16300 6670 1 48 2414 2 8102 2522 1 11 411 1 16090 4732 1 10340 6217 4 19358 3693 7 2563 5266 4 15006 1105 3 10192 7895 3 17633 780 1 14067 3903 10 14736 4391 5 14650 23 1 12821 206 5 17578 669 5 4784 225 5 14218 10 1 7670 615 1 19034 843 1 934 3278 1 755 1342 1 13579 201 2 386 1778 1 16974 3446 1 7339 1416 10 4691 1715 1 9469 5513 1 13076 7477 1 1397 552 1 3085 2964 1 16324 2385 1 19680 863 1 73 3377 2 416 1466 2 13784 1244 1 8901 203 18 2997 1881 3 3822 5495 1 2332 519 2 15732 201 12 18179 5105 1 16649 205 1 15635 6457 1 236 5820 6 1139 445 1 9826 4436 1 8884 638 1 933 200 88 13278 1128 1 5424 4251 1 5458 3748 2 15742 638 1 9865 4992 4 8360 730 1 10179 3894 10 10554 270 1 2897 336 1 10485 1729 1 6112 2256 8 2689 203 1 2345 6719 3 18246 2610 2 16236 2673 1 5281 6105 2 12888 200 15 10073 1482 1 19972 3755 1 11458 2403 1 19121 1121 2 1983 1751 2 433 6488 1 12294 8184 1 12740 3216 1 2523 3954 1 13183 4607 1 10143 205 2 6570 4029 2 8001 2998 2 15229 1369 1 1828 1731 1 2023 4998 1 7705 1305 1 4170 8040 1 14700 2651 1 11165 207 4 13736 929 2 3822 2918 1 7844 1324 1 15636 7350 1 11844 232 1 332 2935 1 3982 4236 1 4030 5788 1 14233 2584 2 11976 1721 2 7219 1656 1 12378 4665 1 4410 3304 1 4599 201 1 2267 3176 1 19342 4436 2 16895 134 3 15084 6692 1 19261 223 5 3951 3477 1 3295 3570 1 14296 2276 1 9104 197 4 4663 7044 1 13829 1399 1 13419 806 1 13998 7911 1 2004 6012 2 20024 1234 5 74 3448 2 8409 4338 7 16859 5390 1 6869 8122 2 16704 103 13 7778 7217 2 3704 1275 5 15924 1775 9 13052 156 13 9654 1234 2 17070 23 1 3863 1244 2 14516 2369 1 17633 666 1 12897 5260 1 19858 498 1 12377 7791 1 8552 766 1 15982 3889 13 12199 81 1 1866 175 2 604 3405 4 6712 931 1 17947 3167 1 12406 864 1 18847 602 1 17291 4614 1 4629 2555 1 1636 7189 1 4554 84 3 7531 1779 1 5294 3480 1 10531 2307 1 9920 3600 2 13126 2118 1 8823 2011 1 6141 5325 1 9389 7807 1 5742 1247 5 7769 2363 1 14921 2710 2 16857 2058 12 163 6534 1 658 3988 3 14368 6351 6 2737 1038 1 15984 888 9 873 719 3 10636 124 2 11030 6231 1 13821 5690 3 13640 1775 1 20090 1239 2 1065 4540 2 11688 3474 1 8707 5325 5 4625 2028 1 14048 7895 5 10728 4623 3 12392 1267 3 9 239 1 17195 7933 1 18042 1277 2 17084 6225 1 2807 581 1 286 1567 1 1647 4322 1 62 2926 1 5684 508 1 17851 1705 1 9198 7073 1 3352 3065 1 3772 976 2 16751 5590 1 18730 2372 6 8001 5292 3 2625 6164 2 5230 3581 1 18524 859 1 12610 100 8 7231 201 4 17474 8013 1 15098 1783 1 20255 1658 1 505 4435 2 14758 4258 1 2191 879 1 19498 3203 10 6347 6027 3 2319 3330 1 899 613 1 643 7222 2 3472 1770 1 7127 1784 6 5977 1252 1 5567 1700 3 8591 6648 5 15943 663 1 6496 841 1 2917 3293 1 8391 5332 1 13640 220 5 13544 13 4 20090 385 1 2907 367 2 7195 1247 2 18060 1779 1 13298 6957 2 12482 5538 1 863 3849 1 143 6546 6 8054 581 1 10604 2963 1 6364 203 1 10155 3511 81 15708 7414 3 9535 1357 1 2788 7989 5 15061 800 1 13735 207 2 19724 197 3 3427 735 1 18542 1745 4 19494 4555 5 13267 1153 1 18646 3813 1 18749 784 1 11545 3341 1 11658 3752 1 18213 340 1 1686 1797 1 1529 545 1 12806 470 1 19448 6167 1 16346 613 6 3739 526 3 10106 232 2 3957 2582 2 14522 3571 2 6818 14 5 3488 1685 5 1180 2575 9 19759 394 4 8121 340 3 18281 910 1 15707 3653 1 18672 5569 1 19673 5078 1 15969 1751 2 7003 6330 1 4938 4963 1 2303 7267 2 5482 3619 1 100 4551 2 19990 201 5 7451 1703 1 9230 5011 1 3665 3057 1 124 5470 1 7535 221 15 1454 4715 4 14162 3351 1 15918 499 1 3549 2013 1 13121 7672 1 15568 502 1 5352 1946 4 5916 501 2 16860 2173 1 7590 5041 2 4970 588 1 16857 3333 1 19872 449 5 17 1077 1 107 4798 3 9527 6342 5 16557 3023 2 10060 4476 16 17150 7427 1 19649 7719 7 9883 4252 8 6016 3132 1 11895 206 2 5088 1395 1 899 637 1 16424 1298 3 15012 252 1 10692 341 1 17647 4308 1 10313 442 1 5600 6701 1 993 880 1 3695 7051 1 279 197 1 17341 3109 1 133 6073 1 2204 8030 2 13829 1781 5 10533 5234 1 14699 236 2 14629 5820 1 11020 633 2 2917 2877 2 11303 763 1 12060 6065 1 18625 1946 2 2284 1745 1 887 1104 2 607 4944 2 3872 1252 2 16714 5351 1 642 203 5 5637 3233 4 4851 2686 1 6433 1025 1 4625 7857 1 12312 10 1 1756 219 2 15431 3434 1 12134 3892 1 9700 2016 6 3775 5245 13 188 1748 1 108 4838 1 19827 1395 1 10633 814 1 19895 5018 2 15888 3808 1 6078 4602 1 13735 186 1 8835 2096 5 10198 222 1 12660 3581 1 6843 1768 1 9805 4789 1 13288 187 4 70 199 1 505 6687 1 14964 2127 1 410 491 3 4456 6051 1 10294 207 41 56 1357 3 11727 1482 10 12757 1761 3 6642 1305 6 8191 2789 1 2801 119 1 13863 2044 12 452 2356 1 19718 222 1 6070 1882 2 11213 2571 1 19380 2981 1 10915 3666 6 18325 7518 1 17608 4198 1 7537 6225 1 10733 425 1 863 3380 1 15339 1727 1 5240 235 1 14165 2120 1 153 4447 2 9749 2010 1 4307 1249 1 13490 1250 2 14379 15 3 12605 3466 1 14089 1758 3 19561 43 1 19331 2678 2 18695 1747 15 8017 5390 2 15220 196 1 9833 7164 1 8746 1659 1 9714 1245 1 9284 6341 2 19784 23 1 6144 95 5 16645 498 1 7368 669 1 5652 1698 1 11388 518 3 12897 2372 7 16857 4204 1 19316 381 1 2913 3493 1 4397 5810 2 1597 5945 2 3269 219 5 2807 3714 2 19509 2727 1 13909 1334 1 1861 2656 1 17010 7905 1 16936 4903 6 7417 84 1 8198 2369 1 19751 1363 5 12639 223 10 3434 4461 5 8255 2620 2 15374 4115 1 19052 488 1 236 3017 6 18814 7101 2 16925 2602 1 9865 3164 12 6819 192 1 2886 96 1 1542 3164 3 4163 5394 1 62 2836 1 16864 4603 1 8773 4949 6 8198 6363 7 14968 7249 2 13035 577 1 16185 1273 1 5423 2261 2 17391 1844 1 7966 964 1 2125 1770 1 12356 1576 1 10313 394 2 1767 23 2 21 1405 1 19530 670 1 1705 671 1 19326 3167 1 2697 7212 1 12858 1893 1 10563 1686 4 2803 4107 7 2152 2079 1 4784 1710 3 12142 980 2 12826 3822 2 11786 7661 3 5971 233 1 2284 823 1 1614 2686 1 11786 3679 6 18912 581 1 10501 461 2 2970 3856 1 6052 2356 1 626 224 2 11652 1244 4 2000 4409 5 12462 235 5 7823 2488 25 3037 1374 1 14430 6780 1 2795 82 2 5366 1784 1 130 5941 1 835 1877 1 6988 2488 1 8636 46 1 9724 1241 4 18766 1265 2 2959 509 8 4966 231 7 16641 3889 1 7956 7156 1 14412 2378 1 7469 7415 1 8970 519 1 14628 1664 1 6211 1298 1 17589 2459 1 11652 23 3 3018 6132 1 2459 7820 5 9816 363 1 18808 223 3 17088 3113 3 3189 6078 1 3930 5543 1 8439 1698 1 10692 710 1 4012 3255 1 7145 1827 2 16208 1686 1 42 2203 1 13909 5557 1 20044 235 1 2920 1751 2 16628 1756 2 5871 2633 2 9699 1277 1 13162 944 1 3199 3649 1 12547 4702 1 10076 1629 1 745 5945 5 4850 4196 2 3157 1531 3 336 1788 1 13677 532 1 3512 3394 2 8468 7606 2 9319 7811 2 2590 2591 1 8128 303 16 3396 533 1 10832 4789 1 10266 4582 30 9899 5247 10 3925 219 1 13811 638 9 8170 1245 1 9299 5245 1 13427 5922 1 16787 2568 11 12208 773 1 14686 367 2 62 2833 1 16916 545 2 6940 1309 1 6415 1781 1 13491 1548 1 56 1238 1 12734 8235 4 7527 252 1 4227 6683 1 388 5309 1 10554 409 1 18828 6106 5 11498 1728 1 9168 1745 3 10761 4923 1 7682 590 1 15867 206 1 11160 6100 2 2111 169 2 1173 894 1 12772 534 1 1756 6481 1 3653 505 11 8520 2659 1 16590 4499 2 1866 3672 1 19161 502 3 2213 130 3 20019 1644 1 2081 6943 1 950 3584 3 4004 3545 6 2503 6204 1 4791 853 1 7910 6278 1 2679 3333 1 4484 7597 6 10664 697 1 17746 746 1 10160 2727 2 2162 3263 2 11564 2712 1 19655 3387 1 6434 735 1 2423 2821 1 6017 2542 1 7543 1740 1 9338 1830 2 6449 2698 11 4489 6568 1 6983 1245 3 7097 148 1 15098 235 1 17436 1698 2 5952 1235 9 10565 5319 1 105 1595 2 17133 8141 1 16317 1991 1 9009 1819 1 13318 8135 1 15968 128 1 15634 214 3 10483 690 1 1954 5063 5 19127 196 2 19529 5740 1 15471 579 4 6492 225 1 6148 330 5 10610 235 3 7507 292 2 18431 514 1 11107 4764 2 3703 1747 4 13601 1458 1 17318 4723 4 9451 2325 1 8268 2673 6 8340 5437 1 12462 2649 5 2437 6963 1 17596 2229 1 18181 1253 1 5097 2056 4 2525 5594 6 10766 4427 4 14449 1775 1 12866 2620 1 2917 4304 1 17716 4059 28 9520 367 1 171 7743 7 16366 6252 3 5873 3526 1 6817 251 3 6233 718 5 1405 591 1 2918 3052 1 19422 2591 1 2014 184 1 10681 4467 2 17066 3719 1 1009 3400 1 6421 7474 5 16308 7275 1 12101 5341 1 11926 2964 1 228 596 1 18756 4122 1 8395 7972 1 3633 531 1 3121 1740 1 5681 1743 1 17324 736 2 17652 359 1 19145 1184 1 7309 6677 1 18436 7425 1 7481 10 3 525 512 1 6371 3530 7 7331 74 1 2886 6482 2 1872 222 1 15542 1288 1 18263 1070 2 10179 3770 1 18974 6702 10 12770 1247 1 5179 524 1 15007 498 3 13622 2626 1 15841 2951 2 16984 8170 1 9152 3702 5 10772 6238 1 11947 5186 3 4720 1271 2 16159 506 1 10002 988 1 6834 5315 3 12378 2651 1 16721 1305 2 10456 1184 9 15599 13 1 2643 225 1 8595 6334 1 18219 3573 1 15164 1610 2 9572 681 1 17220 898 1 6848 1776 1 1045 1751 1 3951 1245 1 13127 6338 2 11243 7853 1 10253 6099 1 2461 4789 2 5463 584 1 14275 4992 2 11104 1656 1 2084 215 1 4819 7729 1 17753 525 2 18744 1814 4 18133 5503 2 11572 2958 2 1168 1705 3 930 3460 5 17198 7529 6 4348 1296 2 2103 6341 1 17736 899 1 17403 5327 2 19881 8194 1 7065 6687 1 12662 1740 5 16882 7187 1 7466 3180 1 8909 723 38 48 2439 1 17946 4585 1 17153 7742 1 494 200 1 6652 203 14 9178 523 2 6715 60 1 12337 861 1 17844 1235 1 9284 2061 4 20133 5723 1 2558 184 2 15502 4389 4 7653 6101 1 9642 4773 1 11336 2885 1 9957 1497 2 8128 3906 27 6570 5302 1 3436 229 1 19809 7229 1 5838 2662 1 18794 1464 1 14997 718 1 2880 2474 1 12208 891 1 15411 7427 1 184 7368 1 812 1783 2 7005 8126 2 126 5676 3 13405 1582 3 11585 883 1 19560 1475 1 12302 7983 1 7893 4761 8 5171 7832 10 15943 5389 1 14474 6547 2 4170 7857 1 19131 1108 3 18743 471 3 7962 534 3 6819 1242 1 3358 214 1 1353 2488 6 20262 23 2 10352 5187 6 9250 596 1 3869 7639 4 3759 6212 1 14566 8076 1 13845 3759 2 11886 5531 10 685 3760 2 592 7533 1 10078 7537 1 14232 5513 5 7455 1322 2 708 8081 1 19005 2539 1 14931 244 1 17416 3634 1 6539 5874 5 904 6677 1 8036 6484 1 13260 8069 1 11059 184 1 48 2373 1 12892 5351 1 12272 3908 1 9864 3348 3 18443 4189 2 2073 1715 1 7224 2065 1 12821 7643 1 8 232 2 9785 23 1 11702 4203 1 4092 4615 1 10973 1303 1 13066 221 1 8151 1150 5 15615 6913 2 15156 219 1 11491 1613 3 8080 2427 1 243 2048 5 8443 3487 2 19898 232 1 13353 7535 1 11336 2883 1 6057 213 12 14902 2801 1 14794 1769 1 7227 5810 2 4744 219 2 14135 3494 5 10676 2489 1 6990 3706 2 18393 1327 8 16223 3058 3 2643 6082 1 19217 4811 1 3189 5221 1 8051 6793 2 6332 3382 1 15429 8113 1 7179 6991 1 19932 239 1 2126 4254 1 8439 232 1 12870 229 9 7127 1783 3 9919 564 1 9509 23 13 17369 7809 1 4282 5253 1 126 5621 2 17580 1734 2 2319 727 2 8021 164 2 12893 4041 5 11046 4144 11 121 5284 1 6001 2671 1 17977 219 5 13619 78 1 143 6659 3 8528 506 1 8054 1234 4 13731 1151 1 130 5807 10 11120 6084 1 10694 4951 1 1198 6754 2 17378 498 1 7742 4987 8 1864 2678 3 10741 1395 2 14560 666 2 840 223 1 4385 2588 1 19338 313 1 13201 4269 1 14416 1295 1 3309 1705 3 3355 2675 1 1843 5747 1 14130 1256 1 8452 3283 3 19898 3399 2 16450 3738 7 2056 7688 1 6244 1445 1 2633 3973 2 13455 6414 1 18797 206 2 1289 812 1 1745 1819 1 7663 1776 1 18116 6133 1 7607 1663 1 20090 409 2 2520 4489 1 6962 1284 1 1291 200 8 3026 8184 1 11687 498 4 13066 1363 1 5027 2240 5 1232 8203 1 8082 8072 3 5542 858 13 1435 891 2 5828 1416 1 5413 1909 15 16903 7231 4 2838 1245 1 13296 1779 2 18118 2488 1 8041 1416 15 1173 617 1 4731 3685 3 17472 4501 1 3354 1085 2 664 1245 1 17589 6585 1 481 1012 8 17506 4578 1 264 1720 1 13167 203 5 19900 4352 1 650 3512 1 15885 5882 1 13640 303 3 1747 596 7 19055 1819 1 4030 4459 1 11857 3911 1 8327 1784 6 13126 5606 1 3826 5333 1 6989 566 1 11890 2927 1 6459 6481 5 5248 1384 3 9644 514 1 16299 3367 1 19293 235 1 612 5494 1 534 719 1 5860 196 1 19401 1721 1 2521 23 1 2366 1718 1 8739 4245 1 18665 3836 1 19316 1245 2 8332 2062 4 15692 496 5 14712 2528 1 1467 175 1 4784 215 8 14589 2727 1 13965 1723 1 7469 5398 1 7295 4946 1 19351 5270 2 7110 1649 2 18246 2392 1 8057 5636 2 7822 5346 1 11968 6554 1 14465 221 1 497 3442 4 16373 3617 5 18564 8141 2 14607 2552 1 7179 902 1 18386 665 3 668 7212 1 16260 7206 6 10156 3558 2 1273 3490 1 2284 1761 1 9046 3052 2 4145 220 1 14621 5696 1 2643 3283 1 12968 228 26 7176 501 1 15635 148 1 7572 8030 1 6641 4402 1 18029 3621 2 20208 262 1 5778 4274 4 8728 602 1 7910 5692 2 5614 233 2 17646 78 2 14580 3081 1 16614 5346 1 5478 3072 1 2905 5506 2 7208 3301 1 4811 7210 2 2357 6482 1 14748 2508 1 4047 561 3 13490 2495 1 9628 552 1 6068 2559 4 13077 234 3 9718 6064 1 10725 1518 7 12826 3224 1 3637 8085 1 18462 1685 1 13141 7586 2 3695 7204 1 6164 2409 1 16271 6537 1 10141 187 1 6650 2743 1 14015 636 1 247 5588 2 1357 7427 2 19765 7948 5 3471 3621 2 2091 4018 2 16141 1991 1 19972 1238 2 4607 6665 1 18687 1548 1 19649 1752 1 19056 2058 1 15827 4425 3 16493 3400 7 1551 534 1 7653 7495 1 16600 912 3 10692 568 1 17436 4307 2 13997 917 1 20004 6278 1 9374 1737 1 8739 4312 1 12110 564 1 14335 3163 16 18372 7201 1 12356 532 1 5662 3516 32 6990 3367 1 13118 157 7 6753 1670 32 349 5186 1 16253 1334 1 18149 535 2 9850 3204 2 16129 889 2 11545 6341 1 2731 200 1 4632 1374 1 4596 5063 16 16283 2633 1 8597 2691 2 11366 512 3 13009 2488 9 2588 492 1 15928 4319 1 15364 7556 2 16891 6719 2 3902 259 1 20118 2415 1 10429 880 1 14346 8183 4 143 2953 1 8762 3573 5 2629 1252 3 6617 1277 1 12133 4534 1 15205 870 2 7823 2307 1 1647 620 1 16089 1743 2 18237 1770 1 12775 5496 1 5031 2641 1 1109 3911 1 719 912 2 1871 1247 3 896 6058 10 15390 2860 1 19934 2261 3 10057 251 11 11352 2708 4 4449 5413 2 4108 2675 2 16373 6633 1 4195 303 1 14600 6801 1 12688 4698 1 12279 3391 4 9999 6892 2 19562 1780 4 16844 2737 7 18755 3479 1 4459 3747 1 8072 952 1 3696 1251 3 14730 3361 1 9206 3536 1 13945 1643 2 6884 194 1 18992 603 2 4806 2534 1 16810 774 1 15761 6004 1 655 23 2 12751 2065 6 3258 236 1 4941 4333 1 2167 5404 1 6981 6677 1 9508 4204 1 12283 2678 1 14694 931 1 93 4192 1 17432 6065 1 11857 1707 1 314 5159 1 18069 5202 1 7914 1440 1 2496 2708 1 20181 2623 1 13445 1417 1 3340 418 4 3484 1705 5 9234 863 1 11898 5301 1 5602 1146 1 1212 4029 1 5022 4667 1 15025 4521 1 1444 7901 1 1991 2748 1 3337 7058 4 9538 3669 1 6813 5969 1 16825 236 4 1150 5914 1 6418 4056 1 5980 215 13 14313 7832 1 9862 534 1 19346 1302 1 819 7525 1 19272 190 2 19470 2409 1 13743 10 1 2834 2363 1 19568 1715 1 5208 1519 9 18973 7506 1 12102 3020 1 1944 1711 5 14882 6434 1 3583 304 1 17958 1309 5 6233 7008 1 15379 858 17 18705 864 1 6630 1423 1 1542 1707 2 8470 282 2 13591 629 2 10999 3819 1 16109 184 1 15185 336 1 15676 3798 2 13328 935 2 8321 5996 5 9453 679 2 4505 2109 33 1551 1242 1 3667 218 1 159 1312 1 13008 1286 1 14218 6184 1 9586 2138 3 3805 4761 3 2818 3536 1 7017 6140 1 6658 4448 1 1062 2388 2 17799 905 2 18340 2502 5 13002 7308 3 8416 2507 2 10948 1378 1 13829 533 10 16574 6607 1 8925 4944 1 10180 1342 1 19957 719 5 6520 1743 1 20133 1898 1 5387 1171 5 6392 4706 1 14061 4204 1 5692 4635 7 389 7919 1 16360 6009 4 4106 2969 1 7023 1184 2 13210 5353 1 14599 818 1 4917 201 1 4769 23 1 13461 2353 5 3106 1507 1 17986 1985 1 4447 186 1 11857 2539 1 1695 3493 1 14875 6801 4 8867 184 4 4283 1093 5 7174 2884 1 8499 2349 1 18538 167 1 7060 470 1 333 5521 1 992 5461 1 20181 6682 4 4240 215 3 17400 2508 1 19568 1734 1 186 7719 7 13302 1251 1 14313 3960 1 10840 225 1 20180 894 1 11072 1707 2 19525 229 1 17930 1825 32 1893 5454 1 18258 4555 6 4719 1748 1 14206 7427 6 18096 5424 1 7366 1757 1 11272 2248 1 7505 4013 1 11271 23 1 5514 2569 5 13239 1830 1 10340 95 1 13800 3824 1 18431 1253 1 4216 5414 2 14800 676 1 2752 3074 2 5964 3005 1 6089 1770 1 73 3405 2 2406 3427 2 5606 219 10 6776 1739 10 3791 2044 1 6227 1827 5 6140 6682 1 2716 1235 1 54 2605 6 2962 828 1 11936 3353 2 1214 759 1 9883 8111 2 14900 1239 1 3121 6931 4 10733 4245 1 3331 228 2 14446 214 1 17855 1484 1 14493 2580 3 15513 223 25 6519 2424 2 2600 3682 5 4356 4761 1 14861 6192 7 11648 3337 5 18413 7684 1 13998 8084 2 11032 6252 1 5 152 9 13773 1764 1 9282 411 6 6144 441 1 11321 5570 1 15170 6224 1 13531 7719 2 9793 1736 12 3808 201 2 10103 235 1 18205 1464 4 11402 621 1 6124 36 1 8751 523 1 1864 2584 1 16028 1740 1 17152 1781 3 12777 3556 1 13329 2691 1 20261 5294 5 10 266 2 1078 8157 1 3103 7332 1 13685 7883 2 2375 883 10 378 745 1 8735 184 1 12619 136 3 16895 2626 3 12159 1661 1 11766 1996 1 8375 5381 1 1011 616 1 19444 411 1 10734 5559 1 12037 3491 2 13228 883 1 4558 235 1 6408 6518 1 17088 188 3 11971 1995 15 17995 7723 3 6819 2698 3 6848 1307 2 6645 7030 2 6934 6415 2 14812 181 3 16889 6341 3 170 1944 1 3962 4245 2 19094 1788 1 2780 4972 2 14049 6229 8 12472 7242 9 16622 1658 1 15818 2353 1 18257 2410 1 11467 2478 3 2060 3491 1 3548 4621 1 5454 4929 5 13827 2352 1 3588 2980 1 19360 2998 5 6479 3438 1 16063 1369 1 19243 6213 1 4784 1703 1 9933 545 4 178 214 2 1223 5523 1 12964 3571 2 6424 5922 2 679 6776 3 15398 797 1 10640 1743 1 16814 221 1 2267 4597 1 19026 1714 1 12110 1582 1 2103 229 2 5577 7177 2 13731 6690 1 13297 867 1 11781 2401 2 8439 1721 1 19739 4615 1 14786 1753 1 14317 5082 1 11354 5431 1 7929 7719 3 12841 5811 1 1962 367 6 6333 2881 1 3496 244 1 14960 814 1 1274 1235 1 1125 1112 1 19149 2071 1 16150 5062 4 19568 190 1 40 2131 1 3571 6591 2 7672 1756 2 8408 840 11 2584 207 3 12929 5243 1 19996 258 1 11128 1985 5 10377 1729 2 11158 1454 2 16264 7302 1 1028 3850 1 8004 2729 1 7943 205 1 6431 100 3 9778 653 1 15056 687 6 14284 1470 1 15844 2640 2 2238 4319 1 252 4022 1 476 2734 1 4963 201 6 18122 2675 1 19751 5060 1 4748 1352 1 8561 3647 1 7050 743 2 18359 995 3 20090 6793 1 3797 473 5 889 604 2 6474 4716 1 16242 7229 1 15443 2699 1 120 5254 1 19316 7619 1 9422 1275 1 10160 6091 1 9374 235 2 4634 3351 2 10799 2265 1 6644 1440 2 6332 23 1 5271 2998 2 18197 3525 3 18750 644 1 2135 220 4 12400 3998 8 12273 804 4 9864 3621 1 12087 6557 1 2041 524 23 8597 638 12 12981 4316 1 8946 911 3 9743 313 2 770 593 1 5505 2534 1 12010 7750 1 6124 534 1 10916 867 5 1423 4180 1 4411 1757 1 16805 1746 1 2803 6288 1 10775 23 7 3468 227 1 815 514 9 18232 545 9 18064 6295 1 4156 3045 1 8870 164 15 3892 5120 1 11412 197 4 14883 2698 2 19143 916 9 19999 5575 1 13916 4183 3 8439 1464 1 11668 1363 1 18099 5674 1 10875 7414 1 2480 327 1 19326 502 1 13252 1942 4 11533 642 1 4663 1303 1 15932 3262 1 3351 1656 1 456 3512 1 4601 347 1 17368 1340 4 4663 3824 1 14365 7259 1 10452 720 1 5879 2043 1 11519 6539 1 8416 5289 6 18871 1121 19 11251 5212 2 19210 809 1 1915 201 26 15084 2254 1 15782 4274 1 2030 1342 2 14376 2731 5 1571 1718 2 140 6444 2 19075 6338 1 13638 3287 1 17083 500 10 10525 5496 6 12918 1036 4 17099 5648 3 1398 2673 1 3207 1762 3 349 694 1 496 229 1 4169 1453 5 19193 495 9 15982 3596 11 7417 7901 1 13302 903 1 20225 732 1 13131 568 1 4087 508 1 19963 514 1 14255 190 1 10393 4615 2 454 624 1 14583 327 1 19607 3540 1 8597 1482 5 15865 4232 3 17132 1751 1 745 597 1 5502 6865 1 2271 5294 1 20089 524 1 2087 13 1 12775 6232 1 12683 156 5 6213 1741 1 18447 252 3 8242 190 1 4240 2399 3 2286 3138 1 18042 6914 1 12427 206 2 17664 1745 2 10393 1814 1 2584 236 1 899 619 1 6332 2720 2 10105 13 2 16313 5594 1 6630 6131 1 2126 5223 1 14493 3251 1 11559 1282 2 20132 156 4 1289 3760 1 2966 525 1 10398 1245 2 12826 7556 1 7441 2541 3 6835 3841 1 6539 608 1 17983 1814 1 1776 1752 1 19608 222 1 12511 3525 1 4248 3411 1 3164 2600 1 17761 1235 1 4383 3480 1 9269 852 1 16090 7995 1 13685 4095 4 4498 1438 2 438 2009 1 17165 7245 7 18610 5661 1 4876 340 1 16664 2549 6 13978 4711 2 17048 3979 77 13668 2534 1 8818 3009 1 4301 4635 3 16517 7929 3 322 372 3 17548 7987 1 5128 2675 1 17701 1369 1 364 6507 1 9574 1244 20 14312 1373 1 18561 3216 1 8582 4029 4 862 1343 1 12611 6684 1 4960 7404 6 9865 197 1 3074 1193 1 6305 1315 3 1131 308 20 10681 203 1 7000 3534 1 4943 533 2 14940 4375 1 17084 1244 1 13636 229 1 1835 8167 3 6420 905 3 18748 4623 5 3770 7586 1 12885 5536 1 20046 6355 36 10267 518 1 13205 1783 2 18883 5341 1 15362 1677 1 9720 6101 1 3059 1186 1 16636 64 6 3852 6826 1 10349 1814 1 6452 3318 1 7007 1825 9 11363 6122 1 18193 1747 1 6886 6139 1 19600 221 2 5320 1687 2 5023 3285 1 140 6391 5 10823 8139 1 10145 6170 1 17953 1903 11 2907 4329 1 8401 1757 2 19313 7850 1 5825 1924 24 17463 6554 1 18039 709 1 18021 1727 2 5769 395 1 12221 1730 3 840 3916 1 10586 4620 1 15128 501 2 1542 1747 2 10126 5792 1 17710 1707 1 7485 1613 1 1618 173 9 11495 5193 1 14063 3748 2 57 2697 1 17113 1782 5 17353 929 2 813 1573 1 12367 4459 1 9054 670 8 14196 1573 2 11241 1567 1 9395 1705 10 17638 967 1 9056 1705 1 9168 2104 1 6183 1743 4 15146 6677 2 3841 4252 1 13535 3086 1 16665 7359 1 15687 1743 1 8197 7287 2 15881 4291 2 18038 6064 1 15041 4992 2 18476 7622 2 13668 525 1 886 3323 15 14599 652 1 19409 207 2 5498 3540 5 8361 5097 6 14633 1245 1 4253 863 3 18476 520 1 8841 5959 2 2761 2980 2 1940 221 2 4593 689 2 120 5253 1 7822 5655 1 13600 1420 2 640 7736 1 12226 554 1 12829 6152 1 10621 864 1 13300 1417 2 10279 3134 1 5613 682 2 4188 1062 4 15151 757 4 270 184 1 15220 1417 1 15468 4944 1 16645 1729 1 3295 2555 1 1608 5451 1 6980 7991 5 16388 3705 1 3150 7624 1 10080 5141 1 2194 640 1 15919 206 10 8663 2271 2 10553 385 10 4511 466 3 18251 1705 35 5589 1756 1 7449 1332 3 10883 5400 1 6781 524 6 18115 3840 1 11964 1783 1 20016 220 2 18190 2360 7 13040 6723 1 4282 1052 1 14997 867 1 18867 1751 1 2748 4022 1 7987 4411 1 3173 4065 1 15958 869 1 7710 1309 1 542 1776 1 87 4029 1 4182 196 6 11489 1687 1 8717 1778 4 18879 1190 2 14580 7477 6 1587 724 2 18431 1244 2 7256 3694 2 14564 1705 1 1481 3464 3 8177 5700 2 1711 2508 1 11220 2480 1 11327 1780 5 3750 1198 6 5471 6568 1 17476 3900 1 1613 73 1 17051 1719 1 11164 3617 1 7537 6106 1 1389 8160 2 8457 1730 2 9622 422 1 6619 520 1 9894 716 1 1997 23 1 15231 141 11 10151 6701 1 8237 3446 5 18346 520 1 13416 231 1 10601 518 1 7383 6051 3 19872 1705 1 2613 2062 1 3971 213 1 18781 4107 1 4167 3228 3 11430 84 1 18398 4261 5 19498 7238 1 2169 219 6 4069 3909 3 13745 6185 1 8614 5402 2 14612 4397 1 11709 3540 3 19030 27 1 16881 8035 2 9700 2815 13 4625 5319 2 3103 222 1 8178 1246 3 9757 3337 5 8053 1738 1 19602 6145 1 9732 398 1 12762 4953 5 6191 948 65 7355 1244 3 1579 1737 15 12025 497 15 13212 411 1 1718 6865 1 10010 380 1 11335 525 1 18538 2678 1 8980 2176 10 15691 1146 2 15681 3591 1 18237 1245 1 17506 4855 1 14265 1695 2 6668 5138 1 15615 6242 1 954 4086 1 7347 205 1 73 3347 1 10949 6897 1 10730 1742 6 8322 3219 4 15056 2144 4 19504 1725 1 9197 7102 2 10840 214 2 17550 4919 1 7090 35 5 9051 4245 22 15144 165 24 4696 35 28 16777 1251 1 9569 1037 1 229 198 2 13726 7021 1 9145 5575 1 495 5009 4 6892 943 2 10999 1239 1 5074 1755 1 9604 4325 1 9374 1242 1 11140 5011 6 19914 7874 4 14020 6816 1 13999 223 1 9793 5031 4 16133 649 5 165 7526 2 4057 3943 1 8198 6507 16 855 1253 1 20167 8235 1 17622 325 1 2198 2718 1 9881 1975 1 12294 3911 5 14165 6003 1 12212 229 1 3382 3591 1 10313 2493 1 9362 4995 1 19538 4029 2 2617 3411 4 2213 81 1 19341 1755 1 14896 2640 1 1232 3074 1 9631 7018 1 13839 687 2 19272 7853 1 12953 883 1 11756 1721 1 7332 244 1 8388 4706 1 1045 215 2 17886 798 1 12500 2636 2 14661 6150 4 13601 2419 2 5996 199 1 1631 5207 2 1194 1249 1 19486 1119 1 2853 2736 1 15008 4323 1 18259 169 2 19568 1784 1 18548 3334 8 11705 5097 1 10754 219 1 4277 1482 1 8218 2355 1 17 1224 5 15474 1778 1 2688 923 1 13676 2097 1 6206 8094 1 7532 2327 1 798 1305 1 2708 656 1 11999 4005 1 11334 8194 1 8299 3378 2 15743 1781 1 7416 4961 5 554 23 1 6838 816 1 15379 6126 2 14547 6100 2 19105 1685 2 13733 3088 1 5318 7250 7 20148 3388 1 5617 3808 1 13243 2356 2 15633 3230 2 18014 221 3 19246 6332 10 18183 1781 1 13829 1730 6 2545 687 3 10633 184 1 5671 3453 5 17770 5151 6 11277 2789 2 5498 2363 1 3889 3600 4 5563 3266 2 19874 2512 1 8585 4945 1 4716 222 2 15364 5906 1 16286 479 3 6570 6025 8 19336 6059 1 7131 6495 2 3311 6334 1 1722 1235 2 11399 4303 2 16636 2291 1 4688 885 1 4688 669 1 18160 4413 2 3195 1175 1 12715 5018 1 3703 5385 2 15104 1235 3 7987 1761 7 13148 3283 1 5717 1665 1 15149 5549 1 13269 6139 2 9894 810 1 15608 2539 1 6070 6549 1 1718 1482 1 3146 1967 3 16860 2864 1 16266 514 3 19574 2584 3 11525 1664 1 6449 5995 3 10821 722 3 19009 589 2 6296 7466 1 18021 4435 5 1870 6723 1 18175 4604 1 2519 2338 2 11709 2867 9 1513 1277 1 11472 5575 2 174 8096 5 1068 667 2 7065 6482 1 13126 5141 1 8952 8072 2 2367 295 3 3663 4099 1 5966 1557 1 12064 1357 1 8223 1119 1 15665 867 1 14114 419 2 13997 366 1 10107 6552 1 6970 1755 1 11657 3649 3 9702 220 2 11326 6670 1 16197 2626 2 1618 203 7 18727 8184 1 15726 252 13 3085 2002 1 11742 4022 3 11856 7850 2 10248 1245 2 10698 637 1 3931 1768 1 13601 792 2 18133 128 2 244 2992 2 9199 3900 1 13461 46 6 19780 7573 1 8394 416 1 19957 3438 1 11985 1686 1 17033 1752 1 5594 1271 1 11340 1954 1 7010 1649 8 10235 7254 12 4256 5020 4 9495 5341 1 15791 2915 1 1625 6446 2 16790 502 1 174 8021 1 6610 7815 1 11121 4029 1 13461 1761 5 12210 1760 1 17373 1342 5 6624 202 1 7480 1238 1 13544 87 2 18315 1714 2 19088 1762 6 7455 7332 2 12818 3634 3 6776 1727 7 3559 6510 41 17653 1036 1 6824 1835 1 13677 1781 2 12629 1587 8 492 8184 5 4361 1814 1 10354 524 1 5613 1396 6 11588 3907 1 17123 6801 2 16676 4951 1 19208 5018 8 11769 6643 1 13825 6706 1 12177 5083 1 3258 1184 6 18546 827 1 13634 3929 1 1712 4879 1 5141 6150 1 42 2176 1 9026 207 2 14253 220 5 19468 6383 1 19313 1775 4 9456 1342 1 14350 524 6 8250 4620 1 11131 1203 1 13947 2884 5 14764 5035 3 9358 1729 1 7326 4435 5 8821 3284 1 19030 3007 1 4985 812 1 149 6747 16 3338 7586 1 19193 1250 1 364 6325 1 17952 7862 1 11363 3892 13 8754 6192 2 10413 6623 1 15580 721 2 7823 2869 1 1279 1686 2 16692 336 1 16491 813 1 18496 4242 5 6265 1781 1 11513 6341 1 13871 5763 7 7449 7665 3 8499 2686 3 14817 3632 3 18115 393 1 7180 467 2 15098 505 26 6219 6380 1 19628 1751 1 2674 3572 1 6063 3911 1 4746 454 1 2520 4252 1 8174 6779 2 15936 47 2 14089 1755 1 31 525 7 13732 3909 3 10290 1761 1 8198 4345 7 19959 3263 1 4822 3233 1 14905 207 1 17507 23 3 838 3320 2 4764 5018 8 9485 1732 1 15504 1042 1 4019 3023 2 6987 201 1 4817 23 2 9865 3175 13 17864 470 4 18408 4245 1 11616 4226 1 12131 738 1 2917 765 2 5251 3578 1 4397 638 3 13 753 1 17478 8020 1 16506 1681 2 13 651 2 11218 3999 4 8609 4446 1 7109 3224 1 17562 2731 5 8951 5505 1 3687 936 1 4106 6687 1 12140 1715 3 19016 3881 2 10855 6198 1 16681 2698 1 15743 1237 1 18693 541 1 1437 3163 14 14429 3697 1 3201 880 1 124 2329 1 1902 1698 2 15778 6288 3 10381 221 1 8528 1464 1 13097 743 1 6790 5708 5 5458 2502 1 4599 203 5 4305 3819 1 12308 1686 4 11626 6004 1 7460 5018 3 12249 7255 1 15642 5820 1 19869 1027 1 4673 1211 1 20128 7491 1 19056 3540 1 20181 520 3 2886 2871 4 576 3036 1 359 203 27 11591 1369 1 11363 3337 7 19347 7850 1 17327 3721 12 2004 1252 2 9778 2774 1 10318 545 4 6673 519 1 13329 3667 1 11271 6979 1 2929 1251 1 14425 1734 5 19119 5243 1 18410 3230 41 15614 3511 1 15075 244 3 15802 321 3 5479 314 1 9319 1686 1 7790 874 1 10610 743 1 803 3878 1 14035 6716 1 1721 1776 1 19813 1235 2 6527 643 1 12290 2423 6 554 1716 1 20044 42 2 8042 2816 1 9395 4252 1 12505 537 1 9284 5346 2 1488 2705 1 10162 6701 10 6488 1420 2 19594 1737 2 16109 23 5 1366 235 1 10310 3440 13 3768 2708 1 15881 6699 1 15127 220 1 19246 3463 1 17353 3167 1 5559 502 2 10531 5997 3 15284 4056 1 1304 223 1 201 1955 3 12447 3483 10 18207 397 1 8548 220 2 9304 1727 2 1305 667 1 16236 1357 1 8872 34 5 17019 292 2 15687 4446 1 5656 4761 3 15390 4380 2 866 4559 4 15411 3518 10 11998 1251 1 8058 2209 1 15778 3319 3 2960 1724 1 9341 2378 2 8271 6341 1 9816 2686 1 8965 8178 1 2450 6607 1 9546 600 1 19053 650 1 11846 207 4 6745 277 1 19649 1695 4 2735 1739 1 14670 8200 5 12755 4366 1 576 498 2 11668 23 10 16236 1730 1 10055 2114 2 11343 1245 1 14300 5002 2 19568 533 1 19000 2493 2 3057 1147 2 8847 7156 5 9796 200 3 1 12 1 8493 7229 2 7823 5903 24 11681 5559 1 13626 1905 12 15955 1921 1 15718 3882 1 6855 6536 1 1620 6029 1 16816 8167 2 19286 1518 1 4239 4435 2 19813 4242 1 9948 6780 1 4924 867 1 5295 5245 10 17383 2367 16 6835 1729 2 14804 6334 3 14530 6219 1 14527 768 1 17870 4698 1 7726 5425 1 13802 7186 2 10344 1582 1 17995 1105 1 19649 536 1 14298 6286 1 11135 231 1 7568 952 2 18402 6139 5 13668 6723 8 13105 6780 2 15515 222 4 8228 3511 6 6126 4811 9 11485 5271 1 2121 203 10 5290 1658 1 997 7396 2 15220 184 1 127 5751 10 15383 2128 1 16123 2254 5 18174 1417 1 4121 3876 2 16508 1275 1 1498 2918 1 8939 1764 1 1114 2355 2 17809 1770 3 4076 680 4 3687 809 1 18450 2841 1 15852 7178 5 13335 5054 6 11800 7206 36 8901 8192 1 7747 2620 1 124 516 1 6403 520 1 8198 861 2 220 3640 1 14114 2076 1 9725 2511 1 11008 1720 1 10554 5674 1 9672 3669 4 19270 2805 1 109 4940 1 8039 2233 1 8159 653 2 5357 380 5 1608 461 1 1665 4607 1 8356 1921 1 17156 724 18 65 3198 1 19336 1728 4 7800 637 1 12055 893 1 9449 23 1 15789 1728 1 12783 4938 1 17000 5051 1 1807 1695 8 10060 6602 2 18680 3190 3 1127 2756 1 17389 1995 1 7994 892 1 20191 2027 2 3505 8041 2 10584 244 5 6078 7313 1 18340 5389 5 11842 5277 5 8082 5737 4 11072 4435 1 19110 3227 1 18043 1273 1 3485 1276 1 1825 3663 24 13777 525 1 2004 196 7 3338 7352 1 9709 23 1 8152 207 6 19663 753 49 1483 3999 2 10554 579 1 1986 1324 5 13767 1612 2 18237 232 4 14751 1246 1 14216 1648 1 4539 1781 1 18212 4623 1 4668 5504 5 20016 4407 4 5407 7494 5 3980 5531 2 4963 3635 2 18519 4007 1 11678 1732 1 4223 1717 4 1467 6173 1 14965 682 6 1823 5018 11 18151 50 1 16808 1672 3 7853 5330 1 14162 3972 1 5639 7210 2 121 5311 2 10786 365 1 16077 3676 1 17589 5829 1 7523 1776 20 11402 4479 1 19945 2668 1 13227 148 1 14690 2363 1 15096 2131 1 4382 1761 1 3031 2580 2 6387 5919 1 19730 1190 1 6987 5565 1 13425 679 1 16853 4716 2 7080 5866 1 5036 1747 1 20007 5281 1 10313 438 1 18614 5452 1 10728 418 15 5424 7439 1 2058 4296 1 9759 5375 1 16784 214 6 92 4179 1 17549 1658 1 1826 8126 1 7061 5513 1 9720 1727 1 977 6254 2 10649 1589 1 15534 541 1 12837 7857 11 5347 5018 5 10808 3556 2 5593 4607 3 16698 3752 1 5312 7089 1 16 1009 2 19429 2327 5 15355 7727 1 16227 231 2 15192 3588 2 15340 1752 2 7763 7518 1 12851 3367 1 15924 4653 1 13031 1717 5 6867 1732 2 11160 231 1 16959 1314 1 15429 1582 1 6415 510 1 15405 2641 1 5675 3113 2 14592 534 5 3376 201 17 16270 639 1 10353 410 1 2447 2584 1 11601 2885 57 12597 219 26 1389 4987 1 8793 837 1 9155 404 1 10205 7406 1 15791 2110 2 15400 8175 1 17331 5082 1 18029 244 3 12639 1313 1 12071 1402 1 8211 1252 1 2532 222 1 15664 220 1 9077 1898 14 18943 16 4 2813 419 1 8832 3487 5 17 1053 1 8825 3904 2 13408 753 2 9110 206 1 26 1577 1 14546 2261 1 8665 4013 1 6578 5402 1 15997 4789 1 11025 745 7 14902 148 1 14738 2369 1 9178 3320 1 3337 6953 1 1893 1037 1 11402 348 1 17562 23 5 19486 5312 1 4524 2355 2 3947 1814 1 18560 5663 4 8980 3645 16 5141 498 1 10554 367 3 174 7989 2 4657 186 8 1671 380 1 3637 7894 1 19283 1752 1 15471 4909 1 16997 1242 7 19486 62 1 11194 2864 4 7445 3011 5 10442 1207 2 5480 514 1 19007 745 7 8312 1784 1 16569 3619 1 17298 1363 4 1166 4649 10 1474 1729 9 14522 737 2 5757 723 1 18042 173 1 13456 3916 1 15881 638 1 1433 1146 1 10725 1294 13 96 222 1 11968 201 1 15394 2350 16 160 7272 1 10078 517 3 6989 813 1 19653 1775 6 2429 541 2 12188 5243 1 4495 760 1 20206 2671 1 5342 335 1 15948 214 5 1280 411 3 10162 2192 1 15755 173 1 18847 348 1 3323 1797 1 1398 3698 2 6853 2009 2 1840 7184 1 1997 2671 1 11562 6192 2 11346 3057 1 1367 3511 5 4602 5584 1 17142 4351 6 17618 1775 1 18149 1726 7 17033 7890 1 164 1466 1 6010 5285 4 10593 223 1 1721 5448 1 18867 5353 2 13097 5420 7 18014 6500 1 17306 6213 1 16616 2626 17 229 3536 2 19596 3876 2 9638 1781 6 9946 495 1 5500 222 1 4963 2143 1 19739 223 2 23 1425 6 30 13 4 8154 1751 1 2769 867 8 12521 877 1 14672 5448 4 17379 6081 1 4093 5271 5 7392 2729 1 8703 2008 1 8396 222 1 18760 2636 10 1886 11 1 12614 3540 5 10733 776 1 18149 3911 1 14662 5535 1 16057 6025 1 18307 232 2 1986 1739 1 1904 3113 1 20253 4174 1 18462 812 2 4841 3328 3 8397 7299 2 15511 1903 1 18089 792 1 17088 1247 2 5264 1955 19 8478 4290 1 9622 399 1 11363 6682 1 16090 831 5 18871 3570 1 7287 1240 1 12364 2671 3 13323 6532 1 17127 1146 2 7315 4156 6 9482 2363 1 17529 2675 1 9478 1236 2 14744 532 2 6620 6035 1 2827 1762 2 4920 576 5 9118 6052 1 593 5016 1 16442 1244 4 14911 193 1 4611 5398 6 14318 4655 2 19658 1312 2 11287 3173 1 5947 5730 3 19818 995 6 4305 4100 1 17477 525 7 16622 1623 1 11678 3703 3 727 4022 1 11183 3255 1 8952 1152 1 2917 2488 6 6892 1319 3 12872 219 5 13046 222 4 19359 1406 10 8334 1955 1 17056 3692 1 12424 3906 1 3281 1736 1 10102 1104 2 10543 232 6 3683 2860 2 13373 428 1 19680 5453 1 16603 3925 2 153 335 10 8795 532 2 2917 1358 1 8682 3511 5 14305 935 1 3335 3914 2 12125 2511 1 16700 629 1 4806 3460 2 4492 1717 1 242 512 2 11769 233 1 1453 873 1 12052 1734 2 14397 7815 1 6769 1361 4 4211 644 1 12187 4248 3 15608 1739 1 17257 5253 1 5538 23 1 4612 7237 2 8156 7853 6 19603 3426 6 5356 800 1 2902 225 1 14284 5740 2 3934 2727 12 3040 1529 12 16546 4559 2 19776 6954 1 1612 214 2 143 6652 1 13743 7104 2 10847 962 2 6595 1770 1 14647 200 6 4614 5298 1 5784 1715 4 14211 303 34 13589 1776 1 15649 2294 2 12284 6259 1 9604 508 6 10695 1755 1 9572 7916 3 4255 5005 7 443 7535 1 7645 7237 2 13941 2419 7 16087 5490 1 176 8147 1 4796 1946 8 12322 5018 5 7894 2831 1 340 2800 3 12216 1737 4 16016 5532 16 6375 1301 1 45 2321 2 14144 4280 1 15599 1267 1 4092 7614 1 8271 8013 1 16831 532 1 8061 200 20 17131 3626 1 11238 8029 8 19790 3834 2 3927 667 12 19294 222 1 2046 4222 5 9296 4357 1 16533 534 1 2186 201 2 4795 1328 1 7774 1762 3 8271 6209 1 17734 963 1 17649 1781 2 857 1239 1 15712 1482 2 14346 191 8 4106 5418 1 8614 5399 1 4115 194 1 4197 1146 1 19671 215 1 7176 196 3 7998 6638 1 18603 2369 1 6145 5811 1 4189 5932 1 2292 244 1 6414 1630 1 3020 1147 5 2009 1946 3 15039 5081 1 13581 6229 8 5996 3287 1 4619 1701 1 9176 4188 11 12757 4064 1 14765 4996 8 6656 3512 1 10698 758 1 7206 4225 1 11685 3212 2 16843 3358 18 1218 1824 3 11999 395 1 1291 4984 9 8532 1717 2 18720 5922 1 8074 2363 1 11861 1312 12 583 6334 4 11 375 2 18693 1893 2 14957 514 2 3240 4992 1 20148 4299 9 3806 525 3 13733 215 3 19943 225 3 1766 2955 1 6183 1250 2 19649 220 1 7705 344 1 8754 5266 1 3967 2534 27 12809 3612 1 10690 2815 1 16459 1994 1 16342 5115 2 1013 4454 1 19964 221 1 464 81 5 15679 4382 1 343 225 2 6387 360 1 3475 3462 1 17217 524 2 6611 1734 1 19239 2675 4 50 2508 1 5110 3366 3 17995 2392 11 15241 7250 3 1151 4963 10 8528 233 1 9921 7840 7 11938 1705 6 4490 496 2 7231 215 1 16546 5873 1 8326 23 1 7469 4814 1 952 2355 1 20191 2029 6 15455 3222 2 13644 4992 1 14146 629 3 15883 3482 1 12759 6167 5 7410 3892 1 13328 2893 1 5928 5077 7 12638 631 2 2712 1460 1 3834 5062 2 7951 2675 1 19602 8020 1 10556 1991 8 822 845 1 13734 6892 2 10661 8194 12 9443 498 1 12366 2338 2 2674 2028 1 6568 2355 1 2486 7853 1 14797 2396 1 19062 5187 1 13899 203 10 8825 205 5 9014 6229 1 5173 38 5 16857 184 1 9941 1184 5 12292 6801 1 1525 1137 1 15217 3945 1 14512 616 1 14225 2569 3 6387 7726 1 7682 925 2 4558 7112 1 9224 3557 1 17983 1730 3 3025 520 1 6027 7227 1 19434 6334 1 1852 308 1 10104 1107 2 15159 5389 7 1172 398 1 10114 995 1 8478 550 1 18290 6150 1 7850 4676 3 18658 4992 1 7705 357 1 2369 8238 1 15720 1278 14 13810 3161 1 16395 308 9 5251 1328 1 15042 5440 1 9044 6558 2 10266 3230 52 9357 5600 1 4524 325 1 14730 3378 1 3342 3972 3 13630 1760 1 18237 7850 2 19196 207 5 2879 1819 4 19855 840 1 6641 1464 1 15080 1244 1 8447 2376 2 3975 1373 1 12814 1758 1 18546 637 1 12821 359 1 8232 4458 1 12136 6772 1 9713 232 2 9171 74 16 19977 470 1 3985 6611 2 10693 21 1 15849 5051 1 14622 1084 1 5939 4706 1 15726 3512 1 10029 190 2 16588 2410 2 3043 6669 5 4788 2817 3 13543 709 1 19322 2097 2 7179 603 1 19234 1716 3 8022 8169 1 20059 252 1 1162 1819 41 10859 7542 2 14898 1361 1 17290 1505 3 83 3702 6 2913 676 1 19683 225 1 11845 5150 2 13909 5478 1 18905 2675 1 11010 5052 1 15522 5730 2 17480 7968 1 13067 2760 3 460 2287 1 2905 230 1 105 4696 1 1957 696 2 13615 2146 2 15364 7554 3 11975 541 1 15272 910 1 8585 1747 2 18696 3669 1 12 523 2 5336 524 1 18494 1990 2 886 3999 7 17533 1825 6 16256 7422 1 12979 7539 1 16270 649 1 7621 1467 6 17724 1251 1 15712 1250 1 19000 4099 1 6700 1334 8 1397 7098 1 5349 2970 2 6953 805 1 14147 173 1 12008 8167 1 7458 1342 2 6025 4336 1 13564 236 1 14825 2246 1 10416 1734 2 10580 1768 1 15599 6673 1 83 3868 1 6818 5346 6 16500 2068 5 18040 651 2 7251 1927 2 4963 5879 2 5104 3540 1 4118 3494 11 73 597 2 19217 3404 1 9195 2262 1 9279 1776 3 15971 2557 5 108 4906 1 2114 203 10 19688 1396 5 18763 214 1 19241 733 1 4147 4653 1 19680 2836 1 12140 5408 2 12230 3611 9 3935 2662 1 12452 1277 1 13100 520 1 7879 1474 1 17652 6622 1 9187 6204 5 18887 508 5 15743 1784 1 732 3227 1 9695 2727 1 14894 7830 16 385 23 1 8826 1296 9 6934 6355 1 15029 1454 1 5290 1895 4 13800 2642 1 13304 3615 1 14052 4728 2 15599 2632 1 20230 684 1 11545 7554 1 7507 1762 1 14583 3495 1 2798 6423 2 6875 7414 2 10916 629 2 20250 2410 1 5036 1146 1 5003 7719 45 3399 1251 1 20248 8171 3 20256 928 1 8735 1776 8 13731 1332 1 17239 1342 3 17716 6457 1 3218 2726 1 8708 1706 1 18753 6829 1 17585 1170 1 153 6932 3 8226 7709 1 19030 3569 2 10111 1239 1 3568 6574 1 7094 1780 1 2690 3822 2 10416 5016 1 14957 1649 1 1689 219 2 4898 506 5 17449 1776 1 18637 3900 1 5318 6156 1 7783 922 1 11139 6793 1 16589 5467 1 19470 235 1 9245 1717 1 13976 5275 1 6155 5578 2 15412 3911 6 19470 7266 4 145 6687 1 17405 6537 1 11569 2998 3 62 2965 1 5839 3122 36 2291 479 1 18113 1273 1 2297 1062 15 12283 510 2 18916 1369 11 8618 1757 1 4832 1714 2 19219 1700 3 807 1395 1 17228 1363 5 13403 4653 4 6228 5297 1 11243 47 4 2181 2899 1 15706 2849 1 11325 1395 1 13067 5523 1 13053 1921 1 6667 6957 3 1019 5099 1 9197 95 3 3817 6705 6 3246 6647 1 6213 6183 1 5354 3076 7 1059 4716 2 349 674 2 18148 800 1 5959 1251 1 815 1756 21 12464 1726 4 143 7 1 12361 575 14 10477 4575 1 14753 1131 3 15429 1573 1 10309 678 1 18071 596 2 3771 3634 2 13148 629 1 2325 5060 10 3950 5048 2 19023 5710 2 4328 223 8 1219 23 2 10532 5539 1 7652 4435 1 18768 5068 11 349 752 1 14784 232 2 15086 5561 1 14994 183 1 8532 221 5 3994 4105 1 7802 1396 5 17989 232 1 16176 6801 1 13028 3219 1 15817 3492 1 19085 1724 1 253 1334 1 12543 1236 1 5364 1357 1 4634 819 1 6568 7256 1 1391 4026 1 15323 206 1 6449 2253 1 16378 1743 2 13790 1757 1 12502 519 1 7478 3934 1 12152 5674 1 6262 1241 1 6107 1728 6 14762 214 2 17 1137 2 5591 2860 1 9168 1739 2 19567 5294 1 8209 5427 1 17314 519 3 15015 6016 3 6236 6615 1 15712 3649 12 1059 2912 1 1298 2591 1 6712 839 1 3768 2378 10 2146 229 1 10442 3748 1 9213 1825 1 8412 629 1 4573 219 10 15639 1250 1 10549 7258 2 5356 823 1 8980 1334 10 14308 1770 7 7516 7240 19 19239 1243 2 17145 2569 1 9029 605 1 3939 5365 1 4449 6473 1 11259 5256 3 20242 4582 1 6642 7808 3 11058 531 2 14038 1965 1 1139 1344 3 13607 5261 1 6327 1707 1 13839 779 3 12079 46 2 2124 1146 1 10930 520 1 18079 1788 1 16180 4019 5 1059 4640 8 15578 169 4 14305 571 2 16755 367 2 3852 2522 1 9608 3684 1 8358 1322 1 1801 6084 1 1893 136 1 9188 650 2 3397 789 1 12378 1735 2 4693 6744 1 15139 2316 1 4622 3197 1 18728 1783 2 12133 3172 1 18231 6229 4 17725 6793 1 6191 4391 3 12245 1764 2 201 1495 1 17331 219 3 3516 6776 1 4126 3058 1 16185 1112 2 9178 6435 1 13444 1758 1 11502 1814 2 3817 46 1 3939 4695 5 18476 3635 1 4960 1275 2 20 532 1 6207 509 2 14801 6065 2 8599 2325 1 18481 2726 16 3090 1146 2 126 5674 2 19401 1184 6 7184 1243 1 12653 3020 1 4092 5437 2 8152 1747 1 5411 5414 1 7631 1903 1 3915 3476 1 16524 3222 6 62 2903 1 17388 207 1 7020 3689 1 1456 5031 1 18934 3367 1 2127 2646 3 17184 690 1 14059 1137 1 12502 631 1 15321 4012 1 20128 2016 2 7640 1660 1 10166 186 1 12440 6105 1 13770 1383 1 6348 557 1 9014 5341 1 18116 3625 5 11367 2488 1 18014 5566 1 14458 4853 1 16048 6537 1 15699 3512 4 15549 676 15 9791 2338 3 12275 3491 1 9391 1246 1 3310 500 1 819 454 4 9679 219 4 3966 6530 2 15978 3069 1 16674 4345 1 13475 6533 1 13337 235 1 301 223 1 14184 6640 1 3385 2591 2 13185 5817 3 9222 869 1 10314 339 1 7390 885 1 14522 505 3 11597 6966 1 160 7273 1 11345 201 1 11683 5082 1 417 136 2 2704 7570 1 16150 3190 1 14804 219 1 15311 1238 1 13195 3113 4 5445 3163 6 8540 7853 1 2525 5607 6 8152 883 12 140 6361 1 1757 74 1 9603 3081 1 16140 1172 1 1780 219 8 873 1582 1 19764 2521 1 6983 4119 6 4769 3015 1 3935 903 2 7219 4015 2 17743 2885 1 18968 420 1 5136 2357 1 14408 2676 1 4779 2382 1 4561 1658 1 16145 5018 1 16176 3137 1 4572 5291 1 19254 1707 1 10579 2011 1 8278 7905 1 13800 2508 3 10245 7719 15 5435 3896 1 15025 91 2 15104 203 1 5510 336 1 19243 99 1 4925 500 6 10000 383 4 12441 4333 1 15286 2111 5 71 3328 1 14032 4779 1 11020 270 5 10272 1757 1 1551 1751 1 10905 4935 1 19686 1245 5 20009 303 25 10785 3900 6 6920 215 10 12941 1237 1 143 1916 1 16777 8099 1 2437 1819 1 8015 944 2 10920 4435 5 16631 1819 1 9322 709 1 9904 3276 5 1804 3788 1 8930 7890 7 18082 6630 1 631 1261 1 4537 214 1 5829 1761 7 1564 229 3 8982 4532 1 17746 186 1 14753 7767 1 17463 15 1 9281 1238 3 15874 4387 1 17439 229 2 5213 1747 1 19391 4306 11 15782 1374 2 12431 7576 1 10749 207 7 16781 203 44 6660 222 2 14934 2257 2 12709 7333 1 5652 4615 1 153 6968 1 15052 5127 1 12506 4198 2 13663 805 4 16057 1296 1 470 3404 1 4596 1891 1 4689 1819 1 16040 1761 5 10192 1770 3 11442 214 1 6983 1455 8 9281 7266 1 6915 3686 1 4694 2801 3 16181 4242 2 4128 175 1 7480 3705 1 3395 1244 2 17269 665 2 20090 5253 1 2131 1658 1 4498 758 1 20092 1819 1 16018 7027 1 6420 5312 4 6423 97 1 3130 1623 1 14540 7748 1 743 2739 1 5943 5256 1 7761 1548 5 11756 1342 1 7306 707 1 9297 903 2 4404 1505 3 18128 200 7 6693 4724 1 45 2345 5 13705 3679 15 1089 3895 2 5568 1482 21 16339 1721 2 10155 221 1 5049 6049 3 3694 6677 2 18629 1715 1 19507 1731 1 5352 709 1 14519 1921 6 745 1748 1 19254 2678 4 67 3222 1 19241 805 1 14109 6272 1 4490 1242 2 4207 1819 2 12888 1779 5 2271 1340 1 17130 1778 2 5320 4805 1 7000 2146 2 8007 1720 1 4056 534 1 9374 1728 1 16877 5518 3 10567 530 5 15108 6917 1 8982 1729 1 16348 5386 1 5661 214 9 12695 6278 1 133 6051 2 6037 3167 2 10605 728 1 19193 3333 1 12818 3593 1 15282 2197 2 5631 751 1 19727 903 1 5142 5587 1 364 6536 1 15056 4914 48 18208 1707 1 18886 4248 10 16486 219 28 9365 2559 1 4689 7719 1 10733 2508 1 9055 4507 1 12322 1747 3 1202 1250 1 8837 1000 2 10699 1729 4 5424 1022 1 14658 4967 1 12821 220 4 9146 5841 1 94 4245 5 6748 770 1 10450 6925 1 4780 5138 3 11320 4411 2 1734 1689 1 2830 1703 1 9808 223 1 16259 1755 2 4050 1739 1 12221 1718 3 3005 331 1 4082 1739 1 13615 757 3 5176 2881 1 12817 942 1 10472 2602 2 7750 3227 1 12918 910 1 10749 4343 1 7483 1243 2 4023 3755 1 18579 5738 1 18431 4635 1 3431 3558 15 20131 7021 1 2198 206 12 19949 8034 3 93 4188 1 11768 5496 5 1467 1350 2 9526 508 3 15920 4992 3 10051 3595 1 19267 2871 1 5465 5018 8 16916 1691 5 3040 7641 4 1461 1146 1 10495 1464 3 17283 201 2 745 853 3 15742 4206 1 1885 2480 2 16103 23 2 717 206 1 20151 982 2 8835 6620 1 12273 709 2 6397 233 2 17331 1209 1 18151 81 1 312 222 5 16921 4284 1 3972 5396 2 18568 81 1 5364 3332 1 5769 207 1 5808 5325 1 17184 4015 1 6590 1236 1 1745 3045 2 18396 411 2 3871 1693 1 6585 1333 23 9857 5930 1 13857 201 3 9397 1399 1 1397 1824 1 19134 3065 1 31 1755 4 19830 6874 3 19923 4022 4 3173 3024 1 252 1781 1 5684 6084 2 13662 6484 3 19137 2367 1 17180 6687 1 12718 4025 3 8323 4545 1 10316 1037 5 17491 1731 2 5025 206 1 1670 539 2 11567 1819 1 2615 1737 1 8459 200 5 2120 2228 2 13622 1482 1 11238 7988 2 7875 5686 1 7822 688 1 14682 394 5 19604 6521 1 1491 2444 1 13640 1752 2 5467 536 1 394 4288 1 6565 1769 1 16463 1248 1 19485 1751 2 17418 296 1 15154 634 1 751 1827 1 5796 3233 1 3171 1495 3 11530 3462 2 3705 3281 2 12097 8012 4 9915 690 1 8084 222 3 19863 7521 1 102 1730 2 6323 6793 10 11848 5104 1 10700 8141 1 10033 2562 2 8405 1758 1 3146 395 1 7640 8108 13 18462 2885 2 6539 484 1 9663 3167 1 554 203 2 8636 1705 1 5763 6500 1 16017 253 1 7275 2232 1 1852 223 5 9865 1946 11 9168 1184 1 10435 3549 6 16977 6589 1 8226 7767 1 4503 3242 1 16036 7526 1 5748 5409 1 4779 3647 2 11312 3614 1 11 417 1 12851 1395 2 2737 2155 3 14298 6262 10 16762 2532 1 8361 3271 2 1588 4248 2 2121 207 2 2611 1701 1 162 7383 1 12492 222 2 3782 6952 1 174 7973 4 11966 850 1 9628 853 1 9076 2604 11 11428 5905 2 834 2552 4 7541 2671 1 9883 937 8 20129 214 1 18089 504 1 9241 2487 1 1487 4325 1 7474 5732 41 5591 3135 4 18263 7388 1 3129 5011 1 18193 1779 1 10146 470 2 13038 173 3 12279 1356 4 13 899 8 5660 244 5 12569 891 10 12733 3176 1 7363 252 3 2725 5935 6 18207 2673 2 70 1721 1 15785 608 1 13845 4723 7 4791 316 1 12574 2352 1 3264 1747 1 18756 891 2 11786 1893 1 11808 2055 1 20149 5051 4 10613 2557 1 13788 6132 1 5169 2494 1 6449 2350 6 3277 6142 3 7245 3430 3 9776 1119 18 4735 609 1 3963 235 1 19401 1241 1 12913 3405 1 3716 2137 1 13735 215 11 3138 1721 2 6241 520 1 16651 532 1 6012 3482 2 16635 5783 1 11411 2241 1 11342 1731 1 15561 812 1 11742 2172 1 554 5105 1 18761 1343 4 10930 7221 3 11678 6585 1 16390 1707 1 16873 2013 1 3806 225 3 17723 1783 3 18427 189 1 15958 2149 1 8695 519 5 11938 1247 5 1969 3534 1 7261 23 14 10295 667 1 11294 1781 4 5926 1692 2 897 3050 1 6018 2862 10 19993 2729 2 4380 1781 7 3712 6457 1 1013 6150 1 10245 6700 1 1634 6772 1 14826 6693 5 6690 5825 1 13829 1740 3 9105 525 1 19923 3059 2 19559 4450 1 493 1322 1 3755 4998 5 13645 1249 3 11354 578 1 18049 745 1 1969 1643 17 3746 2982 1 1838 440 1 14443 7915 2 12104 193 2 992 723 1 14474 3138 1 10802 6597 3 15010 5294 1 7373 411 2 7535 6574 1 48 2400 1 4897 4976 1 10327 6933 1 16144 2712 1 13508 5327 1 3668 5011 1 2795 7412 10 1101 1796 1 3351 5419 1 14957 244 1 1405 3583 1 9481 1703 1 17507 3540 1 8553 1008 2 7823 5286 2 6928 1728 6 6588 1416 23 12322 232 2 14908 6132 1 2906 6334 1 11830 3022 3 14177 5826 1 11016 4353 10 6748 8091 3 14014 1406 5 6283 525 3 2803 433 1 14680 1229 2 6750 4435 4 9249 1306 1 16378 3168 1 1243 3356 1 10115 329 1 4979 1707 1 3281 15 1 19006 6591 2 3801 370 1 15634 3721 3 2538 7852 1 6647 941 2 179 8182 1 1714 1661 3 7253 200 1 703 2611 1 12206 3689 51 94 4260 3 9661 509 2 16461 4380 1 6175 229 1 1899 1717 5 17412 422 1 153 6871 4 12715 232 1 11656 175 1 6619 1363 2 3038 82 2 6418 4538 51 18184 7414 3 14428 6278 4 12135 4248 5 17331 525 2 12753 1587 1 16500 3333 3 15358 510 4 14028 2438 1 113 5026 2 8124 6414 3 13918 477 1 4707 1245 1 9832 523 1 5373 2770 1 17058 3776 1 18711 5957 1 9240 1367 3 19645 1717 5 8074 864 1 19955 221 10 4043 4245 2 10850 2423 1 9713 1834 2 10435 911 2 16925 4404 2 149 1964 1 6229 1235 1 4913 4236 1 16861 7425 1 9206 3647 2 17386 3571 6 137 6286 1 13883 407 1 10843 148 1 12327 1981 2 1825 201 4 1689 7853 2 20145 1778 1 11683 2758 1 4299 2206 1 9521 942 1 18647 2541 1 19316 7216 3 1171 514 1 7502 863 1 13997 911 1 17313 6025 1 2985 785 1 12404 3525 3 4631 1454 4 6624 284 1 13023 3877 2 6332 953 3 11837 2155 28 9815 2727 11 9886 812 2 18286 1685 1 11215 207 15 5475 623 1 8098 3167 5 222 6585 1 13178 858 1 18574 1667 1 13238 3316 2 9304 1739 4 18613 1660 1 9580 2651 1 1714 5768 3 4034 235 2 5378 1735 5 5185 3972 1 9567 1985 2 6544 506 9 19854 7599 68 863 3356 1 5563 4996 1 19286 318 1 19218 880 1 5525 8194 5 4512 3697 3 19874 2675 5 20 1265 1 9901 6542 1 3826 907 1 16381 1753 1 1444 22 3 2980 4280 1 11965 4635 3 1976 4599 1 19760 355 1 2917 2938 1 2776 1453 3 18536 4545 1 18260 5551 1 5179 1146 2 1072 201 7 17080 200 1 3485 2683 3 17392 6023 1 15365 561 1 5280 221 2 14539 36 1 4663 608 1 19246 7568 2 15368 2107 3 10999 1924 6 5763 5018 1 17843 3867 1 1429 524 1 6825 2803 1 7441 1660 1 3049 35 1 393 6371 1 18188 2580 10 5254 3600 2 11581 164 1 13332 883 10 14828 3718 5 16417 3222 5 8439 2363 1 17645 7933 3 5502 2256 1 3090 196 1 19163 200 1 19494 3954 1 20145 1770 1 7675 7809 3 9316 3884 1 6268 5023 3 501 2741 1 14261 6132 1 16847 173 3 20031 1374 1 15220 5130 1 1498 817 2 14339 8108 2 11156 6179 8 16768 7404 1 8201 11 3 2340 3459 7 12300 2525 1 13613 670 1 19761 2068 1 11933 5099 2 349 898 2 16057 4623 2 13881 3244 1 2969 339 1 12817 1239 2 14569 7229 1 7305 6721 1 1172 312 1 1342 2897 3 11847 3617 1 17015 200 2 11394 4540 1 1711 554 2 1853 4575 1 13842 4129 1 11263 3476 1 7509 3512 1 19649 207 2 18019 200 23 10179 4328 1 10279 2353 1 863 2774 1 4498 1237 4 6130 3551 1 6370 518 1 10916 678 10 18183 864 1 234 3621 1 16018 5255 1 594 5119 1 15939 3408 1 17884 4623 6 8408 2478 1 12819 3081 1 12630 1783 9 17 1130 1 9912 203 2 87 23 3 17771 2118 1 20134 1686 1 17996 1778 1 16368 336 2 6154 1250 1 11950 7591 1 8439 2056 1 13865 1756 1 10169 6341 3 8440 7244 4 4423 541 6 1491 3276 24 3149 867 1 2445 1695 1 3847 7342 5 6652 5467 1 1738 7561 1 17850 2508 1 6540 74 4 4704 5051 7 2324 184 2 17675 1827 5 13616 2317 2 10973 1235 1 14232 5071 1 7535 2261 1 1813 678 4 18431 1474 1 13601 1705 1 18112 3595 1 16618 471 7 12371 6758 1 11030 1629 1 4166 789 1 19833 494 1 5216 2357 1 6520 4555 6 8671 1658 2 11998 184 1 6681 5757 1 18144 3113 1 7587 7291 1 12361 3367 2 18214 6022 3 15687 41 1 1174 1999 1 64 3086 6 2459 7632 1 19072 1458 1 4960 2675 22 17023 716 1 174 7908 1 314 6500 3 3472 184 1 13743 6517 1 7214 292 1 12725 3603 2 16938 1698 2 16592 7046 1 16546 3159 6 12104 6430 2 10998 2710 1 20238 1705 7 5744 225 3 17432 200 1 7769 2853 1 9935 2344 1 20225 597 1 109 4996 1 4055 5454 1 19494 4266 1 11882 7052 1 7622 13 1 6806 221 1 10242 23 2 4606 1062 2 10692 760 1 853 4435 1 2766 960 1 3282 524 4 11276 497 6 12688 7294 1 18455 7600 1 11846 221 16 7850 2133 1 12521 599 1 14612 3511 1 17440 5945 1 8198 3718 2 16894 3388 3 10740 229 1 8417 3304 1 3104 1727 2 16016 2876 1 14086 3065 1 16897 724 1 13666 3227 1 4806 6408 1 86 3998 1 8204 3023 1 5790 73 4 12406 1788 1 13858 7419 6 8299 1669 2 11000 3915 3 19131 673 2 1113 129 1 14481 6053 3 9749 2083 1 17850 1776 2 6109 852 13 7374 6480 2 2418 194 2 9518 1247 1 13857 431 1 9250 756 1 11436 3338 7 873 474 1 13488 8145 5 5724 4446 1 4242 1756 5 6546 223 1 124 5406 1 6989 896 1 13983 1729 1 7017 4339 1 15420 1450 2 17739 518 8 8585 2559 2 14601 5016 16 11857 1732 1 8467 1780 1 13183 856 1 14992 7809 2 15978 5018 16 5155 490 1 17494 2656 1 16238 4245 1 18164 2746 2 4556 1331 1 10621 1338 7 5592 4929 2 6420 755 2 1548 4245 7 8006 1727 2 3115 204 1 6188 3220 1 477 7414 1 2911 2747 3 3044 283 1 14195 7090 1 10496 7997 1 6672 3556 1 13785 1776 1 16902 1239 4 11766 2883 3 83 3865 1 3985 6587 2 17550 934 3 16468 4720 1 630 6252 1 5158 3416 15 7832 1995 15 855 2058 1 1996 2353 1 3765 3511 3 8795 1363 2 16299 3278 1 5421 4568 2 18686 5187 3 1771 6710 3 16053 1819 2 16674 1244 17 13 779 1 14883 1399 1 4075 7570 1 10316 5543 2 2830 1739 1 12287 2728 1 16093 7411 3 10976 3494 1 16557 1328 1 7802 1737 2 18085 222 6 5421 1250 2 4332 4992 1 15428 15 5 9465 1679 4 11461 510 3 4688 553 3 10692 707 2 7486 3639 2 15565 3010 1 5866 194 1 14488 5866 1 10575 784 1 19193 411 1 13615 4606 1 7188 4992 2 148 6714 14 7034 1955 3 4542 2197 5 6723 7853 6 8099 724 1 954 368 1 17166 7411 1 17499 397 1 16564 862 1 6394 2726 1 10037 4811 1 9572 7013 1 18359 5446 1 11131 7795 1 16316 1453 1 2583 3202 2 16786 1758 1 4212 214 22 16374 7433 1 7412 470 2 13084 23 5 9916 6135 5 12826 3729 1 17768 8076 1 2925 581 1 2002 308 3 10786 1658 1 15678 316 1 327 1823 1 1649 4811 6 4287 8057 5 7964 215 1 15978 1898 17 5036 2708 1 4761 3426 5 9992 1819 1 7455 374 5 4105 5105 1 13234 2476 1 13647 545 1 11820 235 1 15688 7980 1 7286 5020 13 15065 7853 2 8009 3760 22 6989 869 4 14580 452 1 9419 163 1 16167 201 2 17880 1727 1 12704 1825 43 6870 2528 1 11870 2158 1 2855 3645 1 12903 4963 2 3241 46 1 10395 2651 1 1050 6721 1 7750 518 5 13532 534 1 14154 34 1 17781 5730 1 13971 2736 1 17158 3882 9 6914 4951 1 62 3035 1 5356 2515 1 6942 5234 3 12322 4403 4 11027 1996 1 8105 1717 3 14892 520 12 18916 2256 333 10590 3408 1 340 363 1 1872 1881 1 10175 274 3 10105 1729 1 17312 1244 4 5374 3540 1 4191 6242 1 11993 4008 1 15338 214 1 16853 3426 1 13027 1042 1 961 997 5 13302 1775 3 8683 755 7 13430 3333 4 978 1342 1 10799 1698 2 16295 4807 3 16388 1250 1 2505 2056 1 11928 7815 24 19480 2775 1 6247 5324 1 1019 1889 1 4949 201 1 12459 215 9 485 3620 1 16021 4653 1 5141 225 1 2315 4785 1 8416 6268 6 126 5681 3 10404 1361 1 10611 1819 3 1677 8221 1 6348 3634 1 5018 1357 1 60 2733 5 20268 6992 1 17695 7104 1 20277 2626 2 1424 6174 2 6824 3575 5 10309 665 7 4005 1726 1 18587 3072 1 16916 475 1 6670 1731 1 10973 23 9 16924 2114 1 2587 3482 2 20119 7125 1 991 491 1 3025 1739 1 2046 313 1 13925 7769 4 2178 214 1 17778 5737 1 14446 1757 1 330 4380 21 19746 2320 1 11582 500 10 8191 3911 1 9695 6421 1 13483 6754 1 10286 1698 1 954 6955 1 16573 844 1 11259 6065 3 5564 2352 7 16470 2528 1 7268 3626 2 5745 4318 1 6647 2172 2 17521 173 2 15943 7534 1 8279 4387 1 4589 201 1 10188 6013 5 10486 934 5 12656 6874 1 4615 1819 5 12691 4606 2 2282 691 2 7127 4187 1 174 1779 2 8853 7629 1 13278 1664 1 12214 6993 1 18179 225 2 9247 203 1 11882 4117 2 6773 3869 1 10573 1686 8 19699 2791 1 1175 2591 2 2855 1383 1 7310 4245 13 5695 4615 2 2839 3399 7 15349 6758 2 148 2676 3 7518 1756 1 5381 6235 1 10852 7045 2 19211 5494 1 2416 6371 1 18968 365 1 10450 6470 3 8156 215 5 14722 502 2 19051 6341 1 2961 201 2 14517 219 1 5440 2980 3 7615 5019 7 12552 3224 2 8042 2828 1 17996 2686 1 11108 401 1 2411 470 1 6449 776 2 15608 274 3 5881 7531 41 19033 3487 4 18899 1946 1 4018 2362 1 13543 817 1 745 763 1 8399 3556 18 18926 7311 2 16784 1825 1 6145 5988 9 17088 7719 3 13909 3888 1 3846 379 1 18887 2013 1 15124 6363 1 16684 428 1 13647 1548 3 17772 823 19 2666 1726 1 17742 3489 1 17645 7446 4 15940 5971 3 12312 3860 1 124 5532 1 10222 3619 1 10677 508 4 18055 867 1 2877 5018 32 2141 5018 1 19281 5138 2 20174 411 1 15817 2884 2 11307 206 1 7231 1234 1 3894 6762 1 5818 7604 2 6564 4436 1 7827 518 1 18251 1827 29 18893 3815 1 11786 1954 1 4539 1250 1 640 6638 2 13376 1726 5 5185 7425 1 18116 6164 1 7775 7726 1 14629 545 1 7392 2938 1 638 6273 4 6687 2161 2 18606 7257 1 3395 1235 2 16583 381 1 15635 728 1 11008 1238 1 6363 1710 2 20251 186 1 81 3492 1 153 6921 22 3118 929 2 1461 2735 4 12902 4448 1 19760 331 2 4446 3540 27 13683 4245 1 6111 6914 1 6414 1548 9 13430 2449 3 12887 1316 1 9657 6714 1 13147 1244 2 1649 3531 2 7952 3540 2 1680 1785 1 15329 824 1 1080 3911 1 17724 1085 1 19568 1296 2 14210 1756 3 11623 1253 3 17013 7210 1 1780 1814 6 19022 3333 19 174 7975 4 1330 6487 1 11122 724 9 12212 1172 1 7507 1825 1 18093 171 2 943 5054 3 15552 573 1 17180 5453 1 108 638 2 4092 5385 5 5401 236 1 1023 200 6 18949 2737 1 7991 6758 2 15208 2968 17 133 6045 4 10 351 2 15974 524 7 16674 6640 1 2647 1450 3 4906 220 1 1123 1736 1 9449 4435 1 13235 7229 2 2635 7902 1 6724 840 1 1053 848 2 17257 3006 1 8606 1769 2 16427 1827 1 18234 3621 7 15169 7355 1 7397 1975 1 3416 1203 14 1386 364 1 951 1374 6 12853 2981 1 7019 6723 7 14939 4998 1 14096 6108 5 5207 318 1 2332 3276 1 16258 1788 1 17674 1247 3 387 2513 1 5872 2721 1 1133 7369 4 5542 2097 12 14824 6107 3 9638 3492 4 12916 6700 1 16440 7232 1 16971 1826 1 17931 5245 5 1520 905 1 6588 1023 1 13225 1000 2 6463 2493 1 121 5341 1 8288 2569 5 10464 5945 1 14466 4972 15 13883 621 1 9267 4372 27 6333 2352 5 4147 2743 6 3304 2946 1 9725 4107 2 12322 74 4 11485 843 1 2588 5578 1 18226 230 1 11072 742 3 14731 6192 1 5084 6705 8 2152 505 1 1049 4307 1 1837 1342 4 20191 597 3 17333 4023 1 19822 498 1 12888 203 10 745 676 4 4601 541 1 4309 5433 1 9429 6252 2 7719 763 1 7295 5394 4 7359 1751 1 2338 2729 2 7898 5480 6 13217 1747 1 9589 800 1 2411 229 1 11857 1730 1 17036 874 1 14522 74 3 11294 214 4 5199 5814 1 18665 84 2 12299 5604 2 8075 258 1 14633 4189 1 17850 833 1 6384 5466 1 13513 844 7 12050 222 2 17887 520 4 4081 23 2 16768 3571 3 11165 6414 1 10580 1495 1 12596 2678 2 6492 2354 1 4979 1778 1 496 1726 1 15029 2819 1 14345 1380 1 171 7695 1 15475 667 1 11844 524 4 11335 1827 5 13327 1357 2 16730 393 1 14979 484 1 18792 1340 1 9318 1751 1 7491 527 6 13925 6225 1 3128 1253 2 17328 235 1 14930 7304 1 12956 8094 1 3668 825 1 6342 508 1 17788 4486 1 9937 2571 2 11239 644 2 10151 2419 1 2716 206 1 6183 412 1 12930 5807 4 16642 1538 1 5132 411 1 5842 1706 2 5091 5734 2 16810 348 1 5787 194 1 12316 1153 1 13118 3679 2 5645 1342 1 2497 11 1 5652 4325 1 3483 3635 2 99 4456 1 19358 2600 1 19643 7206 31 10916 893 1 1105 4405 1 18198 6152 5 13244 4672 3 9354 5932 1 2898 1776 1 5789 7412 1 6387 3813 6 9387 7415 1 5616 1092 1 9787 3479 2 14908 8000 2 507 1182 2 2880 2482 1 3025 235 1 767 6677 1 10245 5251 1 18197 2552 4 7568 1445 1 12781 1442 1 14881 644 1 11020 1732 3 11766 1357 4 2339 2216 1 12168 1696 10 3456 7677 7 7306 316 1 17340 190 1 15803 4639 1 9385 1246 1 3258 6065 3 14233 745 1 16151 4005 1 13 339 1 31 1713 7 9116 4653 9 2292 5504 1 14789 3916 1 3734 1307 1 19731 2343 1 8458 225 1 135 2449 1 19401 910 1 20182 419 6 10205 4413 1 9224 4211 1 2733 4886 1 4703 1781 1 16920 4312 1 16157 203 1 9743 2066 1 1962 4902 1 4768 194 1 16386 8045 1 1790 1842 1 8425 1730 8 18977 4623 5 7380 5691 1 7088 1539 1 15321 445 1 19826 460 1 8921 1819 32 14610 233 2 6120 6207 1 7792 8081 1 4486 3431 1 7868 7946 2 7455 4404 1 11353 336 1 16925 471 2 239 1324 1 6141 3511 1 14544 28 2 9909 89 1 5695 3050 3 13803 215 1 12627 2678 7 9394 2736 3 15427 173 1 4397 870 2 9051 3143 10 3430 1247 1 20085 3145 2 11529 3511 1 16117 1613 6 17436 6099 1 12300 1247 3 8457 303 5 7000 2641 2 11653 207 1 1530 6098 1 4663 654 1 4572 1253 4 6570 6064 2 9553 320 1 13461 525 9 340 400 1 4109 6213 2 10004 4649 2 3138 4774 1 13210 173 1 11327 1252 6 3233 6046 1 17364 4245 3 2271 477 1 4967 6996 1 5859 23 2 17662 6227 1 12168 2484 1 18266 2139 1 9604 23 21 14800 338 1 822 2955 2 130 5954 1 16799 1734 1 7627 517 4 19461 410 1 8950 3462 4 5936 3878 4 5872 367 1 7720 578 1 9665 518 3 16016 1253 1 3593 2862 4 6981 6340 1 13328 1282 2 14791 6473 15 6252 4992 1 14310 2648 2 16366 1748 4 18530 3870 13 3759 6126 1 19881 5245 1 13522 3228 4 7560 1257 6 3351 4446 1 135 167 2 9091 191 12 4468 6038 1 19928 2646 2 9941 899 1 15192 656 1 9236 534 3 527 554 6 11844 3267 5 7747 206 1 18115 4704 1 2716 1771 1 13461 508 4 15535 221 1 3115 4274 1 18375 1692 2 17697 221 2 15614 4623 1 13734 6551 1 11212 7439 3 18813 164 2 7021 150 7 1866 3641 2 12332 270 2 13705 495 3 9978 433 1 13526 545 2 108 4896 1 2789 300 1 9457 1289 1 8402 6341 5 1792 2270 6 4283 521 6 6819 4998 18 14022 207 1 4913 401 1 15223 510 2 1530 219 2 8618 4397 1 8939 7532 1 18631 5018 7 18462 673 1 10118 2998 1 15313 6922 5 20177 3511 8 13254 411 1 3817 190 1 14753 7471 1 8323 3762 1 12903 215 3 11393 7822 1 6525 1416 2 18546 2720 2 1151 6155 3 1960 7842 2 1883 825 1 3695 6587 1 17640 6591 1 14232 1498 1 2375 863 2 19338 1464 2 20017 1303 1 6312 173 1 2811 667 2 10482 5291 1 16082 6025 2 10720 282 1 15520 34 11 15376 1238 1 12772 8034 1 20054 225 1 13245 3618 1 1901 6125 1 11430 1740 1 8377 3096 1 10151 2591 1 11059 23 2 15688 6358 5 9287 7601 9 16364 1248 2 4397 708 2 17391 7672 1 2983 1573 1 13350 938 1 5506 2294 5 14937 7786 1 9910 1244 1 18705 1758 1 13399 1373 1 7245 2626 1 15341 3602 1 8475 2534 2 11617 1850 2 582 177 1 755 6343 1 19517 4444 2 17835 6487 12 15530 2528 1 12157 3283 1 7832 6139 1 13881 5355 1 6292 481 1 11259 5252 3 4586 1573 1 17505 534 1 10730 7591 5 16354 8169 1 821 863 1 7213 2653 1 19771 2969 5 1711 850 1 14532 3869 10 6624 304 1 17156 5207 5 15615 6157 1 4197 6758 1 11499 4559 1 9111 6341 5 143 6637 1 11577 1728 1 18371 2329 2 2619 5258 1 8575 4069 1 18169 952 1 9270 227 1 8317 1729 3 18116 1253 1 4915 2581 1 10923 5202 9 17946 4029 1 7000 2887 1 7732 3088 1 13360 4204 8 8826 1703 1 14753 3851 1 10201 1781 1 15834 3069 1 7028 2661 1 4644 2675 1 7910 2555 2 5117 925 2 8251 509 5 15192 718 1 11430 222 2 6989 682 2 10772 581 1 15849 4252 4 17257 5363 1 328 3671 1 9124 1101 1 13922 4314 1 17659 6363 1 16767 7594 1 10355 364 1 14758 911 2 13417 2658 2 11327 1781 1 14164 3176 1 8320 1573 1 14145 3188 1 17088 1334 1 17954 5451 1 9935 411 1 9415 541 1 2403 705 2 14143 8016 2 17263 829 1 18149 8054 1 9672 3071 3 4938 201 1 2990 3497 1 8023 718 1 13027 845 1 16494 7191 1 11077 502 2 7245 1275 1 8891 219 9 13928 7098 1 19967 2982 2 171 7774 1 8597 1244 5 10125 2508 1 8093 207 9 1670 3212 1 12900 4952 2 11317 5513 1 91 410 2 13666 6204 1 18637 1244 9 2183 206 1 19932 497 1 14962 3133 2 3872 4929 4 4147 1378 1 873 5077 1 3043 1726 1 1535 6937 5 3536 8212 5 14130 6870 1 17088 3233 1 14646 1740 1 10223 1647 1 143 6595 2 12850 1827 1 7046 1768 1 8597 4511 4 2303 1775 5 6839 4351 2 5991 221 2 8610 1781 1 6091 1742 1 9778 2923 1 14106 1482 2 16562 3213 2 4357 1731 3 8993 200 9 20073 3896 3 18876 759 13 12014 2257 2 8763 2747 2 874 1342 1 6064 5712 1 2623 6236 1 6539 5736 1 14503 6527 1 18680 3171 2 7044 3208 1 17947 4996 7 1049 868 1 5833 244 1 7452 364 1 9978 3403 1 19745 1358 1 5972 5526 1 12760 2989 1 6644 206 1 8019 6683 2 2772 3367 4 5145 6108 1 18386 6891 1 8014 860 3 19820 2147 1 9937 5110 1 8416 3798 2 11861 5730 1 10738 8178 1 5784 7769 1 18381 6102 4 881 5651 1 16286 878 1 19331 1245 1 11111 200 1 16238 1246 1 9935 5496 2 14235 3545 1 10879 500 1 8816 1518 1 8638 534 2 17493 4043 1 9456 1721 1 322 1703 4 5453 1819 8 18623 222 3 11661 4201 1 4499 4006 1 12925 3705 2 2072 5156 1 801 1738 6 10584 1751 11 10064 203 35 14313 6163 1 5042 2683 4 2312 1718 3 9894 2595 7 7186 4945 1 13806 872 1 7030 1453 1 12157 7542 3 7415 883 1 1590 555 2 19000 2369 1 2545 1772 4 3393 190 1 14692 244 1 18269 193 1 1925 5325 1 19223 1743 1 11994 3625 1 3085 84 1 9475 6152 33 12107 6100 1 19607 1137 1 8925 7466 1 16831 219 6 20090 4499 1 5784 4992 2 3822 7412 1 11188 2868 5 6670 7734 1 7638 3992 1 6212 7406 1 13105 375 1 7065 443 1 119 5247 2 14515 222 1 4290 249 1 506 1967 2 6299 2737 2 12283 4998 6 3359 1643 1 7029 678 1 7356 1342 4 11118 952 1 19003 1834 1 6536 496 2 15884 7660 1 19903 2444 1 19511 5493 1 7806 214 1 20228 5159 1 19845 1146 1 15721 3718 1 1852 5528 1 12574 534 1 18515 2396 1 12649 222 1 19547 4618 1 12526 1150 5 11834 219 1 12244 2405 1 4153 6949 7 16971 8196 1 15906 2722 1 5074 194 1 8082 2492 1 2646 2761 1 14965 177 1 15497 5252 2 4679 5408 1 13516 1715 2 14865 629 1 812 7975 21 6225 1507 3 6867 5826 2 19689 6944 1 1625 5256 1 15350 2982 1 18204 7859 1 19486 752 1 19777 690 1 12913 1740 1 6070 6618 1 18506 336 1 3673 5940 2 18615 244 5 17395 2168 1 1973 7531 1 15969 525 1 5952 1252 3 11550 201 5 15752 5467 1 8813 903 33 2103 4351 1 15025 2407 1 14695 360 1 14011 5079 1 9725 2498 1 18796 3578 1 9104 4343 1 17946 3433 1 17088 1772 1 19286 1991 2 5821 946 1 12049 5150 6 5877 1772 18 12942 3334 1 13195 1235 4 7483 3775 1 4020 5351 3 11212 1704 3 14753 3050 1 172 6576 1 5359 6957 1 679 2494 1 5190 1035 1 13618 1981 1 16676 6150 2 20232 4649 2 7531 1737 4 16454 5559 13 19872 2863 2 1587 845 2 916 5917 2 7750 519 1 19823 7399 1 1509 4511 2 14996 7963 1 15289 52 1 18635 7101 1 14326 5737 1 19107 6993 1 12958 1251 1 6477 1235 3 5117 846 2 19574 5858 1 7020 1747 1 18520 4014 1 18341 7254 1 821 6527 1 2278 1248 5 4163 7423 1 3830 6744 1 456 191 4 1905 5257 1 10999 505 1 19406 3228 19 19690 1250 10 174 7909 1 17190 6128 1 8692 4096 1 8394 2507 1 17850 1967 2 521 4043 1 16754 5245 2 4805 512 2 2845 5051 1 11428 200 24 11024 2480 1 5097 1245 1 14645 5105 4 17331 4853 1 10479 7320 1 5764 2863 1 14775 6705 2 11967 6705 3 4905 3556 2 13413 1705 1 4196 206 1 13451 2668 5 10360 5640 1 13134 1436 3 17911 7719 1 5004 5916 5 6222 6018 8 2181 4723 1 5748 1470 1 17404 2662 1 832 204 4 4971 1363 1 16309 5570 5 1554 1482 2 8615 7572 2 49 2483 1 19134 3062 1 14238 1781 3 11693 470 3 10732 1814 2 13829 1453 2 19152 4868 1 16929 545 1 452 6039 1 4051 1237 2 3485 1686 1 12640 10 1 18526 1789 1 17245 214 3 1772 2949 1 1660 1236 3 2813 6777 1 5604 6761 1 11399 1022 3 7308 252 2 4355 7223 1 11968 231 3 16916 2344 1 14610 1909 4 171 7780 1 8614 1282 1 9907 3065 1 7306 652 1 11678 4402 2 11653 3233 1 697 2361 1 18123 609 5 153 7091 1 1531 1618 1 13 840 4 17569 1312 3 20029 74 1 7968 3869 1 5859 84 1 20092 883 1 4437 1164 1 20059 927 1 14383 318 1 15807 6388 1 17283 1296 2 2886 2770 1 27 1641 1 6043 3602 1 10142 1244 27 6459 1369 1 9930 2678 1 2779 1573 22 439 219 1 6748 2608 3 9954 215 4 16727 3901 17 4913 677 1 16970 2847 1 806 6341 1 7640 4351 8 8376 2732 1 15497 223 2 13173 23 8 6503 589 6 8223 4246 5 3938 203 1 8735 1284 9 12565 8072 1 6960 4792 1 19462 8203 6 13829 1236 3 6661 7381 22 6277 201 1 10316 5172 1 12935 2262 1 9636 7182 1 17250 46 1 9522 541 2 3399 7060 1 17756 525 1 19859 5996 6 4283 7655 2 7291 3086 1 12714 4274 1 18501 5037 1 16244 7300 6 12030 4343 3 13035 4403 4 2605 3645 1 18394 1835 1 7044 7023 1 9765 7570 2 5117 554 2 1035 1825 3 9935 5437 1 4674 496 1 9623 4373 46 19267 943 1 1883 687 1 14990 3425 1 15183 4792 2 19602 46 1 3972 7172 1 14089 2582 2 16205 94 1 6348 7669 2 16481 6330 1 17926 3567 4 15152 5302 1 13223 3063 1 1954 8081 1 11250 867 5 11303 219 1 4162 6341 1 15257 514 1 5086 6568 5 3891 5477 1 1824 4476 2 19259 2419 1 20104 4391 1 20107 2864 1 3309 1331 1 1966 6252 1 11471 3287 1 12684 7187 5 14778 1781 1 542 575 1 19601 6435 1 1858 190 17 1986 786 1 3217 5021 17 16057 3417 1 11554 5060 4 6631 222 1 14818 525 1 20255 197 1 9946 7189 2 16308 7205 2 15192 843 1 18939 206 3 17184 561 1 7969 579 3 4355 867 9 1498 519 12 12954 232 5 258 229 1 8913 704 5 6556 3558 1 4648 5437 1 17084 6231 16 2013 411 1 10762 203 1 572 4315 1 105 4702 1 1625 3048 1 15429 1729 1 7690 233 4 6749 1761 2 9915 243 1 16969 8194 1 2271 2641 1 16351 1778 1 11363 1502 1 16938 232 1 18154 3416 1 3457 7769 1 14686 1343 1 15059 2555 3 5402 2093 1 13541 1686 1 4304 534 1 3337 742 1 164 7518 1 6926 2605 1 16925 2493 3 9891 1253 1 81 1721 2 16659 4998 1 19326 520 1 9595 3747 2 9110 1453 5 18203 7850 8 19424 164 4 7065 5584 1 2760 329 1 19649 533 5 10452 814 1 12633 1695 1 4004 7235 3 2526 8013 1 2879 6188 4 16674 2299 2 6561 1695 1 8467 6059 2 16701 5052 5 107 4809 3 15075 5362 1 15364 741 1 1513 3011 1 10078 5496 3 3029 4599 2 1274 524 8 11388 203 27 13141 4992 1 18053 2686 1 19331 863 1 6511 3511 10 5841 7753 2 9412 5763 2 259 1363 13 16676 874 1 1100 1464 3 13054 6801 5 7575 220 2 1801 443 1 2730 1190 2 18575 8026 1 20038 3163 9 2796 506 3 1613 5758 1 8600 2290 1 12086 2560 22 6655 2580 2 10570 221 5 8183 325 2 13387 4661 4 1638 3134 2 4445 215 1 16797 7847 2 13750 1756 1 17127 883 6 17191 540 1 3915 225 7 6532 1078 1 17608 6597 1 39 2035 3 11066 6150 1 4216 5502 1 6589 5389 6 5204 554 1 4425 2649 2 13656 197 1 10549 1781 3 8952 732 1 3106 514 2 14672 2789 1 18939 1783 1 15307 582 1 15473 2489 1 17015 223 1 10670 1395 1 12485 5550 4 18522 226 16 12733 3140 1 2852 5255 1 7451 1374 3 4868 4245 2 6327 23 3 153 395 1 11687 518 3 13 838 3 720 6200 1 9967 188 2 12237 336 2 14011 5049 2 1028 4253 1 19748 5060 1 2956 206 4 8210 1025 2 17055 4085 1 2204 1032 1 6233 200 10 2303 7404 4 11616 5326 2 18979 7933 2 14597 5774 38 10435 4199 3 9039 394 1 7869 6752 1 6781 6145 4 16090 7320 2 19872 4011 1 19067 1217 1 12821 6150 1 19283 8167 1 8153 153 18 15159 103 2 13743 201 1 13833 1704 5 6622 1819 4 1864 7758 1 93 4187 1 135 6228 3 9638 214 3 20013 2104 2 19455 186 1 6990 443 3 6926 428 1 17011 235 3 16806 1342 2 8088 3906 1 14509 4956 2 85 3903 1 1844 379 1 6378 1613 2 19033 197 3 83 3708 1 1090 4310 5 10210 1244 1 542 1372 1 15195 73 1 13891 863 3 14629 823 1 5032 5769 1 83 567 1 9917 1834 1 11162 232 4 18431 7229 1 9432 6481 1 4105 871 2 343 1245 1 13936 6527 3 4678 7347 14 1663 164 5 14881 687 2 2204 3382 1 4426 518 2 19233 6775 1 17719 92 1 13255 3146 1 18847 597 1 17060 215 1 11642 786 7 13212 867 1 19759 219 2 16881 8119 1 15046 6864 1 13238 3233 3 802 3283 2 20275 4623 1 10109 1764 1 5983 221 2 11857 1784 1 7692 1146 1 15192 5674 2 13244 7240 3 4550 6677 1 16561 743 4 8860 670 1 5624 175 2 15530 5583 1 11384 6075 1 8128 5002 1 13333 1247 1 4880 6558 1 8057 5723 4 14553 5551 1 14027 2109 4 16442 1003 1 20146 5538 1 9538 4085 1 3072 3621 7 8760 2522 2 5364 512 1 2198 227 1 8308 867 1 3414 2678 1 10838 3485 1 18982 1715 1 19131 603 1 13917 1587 1 4121 8212 1 19975 1757 1 6790 519 1 20227 7466 1 11763 558 1 18165 3558 1 10169 2140 1 1850 3172 3 8808 1781 2 8760 2068 2 9939 46 6 17428 4429 1 11938 4325 2 19494 2058 2 1089 911 1 15902 3305 4 11362 7240 1 16050 2678 7 469 230 9 10065 4022 2 2739 4491 4 16194 5715 2 5156 1996 1 14114 912 1 15925 1883 2 15826 1249 4 13 258 1 5774 431 1 6920 210 1 19056 197 2 4249 1827 22 10920 2120 1 6402 5249 1 96 4384 1 19160 263 1 11756 1705 1 4194 517 1 2391 834 2 167 7564 1 7065 367 5 1698 6180 1 8591 1234 1 9194 206 9 17393 891 1 13865 1778 1 174 8067 2 15480 1778 1 1384 8160 1 15861 1748 1 18992 625 1 17527 200 3 6346 891 1 18465 1707 1 18579 3408 2 19160 3233 1 10281 1244 2 11220 5657 1 5504 741 1 13470 4794 15 15777 336 1 15411 201 4 14771 1615 1 11721 7450 1 286 1085 1 2585 4245 12 1919 2722 1 18404 805 1 5158 341 15 18679 7668 1 1719 158 1 3358 597 1 3215 1296 3 14089 843 1 16907 6640 1 7945 484 4 15599 545 1 7943 1395 7 5982 2363 5 5908 5758 1 5496 1388 1 6820 190 3 5589 1305 1 2386 2392 1 5577 5325 1 5981 1237 1 9395 617 11 6124 33 23 11814 1692 2 651 4383 1 5836 1249 1 16670 5245 15 4329 1328 7 6681 1081 1 1826 207 12 8164 1703 16 12273 252 1 10308 498 1 19812 1727 1 11480 7149 10 12770 74 1 3822 3287 1 1724 1775 4 3277 2343 4 10799 3662 2 20181 1743 2 4050 3911 5 717 1249 1 4314 3696 3 14153 4187 1 17645 4811 3 15547 1975 1 16726 759 1 5399 4436 4 6275 6132 1 15263 1819 5 5789 23 3 1009 148 1 3581 1699 1 17416 2324 5 1519 6107 4 13340 6341 2 5303 13 1 14405 539 1 19289 1747 1 6552 1395 1 2479 526 2 16846 1707 2 6913 4779 1 12342 1649 1 2198 2747 1 15732 1145 15 18849 3020 1 7663 489 5 140 6442 2 14211 8160 3 17688 203 1 9353 3230 6 11786 1437 4 12943 2880 1 6671 775 5 16684 367 1 2839 6482 9 16150 8194 1 2306 936 1 16997 2686 1 12766 670 2 18743 201 7 13129 1235 1 94 4252 1 2951 1244 1 13491 518 8 124 2918 2 5567 874 1 9322 5119 1 10953 2381 1 2498 1751 1 5764 7554 1 14052 2897 1 5478 2897 1 16439 3900 1 7033 3164 1 3307 518 1 7252 2003 1 14211 23 3 16423 203 1 1147 1728 1 6191 215 9 5206 1614 3 16202 7222 5 11850 1404 5 8343 244 2 5188 1713 1 8226 2132 1 17574 910 1 16815 1238 4 12286 1395 3 15089 1235 1 13587 6051 1 1065 220 1 20068 2889 1 12273 722 2 15471 812 1 13570 7342 1 13320 2459 3 17395 5618 1 3197 5363 5 5758 23 4 12400 4029 2 11417 1825 1 5228 1632 1 11252 5086 1 142 6493 1 6184 5758 5 9688 6680 2 9891 236 1 7882 367 1 18508 4587 1 6720 3444 1 14784 203 1 8555 5837 1 890 5390 1 5428 3509 5 17662 1249 4 8969 1245 1 18762 222 1 6007 296 1 15108 5259 2 12618 6713 5 1612 220 2 4909 5524 1 13490 4879 1 14198 5137 2 11367 2534 1 9099 7964 1 15419 7719 6 14394 336 1 695 2632 7 10518 6484 1 3794 97 1 7440 2969 1 18887 5480 1 15220 222 2 11131 2710 1 3826 912 2 1693 1697 1 18618 2147 1 6647 2133 1 14629 1324 3 4018 33 1 13335 206 1 14758 1146 1 7533 2191 1 2646 4013 2 16582 840 1 11796 864 1 7838 578 1 1793 1721 1 124 5509 1 10233 130 6 9176 200 1 14114 2517 1 6213 5432 7 9520 4328 1 15632 6010 10 4536 2747 1 592 2489 1 12336 2363 1 14011 2542 1 17323 6363 1 601 8139 9 4593 946 1 8991 756 1 8114 8053 1 16806 1747 1 14862 6924 1 20187 2363 1 6556 2969 3 5395 2591 1 4898 1509 1 13672 6207 1 10586 2087 1 7527 6557 1 1535 2636 4 12988 1703 3 3228 6749 1 8377 3140 1 6556 4944 1 11 455 1 13634 2510 2 18410 952 1 7152 1629 1 8525 3021 6 17075 207 1 19922 1247 2 992 1731 1 10037 3270 1 18538 883 1 5200 4159 1 15839 3275 1 14239 6597 4 14964 207 1 20123 5418 1 3651 7308 1 14696 4992 1 1874 4391 19 10195 6207 4 538 2964 2 6538 3919 1 164 7462 3 3258 190 2 7609 2789 1 15943 3417 1 15858 525 1 3504 2854 1 14695 5319 1 18189 1305 1 5980 219 7 13534 2649 1 2896 7308 7 1641 347 6 881 867 1 2459 7690 6 14516 2494 1 1631 5144 2 16391 1781 1 6061 7013 1 13183 3393 1 10344 1251 15 4583 81 3 8404 7308 1 15618 4462 1 11131 8099 1 5133 200 1 15818 3097 1 1182 3547 1 6658 5389 2 12133 1238 1 2666 1745 1 17999 23 1 1497 2360 11 9427 5907 1 12207 498 2 12361 581 15 6853 360 1 12229 1571 12 7573 1715 1 8517 5677 7 15288 6460 3 9215 5472 1 5380 508 1 6048 1342 12 5986 3840 1 13640 514 4 2374 203 6 8714 6949 1 6021 5251 1 5074 4290 1 17260 1249 1 2020 2771 5 16971 201 14 12826 3803 2 13218 4972 1 6532 3663 1 5542 4591 1 6631 1235 2 7605 2626 1 439 4623 2 10838 1154 4 13689 7481 5 484 2076 1 6332 15 1 11924 1762 5 3878 2268 6 11956 1705 3 4095 4998 5 4983 4008 1 1109 3512 2 11872 2515 1 13179 506 1 19259 23 9 5389 2942 1 8394 402 3 19494 2076 1 15410 1719 6 1324 4428 1 15121 3916 1 19193 2357 1 19619 504 1 2748 6580 1 135 6184 1 17484 7752 1 11545 5118 1 18229 1612 2 12863 1464 1 19241 6252 1 4910 3480 3 159 1747 1 15790 5472 2 14751 3175 4 14514 5165 1 6635 6268 3 11535 2488 5 103 4631 1 13055 1447 2 6269 6640 1 18574 7244 1 19470 514 1 6024 1695 31 8169 698 2 13105 2595 1 11687 1748 4 15364 152 6 11336 6132 1 16430 2980 1 16474 5448 1 4287 1245 1 3442 4764 1 13187 7933 1 18932 819 1 7081 5452 2 8159 946 1 1218 4435 10 19149 218 2 570 1356 5 5738 3532 1 18548 536 1 3665 2710 7 9284 1184 2 8047 3911 2 13800 7112 1 11626 8167 1 5003 1234 12 11990 752 1 1039 316 1 15025 5940 1 19990 232 4 6537 2635 2 5672 6109 7 8591 1734 1 12141 7020 3 10281 995 1 4072 7629 1 19319 220 4 15744 1745 1 16584 3414 1 5158 661 1 15004 1236 3 12713 411 12 17680 199 1 1973 4230 2 4615 499 1 9935 5451 1 18740 1247 1 2803 1126 1 14516 1273 1 4446 7810 1 7217 1379 1 16998 219 14 16604 5018 5 16500 3230 1 135 6234 1 4694 2980 3 14950 200 1 2188 2727 1 271 187 1 15314 5456 1 4851 1714 1 10698 645 1 8145 6717 2 1968 5020 25 4898 496 1 1273 868 1 3180 7302 1 9603 222 1 2483 1248 11 16189 148 1 17454 6953 1 9899 3910 12 8316 367 1 7991 5806 1 4232 1610 2 5901 3230 1 15508 2591 1 10855 1610 7 4035 4274 1 1551 236 1 11089 2618 1 15736 520 1 6348 885 1 1335 7980 1 9995 197 108 15948 3494 1 8142 6793 1 1617 3081 1 12638 518 1 3972 7167 1 14612 867 22 2332 3663 1 11917 1825 1 299 6342 15 1293 479 1 13040 235 2 1232 825 1 3981 2673 2 8078 1469 3 10515 5302 1 9430 74 3 16016 3273 1 19794 1450 1 8707 2027 4 4648 5442 1 8394 1277 5 17850 411 5 16197 7473 10 570 4009 3 12739 939 1 13705 23 3 19210 708 1 20123 445 3 6158 2256 3 7812 186 5 133 87 1 5873 7231 1 1519 880 1 10218 753 2 9160 1703 7 17947 394 2 3397 650 1 17645 4929 1 18940 84 9 1432 4992 1 12949 1282 1 5247 292 1 16431 2349 1 8600 23 4 4688 872 1 13126 4791 1 18724 7304 2 17082 6269 1 17171 7101 1 117 1721 9 3592 2575 3 14016 2321 5 17751 6162 2 8054 6028 6 1171 46 2 2271 4384 1 18926 1374 1 31 1708 1 388 526 4 19223 1738 1 8706 1063 5 17088 1235 1 19678 333 1 14317 3163 1 10688 2584 1 15471 673 1 11794 1054 1 13601 201 3 11786 7619 3 17019 1424 1 15220 1334 1 3426 1781 1 6059 4496 1 12812 3663 1 4874 4141 3 16481 3558 1 470 766 2 13543 2915 2 4337 1758 1 7435 2534 26 18022 1474 1 9853 221 1 19689 413 1 2020 14 2 17507 378 1 10926 514 1 945 5292 1 15102 5265 14 3781 1729 4 14522 1235 4 6867 3380 2 14395 1692 1 18128 207 1 1389 336 1 10855 1788 3 16002 869 5 17972 982 1 6209 4036 2 6683 231 5 4170 2897 1 8183 770 1 1771 891 1 5548 23 3 419 609 2 11111 232 1 15769 184 4 6942 6018 4 18754 3468 2 15714 200 1 14190 3923 1 486 1251 3 94 4312 5 16057 3872 1 15205 1299 1 4397 6928 1 19795 1747 2 15888 409 2 10586 1748 1 1503 1237 2 8268 38 6 12427 215 3 1029 1736 2 12760 2938 4 5673 5408 1 15896 6159 2 11098 244 1 17179 244 1 14828 3802 1 4023 409 5 14059 2492 1 5886 1917 2 14313 6053 4 13793 3647 1 10764 7914 5 17693 2608 1 10509 6091 4 15208 4142 1 9342 523 5 8382 2979 1 15205 1297 1 8469 1975 1 3694 6170 1 171 7727 3 12696 4628 3 175 8132 4 5733 1454 2 18427 220 1 19733 1023 1 19713 6058 2 3505 5897 2 527 3562 1 18939 4815 1 18164 4314 1 8278 7665 2 13462 4591 3 11738 3666 1 19302 1825 2 8717 225 3 14190 47 1 7910 5611 1 10434 1421 5 153 7039 5 17589 4177 1 11529 219 7 1296 73 1 17335 2712 1 15666 4387 1 7837 1819 1 479 82 1 14917 526 1 19272 1193 2 8528 1334 2 17314 1252 4 5834 2542 1 17283 6793 2 13005 3704 1 8982 206 3 9167 656 1 20239 1991 1 20126 3878 1 9110 1772 2 7988 5310 1 15932 759 5 17654 4489 1 17713 6440 2 1682 5350 1 13363 558 1 13425 779 2 8370 3623 1 16497 1344 4 18565 4230 2 4898 6691 1 7231 1244 2 9281 5769 2 2497 7512 1 4316 3908 1 13734 817 4 979 2341 4 7599 903 1 9570 2520 3 19334 5649 2 4843 632 1 9816 407 2 18183 3556 1 1387 1424 7 10554 3729 4 3214 3391 1 1341 4616 1 711 1244 1 548 502 1 1922 6596 1 10708 608 1 17546 207 3 7591 5817 1 17432 533 1 16090 8083 1 3868 2169 2 376 219 8 8615 5362 1 11196 207 9 950 888 6 11521 2743 1 5943 7477 1 7404 870 3 10247 7427 1 2990 116 1 7597 6469 1 13543 707 1 15968 7477 1 10354 325 1 5796 3895 1 1730 1268 1 4829 1244 3 174 5129 5 4531 5905 1 1752 1182 1 9847 4225 2 14502 1356 8 12695 1819 2 13266 7538 1 4547 1758 1 5972 647 6 11020 4506 7 2306 4206 1 83 3746 2 5998 957 1 1711 654 2 10242 1747 1 16010 6880 2 10136 1295 1 19843 498 9 17894 759 2 6333 3494 1 2620 5451 4 176 151 1 2815 1309 1 7376 3283 1 12838 5014 1 2758 223 14 4650 2343 9 19463 6164 4 10840 156 4 15760 6226 1 6271 1751 1 4330 4102 1 6451 5888 2 15932 3021 1 4382 1738 1 2618 493 1 19500 215 4 13 655 1 7652 7931 1 15638 3691 1 17947 200 1 3000 5258 2 13482 3058 3 62 1921 1 3794 4982 1 12837 1987 1 1460 46 88 4282 6056 1 7181 1718 1 2449 2953 1 19854 846 1 126 5584 1 8526 6285 1 3068 7216 2 8544 1082 5 11206 3462 5 6420 936 2 19355 2853 1 2207 1731 1 5829 6270 1 6158 8178 2 6942 4022 1 8833 7020 3 17903 520 8 5809 2881 3 17713 4286 11 14599 916 4 18149 1249 8 5952 1710 4 3501 560 15 14602 3597 1 18886 592 1 11357 3644 5 13535 1703 1 1660 1188 1 8086 2329 23 1353 4860 1 18981 3012 1 14170 3621 4 3372 2147 1 13212 3913 2 9508 3593 16 11266 6043 5 4440 74 1 16695 4623 11 15166 8033 1 17657 2737 3 8390 6004 2 15727 7617 1 11768 7594 1 2590 1429 1 15107 2993 1 16046 7913 1 4560 200 8 5589 2686 1 17066 7533 1 9463 772 1 11415 545 1 6372 4245 11 1631 3813 3 19602 6943 2 10316 976 6 19401 225 2 1422 2139 1 18299 1772 1 8190 2343 5 4862 4992 1 3485 6979 1 12785 6262 2 7509 2671 1 3021 1590 1 15753 6591 4 9125 2268 4 14436 219 5 17384 244 1 7392 4383 1 1883 550 1 19144 1395 1 5844 1203 1 4663 2981 1 7000 4898 1 15993 1237 1 5636 207 13 17371 1714 2 9 249 16 12298 5587 1 3287 899 1 18544 2151 4 19679 1423 2 10890 7425 2 6274 335 1 19634 4291 1 7347 575 1 8591 2727 5 15215 1235 1 18366 2367 14 1171 3167 1 9224 2415 1 4734 5503 1 13711 3275 3 16792 525 1 19289 3228 1 11764 5826 4 2577 3368 1 6749 6941 1 16636 972 3 9199 908 6 18501 2571 1 1779 5663 1 7682 912 1 16474 2555 10 19879 7213 1 19286 397 1 15409 244 1 12389 500 10 9933 7494 2 840 203 1 121 630 1 17548 1714 2 19289 203 20 1889 3230 17 10681 1819 1 10728 4490 1 10099 1244 1 12361 548 16 5196 6064 1 18214 6027 2 16755 7755 1 12279 863 1 18656 2923 1 9816 477 2 9304 1768 1 19265 4261 4 9213 156 2 15975 1695 1 12569 4299 1 16113 151 1 17547 1417 5 12659 8195 1 15424 5018 5 16019 1311 3 9366 1615 3 899 2513 1 2213 5326 1 12117 5991 1 11820 645 2 6810 7414 4 3985 6646 2 14040 1602 1 1838 202 1 16408 2484 1 18705 1395 1 7295 612 1 4539 1724 22 17284 6106 1 8353 2016 2 616 3525 2 11882 876 2 6425 5175 1 15614 201 1 6105 1234 1 16192 3515 1 6819 1760 1 10509 828 2 15518 5324 2 8594 5313 2 17300 5506 3 7853 7602 1 15939 940 1 5128 5496 1 4259 4972 9 12209 1244 2 15364 1825 1 5117 861 1 6919 828 1 16491 5863 4 10019 1825 15 6751 1751 4 15002 470 13 822 663 2 16913 7349 3 5831 3525 1 14965 6460 1 6341 3510 1 857 7512 1 14852 1747 2 19056 7005 1 14906 5018 4 17662 1747 3 17403 23 2 10443 3622 1 1620 11 2 18441 1091 2 5310 848 1 10311 869 1 13 676 3 12785 1768 1 4092 6554 4 13941 215 9 20197 5082 1 18381 6442 5 5486 3081 3 18452 6225 1 6371 312 3 13130 184 1 9941 2005 1 15881 2481 1 17142 545 2 10080 344 1 3391 35 28 16754 525 4 2201 518 1 11391 211 2 12316 2708 2 14325 184 11 4060 3435 1 1969 74 2 13581 8012 2 13244 7824 1 1 61 1 6878 130 1 18614 5427 1 16090 3974 2 8100 500 7 7142 2534 2 2407 203 2 15230 235 2 10671 1776 11 9767 514 5 6343 4397 1 6325 6855 1 13993 1395 1 460 545 1 12851 219 1 18705 1736 1 14682 1825 32 8062 221 8 6018 4303 14 14766 8083 1 3366 558 1 9137 1505 1 12256 3629 144 15504 3698 1 14212 4304 1 702 911 1 16417 1721 15 339 167 5 5440 1739 1 6018 5272 8 7180 5011 1 11616 95 4 4023 617 1 17141 1617 1 12919 792 1 3822 1365 1 14673 5499 1 5752 215 2 13384 230 8 7614 4789 1 5352 1975 2 10244 3511 3 15098 1146 1 6332 318 1 17404 7250 2 4382 505 1 17167 2555 11 6415 1453 1 6588 1150 2 333 5422 1 732 4623 5 786 5130 7 12569 4618 6 17682 1250 1 779 2541 2 2129 2355 1 5863 2818 1 17658 1357 1 7452 1331 1 16574 1369 1 668 6132 2 15318 3167 5 1373 4792 2 11946 1251 22 3949 6226 1 11392 3213 1 5617 2641 2 2186 6868 18 15468 4992 5 19131 8122 1 10000 2845 1 11072 636 3 3975 1582 4 18634 917 2 1706 347 7 8566 1329 1 15743 1333 4 1506 1775 1 5223 1751 7 11615 6435 1 4259 220 6 11233 2739 8 7078 1729 1 804 4107 1 1553 8140 1 32 325 2 100 4549 1 485 3570 7 10107 3287 1 11764 4744 1 7184 1695 1 9803 1695 1 14993 6017 3 14284 395 1 1089 714 1 8110 724 1 926 2131 3 12614 23 3 416 2 8 3265 1991 10 5883 5740 2 5007 3869 1 12881 193 1 14502 7639 9 4359 235 2 7141 532 4 3472 1721 2 14379 23 2 14584 204 11 3493 7305 1 17742 4460 1 17120 891 2 6534 3578 1 13952 5509 1 7146 1395 1 15364 4794 1 4856 3512 1 2935 5971 9 15100 2617 1 3702 6192 1 8992 2460 2 2052 2636 10 15759 2935 4 20219 8200 1 19982 6053 1 17724 3567 2 3567 8184 4 16018 2521 1 11678 2388 1 15497 525 3 13461 1244 5 17589 2979 1 8797 2555 3 9884 6132 4 8696 2717 2 16891 1356 1 778 7220 1 3352 214 1 2718 220 1 8406 1707 1 4790 2145 2 435 1757 2 12231 243 3 3081 1131 1 19829 2510 1 7432 6649 5 15958 1788 2 13857 5420 1 19838 1747 5 9587 2032 1 13648 1986 1 17884 23 1 2674 200 15 3243 905 1 17765 3228 68 318 3464 2 10165 873 1 15231 5826 1 1247 184 12 18725 3369 1 11587 1819 5 9889 1748 23 2598 4109 1 3318 1774 3 4354 3167 6 11478 397 1 8275 6252 1 19019 2358 7 17196 2722 1 18518 1760 1 5117 817 1 5303 4333 1 12374 4649 1 18000 3337 1 6787 3265 1 2571 1280 2 5036 244 1 15307 3547 1 17887 3666 1 158 1757 2 18614 5523 1 9816 2495 2 6989 2871 1 12944 2351 1 3149 200 1 1132 1342 3 1318 173 1 12770 1244 3 12320 1375 1 19952 1529 1 4987 881 5 18614 221 1 9178 6341 3 19160 1277 1 6766 8066 1 12702 7573 1 13490 3367 1 19045 3442 1 20253 6598 4 5189 7235 1 12456 5715 1 3681 3556 5 7328 5852 1 711 532 2 3812 2262 1 6833 8139 3 18973 1772 9 19563 4591 2 9865 156 1 11032 2494 1 12778 1703 1 16417 1703 1 18468 1146 1 124 5442 1 1587 638 1 7140 6162 3 16276 8043 3 19857 2821 1 1389 7807 1 10595 74 1 4979 3138 1 11106 1770 2 16278 1950 1 171 1720 2 14236 6665 1 2580 1797 3 12343 7013 1 17578 8031 1 5117 316 1 4496 4983 1 8532 7925 5 3090 2980 1 3354 3556 3 8352 8167 1 5303 3431 1 7454 2645 1 11877 1734 1 11926 3762 1 20107 500 1 18939 1775 1 1178 2388 2 5827 737 1 1801 3798 1 6976 1781 1 16230 663 2 13881 232 1 7361 385 1 12022 1015 1 14064 7096 1 12706 3132 1 4134 2353 1 9168 496 7 20039 4606 1 19384 690 3 17734 207 8 7217 196 3 174 6072 2 13023 4813 1 15180 5137 1 9930 1711 1 20180 947 1 7452 3557 1 11307 5370 4 4092 4657 1 10442 1334 1 16484 6549 10 17605 48 1 7361 6671 5 20033 1661 31 3468 2559 1 4870 3518 5 32 1813 4 18145 5565 1 6697 3445 1 6878 3869 1 10060 6581 5 11900 1995 1 1445 1909 5 5952 224 2 1171 1760 1 7802 506 2 11875 225 1 6063 7013 2 18508 4606 1 10939 1762 1 4027 3255 1 1304 8200 1 5782 2068 2 1661 7989 4 9869 6777 4 19431 7777 3 1171 1720 1 2129 7643 1 7034 8135 3 1607 7506 1 7577 235 1 8751 2488 1 12713 1721 1 12377 7646 1 4694 7819 1 14350 863 1 17083 496 17 2002 910 4 19724 74 2 928 2505 1 5694 7597 3 18204 1275 1 12740 2341 5 16802 470 1 18149 1768 5 16736 1343 1 13328 207 60 16676 235 1 15272 2686 1 10344 1131 2 10636 201 2 15952 4211 1 18761 3747 1 13425 1296 1 17173 4587 1 14988 2971 1 293 6054 17 19429 1275 5 5857 4400 11 4334 4006 2 4767 3959 1 14063 7542 5 17088 541 1 14556 417 1 20049 4436 5 9591 770 2 13824 4214 1 11502 838 1 5606 201 1 14062 1740 5 11695 200 7 7810 2053 1 9359 1248 1 824 1539 1 19529 8185 2 17181 525 1 11161 2363 2 15139 645 6 7952 7622 1 9974 3599 1 9224 794 1 19730 3223 2 10240 6268 2 15943 878 1 4279 1195 1 9038 1292 1 5021 215 1 11818 3206 2 4309 7414 1 16553 7719 1 8298 74 1 9917 196 14 12822 214 1 8221 3493 1 7452 767 1 9175 1235 1 4779 1715 4 5540 1778 1 3956 867 5 15104 205 1 11020 2271 1 6331 4643 2 8323 1348 2 14107 5202 3 9188 565 1 406 6288 2 18231 1698 1 17873 5758 6 16610 4810 1 1864 2305 6 5746 4944 1 18530 2698 1 13205 1792 1 8369 5803 2 3189 7937 1 12537 6107 3 12934 519 1 7729 7491 1 7306 838 3 2218 470 2 8250 5058 1 140 6470 1 954 7347 1 12188 792 5 14758 2595 1 4354 524 3 11848 532 1 17390 232 1 11434 3167 4 10422 5346 1 7527 156 28 10387 505 2 10393 2254 1 10655 3621 2 9978 2505 2 6448 898 1 4280 1678 1 14918 2675 6 9019 8188 1 3705 1699 1 9581 3175 5 5205 605 4 10107 6655 1 19953 508 1 13566 4510 1 14996 8141 1 4343 2869 1 18186 5272 2 7306 604 1 454 4561 1 12056 6826 11 19993 7013 3 3105 545 5 11623 502 2 11104 229 1 9002 499 5 8872 229 5 12603 3902 2 6063 380 2 7787 1245 1 10874 263 1 5926 7355 4 16980 639 1 6647 842 3 3491 6729 5 20174 883 8 20246 1780 6 101 4585 2 17375 1752 2 18876 3382 1 2351 449 1 17548 7096 1 6811 5051 1 8797 1788 8 3826 2010 1 930 753 2 15810 532 38 12821 498 1 11402 203 19 14948 1776 15 17803 385 3 65 3150 12 7323 1827 1 4667 2614 1 13502 2330 1 17953 397 6 18036 1713 2 11177 191 1 2599 1728 1 11645 203 5 812 2801 1 14376 409 1 5656 7586 2 6676 843 1 873 5517 3 1488 521 1 18191 5289 1 11388 7404 16 1361 3870 6 8746 1656 2 8198 2511 2 3851 156 1 1231 1234 10 14514 5193 1 217 4933 1 5725 3592 3 9168 5400 1 15766 1235 6 3056 6576 2 14566 3207 1 8210 3715 3 12464 508 4 13711 5011 1 9941 8036 1 7805 23 1 13169 1731 1 12970 3047 1 7535 3078 2 8287 3884 2 17607 3170 1 8679 7474 6 20157 3972 2 8795 6510 1 4688 933 1 5208 2938 3 16841 6158 1 9392 215 2 19270 8141 1 16643 810 1 13185 1164 2 7436 1771 1 18618 1827 5 9574 397 5 5247 495 12 20099 4960 1 19820 6288 3 2852 130 5 17117 5297 1 19932 5135 3 11562 1725 2 15910 1917 3 9050 5108 1 6748 228 2 7350 5670 2 3846 7089 1 2113 23 1 4629 7424 7 13234 1982 1 3751 960 1 318 3012 2 3286 164 5 11309 221 1 4279 3825 3 6039 4660 1 17110 5162 3 11631 1250 8 1461 274 1 19286 344 1 3595 6025 6 17009 1721 1 6939 200 5 8237 449 5 9645 6053 1 18154 2099 1 9014 7475 1 8564 4519 1 7227 4204 2 13 901 2 18944 8083 1 16943 1951 6 10355 1308 1 14883 3263 2 10190 5031 18 2606 7497 1 10207 7457 1 83 3850 2 14298 3021 1 1558 1762 1 9024 1146 1 62 2834 1 15007 225 1 7309 23 30 14554 2620 5 1555 3850 3 16016 2797 2 6618 3283 5 19402 224 18 9369 1768 3 8554 4634 1 4072 7925 1 3355 1819 1 12702 3025 1 3566 7259 1 11161 1245 5 2390 235 1 5418 3430 1 11450 4269 1 18624 4671 1 17686 2993 1 13683 4623 7 20107 3904 23 9757 2675 28 7665 2353 22 16238 532 1 9083 1814 13 4688 597 3 10554 6487 1 8287 1146 4 7570 194 5 9055 3031 5 18407 6538 2 3752 4698 1 16723 524 7 13373 8071 2 13543 148 1 9346 7902 1 9556 5115 1 745 1755 1 18029 6494 10 11786 6196 1 5634 1722 2 7937 200 44 1686 2647 2 4018 1914 2 15826 1146 1 13288 1731 1 9800 8194 1 3940 5326 1 20179 1830 1 2891 220 1 13350 8083 3 8305 2656 1 798 1037 1 6971 4041 5 15820 4043 1 3221 2263 1 18667 2534 1 15535 3314 1 1273 6481 1 6229 2089 2 17645 5999 3 1969 1819 1 11905 467 1 19400 3233 1 2902 1245 1 5952 1877 3 1890 5783 1 7126 6451 1 9463 7987 1 17970 5245 2 1560 2413 1 3343 4998 1 7649 6115 1 9807 411 1 19382 2636 1 13574 1946 6 7394 2485 1 10400 1782 3 19645 3255 1 18232 201 11 10143 207 3 16802 1505 1 1933 3626 3 6144 2093 1 19952 3255 1 6811 498 1 19856 1399 15 14553 6666 1 13734 967 1 4963 5254 1 9569 4379 2 15598 6435 1 15255 6700 1 1849 6751 1 1790 4303 1 6948 5392 1 9525 1781 2 16636 1022 2 6452 2104 2 15041 8194 2 6752 579 1 10757 2292 3 9353 470 5 4988 7413 2 16797 6607 2 7413 1373 1 3085 2747 1 13183 5304 2 1610 2383 1 14010 6000 1 17078 510 1 19076 4218 1 10381 1992 3 11594 589 1 12337 229 2 10951 7719 1 16924 3798 3 14272 2114 2 195 548 1 8635 4436 1 708 759 1 1682 2626 5 14773 520 1 16965 169 4 15623 1775 2 16961 3743 2 9962 2269 2 13199 1305 16 10720 7347 16 18538 7187 2 11276 207 18 9102 442 1 8006 4090 1 3657 2617 1 17695 2003 1 11932 1789 1 822 6640 2 19649 2356 2 9084 8156 1 7207 2169 2 991 368 2 11605 1150 2 16026 2488 1 127 5730 2 3036 510 1 7568 6031 3 12623 621 2 1059 3999 1 4030 722 1 14738 4277 1 15874 1755 1 1185 215 9 18637 207 2 3070 3903 1 7243 442 1 1812 8146 17 10440 5774 1 17336 1464 1 10605 5550 2 2666 1369 6 16860 2964 1 11645 3911 34 8831 768 2 16395 3593 5 349 2946 1 17011 861 1 10263 6358 1 10596 879 1 18054 2303 2 17850 1245 1 10730 5077 6 9519 232 10 8083 1357 1 17250 95 2 3397 820 1 12591 6252 2 10461 348 1 10569 219 11 12062 15 2 8970 2699 2 4587 7313 11 1888 957 1 19794 1593 1 19145 883 1 10692 3530 1 19967 4649 2 1919 3953 1 19981 1825 1 4113 5730 2 14621 5699 1 6647 3367 1 18015 4296 10 6268 505 1 7065 4315 1 4902 4563 1 19135 3024 2 18665 1251 2 5901 4944 1 17886 944 1 10733 5026 1 3468 3920 2 4778 6640 3 18398 1762 1 18920 6032 5 11384 148 18 15248 2376 1 13615 1318 1 3149 6533 1 11006 4623 1 8404 1235 2 14755 1529 1 13046 184 3 8517 6132 6 9444 2360 2 19021 4792 10 8740 1757 2 9338 1686 3 16877 3421 4 15041 1237 1 6687 5252 1 7184 4173 1 8022 6059 5 15743 1739 1 4025 7477 4 13 641 3 6871 2170 8 17125 3571 1 7686 219 1 1090 4508 1 13744 6167 1 10741 4312 1 17182 6126 2 17884 867 1 9574 525 13 6935 1734 1 8334 7104 1 6106 5497 1 1907 6236 7 16001 2500 2 19065 4435 5 1602 3906 1 1510 3599 2 6782 2378 1 19263 1776 5 9579 1833 9 3242 429 1 19652 4992 3 13615 2671 1 5445 532 6 17606 4779 3 16308 6139 20 13750 1296 1 18489 1829 2 8327 2109 2 12673 206 1 3059 6954 6 3505 5251 1 5596 336 1 15908 7098 1 17494 2921 2 3394 518 1 18183 6897 1 12054 545 2 4568 2120 1 9288 1522 1 12521 652 1 7916 1738 2 16583 477 1 3191 3581 1 3804 1059 1 11587 4435 5 16631 203 16 1530 7672 3 8088 4597 2 1107 8200 34 2985 5971 3 9808 7466 2 17738 3874 2 2708 5747 1 16109 5451 1 4727 3391 1 11141 6471 4 11360 258 1 18879 207 5 7832 1296 2 27 1614 1 8494 1359 1 5542 8026 2 2900 5757 1 6530 2357 10 4286 5522 1 9314 252 1 10393 4125 1 10799 1761 2 147 6703 4 17662 1250 3 42 2235 1 4477 995 9 48 2390 2 6796 1819 1 2314 2880 1 19330 6288 1 173 7851 1 8444 520 4 12237 4964 1 20001 207 1 12883 7216 1 10061 1606 2 10170 1967 2 7103 2646 4 1836 939 1 20184 3629 5 14109 6231 1 11372 1825 14 18944 8122 2 13574 225 1 4617 5526 1 14268 2291 3 20032 316 1 13009 639 1 19401 667 1 5535 1814 29 4963 3005 1 12938 5438 1 5896 524 8 19849 6517 1 16970 6210 2 9701 746 1 15634 5875 2 8266 3945 2 15241 3889 2 727 2894 4 13212 5018 1 11345 2517 1 17587 2560 4 7888 5104 1 2274 3334 1 17803 2030 9 14679 10 5 12970 753 6 7052 6706 23 10967 6255 1 19512 3558 5 9700 2114 8 20084 1760 2 174 7922 1 16292 3167 1 9104 3097 1 13137 470 1 18531 6252 1 12686 1740 1 2629 1740 1 20 888 1 13246 2169 1 17715 1769 1 9760 206 3 1363 609 7 14728 4963 1 6023 5097 2 14245 7266 1 9235 1769 2 1009 4501 1 3353 4712 3 5322 7238 2 3085 2511 1 899 3808 1 4278 1748 4 12962 1685 1 18014 1322 1 17695 422 1 542 3649 2 19308 1252 1 6304 6207 1 11259 1328 2 19920 7404 6 6916 6242 1 153 6940 1 17872 4982 5 15935 477 1 11871 1752 2 18872 659 1 6460 498 1 9787 5258 4 10000 1112 1 16583 2369 2 4955 221 1 14133 6046 1 17058 762 2 1582 506 4 389 1036 4 6556 5281 6 15321 4713 5 14120 8160 4 9835 3645 7 16054 173 3 8627 7130 2 7555 3177 1 9572 861 2 887 3682 1 20181 7201 1 18851 6170 1 6523 6658 1 7188 220 1 19534 2484 5 13078 232 1 759 490 1 11852 206 1 3384 545 1 3777 1379 1 18897 6481 1 18036 525 6 5695 698 14 4166 2139 1 515 3337 1 10620 7674 1 6867 2021 2 59 2711 1 1461 1464 1 15861 4232 1 18852 1747 1 12488 5007 1 8532 6142 1 19515 7894 3 8130 1470 1 8264 6394 1 7354 1686 4 13685 1504 1 13009 1153 1 14218 1245 2 7994 2741 1 3985 60 3 181 8241 1 9684 5245 1 14868 2815 2 1888 2512 1 4509 7709 1 8863 1073 3 17260 1573 8 394 4314 1 17019 1275 1 14780 4479 1 7652 1239 5 15329 590 1 9168 903 4 8208 4524 1 3206 4622 1 858 1342 2 1182 3493 1 18315 1396 4 7991 253 10 5588 2980 5 17738 2943 1 1133 4409 1 19720 7598 18 4132 5255 1 11533 7969 1 15599 2729 2 15156 1035 1 13961 793 1 14276 3595 1 15180 5245 1 11637 921 2 8004 1237 18 16485 4040 3 19207 207 1 18353 229 1 5947 187 4 14007 1416 1 17257 2024 1 12037 867 1 16787 3171 34 6869 207 34 19104 4673 1 9191 6683 1 19853 4974 2 3907 2795 1 7356 8034 2 11629 6486 1 16668 361 1 6630 2829 1 5199 4392 1 5588 530 5 557 4411 3 8424 5526 1 10670 1898 1 15313 5971 11 12378 8072 1 10633 5881 8 1551 1717 2 7461 244 4 4250 7101 1 18626 6238 2 19660 514 2 1713 6427 1 10611 8010 1 13845 6087 1 4691 1245 1 16259 3693 1 3213 188 1 3550 1765 1 6403 1322 1 18285 2351 2 14562 3511 1 35 1867 1 7750 1738 1 16970 7678 3 18861 2880 4 9783 419 1 12877 5758 7 4388 5980 3 17762 2600 1 16641 2737 1 19955 4996 9 18622 2338 1 9217 304 1 4619 5219 1 8439 6204 1 14581 496 2 121 3405 1 17058 263 1 162 4090 5 3817 2534 1 1746 934 1 7127 3511 5 12009 3476 1 20262 3512 19 13886 1338 5 16109 397 2 873 6355 2 5610 554 4 3617 1677 5 10169 762 1 9435 23 6 7188 4623 1 1216 1893 1 13024 2656 2 9188 767 1 2497 214 1 8368 4229 1 10452 5945 1 12322 1715 4 2803 2505 1 11556 7591 1 8417 514 1 5303 5287 1 8620 372 3 15144 4976 1 13461 883 1 4185 1764 1 18080 5255 1 17416 148 1 17290 35 8 1575 1050 1 18790 5674 1 10585 219 10 8930 7305 2 15171 1247 1 11990 656 1 13886 1245 1 10000 1067 1 6853 4107 1 16232 1247 4 3424 4489 1 7317 770 1 2059 4341 3 15073 5115 11 853 1286 1 5213 1743 3 19853 1587 1 4948 6887 1 1475 1850 1 14738 475 1 20095 4706 2 11526 7695 1 9186 2591 2 7462 1649 1 15932 5302 2 3092 7287 1 12261 2691 2 2545 3016 2 2490 962 2 6191 1324 4 7692 2380 3 1594 8184 2 8237 1720 1 4368 1973 1 8629 8047 4 4706 4105 1 2931 3167 2 5745 1234 1 16436 1445 1 4770 6259 3 18508 6260 3 15400 173 1 16980 959 4 19453 785 1 14412 3540 1 17025 525 1 15268 408 1 3612 4979 1 9262 3576 1 1331 6423 1 19217 342 2 6883 7474 6 15693 1717 2 13120 173 3 9715 3596 1 54 1665 1 9538 5077 2 7165 1656 2 12176 3911 5 15608 5308 6 6229 2542 3 10869 2534 1 2884 2349 1 177 8159 1 19331 1146 2 18656 662 1 7577 6892 1 8321 5413 8 10725 6082 1 2104 304 1 6051 1587 30 19554 1747 8 7117 360 1 2072 5863 6 8886 1240 2 6999 1768 3 11179 2080 3 19216 1369 1 1968 1257 21 14642 7597 1 8151 2525 10 13111 222 3 16397 201 1 8630 2646 1 5199 221 2 6486 692 1 5195 519 2 2194 553 2 8383 201 1 20096 3476 1 12465 3540 5 6530 2184 1 18000 2729 2 3676 132 3 988 500 2 7727 7397 1 16059 7591 5 12785 1245 1 7548 2183 6 4277 2114 1 2045 4623 2 13647 1278 1 2428 2743 1 7933 5020 2 4428 84 4 6556 7427 1 1626 3065 1 13328 2344 1 4425 3219 2 20202 995 15 16812 197 1 6105 292 5 19075 982 1 12025 4589 1 11428 417 2 5676 519 1 15339 541 1 8343 1235 3 8435 4023 1 14906 1705 1 3828 5034 1 4323 7583 2 11072 5737 3 143 6564 3 10559 5315 2 14421 200 1 13379 1893 1 6348 764 1 6987 1364 2 7953 398 1 5542 884 2 11394 4029 4 8138 6024 1 16156 201 1 18237 520 2 5668 7853 2 1509 789 2 3718 6225 1 7452 604 1 13896 3321 5 906 4269 1 15979 6162 1 2308 3512 2 9835 8141 53 4991 1781 4 527 2021 1 8701 4351 1 12745 1395 2 3830 7836 3 14086 2620 1 6611 222 1 7823 4732 3 6748 7859 3 4686 7045 1 19263 3298 1 10060 303 3 3797 2246 5 6496 1277 1 6692 5879 1 895 2484 7 6926 2003 2 4012 1613 7 12406 891 1 4218 6736 2 9674 557 1 15261 1236 1 11367 201 5 1887 8126 4 12322 203 3 16026 489 1 10780 3338 2 7697 4407 1 11814 6185 2 3717 207 5 10160 4791 1 12367 208 1 15295 1241 1 4492 156 1 7383 6134 1 6889 4427 1 18082 225 1 16145 3511 1 8283 3916 6 8768 8117 4 9722 1778 4 9406 839 1 6656 196 6 5433 335 4 16151 7633 1 2425 2735 1 3536 8099 2 24 1472 2 12812 5550 1 7750 3540 1 3886 292 3 20179 3113 1 3005 863 2 17638 7050 1 17403 1184 1 14263 7854 1 8790 6758 3 222 4233 1 802 252 1 15013 1717 2 5542 3796 5 9376 7229 6 15896 6185 2 2559 1911 5 10813 2450 1 16010 443 1 17382 127 3 9029 590 1 8744 4041 1 16956 2016 2 13229 208 1 17734 568 1 888 3757 1 11617 3400 2 13647 2151 2 6624 6585 1 2917 496 1 18852 230 1 7912 8194 2 17403 8002 2 10219 7524 1 4484 3202 4 11296 7857 5 10370 157 42 8302 630 1 8302 864 2 6667 7884 3 7498 4179 1 6664 200 3 16137 860 2 1587 809 5 15752 869 1 7797 4818 1 9621 3233 1 8439 723 1 14957 13 1 13579 2951 2 7960 3230 7 10670 526 3 525 2087 2 8439 1720 1 5612 3827 1 19829 4286 1 14567 1927 1 10916 912 2 4181 7236 1 12205 203 13 15471 900 1 18237 2357 1 9945 6268 1 11020 4571 1 6907 891 5 18576 2721 1 8683 863 1 15676 7853 1 19516 1309 1 8665 411 2 4092 3645 1 5049 6288 2 9097 1249 3 7240 1037 1 16096 2923 2 15614 4615 1 15184 6669 24 5842 508 1 13136 5461 1 17667 1819 1 5801 229 1 20256 7701 1 16259 2727 2 18973 1341 6 15073 1559 3 15220 1814 1 9030 2155 6 1551 2419 1 2917 411 6 10670 6790 2 8250 3747 1 10322 5826 2 11155 6195 8 14612 1251 2 10188 206 1 17290 3076 1 349 626 19 15874 7420 1 19776 499 1 9327 215 3 11892 6470 1 7285 3697 1 9053 3058 2 7020 411 25 133 6022 4 13590 789 3 2696 1548 3 12116 3148 1 1481 7857 4 8682 203 5 10210 6059 1 10759 2302 2 5994 6231 1 13250 2831 1 11592 2646 2 17635 536 1 18341 3972 1 4955 206 1 14522 2841 2 4663 604 1 16063 2877 1 5049 5806 1 1673 5255 10 11616 5251 1 13587 4120 1 13626 3086 1 17461 6604 2 6556 5432 2 7502 5105 3 5176 1237 1 1832 1737 2 6708 1339 1 17246 2355 1 18289 232 22 10579 5874 1 17463 397 1 4721 1119 10 11563 1781 4 15875 1037 21 14700 3556 3 13012 1703 1 19683 5708 1 4018 2600 4 17583 427 1 891 1267 1 7528 1290 1 236 4427 7 19754 3058 1 43 1728 1 7721 2552 1 2807 952 1 18141 3233 2 8150 23 1 788 7643 1 8528 1783 1 20084 221 1 18071 5767 1 178 23 19 8303 252 3 19160 3899 8 5847 223 1 10387 2360 1 10911 718 2 9279 1732 2 18790 3865 1 298 2295 2 4015 1248 2 12445 5352 2 5796 3909 12 3935 2673 1 4105 397 1 9393 4266 3 14380 2760 1 14012 1321 1 18580 7511 1 15753 6751 1 2887 1848 2 446 3193 3 19400 304 6 14917 2653 1 5494 696 1 10412 7174 1 16694 1424 1 19326 1146 1 7165 1658 4 20107 173 1 16925 4022 1 19853 6152 1 7700 916 1 13384 7840 1 7444 4998 12 15929 367 1 10554 574 1 4963 4413 1 17945 262 2 3436 532 2 3387 1308 2 14778 910 3 16682 5018 1 9078 5251 1 19872 1458 1 18737 534 10 572 5935 1 5859 4939 1 8281 3020 1 16194 6332 1 17224 274 3 13417 5011 1 7127 1252 6 1668 7145 9 16913 6164 3 13985 3914 1 3216 1235 2 17260 6680 1 14825 867 3 3014 1692 13 9224 822 1 17896 8170 1 20258 1695 2 10140 336 1 6511 3267 5 1554 1819 1 7711 23 2 1701 1729 1 18628 728 3 19503 4120 1 9285 1496 1 19567 3283 1 439 222 2 102 4608 6 5594 2675 1 5832 2998 5 10536 320 1 10575 561 1 7400 2265 1 8878 827 1 10926 7787 5 11031 2671 91 12245 222 1 4509 1564 1 8806 1376 1 86 3933 1 2834 4395 1 1853 6639 1 15180 4005 1 2287 1717 2 13862 3227 1 14506 665 1 18276 692 2 14892 2555 5 9676 201 17 3074 1137 1 4283 1137 5 5364 1758 1 1133 7182 1 16924 366 1 14896 6342 2 7285 1201 3 1760 7231 3 10487 4716 1 16328 1776 1 16272 1734 2 15817 2836 1 2989 1938 2 16951 1208 1 16557 7491 1 2743 4101 1 3491 7642 1 11093 534 1 8406 190 3 8749 201 1 10911 950 3 9063 1775 1 3643 3233 1 4117 1685 1 15278 520 1 9445 1718 1 8323 4524 2 14921 6487 2 181 2512 1 4779 863 1 10855 1660 4 11832 3632 1 9188 801 4 8580 7884 10 10120 5636 1 11035 498 2 17639 3078 11 19459 6341 1 15146 1770 1 5952 1695 7 14276 3375 1 5695 201 4 11786 861 1 545 3230 2 6753 1721 1 18726 7397 3 8105 867 1 9891 220 2 14839 1250 4 2902 7466 1 13112 365 5 17442 1703 7 11574 5467 4 15791 6053 9 17650 2636 2 19324 1757 32 6183 1235 4 2127 5991 1 14758 5310 1 14011 1302 2 18754 2853 17 10524 3480 1 8195 1369 1 11613 784 2 2853 6538 1 49 2468 2 16714 5352 1 109 4984 1 18386 4339 1 5496 252 1 10027 1751 8 601 519 3 13615 203 2 6769 7533 1 14754 6330 2 11971 664 2 7853 665 2 6228 3836 1 5947 2741 3 18428 7641 18 12274 3313 2 15483 1760 1 6453 5792 1 9482 35 1 19990 1245 1 9023 3612 1 1809 5031 1 415 3757 7 11786 4610 1 13349 597 8 16494 5258 1 16886 365 1 19993 3518 1 6088 3666 4 4207 3275 5 19600 3511 3 17850 2662 1 12273 604 2 3776 200 1 9566 5869 1 12489 6342 1 19178 6897 1 12817 534 1 1775 23 7 10706 2415 1 10074 4176 11 15943 7541 2 2971 6053 1 7028 153 1 65 3178 6 16531 7455 1 5558 1732 1 1839 8122 1 9104 1707 3 3544 7646 1 49 2475 2 13 725 2 19730 1819 3 6264 937 6 16563 7668 2 393 1658 1 17924 6225 2 16916 3705 1 6950 3151 2 19437 610 1 8015 3693 1 71 1658 2 10530 2262 1 12322 13 2 12954 200 15 16726 5508 1 18500 6537 1 2124 1781 3 15086 7509 42 19293 1234 1 2653 3206 270 17477 1282 1 19678 3838 1 14162 5269 5 18524 4299 1 17805 3275 1 7186 4477 2 13624 3324 10 7724 759 1 15575 2046 2 3765 4024 1 6141 34 1 2791 349 1 18851 5020 2 9283 525 4 8082 4557 2 4597 1790 1 11544 5903 3 18197 495 6 13640 225 9 8840 1334 1 17088 1825 5 12893 7266 1 19425 5031 4 18193 1730 1 868 2086 2 19026 6139 1 171 7671 1 2463 3876 3 17184 945 1 12116 3156 1 10782 1395 1 4098 1882 1 8748 2424 1 12375 864 1 14699 532 5 20256 3399 3 16931 6083 1 14511 3041 1 9162 1276 1 6611 5043 11 15496 4653 2 10394 7850 8 8198 7003 8 14643 5518 1 15110 2646 5 8166 1775 2 8786 1190 1 4880 1151 1 189 3945 1 11072 214 5 1798 7643 1 10806 554 1 19193 4803 11 5555 6900 2 14136 2171 1 11082 7417 1 9688 196 9 12696 6630 1 17731 385 1 18814 4022 1 965 4852 1 9370 6691 1 7903 7481 1 7821 206 16 1426 5686 2 2516 3557 1 6479 3698 2 476 34 4 9797 1698 1 18939 1770 2 7065 374 1 11849 671 1 18901 258 1 4012 519 4 19975 353 1 62 2872 1 13252 843 4 15385 1772 1 278 4202 2 18476 1078 16 3376 7857 3 13582 4293 1 12104 1093 1 42 2222 1 14106 534 2 10575 4976 1 18096 2626 1 4285 3767 3 4081 2877 3 20114 2584 1 15406 1458 1 1327 6723 5 18237 6204 64 19559 5258 1 3765 2620 4 9199 7614 2 340 443 1 12496 1324 2 11657 1928 1 9933 2555 62 15568 229 2 349 2571 1 895 2980 1 6974 867 3 17226 1250 2 9079 7462 1 11122 696 4 12797 5611 3 5879 1368 4 18860 995 1 626 6957 5 3330 2671 4 2469 7455 2 15657 4065 1 269 7470 1 1625 6939 1 5188 6957 1 8735 7801 7 18633 6617 2 7315 1245 1 1760 2522 1 4092 7840 1 7036 1775 1 19578 575 1 17225 1311 1 16636 6390 1 18577 233 1 8195 223 27 13247 2155 1 10856 759 2 19621 5301 2 2750 498 5 879 2708 2 8560 7571 1 8153 132 3 4701 596 1 1590 879 1 7483 7767 1 8088 868 1 8494 1250 1 12039 225 9 11871 1686 2 3003 1503 57 4627 3148 1 10385 311 1 9779 3408 15 5675 3511 5 5769 1819 1 6752 643 1 16887 7300 1 8747 1814 22 10279 3190 2 11631 7222 4 10873 13 4 2962 573 1 6283 6640 1 11395 533 18 17058 177 2 16010 28 1 10875 2736 22 9883 706 1 9816 409 3 293 5133 1 13084 5018 6 11859 1762 5 2760 7266 2 418 1573 1 7799 4960 4 9834 7433 1 2666 156 5 14621 3442 2 17302 214 1 19727 5306 1 4836 374 2 17757 1121 1 124 5553 1 8082 1375 5 5290 4387 1 16806 232 2 2718 640 1 4015 1362 1 11559 5397 1 10821 4300 1 15560 477 1 385 2584 1 1866 532 1 16242 5083 1 17466 6231 2 17762 205 1 3626 2679 2 6452 208 1 10398 502 10 9797 2333 2 13528 7206 1 8557 757 1 16724 201 1 15794 7832 2 4662 7244 8 8931 6488 2 1506 6468 3 19322 227 3 4361 3909 1 6801 7562 2 19115 6215 22 13015 1751 1 8743 5115 2 3150 219 5 19345 4807 1 14021 5128 1 7301 1247 1 12896 5382 11 14629 225 2 13700 625 1 11461 222 1 16274 1751 1 4822 8200 6 15230 1743 1 3975 2827 1 14957 8057 1 2237 812 1 20090 489 2 12343 1269 3 15217 2659 1 2697 3219 1 15011 615 1 10977 3306 63 2310 4628 5 18138 1557 7 932 3382 1 461 514 3 18555 2301 4 15314 1783 1 9686 2609 1 19872 692 1 4170 525 1 3058 1754 1 2834 347 2 2122 534 1 15184 3590 4 682 5690 1 3020 812 1 8571 4144 8 19871 1248 1 15908 3742 5 8933 3525 5 3399 2512 1 12208 1454 5 9245 3333 1 872 888 1 4397 755 2 14059 2720 1 11504 532 2 10319 1244 1 6687 1303 3 19359 3072 2 19032 2646 8 9250 799 1 2688 225 1 5318 4193 1 95 412 1 2063 8203 1 739 510 1 17235 6980 1 8345 6488 5 9704 2319 1 19273 1151 1 8823 4404 4 12757 988 6 12020 3027 6 12979 7522 1 1214 6670 3 20007 3954 1 2267 89 1 18890 3233 40 10313 184 1 14063 1245 2 3031 5940 1 9968 6334 1 9883 4531 8 10295 2543 3 13084 1752 2 18742 201 7 12138 5099 5 7515 1885 1 17340 3233 2 17314 1760 1 878 3781 1 3111 2645 2 2204 6984 7 7280 449 1 6983 2137 1 10016 1772 1 17996 2605 4 15329 773 1 8195 3067 4 19754 5099 1 15478 7067 1 4998 4902 6 19760 5289 3 5276 5066 1 14351 223 3 12723 7466 1 18922 5016 1 171 7675 1 3119 6754 5 15363 233 21 1344 512 1 5018 3742 2 13829 1726 2 18410 589 16 11616 625 1 18876 605 1 8373 7962 2 11871 2727 2 8439 1238 3 1686 187 3 6273 3592 1 3694 15 3 4890 197 1 22 1414 1 950 1779 1 2274 1277 1 5248 696 2 8991 6954 1 6869 4266 1 14724 2010 1 5778 4284 2 17283 1908 1 6254 5557 1 14876 3367 2 13181 3236 1 14283 3556 4 5501 3234 1 7146 1250 2 3708 5041 1 5230 3601 1 8164 219 21 3963 963 2 16089 206 2 14488 8203 1 9051 164 4 14011 5067 3 11035 512 1 14667 385 1 18821 7503 1 8250 1401 4 13310 173 1 2575 843 3 11743 3464 3 9719 2632 1 9717 1015 41 13600 4598 1 15103 8013 1 17982 1561 1 11215 1003 5 10105 682 3 4960 219 2 2077 214 5 11243 663 1 16719 5612 1 12785 232 1 18791 1756 1 11261 669 1 10019 2710 24 17003 2082 15 5354 203 20 14857 2350 2 3214 6723 3 12257 536 2 16945 1267 1 17176 1703 1 8174 6793 5 7572 336 1 4715 1406 2 11156 6225 4 11784 767 1 576 1357 3 12597 524 61 1090 3972 1 1460 1819 17 9411 303 3 12136 8050 3 86 3962 1 16924 1374 2 16054 3074 4 3043 4024 108 10955 1891 1 19479 7353 2 445 225 1 12928 1734 2 5053 8108 1 11299 1404 1 14561 3220 1 18534 6139 1 16767 274 1 2379 2257 39 8083 1207 3 8024 863 1 7088 6839 2 10404 1052 1 13240 5341 7 15263 219 52 14839 206 3 13245 427 9 17850 6675 1 6733 2056 3 20278 8094 7 8429 207 179 16588 2440 1 17172 4043 6 4619 1721 1 13306 1783 1 3142 5758 5 3202 2351 2 1327 4640 1 10632 308 1 11951 94 1 4007 3684 1 10119 4517 9 16546 1721 1 5642 1182 1 1872 235 1 8730 616 1 2194 4386 5 2345 1583 3 16931 1288 1 19200 5425 10 5303 4559 1 14777 534 1 16123 1707 2 9587 96 1 7701 5513 1 19312 536 1 5301 1451 10 9535 1483 1 6630 5294 1 15710 5565 1 10805 1695 12 5158 4885 3 14006 84 1 11294 1714 3 17586 2969 2 8126 2605 4 20261 3923 1 5104 2004 1 5117 798 1 17401 2980 1 17340 4967 3 11523 698 2 13148 5418 1 7780 244 1 5056 2355 8 19570 1251 2 15272 1290 1 6817 412 2 15865 6602 1 14554 6731 1 12497 1726 2 11764 6339 2 6275 3088 8 10710 126 1 11733 409 4 1839 5202 1 17544 1342 1 11542 1973 1 48 2375 1 5041 353 7 12281 514 1 5775 156 10 17688 1734 1 15722 1703 3 4619 551 2 3268 2216 24 7498 3939 5 19552 5996 2 6645 1243 1 4539 6207 20 18742 5272 2 8120 5105 1 13257 6402 1 413 1606 2 5826 7878 1 10360 7731 1 3015 3916 5 11360 752 1 4385 7167 1 5313 2114 2 6485 4582 2 1706 3256 11 11418 6892 2 17572 5058 2 17167 3512 2 2804 335 1 5994 1698 1 4170 1248 1 2716 3710 1 15882 2626 1 17750 222 2 6512 560 1 11455 1789 1 5183 2581 1 4049 4178 4 4372 5292 1 12772 219 3 7295 5390 1 2795 7512 1 12322 1357 5 2720 4662 2 10916 3705 1 20013 3326 3 6844 935 1 11430 5408 1 1551 1246 1 14047 6541 1 13750 3161 1 11608 1996 1 4524 1781 1 633 2650 13 17932 6618 3 106 4760 5 9501 7218 7 1558 1245 2 2077 1727 5 15608 2173 1 8343 220 5 17719 1728 1 18508 2014 1 6228 804 1 18815 220 7 11320 4692 1 9711 2569 1 1592 883 1 14686 438 2 18568 8060 7 5557 1251 1 3759 4284 1 4743 1727 3 280 6183 2 3207 155 1 7147 4610 1 13126 3569 1 16965 1755 1 18499 2012 1 10360 1214 2 4566 632 5 4484 1764 4 18149 1727 6 7991 2027 1 5082 3366 1 7480 5986 1 17242 4142 2 1252 5294 1 3238 1363 3 4072 7350 1 9519 6152 1 42 2157 1 3792 3412 5 13743 15 1 19386 2169 16 16482 3907 4 13 738 1 11353 7018 2 17738 8031 1 10588 203 1 5353 2258 2 9419 1374 1 15932 4199 1 13896 1488 4 6781 1727 3 14698 1307 1 11542 502 1 11 389 1 7812 263 1 13111 2678 5 6970 4996 1 12217 5289 6 19722 5527 5 3151 3058 1 153 6942 1 8100 219 3 13019 1995 1 1445 53 1 115 5208 5 6449 156 2 19478 1921 9 4856 7803 56 7821 207 1 2385 13 3 16192 7997 1 4467 728 1 9548 8015 2 13707 197 6 3146 6268 1 12988 7397 1 4667 413 5 9639 644 4 3368 416 1 5905 1466 1 10503 1819 1 3837 2758 1 14883 252 2 4573 519 2 15995 198 3 10824 196 2 13529 2649 3 8071 5535 1 14900 863 1 3397 5551 1 2946 3693 1 875 173 3 8269 573 1 6075 6185 1 18867 35 1 3619 4013 5 11461 1342 2 16777 841 6 6770 1973 1 18509 2671 1 179 8191 3 10351 6486 1 9783 5256 1 18523 4357 1 12806 6744 1 16464 3225 1 15834 308 2 19246 2372 1 4716 510 2 17179 1482 1 15216 2813 2 5696 8156 1 17392 4635 2 20194 4252 10 15952 2501 1 12537 3478 1 17494 1695 1 19205 518 2 18591 1245 1 14597 545 4 8055 1472 1 11863 3893 1 13380 6398 1 16182 2146 1 5495 5760 1 2704 3327 2 6259 2338 1 5774 721 1 17405 6677 1 5347 1341 1 20123 3024 3 4435 1239 1 5564 1731 1 5494 6021 1 2373 3813 1 5352 2338 1 669 2676 5 5604 3916 1 12115 6993 1 17132 3025 1 4301 381 8 9733 883 12 722 38 1 7452 798 1 658 7477 2 17314 1784 1 2445 5820 2 6413 303 1 3207 231 2 7327 3980 1 14412 470 2 994 1723 1 6179 7102 1 7845 4120 2 6867 767 1 10261 253 5 3836 4353 1 14833 2508 5 16920 5715 5 1924 650 1 14731 1788 1 5021 5700 1 9930 6242 4 18 1244 1 9717 1250 1 13975 1710 3 171 7715 1 9110 1768 1 18334 1334 12 10004 6252 3 10316 6776 2 9567 235 5 6644 3647 1 1433 1692 6 13328 5524 9 5749 1756 2 18793 1721 2 5246 1999 4 3526 2534 6 14727 4418 1 16339 3591 2 97 220 1 11399 1108 1 19826 1044 2 14087 1251 1 8102 4007 1 17826 3453 1 2443 1760 1 17853 1829 6 1816 3798 2 5142 2646 1 5172 6343 1 4519 5252 5 7246 1747 1 9959 215 1 10728 1756 1 10313 3824 1 4898 1730 1 12766 962 1 3653 2131 14 4902 1613 1 331 23 1 14688 6064 2 11817 227 1 12710 1470 2 20007 3032 5 10353 4112 1 15834 451 1 9642 8083 1 17674 1739 28 296 3408 10 19908 2784 2 14091 745 5 17132 1729 1 640 3525 1 15758 3109 1 18425 156 1 9366 7231 1 16515 7533 1 159 7256 2 6867 186 1 18132 3333 2 19371 7706 1 12133 1366 1 6817 6537 3 15684 5559 2 7555 3097 2 8298 1146 1 13601 1373 2 13779 1707 1 11882 4489 1 19470 223 5 496 422 1 17992 4198 1 115 3799 2 12559 830 1 18193 3113 1 16016 4726 2 10966 8029 1 8798 3007 1 4708 3556 1 1371 510 7 950 874 1 17809 190 3 9453 663 1 3037 200 1 2716 3338 1 5645 223 1 2615 498 1 15129 1466 1 13419 3697 1 15849 1784 2 14622 1513 3 96 4398 1 4708 1825 1 12502 510 1 9188 5266 1 9538 498 2 2795 200 1 456 219 20 2729 4947 1 4805 124 1 13789 6486 2 9539 164 2 17946 2635 4 8419 2580 5 13881 4022 8 8250 2721 2 9921 5496 1 9274 2562 1 4965 4092 1 18455 1578 2 19221 5518 1 1689 3575 10 9566 2636 1 13621 2721 1 9797 8150 2 15932 571 1 6831 867 1 873 6161 2 17578 726 10 502 232 6 8997 3484 1 8934 1732 1 301 411 5 1206 4600 2 9097 292 1 3283 5018 1 14114 641 2 13425 809 3 5173 219 1 3491 1253 1 12252 1762 1 11852 219 2 3061 792 5 14969 2600 1 17954 2127 1 12196 3557 5 17680 6241 2 11399 4029 1 3085 419 1 13528 5498 1 1229 1074 1 8479 207 5 18298 203 1 19286 1252 1 14565 8173 1 4609 2646 1 3031 201 2 11006 7719 1 3230 6557 1 9004 3832 1 7241 518 1 759 6185 1 13023 3869 1 4822 1819 6 1109 3338 1 9699 6596 1 8451 3556 1 2121 1164 1 11935 597 1 15314 5066 1 16674 668 1 12651 1143 2 2274 589 2 11361 207 7 6545 1025 11 16476 6701 1 17960 3324 6 484 4311 3 6647 8045 2 3957 2831 1 15806 4603 2 13813 2683 1 8429 1244 14 1521 402 1 2213 5355 3 10661 1417 1 6752 2602 1 13088 23 1 18339 7400 6 10828 6719 6 18526 1771 1 9120 6268 74 2126 2885 1 3074 2508 1 18264 1886 1 3948 3593 1 745 349 1 11607 1342 2 113 5032 2 4791 6602 10 12962 2626 1 4396 495 1 2111 34 2 10923 3164 12 4583 1276 1 7020 197 1 9604 514 4 3406 4231 2 15879 6152 3 1983 2254 24 2308 82 1 14373 978 1 460 229 6 2443 235 1 3536 4513 2 1629 6139 1 9886 1655 1 6913 6053 1 850 1748 1 10612 3771 20 15634 11 2 15343 225 2 1638 7467 1 7804 1247 19 6229 1535 1 15691 4034 2 10508 519 1 20166 7259 2 19914 5820 1 14043 1109 2 4183 724 3 15125 2989 6 2134 3167 1 6283 1778 2 929 7368 1 15179 1333 1 87 94 1 4680 1643 1 16672 7166 1 7721 2656 10 18398 470 3 2098 198 1 11461 1252 2 17589 2403 5 9649 4040 1 16016 204 1 18752 207 4 9063 2591 1 9743 224 3 13156 5105 1 16937 1493 2 6191 5120 1 1777 336 1 13445 1482 3 15992 223 1 13670 5945 1 6892 1694 3 13425 825 3 16523 207 1 16043 219 6 14011 1955 1 8620 6132 1 9960 415 2 18679 5551 1 17799 7719 7 17843 4252 1 2730 3711 1 525 7800 2 16406 380 1 15383 276 12 18286 2489 1 14393 3295 2 13508 939 18 18797 1764 1 9188 2019 1 14272 1288 2 12329 525 2 19606 1781 1 10219 201 3 8762 5461 1 13453 1404 9 5755 589 7 3081 2958 15 14276 2246 1 1539 1804 7 5188 3799 1 6452 219 2 19460 74 1 12725 2191 1 12711 869 1 3950 4293 1 14059 2494 1 15103 2449 1 5778 190 1 1501 6754 1 6769 5196 1 2459 1238 1 18589 221 13 7827 2237 2 16728 6132 1 6630 2025 1 16655 3600 25 655 1670 1 5223 207 2 8859 3255 16 2449 82 2 4205 3409 1 5383 4609 1 19760 274 1 6934 6402 2 2223 519 1 17257 762 1 174 186 1 8182 5091 1 1389 6366 1 16595 1946 1 20019 1752 6 17789 7521 2 9213 2675 1 2309 225 2 8409 3644 4 8831 6897 1 6555 7120 1 1510 4139 1 13099 2352 2 17776 3547 1 873 4445 1 9178 1748 7 9725 1303 1 85 3916 5 10900 7178 1 8832 460 1 1420 2649 1 15831 3510 1 7046 7593 1 20243 805 5 17983 5265 3 17645 1995 3 14666 3391 3 9935 397 1 4033 534 1 17916 1731 1 4632 7953 1 15394 2915 10 130 5784 1 2443 201 19 1479 7689 1 5815 1730 2 5661 7342 23 15604 23 1 5716 2560 33 14441 1342 3 18748 3338 1 19877 1768 1 1608 6053 7 1443 219 1 14059 1222 2 13131 7806 2 1927 1751 1 745 505 1 5652 2352 1 7473 1660 1 2917 3408 1 3815 385 1 6644 7661 1 9208 4011 2 1155 7582 1 12184 1464 19 16245 2660 3 19742 1732 8 1801 2491 1 8367 1371 2 10110 7930 1 2724 4163 1 18866 165 5 19160 4963 1 6889 6343 3 859 3848 2 3044 3351 2 347 7350 22 8022 6931 1 19848 23 1 5155 1920 2 5659 23 8 8859 6159 2 9289 809 1 19937 3021 24 17077 1987 1 16672 5395 4 8843 75 1 16222 5275 1 2949 6132 1 8597 5425 5 11373 534 1 10122 1466 1 16744 4643 1 7273 4869 1 10586 5037 1 48 2388 1 10224 3670 21 18182 203 1 7066 6164 20 15520 10 1 13359 3322 1 7868 2889 20 153 7067 1 4137 4945 1 11072 623 11 14921 1146 5 16231 4436 1 141 1184 2 5018 867 1 835 6721 1 109 4938 1 5983 228 2 952 7355 1 5056 1450 1 2364 1946 3 7354 3446 1 11445 313 2 10931 1243 14 17615 2093 3 684 1275 1 6801 5252 11 10442 3633 1 4725 2471 1 986 3449 8 1029 1244 2 16740 2392 1 14642 2567 1 4021 1778 3 5432 6865 1 17682 7352 3 14487 7096 2 1156 8013 1 10730 7815 20 19822 4786 1 14090 201 2 18559 7228 1 12159 411 2 263 1717 7 8160 7465 2 14400 1250 1 18315 4954 1 4095 175 2 5257 2342 1 17650 4022 1 8382 3655 8 7434 1715 1 9639 2708 25 18536 3705 1 5098 23 1 2629 219 1 19570 1756 1 1607 214 1 10233 505 5 4761 535 1 4386 557 1 5117 7883 27 12289 4006 1 16034 3463 1 20067 2172 6 12704 440 1 16460 2927 1 8885 1400 2 94 4266 7 5399 3905 5 19607 3813 2 4990 411 94 18407 5315 3 13430 1247 1 9566 4623 2 9797 4930 2 8206 891 1 2880 7711 4 15329 2146 3 4346 203 3 10267 23 1 3815 6442 1 12737 5325 1 11826 2641 1 8645 1116 2 3536 7716 2 7432 2878 1 2913 4467 1 6710 1718 2 10876 1402 2 1273 879 1 18967 6541 1 802 3190 1 16625 4622 1 1138 7069 1 7942 3702 5 4274 2150 1 6302 4225 1 13574 3898 1 7780 3671 1 10591 4951 2 11951 229 1 7440 230 1 9546 494 1 16346 3293 2 6018 1238 10 14951 1416 6 1223 3571 10 3286 3353 12 899 227 1 4068 1242 2 2461 2533 1 5427 6546 1 19249 7578 3 1554 411 1 13806 664 1 3184 2328 4 3871 3233 1 100 127 1 9312 3483 1 8887 2645 5 13577 5018 1 19192 2290 1 1206 4606 5 12925 8031 2 951 496 3 2068 910 3 833 6801 4 30 1682 1 8233 215 8 15409 23 2 2299 6980 1 18237 498 1 19608 1244 1 2380 5343 1 10902 5252 2 16517 7432 1 6363 330 1 7952 2641 1 13895 197 1 5977 5903 1 19293 1238 1 11769 523 1 19993 1692 1 11480 6704 2 15866 3233 5 9930 1328 9 233 3540 21 1013 1357 5 16185 7840 1 14040 6945 1 10313 4623 2 10187 524 1 17491 1275 1 10611 200 14 1035 867 3 2526 7995 2 3673 7693 3 13672 719 3 592 2510 1 18413 6363 7 5352 662 1 14396 2841 2 847 5436 1 11183 4284 1 19192 962 1 18197 1975 4 557 1361 1 824 452 1 9184 1721 1 6883 3056 1 13392 6673 1 15629 590 1 3450 222 3 16645 7350 2 14834 1719 2 1390 206 1 4779 7614 1 18644 532 2 9028 3619 4 11401 1246 2 10078 3647 2 5444 3011 3 19504 3666 6 17298 197 5 4886 3974 1 18999 2354 1 15639 6091 1 3775 2584 1 16557 7522 2 10054 2459 1 4561 1239 12 7235 2880 94 745 1775 1 14527 348 1 7007 4295 1 16922 418 1 622 203 6 19218 7734 5 9341 2951 1 4713 3113 1 5793 222 4 19160 411 6 5463 215 1 4614 402 1 17589 4807 1 6180 3644 2 6133 318 2 13430 1819 3 14610 526 6 8674 6065 2 6570 134 2 14752 424 1 4831 4086 5 13638 1044 1 18876 666 4 7726 793 1 16715 7427 2 1027 7901 1 19234 6692 5 9077 236 1 10555 1416 5 6125 3065 1 11558 1245 2 13642 3935 8 18668 1117 5 7028 545 1 16348 2392 1 16306 541 1 4459 2921 1 20002 23 3 2442 3230 1 7445 5432 1 11131 7207 1 9921 4380 4 20214 1613 1 2087 6692 11 19139 1072 1 7769 891 1 18465 222 4 13587 479 1 16491 186 43 3940 2342 1 661 2883 10 9606 1761 1 19057 8174 2 15506 2268 1 11343 186 1 16876 2488 1 4537 1745 1 11336 2584 1 1502 2730 2 13461 184 25 10748 203 15 14239 2860 10 10776 3881 1 12996 3671 10 1322 252 19 7142 2675 16 18520 1781 2 4424 743 1 14485 1717 2 20208 3482 1 3878 3113 3 17779 2883 2 5207 5674 3 454 5270 1 991 4343 1 13010 2787 11 16645 173 1 18299 84 2 17360 1464 1 4057 837 1 2548 3220 2 15736 214 1 16299 3556 1 11766 1739 3 6980 6435 10 873 4498 1 8763 1658 2 16925 4207 3 3463 6801 2 16698 7556 1 7937 207 9 612 4395 1 18815 910 1 8086 223 5 153 6950 1 8879 7237 7 9493 5839 1 16883 1342 2 15441 5002 1 10357 7592 1 13828 795 1 15586 5306 1 8591 1752 5 14660 1717 9 19054 209 2 16951 2089 1 9264 5940 2 10334 7098 1 8162 4577 2 14617 6081 11 17682 223 1 3851 3556 4 14560 899 1 18169 6219 1 13066 3911 1 7593 3617 2 9796 7726 2 11338 1359 3 585 5408 1 10404 1248 24 11504 524 37 15940 4708 1 11912 5518 1 469 201 12 784 316 1 17996 891 1 12941 3032 2 15596 4085 11 10404 617 3 11926 2131 1 3939 5366 1 7303 200 5 4145 215 1 15439 995 62 16625 5350 10 1551 1235 3 4496 7884 1 19137 767 2 4212 203 1 15683 474 2 7588 1705 1 19780 44 1 12281 532 1 14987 190 2 4271 214 1 11334 1239 1 12213 3694 1 823 6192 1 5888 3464 4 18471 411 2 5205 690 1 5421 4303 4 17197 3599 1 23 1442 1 11990 847 1 15970 863 1 12505 1695 1 11310 5909 2 160 4306 1 15144 1035 1 11576 2341 1 18063 1252 1 14876 7632 2 11131 7953 2 13558 1328 7 4056 156 2 5312 1729 1 15073 7311 7 15743 7229 1 5705 6706 11 14060 3324 8 20120 870 1 12117 6769 1 13816 1582 1 6158 1785 4 16466 5018 1 16076 1249 1 17306 1112 1 5117 3227 1 5911 6243 1 2922 579 1 5481 5018 2 17988 656 2 1969 3029 4 5762 7189 9 16397 4489 10 9269 1256 1 7392 1267 2 14301 4105 2 11756 4657 1 15988 867 5 16366 517 3 18323 3911 35 10553 2482 2 12755 3024 1 8060 6341 1 2816 3058 1 1907 792 1 5642 507 5 16857 1374 3 1391 2127 1 10383 2608 1 18212 7709 2 14367 5243 2 11713 7457 2 18508 1351 1 13894 5674 1 19952 6751 5 11153 4343 1 19340 5708 20 534 868 1 13972 5287 1 13089 1266 1 1997 215 1 3570 4014 2 8361 5060 1 18491 244 2 8654 5748 1 5863 5389 1 15758 4366 1 13655 1775 1 5074 2352 2 104 4670 2 7956 5819 1 14823 6159 1 5060 1601 2 15573 5673 5 13461 3233 11 12312 1745 3 14798 8073 5 6096 4501 1 14834 215 9 11340 1882 1 10591 6091 1 443 4699 1 26 1526 1 11669 200 23 117 844 1 15697 1664 1 9166 3213 1 14011 5103 1 6124 386 1 17880 1364 1 19246 3373 1 18219 5468 1 16644 1760 1 685 5325 1 14233 1342 2 2716 1335 1 10115 995 1 6188 647 3 7769 2683 1 12791 7570 14 4918 7926 1 19225 214 8 12821 532 1 13636 2409 1 659 201 5 7020 1778 3 9518 5817 1 18242 525 2 5769 5413 2 7135 1277 1 2744 1337 4 11693 3228 5 18074 6139 1 12077 6414 31 10902 3167 11 13881 95 7 4135 1727 1 14363 148 1 4294 4013 1 18705 2354 1 20233 7455 1 12841 915 1 7135 1734 1 17589 5513 1 9160 5345 69 6302 1732 1 13637 7182 3 5009 785 1 7256 1332 3 11533 2772 1 7269 206 1 4370 2319 1 10174 3659 2 18202 5783 1 3964 235 2 15718 4818 2 13307 1296 1 9686 4096 1 6793 1910 3 1551 1724 1 711 2419 1 17742 876 2 572 597 2 11196 1239 1 10242 910 1 15896 6177 1 13212 207 1 19280 2078 2 11020 5737 1 7528 1655 1 15154 745 1 15272 2743 1 11777 3255 3 4539 534 1 1522 1241 1 19932 6517 2 9935 834 1 3416 5844 1 1453 962 1 5520 4189 2 583 2969 5 6227 150 1 15065 1244 4 10142 1720 10 3305 4366 1 5171 4186 1 18629 3653 1 13535 206 1 2045 184 1 13568 2343 2 12262 1819 1 10103 4555 2 9543 5253 1 319 533 1 5582 2675 2 16508 629 1 13619 7402 1 14368 5591 5 4935 5910 4 13305 3685 12 14527 888 1 7682 810 1 8214 2082 2 3662 2363 1 17962 5105 3 6227 6546 1 13649 515 1 15296 526 6 8388 3273 1 3491 1751 1 10764 3815 6 11932 23 2 1028 4489 1 8012 73 2 6645 2065 7 12784 6675 1 6808 1464 1 9212 7689 1 6570 1238 1 3613 1752 1 6463 2009 2 13167 2087 1 8979 2645 14 7332 3743 1 20201 957 52 3188 1729 1 17014 1698 1 18115 2486 5 5544 215 3 7165 6108 1 10843 1582 1 2135 514 3 8892 219 7 3395 501 1 8278 200 5 62 3011 1 20073 207 4 12971 7701 5 11687 1783 3 6752 707 1 14011 6532 1 11663 5255 2 7473 233 1 5223 1635 6 8010 1686 4 10966 1244 1 18377 937 4 300 2056 18 10139 3748 3 19883 893 1 15495 1146 5 873 2656 1 10577 2534 2 2389 1622 2 12753 7951 1 19148 5051 1 14985 6152 1 11576 2357 1 19287 634 1 10581 5077 3 14365 7644 1 13263 4369 1 15362 6682 1 864 401 2 5653 215 1 5378 1768 2 14144 6529 1 3805 1730 5 6573 2678 3 83 3009 3 2708 734 1 174 7984 2 6484 1642 1 11968 3287 2 5695 1757 3 20155 1236 1 5184 1235 1 8361 5018 7 7135 1717 1 19601 225 1 9528 1778 1 15785 639 2 4666 4067 1 7012 1271 3 861 6954 1 11086 222 1 1687 6567 1 9432 3775 2 1777 8184 2 3900 844 2 1398 4601 10 13075 2413 4 12973 1595 2 4310 1715 4 13667 3250 1 11604 885 1 4716 1464 4 11060 4555 2 15007 2584 6 4498 6880 2 7548 3485 1 10703 411 6 4563 2761 1 665 545 8 14804 6047 1 18413 103 1 16089 1827 10 2772 662 2 3940 3768 1 11 393 1 8275 4343 2 840 1819 72 11687 1726 3 13343 304 1 7683 1722 1 6001 1062 4 2653 235 17 899 4499 1 9793 7187 5 62 2797 1 5304 7190 4 2425 1949 3 12378 3595 1 16416 47 2 789 484 1 12413 8183 2 62 571 1 4929 23 1 11598 7914 2 11238 5517 2 10585 3525 11 1076 2832 2 11730 2262 3 1646 1732 1 6888 6031 21 10354 4435 1 13634 496 1 8647 1768 6 6762 1464 3 1602 207 9 10145 610 1 11074 3602 15 3969 223 1 1391 365 5 7943 2675 1 17222 7292 4 3416 484 3 17697 3163 2 1576 506 1 19664 517 8 3261 695 1 19178 1664 1 4796 201 1 17472 460 1 19006 1453 3 6796 249 1 7850 6374 5 16417 1184 2 5994 496 3 15635 885 1 6774 1383 1 4435 1728 3 1844 6414 2 9837 5547 1 2320 3895 5 12053 7210 3 8714 6943 1 4772 4397 15 5725 1950 1 19406 1715 1 19634 46 1 17784 6368 5 15276 3090 5 9289 1250 1 14424 496 2 18830 497 1 18338 1453 1 6091 7205 7 12577 4980 1 19777 2247 3 18518 491 1 12485 2881 1 4449 1277 1 19857 548 1 16565 2114 1 16158 4473 1 18120 840 1 9109 2523 1 5695 214 2 16495 2615 1 201 3519 1 17903 1723 26 3856 2552 4 15323 4807 1 6152 3684 3 10061 155 1 222 2489 1 8982 229 2 247 867 1 10545 151 2 7841 690 1 4147 1664 1 19671 1380 1 35 1982 6 15778 7999 2 16189 3352 1 13580 2512 3 12775 6537 1 16124 1677 2 10160 520 1 15642 4996 1 4716 2626 1 3491 1357 1 2071 1021 1 13 868 1 12205 11 1 8191 223 1 10808 1395 3 1379 2511 2 13035 214 3 10676 452 1 5549 3903 2 12136 7911 3 17607 2114 2 9279 1734 1 518 2958 5 8926 7815 2 8296 2305 1 13640 1742 9 10122 1621 1 10595 1776 1 16493 2460 1 13132 950 1 11999 3491 1 4486 4142 5 952 4992 1 8554 431 1 6996 1795 1 19193 7229 1 3806 2089 3 8528 1450 1 13290 1548 1 4615 5385 1 18 1239 1 18070 244 7 15130 3464 4 8334 1615 1 349 916 20 17776 867 3 15766 1775 9 4561 785 10 77 3516 1 5731 3132 1 16713 2678 1 16681 8026 2 7432 6220 2 1007 7926 1 10911 591 11 1442 1244 3 1551 903 7 2910 3204 2 10543 2605 5 19975 2448 1 12322 502 4 19158 4320 2 14305 894 5 15342 667 2 10399 3547 5 16370 8175 4 1390 1363 1 2084 3685 1 2704 3323 8 2267 4540 1 15465 1246 3 13085 184 1 13461 2056 3 4329 6102 6 11357 4059 1 13829 244 2 1318 1951 1 6990 1251 5 2023 498 10 15004 11 1 12962 222 1 18620 1269 1 1192 5617 1 12883 340 1 3376 229 1 7608 4825 1 14578 2069 5 16963 3036 6 8599 1721 1 9712 1710 1 10912 7931 1 4678 2949 1 10961 3230 29 9891 1363 4 16908 6602 1 16128 471 1 16814 1772 1 20153 1050 2 344 3213 1 14603 4725 1 9498 229 2 4835 2980 1 435 1717 1 11511 3309 2 6857 3510 2 10539 3900 1 15106 6341 1 7996 3869 7 36 1988 1 6993 5750 1 152 6848 1 4371 4920 1 8343 232 4 14773 3233 6 11636 4315 2 4137 6683 4 9432 1338 1 12 534 3 8910 7477 1 2255 3283 1 496 498 1 15948 367 1 1906 3572 1 10254 6278 18 3935 221 1 10399 1734 4 5431 2353 1 1289 930 1 878 3399 2 14949 3489 6 4012 2877 2 2913 221 2 8499 2649 5 16514 4342 2 17710 1464 5 17682 23 3 16437 1703 3 16006 4789 1 8568 3345 4 3830 593 1 4227 3233 1 11736 958 1 124 5541 1 8988 4623 1 14033 4235 1 17662 1184 3 1049 3027 1 15566 7850 1 9194 1721 2 8835 2268 5 1509 7719 1 17298 4212 1 16658 1779 3 14981 200 4 1453 2271 1 12126 4379 1 5552 1705 2 2111 1416 1 7729 4373 1 6964 1252 5 5108 368 10 165 7530 1 4279 4199 1 19176 1201 1 14428 1404 2 2538 1747 3 9606 1778 1 90 4065 6 3008 6083 7 11938 1755 1 2683 7614 1 13947 8191 5 15627 6100 1 15246 1722 1 16916 6414 6 19899 3234 1 15364 3050 1 1711 659 1 13051 6546 1 20091 834 4 1185 1698 1 16384 207 2 17483 5838 1 18860 4792 1 10511 1314 1 11827 3227 1 9551 866 1 5675 525 5 12055 5804 1 16185 8034 1 19022 232 4 1511 5496 5 165 526 1 7114 6102 1 12955 1707 1 6510 3622 10 20078 1819 6 11143 1269 1 1178 2415 2 18071 4307 1 4924 912 1 13764 2299 12 5390 148 1 14710 4490 1 18960 336 1 6202 3032 1 16338 2369 1 10591 4274 3 17809 6152 2 3502 7819 2 301 5550 2 9188 4005 2 62 2969 5 6403 219 2 9759 3512 16 16074 184 1 16022 561 2 12109 1518 1 18193 1737 2 14792 535 1 6769 8228 18 5216 5206 1 14488 8081 2 2643 3558 1 7498 38 1 279 23 1 1839 4391 4 19549 6788 1 19671 220 1 9061 7878 6 19352 4245 15 6314 724 1 10604 711 2 18792 876 2 5 162 2 6277 153 1 9937 5099 6 6074 2412 3 5624 1825 8 10192 2263 5 11412 7643 2 10049 206 8 14722 1282 1 14475 7767 5 6090 656 1 6656 1755 1 15314 4006 1 10530 5730 3 11811 1315 1 5705 6704 3 15427 789 1 5064 709 1 1143 2344 1 3796 214 2 16460 4256 1 4554 3788 1 7962 1727 1 3358 556 1 2672 6596 9 5820 3602 2 298 235 1 18557 4246 3 11646 2559 1 10406 616 1 745 498 3 83 2774 1 19381 5783 1 2710 1775 1 1706 1263 2 19704 186 1 333 6552 1 18844 2266 1 19977 207 2 124 1659 1 10442 1063 1 11277 880 1 18303 1830 5 4146 1720 1 3663 395 1 8620 6713 1 3089 1745 1 5416 1762 1 4449 7602 6 5977 1776 1 5385 1190 1 12374 535 1 19871 3851 1 836 1927 3 16961 562 1 3290 1582 6 14994 4947 1 4107 201 1 19740 7986 1 9223 745 1 17672 2261 1 13262 689 1 15405 4282 1 16674 453 1 5361 2671 2 11889 2488 6 11129 7414 2 15560 2981 1 7017 2107 5 13748 1305 1 18014 3540 1 44 2294 1 20016 1783 2 9188 788 1 4301 3653 4 3536 44 1 19782 1698 1 10238 4123 1 16494 3203 1 7360 4967 3 14059 1053 2 5844 165 1 1551 219 10 17120 1781 1 10179 418 4 4590 4274 1 19015 214 2 10692 573 2 19234 523 1 18279 4969 14 11658 3970 1 18869 8017 1 18019 2933 1 2187 4884 1 11480 219 8 8709 4210 3 17143 712 1 15419 1246 1 11061 6457 1 17778 5446 1 19628 2669 14 12963 3570 1 19149 7672 3 7469 1410 1 15159 5387 6 2938 588 1 1285 5724 1 14522 752 1 10714 2891 1 4243 1307 1 14753 5317 1 13774 5774 1 4309 1284 1 2776 219 4 9305 1466 5 9342 1825 1 20067 1717 6 13730 1768 5 2574 7515 1 6191 636 1 3384 235 2 11601 4041 5 12054 2746 2 15046 4098 1 19145 2429 1 19416 1706 1 8024 412 1 4696 6192 1 14162 629 1 1510 4123 2 6238 3060 1 18346 6203 1 20256 1302 1 16474 1727 1 3189 3787 1 4137 1531 5 2816 2559 1 6300 5090 7 9325 3685 1 991 5522 2 3221 4012 3 4712 7871 1 8175 1707 1 4843 570 1 4898 229 2 6339 6084 1 8870 292 4 5898 173 1 20191 636 1 17669 8235 1 4753 3827 9 7733 2360 1 18833 200 1 8730 765 1 10328 223 1 11321 6757 1 7534 3120 6 20078 2730 1 18188 2021 1 3354 3409 1 11531 411 1 16595 3184 1 17881 867 40 12777 1074 3 5841 2653 6 15507 525 1 8597 7045 3 5463 1235 8 113 5065 2 1443 1235 2 18158 1395 1 13543 898 21 13436 2065 1 14145 5251 5 17917 3491 1 5358 1081 6 15021 3311 15 20180 3741 1 17079 1204 1 35 1971 4 1580 206 16 20123 6607 1 6544 508 13 18885 2646 1 2788 1760 1 17079 366 1 15634 1819 2 9583 155 6 5303 3583 1 13445 215 3 7509 1751 1 14944 7997 13 6420 2808 4 15881 779 1 4527 4996 3 17819 883 6 10549 4795 5 11784 2701 1 6684 1717 1 11510 1248 1 13836 929 1 131 6001 1 12160 1037 1 12112 947 1 15718 4811 3 14655 2508 1 158 7218 2 17290 185 1 11360 605 1 16254 526 1 8137 235 1 18410 6183 25 6008 4247 1 17664 519 1 6840 768 1 16301 1714 1 18887 2641 1 16262 3511 5 94 4291 6 13129 221 2 4631 8187 11 14873 778 1 19594 7205 1 19850 1987 1 14387 5018 2 229 1686 1 7962 1751 3 10690 7210 1 10146 1312 1 14758 426 1 9826 521 1 835 7599 2 13806 348 3 12236 3731 1 18043 7750 1 3118 3382 1 2629 7920 2 14358 1882 3 10575 768 1 13358 1730 2 4404 220 1 4376 1705 1 9982 7719 1 9302 1358 1 19705 3275 1 791 1146 1 16242 1965 23 8878 871 1 28 1664 1 9463 575 1 11775 3138 2 5662 1235 1 10828 2728 2 10509 274 1 4898 1752 3 6764 534 1 2161 3748 1 17954 2419 1 18771 7846 3 11117 4228 1 1803 1946 1 16541 57 2 5766 4998 20 6117 6242 2 13672 4036 1 13350 6400 1 8358 2488 3 10748 215 1 9486 3511 1 15084 5413 3 17178 6064 1 393 386 1 4879 23 1 13056 2719 17 9289 1764 1 1410 2087 2 11080 883 1 2546 902 3 130 1146 1 6544 2675 4 13402 331 1 3688 201 2 2796 3525 1 18211 6793 8 18193 1146 1 8760 132 2 7178 1688 1 18518 1357 2 5280 1295 1 8343 637 1 12887 1234 6 5732 3086 1 3530 6031 2 18593 1761 4 10043 2559 1 11663 1342 1 4068 939 1 13740 193 1 441 3554 1 2674 4306 1 83 3804 1 5978 4427 1 19727 2056 2 15104 637 1 174 8128 1 16259 514 1 8458 2671 3 11349 225 1 2508 7591 5 12365 2175 1 7070 4060 1 18769 4996 2 12006 6571 1 15936 1359 2 10107 6618 1 4870 235 2 2260 304 1 16736 625 1 4552 576 3 11270 2003 1 6929 5048 1 17054 4306 2 12116 3097 2 3085 1108 1 5254 3351 1 12845 6754 1 4486 897 37 379 4006 1 4985 445 1 3485 1184 2 2726 1776 1 17879 3448 1 17653 853 1 14753 1338 1 16869 1781 3 11668 514 3 6913 1343 1 1323 3334 2 4993 3634 2 1708 3669 11 1437 1677 3 7745 1743 13 6855 95 1 3695 6595 1 10967 5068 7 14124 230 2 1836 3476 1 16299 2008 1 11948 7439 2 2662 1383 1 3304 652 1 15674 1363 2 9904 7850 1 17220 850 1 2938 962 1 15778 6355 1 13778 1685 2 12159 5922 1 7540 1784 1 15098 1898 1 301 3170 1 14789 622 1 18500 1276 1 20218 5385 1 20107 1379 1 8361 3511 1 87 4021 3 7380 1245 2 11999 23 1 6556 5502 17 3196 187 1 16468 844 4 7455 1021 1 12322 1464 22 12603 7346 2 8269 710 1 11075 2294 4 15429 382 1 11268 1240 1 17864 411 2 14588 891 1 4207 1720 11 17251 2683 4 4779 1369 3 14028 6039 1 7846 4128 5 17998 203 1 6048 1236 8 3548 6074 11 20245 518 1 2669 502 2 2584 867 1 16880 1244 1 9322 2877 1 5424 2505 2 10772 221 1 13009 3408 3 16690 5928 3 9444 4767 1 4495 7542 14 15802 5285 2 2902 244 1 751 3892 2 8870 304 2 9468 1315 5 8852 5037 1 19991 1717 1 19850 2355 2 5718 6170 1 8316 2012 1 15778 4517 1 1716 219 1 173 190 1 9807 6799 8 11045 3203 1 6712 921 1 19472 316 1 13997 7809 1 15140 219 5 9054 252 4 6244 3065 1 4405 410 4 4889 2253 1 15898 207 5 19264 3015 2 4829 207 1 14906 235 2 3358 3491 1 14861 4367 2 5552 201 2 4310 1730 1 7733 2555 1 10036 7964 1 19145 1692 3 17917 5121 3 5141 203 29 8054 6075 8 9187 4794 1 12373 6091 1 16600 304 1 10991 1250 1 2866 534 3 2990 1760 1 454 4528 2 10579 2595 1 12071 3799 1 5211 347 1 9869 1760 3 5662 215 1 9465 6205 1 6076 2082 2 6894 6900 1 16567 8012 3 18325 895 1 3801 1312 3 672 1247 2 10000 2004 1 4106 1704 2 3860 510 7 8785 3465 1 12818 5319 2 861 893 1 2283 3193 1 8752 219 1 15711 1246 1 1423 2219 2 18184 7275 1 10322 3180 8 499 1247 4 3961 2319 2 5315 525 4 11591 641 1 18537 2639 3 16600 725 1 18376 6321 1 2135 1250 1 12906 745 2 8273 7773 2 14773 7719 7 19829 804 1 5848 1726 1 4320 964 1 19225 1707 5 17846 1757 2 1725 2735 2 9450 1738 3 14062 4397 1 1499 409 1 5055 2867 7 13140 3972 6 16860 1109 1 19246 7527 4 4309 6754 3 5541 1769 2 10509 5757 1 9216 1237 2 7252 5478 1 16844 1781 2 18508 4595 1 18387 883 5 9095 23 1 7203 2990 1 9199 3916 1 11674 232 2 14587 670 2 13363 4607 1 18220 844 7 13040 233 2 14429 5427 1 15400 541 3 16663 7161 1 8528 200 1 13 650 4 5203 4511 1 3613 188 1 7769 520 1 11598 279 1 171 3011 1 35 1882 3 16636 1138 2 10313 2504 1 13573 2675 1 18615 1706 9 15875 436 1 11336 1707 5 12378 5820 5 19763 31 1 16670 1146 8 11559 6537 1 8129 3408 1 18821 7853 3 11519 6576 1 7455 2008 1 7511 470 14 17747 220 1 14040 4789 1 11230 870 1 14599 554 1 17180 2520 8 6926 4680 1 2135 2860 1 3000 2388 1 9128 3167 4 20149 3959 1 11451 1783 1 7179 561 1 6210 5018 5 12633 4407 1 14470 1342 2 31 1775 6 1957 1707 2 9959 235 1 18435 605 1 109 4968 1 160 7311 1 12841 945 1 8939 7603 1 13358 1363 3 15471 894 1 13019 7848 1 8228 23 13 2303 510 1 3663 800 1 9321 6706 3 18806 6204 5 4599 303 1 17079 1239 1 2619 5251 2 5449 596 1 16833 7538 1 12992 252 2 15903 6139 9 10570 3230 1 1273 903 1 1849 1356 1 6951 4156 1 179 8192 5 10592 3184 1 18912 307 1 9194 3591 1 11542 1703 1 14679 2907 2 5725 4281 2 10360 2483 2 4376 200 1 604 493 5 2300 2404 3 7217 2656 5 2570 7079 1 18609 1342 2 12638 3233 1 13328 6600 1 14394 638 1 5344 5992 1 1016 1583 3 3549 1819 1 2795 2320 1 20275 4044 1 6556 988 1 1005 4033 1 2980 764 3 5743 7586 13 16681 745 1 1606 869 2 17037 4727 2 3256 5461 1 15599 6564 1 5526 1275 10 15940 3364 5 18883 1589 1 11370 3334 5 11877 891 1 3557 2675 10 14306 236 4 17859 4041 1 15683 3945 1 4688 260 1 10025 4222 2 20219 3202 2 17727 4245 4 6513 34 1 2890 203 2 3299 1819 2 13146 6806 3 20021 8176 13 13645 201 9 4054 1764 1 11585 525 14 13995 1719 1 14338 6183 5 16679 2617 1 15192 578 1 12903 206 2 19311 6880 1 10573 1751 7 14164 3109 2 11787 6610 1 15307 836 1 5817 199 5 14062 1825 2 14632 1154 4 6510 3795 2 1952 353 21 8763 7740 3 13733 1781 4 6647 6270 9 13591 452 1 12933 6500 1 18431 2559 1 7751 507 3 18187 5115 10 668 235 5 7968 3893 1 8485 5326 1 16480 1729 1 42 2184 2 11412 4006 2 13861 935 1 4749 2727 1 10308 2424 1 6496 5305 1 1009 569 2 6001 3512 1 15342 637 2 15687 219 1 16697 386 1 19975 2410 1 6659 4245 18 31 1757 5 19047 4618 2 6731 5289 3 14695 200 5 15567 1665 3 14114 929 1 4097 219 1 14632 1076 1 879 6706 3 3206 6729 2 9250 548 1 6941 4075 2 5739 1416 2 2887 745 13 4309 6152 1 15724 3233 4 14294 4728 3 7709 4967 1 19698 5009 2 20048 5175 1 14629 5863 1 16130 1319 1 9767 1250 18 9663 215 1 3399 3261 15 3874 5478 1 500 3710 1 11521 7136 1 5863 2486 1 7823 7672 18 5902 232 1 9388 7963 1 712 60 1 1711 382 1 845 2173 1 3581 3687 2 5392 2729 1 2546 1737 3 6362 962 1 9432 911 2 2545 4511 2 19862 229 1 8016 1184 2 2843 7368 8 17658 411 1 3612 207 1 15199 2721 7 15627 3070 2 5860 2675 1 18181 3016 1 8909 7850 8 7595 23 1 2136 7446 1 5464 2010 1 12457 1193 1 801 1730 5 13660 206 18 6749 7050 1 13634 5119 5 10883 581 2 15883 3283 1 274 1649 6 2331 3666 5 5651 2698 20 16348 232 2 9695 3901 17 19241 8017 1 11525 7050 1 15321 776 1 17384 263 2 11832 3617 3 17152 541 1 15509 220 3 16966 5909 1 143 6648 1 11994 5691 1 10806 712 1 4902 6486 1 15138 1101 2 12519 679 2 890 2003 1 140 6381 1 2819 201 5 4263 4312 1 4375 6435 1 21 225 1 1196 1632 1 8486 1707 2 19702 6702 1 10000 482 1 19946 502 1 12121 2817 1 15888 890 11 16972 5391 1 12320 1751 1 1893 4604 5 2716 46 1 17562 3210 1 19156 1801 1 8798 1363 1 15195 1917 3 6820 330 1 11448 1781 1 7317 656 2 222 3913 1 5214 1282 1 4124 3920 2 9037 6710 1 8362 2352 1 9249 2958 1 10862 7601 6 13032 5018 27 796 2180 8 10536 3512 1 8951 2401 1 3668 4567 2 13407 7167 1 7549 4946 1 2466 3278 4 802 1785 1 18939 2528 1 1422 1784 2 12045 351 1 8132 1827 5 10852 785 1 17003 5712 2 9403 5440 1 3823 1610 3 13302 514 1 20090 461 1 5694 7494 4 17947 1781 5 5176 1705 1 1023 4476 1 5411 6091 1 1026 386 1 18763 541 5 5484 1442 9 7985 23 1 62 2860 1 3146 2519 1 15567 1383 1 19645 1555 2 14307 1582 14 9570 4992 2 16176 2815 3 19317 7245 2 6332 2894 2 11786 4392 1 7664 1367 8 11401 5353 1 16961 5379 2 5656 3338 35 8627 4144 2 11766 2739 2 1532 74 1 18085 1721 4 11277 8037 1 13219 1769 6 15716 6363 2 14377 6595 3 4927 5575 1 140 6390 1 19602 1269 5 14055 156 1 16916 2558 1 6830 3164 8 8086 8083 2 6759 410 1 11125 1825 2 17892 2018 6 19152 2571 3 3352 1706 1 11018 156 1 11072 3698 10 899 2567 1 13195 222 5 19373 7427 1 14005 5084 1 31 1728 3 9667 2935 2 7125 4312 5 13445 1748 1 16322 6037 2 19160 303 1 8407 3334 5 3651 6027 4 13800 455 1 64 220 11 7765 4059 1 4654 7222 1 12817 498 1 6186 1252 1 1551 1357 2 15870 1104 2 3016 1782 1 14018 173 5 19273 3827 1 14599 756 1 12481 221 1 13266 235 2 6515 1776 1 26 1569 7 3536 6047 1 15411 97 2 5304 762 1 2090 745 1 19760 275 1 12962 325 1 11658 3408 1 19645 2352 1 2509 3634 2 7347 186 1 16063 5521 1 3991 6132 5 6452 2127 3 16109 5767 1 3536 87 1 19234 7829 4 5185 2964 1 1242 1467 28 7726 2268 11 4979 6801 1 1474 184 6 9910 4618 2 3512 7772 1 19840 5550 1 3034 8117 1 20094 3896 4 18705 1747 1 5097 1740 2 7986 13 6 14326 201 1 16542 200 6 141 4312 8 18193 2353 2 12776 3892 13 6570 415 1 12951 3676 3 11388 532 7 8681 2880 1 12345 863 6 14547 6183 1 6064 6663 1 6699 206 1 8915 7439 1 8286 3755 7 9967 190 2 19322 2683 2 11218 534 2 15279 867 4 13615 415 1 15896 173 1 11533 2360 1 19331 1772 1 17163 8197 2 15906 2595 1 19026 223 6 16213 6746 1 19303 6335 2 6776 5264 2 326 4403 1 494 8166 1 16036 6457 2 7184 1758 1 19725 4957 1 19002 7260 42 899 230 2 14872 2571 1 19493 1650 4 16956 409 1 8086 186 12 3118 3535 1 8831 6473 6 330 1698 2 3308 2662 1 1551 2727 1 592 4384 1 16254 3316 4 19322 698 1 13534 840 1 5453 5931 15 9281 5281 2 9974 8121 7 10391 2056 3 15055 237 1 15146 2671 2 13626 5043 1 7640 6533 1 11052 16 1 13398 1781 4 17772 2540 3 7046 232 1 6854 8029 3 252 2953 3 13733 3604 1 3005 755 4 6783 7424 13 3935 519 3 18251 8117 2 11071 1752 1 15976 1817 1 6742 6547 2 4574 6342 11 14042 516 8 11786 2026 3 13734 4328 1 1368 2238 1 19312 470 1 8930 7275 2 3296 3399 3 19683 1238 1 126 5677 2 164 7449 1 17917 4472 1 6795 2633 5 2702 7763 1 9922 7249 1 10036 1399 2 13410 1399 8 4262 5257 1 13288 201 1 17892 685 9 19326 2363 1 2701 2010 1 6611 215 2 5252 1985 3 19602 6176 1 20272 844 1 2635 535 2 15970 3408 1 17127 3511 7 8195 3180 1 14632 7610 3 10312 1737 1 8451 230 1 14019 5673 2 4867 1780 1 6375 1145 2 13328 5473 2 4593 804 1 9808 2675 1 13945 1395 1 2414 471 11 13071 5138 3 1927 252 1 18867 303 1 7135 1239 1 3237 7117 1 2371 6744 4 10896 5162 1 13919 3748 1 15411 523 2 10951 8192 14 17868 1247 1 9733 206 6 8057 1781 5 9432 740 1 5253 1267 2 12361 6482 5 7955 5011 1 13824 1921 1 14828 3782 1 2531 4042 1 13579 3007 4 16723 3911 7 9503 1237 1 17321 7532 1 7778 7735 3 10601 484 1 14211 5060 2 6536 1707 1 15098 2353 1 1475 1848 1 17910 1416 1 18340 5922 6 7259 809 1 17961 367 1 14774 1814 1 1399 620 1 16491 891 4 121 493 1 4841 823 1 18115 8099 8 6391 6687 1 6647 4621 1 5817 489 1 5707 519 1 8229 1718 1 96 4391 1 12519 7853 1 2749 3192 3 96 214 1 18958 2675 30 16285 4320 1 8581 7404 2 13350 1781 1 17809 1778 1 1337 5574 1 3651 3644 3 2907 855 1 12950 505 2 14789 7136 1 56 292 3 15909 1631 1 15530 199 1 13683 5011 3 12640 7689 1 5821 623 5 2956 7853 1 8773 2673 10 9146 5798 1 16345 2676 1 3229 1717 1 18237 1296 2 15962 3879 1 3424 2591 1 6412 4294 20 18914 891 7 3634 5397 1 10340 4373 1 542 4209 1 11 380 1 7751 3653 6 11296 2728 3 14679 1774 6 4562 4391 13 20181 2624 1 17960 223 2 9188 765 1 14763 4075 1 7597 235 1 745 1722 1 11374 6628 1 4518 1881 1 894 6106 2 13591 1238 1 18442 1758 1 11802 851 1 171 7765 2 16878 1799 2 8183 837 2 8539 7809 1 18285 1091 1 11345 3900 1 14032 1240 2 16087 5506 1 16607 2880 8 4051 509 3 12833 4578 5 5960 6037 1 14466 3212 16 19404 2176 27 7879 1727 1 14741 5051 4 13082 751 1 17939 2653 5 18788 827 1 4444 6039 1 15220 5903 1 9214 6502 1 15608 4436 1 10034 1601 1 6421 843 1 868 5082 1 12986 221 1 3106 1499 1 19759 134 1 14993 6669 1 14145 1105 5 2875 5036 2 4873 46 27 1088 1706 3 5129 2745 5 20123 5448 1 17962 5349 1 1477 203 6 8793 814 1 539 6396 1 1985 1379 3 11554 534 1 2233 3230 1 16063 1295 1 5454 1761 2 17378 6865 1 10763 4612 9 2748 1603 2 712 517 2 14558 3444 1 17990 5575 4 16308 5738 1 1198 7258 1 16314 3167 1 8291 947 1 20083 3954 1 15290 6170 2 13268 4461 1 11875 222 5 18160 3892 10 4019 981 1 2219 498 1 1608 1184 1 3048 759 5 9744 2649 1 6313 1296 4 215 282 6 19607 3710 1 14695 6192 1 12367 7949 1 4437 221 2 9677 5531 1 9922 1529 1 15589 3512 1 2274 548 1 3161 910 1 15508 1363 1 12628 3516 15 8987 5839 1 1009 3460 1 570 1692 8 19511 2877 1 13800 3845 1 6808 397 1 11211 1338 3 17066 4704 1 10982 222 1 8969 501 1 9531 8084 2 62 1259 1 7986 48 1 5745 2065 1 8528 2555 1 1822 4623 5 5282 1063 1 4932 4351 1 18791 1245 3 32 1814 1 8597 3998 1 10295 859 3 17379 451 1 11616 708 1 13577 7801 1 17331 6480 5 12621 1250 1 1106 2884 2 4668 5523 1 9645 505 1 1379 1184 4 13735 1719 1 94 4234 1 10980 1788 1 5430 3707 1 18800 232 1 2680 1762 1 5591 3147 3 7210 3267 57 547 5432 3 15567 1658 3 13244 2132 7 12789 3893 1 12060 1373 1 20123 6442 1 8394 545 1 684 1770 1 11157 1211 1 6742 6579 1 18968 2083 2 1893 5186 1 6272 7185 8 2135 225 2 19866 1703 5 12244 4242 3 2580 1379 12 13960 7592 12 10733 688 1 6152 910 1 5436 1729 2 11093 1247 6 2960 203 1 17011 1778 1 19326 1783 1 4496 2357 1 1635 6170 2 6107 1825 8 12965 6211 1 2567 4179 2 14122 3464 9 3238 3596 1 16196 3578 4 19724 7719 1 6420 313 1 161 1719 1 4850 4986 2 3753 3233 1 3031 1245 1 3712 5281 1 16210 4391 3 19401 222 1 15594 252 1 8343 876 1 10549 6663 3 16627 7213 3 9816 5256 1 10666 1881 1 11338 244 1 15304 38 1 19319 7447 1 10148 2338 1 15549 1342 3 14406 1740 2 5041 481 1 7040 215 1 11502 184 1 1308 520 2 6340 650 1 8975 532 5 9188 5686 1 16310 785 1 18526 1736 1 932 1990 1 7682 509 1 15143 57 2 18244 3899 1 15687 3494 1 17659 7045 1 18281 229 1 2899 2600 1 7532 64 1 7893 6897 10 14806 758 2 3133 5252 1 3516 3389 2 439 221 3 18089 200 1 4044 5005 1 12064 5018 6 19848 6512 2 5216 6839 1 15847 4974 5 6989 4124 1 5643 5511 1 8145 1703 1 7969 941 1 10201 236 2 10213 5779 2 20181 1395 3 5433 2656 4 2306 4317 1 10734 5265 1 873 5767 1 6630 1895 1 5397 3911 2 9935 233 2 7137 7426 2 4446 381 49 12537 2666 1 13623 2993 1 16245 1406 1 713 7538 1 16981 1762 9 9520 2118 2 3046 3918 1 2941 7156 1 13929 7255 1 4165 579 1 14861 2980 2 12245 225 3 4705 3366 1 14341 705 2 17224 2686 4 15376 3338 1 13925 8170 1 3360 2691 2 10345 4976 1 14522 1756 1 6546 23 2 7469 34 1 15101 1471 1 2911 3591 1 8710 3682 1 12365 2068 1 12230 1548 2 20236 7216 2 544 2955 1 9535 1728 1 6045 38 26 13494 5783 5 3445 2263 1 13384 960 1 11035 792 3 2104 7326 1 11678 129 2 8950 1265 1 15952 4534 1 6835 2606 1 16741 3239 5 7780 3900 1 17331 184 1 816 3070 2 3110 7120 5 7803 1747 1 15091 3518 2 563 3479 1 6397 5332 3 6164 5532 1 6668 5332 4 10558 4792 3 6348 635 1 10100 3684 3 11842 4992 1 18431 1686 1 16767 3526 1 3592 191 1 5124 526 4 3924 471 1 16835 532 4 5696 207 6 16916 2969 1 11160 4274 1 8778 3163 1 18132 3050 9 16887 3827 2 4518 34 5 1221 1304 5 17197 8132 1 4665 7901 1 13 585 1 11784 564 1 6513 1751 1 17172 7409 5 17300 647 2 7525 190 1 6488 3222 3 7636 509 20 17307 2505 1 11212 1819 1 14012 1286 1 15713 1798 1 4183 4206 2 745 1732 1 6111 3261 5 20120 2651 3 16130 3423 5 9422 1785 1 20147 23 1 7142 1681 1 20245 1271 4 5213 1776 4 3522 3895 3 4570 411 6 14212 4345 7 11212 214 1 1065 4299 1 2226 4774 3 3485 4010 1 153 2743 1 8394 4277 1 12097 7964 1 710 865 1 13089 7477 1 16994 411 7 16356 5821 1 12511 4992 7 3996 1658 4 17494 201 6 13328 2150 2 4911 2480 1 14685 6065 1 3664 1635 5 14990 2855 1 16595 506 1 16442 3333 5 11947 3747 2 18176 1719 1 4979 519 1 4417 225 2 14963 5341 1 739 1245 1 979 173 3 12590 3207 2 5589 1732 1 19959 1825 23 13289 167 1 11912 2382 1 8643 581 1 11122 719 5 14522 1450 2 16551 3227 8 11668 74 10 5457 6164 1 14356 2899 5 19338 3602 3 7252 471 1 15969 2356 1 5303 2635 3 9584 3803 1 15996 5826 4 1266 4992 1 19680 4946 1 14367 3298 2 10710 4325 8 13857 793 1 15673 8096 1 14278 1207 1 18806 6213 1 9130 6968 2 16261 2664 1 329 2626 1 9707 1383 1 1019 6670 2 4525 6649 1 1235 863 1 393 2964 1 12180 7086 1 4796 7726 3 5453 1395 15 20216 3584 1 1551 5586 1 11295 2981 1 2935 1271 5 14753 6487 5 5771 5126 1 14406 1296 1 16249 84 1 14791 2555 15 20105 3203 52 18508 1312 1 13088 6682 1 2589 5325 4 4054 1828 4 12787 4200 1 11504 5496 1 5561 4033 1 1684 8090 1 8614 5416 2 952 4355 1 6157 1465 1 17695 496 6 1005 3685 5 10245 4676 2 9104 7902 5 13993 1278 1 18284 1748 6 14196 5607 1 252 5150 1 4259 1728 3 14335 5022 36 455 2495 1 7312 1781 3 10832 1119 1 5378 5144 1 3118 769 7 12700 6436 7 19107 447 1 14731 2646 1 5477 2056 4 10183 7424 4 6835 4246 1 8444 3320 1 15196 2569 1 13851 333 5 3304 233 1 14438 190 1 1711 4023 1 11174 3697 1 16943 2552 1 7165 7578 1 11360 3611 1 3663 7809 1 10704 6901 1 17805 3666 2 9323 6602 1 10149 2662 2 5696 3024 1 10864 1705 1 11321 2463 1 16730 2369 1 7568 4448 2 12831 1656 1 13390 415 1 16361 3021 11 2648 3511 4 16625 411 2 17583 1737 1 2667 6649 1 12384 1247 1 1768 203 5 18826 2352 1 16539 532 4 6750 1772 1 14800 2138 1 165 7520 4 174 8048 1 20231 190 3 17501 1464 1 13894 2876 1 3309 526 3 15833 2998 2 14043 4322 1 18416 201 6 19226 1568 1 15396 541 66 18237 1249 3 5632 23 1 17449 501 2 7594 5319 1 10670 2114 1 5890 6059 1 5566 2493 2 19649 1776 3 20260 7216 1 13634 1239 1 13204 2109 2 6013 5097 5 1322 5496 2 10281 219 16 3025 1903 2 11585 1250 11 3521 4373 2 3081 4246 5 10272 221 5 18666 1825 1 7475 141 1 14908 1482 1 18067 429 1 1870 6361 1 11458 2452 1 8451 3827 1 2221 3045 4 3219 5051 1 13290 5708 2 2760 2246 12 13165 6064 9 1262 1781 2 9638 244 2 1820 188 1 13234 2896 1 14773 156 2 44 2285 8 7470 7138 1 16408 4283 1 2282 715 1 12009 6335 1 12168 2899 5 18538 6449 2 15992 7469 1 13134 1641 1 5016 411 1 3119 3385 1 16530 2534 1 6043 947 1 15940 5319 5 11786 3946 10 10290 541 1 12204 153 5 3814 225 1 1887 2935 5 19140 1909 1 10754 4615 1 1798 5000 1 346 225 2 864 2367 1 12702 6659 1 16848 1248 3 11478 229 4 4552 2494 1 10686 2509 1 19930 349 1 14327 1729 4 9978 3719 1 5431 2683 2 1803 2056 2 16938 6340 1 174 8001 1 4147 5767 8 1927 206 4 9699 4314 1 201 509 7 4851 23 3 9656 818 1 92 4136 1 18385 3890 5 9029 5905 1 16354 501 1 9337 4501 1 10119 6776 6 2398 5018 1 6228 911 1 15220 3334 5 15827 4019 15 10342 3328 1 6675 3556 2 2659 2280 1 11458 3919 6 18298 219 1 16301 519 1 3397 5339 1 4663 931 1 270 220 1 1383 1893 5 16366 1374 6 18089 526 1 16698 1991 1 320 8037 1 462 817 1 1670 6007 23 14731 6914 2 4965 5485 1 12426 4732 1 19239 1771 6 13030 1474 1 15214 564 1 2377 7299 2 13302 883 1 11072 5018 9 11632 1830 24 118 5232 2 12613 5325 14 14711 7381 1 1935 2013 1 1109 5571 2 3718 1078 1 9945 5791 1 1989 1730 8 18939 220 3 11615 1705 1 5257 3724 1 19776 4915 1 1706 2633 4 19115 4019 10 19002 2542 2 17000 6743 2 11687 2646 16 3314 519 2 14416 4389 5 8343 5115 1 1986 207 2 18204 1695 2 2330 910 2 1731 1819 2 17083 215 18 3432 638 2 7788 1100 2 15895 1304 3 18762 1416 2 2389 6341 1 18980 1747 2 11885 6192 2 15146 3516 34 8798 2853 1 17331 554 1 4413 4963 2 19182 6245 1 171 7682 1 6145 1470 1 11765 1751 5 9264 521 1 14692 1825 32 2476 8094 1 6987 4038 1 6349 1780 5 4396 1747 1 19539 219 2 14809 330 5 94 4277 1 12215 4489 2 8333 5513 1 15123 3058 7 10245 7191 1 6854 1275 6 10416 215 8 11270 1322 2 13699 2737 1 16287 516 1 3226 1283 1 916 801 1 7536 1695 3 9214 525 3 1545 2314 1 8704 7210 15 19156 1482 1 3287 916 1 15116 3466 2 16346 410 10 5753 223 1 10801 2881 7 3752 5011 4 2629 1776 3 1538 188 1 8370 4879 2 3512 6132 3 6450 206 2 12566 6046 4 18678 203 1 3043 1395 2 15166 3634 2 12387 2399 1 18462 850 1 10738 7347 1 16916 3283 1 8082 2511 1 17931 2352 2 20278 1319 2 17516 8171 5 15065 860 1 3882 203 1 7952 63 1 14436 4391 1 4773 4236 1 19102 6595 1 18968 2344 1 13340 7614 1 1794 7805 1 1666 1718 15 9224 648 1 978 4446 1 12995 1703 1 19618 6223 1 15274 6007 2 8395 4262 8 738 5444 1 605 1241 2 19267 557 1 18080 6414 3 12378 4674 1 12030 3263 2 8919 219 1 13290 7518 1 6867 2864 1 14974 477 1 1844 201 1 17996 534 2 8482 6897 3 14165 6213 1 10396 1402 1 15390 2993 1 19560 5105 1 7450 74 1 17713 7204 1 6355 4296 1 9995 8141 40 235 4977 3 16468 843 2 1326 7857 1 4850 5502 1 1696 1784 1 8598 4013 1 16120 1601 4 15352 8075 1 13 726 3 18979 1518 1 6193 852 1 413 6053 28 11336 5536 1 2917 7740 2 18497 1150 1 8050 2438 1 19448 5551 3 2213 1756 2 12543 206 2 17141 4655 14 3133 1238 1 11534 518 1 12206 1785 2 517 3742 5 14561 3482 1 16254 1531 1 15791 1275 1 13838 37 6 19293 1768 1 15679 1356 2 15832 5031 1 18366 4704 1 12583 2787 1 189 858 1 7815 1371 3 8528 1686 1 6592 724 5 8242 6473 5 4383 3742 1 8405 482 1 9224 735 2 18091 2080 2 10203 1613 1 1851 4380 1 2480 2927 10 3516 2353 1 18538 3693 1 10128 5691 22 4067 6390 1 2091 3573 1 8010 4351 1 16057 903 1 5117 796 1 4880 3827 2 17357 4258 1 233 6435 8 7875 2768 5 19649 1734 3 3167 368 2 19115 4391 12 460 1745 1 1888 5294 1 17088 4312 1 3694 3682 1 19946 203 2 13928 3899 1 4271 1753 2 16494 7632 1 17635 2229 1 14474 243 1 8323 4568 1 19946 498 3 14211 512 1 14297 3931 6 1744 3573 4 1843 4001 5 5738 4077 1 14815 5551 1 17454 7474 1 20032 617 1 18681 704 1 9693 270 1 57 2690 1 9162 8190 1 3924 2504 1 19542 5059 1 14361 8102 1 373 1769 1 17918 4314 2 14643 1955 1 5096 2663 1 18122 541 1 17749 2581 1 16185 1285 1 6250 7422 1 19131 157 1 18341 1595 2 15314 1358 1 1141 2698 2 6018 390 3 538 3697 1 8246 4977 1 5994 13 2 4092 1339 2 15102 1732 1 3947 1236 1 7791 32 6 9941 554 1 13941 4476 9 10938 2531 1 6688 1768 1 3186 3895 1 8100 2296 1 17425 1126 1 15885 5778 2 14200 2938 3 11241 215 35 8996 1877 3 14646 95 1 18293 2503 1 14091 1999 3 124 5513 1 14114 1380 1 17324 458 1 17263 671 1 16013 532 1 8388 3900 1 3146 7066 1 9733 3634 1 8052 3146 29 13652 5105 1 4784 2276 2 2313 709 1 15230 232 16 19223 910 1 11562 1518 1 15298 676 13 12826 1191 11 11360 1286 1 8341 186 1 1173 712 1 1398 3663 1 1705 5287 3 19019 4787 1 11818 533 1 2739 6374 5 31 502 3 749 23 1 7969 1341 1 15629 950 1 5392 1737 1 6650 5654 1 13172 335 1 17203 1804 1 18383 1235 2 5899 667 1 819 7809 1 7862 5972 2 14487 6049 1 11502 6640 2 2321 6179 1 1908 223 2 14569 5002 3 2454 6139 10 13097 236 4 1606 5950 1 5994 221 1 6228 4105 1 15104 1775 1 620 3911 21 14147 1756 1 10435 3460 1 18833 6635 1 2529 243 1 14890 235 1 2087 7222 1 8831 3363 2 13829 219 3 2648 1275 1 9066 2248 1 3673 1732 1 3971 7446 1 5378 4204 1 4452 541 1 6412 6414 1 10436 524 1 2918 3040 1 4279 7520 1 3798 5730 1 7356 6812 1 8160 2877 3 13350 6366 1 5218 2260 4 19115 3684 1 10806 935 1 16136 498 1 18821 4549 2 20275 2831 1 10254 5730 2 5344 6051 3 12720 5052 2 16416 288 1 873 1705 1 6352 4105 1 8199 6477 2 5192 2082 2 19999 2257 3 18727 1772 1 8560 43 1 5088 1714 1 3029 2541 1 11172 6756 1 15812 4357 2 4265 1764 1 20262 4293 11 17809 225 5 9566 1655 1 5542 3109 5 17886 817 1 2710 1482 1 10049 232 3 6191 7098 1 8343 910 2 19602 7643 1 14021 1731 2 14798 4499 1 16792 3477 2 16448 3954 1 4262 7308 1 17086 1253 2 10682 1775 1 5821 1090 6 14730 3389 2 1439 5935 3 5196 4725 4 18653 1819 2 7660 2107 1 301 7117 1 10058 3352 1 954 229 1 14109 745 1 2266 3411 5 6543 5559 2 19666 910 3 7751 7231 5 6003 220 9 14053 1395 1 14892 545 8 2215 533 5 15949 3661 1 16860 407 1 14763 761 1 6750 4998 2 18400 74 1 14516 1055 1 7006 1328 3 3258 3945 4 16950 4528 1 2147 36 4 9485 5614 2 1465 534 1 18902 4737 1 12534 3900 2 19641 5099 3 16537 6082 1 8198 3997 1 7431 1246 1 11270 423 1 19872 578 1 19738 308 1 15405 2111 1 18070 6091 9 1610 5916 5 6829 4202 1 15547 4609 1 9621 1717 2 11441 1328 3 15263 206 1 853 4922 1 13240 1244 1 11336 5504 1 6504 1776 11 3236 4404 1 13958 8192 10 3613 215 11 3258 496 1 5183 6897 2 16425 1453 1 373 1464 2 19731 1404 1 2916 2713 1 8221 3283 1 6323 4403 10 4072 449 1 18232 4397 14 5688 1705 1 7530 2969 1 11591 496 1 13745 2121 1 1386 3323 2 92 4178 3 6740 842 3 17645 532 3 1090 7704 1 8055 1450 1 9954 2645 2 3600 6192 19 6164 214 1 16894 1530 1 15039 5093 1 2834 7477 3 8223 1103 2 16857 1784 2 3175 2363 2 7445 214 5 812 8042 7 8033 4403 1 1034 2363 4 857 7477 1 11987 3147 1 533 5325 5 14357 2645 5 1607 235 4 135 6190 3 16594 885 4 17403 201 3 12380 5506 1 5977 1243 1 5244 1955 3 3442 4274 1 16096 2789 2 9533 1784 2 18285 2639 1 531 303 1 18202 2312 1 10165 684 1 15712 229 1 1681 3024 1 18116 173 1 14800 3491 1 12532 3842 1 534 749 1 5811 657 1 2797 4780 4 14187 1661 2 6406 6031 2 19399 7636 1 7619 2488 2 6589 1 1 168 7575 1 19354 7536 1 12269 5441 1 13829 1768 7 14758 5258 3 13461 190 4 9754 2448 8 16887 4955 1 5112 215 4 1551 1374 2 5882 639 6 18391 235 4 10498 7417 1 5860 1357 1 15718 4987 1 8893 5826 4 19604 7503 1 17151 6600 1 11346 471 2 6414 7512 16 2985 566 2 12960 4293 1 19319 1359 1 10572 526 20 120 3715 1 17901 820 1 10114 1258 1 92 4159 1 95 4368 1 10078 3604 2 4401 1 1 8435 947 1 19360 2877 1 14772 1364 2 11075 7260 2 5637 46 1 19428 323 2 3134 4288 1 2122 7342 3 9566 1662 1 8913 1367 4 6513 1946 2 18101 4014 2 5322 4945 1 13811 743 2 18889 7206 2 20013 3873 4 19002 74 4 13558 4972 10 7737 6656 3 16458 1772 4 18033 4761 2 14501 5919 13 5189 3563 1 8913 2632 2 4539 4470 1 5117 575 1 6983 749 1 7509 6756 2 7219 2789 1 6837 521 2 14376 1242 2 12662 6435 1 6619 215 5 5909 131 1 18115 2114 6 16971 5077 1 1927 1703 2 15734 2126 2 143 6545 4 10344 3622 1 19000 6993 1 17061 5871 1 10708 2749 7 7610 262 1 12136 4514 2 18610 6375 1 1306 5999 49 18464 3878 12 9781 6100 1 19530 5585 1 12345 3526 6 2939 1005 3 1013 1748 1 16201 1242 17 1233 8141 1 4850 2595 1 6278 5897 2 4263 5172 2 9656 1206 1 222 2491 2 7956 1464 1 1625 3555 1 6943 3060 3 455 823 1 14351 1825 1 12850 532 3 8833 7094 1 4801 1804 1 2310 1779 1 8840 2789 1 4402 2600 1 12093 718 1 9168 395 1 6881 5461 1 10099 3432 1 15205 3333 1 7922 1395 3 8991 671 5 33 1078 1 10730 164 7 8332 2155 1 16468 1729 1 18941 8194 1 15091 3284 7 929 193 4 15599 2205 1 8876 1762 2 4779 8191 1 19372 4179 15 19319 184 2 6564 164 1 6259 2355 2 20090 5312 2 16378 867 5 14692 229 2 15726 1342 13 17618 502 1 4606 1275 8 4095 1251 2 2629 1734 4 17640 8096 3 3379 3629 1 31 1246 2 17901 6952 1 5246 4412 1 13488 6204 22 1629 8156 1 13054 2691 1 5789 1363 1 10273 4623 5 11532 3924 1 14639 4796 1 822 436 3 20123 4382 2 12851 7670 3 1926 201 1 19331 235 2 100 4573 1 13105 275 1 5667 1738 1 5589 4774 1 13015 6459 2 9364 498 4 20042 402 1 9079 4945 2 127 579 2 15323 215 1 17658 200 10 15103 1464 13 13494 2748 1 7126 1751 1 2758 7412 2 442 3849 1 10642 1253 3 9715 2815 1 13829 1184 2 513 3757 2 18998 7943 1 14114 1366 1 10301 4022 1 1825 3287 1 6976 6268 5 4716 1241 1 15740 2248 5 6624 307 1 9885 2675 2 15640 4343 1 174 6022 1 8982 1695 1 1322 3230 5 915 158 5 15608 962 1 13451 2646 1 14494 1826 5 4092 7602 2 15411 520 2 4092 5478 2 8591 2649 5 15838 1985 1 124 5399 1 20245 863 4 5352 1770 1 12375 1007 3 3546 7234 1 1141 1748 1 19110 46 2 12131 4489 1 2100 5738 3 17627 200 42 15878 1564 1 8271 5998 1 121 764 1 17257 6754 1 815 1245 3 4744 3511 5 11195 1721 1 3552 1911 6 20248 1713 2 14079 7497 2 6737 3570 1 16943 6152 1 1851 380 5 11354 4162 2 10300 843 1 16628 200 5 11094 233 1 17920 5090 1 20031 1236 1 5863 3589 1 8710 3345 1 19185 3686 12 8554 5730 1 944 6169 1 18836 4543 1 6651 2671 20 7390 148 1 14162 558 1 17086 2139 5 12025 165 8 5244 15 1 17335 3589 1 4340 753 1 11591 945 2 20039 5156 1 11417 2370 1 18876 671 1 9161 4044 1 19921 499 3 14010 5120 5 17776 201 1 9732 718 1 6669 3201 1 10495 1686 5 14810 1638 1 7994 759 1 6332 768 2 19724 235 5 16364 7809 2 5048 1253 2 6412 4369 1 328 1482 1 11614 8060 1 7832 7819 1 10841 7180 5 3342 197 1 18178 303 1 14659 1256 2 17992 2883 1 5808 3138 2 1902 1717 1 9749 724 1 13067 304 1 10902 1239 2 9250 243 2 17946 1721 1 11192 718 1 161 7351 1 10684 498 1 6213 5553 3 10776 3880 2 1133 6220 1 17886 554 1 16118 2305 1 222 425 1 12766 894 1 6867 2815 3 15816 1820 1 7933 7419 1 15433 8121 7 16436 3033 1 14428 4929 4 11293 6414 1 14469 929 1 20 1327 1 13312 7573 2 19156 7128 2 6276 889 1 15939 2019 1 17223 1146 1 7507 525 2 4146 23 1 3315 868 1 17459 720 1 11615 7085 2 16174 23 3 14087 5895 1 9404 23 7 14162 1078 1 15507 411 1 90 4060 4 17749 4284 2 9503 1245 2 14946 225 1 11929 135 1 13114 1691 1 1857 867 8 18994 440 1 13132 670 2 3243 203 11 15588 411 8 7295 747 1 9728 6515 1 9457 3024 2 14642 1236 1 19145 232 1 49 2484 1 16738 2728 2 5294 6949 1 7390 4547 2 592 420 1 5266 3610 3 8709 7990 1 16966 6631 2 4812 201 1 2954 219 55 18992 911 3 7822 3974 1 20182 2821 1 10789 1695 4 10046 1726 2 12264 201 4 9342 867 3 4804 471 1 7535 3206 1 18886 821 1 17607 1238 2 3269 2878 1 11746 3113 4 5364 1363 1 9329 5735 1 2701 2514 1 484 3371 2 3085 375 1 17000 3979 2 6683 2060 1 13638 3684 1 19649 5018 2 3665 3399 9 9264 4623 1 14350 52 1 6178 6170 2 11538 5446 2 5744 206 2 14146 669 2 11786 6611 1 3561 7466 2 153 6987 1 1465 3744 11 16366 1770 6 4263 2708 8 18726 1782 4 4268 5307 1 5195 4760 2 14780 7946 5 10197 5420 2 166 7548 3 9717 6159 5 8394 2746 1 7701 1991 1 17061 5888 1 1201 1478 1 13082 1687 1 17382 2656 2 2760 316 1 5476 401 1 3133 5961 1 11303 6480 1 20090 4077 2 15727 4096 1 11882 5517 3 3504 2721 1 7212 3635 4 11956 7591 3 8191 3882 4 8391 2645 1 4199 97 1 17644 6713 1 12424 197 1 14476 7189 15 12065 5931 3 3998 530 4 9457 2386 2 19857 752 1 13611 543 1 3806 2352 1 19652 203 12 7970 1239 1 14298 5820 1 5645 1728 1 15669 663 2 4135 2006 2 17654 3464 1 6353 2093 1 17544 2699 1 19849 412 1 60 2745 28 8911 3877 1 19193 4011 1 12660 1198 1 4689 3599 1 10804 3315 1 16000 411 3 13390 4486 1 3468 230 3 9835 8176 1 7555 518 1 14346 1734 1 3898 5758 1 11458 7804 6 20168 2864 1 3826 3710 2 13778 6106 1 3397 891 5 2525 5618 6 1045 162 1 2027 221 1 18508 96 2 19475 3586 2 10633 496 1 1733 219 9 2424 4407 2 19348 190 1 17662 84 2 5804 2398 1 4205 957 4 6867 553 1 24 1475 1 10429 3699 8 15511 1498 3 112 5019 1 2199 1036 4 16997 5315 2 6436 167 1 6649 6053 3 18862 4244 1 5189 1775 3 5837 2507 1 19518 510 4 1481 4009 1 19486 4206 1 5540 23 1 992 1248 2 5380 1146 3 13922 1829 1 4147 2746 1 17960 1757 5 15726 302 1 17480 4307 1 19395 5763 5 13053 7477 1 15750 467 1 19960 1250 7 1978 1661 2 4098 1954 1 18286 2549 2 13295 4380 4 496 1342 1 5021 23 1 5126 225 2 234 6561 1 6644 7730 1 5932 2662 2 11945 2675 11 16130 1146 1 5603 6761 1 18198 2880 1 13065 2673 1 10593 4021 1 9968 372 1 9635 7815 2 5943 1239 1 17575 6576 1 16267 3011 1 9374 864 3 8008 5586 1 10389 2141 1 17540 6710 2 14011 5050 1 7179 911 1 6492 743 1 17428 5672 2 2856 2649 3 9865 7719 1 19272 1911 7 13388 5018 1 19872 2364 1 12006 1916 1 6418 926 1 1864 1955 1 9888 1203 1 19663 5325 1 7426 5031 2 11327 219 1 2375 2254 8 9031 325 15 5894 1612 1 439 203 1 8394 5312 1 10102 84 8 7327 1758 1 13266 1193 2 16090 1326 1 10160 1464 2 8528 1238 2 14493 1762 1 8015 4306 1 11494 2639 8 16582 207 2 19403 6343 1 16844 221 2 10404 5333 3 15356 4077 10 5556 3705 2 13333 3167 1 15877 3427 1 16978 1707 2 8753 1243 2 5273 1752 1 17120 1775 2 16390 206 1 348 6064 37 11430 201 3 2439 995 1 10859 2151 2 9178 15 1 17260 5905 1 755 1772 1 8127 789 1 6990 427 1 11406 4944 2 18079 2633 3 8082 2248 1 18879 7750 1 7123 3230 5 5827 370 1 8638 1903 4 2157 1686 2 3385 3670 2 3045 6248 3 12934 10 1 11577 5655 2 16174 1250 1 1206 4607 2 1073 339 1 14578 4555 1 11607 2676 1 20090 413 1 12550 1736 5 4333 4604 1 3354 759 1 10967 3671 3 12286 2662 2 15652 1251 4 9131 4657 1 18761 2006 3 20155 1474 1 4603 6481 5 13740 1489 14 1003 5353 8 13805 498 1 15272 1235 1 11418 4280 5 6893 2000 1 7555 3152 1 18968 4211 1 16645 200 1 3751 514 7 452 4029 1 18427 1764 8 8664 1710 2 2370 7474 1 19219 2087 10 17962 3502 1 17953 1305 1 182 191 6 3901 3778 2 10118 2261 1 1597 4156 1 20244 737 1 1735 471 2 20262 6640 1 10429 2495 1 20120 589 1 5303 2867 1 13027 2504 2 15130 3063 1 7992 3693 2 5753 2661 1 17061 2339 5 13466 5774 1 6314 4489 1 19833 4022 2 17731 1234 1 18634 5270 1 19393 6346 1 18475 608 1 10033 3519 1 628 5335 4 13581 5297 5 11024 3882 2 8025 353 1 18938 5187 2 5230 1031 1 5787 2686 2 16699 3882 1 9127 3294 1 3155 3663 1 7309 525 7 9278 2555 1 3189 4588 1 5216 5251 1 13267 680 4 3765 2675 4 5626 7719 1 17803 2027 1 6457 1423 1 8043 215 2 9419 2307 3 14640 6009 1 14710 3777 2 5617 1273 2 4170 198 1 13627 3389 2 14062 7948 4 15272 4991 1 19545 2786 5 5997 6539 1 15092 3230 11 3822 4343 1 9240 1239 4 17416 5291 2 4486 223 27 4784 206 7 6327 252 7 2212 6415 1 10467 20 1 9778 481 1 8129 8217 1 6163 7227 1 10879 1703 1 5563 864 1 20191 899 1 17803 236 1 17669 13 1 8056 6494 1 572 303 1 17278 4972 14 11530 3600 2 2861 221 1 10847 1138 1 15956 1658 2 17013 5252 2 18205 502 1 2462 6462 4 3806 3511 3 20191 683 1 16986 1615 1 12535 526 2 17257 397 1 15649 330 6 19026 6566 1 4496 2885 1 13632 3691 1 9649 4366 1 9935 3050 2 5831 35 1 6417 2849 1 11155 197 1 2907 1090 1 5913 6682 1 4883 1395 3 15107 3283 1 4929 206 1 19985 3663 1 1801 1035 1 4095 5486 1 74 3447 1 10482 4246 1 19428 2031 7 862 2488 1 8034 1762 1 11411 7801 1 783 1374 1 7535 1184 1 19091 6640 2 15791 1827 6 19602 1209 1 11763 656 1 14500 498 4 4359 215 2 12757 883 2 18912 1721 2 15180 8102 1 3146 2407 1 14404 1721 5 5079 5895 1 6271 1764 1 3809 995 1 15007 1743 4 9790 5013 10 19268 235 3 18191 1756 1 18866 206 8 6882 1613 2 4804 1017 1 1844 441 1 18085 411 9 16645 774 1 12619 4022 1 15691 1244 8 18351 141 1 16509 3494 2 15418 235 5 2699 3582 1 10261 292 1 7132 3799 3 18026 222 3 15863 745 6 7392 1249 1 4124 313 8 10364 3803 1 1228 533 7 10604 698 1 8439 4245 1 11756 1374 1 15123 7953 1 17757 3370 1 18667 3911 3 15815 4561 1 16090 7050 1 14570 2484 1 4572 220 14 31 1779 3 7376 7266 1 4622 2653 1 6213 2325 1 11938 545 1 11270 1110 1 4709 636 1 7527 6534 1 8223 1093 2 11744 220 12 3698 6677 1 3189 297 1 17445 6485 2 5675 224 4 4572 1698 1 7517 3671 139 13112 1781 8 16421 1719 1 17781 6008 4 8215 2877 1 16466 540 2 11295 1105 15 64 3070 2 9374 534 2 13028 1251 1 3397 5463 1 11947 1041 3 4380 3923 1 13165 7096 1 19710 3516 1 341 4391 1 16442 3167 2 3826 310 1 2066 6091 2 2706 7846 1 12475 512 1 4245 365 1 17432 411 1 675 3748 1 7838 316 1 9319 4345 2 14784 526 1 15106 1764 3 17174 553 1 4763 232 4 9490 2043 1 16325 5806 2 17555 197 1 20032 847 1 8446 3642 1 6373 3423 1 7702 1342 1 19901 3882 1 1243 2184 1 3472 1757 1 17476 500 14 14818 222 1 1654 3647 1 153 4357 1 17390 1305 2 1198 2649 4 17201 4623 2 16574 1276 1 19090 1239 1 3491 514 1 11008 1368 3 1145 398 1 11465 4065 1 14253 5922 1 18548 46 7 7306 603 1 48 2379 1 12328 5380 1 14033 3494 1 11820 6562 1 10945 411 2 17431 876 1 7390 1242 1 10171 84 1 17411 6335 1 14898 5262 1 16297 4391 1 4663 341 1 1686 6334 1 15405 401 1 9524 745 1 4984 223 2 8340 232 1 14218 6106 2 822 1174 2 15108 6457 1 12128 2501 1 4056 1705 1 3277 1747 3 2386 6099 3 1141 512 3 1865 3024 1 7463 2641 1 6063 200 1 10633 1745 1 7671 692 1 13730 6507 2 3337 7068 1 7568 6588 3 7278 597 1 14147 4312 1 1772 1184 4 10396 6662 1 8065 7229 5 2359 6102 1 952 1784 2 13922 3909 1 8831 3567 2 4758 8175 20 19008 7020 1 13108 1658 1 10355 7414 3 723 5254 3 18466 7176 5 8683 706 4 2684 6589 1 2750 4653 1 14629 430 1 16151 5734 1 2609 598 1 4570 7220 6 5023 1663 1 2761 3426 1 16254 3326 2 16242 2671 4 12638 2675 1 13809 4002 1 17000 1454 1 1379 436 1 10733 4280 1 10693 1946 3 4772 1756 15 855 2131 1 14946 11 2 23 1443 2 18149 1686 6 6387 7622 1 18022 5730 2 4389 1385 1 14408 3070 2 7000 808 1 18671 2352 1 16588 1464 1 5784 6675 4 13242 3512 3 2060 721 1 5734 7592 6 1972 7419 10 19732 1717 5 7993 215 1 16780 5008 13 6621 3467 2 20137 1752 2 5675 1780 4 558 1626 1 7682 935 1 3439 4006 3 16649 1236 1 7862 1714 6 4938 3367 2 8585 506 2 15529 4739 6 9937 1289 17 15368 864 2 739 184 1 10447 221 1 9478 23 2 8786 718 1 2677 4660 1 2103 3073 1 11451 7227 2 19053 591 1 15159 1034 6 10595 229 2 18155 3729 1 6332 8012 2 15932 816 1 15757 6775 1 40 2121 1 11742 982 4 13717 1450 1 15029 7216 1 10852 650 2 19000 454 1 5271 5023 2 3543 411 1 18443 7734 1 14769 1190 1 19409 380 1 7411 7222 1 5280 4764 24 6420 1991 2 12880 3879 2 6504 6640 1 10126 1788 1 6152 1046 1 2567 38 8 9410 5291 3 16109 510 5 10161 4262 1 3768 390 1 16397 23 1 7305 2711 2 5747 531 1 16474 520 1 13619 232 7 20009 2832 2 19975 2373 1 5374 7232 1 15871 150 1 18939 7597 1 16815 1756 1 50 2505 1 9011 1705 5 11755 863 1 11525 960 1 388 1072 1 11485 7477 1 6503 708 4 5158 785 1 19351 5295 10 1780 8141 1 14108 728 1 17678 7461 1 17446 647 10 221 3721 1 11035 541 3 12922 1246 1 181 8220 2 13387 284 1 4143 23 4 9432 2998 2 7796 1819 1 13016 1529 10 13778 6152 9 8499 6169 2 13447 293 1 5983 3062 3 16307 1778 1 6308 23 4 2985 931 1 2235 4653 1 16943 292 28 9189 229 1 4519 4612 2 13490 2508 3 12984 540 1 9189 995 1 13699 6470 1 11786 2660 1 10019 2712 24 9503 2667 1 6855 2806 1 18608 7073 1 13883 5950 5 6649 95 1 19338 745 1 16697 223 2 7748 531 7 15041 1239 1 7571 3603 1 840 2260 1 2497 1955 1 8389 944 1 13647 8029 1 270 532 1 1466 2686 1 1065 6418 1 19879 6185 1 13519 1361 4 4425 1700 1 15388 505 2 16109 336 6 13535 2424 1 236 2295 1 7480 8072 3 7034 5105 1 1969 3333 1 592 1022 3 9577 883 1 15943 6014 5 126 5709 4 19401 7155 1 35 1952 1 9783 7531 2 6536 1781 1 20019 1881 3 2804 6744 1 4154 1762 1 12923 8109 10 46 1734 1 13986 5591 31 807 508 1 17328 2465 4 15621 2257 1 13162 141 2 9793 5162 1 17332 126 1 15480 524 1 2313 7901 1 12757 8171 2 5420 4961 3 9086 173 1 20013 2871 1 17518 4269 5 2860 1250 2 1231 1278 11 5248 976 24 18334 1339 1 1736 4280 1 9928 201 1 17382 74 1 6046 534 1 10133 1453 3 29 1675 1 15156 1007 1 6090 678 1 12569 7672 1 17947 1363 1 12909 6289 8 974 206 4 11475 6640 2 5032 1991 1 16102 5309 6 19872 1519 1 10285 165 2 14797 6704 1 81 3662 1 9501 3516 2 8717 3221 1 1816 7674 1 18320 2953 1 2357 2151 1 19429 7187 5 20131 3045 1 13678 518 2 17298 1748 1 13698 214 2 9752 1761 2 1463 5243 5 18728 3462 1 1906 3595 1 5595 38 1 12817 1273 1 1465 215 2 18590 219 2 12950 5590 1 4468 1751 45 17252 5255 1 12270 541 9 9861 5332 1 6611 1399 1 6314 5849 1 19510 3328 1 1585 1721 3 873 1118 1 13252 6979 1 20192 3892 7 7385 982 2 9319 275 9 13144 7156 9 4825 225 6 14184 4435 1 15091 3945 3 3484 545 23 8475 5559 3 124 2849 1 160 7270 1 15833 230 1 873 3762 3 8749 203 8 5626 6342 5 7295 835 2 3496 501 1 5252 7083 1 15567 1271 11 13 685 2 13595 7353 2 2091 1244 1 11825 976 23 19451 2649 1 2319 23 2 8665 2649 1 8210 5254 4 18141 6332 1 8618 4041 6 807 1464 1 2403 6140 1 19568 534 2 11769 3630 3 15180 4816 1 15197 2798 1 1 74 1 17748 709 1 19872 447 5 11 382 1 19322 1250 5 8311 190 1 11803 7213 1 18623 219 10 5316 5737 3 18487 1251 46 19491 1201 2 99 864 1 912 867 5 2249 3679 3 19310 5256 1 18698 3333 1 10313 4302 1 3938 1772 4 427 1328 1 280 1453 2 6803 2307 1 13556 6039 1 6913 7719 1 3569 6933 3 13496 205 4 221 1404 2 17986 6170 1 14921 2355 1 3093 3704 1 1492 399 1 13856 1756 1 5808 207 1 18431 1374 2 10661 5966 3 7452 839 1 16570 1245 1 10942 6343 1 16890 5129 1 4663 911 2 5582 5674 1 2434 5253 1 682 1735 3 1893 870 1 9401 1482 26 9305 6054 3 10832 6245 1 15778 3081 4 1749 4695 35 10313 4203 2 10516 1672 3 11179 1721 1 16792 518 1 11020 762 2 3278 757 1 12948 1188 1 16677 2013 1 8174 232 1 8110 4306 3 2198 6622 1 18742 1244 1 13031 862 1 11835 7998 1 9872 534 1 19268 7167 4 5505 7221 3 1653 6152 1 8532 252 2 1308 206 2 3996 6555 1 10344 4403 1 2150 201 1 14503 2651 2 7378 3909 10 12817 1748 1 100 1041 1 1733 1235 1 9656 367 1 12283 221 4 15619 46 1 17850 4321 1 17590 4805 1 10409 7933 2 3974 5018 43 1612 1395 1 19331 23 4 4242 1251 1 14554 1940 1 4935 810 1 4843 707 1 5208 1756 16 12688 3462 3 6124 23 1 7421 2860 1 7682 5305 1 18460 6719 7 16838 6325 2 12690 1292 3 13216 5262 1 10813 498 4 18814 793 1 8574 1666 1 15655 6012 1 593 1776 1 15417 1999 1 9982 7831 1 17481 3590 1 11733 3396 1 10327 3909 2 2135 1244 2 20204 5524 20 10587 4708 1 17265 5315 1 10716 347 1 7017 4873 1 3059 5120 1 6647 336 1 16470 200 15 8979 891 8 9555 2498 1 13965 5635 1 14937 5020 61 19393 6288 1 6363 2352 2 2464 7101 1 17749 1537 2 16518 7466 1 19599 506 1 4458 719 1 7355 4277 1 1053 5336 5 5463 148 1 1693 330 1 4627 2268 1 16781 2675 59 6641 1761 1 18681 590 1 475 1641 4 2962 639 1 16325 8156 1 16417 1328 10 14963 5252 1 16361 690 1 19946 5494 7 18116 1342 3 5929 828 1 9660 6152 2 17873 1686 1 16148 3992 1 3175 1246 1 11344 1779 1 2659 1677 3 1013 7191 2 12521 1256 1 991 6678 2 15995 5758 2 14615 3605 2 4575 5018 1 5869 3629 2 515 3910 1 20090 478 2 3987 4204 3 19578 3862 1 13178 6400 1 19921 507 1 18939 7494 1 6769 629 2 2186 4992 4 7986 1999 5 6082 8203 1 290 6713 8 7750 4312 2 445 184 1 11809 3971 1 13793 1761 1 11566 2935 7 5717 1357 1 17371 6341 2 5900 3686 6 1090 7824 2 20039 2770 2 12847 467 1 17261 3889 4 12375 7229 1 11442 23 1 6105 2150 1 536 6268 1 8626 743 1 11327 8141 1 10827 7597 1 20056 1760 1 11512 1292 3 661 3516 3 5773 4251 2 10715 623 1 16538 8067 1 611 7857 1 10584 545 4 4513 889 1 1905 3741 4 19409 7466 1 8458 215 3 11094 232 1 1065 4303 3 7756 5545 1 18263 5513 1 13829 2675 1 7469 2239 1 18448 65 1 11672 4459 1 16674 1726 2 6750 2016 3 14144 6618 1 14692 520 4 7994 879 1 3593 3516 2 12024 3512 1 3718 1243 3 15136 899 1 5794 4599 1 592 3225 3 15629 900 1 15535 2671 1 11090 5251 1 15231 95 6 13015 1981 1 8278 4389 1 18435 6441 1 17838 7187 7 16826 252 4 15028 2114 24 7284 4792 1 12925 2363 1 7632 1927 1 20 1248 1 12726 1779 1 17986 6898 1 18799 3771 1 6440 4198 1 12138 2673 2 6848 1235 1 3417 1184 1 18756 2280 9 19925 3840 20 17643 6449 11 9250 2945 3 17470 724 1 19724 525 6 5769 4479 1 9465 2728 2 14991 2114 1 12686 4403 1 18187 244 5 3668 4206 1 2234 214 1 48 2441 2 1934 1825 1 9604 8184 1 17485 445 2 9023 103 1 712 222 1 14753 825 1 15281 8191 1 5342 347 1 16447 5060 31 1689 1250 1 3056 4996 1 1976 4970 2 17629 207 1 7914 3600 1 14875 7353 1 11736 379 1 7156 2652 1 20091 1250 1 14452 1531 1 19530 867 5 12815 1312 12 3590 5771 1 16346 5951 10 12821 3283 1 10898 1686 1 5424 4203 1 10525 502 3 7041 23 2 13482 1819 1 392 470 1 13807 5506 1 2985 698 1 7382 3511 5 13008 4325 10 10219 1717 1 153 7107 1 15374 3391 1 5963 2396 6 4304 60 1 13027 367 1 16340 5586 1 13126 625 1 20145 84 1 15307 6025 1 17113 1251 4 19776 1763 1 16266 223 2 12036 5531 38 2869 6957 1 100 4532 1 12879 6341 1 16348 1727 1 7490 222 9 14978 6677 6 15140 2632 1 3404 471 2 17019 929 1 991 225 2 12917 1921 2 14385 6552 1 460 1464 1 12681 4245 1 6634 5378 1 19217 7300 1 9435 4468 1 5688 1396 1 9593 7286 1 19228 5121 3 10360 2020 1 4492 1724 1 3790 1778 1 4545 6549 1 18431 7215 1 11172 3479 1 2794 3414 4 12231 720 1 11336 2252 4 17859 47 2 8965 1710 1 7871 1743 1 5373 1666 1 3448 6952 5 14813 3989 1 19342 1707 2 18119 6167 11 17432 7719 5 19705 3676 1 18017 6355 1 15474 5408 1 19524 5922 1 15160 1761 2 10410 1111 1 3399 2675 1 8682 1649 5 16018 1197 7 11014 252 1 14773 1698 5 8305 647 21 11772 3778 1 14769 1245 1 18976 8150 13 16726 1720 1 18424 6099 1 8930 5905 1 19223 514 1 11875 207 4 1517 768 1 3655 1703 2 2629 7850 1 18174 2376 1 6049 2228 5 7719 6473 1 11363 6173 1 5602 5435 1 14753 336 3 2962 558 1 3336 2557 1 6696 1221 1 6822 4615 8 2126 5266 2 1653 1464 2 14656 2701 1 10380 768 1 16241 5355 1 12329 2584 1 5938 1703 2 9725 2369 6 18089 1356 1 6611 2731 1 3411 1727 1 19649 519 2 13103 6658 1 9169 1981 1 7550 1529 22 15144 3697 8 1754 1767 11 18440 4377 2 14929 5402 1 2146 232 1 20180 554 1 7278 206 2 7812 4740 1 6271 3298 1 6130 917 3 17700 3135 52 19319 221 1 2635 5325 1 19774 633 1 10543 6303 40 10638 5573 3 2917 6533 1 6325 200 2 4266 3175 1 13 566 1 10677 3156 2 14522 225 3 324 1740 5 12064 304 1 12777 2246 1 19826 5767 1 789 7750 1 19057 330 5 16561 631 4 16881 7250 2 5882 3352 1 14886 2671 1 14298 4290 1 18792 743 1 10025 3953 4 1620 1748 1 5631 956 1 10733 2958 10 9596 410 1 12337 1747 1 12394 3080 2 11533 1035 1 15853 229 4 20010 5018 14 10103 2918 4 3337 7685 2 14892 3081 14 15247 2849 1 864 4077 1 4234 5312 1 17662 203 5 8965 1374 1 2230 225 2 8306 1007 1 18468 1244 2 3759 1686 4 14512 892 1 4329 6167 4 8522 8071 1 19272 5472 4 2674 6188 1 1807 3596 2 16527 6179 1 2906 6683 1 13671 470 1 5960 3476 8 6423 1185 1 12212 215 1 5594 1244 1 12166 203 1 3881 358 1 17953 3021 1 572 190 1 13414 23 1 14685 3320 3 18366 378 13 164 7489 2 18144 498 5 1706 5135 1 9900 4351 2 3822 723 1 10502 519 1 1618 411 2 4796 2057 1 4023 3734 3 15383 494 1 17350 4792 3 13056 1993 1 15618 1987 3 7036 5324 1 11122 878 2 5520 1314 1 10174 3658 2 8767 4304 3 12541 1248 1 3964 910 4 11293 4955 1 6749 7948 2 17677 3911 1 16310 828 1 19932 926 2 3571 244 2 12671 5811 1 10180 6053 1 6458 6620 5 11078 2662 1 14280 5783 1 6752 874 1 3614 512 5 19193 1237 1 17996 1146 1 13675 200 2 14755 292 1 9603 1825 1 19115 1748 6 14890 916 1 1587 679 2 16123 1482 4 5645 1250 1 12592 6793 1 18195 665 1 1246 1250 3 1849 2330 1 2989 1960 1 14493 6231 1 9809 6286 1 9809 6680 6 6943 3980 1 19144 292 1 11370 3233 5 9978 368 3 13864 316 1 8043 201 2 16621 1828 5 14661 1105 11 9503 1747 5 18345 5730 1 2128 4591 1 8525 2678 1 9457 4006 1 7278 221 2 5977 1739 2 2147 1244 1 3651 240 1 48 2404 2 7966 1383 1 10781 2636 2 7778 1784 1 11933 5951 1 10815 6440 1 10381 501 1 6105 4869 3 18814 6925 1 17484 6252 1 760 489 2 9519 964 5 3569 3510 4 13587 443 1 9889 212 1 10080 4290 1 7774 1237 3 15618 4459 4 3705 1729 1 8069 1740 1 10525 2263 4 967 1717 7 6516 3334 1 153 7087 6 16378 498 1 2016 2068 1 6088 3872 3 7148 8119 2 12375 341 1 5815 5390 1 130 5925 2 20019 2677 3 20177 2266 3 5520 4490 2 5421 3015 1 13023 5676 3 17257 744 1 12502 1342 2 14491 7251 1 3385 2632 2 6524 23 1 14964 4196 3 11902 1748 1 2833 1341 3 770 235 1 19787 8141 5 10829 1649 1 12821 4944 1 7769 7466 1 14357 10 2 8889 3991 1 8408 963 5 42 2230 1 13356 4242 1 15657 1304 1 15297 2727 2 5617 2503 1 3050 229 1 18779 1208 2 4436 252 1 3573 6591 3 4599 219 1 15323 6084 2 1770 207 1 3557 6692 3 592 1285 1 4539 541 19 5833 201 1 5505 1237 1 2887 5871 2 15086 2100 43 13 931 1 14900 2352 1 5515 232 3 6205 7554 2 15288 950 1 16626 1779 1 16192 184 3 5174 3167 4 13341 4166 1 2462 6377 4 15827 5677 5 11327 496 4 11928 8200 3 4491 536 1 19428 910 4 1552 4367 1 7597 7210 2 8221 5141 1 10078 2793 3 16789 1505 1 6488 4985 2 12962 1779 1 14684 3382 1 15989 2584 1 2879 6106 4 18623 498 2 9421 1727 1 8468 1788 1 9946 4413 2 11606 2494 1 11050 1827 1 20225 670 1 5335 223 1 17555 883 4 4134 3065 1 7738 1450 2 14892 5020 7 2459 7687 6 9178 385 6 6348 229 1 11306 225 3 18207 7136 1 11672 665 1 14617 7308 2 48 2381 2 5340 1705 1 1870 198 1 8620 922 1 17896 8153 1 9329 1567 16 17416 1760 1 5454 534 1 13601 2626 1 7991 6099 1 6210 1241 1 18017 4698 1 14621 4573 1 17867 1903 4 17504 1729 1 14971 214 2 4055 1762 1 1839 6658 1 4307 1244 3 2341 1757 1 787 834 1 10696 2737 1 1962 6808 2 805 3980 1 10733 2009 1 8329 3414 2 14905 1396 5 13827 536 1 5158 792 2 1653 1816 7 18818 222 6 9341 2661 1 1 73 1 12771 759 6 14203 6408 1 177 215 3 2303 5758 7 6781 173 5 12565 3775 1 6661 4161 1 1787 8139 4 5652 7229 1 2884 3013 2 13233 6526 3 11297 1760 2 13543 917 1 15198 411 1 4147 794 1 529 252 1 2645 3276 1 12514 4436 1 7058 1745 1 16970 1518 17 18158 5907 1 18102 5011 2 8368 779 1 20269 1731 1 1653 229 1 2568 8093 1 16956 2057 2 975 1778 6 5926 533 4 5671 5758 5 20123 7091 1 7994 662 1 9077 517 1 6549 6390 22 15683 1238 1 16636 169 11 17797 532 1 12176 1770 4 11857 6633 1 19455 292 1 19604 6555 1 7643 657 1 4879 7029 1 5542 4595 2 14798 5940 1 9993 3906 1 17725 918 1 2449 1698 3 13607 3431 2 450 5268 1 6669 1190 1 13783 5559 4 10837 1757 3 1825 2683 1 3272 220 1 10980 230 1 11673 541 22 8547 253 1 8051 6920 2 1612 541 1 9224 926 5 7780 3511 1 6765 1740 1 11763 4852 1 14208 411 1 9808 201 6 4259 4977 1 3796 829 1 2778 4902 2 19995 823 1 6983 5301 2 12257 1784 3 4488 221 1 12833 2444 22 13564 353 4 10498 2555 1 11047 1638 2 13017 2964 1 6855 759 5 18033 3922 1 14252 3163 13 17179 3163 7 8458 232 1 3392 8082 15 8242 3471 58 11762 221 3 3574 5911 2 18781 2369 1 13119 1703 3 7780 864 2 18118 667 1 15635 659 1 5952 5302 3 18489 2184 1 11616 597 2 7445 532 4 16554 631 1 3603 2534 5 19486 1205 1 419 3916 1 7809 828 1 9485 13 1 1872 3275 1 14212 2938 1 8438 4306 1 9374 1762 1 5053 292 1 4574 7097 28 4687 2190 1 2045 1363 1 74 3481 3 769 4703 1 6949 2591 1 11851 2704 1 6894 6339 4 15635 612 1 17894 1736 1 5494 1747 2 17743 306 1 6644 2789 1 5995 2661 1 19331 6102 1 7893 3015 6 4371 374 1 17224 1783 1 19763 40 1 636 6897 1 1001 2575 5 12493 507 2 19086 2355 1 8560 3477 1 15468 3511 3 19761 2072 2 530 7122 2 16716 1190 1 7651 7471 1 18893 7969 1 18918 201 14 124 5413 1 7991 3596 3 9787 2968 1 13023 942 1 745 624 1 8229 357 1 15260 5062 2 11367 6341 1 4305 2600 1 20145 1235 2 18657 6106 1 4963 6355 1 10703 1342 2 715 4175 1 3738 8200 6 17695 2369 1 13686 1727 1 12619 1732 3 5862 2653 1 16698 4447 1 12378 413 1 10654 2190 1 19344 5436 1 6510 1248 1 4679 215 4 19053 744 1 2104 3273 1 7295 5439 2 12775 1664 1 20044 7666 4 6457 7073 1 19355 1990 1 19286 2894 1 5479 759 1 873 1996 2 16839 2675 1 484 2058 1 17083 504 1 12152 186 1 1989 3156 2 11327 367 2 4880 7531 1 3485 1464 1 11461 501 1 7022 7227 1 14884 2646 11 9445 471 1 5298 3634 1 2629 1768 2 16831 1775 2 4492 519 1 15686 505 4 8560 597 1 10401 2671 1 10338 2362 2 15707 5420 3 486 2103 3 17738 863 2 2942 2515 1 2319 5120 1 16104 1827 21 9597 2813 2 5318 187 1 4140 6198 7 5882 1206 1 13285 2555 2 34 1842 2 19952 5259 1 8007 1771 4 8021 3516 17 18665 1757 2 13799 200 16 4542 2216 7 17298 1663 2 6183 533 3 14218 1732 2 13645 1335 1 17742 233 3 10452 3748 1 3847 1829 1 14780 222 1 14005 5086 1 15140 200 5 14900 1453 1 6229 3626 1 12913 3399 1 8549 514 2 86 3983 1 1304 6482 1 12200 3848 2 1772 440 1 9192 6705 1 2223 201 2 62 2933 1 6741 206 5 4055 4486 2 19881 498 3 17260 4653 2 2910 3207 18 6809 1241 7 19826 423 1 5320 3714 7 2801 789 1 17357 1366 1 18149 215 8 6687 7772 2 13928 7489 1 1443 2767 3 593 1743 1 2772 201 5 17302 752 1 20180 3631 2 18698 1724 1 12700 2584 4 5684 482 2 5681 184 1 3651 2581 2 20059 7983 2 18347 7554 2 3956 745 5 14490 1788 1 15352 5885 1 19313 1704 4 18293 427 1 14271 4061 10 6687 823 1 11912 5506 1 3996 6542 3 7129 1275 13 6849 5243 1 5408 3262 1 19990 229 3 17361 4009 1 14150 1752 1 94 4241 6 6263 3854 1 10496 7961 5 6509 5738 3 16931 2595 1 1151 7706 5 12812 1734 1 10824 2419 1 19470 1726 1 13624 184 3 11185 6914 2 10733 7801 1 13873 219 2 7028 4992 1 6153 2256 1 8520 7437 10 3175 7840 1 11386 581 1 5438 303 5 8015 200 1 5059 508 1 15566 1539 1 11727 2864 3 19872 881 1 5117 929 2 5834 690 1 6700 206 11 18201 3526 2 1866 215 2 1404 8029 1 129 5772 2 388 3629 4 18257 3391 1 17909 2349 1 6235 7450 1 19351 5330 10 414 366 1 16619 2013 3 2641 2377 1 6332 230 4 15323 220 1 8439 521 1 6140 1363 1 7904 919 1 857 11 1 17328 7294 1 13997 1021 1 ================================================ FILE: programming_assignments/jukebox/solution/1. 데이터 전처리.ipynb ================================================ { "cells": [ { "cell_type": "markdown", "id": "c9a6149a", "metadata": {}, "source": [ "# 데이터 전처리" ] }, { "cell_type": "code", "execution_count": 2, "id": "302a585e", "metadata": {}, "outputs": [], "source": [ "import pandas as pd\n", "from scipy.sparse import csr_matrix\n", "from sklearn.utils import shuffle\n", "import numpy as np\n", "import os\n", "import shutil" ] }, { "cell_type": "markdown", "id": "6af0cc5f", "metadata": {}, "source": [ "## 데이터 읽기" ] }, { "cell_type": "code", "execution_count": 2, "id": "02eeb334", "metadata": {}, "outputs": [], "source": [ "data = pd.read_csv('listen_count.txt', sep=' ', header=None, dtype=str)\n", "data.columns = ['uid', 'sid', 'cnt']\n", "data['cnt'] = data['cnt'].astype(int)" ] }, { "cell_type": "code", "execution_count": 3, "id": "9f889441", "metadata": {}, "outputs": [ { "name": "stdout", "output_type": "stream", "text": [ "folder exist\n" ] } ], "source": [ "try:\n", " os.mkdir('./parsed')\n", "except FileExistsError:\n", " print(\"folder exist\")\n", " shutil.rmtree('./parsed')\n", " os.mkdir('./parsed')" ] }, { "cell_type": "markdown", "id": "d3cb7773", "metadata": {}, "source": [ "## 유저 아이디 저장\n", "\n", "유니크한 유저 아이디를 가져와서 저장합니다." ] }, { "cell_type": "code", "execution_count": 4, "id": "14454e07", "metadata": {}, "outputs": [], "source": [ "uids = sorted(data.uid.unique(), key=lambda x: int(x))" ] }, { "cell_type": "code", "execution_count": 5, "id": "7e8ae522", "metadata": {}, "outputs": [], "source": [ "with open(\"./parsed/all_uids.txt\", 'w') as f:\n", " print('\\n'.join(uids), file=f)" ] }, { "cell_type": "code", "execution_count": 6, "id": "b79ab959", "metadata": {}, "outputs": [], "source": [ "n_user, n_song = len(data.uid.unique()), len(data.sid.unique())\n", "data_len = len(data)" ] }, { "cell_type": "markdown", "id": "cea206d4", "metadata": {}, "source": [ "## 데이터셋 나누기\n", "\n", "전체 데이터를 8:2 비율의 train/validation 데이터로 split합니다." ] }, { "cell_type": "code", "execution_count": 7, "id": "8b89e881", "metadata": {}, "outputs": [], "source": [ "shuffled_data = shuffle(data)" ] }, { "cell_type": "code", "execution_count": 8, "id": "dfc596c4", "metadata": {}, "outputs": [], "source": [ "ratio = 0.8" ] }, { "cell_type": "code", "execution_count": 9, "id": "84f9cfd3", "metadata": {}, "outputs": [], "source": [ "tr, val = shuffled_data[:int(data_len * ratio)], shuffled_data[int(data_len * ratio):]" ] }, { "cell_type": "code", "execution_count": 10, "id": "78faabca", "metadata": {}, "outputs": [], "source": [ "tr_in_uids = set(tr.uid.unique())\n", "tr_in_sids = set(tr.sid.unique())\n", "val_filtered = val[val.uid.isin(tr_in_uids) & val.sid.isin(tr_in_sids)]" ] }, { "cell_type": "markdown", "id": "fabbde30", "metadata": {}, "source": [ "전처리 코드를 두번 작성하는 것을 막기 위해 저장되는 학습 파일은 실제 데이터([`listen_count.txt`](../listen_count.txt))와 같은 형태로 두는 것이 편리합니다." ] }, { "cell_type": "code", "execution_count": 11, "id": "7fbf6130", "metadata": {}, "outputs": [], "source": [ "tr.to_csv('./parsed/listen_count.txt', index=None, header=None, sep=' ')" ] }, { "cell_type": "markdown", "id": "6790c04d", "metadata": {}, "source": [ "validation 파일은 채점용 데이터([`jukebox.pdf`](../jukebox.pdf)에 기술되어 있는 형태)와 같은 형식으로 두는 것이 편리합니다." ] }, { "cell_type": "code", "execution_count": 12, "id": "a0b80e3d", "metadata": {}, "outputs": [], "source": [ "save = val.groupby('uid').sid.apply(list).reset_index()\n", "with open(\"./parsed/TEST_DATA.txt\", 'w') as f:\n", " for uid, sids in zip(save.uid, save.sid):\n", " print(\"%s \" % uid + ' '.join(sids), file=f)" ] }, { "cell_type": "markdown", "id": "9e0afdcf", "metadata": {}, "source": [ "데이터가 적절하게 잘 저장되어 있는지 한 번 더 확인합니다." ] }, { "cell_type": "code", "execution_count": 13, "id": "bdae351e", "metadata": {}, "outputs": [ { "name": "stdout", "output_type": "stream", "text": [ "listen_count.txt\n", "11377 7184 13\n", "1852 206 3\n", "19145 1692 3\n", "15629 585 2\n", "15821 5003 1\n", "16033 2242 1\n", "13306 2920 1\n", "16734 2488 2\n", "19990 23 5\n", "9208 3913 1\n", "\n", "TEST_DATA.txt\n", "1 96 57 101 65 10 58 97 31 47 37 11 20 44 103 35 94 4 6 33 50 19\n", "10 305 335 259 263 347 292 289 328 307 321 297 311 286 303 294 202 339 99 323 332 315 356 309 277\n", "100 4547 4564 4475 4503 4502 420 4507 4501 1903 4576 4505 4504 4522 4533 4491 4570 4510 4556 4225 4521 4481 4542 4527 4506 4499 4520 4552 890 687 4523 4483 4544\n", "1000 3595 3585 201\n", "10000 1338 7336 5327 5256 1285 2821 4233 2517 545 2369 1172 4882 4299 427 1042 6979 1194 379 2953 433 137 5253 2494 2981 477\n", "10001 4643\n", "10002 200\n", "10004 2966\n", "10005 3723\n", "10006 5826\n", "\n" ] } ], "source": [ "!echo \"listen_count.txt\"\n", "!head ./parsed/listen_count.txt\n", "!echo \"\"\n", "!echo \"TEST_DATA.txt\"\n", "!head ./parsed/TEST_DATA.txt\n", "!echo \"\"" ] } ], "metadata": { "kernelspec": { "display_name": "Python 3.10.2 64-bit ('py-3.10.2')", "language": "python", "name": "python3" }, "language_info": { "codemirror_mode": { "name": "ipython", "version": 3 }, "file_extension": ".py", "mimetype": "text/x-python", "name": "python", "nbconvert_exporter": "python", "pygments_lexer": "ipython3", "version": "3.10.2" }, "vscode": { "interpreter": { "hash": "9a43ef12e54cbdce1713efe7092ebffcfb641e943ae67d0e6fe4a12aa1b58da6" } } }, "nbformat": 4, "nbformat_minor": 5 } ================================================ FILE: programming_assignments/jukebox/solution/2-1. Shallow AutoEncoder.ipynb ================================================ { "cells": [ { "cell_type": "markdown", "id": "020c94ee", "metadata": {}, "source": [ "# Shallow AutoEncoder를 이용한 Jukebox 풀이" ] }, { "cell_type": "markdown", "id": "631268aa", "metadata": {}, "source": [ "## Jax 101\n", "\n", "임의의 행렬 연산에 대한 gradient 계산을 하기 위해서, 행렬 계산 라이브러리로 [jax](https://github.com/google/jax)를 사용했습니다. jax를 사용하면, 간단한 gradient 계산을 numpy를 사용할 때와 거의 같은 방법으로 할 수 있습니다." ] }, { "cell_type": "markdown", "id": "6e698215", "metadata": {}, "source": [ "### Super basics of Jax" ] }, { "cell_type": "code", "execution_count": 1, "id": "587f89fb", "metadata": {}, "outputs": [], "source": [ "import numpy as np\n", "from jax import grad, jit, vmap\n", "import jax.numpy as jnp" ] }, { "cell_type": "markdown", "id": "1d289920", "metadata": {}, "source": [ "#### 1. numpy array와 jax.numpy.array는 대체로 compatible하다." ] }, { "cell_type": "code", "execution_count": 2, "id": "4ddaded6", "metadata": {}, "outputs": [], "source": [ "x = 0.001 * np.arange(16)\n", "jx = jnp.array(x)\n", "jy = jnp.array(3.141592 * jnp.sin(jnp.arange(16)))\n", "a = jnp.array([0.01, 0.01, 0.01])" ] }, { "cell_type": "markdown", "id": "7a22c9e3", "metadata": {}, "source": [ "#### 2. jax object/numpy object 등이 포함된 식의 gradient를 계산할 수 있다.\n", "\n", "$\\hat y = a_0 * x + a_1 * x^2 + a_2 * x^3$으로 $sin(\\pi y)$를 근사할 때의 loss를 다음과 같이 계산할 수 있습니다." ] }, { "cell_type": "code", "execution_count": 3, "id": "4868f18f", "metadata": {}, "outputs": [ { "data": { "text/plain": [ "DeviceArray(4.85457, dtype=float32)" ] }, "execution_count": 3, "metadata": {}, "output_type": "execute_result" } ], "source": [ "@jit\n", "def loss(x, y, a):\n", " y_hat = a[0] * x + a[1] * (x ** 2) + a[2] * (x ** 3)\n", " return ((y_hat - y) ** 2).mean()\n", "loss(jx, jy, a)" ] }, { "cell_type": "code", "execution_count": 4, "id": "41b3bb71", "metadata": {}, "outputs": [ { "data": { "text/plain": [ "DeviceArray([ 0. , -0.00331105, -0.0035851 , -0.00055748,\n", " 0.00299592, 0.00380369, 0.00111062, -0.00261639,\n", " -0.00394801, -0.00164779, 0.00217986, 0.00401491,\n", " 0.00215875, -0.00169356, -0.00400113, -0.00263181], dtype=float32)" ] }, "execution_count": 4, "metadata": {}, "output_type": "execute_result" } ], "source": [ "grads = grad(loss, argnums=[0,2])(jx ,jy, a) # 0번째 argument인 jx에 대한 grad, 2번째 argument인 a에 대한 gradient\n", "grads[0] # jx의 gradient" ] }, { "cell_type": "markdown", "id": "71110f57", "metadata": {}, "source": [ "따라서 다음 식은, 주어진 loss를 최적화하는 방향의 `jx`, `a`의 gradient descent update가 됩니다." ] }, { "cell_type": "code", "execution_count": 5, "id": "ece92078", "metadata": {}, "outputs": [], "source": [ "lr = 0.5\n", "jx -= lr * grads[0]\n", "a -= lr * grads[1]" ] }, { "cell_type": "markdown", "id": "53cecce1", "metadata": {}, "source": [ "#### 3. 간단한 gradient update iterations" ] }, { "cell_type": "code", "execution_count": 6, "id": "f5095a68", "metadata": {}, "outputs": [ { "name": "stdout", "output_type": "stream", "text": [ "loss: 4.8544683\n", "loss: 4.854233\n", "loss: 4.8536825\n", "loss: 4.852408\n", "loss: 4.8494987\n", "loss: 4.8429565\n", "loss: 4.8284535\n", "loss: 4.7968144\n", "loss: 4.7290735\n", "loss: 4.587598\n", "loss: 4.303007\n", "loss: 3.7652407\n", "loss: 2.8549566\n", "loss: 1.5948524\n", "loss: 0.4395939\n", "loss: 0.043171447\n", "loss: 0.005146715\n", "loss: 0.0013591682\n", "loss: 0.0004096477\n", "loss: 0.0001331548\n" ] } ], "source": [ "lr = 0.5\n", "for i in range(20):\n", " print(\"loss: \", loss(jx, jy, a))\n", " grads = grad(loss, argnums=[0,2],)(jx, jy, a) #gradient update\n", " jx -= lr * grads[0]\n", " a -= lr * grads[1]\n", " lr *= 0.98 # weight decay" ] }, { "cell_type": "markdown", "id": "2f33a401", "metadata": {}, "source": [ "자세한 소개는 를 참고하세요." ] }, { "cell_type": "code", "execution_count": 7, "id": "fac3c24c", "metadata": {}, "outputs": [], "source": [ "import pandas as pd\n", "from scipy.sparse import csr_matrix\n", "import numpy as np" ] }, { "cell_type": "markdown", "id": "30ee5738", "metadata": {}, "source": [ "## 전처리한 데이터 읽기" ] }, { "cell_type": "code", "execution_count": 8, "id": "a6876280", "metadata": {}, "outputs": [], "source": [ "tr = pd.read_csv('./parsed/listen_count.txt', sep=' ', header=None, dtype=str)\n", "tr.columns = ['uid', 'sid', 'cnt']\n", "tr['cnt'] = tr['cnt']" ] }, { "cell_type": "markdown", "id": "d4988dcb", "metadata": {}, "source": [ "## user/song id ↔︎ index mapper 생성" ] }, { "cell_type": "code", "execution_count": 9, "id": "98fc1a4f", "metadata": {}, "outputs": [], "source": [ "uid2idx = {_id: i for (i, _id) in enumerate(tr.uid.unique())}\n", "sid2idx = {_id: i for (i, _id) in enumerate(tr.sid.unique())}\n", "idx2uid = {i: _id for (_id, i) in uid2idx.items()}\n", "idx2sid = {i: _id for (_id, i) in sid2idx.items()}" ] }, { "cell_type": "code", "execution_count": 10, "id": "dfabc6be", "metadata": {}, "outputs": [], "source": [ "n_users, n_items = len(uid2idx), len(sid2idx)" ] }, { "cell_type": "code", "execution_count": 11, "id": "827ddd9c", "metadata": {}, "outputs": [], "source": [ "tr['uidx'] = tr.uid.apply(lambda x: uid2idx[x])\n", "tr['sidx'] = tr.sid.apply(lambda x: sid2idx[x])" ] }, { "cell_type": "code", "execution_count": 12, "id": "c8410198", "metadata": {}, "outputs": [], "source": [ "with open('./user_id.txt', 'w') as f:\n", " print('\\n'.join(list(uid2idx)), file=f)" ] }, { "cell_type": "code", "execution_count": 13, "id": "519a6faa", "metadata": {}, "outputs": [], "source": [ "X = csr_matrix((tr.cnt, (tr.uidx, tr.sidx)), shape=(n_users, n_items), dtype=np.float32)\n", "X.data[:] = 1.0 + np.log(1.0 + X.data[:])\n", "jX = jnp.array(X.todense())" ] }, { "cell_type": "markdown", "id": "ad0b2ae1", "metadata": {}, "source": [ "## 모델 패러미터 선언" ] }, { "cell_type": "code", "execution_count": 14, "id": "30e9dcd8", "metadata": {}, "outputs": [], "source": [ "P = jnp.array(np.random.normal(0, 0.001, size=(n_items, n_items)))\n", "P = P.at[jnp.diag_indices(P.shape[0])].set(0)" ] }, { "cell_type": "markdown", "id": "f4e087bc", "metadata": {}, "source": [ "## AutoEncoder Loss function 정의" ] }, { "cell_type": "code", "execution_count": 15, "id": "3bbdccdd", "metadata": {}, "outputs": [], "source": [ "@jit\n", "def loss_fn(X, P):\n", " ret = (((X - X @ P) **2).sum() / X.shape[0])\n", " ret = ret + 0.01 * (P * P).sum()\n", " return ret\n", "\n", "@jit\n", "def loss_fn_with_reg(X, P):\n", " ret = loss_fn(X, P)\n", " ret = ret + 0.01 * (P * P).sum()\n", " return ret " ] }, { "cell_type": "markdown", "id": "b4fe16ee", "metadata": {}, "source": [ "## 모델 학습 iteration" ] }, { "cell_type": "code", "execution_count": 16, "id": "5347798b", "metadata": { "scrolled": true }, "outputs": [ { "name": "stdout", "output_type": "stream", "text": [ "loss 64.004\n", "loss 66.449\n", "loss 67.097\n", "loss 60.643\n", "loss 59.344\n", "loss 64.691\n", "loss 59.441\n", "loss 63.911\n", "loss 59.402\n", "loss 64.654\n", "loss 62.120\n", "loss 60.031\n", "loss 62.357\n", "loss 61.753\n", "loss 57.506\n", "loss 60.258\n", "loss 58.754\n", "loss 56.311\n", "loss 58.182\n", "loss 62.481\n", "loss 60.810\n", "loss 56.708\n", "loss 57.245\n", "loss 60.673\n", "loss 56.572\n", "loss 59.373\n", "loss 59.507\n", "loss 57.597\n", "loss 59.925\n", "loss 59.495\n", "loss 55.814\n", "loss 55.230\n", "loss 59.792\n", "loss 58.578\n", "loss 58.576\n", "loss 57.569\n", "loss 55.163\n", "loss 58.808\n", "loss 55.075\n", "loss 57.480\n", "loss 56.844\n", "loss 56.501\n", "loss 55.325\n", "loss 58.603\n", "loss 57.383\n", "loss 56.497\n", "loss 55.732\n", "loss 55.738\n", "loss 58.511\n", "loss 60.045\n", "loss 54.302\n", "loss 57.139\n", "loss 57.217\n", "loss 57.407\n", "loss 53.654\n", "loss 55.838\n", "loss 54.236\n", "loss 55.657\n", "loss 56.574\n", "loss 56.752\n", "loss 54.039\n", "loss 53.840\n", "loss 57.588\n", "loss 55.948\n", "loss 56.433\n", "loss 58.417\n", "loss 53.072\n", "loss 57.674\n", "loss 57.769\n", "loss 53.164\n", "loss 55.655\n", "loss 56.704\n", "loss 59.374\n", "loss 55.299\n", "loss 53.946\n", "loss 57.615\n", "loss 58.426\n", "loss 53.965\n", "loss 56.668\n", "loss 58.578\n", "loss 59.542\n", "loss 58.564\n", "loss 57.424\n", "loss 57.376\n", "loss 57.319\n", "loss 56.014\n", "loss 56.321\n", "loss 56.480\n", "loss 55.599\n", "loss 54.096\n", "loss 56.425\n", "loss 54.798\n", "loss 55.761\n", "loss 55.811\n", "loss 52.461\n", "loss 59.287\n", "loss 53.293\n", "loss 55.951\n", "loss 54.867\n", "loss 54.828\n" ] } ], "source": [ "lr = 0.05\n", "for i in range(100):\n", " batch = np.random.choice(X.shape[0], 1024)\n", " l = loss_fn(jX[batch], P)\n", " print(\"loss %.3f\" % l)\n", " r = grad(loss_fn_with_reg, argnums=1)(jX[batch], P)\n", " P -= lr * r\n", " P = P.at[jnp.diag_indices(P.shape[0])].set(0)\n", " lr *= 0.99" ] }, { "cell_type": "code", "execution_count": 17, "id": "cb170b21", "metadata": {}, "outputs": [], "source": [ "scores = np.asarray(X @ P)\n", "\n", "# 유저가 들은 적이 있는 아이템을 추천에서 제외해 줍니다.\n", "scores = np.asarray((scores - X.astype(bool).astype(int) * 10000))" ] }, { "cell_type": "markdown", "id": "9855859e", "metadata": {}, "source": [ "## 아이템 선택\n", "\n", "score가 높은 top 100개 아이템을 선택해줍니다." ] }, { "cell_type": "code", "execution_count": 18, "id": "1d218c77", "metadata": {}, "outputs": [], "source": [ "top_reco = (-scores).argsort(-1)[:, :100]" ] }, { "cell_type": "markdown", "id": "6429b6d2", "metadata": {}, "source": [ "## 추천 생성 후 저장" ] }, { "cell_type": "code", "execution_count": 19, "id": "fb7fdf46", "metadata": {}, "outputs": [], "source": [ "ret = []\n", "for idx, rec_list in enumerate(top_reco):\n", " uid = idx2uid[idx]\n", " rec_sids = [str(idx2sid[sidx]) for sidx in rec_list]\n", " ret.append(\"%s \" % uid + ' '.join(rec_sids))\n", "with open('./parsed/rec_result.txt', 'w') as f:\n", " for w in ret:\n", " print(w, file=f)" ] }, { "cell_type": "markdown", "id": "7bec8d62", "metadata": {}, "source": [ "저장된 추천 결과, 그리고 테스트 데이터를 dictionary 형태로 읽어옵니다." ] }, { "cell_type": "code", "execution_count": 20, "id": "4980fcdb", "metadata": {}, "outputs": [], "source": [ "def load_res(fname):\n", " ret = {}\n", " with open(fname, 'r') as f:\n", " for l in f:\n", " l = l.strip().split()\n", " uid, sids = l[0], l[1:]\n", " ret[uid] = sids\n", " return ret\n", "\n", "recs = load_res('./parsed/rec_result.txt')\n", "gt = load_res('./parsed/TEST_DATA.txt')" ] }, { "cell_type": "code", "execution_count": 21, "id": "bc1cc380", "metadata": {}, "outputs": [], "source": [ "import math\n", "def ndcg(recs, gt):\n", " Q, S = 0.0, 0.0\n", " for u, vs in gt.items():\n", " rec = recs.get(u, [])\n", " if not rec:\n", " continue\n", "\n", " idcg = sum([1.0 / math.log(i + 2, 2) for i in range(len(vs))])\n", " dcg = 0.0\n", " for i, r in enumerate(rec):\n", " if r not in vs:\n", " continue\n", " rank = i + 1\n", " dcg += 1.0 / math.log(rank + 1, 2)\n", " ndcg = dcg / idcg\n", " S += ndcg\n", " Q += 1\n", " return S / Q\n" ] }, { "cell_type": "code", "execution_count": 22, "id": "f8c20670", "metadata": {}, "outputs": [ { "data": { "text/plain": [ "0.25222175220674803" ] }, "execution_count": 22, "metadata": {}, "output_type": "execute_result" } ], "source": [ "ndcg(recs, gt)" ] } ], "metadata": { "kernelspec": { "display_name": "Python 3 (ipykernel)", "language": "python", "name": "python3" }, "language_info": { "codemirror_mode": { "name": "ipython", "version": 3 }, "file_extension": ".py", "mimetype": "text/x-python", "name": "python", "nbconvert_exporter": "python", "pygments_lexer": "ipython3", "version": "3.9.7" }, "vscode": { "interpreter": { "hash": "1c0b93efeafdf3e6d99eb605273d97a0510dd9f2bbdf91a9dec5466ed68b0be9" } } }, "nbformat": 4, "nbformat_minor": 5 } ================================================ FILE: programming_assignments/jukebox/solution/2-2. EASE^R.ipynb ================================================ { "cells": [ { "cell_type": "code", "execution_count": 24, "id": "3c0dbaaf", "metadata": {}, "outputs": [], "source": [ "import pandas as pd\n", "from scipy.sparse import csr_matrix\n", "from sklearn.utils import shuffle\n", "import numpy as np" ] }, { "cell_type": "code", "execution_count": 26, "id": "a6876280", "metadata": {}, "outputs": [], "source": [ "tr = pd.read_csv('./parsed/listen_count.txt', sep=' ', header=None, dtype=str)\n", "tr.columns = ['uid', 'sid', 'cnt']\n", "tr['cnt'] = tr['cnt']" ] }, { "cell_type": "code", "execution_count": 27, "id": "98fc1a4f", "metadata": {}, "outputs": [], "source": [ "uid2idx = {_id: i for (i, _id) in enumerate(tr.uid.unique())}\n", "sid2idx = {_id: i for (i, _id) in enumerate(tr.sid.unique())}\n", "idx2uid = {i: _id for (_id, i) in uid2idx.items()}\n", "idx2sid = {i: _id for (_id, i) in sid2idx.items()}" ] }, { "cell_type": "code", "execution_count": 28, "id": "dfabc6be", "metadata": {}, "outputs": [], "source": [ "n_user, n_item = len(uid2idx), len(sid2idx)" ] }, { "cell_type": "code", "execution_count": 29, "id": "827ddd9c", "metadata": {}, "outputs": [], "source": [ "tr['uidx'] = tr.uid.apply(lambda x: uid2idx[x])\n", "tr['sidx'] = tr.sid.apply(lambda x: sid2idx[x])" ] }, { "cell_type": "code", "execution_count": 59, "id": "c8410198", "metadata": {}, "outputs": [], "source": [ "with open('./user_id.txt', 'w') as f:\n", " print('\\n'.join(tr.uid.tolist()), file=f)" ] }, { "cell_type": "code", "execution_count": 30, "id": "8486d1ea", "metadata": {}, "outputs": [], "source": [ "vali_list = val.groupby('uidx').sidx.apply(list).reset_index()" ] }, { "cell_type": "code", "execution_count": 31, "id": "519a6faa", "metadata": {}, "outputs": [], "source": [ "X = csr_matrix((tr.cnt, (tr.uidx, tr.sidx)), shape=(n_user, n_item), dtype=np.float32)" ] }, { "cell_type": "code", "execution_count": 32, "id": "1750a1b5", "metadata": {}, "outputs": [], "source": [ "X.data[:] = 1.0 + np.log(1.0 + X.data[:])" ] }, { "cell_type": "code", "execution_count": 33, "id": "bb224ab9", "metadata": {}, "outputs": [], "source": [ "def gen_top_reco(X, lamb=10.0):\n", " G = (X.T @ X).toarray()\n", " diags = np.diag_indices(G.shape[0])\n", " G[diags] += lamb\n", " P = np.linalg.inv(G)\n", " B = P / -np.diag(P)\n", " scores = X @ B\n", " scores = np.asarray((scores - X.astype(bool).astype(int) * 10000))\n", " top_reco = (-scores).argsort(-1)[:, :100]\n", " return top_reco" ] }, { "cell_type": "code", "execution_count": 44, "id": "287e0468", "metadata": {}, "outputs": [], "source": [ "top_reco = gen_top_reco(X, lamb=30.0)" ] }, { "cell_type": "code", "execution_count": 45, "id": "fb7fdf46", "metadata": {}, "outputs": [], "source": [ "ret = []\n", "for idx, rec_list in enumerate(top_reco):\n", " uid = idx2uid[idx]\n", " rec_sids = [str(idx2sid[sidx]) for sidx in rec_list]\n", " ret.append(\"%s \" % uid + ' '.join(rec_sids))" ] }, { "cell_type": "code", "execution_count": 46, "id": "b4db5269", "metadata": {}, "outputs": [], "source": [ "with open('./parsed/rec_result.txt', 'w') as f:\n", " for w in ret:\n", " print(w, file=f)" ] }, { "cell_type": "code", "execution_count": 48, "id": "4980fcdb", "metadata": {}, "outputs": [], "source": [ "def load_res(fname):\n", " ret = {}\n", " with open(fname, 'r') as f:\n", " for l in f:\n", " l = l.strip().split()\n", " uid, sids = l[0], l[1:]\n", " ret[uid] = sids\n", " return ret" ] }, { "cell_type": "code", "execution_count": 49, "id": "785afcd8", "metadata": {}, "outputs": [], "source": [ "recs = load_res('./parsed/rec_result.txt')" ] }, { "cell_type": "code", "execution_count": 50, "id": "63582e44", "metadata": {}, "outputs": [], "source": [ "gt = load_res('./parsed/TEST_DATA.txt')" ] }, { "cell_type": "code", "execution_count": 51, "id": "bc1cc380", "metadata": {}, "outputs": [], "source": [ "import math\n", "def ndcg(recs, gt):\n", " Q, S = 0.0, 0.0\n", " for u, vs in gt.items():\n", " rec = recs.get(u, [])\n", " if not rec:\n", " continue\n", "\n", " idcg = sum([1.0 / math.log(i + 2, 2) for i in range(len(vs))])\n", " dcg = 0.0\n", " for i, r in enumerate(rec):\n", " if r not in vs:\n", " continue\n", " rank = i + 1\n", " dcg += 1.0 / math.log(rank + 1, 2)\n", " ndcg = dcg / idcg\n", " S += ndcg\n", " Q += 1\n", " return S / Q\n" ] }, { "cell_type": "code", "execution_count": 52, "id": "f8c20670", "metadata": {}, "outputs": [ { "data": { "text/plain": [ "0.2559553152855044" ] }, "execution_count": 52, "metadata": {}, "output_type": "execute_result" } ], "source": [ "ndcg(recs, gt)" ] } ], "metadata": { "kernelspec": { "display_name": "Python 3 (ipykernel)", "language": "python", "name": "python3" }, "language_info": { "codemirror_mode": { "name": "ipython", "version": 3 }, "file_extension": ".py", "mimetype": "text/x-python", "name": "python", "nbconvert_exporter": "python", "pygments_lexer": "ipython3", "version": "3.9.7" }, "vscode": { "interpreter": { "hash": "1c0b93efeafdf3e6d99eb605273d97a0510dd9f2bbdf91a9dec5466ed68b0be9" } } }, "nbformat": 4, "nbformat_minor": 5 } ================================================ FILE: programming_assignments/jukebox/solution/3. (optional) Implicit을 이용한 Jukebox 풀이.ipynb ================================================ { "cells": [ { "cell_type": "markdown", "id": "4c1dbc84", "metadata": {}, "source": [ "# Matrix Factorization 라이브러리인 Implicit을 이용한 Jukebox 풀이" ] }, { "cell_type": "code", "execution_count": 1, "id": "92eb00a1", "metadata": {}, "outputs": [], "source": [ "import pandas as pd\n", "from scipy.sparse import csr_matrix\n", "import numpy as np\n", "from implicit.als import AlternatingLeastSquares as ALS" ] }, { "cell_type": "code", "execution_count": 2, "id": "a6876280", "metadata": {}, "outputs": [], "source": [ "tr = pd.read_csv('./parsed/listen_count.txt', sep=' ', header=None, dtype=str)\n", "tr.columns = ['uid', 'sid', 'cnt']\n", "tr['cnt'] = tr['cnt']" ] }, { "cell_type": "markdown", "id": "81bd8e98", "metadata": {}, "source": [ "## user/song id ↔︎ index mapper 생성" ] }, { "cell_type": "code", "execution_count": 3, "id": "98fc1a4f", "metadata": {}, "outputs": [], "source": [ "uid2idx = {_id: i for (i, _id) in enumerate(tr.uid.unique())}\n", "sid2idx = {_id: i for (i, _id) in enumerate(tr.sid.unique())}\n", "idx2uid = {i: _id for (_id, i) in uid2idx.items()}\n", "idx2sid = {i: _id for (_id, i) in sid2idx.items()}" ] }, { "cell_type": "code", "execution_count": 4, "id": "dfabc6be", "metadata": {}, "outputs": [], "source": [ "n_users, n_items = len(uid2idx), len(sid2idx)" ] }, { "cell_type": "code", "execution_count": 5, "id": "827ddd9c", "metadata": {}, "outputs": [], "source": [ "tr['uidx'] = tr.uid.apply(lambda x: uid2idx[x])\n", "tr['sidx'] = tr.sid.apply(lambda x: sid2idx[x])" ] }, { "cell_type": "code", "execution_count": 6, "id": "c8410198", "metadata": {}, "outputs": [], "source": [ "with open('./user_id.txt', 'w') as f:\n", " print('\\n'.join(list(uid2idx)), file=f)" ] }, { "cell_type": "code", "execution_count": 7, "id": "519a6faa", "metadata": {}, "outputs": [], "source": [ "X = csr_matrix((tr.cnt, (tr.uidx, tr.sidx)), shape=(n_users, n_items), dtype=np.float32)\n", "X.data[:] = 1.0 + np.log(1.0 + X.data[:])" ] }, { "cell_type": "code", "execution_count": 8, "id": "b6b436f8", "metadata": {}, "outputs": [ { "data": { "application/vnd.jupyter.widget-view+json": { "model_id": "75e14414e65e4ac38a52f4df4632ac15", "version_major": 2, "version_minor": 0 }, "text/plain": [ " 0%| | 0/15 [00:00 0: S += 1.0 / min_rank if Q > 0: # print 'S=%f' % S # print 'Q=%f' % Q # print '%.10f' % (S / Q) return S / Q @staticmethod def map(recs, db): Q = 0 S = 0 for u, vs in db.items(): N = len(vs) Hit = 0 SS = 0 set_v = set(vs.keys()) rec = recs.get(u, []) for idx, r in enumerate(rec): if r[0] in set_v: Hit += 1 SS += (Hit / float(idx + 1)) SS = SS / float(N) S += SS Q += 1 if Q > 0: # print 'S=%f' % S # print 'Q=%f' % Q # print '%.10f' % (S / Q) return S / Q @staticmethod def auc(recs, db, num_total_cand): Q = 0.0 S = 0.0 for u, vs in db.items(): Q += 1 rec = recs.get(u, []) num_dropped_items = num_total_cand - len(rec) num_rel_items = len([1 for r in rec if r[0] in vs]) num_eval_items = num_total_cand num_eval_pairs = (num_eval_items - num_rel_items) * num_rel_items if num_eval_pairs == 0: S += 0.5 continue num_correct_pairs = 0 hit_count = 0 for r in rec: if r[0] not in vs: num_correct_pairs += hit_count else: hit_count += 1 num_missing_rel_items = len(vs) - num_rel_items num_correct_pairs += (hit_count * (num_dropped_items - num_missing_rel_items)) S += float(num_correct_pairs) / float(num_eval_pairs) return S / Q @staticmethod def ndcg(recs, db): Q = 0.0 S = 0.0 for u, vs in db.items(): rec = recs.get(u, []) if not rec: continue idcg = sum([1.0 / math.log(i + 2, 2) for i in range(len(vs))]) dcg = 0.0 for i, r in enumerate(rec): if r not in vs: continue rank = i + 1 dcg += 1.0 / math.log(rank + 1, 2) ndcg = dcg / idcg S += ndcg Q += 1 return S / Q class Evaluation: def __init__(self): self.logger = logging.getLogger(self.__class__.__name__) self.logger.setLevel(logging.DEBUG) sh = logging.StreamHandler() sh.setLevel(logging.DEBUG) formatter = logging.Formatter('[%(levelname)-8s] %(asctime)s [%(filename)s] [%(funcName)s:%(lineno)d] %(message)s', '%Y-%m-%d %H:%M:%S') sh.setFormatter(formatter) self.logger.addHandler(sh) fh = logging.FileHandler(self.__class__.__name__ + '.log') fh.setLevel(logging.DEBUG) formatter = logging.Formatter('[%(levelname)-8s] %(asctime)s [%(filename)s] [%(funcName)s:%(lineno)d] %(message)s', '%Y-%m-%d %H:%M:%S') fh.setFormatter(formatter) self.logger.addHandler(fh) def load_database(self, fname_target_users, fname_database, has_header=False): self.logger.info('Loading database -> %s' % fname_database) self.target_users = None if fname_target_users: self.target_users = set(map(int, open(fname_target_users))) data = '' fin = open(fname_database) while True: line = fin.readline() if line[0] == '#': continue data += line break if has_header: fin.readline() data += fin.read() tokenizer = re.compile('([^ \n]+)') self.db = {} tokens = tokenizer.findall(data) it = iter(tokens) for u, i, s in zip(it, it, it): u, i, s = int(u), int(i), float(s) if self.target_users and u not in self.target_users: continue if u not in self.db: self.db[u] = {} self.db[u][i] = s def load_test_file(self, fpath, has_header=True): self.logger.info('Loading database -> %s' % fpath) with open(fpath) as f: if has_header: f.readline() header = f.readline().rstrip().split(" ") max_uid, max_iid, num_line = map(int, header) td = {} for line in f: uid, iid, r = line.split(" ") r = float(r) if r > 3.0: td.setdefault(uid, set()).add(iid) return td def load_topk_file(self, fpath): self.logger.info('Loading topk file -> %s' % fpath) with open(fpath) as f: topk = {} num_line = 0 for line in f: num_line += 1 item = line.strip().split(" ") if len(item) == 0 or not item[0].isdigit(): print("error %d" % num_line) # item = map(int, item) topk[item[0]] = item[1:] return topk def eval_topk(self, topk, td, metrics=[]): self.logger.info('Start evalution') scores = [] if 'mrr' in metrics: self.logger.info('[MRR]') mrr = Metric.mrr(topk, td) self.logger.info('MRR: %.10f' % mrr) scores.append(mrr) if 'map' in metrics: self.logger.info('[MAP]') _map = Metric.map(topk, td) self.logger.info('MAP: %.10f' % _map) scores.append(_map) if 'auc' in metrics: self.logger.info('[AUC]') self.logger.info('NUM_RECOMMENDATION_CANDIDATES: %d' % NUM_ITEMS) auc = Metric.auc(topk, td, NUM_ITEMS) self.logger.info('AUC: %.10f' % auc) scores.append(auc) if 'ndcg' in metrics: self.logger.info('[NDCG]') ndcg = Metric.ndcg(topk, td) self.logger.info('NDCG: %.10f' % ndcg) scores.append(ndcg) self.logger.info('| ' + (' | '.join(['%.10f' % s for s in scores])) + ' |') if __name__ == '__main__': if len(sys.argv) != 3: print('python', sys.argv[0], '', '') sys.exit() test_fname = sys.argv[1] topk_fname = sys.argv[2] e = Evaluation() test_data = e.load_test_file(test_fname, has_header=False) print(len(test_data)) topk = e.load_topk_file(topk_fname) e.eval_topk(topk, test_data, ['ndcg']) ================================================ FILE: programming_assignments/jukebox/solution/code_using_ease/evaluation/user_id.txt ================================================ 10111 10139 1014 10151 10153 102 1029 103 10300 10349 10393 10396 10450 10458 10459 1047 10715 10811 10828 1087 10896 1090 10901 10955 1109 11121 11124 11141 11155 11200 11227 11268 11278 1128 11281 11310 11325 11326 11364 11432 11459 11498 11529 11536 11547 11590 11632 11660 11702 11796 11918 11929 12023 12026 1207 12157 12167 12215 12224 12296 12339 12355 12447 12494 12499 12534 12558 12599 12632 12639 12717 12751 12762 12814 1289 129 12906 12921 12945 13003 13012 1302 13021 13024 1303 1305 13077 13091 13112 13147 13190 13204 13234 13350 13353 13421 1359 13620 13630 13657 13710 13792 1385 13864 13885 1399 14000 14104 14109 14127 1414 14183 14213 14236 14361 14385 14469 14504 14519 14540 14604 14720 14755 14768 14816 14832 14838 14870 14913 15022 15100 15152 15169 1518 15241 1525 15282 15301 15379 15438 15463 1549 15495 15539 15564 15581 15604 15618 15725 15781 15791 15814 15904 15913 16033 16041 1606 16081 16089 1611 16132 16135 16183 1623 16258 16269 16289 16322 16364 16377 16468 16480 16506 16568 16624 16637 1665 1676 16922 16926 16959 16960 16964 16995 17023 17112 17206 17246 17289 17311 17381 17448 17449 17459 1746 17536 17540 17575 1765 17738 17768 17778 17833 17911 17922 17955 17957 17959 17987 18070 18189 18215 1822 18262 18273 18313 18323 18374 18411 18416 18441 1850 18561 18563 18582 18654 18656 18705 18788 18919 18931 19007 1905 19071 19111 19118 19127 19145 19151 19199 19205 19207 19208 19228 19273 19323 19384 19407 19527 19530 19577 19606 19621 19630 19685 1970 19751 19763 19839 19878 19892 19941 19961 20056 20064 20110 20112 20154 20193 20236 20241 20272 2084 2149 2183 2209 2271 2278 2383 2387 2401 2419 2463 2473 2495 2499 2544 2578 2580 2585 2589 2629 2691 2697 2725 2754 2756 283 2833 2852 2918 2936 3025 3027 3046 306 3082 3116 3153 3176 3185 3214 3220 3229 330 3353 342 3445 3486 352 3542 3573 3617 3625 3635 3646 365 37 372 3752 3761 3766 3775 3852 3875 3899 3913 3940 4061 409 4124 4131 4139 4180 4193 4241 4345 438 4383 4419 4505 4509 4568 4615 4650 467 4671 4734 4747 4769 4787 4859 4860 4875 4899 4905 4964 501 509 5125 5128 5149 52 523 5282 5288 5348 5383 542 5543 5552 5579 5596 5606 5618 5640 5655 566 5721 5730 5731 576 5963 6006 6033 6036 6205 6219 6221 6240 6261 6290 6304 6307 6323 6334 634 6342 6349 6360 6385 6442 6477 6486 6498 6502 6511 6561 6585 6613 6654 6699 6749 69 6925 6974 6995 7 7011 7015 705 7195 7199 7211 7219 7307 7351 7399 7414 7427 7458 7484 75 7523 7543 7708 7721 7742 7785 7802 7838 7908 792 7966 8035 8046 8052 8074 8092 8105 8208 832 8375 8377 8552 8561 8586 8623 863 8654 8669 8689 8699 8719 8763 8801 8844 8848 8884 8944 9011 910 914 9146 9219 9240 9278 9359 936 9450 9469 9497 9581 9594 9602 9654 9670 9749 978 9904 ================================================ FILE: programming_assignments/jukebox/solution/code_using_ease/evaluation/validation_data.txt ================================================ 1303 103 11 5618 1249 9 4193 2352 1 18215 6150 1 8848 1734 1 11929 505 1 6342 6546 1 8375 4245 1 1765 5820 1 19127 1740 1 8052 7089 1 8623 1251 6 4615 520 1 10396 6541 4 13864 665 1 10151 2668 1 19228 6184 1 1047 1740 1 2629 1771 2 2495 3511 1 12717 518 3 863 6029 1 4859 1146 2 352 3445 1 17833 643 1 467 3798 2 17911 706 3 8801 3216 1 19606 1475 1 1746 601 1 14104 1755 1 18070 390 1 1029 2352 1 18919 2488 1 1289 3698 1 18262 6150 1 12534 5291 1 4734 1282 1 1305 834 1 11325 221 3 15495 1764 1 4345 8029 2 566 1695 4 3153 534 1 6477 229 6 14236 4665 1 5606 167 1 1518 910 2 7484 3414 4 18070 526 5 1765 132 1 11281 1762 2 3775 206 1 11702 1116 1 20193 5306 1 5963 193 4 9011 6758 12 16364 5144 3 4061 1548 1 3220 6069 1 2629 2662 1 10139 4314 1 13234 1312 1 1665 5048 1 11121 1328 1 910 2093 6 13024 3411 3 14183 23 1 12026 526 1 9011 1399 8 14913 1312 6 14385 2722 2 409 840 5 13190 6470 1 14832 3239 1 20110 510 1 634 4279 1 17449 1724 1 20112 6355 4 3486 1302 2 8654 6537 1 7966 6627 2 18788 3464 5 7011 1250 13 17246 1241 1 15438 23 1 14504 6342 5 18323 6588 1 1090 7621 5 5606 203 14 3025 4623 5 4615 5436 1 12023 1739 6 6502 8102 1 4650 2459 1 14385 1825 1 4061 6368 1 17778 499 1 6749 4387 1 18561 8096 3 8654 5417 1 13012 1356 1 7399 716 1 10828 1334 1 6342 235 1 11278 1395 2 19228 554 1 3542 1518 1 1090 4404 6 14469 310 3 542 4302 1 2473 742 2 6502 4996 1 18919 1277 1 11155 2169 8 1029 5018 2 2419 897 1 2629 1748 2 8699 769 12 14870 4355 1 542 6680 1 10955 498 2 4241 982 1 13792 200 1 8552 508 1 15791 1730 1 2544 1417 1 17246 719 5 3852 4345 1 15100 901 2 17778 1721 1 18563 4400 16 8884 5863 1 1359 207 10 18931 2317 2 9581 520 5 19527 722 1 10393 518 1 12632 2528 1 14838 6711 2 17778 177 15 17738 5331 1 9240 425 1 5552 840 5 4131 8238 6 14755 3631 1 1128 2646 27 2691 229 3 13630 13 2 7307 758 2 15100 665 6 6925 3698 1 16468 2746 1 2629 1722 1 16568 3731 1 17778 1657 1 17738 5290 1 8074 519 1 16624 4411 2 4509 7819 2 6699 223 3 2936 7823 1 15438 7980 3 1385 4283 1 15814 7699 1 342 475 1 4345 3892 2 19205 2747 5 3025 203 11 16468 5517 1 4734 1369 1 4124 3911 1 17311 6345 2 467 5253 2 5731 225 1 4124 4427 6 9146 5904 3 18563 1695 1 10111 890 1 283 1736 5 10349 4435 1 17112 3684 3 2580 156 11 17449 84 1 16377 3624 1 18262 1751 1 14519 3987 6 8561 214 1 19530 752 1 17955 1334 1 16995 3806 3 20272 3460 1 8375 8238 1 5655 5532 1 7721 1621 1 18705 903 1 4769 4204 2 1302 148 1 5128 8194 3 19685 5518 5 8763 4008 1 18705 2363 1 9497 2352 1 3940 7030 2 12558 5950 1 16041 1946 1 8654 3595 3 16468 499 1 3940 706 1 2473 617 1 7838 214 14 16183 519 16 1746 676 1 19273 7920 1 6442 6714 1 6561 1282 1 2387 207 16 13091 1703 1 16132 839 1 4061 2027 1 8699 7965 2 18561 3775 1 7721 2175 1 102 2511 2 11227 5077 2 1414 2727 3 18323 499 1 7802 1779 1 15463 3747 3 1822 1354 1 11702 2012 2 9749 431 2 15618 7450 1 11529 1453 1 8105 4174 1 19606 220 2 863 2964 1 6307 292 5 14838 3586 1 18705 1686 1 7195 5031 7 17778 491 1 542 554 1 19145 495 1 17246 3625 5 6654 5019 1 3185 5186 1 14385 1707 2 9278 1235 1 1606 261 1 3025 532 1 6261 724 1 1090 7672 1 9146 5922 1 4615 1253 1 16568 7292 1 18273 6484 2 7484 1685 1 9146 6435 1 2697 51 1 4860 1332 2 705 1736 5 1611 197 1 15791 638 2 5618 1747 14 863 6041 6 6349 206 15 10459 3073 4 15791 1248 3 15282 219 20 914 5686 1 10396 3257 3 14236 5385 1 13234 861 1 12296 675 1 5963 1718 4 19118 7232 2 3852 3596 2 1385 6098 1 15618 2184 1 7742 6400 6 14236 2424 1 12558 5023 1 3025 471 1 6749 945 1 863 3349 1 11325 1464 1 14913 1698 5 4509 7417 1 16089 910 1 11529 1244 2 4509 4253 2 17738 759 1 566 1748 7 16960 6007 1 8884 1705 1 16089 3911 1 17459 705 1 2271 5879 1 12215 6346 2 8586 1342 1 8763 3285 1 1029 502 1 19145 1374 1 14870 6000 2 6219 4789 9 37 367 1 4859 1748 1 16135 221 1 11796 243 1 4509 1990 2 20110 3671 1 19407 470 2 15495 7850 1 17459 840 1 2629 1729 1 6477 215 1 15791 594 5 13204 57 5 5963 1703 2 576 1363 2 18654 745 1 16135 200 3 1087 7621 2 5721 2295 4 7543 4827 1 2629 1726 2 1090 4490 1 4734 5438 2 6699 220 1 16183 5115 16 3940 3734 1 1302 1367 4 15564 7120 5 10828 347 2 17023 4612 1 15169 4988 1 19199 1761 1 19384 4122 5 7908 2555 7 16624 3979 1 509 215 1 13003 1768 11 14519 2737 2 16468 6993 8 16258 3464 7 12906 3556 2 13190 6487 1 16089 3230 1 509 1295 1 8105 7477 1 19530 3558 1 1385 6421 1 15241 2651 2 16089 1776 1 17833 7716 1 11326 318 5 6749 5131 2 6749 4616 1 15791 95 1 12814 1721 1 12762 7259 17 17449 1775 1 17922 2955 20 6995 3911 1 6749 2938 1 7211 5018 9 1029 4403 1 9904 1234 2 18189 2109 1 12751 7719 36 7742 6557 2 9497 1739 3 4193 2118 1 2629 1707 2 19606 1764 1 1623 3798 1 4734 5402 2 13112 5082 1 3025 411 1 15152 1949 1 7802 3485 1 18656 829 2 19007 3081 1 19878 861 1 12945 3950 4 13190 1784 1 3940 1208 2 15100 622 1 10458 4027 1 16964 411 1 15618 2151 2 16089 229 1 11325 206 3 17246 10 1 18561 6609 1 4061 150 1 15791 4067 1 7838 3617 2 18561 4299 1 13353 1146 1 16468 3278 4 19751 1730 1 6974 2008 1 5730 431 1 1029 471 1 4875 942 3 8884 5737 1 7351 84 1 8092 6375 1 3775 4976 1 7199 7902 2 1014 71 1 18705 1781 1 3646 518 1 15100 879 2 3752 6121 1 10153 5649 11 20193 5288 1 542 379 1 6498 201 3 2183 232 2 7523 198 1 1606 933 1 4769 5290 4 863 8026 1 7966 667 1 13012 1748 1 11529 200 1 4061 5762 1 17833 2367 1 17768 524 2 10396 1737 2 13091 541 3 330 2675 1 19606 1776 1 11547 3571 3 17959 1770 2 19751 2255 5 20154 3216 2 15539 2296 2 4568 3834 1 8763 723 1 12814 1747 1 2499 232 1 283 1250 21 17381 4256 4 13710 221 4 15618 6035 1 19763 452 1 10111 2499 1 4345 7886 5 4615 94 1 8719 2009 1 12639 524 1 9749 687 2 18705 536 1 18262 1249 1 14109 692 2 372 207 77 16959 2363 1 3635 7085 1 3761 5461 1 12494 379 1 11432 1366 1 3082 221 4 14519 3228 6 10300 1266 1 8763 361 1 9654 2029 2 17023 5234 2 15022 3539 1 3116 1705 1 7966 4011 1 8763 1720 1 15781 5133 5 2585 2885 8 13024 3460 1 13353 4501 1 15438 864 1 17449 2354 1 15791 3685 1 4859 2675 1 17957 4489 6 9602 7419 1 16468 7013 1 11632 1820 16 1128 244 1 2697 5315 1 11918 1363 12 15791 1819 4 11281 2555 2 2419 1244 1 19407 200 1 3214 5837 4 15791 2056 4 18656 3868 2 2629 3167 1 8105 665 1 14519 2114 9 16089 1146 2 14213 5957 1 14104 1707 1 2629 187 1 2473 588 1 3852 2969 1 8052 4233 1 4419 4969 1 13234 4107 1 9219 3671 1 12814 1752 1 2852 5251 1 10111 2729 1 2271 2489 1 6502 203 10 1303 3412 1 16568 3287 1 2495 1707 1 15781 23 2 4505 71 3 17449 3422 2 18705 1238 1 13630 6663 5 15781 5538 1 4859 1819 4 6654 365 1 14519 206 2 11200 190 1 4875 3899 5 11702 4680 1 19111 3494 1 18070 4676 3 1109 223 8 16081 2591 1 523 1732 2 4615 4026 1 352 215 1 17959 203 2 19530 3400 2 10828 297 5 9749 1658 4 20236 262 3 2629 5018 7 2271 673 1 13350 568 2 8052 2015 1 19630 4427 1 4769 7821 1 409 861 1 17778 5996 5 1399 5274 1 8689 1237 1 978 700 1 11155 2897 8 6749 4807 1 6342 534 1 12921 2384 1 1665 1042 1 4859 1781 2 19606 514 1 8944 7895 1 4769 364 9 15100 607 1 3573 3670 1 4734 6753 1 17833 2495 1 10393 5379 1 14540 2480 1 10896 1991 2 3617 1395 1 18656 691 1 5596 197 2 19145 23 5 4419 3464 5 15022 4803 3 2271 367 3 4769 5413 8 2697 1184 1 13620 1686 14 4505 506 1 863 5298 1 4139 566 1 11200 221 2 5596 4303 1 863 626 1 8884 6567 2 15913 2938 1 3025 220 2 8944 1247 1 1109 4312 1 13350 200 1 15791 3569 8 15495 232 2 10349 495 1 5125 2118 1 8669 6150 2 365 1582 1 16183 1748 16 19199 5447 1 19530 219 6 18262 7850 2 1518 84 10 18705 1739 1 1518 1692 1 7785 300 2 18563 407 1 15618 4077 1 6502 1738 2 8801 307 3 4345 7859 2 7838 707 1 17922 942 1 2691 1781 1 18215 6102 4 3353 2737 2 12814 1757 1 19530 3333 1 12534 1727 11 3899 206 1 3116 2966 4 634 1270 3 18705 206 1 2725 3 6 8105 99 1 3185 846 2 19606 502 1 1746 2964 1 4747 1819 2 8699 34 1 19384 3491 1 17575 7843 1 4734 5470 1 3176 3425 1 19151 3329 2 19577 3603 1 3766 3921 1 2691 236 2 15913 7602 1 18441 2392 1 3852 221 10 4787 4022 4 7414 844 2 8848 197 1 11632 4118 9 16922 3813 3 5596 1244 2 12717 517 11 17957 6346 13 1359 1710 1 1676 1296 1 4875 4120 1 8669 1739 1 2833 1150 2 13021 3262 1 15618 1589 1 20064 2789 1 7966 1727 1 8944 6341 1 13864 728 1 910 2065 1 14127 666 3 4615 1770 1 10396 2362 2 5579 661 1 792 1257 1 6221 508 2 914 786 1 3573 2238 1 9359 3024 2 1665 7996 6 5618 520 7 2401 2831 1 18656 715 1 13885 3895 4 15539 197 2 19530 3278 1 2629 1715 1 9450 378 5 18411 4339 1 10396 723 3 7458 203 1 9497 3704 1 7708 476 1 13204 844 3 5543 1814 1 6749 365 1 18705 2727 1 10111 1395 1 2149 4936 1 1822 2069 2 15564 638 2 17311 6480 1 5963 201 8 18374 3427 9 19151 3326 12 10349 5758 5 2209 6053 2 12639 2557 1 509 1359 1 17289 910 1 12167 892 1 8375 6943 1 12751 4245 32 6749 6924 1 1109 1416 6 1549 4293 5 3220 4711 1 15791 2710 2 16964 3593 1 7523 4610 1 16081 6673 2 2852 1242 14 16922 2011 2 15913 22 1 6502 188 1 13147 220 6 9904 6561 36 342 2534 1 14720 6278 1 1289 691 1 1289 612 1 10459 1242 1 18563 471 2 4859 745 11 20236 3856 1 10715 95 1 5288 1788 1 8763 229 1 16089 1249 1 7785 947 1 8208 3718 1 6654 910 1 6511 6152 5 14540 2484 1 16033 7914 1 15791 1464 1 10153 1313 1 4734 7740 1 18561 7931 3 8552 637 1 6502 1707 1 6995 1887 1 2271 2511 1 6699 303 1 15791 8187 1 3852 5306 2 19577 6674 1 16568 4348 1 16033 1277 1 2473 768 1 17738 4339 1 20154 5698 3 10111 481 1 19839 7521 2 330 46 10 3025 1734 1 5552 207 2 14755 28 4 4899 1718 2 6486 874 2 6749 395 1 12447 1774 2 13792 4998 1 4241 4976 1 11325 514 1 6323 3964 1 2271 2494 1 12814 1731 1 1665 5303 1 7219 3573 1 11124 1747 1 14604 203 8 11590 3510 2 1905 2494 1 8654 1247 4 15379 1269 4 9670 7542 2 4061 1395 3 14604 2350 1 16322 1153 1 10450 2344 1 13710 523 1 5730 3558 1 2580 4951 4 2629 1770 4 4964 1250 1 4859 1243 1 14213 5252 2 863 3358 1 14604 303 7 1109 1334 3 7219 1663 1 1029 173 1 4124 4967 2 12026 4949 1 6749 7105 1 6033 23 4 15495 229 1 12921 2392 1 6749 8012 1 863 2893 1 2589 3685 1 11536 6288 5 4650 2392 1 2629 1241 2 17778 8031 10 6749 8122 2 10715 4086 11 13077 333 1 4180 3907 2 2383 892 1 17449 244 1 13710 5730 5 17246 1705 4 7484 3644 18 7458 6701 1 6749 2743 1 12167 1686 1 7211 3512 1 13864 3906 1 11632 200 51 12814 221 1 16364 1571 2 19127 201 1 1665 3459 11 19630 1762 2 16960 3502 1 8208 7674 1 15100 966 1 15725 200 11 12717 1713 1 11325 1296 1 15100 674 2 509 200 3 542 5460 1 10459 1358 1 1414 470 5 6486 554 4 17246 7597 3 283 1342 7 3025 225 1 4875 461 2 832 205 10 634 1021 1 16468 2737 1 352 2559 3 16183 244 1 17449 1296 1 9749 225 2 17448 4551 1 11590 236 3 4650 2410 1 12215 84 1 18189 2065 1 914 631 1 16033 6228 1 2629 1686 1 6561 1284 1 13147 411 1 542 1819 3 3573 7606 2 365 227 5 14519 7189 3 7458 7614 1 4769 1344 2 3025 863 1 19527 3567 1 3185 316 2 6307 1752 2 6654 637 1 12945 3943 4 17738 355 1 10450 3558 1 12921 2459 1 14127 3232 1 13190 1324 6 4671 7983 1 5543 1825 1 1665 8121 1 17738 232 2 16964 201 1 4139 1825 3 1385 1774 1 4860 7558 1 11702 365 1 17738 3913 1 6033 6663 2 6749 2718 1 8375 624 5 6654 2620 1 14109 912 1 7721 6069 5 19763 46 5 14236 890 3 8035 1828 1 2084 23 2 20154 2964 34 19530 4575 1 15791 1781 1 6033 5146 1 6240 7535 1 8944 385 4 18189 2087 2 15100 746 1 1302 1819 5 19630 3511 2 14183 561 1 1665 7456 6 14127 3220 1 14519 4029 6 8763 1383 2 10458 5443 1 6219 498 2 18189 5162 2 467 3669 2 17575 6762 1 18705 1775 1 1047 221 1 8801 261 3 6502 1718 1 15282 2671 1 6974 1728 1 12717 1703 1 17987 1245 1 4505 1482 1 15241 5391 2 2149 2673 2 7219 6192 5 4180 690 1 8623 4403 6 16089 1250 1 2387 4992 3 15618 5820 4 4734 4946 3 1359 1717 1 4568 4325 1 15495 1775 5 17911 870 2 6360 888 5 3214 1751 2 16506 1752 8 6385 410 1 8944 7806 1 11929 2459 1 10955 6394 1 17778 7602 2 18561 668 1 18441 4062 2 15781 1703 2 2629 1760 3 8801 7933 2 8046 214 12 1128 1342 1 8944 382 1 1676 7021 3 7211 5495 1 4859 220 3 20064 4382 1 17833 449 1 16132 780 2 18070 1244 1 6654 680 1 3027 6214 1 14213 5254 1 1746 904 1 14109 141 1 13234 3197 1 19530 2512 5 19407 1819 1 16624 7222 1 11498 2356 1 52 2540 1 11326 1831 1 17833 2505 2 6613 3511 6 863 2915 1 17575 5887 1 6033 7254 1 17833 4653 4 5596 1296 1 2149 1245 2 1414 1728 7 5596 1251 2 8208 7672 1 19145 1275 1 4860 4119 26 17246 506 2 14519 449 1 8763 5435 1 17957 870 2 18323 6561 4 3852 2912 1 18561 1395 4 342 6914 1 6511 1770 5 19145 175 4 2629 518 1 7966 6610 1 17987 5769 1 4859 2534 1 10139 5413 2 10715 659 1 17738 727 1 1109 6341 1 16468 5365 1 13710 173 3 6219 4572 12 2183 222 1 3635 5274 1 542 1312 3 3625 1454 1 1399 5310 1 20193 7299 1 1302 201 1 16089 1251 1 11310 3661 1 12355 8067 1 8052 3556 11 2585 207 1 7015 6697 1 3775 232 1 15604 206 1 7785 1245 2 16089 223 2 1289 1299 1 6749 7937 1 5128 533 11 1606 575 1 11124 200 1 3940 3338 11 8848 3482 1 18705 219 3 14183 6442 1 10828 3511 5 8052 215 33 7211 7614 2 1606 652 1 17738 8034 1 102 4623 10 1090 6817 2 14385 637 1 13021 596 1 18654 38 2 4615 2810 6 12023 2357 2 7399 3747 3 576 4960 1 6219 5234 1 4180 818 3 15495 7542 5 11590 4572 2 13077 6338 1 15495 496 1 19961 71 1 6995 2656 1 19685 3230 2 18656 4214 1 13234 1930 1 7966 6557 1 3046 368 1 5579 1701 7 16183 1727 15 19606 520 1 9450 1692 11 15301 5036 1 14127 764 2 15618 4716 1 13421 199 3 17922 898 5 11326 1242 1 16132 709 1 2918 1778 1 102 336 1 1905 2955 1 9594 1719 4 4860 1037 9 914 3491 1 4875 7750 1 7351 667 1 19878 23 2 18215 5513 3 6561 3685 1 1850 6576 2 5963 1764 3 8375 2361 8 19606 6533 1 15495 1745 1 14540 3876 2 20112 4508 2 17448 6762 3 2580 7455 4 19606 1770 1 3940 3809 1 8074 1334 1 11702 443 1 8884 536 1 14755 6507 2 16468 2721 11 20154 5418 1 3025 1250 1 11796 648 1 2629 5737 1 12023 1722 1 16480 5408 1 8105 7853 2 1623 903 1 7484 6954 7 6502 7598 1 15100 5336 1 2473 4282 1 11155 3023 9 11326 723 5 20056 4355 1 10450 225 1 4860 7674 5 409 6496 1 7 201 2 4905 1238 2 16033 2489 2 4615 412 1 13350 3696 1 15791 905 1 409 752 3 4859 4435 13 19630 1464 1 2387 1235 7 1302 5018 1 7399 7216 1 19839 191 2 14519 132 8 16568 3734 2 7543 1296 4 16364 5355 1 7219 5389 1 2499 3980 2 18561 2581 3 6006 3911 5 18411 253 5 705 1247 1 18582 3284 1 18654 2521 1 12447 2523 2 1109 880 1 2419 207 6 18788 229 1 306 1241 2 2754 1499 1 13350 3617 5 14385 4949 2 14127 4673 1 16995 2951 1 4899 3230 2 1399 274 3 16033 1241 1 16926 4459 1 1087 6288 3 2629 534 2 3214 3167 1 4061 5255 1 1305 3669 1 12632 1825 1 1014 220 1 10450 1290 1 11632 6706 9 15564 883 24 11796 649 1 15169 995 4 8719 4211 1 15791 679 2 18561 3813 2 4787 2008 5 4747 4221 2 15169 6874 1 19527 475 1 14519 520 2 12499 1705 1 16922 7658 3 7 212 1 18313 1062 10 13234 5099 1 8074 1719 2 12447 4369 2 4615 2686 2 3635 5513 1 3913 7127 5 1109 8141 2 2473 765 1 4964 1249 1 2578 13 1 10393 2671 21 2629 5255 1 1606 841 1 16364 7540 1 1606 707 1 13234 2139 1 3940 4675 1 2271 4304 1 15564 903 7 3214 220 2 14768 3596 1 10393 7229 3 18262 1184 2 7 216 2 4383 1871 1 3214 221 1 18323 5517 1 15564 159 6 3046 1396 5 15564 1168 2 2629 1253 2 18411 4351 1 14236 3411 1 14361 514 4 19577 6545 1 1014 4484 1 7219 2721 1 2629 2831 2 18262 525 2 19527 367 1 8763 5398 3 17540 4952 12 8801 202 3 2691 821 4 3025 367 1 8654 1373 1 15463 1253 9 7484 35 1 9749 3840 1 2544 1482 1 16089 1781 1 17246 891 11 17738 292 2 910 667 2 13021 939 1 2629 1714 2 7399 6000 1 11660 863 1 15618 5137 1 1970 229 1 13234 545 2 832 3426 5 2419 3900 9 14755 6617 1 17575 5873 1 5125 1093 1 13657 853 5 4615 7210 1 13885 4351 1 14816 3653 13 863 688 2 6749 869 2 7219 4459 4 12814 1239 1 6334 2478 2 12499 2542 2 12023 1730 26 5655 5433 2 2271 2515 1 8561 7602 1 16132 6257 1 7966 863 2 8763 447 1 13353 7531 1 7011 910 4 4860 7632 5 37 314 1 2473 915 1 4787 2993 21 10828 7869 6 8208 2876 1 18441 7570 5 352 3911 1 19630 6159 1 330 867 2 7211 6064 1 8844 1714 1 5730 6554 1 2387 1244 10 13620 777 12 18705 190 1 7011 4252 1 14127 448 1 12339 7683 1 12026 2632 1 11200 2682 4 1970 222 1 11310 6577 3 8377 4400 1 4124 1781 6 9359 6080 1 2589 416 1 6561 219 1 16135 1743 3 19763 7719 5 12339 2626 1 4859 1737 1 7219 5466 1 3214 2971 1 17112 184 1 910 5604 11 18705 502 1 15904 221 3 18931 1226 1 6511 2559 6 8052 1356 1 13091 502 1 1746 3562 1 6749 263 5 14519 1757 1 19208 196 1 10396 7512 3 7966 7636 1 4568 2316 1 11702 433 1 330 597 9 8844 4467 1 5543 524 1 14213 1239 1 7802 1743 4 13091 6204 1 18262 1748 1 15564 4225 2 9219 338 1 11929 3176 2 2629 1244 2 52 2535 10 1399 5278 1 14183 2082 1 18705 225 2 7211 308 1 18705 1740 1 1385 201 1 9602 3536 2 1905 5986 3 14361 8200 6 13147 7850 5 4859 235 1 16637 2266 2 19273 2864 1 1665 8054 7 4615 525 2 4383 2663 1 1305 1965 1 18656 747 1 6699 3911 1 14104 4615 2 16926 953 1 2544 3457 1 14109 3045 1 7785 1282 10 14504 867 3 11660 206 1 4615 252 1 20056 849 2 8375 3474 7 16637 3584 1 17833 2595 1 1606 641 1 13350 3974 1 6502 3197 1 17778 3775 2 17922 4827 1 4505 1720 2 6323 1883 1 18561 5126 2 3913 1872 6 17955 4367 1 6349 5319 1 14604 1784 1 11632 4998 7 2936 7197 1 542 5425 1 15581 1374 3 8074 1246 1 17987 235 4 792 7606 1 16322 6912 1 576 196 1 17911 878 1 16269 4337 1 2629 723 2 4505 23 1 6349 6402 2 19621 340 1 10151 1453 4 4345 4296 1 15100 812 2 6006 2520 1 5963 1695 3 3214 201 2 6749 6087 1 7708 437 1 19878 6288 8 5596 1705 4 542 1369 3 7219 2729 1 1047 5349 1 1606 943 1 16506 196 7 3852 3353 2 1109 229 1 3116 2356 3 5596 1761 1 3766 3464 1 13204 233 5 11796 726 1 17911 4225 1 3775 3155 5 18705 1246 1 16322 8057 3 19763 7769 5 15791 1250 1 3940 719 1 6360 201 10 5383 6701 1 17922 714 5 7211 5425 1 37 2001 1 10396 6652 4 18215 205 1 3082 3760 1 2629 541 2 37 2006 1 8052 700 1 7908 3558 1 1518 4427 1 15282 215 1 17955 7591 2 13204 237 5 4061 249 2 17449 1244 1 2401 220 1 15301 2569 20 18705 1703 1 1606 5810 1 18070 1374 4 4509 340 1 7351 723 1 10901 1146 1 11529 1184 4 14109 1582 1 16468 3540 1 17987 2815 1 11155 1234 8 15581 2488 4 7742 1244 2 11121 7027 2 15781 6334 12 832 23 2 1305 2341 1 863 950 1 1128 222 1 11281 1737 1 1090 419 1 16480 1789 1 15618 5781 1 5640 1752 2 13234 1882 4 16480 1771 1 9670 5708 1 5963 6560 1 6342 1717 1 1029 1737 1 19127 7228 1 6307 1698 6 15791 2103 2 14000 1995 1 3617 1705 3 15781 225 3 18919 761 6 11702 4404 1 9670 2626 20 1970 221 1 14385 1781 1 19621 1421 1 75 3497 4 16089 219 2 5128 514 1 11268 7719 6 10393 5245 44 5963 2422 3 1518 4034 2 14720 207 8 6360 6091 2 2149 5996 1 3025 534 1 14236 7894 2 19118 6801 1 15463 789 5 14385 7726 1 1029 1241 1 1289 599 1 542 1728 1 4905 5674 1 11325 244 1 863 3352 1 9240 2918 1 467 3942 6 10139 201 1 3445 6705 1 102 4620 3 1623 948 1 19941 4303 1 17023 1781 3 10396 1645 1 14720 4266 1 14504 2678 5 14755 982 3 9904 7240 4 13234 8031 1 12639 203 3 11227 1677 2 4180 1471 1 12717 1715 2 18273 3367 2 7015 1105 3 17459 891 2 18705 1779 3 15100 797 1 1606 3747 5 7307 964 2 3940 4670 1 19145 7593 1 6205 222 7 15791 7632 1 17778 6083 7 4131 8017 2 1207 7958 1 1822 4328 1 5288 8169 8 542 5568 1 9219 1717 1 19630 4972 2 18563 390 4 14540 7714 2 11364 571 1 15100 568 1 11124 223 1 372 220 1 14755 6558 1 3025 1736 1 6261 1081 1 13234 4105 2 5288 6007 1 306 2362 2 14832 7632 1 467 1582 1 16135 1235 1 12906 2827 5 6749 2737 1 4875 1112 1 7427 7843 3 19207 3511 1 914 5202 1 13003 1658 2 5348 7689 2 19530 1768 1 2580 1710 3 5963 1244 3 2271 360 1 14870 6099 1 18788 295 1 8689 3065 1 1399 76 1 16269 7425 1 1746 3029 1 4124 1691 7 13657 714 1 5149 1990 2 1970 514 1 12355 2144 1 11660 1236 1 19145 7398 1 10811 6777 1 4061 1312 2 863 6028 1 6749 8067 1 16322 6083 1 6561 826 1 467 2263 3 18561 416 1 523 7902 1 3573 2317 2 542 229 2 20154 8026 9 15904 215 5 1302 840 1 7219 1665 1 16089 1241 1 6334 82 2 6486 2841 1 576 222 2 19145 8146 1 15379 629 17 6699 5995 1 5596 1242 1 13792 1781 1 936 219 28 4505 910 2 9670 3945 3 792 3399 1 20110 164 1 4671 1914 1 5606 200 13 18070 292 3 4505 252 1 19530 3626 1 3082 222 3 37 2012 6 11325 232 3 17575 5945 3 15791 6875 1 12224 1729 10 16568 2169 1 3229 2363 1 12167 964 1 12215 5325 1 7427 5792 5 3153 496 1 1623 5252 3 14755 1046 1 1665 6031 1 4734 5467 1 2463 1775 3 17289 3202 1 11278 231 31 10349 4623 5 6442 3625 2 19530 883 3 18931 1647 1 13012 506 1 14519 3592 1 15791 928 2 18563 474 2 14755 5278 5 17459 595 1 15495 2352 4 18070 4501 4 19630 2665 3 8377 3104 1 9450 336 4 15564 4511 1 8654 5549 1 13024 1250 2 7721 8201 1 14109 657 1 18931 3250 2 10393 1762 2 15463 3417 6 6342 532 1 15100 5724 1 15100 243 1 13003 1610 1 19530 545 1 11326 498 3 1359 1827 1 8092 313 1 5721 7250 5 9278 6152 1 18070 1756 5 17768 2889 2 19941 1245 1 1746 2727 1 1518 7455 1 11929 2057 1 18654 4266 1 16089 1417 2 1606 612 1 19384 334 1 6323 2902 1 18561 5306 1 1518 2058 1 16041 3671 1 2495 3056 5 9450 2357 1 11200 233 1 9654 5272 4 3852 1259 4 1905 5873 1 12296 2691 2 15618 5791 3 15781 6962 16 4905 1814 1 14832 7670 1 4061 1249 1 1765 1775 2 11155 2363 2 14768 2338 1 5606 3556 2 15022 443 1 2852 7427 4 15379 6193 2 18705 244 1 15100 939 1 3025 1772 1 8884 4228 1 3025 1775 1 17575 4803 1 15282 2678 5 13421 3943 1 1611 1721 1 18656 3776 3 4859 1007 1 19530 3950 1 6342 1703 1 19145 1238 2 18705 2683 1 7966 1665 1 14540 1707 2 19145 5432 5 14519 495 1 13234 4366 2 6323 6440 1 19323 23 1 6477 508 2 3486 3409 1 8377 394 3 16041 6150 1 365 411 1 4734 6500 1 1359 867 1 4671 2727 1 4193 2363 1 17959 4411 4 16135 1781 2 15022 4557 1 3875 215 6 19199 408 1 15100 571 1 2936 3057 1 10300 3849 4 16922 7750 4 14913 222 5 16132 828 1 18705 367 1 4124 6633 7 14519 541 2 1525 2488 1 16089 2831 1 16506 8183 14 1399 344 1 11326 2109 1 5963 789 1 129 5774 9 6585 6406 4 4193 1751 3 6974 7807 1 409 237 1 6749 8096 1 4905 559 1 7351 2478 2 9278 1719 1 438 2948 1 1606 600 1 13077 4299 1 10396 6562 4 1676 169 63 2401 3888 2 6360 1721 3 10896 1464 1 3116 4096 3 10396 1600 1 12499 1244 3 12499 512 3 3752 3851 2 4905 186 6 4193 1685 1 15913 3685 1 11660 1184 2 283 5520 4 2578 2173 1 1606 558 1 19630 1781 4 7011 1342 4 15100 765 3 19621 3611 1 523 4695 1 15791 3510 3 6221 199 4 19145 156 1 372 223 3 8763 6622 3 12599 452 1 16289 7466 4 3625 6105 1 14870 235 4 19273 2922 2 1606 561 1 17768 6925 1 16033 7998 2 6511 518 1 19207 1825 1 12599 1780 1 6749 931 1 12224 219 26 4860 4588 1 16964 3250 1 1029 1778 1 6613 533 5 15814 2155 2 10153 74 5 5596 232 7 11498 2698 3 11155 4789 1 4859 5018 2 3025 1242 1 4860 3239 5 1549 200 4 12906 7466 1 15100 548 2 14385 6667 2 13234 1962 1 9359 6484 1 832 7308 1 15100 3494 1 19273 2871 1 9469 197 1 17987 2702 1 12717 4403 1 6498 220 2 8623 1757 6 19145 207 3 6749 8066 1 7399 633 1 15100 951 1 15618 7968 1 3185 1632 1 8654 5494 1 5963 1986 2 438 365 2 7966 2727 3 18215 995 1 15791 5977 10 19273 1737 7 2585 156 2 16624 1587 10 6240 7542 1 7708 477 1 17206 3378 20 10396 2353 3 18262 1251 1 11529 1825 9 4860 4112 6 5128 1450 7 4859 1717 1 2629 505 1 18788 7506 1 15152 1464 1 5730 2419 1 1385 206 1 20236 7527 1 4124 1985 3 6385 419 1 7802 3175 5 3775 1692 1 18070 1296 9 11124 1775 2 7414 4561 1 2209 3760 7 14000 3512 5 7 222 2 2754 1236 3 20241 1464 7 4193 1729 1 936 2666 1 17738 880 2 19751 1478 4 2629 225 4 15438 1531 1 6304 4266 2 8944 394 3 11326 3056 3 10393 7621 1 13234 3512 1 9581 23 8 10450 3283 1 1289 791 2 17778 3301 1 467 496 1 8801 3468 8 10901 1305 1 75 524 1 1850 6991 1 15100 838 1 4734 5530 1 17112 232 7 17112 532 10 7742 6680 2 8377 502 1 6221 220 1 4747 2355 1 2387 1703 9 19207 533 1 12355 207 1 17911 4254 1 4859 1827 6 14540 1775 5 4964 467 1 6304 205 1 17957 6473 6 6033 223 7 19145 5566 1 19323 1705 2 11141 84 3 2544 6777 2 11141 200 6 16081 6677 2 7458 6106 1 3875 8013 23 7307 232 3 4860 7533 1 2084 3899 1 14504 6700 1 9011 205 6 19145 2683 1 16960 6536 1 13077 8091 2 15301 5051 3 9904 244 7 12296 1819 1 2271 7104 1 16041 1741 1 10111 215 1 1047 1240 1 16568 3809 1 11918 8175 11 1029 1717 3 10811 1730 1 6995 203 1 37 1136 2 19751 8181 7 3573 6632 2 1128 220 1 18582 2677 1 6654 5026 2 14870 2646 1 9594 2523 7 12717 7593 1 1611 23 1 2833 1466 22 12558 1241 1 20193 2693 5 17246 1734 10 1109 7352 1 19111 206 1 7219 426 1 14519 3666 1 12167 891 2 16624 7227 1 2084 5247 1 6323 1757 10 15282 2181 1 17449 1453 1 501 2357 1 9670 6482 1 15169 1358 1 11200 1395 1 8105 3441 1 15581 524 1 4124 1796 1 19621 6677 2 2271 385 1 5606 7392 1 14913 6334 3 705 200 27 16926 2652 1 1765 1731 2 1606 874 1 9240 219 1 9011 995 5 15618 6037 3 16135 519 3 17738 4387 1 11155 3526 7 13792 207 1 17738 357 1 18705 1718 1 2387 1718 1 11310 647 6 15241 1332 1 4505 1239 1 19685 1732 3 14109 385 1 7838 3632 1 19630 5513 3 6261 1266 2 1525 6053 1 10450 219 1 6349 1782 1 13112 10 2 4180 2504 1 17540 5018 1 17206 5269 2 5596 244 1 1289 1297 1 11268 441 1 4509 4334 1 15791 2099 3 16364 1146 1 10828 4941 5 13710 4436 1 18313 3242 14 19407 411 8 19007 10 9 11432 2508 1 20064 5532 1 16033 3522 2 13091 225 1 15100 865 2 2833 7846 14 9011 5439 1 13024 193 1 6498 215 1 19763 156 5 11459 4467 1 16922 3519 2 18656 599 1 5596 519 2 10896 3227 1 4615 6537 1 18215 514 1 4905 512 1 9146 6361 1 102 4613 1 1109 863 1 11796 707 1 12157 237 1 2629 525 3 19208 3625 1 792 2058 1 7458 200 1 11632 4992 2 15904 206 3 15100 764 1 18273 3399 2 7427 815 3 11200 1641 1 4383 1596 1 18561 4303 2 4671 1982 1 15791 706 2 8074 215 1 16089 1244 1 18273 1304 2 5596 1770 1 1414 187 1 18416 4187 2 15604 220 1 10396 1649 3 3775 2355 1 5149 4022 4 17957 336 20 2419 891 11 3027 6164 3 16089 1184 1 11268 5349 1 14755 3939 1 8561 4706 2 16258 2481 6 17833 2014 2 11498 2424 2 11121 1296 1 15618 5289 1 7427 547 2 4180 7928 1 18788 235 2 14720 1747 2 7908 5437 1 19145 1825 1 5282 1085 5 18919 646 1 1905 2743 1 6219 2653 1 11929 2016 1 3025 1417 1 13234 1761 2 15581 1703 7 18705 1710 2 7785 2013 1 16089 1242 1 15022 5783 1 1029 336 1 15495 1728 3 13012 3671 1 2833 519 1 2419 880 11 13234 2369 3 542 5442 1 12534 6363 9 15495 2626 1 12632 3699 2 5128 5758 5 103 4658 2 13012 1728 1 16468 2386 1 17449 1734 2 5383 2534 1 3940 2964 6 4859 2686 1 7543 4618 1 863 943 1 5552 1757 1 15618 6054 1 17449 1146 1 8586 847 1 3229 1724 4 2463 229 1 18262 1740 1 10955 2356 2 4860 1365 7 2629 1249 1 7543 6793 2 3625 4723 1 18262 502 1 103 4648 1 8763 3275 1 509 156 12 17922 404 5 103 535 1 6323 5172 2 14236 4501 3 3025 1722 1 792 1946 1 6749 7862 5 16468 4578 1 7966 1781 3 6307 5999 7 1302 1717 3 13077 134 1 20193 1338 12 542 477 1 16183 1695 15 7721 7586 11 14504 411 2 8552 223 2 6749 6442 2 12762 3167 2 10715 761 1 9497 1710 5 12499 1757 1 9594 2699 5 914 2827 2 4124 4262 2 102 1363 1 11796 600 1 9581 232 13 6749 5516 1 1970 6152 1 9749 789 1 14838 1829 7 2209 3358 2 3353 3893 1 3025 1695 2 16132 606 1 2578 1464 1 3542 207 11 17381 2355 4 7966 5531 3 11547 2307 2 14504 4435 10 11459 1090 1 17023 386 1 18656 682 1 542 219 10 1606 790 1 4859 1250 1 832 411 1 3214 6380 1 467 6706 2 6290 229 5 2209 1082 2 2580 997 15 1047 443 1 6342 6065 3 11141 1440 4 3752 4581 1 2271 383 1 14236 8050 1 2691 230 3 10715 803 14 542 7643 1 15100 570 1 16322 7674 4 8763 5561 1 14385 1736 2 14816 8178 6 4615 1757 5 37 2005 3 10459 3113 1 20241 3512 4 6486 657 1 2580 2141 6 12447 1727 1 11929 2661 4 1549 197 1 12167 5837 6 4769 5561 13 19751 262 15 15791 550 1 1303 4156 3 17536 229 1 8654 4383 1 2833 3509 1 2401 4343 2 16960 2670 5 20112 82 10 1359 219 5 13234 440 1 19530 225 2 1207 2378 1 5606 1819 9 16959 2897 1 13353 4233 1 11155 1399 9 17987 496 1 8719 2595 1 2691 863 3 13234 1907 2 7 225 3 11536 2254 2 19941 207 2 19878 2737 1 3899 525 1 14469 4760 7 16568 4479 1 15169 6368 1 9469 1247 3 4671 1969 1 3542 8141 5 2918 7719 2 14816 23 11 17540 23 2 6585 7853 3 10901 7531 1 910 12 1 10459 5855 1 14127 1118 1 19273 5734 2 12224 2671 1 103 4655 1 10151 2027 1 8074 244 1 18705 1721 1 13091 8141 5 2629 244 2 5128 3666 17 3025 1718 1 6219 2354 1 6477 232 3 15791 7706 12 330 3072 1 6360 3778 5 10111 416 1 1414 214 1 5282 4275 1 7523 1104 1 14385 2584 1 13353 392 1 501 5515 1 18416 6139 5 11326 7213 4 15100 624 1 6654 4039 5 7195 4623 1 3046 1909 1 3445 5090 17 14385 4413 1 18705 853 3 8105 1 1 3761 4460 1 17738 3352 1 7838 877 1 10393 7407 27 10153 3464 3 4615 205 2 16183 1775 17 283 6322 8 12534 364 7 7966 7791 1 6036 7466 1 3940 764 1 6307 1395 9 1850 35 1 18705 1778 1 3940 177 2 2756 1211 1 3153 252 1 8375 709 1 6307 7427 1 11702 2494 1 18582 2353 2 16926 956 1 4241 5649 1 6261 1421 1 4615 1825 29 306 2353 3 8377 385 4 3573 2556 14 467 7259 3 6995 1825 1 12157 7593 1 13620 3059 4 13792 214 1 4061 1466 1 15814 2276 1 14236 3460 1 542 2508 1 10396 2600 1 19205 4623 2 14755 6540 5 11124 5077 1 14755 6545 1 6304 2261 1 2278 742 8 14109 1762 3 19007 1664 1 352 225 8 16364 6260 1 20056 1361 1 15791 2626 3 17738 910 2 5963 3635 1 3752 5308 2 20193 7727 1 10896 7921 1 6511 7232 3 52 2550 1 16269 2276 2 14236 4670 1 18705 232 1 13350 512 2 12494 1775 1 7708 1053 1 1765 190 1 15725 1244 1 3617 7401 4 7211 2646 1 5596 235 2 18416 6064 2 13112 1762 2 5596 723 1 14519 2175 1 910 4988 1 7414 4506 1 3573 7410 1 3617 1775 2 1765 134 1 467 5252 1 17536 1146 4 11796 765 1 17311 753 1 7802 2737 2 15169 4944 1 6240 2913 1 13710 495 1 4061 173 1 12339 1761 5 6221 2697 4 10955 1363 5 17778 447 1 9219 1747 1 2499 221 1 2419 500 3 13234 7769 2 1029 719 2 15495 1238 3 4124 2552 2 8654 6555 3 8035 6711 3 19111 1342 1 18411 2147 1 12945 3952 2 15169 1772 1 6304 1742 2 14768 2838 1 2387 214 6 20272 4304 1 12355 6278 2 15791 4403 2 13234 1249 2 6925 2480 1 13234 4447 8 4734 1695 1 8884 645 1 17311 7663 1 7966 193 1 5731 219 1 19878 6225 14 1029 1743 1 3646 207 4 6205 7586 1 8763 225 1 14385 545 9 9581 545 7 14540 1236 1 19205 502 7 10811 244 1 7721 8017 3 6219 4803 2 16364 4299 1 6502 7332 1 11141 8141 2 1029 1250 2 542 5418 1 18561 2721 1 6749 6994 1 7543 1756 1 1109 186 1 11796 877 1 7966 834 1 17778 1658 1 17246 244 7 14755 6577 2 1207 1774 2 6749 535 1 13190 96 3 9670 7529 2 20112 201 4 4615 2251 1 17381 2617 5 16033 1548 1 5125 438 1 6290 508 5 13421 3931 1 11278 1990 1 18561 7701 4 14768 8196 1 2383 252 1 19839 3911 14 10111 4246 5 19273 3588 6 1128 233 1 15618 7857 3 11918 206 11 18262 1770 1 6221 3298 1 13012 215 1 15618 676 1 6511 512 7 8561 1715 1 13003 1241 11 11155 4796 5 8844 5794 1 16468 447 1 1029 1248 2 5282 3253 1 4859 1296 3 1606 935 1 10396 6606 3 13885 4963 4 5552 2355 2 2589 6484 2 4193 23 4 20193 3596 3 14720 520 1 1518 2087 1 13234 3564 1 5383 187 2 14504 200 47 18323 1242 5 15791 3367 3 7966 6541 1 372 3511 1 3082 207 1 3214 6753 2 13091 5004 1 2629 471 2 2183 221 1 17911 4206 1 16132 765 1 1518 6231 1 10459 1377 3 978 7178 1 17778 1307 1 14604 2353 1 14913 2737 5 52 2533 4 542 1378 1 5963 244 3 6221 7738 1 8654 508 3 863 650 1 11796 5286 1 4180 6028 2 1665 2727 1 6502 5408 1 19892 2790 1 19208 524 1 6511 225 1 3116 1990 4 4124 6170 1 2725 690 1 11278 5719 1 20236 5269 2 7966 229 1 11155 1762 7 13234 203 5 3229 303 2 1090 1154 1 7199 4695 1 11155 215 6 5963 225 4 3445 3669 21 14361 3230 3 2278 7719 5 283 2401 2 2936 3820 1 9450 7809 2 8586 685 1 2754 7174 1 8052 5409 1 11364 5736 1 16364 214 2 19530 5971 1 13234 1374 2 11702 1277 3 15564 724 13 11702 7878 1 2629 1395 1 3486 2708 2 7484 7101 2 2756 5922 2 542 5495 1 14519 1955 7 16637 1826 1 19145 4243 1 1109 3230 1 1414 7958 1 15814 4540 1 1606 3411 1 3025 1717 2 7708 370 1 6502 224 1 10396 3970 1 566 5943 1 9670 1732 2 4769 2561 1 2473 906 2 978 6588 1 16364 1036 6 17023 626 2 10393 2678 1 1090 4304 1 18656 3863 1 1665 1191 1 12639 207 2 4180 844 8 14109 732 1 9469 7255 2 8763 398 1 4383 530 2 1665 6902 1 4859 46 7 2499 5077 1 6749 1779 3 6342 201 3 13024 3378 1 16289 5513 1 13885 1762 3 5348 500 1 1109 1825 2 1109 3699 2 1128 221 1 8074 512 2 17289 3485 1 8763 5446 2 16468 6924 1 11121 2697 1 19273 8026 3 17987 2324 3 13350 4477 1 3573 5060 2 4899 6053 4 19127 3512 1 3542 1819 2 10828 3492 4 5963 1334 1 19207 2675 1 2084 1909 1 5963 372 1 6654 8190 1 20272 2103 1 3025 1342 1 7219 6488 1 16468 2445 1 5731 4026 1 15618 6011 1 863 3382 1 2473 5187 1 12945 8139 4 365 3869 2 17246 23 1 2463 200 12 1970 1235 3 17536 1395 2 6323 1615 2 17738 3398 1 12717 1768 2 9450 1722 2 18705 1482 2 11536 1819 1 467 3827 2 17459 939 1 11432 4704 1 4859 203 4 15152 274 2 14504 2522 2 2629 411 1 7015 173 2 6442 201 1 19530 1249 1 8689 1686 2 6613 411 5 1822 5910 1 15539 2549 2 11121 1298 2 6749 8083 2 19071 7216 3 17575 381 1 11702 4112 1 11141 6469 2 2383 1762 1 18262 1238 2 7414 4566 1 19751 1356 5 8654 2363 5 1822 5043 6 17911 499 5 9670 4314 5 13792 675 12 5963 526 2 14519 4355 9 19961 3325 1 2271 5945 1 19407 203 1 18070 13 2 4859 2668 1 11325 498 2 6334 48 1 18561 7953 1 6749 3005 1 2271 3395 1 9240 1713 1 10393 470 34 2629 215 5 19071 4314 3 16959 8026 12 18705 1239 1 6033 2671 1 19892 4107 1 6323 7125 1 16480 1738 1 5596 1464 1 19118 190 3 5348 5325 1 8046 7734 39 7721 292 1 19273 771 1 7802 1698 1 17023 579 1 2629 891 3 3214 23 12 16089 496 1 14236 6892 1 2271 363 1 11459 1819 4 2918 1718 2 11155 2646 6 11121 5996 3 14385 1764 2 7838 3597 2 10111 378 1 542 712 1 14127 95 1 6511 1374 5 5128 8183 20 576 1249 1 9904 1739 8 1014 6424 1 4859 1184 1 3116 6238 1 7708 428 1 19892 4231 1 6342 206 1 1970 215 1 14127 6817 1 17778 3283 1 10715 647 5 1822 3207 6 6323 3510 1 102 184 1 16322 6072 1 18374 2885 41 3082 23 18 19530 3638 2 12026 3689 4 13024 652 5 6349 6139 1 6511 252 3 3542 215 1 16258 1755 1 8669 4435 3 19839 1239 2 1047 327 1 19384 688 1 8654 3625 6 1905 420 2 9594 1783 7 13091 1824 2 2725 6014 5 13657 6053 1 1822 1960 3 20154 7878 10 542 6622 2 7838 575 1 13234 1732 2 16964 3142 1 3176 4849 13 12499 1721 1 1207 7895 1 9654 1305 7 1822 7674 1 566 397 6 19007 2662 1 18656 4337 1 342 200 1 11155 34 2 863 3840 3 16506 1829 15 6974 1395 1 8844 1276 1 17911 550 1 13091 3012 8 11310 6536 3 15725 3889 6 6033 1695 2 1029 2662 1 10828 1909 4 1905 5887 1 14755 7022 1 17738 310 1 16995 2795 1 14720 2646 2 1518 506 5 4734 5526 1 8654 541 3 20154 1184 97 15495 506 1 542 5502 1 5640 1768 2 15791 888 1 17738 304 4 16089 303 1 5282 1688 1 6036 3138 1 17738 2912 1 14504 1819 9 16377 3252 4 3025 244 1 863 873 1 9581 4204 18 6749 7054 1 17448 4517 1 10111 659 1 8884 1247 1 15791 579 5 1970 1464 1 11632 3311 1 15791 1251 1 15781 952 1 12717 7245 6 4615 229 2 12296 57 1 11929 1332 1 12296 7716 1 3353 6888 1 936 1706 5 2473 1285 1 5596 220 6 914 232 1 13864 263 3 18705 520 1 7199 3686 9 11529 1703 1 129 1164 2 1090 2562 2 18416 46 2 8105 5860 1 1109 6638 1 17911 4511 4 8074 1732 1 16132 665 1 10393 497 1 6261 99 1 1665 5129 2 7219 6527 1 6290 214 7 3025 496 1 16041 1718 1 8884 926 1 5606 23 2 16926 4015 1 1090 422 2 7 226 11 3940 967 1 6749 7112 1 19878 222 7 5640 1738 1 10458 3595 1 37 2016 1 7838 642 1 17575 611 1 5552 215 1 542 545 1 2271 379 1 8092 2021 1 17448 4514 5 2387 215 8 4124 162 5 7523 5413 1 5383 274 1 11702 8036 1 8654 214 3 576 1734 1 10393 3593 1 4061 1772 1 6307 1245 1 15100 3530 5 1109 1924 1 16089 200 6 14385 3643 21 15495 1253 4 6561 2649 1 12499 3973 1 5543 5018 1 3852 3591 2 705 2261 1 17833 5312 1 75 3493 3 69 3273 1 15379 673 2 910 2087 1 4139 878 1 6995 411 1 1029 1775 1 19961 2176 1 2585 4963 1 6205 200 1 6261 1401 1 1047 1251 1 1090 823 3 16033 6748 1 19630 3671 3 7195 5052 1 10111 6430 1 103 4640 7 17459 646 1 409 3445 1 13792 5017 15 3220 1655 1 2918 4967 1 15791 3626 1 6385 3697 3 8208 2499 2 12339 943 2 17778 1380 1 6654 5442 3 13792 4833 1 2495 103 1 1087 3596 2 4505 5903 1 2271 1042 1 15379 3576 3 8552 1763 1 16183 1342 17 2401 23 1 ================================================ FILE: programming_assignments/jukebox/solution/code_using_ease/recommend_with_ease.py ================================================ import pandas as pd from scipy.sparse import csr_matrix import numpy as np import sys def gen_top_reco(X, lamb=10.0, K=100, target_user_inds=None): G = (X.T @ X).toarray() diags = np.diag_indices(G.shape[0]) G[diags] += lamb P = np.linalg.inv(G) B = P / -np.diag(P) _X = X if target_user_inds is not None: _X = X[target_user_inds, :] scores = _X @ B scores = np.asarray((scores - _X.astype(bool).astype(int) * 10000)) top_reco = (-scores).argsort(-1)[:, :K] return top_reco listen_count_fname, user_ids_fname, K = sys.argv[1], sys.argv[2], int(sys.argv[3]) with open(user_ids_fname, 'r') as f: target_user_ids = f.read().strip().split() tr = pd.read_csv(listen_count_fname, sep=' ', header=None, dtype=str) tr.columns = ['uid', 'sid', 'cnt'] tr['cnt'] = tr['cnt'] uid2idx = {_id: i for (i, _id) in enumerate(tr.uid.unique())} sid2idx = {_id: i for (i, _id) in enumerate(tr.sid.unique())} idx2uid = {i: _id for (_id, i) in uid2idx.items()} idx2sid = {i: _id for (_id, i) in sid2idx.items()} tr['uidx'] = tr.uid.apply(lambda x: uid2idx[x]) tr['sidx'] = tr.sid.apply(lambda x: sid2idx[x]) n_user, n_item = len(uid2idx), len(sid2idx) with open('./user_id.txt', 'w') as f: print('\n'.join(tr.uid.tolist()), file=f) X = csr_matrix((tr.cnt, (tr.uidx, tr.sidx)), shape=(n_user, n_item), dtype=np.float32) X.data[:] = 1.0 + np.log(1.0 + X.data[:]) target_user_inds = [uid2idx[uid] for uid in target_user_ids] top_reco = gen_top_reco(X, lamb=30.0, K=K, target_user_inds=target_user_inds) for uid, rec_list in zip(target_user_ids, top_reco): rec_sids = [str(idx2sid[sidx]) for sidx in rec_list] print(uid, ' '.join(rec_sids)) ================================================ FILE: programming_assignments/jukebox/solution/code_using_ease/recommend_with_sgd.py ================================================ import pandas as pd from scipy.sparse import csr_matrix import numpy as np from jax import grad, jit import jax.numpy as jnp import sys listen_count_fname, user_ids_fname, K = sys.argv[1], sys.argv[2], int(sys.argv[3]) with open(user_ids_fname, 'r') as f: target_user_ids = f.read().strip().split() tr = pd.read_csv(listen_count_fname, sep=' ', header=None, dtype=str) tr.columns = ['uid', 'sid', 'cnt'] tr['cnt'] = tr['cnt'] uid2idx = {_id: i for (i, _id) in enumerate(tr.uid.unique())} sid2idx = {_id: i for (i, _id) in enumerate(tr.sid.unique())} idx2uid = {i: _id for (_id, i) in uid2idx.items()} idx2sid = {i: _id for (_id, i) in sid2idx.items()} tr['uidx'] = tr.uid.apply(lambda x: uid2idx[x]) tr['sidx'] = tr.sid.apply(lambda x: sid2idx[x]) n_user, n_item = len(uid2idx), len(sid2idx) with open('./user_id.txt', 'w') as f: print('\n'.join(tr.uid.unique()), file=f) X = csr_matrix((tr.cnt, (tr.uidx, tr.sidx)), shape=(n_user, n_item), dtype=np.float32) X.data[:] = 1.0 + np.log(1.0 + X.data[:]) jX = jnp.array(X.todense()) P = jnp.array(np.random.normal(0, 0.001, size=(n_item, n_item))) P = P.at[jnp.diag_indices(P.shape[0])].set(0) @jit def loss_fn(X, P): ret = (((X - X @ P) **2).sum() / X.shape[0]) ret = ret return ret @jit def loss_fn_with_reg(X, P): ret = loss_fn(X, P) ret = ret + 0.01 * (P * P).sum() return ret grad_fn = grad(loss_fn_with_reg, argnums=1) lr = 0.06 for i in range(100): batch = np.random.choice(X.shape[0], 512) r = grad_fn(jX[batch], P) P -= lr * r P = P.at[jnp.diag_indices(P.shape[0])].set(0) lr *= 0.99 target_user_inds = [uid2idx[uid] for uid in target_user_ids] scores = X[target_user_inds] @ np.array(P) scores = np.asarray(scores - X[target_user_inds].astype(bool).astype(int) * 10000) top_reco = (-scores).argsort(-1)[:, :K] for uid, rec_list in zip(target_user_ids, top_reco): rec_sids = [str(idx2sid[sidx]) for sidx in rec_list] print(uid, ' '.join(rec_sids)) ================================================ FILE: programming_assignments/mini_reco/README.md ================================================ # Mini Reco 문제 출제 및 검수: [김성진(nick.kim)](https://github.com/lancifollia), [양세현(dan.ce)](https://github.com/yangsehyun) > 이 문제로 영입을 진행하며 지원자분에게 드렸던 인터뷰 질문은 [interview.md](interview.md)에 있습니다. 문제를 풀어보시고 이 문서도 확인해보세요. ## 목차 - [소개](#소개) - [User-based Collaborative Filtering](#user-based-collaborative-filtering) - [문제](#문제) - [참고 사항](#참고-사항) - [입력 데이터](#입력-데이터) - [제한 사항](#제한-사항) - [평가](#평가) - [예시](#예시) - [예제 테스트 케이스](#예제-테스트-케이스) - [예제 입력](#예제-입력) - [예제 출력](#예제-출력) - [설명](#설명) ## 소개 이 문제의 목표는 Memory-based Collaborative Filtering 기법 중 하나인 User-based Collaborative filtering 알고리즘을 사용해 추천 시스템을 만드는 것입니다. 아래 알고리즘을 구현하여 Task를 수행하세요. ## User-based Collaborative Filtering The [memory-based](https://en.wikipedia.org/wiki/Collaborative_filtering#Memory-based) approach uses user rating data to compute the similarity between users or items. Typical examples of this approach are neighbourhood-based CF and item-based/user-based top-N recommendations. For example, in user based approaches, the value of ratings user $\large u$ gives to item $\large i$ is calculated as an aggregation of some similar users' rating of the item: $$\large r_{u,i} = \mathop{\mathrm{aggr}}\limits_{u^\prime \in U} r_{u^\prime, i}$$ where $\large U$ denotes the set of top N users that are most similar to user $\large u$ who rated item $\large i$. Some examples of the aggregation function includes: $$\large \displaylines{ r_{u,i} =& \frac{1}{N}\sum\limits_{u^\prime \in U}r_{u^\prime, i}\\ r_{u,i} =& k\sum\limits_{u^\prime \in U}\mathop{\mathrm{simil}}(u,u^\prime)r_{u^\prime, i} }$$ where $\large k$ is a normalizing factor defined as $\large k = 1/\sum_{u^\prime \in U}|\mathop{\mathrm{simil}}(u,u^\prime)|$, and $$\large \textbf{(1)} \qquad r_{u,i} = \bar{r_u} + k\sum\limits_{u^\prime \in U}\mathop{\mathrm{simil}}(u,u^\prime)(r_{u^\prime, i}-\bar{r_{u^\prime}})$$ where $\large \bar{r_u}$ is the average rating of user $\large u$ for all the items rated by $\large u$. The neighborhood-based algorithm calculates the similarity between two users or items, and produces a prediction for the user by taking the [weighted average](https://en.wikipedia.org/wiki/Weighted_average) of all the ratings. Similarity computation between items or users is an important part of this approach. Multiple measures, such as [Pearson correlation](https://en.wikipedia.org/wiki/Pearson_product-moment_correlation_coefficient) and [vector cosine](https://en.wikipedia.org/wiki/Cosine_similarity) based similarity are used for this. The cosine similarity of two users $\large x$, $\large y$ is defined as: $$\large \textbf{(2)} \qquad \mathop{\mathrm{simil}}(x,y) = \cos(\vec x,\vec y) = \frac{\vec x \cdot \vec y}{||\vec x|| \times ||\vec y||} = \frac{\sum\limits_{i \in I_{xy}}r_{x,i}r_{y,i}}{\sqrt{\sum\limits_{i \in I_{x}}r_{x,i}^2}\sqrt{\sum\limits_{i \in I_{y}}r_{y,i}^2}}$$ where $\large I_{xy}$ is the set of items that rated by both user $\large x$ and user $\large y$. The user based top-N recommendation algorithm uses a similarity-based vector model to identify the $\large k$ most similar users to an active user. After the $\large k$ most similar users are found, their corresponding user-item matrices are aggregated to identify the set of items to be recommended. ## 문제 `num_reco_users`명의 사용자를 위해 User-based Collaborative Filtering 알고리즘으로 추천 결과를 만들어야 합니다. 추천 결과를 만드는 방법은 다음과 같습니다. 1. 식 (2)를 활용하여 최근접 이웃 집합 $\large U$를 계산합니다. - $\large U$는 사용자와 유사도가 가장 높은 `num_sim_user_top_N`명의 최근접 이웃 사용자로 구성됩니다. 1. 식 (1)로 생성한 `num_item_rec_top_M` 개의 추천 결과를 한 줄로 출력합니다. - 추천 결과의 각 아이템 ID는 공백으로 구분되어야 합니다. - 사용자에게 추천할 수 있는 아이템은 전체 아이템 집합 $\large I$가 아닌 최근접 이웃 $\large U$가 평가한 아이템 집합 $\large I^\prime$입니다. ### 참고 사항 문제를 해결할 때 아래 내용을 참고하시기 바랍니다. 1. 사용자가 이미 평가한 아이템은 추천 결과에 포함하지 않습니다. 1. 추천할 수 있는 아이템의 수(n)가 `num_item_rec_top_M` 보다 작은 경우, 그 n개에 대해서만 추천합니다. 1. 한 사용자가 같은 아이템을 중복해서 평가한 경우는 없습니다. 1. 데이터는 희소 행렬 데이터입니다. 그러므로 모든 사용자와 아이템 쌍에 대한 평가가 존재하는 것은 아닙니다. 1. Cosine similarity 계산이 정의되지 않는 경우에는 0으로 정의합니다. 1. 식 (1)에서 normalizing factor $\large k$ 값이 정의되지 않는 경우에는 0으로 정의합니다. ## 입력 데이터 데이터는 알고리즘 구현에 필요한 변숫값과 사용자가 아이템에 평가한 점수 그리고 추천 결과를 출력할 사용자 ID로 구성됩니다. - Line 1에는 `num_sim_user_top_N` 값이 있습니다. 평점 예측 시 사용할 최근접 이웃 사용자 수입니다. - Line 2에는 `num_item_rec_top_M` 값이 있습니다. 사용자별로 추천해야 하는 아이템 개수입니다. - Line 3, 4에는 각각 `num_users`, `num_items` 값이 있습니다. 해당 테스트 케이스에서 제공되는 데이터에 있는 사용자, 아이템 수입니다. - Line 5에는 `num_rows` 값이 있습니다. 데이터로 제공될 (`user_id`, `item_id`, `rating`) triplet의 개수입니다. - Line 6부터 `num_rows`개의 Line에는 (`user_id`, `item_id`, `rating`) triplet이 있으며 각 값은 공백으로 구분되어 있습니다. - Line (6 + `num_rows`)에는 `num_reco_users` 값이 있습니다. 추천 결과를 만들어야 할 사용자의 수입니다. - Line (6 + `num_rows` + 1)부터 `num_reco_users`개의 Line에는 추천 결과를 만들어야 할 사용자 ID가 있습니다. 아래는 예시입니다. _(**주의**: `//` 이하는 데이터에 대한 설명이며 실제 데이터에는 존재하지 않습니다.)_ ```C 2 // num_sim_user_top_N 2 // num_item_rec_top_M 5 // num_users 10 // num_items 15 // num_rows 1 1 2.34 // 사용자 1이 아이템 1에 2.34점 부여 1 2 6.21 // 사용자 1이 아이템 2에 6.21점 부여 2 3 1.1 // 사용자 2가 아이템 3에 1.1점 부여 ... ... // Line 20 (= 5 + num_rows) 2 // num_reco_users 1 // print num_item_rec_top_M items for user 1 2 // print num_item_rec_top_M items for user 2 ``` ### 제한 사항 - 1 <= `num_sim_user_top_N` <= 100 (integer) - 1 <= `num_item_rec_top_M` <= 30 (integer) - 1 <= `num_users` <= 300 (integer) - 1 <= `num_items` <= 70 (integer) - 1 <= `num_rows` <= 21,000 (integer) - 1 <= `num_reco_users` <= 100 (integer) - 1 <= `user_id` <= 300 (integer) - 1 <= `item_id` <= 70 (integer) - 1.0 <= `rating` <= 10.0 (real number) ## 평가 채점은 추천 결과와 정답 데이터의 유사성으로 평가합니다. _(nDCG: )_ 채점 코드에서는 정답에서 추천 결과 위치와 제출한 추천 결과 위치가 동일하면 1.0, 다르면 0.7을 부여하는 방식을 사용합니다. 간단하게 아래 두 가지 특징을 참고하시기 바랍니다. 1. 정답 추천 결과와 최대한 같은 순서로 추천해야 높은 nDCG 값을 얻을 수 있습니다. (이 문제의 목적은 Memory-based CF 알고리즘 로직을 정확하게 구현하는 것이지, 더 좋은 추천 결과를 생성하는 것이 아니라는 점을 유념해주시기 바랍니다.) 1. 높은 순위의 추천 결과를 틀릴수록 페널티가 큽니다. 이렇게 계산한 nDCG가 0.9를 넘으면 해당 테스트 케이스는 정답으로 채점하며, 0.9를 넘지 못하면 해당 테스트 케이스는 오답으로 채점합니다. 참고로 Python으로 작성된 nDCG 계산 코드는 아래와 같습니다. ```python # evaluation.py import math def ndcg(gt, rec): idcg = sum([1.0 / math.log(i + 2, 2) for i in range(len(gt))]) dcg = 0.0 for i, r in enumerate(rec): if r not in gt: continue gt_index = gt.index(r) if i != gt_index: rel = 0.7 else: rel = 1.0 dcg += rel / math.log(i + 2, 2) ndcg = dcg / idcg return ndcg ``` 위 코드에서 변수 `gt`는 정답 추천 결과이며, 변수 `rec`는 제출된 추천 결과를 의미합니다. ### 예시 ```python # 예시 1 >>> gt = [1, 2, 3, 4, 5, 6, 7, 8, 9, 10] >>> rec = [1, 2, 3, 4, 5, 6, 7, 8, 9, 10] >>> ndcg(gt, rec) 1.0 ``` 예시 1은 정답과 완전히 동일한 경우이며, nDCG는 1.0입니다. ```python # 예시 2 >>> gt = [1, 2, 3, 4, 5, 6, 7, 8, 9, 10] >>> rec = [1, 2, 3, 11, 5, 6, 7, 8, 9, 10] >>> ndcg(gt, rec) 0.9052116356304495 ``` 예시 2는 네 번째 추천 결과를 틀린 경우입니다. ```python # 예시 3 >>> gt = [1, 2, 3, 4, 5, 6, 7, 8, 9, 10] >>> rec = [1, 2, 3, 4, 5, 6, 7, 11, 9, 10] >>> ndcg(gt, rec) 0.9305687780632229 ``` 예시 3은 여덟 번째 추천 결과를 틀린 경우입니다. 네 번째 추천 결과를 틀린 예시 2보다는 여덟 번째 추천 결과를 틀린 예시 3의 nDCG가 높습니다. 즉, 높은 순위의 추천 결과를 틀릴수록 nDCG 페널티가 큽니다. ## 예제 테스트 케이스 ### 예제 입력 ```text 2 2 5 10 15 1 1 1.0 1 2 2.0 1 5 1.2 2 2 1.5 2 3 3.0 3 1 2.2 3 2 6.2 3 7 1.5 4 6 1.2 4 3 1.5 4 1 3.1 4 2 4.0 5 4 8.2 5 2 6.5 5 7 8.0 2 1 2 ``` ### 예제 출력 ```text 3 6 1 6 ``` ### 설명 위 입력으로부터 얻은 값들은 아래와 같습니다. - Line 1: `num_sim_user_top_N` = 2 (집합 U는 최고 유사 사용자 2명으로 만들어야 함) - Line 2: `num_item_rec_top_M` = 2 (사용자별 추천 결과는 2개를 만들어야 함) - Line 3: `num_users` = 5 (평점 데이터의 사용자 수는 총 5명) - Line 4: `num_items` = 10 (평점 데이터의 아이템 수는 총 10개) - Line 5: `num_rows` = 15 (평점 데이터의 row 개수는 15개) - Line 6~20: 평점 데이터의 triplet (`user_id`, `item_id`, `rating`) - Line 21: `num_reco_users` = 2 (추천 결과를 만들어야 할 사용자 수는 2명) - Line 22~23: 추천 결과를 만들어야 할 사용자의 ID 리스트 (`user_id`= 1, 2에 해당하는 사용자의 추천 결과를 만들어서 출력해야 함) 정리하면, 주어진 평점 데이터를 이용해서 사용자 1, 사용자 2에게 각각 추천 결과를 2개씩 만들어주면 됩니다. 식(1)을 이용해 추천 결과를 계산할 때 사용하는 집합 $\large U$는 추천 결과를 만들어야 할 사용자와 가장 유사한 사용자 2명으로 구성합니다. 사용자 1의 경우, 최고 유사 사용자는 사용자 3, 사용자 4이고, 사용자 1과의 유사도는 각각 0.85263, 0.80806입니다. 이렇게 구한 집합 U를 이용해서 식(1)을 계산해서 예측 평점이 가장 높은 아이템 2개를 예측 평점 순으로 내림차순 정렬해서 출력하면 됩니다. 단, 추천 결과를 만들 때는 사용자 1이 기존에 평가한 아이템(샘플에서는 아이템 1, 아이템 2, 아이템 5)은 추천 결과에서 빠져야 하는 점을 유의해주시기 바랍니다. 위 출력 예시의 첫 번째 줄에 있는 `3 6`은 정답 소스 코드로 계산한 사용자 1의 추천 결과 1순위는 아이템 3이며, 2순위는 아이템 6이라는 뜻입니다. 사용자 1, 사용자 2의 정답 추천 결과와 제출된 추천 결과 간 nDCG 계산 후, 0.9 이상이면 정답 처리합니다. ================================================ FILE: programming_assignments/mini_reco/evaluation.py ================================================ import math def ndcg(gt, rec): idcg = sum([1.0 / math.log(i + 2, 2) for i in range(len(gt))]) dcg = 0.0 for i, r in enumerate(rec): if r not in gt: continue gt_index = gt.index(r) if i != gt_index: rel = 0.7 else: rel = 1.0 dcg += rel / math.log(i + 2, 2) ndcg = dcg / idcg return ndcg ================================================ FILE: programming_assignments/mini_reco/interview.md ================================================ # Mini Reco 인터뷰 질문 > [▶︎ Mini Reco 문제로 돌아가기](README.md) Mini Reco 문제로 영입을 진행하며 지원자분에게 드렸던 인터뷰 질문과 예시 답변을 모아놓았습니다. ## 질문 1 [User-based Collaborative Filtering 설명](README.md#user-based-collaborative-filtering)의 식 (1)을 보고 추천 결과가 어떻게 생성되는지 설명해주세요. $$\large \textbf{(1)} \qquad r_{u,i} = \bar{r_u} + k\sum\limits_{u^\prime \in U}\mathop{\mathrm{simil}}(u,u^\prime)(r_{u^\prime, i}-\bar{r_{u^\prime}})$$
예시 답변 - 유저의 특정 아이템에 대한 예측 평점은 아래 두 항을 더해서 구한다. - 우변 첫번째 항은 해당 유저의 평점 평균을 의미하고, - 우변 두번째 항은 유사 이웃들의 평점 편차의 가중 평균을 의미한다.
## 질문 2 [User-based Collaborative Filtering 설명](README.md#user-based-collaborative-filtering)의 식 (1)이 다음과 같이 바뀐다면( $\large\bar{r_u}$, $\large\bar{r_{u^\prime}}$ 항이 사라진다면) 추천 결과가 어떻게 달라질까요? $$\large \textbf{(1-1)} \qquad r_{u,i} = k\sum\limits_{u^\prime \in U}\mathop{\mathrm{simil}}(u,u^\prime)(r_{u^\prime, i})$$
힌트 - 만약 특정 유저의 점수가 굉장히 짠 편이라면(모든 아이템에 대해서 낮은 점수를 부여한다면) 어떤 상황이 발생할까요?
예시 답변 - 식 (1)에서 (1-1)로 바뀌는 것은 bias 텀 없이 이웃들의 평점 평균으로만 해당 유저의 평점을 계산하는 것을 의미한다. - 하지만 유저의 평점 bias가 서로 다르고 그 점이 반영되지 않는다면, 제대로 된 추천 결과(예상 평점)가 계산되지 않을 수 있다. (극단적으로) 예를 들면, 유저 A의 평점 평균은 2점이고 유저 A의 최근접 이웃들의 평점 평균은 4.5점인 상황을 가정해보자. 유저 A의 최근접 이웃들이 특정 아이템 B에 대해서 평균 3점 정도의 평가를 내렸다고 할 때, (bias를 반영하지 않는 식 (1-1)의 경우) 최근접 이웃들의 기준으로 보았을 때 아이템 B는 비추천할만한 아이템이지만 유저 A의 평점 평균과 비교해보았을때는 추천 작품이 될 수 있다. 따라서 각 유저의 평점 bias를 반영하여 추천 결과(예상 평점)를 계산하는 것이 더 좋은 결과를 낼 수 있을 것이다.
## 질문 3 [User-based Collaborative Filtering 설명](README.md#user-based-collaborative-filtering)의 식 (1)이 다음과 같이 바꾸려고 한다면( $\large\mathop{\mathrm{simil}}(u,u^\prime)$ 항이 사라진다면) 식을 어떻게 수정해야할까요? $$\large \textbf{(1-2)} \qquad r_{u,i} = \bar{r_u} + k\sum\limits_{u^\prime \in U}(r_{u^\prime, i}-\bar{r_{u^\prime}})$$
예시 답변 - 식 (1)에서 우변의 마지막 항은 최근접 이웃이 해당 아이템에 매긴 평점의 가중 평균이었으나, 식 (1-2)에서는 가중 평균이 아닌 산술 평균으로 변경하려는 것으로 볼 수 있다. - 따라서 $\large k=\frac{1}{|U|}$로 수정하면 최근접 이웃의 평점의 산술 평균으로 계산한 추천 결과(예상 평점)를 얻을 수 있을 것이다.
================================================ FILE: programming_assignments/mini_reco/solution/solution.py ================================================ import sys # 데이터 입력 num_sim_user_top_N = int(sys.stdin.readline()) # 유사도 top N 사용자에 대하여 예측 평점 계산 num_item_rec_top_M = int(sys.stdin.readline()) # 예측 평점 top M 아이템 출력 num_users = int(sys.stdin.readline()) # 전체 사용자 수 num_items = int(sys.stdin.readline()) # 전체 아이템 수 num_rows = int(sys.stdin.readline()) # 입력 row 개수 rating_data = {} # {사용자 ID: {아이템 ID: 평점}} 형태로 저장 items = set() # 모든 아이템을 모아놓은 set # row 입력 for _ in range(num_rows): user, item, rating = sys.stdin.readline().split(' ') user = int(user) item = int(item) rating = float(rating) if user not in rating_data: rating_data[user] = {} rating_data[user][item] = rating items.add(item) # 사용자 별 평균 평점 계산 user_average_rating = dict() # {사용자 ID: 평균 평점} 형태로 저장 for user, item_ratings in rating_data.items(): user_average_rating[user] = sum(item_ratings.values()) / len(item_ratings) num_reco_users = int(sys.stdin.readline()) # 추천할 사용자 수 for _ in range(num_reco_users): query_user = int(sys.stdin.readline()) # 추천할 사용자 ID user_sim = dict() # {사용자 ID: 유사도} 형태로 저장 # 사용자 별 유사도(cosine similarity) 계산 (query_user 자신과는 계산 안함) for user in rating_data.keys() - {query_user}: user_ratings = rating_data[user] query_user_ratings = rating_data[query_user] intersection_items = rating_data[query_user].keys() & rating_data[user].keys() numerator = sum(user_ratings[item] * query_user_ratings[item] for item in intersection_items) denominator = sum(rating ** 2 for rating in user_ratings.values()) ** 0.5 denominator *= sum(rating ** 2 for rating in query_user_ratings.values()) ** 0.5 # 유사도 계산해서 저장 (계산되지 않는 경우 0으로 정의) user_sim[user] = numerator / denominator if denominator > 0.0 else 0.0 # 유사도 기준으로 정렬. [(사용자 ID, 유사도), ...] 형태의 list of tuple로 저장 nearest = sorted(user_sim.items(), key=lambda x: x[1], reverse=True) predicted_rating = list() # 예측 평점 (높은 순서에 따라 추천됨). [(아이템 ID, 예측 평점), ...] 형태의 list of tuple로 저장 # 이미 평가한 정보가 있으면 예측 평점을 계산하지 않음 for item in items - rating_data[query_user].keys(): sum_k = 0 # normalizing factor k 계산을 위한 sum. k = 1 / sum_k sum_u = 0 # SUM for u' in U [simil(u, u') * (r_u'i - r_u')] # 유사도 top N 사용자에 대해 계산 for user, similarity in nearest[:num_sim_user_top_N]: # 사용자가 아이템을 평가하지 않았으면 계산하지 않음 if item not in rating_data[user]: continue sum_u += similarity * (rating_data[user][item] - user_average_rating[user]) sum_k += abs(similarity) # 아이템의 예측 평점 (r_ui) # 유사도 top N 사용자가 모두 아이템을 평가하지 않았으면 이 아이템에 대해 예측할 수 없음 (0으로 정의) r_ui = user_average_rating[query_user] + (1 / sum_k) * sum_u if sum_k > 0.0 else 0.0 predicted_rating += [(item, r_ui)] # 예측 평점 list에 저장 predicted_rating.sort(key=lambda x: x[1], reverse=True) # 예측 평점 list 정렬 print(' '.join(str(item_rating[0]) for item_rating in predicted_rating[:num_item_rec_top_M])) # 추천 리스트 출력 ================================================ FILE: programming_assignments/mini_reco/testcase/input/input000.txt ================================================ 2 2 5 10 15 1 1 1.0 1 2 2.0 1 5 1.2 2 2 1.5 2 3 3.0 3 1 2.2 3 2 6.2 3 7 1.5 4 6 1.2 4 3 1.5 4 1 3.1 4 2 4.0 5 4 8.2 5 2 6.5 5 7 8.0 2 1 2 ================================================ FILE: programming_assignments/mini_reco/testcase/input/input001.txt ================================================ 32 7 200 50 3454 1 1 4.989 1 2 1.000 1 3 4.989 1 4 1.000 1 5 1.000 1 6 6.338 1 7 1.000 1 8 2.543 1 9 1.000 1 10 1.000 1 11 2.543 1 12 4.989 1 13 1.000 1 14 4.086 1 15 4.989 1 16 1.000 1 17 1.000 1 18 1.000 1 19 2.543 1 20 5.332 1 21 4.989 1 22 1.000 1 23 1.000 1 24 5.332 1 25 4.583 1 26 1.000 1 27 1.000 1 28 5.332 1 29 4.583 2 21 1.000 2 26 1.000 2 2 1.000 2 8 5.332 2 27 4.583 2 15 5.332 2 17 1.000 2 30 1.000 2 31 1.000 2 24 3.446 2 25 1.000 2 29 1.000 3 18 1.000 3 2 3.446 3 4 4.583 3 23 1.000 3 31 3.446 3 15 5.629 3 11 4.989 3 5 5.332 3 19 3.446 3 32 3.446 3 30 4.989 3 20 4.989 3 21 4.086 3 22 1.000 3 24 5.332 3 14 5.332 3 33 5.332 3 26 4.086 3 34 4.989 3 27 2.543 3 10 1.000 3 35 4.583 3 28 5.332 3 29 5.332 4 21 5.332 4 2 4.989 4 4 4.583 4 10 4.989 4 9 4.583 4 15 5.332 4 32 4.583 4 36 4.989 4 19 4.989 4 37 4.583 4 31 4.583 4 22 2.543 4 33 4.583 4 28 4.583 4 29 5.332 4 11 4.086 5 21 2.543 5 31 4.086 5 2 2.543 5 38 5.629 5 7 1.000 5 19 5.629 5 16 5.629 5 13 5.629 5 5 4.989 5 18 1.000 5 20 6.126 5 39 5.891 5 22 1.000 5 23 3.446 5 33 5.891 5 34 5.891 5 10 1.000 5 35 6.338 6 14 1.000 6 6 5.332 6 17 1.000 6 8 4.086 6 40 1.000 6 41 1.000 6 42 2.543 6 30 2.543 6 31 4.086 6 38 4.583 6 26 4.086 6 34 1.000 6 27 2.543 6 24 4.583 6 28 3.446 7 12 4.989 7 2 4.086 7 3 6.126 7 4 5.891 7 33 1.000 7 7 4.583 7 26 2.543 7 10 2.543 7 15 6.710 7 5 3.446 7 37 1.000 7 20 1.000 7 38 4.086 7 34 4.989 7 24 5.332 7 28 5.332 7 18 3.446 7 14 5.332 8 16 4.086 8 5 3.446 8 32 4.583 8 20 1.000 8 9 1.000 8 29 4.583 8 22 1.000 8 24 3.446 8 33 4.583 8 38 2.543 8 26 3.446 8 18 6.532 9 1 5.332 9 3 5.891 9 4 2.543 9 6 7.028 9 43 4.989 9 8 1.000 9 44 5.891 9 9 1.000 9 12 4.989 9 19 1.000 9 15 3.446 9 17 5.332 9 31 4.583 9 25 5.629 9 34 2.543 9 45 5.332 9 46 5.332 9 18 3.446 10 21 4.989 10 6 3.446 10 7 2.543 10 23 1.000 10 16 4.583 10 17 4.583 10 37 3.446 10 31 4.086 10 39 4.583 10 13 2.543 10 35 5.332 11 2 2.543 11 4 6.532 11 6 6.338 11 7 1.000 11 36 4.086 11 23 4.989 11 10 6.126 11 11 5.891 11 5 6.338 11 19 6.532 11 32 6.338 11 17 4.086 11 20 6.710 11 21 5.891 11 18 7.669 11 33 6.338 11 35 7.028 11 29 4.086 12 21 7.307 12 31 7.172 12 2 5.332 12 4 8.253 12 6 4.989 12 43 1.000 12 5 7.434 12 23 9.267 12 10 7.172 12 11 1.000 12 36 1.000 12 19 7.777 12 20 7.777 12 22 2.543 12 18 8.571 12 28 4.583 13 1 4.583 13 4 5.891 13 43 1.000 13 9 3.446 13 10 4.583 13 12 3.446 13 15 4.086 13 3 1.000 13 36 3.446 13 5 4.086 13 20 4.989 13 21 3.446 13 31 4.989 13 18 4.086 13 25 2.543 13 34 2.543 13 24 3.446 14 44 4.086 14 43 1.000 14 36 6.126 14 47 1.000 14 22 1.000 14 14 5.332 14 28 6.338 14 11 4.086 15 3 1.000 15 6 5.891 15 8 4.583 15 32 4.989 15 17 3.446 15 37 4.583 15 20 1.000 15 31 6.875 15 25 7.554 15 27 1.000 15 35 3.446 15 24 3.446 16 25 6.338 16 1 5.629 16 44 5.629 16 2 3.446 16 36 6.338 16 12 3.446 16 27 4.583 16 15 1.000 16 17 4.086 16 31 5.332 16 22 3.446 16 24 5.332 16 14 6.875 16 33 6.532 16 38 4.989 16 26 5.332 16 34 3.446 16 10 1.000 16 45 5.332 16 28 5.332 17 4 2.543 17 22 1.000 17 6 7.028 17 5 2.543 17 23 1.000 17 10 2.543 17 11 4.989 17 2 2.543 17 35 5.629 17 19 1.000 17 17 3.446 17 20 6.126 17 31 3.446 17 37 1.000 17 24 1.000 17 14 4.583 17 25 6.532 17 33 1.000 17 34 2.543 17 27 2.543 17 28 5.629 17 29 5.332 17 18 1.000 18 2 1.000 18 23 1.000 18 10 2.543 18 4 2.543 18 14 4.086 18 19 1.000 18 5 1.000 18 18 1.000 18 21 4.989 18 33 1.000 18 22 1.000 18 28 5.629 19 1 7.881 19 44 7.307 19 3 5.891 19 7 1.000 19 9 2.543 19 23 1.000 19 10 2.543 19 15 4.583 19 16 2.543 19 14 4.086 19 4 2.543 19 36 2.543 19 12 6.710 19 48 5.629 19 47 2.543 19 30 2.543 19 29 5.629 19 33 1.000 19 34 2.543 19 27 3.446 19 6 6.532 19 17 3.446 19 43 1.000 19 8 1.000 19 5 1.000 19 42 2.543 19 20 5.891 19 22 1.000 19 24 5.629 19 25 5.629 19 35 6.126 19 45 7.307 19 46 7.669 19 18 1.000 19 19 1.000 19 41 5.629 19 39 2.543 19 28 5.891 19 21 7.172 19 11 4.989 20 6 2.543 20 9 1.000 20 11 5.332 20 5 4.583 20 19 5.891 20 20 4.086 20 10 4.086 20 18 7.554 21 43 1.000 21 11 2.543 21 12 3.446 21 15 3.446 21 17 4.086 21 30 5.332 21 22 2.543 21 24 5.332 21 34 3.446 22 3 4.583 22 4 1.000 22 6 7.434 22 7 2.543 22 8 1.000 22 23 1.000 22 10 1.000 22 31 2.543 22 16 1.000 22 11 4.583 22 5 2.543 22 17 1.000 22 21 5.332 22 39 1.000 22 18 1.000 22 46 3.446 22 20 4.583 23 21 5.332 23 7 4.086 23 43 5.891 23 16 5.332 23 32 5.332 23 17 6.126 23 37 5.332 23 13 4.989 23 35 5.891 24 12 4.989 24 1 5.629 24 44 6.126 24 2 2.543 24 22 1.000 24 9 1.000 24 23 1.000 24 14 4.583 24 15 5.332 24 16 2.543 24 5 2.543 24 18 1.000 24 45 5.332 24 26 4.989 24 27 1.000 24 10 2.543 24 24 5.629 24 28 5.891 24 29 4.989 24 46 5.629 25 6 4.583 25 43 1.000 25 34 2.543 25 46 4.583 25 41 4.989 25 12 4.989 25 15 5.891 25 32 4.989 25 17 5.629 25 48 5.332 25 30 3.446 25 37 4.989 25 49 4.989 25 18 5.891 25 24 5.629 25 33 1.000 25 27 3.446 25 50 4.989 26 1 4.583 26 44 3.446 26 2 4.583 26 4 5.629 26 43 4.583 26 9 4.086 26 23 4.583 26 46 3.446 26 10 6.126 26 11 4.989 26 15 4.583 26 36 5.332 26 5 4.583 26 19 4.086 26 32 2.543 26 48 4.583 26 42 4.086 26 30 4.086 26 20 5.629 26 31 1.000 26 29 5.891 26 22 2.543 26 24 1.000 26 33 5.332 26 38 5.891 26 26 4.583 26 27 1.000 26 45 3.446 26 28 5.629 26 18 4.989 26 14 4.989 27 4 1.000 27 6 7.434 27 7 1.000 27 9 1.000 27 23 1.000 27 10 1.000 27 11 4.989 27 12 5.891 27 19 1.000 27 16 1.000 27 13 1.000 27 5 1.000 27 18 1.000 27 17 1.000 27 39 1.000 27 20 6.875 27 21 6.126 27 33 1.000 27 27 4.989 27 35 6.710 27 28 5.891 27 29 6.875 28 21 1.000 28 44 1.000 28 3 1.000 28 1 1.000 28 48 1.000 28 17 1.000 28 9 1.000 28 10 1.000 28 11 4.086 28 12 1.000 28 15 1.000 28 13 1.000 28 36 1.000 28 5 1.000 28 47 1.000 28 39 1.000 28 37 2.543 28 28 1.000 28 22 1.000 28 24 2.543 28 25 7.172 28 27 3.446 28 45 1.000 28 46 1.000 28 50 2.543 29 1 4.989 29 44 4.989 29 26 2.543 29 9 4.989 29 10 3.446 29 12 4.086 29 15 4.583 29 18 4.989 29 5 4.086 29 27 1.000 29 24 4.086 29 34 1.000 29 45 4.989 29 28 2.543 29 29 5.891 29 46 4.989 30 31 4.989 30 6 6.338 30 7 1.000 30 11 4.989 30 12 2.543 30 14 1.000 30 15 6.532 30 16 1.000 30 13 2.543 30 21 4.086 30 9 1.000 30 35 5.629 30 29 5.332 31 4 5.629 31 6 2.543 31 26 1.000 31 9 1.000 31 10 5.891 31 15 6.126 31 16 5.629 31 19 4.086 31 37 1.000 31 31 5.629 31 29 5.629 31 18 7.434 31 23 1.000 31 35 2.543 31 28 6.126 32 1 4.583 32 9 1.000 32 11 4.583 32 15 5.332 32 13 5.891 32 5 2.543 32 31 3.446 32 22 1.000 32 25 4.583 32 28 4.086 32 46 4.989 32 18 3.446 32 14 1.000 32 20 4.989 33 1 1.000 33 2 5.629 33 6 7.028 33 9 5.332 33 23 4.086 33 10 6.126 33 16 4.583 33 19 2.543 33 12 4.989 33 29 4.086 33 28 3.446 33 4 1.000 33 5 4.086 33 32 4.583 33 20 4.583 33 18 5.891 33 22 2.543 33 11 4.086 34 2 5.891 34 4 3.446 34 25 4.086 34 5 4.086 34 19 4.086 34 17 3.446 34 37 1.000 34 31 6.532 34 33 2.543 34 35 7.307 34 24 7.434 35 2 1.000 35 6 6.338 35 7 1.000 35 12 4.583 35 4 4.989 35 19 4.989 35 21 5.332 35 20 5.891 35 18 5.332 35 23 4.989 35 10 4.989 35 35 4.086 36 4 6.126 36 33 1.000 36 23 6.532 36 10 6.126 36 3 4.086 36 16 4.583 36 36 5.629 36 20 6.338 36 22 2.543 36 18 7.307 36 14 5.891 36 38 5.891 36 12 1.000 36 28 5.891 37 2 3.446 37 4 4.583 37 23 5.629 37 10 5.332 37 12 4.086 37 5 4.989 37 19 4.086 37 17 4.583 37 20 5.891 37 31 4.989 37 22 1.000 37 18 5.629 37 24 5.891 37 28 4.086 38 1 4.989 38 44 4.989 38 2 1.000 38 3 1.000 38 28 1.000 38 43 1.000 38 8 1.000 38 9 1.000 38 15 1.000 38 36 1.000 38 32 5.332 38 39 1.000 38 37 2.543 38 31 7.307 38 18 1.000 38 24 6.338 38 25 7.028 38 34 1.000 38 27 2.543 38 45 4.583 38 29 4.086 39 12 4.086 39 26 1.000 39 43 1.000 39 9 4.583 39 11 4.989 39 24 4.583 39 34 2.543 39 45 3.446 39 18 5.891 40 12 3.446 40 16 4.086 40 2 4.086 40 4 3.446 40 43 1.000 40 5 3.446 40 9 4.086 40 23 4.583 40 19 5.891 40 17 1.000 40 20 5.332 40 21 4.583 40 31 6.126 40 22 1.000 40 24 4.086 40 14 2.543 40 33 5.332 40 38 3.446 40 34 2.543 40 27 2.543 40 10 4.989 40 35 5.629 40 18 7.881 41 21 5.629 41 2 3.446 41 6 2.543 41 43 1.000 41 31 5.891 41 19 2.543 41 37 4.989 41 9 1.000 41 29 5.332 41 27 2.543 41 35 6.126 41 20 1.000 42 21 1.000 42 2 3.446 42 4 1.000 42 9 1.000 42 10 1.000 42 12 1.000 42 15 1.000 42 16 1.000 42 13 1.000 42 19 1.000 42 37 1.000 42 24 1.000 42 34 1.000 42 27 2.543 42 28 4.989 43 2 4.086 43 4 2.543 43 6 6.875 43 43 5.332 43 8 3.446 43 9 1.000 43 23 1.000 43 10 2.543 43 12 4.989 43 14 5.332 43 15 4.989 43 13 2.543 43 35 6.126 43 5 3.446 43 19 1.000 43 39 2.543 43 37 5.332 43 20 6.126 43 21 3.446 43 22 1.000 43 16 1.000 43 33 1.000 43 38 3.446 43 27 2.543 43 28 5.332 43 29 4.583 43 18 1.000 43 11 5.332 44 1 2.543 44 44 2.543 44 23 1.000 44 10 1.000 44 15 2.543 44 13 1.000 44 19 1.000 44 29 2.543 44 50 3.446 44 12 1.000 44 47 2.543 44 48 3.446 44 33 3.446 44 34 1.000 44 27 1.000 44 21 1.000 44 43 2.543 44 5 1.000 44 32 1.000 44 42 1.000 44 24 2.543 44 25 3.446 44 26 2.543 44 45 2.543 44 46 2.543 44 11 4.086 44 18 1.000 44 39 1.000 45 31 1.000 45 1 6.875 45 44 7.307 45 4 1.000 45 6 2.543 45 26 1.000 45 8 2.543 45 5 1.000 45 9 4.086 45 23 1.000 45 12 6.532 45 15 4.583 45 16 3.446 45 13 1.000 45 36 4.086 45 19 4.583 45 39 1.000 45 28 6.875 45 20 7.307 45 21 6.710 45 22 4.086 45 18 1.000 45 24 7.307 45 25 6.875 45 33 7.307 45 38 6.875 45 34 1.000 45 27 5.891 45 10 1.000 45 35 6.126 45 49 2.543 45 45 7.028 45 29 6.710 45 46 6.532 45 14 6.875 46 4 4.086 46 6 4.583 46 7 1.000 46 43 5.332 46 9 2.543 46 10 2.543 46 12 2.543 46 16 1.000 46 36 1.000 46 19 2.543 46 32 2.543 46 17 1.000 46 37 1.000 46 20 4.086 46 29 5.332 46 5 1.000 46 18 3.446 46 23 1.000 46 38 2.543 46 35 4.086 47 1 4.583 47 2 4.086 47 6 6.338 47 9 2.543 47 10 2.543 47 15 5.629 47 3 4.989 47 36 3.446 47 18 1.000 47 4 2.543 47 37 2.543 47 23 1.000 47 31 4.086 47 22 1.000 47 29 2.543 47 33 5.332 47 35 4.583 47 28 4.086 47 14 4.086 47 20 4.989 48 1 4.086 48 44 4.086 48 2 3.446 48 3 2.543 48 4 3.446 48 7 3.446 48 17 1.000 48 43 5.332 48 8 2.543 48 41 1.000 48 9 2.543 48 23 1.000 48 10 1.000 48 14 5.332 48 15 2.543 48 5 4.989 48 19 4.583 48 47 2.543 48 32 2.543 48 48 2.543 48 42 2.543 48 30 2.543 48 28 5.629 48 26 2.543 48 31 3.446 48 49 1.000 48 22 1.000 48 24 2.543 48 33 4.583 48 38 2.543 48 34 2.543 48 27 2.543 48 45 4.583 48 29 2.543 48 46 4.086 48 18 1.000 49 31 5.332 49 1 5.629 49 44 5.629 49 2 4.583 49 4 1.000 49 38 5.629 49 22 1.000 49 10 3.446 49 6 6.532 49 7 1.000 49 9 6.126 49 23 1.000 49 26 5.629 49 5 2.543 49 14 5.332 49 19 4.086 49 16 4.583 49 18 6.532 49 47 5.629 49 45 5.332 49 20 6.126 49 24 4.989 49 33 5.629 49 34 5.629 49 27 4.989 49 35 5.891 49 28 5.629 49 29 6.338 50 1 5.629 50 44 5.629 50 2 5.332 50 4 4.989 50 46 6.338 50 10 3.446 50 43 2.543 50 15 5.891 50 5 2.543 50 19 4.989 50 18 1.000 50 37 4.086 50 45 5.629 50 20 5.332 50 31 4.583 50 23 1.000 50 24 6.532 51 3 5.332 51 9 4.086 51 10 1.000 51 11 5.332 51 12 4.583 51 19 3.446 51 15 1.000 51 13 2.543 51 34 5.332 51 29 5.629 52 4 6.875 52 6 7.434 52 9 4.583 52 10 4.989 52 12 1.000 52 5 6.710 52 19 7.028 52 39 6.338 52 37 3.446 52 20 7.172 52 18 4.583 52 23 4.989 52 13 3.446 52 35 7.028 52 11 2.543 53 6 5.332 53 7 1.000 53 23 3.446 53 37 3.446 53 21 3.446 53 29 1.000 53 35 7.172 53 18 2.543 54 2 3.446 54 4 5.891 54 6 1.000 54 43 2.543 54 5 6.875 54 23 6.710 54 10 5.891 54 9 1.000 54 12 6.126 54 16 4.989 54 36 1.000 54 32 7.172 54 20 6.338 54 7 4.989 54 34 5.629 54 24 6.710 54 18 7.172 55 1 4.086 55 44 4.086 55 3 4.086 55 38 1.000 55 26 5.629 55 9 4.583 55 11 4.583 55 32 2.543 55 48 4.583 55 31 1.000 55 22 1.000 55 34 4.583 55 45 4.989 55 50 5.891 56 12 4.989 56 2 4.086 56 4 4.989 56 38 4.086 56 6 6.338 56 43 3.446 56 8 1.000 56 10 5.332 56 16 4.086 56 36 4.583 56 5 1.000 56 19 4.989 56 39 4.086 56 37 2.543 56 20 5.891 56 21 4.989 56 31 6.126 56 24 4.989 56 27 1.000 56 35 5.629 56 28 4.989 56 29 5.891 56 46 4.086 56 18 6.126 57 21 4.086 57 1 3.446 57 44 3.446 57 6 6.532 57 9 5.332 57 46 3.446 57 12 3.446 57 31 4.086 57 15 6.532 57 32 4.583 57 17 3.446 57 42 4.086 57 39 3.446 57 37 3.446 57 29 3.446 57 26 4.086 57 34 1.000 57 24 3.446 57 45 3.446 58 1 5.891 58 2 4.989 58 38 4.583 58 6 6.532 58 36 5.891 58 9 4.583 58 23 5.332 58 12 4.989 58 19 5.629 58 4 5.332 58 32 6.126 58 16 4.989 58 31 5.891 58 20 5.629 58 21 4.989 58 22 5.629 58 24 5.332 58 25 4.989 58 10 5.629 58 35 4.583 58 28 4.583 58 18 4.086 58 14 5.332 59 4 5.891 59 47 5.891 59 8 6.126 59 27 5.891 59 41 5.891 59 15 6.532 59 36 7.554 59 17 5.891 59 32 5.891 59 48 7.669 59 42 5.891 59 39 5.891 59 49 5.891 59 21 5.891 59 31 6.338 59 22 6.126 59 33 5.891 59 38 5.891 59 13 5.891 59 28 6.126 59 50 5.891 60 1 4.989 60 44 4.583 60 2 1.000 60 9 2.543 60 13 1.000 60 29 1.000 60 14 2.543 60 4 1.000 60 7 4.583 60 17 1.000 60 36 5.332 60 47 1.000 60 48 4.583 60 33 1.000 60 38 2.543 60 34 3.446 60 43 2.543 60 5 1.000 60 45 4.989 60 18 1.000 60 19 2.543 60 28 2.543 60 21 4.086 60 22 2.543 61 3 1.000 61 32 1.000 61 43 3.446 61 8 1.000 61 9 2.543 61 41 1.000 61 16 1.000 61 47 1.000 61 4 3.446 61 48 1.000 61 42 1.000 61 23 1.000 61 27 1.000 61 10 2.543 61 29 1.000 61 18 2.543 62 1 4.086 62 44 4.086 62 11 4.086 62 15 3.446 62 16 4.086 62 36 3.446 62 17 4.086 62 31 5.332 62 33 5.332 62 45 3.446 62 6 1.000 62 50 4.086 62 8 1.000 63 21 4.583 63 1 4.583 63 44 3.446 63 2 3.446 63 6 6.338 63 36 3.446 63 5 1.000 63 23 1.000 63 10 1.000 63 12 1.000 63 32 2.543 63 39 1.000 63 26 4.583 63 31 4.086 63 46 4.583 63 22 1.000 63 18 1.000 63 24 3.446 63 33 4.583 63 27 4.583 63 45 3.446 63 28 4.583 63 29 1.000 63 14 4.583 64 2 1.000 64 43 5.332 64 9 1.000 64 10 1.000 64 12 5.891 64 5 5.332 64 18 1.000 64 33 5.891 64 24 4.989 64 29 5.332 65 4 3.446 65 43 3.446 65 9 3.446 65 11 3.446 65 12 1.000 65 15 3.446 65 36 3.446 65 5 1.000 65 31 4.086 65 38 1.000 65 27 1.000 65 10 1.000 65 35 1.000 65 24 2.543 65 18 2.543 66 12 2.543 66 6 2.543 66 8 1.000 66 9 4.583 66 15 4.989 66 32 4.989 66 39 1.000 66 37 1.000 66 31 4.989 66 24 4.989 66 26 4.583 66 34 3.446 66 35 4.989 67 36 4.989 67 29 1.000 67 17 1.000 67 31 1.000 67 22 1.000 67 38 1.000 67 6 1.000 67 14 1.000 68 2 2.543 68 4 1.000 68 7 1.000 68 6 1.000 68 5 1.000 68 23 1.000 68 10 1.000 68 14 4.086 68 16 1.000 68 35 6.126 68 19 5.332 68 20 6.710 68 21 5.332 68 33 1.000 68 22 1.000 68 28 5.332 68 29 5.332 68 18 1.000 69 44 5.629 69 1 5.629 69 11 4.989 69 15 5.891 69 13 5.629 69 45 5.629 69 29 5.891 69 46 5.629 70 4 5.629 70 7 1.000 70 6 4.989 70 43 3.446 70 9 1.000 70 23 1.000 70 10 1.000 70 15 5.332 70 16 1.000 70 11 1.000 70 19 1.000 70 32 1.000 70 17 1.000 70 39 1.000 70 31 4.086 70 22 1.000 70 24 4.086 70 25 1.000 70 33 5.332 70 38 2.543 70 34 1.000 70 27 1.000 70 12 1.000 70 35 4.583 70 28 2.543 70 29 5.332 70 18 4.583 70 20 4.989 71 10 5.629 71 31 6.532 71 16 5.629 71 5 7.028 71 19 5.629 71 17 1.000 71 2 3.446 71 37 6.710 71 18 1.000 71 35 7.881 71 6 4.583 71 20 5.891 72 11 1.000 72 9 4.086 72 12 5.629 72 15 5.332 72 13 1.000 72 43 1.000 72 39 2.543 72 21 5.629 72 25 6.532 72 16 5.332 72 26 5.891 72 20 4.086 73 4 3.446 73 6 4.583 73 7 2.543 73 9 1.000 73 23 3.446 73 10 2.543 73 11 1.000 73 17 2.543 73 5 4.086 73 39 3.446 73 37 2.543 73 20 5.332 73 21 5.629 73 27 2.543 73 35 7.669 74 4 6.126 74 6 2.543 74 7 1.000 74 12 1.000 74 16 7.028 74 19 4.086 74 21 6.710 74 25 4.583 74 27 2.543 74 35 7.434 75 9 2.543 75 11 4.583 75 12 5.629 75 16 5.891 75 32 5.332 75 37 1.000 75 27 5.891 75 35 6.338 76 8 1.000 76 3 3.446 76 43 1.000 76 10 4.583 76 11 4.583 76 42 2.543 76 20 1.000 76 31 4.989 76 24 4.086 76 14 1.000 76 26 4.583 76 34 4.583 76 27 2.543 76 29 4.583 77 21 1.000 77 6 6.532 77 7 2.543 77 43 2.543 77 23 1.000 77 10 4.086 77 11 1.000 77 15 3.446 77 16 4.086 77 32 2.543 77 17 1.000 77 48 4.086 77 42 5.629 77 30 5.891 77 39 2.543 77 37 2.543 77 20 4.989 77 31 4.989 77 18 4.086 77 35 4.583 77 29 4.086 78 31 1.000 78 44 4.583 78 43 5.629 78 1 4.583 78 9 4.086 78 11 4.583 78 12 4.989 78 15 4.086 78 32 4.989 78 39 2.543 78 29 4.583 78 33 4.583 78 46 4.989 78 18 4.086 78 19 1.000 78 10 4.086 78 45 4.583 79 4 5.629 79 38 4.583 79 9 1.000 79 23 4.583 79 43 4.086 79 36 1.000 79 5 4.989 79 32 1.000 79 30 5.332 79 39 4.086 79 20 5.629 79 22 4.989 79 14 4.583 79 33 5.332 79 10 5.629 79 46 4.086 79 18 4.583 80 25 1.000 80 1 1.000 80 44 1.000 80 2 1.000 80 6 1.000 80 43 1.000 80 8 1.000 80 40 1.000 80 41 2.543 80 15 1.000 80 32 1.000 80 17 2.543 80 48 2.543 80 39 1.000 80 45 1.000 80 31 1.000 80 24 1.000 80 26 1.000 80 27 1.000 80 49 1.000 80 29 1.000 80 46 1.000 80 50 1.000 81 12 1.000 81 2 3.446 81 4 1.000 81 11 4.583 81 17 1.000 81 36 1.000 81 5 3.446 81 19 1.000 81 29 3.446 81 18 1.000 81 24 2.543 81 14 1.000 81 33 3.446 81 26 1.000 81 38 3.446 81 6 6.338 82 9 1.000 82 23 1.000 82 10 1.000 82 15 1.000 82 14 1.000 82 17 1.000 82 36 1.000 82 29 1.000 82 33 1.000 82 34 1.000 82 27 1.000 82 28 1.000 82 43 4.086 82 8 1.000 82 11 4.086 82 5 1.000 82 32 1.000 82 24 1.000 82 26 1.000 82 18 1.000 82 39 1.000 82 22 1.000 83 4 5.891 83 23 5.629 83 10 5.891 83 2 5.891 83 36 6.532 83 5 6.126 83 19 5.629 83 20 6.126 83 33 4.989 83 7 4.989 83 22 5.332 83 18 6.875 83 38 4.989 83 28 6.532 84 12 4.583 84 4 5.629 84 6 7.172 84 43 4.086 84 8 5.629 84 9 1.000 84 26 4.086 84 31 6.126 84 18 7.172 84 16 5.332 84 3 5.332 84 5 4.583 84 17 5.332 84 24 5.332 84 25 5.332 84 27 3.446 84 35 4.086 84 29 5.629 85 25 7.172 85 1 4.086 85 44 4.989 85 2 1.000 85 7 2.543 85 9 4.989 85 15 4.086 85 36 3.446 85 39 2.543 85 22 5.332 85 29 1.000 85 24 4.086 85 35 4.989 85 45 4.989 85 28 4.086 86 4 6.126 86 6 3.446 86 11 2.543 86 5 1.000 86 20 5.891 86 21 2.543 86 35 3.446 86 28 5.891 87 2 1.000 87 10 2.543 87 31 3.446 87 27 2.543 87 5 2.543 87 19 1.000 87 17 4.086 87 8 1.000 87 20 4.583 87 21 1.000 87 24 4.086 87 33 1.000 87 38 2.543 87 35 4.989 87 28 1.000 87 6 1.000 87 29 1.000 87 18 4.086 88 12 1.000 88 1 4.086 88 16 4.086 88 6 1.000 88 47 1.000 88 5 2.543 88 32 2.543 88 17 1.000 88 37 2.543 88 31 5.332 88 18 1.000 88 27 4.583 88 35 5.332 88 24 3.446 88 29 2.543 88 20 1.000 89 21 4.086 89 31 5.629 89 2 3.446 89 3 4.086 89 4 5.891 89 9 2.543 89 23 4.989 89 10 5.891 89 11 4.989 89 15 5.891 89 36 5.629 89 5 5.332 89 19 5.629 89 39 3.446 89 20 4.989 89 22 1.000 89 18 7.554 89 14 5.629 89 25 1.000 89 33 5.629 89 38 5.629 89 26 5.629 89 34 5.629 89 27 2.543 89 28 5.891 89 29 6.126 90 3 1.000 90 9 3.446 90 32 5.332 90 36 4.989 90 17 4.989 90 37 4.086 90 31 5.891 90 24 5.332 90 14 6.875 90 33 6.710 90 38 5.629 90 26 5.629 90 34 5.332 90 35 5.891 90 28 6.338 91 2 1.000 91 4 4.989 91 6 6.875 91 9 4.086 91 10 4.086 91 31 5.332 91 11 5.332 91 12 2.543 91 15 7.028 91 19 4.989 91 32 3.446 91 39 4.086 91 20 5.332 91 24 5.332 91 28 2.543 91 18 4.583 92 31 6.532 92 16 5.629 92 19 5.629 92 17 4.086 92 27 4.086 92 15 7.777 92 20 2.543 92 25 9.571 92 13 3.446 92 11 4.989 92 37 3.446 93 6 6.875 93 7 4.989 93 43 5.332 93 11 4.989 93 12 4.989 93 32 1.000 93 16 4.989 93 13 5.332 93 5 4.989 93 39 4.989 93 37 2.543 93 20 4.989 93 21 5.629 93 31 5.332 93 18 5.629 93 25 7.028 93 27 5.332 93 29 4.989 94 1 4.086 94 44 4.086 94 2 4.086 94 3 5.629 94 4 5.629 94 6 6.710 94 43 5.332 94 9 4.086 94 10 5.332 94 12 4.989 94 15 6.126 94 32 5.332 94 13 5.332 94 36 5.332 94 19 6.126 94 47 5.332 94 37 4.583 94 31 5.629 94 7 3.446 94 22 2.543 94 18 6.126 94 24 5.332 94 25 6.338 94 33 5.629 94 29 5.629 94 38 4.583 94 45 4.086 94 28 5.332 94 46 4.086 95 23 4.583 95 11 4.583 95 19 4.086 95 20 1.000 95 21 4.583 95 31 4.583 95 39 4.989 95 18 5.332 95 25 6.710 95 27 4.086 95 29 5.891 96 25 6.710 96 26 1.000 96 9 2.543 96 11 4.989 96 15 3.446 96 13 1.000 96 19 2.543 96 31 4.086 96 27 4.583 97 2 3.446 97 4 1.000 97 8 1.000 97 10 2.543 97 19 1.000 97 16 1.000 97 5 2.543 97 17 2.543 97 42 4.989 97 39 1.000 97 20 6.126 97 21 4.989 97 22 1.000 97 18 1.000 97 35 5.332 97 28 7.881 97 29 5.332 98 7 5.629 98 6 6.532 98 31 5.891 98 43 1.000 98 8 3.446 98 16 1.000 98 17 5.891 98 37 5.332 98 20 4.086 98 25 3.446 99 44 7.028 99 43 3.446 99 1 4.989 99 11 1.000 99 15 8.253 99 8 2.543 99 5 7.554 99 19 6.126 99 39 1.000 99 37 3.446 99 31 4.989 99 29 7.307 99 23 1.000 99 24 4.086 99 33 7.172 99 27 4.086 99 35 4.086 99 45 4.583 99 28 7.777 99 6 3.446 100 1 4.086 100 44 4.086 100 9 3.446 100 15 7.028 100 29 4.086 100 4 4.086 100 12 5.332 100 34 5.332 100 43 1.000 100 32 1.000 100 24 4.086 100 25 6.126 100 26 1.000 100 45 4.583 101 4 5.629 101 19 1.000 101 43 4.989 101 9 2.543 101 12 1.000 101 15 4.989 101 31 5.629 101 24 4.583 101 27 4.086 101 46 2.543 101 18 1.000 102 2 2.543 102 14 4.086 102 28 4.989 102 17 4.086 102 5 4.086 102 18 4.583 102 40 2.543 102 41 4.086 102 11 4.989 102 6 6.875 102 10 4.989 102 15 5.629 102 50 3.446 102 8 3.446 102 36 2.543 102 47 3.446 102 49 2.543 102 4 4.583 102 20 6.338 102 24 4.989 102 21 3.446 102 3 1.000 102 9 2.543 102 23 2.543 102 19 4.583 102 7 2.543 102 12 3.446 102 48 1.000 102 30 4.583 102 34 4.086 102 42 3.446 102 26 3.446 102 13 1.000 102 39 3.446 102 16 2.543 102 31 4.989 102 33 4.086 102 38 4.583 102 27 1.000 102 32 1.000 102 35 5.891 102 37 4.086 102 22 2.543 103 1 2.543 103 44 2.543 103 7 2.543 103 10 4.989 103 31 4.583 103 15 6.126 103 36 3.446 103 32 2.543 103 39 2.543 103 21 2.543 103 22 1.000 103 37 2.543 103 27 3.446 103 24 5.891 103 45 2.543 103 28 4.583 103 11 4.989 104 1 4.086 104 44 4.086 104 6 1.000 104 43 4.989 104 23 2.543 104 10 5.891 104 11 4.583 104 15 2.543 104 32 4.583 104 19 5.332 104 45 4.583 104 25 3.446 104 26 4.086 104 12 1.000 104 29 4.583 104 18 6.710 104 20 4.989 105 2 1.000 105 4 6.710 105 9 3.446 105 23 3.446 105 14 7.554 105 6 1.000 105 19 6.532 105 30 7.980 105 20 8.074 105 21 8.644 105 22 4.086 105 18 6.532 105 33 6.875 105 38 7.554 105 10 4.989 105 35 7.669 105 28 8.496 105 29 8.165 106 2 2.543 106 4 5.332 106 7 4.583 106 10 4.583 106 35 4.583 106 5 5.332 106 19 5.332 106 42 5.332 106 30 5.629 106 39 1.000 106 20 4.583 106 22 2.543 106 23 1.000 106 38 5.332 106 28 4.086 106 29 1.000 106 18 5.332 107 4 4.086 107 6 7.172 107 7 5.629 107 43 5.629 107 15 4.086 107 32 5.332 107 17 5.332 107 39 5.629 107 37 5.332 107 21 5.332 107 31 6.710 107 27 4.086 107 35 6.126 107 24 4.086 108 16 5.332 108 4 4.583 108 6 7.028 108 9 4.989 108 11 4.583 108 43 1.000 108 17 6.338 108 37 5.332 108 21 1.000 108 31 5.629 108 10 4.583 108 35 4.989 109 2 5.332 109 4 5.629 109 6 6.532 109 7 3.446 109 9 4.989 109 23 3.446 109 10 2.543 109 11 4.583 109 12 2.543 109 36 4.086 109 19 2.543 109 17 3.446 109 20 5.891 109 21 4.086 109 22 2.543 109 35 4.086 109 18 5.332 109 14 2.543 110 2 4.086 110 4 6.126 110 6 4.086 110 8 4.583 110 5 4.583 110 23 2.543 110 10 2.543 110 11 4.086 110 43 5.332 110 16 4.583 110 37 4.086 110 19 2.543 110 17 4.086 110 15 1.000 110 28 4.086 110 20 5.629 110 21 3.446 110 9 4.086 110 31 5.891 110 22 1.000 110 18 2.543 110 24 4.086 110 35 4.086 111 21 4.989 111 12 5.629 111 2 5.629 111 4 3.446 111 6 5.332 111 7 2.543 111 19 1.000 111 5 3.446 111 23 4.989 111 10 4.583 111 16 2.543 111 36 8.496 111 18 1.000 111 39 2.543 111 31 5.891 111 29 5.629 111 22 1.000 111 25 9.155 111 14 5.629 111 35 7.172 111 28 6.338 111 20 5.629 112 21 5.332 112 11 4.583 112 12 4.989 112 15 5.891 112 29 4.086 113 21 1.000 113 19 3.446 113 43 2.543 113 8 2.543 113 10 3.446 113 31 6.126 113 12 4.086 113 41 3.446 113 47 3.446 113 15 6.126 113 32 2.543 113 16 3.446 113 36 2.543 113 18 3.446 113 17 2.543 113 48 3.446 113 42 2.543 113 39 2.543 113 49 2.543 113 22 2.543 113 24 4.989 113 38 2.543 113 27 3.446 113 28 2.543 113 29 3.446 114 2 4.086 114 3 4.583 114 22 2.543 114 6 7.028 114 7 2.543 114 5 3.446 114 9 4.086 114 10 2.543 114 12 1.000 114 27 1.000 114 36 1.000 114 4 1.000 114 8 2.543 114 16 3.446 114 19 2.543 114 17 2.543 114 39 3.446 114 35 4.989 114 20 4.989 114 31 4.583 114 18 2.543 114 23 2.543 114 24 4.086 114 33 4.583 114 38 4.583 114 26 4.583 114 13 2.543 114 28 4.583 114 11 4.086 115 3 1.000 115 4 1.000 115 38 1.000 115 8 1.000 115 34 1.000 115 9 5.332 115 10 1.000 115 12 1.000 115 15 1.000 115 16 1.000 115 13 1.000 115 36 5.332 115 18 1.000 115 19 1.000 115 47 1.000 115 39 1.000 115 37 2.543 115 31 1.000 115 49 5.332 115 22 4.989 115 23 1.000 115 33 1.000 115 27 1.000 116 25 6.338 116 1 2.543 116 44 2.543 116 26 4.086 116 9 1.000 116 46 2.543 116 3 3.446 116 11 4.583 116 12 5.332 116 15 5.891 116 13 1.000 116 36 2.543 116 31 4.583 116 29 4.989 116 24 4.583 116 33 4.583 116 38 4.989 116 34 4.989 116 45 2.543 116 28 1.000 116 6 1.000 117 25 7.172 117 2 4.989 117 4 3.446 117 7 2.543 117 5 4.086 117 9 2.543 117 31 6.710 117 11 6.126 117 12 6.710 117 14 6.875 117 41 7.172 117 16 2.543 117 13 2.543 117 17 4.583 117 18 2.543 117 48 7.172 117 49 7.307 117 21 6.532 117 20 7.172 117 19 1.000 117 33 1.000 117 22 2.543 117 23 3.446 117 24 7.172 117 28 6.126 117 34 2.543 117 10 3.446 117 35 6.875 118 12 4.583 118 4 1.000 118 6 6.875 118 23 1.000 118 10 1.000 118 11 4.583 118 32 1.000 118 16 1.000 118 19 1.000 118 17 4.086 118 39 2.543 118 20 5.629 118 21 4.086 118 31 4.583 118 29 2.543 118 18 1.000 118 24 4.583 118 25 3.446 118 35 5.629 119 1 3.446 119 6 1.000 119 44 3.446 119 12 3.446 119 43 4.989 119 15 4.989 119 32 4.583 119 37 2.543 119 27 2.543 119 35 4.583 119 45 3.446 120 25 4.989 120 2 1.000 120 3 4.989 120 4 1.000 120 23 1.000 120 5 1.000 120 20 6.338 120 21 1.000 120 22 1.000 120 24 4.989 120 27 3.446 120 28 5.332 121 21 2.543 121 44 3.446 121 4 1.000 121 7 1.000 121 43 3.446 121 1 3.446 121 23 1.000 121 10 1.000 121 31 5.891 121 15 2.543 121 16 2.543 121 35 5.332 121 19 4.086 121 32 4.086 121 39 1.000 121 45 3.446 121 29 3.446 121 46 3.446 121 18 1.000 122 3 4.989 122 9 4.086 122 40 5.332 122 11 4.086 122 12 4.583 122 41 4.086 122 15 2.543 122 13 1.000 122 24 3.446 122 26 5.332 122 29 4.583 123 18 1.000 123 2 2.543 123 4 4.086 123 6 6.338 123 7 4.086 123 23 1.000 123 10 1.000 123 15 3.446 123 19 5.629 123 39 4.086 123 21 3.446 123 9 3.446 123 35 5.332 123 29 4.086 123 11 4.583 124 2 5.332 124 4 5.629 124 6 7.172 124 10 4.583 124 11 1.000 124 19 5.629 124 16 1.000 124 36 2.543 124 5 5.629 124 37 1.000 124 20 6.338 124 29 2.543 124 22 1.000 124 23 4.989 124 24 3.446 124 33 1.000 124 38 4.583 124 35 6.126 124 28 5.629 124 18 5.891 124 14 4.583 125 31 1.000 125 2 4.989 125 3 1.000 125 4 2.543 125 43 2.543 125 8 1.000 125 10 1.000 125 16 1.000 125 36 2.543 125 18 2.543 125 19 2.543 125 17 1.000 125 20 4.086 125 21 1.000 125 22 2.543 125 23 2.543 125 33 4.989 125 38 1.000 125 27 1.000 125 35 4.583 125 28 3.446 125 29 4.583 126 44 5.629 126 2 2.543 126 4 5.891 126 1 5.332 126 26 1.000 126 12 5.629 126 15 5.629 126 11 4.583 126 43 3.446 126 48 5.332 126 30 5.629 126 24 5.629 126 34 5.629 126 28 5.332 126 18 6.532 126 50 5.629 127 6 2.543 127 9 2.543 127 10 4.989 127 11 4.989 127 32 5.332 127 37 4.086 127 29 4.086 127 24 5.332 127 35 4.989 128 2 4.086 128 10 2.543 128 36 5.891 128 5 4.086 128 19 6.338 128 37 5.629 128 20 4.086 128 21 2.543 128 31 6.126 128 24 4.086 129 12 5.629 129 23 4.989 129 46 4.086 129 10 8.715 129 16 6.532 129 5 9.038 129 19 7.028 129 4 7.980 129 39 5.332 129 37 6.875 129 21 4.086 129 33 5.332 129 38 4.086 129 18 3.446 129 20 6.875 130 1 6.126 130 44 5.332 130 2 7.028 130 3 7.172 130 9 3.446 130 15 4.583 130 16 2.543 130 13 1.000 130 14 4.989 130 6 4.086 130 29 5.891 130 50 7.434 130 25 2.543 130 12 5.629 130 17 1.000 130 47 1.000 130 30 1.000 130 33 1.000 130 27 3.446 130 49 6.338 130 28 6.710 130 42 1.000 130 20 4.583 130 22 2.543 130 26 6.532 130 35 3.446 130 45 5.891 130 46 6.338 130 11 6.532 130 40 6.532 130 41 6.532 130 21 5.332 131 21 2.543 131 1 1.000 131 44 2.543 131 3 2.543 131 7 3.446 131 11 4.989 131 12 4.086 131 16 1.000 131 36 1.000 131 43 1.000 131 19 2.543 131 32 2.543 131 46 1.000 131 37 1.000 131 26 3.446 131 6 5.629 131 35 4.086 131 45 1.000 131 29 3.446 132 44 3.446 132 6 6.532 132 7 2.543 132 43 2.543 132 8 2.543 132 10 3.446 132 11 4.583 132 19 3.446 132 4 3.446 132 16 2.543 132 36 3.446 132 5 3.446 132 18 3.446 132 32 3.446 132 17 2.543 132 39 3.446 132 21 2.543 132 31 2.543 132 46 3.446 132 24 3.446 132 27 3.446 132 45 3.446 133 2 1.000 133 4 5.629 133 7 1.000 133 9 5.332 133 23 5.629 133 10 5.629 133 12 2.543 133 15 5.629 133 5 3.446 133 18 1.000 133 19 5.629 133 17 3.446 133 20 6.126 133 21 4.583 133 22 3.446 133 35 5.332 133 14 1.000 133 11 4.583 134 31 4.086 134 1 5.629 134 44 5.629 134 6 6.875 134 9 4.583 134 10 5.891 134 11 5.332 134 12 5.629 134 43 5.891 134 15 1.000 134 13 3.446 134 5 4.583 134 19 5.629 134 47 3.446 134 29 5.332 134 18 4.989 134 26 5.891 134 24 5.891 134 45 5.629 134 46 5.629 135 2 8.418 135 14 8.418 135 36 4.989 135 5 6.532 135 29 4.583 135 37 2.543 135 21 6.875 135 18 10.000 135 33 2.543 135 35 7.172 135 28 8.496 136 3 4.086 136 6 6.875 136 7 2.543 136 9 1.000 136 12 4.583 136 43 1.000 136 11 4.086 136 17 1.000 136 37 1.000 136 20 4.086 136 24 2.543 136 26 4.583 136 35 5.629 137 1 4.086 137 44 4.086 137 43 4.989 137 11 4.583 137 15 5.891 137 13 2.543 137 19 1.000 137 45 5.332 137 46 4.086 137 18 2.543 138 1 5.629 138 44 5.332 138 3 5.629 138 7 2.543 138 9 1.000 138 40 5.332 138 11 4.583 138 41 5.332 138 15 5.891 138 25 5.629 138 34 5.332 138 27 2.543 138 24 5.332 138 49 5.332 138 45 5.629 138 46 5.629 139 6 2.543 139 7 5.332 139 43 1.000 139 12 4.989 139 17 6.338 139 20 6.126 139 21 2.543 139 31 5.332 139 35 4.086 140 3 5.891 140 4 5.629 140 23 1.000 140 10 1.000 140 5 5.629 140 19 5.891 140 20 6.532 140 22 1.000 140 18 5.332 141 25 6.338 141 18 2.543 141 1 2.543 141 44 2.543 141 38 2.543 141 11 3.446 141 23 2.543 141 10 2.543 141 15 4.583 141 2 4.583 141 35 4.583 141 36 4.086 141 19 2.543 141 20 5.332 141 46 2.543 141 33 1.000 141 45 2.543 141 28 1.000 141 29 4.583 141 14 4.086 142 2 5.332 142 38 4.583 142 6 1.000 142 26 5.332 142 23 1.000 142 10 1.000 142 19 4.583 142 5 3.446 142 18 1.000 142 37 4.989 142 22 1.000 142 24 4.989 142 33 6.126 142 28 6.126 142 14 5.332 143 33 5.332 143 47 2.543 143 2 4.583 143 4 1.000 143 38 1.000 143 19 1.000 143 23 4.583 143 10 4.583 143 12 3.446 143 15 8.644 143 36 4.989 143 5 5.629 143 20 3.446 143 31 6.126 143 22 7.669 143 18 6.875 143 37 1.000 143 24 5.332 143 28 4.086 143 29 1.000 144 21 2.543 144 8 2.543 144 43 1.000 144 16 6.126 144 5 5.891 144 32 4.086 144 20 6.338 144 39 5.332 144 23 4.583 144 35 7.669 144 29 6.710 144 18 5.629 145 21 7.307 145 2 7.172 145 4 8.644 145 23 7.307 145 10 8.253 145 11 5.891 145 46 4.086 145 36 7.172 145 5 6.710 145 19 7.172 145 17 1.000 145 48 5.629 145 39 4.086 145 20 7.434 145 31 5.629 145 22 4.583 145 18 8.337 145 33 6.126 145 38 7.980 145 28 7.172 145 14 7.172 146 4 5.891 146 43 2.543 146 9 5.332 146 23 6.126 146 10 6.710 146 19 4.583 146 37 4.583 146 20 5.332 146 35 4.989 146 18 7.881 147 25 5.332 147 12 1.000 147 31 1.000 147 2 2.543 147 3 1.000 147 4 1.000 147 6 6.338 147 7 1.000 147 23 1.000 147 11 4.583 147 15 1.000 147 32 2.543 147 16 1.000 147 13 1.000 147 36 1.000 147 5 2.543 147 18 1.000 147 17 1.000 147 10 1.000 147 39 1.000 147 20 4.583 147 21 1.000 147 22 1.000 147 19 1.000 147 14 2.543 147 33 2.543 147 38 2.543 147 26 2.543 147 34 1.000 147 27 1.000 147 35 4.086 147 24 2.543 147 28 2.543 147 29 1.000 148 4 4.583 148 6 6.532 148 8 3.446 148 5 1.000 148 31 7.554 148 32 4.086 148 17 4.583 148 39 4.086 148 37 2.543 148 9 1.000 148 27 4.086 148 10 2.543 148 35 3.446 148 28 3.446 148 18 1.000 148 50 4.086 149 6 6.338 149 7 1.000 149 1 1.000 149 44 1.000 149 9 2.543 149 11 4.086 149 12 1.000 149 15 1.000 149 32 1.000 149 31 1.000 149 39 1.000 149 21 1.000 149 46 1.000 149 29 1.000 149 25 1.000 149 26 1.000 149 34 1.000 149 27 1.000 149 35 4.583 149 24 1.000 149 45 1.000 150 2 1.000 150 6 3.446 150 10 5.332 150 11 4.086 150 12 2.543 150 40 1.000 150 41 1.000 150 36 4.086 150 5 1.000 150 19 2.543 150 20 5.332 150 31 1.000 150 22 1.000 150 24 1.000 150 14 3.446 150 33 3.446 150 38 2.543 150 26 1.000 150 34 1.000 150 27 1.000 150 49 1.000 150 28 4.989 150 18 1.000 151 1 1.000 151 44 1.000 151 3 1.000 151 9 1.000 151 15 1.000 151 13 1.000 151 19 1.000 151 12 1.000 151 48 1.000 151 29 1.000 151 34 1.000 151 43 4.989 151 8 1.000 151 32 1.000 151 26 1.000 151 45 1.000 151 41 1.000 152 25 7.028 152 1 4.086 152 44 4.583 152 2 4.989 152 36 2.543 152 9 4.583 152 43 2.543 152 40 2.543 152 41 3.446 152 15 4.989 152 28 4.086 152 31 5.332 152 22 1.000 152 14 4.583 152 38 4.583 152 49 4.086 152 45 4.086 152 46 4.086 153 12 2.543 153 4 6.126 153 6 1.000 153 5 5.629 153 9 5.332 153 10 6.875 153 15 6.338 153 36 1.000 153 19 5.332 153 32 1.000 153 20 6.338 153 21 1.000 153 24 5.629 153 35 1.000 154 6 6.875 154 2 4.989 154 5 4.989 154 11 4.989 154 16 4.989 154 18 4.583 154 19 4.989 154 20 3.446 154 21 4.989 154 35 5.332 155 2 5.332 155 6 7.881 155 9 5.332 155 10 5.891 155 16 6.126 155 31 3.446 155 14 6.126 155 29 6.126 155 7 5.629 155 12 6.126 155 33 1.000 155 38 3.446 155 27 5.629 155 8 4.086 155 5 6.710 155 20 7.307 155 13 5.332 155 35 7.434 155 39 6.338 155 28 6.338 155 21 6.532 155 22 5.629 156 33 5.629 156 2 4.086 156 6 1.000 156 43 1.000 156 8 4.583 156 47 1.000 156 42 2.543 156 30 3.446 156 22 1.000 156 14 4.989 156 38 4.989 156 28 5.629 157 1 2.543 157 44 2.543 157 2 2.543 157 7 1.000 157 23 1.000 157 10 1.000 157 31 4.583 157 16 2.543 157 14 3.446 157 50 3.446 157 4 1.000 157 36 3.446 157 12 4.086 157 48 4.583 157 9 4.583 157 18 5.891 157 33 3.446 157 38 2.543 157 28 3.446 157 17 1.000 157 8 1.000 157 5 2.543 157 29 2.543 157 20 1.000 157 13 1.000 157 35 4.989 157 45 2.543 157 46 1.000 157 11 4.583 157 19 3.446 157 22 1.000 158 4 5.629 158 43 1.000 158 8 1.000 158 9 1.000 158 23 1.000 158 10 1.000 158 31 5.891 158 11 5.332 158 41 1.000 158 16 1.000 158 13 1.000 158 19 1.000 158 32 3.446 158 17 1.000 158 48 1.000 158 42 1.000 158 39 2.543 158 37 1.000 158 21 1.000 158 22 1.000 158 18 1.000 158 24 5.332 158 38 1.000 158 28 1.000 159 3 5.891 159 4 1.000 159 41 1.000 159 40 1.000 159 10 6.875 159 11 5.891 159 12 5.629 159 15 6.126 159 16 7.307 159 1 4.583 159 9 1.000 159 29 1.000 159 25 6.532 159 27 2.543 159 45 4.583 159 28 5.629 159 46 4.583 160 12 3.446 160 1 4.583 160 44 4.583 160 6 1.000 160 9 2.543 160 26 1.000 160 11 4.583 160 15 4.583 160 36 4.086 160 17 1.000 160 14 2.543 160 25 5.891 160 38 3.446 160 45 4.583 160 28 4.583 160 29 4.989 160 46 4.583 161 12 2.543 161 1 4.583 161 44 4.583 161 11 4.086 161 9 1.000 161 23 1.000 161 10 2.543 161 8 1.000 161 16 1.000 161 35 5.332 161 5 4.583 161 19 1.000 161 20 6.126 161 21 1.000 161 18 1.000 161 27 3.446 161 24 4.583 161 45 4.583 161 29 1.000 161 46 4.583 162 21 4.086 162 1 4.989 162 44 5.629 162 6 1.000 162 10 1.000 162 43 4.086 162 9 2.543 162 11 4.583 162 19 1.000 162 15 4.086 162 18 5.332 162 16 4.583 162 13 4.583 162 5 2.543 162 31 4.989 162 24 5.332 162 27 4.086 162 45 5.332 162 29 4.583 162 20 4.086 163 18 1.000 163 2 2.543 163 3 4.989 163 4 2.543 163 6 1.000 163 43 1.000 163 11 2.543 163 15 1.000 163 5 1.000 163 31 5.332 163 22 1.000 163 24 4.086 163 38 3.446 163 10 3.446 163 28 5.891 163 29 2.543 163 20 2.543 164 4 4.989 164 6 3.446 164 7 4.086 164 23 1.000 164 10 2.543 164 11 4.989 164 5 5.332 164 19 4.989 164 20 4.989 164 21 1.000 164 29 4.989 164 18 1.000 164 14 4.989 165 21 2.543 165 2 5.332 165 23 4.583 165 12 4.989 165 15 5.891 165 4 5.629 165 13 1.000 165 5 4.583 165 18 3.446 165 19 4.086 165 20 2.543 165 33 1.000 165 10 3.446 165 28 5.629 165 14 1.000 166 25 2.543 166 11 1.000 166 37 1.000 166 20 1.000 166 31 4.086 166 29 1.000 166 27 1.000 166 35 4.583 167 47 2.543 167 8 1.000 167 31 4.989 167 15 5.891 167 16 5.332 167 3 2.543 167 39 1.000 167 37 4.583 167 27 5.891 167 35 5.332 167 29 5.332 168 4 5.629 168 23 6.126 168 10 5.891 168 19 4.989 168 5 5.332 168 37 4.086 168 20 6.126 168 22 2.543 168 38 4.086 168 14 3.446 168 28 5.629 168 18 7.028 169 14 3.446 169 4 3.446 169 38 4.989 169 6 6.532 169 7 5.332 169 9 4.086 169 21 5.332 169 23 4.583 169 10 5.332 169 15 5.332 169 16 5.332 169 36 4.989 169 5 4.086 169 19 4.989 169 17 4.086 169 37 4.583 169 33 4.583 169 22 2.543 169 18 3.446 169 28 4.989 169 29 5.891 170 1 1.000 170 43 1.000 170 44 1.000 170 34 3.446 170 23 1.000 170 12 1.000 170 27 1.000 170 8 4.086 170 47 1.000 170 31 4.086 170 24 3.446 170 35 4.086 170 45 1.000 170 29 3.446 170 20 1.000 171 12 5.332 171 1 4.989 171 44 4.989 171 43 2.543 171 9 4.583 171 15 6.126 171 36 4.583 171 24 4.989 171 25 4.583 171 38 3.446 171 34 5.332 171 27 1.000 171 45 4.989 171 46 4.583 172 2 5.629 172 4 5.332 172 39 1.000 172 8 4.989 172 17 5.332 172 36 5.891 172 5 4.989 172 19 6.875 172 46 4.086 172 30 5.332 172 9 5.332 172 22 5.629 172 24 4.989 172 33 6.338 172 38 4.989 172 27 1.000 172 10 5.891 172 18 5.891 172 14 1.000 173 4 7.172 173 6 1.000 173 21 2.543 173 23 5.629 173 10 5.629 173 19 6.338 173 5 4.583 173 17 2.543 173 37 1.000 173 20 5.629 173 31 1.000 173 22 3.446 173 28 2.543 173 18 6.126 174 1 5.629 174 44 5.629 174 6 2.543 174 43 1.000 174 25 5.332 174 9 1.000 174 12 4.583 174 15 5.332 174 8 1.000 174 16 1.000 174 13 1.000 174 48 1.000 174 31 3.446 174 24 5.629 174 45 5.891 174 29 4.989 174 46 5.629 174 50 1.000 175 48 1.000 175 4 3.446 175 8 3.446 175 34 1.000 175 23 1.000 175 10 1.000 175 12 4.583 175 19 1.000 175 15 8.644 175 16 2.543 175 13 2.543 175 36 4.583 175 5 2.543 175 47 1.000 175 32 4.583 175 39 2.543 175 28 3.446 175 20 5.332 175 21 4.583 175 31 4.583 175 22 2.543 175 18 3.446 175 33 4.583 175 38 4.583 175 27 2.543 175 35 5.629 175 45 4.989 175 29 4.583 175 46 4.583 176 44 4.989 176 2 4.989 176 31 5.891 176 11 4.583 176 41 5.629 176 15 6.126 176 48 5.332 176 33 5.332 176 38 4.583 176 34 1.000 176 24 2.543 176 49 5.629 176 45 4.086 176 29 5.332 176 46 5.629 177 1 1.000 177 44 1.000 177 10 1.000 177 15 1.000 177 13 1.000 177 19 1.000 177 31 1.000 177 29 1.000 177 4 1.000 177 12 1.000 177 36 1.000 177 33 1.000 177 38 1.000 177 34 1.000 177 27 1.000 177 43 1.000 177 5 1.000 177 32 1.000 177 24 1.000 177 25 1.000 177 26 1.000 177 45 1.000 177 46 1.000 177 37 1.000 177 21 1.000 177 22 1.000 178 3 4.989 178 6 6.875 178 7 1.000 178 8 4.583 178 10 2.543 178 31 1.000 178 11 4.086 178 12 1.000 178 15 3.446 178 16 1.000 178 13 1.000 178 18 4.086 178 19 2.543 178 32 2.543 178 17 1.000 178 39 1.000 178 21 5.332 178 9 1.000 178 22 2.543 178 33 1.000 178 38 1.000 178 35 4.989 178 29 3.446 178 20 4.086 179 4 5.629 179 6 2.543 179 47 2.543 179 7 1.000 179 8 1.000 179 5 1.000 179 23 5.629 179 10 3.446 179 12 1.000 179 15 2.543 179 16 1.000 179 13 1.000 179 19 5.891 179 17 2.543 179 39 1.000 179 37 1.000 179 20 5.332 179 21 5.629 179 29 5.629 179 46 4.086 179 22 1.000 179 38 4.583 179 26 5.332 179 34 1.000 179 27 4.583 179 35 5.332 179 28 5.629 179 18 6.126 179 14 4.989 180 3 4.086 180 4 1.000 180 38 3.446 180 9 3.446 180 26 3.446 180 10 1.000 180 11 4.583 180 12 5.332 180 36 3.446 180 19 3.446 180 31 1.000 180 29 4.989 180 33 2.543 180 24 4.989 180 25 5.891 180 27 4.086 180 28 3.446 181 3 4.086 181 4 4.989 181 1 1.000 181 5 1.000 181 9 5.629 181 23 4.583 181 46 1.000 181 10 5.629 181 15 5.332 181 44 1.000 181 2 1.000 181 36 4.989 181 19 4.989 181 20 5.629 181 29 1.000 181 22 1.000 181 24 1.000 181 14 4.583 181 33 4.086 181 34 1.000 181 27 1.000 181 45 1.000 181 28 4.583 181 18 4.989 181 38 1.000 182 7 2.543 182 16 3.446 182 13 3.446 182 37 1.000 182 21 6.338 182 27 4.583 183 4 5.891 183 7 1.000 183 23 1.000 183 10 1.000 183 16 1.000 183 36 4.583 183 19 5.332 183 35 5.629 183 20 5.891 183 21 5.332 183 31 3.446 183 22 1.000 183 33 2.543 183 28 5.332 183 18 1.000 184 3 4.583 184 7 3.446 184 12 4.086 184 15 5.332 184 36 5.332 184 17 4.583 184 31 4.989 184 18 4.086 184 24 4.086 184 25 4.086 184 34 4.086 184 11 4.086 185 4 7.777 185 6 5.332 185 7 4.989 185 23 2.543 185 10 5.332 185 12 5.629 185 16 8.337 185 19 7.777 185 17 4.989 185 20 5.629 185 21 8.253 185 22 2.543 185 18 2.543 185 35 8.337 185 28 7.554 186 2 4.086 186 4 6.126 186 5 5.891 186 23 5.629 186 19 5.891 186 20 6.126 186 31 1.000 186 24 1.000 186 28 4.583 186 18 5.629 187 6 6.338 187 23 5.332 187 10 5.332 187 5 2.543 187 4 5.332 187 20 6.532 187 21 4.989 187 22 1.000 187 24 5.332 187 28 5.332 187 18 5.629 188 33 2.543 188 26 1.000 188 12 4.086 188 15 3.446 188 18 2.543 188 36 2.543 188 14 1.000 188 22 3.446 188 24 4.086 188 38 1.000 188 28 2.543 188 29 2.543 189 21 3.446 189 4 4.583 189 6 6.532 189 8 4.989 189 23 4.086 189 10 3.446 189 11 4.989 189 12 3.446 189 19 4.583 189 37 4.086 189 20 4.989 189 31 1.000 189 16 4.086 189 24 1.000 189 35 5.332 189 18 3.446 190 4 4.583 190 11 2.543 190 31 5.891 191 2 5.332 191 6 6.532 191 7 1.000 191 9 1.000 191 23 2.543 191 10 1.000 191 12 4.086 191 36 4.989 191 5 4.583 191 17 4.583 191 39 1.000 191 37 2.543 191 15 4.086 191 20 4.086 191 21 4.086 191 31 6.875 191 24 4.583 191 35 3.446 191 28 4.086 191 29 4.583 191 18 4.583 191 14 4.086 191 11 4.086 192 4 6.338 192 31 2.543 192 7 4.989 192 9 4.989 192 23 6.338 192 10 6.532 192 11 4.583 192 14 4.086 192 5 6.338 192 19 6.532 192 32 6.875 192 37 6.126 192 20 6.532 192 22 6.532 192 18 9.212 192 38 4.583 192 35 6.338 193 3 1.000 193 9 2.543 193 23 2.543 193 10 2.543 193 19 1.000 193 15 1.000 193 4 2.543 193 5 2.543 193 20 5.891 193 22 1.000 193 33 1.000 193 38 2.543 193 28 4.583 193 18 2.543 193 14 4.086 194 1 1.000 194 44 1.000 194 8 1.000 194 9 1.000 194 26 1.000 194 40 1.000 194 41 1.000 194 47 1.000 194 50 1.000 194 29 1.000 194 48 1.000 194 42 2.543 194 30 2.543 194 39 1.000 194 49 2.543 194 24 1.000 194 25 1.000 194 34 1.000 194 27 1.000 194 45 1.000 195 2 3.446 195 3 4.989 195 9 2.543 195 31 2.543 195 11 4.583 195 12 2.543 195 43 4.086 195 15 6.338 195 13 1.000 195 32 4.583 195 21 4.086 195 24 4.583 195 25 5.629 195 26 4.086 195 29 4.583 196 18 1.000 196 3 1.000 196 43 1.000 196 23 1.000 196 11 4.086 196 15 1.000 196 4 1.000 196 13 1.000 196 36 1.000 196 5 1.000 196 17 1.000 196 48 1.000 196 39 1.000 196 37 1.000 196 31 4.583 196 22 4.989 196 14 1.000 196 33 1.000 196 38 1.000 196 28 1.000 197 5 1.000 197 4 2.543 197 22 2.543 197 2 2.543 197 6 5.332 197 23 2.543 197 10 2.543 197 19 8.418 197 15 7.172 197 16 2.543 197 36 7.307 197 14 7.172 197 33 7.172 197 38 7.172 197 35 7.028 197 28 7.307 197 29 7.028 197 18 1.000 198 1 4.989 198 44 4.989 198 9 3.446 198 31 2.543 198 11 4.086 198 12 3.446 198 40 4.989 198 41 4.989 198 36 3.446 198 32 2.543 198 39 1.000 198 25 2.543 198 26 2.543 198 34 1.000 198 24 3.446 198 13 1.000 198 45 4.989 198 46 4.989 199 21 1.000 199 1 5.332 199 44 5.332 199 6 6.532 199 16 5.629 199 36 1.000 199 19 1.000 199 20 6.338 199 35 7.554 199 45 5.332 199 29 5.332 199 46 5.332 200 44 4.989 200 6 7.028 200 1 4.989 200 9 1.000 200 31 1.000 200 11 4.989 200 12 4.989 200 15 5.629 200 3 4.583 200 5 1.000 200 43 1.000 200 19 1.000 200 47 2.543 200 37 3.446 200 29 5.629 200 46 4.989 200 25 6.532 200 26 4.989 200 10 1.000 200 45 4.989 200 50 5.629 30 51 52 53 54 55 56 57 58 59 60 61 62 63 64 65 66 67 68 69 70 71 72 73 74 75 76 77 78 79 80 ================================================ FILE: programming_assignments/mini_reco/testcase/input/input002.txt ================================================ 21 15 200 50 3454 1 1 4.989 1 2 1.000 1 3 4.989 1 4 1.000 1 5 1.000 1 6 6.338 1 7 1.000 1 8 2.543 1 9 1.000 1 10 1.000 1 11 2.543 1 12 4.989 1 13 1.000 1 14 4.086 1 15 4.989 1 16 1.000 1 17 1.000 1 18 1.000 1 19 2.543 1 20 5.332 1 21 4.989 1 22 1.000 1 23 1.000 1 24 5.332 1 25 4.583 1 26 1.000 1 27 1.000 1 28 5.332 1 29 4.583 2 21 1.000 2 26 1.000 2 2 1.000 2 8 5.332 2 27 4.583 2 15 5.332 2 17 1.000 2 30 1.000 2 31 1.000 2 24 3.446 2 25 1.000 2 29 1.000 3 18 1.000 3 2 3.446 3 4 4.583 3 23 1.000 3 31 3.446 3 15 5.629 3 11 4.989 3 5 5.332 3 19 3.446 3 32 3.446 3 30 4.989 3 20 4.989 3 21 4.086 3 22 1.000 3 24 5.332 3 14 5.332 3 33 5.332 3 26 4.086 3 34 4.989 3 27 2.543 3 10 1.000 3 35 4.583 3 28 5.332 3 29 5.332 4 21 5.332 4 2 4.989 4 4 4.583 4 10 4.989 4 9 4.583 4 15 5.332 4 32 4.583 4 36 4.989 4 19 4.989 4 37 4.583 4 31 4.583 4 22 2.543 4 33 4.583 4 28 4.583 4 29 5.332 4 11 4.086 5 21 2.543 5 31 4.086 5 2 2.543 5 38 5.629 5 7 1.000 5 19 5.629 5 16 5.629 5 13 5.629 5 5 4.989 5 18 1.000 5 20 6.126 5 39 5.891 5 22 1.000 5 23 3.446 5 33 5.891 5 34 5.891 5 10 1.000 5 35 6.338 6 14 1.000 6 6 5.332 6 17 1.000 6 8 4.086 6 40 1.000 6 41 1.000 6 42 2.543 6 30 2.543 6 31 4.086 6 38 4.583 6 26 4.086 6 34 1.000 6 27 2.543 6 24 4.583 6 28 3.446 7 12 4.989 7 2 4.086 7 3 6.126 7 4 5.891 7 33 1.000 7 7 4.583 7 26 2.543 7 10 2.543 7 15 6.710 7 5 3.446 7 37 1.000 7 20 1.000 7 38 4.086 7 34 4.989 7 24 5.332 7 28 5.332 7 18 3.446 7 14 5.332 8 16 4.086 8 5 3.446 8 32 4.583 8 20 1.000 8 9 1.000 8 29 4.583 8 22 1.000 8 24 3.446 8 33 4.583 8 38 2.543 8 26 3.446 8 18 6.532 9 1 5.332 9 3 5.891 9 4 2.543 9 6 7.028 9 43 4.989 9 8 1.000 9 44 5.891 9 9 1.000 9 12 4.989 9 19 1.000 9 15 3.446 9 17 5.332 9 31 4.583 9 25 5.629 9 34 2.543 9 45 5.332 9 46 5.332 9 18 3.446 10 21 4.989 10 6 3.446 10 7 2.543 10 23 1.000 10 16 4.583 10 17 4.583 10 37 3.446 10 31 4.086 10 39 4.583 10 13 2.543 10 35 5.332 11 2 2.543 11 4 6.532 11 6 6.338 11 7 1.000 11 36 4.086 11 23 4.989 11 10 6.126 11 11 5.891 11 5 6.338 11 19 6.532 11 32 6.338 11 17 4.086 11 20 6.710 11 21 5.891 11 18 7.669 11 33 6.338 11 35 7.028 11 29 4.086 12 21 7.307 12 31 7.172 12 2 5.332 12 4 8.253 12 6 4.989 12 43 1.000 12 5 7.434 12 23 9.267 12 10 7.172 12 11 1.000 12 36 1.000 12 19 7.777 12 20 7.777 12 22 2.543 12 18 8.571 12 28 4.583 13 1 4.583 13 4 5.891 13 43 1.000 13 9 3.446 13 10 4.583 13 12 3.446 13 15 4.086 13 3 1.000 13 36 3.446 13 5 4.086 13 20 4.989 13 21 3.446 13 31 4.989 13 18 4.086 13 25 2.543 13 34 2.543 13 24 3.446 14 44 4.086 14 43 1.000 14 36 6.126 14 47 1.000 14 22 1.000 14 14 5.332 14 28 6.338 14 11 4.086 15 3 1.000 15 6 5.891 15 8 4.583 15 32 4.989 15 17 3.446 15 37 4.583 15 20 1.000 15 31 6.875 15 25 7.554 15 27 1.000 15 35 3.446 15 24 3.446 16 25 6.338 16 1 5.629 16 44 5.629 16 2 3.446 16 36 6.338 16 12 3.446 16 27 4.583 16 15 1.000 16 17 4.086 16 31 5.332 16 22 3.446 16 24 5.332 16 14 6.875 16 33 6.532 16 38 4.989 16 26 5.332 16 34 3.446 16 10 1.000 16 45 5.332 16 28 5.332 17 4 2.543 17 22 1.000 17 6 7.028 17 5 2.543 17 23 1.000 17 10 2.543 17 11 4.989 17 2 2.543 17 35 5.629 17 19 1.000 17 17 3.446 17 20 6.126 17 31 3.446 17 37 1.000 17 24 1.000 17 14 4.583 17 25 6.532 17 33 1.000 17 34 2.543 17 27 2.543 17 28 5.629 17 29 5.332 17 18 1.000 18 2 1.000 18 23 1.000 18 10 2.543 18 4 2.543 18 14 4.086 18 19 1.000 18 5 1.000 18 18 1.000 18 21 4.989 18 33 1.000 18 22 1.000 18 28 5.629 19 1 7.881 19 44 7.307 19 3 5.891 19 7 1.000 19 9 2.543 19 23 1.000 19 10 2.543 19 15 4.583 19 16 2.543 19 14 4.086 19 4 2.543 19 36 2.543 19 12 6.710 19 48 5.629 19 47 2.543 19 30 2.543 19 29 5.629 19 33 1.000 19 34 2.543 19 27 3.446 19 6 6.532 19 17 3.446 19 43 1.000 19 8 1.000 19 5 1.000 19 42 2.543 19 20 5.891 19 22 1.000 19 24 5.629 19 25 5.629 19 35 6.126 19 45 7.307 19 46 7.669 19 18 1.000 19 19 1.000 19 41 5.629 19 39 2.543 19 28 5.891 19 21 7.172 19 11 4.989 20 6 2.543 20 9 1.000 20 11 5.332 20 5 4.583 20 19 5.891 20 20 4.086 20 10 4.086 20 18 7.554 21 43 1.000 21 11 2.543 21 12 3.446 21 15 3.446 21 17 4.086 21 30 5.332 21 22 2.543 21 24 5.332 21 34 3.446 22 3 4.583 22 4 1.000 22 6 7.434 22 7 2.543 22 8 1.000 22 23 1.000 22 10 1.000 22 31 2.543 22 16 1.000 22 11 4.583 22 5 2.543 22 17 1.000 22 21 5.332 22 39 1.000 22 18 1.000 22 46 3.446 22 20 4.583 23 21 5.332 23 7 4.086 23 43 5.891 23 16 5.332 23 32 5.332 23 17 6.126 23 37 5.332 23 13 4.989 23 35 5.891 24 12 4.989 24 1 5.629 24 44 6.126 24 2 2.543 24 22 1.000 24 9 1.000 24 23 1.000 24 14 4.583 24 15 5.332 24 16 2.543 24 5 2.543 24 18 1.000 24 45 5.332 24 26 4.989 24 27 1.000 24 10 2.543 24 24 5.629 24 28 5.891 24 29 4.989 24 46 5.629 25 6 4.583 25 43 1.000 25 34 2.543 25 46 4.583 25 41 4.989 25 12 4.989 25 15 5.891 25 32 4.989 25 17 5.629 25 48 5.332 25 30 3.446 25 37 4.989 25 49 4.989 25 18 5.891 25 24 5.629 25 33 1.000 25 27 3.446 25 50 4.989 26 1 4.583 26 44 3.446 26 2 4.583 26 4 5.629 26 43 4.583 26 9 4.086 26 23 4.583 26 46 3.446 26 10 6.126 26 11 4.989 26 15 4.583 26 36 5.332 26 5 4.583 26 19 4.086 26 32 2.543 26 48 4.583 26 42 4.086 26 30 4.086 26 20 5.629 26 31 1.000 26 29 5.891 26 22 2.543 26 24 1.000 26 33 5.332 26 38 5.891 26 26 4.583 26 27 1.000 26 45 3.446 26 28 5.629 26 18 4.989 26 14 4.989 27 4 1.000 27 6 7.434 27 7 1.000 27 9 1.000 27 23 1.000 27 10 1.000 27 11 4.989 27 12 5.891 27 19 1.000 27 16 1.000 27 13 1.000 27 5 1.000 27 18 1.000 27 17 1.000 27 39 1.000 27 20 6.875 27 21 6.126 27 33 1.000 27 27 4.989 27 35 6.710 27 28 5.891 27 29 6.875 28 21 1.000 28 44 1.000 28 3 1.000 28 1 1.000 28 48 1.000 28 17 1.000 28 9 1.000 28 10 1.000 28 11 4.086 28 12 1.000 28 15 1.000 28 13 1.000 28 36 1.000 28 5 1.000 28 47 1.000 28 39 1.000 28 37 2.543 28 28 1.000 28 22 1.000 28 24 2.543 28 25 7.172 28 27 3.446 28 45 1.000 28 46 1.000 28 50 2.543 29 1 4.989 29 44 4.989 29 26 2.543 29 9 4.989 29 10 3.446 29 12 4.086 29 15 4.583 29 18 4.989 29 5 4.086 29 27 1.000 29 24 4.086 29 34 1.000 29 45 4.989 29 28 2.543 29 29 5.891 29 46 4.989 30 31 4.989 30 6 6.338 30 7 1.000 30 11 4.989 30 12 2.543 30 14 1.000 30 15 6.532 30 16 1.000 30 13 2.543 30 21 4.086 30 9 1.000 30 35 5.629 30 29 5.332 31 4 5.629 31 6 2.543 31 26 1.000 31 9 1.000 31 10 5.891 31 15 6.126 31 16 5.629 31 19 4.086 31 37 1.000 31 31 5.629 31 29 5.629 31 18 7.434 31 23 1.000 31 35 2.543 31 28 6.126 32 1 4.583 32 9 1.000 32 11 4.583 32 15 5.332 32 13 5.891 32 5 2.543 32 31 3.446 32 22 1.000 32 25 4.583 32 28 4.086 32 46 4.989 32 18 3.446 32 14 1.000 32 20 4.989 33 1 1.000 33 2 5.629 33 6 7.028 33 9 5.332 33 23 4.086 33 10 6.126 33 16 4.583 33 19 2.543 33 12 4.989 33 29 4.086 33 28 3.446 33 4 1.000 33 5 4.086 33 32 4.583 33 20 4.583 33 18 5.891 33 22 2.543 33 11 4.086 34 2 5.891 34 4 3.446 34 25 4.086 34 5 4.086 34 19 4.086 34 17 3.446 34 37 1.000 34 31 6.532 34 33 2.543 34 35 7.307 34 24 7.434 35 2 1.000 35 6 6.338 35 7 1.000 35 12 4.583 35 4 4.989 35 19 4.989 35 21 5.332 35 20 5.891 35 18 5.332 35 23 4.989 35 10 4.989 35 35 4.086 36 4 6.126 36 33 1.000 36 23 6.532 36 10 6.126 36 3 4.086 36 16 4.583 36 36 5.629 36 20 6.338 36 22 2.543 36 18 7.307 36 14 5.891 36 38 5.891 36 12 1.000 36 28 5.891 37 2 3.446 37 4 4.583 37 23 5.629 37 10 5.332 37 12 4.086 37 5 4.989 37 19 4.086 37 17 4.583 37 20 5.891 37 31 4.989 37 22 1.000 37 18 5.629 37 24 5.891 37 28 4.086 38 1 4.989 38 44 4.989 38 2 1.000 38 3 1.000 38 28 1.000 38 43 1.000 38 8 1.000 38 9 1.000 38 15 1.000 38 36 1.000 38 32 5.332 38 39 1.000 38 37 2.543 38 31 7.307 38 18 1.000 38 24 6.338 38 25 7.028 38 34 1.000 38 27 2.543 38 45 4.583 38 29 4.086 39 12 4.086 39 26 1.000 39 43 1.000 39 9 4.583 39 11 4.989 39 24 4.583 39 34 2.543 39 45 3.446 39 18 5.891 40 12 3.446 40 16 4.086 40 2 4.086 40 4 3.446 40 43 1.000 40 5 3.446 40 9 4.086 40 23 4.583 40 19 5.891 40 17 1.000 40 20 5.332 40 21 4.583 40 31 6.126 40 22 1.000 40 24 4.086 40 14 2.543 40 33 5.332 40 38 3.446 40 34 2.543 40 27 2.543 40 10 4.989 40 35 5.629 40 18 7.881 41 21 5.629 41 2 3.446 41 6 2.543 41 43 1.000 41 31 5.891 41 19 2.543 41 37 4.989 41 9 1.000 41 29 5.332 41 27 2.543 41 35 6.126 41 20 1.000 42 21 1.000 42 2 3.446 42 4 1.000 42 9 1.000 42 10 1.000 42 12 1.000 42 15 1.000 42 16 1.000 42 13 1.000 42 19 1.000 42 37 1.000 42 24 1.000 42 34 1.000 42 27 2.543 42 28 4.989 43 2 4.086 43 4 2.543 43 6 6.875 43 43 5.332 43 8 3.446 43 9 1.000 43 23 1.000 43 10 2.543 43 12 4.989 43 14 5.332 43 15 4.989 43 13 2.543 43 35 6.126 43 5 3.446 43 19 1.000 43 39 2.543 43 37 5.332 43 20 6.126 43 21 3.446 43 22 1.000 43 16 1.000 43 33 1.000 43 38 3.446 43 27 2.543 43 28 5.332 43 29 4.583 43 18 1.000 43 11 5.332 44 1 2.543 44 44 2.543 44 23 1.000 44 10 1.000 44 15 2.543 44 13 1.000 44 19 1.000 44 29 2.543 44 50 3.446 44 12 1.000 44 47 2.543 44 48 3.446 44 33 3.446 44 34 1.000 44 27 1.000 44 21 1.000 44 43 2.543 44 5 1.000 44 32 1.000 44 42 1.000 44 24 2.543 44 25 3.446 44 26 2.543 44 45 2.543 44 46 2.543 44 11 4.086 44 18 1.000 44 39 1.000 45 31 1.000 45 1 6.875 45 44 7.307 45 4 1.000 45 6 2.543 45 26 1.000 45 8 2.543 45 5 1.000 45 9 4.086 45 23 1.000 45 12 6.532 45 15 4.583 45 16 3.446 45 13 1.000 45 36 4.086 45 19 4.583 45 39 1.000 45 28 6.875 45 20 7.307 45 21 6.710 45 22 4.086 45 18 1.000 45 24 7.307 45 25 6.875 45 33 7.307 45 38 6.875 45 34 1.000 45 27 5.891 45 10 1.000 45 35 6.126 45 49 2.543 45 45 7.028 45 29 6.710 45 46 6.532 45 14 6.875 46 4 4.086 46 6 4.583 46 7 1.000 46 43 5.332 46 9 2.543 46 10 2.543 46 12 2.543 46 16 1.000 46 36 1.000 46 19 2.543 46 32 2.543 46 17 1.000 46 37 1.000 46 20 4.086 46 29 5.332 46 5 1.000 46 18 3.446 46 23 1.000 46 38 2.543 46 35 4.086 47 1 4.583 47 2 4.086 47 6 6.338 47 9 2.543 47 10 2.543 47 15 5.629 47 3 4.989 47 36 3.446 47 18 1.000 47 4 2.543 47 37 2.543 47 23 1.000 47 31 4.086 47 22 1.000 47 29 2.543 47 33 5.332 47 35 4.583 47 28 4.086 47 14 4.086 47 20 4.989 48 1 4.086 48 44 4.086 48 2 3.446 48 3 2.543 48 4 3.446 48 7 3.446 48 17 1.000 48 43 5.332 48 8 2.543 48 41 1.000 48 9 2.543 48 23 1.000 48 10 1.000 48 14 5.332 48 15 2.543 48 5 4.989 48 19 4.583 48 47 2.543 48 32 2.543 48 48 2.543 48 42 2.543 48 30 2.543 48 28 5.629 48 26 2.543 48 31 3.446 48 49 1.000 48 22 1.000 48 24 2.543 48 33 4.583 48 38 2.543 48 34 2.543 48 27 2.543 48 45 4.583 48 29 2.543 48 46 4.086 48 18 1.000 49 31 5.332 49 1 5.629 49 44 5.629 49 2 4.583 49 4 1.000 49 38 5.629 49 22 1.000 49 10 3.446 49 6 6.532 49 7 1.000 49 9 6.126 49 23 1.000 49 26 5.629 49 5 2.543 49 14 5.332 49 19 4.086 49 16 4.583 49 18 6.532 49 47 5.629 49 45 5.332 49 20 6.126 49 24 4.989 49 33 5.629 49 34 5.629 49 27 4.989 49 35 5.891 49 28 5.629 49 29 6.338 50 1 5.629 50 44 5.629 50 2 5.332 50 4 4.989 50 46 6.338 50 10 3.446 50 43 2.543 50 15 5.891 50 5 2.543 50 19 4.989 50 18 1.000 50 37 4.086 50 45 5.629 50 20 5.332 50 31 4.583 50 23 1.000 50 24 6.532 51 3 5.332 51 9 4.086 51 10 1.000 51 11 5.332 51 12 4.583 51 19 3.446 51 15 1.000 51 13 2.543 51 34 5.332 51 29 5.629 52 4 6.875 52 6 7.434 52 9 4.583 52 10 4.989 52 12 1.000 52 5 6.710 52 19 7.028 52 39 6.338 52 37 3.446 52 20 7.172 52 18 4.583 52 23 4.989 52 13 3.446 52 35 7.028 52 11 2.543 53 6 5.332 53 7 1.000 53 23 3.446 53 37 3.446 53 21 3.446 53 29 1.000 53 35 7.172 53 18 2.543 54 2 3.446 54 4 5.891 54 6 1.000 54 43 2.543 54 5 6.875 54 23 6.710 54 10 5.891 54 9 1.000 54 12 6.126 54 16 4.989 54 36 1.000 54 32 7.172 54 20 6.338 54 7 4.989 54 34 5.629 54 24 6.710 54 18 7.172 55 1 4.086 55 44 4.086 55 3 4.086 55 38 1.000 55 26 5.629 55 9 4.583 55 11 4.583 55 32 2.543 55 48 4.583 55 31 1.000 55 22 1.000 55 34 4.583 55 45 4.989 55 50 5.891 56 12 4.989 56 2 4.086 56 4 4.989 56 38 4.086 56 6 6.338 56 43 3.446 56 8 1.000 56 10 5.332 56 16 4.086 56 36 4.583 56 5 1.000 56 19 4.989 56 39 4.086 56 37 2.543 56 20 5.891 56 21 4.989 56 31 6.126 56 24 4.989 56 27 1.000 56 35 5.629 56 28 4.989 56 29 5.891 56 46 4.086 56 18 6.126 57 21 4.086 57 1 3.446 57 44 3.446 57 6 6.532 57 9 5.332 57 46 3.446 57 12 3.446 57 31 4.086 57 15 6.532 57 32 4.583 57 17 3.446 57 42 4.086 57 39 3.446 57 37 3.446 57 29 3.446 57 26 4.086 57 34 1.000 57 24 3.446 57 45 3.446 58 1 5.891 58 2 4.989 58 38 4.583 58 6 6.532 58 36 5.891 58 9 4.583 58 23 5.332 58 12 4.989 58 19 5.629 58 4 5.332 58 32 6.126 58 16 4.989 58 31 5.891 58 20 5.629 58 21 4.989 58 22 5.629 58 24 5.332 58 25 4.989 58 10 5.629 58 35 4.583 58 28 4.583 58 18 4.086 58 14 5.332 59 4 5.891 59 47 5.891 59 8 6.126 59 27 5.891 59 41 5.891 59 15 6.532 59 36 7.554 59 17 5.891 59 32 5.891 59 48 7.669 59 42 5.891 59 39 5.891 59 49 5.891 59 21 5.891 59 31 6.338 59 22 6.126 59 33 5.891 59 38 5.891 59 13 5.891 59 28 6.126 59 50 5.891 60 1 4.989 60 44 4.583 60 2 1.000 60 9 2.543 60 13 1.000 60 29 1.000 60 14 2.543 60 4 1.000 60 7 4.583 60 17 1.000 60 36 5.332 60 47 1.000 60 48 4.583 60 33 1.000 60 38 2.543 60 34 3.446 60 43 2.543 60 5 1.000 60 45 4.989 60 18 1.000 60 19 2.543 60 28 2.543 60 21 4.086 60 22 2.543 61 3 1.000 61 32 1.000 61 43 3.446 61 8 1.000 61 9 2.543 61 41 1.000 61 16 1.000 61 47 1.000 61 4 3.446 61 48 1.000 61 42 1.000 61 23 1.000 61 27 1.000 61 10 2.543 61 29 1.000 61 18 2.543 62 1 4.086 62 44 4.086 62 11 4.086 62 15 3.446 62 16 4.086 62 36 3.446 62 17 4.086 62 31 5.332 62 33 5.332 62 45 3.446 62 6 1.000 62 50 4.086 62 8 1.000 63 21 4.583 63 1 4.583 63 44 3.446 63 2 3.446 63 6 6.338 63 36 3.446 63 5 1.000 63 23 1.000 63 10 1.000 63 12 1.000 63 32 2.543 63 39 1.000 63 26 4.583 63 31 4.086 63 46 4.583 63 22 1.000 63 18 1.000 63 24 3.446 63 33 4.583 63 27 4.583 63 45 3.446 63 28 4.583 63 29 1.000 63 14 4.583 64 2 1.000 64 43 5.332 64 9 1.000 64 10 1.000 64 12 5.891 64 5 5.332 64 18 1.000 64 33 5.891 64 24 4.989 64 29 5.332 65 4 3.446 65 43 3.446 65 9 3.446 65 11 3.446 65 12 1.000 65 15 3.446 65 36 3.446 65 5 1.000 65 31 4.086 65 38 1.000 65 27 1.000 65 10 1.000 65 35 1.000 65 24 2.543 65 18 2.543 66 12 2.543 66 6 2.543 66 8 1.000 66 9 4.583 66 15 4.989 66 32 4.989 66 39 1.000 66 37 1.000 66 31 4.989 66 24 4.989 66 26 4.583 66 34 3.446 66 35 4.989 67 36 4.989 67 29 1.000 67 17 1.000 67 31 1.000 67 22 1.000 67 38 1.000 67 6 1.000 67 14 1.000 68 2 2.543 68 4 1.000 68 7 1.000 68 6 1.000 68 5 1.000 68 23 1.000 68 10 1.000 68 14 4.086 68 16 1.000 68 35 6.126 68 19 5.332 68 20 6.710 68 21 5.332 68 33 1.000 68 22 1.000 68 28 5.332 68 29 5.332 68 18 1.000 69 44 5.629 69 1 5.629 69 11 4.989 69 15 5.891 69 13 5.629 69 45 5.629 69 29 5.891 69 46 5.629 70 4 5.629 70 7 1.000 70 6 4.989 70 43 3.446 70 9 1.000 70 23 1.000 70 10 1.000 70 15 5.332 70 16 1.000 70 11 1.000 70 19 1.000 70 32 1.000 70 17 1.000 70 39 1.000 70 31 4.086 70 22 1.000 70 24 4.086 70 25 1.000 70 33 5.332 70 38 2.543 70 34 1.000 70 27 1.000 70 12 1.000 70 35 4.583 70 28 2.543 70 29 5.332 70 18 4.583 70 20 4.989 71 10 5.629 71 31 6.532 71 16 5.629 71 5 7.028 71 19 5.629 71 17 1.000 71 2 3.446 71 37 6.710 71 18 1.000 71 35 7.881 71 6 4.583 71 20 5.891 72 11 1.000 72 9 4.086 72 12 5.629 72 15 5.332 72 13 1.000 72 43 1.000 72 39 2.543 72 21 5.629 72 25 6.532 72 16 5.332 72 26 5.891 72 20 4.086 73 4 3.446 73 6 4.583 73 7 2.543 73 9 1.000 73 23 3.446 73 10 2.543 73 11 1.000 73 17 2.543 73 5 4.086 73 39 3.446 73 37 2.543 73 20 5.332 73 21 5.629 73 27 2.543 73 35 7.669 74 4 6.126 74 6 2.543 74 7 1.000 74 12 1.000 74 16 7.028 74 19 4.086 74 21 6.710 74 25 4.583 74 27 2.543 74 35 7.434 75 9 2.543 75 11 4.583 75 12 5.629 75 16 5.891 75 32 5.332 75 37 1.000 75 27 5.891 75 35 6.338 76 8 1.000 76 3 3.446 76 43 1.000 76 10 4.583 76 11 4.583 76 42 2.543 76 20 1.000 76 31 4.989 76 24 4.086 76 14 1.000 76 26 4.583 76 34 4.583 76 27 2.543 76 29 4.583 77 21 1.000 77 6 6.532 77 7 2.543 77 43 2.543 77 23 1.000 77 10 4.086 77 11 1.000 77 15 3.446 77 16 4.086 77 32 2.543 77 17 1.000 77 48 4.086 77 42 5.629 77 30 5.891 77 39 2.543 77 37 2.543 77 20 4.989 77 31 4.989 77 18 4.086 77 35 4.583 77 29 4.086 78 31 1.000 78 44 4.583 78 43 5.629 78 1 4.583 78 9 4.086 78 11 4.583 78 12 4.989 78 15 4.086 78 32 4.989 78 39 2.543 78 29 4.583 78 33 4.583 78 46 4.989 78 18 4.086 78 19 1.000 78 10 4.086 78 45 4.583 79 4 5.629 79 38 4.583 79 9 1.000 79 23 4.583 79 43 4.086 79 36 1.000 79 5 4.989 79 32 1.000 79 30 5.332 79 39 4.086 79 20 5.629 79 22 4.989 79 14 4.583 79 33 5.332 79 10 5.629 79 46 4.086 79 18 4.583 80 25 1.000 80 1 1.000 80 44 1.000 80 2 1.000 80 6 1.000 80 43 1.000 80 8 1.000 80 40 1.000 80 41 2.543 80 15 1.000 80 32 1.000 80 17 2.543 80 48 2.543 80 39 1.000 80 45 1.000 80 31 1.000 80 24 1.000 80 26 1.000 80 27 1.000 80 49 1.000 80 29 1.000 80 46 1.000 80 50 1.000 81 12 1.000 81 2 3.446 81 4 1.000 81 11 4.583 81 17 1.000 81 36 1.000 81 5 3.446 81 19 1.000 81 29 3.446 81 18 1.000 81 24 2.543 81 14 1.000 81 33 3.446 81 26 1.000 81 38 3.446 81 6 6.338 82 9 1.000 82 23 1.000 82 10 1.000 82 15 1.000 82 14 1.000 82 17 1.000 82 36 1.000 82 29 1.000 82 33 1.000 82 34 1.000 82 27 1.000 82 28 1.000 82 43 4.086 82 8 1.000 82 11 4.086 82 5 1.000 82 32 1.000 82 24 1.000 82 26 1.000 82 18 1.000 82 39 1.000 82 22 1.000 83 4 5.891 83 23 5.629 83 10 5.891 83 2 5.891 83 36 6.532 83 5 6.126 83 19 5.629 83 20 6.126 83 33 4.989 83 7 4.989 83 22 5.332 83 18 6.875 83 38 4.989 83 28 6.532 84 12 4.583 84 4 5.629 84 6 7.172 84 43 4.086 84 8 5.629 84 9 1.000 84 26 4.086 84 31 6.126 84 18 7.172 84 16 5.332 84 3 5.332 84 5 4.583 84 17 5.332 84 24 5.332 84 25 5.332 84 27 3.446 84 35 4.086 84 29 5.629 85 25 7.172 85 1 4.086 85 44 4.989 85 2 1.000 85 7 2.543 85 9 4.989 85 15 4.086 85 36 3.446 85 39 2.543 85 22 5.332 85 29 1.000 85 24 4.086 85 35 4.989 85 45 4.989 85 28 4.086 86 4 6.126 86 6 3.446 86 11 2.543 86 5 1.000 86 20 5.891 86 21 2.543 86 35 3.446 86 28 5.891 87 2 1.000 87 10 2.543 87 31 3.446 87 27 2.543 87 5 2.543 87 19 1.000 87 17 4.086 87 8 1.000 87 20 4.583 87 21 1.000 87 24 4.086 87 33 1.000 87 38 2.543 87 35 4.989 87 28 1.000 87 6 1.000 87 29 1.000 87 18 4.086 88 12 1.000 88 1 4.086 88 16 4.086 88 6 1.000 88 47 1.000 88 5 2.543 88 32 2.543 88 17 1.000 88 37 2.543 88 31 5.332 88 18 1.000 88 27 4.583 88 35 5.332 88 24 3.446 88 29 2.543 88 20 1.000 89 21 4.086 89 31 5.629 89 2 3.446 89 3 4.086 89 4 5.891 89 9 2.543 89 23 4.989 89 10 5.891 89 11 4.989 89 15 5.891 89 36 5.629 89 5 5.332 89 19 5.629 89 39 3.446 89 20 4.989 89 22 1.000 89 18 7.554 89 14 5.629 89 25 1.000 89 33 5.629 89 38 5.629 89 26 5.629 89 34 5.629 89 27 2.543 89 28 5.891 89 29 6.126 90 3 1.000 90 9 3.446 90 32 5.332 90 36 4.989 90 17 4.989 90 37 4.086 90 31 5.891 90 24 5.332 90 14 6.875 90 33 6.710 90 38 5.629 90 26 5.629 90 34 5.332 90 35 5.891 90 28 6.338 91 2 1.000 91 4 4.989 91 6 6.875 91 9 4.086 91 10 4.086 91 31 5.332 91 11 5.332 91 12 2.543 91 15 7.028 91 19 4.989 91 32 3.446 91 39 4.086 91 20 5.332 91 24 5.332 91 28 2.543 91 18 4.583 92 31 6.532 92 16 5.629 92 19 5.629 92 17 4.086 92 27 4.086 92 15 7.777 92 20 2.543 92 25 9.571 92 13 3.446 92 11 4.989 92 37 3.446 93 6 6.875 93 7 4.989 93 43 5.332 93 11 4.989 93 12 4.989 93 32 1.000 93 16 4.989 93 13 5.332 93 5 4.989 93 39 4.989 93 37 2.543 93 20 4.989 93 21 5.629 93 31 5.332 93 18 5.629 93 25 7.028 93 27 5.332 93 29 4.989 94 1 4.086 94 44 4.086 94 2 4.086 94 3 5.629 94 4 5.629 94 6 6.710 94 43 5.332 94 9 4.086 94 10 5.332 94 12 4.989 94 15 6.126 94 32 5.332 94 13 5.332 94 36 5.332 94 19 6.126 94 47 5.332 94 37 4.583 94 31 5.629 94 7 3.446 94 22 2.543 94 18 6.126 94 24 5.332 94 25 6.338 94 33 5.629 94 29 5.629 94 38 4.583 94 45 4.086 94 28 5.332 94 46 4.086 95 23 4.583 95 11 4.583 95 19 4.086 95 20 1.000 95 21 4.583 95 31 4.583 95 39 4.989 95 18 5.332 95 25 6.710 95 27 4.086 95 29 5.891 96 25 6.710 96 26 1.000 96 9 2.543 96 11 4.989 96 15 3.446 96 13 1.000 96 19 2.543 96 31 4.086 96 27 4.583 97 2 3.446 97 4 1.000 97 8 1.000 97 10 2.543 97 19 1.000 97 16 1.000 97 5 2.543 97 17 2.543 97 42 4.989 97 39 1.000 97 20 6.126 97 21 4.989 97 22 1.000 97 18 1.000 97 35 5.332 97 28 7.881 97 29 5.332 98 7 5.629 98 6 6.532 98 31 5.891 98 43 1.000 98 8 3.446 98 16 1.000 98 17 5.891 98 37 5.332 98 20 4.086 98 25 3.446 99 44 7.028 99 43 3.446 99 1 4.989 99 11 1.000 99 15 8.253 99 8 2.543 99 5 7.554 99 19 6.126 99 39 1.000 99 37 3.446 99 31 4.989 99 29 7.307 99 23 1.000 99 24 4.086 99 33 7.172 99 27 4.086 99 35 4.086 99 45 4.583 99 28 7.777 99 6 3.446 100 1 4.086 100 44 4.086 100 9 3.446 100 15 7.028 100 29 4.086 100 4 4.086 100 12 5.332 100 34 5.332 100 43 1.000 100 32 1.000 100 24 4.086 100 25 6.126 100 26 1.000 100 45 4.583 101 4 5.629 101 19 1.000 101 43 4.989 101 9 2.543 101 12 1.000 101 15 4.989 101 31 5.629 101 24 4.583 101 27 4.086 101 46 2.543 101 18 1.000 102 2 2.543 102 14 4.086 102 28 4.989 102 17 4.086 102 5 4.086 102 18 4.583 102 40 2.543 102 41 4.086 102 11 4.989 102 6 6.875 102 10 4.989 102 15 5.629 102 50 3.446 102 8 3.446 102 36 2.543 102 47 3.446 102 49 2.543 102 4 4.583 102 20 6.338 102 24 4.989 102 21 3.446 102 3 1.000 102 9 2.543 102 23 2.543 102 19 4.583 102 7 2.543 102 12 3.446 102 48 1.000 102 30 4.583 102 34 4.086 102 42 3.446 102 26 3.446 102 13 1.000 102 39 3.446 102 16 2.543 102 31 4.989 102 33 4.086 102 38 4.583 102 27 1.000 102 32 1.000 102 35 5.891 102 37 4.086 102 22 2.543 103 1 2.543 103 44 2.543 103 7 2.543 103 10 4.989 103 31 4.583 103 15 6.126 103 36 3.446 103 32 2.543 103 39 2.543 103 21 2.543 103 22 1.000 103 37 2.543 103 27 3.446 103 24 5.891 103 45 2.543 103 28 4.583 103 11 4.989 104 1 4.086 104 44 4.086 104 6 1.000 104 43 4.989 104 23 2.543 104 10 5.891 104 11 4.583 104 15 2.543 104 32 4.583 104 19 5.332 104 45 4.583 104 25 3.446 104 26 4.086 104 12 1.000 104 29 4.583 104 18 6.710 104 20 4.989 105 2 1.000 105 4 6.710 105 9 3.446 105 23 3.446 105 14 7.554 105 6 1.000 105 19 6.532 105 30 7.980 105 20 8.074 105 21 8.644 105 22 4.086 105 18 6.532 105 33 6.875 105 38 7.554 105 10 4.989 105 35 7.669 105 28 8.496 105 29 8.165 106 2 2.543 106 4 5.332 106 7 4.583 106 10 4.583 106 35 4.583 106 5 5.332 106 19 5.332 106 42 5.332 106 30 5.629 106 39 1.000 106 20 4.583 106 22 2.543 106 23 1.000 106 38 5.332 106 28 4.086 106 29 1.000 106 18 5.332 107 4 4.086 107 6 7.172 107 7 5.629 107 43 5.629 107 15 4.086 107 32 5.332 107 17 5.332 107 39 5.629 107 37 5.332 107 21 5.332 107 31 6.710 107 27 4.086 107 35 6.126 107 24 4.086 108 16 5.332 108 4 4.583 108 6 7.028 108 9 4.989 108 11 4.583 108 43 1.000 108 17 6.338 108 37 5.332 108 21 1.000 108 31 5.629 108 10 4.583 108 35 4.989 109 2 5.332 109 4 5.629 109 6 6.532 109 7 3.446 109 9 4.989 109 23 3.446 109 10 2.543 109 11 4.583 109 12 2.543 109 36 4.086 109 19 2.543 109 17 3.446 109 20 5.891 109 21 4.086 109 22 2.543 109 35 4.086 109 18 5.332 109 14 2.543 110 2 4.086 110 4 6.126 110 6 4.086 110 8 4.583 110 5 4.583 110 23 2.543 110 10 2.543 110 11 4.086 110 43 5.332 110 16 4.583 110 37 4.086 110 19 2.543 110 17 4.086 110 15 1.000 110 28 4.086 110 20 5.629 110 21 3.446 110 9 4.086 110 31 5.891 110 22 1.000 110 18 2.543 110 24 4.086 110 35 4.086 111 21 4.989 111 12 5.629 111 2 5.629 111 4 3.446 111 6 5.332 111 7 2.543 111 19 1.000 111 5 3.446 111 23 4.989 111 10 4.583 111 16 2.543 111 36 8.496 111 18 1.000 111 39 2.543 111 31 5.891 111 29 5.629 111 22 1.000 111 25 9.155 111 14 5.629 111 35 7.172 111 28 6.338 111 20 5.629 112 21 5.332 112 11 4.583 112 12 4.989 112 15 5.891 112 29 4.086 113 21 1.000 113 19 3.446 113 43 2.543 113 8 2.543 113 10 3.446 113 31 6.126 113 12 4.086 113 41 3.446 113 47 3.446 113 15 6.126 113 32 2.543 113 16 3.446 113 36 2.543 113 18 3.446 113 17 2.543 113 48 3.446 113 42 2.543 113 39 2.543 113 49 2.543 113 22 2.543 113 24 4.989 113 38 2.543 113 27 3.446 113 28 2.543 113 29 3.446 114 2 4.086 114 3 4.583 114 22 2.543 114 6 7.028 114 7 2.543 114 5 3.446 114 9 4.086 114 10 2.543 114 12 1.000 114 27 1.000 114 36 1.000 114 4 1.000 114 8 2.543 114 16 3.446 114 19 2.543 114 17 2.543 114 39 3.446 114 35 4.989 114 20 4.989 114 31 4.583 114 18 2.543 114 23 2.543 114 24 4.086 114 33 4.583 114 38 4.583 114 26 4.583 114 13 2.543 114 28 4.583 114 11 4.086 115 3 1.000 115 4 1.000 115 38 1.000 115 8 1.000 115 34 1.000 115 9 5.332 115 10 1.000 115 12 1.000 115 15 1.000 115 16 1.000 115 13 1.000 115 36 5.332 115 18 1.000 115 19 1.000 115 47 1.000 115 39 1.000 115 37 2.543 115 31 1.000 115 49 5.332 115 22 4.989 115 23 1.000 115 33 1.000 115 27 1.000 116 25 6.338 116 1 2.543 116 44 2.543 116 26 4.086 116 9 1.000 116 46 2.543 116 3 3.446 116 11 4.583 116 12 5.332 116 15 5.891 116 13 1.000 116 36 2.543 116 31 4.583 116 29 4.989 116 24 4.583 116 33 4.583 116 38 4.989 116 34 4.989 116 45 2.543 116 28 1.000 116 6 1.000 117 25 7.172 117 2 4.989 117 4 3.446 117 7 2.543 117 5 4.086 117 9 2.543 117 31 6.710 117 11 6.126 117 12 6.710 117 14 6.875 117 41 7.172 117 16 2.543 117 13 2.543 117 17 4.583 117 18 2.543 117 48 7.172 117 49 7.307 117 21 6.532 117 20 7.172 117 19 1.000 117 33 1.000 117 22 2.543 117 23 3.446 117 24 7.172 117 28 6.126 117 34 2.543 117 10 3.446 117 35 6.875 118 12 4.583 118 4 1.000 118 6 6.875 118 23 1.000 118 10 1.000 118 11 4.583 118 32 1.000 118 16 1.000 118 19 1.000 118 17 4.086 118 39 2.543 118 20 5.629 118 21 4.086 118 31 4.583 118 29 2.543 118 18 1.000 118 24 4.583 118 25 3.446 118 35 5.629 119 1 3.446 119 6 1.000 119 44 3.446 119 12 3.446 119 43 4.989 119 15 4.989 119 32 4.583 119 37 2.543 119 27 2.543 119 35 4.583 119 45 3.446 120 25 4.989 120 2 1.000 120 3 4.989 120 4 1.000 120 23 1.000 120 5 1.000 120 20 6.338 120 21 1.000 120 22 1.000 120 24 4.989 120 27 3.446 120 28 5.332 121 21 2.543 121 44 3.446 121 4 1.000 121 7 1.000 121 43 3.446 121 1 3.446 121 23 1.000 121 10 1.000 121 31 5.891 121 15 2.543 121 16 2.543 121 35 5.332 121 19 4.086 121 32 4.086 121 39 1.000 121 45 3.446 121 29 3.446 121 46 3.446 121 18 1.000 122 3 4.989 122 9 4.086 122 40 5.332 122 11 4.086 122 12 4.583 122 41 4.086 122 15 2.543 122 13 1.000 122 24 3.446 122 26 5.332 122 29 4.583 123 18 1.000 123 2 2.543 123 4 4.086 123 6 6.338 123 7 4.086 123 23 1.000 123 10 1.000 123 15 3.446 123 19 5.629 123 39 4.086 123 21 3.446 123 9 3.446 123 35 5.332 123 29 4.086 123 11 4.583 124 2 5.332 124 4 5.629 124 6 7.172 124 10 4.583 124 11 1.000 124 19 5.629 124 16 1.000 124 36 2.543 124 5 5.629 124 37 1.000 124 20 6.338 124 29 2.543 124 22 1.000 124 23 4.989 124 24 3.446 124 33 1.000 124 38 4.583 124 35 6.126 124 28 5.629 124 18 5.891 124 14 4.583 125 31 1.000 125 2 4.989 125 3 1.000 125 4 2.543 125 43 2.543 125 8 1.000 125 10 1.000 125 16 1.000 125 36 2.543 125 18 2.543 125 19 2.543 125 17 1.000 125 20 4.086 125 21 1.000 125 22 2.543 125 23 2.543 125 33 4.989 125 38 1.000 125 27 1.000 125 35 4.583 125 28 3.446 125 29 4.583 126 44 5.629 126 2 2.543 126 4 5.891 126 1 5.332 126 26 1.000 126 12 5.629 126 15 5.629 126 11 4.583 126 43 3.446 126 48 5.332 126 30 5.629 126 24 5.629 126 34 5.629 126 28 5.332 126 18 6.532 126 50 5.629 127 6 2.543 127 9 2.543 127 10 4.989 127 11 4.989 127 32 5.332 127 37 4.086 127 29 4.086 127 24 5.332 127 35 4.989 128 2 4.086 128 10 2.543 128 36 5.891 128 5 4.086 128 19 6.338 128 37 5.629 128 20 4.086 128 21 2.543 128 31 6.126 128 24 4.086 129 12 5.629 129 23 4.989 129 46 4.086 129 10 8.715 129 16 6.532 129 5 9.038 129 19 7.028 129 4 7.980 129 39 5.332 129 37 6.875 129 21 4.086 129 33 5.332 129 38 4.086 129 18 3.446 129 20 6.875 130 1 6.126 130 44 5.332 130 2 7.028 130 3 7.172 130 9 3.446 130 15 4.583 130 16 2.543 130 13 1.000 130 14 4.989 130 6 4.086 130 29 5.891 130 50 7.434 130 25 2.543 130 12 5.629 130 17 1.000 130 47 1.000 130 30 1.000 130 33 1.000 130 27 3.446 130 49 6.338 130 28 6.710 130 42 1.000 130 20 4.583 130 22 2.543 130 26 6.532 130 35 3.446 130 45 5.891 130 46 6.338 130 11 6.532 130 40 6.532 130 41 6.532 130 21 5.332 131 21 2.543 131 1 1.000 131 44 2.543 131 3 2.543 131 7 3.446 131 11 4.989 131 12 4.086 131 16 1.000 131 36 1.000 131 43 1.000 131 19 2.543 131 32 2.543 131 46 1.000 131 37 1.000 131 26 3.446 131 6 5.629 131 35 4.086 131 45 1.000 131 29 3.446 132 44 3.446 132 6 6.532 132 7 2.543 132 43 2.543 132 8 2.543 132 10 3.446 132 11 4.583 132 19 3.446 132 4 3.446 132 16 2.543 132 36 3.446 132 5 3.446 132 18 3.446 132 32 3.446 132 17 2.543 132 39 3.446 132 21 2.543 132 31 2.543 132 46 3.446 132 24 3.446 132 27 3.446 132 45 3.446 133 2 1.000 133 4 5.629 133 7 1.000 133 9 5.332 133 23 5.629 133 10 5.629 133 12 2.543 133 15 5.629 133 5 3.446 133 18 1.000 133 19 5.629 133 17 3.446 133 20 6.126 133 21 4.583 133 22 3.446 133 35 5.332 133 14 1.000 133 11 4.583 134 31 4.086 134 1 5.629 134 44 5.629 134 6 6.875 134 9 4.583 134 10 5.891 134 11 5.332 134 12 5.629 134 43 5.891 134 15 1.000 134 13 3.446 134 5 4.583 134 19 5.629 134 47 3.446 134 29 5.332 134 18 4.989 134 26 5.891 134 24 5.891 134 45 5.629 134 46 5.629 135 2 8.418 135 14 8.418 135 36 4.989 135 5 6.532 135 29 4.583 135 37 2.543 135 21 6.875 135 18 10.000 135 33 2.543 135 35 7.172 135 28 8.496 136 3 4.086 136 6 6.875 136 7 2.543 136 9 1.000 136 12 4.583 136 43 1.000 136 11 4.086 136 17 1.000 136 37 1.000 136 20 4.086 136 24 2.543 136 26 4.583 136 35 5.629 137 1 4.086 137 44 4.086 137 43 4.989 137 11 4.583 137 15 5.891 137 13 2.543 137 19 1.000 137 45 5.332 137 46 4.086 137 18 2.543 138 1 5.629 138 44 5.332 138 3 5.629 138 7 2.543 138 9 1.000 138 40 5.332 138 11 4.583 138 41 5.332 138 15 5.891 138 25 5.629 138 34 5.332 138 27 2.543 138 24 5.332 138 49 5.332 138 45 5.629 138 46 5.629 139 6 2.543 139 7 5.332 139 43 1.000 139 12 4.989 139 17 6.338 139 20 6.126 139 21 2.543 139 31 5.332 139 35 4.086 140 3 5.891 140 4 5.629 140 23 1.000 140 10 1.000 140 5 5.629 140 19 5.891 140 20 6.532 140 22 1.000 140 18 5.332 141 25 6.338 141 18 2.543 141 1 2.543 141 44 2.543 141 38 2.543 141 11 3.446 141 23 2.543 141 10 2.543 141 15 4.583 141 2 4.583 141 35 4.583 141 36 4.086 141 19 2.543 141 20 5.332 141 46 2.543 141 33 1.000 141 45 2.543 141 28 1.000 141 29 4.583 141 14 4.086 142 2 5.332 142 38 4.583 142 6 1.000 142 26 5.332 142 23 1.000 142 10 1.000 142 19 4.583 142 5 3.446 142 18 1.000 142 37 4.989 142 22 1.000 142 24 4.989 142 33 6.126 142 28 6.126 142 14 5.332 143 33 5.332 143 47 2.543 143 2 4.583 143 4 1.000 143 38 1.000 143 19 1.000 143 23 4.583 143 10 4.583 143 12 3.446 143 15 8.644 143 36 4.989 143 5 5.629 143 20 3.446 143 31 6.126 143 22 7.669 143 18 6.875 143 37 1.000 143 24 5.332 143 28 4.086 143 29 1.000 144 21 2.543 144 8 2.543 144 43 1.000 144 16 6.126 144 5 5.891 144 32 4.086 144 20 6.338 144 39 5.332 144 23 4.583 144 35 7.669 144 29 6.710 144 18 5.629 145 21 7.307 145 2 7.172 145 4 8.644 145 23 7.307 145 10 8.253 145 11 5.891 145 46 4.086 145 36 7.172 145 5 6.710 145 19 7.172 145 17 1.000 145 48 5.629 145 39 4.086 145 20 7.434 145 31 5.629 145 22 4.583 145 18 8.337 145 33 6.126 145 38 7.980 145 28 7.172 145 14 7.172 146 4 5.891 146 43 2.543 146 9 5.332 146 23 6.126 146 10 6.710 146 19 4.583 146 37 4.583 146 20 5.332 146 35 4.989 146 18 7.881 147 25 5.332 147 12 1.000 147 31 1.000 147 2 2.543 147 3 1.000 147 4 1.000 147 6 6.338 147 7 1.000 147 23 1.000 147 11 4.583 147 15 1.000 147 32 2.543 147 16 1.000 147 13 1.000 147 36 1.000 147 5 2.543 147 18 1.000 147 17 1.000 147 10 1.000 147 39 1.000 147 20 4.583 147 21 1.000 147 22 1.000 147 19 1.000 147 14 2.543 147 33 2.543 147 38 2.543 147 26 2.543 147 34 1.000 147 27 1.000 147 35 4.086 147 24 2.543 147 28 2.543 147 29 1.000 148 4 4.583 148 6 6.532 148 8 3.446 148 5 1.000 148 31 7.554 148 32 4.086 148 17 4.583 148 39 4.086 148 37 2.543 148 9 1.000 148 27 4.086 148 10 2.543 148 35 3.446 148 28 3.446 148 18 1.000 148 50 4.086 149 6 6.338 149 7 1.000 149 1 1.000 149 44 1.000 149 9 2.543 149 11 4.086 149 12 1.000 149 15 1.000 149 32 1.000 149 31 1.000 149 39 1.000 149 21 1.000 149 46 1.000 149 29 1.000 149 25 1.000 149 26 1.000 149 34 1.000 149 27 1.000 149 35 4.583 149 24 1.000 149 45 1.000 150 2 1.000 150 6 3.446 150 10 5.332 150 11 4.086 150 12 2.543 150 40 1.000 150 41 1.000 150 36 4.086 150 5 1.000 150 19 2.543 150 20 5.332 150 31 1.000 150 22 1.000 150 24 1.000 150 14 3.446 150 33 3.446 150 38 2.543 150 26 1.000 150 34 1.000 150 27 1.000 150 49 1.000 150 28 4.989 150 18 1.000 151 1 1.000 151 44 1.000 151 3 1.000 151 9 1.000 151 15 1.000 151 13 1.000 151 19 1.000 151 12 1.000 151 48 1.000 151 29 1.000 151 34 1.000 151 43 4.989 151 8 1.000 151 32 1.000 151 26 1.000 151 45 1.000 151 41 1.000 152 25 7.028 152 1 4.086 152 44 4.583 152 2 4.989 152 36 2.543 152 9 4.583 152 43 2.543 152 40 2.543 152 41 3.446 152 15 4.989 152 28 4.086 152 31 5.332 152 22 1.000 152 14 4.583 152 38 4.583 152 49 4.086 152 45 4.086 152 46 4.086 153 12 2.543 153 4 6.126 153 6 1.000 153 5 5.629 153 9 5.332 153 10 6.875 153 15 6.338 153 36 1.000 153 19 5.332 153 32 1.000 153 20 6.338 153 21 1.000 153 24 5.629 153 35 1.000 154 6 6.875 154 2 4.989 154 5 4.989 154 11 4.989 154 16 4.989 154 18 4.583 154 19 4.989 154 20 3.446 154 21 4.989 154 35 5.332 155 2 5.332 155 6 7.881 155 9 5.332 155 10 5.891 155 16 6.126 155 31 3.446 155 14 6.126 155 29 6.126 155 7 5.629 155 12 6.126 155 33 1.000 155 38 3.446 155 27 5.629 155 8 4.086 155 5 6.710 155 20 7.307 155 13 5.332 155 35 7.434 155 39 6.338 155 28 6.338 155 21 6.532 155 22 5.629 156 33 5.629 156 2 4.086 156 6 1.000 156 43 1.000 156 8 4.583 156 47 1.000 156 42 2.543 156 30 3.446 156 22 1.000 156 14 4.989 156 38 4.989 156 28 5.629 157 1 2.543 157 44 2.543 157 2 2.543 157 7 1.000 157 23 1.000 157 10 1.000 157 31 4.583 157 16 2.543 157 14 3.446 157 50 3.446 157 4 1.000 157 36 3.446 157 12 4.086 157 48 4.583 157 9 4.583 157 18 5.891 157 33 3.446 157 38 2.543 157 28 3.446 157 17 1.000 157 8 1.000 157 5 2.543 157 29 2.543 157 20 1.000 157 13 1.000 157 35 4.989 157 45 2.543 157 46 1.000 157 11 4.583 157 19 3.446 157 22 1.000 158 4 5.629 158 43 1.000 158 8 1.000 158 9 1.000 158 23 1.000 158 10 1.000 158 31 5.891 158 11 5.332 158 41 1.000 158 16 1.000 158 13 1.000 158 19 1.000 158 32 3.446 158 17 1.000 158 48 1.000 158 42 1.000 158 39 2.543 158 37 1.000 158 21 1.000 158 22 1.000 158 18 1.000 158 24 5.332 158 38 1.000 158 28 1.000 159 3 5.891 159 4 1.000 159 41 1.000 159 40 1.000 159 10 6.875 159 11 5.891 159 12 5.629 159 15 6.126 159 16 7.307 159 1 4.583 159 9 1.000 159 29 1.000 159 25 6.532 159 27 2.543 159 45 4.583 159 28 5.629 159 46 4.583 160 12 3.446 160 1 4.583 160 44 4.583 160 6 1.000 160 9 2.543 160 26 1.000 160 11 4.583 160 15 4.583 160 36 4.086 160 17 1.000 160 14 2.543 160 25 5.891 160 38 3.446 160 45 4.583 160 28 4.583 160 29 4.989 160 46 4.583 161 12 2.543 161 1 4.583 161 44 4.583 161 11 4.086 161 9 1.000 161 23 1.000 161 10 2.543 161 8 1.000 161 16 1.000 161 35 5.332 161 5 4.583 161 19 1.000 161 20 6.126 161 21 1.000 161 18 1.000 161 27 3.446 161 24 4.583 161 45 4.583 161 29 1.000 161 46 4.583 162 21 4.086 162 1 4.989 162 44 5.629 162 6 1.000 162 10 1.000 162 43 4.086 162 9 2.543 162 11 4.583 162 19 1.000 162 15 4.086 162 18 5.332 162 16 4.583 162 13 4.583 162 5 2.543 162 31 4.989 162 24 5.332 162 27 4.086 162 45 5.332 162 29 4.583 162 20 4.086 163 18 1.000 163 2 2.543 163 3 4.989 163 4 2.543 163 6 1.000 163 43 1.000 163 11 2.543 163 15 1.000 163 5 1.000 163 31 5.332 163 22 1.000 163 24 4.086 163 38 3.446 163 10 3.446 163 28 5.891 163 29 2.543 163 20 2.543 164 4 4.989 164 6 3.446 164 7 4.086 164 23 1.000 164 10 2.543 164 11 4.989 164 5 5.332 164 19 4.989 164 20 4.989 164 21 1.000 164 29 4.989 164 18 1.000 164 14 4.989 165 21 2.543 165 2 5.332 165 23 4.583 165 12 4.989 165 15 5.891 165 4 5.629 165 13 1.000 165 5 4.583 165 18 3.446 165 19 4.086 165 20 2.543 165 33 1.000 165 10 3.446 165 28 5.629 165 14 1.000 166 25 2.543 166 11 1.000 166 37 1.000 166 20 1.000 166 31 4.086 166 29 1.000 166 27 1.000 166 35 4.583 167 47 2.543 167 8 1.000 167 31 4.989 167 15 5.891 167 16 5.332 167 3 2.543 167 39 1.000 167 37 4.583 167 27 5.891 167 35 5.332 167 29 5.332 168 4 5.629 168 23 6.126 168 10 5.891 168 19 4.989 168 5 5.332 168 37 4.086 168 20 6.126 168 22 2.543 168 38 4.086 168 14 3.446 168 28 5.629 168 18 7.028 169 14 3.446 169 4 3.446 169 38 4.989 169 6 6.532 169 7 5.332 169 9 4.086 169 21 5.332 169 23 4.583 169 10 5.332 169 15 5.332 169 16 5.332 169 36 4.989 169 5 4.086 169 19 4.989 169 17 4.086 169 37 4.583 169 33 4.583 169 22 2.543 169 18 3.446 169 28 4.989 169 29 5.891 170 1 1.000 170 43 1.000 170 44 1.000 170 34 3.446 170 23 1.000 170 12 1.000 170 27 1.000 170 8 4.086 170 47 1.000 170 31 4.086 170 24 3.446 170 35 4.086 170 45 1.000 170 29 3.446 170 20 1.000 171 12 5.332 171 1 4.989 171 44 4.989 171 43 2.543 171 9 4.583 171 15 6.126 171 36 4.583 171 24 4.989 171 25 4.583 171 38 3.446 171 34 5.332 171 27 1.000 171 45 4.989 171 46 4.583 172 2 5.629 172 4 5.332 172 39 1.000 172 8 4.989 172 17 5.332 172 36 5.891 172 5 4.989 172 19 6.875 172 46 4.086 172 30 5.332 172 9 5.332 172 22 5.629 172 24 4.989 172 33 6.338 172 38 4.989 172 27 1.000 172 10 5.891 172 18 5.891 172 14 1.000 173 4 7.172 173 6 1.000 173 21 2.543 173 23 5.629 173 10 5.629 173 19 6.338 173 5 4.583 173 17 2.543 173 37 1.000 173 20 5.629 173 31 1.000 173 22 3.446 173 28 2.543 173 18 6.126 174 1 5.629 174 44 5.629 174 6 2.543 174 43 1.000 174 25 5.332 174 9 1.000 174 12 4.583 174 15 5.332 174 8 1.000 174 16 1.000 174 13 1.000 174 48 1.000 174 31 3.446 174 24 5.629 174 45 5.891 174 29 4.989 174 46 5.629 174 50 1.000 175 48 1.000 175 4 3.446 175 8 3.446 175 34 1.000 175 23 1.000 175 10 1.000 175 12 4.583 175 19 1.000 175 15 8.644 175 16 2.543 175 13 2.543 175 36 4.583 175 5 2.543 175 47 1.000 175 32 4.583 175 39 2.543 175 28 3.446 175 20 5.332 175 21 4.583 175 31 4.583 175 22 2.543 175 18 3.446 175 33 4.583 175 38 4.583 175 27 2.543 175 35 5.629 175 45 4.989 175 29 4.583 175 46 4.583 176 44 4.989 176 2 4.989 176 31 5.891 176 11 4.583 176 41 5.629 176 15 6.126 176 48 5.332 176 33 5.332 176 38 4.583 176 34 1.000 176 24 2.543 176 49 5.629 176 45 4.086 176 29 5.332 176 46 5.629 177 1 1.000 177 44 1.000 177 10 1.000 177 15 1.000 177 13 1.000 177 19 1.000 177 31 1.000 177 29 1.000 177 4 1.000 177 12 1.000 177 36 1.000 177 33 1.000 177 38 1.000 177 34 1.000 177 27 1.000 177 43 1.000 177 5 1.000 177 32 1.000 177 24 1.000 177 25 1.000 177 26 1.000 177 45 1.000 177 46 1.000 177 37 1.000 177 21 1.000 177 22 1.000 178 3 4.989 178 6 6.875 178 7 1.000 178 8 4.583 178 10 2.543 178 31 1.000 178 11 4.086 178 12 1.000 178 15 3.446 178 16 1.000 178 13 1.000 178 18 4.086 178 19 2.543 178 32 2.543 178 17 1.000 178 39 1.000 178 21 5.332 178 9 1.000 178 22 2.543 178 33 1.000 178 38 1.000 178 35 4.989 178 29 3.446 178 20 4.086 179 4 5.629 179 6 2.543 179 47 2.543 179 7 1.000 179 8 1.000 179 5 1.000 179 23 5.629 179 10 3.446 179 12 1.000 179 15 2.543 179 16 1.000 179 13 1.000 179 19 5.891 179 17 2.543 179 39 1.000 179 37 1.000 179 20 5.332 179 21 5.629 179 29 5.629 179 46 4.086 179 22 1.000 179 38 4.583 179 26 5.332 179 34 1.000 179 27 4.583 179 35 5.332 179 28 5.629 179 18 6.126 179 14 4.989 180 3 4.086 180 4 1.000 180 38 3.446 180 9 3.446 180 26 3.446 180 10 1.000 180 11 4.583 180 12 5.332 180 36 3.446 180 19 3.446 180 31 1.000 180 29 4.989 180 33 2.543 180 24 4.989 180 25 5.891 180 27 4.086 180 28 3.446 181 3 4.086 181 4 4.989 181 1 1.000 181 5 1.000 181 9 5.629 181 23 4.583 181 46 1.000 181 10 5.629 181 15 5.332 181 44 1.000 181 2 1.000 181 36 4.989 181 19 4.989 181 20 5.629 181 29 1.000 181 22 1.000 181 24 1.000 181 14 4.583 181 33 4.086 181 34 1.000 181 27 1.000 181 45 1.000 181 28 4.583 181 18 4.989 181 38 1.000 182 7 2.543 182 16 3.446 182 13 3.446 182 37 1.000 182 21 6.338 182 27 4.583 183 4 5.891 183 7 1.000 183 23 1.000 183 10 1.000 183 16 1.000 183 36 4.583 183 19 5.332 183 35 5.629 183 20 5.891 183 21 5.332 183 31 3.446 183 22 1.000 183 33 2.543 183 28 5.332 183 18 1.000 184 3 4.583 184 7 3.446 184 12 4.086 184 15 5.332 184 36 5.332 184 17 4.583 184 31 4.989 184 18 4.086 184 24 4.086 184 25 4.086 184 34 4.086 184 11 4.086 185 4 7.777 185 6 5.332 185 7 4.989 185 23 2.543 185 10 5.332 185 12 5.629 185 16 8.337 185 19 7.777 185 17 4.989 185 20 5.629 185 21 8.253 185 22 2.543 185 18 2.543 185 35 8.337 185 28 7.554 186 2 4.086 186 4 6.126 186 5 5.891 186 23 5.629 186 19 5.891 186 20 6.126 186 31 1.000 186 24 1.000 186 28 4.583 186 18 5.629 187 6 6.338 187 23 5.332 187 10 5.332 187 5 2.543 187 4 5.332 187 20 6.532 187 21 4.989 187 22 1.000 187 24 5.332 187 28 5.332 187 18 5.629 188 33 2.543 188 26 1.000 188 12 4.086 188 15 3.446 188 18 2.543 188 36 2.543 188 14 1.000 188 22 3.446 188 24 4.086 188 38 1.000 188 28 2.543 188 29 2.543 189 21 3.446 189 4 4.583 189 6 6.532 189 8 4.989 189 23 4.086 189 10 3.446 189 11 4.989 189 12 3.446 189 19 4.583 189 37 4.086 189 20 4.989 189 31 1.000 189 16 4.086 189 24 1.000 189 35 5.332 189 18 3.446 190 4 4.583 190 11 2.543 190 31 5.891 191 2 5.332 191 6 6.532 191 7 1.000 191 9 1.000 191 23 2.543 191 10 1.000 191 12 4.086 191 36 4.989 191 5 4.583 191 17 4.583 191 39 1.000 191 37 2.543 191 15 4.086 191 20 4.086 191 21 4.086 191 31 6.875 191 24 4.583 191 35 3.446 191 28 4.086 191 29 4.583 191 18 4.583 191 14 4.086 191 11 4.086 192 4 6.338 192 31 2.543 192 7 4.989 192 9 4.989 192 23 6.338 192 10 6.532 192 11 4.583 192 14 4.086 192 5 6.338 192 19 6.532 192 32 6.875 192 37 6.126 192 20 6.532 192 22 6.532 192 18 9.212 192 38 4.583 192 35 6.338 193 3 1.000 193 9 2.543 193 23 2.543 193 10 2.543 193 19 1.000 193 15 1.000 193 4 2.543 193 5 2.543 193 20 5.891 193 22 1.000 193 33 1.000 193 38 2.543 193 28 4.583 193 18 2.543 193 14 4.086 194 1 1.000 194 44 1.000 194 8 1.000 194 9 1.000 194 26 1.000 194 40 1.000 194 41 1.000 194 47 1.000 194 50 1.000 194 29 1.000 194 48 1.000 194 42 2.543 194 30 2.543 194 39 1.000 194 49 2.543 194 24 1.000 194 25 1.000 194 34 1.000 194 27 1.000 194 45 1.000 195 2 3.446 195 3 4.989 195 9 2.543 195 31 2.543 195 11 4.583 195 12 2.543 195 43 4.086 195 15 6.338 195 13 1.000 195 32 4.583 195 21 4.086 195 24 4.583 195 25 5.629 195 26 4.086 195 29 4.583 196 18 1.000 196 3 1.000 196 43 1.000 196 23 1.000 196 11 4.086 196 15 1.000 196 4 1.000 196 13 1.000 196 36 1.000 196 5 1.000 196 17 1.000 196 48 1.000 196 39 1.000 196 37 1.000 196 31 4.583 196 22 4.989 196 14 1.000 196 33 1.000 196 38 1.000 196 28 1.000 197 5 1.000 197 4 2.543 197 22 2.543 197 2 2.543 197 6 5.332 197 23 2.543 197 10 2.543 197 19 8.418 197 15 7.172 197 16 2.543 197 36 7.307 197 14 7.172 197 33 7.172 197 38 7.172 197 35 7.028 197 28 7.307 197 29 7.028 197 18 1.000 198 1 4.989 198 44 4.989 198 9 3.446 198 31 2.543 198 11 4.086 198 12 3.446 198 40 4.989 198 41 4.989 198 36 3.446 198 32 2.543 198 39 1.000 198 25 2.543 198 26 2.543 198 34 1.000 198 24 3.446 198 13 1.000 198 45 4.989 198 46 4.989 199 21 1.000 199 1 5.332 199 44 5.332 199 6 6.532 199 16 5.629 199 36 1.000 199 19 1.000 199 20 6.338 199 35 7.554 199 45 5.332 199 29 5.332 199 46 5.332 200 44 4.989 200 6 7.028 200 1 4.989 200 9 1.000 200 31 1.000 200 11 4.989 200 12 4.989 200 15 5.629 200 3 4.583 200 5 1.000 200 43 1.000 200 19 1.000 200 47 2.543 200 37 3.446 200 29 5.629 200 46 4.989 200 25 6.532 200 26 4.989 200 10 1.000 200 45 4.989 200 50 5.629 30 11 12 13 14 15 16 17 18 19 20 21 22 23 24 25 26 27 28 29 30 31 32 33 34 35 36 37 38 39 40 ================================================ FILE: programming_assignments/mini_reco/testcase/input/input003.txt ================================================ 50 10 200 50 3454 1 1 4.989 1 2 1.000 1 3 4.989 1 4 1.000 1 5 1.000 1 6 6.338 1 7 1.000 1 8 2.543 1 9 1.000 1 10 1.000 1 11 2.543 1 12 4.989 1 13 1.000 1 14 4.086 1 15 4.989 1 16 1.000 1 17 1.000 1 18 1.000 1 19 2.543 1 20 5.332 1 21 4.989 1 22 1.000 1 23 1.000 1 24 5.332 1 25 4.583 1 26 1.000 1 27 1.000 1 28 5.332 1 29 4.583 2 21 1.000 2 26 1.000 2 2 1.000 2 8 5.332 2 27 4.583 2 15 5.332 2 17 1.000 2 30 1.000 2 31 1.000 2 24 3.446 2 25 1.000 2 29 1.000 3 18 1.000 3 2 3.446 3 4 4.583 3 23 1.000 3 31 3.446 3 15 5.629 3 11 4.989 3 5 5.332 3 19 3.446 3 32 3.446 3 30 4.989 3 20 4.989 3 21 4.086 3 22 1.000 3 24 5.332 3 14 5.332 3 33 5.332 3 26 4.086 3 34 4.989 3 27 2.543 3 10 1.000 3 35 4.583 3 28 5.332 3 29 5.332 4 21 5.332 4 2 4.989 4 4 4.583 4 10 4.989 4 9 4.583 4 15 5.332 4 32 4.583 4 36 4.989 4 19 4.989 4 37 4.583 4 31 4.583 4 22 2.543 4 33 4.583 4 28 4.583 4 29 5.332 4 11 4.086 5 21 2.543 5 31 4.086 5 2 2.543 5 38 5.629 5 7 1.000 5 19 5.629 5 16 5.629 5 13 5.629 5 5 4.989 5 18 1.000 5 20 6.126 5 39 5.891 5 22 1.000 5 23 3.446 5 33 5.891 5 34 5.891 5 10 1.000 5 35 6.338 6 14 1.000 6 6 5.332 6 17 1.000 6 8 4.086 6 40 1.000 6 41 1.000 6 42 2.543 6 30 2.543 6 31 4.086 6 38 4.583 6 26 4.086 6 34 1.000 6 27 2.543 6 24 4.583 6 28 3.446 7 12 4.989 7 2 4.086 7 3 6.126 7 4 5.891 7 33 1.000 7 7 4.583 7 26 2.543 7 10 2.543 7 15 6.710 7 5 3.446 7 37 1.000 7 20 1.000 7 38 4.086 7 34 4.989 7 24 5.332 7 28 5.332 7 18 3.446 7 14 5.332 8 16 4.086 8 5 3.446 8 32 4.583 8 20 1.000 8 9 1.000 8 29 4.583 8 22 1.000 8 24 3.446 8 33 4.583 8 38 2.543 8 26 3.446 8 18 6.532 9 1 5.332 9 3 5.891 9 4 2.543 9 6 7.028 9 43 4.989 9 8 1.000 9 44 5.891 9 9 1.000 9 12 4.989 9 19 1.000 9 15 3.446 9 17 5.332 9 31 4.583 9 25 5.629 9 34 2.543 9 45 5.332 9 46 5.332 9 18 3.446 10 21 4.989 10 6 3.446 10 7 2.543 10 23 1.000 10 16 4.583 10 17 4.583 10 37 3.446 10 31 4.086 10 39 4.583 10 13 2.543 10 35 5.332 11 2 2.543 11 4 6.532 11 6 6.338 11 7 1.000 11 36 4.086 11 23 4.989 11 10 6.126 11 11 5.891 11 5 6.338 11 19 6.532 11 32 6.338 11 17 4.086 11 20 6.710 11 21 5.891 11 18 7.669 11 33 6.338 11 35 7.028 11 29 4.086 12 21 7.307 12 31 7.172 12 2 5.332 12 4 8.253 12 6 4.989 12 43 1.000 12 5 7.434 12 23 9.267 12 10 7.172 12 11 1.000 12 36 1.000 12 19 7.777 12 20 7.777 12 22 2.543 12 18 8.571 12 28 4.583 13 1 4.583 13 4 5.891 13 43 1.000 13 9 3.446 13 10 4.583 13 12 3.446 13 15 4.086 13 3 1.000 13 36 3.446 13 5 4.086 13 20 4.989 13 21 3.446 13 31 4.989 13 18 4.086 13 25 2.543 13 34 2.543 13 24 3.446 14 44 4.086 14 43 1.000 14 36 6.126 14 47 1.000 14 22 1.000 14 14 5.332 14 28 6.338 14 11 4.086 15 3 1.000 15 6 5.891 15 8 4.583 15 32 4.989 15 17 3.446 15 37 4.583 15 20 1.000 15 31 6.875 15 25 7.554 15 27 1.000 15 35 3.446 15 24 3.446 16 25 6.338 16 1 5.629 16 44 5.629 16 2 3.446 16 36 6.338 16 12 3.446 16 27 4.583 16 15 1.000 16 17 4.086 16 31 5.332 16 22 3.446 16 24 5.332 16 14 6.875 16 33 6.532 16 38 4.989 16 26 5.332 16 34 3.446 16 10 1.000 16 45 5.332 16 28 5.332 17 4 2.543 17 22 1.000 17 6 7.028 17 5 2.543 17 23 1.000 17 10 2.543 17 11 4.989 17 2 2.543 17 35 5.629 17 19 1.000 17 17 3.446 17 20 6.126 17 31 3.446 17 37 1.000 17 24 1.000 17 14 4.583 17 25 6.532 17 33 1.000 17 34 2.543 17 27 2.543 17 28 5.629 17 29 5.332 17 18 1.000 18 2 1.000 18 23 1.000 18 10 2.543 18 4 2.543 18 14 4.086 18 19 1.000 18 5 1.000 18 18 1.000 18 21 4.989 18 33 1.000 18 22 1.000 18 28 5.629 19 1 7.881 19 44 7.307 19 3 5.891 19 7 1.000 19 9 2.543 19 23 1.000 19 10 2.543 19 15 4.583 19 16 2.543 19 14 4.086 19 4 2.543 19 36 2.543 19 12 6.710 19 48 5.629 19 47 2.543 19 30 2.543 19 29 5.629 19 33 1.000 19 34 2.543 19 27 3.446 19 6 6.532 19 17 3.446 19 43 1.000 19 8 1.000 19 5 1.000 19 42 2.543 19 20 5.891 19 22 1.000 19 24 5.629 19 25 5.629 19 35 6.126 19 45 7.307 19 46 7.669 19 18 1.000 19 19 1.000 19 41 5.629 19 39 2.543 19 28 5.891 19 21 7.172 19 11 4.989 20 6 2.543 20 9 1.000 20 11 5.332 20 5 4.583 20 19 5.891 20 20 4.086 20 10 4.086 20 18 7.554 21 43 1.000 21 11 2.543 21 12 3.446 21 15 3.446 21 17 4.086 21 30 5.332 21 22 2.543 21 24 5.332 21 34 3.446 22 3 4.583 22 4 1.000 22 6 7.434 22 7 2.543 22 8 1.000 22 23 1.000 22 10 1.000 22 31 2.543 22 16 1.000 22 11 4.583 22 5 2.543 22 17 1.000 22 21 5.332 22 39 1.000 22 18 1.000 22 46 3.446 22 20 4.583 23 21 5.332 23 7 4.086 23 43 5.891 23 16 5.332 23 32 5.332 23 17 6.126 23 37 5.332 23 13 4.989 23 35 5.891 24 12 4.989 24 1 5.629 24 44 6.126 24 2 2.543 24 22 1.000 24 9 1.000 24 23 1.000 24 14 4.583 24 15 5.332 24 16 2.543 24 5 2.543 24 18 1.000 24 45 5.332 24 26 4.989 24 27 1.000 24 10 2.543 24 24 5.629 24 28 5.891 24 29 4.989 24 46 5.629 25 6 4.583 25 43 1.000 25 34 2.543 25 46 4.583 25 41 4.989 25 12 4.989 25 15 5.891 25 32 4.989 25 17 5.629 25 48 5.332 25 30 3.446 25 37 4.989 25 49 4.989 25 18 5.891 25 24 5.629 25 33 1.000 25 27 3.446 25 50 4.989 26 1 4.583 26 44 3.446 26 2 4.583 26 4 5.629 26 43 4.583 26 9 4.086 26 23 4.583 26 46 3.446 26 10 6.126 26 11 4.989 26 15 4.583 26 36 5.332 26 5 4.583 26 19 4.086 26 32 2.543 26 48 4.583 26 42 4.086 26 30 4.086 26 20 5.629 26 31 1.000 26 29 5.891 26 22 2.543 26 24 1.000 26 33 5.332 26 38 5.891 26 26 4.583 26 27 1.000 26 45 3.446 26 28 5.629 26 18 4.989 26 14 4.989 27 4 1.000 27 6 7.434 27 7 1.000 27 9 1.000 27 23 1.000 27 10 1.000 27 11 4.989 27 12 5.891 27 19 1.000 27 16 1.000 27 13 1.000 27 5 1.000 27 18 1.000 27 17 1.000 27 39 1.000 27 20 6.875 27 21 6.126 27 33 1.000 27 27 4.989 27 35 6.710 27 28 5.891 27 29 6.875 28 21 1.000 28 44 1.000 28 3 1.000 28 1 1.000 28 48 1.000 28 17 1.000 28 9 1.000 28 10 1.000 28 11 4.086 28 12 1.000 28 15 1.000 28 13 1.000 28 36 1.000 28 5 1.000 28 47 1.000 28 39 1.000 28 37 2.543 28 28 1.000 28 22 1.000 28 24 2.543 28 25 7.172 28 27 3.446 28 45 1.000 28 46 1.000 28 50 2.543 29 1 4.989 29 44 4.989 29 26 2.543 29 9 4.989 29 10 3.446 29 12 4.086 29 15 4.583 29 18 4.989 29 5 4.086 29 27 1.000 29 24 4.086 29 34 1.000 29 45 4.989 29 28 2.543 29 29 5.891 29 46 4.989 30 31 4.989 30 6 6.338 30 7 1.000 30 11 4.989 30 12 2.543 30 14 1.000 30 15 6.532 30 16 1.000 30 13 2.543 30 21 4.086 30 9 1.000 30 35 5.629 30 29 5.332 31 4 5.629 31 6 2.543 31 26 1.000 31 9 1.000 31 10 5.891 31 15 6.126 31 16 5.629 31 19 4.086 31 37 1.000 31 31 5.629 31 29 5.629 31 18 7.434 31 23 1.000 31 35 2.543 31 28 6.126 32 1 4.583 32 9 1.000 32 11 4.583 32 15 5.332 32 13 5.891 32 5 2.543 32 31 3.446 32 22 1.000 32 25 4.583 32 28 4.086 32 46 4.989 32 18 3.446 32 14 1.000 32 20 4.989 33 1 1.000 33 2 5.629 33 6 7.028 33 9 5.332 33 23 4.086 33 10 6.126 33 16 4.583 33 19 2.543 33 12 4.989 33 29 4.086 33 28 3.446 33 4 1.000 33 5 4.086 33 32 4.583 33 20 4.583 33 18 5.891 33 22 2.543 33 11 4.086 34 2 5.891 34 4 3.446 34 25 4.086 34 5 4.086 34 19 4.086 34 17 3.446 34 37 1.000 34 31 6.532 34 33 2.543 34 35 7.307 34 24 7.434 35 2 1.000 35 6 6.338 35 7 1.000 35 12 4.583 35 4 4.989 35 19 4.989 35 21 5.332 35 20 5.891 35 18 5.332 35 23 4.989 35 10 4.989 35 35 4.086 36 4 6.126 36 33 1.000 36 23 6.532 36 10 6.126 36 3 4.086 36 16 4.583 36 36 5.629 36 20 6.338 36 22 2.543 36 18 7.307 36 14 5.891 36 38 5.891 36 12 1.000 36 28 5.891 37 2 3.446 37 4 4.583 37 23 5.629 37 10 5.332 37 12 4.086 37 5 4.989 37 19 4.086 37 17 4.583 37 20 5.891 37 31 4.989 37 22 1.000 37 18 5.629 37 24 5.891 37 28 4.086 38 1 4.989 38 44 4.989 38 2 1.000 38 3 1.000 38 28 1.000 38 43 1.000 38 8 1.000 38 9 1.000 38 15 1.000 38 36 1.000 38 32 5.332 38 39 1.000 38 37 2.543 38 31 7.307 38 18 1.000 38 24 6.338 38 25 7.028 38 34 1.000 38 27 2.543 38 45 4.583 38 29 4.086 39 12 4.086 39 26 1.000 39 43 1.000 39 9 4.583 39 11 4.989 39 24 4.583 39 34 2.543 39 45 3.446 39 18 5.891 40 12 3.446 40 16 4.086 40 2 4.086 40 4 3.446 40 43 1.000 40 5 3.446 40 9 4.086 40 23 4.583 40 19 5.891 40 17 1.000 40 20 5.332 40 21 4.583 40 31 6.126 40 22 1.000 40 24 4.086 40 14 2.543 40 33 5.332 40 38 3.446 40 34 2.543 40 27 2.543 40 10 4.989 40 35 5.629 40 18 7.881 41 21 5.629 41 2 3.446 41 6 2.543 41 43 1.000 41 31 5.891 41 19 2.543 41 37 4.989 41 9 1.000 41 29 5.332 41 27 2.543 41 35 6.126 41 20 1.000 42 21 1.000 42 2 3.446 42 4 1.000 42 9 1.000 42 10 1.000 42 12 1.000 42 15 1.000 42 16 1.000 42 13 1.000 42 19 1.000 42 37 1.000 42 24 1.000 42 34 1.000 42 27 2.543 42 28 4.989 43 2 4.086 43 4 2.543 43 6 6.875 43 43 5.332 43 8 3.446 43 9 1.000 43 23 1.000 43 10 2.543 43 12 4.989 43 14 5.332 43 15 4.989 43 13 2.543 43 35 6.126 43 5 3.446 43 19 1.000 43 39 2.543 43 37 5.332 43 20 6.126 43 21 3.446 43 22 1.000 43 16 1.000 43 33 1.000 43 38 3.446 43 27 2.543 43 28 5.332 43 29 4.583 43 18 1.000 43 11 5.332 44 1 2.543 44 44 2.543 44 23 1.000 44 10 1.000 44 15 2.543 44 13 1.000 44 19 1.000 44 29 2.543 44 50 3.446 44 12 1.000 44 47 2.543 44 48 3.446 44 33 3.446 44 34 1.000 44 27 1.000 44 21 1.000 44 43 2.543 44 5 1.000 44 32 1.000 44 42 1.000 44 24 2.543 44 25 3.446 44 26 2.543 44 45 2.543 44 46 2.543 44 11 4.086 44 18 1.000 44 39 1.000 45 31 1.000 45 1 6.875 45 44 7.307 45 4 1.000 45 6 2.543 45 26 1.000 45 8 2.543 45 5 1.000 45 9 4.086 45 23 1.000 45 12 6.532 45 15 4.583 45 16 3.446 45 13 1.000 45 36 4.086 45 19 4.583 45 39 1.000 45 28 6.875 45 20 7.307 45 21 6.710 45 22 4.086 45 18 1.000 45 24 7.307 45 25 6.875 45 33 7.307 45 38 6.875 45 34 1.000 45 27 5.891 45 10 1.000 45 35 6.126 45 49 2.543 45 45 7.028 45 29 6.710 45 46 6.532 45 14 6.875 46 4 4.086 46 6 4.583 46 7 1.000 46 43 5.332 46 9 2.543 46 10 2.543 46 12 2.543 46 16 1.000 46 36 1.000 46 19 2.543 46 32 2.543 46 17 1.000 46 37 1.000 46 20 4.086 46 29 5.332 46 5 1.000 46 18 3.446 46 23 1.000 46 38 2.543 46 35 4.086 47 1 4.583 47 2 4.086 47 6 6.338 47 9 2.543 47 10 2.543 47 15 5.629 47 3 4.989 47 36 3.446 47 18 1.000 47 4 2.543 47 37 2.543 47 23 1.000 47 31 4.086 47 22 1.000 47 29 2.543 47 33 5.332 47 35 4.583 47 28 4.086 47 14 4.086 47 20 4.989 48 1 4.086 48 44 4.086 48 2 3.446 48 3 2.543 48 4 3.446 48 7 3.446 48 17 1.000 48 43 5.332 48 8 2.543 48 41 1.000 48 9 2.543 48 23 1.000 48 10 1.000 48 14 5.332 48 15 2.543 48 5 4.989 48 19 4.583 48 47 2.543 48 32 2.543 48 48 2.543 48 42 2.543 48 30 2.543 48 28 5.629 48 26 2.543 48 31 3.446 48 49 1.000 48 22 1.000 48 24 2.543 48 33 4.583 48 38 2.543 48 34 2.543 48 27 2.543 48 45 4.583 48 29 2.543 48 46 4.086 48 18 1.000 49 31 5.332 49 1 5.629 49 44 5.629 49 2 4.583 49 4 1.000 49 38 5.629 49 22 1.000 49 10 3.446 49 6 6.532 49 7 1.000 49 9 6.126 49 23 1.000 49 26 5.629 49 5 2.543 49 14 5.332 49 19 4.086 49 16 4.583 49 18 6.532 49 47 5.629 49 45 5.332 49 20 6.126 49 24 4.989 49 33 5.629 49 34 5.629 49 27 4.989 49 35 5.891 49 28 5.629 49 29 6.338 50 1 5.629 50 44 5.629 50 2 5.332 50 4 4.989 50 46 6.338 50 10 3.446 50 43 2.543 50 15 5.891 50 5 2.543 50 19 4.989 50 18 1.000 50 37 4.086 50 45 5.629 50 20 5.332 50 31 4.583 50 23 1.000 50 24 6.532 51 3 5.332 51 9 4.086 51 10 1.000 51 11 5.332 51 12 4.583 51 19 3.446 51 15 1.000 51 13 2.543 51 34 5.332 51 29 5.629 52 4 6.875 52 6 7.434 52 9 4.583 52 10 4.989 52 12 1.000 52 5 6.710 52 19 7.028 52 39 6.338 52 37 3.446 52 20 7.172 52 18 4.583 52 23 4.989 52 13 3.446 52 35 7.028 52 11 2.543 53 6 5.332 53 7 1.000 53 23 3.446 53 37 3.446 53 21 3.446 53 29 1.000 53 35 7.172 53 18 2.543 54 2 3.446 54 4 5.891 54 6 1.000 54 43 2.543 54 5 6.875 54 23 6.710 54 10 5.891 54 9 1.000 54 12 6.126 54 16 4.989 54 36 1.000 54 32 7.172 54 20 6.338 54 7 4.989 54 34 5.629 54 24 6.710 54 18 7.172 55 1 4.086 55 44 4.086 55 3 4.086 55 38 1.000 55 26 5.629 55 9 4.583 55 11 4.583 55 32 2.543 55 48 4.583 55 31 1.000 55 22 1.000 55 34 4.583 55 45 4.989 55 50 5.891 56 12 4.989 56 2 4.086 56 4 4.989 56 38 4.086 56 6 6.338 56 43 3.446 56 8 1.000 56 10 5.332 56 16 4.086 56 36 4.583 56 5 1.000 56 19 4.989 56 39 4.086 56 37 2.543 56 20 5.891 56 21 4.989 56 31 6.126 56 24 4.989 56 27 1.000 56 35 5.629 56 28 4.989 56 29 5.891 56 46 4.086 56 18 6.126 57 21 4.086 57 1 3.446 57 44 3.446 57 6 6.532 57 9 5.332 57 46 3.446 57 12 3.446 57 31 4.086 57 15 6.532 57 32 4.583 57 17 3.446 57 42 4.086 57 39 3.446 57 37 3.446 57 29 3.446 57 26 4.086 57 34 1.000 57 24 3.446 57 45 3.446 58 1 5.891 58 2 4.989 58 38 4.583 58 6 6.532 58 36 5.891 58 9 4.583 58 23 5.332 58 12 4.989 58 19 5.629 58 4 5.332 58 32 6.126 58 16 4.989 58 31 5.891 58 20 5.629 58 21 4.989 58 22 5.629 58 24 5.332 58 25 4.989 58 10 5.629 58 35 4.583 58 28 4.583 58 18 4.086 58 14 5.332 59 4 5.891 59 47 5.891 59 8 6.126 59 27 5.891 59 41 5.891 59 15 6.532 59 36 7.554 59 17 5.891 59 32 5.891 59 48 7.669 59 42 5.891 59 39 5.891 59 49 5.891 59 21 5.891 59 31 6.338 59 22 6.126 59 33 5.891 59 38 5.891 59 13 5.891 59 28 6.126 59 50 5.891 60 1 4.989 60 44 4.583 60 2 1.000 60 9 2.543 60 13 1.000 60 29 1.000 60 14 2.543 60 4 1.000 60 7 4.583 60 17 1.000 60 36 5.332 60 47 1.000 60 48 4.583 60 33 1.000 60 38 2.543 60 34 3.446 60 43 2.543 60 5 1.000 60 45 4.989 60 18 1.000 60 19 2.543 60 28 2.543 60 21 4.086 60 22 2.543 61 3 1.000 61 32 1.000 61 43 3.446 61 8 1.000 61 9 2.543 61 41 1.000 61 16 1.000 61 47 1.000 61 4 3.446 61 48 1.000 61 42 1.000 61 23 1.000 61 27 1.000 61 10 2.543 61 29 1.000 61 18 2.543 62 1 4.086 62 44 4.086 62 11 4.086 62 15 3.446 62 16 4.086 62 36 3.446 62 17 4.086 62 31 5.332 62 33 5.332 62 45 3.446 62 6 1.000 62 50 4.086 62 8 1.000 63 21 4.583 63 1 4.583 63 44 3.446 63 2 3.446 63 6 6.338 63 36 3.446 63 5 1.000 63 23 1.000 63 10 1.000 63 12 1.000 63 32 2.543 63 39 1.000 63 26 4.583 63 31 4.086 63 46 4.583 63 22 1.000 63 18 1.000 63 24 3.446 63 33 4.583 63 27 4.583 63 45 3.446 63 28 4.583 63 29 1.000 63 14 4.583 64 2 1.000 64 43 5.332 64 9 1.000 64 10 1.000 64 12 5.891 64 5 5.332 64 18 1.000 64 33 5.891 64 24 4.989 64 29 5.332 65 4 3.446 65 43 3.446 65 9 3.446 65 11 3.446 65 12 1.000 65 15 3.446 65 36 3.446 65 5 1.000 65 31 4.086 65 38 1.000 65 27 1.000 65 10 1.000 65 35 1.000 65 24 2.543 65 18 2.543 66 12 2.543 66 6 2.543 66 8 1.000 66 9 4.583 66 15 4.989 66 32 4.989 66 39 1.000 66 37 1.000 66 31 4.989 66 24 4.989 66 26 4.583 66 34 3.446 66 35 4.989 67 36 4.989 67 29 1.000 67 17 1.000 67 31 1.000 67 22 1.000 67 38 1.000 67 6 1.000 67 14 1.000 68 2 2.543 68 4 1.000 68 7 1.000 68 6 1.000 68 5 1.000 68 23 1.000 68 10 1.000 68 14 4.086 68 16 1.000 68 35 6.126 68 19 5.332 68 20 6.710 68 21 5.332 68 33 1.000 68 22 1.000 68 28 5.332 68 29 5.332 68 18 1.000 69 44 5.629 69 1 5.629 69 11 4.989 69 15 5.891 69 13 5.629 69 45 5.629 69 29 5.891 69 46 5.629 70 4 5.629 70 7 1.000 70 6 4.989 70 43 3.446 70 9 1.000 70 23 1.000 70 10 1.000 70 15 5.332 70 16 1.000 70 11 1.000 70 19 1.000 70 32 1.000 70 17 1.000 70 39 1.000 70 31 4.086 70 22 1.000 70 24 4.086 70 25 1.000 70 33 5.332 70 38 2.543 70 34 1.000 70 27 1.000 70 12 1.000 70 35 4.583 70 28 2.543 70 29 5.332 70 18 4.583 70 20 4.989 71 10 5.629 71 31 6.532 71 16 5.629 71 5 7.028 71 19 5.629 71 17 1.000 71 2 3.446 71 37 6.710 71 18 1.000 71 35 7.881 71 6 4.583 71 20 5.891 72 11 1.000 72 9 4.086 72 12 5.629 72 15 5.332 72 13 1.000 72 43 1.000 72 39 2.543 72 21 5.629 72 25 6.532 72 16 5.332 72 26 5.891 72 20 4.086 73 4 3.446 73 6 4.583 73 7 2.543 73 9 1.000 73 23 3.446 73 10 2.543 73 11 1.000 73 17 2.543 73 5 4.086 73 39 3.446 73 37 2.543 73 20 5.332 73 21 5.629 73 27 2.543 73 35 7.669 74 4 6.126 74 6 2.543 74 7 1.000 74 12 1.000 74 16 7.028 74 19 4.086 74 21 6.710 74 25 4.583 74 27 2.543 74 35 7.434 75 9 2.543 75 11 4.583 75 12 5.629 75 16 5.891 75 32 5.332 75 37 1.000 75 27 5.891 75 35 6.338 76 8 1.000 76 3 3.446 76 43 1.000 76 10 4.583 76 11 4.583 76 42 2.543 76 20 1.000 76 31 4.989 76 24 4.086 76 14 1.000 76 26 4.583 76 34 4.583 76 27 2.543 76 29 4.583 77 21 1.000 77 6 6.532 77 7 2.543 77 43 2.543 77 23 1.000 77 10 4.086 77 11 1.000 77 15 3.446 77 16 4.086 77 32 2.543 77 17 1.000 77 48 4.086 77 42 5.629 77 30 5.891 77 39 2.543 77 37 2.543 77 20 4.989 77 31 4.989 77 18 4.086 77 35 4.583 77 29 4.086 78 31 1.000 78 44 4.583 78 43 5.629 78 1 4.583 78 9 4.086 78 11 4.583 78 12 4.989 78 15 4.086 78 32 4.989 78 39 2.543 78 29 4.583 78 33 4.583 78 46 4.989 78 18 4.086 78 19 1.000 78 10 4.086 78 45 4.583 79 4 5.629 79 38 4.583 79 9 1.000 79 23 4.583 79 43 4.086 79 36 1.000 79 5 4.989 79 32 1.000 79 30 5.332 79 39 4.086 79 20 5.629 79 22 4.989 79 14 4.583 79 33 5.332 79 10 5.629 79 46 4.086 79 18 4.583 80 25 1.000 80 1 1.000 80 44 1.000 80 2 1.000 80 6 1.000 80 43 1.000 80 8 1.000 80 40 1.000 80 41 2.543 80 15 1.000 80 32 1.000 80 17 2.543 80 48 2.543 80 39 1.000 80 45 1.000 80 31 1.000 80 24 1.000 80 26 1.000 80 27 1.000 80 49 1.000 80 29 1.000 80 46 1.000 80 50 1.000 81 12 1.000 81 2 3.446 81 4 1.000 81 11 4.583 81 17 1.000 81 36 1.000 81 5 3.446 81 19 1.000 81 29 3.446 81 18 1.000 81 24 2.543 81 14 1.000 81 33 3.446 81 26 1.000 81 38 3.446 81 6 6.338 82 9 1.000 82 23 1.000 82 10 1.000 82 15 1.000 82 14 1.000 82 17 1.000 82 36 1.000 82 29 1.000 82 33 1.000 82 34 1.000 82 27 1.000 82 28 1.000 82 43 4.086 82 8 1.000 82 11 4.086 82 5 1.000 82 32 1.000 82 24 1.000 82 26 1.000 82 18 1.000 82 39 1.000 82 22 1.000 83 4 5.891 83 23 5.629 83 10 5.891 83 2 5.891 83 36 6.532 83 5 6.126 83 19 5.629 83 20 6.126 83 33 4.989 83 7 4.989 83 22 5.332 83 18 6.875 83 38 4.989 83 28 6.532 84 12 4.583 84 4 5.629 84 6 7.172 84 43 4.086 84 8 5.629 84 9 1.000 84 26 4.086 84 31 6.126 84 18 7.172 84 16 5.332 84 3 5.332 84 5 4.583 84 17 5.332 84 24 5.332 84 25 5.332 84 27 3.446 84 35 4.086 84 29 5.629 85 25 7.172 85 1 4.086 85 44 4.989 85 2 1.000 85 7 2.543 85 9 4.989 85 15 4.086 85 36 3.446 85 39 2.543 85 22 5.332 85 29 1.000 85 24 4.086 85 35 4.989 85 45 4.989 85 28 4.086 86 4 6.126 86 6 3.446 86 11 2.543 86 5 1.000 86 20 5.891 86 21 2.543 86 35 3.446 86 28 5.891 87 2 1.000 87 10 2.543 87 31 3.446 87 27 2.543 87 5 2.543 87 19 1.000 87 17 4.086 87 8 1.000 87 20 4.583 87 21 1.000 87 24 4.086 87 33 1.000 87 38 2.543 87 35 4.989 87 28 1.000 87 6 1.000 87 29 1.000 87 18 4.086 88 12 1.000 88 1 4.086 88 16 4.086 88 6 1.000 88 47 1.000 88 5 2.543 88 32 2.543 88 17 1.000 88 37 2.543 88 31 5.332 88 18 1.000 88 27 4.583 88 35 5.332 88 24 3.446 88 29 2.543 88 20 1.000 89 21 4.086 89 31 5.629 89 2 3.446 89 3 4.086 89 4 5.891 89 9 2.543 89 23 4.989 89 10 5.891 89 11 4.989 89 15 5.891 89 36 5.629 89 5 5.332 89 19 5.629 89 39 3.446 89 20 4.989 89 22 1.000 89 18 7.554 89 14 5.629 89 25 1.000 89 33 5.629 89 38 5.629 89 26 5.629 89 34 5.629 89 27 2.543 89 28 5.891 89 29 6.126 90 3 1.000 90 9 3.446 90 32 5.332 90 36 4.989 90 17 4.989 90 37 4.086 90 31 5.891 90 24 5.332 90 14 6.875 90 33 6.710 90 38 5.629 90 26 5.629 90 34 5.332 90 35 5.891 90 28 6.338 91 2 1.000 91 4 4.989 91 6 6.875 91 9 4.086 91 10 4.086 91 31 5.332 91 11 5.332 91 12 2.543 91 15 7.028 91 19 4.989 91 32 3.446 91 39 4.086 91 20 5.332 91 24 5.332 91 28 2.543 91 18 4.583 92 31 6.532 92 16 5.629 92 19 5.629 92 17 4.086 92 27 4.086 92 15 7.777 92 20 2.543 92 25 9.571 92 13 3.446 92 11 4.989 92 37 3.446 93 6 6.875 93 7 4.989 93 43 5.332 93 11 4.989 93 12 4.989 93 32 1.000 93 16 4.989 93 13 5.332 93 5 4.989 93 39 4.989 93 37 2.543 93 20 4.989 93 21 5.629 93 31 5.332 93 18 5.629 93 25 7.028 93 27 5.332 93 29 4.989 94 1 4.086 94 44 4.086 94 2 4.086 94 3 5.629 94 4 5.629 94 6 6.710 94 43 5.332 94 9 4.086 94 10 5.332 94 12 4.989 94 15 6.126 94 32 5.332 94 13 5.332 94 36 5.332 94 19 6.126 94 47 5.332 94 37 4.583 94 31 5.629 94 7 3.446 94 22 2.543 94 18 6.126 94 24 5.332 94 25 6.338 94 33 5.629 94 29 5.629 94 38 4.583 94 45 4.086 94 28 5.332 94 46 4.086 95 23 4.583 95 11 4.583 95 19 4.086 95 20 1.000 95 21 4.583 95 31 4.583 95 39 4.989 95 18 5.332 95 25 6.710 95 27 4.086 95 29 5.891 96 25 6.710 96 26 1.000 96 9 2.543 96 11 4.989 96 15 3.446 96 13 1.000 96 19 2.543 96 31 4.086 96 27 4.583 97 2 3.446 97 4 1.000 97 8 1.000 97 10 2.543 97 19 1.000 97 16 1.000 97 5 2.543 97 17 2.543 97 42 4.989 97 39 1.000 97 20 6.126 97 21 4.989 97 22 1.000 97 18 1.000 97 35 5.332 97 28 7.881 97 29 5.332 98 7 5.629 98 6 6.532 98 31 5.891 98 43 1.000 98 8 3.446 98 16 1.000 98 17 5.891 98 37 5.332 98 20 4.086 98 25 3.446 99 44 7.028 99 43 3.446 99 1 4.989 99 11 1.000 99 15 8.253 99 8 2.543 99 5 7.554 99 19 6.126 99 39 1.000 99 37 3.446 99 31 4.989 99 29 7.307 99 23 1.000 99 24 4.086 99 33 7.172 99 27 4.086 99 35 4.086 99 45 4.583 99 28 7.777 99 6 3.446 100 1 4.086 100 44 4.086 100 9 3.446 100 15 7.028 100 29 4.086 100 4 4.086 100 12 5.332 100 34 5.332 100 43 1.000 100 32 1.000 100 24 4.086 100 25 6.126 100 26 1.000 100 45 4.583 101 4 5.629 101 19 1.000 101 43 4.989 101 9 2.543 101 12 1.000 101 15 4.989 101 31 5.629 101 24 4.583 101 27 4.086 101 46 2.543 101 18 1.000 102 2 2.543 102 14 4.086 102 28 4.989 102 17 4.086 102 5 4.086 102 18 4.583 102 40 2.543 102 41 4.086 102 11 4.989 102 6 6.875 102 10 4.989 102 15 5.629 102 50 3.446 102 8 3.446 102 36 2.543 102 47 3.446 102 49 2.543 102 4 4.583 102 20 6.338 102 24 4.989 102 21 3.446 102 3 1.000 102 9 2.543 102 23 2.543 102 19 4.583 102 7 2.543 102 12 3.446 102 48 1.000 102 30 4.583 102 34 4.086 102 42 3.446 102 26 3.446 102 13 1.000 102 39 3.446 102 16 2.543 102 31 4.989 102 33 4.086 102 38 4.583 102 27 1.000 102 32 1.000 102 35 5.891 102 37 4.086 102 22 2.543 103 1 2.543 103 44 2.543 103 7 2.543 103 10 4.989 103 31 4.583 103 15 6.126 103 36 3.446 103 32 2.543 103 39 2.543 103 21 2.543 103 22 1.000 103 37 2.543 103 27 3.446 103 24 5.891 103 45 2.543 103 28 4.583 103 11 4.989 104 1 4.086 104 44 4.086 104 6 1.000 104 43 4.989 104 23 2.543 104 10 5.891 104 11 4.583 104 15 2.543 104 32 4.583 104 19 5.332 104 45 4.583 104 25 3.446 104 26 4.086 104 12 1.000 104 29 4.583 104 18 6.710 104 20 4.989 105 2 1.000 105 4 6.710 105 9 3.446 105 23 3.446 105 14 7.554 105 6 1.000 105 19 6.532 105 30 7.980 105 20 8.074 105 21 8.644 105 22 4.086 105 18 6.532 105 33 6.875 105 38 7.554 105 10 4.989 105 35 7.669 105 28 8.496 105 29 8.165 106 2 2.543 106 4 5.332 106 7 4.583 106 10 4.583 106 35 4.583 106 5 5.332 106 19 5.332 106 42 5.332 106 30 5.629 106 39 1.000 106 20 4.583 106 22 2.543 106 23 1.000 106 38 5.332 106 28 4.086 106 29 1.000 106 18 5.332 107 4 4.086 107 6 7.172 107 7 5.629 107 43 5.629 107 15 4.086 107 32 5.332 107 17 5.332 107 39 5.629 107 37 5.332 107 21 5.332 107 31 6.710 107 27 4.086 107 35 6.126 107 24 4.086 108 16 5.332 108 4 4.583 108 6 7.028 108 9 4.989 108 11 4.583 108 43 1.000 108 17 6.338 108 37 5.332 108 21 1.000 108 31 5.629 108 10 4.583 108 35 4.989 109 2 5.332 109 4 5.629 109 6 6.532 109 7 3.446 109 9 4.989 109 23 3.446 109 10 2.543 109 11 4.583 109 12 2.543 109 36 4.086 109 19 2.543 109 17 3.446 109 20 5.891 109 21 4.086 109 22 2.543 109 35 4.086 109 18 5.332 109 14 2.543 110 2 4.086 110 4 6.126 110 6 4.086 110 8 4.583 110 5 4.583 110 23 2.543 110 10 2.543 110 11 4.086 110 43 5.332 110 16 4.583 110 37 4.086 110 19 2.543 110 17 4.086 110 15 1.000 110 28 4.086 110 20 5.629 110 21 3.446 110 9 4.086 110 31 5.891 110 22 1.000 110 18 2.543 110 24 4.086 110 35 4.086 111 21 4.989 111 12 5.629 111 2 5.629 111 4 3.446 111 6 5.332 111 7 2.543 111 19 1.000 111 5 3.446 111 23 4.989 111 10 4.583 111 16 2.543 111 36 8.496 111 18 1.000 111 39 2.543 111 31 5.891 111 29 5.629 111 22 1.000 111 25 9.155 111 14 5.629 111 35 7.172 111 28 6.338 111 20 5.629 112 21 5.332 112 11 4.583 112 12 4.989 112 15 5.891 112 29 4.086 113 21 1.000 113 19 3.446 113 43 2.543 113 8 2.543 113 10 3.446 113 31 6.126 113 12 4.086 113 41 3.446 113 47 3.446 113 15 6.126 113 32 2.543 113 16 3.446 113 36 2.543 113 18 3.446 113 17 2.543 113 48 3.446 113 42 2.543 113 39 2.543 113 49 2.543 113 22 2.543 113 24 4.989 113 38 2.543 113 27 3.446 113 28 2.543 113 29 3.446 114 2 4.086 114 3 4.583 114 22 2.543 114 6 7.028 114 7 2.543 114 5 3.446 114 9 4.086 114 10 2.543 114 12 1.000 114 27 1.000 114 36 1.000 114 4 1.000 114 8 2.543 114 16 3.446 114 19 2.543 114 17 2.543 114 39 3.446 114 35 4.989 114 20 4.989 114 31 4.583 114 18 2.543 114 23 2.543 114 24 4.086 114 33 4.583 114 38 4.583 114 26 4.583 114 13 2.543 114 28 4.583 114 11 4.086 115 3 1.000 115 4 1.000 115 38 1.000 115 8 1.000 115 34 1.000 115 9 5.332 115 10 1.000 115 12 1.000 115 15 1.000 115 16 1.000 115 13 1.000 115 36 5.332 115 18 1.000 115 19 1.000 115 47 1.000 115 39 1.000 115 37 2.543 115 31 1.000 115 49 5.332 115 22 4.989 115 23 1.000 115 33 1.000 115 27 1.000 116 25 6.338 116 1 2.543 116 44 2.543 116 26 4.086 116 9 1.000 116 46 2.543 116 3 3.446 116 11 4.583 116 12 5.332 116 15 5.891 116 13 1.000 116 36 2.543 116 31 4.583 116 29 4.989 116 24 4.583 116 33 4.583 116 38 4.989 116 34 4.989 116 45 2.543 116 28 1.000 116 6 1.000 117 25 7.172 117 2 4.989 117 4 3.446 117 7 2.543 117 5 4.086 117 9 2.543 117 31 6.710 117 11 6.126 117 12 6.710 117 14 6.875 117 41 7.172 117 16 2.543 117 13 2.543 117 17 4.583 117 18 2.543 117 48 7.172 117 49 7.307 117 21 6.532 117 20 7.172 117 19 1.000 117 33 1.000 117 22 2.543 117 23 3.446 117 24 7.172 117 28 6.126 117 34 2.543 117 10 3.446 117 35 6.875 118 12 4.583 118 4 1.000 118 6 6.875 118 23 1.000 118 10 1.000 118 11 4.583 118 32 1.000 118 16 1.000 118 19 1.000 118 17 4.086 118 39 2.543 118 20 5.629 118 21 4.086 118 31 4.583 118 29 2.543 118 18 1.000 118 24 4.583 118 25 3.446 118 35 5.629 119 1 3.446 119 6 1.000 119 44 3.446 119 12 3.446 119 43 4.989 119 15 4.989 119 32 4.583 119 37 2.543 119 27 2.543 119 35 4.583 119 45 3.446 120 25 4.989 120 2 1.000 120 3 4.989 120 4 1.000 120 23 1.000 120 5 1.000 120 20 6.338 120 21 1.000 120 22 1.000 120 24 4.989 120 27 3.446 120 28 5.332 121 21 2.543 121 44 3.446 121 4 1.000 121 7 1.000 121 43 3.446 121 1 3.446 121 23 1.000 121 10 1.000 121 31 5.891 121 15 2.543 121 16 2.543 121 35 5.332 121 19 4.086 121 32 4.086 121 39 1.000 121 45 3.446 121 29 3.446 121 46 3.446 121 18 1.000 122 3 4.989 122 9 4.086 122 40 5.332 122 11 4.086 122 12 4.583 122 41 4.086 122 15 2.543 122 13 1.000 122 24 3.446 122 26 5.332 122 29 4.583 123 18 1.000 123 2 2.543 123 4 4.086 123 6 6.338 123 7 4.086 123 23 1.000 123 10 1.000 123 15 3.446 123 19 5.629 123 39 4.086 123 21 3.446 123 9 3.446 123 35 5.332 123 29 4.086 123 11 4.583 124 2 5.332 124 4 5.629 124 6 7.172 124 10 4.583 124 11 1.000 124 19 5.629 124 16 1.000 124 36 2.543 124 5 5.629 124 37 1.000 124 20 6.338 124 29 2.543 124 22 1.000 124 23 4.989 124 24 3.446 124 33 1.000 124 38 4.583 124 35 6.126 124 28 5.629 124 18 5.891 124 14 4.583 125 31 1.000 125 2 4.989 125 3 1.000 125 4 2.543 125 43 2.543 125 8 1.000 125 10 1.000 125 16 1.000 125 36 2.543 125 18 2.543 125 19 2.543 125 17 1.000 125 20 4.086 125 21 1.000 125 22 2.543 125 23 2.543 125 33 4.989 125 38 1.000 125 27 1.000 125 35 4.583 125 28 3.446 125 29 4.583 126 44 5.629 126 2 2.543 126 4 5.891 126 1 5.332 126 26 1.000 126 12 5.629 126 15 5.629 126 11 4.583 126 43 3.446 126 48 5.332 126 30 5.629 126 24 5.629 126 34 5.629 126 28 5.332 126 18 6.532 126 50 5.629 127 6 2.543 127 9 2.543 127 10 4.989 127 11 4.989 127 32 5.332 127 37 4.086 127 29 4.086 127 24 5.332 127 35 4.989 128 2 4.086 128 10 2.543 128 36 5.891 128 5 4.086 128 19 6.338 128 37 5.629 128 20 4.086 128 21 2.543 128 31 6.126 128 24 4.086 129 12 5.629 129 23 4.989 129 46 4.086 129 10 8.715 129 16 6.532 129 5 9.038 129 19 7.028 129 4 7.980 129 39 5.332 129 37 6.875 129 21 4.086 129 33 5.332 129 38 4.086 129 18 3.446 129 20 6.875 130 1 6.126 130 44 5.332 130 2 7.028 130 3 7.172 130 9 3.446 130 15 4.583 130 16 2.543 130 13 1.000 130 14 4.989 130 6 4.086 130 29 5.891 130 50 7.434 130 25 2.543 130 12 5.629 130 17 1.000 130 47 1.000 130 30 1.000 130 33 1.000 130 27 3.446 130 49 6.338 130 28 6.710 130 42 1.000 130 20 4.583 130 22 2.543 130 26 6.532 130 35 3.446 130 45 5.891 130 46 6.338 130 11 6.532 130 40 6.532 130 41 6.532 130 21 5.332 131 21 2.543 131 1 1.000 131 44 2.543 131 3 2.543 131 7 3.446 131 11 4.989 131 12 4.086 131 16 1.000 131 36 1.000 131 43 1.000 131 19 2.543 131 32 2.543 131 46 1.000 131 37 1.000 131 26 3.446 131 6 5.629 131 35 4.086 131 45 1.000 131 29 3.446 132 44 3.446 132 6 6.532 132 7 2.543 132 43 2.543 132 8 2.543 132 10 3.446 132 11 4.583 132 19 3.446 132 4 3.446 132 16 2.543 132 36 3.446 132 5 3.446 132 18 3.446 132 32 3.446 132 17 2.543 132 39 3.446 132 21 2.543 132 31 2.543 132 46 3.446 132 24 3.446 132 27 3.446 132 45 3.446 133 2 1.000 133 4 5.629 133 7 1.000 133 9 5.332 133 23 5.629 133 10 5.629 133 12 2.543 133 15 5.629 133 5 3.446 133 18 1.000 133 19 5.629 133 17 3.446 133 20 6.126 133 21 4.583 133 22 3.446 133 35 5.332 133 14 1.000 133 11 4.583 134 31 4.086 134 1 5.629 134 44 5.629 134 6 6.875 134 9 4.583 134 10 5.891 134 11 5.332 134 12 5.629 134 43 5.891 134 15 1.000 134 13 3.446 134 5 4.583 134 19 5.629 134 47 3.446 134 29 5.332 134 18 4.989 134 26 5.891 134 24 5.891 134 45 5.629 134 46 5.629 135 2 8.418 135 14 8.418 135 36 4.989 135 5 6.532 135 29 4.583 135 37 2.543 135 21 6.875 135 18 10.000 135 33 2.543 135 35 7.172 135 28 8.496 136 3 4.086 136 6 6.875 136 7 2.543 136 9 1.000 136 12 4.583 136 43 1.000 136 11 4.086 136 17 1.000 136 37 1.000 136 20 4.086 136 24 2.543 136 26 4.583 136 35 5.629 137 1 4.086 137 44 4.086 137 43 4.989 137 11 4.583 137 15 5.891 137 13 2.543 137 19 1.000 137 45 5.332 137 46 4.086 137 18 2.543 138 1 5.629 138 44 5.332 138 3 5.629 138 7 2.543 138 9 1.000 138 40 5.332 138 11 4.583 138 41 5.332 138 15 5.891 138 25 5.629 138 34 5.332 138 27 2.543 138 24 5.332 138 49 5.332 138 45 5.629 138 46 5.629 139 6 2.543 139 7 5.332 139 43 1.000 139 12 4.989 139 17 6.338 139 20 6.126 139 21 2.543 139 31 5.332 139 35 4.086 140 3 5.891 140 4 5.629 140 23 1.000 140 10 1.000 140 5 5.629 140 19 5.891 140 20 6.532 140 22 1.000 140 18 5.332 141 25 6.338 141 18 2.543 141 1 2.543 141 44 2.543 141 38 2.543 141 11 3.446 141 23 2.543 141 10 2.543 141 15 4.583 141 2 4.583 141 35 4.583 141 36 4.086 141 19 2.543 141 20 5.332 141 46 2.543 141 33 1.000 141 45 2.543 141 28 1.000 141 29 4.583 141 14 4.086 142 2 5.332 142 38 4.583 142 6 1.000 142 26 5.332 142 23 1.000 142 10 1.000 142 19 4.583 142 5 3.446 142 18 1.000 142 37 4.989 142 22 1.000 142 24 4.989 142 33 6.126 142 28 6.126 142 14 5.332 143 33 5.332 143 47 2.543 143 2 4.583 143 4 1.000 143 38 1.000 143 19 1.000 143 23 4.583 143 10 4.583 143 12 3.446 143 15 8.644 143 36 4.989 143 5 5.629 143 20 3.446 143 31 6.126 143 22 7.669 143 18 6.875 143 37 1.000 143 24 5.332 143 28 4.086 143 29 1.000 144 21 2.543 144 8 2.543 144 43 1.000 144 16 6.126 144 5 5.891 144 32 4.086 144 20 6.338 144 39 5.332 144 23 4.583 144 35 7.669 144 29 6.710 144 18 5.629 145 21 7.307 145 2 7.172 145 4 8.644 145 23 7.307 145 10 8.253 145 11 5.891 145 46 4.086 145 36 7.172 145 5 6.710 145 19 7.172 145 17 1.000 145 48 5.629 145 39 4.086 145 20 7.434 145 31 5.629 145 22 4.583 145 18 8.337 145 33 6.126 145 38 7.980 145 28 7.172 145 14 7.172 146 4 5.891 146 43 2.543 146 9 5.332 146 23 6.126 146 10 6.710 146 19 4.583 146 37 4.583 146 20 5.332 146 35 4.989 146 18 7.881 147 25 5.332 147 12 1.000 147 31 1.000 147 2 2.543 147 3 1.000 147 4 1.000 147 6 6.338 147 7 1.000 147 23 1.000 147 11 4.583 147 15 1.000 147 32 2.543 147 16 1.000 147 13 1.000 147 36 1.000 147 5 2.543 147 18 1.000 147 17 1.000 147 10 1.000 147 39 1.000 147 20 4.583 147 21 1.000 147 22 1.000 147 19 1.000 147 14 2.543 147 33 2.543 147 38 2.543 147 26 2.543 147 34 1.000 147 27 1.000 147 35 4.086 147 24 2.543 147 28 2.543 147 29 1.000 148 4 4.583 148 6 6.532 148 8 3.446 148 5 1.000 148 31 7.554 148 32 4.086 148 17 4.583 148 39 4.086 148 37 2.543 148 9 1.000 148 27 4.086 148 10 2.543 148 35 3.446 148 28 3.446 148 18 1.000 148 50 4.086 149 6 6.338 149 7 1.000 149 1 1.000 149 44 1.000 149 9 2.543 149 11 4.086 149 12 1.000 149 15 1.000 149 32 1.000 149 31 1.000 149 39 1.000 149 21 1.000 149 46 1.000 149 29 1.000 149 25 1.000 149 26 1.000 149 34 1.000 149 27 1.000 149 35 4.583 149 24 1.000 149 45 1.000 150 2 1.000 150 6 3.446 150 10 5.332 150 11 4.086 150 12 2.543 150 40 1.000 150 41 1.000 150 36 4.086 150 5 1.000 150 19 2.543 150 20 5.332 150 31 1.000 150 22 1.000 150 24 1.000 150 14 3.446 150 33 3.446 150 38 2.543 150 26 1.000 150 34 1.000 150 27 1.000 150 49 1.000 150 28 4.989 150 18 1.000 151 1 1.000 151 44 1.000 151 3 1.000 151 9 1.000 151 15 1.000 151 13 1.000 151 19 1.000 151 12 1.000 151 48 1.000 151 29 1.000 151 34 1.000 151 43 4.989 151 8 1.000 151 32 1.000 151 26 1.000 151 45 1.000 151 41 1.000 152 25 7.028 152 1 4.086 152 44 4.583 152 2 4.989 152 36 2.543 152 9 4.583 152 43 2.543 152 40 2.543 152 41 3.446 152 15 4.989 152 28 4.086 152 31 5.332 152 22 1.000 152 14 4.583 152 38 4.583 152 49 4.086 152 45 4.086 152 46 4.086 153 12 2.543 153 4 6.126 153 6 1.000 153 5 5.629 153 9 5.332 153 10 6.875 153 15 6.338 153 36 1.000 153 19 5.332 153 32 1.000 153 20 6.338 153 21 1.000 153 24 5.629 153 35 1.000 154 6 6.875 154 2 4.989 154 5 4.989 154 11 4.989 154 16 4.989 154 18 4.583 154 19 4.989 154 20 3.446 154 21 4.989 154 35 5.332 155 2 5.332 155 6 7.881 155 9 5.332 155 10 5.891 155 16 6.126 155 31 3.446 155 14 6.126 155 29 6.126 155 7 5.629 155 12 6.126 155 33 1.000 155 38 3.446 155 27 5.629 155 8 4.086 155 5 6.710 155 20 7.307 155 13 5.332 155 35 7.434 155 39 6.338 155 28 6.338 155 21 6.532 155 22 5.629 156 33 5.629 156 2 4.086 156 6 1.000 156 43 1.000 156 8 4.583 156 47 1.000 156 42 2.543 156 30 3.446 156 22 1.000 156 14 4.989 156 38 4.989 156 28 5.629 157 1 2.543 157 44 2.543 157 2 2.543 157 7 1.000 157 23 1.000 157 10 1.000 157 31 4.583 157 16 2.543 157 14 3.446 157 50 3.446 157 4 1.000 157 36 3.446 157 12 4.086 157 48 4.583 157 9 4.583 157 18 5.891 157 33 3.446 157 38 2.543 157 28 3.446 157 17 1.000 157 8 1.000 157 5 2.543 157 29 2.543 157 20 1.000 157 13 1.000 157 35 4.989 157 45 2.543 157 46 1.000 157 11 4.583 157 19 3.446 157 22 1.000 158 4 5.629 158 43 1.000 158 8 1.000 158 9 1.000 158 23 1.000 158 10 1.000 158 31 5.891 158 11 5.332 158 41 1.000 158 16 1.000 158 13 1.000 158 19 1.000 158 32 3.446 158 17 1.000 158 48 1.000 158 42 1.000 158 39 2.543 158 37 1.000 158 21 1.000 158 22 1.000 158 18 1.000 158 24 5.332 158 38 1.000 158 28 1.000 159 3 5.891 159 4 1.000 159 41 1.000 159 40 1.000 159 10 6.875 159 11 5.891 159 12 5.629 159 15 6.126 159 16 7.307 159 1 4.583 159 9 1.000 159 29 1.000 159 25 6.532 159 27 2.543 159 45 4.583 159 28 5.629 159 46 4.583 160 12 3.446 160 1 4.583 160 44 4.583 160 6 1.000 160 9 2.543 160 26 1.000 160 11 4.583 160 15 4.583 160 36 4.086 160 17 1.000 160 14 2.543 160 25 5.891 160 38 3.446 160 45 4.583 160 28 4.583 160 29 4.989 160 46 4.583 161 12 2.543 161 1 4.583 161 44 4.583 161 11 4.086 161 9 1.000 161 23 1.000 161 10 2.543 161 8 1.000 161 16 1.000 161 35 5.332 161 5 4.583 161 19 1.000 161 20 6.126 161 21 1.000 161 18 1.000 161 27 3.446 161 24 4.583 161 45 4.583 161 29 1.000 161 46 4.583 162 21 4.086 162 1 4.989 162 44 5.629 162 6 1.000 162 10 1.000 162 43 4.086 162 9 2.543 162 11 4.583 162 19 1.000 162 15 4.086 162 18 5.332 162 16 4.583 162 13 4.583 162 5 2.543 162 31 4.989 162 24 5.332 162 27 4.086 162 45 5.332 162 29 4.583 162 20 4.086 163 18 1.000 163 2 2.543 163 3 4.989 163 4 2.543 163 6 1.000 163 43 1.000 163 11 2.543 163 15 1.000 163 5 1.000 163 31 5.332 163 22 1.000 163 24 4.086 163 38 3.446 163 10 3.446 163 28 5.891 163 29 2.543 163 20 2.543 164 4 4.989 164 6 3.446 164 7 4.086 164 23 1.000 164 10 2.543 164 11 4.989 164 5 5.332 164 19 4.989 164 20 4.989 164 21 1.000 164 29 4.989 164 18 1.000 164 14 4.989 165 21 2.543 165 2 5.332 165 23 4.583 165 12 4.989 165 15 5.891 165 4 5.629 165 13 1.000 165 5 4.583 165 18 3.446 165 19 4.086 165 20 2.543 165 33 1.000 165 10 3.446 165 28 5.629 165 14 1.000 166 25 2.543 166 11 1.000 166 37 1.000 166 20 1.000 166 31 4.086 166 29 1.000 166 27 1.000 166 35 4.583 167 47 2.543 167 8 1.000 167 31 4.989 167 15 5.891 167 16 5.332 167 3 2.543 167 39 1.000 167 37 4.583 167 27 5.891 167 35 5.332 167 29 5.332 168 4 5.629 168 23 6.126 168 10 5.891 168 19 4.989 168 5 5.332 168 37 4.086 168 20 6.126 168 22 2.543 168 38 4.086 168 14 3.446 168 28 5.629 168 18 7.028 169 14 3.446 169 4 3.446 169 38 4.989 169 6 6.532 169 7 5.332 169 9 4.086 169 21 5.332 169 23 4.583 169 10 5.332 169 15 5.332 169 16 5.332 169 36 4.989 169 5 4.086 169 19 4.989 169 17 4.086 169 37 4.583 169 33 4.583 169 22 2.543 169 18 3.446 169 28 4.989 169 29 5.891 170 1 1.000 170 43 1.000 170 44 1.000 170 34 3.446 170 23 1.000 170 12 1.000 170 27 1.000 170 8 4.086 170 47 1.000 170 31 4.086 170 24 3.446 170 35 4.086 170 45 1.000 170 29 3.446 170 20 1.000 171 12 5.332 171 1 4.989 171 44 4.989 171 43 2.543 171 9 4.583 171 15 6.126 171 36 4.583 171 24 4.989 171 25 4.583 171 38 3.446 171 34 5.332 171 27 1.000 171 45 4.989 171 46 4.583 172 2 5.629 172 4 5.332 172 39 1.000 172 8 4.989 172 17 5.332 172 36 5.891 172 5 4.989 172 19 6.875 172 46 4.086 172 30 5.332 172 9 5.332 172 22 5.629 172 24 4.989 172 33 6.338 172 38 4.989 172 27 1.000 172 10 5.891 172 18 5.891 172 14 1.000 173 4 7.172 173 6 1.000 173 21 2.543 173 23 5.629 173 10 5.629 173 19 6.338 173 5 4.583 173 17 2.543 173 37 1.000 173 20 5.629 173 31 1.000 173 22 3.446 173 28 2.543 173 18 6.126 174 1 5.629 174 44 5.629 174 6 2.543 174 43 1.000 174 25 5.332 174 9 1.000 174 12 4.583 174 15 5.332 174 8 1.000 174 16 1.000 174 13 1.000 174 48 1.000 174 31 3.446 174 24 5.629 174 45 5.891 174 29 4.989 174 46 5.629 174 50 1.000 175 48 1.000 175 4 3.446 175 8 3.446 175 34 1.000 175 23 1.000 175 10 1.000 175 12 4.583 175 19 1.000 175 15 8.644 175 16 2.543 175 13 2.543 175 36 4.583 175 5 2.543 175 47 1.000 175 32 4.583 175 39 2.543 175 28 3.446 175 20 5.332 175 21 4.583 175 31 4.583 175 22 2.543 175 18 3.446 175 33 4.583 175 38 4.583 175 27 2.543 175 35 5.629 175 45 4.989 175 29 4.583 175 46 4.583 176 44 4.989 176 2 4.989 176 31 5.891 176 11 4.583 176 41 5.629 176 15 6.126 176 48 5.332 176 33 5.332 176 38 4.583 176 34 1.000 176 24 2.543 176 49 5.629 176 45 4.086 176 29 5.332 176 46 5.629 177 1 1.000 177 44 1.000 177 10 1.000 177 15 1.000 177 13 1.000 177 19 1.000 177 31 1.000 177 29 1.000 177 4 1.000 177 12 1.000 177 36 1.000 177 33 1.000 177 38 1.000 177 34 1.000 177 27 1.000 177 43 1.000 177 5 1.000 177 32 1.000 177 24 1.000 177 25 1.000 177 26 1.000 177 45 1.000 177 46 1.000 177 37 1.000 177 21 1.000 177 22 1.000 178 3 4.989 178 6 6.875 178 7 1.000 178 8 4.583 178 10 2.543 178 31 1.000 178 11 4.086 178 12 1.000 178 15 3.446 178 16 1.000 178 13 1.000 178 18 4.086 178 19 2.543 178 32 2.543 178 17 1.000 178 39 1.000 178 21 5.332 178 9 1.000 178 22 2.543 178 33 1.000 178 38 1.000 178 35 4.989 178 29 3.446 178 20 4.086 179 4 5.629 179 6 2.543 179 47 2.543 179 7 1.000 179 8 1.000 179 5 1.000 179 23 5.629 179 10 3.446 179 12 1.000 179 15 2.543 179 16 1.000 179 13 1.000 179 19 5.891 179 17 2.543 179 39 1.000 179 37 1.000 179 20 5.332 179 21 5.629 179 29 5.629 179 46 4.086 179 22 1.000 179 38 4.583 179 26 5.332 179 34 1.000 179 27 4.583 179 35 5.332 179 28 5.629 179 18 6.126 179 14 4.989 180 3 4.086 180 4 1.000 180 38 3.446 180 9 3.446 180 26 3.446 180 10 1.000 180 11 4.583 180 12 5.332 180 36 3.446 180 19 3.446 180 31 1.000 180 29 4.989 180 33 2.543 180 24 4.989 180 25 5.891 180 27 4.086 180 28 3.446 181 3 4.086 181 4 4.989 181 1 1.000 181 5 1.000 181 9 5.629 181 23 4.583 181 46 1.000 181 10 5.629 181 15 5.332 181 44 1.000 181 2 1.000 181 36 4.989 181 19 4.989 181 20 5.629 181 29 1.000 181 22 1.000 181 24 1.000 181 14 4.583 181 33 4.086 181 34 1.000 181 27 1.000 181 45 1.000 181 28 4.583 181 18 4.989 181 38 1.000 182 7 2.543 182 16 3.446 182 13 3.446 182 37 1.000 182 21 6.338 182 27 4.583 183 4 5.891 183 7 1.000 183 23 1.000 183 10 1.000 183 16 1.000 183 36 4.583 183 19 5.332 183 35 5.629 183 20 5.891 183 21 5.332 183 31 3.446 183 22 1.000 183 33 2.543 183 28 5.332 183 18 1.000 184 3 4.583 184 7 3.446 184 12 4.086 184 15 5.332 184 36 5.332 184 17 4.583 184 31 4.989 184 18 4.086 184 24 4.086 184 25 4.086 184 34 4.086 184 11 4.086 185 4 7.777 185 6 5.332 185 7 4.989 185 23 2.543 185 10 5.332 185 12 5.629 185 16 8.337 185 19 7.777 185 17 4.989 185 20 5.629 185 21 8.253 185 22 2.543 185 18 2.543 185 35 8.337 185 28 7.554 186 2 4.086 186 4 6.126 186 5 5.891 186 23 5.629 186 19 5.891 186 20 6.126 186 31 1.000 186 24 1.000 186 28 4.583 186 18 5.629 187 6 6.338 187 23 5.332 187 10 5.332 187 5 2.543 187 4 5.332 187 20 6.532 187 21 4.989 187 22 1.000 187 24 5.332 187 28 5.332 187 18 5.629 188 33 2.543 188 26 1.000 188 12 4.086 188 15 3.446 188 18 2.543 188 36 2.543 188 14 1.000 188 22 3.446 188 24 4.086 188 38 1.000 188 28 2.543 188 29 2.543 189 21 3.446 189 4 4.583 189 6 6.532 189 8 4.989 189 23 4.086 189 10 3.446 189 11 4.989 189 12 3.446 189 19 4.583 189 37 4.086 189 20 4.989 189 31 1.000 189 16 4.086 189 24 1.000 189 35 5.332 189 18 3.446 190 4 4.583 190 11 2.543 190 31 5.891 191 2 5.332 191 6 6.532 191 7 1.000 191 9 1.000 191 23 2.543 191 10 1.000 191 12 4.086 191 36 4.989 191 5 4.583 191 17 4.583 191 39 1.000 191 37 2.543 191 15 4.086 191 20 4.086 191 21 4.086 191 31 6.875 191 24 4.583 191 35 3.446 191 28 4.086 191 29 4.583 191 18 4.583 191 14 4.086 191 11 4.086 192 4 6.338 192 31 2.543 192 7 4.989 192 9 4.989 192 23 6.338 192 10 6.532 192 11 4.583 192 14 4.086 192 5 6.338 192 19 6.532 192 32 6.875 192 37 6.126 192 20 6.532 192 22 6.532 192 18 9.212 192 38 4.583 192 35 6.338 193 3 1.000 193 9 2.543 193 23 2.543 193 10 2.543 193 19 1.000 193 15 1.000 193 4 2.543 193 5 2.543 193 20 5.891 193 22 1.000 193 33 1.000 193 38 2.543 193 28 4.583 193 18 2.543 193 14 4.086 194 1 1.000 194 44 1.000 194 8 1.000 194 9 1.000 194 26 1.000 194 40 1.000 194 41 1.000 194 47 1.000 194 50 1.000 194 29 1.000 194 48 1.000 194 42 2.543 194 30 2.543 194 39 1.000 194 49 2.543 194 24 1.000 194 25 1.000 194 34 1.000 194 27 1.000 194 45 1.000 195 2 3.446 195 3 4.989 195 9 2.543 195 31 2.543 195 11 4.583 195 12 2.543 195 43 4.086 195 15 6.338 195 13 1.000 195 32 4.583 195 21 4.086 195 24 4.583 195 25 5.629 195 26 4.086 195 29 4.583 196 18 1.000 196 3 1.000 196 43 1.000 196 23 1.000 196 11 4.086 196 15 1.000 196 4 1.000 196 13 1.000 196 36 1.000 196 5 1.000 196 17 1.000 196 48 1.000 196 39 1.000 196 37 1.000 196 31 4.583 196 22 4.989 196 14 1.000 196 33 1.000 196 38 1.000 196 28 1.000 197 5 1.000 197 4 2.543 197 22 2.543 197 2 2.543 197 6 5.332 197 23 2.543 197 10 2.543 197 19 8.418 197 15 7.172 197 16 2.543 197 36 7.307 197 14 7.172 197 33 7.172 197 38 7.172 197 35 7.028 197 28 7.307 197 29 7.028 197 18 1.000 198 1 4.989 198 44 4.989 198 9 3.446 198 31 2.543 198 11 4.086 198 12 3.446 198 40 4.989 198 41 4.989 198 36 3.446 198 32 2.543 198 39 1.000 198 25 2.543 198 26 2.543 198 34 1.000 198 24 3.446 198 13 1.000 198 45 4.989 198 46 4.989 199 21 1.000 199 1 5.332 199 44 5.332 199 6 6.532 199 16 5.629 199 36 1.000 199 19 1.000 199 20 6.338 199 35 7.554 199 45 5.332 199 29 5.332 199 46 5.332 200 44 4.989 200 6 7.028 200 1 4.989 200 9 1.000 200 31 1.000 200 11 4.989 200 12 4.989 200 15 5.629 200 3 4.583 200 5 1.000 200 43 1.000 200 19 1.000 200 47 2.543 200 37 3.446 200 29 5.629 200 46 4.989 200 25 6.532 200 26 4.989 200 10 1.000 200 45 4.989 200 50 5.629 30 41 42 43 44 45 46 47 48 49 50 51 52 53 54 55 56 57 58 59 60 61 62 63 64 65 66 67 68 69 70 ================================================ FILE: programming_assignments/mini_reco/testcase/input/input004.txt ================================================ 35 10 300 70 6440 1 1 5.655 1 2 5.122 1 3 2.468 1 4 3.937 1 5 1.000 1 6 6.873 1 7 5.122 1 8 5.405 1 9 2.468 1 10 2.468 1 11 5.878 1 12 6.737 1 13 5.405 1 14 5.405 1 15 3.937 1 16 5.878 1 17 1.000 2 18 3.327 2 15 2.468 2 19 1.000 2 20 5.878 2 21 1.000 2 7 5.878 2 22 2.468 2 4 6.264 2 23 4.796 2 24 7.732 2 8 6.434 2 9 1.000 2 11 5.878 2 12 6.264 2 25 5.878 2 14 5.405 2 26 5.878 2 2 1.000 2 27 6.591 2 28 5.122 2 3 1.000 2 29 5.878 2 10 1.000 3 30 4.796 3 1 1.000 3 31 4.796 3 32 1.000 3 7 1.000 3 33 6.080 3 6 4.409 3 19 1.000 3 21 2.468 3 34 1.000 3 22 1.000 3 17 2.468 3 35 4.796 3 3 1.000 3 36 3.937 3 37 4.796 3 4 1.000 3 5 2.468 3 23 1.000 3 18 1.000 3 8 2.468 3 12 5.122 3 25 4.796 3 38 1.000 3 2 1.000 3 15 1.000 3 39 5.122 3 40 4.409 3 41 1.000 3 28 3.327 3 16 1.000 3 42 5.122 3 29 4.409 3 27 5.122 4 41 2.468 4 20 1.000 4 34 3.327 4 35 1.000 4 37 3.937 4 6 2.468 4 43 1.000 4 25 3.937 4 14 1.000 4 26 3.937 4 29 3.937 4 44 1.000 4 39 2.468 4 27 3.937 4 40 3.327 4 28 3.937 4 45 2.468 4 46 3.327 4 47 3.937 4 17 4.409 5 25 1.000 5 41 1.000 5 1 1.000 5 20 2.468 5 28 1.000 5 21 5.122 5 16 4.409 5 37 5.122 5 23 1.000 5 48 1.000 5 26 1.000 5 39 3.327 5 27 2.468 5 40 1.000 5 29 1.000 6 26 3.327 6 33 1.000 6 46 4.796 6 21 1.000 6 34 1.000 6 49 4.409 6 3 4.409 6 17 3.937 6 43 3.327 6 39 4.409 6 27 3.937 6 40 4.409 6 24 4.409 6 29 1.000 6 47 4.409 7 18 1.000 7 1 3.327 7 32 4.409 7 50 6.264 7 2 1.000 7 26 3.327 7 37 5.405 7 17 4.796 7 6 3.327 7 7 5.122 7 8 3.327 7 51 3.327 7 48 4.796 7 12 4.796 7 25 3.937 7 14 6.873 7 38 1.000 7 39 5.122 7 36 5.122 7 27 5.122 7 52 5.122 7 41 3.937 7 28 4.796 7 45 4.796 7 16 2.468 7 22 1.000 7 24 4.409 7 42 5.122 7 29 5.122 7 47 4.796 8 25 5.122 8 1 4.796 8 32 4.409 8 22 4.796 8 27 4.409 8 34 4.409 8 37 5.122 8 51 4.409 8 5 4.409 8 49 4.796 8 8 4.796 8 44 1.000 8 11 4.409 8 26 4.409 8 38 2.468 8 52 4.409 8 28 4.409 8 42 4.409 8 29 5.122 8 17 3.937 9 25 2.468 9 26 3.937 9 1 2.468 9 53 5.405 9 19 1.000 9 8 5.405 9 4 5.405 9 3 5.405 9 5 5.122 9 7 4.796 9 18 1.000 9 12 5.878 9 13 6.080 9 14 2.468 9 9 5.655 9 38 1.000 9 2 3.327 9 15 1.000 9 52 5.655 9 28 3.937 9 45 5.655 9 22 1.000 9 24 6.080 9 10 1.000 10 1 1.000 10 32 5.405 10 33 1.000 10 54 1.000 10 19 4.796 10 20 1.000 10 34 3.937 10 2 5.405 10 22 5.405 10 35 5.122 10 37 5.655 10 5 4.409 10 49 3.327 10 7 4.796 10 8 5.405 10 11 4.409 10 12 5.405 10 26 4.796 10 10 3.937 10 38 1.000 10 46 4.409 10 27 1.000 10 24 5.122 10 42 5.405 10 29 3.937 10 18 2.468 11 36 1.000 11 50 2.468 11 33 5.122 11 6 3.937 11 23 1.000 11 21 3.937 11 55 1.000 11 56 1.000 11 57 2.468 11 48 2.468 11 26 3.937 11 44 3.327 11 53 4.409 11 41 3.937 11 45 1.000 11 58 2.468 11 16 2.468 11 39 4.409 11 42 3.327 11 59 1.000 12 5 3.327 12 35 4.796 12 1 3.937 12 31 5.878 12 32 5.655 12 52 1.000 12 50 4.409 12 19 4.409 12 41 2.468 12 22 2.468 12 37 6.434 12 7 3.327 12 11 1.000 12 12 1.000 12 10 3.327 12 44 2.468 12 15 1.000 12 53 3.937 12 28 4.409 12 45 4.796 12 39 5.122 12 42 5.122 12 60 2.468 12 18 3.327 12 36 5.122 13 4 3.937 13 6 3.937 13 7 3.327 13 51 4.409 13 12 1.000 13 34 1.000 13 29 4.409 13 44 1.000 13 38 1.000 13 39 3.327 13 52 4.409 13 53 2.468 13 41 3.327 13 28 3.327 13 60 4.796 13 18 6.264 14 33 6.264 14 19 1.000 14 20 3.327 14 22 4.796 14 35 4.796 14 4 5.405 14 3 2.468 14 8 5.655 14 51 5.122 14 11 4.409 14 12 4.409 14 25 1.000 14 13 4.796 14 14 6.434 14 46 6.264 14 27 8.649 14 28 3.327 14 45 1.000 14 24 6.591 15 30 5.122 15 61 6.080 15 31 5.655 15 32 2.468 15 33 6.737 15 62 4.796 15 21 1.000 15 63 5.655 15 34 1.000 15 35 4.796 15 8 1.000 15 37 3.327 15 23 5.122 15 13 4.409 15 26 4.409 15 10 2.468 15 44 3.327 15 47 5.405 15 46 5.878 15 40 5.405 15 45 2.468 15 64 5.122 15 65 5.122 15 18 3.327 16 25 4.796 16 33 3.327 16 19 2.468 16 20 5.122 16 2 1.000 16 4 4.409 16 23 4.409 16 11 3.327 16 13 4.796 16 26 3.937 16 9 4.409 16 28 3.937 16 3 2.468 16 24 5.122 16 10 1.000 17 1 2.468 17 32 6.264 17 33 6.080 17 19 1.000 17 20 6.264 17 49 3.937 17 2 4.796 17 22 5.878 17 17 5.655 17 5 6.080 17 7 6.080 17 8 6.264 17 51 6.080 17 23 3.937 17 12 6.434 17 25 5.655 17 13 6.264 17 14 6.080 17 18 7.346 17 15 6.434 17 27 6.591 17 52 6.080 17 28 6.080 17 24 6.737 17 29 3.937 17 10 1.000 18 25 7.002 18 26 6.873 18 1 5.122 18 32 7.902 18 33 4.796 18 6 1.000 18 62 1.000 18 7 7.123 18 2 8.867 18 22 6.873 18 17 1.000 18 49 1.000 18 8 7.450 18 10 1.000 18 12 7.450 18 13 7.123 18 38 2.468 18 18 8.205 18 42 4.409 19 30 4.409 19 32 5.655 19 62 1.000 19 34 3.327 19 22 4.409 19 35 3.327 19 37 3.937 19 31 1.000 19 49 3.327 19 7 3.937 19 12 4.796 19 25 3.327 19 14 3.327 19 26 4.796 19 44 1.000 19 18 3.937 19 27 3.937 19 40 2.468 19 28 1.000 19 45 2.468 19 39 3.327 20 66 3.937 20 31 3.327 20 32 3.327 20 50 1.000 20 41 1.000 20 34 3.327 20 5 3.327 20 54 4.409 20 67 3.937 20 23 4.409 20 48 4.409 20 9 3.327 20 26 3.327 20 44 1.000 20 38 4.409 20 39 2.468 20 36 3.937 20 40 6.080 20 53 3.327 20 16 4.409 20 68 3.327 20 42 3.327 20 29 1.000 20 18 1.000 21 43 1.000 21 1 4.796 21 31 5.655 21 32 8.342 21 46 1.000 21 62 6.264 21 34 3.937 21 2 5.122 21 22 7.450 21 35 5.655 21 37 8.205 21 49 3.937 21 7 5.405 21 8 7.902 21 12 6.080 21 60 5.122 21 38 3.327 21 39 3.937 21 36 5.122 21 52 4.409 21 53 4.796 21 42 3.937 21 18 8.649 22 63 3.937 22 62 1.000 22 6 7.450 22 49 5.878 22 54 1.000 22 38 1.000 22 36 5.122 22 42 6.080 22 17 3.937 23 31 1.000 23 33 5.655 23 20 3.327 23 21 4.409 23 6 3.937 23 51 4.796 23 23 3.327 23 10 1.000 23 11 4.409 23 12 1.000 23 13 1.000 23 14 4.796 23 26 6.591 23 27 7.002 23 40 7.237 23 16 1.000 23 24 3.327 23 39 3.327 24 40 6.080 24 30 5.405 24 63 5.405 24 61 5.122 24 1 3.327 24 49 6.080 24 35 3.327 24 16 4.409 24 37 1.000 24 6 2.468 24 23 3.937 24 44 1.000 24 26 5.122 24 38 3.327 24 39 5.122 24 36 6.591 24 52 6.264 24 53 4.796 24 41 5.122 24 45 3.327 24 22 1.000 24 64 5.122 24 42 5.122 25 32 2.468 25 38 1.000 25 33 6.737 25 27 5.655 25 7 2.468 25 2 1.000 25 22 2.468 25 17 4.796 25 1 2.468 25 24 5.405 25 8 1.000 25 23 3.327 25 43 1.000 25 12 5.878 25 26 3.327 25 44 1.000 25 11 1.000 25 39 1.000 25 36 4.409 25 40 6.264 25 52 1.000 25 28 5.122 25 45 2.468 25 16 2.468 25 42 5.405 25 29 5.122 25 60 5.405 25 18 1.000 26 1 1.000 26 15 2.468 26 2 1.000 26 22 2.468 26 32 2.468 26 36 3.937 26 8 1.000 26 5 1.000 26 7 1.000 26 18 1.000 26 25 4.796 26 52 1.000 26 38 1.000 26 28 3.937 26 42 5.405 26 47 1.000 27 30 7.548 27 63 7.002 27 61 7.002 27 31 5.655 27 19 1.000 27 34 2.468 27 2 1.000 27 22 2.468 27 37 4.409 27 4 2.468 27 36 3.937 27 10 2.468 27 32 2.468 27 49 2.468 27 35 6.434 27 5 1.000 27 69 5.405 27 54 2.468 27 67 5.405 27 48 2.468 27 66 5.405 27 29 5.405 27 52 1.000 27 45 2.468 27 58 3.327 27 16 3.327 27 60 6.873 27 33 6.264 27 23 3.327 27 62 1.000 27 21 1.000 27 44 1.000 27 7 1.000 27 57 2.468 27 43 5.405 27 12 5.655 27 38 1.000 27 46 5.405 27 39 5.405 27 27 5.405 27 40 5.405 27 28 6.080 27 24 5.878 27 64 7.002 27 65 7.346 27 18 1.000 27 15 2.468 27 8 1.000 27 56 5.405 27 9 2.468 27 42 5.655 27 25 6.873 27 17 4.796 28 33 2.468 28 27 1.000 28 34 1.000 28 17 5.122 28 7 4.409 28 8 5.655 28 43 4.409 28 12 3.937 28 15 1.000 28 22 3.937 28 10 1.000 28 18 7.237 29 50 4.796 29 62 1.000 29 17 2.468 29 35 3.327 29 37 3.327 29 23 3.937 29 48 5.122 29 43 2.468 29 44 1.000 29 38 2.468 29 46 3.937 29 39 5.122 29 45 3.327 29 58 3.937 30 31 4.409 30 32 1.000 30 33 7.123 30 19 2.468 30 21 1.000 30 15 2.468 30 2 1.000 30 22 1.000 30 26 2.468 30 60 5.405 30 4 1.000 30 5 5.122 30 17 4.409 30 7 2.468 30 23 1.000 30 43 5.122 30 25 5.122 30 9 1.000 30 18 1.000 30 46 8.059 30 27 7.237 30 28 4.409 30 10 1.000 30 65 3.327 30 12 4.409 31 25 5.122 31 19 3.937 31 20 5.122 31 62 5.655 31 4 5.122 31 5 5.122 31 51 5.122 31 23 5.878 31 11 5.122 31 13 5.122 31 27 5.405 31 3 4.796 31 15 5.122 31 24 5.655 32 35 4.796 32 30 5.405 32 63 5.878 32 61 5.405 32 1 2.468 32 38 1.000 32 60 3.327 32 34 1.000 32 2 1.000 32 36 4.409 32 37 5.122 32 4 2.468 32 6 1.000 32 7 2.468 32 18 1.000 32 43 5.122 32 64 5.122 32 47 5.655 32 41 4.796 32 16 1.000 32 22 2.468 32 39 5.405 32 42 5.655 32 29 4.796 32 65 5.405 33 59 4.796 33 33 4.409 33 6 4.409 33 20 5.405 33 62 1.000 33 45 2.468 33 65 4.409 33 56 4.796 33 35 4.796 33 37 5.655 33 51 4.796 33 23 5.405 33 69 5.122 33 48 3.327 33 11 4.796 33 43 4.796 33 68 4.796 33 18 5.655 33 39 5.405 33 52 1.000 33 16 3.327 33 70 4.796 34 1 2.468 34 32 1.000 34 13 1.000 34 33 3.937 34 49 2.468 34 2 1.000 34 22 1.000 34 36 2.468 34 5 2.468 34 7 4.409 34 18 3.937 34 8 4.409 34 12 5.405 34 25 3.937 34 15 1.000 34 38 3.327 34 28 3.327 34 42 3.327 35 30 4.409 35 63 3.327 35 61 3.327 35 1 4.409 35 32 5.405 35 62 4.409 35 34 3.937 35 2 4.409 35 65 3.327 35 22 5.878 35 17 4.796 35 37 4.409 35 6 4.796 35 49 5.122 35 7 4.409 35 8 3.937 35 67 4.409 35 51 2.468 35 69 4.409 35 57 3.937 35 48 3.937 35 12 5.405 35 26 1.000 35 29 5.655 35 44 2.468 35 38 2.468 35 39 1.000 35 52 5.122 35 53 5.655 35 41 4.409 35 58 3.937 35 16 1.000 35 64 3.327 35 42 5.405 35 18 4.796 35 36 4.796 36 32 1.000 36 33 7.123 36 19 1.000 36 34 1.000 36 2 1.000 36 22 1.000 36 17 4.796 36 35 5.655 36 8 1.000 36 4 1.000 36 3 1.000 36 5 1.000 36 7 1.000 36 18 1.000 36 23 1.000 36 9 1.000 36 10 1.000 36 12 6.591 36 25 5.878 36 52 1.000 36 15 2.468 36 27 6.591 36 28 5.122 36 16 4.796 36 24 6.434 36 42 5.655 36 29 6.591 37 1 2.468 37 38 1.000 37 62 2.468 37 34 1.000 37 2 1.000 37 22 1.000 37 32 2.468 37 5 1.000 37 15 2.468 37 49 2.468 37 7 2.468 37 8 1.000 37 51 2.468 37 9 1.000 37 11 1.000 37 12 4.409 37 14 2.468 37 18 1.000 37 52 4.409 37 53 3.327 37 41 2.468 37 42 4.409 37 29 4.409 37 27 5.878 38 25 1.000 38 63 1.000 38 61 1.000 38 31 1.000 38 50 1.000 38 13 1.000 38 30 1.000 38 69 1.000 38 23 1.000 38 34 1.000 38 22 1.000 38 17 3.937 38 35 1.000 38 37 1.000 38 3 1.000 38 49 1.000 38 7 1.000 38 54 1.000 38 9 1.000 38 11 2.468 38 42 1.000 38 38 1.000 38 46 3.327 38 39 2.468 38 40 6.873 38 28 1.000 38 16 3.327 38 64 1.000 38 65 1.000 38 59 1.000 38 70 2.468 39 30 4.796 39 63 4.796 39 61 4.796 39 41 2.468 39 34 4.796 39 22 3.327 39 35 3.937 39 37 4.409 39 18 4.796 39 7 3.937 39 16 1.000 39 60 1.000 39 47 3.327 39 39 3.937 39 45 1.000 39 64 4.796 39 42 2.468 39 43 4.409 39 29 5.655 39 65 4.796 40 26 4.796 40 33 6.080 40 19 1.000 40 17 4.796 40 35 2.468 40 36 1.000 40 37 6.264 40 4 1.000 40 3 2.468 40 25 3.937 40 34 1.000 40 14 1.000 40 28 3.937 40 24 5.405 40 29 5.122 40 27 2.468 41 1 5.122 41 32 4.796 41 62 5.122 41 37 5.122 41 14 6.873 41 5 2.468 41 6 1.000 41 7 1.000 41 38 1.000 41 43 5.405 41 27 4.796 41 52 3.937 41 60 3.937 41 18 1.000 41 17 3.937 42 40 5.405 42 19 1.000 42 33 1.000 42 20 1.000 42 21 1.000 42 26 4.796 42 35 3.327 42 4 2.468 42 3 1.000 42 51 1.000 42 23 2.468 42 9 1.000 42 43 1.000 42 25 1.000 42 14 1.000 42 46 3.937 42 15 4.409 42 39 4.796 42 27 1.000 42 28 1.000 42 60 1.000 43 32 5.405 43 33 2.468 43 41 1.000 43 34 1.000 43 22 5.655 43 37 5.878 43 4 5.405 43 8 3.937 43 11 1.000 43 66 4.409 43 13 3.327 43 26 5.405 43 29 5.405 43 44 1.000 43 18 7.123 43 2 1.000 43 24 2.468 43 42 5.878 43 27 3.327 44 30 4.409 44 61 5.122 44 34 1.000 44 17 4.409 44 37 5.122 44 3 5.655 44 7 2.468 44 26 3.327 44 38 1.000 44 46 4.409 44 40 4.409 44 42 3.937 44 65 4.796 44 47 1.000 44 18 3.327 44 36 1.000 44 12 4.796 45 30 1.000 45 1 5.405 45 33 6.737 45 34 5.122 45 2 3.937 45 22 5.878 45 4 4.409 45 8 2.468 45 5 3.937 45 15 2.468 45 35 4.796 45 29 3.937 45 42 3.327 45 32 1.000 45 7 3.937 45 51 4.409 45 12 4.409 45 46 5.655 45 18 5.655 45 38 2.468 45 17 3.937 46 30 4.409 46 62 4.409 46 35 4.409 46 54 1.000 46 51 4.409 46 26 4.796 46 46 4.409 46 18 4.409 46 40 6.737 46 45 4.409 46 16 4.409 46 39 4.409 47 4 3.937 47 33 1.000 47 28 1.000 47 34 2.468 47 22 1.000 47 37 5.655 47 6 2.468 47 51 3.327 47 23 1.000 47 69 3.937 47 39 1.000 47 12 1.000 47 66 4.409 47 13 2.468 47 26 4.409 47 29 1.000 47 24 3.937 47 10 2.468 47 60 2.468 48 1 5.655 48 32 3.327 48 40 3.937 48 7 3.937 48 8 3.937 48 23 3.327 48 10 2.468 48 11 1.000 48 13 1.000 48 14 1.000 48 26 6.264 48 27 8.342 48 52 2.468 48 24 7.002 48 39 7.123 49 1 1.000 49 33 6.080 49 19 1.000 49 20 3.937 49 35 4.409 49 32 4.796 49 5 5.878 49 8 4.796 49 25 5.122 49 13 5.122 49 12 5.655 49 18 5.122 49 2 4.796 49 22 4.796 49 24 3.937 50 5 5.655 50 32 5.878 50 52 1.000 50 2 6.264 50 22 5.878 50 31 3.937 50 4 4.409 50 49 5.405 50 12 6.080 50 38 2.468 50 18 7.002 50 36 5.655 50 53 5.655 50 28 5.405 50 15 6.434 50 35 1.000 50 42 5.655 51 1 3.327 51 32 4.409 51 2 5.405 51 22 5.122 51 35 3.937 51 7 4.796 51 8 3.937 51 23 4.409 51 12 5.655 51 26 4.796 51 38 1.000 51 18 5.405 51 39 5.655 51 42 3.937 52 30 4.796 52 63 4.796 52 61 4.409 52 1 1.000 52 31 1.000 52 50 1.000 52 20 1.000 52 42 1.000 52 62 1.000 52 21 1.000 52 34 1.000 52 37 1.000 52 6 1.000 52 49 1.000 52 51 5.122 52 9 1.000 52 11 2.468 52 26 7.002 52 18 1.000 52 39 6.080 52 40 6.737 52 45 1.000 52 16 2.468 52 64 4.409 52 29 3.937 53 35 3.937 53 50 5.405 53 41 1.000 53 62 1.000 53 34 4.409 53 17 4.796 53 43 4.409 53 44 1.000 53 46 3.937 53 39 4.409 53 45 2.468 53 64 3.327 53 18 5.655 54 35 3.327 54 4 3.937 54 1 3.937 54 32 3.327 54 62 1.000 54 7 3.327 54 34 3.937 54 2 4.409 54 8 5.655 54 23 1.000 54 12 5.122 54 25 4.409 54 26 5.878 54 44 1.000 54 38 1.000 54 39 3.937 54 36 2.468 54 52 5.122 54 53 3.327 54 28 3.327 54 45 2.468 54 16 2.468 54 22 4.796 54 24 5.405 54 10 1.000 54 18 7.548 55 25 5.405 55 1 3.327 55 33 2.468 55 20 3.937 55 62 1.000 55 26 5.655 55 8 2.468 55 11 4.796 55 34 1.000 55 29 5.122 55 27 6.264 55 16 2.468 55 24 5.878 55 12 1.000 56 32 2.468 56 34 3.327 56 2 1.000 56 22 1.000 56 17 3.937 56 8 1.000 56 69 3.937 56 10 1.000 56 12 5.122 56 38 1.000 56 15 5.122 56 39 1.000 56 52 2.468 56 42 1.000 56 18 3.327 56 27 3.327 57 25 1.000 57 1 3.327 57 32 1.000 57 34 1.000 57 22 1.000 57 35 1.000 57 37 1.000 57 4 1.000 57 3 1.000 57 8 1.000 57 11 1.000 57 39 1.000 57 45 1.000 57 16 2.468 57 42 4.796 58 31 6.080 58 62 5.878 58 34 5.122 58 37 4.796 58 3 1.000 58 5 1.000 58 43 5.405 58 46 5.655 58 15 2.468 58 39 4.409 58 27 5.655 58 40 5.405 58 45 1.000 59 5 1.000 59 1 3.937 59 32 2.468 59 33 6.591 59 62 5.122 59 21 3.327 59 34 1.000 59 2 1.000 59 22 2.468 59 35 4.796 59 36 5.122 59 37 4.796 59 3 2.468 59 24 5.878 59 7 3.327 59 8 1.000 59 9 2.468 59 11 5.122 59 43 5.122 59 12 5.878 59 25 3.327 59 13 2.468 59 38 1.000 59 15 2.468 59 4 1.000 59 52 1.000 59 53 3.327 59 28 4.409 59 16 2.468 59 42 5.122 59 29 4.409 59 47 4.409 59 18 1.000 59 17 5.122 59 27 4.796 60 30 2.468 60 63 2.468 60 61 2.468 60 2 1.000 60 22 1.000 60 37 2.468 60 3 1.000 60 8 1.000 60 15 1.000 60 29 2.468 60 70 3.327 60 35 1.000 60 5 1.000 60 54 2.468 60 69 3.327 60 66 3.327 60 14 1.000 60 44 1.000 60 52 3.327 60 45 1.000 60 16 1.000 60 25 1.000 60 62 2.468 60 7 1.000 60 51 1.000 60 57 1.000 60 43 2.468 60 39 2.468 60 40 3.327 60 41 2.468 60 28 1.000 60 64 2.468 60 65 2.468 60 47 1.000 60 17 3.937 60 18 1.000 60 9 1.000 61 26 1.000 61 30 6.591 61 63 7.002 61 61 6.591 61 32 1.000 61 33 2.468 61 41 1.000 61 21 2.468 61 7 1.000 61 34 3.937 61 2 1.000 61 35 6.264 61 37 4.409 61 4 3.327 61 3 1.000 61 5 1.000 61 49 3.937 61 8 4.409 61 67 3.937 61 9 1.000 61 43 4.409 61 42 6.591 61 12 7.002 61 25 6.434 61 60 6.737 61 47 6.264 61 38 3.937 61 18 1.000 61 39 7.002 61 27 6.264 61 40 6.591 61 52 7.002 61 53 6.591 61 28 5.655 61 45 1.000 61 16 5.655 61 22 1.000 61 24 5.878 61 68 2.468 61 64 6.737 61 29 6.434 61 65 6.264 61 36 6.591 61 59 2.468 62 32 3.937 62 33 4.409 62 19 1.000 62 28 1.000 62 62 5.122 62 34 2.468 62 22 2.468 62 35 2.468 62 4 1.000 62 49 1.000 62 8 2.468 62 51 2.468 62 23 1.000 62 11 1.000 62 12 3.937 62 29 5.122 62 7 1.000 62 18 3.327 62 2 1.000 62 5 2.468 62 15 1.000 62 27 6.080 62 53 2.468 62 24 3.937 63 30 4.409 63 63 3.937 63 61 4.409 63 1 3.937 63 32 1.000 63 22 1.000 63 34 5.405 63 2 1.000 63 47 5.405 63 8 1.000 63 18 2.468 63 4 1.000 63 3 4.409 63 49 2.468 63 23 2.468 63 26 3.937 63 44 1.000 63 38 1.000 63 39 5.405 63 36 5.405 63 40 3.937 63 52 5.122 63 45 1.000 63 64 4.409 63 65 4.409 64 30 4.409 64 61 3.327 64 1 3.937 64 33 6.080 64 34 2.468 64 22 2.468 64 37 5.405 64 5 5.122 64 44 1.000 64 31 4.796 64 49 3.327 64 18 1.000 64 32 2.468 64 11 2.468 64 2 1.000 64 26 3.937 64 38 1.000 64 29 2.468 64 47 4.796 64 52 5.122 64 15 1.000 64 24 4.409 64 42 3.937 64 36 3.937 64 27 6.434 64 12 4.796 65 66 3.327 65 30 3.937 65 63 3.937 65 61 3.937 65 1 3.327 65 31 2.468 65 32 3.327 65 19 3.327 65 20 1.000 65 23 1.000 65 62 5.122 65 21 2.468 65 56 1.000 65 34 2.468 65 2 1.000 65 22 1.000 65 47 2.468 65 36 5.122 65 37 2.468 65 7 4.796 65 8 4.409 65 54 2.468 65 51 2.468 65 69 2.468 65 57 2.468 65 48 2.468 65 42 5.405 65 41 2.468 65 14 1.000 65 26 3.327 65 68 1.000 65 38 1.000 65 39 2.468 65 52 4.409 65 53 2.468 65 45 2.468 65 58 2.468 65 16 2.468 65 64 4.409 65 29 2.468 65 65 3.937 65 18 1.000 65 59 1.000 66 26 5.122 66 30 5.405 66 63 5.405 66 61 5.122 66 1 4.409 66 32 1.000 66 53 5.405 66 38 1.000 66 22 3.327 66 33 6.264 66 27 5.405 66 19 1.000 66 34 5.878 66 2 1.000 66 41 5.405 66 7 2.468 66 36 5.122 66 8 3.937 66 4 4.409 66 6 5.655 66 18 6.264 66 54 5.405 66 67 4.796 66 44 1.000 66 43 5.122 66 64 5.122 66 12 5.878 66 39 4.796 66 52 5.405 66 28 2.468 66 45 5.405 66 16 4.796 66 24 5.655 66 42 5.405 66 29 6.080 67 30 4.409 67 63 3.327 67 61 4.409 67 1 3.327 67 32 4.409 67 53 3.937 67 59 3.937 67 6 1.000 67 8 1.000 67 34 2.468 67 2 1.000 67 22 5.405 67 35 1.000 67 55 3.937 67 56 3.937 67 37 3.327 67 49 1.000 67 7 3.327 67 18 1.000 67 12 5.655 67 13 2.468 67 26 4.409 67 52 1.000 67 45 4.796 67 68 3.937 67 64 3.937 67 65 3.937 67 47 4.409 68 30 3.937 68 63 4.409 68 61 3.937 68 31 1.000 68 20 1.000 68 34 1.000 68 55 4.796 68 56 5.405 68 51 3.937 68 6 1.000 68 49 4.796 68 67 3.327 68 69 4.796 68 66 4.409 68 26 5.122 68 44 1.000 68 38 2.468 68 46 3.327 68 39 5.655 68 52 5.122 68 53 5.655 68 41 3.327 68 45 5.405 68 68 2.468 68 64 2.468 68 42 5.405 68 29 2.468 68 70 4.796 68 59 5.122 69 30 5.405 69 63 5.405 69 61 6.434 69 1 5.122 69 32 4.796 69 50 2.468 69 20 3.327 69 65 6.080 69 22 3.327 69 62 2.468 69 37 5.655 69 5 3.937 69 7 2.468 69 8 4.796 69 18 1.000 69 11 3.937 69 64 5.405 69 12 5.122 69 26 4.409 69 44 1.000 69 2 1.000 69 39 6.264 70 1 5.122 70 32 2.468 70 33 6.737 70 19 2.468 70 21 5.405 70 7 1.000 70 22 3.327 70 4 2.468 70 5 1.000 70 18 1.000 70 8 5.655 70 12 6.873 70 2 3.937 70 15 2.468 70 24 6.873 70 27 1.000 71 31 5.122 71 34 3.937 71 22 1.000 71 17 5.122 71 35 4.409 71 8 3.327 71 37 1.000 71 3 2.468 71 46 3.937 71 43 4.796 71 45 5.122 71 29 5.405 72 40 6.080 72 1 3.937 72 22 1.000 72 2 1.000 72 35 3.327 72 32 1.000 72 37 3.937 72 17 4.409 72 49 3.937 72 8 1.000 72 11 1.000 72 43 3.937 72 14 1.000 72 26 3.327 72 38 3.327 72 46 3.937 72 39 2.468 72 36 3.937 72 52 3.937 72 53 5.122 72 41 2.468 72 24 4.409 72 42 3.937 72 29 3.937 72 18 1.000 72 12 5.405 73 5 1.000 73 1 4.409 73 33 3.937 73 4 4.409 73 12 5.122 73 13 3.327 73 10 1.000 73 53 4.796 73 42 5.405 73 27 2.468 74 32 6.591 74 33 7.123 74 34 4.409 74 22 4.796 74 35 1.000 74 7 6.434 74 8 6.737 74 9 6.080 74 11 3.327 74 13 5.405 74 12 6.873 74 14 7.002 74 18 4.409 74 2 4.796 74 3 3.327 74 24 6.737 74 10 1.000 74 17 2.468 75 10 2.468 75 60 1.000 75 33 5.122 75 19 1.000 75 2 3.327 75 11 3.327 75 25 3.327 75 13 5.878 75 29 1.000 75 15 1.000 75 27 5.122 75 28 2.468 75 24 6.873 75 18 2.468 76 1 4.409 76 34 1.000 76 2 3.937 76 22 1.000 76 36 4.409 76 49 1.000 76 7 5.122 76 8 5.122 76 32 1.000 76 69 5.405 76 12 6.080 76 25 5.122 76 44 1.000 76 38 1.000 76 18 1.000 76 52 4.409 76 53 4.409 76 42 5.655 77 63 4.796 77 61 4.796 77 1 3.327 77 31 2.468 77 22 1.000 77 34 2.468 77 2 1.000 77 35 4.796 77 37 5.122 77 7 5.122 77 8 5.122 77 12 6.434 77 30 5.122 77 26 2.468 77 40 1.000 77 52 5.405 77 64 4.796 77 29 4.796 77 65 4.796 77 18 1.000 78 1 3.327 78 32 5.655 78 33 1.000 78 62 2.468 78 7 6.591 78 2 6.434 78 22 5.655 78 34 1.000 78 35 5.878 78 4 4.796 78 49 1.000 78 51 6.873 78 43 4.796 78 12 6.080 78 13 2.468 78 14 7.548 78 19 4.796 78 27 5.878 78 45 5.405 78 39 6.434 78 18 6.873 79 30 3.937 79 63 3.937 79 61 5.405 79 31 3.937 79 53 1.000 79 41 5.405 79 34 4.409 79 17 4.409 79 6 1.000 79 51 2.468 79 69 4.409 79 43 1.000 79 66 4.409 79 26 1.000 79 38 1.000 79 46 4.409 79 45 4.409 79 64 4.796 79 70 5.655 80 66 4.796 80 50 4.796 80 55 4.796 80 56 4.796 80 54 4.796 80 67 4.796 80 69 3.937 80 57 4.796 80 48 4.796 80 44 2.468 80 39 4.796 80 41 5.405 80 58 4.796 80 68 4.796 80 70 3.937 80 59 4.796 81 17 3.937 81 33 1.000 81 21 1.000 81 12 1.000 81 10 1.000 82 19 7.450 82 20 6.434 82 34 1.000 82 8 2.468 82 11 6.434 82 25 6.591 82 13 7.002 82 12 6.264 82 14 2.468 82 26 7.123 82 10 4.409 82 39 6.873 82 24 7.346 82 27 4.796 83 35 4.796 83 1 3.937 83 32 4.796 83 53 3.937 83 50 5.405 83 33 6.080 83 20 2.468 83 62 3.327 83 21 1.000 83 22 5.122 83 4 3.937 83 49 4.409 83 7 1.000 83 8 4.796 83 9 3.937 83 11 2.468 83 12 5.655 83 25 4.796 83 26 5.878 83 10 1.000 83 60 4.409 83 15 2.468 83 39 4.796 83 28 4.796 83 16 1.000 83 24 5.405 83 42 4.796 83 29 5.655 83 65 3.937 83 18 5.878 84 30 4.796 84 63 3.937 84 61 3.937 84 44 1.000 84 65 3.937 84 45 3.327 84 64 3.937 85 15 1.000 85 2 5.655 85 22 5.655 85 32 1.000 85 7 1.000 85 8 5.405 85 12 1.000 85 24 1.000 86 25 3.937 86 30 3.327 86 63 3.327 86 61 3.327 86 50 5.405 86 33 6.264 86 20 4.409 86 34 5.122 86 65 3.327 86 35 3.327 86 26 3.937 86 37 6.264 86 51 4.409 86 23 3.327 86 57 3.937 86 9 3.327 86 11 3.327 86 66 4.796 86 13 3.327 86 14 3.327 86 29 3.327 86 41 3.937 86 28 4.409 86 45 1.000 86 15 4.409 86 58 3.937 86 39 3.327 86 64 3.327 87 30 5.655 87 61 5.122 87 1 4.796 87 53 4.409 87 33 6.264 87 49 5.655 87 34 4.409 87 2 5.122 87 35 4.796 87 8 5.405 87 32 5.122 87 51 5.878 87 4 4.796 87 26 5.655 87 12 5.405 87 25 4.796 87 38 5.405 87 39 5.122 87 40 4.796 87 22 5.405 87 24 4.409 87 42 4.409 87 18 3.937 87 36 5.122 88 66 7.002 88 32 5.655 88 50 5.655 88 54 5.655 88 21 5.878 88 16 5.655 88 56 5.655 88 37 6.264 88 6 5.655 88 49 7.237 88 23 5.655 88 51 5.655 88 69 7.346 88 57 5.655 88 9 5.655 88 68 5.655 88 25 5.655 88 13 5.655 88 14 5.655 88 26 6.080 88 38 5.878 88 52 5.655 88 53 5.655 88 28 5.655 88 3 5.655 88 42 5.878 88 60 5.655 88 47 6.434 88 70 5.655 89 30 4.796 89 63 4.409 89 61 4.409 89 1 1.000 89 34 2.468 89 3 1.000 89 15 4.409 89 29 1.000 89 36 2.468 89 32 1.000 89 19 4.409 89 5 1.000 89 23 1.000 89 49 5.122 89 54 1.000 89 69 4.409 89 52 1.000 89 53 2.468 89 45 3.327 89 62 2.468 89 7 1.000 89 64 4.796 89 18 1.000 89 8 2.468 89 42 2.468 89 25 3.937 89 38 2.468 90 1 3.937 90 31 3.937 90 7 2.468 90 34 1.000 90 2 1.000 90 35 3.937 90 37 4.409 90 32 1.000 90 49 2.468 90 18 1.000 90 8 2.468 90 22 1.000 90 43 4.409 90 12 4.409 90 14 6.434 90 26 4.409 90 46 4.409 90 39 3.937 90 27 5.655 90 40 5.878 90 53 3.937 90 41 4.409 90 28 1.000 90 3 1.000 90 42 4.409 91 31 1.000 91 51 1.000 91 27 3.327 91 62 3.327 91 21 1.000 91 34 2.468 91 56 1.000 91 4 1.000 91 54 1.000 91 32 3.327 91 69 1.000 91 57 1.000 91 13 1.000 91 2 1.000 91 16 1.000 91 22 2.468 91 10 1.000 91 29 1.000 91 60 1.000 91 47 1.000 91 18 2.468 91 59 1.000 92 30 3.937 92 63 3.937 92 1 3.937 92 32 4.409 92 34 6.080 92 37 3.937 92 49 3.327 92 8 4.409 92 38 2.468 92 36 4.409 92 52 4.796 92 61 3.937 92 22 1.000 92 64 3.937 92 42 5.122 92 29 4.409 92 65 3.937 92 18 3.937 93 30 3.937 93 63 3.937 93 61 3.327 93 17 3.937 93 37 3.327 93 4 3.937 93 49 3.327 93 23 3.937 93 44 1.000 93 26 5.122 93 27 3.327 93 52 5.122 93 64 3.327 93 33 1.000 93 70 3.937 93 21 1.000 94 33 6.873 94 19 1.000 94 34 4.409 94 35 5.122 94 32 2.468 94 4 1.000 94 3 1.000 94 5 5.405 94 24 5.878 94 8 1.000 94 9 1.000 94 43 5.122 94 12 5.878 94 25 5.122 94 29 5.405 94 2 1.000 94 15 2.468 94 27 4.796 94 28 3.937 94 16 5.122 94 22 2.468 94 10 3.327 94 18 1.000 94 17 4.409 95 25 4.409 95 30 4.409 95 63 3.327 95 61 4.409 95 1 3.327 95 33 6.080 95 49 3.327 95 7 1.000 95 2 1.000 95 22 1.000 95 35 1.000 95 47 3.327 95 51 2.468 95 9 1.000 95 41 4.409 95 14 2.468 95 26 3.937 95 65 4.409 95 38 1.000 95 18 1.000 95 39 3.327 95 52 4.409 95 28 4.409 95 16 4.409 95 64 3.327 95 42 4.409 95 29 1.000 95 36 4.409 96 1 1.000 96 62 5.122 96 34 1.000 96 22 1.000 96 35 5.655 96 5 2.468 96 7 5.122 96 66 2.468 96 60 5.122 96 18 1.000 96 52 5.655 96 28 2.468 96 39 4.796 96 43 5.122 96 29 5.122 97 32 3.327 97 62 3.327 97 34 3.327 97 17 3.327 97 35 1.000 97 37 3.327 97 6 3.327 97 49 3.327 97 7 1.000 97 26 3.937 97 53 1.000 97 16 1.000 97 22 1.000 97 24 1.000 97 39 2.468 97 18 2.468 98 31 3.937 98 33 1.000 98 34 3.937 98 2 3.327 98 35 3.327 98 8 4.796 98 37 5.122 98 49 1.000 98 32 1.000 98 3 4.796 98 5 1.000 98 1 4.409 98 7 6.873 98 51 4.796 98 44 1.000 98 12 5.405 98 26 3.937 98 46 5.122 98 39 3.327 98 40 6.264 98 28 5.122 98 22 1.000 98 64 3.937 98 43 4.409 98 60 4.796 99 30 4.796 99 63 4.796 99 61 4.409 99 1 3.937 99 31 3.937 99 32 1.000 99 22 1.000 99 33 6.080 99 34 1.000 99 2 1.000 99 17 4.796 99 35 4.409 99 5 1.000 99 7 2.468 99 8 2.468 99 54 3.937 99 23 2.468 99 12 4.796 99 25 1.000 99 26 3.327 99 38 1.000 99 46 3.327 99 52 4.409 99 41 4.409 99 24 4.409 99 39 4.796 99 64 4.796 99 42 4.409 99 29 4.796 99 60 2.468 99 36 3.937 99 27 1.000 100 33 1.000 100 20 6.080 100 62 3.937 100 17 1.000 100 51 2.468 100 11 4.409 100 12 1.000 100 25 3.327 100 14 5.655 100 18 1.000 100 27 1.000 100 40 1.000 100 28 5.122 100 24 1.000 100 10 1.000 101 35 2.468 101 33 2.468 101 21 1.000 101 34 4.409 101 37 4.796 101 51 4.796 101 9 1.000 101 11 1.000 101 14 6.873 101 26 4.796 101 39 4.796 101 41 4.409 101 45 3.327 101 24 4.796 101 47 4.409 101 27 5.878 102 6 1.000 102 49 4.796 102 29 1.000 102 67 5.655 102 23 1.000 102 66 1.000 102 26 1.000 102 38 1.000 102 53 1.000 102 33 1.000 102 36 1.000 103 5 1.000 103 1 2.468 103 32 1.000 103 19 1.000 103 33 1.000 103 27 6.080 103 7 1.000 103 2 1.000 103 22 1.000 103 36 3.937 103 4 1.000 103 24 5.878 103 8 5.122 103 12 6.434 103 25 5.122 103 10 1.000 103 52 1.000 103 38 1.000 103 15 2.468 103 42 5.122 103 29 5.122 103 18 1.000 104 63 5.405 104 61 5.405 104 60 5.122 104 30 5.405 104 17 4.796 104 37 5.655 104 3 5.405 104 14 6.080 104 47 5.655 104 46 5.878 104 64 5.405 104 29 5.655 104 65 5.405 104 27 5.405 105 5 1.000 105 32 5.405 105 19 1.000 105 33 4.796 105 6 1.000 105 62 3.327 105 34 1.000 105 2 1.000 105 22 1.000 105 37 5.122 105 4 1.000 105 17 1.000 105 8 1.000 105 51 1.000 105 23 1.000 105 9 1.000 105 26 3.937 105 44 1.000 105 38 1.000 105 39 3.937 105 40 1.000 105 52 5.122 105 53 2.468 105 28 1.000 105 45 1.000 105 16 1.000 105 35 1.000 105 24 4.409 105 42 2.468 105 29 5.122 105 10 1.000 105 18 4.409 105 12 4.796 106 22 5.405 106 20 4.409 106 26 6.264 106 4 5.405 106 7 6.737 106 8 5.405 106 23 1.000 106 1 3.327 106 11 6.434 106 13 5.405 106 14 8.532 106 18 1.000 106 28 6.264 106 24 7.548 106 33 4.409 106 10 2.468 106 12 5.655 107 17 1.000 107 20 3.937 107 34 3.937 107 35 5.405 107 37 5.122 107 3 1.000 107 62 1.000 107 9 2.468 107 44 1.000 107 43 5.122 107 25 5.405 107 14 2.468 107 27 3.327 107 40 6.264 107 4 5.122 107 41 5.655 107 15 2.468 107 12 3.937 108 32 5.405 108 33 6.737 108 19 1.000 108 20 5.122 108 49 4.796 108 2 1.000 108 35 5.122 108 4 5.405 108 5 6.434 108 7 5.405 108 8 5.122 108 9 5.405 108 12 6.080 108 25 5.122 108 13 5.405 108 14 6.080 108 26 5.122 108 38 1.000 108 18 2.468 108 15 5.405 108 27 7.237 108 52 5.122 108 53 4.796 108 22 2.468 108 24 6.264 108 42 5.122 109 32 3.327 109 33 4.409 109 19 2.468 109 34 1.000 109 2 3.327 109 22 2.468 109 17 1.000 109 5 2.468 109 23 2.468 109 7 3.937 109 9 3.327 109 10 1.000 109 11 2.468 109 12 5.122 109 25 5.405 109 15 3.327 109 28 3.327 109 16 2.468 109 24 7.346 109 27 7.237 110 32 5.878 110 33 2.468 110 19 1.000 110 20 3.327 110 28 1.000 110 35 1.000 110 4 6.737 110 5 4.796 110 8 3.937 110 25 6.434 110 13 6.434 110 14 4.409 110 15 5.878 110 27 5.655 110 40 4.409 110 16 2.468 110 24 7.123 111 1 4.796 111 53 2.468 111 34 3.937 111 37 5.122 111 49 4.409 111 12 5.122 111 44 1.000 111 38 2.468 111 39 3.327 111 45 2.468 111 42 5.122 111 29 4.796 111 36 1.000 112 34 2.468 112 17 4.409 112 35 5.405 112 4 5.655 112 51 5.122 112 11 1.000 112 14 5.655 112 27 5.655 112 16 5.655 112 46 3.937 112 24 6.080 112 10 3.937 113 21 1.000 113 31 3.327 113 50 5.655 113 62 1.000 113 22 4.409 113 17 4.409 113 6 1.000 113 57 2.468 113 12 1.000 113 26 4.796 113 44 1.000 113 39 3.937 113 36 1.000 113 41 4.409 113 45 4.409 113 16 2.468 113 29 4.409 114 25 1.000 114 50 3.327 114 33 6.264 114 19 2.468 114 62 2.468 114 2 1.000 114 22 3.937 114 17 1.000 114 58 5.122 114 37 3.327 114 4 3.937 114 51 2.468 114 23 1.000 114 69 3.937 114 57 5.405 114 48 5.655 114 9 2.468 114 11 2.468 114 12 4.796 114 66 3.937 114 13 1.000 114 14 2.468 114 26 4.796 114 18 3.937 114 15 1.000 114 27 3.327 114 28 3.327 114 24 4.409 114 29 3.937 114 10 1.000 115 26 1.000 115 63 4.409 115 61 4.409 115 62 5.405 115 30 4.409 115 34 3.937 115 17 4.409 115 35 4.796 115 37 3.937 115 51 4.796 115 9 2.468 115 43 4.409 115 29 4.409 115 52 4.409 115 65 4.796 115 18 3.937 115 46 4.796 115 8 1.000 115 22 3.937 115 64 4.409 115 10 1.000 115 60 4.409 116 32 5.405 116 53 4.409 116 50 6.080 116 34 1.000 116 2 4.409 116 62 3.937 116 49 1.000 116 7 4.796 116 51 1.000 116 48 5.122 116 9 3.937 116 12 5.405 116 38 4.796 116 36 4.409 116 52 5.122 116 58 1.000 116 22 5.405 116 65 3.937 116 18 4.409 117 35 1.000 117 53 1.000 117 22 2.468 117 34 7.902 117 55 5.405 117 56 5.655 117 37 1.000 117 32 2.468 117 23 1.000 117 49 5.878 117 8 1.000 117 54 5.405 117 57 6.264 117 48 5.655 117 43 5.122 117 38 1.000 117 39 3.937 117 52 5.878 117 41 1.000 117 58 5.122 117 68 4.796 117 42 8.133 117 59 5.122 118 1 2.468 118 31 5.122 118 32 5.655 118 33 3.937 118 34 1.000 118 22 5.122 118 17 5.122 118 37 6.264 118 5 5.405 118 25 4.796 118 13 5.405 118 38 1.000 118 39 5.405 118 52 5.122 118 53 5.405 118 28 4.409 118 42 5.655 118 29 5.655 118 10 1.000 118 60 5.122 118 12 1.000 119 40 1.000 119 30 1.000 119 63 1.000 119 1 1.000 119 33 1.000 119 62 1.000 119 21 1.000 119 55 1.000 119 56 2.468 119 37 1.000 119 6 1.000 119 51 1.000 119 23 2.468 119 69 2.468 119 9 1.000 119 64 1.000 119 66 1.000 119 13 2.468 119 26 1.000 119 47 1.000 119 39 1.000 119 61 1.000 119 41 1.000 119 28 1.000 119 16 1.000 119 68 1.000 119 29 1.000 119 65 1.000 119 70 1.000 119 59 1.000 120 1 5.655 120 32 6.591 120 33 6.873 120 46 1.000 120 22 3.327 120 17 4.409 120 51 1.000 120 6 3.327 120 24 3.937 120 8 5.405 120 11 5.405 120 12 5.878 120 25 5.405 120 13 1.000 120 14 1.000 120 10 2.468 120 27 3.327 120 28 1.000 120 29 5.405 120 36 3.327 121 35 1.000 121 1 3.327 121 32 1.000 121 50 1.000 121 17 4.409 121 23 1.000 121 49 1.000 121 7 3.327 121 8 1.000 121 29 3.327 121 18 1.000 121 46 3.327 121 39 2.468 121 36 1.000 121 52 3.327 121 41 1.000 121 53 3.327 121 33 6.080 122 34 1.000 122 2 1.000 122 22 1.000 122 37 1.000 122 15 1.000 122 36 1.000 122 23 1.000 122 49 1.000 122 29 1.000 122 52 1.000 122 45 1.000 122 16 1.000 122 42 1.000 122 60 2.468 122 62 3.937 122 21 1.000 122 17 3.937 122 7 1.000 122 51 1.000 122 39 1.000 122 41 1.000 122 47 1.000 122 18 1.000 122 9 1.000 122 38 1.000 123 1 1.000 123 32 1.000 123 50 1.000 123 20 1.000 123 8 1.000 123 62 1.000 123 2 1.000 123 22 2.468 123 26 2.468 123 35 5.122 123 37 4.409 123 7 2.468 123 51 5.122 123 57 5.122 123 9 1.000 123 12 5.878 123 38 1.000 123 39 5.122 123 36 5.122 123 27 7.123 123 52 4.796 123 53 3.327 123 41 5.122 123 42 5.122 123 29 4.796 123 47 5.122 123 18 1.000 124 30 6.737 124 63 6.737 124 61 7.123 124 35 6.591 124 37 6.591 124 7 3.327 124 43 6.264 124 39 5.405 124 52 6.737 124 45 6.591 124 16 3.937 124 64 7.123 124 29 6.264 124 60 5.655 125 34 3.327 125 41 1.000 125 55 4.409 125 56 4.409 125 49 4.796 125 54 3.327 125 69 4.409 125 48 4.796 125 21 1.000 125 39 5.405 125 36 3.327 125 52 4.409 125 53 3.937 125 45 4.796 125 58 4.796 125 68 4.409 125 42 4.409 125 29 3.327 125 70 4.409 125 59 4.409 126 32 5.655 126 20 2.468 126 2 5.405 126 22 5.655 126 5 4.409 126 1 5.655 126 49 6.264 126 7 5.878 126 8 5.405 126 12 5.878 126 13 4.796 126 52 4.796 126 19 4.796 126 38 5.122 126 18 6.591 126 53 4.796 126 28 5.122 126 42 6.264 127 30 5.122 127 22 1.000 127 33 1.000 127 2 5.122 127 35 4.409 127 37 6.080 127 49 1.000 127 8 3.327 127 23 1.000 127 26 5.878 127 58 4.409 127 64 1.000 128 35 4.409 128 32 5.405 128 33 6.873 128 6 4.796 128 20 5.122 128 62 3.937 128 21 5.405 128 34 1.000 128 41 3.937 128 26 5.878 128 18 6.873 128 4 5.122 128 5 5.655 128 31 5.122 128 7 4.409 128 23 5.122 128 13 5.122 128 14 3.937 128 10 3.327 128 15 4.796 128 39 5.122 128 27 5.655 128 40 5.122 128 16 3.327 128 24 3.937 128 29 5.405 129 40 6.873 129 30 3.937 129 63 4.796 129 61 4.796 129 1 1.000 129 19 2.468 129 34 4.796 129 37 3.937 129 5 1.000 129 49 3.327 129 9 2.468 129 14 2.468 129 38 5.122 129 29 1.000 129 46 4.409 129 39 3.937 129 27 3.937 129 24 4.796 129 64 4.796 129 42 3.937 130 30 5.122 130 63 5.122 130 61 5.122 130 31 3.327 130 34 3.327 130 55 4.409 130 56 4.796 130 37 5.405 130 67 4.796 130 69 5.122 130 66 1.000 130 50 1.000 130 36 4.409 130 52 4.796 130 53 3.327 130 41 4.409 130 68 4.409 130 64 4.796 130 29 5.122 130 70 5.122 130 59 3.937 131 32 5.878 131 33 3.327 131 17 2.468 131 7 1.000 131 12 5.655 131 25 2.468 131 24 3.327 131 42 5.655 131 10 2.468 132 1 1.000 132 6 3.937 132 22 2.468 132 26 3.327 132 16 2.468 132 7 2.468 132 8 1.000 132 67 1.000 132 23 3.937 132 21 1.000 132 12 4.409 132 25 1.000 132 14 1.000 132 39 3.937 132 52 1.000 132 53 2.468 132 24 4.796 132 42 1.000 132 33 1.000 132 29 1.000 132 18 3.937 133 63 3.937 133 1 5.655 133 50 1.000 133 19 3.937 133 34 3.937 133 36 1.000 133 4 4.796 133 49 5.122 133 8 3.327 133 23 1.000 133 57 4.796 133 25 5.405 133 26 5.655 133 60 2.468 133 11 1.000 133 52 5.122 133 42 4.796 133 33 1.000 134 35 1.000 134 30 3.937 134 4 3.937 134 50 1.000 134 27 1.000 134 20 3.937 134 33 1.000 134 54 1.000 134 6 3.327 134 7 2.468 134 51 2.468 134 23 1.000 134 11 2.468 134 26 5.122 134 10 1.000 134 18 1.000 134 28 3.327 134 16 4.409 134 24 5.122 134 39 3.327 134 29 2.468 134 12 1.000 135 25 3.937 135 26 5.405 135 1 3.327 135 31 3.937 135 32 5.655 135 50 7.450 135 34 2.468 135 2 4.796 135 22 5.655 135 17 4.796 135 37 5.655 135 5 3.937 135 49 5.405 135 7 5.122 135 8 5.405 135 9 3.327 135 12 4.796 135 38 1.000 135 18 7.237 135 36 5.405 135 40 1.000 135 52 5.405 135 53 5.405 135 60 4.409 135 41 5.405 135 28 4.796 135 45 5.405 135 16 2.468 135 42 5.655 135 29 5.878 136 28 3.327 136 62 1.000 136 22 5.122 136 35 4.409 136 37 5.122 136 4 2.468 136 51 2.468 136 46 4.796 136 27 1.000 136 41 4.796 136 29 5.122 136 60 5.122 137 20 4.796 137 31 1.000 137 34 3.327 137 51 5.122 137 49 4.796 137 23 4.796 137 11 3.937 137 26 5.655 137 44 2.468 137 39 5.122 137 36 6.591 137 52 6.434 137 53 5.405 137 41 5.405 137 45 5.122 137 24 5.655 137 42 6.080 137 60 5.878 138 1 1.000 138 32 4.796 138 33 6.591 138 34 3.937 138 22 3.937 138 26 5.122 138 17 5.122 138 35 2.468 138 37 6.737 138 6 5.878 138 8 4.796 138 51 3.327 138 9 3.937 138 12 5.122 138 44 1.000 138 39 5.122 138 42 2.468 138 18 4.409 139 20 6.264 139 26 6.264 139 4 5.405 139 8 5.405 139 15 6.591 139 10 1.000 139 23 3.937 139 14 6.264 139 16 3.937 139 37 7.450 139 12 2.468 139 27 6.737 139 40 9.156 139 3 3.327 139 17 4.796 139 11 3.327 140 33 6.591 140 19 4.796 140 20 5.122 140 62 5.122 140 17 4.796 140 35 4.796 140 51 1.000 140 4 4.796 140 3 5.122 140 7 4.796 140 9 4.796 140 11 2.468 140 12 4.796 140 25 5.405 140 13 5.122 140 14 5.122 140 26 5.122 140 18 5.405 140 27 5.122 140 40 6.737 140 28 5.122 140 16 5.122 140 29 4.796 140 10 1.000 141 1 1.000 141 33 6.264 141 19 3.937 141 20 4.409 141 8 6.080 141 7 5.655 141 26 3.327 141 23 5.405 141 9 4.409 141 11 5.122 141 12 3.327 141 15 3.327 141 28 4.796 141 16 3.327 141 22 5.405 141 24 6.080 141 10 1.000 141 17 5.878 142 30 3.937 142 63 3.937 142 61 3.937 142 1 3.937 142 31 5.405 142 32 5.405 142 33 6.434 142 62 5.122 142 34 3.937 142 22 5.122 142 35 4.796 142 37 5.878 142 51 5.122 142 3 5.122 142 5 5.405 142 49 5.122 142 8 5.878 142 54 5.122 142 11 4.409 142 26 5.405 142 10 1.000 142 19 3.327 142 38 2.468 142 18 5.878 142 39 5.122 142 40 6.080 142 52 5.405 142 28 5.405 142 29 5.405 142 53 4.409 142 64 3.937 142 42 5.122 142 65 3.937 142 27 3.937 143 30 2.468 143 1 5.122 143 31 2.468 143 32 6.873 143 50 6.591 143 38 5.655 143 33 6.737 143 20 2.468 143 21 6.873 143 34 2.468 143 22 5.405 143 35 5.122 143 49 5.878 143 11 3.937 143 8 6.264 143 23 6.080 143 25 6.080 143 26 7.237 143 18 7.819 143 2 6.264 143 36 6.873 143 40 6.737 143 52 6.434 143 53 6.264 143 41 5.655 143 45 5.655 143 16 6.264 143 42 5.655 143 29 6.080 144 33 1.000 144 62 1.000 144 34 1.000 144 17 5.405 144 35 5.122 144 37 3.937 144 44 1.000 144 46 1.000 144 39 2.468 144 27 4.796 144 40 2.468 144 43 4.409 144 10 2.468 144 60 3.937 144 18 1.000 144 12 2.468 145 1 5.405 145 33 1.000 145 45 2.468 145 37 3.937 145 18 5.122 145 44 2.468 145 6 5.655 145 49 5.878 145 8 5.655 145 11 1.000 145 26 8.275 145 38 6.080 145 39 3.937 145 52 5.655 145 53 5.878 145 42 5.878 145 36 6.080 146 1 4.409 146 31 4.409 146 32 1.000 146 2 1.000 146 49 5.405 146 7 3.937 146 23 3.327 146 67 1.000 146 44 1.000 146 38 5.405 146 39 1.000 146 41 5.122 146 16 1.000 146 22 1.000 146 42 6.264 146 29 5.405 147 32 5.405 147 2 3.327 147 22 6.591 147 35 2.468 147 1 4.796 147 49 5.878 147 7 4.409 147 8 6.434 147 11 3.327 147 12 5.878 147 26 5.655 147 44 1.000 147 38 5.878 147 15 3.327 147 52 6.080 147 53 3.327 147 24 1.000 147 42 6.591 147 29 1.000 147 18 6.737 147 36 3.937 148 19 2.468 148 33 6.080 148 49 2.468 148 34 1.000 148 22 1.000 148 55 2.468 148 56 2.468 148 37 3.327 148 32 1.000 148 3 2.468 148 8 2.468 148 23 2.468 148 9 2.468 148 10 1.000 148 11 1.000 148 26 1.000 148 29 3.327 148 38 1.000 148 18 3.327 148 40 2.468 148 52 5.655 148 41 3.327 148 28 3.327 148 16 3.327 148 68 3.327 148 42 2.468 148 60 2.468 148 36 3.327 148 59 2.468 149 2 4.409 149 17 4.409 149 8 3.937 149 12 1.000 149 25 4.409 149 14 3.327 149 26 4.409 149 9 4.796 149 18 5.122 149 27 5.878 149 40 6.434 149 28 2.468 149 16 3.937 149 29 5.655 150 5 1.000 150 30 4.409 150 63 5.122 150 1 4.409 150 31 4.409 150 32 1.000 150 33 6.434 150 19 1.000 150 46 4.409 150 34 1.000 150 22 1.000 150 17 5.122 150 35 3.327 150 3 1.000 150 7 1.000 150 18 1.000 150 8 1.000 150 54 1.000 150 9 3.327 150 43 5.122 150 25 4.409 150 13 3.327 150 44 1.000 150 65 5.122 150 38 1.000 150 15 3.327 150 27 2.468 150 40 5.655 150 53 5.122 150 16 2.468 150 24 5.122 150 39 3.937 150 64 5.122 150 42 4.796 150 29 5.122 150 10 1.000 150 60 5.122 151 40 6.434 151 50 1.000 151 41 1.000 151 34 2.468 151 17 4.796 151 37 3.327 151 3 1.000 151 8 2.468 151 14 2.468 151 26 3.937 151 16 4.409 151 27 3.327 152 30 5.122 152 63 5.122 152 61 5.122 152 1 5.122 152 32 1.000 152 33 1.000 152 7 2.468 152 2 1.000 152 22 1.000 152 17 4.796 152 35 5.405 152 47 3.327 152 37 5.122 152 4 2.468 152 5 1.000 152 18 1.000 152 8 1.000 152 43 4.796 152 12 6.080 152 25 4.409 152 26 5.122 152 9 1.000 152 65 5.122 152 38 1.000 152 46 5.122 152 39 5.122 152 27 6.264 152 52 4.796 152 53 4.796 152 16 3.327 152 24 5.122 152 64 5.405 152 42 6.080 152 29 5.405 152 60 5.122 152 36 4.409 153 1 3.327 153 32 1.000 153 21 1.000 153 22 2.468 153 8 1.000 153 4 1.000 153 5 1.000 153 7 2.468 153 23 2.468 153 57 4.796 153 9 1.000 153 10 1.000 153 12 5.878 153 25 4.796 153 38 1.000 153 18 1.000 153 15 1.000 153 24 5.122 153 42 7.548 153 29 5.122 153 60 4.409 154 5 2.468 154 1 3.327 154 32 3.327 154 7 3.327 154 34 3.327 154 2 2.468 154 6 1.000 154 22 6.264 154 8 2.468 154 4 2.468 154 9 2.468 154 11 1.000 154 25 8.205 154 15 3.327 154 36 7.819 154 27 8.059 154 40 7.548 154 52 7.732 154 28 6.080 154 16 4.796 154 24 7.732 154 42 7.902 154 18 3.327 155 33 6.434 155 2 4.796 155 22 5.122 155 7 5.655 155 8 3.327 155 11 1.000 155 12 5.122 155 25 1.000 155 14 3.327 155 26 5.878 155 18 6.264 156 19 5.405 156 33 6.264 156 26 5.655 156 62 1.000 156 21 3.327 156 4 1.000 156 5 5.655 156 23 5.655 156 11 5.122 156 12 3.937 156 13 6.080 156 44 2.468 156 15 7.002 156 40 3.327 156 10 2.468 157 63 6.737 157 61 6.737 157 20 1.000 157 62 3.327 157 30 4.796 157 17 1.000 157 37 7.902 157 21 2.468 157 5 2.468 157 7 7.237 157 8 5.878 157 9 1.000 157 11 3.327 157 14 3.937 157 26 4.796 157 29 7.002 157 2 1.000 157 46 5.655 157 15 6.873 157 39 3.937 157 27 5.122 157 52 6.873 157 16 3.937 157 24 3.937 157 64 4.409 157 42 7.450 157 33 3.327 157 10 2.468 158 30 3.937 158 63 3.937 158 61 3.937 158 34 3.327 158 37 6.737 158 29 3.937 158 32 3.937 158 35 5.122 158 6 1.000 158 45 5.122 158 60 1.000 158 62 1.000 158 51 1.000 158 43 5.122 158 39 3.937 158 40 5.878 158 41 1.000 158 64 4.409 158 47 1.000 159 32 5.405 159 8 1.000 159 62 4.796 159 34 2.468 159 35 1.000 159 37 4.796 159 43 2.468 159 26 5.405 159 44 1.000 159 39 4.409 159 16 3.937 159 65 2.468 159 18 1.000 160 1 2.468 160 15 2.468 160 36 3.937 160 67 1.000 160 42 4.796 160 60 2.468 160 23 3.937 160 7 3.937 160 18 4.409 160 55 2.468 160 56 3.937 160 17 4.796 160 33 6.591 160 20 2.468 160 22 4.796 160 37 5.405 160 70 3.327 160 59 2.468 160 50 4.796 160 21 3.327 160 49 2.468 160 54 3.327 160 68 2.468 160 32 4.409 160 12 6.080 160 46 4.409 160 39 4.796 160 25 3.327 160 31 1.000 160 34 2.468 160 2 2.468 160 8 4.409 160 19 2.468 160 35 3.327 160 5 3.937 160 69 1.000 160 48 4.409 160 45 3.937 160 57 3.327 160 43 2.468 160 41 3.327 160 3 1.000 160 9 3.327 160 4 2.468 160 26 4.796 160 6 4.409 160 66 3.937 160 52 3.937 160 53 4.409 160 58 4.409 160 16 1.000 160 51 1.000 160 28 2.468 160 24 5.655 160 11 3.937 160 38 2.468 161 30 2.468 161 63 2.468 161 61 2.468 161 19 2.468 161 20 2.468 161 22 4.796 161 26 4.409 161 37 5.878 161 49 3.327 161 51 2.468 161 9 2.468 161 43 4.796 161 25 2.468 161 38 1.000 161 11 2.468 161 16 3.327 161 39 5.655 161 64 2.468 161 42 4.409 161 60 2.468 161 17 4.796 162 30 3.937 162 63 3.937 162 50 1.000 162 33 1.000 162 62 4.796 162 2 2.468 162 22 5.655 162 17 4.409 162 37 2.468 162 51 4.409 162 8 5.122 162 64 4.409 162 46 4.796 162 40 3.327 162 41 3.937 162 35 1.000 162 29 4.409 162 10 1.000 162 18 6.434 162 12 4.796 163 1 1.000 163 32 6.434 163 50 9.450 163 34 3.327 163 2 3.327 163 36 7.237 163 33 1.000 163 5 3.327 163 8 6.264 163 48 7.642 163 12 7.732 163 25 8.275 163 38 3.937 163 18 6.264 163 15 3.327 163 27 7.819 163 52 6.591 163 53 7.237 163 28 7.819 163 22 4.796 163 24 7.346 163 42 8.133 163 29 7.819 163 60 7.123 164 1 2.468 164 32 5.122 164 50 5.655 164 19 4.409 164 28 1.000 164 22 4.409 164 24 4.409 164 7 5.122 164 8 5.122 164 57 5.122 164 48 5.405 164 9 1.000 164 12 4.409 164 13 4.796 164 14 3.327 164 38 2.468 164 2 1.000 164 15 1.000 164 27 5.405 164 53 5.122 164 58 5.122 164 42 3.937 164 29 1.000 164 18 5.122 165 63 3.327 165 34 3.937 165 35 4.409 165 49 2.468 165 26 4.796 165 40 6.264 165 39 4.796 165 64 3.937 165 43 1.000 165 29 4.409 165 60 4.409 166 32 3.937 166 33 6.873 166 19 5.405 166 20 5.405 166 62 5.405 166 37 3.937 166 51 5.122 166 23 5.122 166 9 5.405 166 11 5.122 166 43 4.409 166 25 5.122 166 26 6.434 166 46 4.796 166 15 5.878 166 27 7.123 166 28 5.122 166 16 3.937 166 24 5.878 166 39 3.937 166 10 1.000 167 5 3.327 167 4 5.122 167 32 4.409 167 33 6.737 167 20 4.409 167 34 4.796 167 17 4.409 167 62 1.000 167 23 6.080 167 10 1.000 167 11 5.122 167 25 1.000 167 26 5.405 167 22 4.409 167 24 4.796 168 1 5.122 168 32 5.405 168 33 6.264 168 19 3.327 168 34 4.796 168 2 3.327 168 22 2.468 168 17 4.409 168 35 2.468 168 44 1.000 168 49 3.937 168 8 2.468 168 23 3.327 168 28 2.468 168 12 5.655 168 25 3.937 168 13 2.468 168 10 2.468 168 38 2.468 168 24 3.937 168 18 5.122 168 36 2.468 169 1 3.937 169 32 5.878 169 33 3.937 169 21 4.409 169 7 4.409 169 2 2.468 169 6 1.000 169 22 2.468 169 17 3.937 169 62 5.122 169 4 4.409 169 11 3.937 169 8 2.468 169 23 3.937 169 37 1.000 169 42 3.937 169 12 5.405 169 25 3.327 169 34 3.937 169 26 5.655 169 38 1.000 169 18 2.468 169 39 3.937 169 24 3.937 170 1 4.796 170 32 3.937 170 50 4.409 170 19 4.796 170 34 4.796 170 22 1.000 170 35 1.000 170 21 5.878 170 49 5.655 170 23 4.796 170 57 4.796 170 48 5.122 170 11 2.468 170 26 6.264 170 29 3.327 170 44 1.000 170 38 5.655 170 36 5.122 170 53 4.409 170 58 4.409 170 42 2.468 170 18 5.878 171 25 4.796 171 35 5.405 171 1 5.405 171 32 3.327 171 33 5.122 171 20 6.080 171 19 2.468 171 8 1.000 171 7 3.327 171 2 4.796 171 22 4.409 171 4 2.468 171 15 2.468 171 49 8.133 171 18 1.000 171 9 2.468 171 27 6.591 171 26 5.655 171 29 5.405 171 38 1.000 171 40 8.761 171 36 5.405 171 24 6.873 171 42 6.080 171 12 5.405 172 25 5.122 172 17 4.409 172 35 4.796 172 37 5.655 172 43 4.409 172 29 3.937 172 60 5.405 172 46 4.409 172 28 4.796 173 25 1.000 173 50 3.327 173 8 3.327 173 62 2.468 173 21 2.468 173 22 3.327 173 26 5.878 173 35 3.937 173 56 3.327 173 54 3.327 173 37 5.878 173 51 2.468 173 4 3.327 173 6 3.327 173 49 2.468 173 18 3.327 173 23 2.468 173 69 3.327 173 57 2.468 173 9 2.468 173 68 2.468 173 14 2.468 173 38 2.468 173 15 2.468 173 39 4.796 173 53 2.468 173 28 2.468 173 16 3.327 173 42 2.468 173 29 3.327 174 1 3.937 174 31 4.409 174 38 2.468 174 33 6.737 174 19 2.468 174 28 2.468 174 7 3.327 174 34 3.937 174 22 2.468 174 35 1.000 174 16 1.000 174 49 1.000 174 32 1.000 174 21 2.468 174 4 3.327 174 5 2.468 174 8 2.468 174 23 2.468 174 9 3.327 174 24 4.796 174 43 4.409 174 12 4.796 174 26 4.409 174 18 2.468 174 2 2.468 174 15 2.468 174 39 3.937 174 52 4.409 174 53 4.409 174 41 4.409 174 3 2.468 174 46 4.409 174 42 4.409 174 17 3.937 175 5 1.000 175 31 1.000 175 32 1.000 175 53 1.000 175 20 2.468 175 21 1.000 175 45 1.000 175 34 5.122 175 22 1.000 175 35 1.000 175 37 1.000 175 4 1.000 175 3 1.000 175 6 1.000 175 49 5.122 175 18 1.000 175 8 1.000 175 54 1.000 175 9 1.000 175 11 2.468 175 13 3.327 175 14 2.468 175 26 1.000 175 68 5.122 175 60 4.796 175 38 4.796 175 2 1.000 175 52 1.000 175 16 1.000 175 27 7.123 176 19 4.409 176 20 5.405 176 4 5.122 176 7 6.264 176 9 5.405 176 11 4.796 176 25 5.122 176 13 5.405 176 14 5.878 176 15 5.655 176 27 5.655 176 28 5.122 176 24 5.655 177 30 4.796 177 63 5.122 177 61 5.122 177 31 5.122 177 38 1.000 177 7 1.000 177 19 5.122 177 21 1.000 177 32 1.000 177 2 1.000 177 22 5.122 177 26 3.327 177 35 4.796 177 37 1.000 177 4 1.000 177 3 1.000 177 5 1.000 177 49 5.405 177 8 1.000 177 9 5.122 177 43 5.122 177 12 5.878 177 25 5.122 177 39 4.796 177 27 4.796 177 52 5.122 177 16 2.468 177 46 5.122 177 24 5.878 177 64 5.405 177 29 4.796 177 65 5.122 178 40 6.080 178 30 2.468 178 63 2.468 178 61 2.468 178 41 3.937 178 34 1.000 178 65 2.468 178 31 3.327 178 17 4.409 178 35 5.122 178 37 5.655 178 3 1.000 178 6 5.122 178 49 2.468 178 14 5.122 178 26 4.409 178 29 4.796 178 44 1.000 178 60 4.796 178 39 4.409 178 52 4.409 178 53 4.796 178 28 4.409 178 45 4.796 178 64 2.468 178 42 1.000 178 33 1.000 178 47 4.796 179 5 2.468 179 40 6.873 179 66 6.434 179 1 4.796 179 15 3.937 179 32 3.327 179 19 2.468 179 7 3.937 179 34 2.468 179 26 6.434 179 17 5.878 179 35 6.434 179 36 6.591 179 56 6.873 179 4 2.468 179 3 2.468 179 23 4.409 179 18 2.468 179 69 6.873 179 68 7.002 179 25 6.264 179 13 6.873 179 12 6.873 179 14 7.002 179 8 1.000 179 52 1.000 179 38 2.468 179 2 3.327 179 39 6.873 179 27 7.123 179 28 6.591 179 42 5.878 179 45 2.468 179 22 3.327 179 24 6.591 179 60 7.002 179 59 6.737 180 5 4.409 180 62 3.327 180 35 5.405 180 66 1.000 180 44 1.000 180 39 5.655 180 45 4.796 180 46 5.122 180 43 3.937 180 29 5.655 180 60 5.655 181 35 4.409 181 32 1.000 181 33 6.591 181 2 1.000 181 22 1.000 181 17 4.409 181 51 1.000 181 4 1.000 181 8 1.000 181 23 3.937 181 9 2.468 181 43 3.937 181 12 5.405 181 25 3.937 181 26 4.409 181 29 2.468 181 18 1.000 181 46 4.409 181 39 4.409 181 40 3.327 181 15 4.409 181 24 5.405 181 10 1.000 182 30 3.327 182 61 2.468 182 33 1.000 182 20 1.000 182 63 3.327 182 35 3.327 182 62 4.796 182 37 4.796 182 51 4.409 182 11 2.468 182 14 3.327 182 44 1.000 182 27 2.468 182 16 2.468 182 24 4.409 182 64 3.327 183 52 1.000 183 1 2.468 183 31 5.405 183 32 1.000 183 33 6.873 183 19 3.327 183 20 2.468 183 34 1.000 183 2 3.327 183 22 1.000 183 17 5.122 183 35 3.327 183 5 2.468 183 7 1.000 183 8 1.000 183 9 1.000 183 11 1.000 183 14 6.737 183 44 1.000 183 38 1.000 183 15 2.468 183 36 3.937 183 40 5.655 183 41 3.327 183 28 3.937 183 45 3.327 183 16 5.122 183 24 5.878 183 42 5.405 183 29 5.122 183 60 6.080 183 47 5.405 183 18 1.000 183 12 6.264 184 40 4.796 184 1 1.000 184 31 4.796 184 32 1.000 184 2 1.000 184 7 1.000 184 12 6.080 184 25 1.000 184 44 1.000 184 47 4.409 184 38 1.000 184 39 4.796 184 16 3.327 184 42 5.122 185 5 5.122 185 32 2.468 185 52 2.468 185 19 3.937 185 62 1.000 185 2 2.468 185 22 2.468 185 17 3.937 185 35 5.122 185 7 1.000 185 37 5.655 185 49 4.409 185 8 5.405 185 12 5.122 185 25 3.937 185 47 2.468 185 38 1.000 185 53 5.878 185 28 6.080 185 42 5.655 185 60 5.655 185 18 1.000 185 36 5.122 186 25 2.468 186 63 3.327 186 61 3.327 186 15 1.000 186 32 1.000 186 19 1.000 186 62 3.327 186 30 3.327 186 2 1.000 186 22 1.000 186 26 5.655 186 37 2.468 186 4 2.468 186 24 5.122 186 8 3.937 186 51 3.937 186 9 1.000 186 13 1.000 186 14 2.468 186 64 3.327 186 29 3.327 186 10 1.000 186 65 3.327 186 47 3.327 186 18 1.000 186 27 5.878 187 30 6.737 187 63 7.002 187 61 7.002 187 33 1.000 187 54 3.327 187 35 3.327 187 62 3.327 187 37 6.873 187 7 3.937 187 45 2.468 187 64 7.642 187 29 3.327 187 65 7.237 187 47 6.591 188 19 1.000 188 21 1.000 188 34 3.937 188 17 5.122 188 35 1.000 188 37 4.409 188 4 3.327 188 9 2.468 188 11 1.000 188 43 1.000 188 25 1.000 188 14 3.937 188 26 3.327 188 46 3.327 188 39 2.468 188 41 1.000 188 28 1.000 188 24 3.937 188 60 2.468 188 27 6.434 189 31 4.796 189 34 3.937 189 55 5.122 189 17 3.937 189 35 4.409 189 56 3.937 189 37 2.468 189 3 1.000 189 43 3.937 189 39 3.327 189 41 5.122 189 29 4.409 189 47 1.000 189 59 2.468 190 18 1.000 190 1 2.468 190 32 3.937 190 50 6.737 190 33 6.080 190 19 3.937 190 2 1.000 190 22 1.000 190 37 3.327 190 5 1.000 190 15 1.000 190 8 5.405 190 9 3.937 190 25 3.327 190 34 3.327 190 43 3.937 190 27 5.122 190 28 3.937 190 24 5.122 190 29 3.937 190 17 4.409 191 1 5.122 191 32 5.405 191 33 6.873 191 22 4.409 191 17 1.000 191 8 5.405 191 4 1.000 191 5 1.000 191 49 2.468 191 7 5.405 191 10 2.468 191 11 1.000 191 12 6.080 191 29 2.468 191 38 1.000 191 2 4.796 191 39 3.327 191 27 6.080 191 52 1.000 191 53 4.409 191 15 2.468 191 24 5.878 191 42 5.405 191 18 5.655 191 36 4.409 192 26 1.000 192 1 4.796 192 31 1.000 192 32 2.468 192 20 2.468 192 62 2.468 192 21 1.000 192 22 1.000 192 60 1.000 192 4 1.000 192 5 1.000 192 6 2.468 192 49 2.468 192 18 2.468 192 8 2.468 192 23 1.000 192 12 3.937 192 25 1.000 192 14 2.468 192 38 2.468 192 2 2.468 192 15 3.937 192 52 4.796 192 53 1.000 192 16 1.000 192 24 4.409 192 42 3.327 192 29 4.409 193 63 5.405 193 61 5.122 193 1 2.468 193 32 5.655 193 30 5.122 193 41 1.000 193 35 5.405 193 37 5.405 193 17 4.409 193 62 3.327 193 69 5.122 193 48 5.405 193 44 1.000 193 50 5.405 193 60 5.122 193 46 5.655 193 39 5.405 193 45 5.405 193 42 5.122 193 43 5.405 193 18 6.264 193 70 5.405 194 33 2.468 194 34 2.468 194 22 4.796 194 17 4.796 194 51 5.122 194 11 3.937 194 43 5.122 194 29 3.937 194 39 5.122 194 24 4.796 195 5 4.796 195 1 2.468 195 31 5.122 195 32 5.405 195 53 4.796 195 33 6.264 195 62 3.937 195 7 5.405 195 34 1.000 195 2 4.796 195 22 5.405 195 26 5.122 195 17 5.122 195 4 3.327 195 8 5.405 195 12 6.080 195 18 6.264 195 52 5.122 195 24 4.409 195 36 4.796 196 52 3.327 196 1 5.655 196 31 4.409 196 32 6.080 196 33 7.450 196 2 5.122 196 22 4.796 196 17 1.000 196 35 4.409 196 5 5.122 196 6 4.409 196 49 4.796 196 8 4.409 196 10 1.000 196 12 8.407 196 18 4.409 196 15 1.000 196 39 5.655 196 36 5.405 196 53 3.937 196 28 5.405 196 42 4.409 197 50 4.409 197 22 4.409 197 33 1.000 197 7 5.405 197 8 5.122 197 51 5.405 197 9 5.122 197 11 5.122 197 12 5.655 197 13 5.122 197 14 5.878 197 15 5.405 197 27 5.405 197 52 5.405 197 53 3.327 197 28 5.405 197 16 5.122 197 65 3.937 197 18 6.873 198 30 6.434 198 1 7.123 198 32 6.873 198 2 4.409 198 22 5.655 198 37 5.655 198 5 4.796 198 6 6.434 198 7 4.796 198 8 7.450 198 12 5.655 198 26 4.796 198 44 1.000 198 38 6.591 198 39 6.737 198 36 6.737 198 52 7.819 198 53 6.737 198 41 5.655 198 42 5.878 198 18 6.737 198 17 4.409 199 61 3.937 199 32 2.468 199 38 6.080 199 21 2.468 199 2 5.405 199 22 6.434 199 4 6.080 199 49 6.080 199 7 5.655 199 8 6.737 199 51 1.000 199 25 6.080 199 16 1.000 199 35 4.409 199 42 5.405 199 18 7.450 199 17 5.878 200 1 3.937 200 20 3.327 200 22 2.468 200 5 4.409 200 6 3.327 200 49 5.655 200 7 3.937 200 8 6.080 200 10 1.000 200 11 5.405 200 12 3.937 200 25 2.468 200 13 3.327 200 26 5.878 200 15 4.409 200 39 3.937 200 27 3.327 201 35 5.405 201 50 4.409 201 20 5.405 201 2 4.796 201 65 3.937 201 22 8.342 201 4 6.264 201 7 8.649 201 8 6.737 201 32 7.642 201 9 5.122 201 10 1.000 201 11 6.591 201 25 3.937 201 14 7.346 201 52 5.122 201 53 3.937 201 18 3.327 201 27 5.655 201 12 6.591 202 32 4.796 202 34 3.327 202 2 1.000 202 7 4.796 202 8 4.796 202 12 5.878 202 26 8.205 202 38 5.122 202 52 5.878 202 22 1.000 202 18 4.409 203 30 5.878 203 63 5.122 203 61 5.405 203 1 6.737 203 31 6.873 203 34 3.327 203 37 4.409 203 4 2.468 203 3 1.000 203 36 4.796 203 33 3.937 203 29 5.655 203 70 7.123 203 40 2.468 203 35 5.405 203 5 2.468 203 23 1.000 203 54 1.000 203 67 6.080 203 48 1.000 203 52 1.000 203 58 2.468 203 16 3.327 203 68 6.080 203 42 6.434 203 57 1.000 203 12 4.409 203 38 2.468 203 27 6.264 203 41 6.264 203 28 6.591 203 24 3.327 203 64 5.655 203 65 6.080 203 47 5.655 203 17 6.264 203 55 6.264 203 56 6.264 203 25 5.122 204 25 2.468 204 30 1.000 204 63 2.468 204 61 1.000 204 31 2.468 204 19 3.327 204 17 4.796 204 35 3.937 204 4 1.000 204 49 1.000 204 62 1.000 204 8 2.468 204 51 2.468 204 66 1.000 204 13 3.327 204 65 1.000 204 47 3.327 204 11 1.000 204 46 5.405 204 41 3.327 204 28 3.937 204 33 5.405 204 24 3.937 204 64 1.000 204 43 2.468 204 29 3.327 204 60 1.000 205 63 3.327 205 61 3.327 205 33 6.264 205 19 2.468 205 20 2.468 205 62 2.468 205 21 2.468 205 22 3.327 205 17 4.409 205 8 3.327 205 32 3.327 205 4 2.468 205 6 2.468 205 49 3.327 205 7 3.327 205 18 3.327 205 51 3.327 205 23 2.468 205 9 3.327 205 10 1.000 205 25 2.468 205 13 2.468 205 14 1.000 205 26 2.468 205 65 3.327 205 39 3.327 205 16 3.327 205 64 3.327 206 1 1.000 206 32 5.405 206 19 1.000 206 20 3.327 206 34 5.122 206 2 5.405 206 22 5.405 206 35 2.468 206 37 5.405 206 5 1.000 206 7 3.327 206 18 1.000 206 8 5.405 206 23 3.327 206 12 5.878 206 25 4.409 206 13 4.796 206 10 1.000 206 38 3.327 206 15 3.937 206 27 3.327 206 24 5.122 206 36 1.000 206 17 4.409 207 20 2.468 207 62 4.796 207 40 3.327 207 34 3.327 207 37 5.405 207 3 4.796 207 5 3.327 207 7 3.327 207 51 3.327 207 43 4.409 207 14 2.468 207 26 5.122 207 44 1.000 207 39 4.796 207 27 4.409 207 16 2.468 207 29 2.468 208 26 3.937 208 30 5.405 208 63 5.405 208 61 5.405 208 33 6.591 208 28 5.122 208 34 4.409 208 22 5.655 208 17 5.122 208 35 5.405 208 62 5.655 208 37 1.000 208 3 3.327 208 7 4.409 208 8 5.405 208 54 3.327 208 67 5.405 208 14 4.409 208 29 5.122 208 60 4.796 208 18 4.796 208 46 5.405 208 43 5.655 208 27 6.434 208 41 5.655 208 39 5.655 208 64 5.405 208 65 5.405 209 61 4.796 209 1 2.468 209 31 4.796 209 32 4.409 209 62 3.937 209 30 5.122 209 34 3.327 209 35 4.796 209 33 1.000 209 37 4.796 209 3 1.000 209 49 4.796 209 8 4.796 209 60 4.796 209 40 6.591 209 52 4.796 209 41 2.468 209 28 4.409 209 22 4.409 209 39 4.796 209 64 4.796 209 65 4.796 209 47 4.796 210 63 3.327 210 61 3.327 210 1 4.796 210 31 1.000 210 50 1.000 210 55 3.937 210 56 3.937 210 37 4.409 210 6 4.409 210 54 1.000 210 67 3.937 210 57 1.000 210 64 3.327 210 66 1.000 210 47 1.000 210 38 1.000 210 39 4.409 210 52 4.796 210 53 4.409 210 41 1.000 210 68 3.327 210 42 4.409 210 29 3.937 210 59 1.000 211 1 1.000 211 33 6.873 211 62 5.122 211 21 1.000 211 7 1.000 211 22 5.405 211 35 1.000 211 37 2.468 211 8 1.000 211 11 1.000 211 12 6.080 211 14 3.937 211 26 3.327 211 38 3.327 211 27 1.000 211 16 3.327 211 24 4.796 211 29 3.937 211 18 1.000 211 70 3.937 212 1 8.059 212 36 8.059 212 49 4.796 212 7 6.264 212 29 4.409 212 11 2.468 212 25 6.591 212 13 6.264 212 18 9.565 212 52 2.468 212 28 6.434 212 24 6.873 212 42 8.133 212 10 2.468 212 60 6.080 213 31 3.937 213 33 6.591 213 19 2.468 213 20 1.000 213 34 1.000 213 35 4.409 213 62 1.000 213 17 3.937 213 23 1.000 213 11 1.000 213 12 3.937 213 13 3.937 213 10 1.000 213 39 2.468 213 41 4.409 213 24 5.405 213 47 3.327 213 27 1.000 214 33 1.000 214 62 5.405 214 35 3.937 214 37 3.937 214 54 5.405 214 51 5.122 214 14 6.080 214 46 4.409 214 40 3.937 214 28 1.000 215 30 3.937 215 63 3.937 215 61 4.796 215 62 4.796 215 17 4.409 215 37 5.655 215 3 2.468 215 8 1.000 215 43 3.937 215 27 1.000 215 58 2.468 215 64 5.122 215 65 3.937 215 18 2.468 216 30 5.405 216 63 5.122 216 61 5.122 216 31 5.405 216 19 2.468 216 34 1.000 216 55 5.122 216 17 4.409 216 56 5.122 216 37 5.655 216 40 5.405 216 44 1.000 216 60 3.937 216 46 5.122 216 43 5.405 216 45 5.122 216 16 2.468 216 39 5.122 216 68 5.122 216 64 5.405 216 65 5.405 216 47 5.122 216 59 5.122 217 33 2.468 217 27 3.937 217 19 5.122 217 62 1.000 217 35 4.796 217 5 4.409 217 23 6.080 217 10 1.000 217 12 5.878 217 25 2.468 217 13 3.327 217 26 5.122 217 15 8.133 217 24 3.937 218 31 5.655 218 32 5.405 218 50 6.434 218 2 1.000 218 22 1.000 218 5 8.133 218 7 5.405 218 8 5.655 218 12 6.264 218 38 1.000 218 15 5.878 218 18 5.122 219 30 5.405 219 63 5.878 219 61 5.655 219 31 2.468 219 50 5.655 219 35 2.468 219 37 10.000 219 3 2.468 219 49 1.000 219 69 6.080 219 9 2.468 219 43 5.655 219 14 3.937 219 26 6.434 219 46 6.080 219 39 6.873 219 40 7.450 219 64 5.122 219 29 6.737 219 65 5.655 219 47 5.122 219 70 5.878 220 40 6.080 220 18 2.468 220 30 2.468 220 63 2.468 220 61 2.468 220 53 2.468 220 17 3.327 220 2 2.468 220 22 2.468 220 37 4.409 220 1 4.409 220 24 4.409 220 49 3.937 220 8 2.468 220 10 1.000 220 12 5.122 220 14 4.409 220 65 2.468 220 52 1.000 220 28 4.409 220 64 2.468 220 42 1.000 220 29 4.409 220 36 3.937 220 27 6.873 221 1 5.122 221 53 4.409 221 33 1.000 221 20 4.409 221 41 5.122 221 2 1.000 221 22 1.000 221 8 4.409 221 6 5.655 221 7 3.327 221 18 1.000 221 11 4.796 221 13 5.122 221 60 5.878 221 38 1.000 221 39 4.796 221 52 5.878 221 28 5.405 221 42 5.878 221 47 5.405 221 36 5.122 222 52 5.122 222 54 2.468 222 1 4.409 222 32 1.000 222 53 1.000 222 20 1.000 222 8 1.000 222 2 4.409 222 22 4.409 222 35 3.327 222 37 8.275 222 6 4.409 222 49 4.796 222 7 5.405 222 12 3.327 222 26 5.878 222 44 2.468 222 38 7.346 222 18 6.591 222 11 1.000 222 39 5.122 222 42 3.937 222 29 1.000 223 18 6.434 223 30 5.122 223 63 5.122 223 61 5.122 223 1 4.409 223 32 5.405 223 2 5.655 223 22 5.655 223 17 4.796 223 37 5.405 223 3 5.405 223 49 3.937 223 43 5.122 223 26 5.122 223 29 5.405 223 60 5.122 223 38 2.468 223 52 5.405 223 53 5.405 223 46 4.796 223 64 5.655 223 42 5.405 223 65 5.405 223 36 5.405 224 32 3.327 224 33 6.080 224 2 4.409 224 22 2.468 224 54 2.468 224 4 1.000 224 49 3.327 224 8 3.937 224 12 5.122 224 10 1.000 224 38 3.327 224 39 1.000 224 36 3.327 224 52 5.122 224 42 2.468 224 18 3.937 224 17 1.000 225 25 2.468 225 21 2.468 225 62 1.000 225 4 5.878 225 7 5.655 225 51 3.937 225 12 6.080 225 14 2.468 225 9 5.122 225 2 4.409 225 27 6.737 225 28 6.737 225 24 7.346 225 29 6.434 225 10 4.409 225 18 5.405 226 1 2.468 226 53 4.796 226 50 4.796 226 20 4.409 226 23 4.409 226 62 4.409 226 21 4.796 226 26 4.409 226 35 4.409 226 58 4.409 226 37 6.434 226 49 4.409 226 51 4.409 226 11 4.409 226 25 4.409 226 13 4.409 226 60 4.409 226 38 4.409 226 39 4.409 226 40 5.655 226 52 4.796 226 16 5.122 226 42 4.409 226 29 4.796 226 65 4.409 227 1 3.327 227 32 5.122 227 50 5.122 227 33 1.000 227 20 2.468 227 2 4.796 227 22 5.122 227 35 2.468 227 5 4.409 227 11 2.468 227 12 3.937 227 25 3.327 227 26 5.655 227 38 1.000 227 29 4.409 227 15 1.000 227 24 3.937 227 42 1.000 227 18 2.468 228 1 4.796 228 31 6.264 228 32 8.532 228 50 5.878 228 34 2.468 228 2 7.450 228 22 7.346 228 35 4.409 228 36 3.937 228 37 6.434 228 4 1.000 228 5 3.327 228 7 5.878 228 8 1.000 228 9 4.409 228 12 6.264 228 38 3.937 228 27 3.327 228 52 6.434 228 53 6.264 228 42 6.264 228 29 6.434 228 65 3.937 228 18 9.939 228 17 3.327 229 25 7.002 229 1 6.873 229 32 8.275 229 50 4.409 229 2 7.002 229 22 7.902 229 17 5.655 229 65 3.937 229 5 6.434 229 49 6.873 229 7 6.434 229 8 6.873 229 23 1.000 229 69 5.405 229 9 3.937 229 10 1.000 229 12 7.123 229 66 7.002 229 14 7.732 229 26 5.405 229 38 4.409 229 18 7.982 229 6 2.468 229 52 5.878 229 53 7.642 229 42 6.873 229 36 6.873 230 32 5.655 230 20 4.409 230 62 2.468 230 34 5.122 230 2 5.878 230 22 6.434 230 8 4.409 230 11 4.409 230 12 5.122 230 13 4.409 230 10 1.000 230 28 5.405 230 24 4.796 230 18 7.548 231 40 5.122 231 35 1.000 231 26 1.000 231 1 2.468 231 31 1.000 231 32 1.000 231 33 6.080 231 19 1.000 231 2 1.000 231 17 4.409 231 37 1.000 231 51 2.468 231 4 1.000 231 3 1.000 231 5 1.000 231 49 1.000 231 7 2.468 231 18 1.000 231 23 1.000 231 22 1.000 231 9 1.000 231 10 1.000 231 12 4.409 231 25 1.000 231 14 1.000 231 38 1.000 231 8 1.000 231 44 1.000 231 15 2.468 231 36 2.468 231 27 5.878 231 52 2.468 231 53 2.468 231 41 2.468 231 28 1.000 231 45 1.000 231 16 1.000 231 24 3.937 231 39 2.468 231 42 2.468 231 43 1.000 231 29 1.000 231 60 2.468 232 32 4.409 232 33 6.264 232 20 3.327 232 21 3.327 232 7 1.000 232 26 7.237 232 51 3.937 232 23 4.409 232 9 3.937 232 11 2.468 232 34 1.000 232 27 3.937 232 16 3.937 232 22 2.468 232 24 3.327 232 42 3.327 232 18 1.000 232 70 3.937 233 40 1.000 233 30 5.122 233 63 5.122 233 4 5.405 233 31 4.796 233 32 1.000 233 61 4.796 233 34 1.000 233 35 5.122 233 3 1.000 233 17 4.409 233 9 2.468 233 25 4.409 233 26 5.405 233 44 1.000 233 46 5.122 233 43 5.122 233 27 5.405 233 39 5.122 233 24 5.878 233 64 5.655 233 29 5.405 233 65 5.122 234 61 1.000 234 33 6.080 234 19 1.000 234 30 1.000 234 63 1.000 234 34 2.468 234 17 3.937 234 35 1.000 234 37 1.000 234 51 1.000 234 26 1.000 234 9 1.000 234 25 1.000 234 65 1.000 234 29 1.000 234 46 1.000 234 40 1.000 234 41 1.000 234 28 1.000 234 45 1.000 234 16 1.000 234 24 4.409 234 39 1.000 234 64 1.000 234 43 1.000 234 60 1.000 234 27 2.468 235 1 1.000 235 33 3.327 235 46 1.000 235 22 5.122 235 17 3.937 235 35 2.468 235 55 1.000 235 56 1.000 235 5 2.468 235 49 3.937 235 7 1.000 235 8 2.468 235 10 1.000 235 12 5.122 235 26 1.000 235 44 2.468 235 38 1.000 235 15 2.468 235 39 1.000 235 36 3.327 235 52 3.327 235 53 2.468 235 41 1.000 235 45 1.000 235 16 1.000 235 68 1.000 235 42 4.796 235 18 1.000 236 30 1.000 236 63 1.000 236 61 1.000 236 31 1.000 236 34 1.000 236 37 1.000 236 3 1.000 236 8 1.000 236 35 1.000 236 6 1.000 236 69 1.000 236 14 5.122 236 29 1.000 236 45 1.000 236 62 4.796 236 21 1.000 236 51 1.000 236 43 1.000 236 41 1.000 236 64 1.000 236 47 1.000 236 56 1.000 237 40 6.737 237 30 3.937 237 63 4.409 237 61 3.937 237 1 4.796 237 59 3.327 237 49 2.468 237 34 4.409 237 62 2.468 237 55 2.468 237 56 3.327 237 37 4.796 237 42 3.937 237 26 5.122 237 44 1.000 237 38 1.000 237 36 4.409 237 53 4.409 237 68 3.937 237 64 3.937 237 65 3.937 238 35 2.468 238 32 5.878 238 33 1.000 238 7 5.405 238 34 5.122 238 22 6.591 238 37 6.080 238 49 1.000 238 5 5.405 238 8 5.122 238 51 1.000 238 12 6.080 238 25 1.000 238 13 1.000 238 39 5.405 238 24 1.000 239 40 6.434 239 30 4.796 239 63 4.796 239 61 4.796 239 1 3.937 239 33 6.737 239 21 1.000 239 34 1.000 239 35 3.327 239 58 3.327 239 44 1.000 239 6 5.122 239 49 5.405 239 54 4.409 239 23 2.468 239 69 2.468 239 57 3.327 239 48 3.937 239 43 4.409 239 42 4.409 239 66 3.937 239 13 1.000 239 26 4.796 239 65 4.796 239 38 1.000 239 36 5.405 239 53 4.796 239 45 1.000 239 16 4.796 239 64 4.796 239 70 5.122 240 1 3.327 240 31 5.405 240 32 1.000 240 27 5.122 240 21 1.000 240 7 1.000 240 34 1.000 240 2 1.000 240 22 1.000 240 26 4.409 240 17 5.122 240 35 5.122 240 37 1.000 240 4 1.000 240 3 1.000 240 5 1.000 240 23 2.468 240 18 1.000 240 8 1.000 240 54 2.468 240 67 4.409 240 69 3.327 240 48 2.468 240 9 1.000 240 43 5.122 240 12 5.405 240 66 4.409 240 38 1.000 240 39 5.405 240 40 5.878 240 52 1.000 240 45 1.000 240 58 3.937 240 16 2.468 240 42 5.405 240 33 6.591 240 29 5.405 240 60 5.405 240 47 4.796 240 36 5.122 241 33 6.591 241 1 4.796 241 20 4.409 241 7 4.796 241 17 4.796 241 4 4.796 241 5 5.122 241 18 4.409 241 8 4.796 241 12 3.327 241 25 4.796 241 13 4.796 241 14 3.327 241 15 5.122 241 28 4.796 241 24 5.122 242 30 3.327 242 63 3.327 242 61 3.327 242 1 5.122 242 33 1.000 242 34 2.468 242 6 4.409 242 17 5.122 242 37 5.122 242 49 2.468 242 8 2.468 242 43 4.796 242 26 2.468 242 29 1.000 242 44 2.468 242 46 4.796 242 40 6.434 242 53 3.327 242 60 2.468 242 41 2.468 242 45 4.796 242 39 4.409 242 64 3.327 242 65 3.327 242 47 4.796 243 1 5.122 243 33 7.548 243 34 5.122 243 22 5.655 243 4 5.878 243 26 3.327 243 15 5.878 243 36 5.878 243 29 5.878 243 27 6.591 243 19 5.405 243 35 5.878 243 6 6.434 243 14 4.796 243 52 1.000 243 53 3.327 243 16 5.405 243 21 3.937 243 7 6.434 243 43 6.080 243 12 7.002 243 28 5.405 243 3 5.122 243 24 7.123 243 9 6.080 243 42 6.080 243 25 6.264 243 13 5.122 243 38 5.405 244 35 3.327 244 32 6.264 244 50 2.468 244 33 1.000 244 20 1.000 244 21 5.655 244 7 4.796 244 2 5.878 244 37 3.937 244 8 6.737 244 51 3.937 244 23 5.122 244 11 4.796 244 12 5.878 244 26 6.264 244 36 5.405 244 27 3.937 244 16 4.796 244 22 6.080 244 24 5.878 244 18 6.873 245 5 5.122 245 1 3.327 245 38 1.000 245 19 1.000 245 2 5.122 245 22 5.122 245 36 4.409 245 4 5.405 245 7 4.409 245 27 5.122 245 52 5.122 245 53 1.000 245 15 2.468 245 42 5.405 245 60 5.122 245 12 5.405 246 66 2.468 246 52 5.405 246 1 3.937 246 33 1.000 246 62 1.000 246 21 4.409 246 44 1.000 246 54 1.000 246 50 1.000 246 57 2.468 246 48 3.327 246 38 1.000 246 36 4.796 246 53 4.796 246 58 2.468 246 42 5.405 247 30 2.468 247 63 2.468 247 61 2.468 247 1 2.468 247 19 1.000 247 2 1.000 247 22 1.000 247 26 4.409 247 4 2.468 247 15 1.000 247 36 3.327 247 10 1.000 247 70 3.327 247 32 1.000 247 49 3.327 247 35 3.937 247 5 2.468 247 6 3.327 247 67 3.327 247 69 4.409 247 66 3.937 247 34 4.409 247 14 2.468 247 18 5.655 247 52 3.327 247 53 2.468 247 42 3.327 247 60 3.327 247 23 1.000 247 21 1.000 247 7 2.468 247 29 2.468 247 12 1.000 247 27 6.080 247 28 1.000 247 3 1.000 247 24 4.796 247 64 2.468 247 65 1.000 247 47 1.000 247 17 4.409 247 8 3.327 247 13 2.468 247 38 1.000 248 32 5.405 248 20 1.000 248 62 1.000 248 21 1.000 248 34 1.000 248 2 1.000 248 22 1.000 248 26 5.655 248 17 5.122 248 47 1.000 248 56 1.000 248 4 1.000 248 3 1.000 248 6 5.405 248 8 1.000 248 51 3.327 248 23 1.000 248 69 1.000 248 57 1.000 248 9 2.468 248 11 1.000 248 25 1.000 248 14 4.409 248 38 1.000 248 18 1.000 248 39 5.122 248 53 1.000 248 15 1.000 248 42 1.000 249 31 5.655 249 32 1.000 249 56 1.000 249 55 1.000 249 22 6.591 249 17 5.655 249 35 5.405 249 37 5.878 249 4 7.002 249 30 4.409 249 34 1.000 249 29 1.000 249 60 3.327 249 46 5.878 249 43 6.591 249 40 6.264 249 28 6.080 249 16 2.468 249 64 4.409 249 42 5.405 249 10 1.000 249 65 4.409 249 27 7.902 249 59 1.000 250 35 3.327 250 30 4.409 250 63 4.409 250 61 4.409 250 33 1.000 250 44 1.000 250 28 4.796 250 34 2.468 250 41 1.000 250 17 4.409 250 37 4.409 250 49 3.937 250 23 1.000 250 66 5.122 250 36 2.468 250 40 5.655 250 53 3.327 250 64 4.409 250 42 4.409 250 29 4.796 250 65 4.409 250 47 5.405 251 35 2.468 251 30 4.409 251 63 4.409 251 61 4.409 251 17 3.937 251 34 1.000 251 2 1.000 251 22 2.468 251 21 1.000 251 4 1.000 251 24 5.122 251 7 4.409 251 8 1.000 251 12 5.878 251 25 1.000 251 18 1.000 251 46 4.796 251 28 1.000 251 16 3.327 251 39 4.409 251 64 4.409 251 29 1.000 251 65 4.409 252 25 3.937 252 30 4.796 252 63 5.405 252 61 5.122 252 33 1.000 252 22 1.000 252 62 3.937 252 34 2.468 252 17 4.409 252 8 1.000 252 37 3.937 252 18 5.122 252 4 4.409 252 3 4.409 252 5 3.327 252 6 2.468 252 7 2.468 252 43 5.405 252 26 4.796 252 46 5.405 252 39 5.122 252 16 3.937 252 64 5.122 252 29 4.409 252 12 3.937 253 18 1.000 253 1 2.468 253 31 4.796 253 32 2.468 253 33 1.000 253 62 1.000 253 17 2.468 253 37 1.000 253 7 1.000 253 43 3.937 253 26 5.122 253 44 1.000 253 38 1.000 253 39 3.937 253 53 3.327 253 22 3.327 253 42 5.655 253 29 2.468 253 60 3.937 253 12 2.468 254 61 3.327 254 32 4.796 254 33 3.327 254 19 3.937 254 2 1.000 254 22 2.468 254 17 4.796 254 5 1.000 254 7 5.122 254 8 4.796 254 12 4.796 254 25 1.000 254 29 4.796 254 44 1.000 254 28 4.796 254 10 1.000 254 18 1.000 254 36 4.796 254 27 1.000 255 25 2.468 255 1 5.122 255 2 4.409 255 35 4.796 255 47 5.405 255 37 5.655 255 32 5.405 255 3 1.000 255 7 4.409 255 18 3.327 255 8 3.937 255 43 5.405 255 12 2.468 255 52 1.000 255 60 1.000 255 15 4.796 255 22 3.327 255 42 5.405 255 36 1.000 256 40 2.468 256 17 1.000 256 11 1.000 256 12 1.000 256 26 3.937 256 29 1.000 256 27 1.000 256 28 4.409 256 16 1.000 256 24 4.409 256 10 1.000 256 60 1.000 257 35 3.327 257 17 3.937 257 20 1.000 257 62 1.000 257 34 1.000 257 51 3.327 257 7 2.468 257 44 1.000 257 43 3.327 257 12 4.409 257 14 2.468 257 26 4.409 257 46 4.409 257 39 1.000 257 27 3.327 257 40 3.937 257 41 2.468 257 22 4.409 257 29 3.327 257 18 3.327 258 50 1.000 258 54 2.468 258 21 1.000 258 26 4.796 258 37 5.655 258 4 5.122 258 31 2.468 258 9 1.000 258 11 4.409 258 13 1.000 258 14 6.080 258 46 4.796 258 15 3.327 258 27 5.122 258 16 5.655 258 24 5.122 258 29 5.122 258 60 5.405 259 32 5.405 259 2 5.878 259 22 5.655 259 8 4.796 259 5 5.122 259 7 5.122 259 11 3.937 259 12 5.878 259 38 2.468 259 15 4.796 259 53 3.937 259 36 3.327 259 42 5.405 259 18 6.737 260 36 3.327 260 32 3.327 260 53 4.796 260 33 6.264 260 19 5.122 260 20 5.405 260 34 3.937 260 25 5.122 260 2 4.409 260 22 5.122 260 37 5.122 260 4 5.122 260 5 5.122 260 49 4.796 260 7 3.937 260 8 4.796 260 67 4.796 260 23 3.937 260 11 4.409 260 13 4.409 260 52 4.409 260 38 2.468 260 18 3.327 260 15 5.405 260 28 5.122 260 42 4.796 260 29 5.655 260 60 3.937 261 30 1.000 261 62 1.000 261 63 1.000 261 61 1.000 261 45 3.327 261 2 1.000 261 35 1.000 261 16 1.000 261 21 3.937 261 6 3.937 261 54 1.000 261 26 3.937 261 44 1.000 261 46 3.937 261 39 3.327 261 24 3.937 261 64 1.000 261 29 3.327 261 10 1.000 261 14 1.000 261 12 1.000 262 35 5.122 262 30 4.796 262 63 4.796 262 61 4.796 262 62 2.468 262 34 4.409 262 37 5.878 262 49 4.409 262 44 2.468 262 60 5.122 262 39 4.796 262 27 4.409 262 40 4.409 262 53 3.327 262 45 5.122 262 16 1.000 262 46 5.122 262 64 4.796 262 65 4.409 263 1 5.405 263 32 5.122 263 50 4.796 263 9 1.000 263 21 4.796 263 44 1.000 263 23 5.122 263 49 5.655 263 7 4.796 263 8 6.591 263 65 3.937 263 48 5.122 263 34 5.122 263 38 5.405 263 39 4.796 263 52 6.080 263 53 4.796 263 16 1.000 263 22 5.655 263 18 5.655 263 36 1.000 264 32 6.080 264 53 4.796 264 50 4.409 264 33 6.737 264 34 3.937 264 2 6.080 264 22 6.264 264 26 6.434 264 65 3.937 264 23 3.327 264 49 5.655 264 8 3.937 264 9 3.937 264 12 5.655 264 25 3.937 264 44 1.000 264 38 2.468 264 18 7.819 264 52 5.122 264 42 5.878 264 36 6.080 265 32 6.873 265 33 1.000 265 20 1.000 265 25 2.468 265 2 5.405 265 22 5.405 265 8 6.080 265 5 5.405 265 7 4.409 265 23 2.468 265 10 2.468 265 11 1.000 265 12 5.405 265 13 3.327 265 14 3.327 265 26 1.000 265 38 3.327 265 15 4.409 265 28 3.937 265 42 2.468 265 18 5.878 266 30 5.405 266 63 5.405 266 61 5.405 266 33 2.468 266 62 1.000 266 40 5.122 266 34 1.000 266 35 4.409 266 37 5.122 266 21 1.000 266 4 1.000 266 3 1.000 266 69 1.000 266 26 3.327 266 44 1.000 266 60 1.000 266 46 5.122 266 39 5.405 266 27 3.937 266 64 5.655 266 43 4.409 266 29 4.796 266 65 5.405 266 47 4.796 266 70 1.000 267 33 1.000 267 35 5.405 267 37 7.237 267 51 6.434 267 11 3.937 267 43 5.655 267 46 5.655 267 27 7.002 267 16 1.000 267 24 5.878 267 17 3.937 268 69 1.000 268 32 3.327 268 21 3.327 268 45 1.000 268 2 1.000 268 22 1.000 268 35 4.409 268 47 3.937 268 8 1.000 268 37 8.275 268 4 2.468 268 3 2.468 268 49 4.409 268 7 2.468 268 54 1.000 268 51 4.409 268 9 2.468 268 42 3.327 268 12 5.122 268 25 4.409 268 13 3.937 268 26 4.409 268 38 2.468 268 18 3.327 268 5 1.000 268 15 1.000 268 52 4.409 268 53 4.409 268 28 1.000 268 16 2.468 268 24 5.405 268 64 4.796 268 29 4.409 268 65 4.409 269 66 5.122 269 63 4.796 269 61 3.937 269 1 4.796 269 44 1.000 269 26 5.655 269 17 4.409 269 56 5.405 269 37 5.878 269 67 5.122 269 69 5.122 269 60 3.327 269 43 4.796 269 52 5.122 269 53 4.409 269 45 1.000 269 39 2.468 269 68 5.405 269 64 3.937 269 29 5.122 269 65 5.405 269 59 5.122 270 30 1.000 270 63 1.000 270 61 1.000 270 20 1.000 270 22 1.000 270 37 1.000 270 3 1.000 270 8 1.000 270 26 1.000 270 29 1.000 270 32 1.000 270 50 1.000 270 35 1.000 270 6 1.000 270 49 1.000 270 14 1.000 270 52 1.000 270 53 1.000 270 45 1.000 270 16 1.000 270 62 1.000 270 7 1.000 270 51 1.000 270 43 1.000 270 46 1.000 270 39 1.000 270 40 1.000 270 41 1.000 270 64 1.000 270 65 1.000 270 11 1.000 270 25 1.000 270 38 1.000 271 1 2.468 271 31 5.405 271 9 1.000 271 40 7.450 271 34 1.000 271 2 1.000 271 22 1.000 271 17 4.796 271 35 5.878 271 37 5.405 271 5 1.000 271 44 1.000 271 7 2.468 271 18 1.000 271 32 1.000 271 69 4.796 271 12 5.878 271 4 1.000 271 38 1.000 271 36 3.937 271 52 1.000 271 39 5.122 271 42 5.122 271 29 4.796 271 60 5.655 271 70 4.796 272 63 6.080 272 61 5.655 272 1 1.000 272 31 6.434 272 32 5.655 272 19 1.000 272 23 3.327 272 28 5.405 272 30 5.405 272 34 1.000 272 2 1.000 272 17 4.796 272 37 1.000 272 4 4.796 272 25 6.080 272 38 1.000 272 65 5.655 272 39 5.405 272 40 6.434 272 52 1.000 272 41 6.080 272 22 2.468 272 64 5.655 272 42 6.264 272 29 5.878 272 60 5.878 272 47 5.405 272 36 4.796 273 5 1.000 273 31 4.796 273 33 6.591 273 19 1.000 273 20 3.937 273 21 4.409 273 22 2.468 273 26 1.000 273 17 3.937 273 35 1.000 273 37 3.327 273 4 1.000 273 3 1.000 273 18 3.937 273 8 2.468 273 51 2.468 273 23 1.000 273 9 1.000 273 25 5.122 273 13 1.000 273 34 1.000 273 14 1.000 273 60 1.000 273 38 2.468 273 15 1.000 273 52 1.000 273 53 1.000 273 24 4.796 273 29 3.327 273 12 3.937 274 32 5.405 274 33 2.468 274 54 2.468 274 19 1.000 274 21 1.000 274 7 1.000 274 2 5.405 274 22 3.327 274 35 1.000 274 37 2.468 274 4 1.000 274 3 1.000 274 5 1.000 274 8 5.655 274 23 2.468 274 9 1.000 274 11 1.000 274 12 5.122 274 25 5.405 274 13 9.370 274 29 5.405 274 65 3.937 274 38 1.000 274 15 2.468 274 27 5.405 274 53 4.409 274 41 5.122 274 28 3.937 274 45 1.000 274 16 4.409 274 24 5.122 274 42 5.405 274 60 5.405 274 47 5.122 274 18 5.878 274 36 4.796 275 31 3.937 275 32 1.000 275 53 3.327 275 46 1.000 275 34 3.327 275 41 3.327 275 22 1.000 275 17 4.409 275 35 5.122 275 6 5.122 275 49 3.327 275 8 3.327 275 26 1.000 275 29 4.796 275 52 2.468 275 39 4.796 275 40 5.655 275 28 4.796 275 16 3.937 275 42 3.327 275 43 1.000 275 47 3.327 276 61 1.000 276 31 3.937 276 32 4.796 276 50 5.878 276 30 1.000 276 7 1.000 276 34 5.405 276 2 4.409 276 65 1.000 276 22 5.405 276 37 5.122 276 63 1.000 276 5 4.409 276 1 1.000 276 49 4.796 276 8 4.796 276 12 5.405 276 29 1.000 276 38 1.000 276 39 1.000 276 36 4.409 276 52 3.937 276 45 1.000 276 16 1.000 276 64 1.000 276 42 4.409 276 18 4.796 276 53 1.000 277 15 4.796 277 19 2.468 277 20 1.000 277 4 3.327 277 3 3.327 277 11 1.000 277 25 6.080 277 13 1.000 277 14 1.000 277 10 1.000 277 28 5.405 277 16 4.409 278 32 5.655 278 19 1.000 278 20 2.468 278 2 1.000 278 22 1.000 278 4 1.000 278 5 4.796 278 49 4.409 278 8 5.122 278 24 5.405 278 12 5.655 278 25 5.122 278 13 1.000 278 14 5.655 278 26 3.327 278 38 1.000 278 60 1.000 278 15 2.468 278 27 6.080 278 52 2.468 278 42 5.122 278 18 1.000 279 66 5.122 279 1 2.468 279 34 1.000 279 22 5.122 279 37 6.737 279 49 4.409 279 25 4.796 279 38 5.122 279 36 5.122 279 52 4.796 279 53 4.796 279 45 1.000 279 42 4.796 279 29 5.122 280 31 4.409 280 19 3.327 280 35 3.937 280 37 5.122 280 49 5.122 280 23 4.409 280 26 4.796 280 44 2.468 280 47 1.000 280 18 3.937 280 39 3.937 280 40 3.937 280 45 3.937 280 17 3.937 281 32 7.450 281 33 5.122 281 19 4.796 281 15 3.327 281 2 2.468 281 22 5.122 281 35 5.405 281 4 7.982 281 5 6.591 281 8 7.450 281 23 4.796 281 12 5.405 281 25 7.902 281 13 7.346 281 14 7.548 281 38 2.468 281 18 2.468 281 28 5.655 281 24 7.982 281 42 7.237 282 1 3.937 282 32 5.878 282 7 5.655 282 2 5.405 282 8 5.655 282 12 5.878 282 26 1.000 282 39 1.000 282 42 4.409 282 18 5.405 283 5 3.327 283 33 6.080 283 2 5.122 283 22 5.122 283 7 2.468 283 32 5.122 283 12 6.264 283 25 4.796 283 38 1.000 283 15 4.796 283 39 5.122 283 28 5.122 283 42 5.122 283 18 5.405 284 61 3.327 284 1 1.000 284 50 6.434 284 20 5.122 284 62 5.122 284 17 4.796 284 35 4.409 284 37 5.655 284 5 4.796 284 66 5.655 284 26 5.122 284 2 4.796 284 15 4.796 284 27 5.122 284 40 3.937 284 41 4.409 284 28 4.409 284 45 4.796 284 29 4.796 284 70 4.796 284 59 5.122 285 52 2.468 285 41 1.000 285 35 3.937 285 37 3.327 285 18 2.468 285 49 2.468 285 36 1.000 285 44 1.000 285 38 3.327 285 39 3.937 285 53 1.000 285 42 2.468 285 29 2.468 286 35 1.000 286 10 1.000 286 33 2.468 286 20 7.002 286 34 5.405 286 5 1.000 286 11 6.080 286 25 5.878 286 14 8.591 286 26 2.468 286 29 3.937 286 27 6.873 286 15 1.000 286 24 7.819 287 33 1.000 287 6 1.000 287 28 1.000 287 62 2.468 287 34 1.000 287 17 4.796 287 35 4.796 287 37 4.409 287 51 5.405 287 9 1.000 287 14 3.937 287 26 6.434 287 27 2.468 287 42 5.405 287 60 4.409 288 25 3.327 288 32 4.409 288 33 6.264 288 21 4.796 288 2 3.937 288 22 3.327 288 17 4.796 288 35 3.327 288 5 3.937 288 8 4.409 288 11 3.937 288 12 4.796 288 14 6.434 288 26 1.000 288 4 3.937 288 15 3.327 288 39 1.000 288 27 6.080 288 24 5.122 288 18 3.327 289 32 4.409 289 17 2.468 289 26 5.655 289 15 1.000 290 1 5.122 290 50 1.000 290 33 6.264 290 19 1.000 290 20 1.000 290 34 1.000 290 2 2.468 290 22 1.000 290 35 3.937 290 5 5.122 290 49 4.796 290 7 4.409 290 23 4.409 290 9 1.000 290 11 2.468 290 37 3.937 290 12 3.937 290 25 3.937 290 26 6.591 290 15 3.937 290 39 4.409 290 24 3.327 290 42 3.937 290 29 4.409 290 10 1.000 290 18 4.409 290 36 3.937 290 17 3.937 291 32 6.080 291 26 2.468 291 19 4.796 291 20 5.655 291 34 4.796 291 2 6.080 291 22 6.264 291 17 4.409 291 36 3.937 291 5 5.122 291 7 6.080 291 8 6.264 291 51 6.591 291 11 5.878 291 13 5.878 291 12 6.264 291 14 2.468 291 38 6.264 291 18 8.815 291 27 7.123 291 53 4.409 291 24 6.080 292 31 1.000 292 34 2.468 292 2 2.468 292 22 2.468 292 8 1.000 292 37 1.000 292 32 2.468 292 7 2.468 292 12 5.655 292 60 3.937 292 38 1.000 292 46 3.937 292 43 3.937 292 52 1.000 292 53 2.468 292 42 4.409 292 18 2.468 292 36 3.937 293 66 1.000 293 30 1.000 293 63 1.000 293 61 1.000 293 21 1.000 293 34 1.000 293 41 1.000 293 55 1.000 293 56 1.000 293 54 1.000 293 70 1.000 293 6 1.000 293 29 1.000 293 67 1.000 293 69 1.000 293 57 2.468 293 48 2.468 293 9 1.000 293 68 2.468 293 39 1.000 293 40 1.000 293 45 1.000 293 58 2.468 293 16 1.000 293 64 1.000 293 60 1.000 293 47 1.000 293 59 1.000 294 1 3.327 294 31 4.796 294 34 2.468 294 26 2.468 294 17 4.409 294 35 2.468 294 62 3.937 294 37 6.080 294 3 1.000 294 51 4.409 294 43 5.122 294 25 3.937 294 13 3.327 294 39 4.409 294 27 6.434 294 40 5.405 294 41 3.937 294 28 4.796 294 29 4.409 294 60 3.327 294 47 3.327 295 18 1.000 295 31 1.000 295 6 1.000 295 62 1.000 295 2 1.000 295 17 3.937 295 37 1.000 295 32 1.000 295 3 1.000 295 49 1.000 295 7 1.000 295 23 1.000 295 69 1.000 295 9 1.000 295 11 1.000 295 26 4.409 295 38 4.796 295 36 1.000 295 52 1.000 295 53 1.000 295 42 1.000 295 43 1.000 296 1 2.468 296 32 1.000 296 33 6.591 296 62 3.327 296 21 1.000 296 34 1.000 296 2 1.000 296 22 1.000 296 35 3.937 296 37 5.122 296 51 5.655 296 5 2.468 296 7 1.000 296 18 1.000 296 23 2.468 296 9 1.000 296 12 5.122 296 25 5.122 296 13 1.000 296 26 3.937 296 38 1.000 296 60 3.937 296 15 1.000 296 52 1.000 296 28 4.796 296 16 3.327 296 24 5.122 296 42 5.122 296 29 5.405 296 36 5.122 297 7 1.000 297 32 2.468 297 38 2.468 297 1 2.468 297 33 5.122 297 2 2.468 297 22 2.468 297 8 8.059 297 37 6.873 297 4 2.468 297 49 7.002 297 36 6.873 297 52 6.873 297 53 6.873 297 24 6.737 297 42 7.002 297 29 6.737 297 18 1.000 298 30 4.796 298 63 4.796 298 61 4.409 298 20 1.000 298 34 3.327 298 26 2.468 298 17 3.937 298 35 3.327 298 55 4.796 298 56 4.796 298 6 2.468 298 49 3.327 298 51 2.468 298 9 1.000 298 14 3.327 298 44 1.000 298 47 2.468 298 46 3.327 298 27 3.937 298 40 2.468 298 41 2.468 298 45 1.000 298 39 3.327 298 3 1.000 298 64 4.796 298 43 3.937 298 65 4.796 299 25 1.000 299 30 5.122 299 63 5.122 299 61 5.122 299 33 6.264 299 20 1.000 299 4 5.405 299 49 1.000 299 8 1.000 299 12 6.080 299 14 1.000 299 24 7.237 299 64 5.122 299 29 5.122 299 10 1.000 299 65 5.122 299 27 5.655 300 66 3.937 300 63 4.796 300 61 4.796 300 33 6.737 300 20 3.327 300 30 4.796 300 34 1.000 300 26 1.000 300 17 4.796 300 35 4.796 300 37 5.405 300 31 4.409 300 7 1.000 300 62 1.000 300 8 1.000 300 54 2.468 300 11 3.327 300 14 1.000 300 29 5.405 300 65 4.796 300 46 5.122 300 27 5.405 300 40 6.264 300 41 4.796 300 28 3.327 300 22 1.000 300 64 4.796 300 60 5.122 300 70 5.405 30 1 2 3 4 5 6 7 8 9 10 11 12 13 14 15 16 17 18 19 20 21 22 23 24 25 26 27 28 29 30 ================================================ FILE: programming_assignments/mini_reco/testcase/input/input005.txt ================================================ 40 15 300 70 6440 1 1 5.655 1 2 5.122 1 3 2.468 1 4 3.937 1 5 1.000 1 6 6.873 1 7 5.122 1 8 5.405 1 9 2.468 1 10 2.468 1 11 5.878 1 12 6.737 1 13 5.405 1 14 5.405 1 15 3.937 1 16 5.878 1 17 1.000 2 18 3.327 2 15 2.468 2 19 1.000 2 20 5.878 2 21 1.000 2 7 5.878 2 22 2.468 2 4 6.264 2 23 4.796 2 24 7.732 2 8 6.434 2 9 1.000 2 11 5.878 2 12 6.264 2 25 5.878 2 14 5.405 2 26 5.878 2 2 1.000 2 27 6.591 2 28 5.122 2 3 1.000 2 29 5.878 2 10 1.000 3 30 4.796 3 1 1.000 3 31 4.796 3 32 1.000 3 7 1.000 3 33 6.080 3 6 4.409 3 19 1.000 3 21 2.468 3 34 1.000 3 22 1.000 3 17 2.468 3 35 4.796 3 3 1.000 3 36 3.937 3 37 4.796 3 4 1.000 3 5 2.468 3 23 1.000 3 18 1.000 3 8 2.468 3 12 5.122 3 25 4.796 3 38 1.000 3 2 1.000 3 15 1.000 3 39 5.122 3 40 4.409 3 41 1.000 3 28 3.327 3 16 1.000 3 42 5.122 3 29 4.409 3 27 5.122 4 41 2.468 4 20 1.000 4 34 3.327 4 35 1.000 4 37 3.937 4 6 2.468 4 43 1.000 4 25 3.937 4 14 1.000 4 26 3.937 4 29 3.937 4 44 1.000 4 39 2.468 4 27 3.937 4 40 3.327 4 28 3.937 4 45 2.468 4 46 3.327 4 47 3.937 4 17 4.409 5 25 1.000 5 41 1.000 5 1 1.000 5 20 2.468 5 28 1.000 5 21 5.122 5 16 4.409 5 37 5.122 5 23 1.000 5 48 1.000 5 26 1.000 5 39 3.327 5 27 2.468 5 40 1.000 5 29 1.000 6 26 3.327 6 33 1.000 6 46 4.796 6 21 1.000 6 34 1.000 6 49 4.409 6 3 4.409 6 17 3.937 6 43 3.327 6 39 4.409 6 27 3.937 6 40 4.409 6 24 4.409 6 29 1.000 6 47 4.409 7 18 1.000 7 1 3.327 7 32 4.409 7 50 6.264 7 2 1.000 7 26 3.327 7 37 5.405 7 17 4.796 7 6 3.327 7 7 5.122 7 8 3.327 7 51 3.327 7 48 4.796 7 12 4.796 7 25 3.937 7 14 6.873 7 38 1.000 7 39 5.122 7 36 5.122 7 27 5.122 7 52 5.122 7 41 3.937 7 28 4.796 7 45 4.796 7 16 2.468 7 22 1.000 7 24 4.409 7 42 5.122 7 29 5.122 7 47 4.796 8 25 5.122 8 1 4.796 8 32 4.409 8 22 4.796 8 27 4.409 8 34 4.409 8 37 5.122 8 51 4.409 8 5 4.409 8 49 4.796 8 8 4.796 8 44 1.000 8 11 4.409 8 26 4.409 8 38 2.468 8 52 4.409 8 28 4.409 8 42 4.409 8 29 5.122 8 17 3.937 9 25 2.468 9 26 3.937 9 1 2.468 9 53 5.405 9 19 1.000 9 8 5.405 9 4 5.405 9 3 5.405 9 5 5.122 9 7 4.796 9 18 1.000 9 12 5.878 9 13 6.080 9 14 2.468 9 9 5.655 9 38 1.000 9 2 3.327 9 15 1.000 9 52 5.655 9 28 3.937 9 45 5.655 9 22 1.000 9 24 6.080 9 10 1.000 10 1 1.000 10 32 5.405 10 33 1.000 10 54 1.000 10 19 4.796 10 20 1.000 10 34 3.937 10 2 5.405 10 22 5.405 10 35 5.122 10 37 5.655 10 5 4.409 10 49 3.327 10 7 4.796 10 8 5.405 10 11 4.409 10 12 5.405 10 26 4.796 10 10 3.937 10 38 1.000 10 46 4.409 10 27 1.000 10 24 5.122 10 42 5.405 10 29 3.937 10 18 2.468 11 36 1.000 11 50 2.468 11 33 5.122 11 6 3.937 11 23 1.000 11 21 3.937 11 55 1.000 11 56 1.000 11 57 2.468 11 48 2.468 11 26 3.937 11 44 3.327 11 53 4.409 11 41 3.937 11 45 1.000 11 58 2.468 11 16 2.468 11 39 4.409 11 42 3.327 11 59 1.000 12 5 3.327 12 35 4.796 12 1 3.937 12 31 5.878 12 32 5.655 12 52 1.000 12 50 4.409 12 19 4.409 12 41 2.468 12 22 2.468 12 37 6.434 12 7 3.327 12 11 1.000 12 12 1.000 12 10 3.327 12 44 2.468 12 15 1.000 12 53 3.937 12 28 4.409 12 45 4.796 12 39 5.122 12 42 5.122 12 60 2.468 12 18 3.327 12 36 5.122 13 4 3.937 13 6 3.937 13 7 3.327 13 51 4.409 13 12 1.000 13 34 1.000 13 29 4.409 13 44 1.000 13 38 1.000 13 39 3.327 13 52 4.409 13 53 2.468 13 41 3.327 13 28 3.327 13 60 4.796 13 18 6.264 14 33 6.264 14 19 1.000 14 20 3.327 14 22 4.796 14 35 4.796 14 4 5.405 14 3 2.468 14 8 5.655 14 51 5.122 14 11 4.409 14 12 4.409 14 25 1.000 14 13 4.796 14 14 6.434 14 46 6.264 14 27 8.649 14 28 3.327 14 45 1.000 14 24 6.591 15 30 5.122 15 61 6.080 15 31 5.655 15 32 2.468 15 33 6.737 15 62 4.796 15 21 1.000 15 63 5.655 15 34 1.000 15 35 4.796 15 8 1.000 15 37 3.327 15 23 5.122 15 13 4.409 15 26 4.409 15 10 2.468 15 44 3.327 15 47 5.405 15 46 5.878 15 40 5.405 15 45 2.468 15 64 5.122 15 65 5.122 15 18 3.327 16 25 4.796 16 33 3.327 16 19 2.468 16 20 5.122 16 2 1.000 16 4 4.409 16 23 4.409 16 11 3.327 16 13 4.796 16 26 3.937 16 9 4.409 16 28 3.937 16 3 2.468 16 24 5.122 16 10 1.000 17 1 2.468 17 32 6.264 17 33 6.080 17 19 1.000 17 20 6.264 17 49 3.937 17 2 4.796 17 22 5.878 17 17 5.655 17 5 6.080 17 7 6.080 17 8 6.264 17 51 6.080 17 23 3.937 17 12 6.434 17 25 5.655 17 13 6.264 17 14 6.080 17 18 7.346 17 15 6.434 17 27 6.591 17 52 6.080 17 28 6.080 17 24 6.737 17 29 3.937 17 10 1.000 18 25 7.002 18 26 6.873 18 1 5.122 18 32 7.902 18 33 4.796 18 6 1.000 18 62 1.000 18 7 7.123 18 2 8.867 18 22 6.873 18 17 1.000 18 49 1.000 18 8 7.450 18 10 1.000 18 12 7.450 18 13 7.123 18 38 2.468 18 18 8.205 18 42 4.409 19 30 4.409 19 32 5.655 19 62 1.000 19 34 3.327 19 22 4.409 19 35 3.327 19 37 3.937 19 31 1.000 19 49 3.327 19 7 3.937 19 12 4.796 19 25 3.327 19 14 3.327 19 26 4.796 19 44 1.000 19 18 3.937 19 27 3.937 19 40 2.468 19 28 1.000 19 45 2.468 19 39 3.327 20 66 3.937 20 31 3.327 20 32 3.327 20 50 1.000 20 41 1.000 20 34 3.327 20 5 3.327 20 54 4.409 20 67 3.937 20 23 4.409 20 48 4.409 20 9 3.327 20 26 3.327 20 44 1.000 20 38 4.409 20 39 2.468 20 36 3.937 20 40 6.080 20 53 3.327 20 16 4.409 20 68 3.327 20 42 3.327 20 29 1.000 20 18 1.000 21 43 1.000 21 1 4.796 21 31 5.655 21 32 8.342 21 46 1.000 21 62 6.264 21 34 3.937 21 2 5.122 21 22 7.450 21 35 5.655 21 37 8.205 21 49 3.937 21 7 5.405 21 8 7.902 21 12 6.080 21 60 5.122 21 38 3.327 21 39 3.937 21 36 5.122 21 52 4.409 21 53 4.796 21 42 3.937 21 18 8.649 22 63 3.937 22 62 1.000 22 6 7.450 22 49 5.878 22 54 1.000 22 38 1.000 22 36 5.122 22 42 6.080 22 17 3.937 23 31 1.000 23 33 5.655 23 20 3.327 23 21 4.409 23 6 3.937 23 51 4.796 23 23 3.327 23 10 1.000 23 11 4.409 23 12 1.000 23 13 1.000 23 14 4.796 23 26 6.591 23 27 7.002 23 40 7.237 23 16 1.000 23 24 3.327 23 39 3.327 24 40 6.080 24 30 5.405 24 63 5.405 24 61 5.122 24 1 3.327 24 49 6.080 24 35 3.327 24 16 4.409 24 37 1.000 24 6 2.468 24 23 3.937 24 44 1.000 24 26 5.122 24 38 3.327 24 39 5.122 24 36 6.591 24 52 6.264 24 53 4.796 24 41 5.122 24 45 3.327 24 22 1.000 24 64 5.122 24 42 5.122 25 32 2.468 25 38 1.000 25 33 6.737 25 27 5.655 25 7 2.468 25 2 1.000 25 22 2.468 25 17 4.796 25 1 2.468 25 24 5.405 25 8 1.000 25 23 3.327 25 43 1.000 25 12 5.878 25 26 3.327 25 44 1.000 25 11 1.000 25 39 1.000 25 36 4.409 25 40 6.264 25 52 1.000 25 28 5.122 25 45 2.468 25 16 2.468 25 42 5.405 25 29 5.122 25 60 5.405 25 18 1.000 26 1 1.000 26 15 2.468 26 2 1.000 26 22 2.468 26 32 2.468 26 36 3.937 26 8 1.000 26 5 1.000 26 7 1.000 26 18 1.000 26 25 4.796 26 52 1.000 26 38 1.000 26 28 3.937 26 42 5.405 26 47 1.000 27 30 7.548 27 63 7.002 27 61 7.002 27 31 5.655 27 19 1.000 27 34 2.468 27 2 1.000 27 22 2.468 27 37 4.409 27 4 2.468 27 36 3.937 27 10 2.468 27 32 2.468 27 49 2.468 27 35 6.434 27 5 1.000 27 69 5.405 27 54 2.468 27 67 5.405 27 48 2.468 27 66 5.405 27 29 5.405 27 52 1.000 27 45 2.468 27 58 3.327 27 16 3.327 27 60 6.873 27 33 6.264 27 23 3.327 27 62 1.000 27 21 1.000 27 44 1.000 27 7 1.000 27 57 2.468 27 43 5.405 27 12 5.655 27 38 1.000 27 46 5.405 27 39 5.405 27 27 5.405 27 40 5.405 27 28 6.080 27 24 5.878 27 64 7.002 27 65 7.346 27 18 1.000 27 15 2.468 27 8 1.000 27 56 5.405 27 9 2.468 27 42 5.655 27 25 6.873 27 17 4.796 28 33 2.468 28 27 1.000 28 34 1.000 28 17 5.122 28 7 4.409 28 8 5.655 28 43 4.409 28 12 3.937 28 15 1.000 28 22 3.937 28 10 1.000 28 18 7.237 29 50 4.796 29 62 1.000 29 17 2.468 29 35 3.327 29 37 3.327 29 23 3.937 29 48 5.122 29 43 2.468 29 44 1.000 29 38 2.468 29 46 3.937 29 39 5.122 29 45 3.327 29 58 3.937 30 31 4.409 30 32 1.000 30 33 7.123 30 19 2.468 30 21 1.000 30 15 2.468 30 2 1.000 30 22 1.000 30 26 2.468 30 60 5.405 30 4 1.000 30 5 5.122 30 17 4.409 30 7 2.468 30 23 1.000 30 43 5.122 30 25 5.122 30 9 1.000 30 18 1.000 30 46 8.059 30 27 7.237 30 28 4.409 30 10 1.000 30 65 3.327 30 12 4.409 31 25 5.122 31 19 3.937 31 20 5.122 31 62 5.655 31 4 5.122 31 5 5.122 31 51 5.122 31 23 5.878 31 11 5.122 31 13 5.122 31 27 5.405 31 3 4.796 31 15 5.122 31 24 5.655 32 35 4.796 32 30 5.405 32 63 5.878 32 61 5.405 32 1 2.468 32 38 1.000 32 60 3.327 32 34 1.000 32 2 1.000 32 36 4.409 32 37 5.122 32 4 2.468 32 6 1.000 32 7 2.468 32 18 1.000 32 43 5.122 32 64 5.122 32 47 5.655 32 41 4.796 32 16 1.000 32 22 2.468 32 39 5.405 32 42 5.655 32 29 4.796 32 65 5.405 33 59 4.796 33 33 4.409 33 6 4.409 33 20 5.405 33 62 1.000 33 45 2.468 33 65 4.409 33 56 4.796 33 35 4.796 33 37 5.655 33 51 4.796 33 23 5.405 33 69 5.122 33 48 3.327 33 11 4.796 33 43 4.796 33 68 4.796 33 18 5.655 33 39 5.405 33 52 1.000 33 16 3.327 33 70 4.796 34 1 2.468 34 32 1.000 34 13 1.000 34 33 3.937 34 49 2.468 34 2 1.000 34 22 1.000 34 36 2.468 34 5 2.468 34 7 4.409 34 18 3.937 34 8 4.409 34 12 5.405 34 25 3.937 34 15 1.000 34 38 3.327 34 28 3.327 34 42 3.327 35 30 4.409 35 63 3.327 35 61 3.327 35 1 4.409 35 32 5.405 35 62 4.409 35 34 3.937 35 2 4.409 35 65 3.327 35 22 5.878 35 17 4.796 35 37 4.409 35 6 4.796 35 49 5.122 35 7 4.409 35 8 3.937 35 67 4.409 35 51 2.468 35 69 4.409 35 57 3.937 35 48 3.937 35 12 5.405 35 26 1.000 35 29 5.655 35 44 2.468 35 38 2.468 35 39 1.000 35 52 5.122 35 53 5.655 35 41 4.409 35 58 3.937 35 16 1.000 35 64 3.327 35 42 5.405 35 18 4.796 35 36 4.796 36 32 1.000 36 33 7.123 36 19 1.000 36 34 1.000 36 2 1.000 36 22 1.000 36 17 4.796 36 35 5.655 36 8 1.000 36 4 1.000 36 3 1.000 36 5 1.000 36 7 1.000 36 18 1.000 36 23 1.000 36 9 1.000 36 10 1.000 36 12 6.591 36 25 5.878 36 52 1.000 36 15 2.468 36 27 6.591 36 28 5.122 36 16 4.796 36 24 6.434 36 42 5.655 36 29 6.591 37 1 2.468 37 38 1.000 37 62 2.468 37 34 1.000 37 2 1.000 37 22 1.000 37 32 2.468 37 5 1.000 37 15 2.468 37 49 2.468 37 7 2.468 37 8 1.000 37 51 2.468 37 9 1.000 37 11 1.000 37 12 4.409 37 14 2.468 37 18 1.000 37 52 4.409 37 53 3.327 37 41 2.468 37 42 4.409 37 29 4.409 37 27 5.878 38 25 1.000 38 63 1.000 38 61 1.000 38 31 1.000 38 50 1.000 38 13 1.000 38 30 1.000 38 69 1.000 38 23 1.000 38 34 1.000 38 22 1.000 38 17 3.937 38 35 1.000 38 37 1.000 38 3 1.000 38 49 1.000 38 7 1.000 38 54 1.000 38 9 1.000 38 11 2.468 38 42 1.000 38 38 1.000 38 46 3.327 38 39 2.468 38 40 6.873 38 28 1.000 38 16 3.327 38 64 1.000 38 65 1.000 38 59 1.000 38 70 2.468 39 30 4.796 39 63 4.796 39 61 4.796 39 41 2.468 39 34 4.796 39 22 3.327 39 35 3.937 39 37 4.409 39 18 4.796 39 7 3.937 39 16 1.000 39 60 1.000 39 47 3.327 39 39 3.937 39 45 1.000 39 64 4.796 39 42 2.468 39 43 4.409 39 29 5.655 39 65 4.796 40 26 4.796 40 33 6.080 40 19 1.000 40 17 4.796 40 35 2.468 40 36 1.000 40 37 6.264 40 4 1.000 40 3 2.468 40 25 3.937 40 34 1.000 40 14 1.000 40 28 3.937 40 24 5.405 40 29 5.122 40 27 2.468 41 1 5.122 41 32 4.796 41 62 5.122 41 37 5.122 41 14 6.873 41 5 2.468 41 6 1.000 41 7 1.000 41 38 1.000 41 43 5.405 41 27 4.796 41 52 3.937 41 60 3.937 41 18 1.000 41 17 3.937 42 40 5.405 42 19 1.000 42 33 1.000 42 20 1.000 42 21 1.000 42 26 4.796 42 35 3.327 42 4 2.468 42 3 1.000 42 51 1.000 42 23 2.468 42 9 1.000 42 43 1.000 42 25 1.000 42 14 1.000 42 46 3.937 42 15 4.409 42 39 4.796 42 27 1.000 42 28 1.000 42 60 1.000 43 32 5.405 43 33 2.468 43 41 1.000 43 34 1.000 43 22 5.655 43 37 5.878 43 4 5.405 43 8 3.937 43 11 1.000 43 66 4.409 43 13 3.327 43 26 5.405 43 29 5.405 43 44 1.000 43 18 7.123 43 2 1.000 43 24 2.468 43 42 5.878 43 27 3.327 44 30 4.409 44 61 5.122 44 34 1.000 44 17 4.409 44 37 5.122 44 3 5.655 44 7 2.468 44 26 3.327 44 38 1.000 44 46 4.409 44 40 4.409 44 42 3.937 44 65 4.796 44 47 1.000 44 18 3.327 44 36 1.000 44 12 4.796 45 30 1.000 45 1 5.405 45 33 6.737 45 34 5.122 45 2 3.937 45 22 5.878 45 4 4.409 45 8 2.468 45 5 3.937 45 15 2.468 45 35 4.796 45 29 3.937 45 42 3.327 45 32 1.000 45 7 3.937 45 51 4.409 45 12 4.409 45 46 5.655 45 18 5.655 45 38 2.468 45 17 3.937 46 30 4.409 46 62 4.409 46 35 4.409 46 54 1.000 46 51 4.409 46 26 4.796 46 46 4.409 46 18 4.409 46 40 6.737 46 45 4.409 46 16 4.409 46 39 4.409 47 4 3.937 47 33 1.000 47 28 1.000 47 34 2.468 47 22 1.000 47 37 5.655 47 6 2.468 47 51 3.327 47 23 1.000 47 69 3.937 47 39 1.000 47 12 1.000 47 66 4.409 47 13 2.468 47 26 4.409 47 29 1.000 47 24 3.937 47 10 2.468 47 60 2.468 48 1 5.655 48 32 3.327 48 40 3.937 48 7 3.937 48 8 3.937 48 23 3.327 48 10 2.468 48 11 1.000 48 13 1.000 48 14 1.000 48 26 6.264 48 27 8.342 48 52 2.468 48 24 7.002 48 39 7.123 49 1 1.000 49 33 6.080 49 19 1.000 49 20 3.937 49 35 4.409 49 32 4.796 49 5 5.878 49 8 4.796 49 25 5.122 49 13 5.122 49 12 5.655 49 18 5.122 49 2 4.796 49 22 4.796 49 24 3.937 50 5 5.655 50 32 5.878 50 52 1.000 50 2 6.264 50 22 5.878 50 31 3.937 50 4 4.409 50 49 5.405 50 12 6.080 50 38 2.468 50 18 7.002 50 36 5.655 50 53 5.655 50 28 5.405 50 15 6.434 50 35 1.000 50 42 5.655 51 1 3.327 51 32 4.409 51 2 5.405 51 22 5.122 51 35 3.937 51 7 4.796 51 8 3.937 51 23 4.409 51 12 5.655 51 26 4.796 51 38 1.000 51 18 5.405 51 39 5.655 51 42 3.937 52 30 4.796 52 63 4.796 52 61 4.409 52 1 1.000 52 31 1.000 52 50 1.000 52 20 1.000 52 42 1.000 52 62 1.000 52 21 1.000 52 34 1.000 52 37 1.000 52 6 1.000 52 49 1.000 52 51 5.122 52 9 1.000 52 11 2.468 52 26 7.002 52 18 1.000 52 39 6.080 52 40 6.737 52 45 1.000 52 16 2.468 52 64 4.409 52 29 3.937 53 35 3.937 53 50 5.405 53 41 1.000 53 62 1.000 53 34 4.409 53 17 4.796 53 43 4.409 53 44 1.000 53 46 3.937 53 39 4.409 53 45 2.468 53 64 3.327 53 18 5.655 54 35 3.327 54 4 3.937 54 1 3.937 54 32 3.327 54 62 1.000 54 7 3.327 54 34 3.937 54 2 4.409 54 8 5.655 54 23 1.000 54 12 5.122 54 25 4.409 54 26 5.878 54 44 1.000 54 38 1.000 54 39 3.937 54 36 2.468 54 52 5.122 54 53 3.327 54 28 3.327 54 45 2.468 54 16 2.468 54 22 4.796 54 24 5.405 54 10 1.000 54 18 7.548 55 25 5.405 55 1 3.327 55 33 2.468 55 20 3.937 55 62 1.000 55 26 5.655 55 8 2.468 55 11 4.796 55 34 1.000 55 29 5.122 55 27 6.264 55 16 2.468 55 24 5.878 55 12 1.000 56 32 2.468 56 34 3.327 56 2 1.000 56 22 1.000 56 17 3.937 56 8 1.000 56 69 3.937 56 10 1.000 56 12 5.122 56 38 1.000 56 15 5.122 56 39 1.000 56 52 2.468 56 42 1.000 56 18 3.327 56 27 3.327 57 25 1.000 57 1 3.327 57 32 1.000 57 34 1.000 57 22 1.000 57 35 1.000 57 37 1.000 57 4 1.000 57 3 1.000 57 8 1.000 57 11 1.000 57 39 1.000 57 45 1.000 57 16 2.468 57 42 4.796 58 31 6.080 58 62 5.878 58 34 5.122 58 37 4.796 58 3 1.000 58 5 1.000 58 43 5.405 58 46 5.655 58 15 2.468 58 39 4.409 58 27 5.655 58 40 5.405 58 45 1.000 59 5 1.000 59 1 3.937 59 32 2.468 59 33 6.591 59 62 5.122 59 21 3.327 59 34 1.000 59 2 1.000 59 22 2.468 59 35 4.796 59 36 5.122 59 37 4.796 59 3 2.468 59 24 5.878 59 7 3.327 59 8 1.000 59 9 2.468 59 11 5.122 59 43 5.122 59 12 5.878 59 25 3.327 59 13 2.468 59 38 1.000 59 15 2.468 59 4 1.000 59 52 1.000 59 53 3.327 59 28 4.409 59 16 2.468 59 42 5.122 59 29 4.409 59 47 4.409 59 18 1.000 59 17 5.122 59 27 4.796 60 30 2.468 60 63 2.468 60 61 2.468 60 2 1.000 60 22 1.000 60 37 2.468 60 3 1.000 60 8 1.000 60 15 1.000 60 29 2.468 60 70 3.327 60 35 1.000 60 5 1.000 60 54 2.468 60 69 3.327 60 66 3.327 60 14 1.000 60 44 1.000 60 52 3.327 60 45 1.000 60 16 1.000 60 25 1.000 60 62 2.468 60 7 1.000 60 51 1.000 60 57 1.000 60 43 2.468 60 39 2.468 60 40 3.327 60 41 2.468 60 28 1.000 60 64 2.468 60 65 2.468 60 47 1.000 60 17 3.937 60 18 1.000 60 9 1.000 61 26 1.000 61 30 6.591 61 63 7.002 61 61 6.591 61 32 1.000 61 33 2.468 61 41 1.000 61 21 2.468 61 7 1.000 61 34 3.937 61 2 1.000 61 35 6.264 61 37 4.409 61 4 3.327 61 3 1.000 61 5 1.000 61 49 3.937 61 8 4.409 61 67 3.937 61 9 1.000 61 43 4.409 61 42 6.591 61 12 7.002 61 25 6.434 61 60 6.737 61 47 6.264 61 38 3.937 61 18 1.000 61 39 7.002 61 27 6.264 61 40 6.591 61 52 7.002 61 53 6.591 61 28 5.655 61 45 1.000 61 16 5.655 61 22 1.000 61 24 5.878 61 68 2.468 61 64 6.737 61 29 6.434 61 65 6.264 61 36 6.591 61 59 2.468 62 32 3.937 62 33 4.409 62 19 1.000 62 28 1.000 62 62 5.122 62 34 2.468 62 22 2.468 62 35 2.468 62 4 1.000 62 49 1.000 62 8 2.468 62 51 2.468 62 23 1.000 62 11 1.000 62 12 3.937 62 29 5.122 62 7 1.000 62 18 3.327 62 2 1.000 62 5 2.468 62 15 1.000 62 27 6.080 62 53 2.468 62 24 3.937 63 30 4.409 63 63 3.937 63 61 4.409 63 1 3.937 63 32 1.000 63 22 1.000 63 34 5.405 63 2 1.000 63 47 5.405 63 8 1.000 63 18 2.468 63 4 1.000 63 3 4.409 63 49 2.468 63 23 2.468 63 26 3.937 63 44 1.000 63 38 1.000 63 39 5.405 63 36 5.405 63 40 3.937 63 52 5.122 63 45 1.000 63 64 4.409 63 65 4.409 64 30 4.409 64 61 3.327 64 1 3.937 64 33 6.080 64 34 2.468 64 22 2.468 64 37 5.405 64 5 5.122 64 44 1.000 64 31 4.796 64 49 3.327 64 18 1.000 64 32 2.468 64 11 2.468 64 2 1.000 64 26 3.937 64 38 1.000 64 29 2.468 64 47 4.796 64 52 5.122 64 15 1.000 64 24 4.409 64 42 3.937 64 36 3.937 64 27 6.434 64 12 4.796 65 66 3.327 65 30 3.937 65 63 3.937 65 61 3.937 65 1 3.327 65 31 2.468 65 32 3.327 65 19 3.327 65 20 1.000 65 23 1.000 65 62 5.122 65 21 2.468 65 56 1.000 65 34 2.468 65 2 1.000 65 22 1.000 65 47 2.468 65 36 5.122 65 37 2.468 65 7 4.796 65 8 4.409 65 54 2.468 65 51 2.468 65 69 2.468 65 57 2.468 65 48 2.468 65 42 5.405 65 41 2.468 65 14 1.000 65 26 3.327 65 68 1.000 65 38 1.000 65 39 2.468 65 52 4.409 65 53 2.468 65 45 2.468 65 58 2.468 65 16 2.468 65 64 4.409 65 29 2.468 65 65 3.937 65 18 1.000 65 59 1.000 66 26 5.122 66 30 5.405 66 63 5.405 66 61 5.122 66 1 4.409 66 32 1.000 66 53 5.405 66 38 1.000 66 22 3.327 66 33 6.264 66 27 5.405 66 19 1.000 66 34 5.878 66 2 1.000 66 41 5.405 66 7 2.468 66 36 5.122 66 8 3.937 66 4 4.409 66 6 5.655 66 18 6.264 66 54 5.405 66 67 4.796 66 44 1.000 66 43 5.122 66 64 5.122 66 12 5.878 66 39 4.796 66 52 5.405 66 28 2.468 66 45 5.405 66 16 4.796 66 24 5.655 66 42 5.405 66 29 6.080 67 30 4.409 67 63 3.327 67 61 4.409 67 1 3.327 67 32 4.409 67 53 3.937 67 59 3.937 67 6 1.000 67 8 1.000 67 34 2.468 67 2 1.000 67 22 5.405 67 35 1.000 67 55 3.937 67 56 3.937 67 37 3.327 67 49 1.000 67 7 3.327 67 18 1.000 67 12 5.655 67 13 2.468 67 26 4.409 67 52 1.000 67 45 4.796 67 68 3.937 67 64 3.937 67 65 3.937 67 47 4.409 68 30 3.937 68 63 4.409 68 61 3.937 68 31 1.000 68 20 1.000 68 34 1.000 68 55 4.796 68 56 5.405 68 51 3.937 68 6 1.000 68 49 4.796 68 67 3.327 68 69 4.796 68 66 4.409 68 26 5.122 68 44 1.000 68 38 2.468 68 46 3.327 68 39 5.655 68 52 5.122 68 53 5.655 68 41 3.327 68 45 5.405 68 68 2.468 68 64 2.468 68 42 5.405 68 29 2.468 68 70 4.796 68 59 5.122 69 30 5.405 69 63 5.405 69 61 6.434 69 1 5.122 69 32 4.796 69 50 2.468 69 20 3.327 69 65 6.080 69 22 3.327 69 62 2.468 69 37 5.655 69 5 3.937 69 7 2.468 69 8 4.796 69 18 1.000 69 11 3.937 69 64 5.405 69 12 5.122 69 26 4.409 69 44 1.000 69 2 1.000 69 39 6.264 70 1 5.122 70 32 2.468 70 33 6.737 70 19 2.468 70 21 5.405 70 7 1.000 70 22 3.327 70 4 2.468 70 5 1.000 70 18 1.000 70 8 5.655 70 12 6.873 70 2 3.937 70 15 2.468 70 24 6.873 70 27 1.000 71 31 5.122 71 34 3.937 71 22 1.000 71 17 5.122 71 35 4.409 71 8 3.327 71 37 1.000 71 3 2.468 71 46 3.937 71 43 4.796 71 45 5.122 71 29 5.405 72 40 6.080 72 1 3.937 72 22 1.000 72 2 1.000 72 35 3.327 72 32 1.000 72 37 3.937 72 17 4.409 72 49 3.937 72 8 1.000 72 11 1.000 72 43 3.937 72 14 1.000 72 26 3.327 72 38 3.327 72 46 3.937 72 39 2.468 72 36 3.937 72 52 3.937 72 53 5.122 72 41 2.468 72 24 4.409 72 42 3.937 72 29 3.937 72 18 1.000 72 12 5.405 73 5 1.000 73 1 4.409 73 33 3.937 73 4 4.409 73 12 5.122 73 13 3.327 73 10 1.000 73 53 4.796 73 42 5.405 73 27 2.468 74 32 6.591 74 33 7.123 74 34 4.409 74 22 4.796 74 35 1.000 74 7 6.434 74 8 6.737 74 9 6.080 74 11 3.327 74 13 5.405 74 12 6.873 74 14 7.002 74 18 4.409 74 2 4.796 74 3 3.327 74 24 6.737 74 10 1.000 74 17 2.468 75 10 2.468 75 60 1.000 75 33 5.122 75 19 1.000 75 2 3.327 75 11 3.327 75 25 3.327 75 13 5.878 75 29 1.000 75 15 1.000 75 27 5.122 75 28 2.468 75 24 6.873 75 18 2.468 76 1 4.409 76 34 1.000 76 2 3.937 76 22 1.000 76 36 4.409 76 49 1.000 76 7 5.122 76 8 5.122 76 32 1.000 76 69 5.405 76 12 6.080 76 25 5.122 76 44 1.000 76 38 1.000 76 18 1.000 76 52 4.409 76 53 4.409 76 42 5.655 77 63 4.796 77 61 4.796 77 1 3.327 77 31 2.468 77 22 1.000 77 34 2.468 77 2 1.000 77 35 4.796 77 37 5.122 77 7 5.122 77 8 5.122 77 12 6.434 77 30 5.122 77 26 2.468 77 40 1.000 77 52 5.405 77 64 4.796 77 29 4.796 77 65 4.796 77 18 1.000 78 1 3.327 78 32 5.655 78 33 1.000 78 62 2.468 78 7 6.591 78 2 6.434 78 22 5.655 78 34 1.000 78 35 5.878 78 4 4.796 78 49 1.000 78 51 6.873 78 43 4.796 78 12 6.080 78 13 2.468 78 14 7.548 78 19 4.796 78 27 5.878 78 45 5.405 78 39 6.434 78 18 6.873 79 30 3.937 79 63 3.937 79 61 5.405 79 31 3.937 79 53 1.000 79 41 5.405 79 34 4.409 79 17 4.409 79 6 1.000 79 51 2.468 79 69 4.409 79 43 1.000 79 66 4.409 79 26 1.000 79 38 1.000 79 46 4.409 79 45 4.409 79 64 4.796 79 70 5.655 80 66 4.796 80 50 4.796 80 55 4.796 80 56 4.796 80 54 4.796 80 67 4.796 80 69 3.937 80 57 4.796 80 48 4.796 80 44 2.468 80 39 4.796 80 41 5.405 80 58 4.796 80 68 4.796 80 70 3.937 80 59 4.796 81 17 3.937 81 33 1.000 81 21 1.000 81 12 1.000 81 10 1.000 82 19 7.450 82 20 6.434 82 34 1.000 82 8 2.468 82 11 6.434 82 25 6.591 82 13 7.002 82 12 6.264 82 14 2.468 82 26 7.123 82 10 4.409 82 39 6.873 82 24 7.346 82 27 4.796 83 35 4.796 83 1 3.937 83 32 4.796 83 53 3.937 83 50 5.405 83 33 6.080 83 20 2.468 83 62 3.327 83 21 1.000 83 22 5.122 83 4 3.937 83 49 4.409 83 7 1.000 83 8 4.796 83 9 3.937 83 11 2.468 83 12 5.655 83 25 4.796 83 26 5.878 83 10 1.000 83 60 4.409 83 15 2.468 83 39 4.796 83 28 4.796 83 16 1.000 83 24 5.405 83 42 4.796 83 29 5.655 83 65 3.937 83 18 5.878 84 30 4.796 84 63 3.937 84 61 3.937 84 44 1.000 84 65 3.937 84 45 3.327 84 64 3.937 85 15 1.000 85 2 5.655 85 22 5.655 85 32 1.000 85 7 1.000 85 8 5.405 85 12 1.000 85 24 1.000 86 25 3.937 86 30 3.327 86 63 3.327 86 61 3.327 86 50 5.405 86 33 6.264 86 20 4.409 86 34 5.122 86 65 3.327 86 35 3.327 86 26 3.937 86 37 6.264 86 51 4.409 86 23 3.327 86 57 3.937 86 9 3.327 86 11 3.327 86 66 4.796 86 13 3.327 86 14 3.327 86 29 3.327 86 41 3.937 86 28 4.409 86 45 1.000 86 15 4.409 86 58 3.937 86 39 3.327 86 64 3.327 87 30 5.655 87 61 5.122 87 1 4.796 87 53 4.409 87 33 6.264 87 49 5.655 87 34 4.409 87 2 5.122 87 35 4.796 87 8 5.405 87 32 5.122 87 51 5.878 87 4 4.796 87 26 5.655 87 12 5.405 87 25 4.796 87 38 5.405 87 39 5.122 87 40 4.796 87 22 5.405 87 24 4.409 87 42 4.409 87 18 3.937 87 36 5.122 88 66 7.002 88 32 5.655 88 50 5.655 88 54 5.655 88 21 5.878 88 16 5.655 88 56 5.655 88 37 6.264 88 6 5.655 88 49 7.237 88 23 5.655 88 51 5.655 88 69 7.346 88 57 5.655 88 9 5.655 88 68 5.655 88 25 5.655 88 13 5.655 88 14 5.655 88 26 6.080 88 38 5.878 88 52 5.655 88 53 5.655 88 28 5.655 88 3 5.655 88 42 5.878 88 60 5.655 88 47 6.434 88 70 5.655 89 30 4.796 89 63 4.409 89 61 4.409 89 1 1.000 89 34 2.468 89 3 1.000 89 15 4.409 89 29 1.000 89 36 2.468 89 32 1.000 89 19 4.409 89 5 1.000 89 23 1.000 89 49 5.122 89 54 1.000 89 69 4.409 89 52 1.000 89 53 2.468 89 45 3.327 89 62 2.468 89 7 1.000 89 64 4.796 89 18 1.000 89 8 2.468 89 42 2.468 89 25 3.937 89 38 2.468 90 1 3.937 90 31 3.937 90 7 2.468 90 34 1.000 90 2 1.000 90 35 3.937 90 37 4.409 90 32 1.000 90 49 2.468 90 18 1.000 90 8 2.468 90 22 1.000 90 43 4.409 90 12 4.409 90 14 6.434 90 26 4.409 90 46 4.409 90 39 3.937 90 27 5.655 90 40 5.878 90 53 3.937 90 41 4.409 90 28 1.000 90 3 1.000 90 42 4.409 91 31 1.000 91 51 1.000 91 27 3.327 91 62 3.327 91 21 1.000 91 34 2.468 91 56 1.000 91 4 1.000 91 54 1.000 91 32 3.327 91 69 1.000 91 57 1.000 91 13 1.000 91 2 1.000 91 16 1.000 91 22 2.468 91 10 1.000 91 29 1.000 91 60 1.000 91 47 1.000 91 18 2.468 91 59 1.000 92 30 3.937 92 63 3.937 92 1 3.937 92 32 4.409 92 34 6.080 92 37 3.937 92 49 3.327 92 8 4.409 92 38 2.468 92 36 4.409 92 52 4.796 92 61 3.937 92 22 1.000 92 64 3.937 92 42 5.122 92 29 4.409 92 65 3.937 92 18 3.937 93 30 3.937 93 63 3.937 93 61 3.327 93 17 3.937 93 37 3.327 93 4 3.937 93 49 3.327 93 23 3.937 93 44 1.000 93 26 5.122 93 27 3.327 93 52 5.122 93 64 3.327 93 33 1.000 93 70 3.937 93 21 1.000 94 33 6.873 94 19 1.000 94 34 4.409 94 35 5.122 94 32 2.468 94 4 1.000 94 3 1.000 94 5 5.405 94 24 5.878 94 8 1.000 94 9 1.000 94 43 5.122 94 12 5.878 94 25 5.122 94 29 5.405 94 2 1.000 94 15 2.468 94 27 4.796 94 28 3.937 94 16 5.122 94 22 2.468 94 10 3.327 94 18 1.000 94 17 4.409 95 25 4.409 95 30 4.409 95 63 3.327 95 61 4.409 95 1 3.327 95 33 6.080 95 49 3.327 95 7 1.000 95 2 1.000 95 22 1.000 95 35 1.000 95 47 3.327 95 51 2.468 95 9 1.000 95 41 4.409 95 14 2.468 95 26 3.937 95 65 4.409 95 38 1.000 95 18 1.000 95 39 3.327 95 52 4.409 95 28 4.409 95 16 4.409 95 64 3.327 95 42 4.409 95 29 1.000 95 36 4.409 96 1 1.000 96 62 5.122 96 34 1.000 96 22 1.000 96 35 5.655 96 5 2.468 96 7 5.122 96 66 2.468 96 60 5.122 96 18 1.000 96 52 5.655 96 28 2.468 96 39 4.796 96 43 5.122 96 29 5.122 97 32 3.327 97 62 3.327 97 34 3.327 97 17 3.327 97 35 1.000 97 37 3.327 97 6 3.327 97 49 3.327 97 7 1.000 97 26 3.937 97 53 1.000 97 16 1.000 97 22 1.000 97 24 1.000 97 39 2.468 97 18 2.468 98 31 3.937 98 33 1.000 98 34 3.937 98 2 3.327 98 35 3.327 98 8 4.796 98 37 5.122 98 49 1.000 98 32 1.000 98 3 4.796 98 5 1.000 98 1 4.409 98 7 6.873 98 51 4.796 98 44 1.000 98 12 5.405 98 26 3.937 98 46 5.122 98 39 3.327 98 40 6.264 98 28 5.122 98 22 1.000 98 64 3.937 98 43 4.409 98 60 4.796 99 30 4.796 99 63 4.796 99 61 4.409 99 1 3.937 99 31 3.937 99 32 1.000 99 22 1.000 99 33 6.080 99 34 1.000 99 2 1.000 99 17 4.796 99 35 4.409 99 5 1.000 99 7 2.468 99 8 2.468 99 54 3.937 99 23 2.468 99 12 4.796 99 25 1.000 99 26 3.327 99 38 1.000 99 46 3.327 99 52 4.409 99 41 4.409 99 24 4.409 99 39 4.796 99 64 4.796 99 42 4.409 99 29 4.796 99 60 2.468 99 36 3.937 99 27 1.000 100 33 1.000 100 20 6.080 100 62 3.937 100 17 1.000 100 51 2.468 100 11 4.409 100 12 1.000 100 25 3.327 100 14 5.655 100 18 1.000 100 27 1.000 100 40 1.000 100 28 5.122 100 24 1.000 100 10 1.000 101 35 2.468 101 33 2.468 101 21 1.000 101 34 4.409 101 37 4.796 101 51 4.796 101 9 1.000 101 11 1.000 101 14 6.873 101 26 4.796 101 39 4.796 101 41 4.409 101 45 3.327 101 24 4.796 101 47 4.409 101 27 5.878 102 6 1.000 102 49 4.796 102 29 1.000 102 67 5.655 102 23 1.000 102 66 1.000 102 26 1.000 102 38 1.000 102 53 1.000 102 33 1.000 102 36 1.000 103 5 1.000 103 1 2.468 103 32 1.000 103 19 1.000 103 33 1.000 103 27 6.080 103 7 1.000 103 2 1.000 103 22 1.000 103 36 3.937 103 4 1.000 103 24 5.878 103 8 5.122 103 12 6.434 103 25 5.122 103 10 1.000 103 52 1.000 103 38 1.000 103 15 2.468 103 42 5.122 103 29 5.122 103 18 1.000 104 63 5.405 104 61 5.405 104 60 5.122 104 30 5.405 104 17 4.796 104 37 5.655 104 3 5.405 104 14 6.080 104 47 5.655 104 46 5.878 104 64 5.405 104 29 5.655 104 65 5.405 104 27 5.405 105 5 1.000 105 32 5.405 105 19 1.000 105 33 4.796 105 6 1.000 105 62 3.327 105 34 1.000 105 2 1.000 105 22 1.000 105 37 5.122 105 4 1.000 105 17 1.000 105 8 1.000 105 51 1.000 105 23 1.000 105 9 1.000 105 26 3.937 105 44 1.000 105 38 1.000 105 39 3.937 105 40 1.000 105 52 5.122 105 53 2.468 105 28 1.000 105 45 1.000 105 16 1.000 105 35 1.000 105 24 4.409 105 42 2.468 105 29 5.122 105 10 1.000 105 18 4.409 105 12 4.796 106 22 5.405 106 20 4.409 106 26 6.264 106 4 5.405 106 7 6.737 106 8 5.405 106 23 1.000 106 1 3.327 106 11 6.434 106 13 5.405 106 14 8.532 106 18 1.000 106 28 6.264 106 24 7.548 106 33 4.409 106 10 2.468 106 12 5.655 107 17 1.000 107 20 3.937 107 34 3.937 107 35 5.405 107 37 5.122 107 3 1.000 107 62 1.000 107 9 2.468 107 44 1.000 107 43 5.122 107 25 5.405 107 14 2.468 107 27 3.327 107 40 6.264 107 4 5.122 107 41 5.655 107 15 2.468 107 12 3.937 108 32 5.405 108 33 6.737 108 19 1.000 108 20 5.122 108 49 4.796 108 2 1.000 108 35 5.122 108 4 5.405 108 5 6.434 108 7 5.405 108 8 5.122 108 9 5.405 108 12 6.080 108 25 5.122 108 13 5.405 108 14 6.080 108 26 5.122 108 38 1.000 108 18 2.468 108 15 5.405 108 27 7.237 108 52 5.122 108 53 4.796 108 22 2.468 108 24 6.264 108 42 5.122 109 32 3.327 109 33 4.409 109 19 2.468 109 34 1.000 109 2 3.327 109 22 2.468 109 17 1.000 109 5 2.468 109 23 2.468 109 7 3.937 109 9 3.327 109 10 1.000 109 11 2.468 109 12 5.122 109 25 5.405 109 15 3.327 109 28 3.327 109 16 2.468 109 24 7.346 109 27 7.237 110 32 5.878 110 33 2.468 110 19 1.000 110 20 3.327 110 28 1.000 110 35 1.000 110 4 6.737 110 5 4.796 110 8 3.937 110 25 6.434 110 13 6.434 110 14 4.409 110 15 5.878 110 27 5.655 110 40 4.409 110 16 2.468 110 24 7.123 111 1 4.796 111 53 2.468 111 34 3.937 111 37 5.122 111 49 4.409 111 12 5.122 111 44 1.000 111 38 2.468 111 39 3.327 111 45 2.468 111 42 5.122 111 29 4.796 111 36 1.000 112 34 2.468 112 17 4.409 112 35 5.405 112 4 5.655 112 51 5.122 112 11 1.000 112 14 5.655 112 27 5.655 112 16 5.655 112 46 3.937 112 24 6.080 112 10 3.937 113 21 1.000 113 31 3.327 113 50 5.655 113 62 1.000 113 22 4.409 113 17 4.409 113 6 1.000 113 57 2.468 113 12 1.000 113 26 4.796 113 44 1.000 113 39 3.937 113 36 1.000 113 41 4.409 113 45 4.409 113 16 2.468 113 29 4.409 114 25 1.000 114 50 3.327 114 33 6.264 114 19 2.468 114 62 2.468 114 2 1.000 114 22 3.937 114 17 1.000 114 58 5.122 114 37 3.327 114 4 3.937 114 51 2.468 114 23 1.000 114 69 3.937 114 57 5.405 114 48 5.655 114 9 2.468 114 11 2.468 114 12 4.796 114 66 3.937 114 13 1.000 114 14 2.468 114 26 4.796 114 18 3.937 114 15 1.000 114 27 3.327 114 28 3.327 114 24 4.409 114 29 3.937 114 10 1.000 115 26 1.000 115 63 4.409 115 61 4.409 115 62 5.405 115 30 4.409 115 34 3.937 115 17 4.409 115 35 4.796 115 37 3.937 115 51 4.796 115 9 2.468 115 43 4.409 115 29 4.409 115 52 4.409 115 65 4.796 115 18 3.937 115 46 4.796 115 8 1.000 115 22 3.937 115 64 4.409 115 10 1.000 115 60 4.409 116 32 5.405 116 53 4.409 116 50 6.080 116 34 1.000 116 2 4.409 116 62 3.937 116 49 1.000 116 7 4.796 116 51 1.000 116 48 5.122 116 9 3.937 116 12 5.405 116 38 4.796 116 36 4.409 116 52 5.122 116 58 1.000 116 22 5.405 116 65 3.937 116 18 4.409 117 35 1.000 117 53 1.000 117 22 2.468 117 34 7.902 117 55 5.405 117 56 5.655 117 37 1.000 117 32 2.468 117 23 1.000 117 49 5.878 117 8 1.000 117 54 5.405 117 57 6.264 117 48 5.655 117 43 5.122 117 38 1.000 117 39 3.937 117 52 5.878 117 41 1.000 117 58 5.122 117 68 4.796 117 42 8.133 117 59 5.122 118 1 2.468 118 31 5.122 118 32 5.655 118 33 3.937 118 34 1.000 118 22 5.122 118 17 5.122 118 37 6.264 118 5 5.405 118 25 4.796 118 13 5.405 118 38 1.000 118 39 5.405 118 52 5.122 118 53 5.405 118 28 4.409 118 42 5.655 118 29 5.655 118 10 1.000 118 60 5.122 118 12 1.000 119 40 1.000 119 30 1.000 119 63 1.000 119 1 1.000 119 33 1.000 119 62 1.000 119 21 1.000 119 55 1.000 119 56 2.468 119 37 1.000 119 6 1.000 119 51 1.000 119 23 2.468 119 69 2.468 119 9 1.000 119 64 1.000 119 66 1.000 119 13 2.468 119 26 1.000 119 47 1.000 119 39 1.000 119 61 1.000 119 41 1.000 119 28 1.000 119 16 1.000 119 68 1.000 119 29 1.000 119 65 1.000 119 70 1.000 119 59 1.000 120 1 5.655 120 32 6.591 120 33 6.873 120 46 1.000 120 22 3.327 120 17 4.409 120 51 1.000 120 6 3.327 120 24 3.937 120 8 5.405 120 11 5.405 120 12 5.878 120 25 5.405 120 13 1.000 120 14 1.000 120 10 2.468 120 27 3.327 120 28 1.000 120 29 5.405 120 36 3.327 121 35 1.000 121 1 3.327 121 32 1.000 121 50 1.000 121 17 4.409 121 23 1.000 121 49 1.000 121 7 3.327 121 8 1.000 121 29 3.327 121 18 1.000 121 46 3.327 121 39 2.468 121 36 1.000 121 52 3.327 121 41 1.000 121 53 3.327 121 33 6.080 122 34 1.000 122 2 1.000 122 22 1.000 122 37 1.000 122 15 1.000 122 36 1.000 122 23 1.000 122 49 1.000 122 29 1.000 122 52 1.000 122 45 1.000 122 16 1.000 122 42 1.000 122 60 2.468 122 62 3.937 122 21 1.000 122 17 3.937 122 7 1.000 122 51 1.000 122 39 1.000 122 41 1.000 122 47 1.000 122 18 1.000 122 9 1.000 122 38 1.000 123 1 1.000 123 32 1.000 123 50 1.000 123 20 1.000 123 8 1.000 123 62 1.000 123 2 1.000 123 22 2.468 123 26 2.468 123 35 5.122 123 37 4.409 123 7 2.468 123 51 5.122 123 57 5.122 123 9 1.000 123 12 5.878 123 38 1.000 123 39 5.122 123 36 5.122 123 27 7.123 123 52 4.796 123 53 3.327 123 41 5.122 123 42 5.122 123 29 4.796 123 47 5.122 123 18 1.000 124 30 6.737 124 63 6.737 124 61 7.123 124 35 6.591 124 37 6.591 124 7 3.327 124 43 6.264 124 39 5.405 124 52 6.737 124 45 6.591 124 16 3.937 124 64 7.123 124 29 6.264 124 60 5.655 125 34 3.327 125 41 1.000 125 55 4.409 125 56 4.409 125 49 4.796 125 54 3.327 125 69 4.409 125 48 4.796 125 21 1.000 125 39 5.405 125 36 3.327 125 52 4.409 125 53 3.937 125 45 4.796 125 58 4.796 125 68 4.409 125 42 4.409 125 29 3.327 125 70 4.409 125 59 4.409 126 32 5.655 126 20 2.468 126 2 5.405 126 22 5.655 126 5 4.409 126 1 5.655 126 49 6.264 126 7 5.878 126 8 5.405 126 12 5.878 126 13 4.796 126 52 4.796 126 19 4.796 126 38 5.122 126 18 6.591 126 53 4.796 126 28 5.122 126 42 6.264 127 30 5.122 127 22 1.000 127 33 1.000 127 2 5.122 127 35 4.409 127 37 6.080 127 49 1.000 127 8 3.327 127 23 1.000 127 26 5.878 127 58 4.409 127 64 1.000 128 35 4.409 128 32 5.405 128 33 6.873 128 6 4.796 128 20 5.122 128 62 3.937 128 21 5.405 128 34 1.000 128 41 3.937 128 26 5.878 128 18 6.873 128 4 5.122 128 5 5.655 128 31 5.122 128 7 4.409 128 23 5.122 128 13 5.122 128 14 3.937 128 10 3.327 128 15 4.796 128 39 5.122 128 27 5.655 128 40 5.122 128 16 3.327 128 24 3.937 128 29 5.405 129 40 6.873 129 30 3.937 129 63 4.796 129 61 4.796 129 1 1.000 129 19 2.468 129 34 4.796 129 37 3.937 129 5 1.000 129 49 3.327 129 9 2.468 129 14 2.468 129 38 5.122 129 29 1.000 129 46 4.409 129 39 3.937 129 27 3.937 129 24 4.796 129 64 4.796 129 42 3.937 130 30 5.122 130 63 5.122 130 61 5.122 130 31 3.327 130 34 3.327 130 55 4.409 130 56 4.796 130 37 5.405 130 67 4.796 130 69 5.122 130 66 1.000 130 50 1.000 130 36 4.409 130 52 4.796 130 53 3.327 130 41 4.409 130 68 4.409 130 64 4.796 130 29 5.122 130 70 5.122 130 59 3.937 131 32 5.878 131 33 3.327 131 17 2.468 131 7 1.000 131 12 5.655 131 25 2.468 131 24 3.327 131 42 5.655 131 10 2.468 132 1 1.000 132 6 3.937 132 22 2.468 132 26 3.327 132 16 2.468 132 7 2.468 132 8 1.000 132 67 1.000 132 23 3.937 132 21 1.000 132 12 4.409 132 25 1.000 132 14 1.000 132 39 3.937 132 52 1.000 132 53 2.468 132 24 4.796 132 42 1.000 132 33 1.000 132 29 1.000 132 18 3.937 133 63 3.937 133 1 5.655 133 50 1.000 133 19 3.937 133 34 3.937 133 36 1.000 133 4 4.796 133 49 5.122 133 8 3.327 133 23 1.000 133 57 4.796 133 25 5.405 133 26 5.655 133 60 2.468 133 11 1.000 133 52 5.122 133 42 4.796 133 33 1.000 134 35 1.000 134 30 3.937 134 4 3.937 134 50 1.000 134 27 1.000 134 20 3.937 134 33 1.000 134 54 1.000 134 6 3.327 134 7 2.468 134 51 2.468 134 23 1.000 134 11 2.468 134 26 5.122 134 10 1.000 134 18 1.000 134 28 3.327 134 16 4.409 134 24 5.122 134 39 3.327 134 29 2.468 134 12 1.000 135 25 3.937 135 26 5.405 135 1 3.327 135 31 3.937 135 32 5.655 135 50 7.450 135 34 2.468 135 2 4.796 135 22 5.655 135 17 4.796 135 37 5.655 135 5 3.937 135 49 5.405 135 7 5.122 135 8 5.405 135 9 3.327 135 12 4.796 135 38 1.000 135 18 7.237 135 36 5.405 135 40 1.000 135 52 5.405 135 53 5.405 135 60 4.409 135 41 5.405 135 28 4.796 135 45 5.405 135 16 2.468 135 42 5.655 135 29 5.878 136 28 3.327 136 62 1.000 136 22 5.122 136 35 4.409 136 37 5.122 136 4 2.468 136 51 2.468 136 46 4.796 136 27 1.000 136 41 4.796 136 29 5.122 136 60 5.122 137 20 4.796 137 31 1.000 137 34 3.327 137 51 5.122 137 49 4.796 137 23 4.796 137 11 3.937 137 26 5.655 137 44 2.468 137 39 5.122 137 36 6.591 137 52 6.434 137 53 5.405 137 41 5.405 137 45 5.122 137 24 5.655 137 42 6.080 137 60 5.878 138 1 1.000 138 32 4.796 138 33 6.591 138 34 3.937 138 22 3.937 138 26 5.122 138 17 5.122 138 35 2.468 138 37 6.737 138 6 5.878 138 8 4.796 138 51 3.327 138 9 3.937 138 12 5.122 138 44 1.000 138 39 5.122 138 42 2.468 138 18 4.409 139 20 6.264 139 26 6.264 139 4 5.405 139 8 5.405 139 15 6.591 139 10 1.000 139 23 3.937 139 14 6.264 139 16 3.937 139 37 7.450 139 12 2.468 139 27 6.737 139 40 9.156 139 3 3.327 139 17 4.796 139 11 3.327 140 33 6.591 140 19 4.796 140 20 5.122 140 62 5.122 140 17 4.796 140 35 4.796 140 51 1.000 140 4 4.796 140 3 5.122 140 7 4.796 140 9 4.796 140 11 2.468 140 12 4.796 140 25 5.405 140 13 5.122 140 14 5.122 140 26 5.122 140 18 5.405 140 27 5.122 140 40 6.737 140 28 5.122 140 16 5.122 140 29 4.796 140 10 1.000 141 1 1.000 141 33 6.264 141 19 3.937 141 20 4.409 141 8 6.080 141 7 5.655 141 26 3.327 141 23 5.405 141 9 4.409 141 11 5.122 141 12 3.327 141 15 3.327 141 28 4.796 141 16 3.327 141 22 5.405 141 24 6.080 141 10 1.000 141 17 5.878 142 30 3.937 142 63 3.937 142 61 3.937 142 1 3.937 142 31 5.405 142 32 5.405 142 33 6.434 142 62 5.122 142 34 3.937 142 22 5.122 142 35 4.796 142 37 5.878 142 51 5.122 142 3 5.122 142 5 5.405 142 49 5.122 142 8 5.878 142 54 5.122 142 11 4.409 142 26 5.405 142 10 1.000 142 19 3.327 142 38 2.468 142 18 5.878 142 39 5.122 142 40 6.080 142 52 5.405 142 28 5.405 142 29 5.405 142 53 4.409 142 64 3.937 142 42 5.122 142 65 3.937 142 27 3.937 143 30 2.468 143 1 5.122 143 31 2.468 143 32 6.873 143 50 6.591 143 38 5.655 143 33 6.737 143 20 2.468 143 21 6.873 143 34 2.468 143 22 5.405 143 35 5.122 143 49 5.878 143 11 3.937 143 8 6.264 143 23 6.080 143 25 6.080 143 26 7.237 143 18 7.819 143 2 6.264 143 36 6.873 143 40 6.737 143 52 6.434 143 53 6.264 143 41 5.655 143 45 5.655 143 16 6.264 143 42 5.655 143 29 6.080 144 33 1.000 144 62 1.000 144 34 1.000 144 17 5.405 144 35 5.122 144 37 3.937 144 44 1.000 144 46 1.000 144 39 2.468 144 27 4.796 144 40 2.468 144 43 4.409 144 10 2.468 144 60 3.937 144 18 1.000 144 12 2.468 145 1 5.405 145 33 1.000 145 45 2.468 145 37 3.937 145 18 5.122 145 44 2.468 145 6 5.655 145 49 5.878 145 8 5.655 145 11 1.000 145 26 8.275 145 38 6.080 145 39 3.937 145 52 5.655 145 53 5.878 145 42 5.878 145 36 6.080 146 1 4.409 146 31 4.409 146 32 1.000 146 2 1.000 146 49 5.405 146 7 3.937 146 23 3.327 146 67 1.000 146 44 1.000 146 38 5.405 146 39 1.000 146 41 5.122 146 16 1.000 146 22 1.000 146 42 6.264 146 29 5.405 147 32 5.405 147 2 3.327 147 22 6.591 147 35 2.468 147 1 4.796 147 49 5.878 147 7 4.409 147 8 6.434 147 11 3.327 147 12 5.878 147 26 5.655 147 44 1.000 147 38 5.878 147 15 3.327 147 52 6.080 147 53 3.327 147 24 1.000 147 42 6.591 147 29 1.000 147 18 6.737 147 36 3.937 148 19 2.468 148 33 6.080 148 49 2.468 148 34 1.000 148 22 1.000 148 55 2.468 148 56 2.468 148 37 3.327 148 32 1.000 148 3 2.468 148 8 2.468 148 23 2.468 148 9 2.468 148 10 1.000 148 11 1.000 148 26 1.000 148 29 3.327 148 38 1.000 148 18 3.327 148 40 2.468 148 52 5.655 148 41 3.327 148 28 3.327 148 16 3.327 148 68 3.327 148 42 2.468 148 60 2.468 148 36 3.327 148 59 2.468 149 2 4.409 149 17 4.409 149 8 3.937 149 12 1.000 149 25 4.409 149 14 3.327 149 26 4.409 149 9 4.796 149 18 5.122 149 27 5.878 149 40 6.434 149 28 2.468 149 16 3.937 149 29 5.655 150 5 1.000 150 30 4.409 150 63 5.122 150 1 4.409 150 31 4.409 150 32 1.000 150 33 6.434 150 19 1.000 150 46 4.409 150 34 1.000 150 22 1.000 150 17 5.122 150 35 3.327 150 3 1.000 150 7 1.000 150 18 1.000 150 8 1.000 150 54 1.000 150 9 3.327 150 43 5.122 150 25 4.409 150 13 3.327 150 44 1.000 150 65 5.122 150 38 1.000 150 15 3.327 150 27 2.468 150 40 5.655 150 53 5.122 150 16 2.468 150 24 5.122 150 39 3.937 150 64 5.122 150 42 4.796 150 29 5.122 150 10 1.000 150 60 5.122 151 40 6.434 151 50 1.000 151 41 1.000 151 34 2.468 151 17 4.796 151 37 3.327 151 3 1.000 151 8 2.468 151 14 2.468 151 26 3.937 151 16 4.409 151 27 3.327 152 30 5.122 152 63 5.122 152 61 5.122 152 1 5.122 152 32 1.000 152 33 1.000 152 7 2.468 152 2 1.000 152 22 1.000 152 17 4.796 152 35 5.405 152 47 3.327 152 37 5.122 152 4 2.468 152 5 1.000 152 18 1.000 152 8 1.000 152 43 4.796 152 12 6.080 152 25 4.409 152 26 5.122 152 9 1.000 152 65 5.122 152 38 1.000 152 46 5.122 152 39 5.122 152 27 6.264 152 52 4.796 152 53 4.796 152 16 3.327 152 24 5.122 152 64 5.405 152 42 6.080 152 29 5.405 152 60 5.122 152 36 4.409 153 1 3.327 153 32 1.000 153 21 1.000 153 22 2.468 153 8 1.000 153 4 1.000 153 5 1.000 153 7 2.468 153 23 2.468 153 57 4.796 153 9 1.000 153 10 1.000 153 12 5.878 153 25 4.796 153 38 1.000 153 18 1.000 153 15 1.000 153 24 5.122 153 42 7.548 153 29 5.122 153 60 4.409 154 5 2.468 154 1 3.327 154 32 3.327 154 7 3.327 154 34 3.327 154 2 2.468 154 6 1.000 154 22 6.264 154 8 2.468 154 4 2.468 154 9 2.468 154 11 1.000 154 25 8.205 154 15 3.327 154 36 7.819 154 27 8.059 154 40 7.548 154 52 7.732 154 28 6.080 154 16 4.796 154 24 7.732 154 42 7.902 154 18 3.327 155 33 6.434 155 2 4.796 155 22 5.122 155 7 5.655 155 8 3.327 155 11 1.000 155 12 5.122 155 25 1.000 155 14 3.327 155 26 5.878 155 18 6.264 156 19 5.405 156 33 6.264 156 26 5.655 156 62 1.000 156 21 3.327 156 4 1.000 156 5 5.655 156 23 5.655 156 11 5.122 156 12 3.937 156 13 6.080 156 44 2.468 156 15 7.002 156 40 3.327 156 10 2.468 157 63 6.737 157 61 6.737 157 20 1.000 157 62 3.327 157 30 4.796 157 17 1.000 157 37 7.902 157 21 2.468 157 5 2.468 157 7 7.237 157 8 5.878 157 9 1.000 157 11 3.327 157 14 3.937 157 26 4.796 157 29 7.002 157 2 1.000 157 46 5.655 157 15 6.873 157 39 3.937 157 27 5.122 157 52 6.873 157 16 3.937 157 24 3.937 157 64 4.409 157 42 7.450 157 33 3.327 157 10 2.468 158 30 3.937 158 63 3.937 158 61 3.937 158 34 3.327 158 37 6.737 158 29 3.937 158 32 3.937 158 35 5.122 158 6 1.000 158 45 5.122 158 60 1.000 158 62 1.000 158 51 1.000 158 43 5.122 158 39 3.937 158 40 5.878 158 41 1.000 158 64 4.409 158 47 1.000 159 32 5.405 159 8 1.000 159 62 4.796 159 34 2.468 159 35 1.000 159 37 4.796 159 43 2.468 159 26 5.405 159 44 1.000 159 39 4.409 159 16 3.937 159 65 2.468 159 18 1.000 160 1 2.468 160 15 2.468 160 36 3.937 160 67 1.000 160 42 4.796 160 60 2.468 160 23 3.937 160 7 3.937 160 18 4.409 160 55 2.468 160 56 3.937 160 17 4.796 160 33 6.591 160 20 2.468 160 22 4.796 160 37 5.405 160 70 3.327 160 59 2.468 160 50 4.796 160 21 3.327 160 49 2.468 160 54 3.327 160 68 2.468 160 32 4.409 160 12 6.080 160 46 4.409 160 39 4.796 160 25 3.327 160 31 1.000 160 34 2.468 160 2 2.468 160 8 4.409 160 19 2.468 160 35 3.327 160 5 3.937 160 69 1.000 160 48 4.409 160 45 3.937 160 57 3.327 160 43 2.468 160 41 3.327 160 3 1.000 160 9 3.327 160 4 2.468 160 26 4.796 160 6 4.409 160 66 3.937 160 52 3.937 160 53 4.409 160 58 4.409 160 16 1.000 160 51 1.000 160 28 2.468 160 24 5.655 160 11 3.937 160 38 2.468 161 30 2.468 161 63 2.468 161 61 2.468 161 19 2.468 161 20 2.468 161 22 4.796 161 26 4.409 161 37 5.878 161 49 3.327 161 51 2.468 161 9 2.468 161 43 4.796 161 25 2.468 161 38 1.000 161 11 2.468 161 16 3.327 161 39 5.655 161 64 2.468 161 42 4.409 161 60 2.468 161 17 4.796 162 30 3.937 162 63 3.937 162 50 1.000 162 33 1.000 162 62 4.796 162 2 2.468 162 22 5.655 162 17 4.409 162 37 2.468 162 51 4.409 162 8 5.122 162 64 4.409 162 46 4.796 162 40 3.327 162 41 3.937 162 35 1.000 162 29 4.409 162 10 1.000 162 18 6.434 162 12 4.796 163 1 1.000 163 32 6.434 163 50 9.450 163 34 3.327 163 2 3.327 163 36 7.237 163 33 1.000 163 5 3.327 163 8 6.264 163 48 7.642 163 12 7.732 163 25 8.275 163 38 3.937 163 18 6.264 163 15 3.327 163 27 7.819 163 52 6.591 163 53 7.237 163 28 7.819 163 22 4.796 163 24 7.346 163 42 8.133 163 29 7.819 163 60 7.123 164 1 2.468 164 32 5.122 164 50 5.655 164 19 4.409 164 28 1.000 164 22 4.409 164 24 4.409 164 7 5.122 164 8 5.122 164 57 5.122 164 48 5.405 164 9 1.000 164 12 4.409 164 13 4.796 164 14 3.327 164 38 2.468 164 2 1.000 164 15 1.000 164 27 5.405 164 53 5.122 164 58 5.122 164 42 3.937 164 29 1.000 164 18 5.122 165 63 3.327 165 34 3.937 165 35 4.409 165 49 2.468 165 26 4.796 165 40 6.264 165 39 4.796 165 64 3.937 165 43 1.000 165 29 4.409 165 60 4.409 166 32 3.937 166 33 6.873 166 19 5.405 166 20 5.405 166 62 5.405 166 37 3.937 166 51 5.122 166 23 5.122 166 9 5.405 166 11 5.122 166 43 4.409 166 25 5.122 166 26 6.434 166 46 4.796 166 15 5.878 166 27 7.123 166 28 5.122 166 16 3.937 166 24 5.878 166 39 3.937 166 10 1.000 167 5 3.327 167 4 5.122 167 32 4.409 167 33 6.737 167 20 4.409 167 34 4.796 167 17 4.409 167 62 1.000 167 23 6.080 167 10 1.000 167 11 5.122 167 25 1.000 167 26 5.405 167 22 4.409 167 24 4.796 168 1 5.122 168 32 5.405 168 33 6.264 168 19 3.327 168 34 4.796 168 2 3.327 168 22 2.468 168 17 4.409 168 35 2.468 168 44 1.000 168 49 3.937 168 8 2.468 168 23 3.327 168 28 2.468 168 12 5.655 168 25 3.937 168 13 2.468 168 10 2.468 168 38 2.468 168 24 3.937 168 18 5.122 168 36 2.468 169 1 3.937 169 32 5.878 169 33 3.937 169 21 4.409 169 7 4.409 169 2 2.468 169 6 1.000 169 22 2.468 169 17 3.937 169 62 5.122 169 4 4.409 169 11 3.937 169 8 2.468 169 23 3.937 169 37 1.000 169 42 3.937 169 12 5.405 169 25 3.327 169 34 3.937 169 26 5.655 169 38 1.000 169 18 2.468 169 39 3.937 169 24 3.937 170 1 4.796 170 32 3.937 170 50 4.409 170 19 4.796 170 34 4.796 170 22 1.000 170 35 1.000 170 21 5.878 170 49 5.655 170 23 4.796 170 57 4.796 170 48 5.122 170 11 2.468 170 26 6.264 170 29 3.327 170 44 1.000 170 38 5.655 170 36 5.122 170 53 4.409 170 58 4.409 170 42 2.468 170 18 5.878 171 25 4.796 171 35 5.405 171 1 5.405 171 32 3.327 171 33 5.122 171 20 6.080 171 19 2.468 171 8 1.000 171 7 3.327 171 2 4.796 171 22 4.409 171 4 2.468 171 15 2.468 171 49 8.133 171 18 1.000 171 9 2.468 171 27 6.591 171 26 5.655 171 29 5.405 171 38 1.000 171 40 8.761 171 36 5.405 171 24 6.873 171 42 6.080 171 12 5.405 172 25 5.122 172 17 4.409 172 35 4.796 172 37 5.655 172 43 4.409 172 29 3.937 172 60 5.405 172 46 4.409 172 28 4.796 173 25 1.000 173 50 3.327 173 8 3.327 173 62 2.468 173 21 2.468 173 22 3.327 173 26 5.878 173 35 3.937 173 56 3.327 173 54 3.327 173 37 5.878 173 51 2.468 173 4 3.327 173 6 3.327 173 49 2.468 173 18 3.327 173 23 2.468 173 69 3.327 173 57 2.468 173 9 2.468 173 68 2.468 173 14 2.468 173 38 2.468 173 15 2.468 173 39 4.796 173 53 2.468 173 28 2.468 173 16 3.327 173 42 2.468 173 29 3.327 174 1 3.937 174 31 4.409 174 38 2.468 174 33 6.737 174 19 2.468 174 28 2.468 174 7 3.327 174 34 3.937 174 22 2.468 174 35 1.000 174 16 1.000 174 49 1.000 174 32 1.000 174 21 2.468 174 4 3.327 174 5 2.468 174 8 2.468 174 23 2.468 174 9 3.327 174 24 4.796 174 43 4.409 174 12 4.796 174 26 4.409 174 18 2.468 174 2 2.468 174 15 2.468 174 39 3.937 174 52 4.409 174 53 4.409 174 41 4.409 174 3 2.468 174 46 4.409 174 42 4.409 174 17 3.937 175 5 1.000 175 31 1.000 175 32 1.000 175 53 1.000 175 20 2.468 175 21 1.000 175 45 1.000 175 34 5.122 175 22 1.000 175 35 1.000 175 37 1.000 175 4 1.000 175 3 1.000 175 6 1.000 175 49 5.122 175 18 1.000 175 8 1.000 175 54 1.000 175 9 1.000 175 11 2.468 175 13 3.327 175 14 2.468 175 26 1.000 175 68 5.122 175 60 4.796 175 38 4.796 175 2 1.000 175 52 1.000 175 16 1.000 175 27 7.123 176 19 4.409 176 20 5.405 176 4 5.122 176 7 6.264 176 9 5.405 176 11 4.796 176 25 5.122 176 13 5.405 176 14 5.878 176 15 5.655 176 27 5.655 176 28 5.122 176 24 5.655 177 30 4.796 177 63 5.122 177 61 5.122 177 31 5.122 177 38 1.000 177 7 1.000 177 19 5.122 177 21 1.000 177 32 1.000 177 2 1.000 177 22 5.122 177 26 3.327 177 35 4.796 177 37 1.000 177 4 1.000 177 3 1.000 177 5 1.000 177 49 5.405 177 8 1.000 177 9 5.122 177 43 5.122 177 12 5.878 177 25 5.122 177 39 4.796 177 27 4.796 177 52 5.122 177 16 2.468 177 46 5.122 177 24 5.878 177 64 5.405 177 29 4.796 177 65 5.122 178 40 6.080 178 30 2.468 178 63 2.468 178 61 2.468 178 41 3.937 178 34 1.000 178 65 2.468 178 31 3.327 178 17 4.409 178 35 5.122 178 37 5.655 178 3 1.000 178 6 5.122 178 49 2.468 178 14 5.122 178 26 4.409 178 29 4.796 178 44 1.000 178 60 4.796 178 39 4.409 178 52 4.409 178 53 4.796 178 28 4.409 178 45 4.796 178 64 2.468 178 42 1.000 178 33 1.000 178 47 4.796 179 5 2.468 179 40 6.873 179 66 6.434 179 1 4.796 179 15 3.937 179 32 3.327 179 19 2.468 179 7 3.937 179 34 2.468 179 26 6.434 179 17 5.878 179 35 6.434 179 36 6.591 179 56 6.873 179 4 2.468 179 3 2.468 179 23 4.409 179 18 2.468 179 69 6.873 179 68 7.002 179 25 6.264 179 13 6.873 179 12 6.873 179 14 7.002 179 8 1.000 179 52 1.000 179 38 2.468 179 2 3.327 179 39 6.873 179 27 7.123 179 28 6.591 179 42 5.878 179 45 2.468 179 22 3.327 179 24 6.591 179 60 7.002 179 59 6.737 180 5 4.409 180 62 3.327 180 35 5.405 180 66 1.000 180 44 1.000 180 39 5.655 180 45 4.796 180 46 5.122 180 43 3.937 180 29 5.655 180 60 5.655 181 35 4.409 181 32 1.000 181 33 6.591 181 2 1.000 181 22 1.000 181 17 4.409 181 51 1.000 181 4 1.000 181 8 1.000 181 23 3.937 181 9 2.468 181 43 3.937 181 12 5.405 181 25 3.937 181 26 4.409 181 29 2.468 181 18 1.000 181 46 4.409 181 39 4.409 181 40 3.327 181 15 4.409 181 24 5.405 181 10 1.000 182 30 3.327 182 61 2.468 182 33 1.000 182 20 1.000 182 63 3.327 182 35 3.327 182 62 4.796 182 37 4.796 182 51 4.409 182 11 2.468 182 14 3.327 182 44 1.000 182 27 2.468 182 16 2.468 182 24 4.409 182 64 3.327 183 52 1.000 183 1 2.468 183 31 5.405 183 32 1.000 183 33 6.873 183 19 3.327 183 20 2.468 183 34 1.000 183 2 3.327 183 22 1.000 183 17 5.122 183 35 3.327 183 5 2.468 183 7 1.000 183 8 1.000 183 9 1.000 183 11 1.000 183 14 6.737 183 44 1.000 183 38 1.000 183 15 2.468 183 36 3.937 183 40 5.655 183 41 3.327 183 28 3.937 183 45 3.327 183 16 5.122 183 24 5.878 183 42 5.405 183 29 5.122 183 60 6.080 183 47 5.405 183 18 1.000 183 12 6.264 184 40 4.796 184 1 1.000 184 31 4.796 184 32 1.000 184 2 1.000 184 7 1.000 184 12 6.080 184 25 1.000 184 44 1.000 184 47 4.409 184 38 1.000 184 39 4.796 184 16 3.327 184 42 5.122 185 5 5.122 185 32 2.468 185 52 2.468 185 19 3.937 185 62 1.000 185 2 2.468 185 22 2.468 185 17 3.937 185 35 5.122 185 7 1.000 185 37 5.655 185 49 4.409 185 8 5.405 185 12 5.122 185 25 3.937 185 47 2.468 185 38 1.000 185 53 5.878 185 28 6.080 185 42 5.655 185 60 5.655 185 18 1.000 185 36 5.122 186 25 2.468 186 63 3.327 186 61 3.327 186 15 1.000 186 32 1.000 186 19 1.000 186 62 3.327 186 30 3.327 186 2 1.000 186 22 1.000 186 26 5.655 186 37 2.468 186 4 2.468 186 24 5.122 186 8 3.937 186 51 3.937 186 9 1.000 186 13 1.000 186 14 2.468 186 64 3.327 186 29 3.327 186 10 1.000 186 65 3.327 186 47 3.327 186 18 1.000 186 27 5.878 187 30 6.737 187 63 7.002 187 61 7.002 187 33 1.000 187 54 3.327 187 35 3.327 187 62 3.327 187 37 6.873 187 7 3.937 187 45 2.468 187 64 7.642 187 29 3.327 187 65 7.237 187 47 6.591 188 19 1.000 188 21 1.000 188 34 3.937 188 17 5.122 188 35 1.000 188 37 4.409 188 4 3.327 188 9 2.468 188 11 1.000 188 43 1.000 188 25 1.000 188 14 3.937 188 26 3.327 188 46 3.327 188 39 2.468 188 41 1.000 188 28 1.000 188 24 3.937 188 60 2.468 188 27 6.434 189 31 4.796 189 34 3.937 189 55 5.122 189 17 3.937 189 35 4.409 189 56 3.937 189 37 2.468 189 3 1.000 189 43 3.937 189 39 3.327 189 41 5.122 189 29 4.409 189 47 1.000 189 59 2.468 190 18 1.000 190 1 2.468 190 32 3.937 190 50 6.737 190 33 6.080 190 19 3.937 190 2 1.000 190 22 1.000 190 37 3.327 190 5 1.000 190 15 1.000 190 8 5.405 190 9 3.937 190 25 3.327 190 34 3.327 190 43 3.937 190 27 5.122 190 28 3.937 190 24 5.122 190 29 3.937 190 17 4.409 191 1 5.122 191 32 5.405 191 33 6.873 191 22 4.409 191 17 1.000 191 8 5.405 191 4 1.000 191 5 1.000 191 49 2.468 191 7 5.405 191 10 2.468 191 11 1.000 191 12 6.080 191 29 2.468 191 38 1.000 191 2 4.796 191 39 3.327 191 27 6.080 191 52 1.000 191 53 4.409 191 15 2.468 191 24 5.878 191 42 5.405 191 18 5.655 191 36 4.409 192 26 1.000 192 1 4.796 192 31 1.000 192 32 2.468 192 20 2.468 192 62 2.468 192 21 1.000 192 22 1.000 192 60 1.000 192 4 1.000 192 5 1.000 192 6 2.468 192 49 2.468 192 18 2.468 192 8 2.468 192 23 1.000 192 12 3.937 192 25 1.000 192 14 2.468 192 38 2.468 192 2 2.468 192 15 3.937 192 52 4.796 192 53 1.000 192 16 1.000 192 24 4.409 192 42 3.327 192 29 4.409 193 63 5.405 193 61 5.122 193 1 2.468 193 32 5.655 193 30 5.122 193 41 1.000 193 35 5.405 193 37 5.405 193 17 4.409 193 62 3.327 193 69 5.122 193 48 5.405 193 44 1.000 193 50 5.405 193 60 5.122 193 46 5.655 193 39 5.405 193 45 5.405 193 42 5.122 193 43 5.405 193 18 6.264 193 70 5.405 194 33 2.468 194 34 2.468 194 22 4.796 194 17 4.796 194 51 5.122 194 11 3.937 194 43 5.122 194 29 3.937 194 39 5.122 194 24 4.796 195 5 4.796 195 1 2.468 195 31 5.122 195 32 5.405 195 53 4.796 195 33 6.264 195 62 3.937 195 7 5.405 195 34 1.000 195 2 4.796 195 22 5.405 195 26 5.122 195 17 5.122 195 4 3.327 195 8 5.405 195 12 6.080 195 18 6.264 195 52 5.122 195 24 4.409 195 36 4.796 196 52 3.327 196 1 5.655 196 31 4.409 196 32 6.080 196 33 7.450 196 2 5.122 196 22 4.796 196 17 1.000 196 35 4.409 196 5 5.122 196 6 4.409 196 49 4.796 196 8 4.409 196 10 1.000 196 12 8.407 196 18 4.409 196 15 1.000 196 39 5.655 196 36 5.405 196 53 3.937 196 28 5.405 196 42 4.409 197 50 4.409 197 22 4.409 197 33 1.000 197 7 5.405 197 8 5.122 197 51 5.405 197 9 5.122 197 11 5.122 197 12 5.655 197 13 5.122 197 14 5.878 197 15 5.405 197 27 5.405 197 52 5.405 197 53 3.327 197 28 5.405 197 16 5.122 197 65 3.937 197 18 6.873 198 30 6.434 198 1 7.123 198 32 6.873 198 2 4.409 198 22 5.655 198 37 5.655 198 5 4.796 198 6 6.434 198 7 4.796 198 8 7.450 198 12 5.655 198 26 4.796 198 44 1.000 198 38 6.591 198 39 6.737 198 36 6.737 198 52 7.819 198 53 6.737 198 41 5.655 198 42 5.878 198 18 6.737 198 17 4.409 199 61 3.937 199 32 2.468 199 38 6.080 199 21 2.468 199 2 5.405 199 22 6.434 199 4 6.080 199 49 6.080 199 7 5.655 199 8 6.737 199 51 1.000 199 25 6.080 199 16 1.000 199 35 4.409 199 42 5.405 199 18 7.450 199 17 5.878 200 1 3.937 200 20 3.327 200 22 2.468 200 5 4.409 200 6 3.327 200 49 5.655 200 7 3.937 200 8 6.080 200 10 1.000 200 11 5.405 200 12 3.937 200 25 2.468 200 13 3.327 200 26 5.878 200 15 4.409 200 39 3.937 200 27 3.327 201 35 5.405 201 50 4.409 201 20 5.405 201 2 4.796 201 65 3.937 201 22 8.342 201 4 6.264 201 7 8.649 201 8 6.737 201 32 7.642 201 9 5.122 201 10 1.000 201 11 6.591 201 25 3.937 201 14 7.346 201 52 5.122 201 53 3.937 201 18 3.327 201 27 5.655 201 12 6.591 202 32 4.796 202 34 3.327 202 2 1.000 202 7 4.796 202 8 4.796 202 12 5.878 202 26 8.205 202 38 5.122 202 52 5.878 202 22 1.000 202 18 4.409 203 30 5.878 203 63 5.122 203 61 5.405 203 1 6.737 203 31 6.873 203 34 3.327 203 37 4.409 203 4 2.468 203 3 1.000 203 36 4.796 203 33 3.937 203 29 5.655 203 70 7.123 203 40 2.468 203 35 5.405 203 5 2.468 203 23 1.000 203 54 1.000 203 67 6.080 203 48 1.000 203 52 1.000 203 58 2.468 203 16 3.327 203 68 6.080 203 42 6.434 203 57 1.000 203 12 4.409 203 38 2.468 203 27 6.264 203 41 6.264 203 28 6.591 203 24 3.327 203 64 5.655 203 65 6.080 203 47 5.655 203 17 6.264 203 55 6.264 203 56 6.264 203 25 5.122 204 25 2.468 204 30 1.000 204 63 2.468 204 61 1.000 204 31 2.468 204 19 3.327 204 17 4.796 204 35 3.937 204 4 1.000 204 49 1.000 204 62 1.000 204 8 2.468 204 51 2.468 204 66 1.000 204 13 3.327 204 65 1.000 204 47 3.327 204 11 1.000 204 46 5.405 204 41 3.327 204 28 3.937 204 33 5.405 204 24 3.937 204 64 1.000 204 43 2.468 204 29 3.327 204 60 1.000 205 63 3.327 205 61 3.327 205 33 6.264 205 19 2.468 205 20 2.468 205 62 2.468 205 21 2.468 205 22 3.327 205 17 4.409 205 8 3.327 205 32 3.327 205 4 2.468 205 6 2.468 205 49 3.327 205 7 3.327 205 18 3.327 205 51 3.327 205 23 2.468 205 9 3.327 205 10 1.000 205 25 2.468 205 13 2.468 205 14 1.000 205 26 2.468 205 65 3.327 205 39 3.327 205 16 3.327 205 64 3.327 206 1 1.000 206 32 5.405 206 19 1.000 206 20 3.327 206 34 5.122 206 2 5.405 206 22 5.405 206 35 2.468 206 37 5.405 206 5 1.000 206 7 3.327 206 18 1.000 206 8 5.405 206 23 3.327 206 12 5.878 206 25 4.409 206 13 4.796 206 10 1.000 206 38 3.327 206 15 3.937 206 27 3.327 206 24 5.122 206 36 1.000 206 17 4.409 207 20 2.468 207 62 4.796 207 40 3.327 207 34 3.327 207 37 5.405 207 3 4.796 207 5 3.327 207 7 3.327 207 51 3.327 207 43 4.409 207 14 2.468 207 26 5.122 207 44 1.000 207 39 4.796 207 27 4.409 207 16 2.468 207 29 2.468 208 26 3.937 208 30 5.405 208 63 5.405 208 61 5.405 208 33 6.591 208 28 5.122 208 34 4.409 208 22 5.655 208 17 5.122 208 35 5.405 208 62 5.655 208 37 1.000 208 3 3.327 208 7 4.409 208 8 5.405 208 54 3.327 208 67 5.405 208 14 4.409 208 29 5.122 208 60 4.796 208 18 4.796 208 46 5.405 208 43 5.655 208 27 6.434 208 41 5.655 208 39 5.655 208 64 5.405 208 65 5.405 209 61 4.796 209 1 2.468 209 31 4.796 209 32 4.409 209 62 3.937 209 30 5.122 209 34 3.327 209 35 4.796 209 33 1.000 209 37 4.796 209 3 1.000 209 49 4.796 209 8 4.796 209 60 4.796 209 40 6.591 209 52 4.796 209 41 2.468 209 28 4.409 209 22 4.409 209 39 4.796 209 64 4.796 209 65 4.796 209 47 4.796 210 63 3.327 210 61 3.327 210 1 4.796 210 31 1.000 210 50 1.000 210 55 3.937 210 56 3.937 210 37 4.409 210 6 4.409 210 54 1.000 210 67 3.937 210 57 1.000 210 64 3.327 210 66 1.000 210 47 1.000 210 38 1.000 210 39 4.409 210 52 4.796 210 53 4.409 210 41 1.000 210 68 3.327 210 42 4.409 210 29 3.937 210 59 1.000 211 1 1.000 211 33 6.873 211 62 5.122 211 21 1.000 211 7 1.000 211 22 5.405 211 35 1.000 211 37 2.468 211 8 1.000 211 11 1.000 211 12 6.080 211 14 3.937 211 26 3.327 211 38 3.327 211 27 1.000 211 16 3.327 211 24 4.796 211 29 3.937 211 18 1.000 211 70 3.937 212 1 8.059 212 36 8.059 212 49 4.796 212 7 6.264 212 29 4.409 212 11 2.468 212 25 6.591 212 13 6.264 212 18 9.565 212 52 2.468 212 28 6.434 212 24 6.873 212 42 8.133 212 10 2.468 212 60 6.080 213 31 3.937 213 33 6.591 213 19 2.468 213 20 1.000 213 34 1.000 213 35 4.409 213 62 1.000 213 17 3.937 213 23 1.000 213 11 1.000 213 12 3.937 213 13 3.937 213 10 1.000 213 39 2.468 213 41 4.409 213 24 5.405 213 47 3.327 213 27 1.000 214 33 1.000 214 62 5.405 214 35 3.937 214 37 3.937 214 54 5.405 214 51 5.122 214 14 6.080 214 46 4.409 214 40 3.937 214 28 1.000 215 30 3.937 215 63 3.937 215 61 4.796 215 62 4.796 215 17 4.409 215 37 5.655 215 3 2.468 215 8 1.000 215 43 3.937 215 27 1.000 215 58 2.468 215 64 5.122 215 65 3.937 215 18 2.468 216 30 5.405 216 63 5.122 216 61 5.122 216 31 5.405 216 19 2.468 216 34 1.000 216 55 5.122 216 17 4.409 216 56 5.122 216 37 5.655 216 40 5.405 216 44 1.000 216 60 3.937 216 46 5.122 216 43 5.405 216 45 5.122 216 16 2.468 216 39 5.122 216 68 5.122 216 64 5.405 216 65 5.405 216 47 5.122 216 59 5.122 217 33 2.468 217 27 3.937 217 19 5.122 217 62 1.000 217 35 4.796 217 5 4.409 217 23 6.080 217 10 1.000 217 12 5.878 217 25 2.468 217 13 3.327 217 26 5.122 217 15 8.133 217 24 3.937 218 31 5.655 218 32 5.405 218 50 6.434 218 2 1.000 218 22 1.000 218 5 8.133 218 7 5.405 218 8 5.655 218 12 6.264 218 38 1.000 218 15 5.878 218 18 5.122 219 30 5.405 219 63 5.878 219 61 5.655 219 31 2.468 219 50 5.655 219 35 2.468 219 37 10.000 219 3 2.468 219 49 1.000 219 69 6.080 219 9 2.468 219 43 5.655 219 14 3.937 219 26 6.434 219 46 6.080 219 39 6.873 219 40 7.450 219 64 5.122 219 29 6.737 219 65 5.655 219 47 5.122 219 70 5.878 220 40 6.080 220 18 2.468 220 30 2.468 220 63 2.468 220 61 2.468 220 53 2.468 220 17 3.327 220 2 2.468 220 22 2.468 220 37 4.409 220 1 4.409 220 24 4.409 220 49 3.937 220 8 2.468 220 10 1.000 220 12 5.122 220 14 4.409 220 65 2.468 220 52 1.000 220 28 4.409 220 64 2.468 220 42 1.000 220 29 4.409 220 36 3.937 220 27 6.873 221 1 5.122 221 53 4.409 221 33 1.000 221 20 4.409 221 41 5.122 221 2 1.000 221 22 1.000 221 8 4.409 221 6 5.655 221 7 3.327 221 18 1.000 221 11 4.796 221 13 5.122 221 60 5.878 221 38 1.000 221 39 4.796 221 52 5.878 221 28 5.405 221 42 5.878 221 47 5.405 221 36 5.122 222 52 5.122 222 54 2.468 222 1 4.409 222 32 1.000 222 53 1.000 222 20 1.000 222 8 1.000 222 2 4.409 222 22 4.409 222 35 3.327 222 37 8.275 222 6 4.409 222 49 4.796 222 7 5.405 222 12 3.327 222 26 5.878 222 44 2.468 222 38 7.346 222 18 6.591 222 11 1.000 222 39 5.122 222 42 3.937 222 29 1.000 223 18 6.434 223 30 5.122 223 63 5.122 223 61 5.122 223 1 4.409 223 32 5.405 223 2 5.655 223 22 5.655 223 17 4.796 223 37 5.405 223 3 5.405 223 49 3.937 223 43 5.122 223 26 5.122 223 29 5.405 223 60 5.122 223 38 2.468 223 52 5.405 223 53 5.405 223 46 4.796 223 64 5.655 223 42 5.405 223 65 5.405 223 36 5.405 224 32 3.327 224 33 6.080 224 2 4.409 224 22 2.468 224 54 2.468 224 4 1.000 224 49 3.327 224 8 3.937 224 12 5.122 224 10 1.000 224 38 3.327 224 39 1.000 224 36 3.327 224 52 5.122 224 42 2.468 224 18 3.937 224 17 1.000 225 25 2.468 225 21 2.468 225 62 1.000 225 4 5.878 225 7 5.655 225 51 3.937 225 12 6.080 225 14 2.468 225 9 5.122 225 2 4.409 225 27 6.737 225 28 6.737 225 24 7.346 225 29 6.434 225 10 4.409 225 18 5.405 226 1 2.468 226 53 4.796 226 50 4.796 226 20 4.409 226 23 4.409 226 62 4.409 226 21 4.796 226 26 4.409 226 35 4.409 226 58 4.409 226 37 6.434 226 49 4.409 226 51 4.409 226 11 4.409 226 25 4.409 226 13 4.409 226 60 4.409 226 38 4.409 226 39 4.409 226 40 5.655 226 52 4.796 226 16 5.122 226 42 4.409 226 29 4.796 226 65 4.409 227 1 3.327 227 32 5.122 227 50 5.122 227 33 1.000 227 20 2.468 227 2 4.796 227 22 5.122 227 35 2.468 227 5 4.409 227 11 2.468 227 12 3.937 227 25 3.327 227 26 5.655 227 38 1.000 227 29 4.409 227 15 1.000 227 24 3.937 227 42 1.000 227 18 2.468 228 1 4.796 228 31 6.264 228 32 8.532 228 50 5.878 228 34 2.468 228 2 7.450 228 22 7.346 228 35 4.409 228 36 3.937 228 37 6.434 228 4 1.000 228 5 3.327 228 7 5.878 228 8 1.000 228 9 4.409 228 12 6.264 228 38 3.937 228 27 3.327 228 52 6.434 228 53 6.264 228 42 6.264 228 29 6.434 228 65 3.937 228 18 9.939 228 17 3.327 229 25 7.002 229 1 6.873 229 32 8.275 229 50 4.409 229 2 7.002 229 22 7.902 229 17 5.655 229 65 3.937 229 5 6.434 229 49 6.873 229 7 6.434 229 8 6.873 229 23 1.000 229 69 5.405 229 9 3.937 229 10 1.000 229 12 7.123 229 66 7.002 229 14 7.732 229 26 5.405 229 38 4.409 229 18 7.982 229 6 2.468 229 52 5.878 229 53 7.642 229 42 6.873 229 36 6.873 230 32 5.655 230 20 4.409 230 62 2.468 230 34 5.122 230 2 5.878 230 22 6.434 230 8 4.409 230 11 4.409 230 12 5.122 230 13 4.409 230 10 1.000 230 28 5.405 230 24 4.796 230 18 7.548 231 40 5.122 231 35 1.000 231 26 1.000 231 1 2.468 231 31 1.000 231 32 1.000 231 33 6.080 231 19 1.000 231 2 1.000 231 17 4.409 231 37 1.000 231 51 2.468 231 4 1.000 231 3 1.000 231 5 1.000 231 49 1.000 231 7 2.468 231 18 1.000 231 23 1.000 231 22 1.000 231 9 1.000 231 10 1.000 231 12 4.409 231 25 1.000 231 14 1.000 231 38 1.000 231 8 1.000 231 44 1.000 231 15 2.468 231 36 2.468 231 27 5.878 231 52 2.468 231 53 2.468 231 41 2.468 231 28 1.000 231 45 1.000 231 16 1.000 231 24 3.937 231 39 2.468 231 42 2.468 231 43 1.000 231 29 1.000 231 60 2.468 232 32 4.409 232 33 6.264 232 20 3.327 232 21 3.327 232 7 1.000 232 26 7.237 232 51 3.937 232 23 4.409 232 9 3.937 232 11 2.468 232 34 1.000 232 27 3.937 232 16 3.937 232 22 2.468 232 24 3.327 232 42 3.327 232 18 1.000 232 70 3.937 233 40 1.000 233 30 5.122 233 63 5.122 233 4 5.405 233 31 4.796 233 32 1.000 233 61 4.796 233 34 1.000 233 35 5.122 233 3 1.000 233 17 4.409 233 9 2.468 233 25 4.409 233 26 5.405 233 44 1.000 233 46 5.122 233 43 5.122 233 27 5.405 233 39 5.122 233 24 5.878 233 64 5.655 233 29 5.405 233 65 5.122 234 61 1.000 234 33 6.080 234 19 1.000 234 30 1.000 234 63 1.000 234 34 2.468 234 17 3.937 234 35 1.000 234 37 1.000 234 51 1.000 234 26 1.000 234 9 1.000 234 25 1.000 234 65 1.000 234 29 1.000 234 46 1.000 234 40 1.000 234 41 1.000 234 28 1.000 234 45 1.000 234 16 1.000 234 24 4.409 234 39 1.000 234 64 1.000 234 43 1.000 234 60 1.000 234 27 2.468 235 1 1.000 235 33 3.327 235 46 1.000 235 22 5.122 235 17 3.937 235 35 2.468 235 55 1.000 235 56 1.000 235 5 2.468 235 49 3.937 235 7 1.000 235 8 2.468 235 10 1.000 235 12 5.122 235 26 1.000 235 44 2.468 235 38 1.000 235 15 2.468 235 39 1.000 235 36 3.327 235 52 3.327 235 53 2.468 235 41 1.000 235 45 1.000 235 16 1.000 235 68 1.000 235 42 4.796 235 18 1.000 236 30 1.000 236 63 1.000 236 61 1.000 236 31 1.000 236 34 1.000 236 37 1.000 236 3 1.000 236 8 1.000 236 35 1.000 236 6 1.000 236 69 1.000 236 14 5.122 236 29 1.000 236 45 1.000 236 62 4.796 236 21 1.000 236 51 1.000 236 43 1.000 236 41 1.000 236 64 1.000 236 47 1.000 236 56 1.000 237 40 6.737 237 30 3.937 237 63 4.409 237 61 3.937 237 1 4.796 237 59 3.327 237 49 2.468 237 34 4.409 237 62 2.468 237 55 2.468 237 56 3.327 237 37 4.796 237 42 3.937 237 26 5.122 237 44 1.000 237 38 1.000 237 36 4.409 237 53 4.409 237 68 3.937 237 64 3.937 237 65 3.937 238 35 2.468 238 32 5.878 238 33 1.000 238 7 5.405 238 34 5.122 238 22 6.591 238 37 6.080 238 49 1.000 238 5 5.405 238 8 5.122 238 51 1.000 238 12 6.080 238 25 1.000 238 13 1.000 238 39 5.405 238 24 1.000 239 40 6.434 239 30 4.796 239 63 4.796 239 61 4.796 239 1 3.937 239 33 6.737 239 21 1.000 239 34 1.000 239 35 3.327 239 58 3.327 239 44 1.000 239 6 5.122 239 49 5.405 239 54 4.409 239 23 2.468 239 69 2.468 239 57 3.327 239 48 3.937 239 43 4.409 239 42 4.409 239 66 3.937 239 13 1.000 239 26 4.796 239 65 4.796 239 38 1.000 239 36 5.405 239 53 4.796 239 45 1.000 239 16 4.796 239 64 4.796 239 70 5.122 240 1 3.327 240 31 5.405 240 32 1.000 240 27 5.122 240 21 1.000 240 7 1.000 240 34 1.000 240 2 1.000 240 22 1.000 240 26 4.409 240 17 5.122 240 35 5.122 240 37 1.000 240 4 1.000 240 3 1.000 240 5 1.000 240 23 2.468 240 18 1.000 240 8 1.000 240 54 2.468 240 67 4.409 240 69 3.327 240 48 2.468 240 9 1.000 240 43 5.122 240 12 5.405 240 66 4.409 240 38 1.000 240 39 5.405 240 40 5.878 240 52 1.000 240 45 1.000 240 58 3.937 240 16 2.468 240 42 5.405 240 33 6.591 240 29 5.405 240 60 5.405 240 47 4.796 240 36 5.122 241 33 6.591 241 1 4.796 241 20 4.409 241 7 4.796 241 17 4.796 241 4 4.796 241 5 5.122 241 18 4.409 241 8 4.796 241 12 3.327 241 25 4.796 241 13 4.796 241 14 3.327 241 15 5.122 241 28 4.796 241 24 5.122 242 30 3.327 242 63 3.327 242 61 3.327 242 1 5.122 242 33 1.000 242 34 2.468 242 6 4.409 242 17 5.122 242 37 5.122 242 49 2.468 242 8 2.468 242 43 4.796 242 26 2.468 242 29 1.000 242 44 2.468 242 46 4.796 242 40 6.434 242 53 3.327 242 60 2.468 242 41 2.468 242 45 4.796 242 39 4.409 242 64 3.327 242 65 3.327 242 47 4.796 243 1 5.122 243 33 7.548 243 34 5.122 243 22 5.655 243 4 5.878 243 26 3.327 243 15 5.878 243 36 5.878 243 29 5.878 243 27 6.591 243 19 5.405 243 35 5.878 243 6 6.434 243 14 4.796 243 52 1.000 243 53 3.327 243 16 5.405 243 21 3.937 243 7 6.434 243 43 6.080 243 12 7.002 243 28 5.405 243 3 5.122 243 24 7.123 243 9 6.080 243 42 6.080 243 25 6.264 243 13 5.122 243 38 5.405 244 35 3.327 244 32 6.264 244 50 2.468 244 33 1.000 244 20 1.000 244 21 5.655 244 7 4.796 244 2 5.878 244 37 3.937 244 8 6.737 244 51 3.937 244 23 5.122 244 11 4.796 244 12 5.878 244 26 6.264 244 36 5.405 244 27 3.937 244 16 4.796 244 22 6.080 244 24 5.878 244 18 6.873 245 5 5.122 245 1 3.327 245 38 1.000 245 19 1.000 245 2 5.122 245 22 5.122 245 36 4.409 245 4 5.405 245 7 4.409 245 27 5.122 245 52 5.122 245 53 1.000 245 15 2.468 245 42 5.405 245 60 5.122 245 12 5.405 246 66 2.468 246 52 5.405 246 1 3.937 246 33 1.000 246 62 1.000 246 21 4.409 246 44 1.000 246 54 1.000 246 50 1.000 246 57 2.468 246 48 3.327 246 38 1.000 246 36 4.796 246 53 4.796 246 58 2.468 246 42 5.405 247 30 2.468 247 63 2.468 247 61 2.468 247 1 2.468 247 19 1.000 247 2 1.000 247 22 1.000 247 26 4.409 247 4 2.468 247 15 1.000 247 36 3.327 247 10 1.000 247 70 3.327 247 32 1.000 247 49 3.327 247 35 3.937 247 5 2.468 247 6 3.327 247 67 3.327 247 69 4.409 247 66 3.937 247 34 4.409 247 14 2.468 247 18 5.655 247 52 3.327 247 53 2.468 247 42 3.327 247 60 3.327 247 23 1.000 247 21 1.000 247 7 2.468 247 29 2.468 247 12 1.000 247 27 6.080 247 28 1.000 247 3 1.000 247 24 4.796 247 64 2.468 247 65 1.000 247 47 1.000 247 17 4.409 247 8 3.327 247 13 2.468 247 38 1.000 248 32 5.405 248 20 1.000 248 62 1.000 248 21 1.000 248 34 1.000 248 2 1.000 248 22 1.000 248 26 5.655 248 17 5.122 248 47 1.000 248 56 1.000 248 4 1.000 248 3 1.000 248 6 5.405 248 8 1.000 248 51 3.327 248 23 1.000 248 69 1.000 248 57 1.000 248 9 2.468 248 11 1.000 248 25 1.000 248 14 4.409 248 38 1.000 248 18 1.000 248 39 5.122 248 53 1.000 248 15 1.000 248 42 1.000 249 31 5.655 249 32 1.000 249 56 1.000 249 55 1.000 249 22 6.591 249 17 5.655 249 35 5.405 249 37 5.878 249 4 7.002 249 30 4.409 249 34 1.000 249 29 1.000 249 60 3.327 249 46 5.878 249 43 6.591 249 40 6.264 249 28 6.080 249 16 2.468 249 64 4.409 249 42 5.405 249 10 1.000 249 65 4.409 249 27 7.902 249 59 1.000 250 35 3.327 250 30 4.409 250 63 4.409 250 61 4.409 250 33 1.000 250 44 1.000 250 28 4.796 250 34 2.468 250 41 1.000 250 17 4.409 250 37 4.409 250 49 3.937 250 23 1.000 250 66 5.122 250 36 2.468 250 40 5.655 250 53 3.327 250 64 4.409 250 42 4.409 250 29 4.796 250 65 4.409 250 47 5.405 251 35 2.468 251 30 4.409 251 63 4.409 251 61 4.409 251 17 3.937 251 34 1.000 251 2 1.000 251 22 2.468 251 21 1.000 251 4 1.000 251 24 5.122 251 7 4.409 251 8 1.000 251 12 5.878 251 25 1.000 251 18 1.000 251 46 4.796 251 28 1.000 251 16 3.327 251 39 4.409 251 64 4.409 251 29 1.000 251 65 4.409 252 25 3.937 252 30 4.796 252 63 5.405 252 61 5.122 252 33 1.000 252 22 1.000 252 62 3.937 252 34 2.468 252 17 4.409 252 8 1.000 252 37 3.937 252 18 5.122 252 4 4.409 252 3 4.409 252 5 3.327 252 6 2.468 252 7 2.468 252 43 5.405 252 26 4.796 252 46 5.405 252 39 5.122 252 16 3.937 252 64 5.122 252 29 4.409 252 12 3.937 253 18 1.000 253 1 2.468 253 31 4.796 253 32 2.468 253 33 1.000 253 62 1.000 253 17 2.468 253 37 1.000 253 7 1.000 253 43 3.937 253 26 5.122 253 44 1.000 253 38 1.000 253 39 3.937 253 53 3.327 253 22 3.327 253 42 5.655 253 29 2.468 253 60 3.937 253 12 2.468 254 61 3.327 254 32 4.796 254 33 3.327 254 19 3.937 254 2 1.000 254 22 2.468 254 17 4.796 254 5 1.000 254 7 5.122 254 8 4.796 254 12 4.796 254 25 1.000 254 29 4.796 254 44 1.000 254 28 4.796 254 10 1.000 254 18 1.000 254 36 4.796 254 27 1.000 255 25 2.468 255 1 5.122 255 2 4.409 255 35 4.796 255 47 5.405 255 37 5.655 255 32 5.405 255 3 1.000 255 7 4.409 255 18 3.327 255 8 3.937 255 43 5.405 255 12 2.468 255 52 1.000 255 60 1.000 255 15 4.796 255 22 3.327 255 42 5.405 255 36 1.000 256 40 2.468 256 17 1.000 256 11 1.000 256 12 1.000 256 26 3.937 256 29 1.000 256 27 1.000 256 28 4.409 256 16 1.000 256 24 4.409 256 10 1.000 256 60 1.000 257 35 3.327 257 17 3.937 257 20 1.000 257 62 1.000 257 34 1.000 257 51 3.327 257 7 2.468 257 44 1.000 257 43 3.327 257 12 4.409 257 14 2.468 257 26 4.409 257 46 4.409 257 39 1.000 257 27 3.327 257 40 3.937 257 41 2.468 257 22 4.409 257 29 3.327 257 18 3.327 258 50 1.000 258 54 2.468 258 21 1.000 258 26 4.796 258 37 5.655 258 4 5.122 258 31 2.468 258 9 1.000 258 11 4.409 258 13 1.000 258 14 6.080 258 46 4.796 258 15 3.327 258 27 5.122 258 16 5.655 258 24 5.122 258 29 5.122 258 60 5.405 259 32 5.405 259 2 5.878 259 22 5.655 259 8 4.796 259 5 5.122 259 7 5.122 259 11 3.937 259 12 5.878 259 38 2.468 259 15 4.796 259 53 3.937 259 36 3.327 259 42 5.405 259 18 6.737 260 36 3.327 260 32 3.327 260 53 4.796 260 33 6.264 260 19 5.122 260 20 5.405 260 34 3.937 260 25 5.122 260 2 4.409 260 22 5.122 260 37 5.122 260 4 5.122 260 5 5.122 260 49 4.796 260 7 3.937 260 8 4.796 260 67 4.796 260 23 3.937 260 11 4.409 260 13 4.409 260 52 4.409 260 38 2.468 260 18 3.327 260 15 5.405 260 28 5.122 260 42 4.796 260 29 5.655 260 60 3.937 261 30 1.000 261 62 1.000 261 63 1.000 261 61 1.000 261 45 3.327 261 2 1.000 261 35 1.000 261 16 1.000 261 21 3.937 261 6 3.937 261 54 1.000 261 26 3.937 261 44 1.000 261 46 3.937 261 39 3.327 261 24 3.937 261 64 1.000 261 29 3.327 261 10 1.000 261 14 1.000 261 12 1.000 262 35 5.122 262 30 4.796 262 63 4.796 262 61 4.796 262 62 2.468 262 34 4.409 262 37 5.878 262 49 4.409 262 44 2.468 262 60 5.122 262 39 4.796 262 27 4.409 262 40 4.409 262 53 3.327 262 45 5.122 262 16 1.000 262 46 5.122 262 64 4.796 262 65 4.409 263 1 5.405 263 32 5.122 263 50 4.796 263 9 1.000 263 21 4.796 263 44 1.000 263 23 5.122 263 49 5.655 263 7 4.796 263 8 6.591 263 65 3.937 263 48 5.122 263 34 5.122 263 38 5.405 263 39 4.796 263 52 6.080 263 53 4.796 263 16 1.000 263 22 5.655 263 18 5.655 263 36 1.000 264 32 6.080 264 53 4.796 264 50 4.409 264 33 6.737 264 34 3.937 264 2 6.080 264 22 6.264 264 26 6.434 264 65 3.937 264 23 3.327 264 49 5.655 264 8 3.937 264 9 3.937 264 12 5.655 264 25 3.937 264 44 1.000 264 38 2.468 264 18 7.819 264 52 5.122 264 42 5.878 264 36 6.080 265 32 6.873 265 33 1.000 265 20 1.000 265 25 2.468 265 2 5.405 265 22 5.405 265 8 6.080 265 5 5.405 265 7 4.409 265 23 2.468 265 10 2.468 265 11 1.000 265 12 5.405 265 13 3.327 265 14 3.327 265 26 1.000 265 38 3.327 265 15 4.409 265 28 3.937 265 42 2.468 265 18 5.878 266 30 5.405 266 63 5.405 266 61 5.405 266 33 2.468 266 62 1.000 266 40 5.122 266 34 1.000 266 35 4.409 266 37 5.122 266 21 1.000 266 4 1.000 266 3 1.000 266 69 1.000 266 26 3.327 266 44 1.000 266 60 1.000 266 46 5.122 266 39 5.405 266 27 3.937 266 64 5.655 266 43 4.409 266 29 4.796 266 65 5.405 266 47 4.796 266 70 1.000 267 33 1.000 267 35 5.405 267 37 7.237 267 51 6.434 267 11 3.937 267 43 5.655 267 46 5.655 267 27 7.002 267 16 1.000 267 24 5.878 267 17 3.937 268 69 1.000 268 32 3.327 268 21 3.327 268 45 1.000 268 2 1.000 268 22 1.000 268 35 4.409 268 47 3.937 268 8 1.000 268 37 8.275 268 4 2.468 268 3 2.468 268 49 4.409 268 7 2.468 268 54 1.000 268 51 4.409 268 9 2.468 268 42 3.327 268 12 5.122 268 25 4.409 268 13 3.937 268 26 4.409 268 38 2.468 268 18 3.327 268 5 1.000 268 15 1.000 268 52 4.409 268 53 4.409 268 28 1.000 268 16 2.468 268 24 5.405 268 64 4.796 268 29 4.409 268 65 4.409 269 66 5.122 269 63 4.796 269 61 3.937 269 1 4.796 269 44 1.000 269 26 5.655 269 17 4.409 269 56 5.405 269 37 5.878 269 67 5.122 269 69 5.122 269 60 3.327 269 43 4.796 269 52 5.122 269 53 4.409 269 45 1.000 269 39 2.468 269 68 5.405 269 64 3.937 269 29 5.122 269 65 5.405 269 59 5.122 270 30 1.000 270 63 1.000 270 61 1.000 270 20 1.000 270 22 1.000 270 37 1.000 270 3 1.000 270 8 1.000 270 26 1.000 270 29 1.000 270 32 1.000 270 50 1.000 270 35 1.000 270 6 1.000 270 49 1.000 270 14 1.000 270 52 1.000 270 53 1.000 270 45 1.000 270 16 1.000 270 62 1.000 270 7 1.000 270 51 1.000 270 43 1.000 270 46 1.000 270 39 1.000 270 40 1.000 270 41 1.000 270 64 1.000 270 65 1.000 270 11 1.000 270 25 1.000 270 38 1.000 271 1 2.468 271 31 5.405 271 9 1.000 271 40 7.450 271 34 1.000 271 2 1.000 271 22 1.000 271 17 4.796 271 35 5.878 271 37 5.405 271 5 1.000 271 44 1.000 271 7 2.468 271 18 1.000 271 32 1.000 271 69 4.796 271 12 5.878 271 4 1.000 271 38 1.000 271 36 3.937 271 52 1.000 271 39 5.122 271 42 5.122 271 29 4.796 271 60 5.655 271 70 4.796 272 63 6.080 272 61 5.655 272 1 1.000 272 31 6.434 272 32 5.655 272 19 1.000 272 23 3.327 272 28 5.405 272 30 5.405 272 34 1.000 272 2 1.000 272 17 4.796 272 37 1.000 272 4 4.796 272 25 6.080 272 38 1.000 272 65 5.655 272 39 5.405 272 40 6.434 272 52 1.000 272 41 6.080 272 22 2.468 272 64 5.655 272 42 6.264 272 29 5.878 272 60 5.878 272 47 5.405 272 36 4.796 273 5 1.000 273 31 4.796 273 33 6.591 273 19 1.000 273 20 3.937 273 21 4.409 273 22 2.468 273 26 1.000 273 17 3.937 273 35 1.000 273 37 3.327 273 4 1.000 273 3 1.000 273 18 3.937 273 8 2.468 273 51 2.468 273 23 1.000 273 9 1.000 273 25 5.122 273 13 1.000 273 34 1.000 273 14 1.000 273 60 1.000 273 38 2.468 273 15 1.000 273 52 1.000 273 53 1.000 273 24 4.796 273 29 3.327 273 12 3.937 274 32 5.405 274 33 2.468 274 54 2.468 274 19 1.000 274 21 1.000 274 7 1.000 274 2 5.405 274 22 3.327 274 35 1.000 274 37 2.468 274 4 1.000 274 3 1.000 274 5 1.000 274 8 5.655 274 23 2.468 274 9 1.000 274 11 1.000 274 12 5.122 274 25 5.405 274 13 9.370 274 29 5.405 274 65 3.937 274 38 1.000 274 15 2.468 274 27 5.405 274 53 4.409 274 41 5.122 274 28 3.937 274 45 1.000 274 16 4.409 274 24 5.122 274 42 5.405 274 60 5.405 274 47 5.122 274 18 5.878 274 36 4.796 275 31 3.937 275 32 1.000 275 53 3.327 275 46 1.000 275 34 3.327 275 41 3.327 275 22 1.000 275 17 4.409 275 35 5.122 275 6 5.122 275 49 3.327 275 8 3.327 275 26 1.000 275 29 4.796 275 52 2.468 275 39 4.796 275 40 5.655 275 28 4.796 275 16 3.937 275 42 3.327 275 43 1.000 275 47 3.327 276 61 1.000 276 31 3.937 276 32 4.796 276 50 5.878 276 30 1.000 276 7 1.000 276 34 5.405 276 2 4.409 276 65 1.000 276 22 5.405 276 37 5.122 276 63 1.000 276 5 4.409 276 1 1.000 276 49 4.796 276 8 4.796 276 12 5.405 276 29 1.000 276 38 1.000 276 39 1.000 276 36 4.409 276 52 3.937 276 45 1.000 276 16 1.000 276 64 1.000 276 42 4.409 276 18 4.796 276 53 1.000 277 15 4.796 277 19 2.468 277 20 1.000 277 4 3.327 277 3 3.327 277 11 1.000 277 25 6.080 277 13 1.000 277 14 1.000 277 10 1.000 277 28 5.405 277 16 4.409 278 32 5.655 278 19 1.000 278 20 2.468 278 2 1.000 278 22 1.000 278 4 1.000 278 5 4.796 278 49 4.409 278 8 5.122 278 24 5.405 278 12 5.655 278 25 5.122 278 13 1.000 278 14 5.655 278 26 3.327 278 38 1.000 278 60 1.000 278 15 2.468 278 27 6.080 278 52 2.468 278 42 5.122 278 18 1.000 279 66 5.122 279 1 2.468 279 34 1.000 279 22 5.122 279 37 6.737 279 49 4.409 279 25 4.796 279 38 5.122 279 36 5.122 279 52 4.796 279 53 4.796 279 45 1.000 279 42 4.796 279 29 5.122 280 31 4.409 280 19 3.327 280 35 3.937 280 37 5.122 280 49 5.122 280 23 4.409 280 26 4.796 280 44 2.468 280 47 1.000 280 18 3.937 280 39 3.937 280 40 3.937 280 45 3.937 280 17 3.937 281 32 7.450 281 33 5.122 281 19 4.796 281 15 3.327 281 2 2.468 281 22 5.122 281 35 5.405 281 4 7.982 281 5 6.591 281 8 7.450 281 23 4.796 281 12 5.405 281 25 7.902 281 13 7.346 281 14 7.548 281 38 2.468 281 18 2.468 281 28 5.655 281 24 7.982 281 42 7.237 282 1 3.937 282 32 5.878 282 7 5.655 282 2 5.405 282 8 5.655 282 12 5.878 282 26 1.000 282 39 1.000 282 42 4.409 282 18 5.405 283 5 3.327 283 33 6.080 283 2 5.122 283 22 5.122 283 7 2.468 283 32 5.122 283 12 6.264 283 25 4.796 283 38 1.000 283 15 4.796 283 39 5.122 283 28 5.122 283 42 5.122 283 18 5.405 284 61 3.327 284 1 1.000 284 50 6.434 284 20 5.122 284 62 5.122 284 17 4.796 284 35 4.409 284 37 5.655 284 5 4.796 284 66 5.655 284 26 5.122 284 2 4.796 284 15 4.796 284 27 5.122 284 40 3.937 284 41 4.409 284 28 4.409 284 45 4.796 284 29 4.796 284 70 4.796 284 59 5.122 285 52 2.468 285 41 1.000 285 35 3.937 285 37 3.327 285 18 2.468 285 49 2.468 285 36 1.000 285 44 1.000 285 38 3.327 285 39 3.937 285 53 1.000 285 42 2.468 285 29 2.468 286 35 1.000 286 10 1.000 286 33 2.468 286 20 7.002 286 34 5.405 286 5 1.000 286 11 6.080 286 25 5.878 286 14 8.591 286 26 2.468 286 29 3.937 286 27 6.873 286 15 1.000 286 24 7.819 287 33 1.000 287 6 1.000 287 28 1.000 287 62 2.468 287 34 1.000 287 17 4.796 287 35 4.796 287 37 4.409 287 51 5.405 287 9 1.000 287 14 3.937 287 26 6.434 287 27 2.468 287 42 5.405 287 60 4.409 288 25 3.327 288 32 4.409 288 33 6.264 288 21 4.796 288 2 3.937 288 22 3.327 288 17 4.796 288 35 3.327 288 5 3.937 288 8 4.409 288 11 3.937 288 12 4.796 288 14 6.434 288 26 1.000 288 4 3.937 288 15 3.327 288 39 1.000 288 27 6.080 288 24 5.122 288 18 3.327 289 32 4.409 289 17 2.468 289 26 5.655 289 15 1.000 290 1 5.122 290 50 1.000 290 33 6.264 290 19 1.000 290 20 1.000 290 34 1.000 290 2 2.468 290 22 1.000 290 35 3.937 290 5 5.122 290 49 4.796 290 7 4.409 290 23 4.409 290 9 1.000 290 11 2.468 290 37 3.937 290 12 3.937 290 25 3.937 290 26 6.591 290 15 3.937 290 39 4.409 290 24 3.327 290 42 3.937 290 29 4.409 290 10 1.000 290 18 4.409 290 36 3.937 290 17 3.937 291 32 6.080 291 26 2.468 291 19 4.796 291 20 5.655 291 34 4.796 291 2 6.080 291 22 6.264 291 17 4.409 291 36 3.937 291 5 5.122 291 7 6.080 291 8 6.264 291 51 6.591 291 11 5.878 291 13 5.878 291 12 6.264 291 14 2.468 291 38 6.264 291 18 8.815 291 27 7.123 291 53 4.409 291 24 6.080 292 31 1.000 292 34 2.468 292 2 2.468 292 22 2.468 292 8 1.000 292 37 1.000 292 32 2.468 292 7 2.468 292 12 5.655 292 60 3.937 292 38 1.000 292 46 3.937 292 43 3.937 292 52 1.000 292 53 2.468 292 42 4.409 292 18 2.468 292 36 3.937 293 66 1.000 293 30 1.000 293 63 1.000 293 61 1.000 293 21 1.000 293 34 1.000 293 41 1.000 293 55 1.000 293 56 1.000 293 54 1.000 293 70 1.000 293 6 1.000 293 29 1.000 293 67 1.000 293 69 1.000 293 57 2.468 293 48 2.468 293 9 1.000 293 68 2.468 293 39 1.000 293 40 1.000 293 45 1.000 293 58 2.468 293 16 1.000 293 64 1.000 293 60 1.000 293 47 1.000 293 59 1.000 294 1 3.327 294 31 4.796 294 34 2.468 294 26 2.468 294 17 4.409 294 35 2.468 294 62 3.937 294 37 6.080 294 3 1.000 294 51 4.409 294 43 5.122 294 25 3.937 294 13 3.327 294 39 4.409 294 27 6.434 294 40 5.405 294 41 3.937 294 28 4.796 294 29 4.409 294 60 3.327 294 47 3.327 295 18 1.000 295 31 1.000 295 6 1.000 295 62 1.000 295 2 1.000 295 17 3.937 295 37 1.000 295 32 1.000 295 3 1.000 295 49 1.000 295 7 1.000 295 23 1.000 295 69 1.000 295 9 1.000 295 11 1.000 295 26 4.409 295 38 4.796 295 36 1.000 295 52 1.000 295 53 1.000 295 42 1.000 295 43 1.000 296 1 2.468 296 32 1.000 296 33 6.591 296 62 3.327 296 21 1.000 296 34 1.000 296 2 1.000 296 22 1.000 296 35 3.937 296 37 5.122 296 51 5.655 296 5 2.468 296 7 1.000 296 18 1.000 296 23 2.468 296 9 1.000 296 12 5.122 296 25 5.122 296 13 1.000 296 26 3.937 296 38 1.000 296 60 3.937 296 15 1.000 296 52 1.000 296 28 4.796 296 16 3.327 296 24 5.122 296 42 5.122 296 29 5.405 296 36 5.122 297 7 1.000 297 32 2.468 297 38 2.468 297 1 2.468 297 33 5.122 297 2 2.468 297 22 2.468 297 8 8.059 297 37 6.873 297 4 2.468 297 49 7.002 297 36 6.873 297 52 6.873 297 53 6.873 297 24 6.737 297 42 7.002 297 29 6.737 297 18 1.000 298 30 4.796 298 63 4.796 298 61 4.409 298 20 1.000 298 34 3.327 298 26 2.468 298 17 3.937 298 35 3.327 298 55 4.796 298 56 4.796 298 6 2.468 298 49 3.327 298 51 2.468 298 9 1.000 298 14 3.327 298 44 1.000 298 47 2.468 298 46 3.327 298 27 3.937 298 40 2.468 298 41 2.468 298 45 1.000 298 39 3.327 298 3 1.000 298 64 4.796 298 43 3.937 298 65 4.796 299 25 1.000 299 30 5.122 299 63 5.122 299 61 5.122 299 33 6.264 299 20 1.000 299 4 5.405 299 49 1.000 299 8 1.000 299 12 6.080 299 14 1.000 299 24 7.237 299 64 5.122 299 29 5.122 299 10 1.000 299 65 5.122 299 27 5.655 300 66 3.937 300 63 4.796 300 61 4.796 300 33 6.737 300 20 3.327 300 30 4.796 300 34 1.000 300 26 1.000 300 17 4.796 300 35 4.796 300 37 5.405 300 31 4.409 300 7 1.000 300 62 1.000 300 8 1.000 300 54 2.468 300 11 3.327 300 14 1.000 300 29 5.405 300 65 4.796 300 46 5.122 300 27 5.405 300 40 6.264 300 41 4.796 300 28 3.327 300 22 1.000 300 64 4.796 300 60 5.122 300 70 5.405 30 101 102 103 104 105 106 107 108 109 110 111 112 113 114 115 116 117 118 119 120 121 122 123 124 125 126 127 128 129 130 ================================================ FILE: programming_assignments/mini_reco/testcase/input/input006.txt ================================================ 45 12 300 70 6440 1 1 5.655 1 2 5.122 1 3 2.468 1 4 3.937 1 5 1.000 1 6 6.873 1 7 5.122 1 8 5.405 1 9 2.468 1 10 2.468 1 11 5.878 1 12 6.737 1 13 5.405 1 14 5.405 1 15 3.937 1 16 5.878 1 17 1.000 2 18 3.327 2 15 2.468 2 19 1.000 2 20 5.878 2 21 1.000 2 7 5.878 2 22 2.468 2 4 6.264 2 23 4.796 2 24 7.732 2 8 6.434 2 9 1.000 2 11 5.878 2 12 6.264 2 25 5.878 2 14 5.405 2 26 5.878 2 2 1.000 2 27 6.591 2 28 5.122 2 3 1.000 2 29 5.878 2 10 1.000 3 30 4.796 3 1 1.000 3 31 4.796 3 32 1.000 3 7 1.000 3 33 6.080 3 6 4.409 3 19 1.000 3 21 2.468 3 34 1.000 3 22 1.000 3 17 2.468 3 35 4.796 3 3 1.000 3 36 3.937 3 37 4.796 3 4 1.000 3 5 2.468 3 23 1.000 3 18 1.000 3 8 2.468 3 12 5.122 3 25 4.796 3 38 1.000 3 2 1.000 3 15 1.000 3 39 5.122 3 40 4.409 3 41 1.000 3 28 3.327 3 16 1.000 3 42 5.122 3 29 4.409 3 27 5.122 4 41 2.468 4 20 1.000 4 34 3.327 4 35 1.000 4 37 3.937 4 6 2.468 4 43 1.000 4 25 3.937 4 14 1.000 4 26 3.937 4 29 3.937 4 44 1.000 4 39 2.468 4 27 3.937 4 40 3.327 4 28 3.937 4 45 2.468 4 46 3.327 4 47 3.937 4 17 4.409 5 25 1.000 5 41 1.000 5 1 1.000 5 20 2.468 5 28 1.000 5 21 5.122 5 16 4.409 5 37 5.122 5 23 1.000 5 48 1.000 5 26 1.000 5 39 3.327 5 27 2.468 5 40 1.000 5 29 1.000 6 26 3.327 6 33 1.000 6 46 4.796 6 21 1.000 6 34 1.000 6 49 4.409 6 3 4.409 6 17 3.937 6 43 3.327 6 39 4.409 6 27 3.937 6 40 4.409 6 24 4.409 6 29 1.000 6 47 4.409 7 18 1.000 7 1 3.327 7 32 4.409 7 50 6.264 7 2 1.000 7 26 3.327 7 37 5.405 7 17 4.796 7 6 3.327 7 7 5.122 7 8 3.327 7 51 3.327 7 48 4.796 7 12 4.796 7 25 3.937 7 14 6.873 7 38 1.000 7 39 5.122 7 36 5.122 7 27 5.122 7 52 5.122 7 41 3.937 7 28 4.796 7 45 4.796 7 16 2.468 7 22 1.000 7 24 4.409 7 42 5.122 7 29 5.122 7 47 4.796 8 25 5.122 8 1 4.796 8 32 4.409 8 22 4.796 8 27 4.409 8 34 4.409 8 37 5.122 8 51 4.409 8 5 4.409 8 49 4.796 8 8 4.796 8 44 1.000 8 11 4.409 8 26 4.409 8 38 2.468 8 52 4.409 8 28 4.409 8 42 4.409 8 29 5.122 8 17 3.937 9 25 2.468 9 26 3.937 9 1 2.468 9 53 5.405 9 19 1.000 9 8 5.405 9 4 5.405 9 3 5.405 9 5 5.122 9 7 4.796 9 18 1.000 9 12 5.878 9 13 6.080 9 14 2.468 9 9 5.655 9 38 1.000 9 2 3.327 9 15 1.000 9 52 5.655 9 28 3.937 9 45 5.655 9 22 1.000 9 24 6.080 9 10 1.000 10 1 1.000 10 32 5.405 10 33 1.000 10 54 1.000 10 19 4.796 10 20 1.000 10 34 3.937 10 2 5.405 10 22 5.405 10 35 5.122 10 37 5.655 10 5 4.409 10 49 3.327 10 7 4.796 10 8 5.405 10 11 4.409 10 12 5.405 10 26 4.796 10 10 3.937 10 38 1.000 10 46 4.409 10 27 1.000 10 24 5.122 10 42 5.405 10 29 3.937 10 18 2.468 11 36 1.000 11 50 2.468 11 33 5.122 11 6 3.937 11 23 1.000 11 21 3.937 11 55 1.000 11 56 1.000 11 57 2.468 11 48 2.468 11 26 3.937 11 44 3.327 11 53 4.409 11 41 3.937 11 45 1.000 11 58 2.468 11 16 2.468 11 39 4.409 11 42 3.327 11 59 1.000 12 5 3.327 12 35 4.796 12 1 3.937 12 31 5.878 12 32 5.655 12 52 1.000 12 50 4.409 12 19 4.409 12 41 2.468 12 22 2.468 12 37 6.434 12 7 3.327 12 11 1.000 12 12 1.000 12 10 3.327 12 44 2.468 12 15 1.000 12 53 3.937 12 28 4.409 12 45 4.796 12 39 5.122 12 42 5.122 12 60 2.468 12 18 3.327 12 36 5.122 13 4 3.937 13 6 3.937 13 7 3.327 13 51 4.409 13 12 1.000 13 34 1.000 13 29 4.409 13 44 1.000 13 38 1.000 13 39 3.327 13 52 4.409 13 53 2.468 13 41 3.327 13 28 3.327 13 60 4.796 13 18 6.264 14 33 6.264 14 19 1.000 14 20 3.327 14 22 4.796 14 35 4.796 14 4 5.405 14 3 2.468 14 8 5.655 14 51 5.122 14 11 4.409 14 12 4.409 14 25 1.000 14 13 4.796 14 14 6.434 14 46 6.264 14 27 8.649 14 28 3.327 14 45 1.000 14 24 6.591 15 30 5.122 15 61 6.080 15 31 5.655 15 32 2.468 15 33 6.737 15 62 4.796 15 21 1.000 15 63 5.655 15 34 1.000 15 35 4.796 15 8 1.000 15 37 3.327 15 23 5.122 15 13 4.409 15 26 4.409 15 10 2.468 15 44 3.327 15 47 5.405 15 46 5.878 15 40 5.405 15 45 2.468 15 64 5.122 15 65 5.122 15 18 3.327 16 25 4.796 16 33 3.327 16 19 2.468 16 20 5.122 16 2 1.000 16 4 4.409 16 23 4.409 16 11 3.327 16 13 4.796 16 26 3.937 16 9 4.409 16 28 3.937 16 3 2.468 16 24 5.122 16 10 1.000 17 1 2.468 17 32 6.264 17 33 6.080 17 19 1.000 17 20 6.264 17 49 3.937 17 2 4.796 17 22 5.878 17 17 5.655 17 5 6.080 17 7 6.080 17 8 6.264 17 51 6.080 17 23 3.937 17 12 6.434 17 25 5.655 17 13 6.264 17 14 6.080 17 18 7.346 17 15 6.434 17 27 6.591 17 52 6.080 17 28 6.080 17 24 6.737 17 29 3.937 17 10 1.000 18 25 7.002 18 26 6.873 18 1 5.122 18 32 7.902 18 33 4.796 18 6 1.000 18 62 1.000 18 7 7.123 18 2 8.867 18 22 6.873 18 17 1.000 18 49 1.000 18 8 7.450 18 10 1.000 18 12 7.450 18 13 7.123 18 38 2.468 18 18 8.205 18 42 4.409 19 30 4.409 19 32 5.655 19 62 1.000 19 34 3.327 19 22 4.409 19 35 3.327 19 37 3.937 19 31 1.000 19 49 3.327 19 7 3.937 19 12 4.796 19 25 3.327 19 14 3.327 19 26 4.796 19 44 1.000 19 18 3.937 19 27 3.937 19 40 2.468 19 28 1.000 19 45 2.468 19 39 3.327 20 66 3.937 20 31 3.327 20 32 3.327 20 50 1.000 20 41 1.000 20 34 3.327 20 5 3.327 20 54 4.409 20 67 3.937 20 23 4.409 20 48 4.409 20 9 3.327 20 26 3.327 20 44 1.000 20 38 4.409 20 39 2.468 20 36 3.937 20 40 6.080 20 53 3.327 20 16 4.409 20 68 3.327 20 42 3.327 20 29 1.000 20 18 1.000 21 43 1.000 21 1 4.796 21 31 5.655 21 32 8.342 21 46 1.000 21 62 6.264 21 34 3.937 21 2 5.122 21 22 7.450 21 35 5.655 21 37 8.205 21 49 3.937 21 7 5.405 21 8 7.902 21 12 6.080 21 60 5.122 21 38 3.327 21 39 3.937 21 36 5.122 21 52 4.409 21 53 4.796 21 42 3.937 21 18 8.649 22 63 3.937 22 62 1.000 22 6 7.450 22 49 5.878 22 54 1.000 22 38 1.000 22 36 5.122 22 42 6.080 22 17 3.937 23 31 1.000 23 33 5.655 23 20 3.327 23 21 4.409 23 6 3.937 23 51 4.796 23 23 3.327 23 10 1.000 23 11 4.409 23 12 1.000 23 13 1.000 23 14 4.796 23 26 6.591 23 27 7.002 23 40 7.237 23 16 1.000 23 24 3.327 23 39 3.327 24 40 6.080 24 30 5.405 24 63 5.405 24 61 5.122 24 1 3.327 24 49 6.080 24 35 3.327 24 16 4.409 24 37 1.000 24 6 2.468 24 23 3.937 24 44 1.000 24 26 5.122 24 38 3.327 24 39 5.122 24 36 6.591 24 52 6.264 24 53 4.796 24 41 5.122 24 45 3.327 24 22 1.000 24 64 5.122 24 42 5.122 25 32 2.468 25 38 1.000 25 33 6.737 25 27 5.655 25 7 2.468 25 2 1.000 25 22 2.468 25 17 4.796 25 1 2.468 25 24 5.405 25 8 1.000 25 23 3.327 25 43 1.000 25 12 5.878 25 26 3.327 25 44 1.000 25 11 1.000 25 39 1.000 25 36 4.409 25 40 6.264 25 52 1.000 25 28 5.122 25 45 2.468 25 16 2.468 25 42 5.405 25 29 5.122 25 60 5.405 25 18 1.000 26 1 1.000 26 15 2.468 26 2 1.000 26 22 2.468 26 32 2.468 26 36 3.937 26 8 1.000 26 5 1.000 26 7 1.000 26 18 1.000 26 25 4.796 26 52 1.000 26 38 1.000 26 28 3.937 26 42 5.405 26 47 1.000 27 30 7.548 27 63 7.002 27 61 7.002 27 31 5.655 27 19 1.000 27 34 2.468 27 2 1.000 27 22 2.468 27 37 4.409 27 4 2.468 27 36 3.937 27 10 2.468 27 32 2.468 27 49 2.468 27 35 6.434 27 5 1.000 27 69 5.405 27 54 2.468 27 67 5.405 27 48 2.468 27 66 5.405 27 29 5.405 27 52 1.000 27 45 2.468 27 58 3.327 27 16 3.327 27 60 6.873 27 33 6.264 27 23 3.327 27 62 1.000 27 21 1.000 27 44 1.000 27 7 1.000 27 57 2.468 27 43 5.405 27 12 5.655 27 38 1.000 27 46 5.405 27 39 5.405 27 27 5.405 27 40 5.405 27 28 6.080 27 24 5.878 27 64 7.002 27 65 7.346 27 18 1.000 27 15 2.468 27 8 1.000 27 56 5.405 27 9 2.468 27 42 5.655 27 25 6.873 27 17 4.796 28 33 2.468 28 27 1.000 28 34 1.000 28 17 5.122 28 7 4.409 28 8 5.655 28 43 4.409 28 12 3.937 28 15 1.000 28 22 3.937 28 10 1.000 28 18 7.237 29 50 4.796 29 62 1.000 29 17 2.468 29 35 3.327 29 37 3.327 29 23 3.937 29 48 5.122 29 43 2.468 29 44 1.000 29 38 2.468 29 46 3.937 29 39 5.122 29 45 3.327 29 58 3.937 30 31 4.409 30 32 1.000 30 33 7.123 30 19 2.468 30 21 1.000 30 15 2.468 30 2 1.000 30 22 1.000 30 26 2.468 30 60 5.405 30 4 1.000 30 5 5.122 30 17 4.409 30 7 2.468 30 23 1.000 30 43 5.122 30 25 5.122 30 9 1.000 30 18 1.000 30 46 8.059 30 27 7.237 30 28 4.409 30 10 1.000 30 65 3.327 30 12 4.409 31 25 5.122 31 19 3.937 31 20 5.122 31 62 5.655 31 4 5.122 31 5 5.122 31 51 5.122 31 23 5.878 31 11 5.122 31 13 5.122 31 27 5.405 31 3 4.796 31 15 5.122 31 24 5.655 32 35 4.796 32 30 5.405 32 63 5.878 32 61 5.405 32 1 2.468 32 38 1.000 32 60 3.327 32 34 1.000 32 2 1.000 32 36 4.409 32 37 5.122 32 4 2.468 32 6 1.000 32 7 2.468 32 18 1.000 32 43 5.122 32 64 5.122 32 47 5.655 32 41 4.796 32 16 1.000 32 22 2.468 32 39 5.405 32 42 5.655 32 29 4.796 32 65 5.405 33 59 4.796 33 33 4.409 33 6 4.409 33 20 5.405 33 62 1.000 33 45 2.468 33 65 4.409 33 56 4.796 33 35 4.796 33 37 5.655 33 51 4.796 33 23 5.405 33 69 5.122 33 48 3.327 33 11 4.796 33 43 4.796 33 68 4.796 33 18 5.655 33 39 5.405 33 52 1.000 33 16 3.327 33 70 4.796 34 1 2.468 34 32 1.000 34 13 1.000 34 33 3.937 34 49 2.468 34 2 1.000 34 22 1.000 34 36 2.468 34 5 2.468 34 7 4.409 34 18 3.937 34 8 4.409 34 12 5.405 34 25 3.937 34 15 1.000 34 38 3.327 34 28 3.327 34 42 3.327 35 30 4.409 35 63 3.327 35 61 3.327 35 1 4.409 35 32 5.405 35 62 4.409 35 34 3.937 35 2 4.409 35 65 3.327 35 22 5.878 35 17 4.796 35 37 4.409 35 6 4.796 35 49 5.122 35 7 4.409 35 8 3.937 35 67 4.409 35 51 2.468 35 69 4.409 35 57 3.937 35 48 3.937 35 12 5.405 35 26 1.000 35 29 5.655 35 44 2.468 35 38 2.468 35 39 1.000 35 52 5.122 35 53 5.655 35 41 4.409 35 58 3.937 35 16 1.000 35 64 3.327 35 42 5.405 35 18 4.796 35 36 4.796 36 32 1.000 36 33 7.123 36 19 1.000 36 34 1.000 36 2 1.000 36 22 1.000 36 17 4.796 36 35 5.655 36 8 1.000 36 4 1.000 36 3 1.000 36 5 1.000 36 7 1.000 36 18 1.000 36 23 1.000 36 9 1.000 36 10 1.000 36 12 6.591 36 25 5.878 36 52 1.000 36 15 2.468 36 27 6.591 36 28 5.122 36 16 4.796 36 24 6.434 36 42 5.655 36 29 6.591 37 1 2.468 37 38 1.000 37 62 2.468 37 34 1.000 37 2 1.000 37 22 1.000 37 32 2.468 37 5 1.000 37 15 2.468 37 49 2.468 37 7 2.468 37 8 1.000 37 51 2.468 37 9 1.000 37 11 1.000 37 12 4.409 37 14 2.468 37 18 1.000 37 52 4.409 37 53 3.327 37 41 2.468 37 42 4.409 37 29 4.409 37 27 5.878 38 25 1.000 38 63 1.000 38 61 1.000 38 31 1.000 38 50 1.000 38 13 1.000 38 30 1.000 38 69 1.000 38 23 1.000 38 34 1.000 38 22 1.000 38 17 3.937 38 35 1.000 38 37 1.000 38 3 1.000 38 49 1.000 38 7 1.000 38 54 1.000 38 9 1.000 38 11 2.468 38 42 1.000 38 38 1.000 38 46 3.327 38 39 2.468 38 40 6.873 38 28 1.000 38 16 3.327 38 64 1.000 38 65 1.000 38 59 1.000 38 70 2.468 39 30 4.796 39 63 4.796 39 61 4.796 39 41 2.468 39 34 4.796 39 22 3.327 39 35 3.937 39 37 4.409 39 18 4.796 39 7 3.937 39 16 1.000 39 60 1.000 39 47 3.327 39 39 3.937 39 45 1.000 39 64 4.796 39 42 2.468 39 43 4.409 39 29 5.655 39 65 4.796 40 26 4.796 40 33 6.080 40 19 1.000 40 17 4.796 40 35 2.468 40 36 1.000 40 37 6.264 40 4 1.000 40 3 2.468 40 25 3.937 40 34 1.000 40 14 1.000 40 28 3.937 40 24 5.405 40 29 5.122 40 27 2.468 41 1 5.122 41 32 4.796 41 62 5.122 41 37 5.122 41 14 6.873 41 5 2.468 41 6 1.000 41 7 1.000 41 38 1.000 41 43 5.405 41 27 4.796 41 52 3.937 41 60 3.937 41 18 1.000 41 17 3.937 42 40 5.405 42 19 1.000 42 33 1.000 42 20 1.000 42 21 1.000 42 26 4.796 42 35 3.327 42 4 2.468 42 3 1.000 42 51 1.000 42 23 2.468 42 9 1.000 42 43 1.000 42 25 1.000 42 14 1.000 42 46 3.937 42 15 4.409 42 39 4.796 42 27 1.000 42 28 1.000 42 60 1.000 43 32 5.405 43 33 2.468 43 41 1.000 43 34 1.000 43 22 5.655 43 37 5.878 43 4 5.405 43 8 3.937 43 11 1.000 43 66 4.409 43 13 3.327 43 26 5.405 43 29 5.405 43 44 1.000 43 18 7.123 43 2 1.000 43 24 2.468 43 42 5.878 43 27 3.327 44 30 4.409 44 61 5.122 44 34 1.000 44 17 4.409 44 37 5.122 44 3 5.655 44 7 2.468 44 26 3.327 44 38 1.000 44 46 4.409 44 40 4.409 44 42 3.937 44 65 4.796 44 47 1.000 44 18 3.327 44 36 1.000 44 12 4.796 45 30 1.000 45 1 5.405 45 33 6.737 45 34 5.122 45 2 3.937 45 22 5.878 45 4 4.409 45 8 2.468 45 5 3.937 45 15 2.468 45 35 4.796 45 29 3.937 45 42 3.327 45 32 1.000 45 7 3.937 45 51 4.409 45 12 4.409 45 46 5.655 45 18 5.655 45 38 2.468 45 17 3.937 46 30 4.409 46 62 4.409 46 35 4.409 46 54 1.000 46 51 4.409 46 26 4.796 46 46 4.409 46 18 4.409 46 40 6.737 46 45 4.409 46 16 4.409 46 39 4.409 47 4 3.937 47 33 1.000 47 28 1.000 47 34 2.468 47 22 1.000 47 37 5.655 47 6 2.468 47 51 3.327 47 23 1.000 47 69 3.937 47 39 1.000 47 12 1.000 47 66 4.409 47 13 2.468 47 26 4.409 47 29 1.000 47 24 3.937 47 10 2.468 47 60 2.468 48 1 5.655 48 32 3.327 48 40 3.937 48 7 3.937 48 8 3.937 48 23 3.327 48 10 2.468 48 11 1.000 48 13 1.000 48 14 1.000 48 26 6.264 48 27 8.342 48 52 2.468 48 24 7.002 48 39 7.123 49 1 1.000 49 33 6.080 49 19 1.000 49 20 3.937 49 35 4.409 49 32 4.796 49 5 5.878 49 8 4.796 49 25 5.122 49 13 5.122 49 12 5.655 49 18 5.122 49 2 4.796 49 22 4.796 49 24 3.937 50 5 5.655 50 32 5.878 50 52 1.000 50 2 6.264 50 22 5.878 50 31 3.937 50 4 4.409 50 49 5.405 50 12 6.080 50 38 2.468 50 18 7.002 50 36 5.655 50 53 5.655 50 28 5.405 50 15 6.434 50 35 1.000 50 42 5.655 51 1 3.327 51 32 4.409 51 2 5.405 51 22 5.122 51 35 3.937 51 7 4.796 51 8 3.937 51 23 4.409 51 12 5.655 51 26 4.796 51 38 1.000 51 18 5.405 51 39 5.655 51 42 3.937 52 30 4.796 52 63 4.796 52 61 4.409 52 1 1.000 52 31 1.000 52 50 1.000 52 20 1.000 52 42 1.000 52 62 1.000 52 21 1.000 52 34 1.000 52 37 1.000 52 6 1.000 52 49 1.000 52 51 5.122 52 9 1.000 52 11 2.468 52 26 7.002 52 18 1.000 52 39 6.080 52 40 6.737 52 45 1.000 52 16 2.468 52 64 4.409 52 29 3.937 53 35 3.937 53 50 5.405 53 41 1.000 53 62 1.000 53 34 4.409 53 17 4.796 53 43 4.409 53 44 1.000 53 46 3.937 53 39 4.409 53 45 2.468 53 64 3.327 53 18 5.655 54 35 3.327 54 4 3.937 54 1 3.937 54 32 3.327 54 62 1.000 54 7 3.327 54 34 3.937 54 2 4.409 54 8 5.655 54 23 1.000 54 12 5.122 54 25 4.409 54 26 5.878 54 44 1.000 54 38 1.000 54 39 3.937 54 36 2.468 54 52 5.122 54 53 3.327 54 28 3.327 54 45 2.468 54 16 2.468 54 22 4.796 54 24 5.405 54 10 1.000 54 18 7.548 55 25 5.405 55 1 3.327 55 33 2.468 55 20 3.937 55 62 1.000 55 26 5.655 55 8 2.468 55 11 4.796 55 34 1.000 55 29 5.122 55 27 6.264 55 16 2.468 55 24 5.878 55 12 1.000 56 32 2.468 56 34 3.327 56 2 1.000 56 22 1.000 56 17 3.937 56 8 1.000 56 69 3.937 56 10 1.000 56 12 5.122 56 38 1.000 56 15 5.122 56 39 1.000 56 52 2.468 56 42 1.000 56 18 3.327 56 27 3.327 57 25 1.000 57 1 3.327 57 32 1.000 57 34 1.000 57 22 1.000 57 35 1.000 57 37 1.000 57 4 1.000 57 3 1.000 57 8 1.000 57 11 1.000 57 39 1.000 57 45 1.000 57 16 2.468 57 42 4.796 58 31 6.080 58 62 5.878 58 34 5.122 58 37 4.796 58 3 1.000 58 5 1.000 58 43 5.405 58 46 5.655 58 15 2.468 58 39 4.409 58 27 5.655 58 40 5.405 58 45 1.000 59 5 1.000 59 1 3.937 59 32 2.468 59 33 6.591 59 62 5.122 59 21 3.327 59 34 1.000 59 2 1.000 59 22 2.468 59 35 4.796 59 36 5.122 59 37 4.796 59 3 2.468 59 24 5.878 59 7 3.327 59 8 1.000 59 9 2.468 59 11 5.122 59 43 5.122 59 12 5.878 59 25 3.327 59 13 2.468 59 38 1.000 59 15 2.468 59 4 1.000 59 52 1.000 59 53 3.327 59 28 4.409 59 16 2.468 59 42 5.122 59 29 4.409 59 47 4.409 59 18 1.000 59 17 5.122 59 27 4.796 60 30 2.468 60 63 2.468 60 61 2.468 60 2 1.000 60 22 1.000 60 37 2.468 60 3 1.000 60 8 1.000 60 15 1.000 60 29 2.468 60 70 3.327 60 35 1.000 60 5 1.000 60 54 2.468 60 69 3.327 60 66 3.327 60 14 1.000 60 44 1.000 60 52 3.327 60 45 1.000 60 16 1.000 60 25 1.000 60 62 2.468 60 7 1.000 60 51 1.000 60 57 1.000 60 43 2.468 60 39 2.468 60 40 3.327 60 41 2.468 60 28 1.000 60 64 2.468 60 65 2.468 60 47 1.000 60 17 3.937 60 18 1.000 60 9 1.000 61 26 1.000 61 30 6.591 61 63 7.002 61 61 6.591 61 32 1.000 61 33 2.468 61 41 1.000 61 21 2.468 61 7 1.000 61 34 3.937 61 2 1.000 61 35 6.264 61 37 4.409 61 4 3.327 61 3 1.000 61 5 1.000 61 49 3.937 61 8 4.409 61 67 3.937 61 9 1.000 61 43 4.409 61 42 6.591 61 12 7.002 61 25 6.434 61 60 6.737 61 47 6.264 61 38 3.937 61 18 1.000 61 39 7.002 61 27 6.264 61 40 6.591 61 52 7.002 61 53 6.591 61 28 5.655 61 45 1.000 61 16 5.655 61 22 1.000 61 24 5.878 61 68 2.468 61 64 6.737 61 29 6.434 61 65 6.264 61 36 6.591 61 59 2.468 62 32 3.937 62 33 4.409 62 19 1.000 62 28 1.000 62 62 5.122 62 34 2.468 62 22 2.468 62 35 2.468 62 4 1.000 62 49 1.000 62 8 2.468 62 51 2.468 62 23 1.000 62 11 1.000 62 12 3.937 62 29 5.122 62 7 1.000 62 18 3.327 62 2 1.000 62 5 2.468 62 15 1.000 62 27 6.080 62 53 2.468 62 24 3.937 63 30 4.409 63 63 3.937 63 61 4.409 63 1 3.937 63 32 1.000 63 22 1.000 63 34 5.405 63 2 1.000 63 47 5.405 63 8 1.000 63 18 2.468 63 4 1.000 63 3 4.409 63 49 2.468 63 23 2.468 63 26 3.937 63 44 1.000 63 38 1.000 63 39 5.405 63 36 5.405 63 40 3.937 63 52 5.122 63 45 1.000 63 64 4.409 63 65 4.409 64 30 4.409 64 61 3.327 64 1 3.937 64 33 6.080 64 34 2.468 64 22 2.468 64 37 5.405 64 5 5.122 64 44 1.000 64 31 4.796 64 49 3.327 64 18 1.000 64 32 2.468 64 11 2.468 64 2 1.000 64 26 3.937 64 38 1.000 64 29 2.468 64 47 4.796 64 52 5.122 64 15 1.000 64 24 4.409 64 42 3.937 64 36 3.937 64 27 6.434 64 12 4.796 65 66 3.327 65 30 3.937 65 63 3.937 65 61 3.937 65 1 3.327 65 31 2.468 65 32 3.327 65 19 3.327 65 20 1.000 65 23 1.000 65 62 5.122 65 21 2.468 65 56 1.000 65 34 2.468 65 2 1.000 65 22 1.000 65 47 2.468 65 36 5.122 65 37 2.468 65 7 4.796 65 8 4.409 65 54 2.468 65 51 2.468 65 69 2.468 65 57 2.468 65 48 2.468 65 42 5.405 65 41 2.468 65 14 1.000 65 26 3.327 65 68 1.000 65 38 1.000 65 39 2.468 65 52 4.409 65 53 2.468 65 45 2.468 65 58 2.468 65 16 2.468 65 64 4.409 65 29 2.468 65 65 3.937 65 18 1.000 65 59 1.000 66 26 5.122 66 30 5.405 66 63 5.405 66 61 5.122 66 1 4.409 66 32 1.000 66 53 5.405 66 38 1.000 66 22 3.327 66 33 6.264 66 27 5.405 66 19 1.000 66 34 5.878 66 2 1.000 66 41 5.405 66 7 2.468 66 36 5.122 66 8 3.937 66 4 4.409 66 6 5.655 66 18 6.264 66 54 5.405 66 67 4.796 66 44 1.000 66 43 5.122 66 64 5.122 66 12 5.878 66 39 4.796 66 52 5.405 66 28 2.468 66 45 5.405 66 16 4.796 66 24 5.655 66 42 5.405 66 29 6.080 67 30 4.409 67 63 3.327 67 61 4.409 67 1 3.327 67 32 4.409 67 53 3.937 67 59 3.937 67 6 1.000 67 8 1.000 67 34 2.468 67 2 1.000 67 22 5.405 67 35 1.000 67 55 3.937 67 56 3.937 67 37 3.327 67 49 1.000 67 7 3.327 67 18 1.000 67 12 5.655 67 13 2.468 67 26 4.409 67 52 1.000 67 45 4.796 67 68 3.937 67 64 3.937 67 65 3.937 67 47 4.409 68 30 3.937 68 63 4.409 68 61 3.937 68 31 1.000 68 20 1.000 68 34 1.000 68 55 4.796 68 56 5.405 68 51 3.937 68 6 1.000 68 49 4.796 68 67 3.327 68 69 4.796 68 66 4.409 68 26 5.122 68 44 1.000 68 38 2.468 68 46 3.327 68 39 5.655 68 52 5.122 68 53 5.655 68 41 3.327 68 45 5.405 68 68 2.468 68 64 2.468 68 42 5.405 68 29 2.468 68 70 4.796 68 59 5.122 69 30 5.405 69 63 5.405 69 61 6.434 69 1 5.122 69 32 4.796 69 50 2.468 69 20 3.327 69 65 6.080 69 22 3.327 69 62 2.468 69 37 5.655 69 5 3.937 69 7 2.468 69 8 4.796 69 18 1.000 69 11 3.937 69 64 5.405 69 12 5.122 69 26 4.409 69 44 1.000 69 2 1.000 69 39 6.264 70 1 5.122 70 32 2.468 70 33 6.737 70 19 2.468 70 21 5.405 70 7 1.000 70 22 3.327 70 4 2.468 70 5 1.000 70 18 1.000 70 8 5.655 70 12 6.873 70 2 3.937 70 15 2.468 70 24 6.873 70 27 1.000 71 31 5.122 71 34 3.937 71 22 1.000 71 17 5.122 71 35 4.409 71 8 3.327 71 37 1.000 71 3 2.468 71 46 3.937 71 43 4.796 71 45 5.122 71 29 5.405 72 40 6.080 72 1 3.937 72 22 1.000 72 2 1.000 72 35 3.327 72 32 1.000 72 37 3.937 72 17 4.409 72 49 3.937 72 8 1.000 72 11 1.000 72 43 3.937 72 14 1.000 72 26 3.327 72 38 3.327 72 46 3.937 72 39 2.468 72 36 3.937 72 52 3.937 72 53 5.122 72 41 2.468 72 24 4.409 72 42 3.937 72 29 3.937 72 18 1.000 72 12 5.405 73 5 1.000 73 1 4.409 73 33 3.937 73 4 4.409 73 12 5.122 73 13 3.327 73 10 1.000 73 53 4.796 73 42 5.405 73 27 2.468 74 32 6.591 74 33 7.123 74 34 4.409 74 22 4.796 74 35 1.000 74 7 6.434 74 8 6.737 74 9 6.080 74 11 3.327 74 13 5.405 74 12 6.873 74 14 7.002 74 18 4.409 74 2 4.796 74 3 3.327 74 24 6.737 74 10 1.000 74 17 2.468 75 10 2.468 75 60 1.000 75 33 5.122 75 19 1.000 75 2 3.327 75 11 3.327 75 25 3.327 75 13 5.878 75 29 1.000 75 15 1.000 75 27 5.122 75 28 2.468 75 24 6.873 75 18 2.468 76 1 4.409 76 34 1.000 76 2 3.937 76 22 1.000 76 36 4.409 76 49 1.000 76 7 5.122 76 8 5.122 76 32 1.000 76 69 5.405 76 12 6.080 76 25 5.122 76 44 1.000 76 38 1.000 76 18 1.000 76 52 4.409 76 53 4.409 76 42 5.655 77 63 4.796 77 61 4.796 77 1 3.327 77 31 2.468 77 22 1.000 77 34 2.468 77 2 1.000 77 35 4.796 77 37 5.122 77 7 5.122 77 8 5.122 77 12 6.434 77 30 5.122 77 26 2.468 77 40 1.000 77 52 5.405 77 64 4.796 77 29 4.796 77 65 4.796 77 18 1.000 78 1 3.327 78 32 5.655 78 33 1.000 78 62 2.468 78 7 6.591 78 2 6.434 78 22 5.655 78 34 1.000 78 35 5.878 78 4 4.796 78 49 1.000 78 51 6.873 78 43 4.796 78 12 6.080 78 13 2.468 78 14 7.548 78 19 4.796 78 27 5.878 78 45 5.405 78 39 6.434 78 18 6.873 79 30 3.937 79 63 3.937 79 61 5.405 79 31 3.937 79 53 1.000 79 41 5.405 79 34 4.409 79 17 4.409 79 6 1.000 79 51 2.468 79 69 4.409 79 43 1.000 79 66 4.409 79 26 1.000 79 38 1.000 79 46 4.409 79 45 4.409 79 64 4.796 79 70 5.655 80 66 4.796 80 50 4.796 80 55 4.796 80 56 4.796 80 54 4.796 80 67 4.796 80 69 3.937 80 57 4.796 80 48 4.796 80 44 2.468 80 39 4.796 80 41 5.405 80 58 4.796 80 68 4.796 80 70 3.937 80 59 4.796 81 17 3.937 81 33 1.000 81 21 1.000 81 12 1.000 81 10 1.000 82 19 7.450 82 20 6.434 82 34 1.000 82 8 2.468 82 11 6.434 82 25 6.591 82 13 7.002 82 12 6.264 82 14 2.468 82 26 7.123 82 10 4.409 82 39 6.873 82 24 7.346 82 27 4.796 83 35 4.796 83 1 3.937 83 32 4.796 83 53 3.937 83 50 5.405 83 33 6.080 83 20 2.468 83 62 3.327 83 21 1.000 83 22 5.122 83 4 3.937 83 49 4.409 83 7 1.000 83 8 4.796 83 9 3.937 83 11 2.468 83 12 5.655 83 25 4.796 83 26 5.878 83 10 1.000 83 60 4.409 83 15 2.468 83 39 4.796 83 28 4.796 83 16 1.000 83 24 5.405 83 42 4.796 83 29 5.655 83 65 3.937 83 18 5.878 84 30 4.796 84 63 3.937 84 61 3.937 84 44 1.000 84 65 3.937 84 45 3.327 84 64 3.937 85 15 1.000 85 2 5.655 85 22 5.655 85 32 1.000 85 7 1.000 85 8 5.405 85 12 1.000 85 24 1.000 86 25 3.937 86 30 3.327 86 63 3.327 86 61 3.327 86 50 5.405 86 33 6.264 86 20 4.409 86 34 5.122 86 65 3.327 86 35 3.327 86 26 3.937 86 37 6.264 86 51 4.409 86 23 3.327 86 57 3.937 86 9 3.327 86 11 3.327 86 66 4.796 86 13 3.327 86 14 3.327 86 29 3.327 86 41 3.937 86 28 4.409 86 45 1.000 86 15 4.409 86 58 3.937 86 39 3.327 86 64 3.327 87 30 5.655 87 61 5.122 87 1 4.796 87 53 4.409 87 33 6.264 87 49 5.655 87 34 4.409 87 2 5.122 87 35 4.796 87 8 5.405 87 32 5.122 87 51 5.878 87 4 4.796 87 26 5.655 87 12 5.405 87 25 4.796 87 38 5.405 87 39 5.122 87 40 4.796 87 22 5.405 87 24 4.409 87 42 4.409 87 18 3.937 87 36 5.122 88 66 7.002 88 32 5.655 88 50 5.655 88 54 5.655 88 21 5.878 88 16 5.655 88 56 5.655 88 37 6.264 88 6 5.655 88 49 7.237 88 23 5.655 88 51 5.655 88 69 7.346 88 57 5.655 88 9 5.655 88 68 5.655 88 25 5.655 88 13 5.655 88 14 5.655 88 26 6.080 88 38 5.878 88 52 5.655 88 53 5.655 88 28 5.655 88 3 5.655 88 42 5.878 88 60 5.655 88 47 6.434 88 70 5.655 89 30 4.796 89 63 4.409 89 61 4.409 89 1 1.000 89 34 2.468 89 3 1.000 89 15 4.409 89 29 1.000 89 36 2.468 89 32 1.000 89 19 4.409 89 5 1.000 89 23 1.000 89 49 5.122 89 54 1.000 89 69 4.409 89 52 1.000 89 53 2.468 89 45 3.327 89 62 2.468 89 7 1.000 89 64 4.796 89 18 1.000 89 8 2.468 89 42 2.468 89 25 3.937 89 38 2.468 90 1 3.937 90 31 3.937 90 7 2.468 90 34 1.000 90 2 1.000 90 35 3.937 90 37 4.409 90 32 1.000 90 49 2.468 90 18 1.000 90 8 2.468 90 22 1.000 90 43 4.409 90 12 4.409 90 14 6.434 90 26 4.409 90 46 4.409 90 39 3.937 90 27 5.655 90 40 5.878 90 53 3.937 90 41 4.409 90 28 1.000 90 3 1.000 90 42 4.409 91 31 1.000 91 51 1.000 91 27 3.327 91 62 3.327 91 21 1.000 91 34 2.468 91 56 1.000 91 4 1.000 91 54 1.000 91 32 3.327 91 69 1.000 91 57 1.000 91 13 1.000 91 2 1.000 91 16 1.000 91 22 2.468 91 10 1.000 91 29 1.000 91 60 1.000 91 47 1.000 91 18 2.468 91 59 1.000 92 30 3.937 92 63 3.937 92 1 3.937 92 32 4.409 92 34 6.080 92 37 3.937 92 49 3.327 92 8 4.409 92 38 2.468 92 36 4.409 92 52 4.796 92 61 3.937 92 22 1.000 92 64 3.937 92 42 5.122 92 29 4.409 92 65 3.937 92 18 3.937 93 30 3.937 93 63 3.937 93 61 3.327 93 17 3.937 93 37 3.327 93 4 3.937 93 49 3.327 93 23 3.937 93 44 1.000 93 26 5.122 93 27 3.327 93 52 5.122 93 64 3.327 93 33 1.000 93 70 3.937 93 21 1.000 94 33 6.873 94 19 1.000 94 34 4.409 94 35 5.122 94 32 2.468 94 4 1.000 94 3 1.000 94 5 5.405 94 24 5.878 94 8 1.000 94 9 1.000 94 43 5.122 94 12 5.878 94 25 5.122 94 29 5.405 94 2 1.000 94 15 2.468 94 27 4.796 94 28 3.937 94 16 5.122 94 22 2.468 94 10 3.327 94 18 1.000 94 17 4.409 95 25 4.409 95 30 4.409 95 63 3.327 95 61 4.409 95 1 3.327 95 33 6.080 95 49 3.327 95 7 1.000 95 2 1.000 95 22 1.000 95 35 1.000 95 47 3.327 95 51 2.468 95 9 1.000 95 41 4.409 95 14 2.468 95 26 3.937 95 65 4.409 95 38 1.000 95 18 1.000 95 39 3.327 95 52 4.409 95 28 4.409 95 16 4.409 95 64 3.327 95 42 4.409 95 29 1.000 95 36 4.409 96 1 1.000 96 62 5.122 96 34 1.000 96 22 1.000 96 35 5.655 96 5 2.468 96 7 5.122 96 66 2.468 96 60 5.122 96 18 1.000 96 52 5.655 96 28 2.468 96 39 4.796 96 43 5.122 96 29 5.122 97 32 3.327 97 62 3.327 97 34 3.327 97 17 3.327 97 35 1.000 97 37 3.327 97 6 3.327 97 49 3.327 97 7 1.000 97 26 3.937 97 53 1.000 97 16 1.000 97 22 1.000 97 24 1.000 97 39 2.468 97 18 2.468 98 31 3.937 98 33 1.000 98 34 3.937 98 2 3.327 98 35 3.327 98 8 4.796 98 37 5.122 98 49 1.000 98 32 1.000 98 3 4.796 98 5 1.000 98 1 4.409 98 7 6.873 98 51 4.796 98 44 1.000 98 12 5.405 98 26 3.937 98 46 5.122 98 39 3.327 98 40 6.264 98 28 5.122 98 22 1.000 98 64 3.937 98 43 4.409 98 60 4.796 99 30 4.796 99 63 4.796 99 61 4.409 99 1 3.937 99 31 3.937 99 32 1.000 99 22 1.000 99 33 6.080 99 34 1.000 99 2 1.000 99 17 4.796 99 35 4.409 99 5 1.000 99 7 2.468 99 8 2.468 99 54 3.937 99 23 2.468 99 12 4.796 99 25 1.000 99 26 3.327 99 38 1.000 99 46 3.327 99 52 4.409 99 41 4.409 99 24 4.409 99 39 4.796 99 64 4.796 99 42 4.409 99 29 4.796 99 60 2.468 99 36 3.937 99 27 1.000 100 33 1.000 100 20 6.080 100 62 3.937 100 17 1.000 100 51 2.468 100 11 4.409 100 12 1.000 100 25 3.327 100 14 5.655 100 18 1.000 100 27 1.000 100 40 1.000 100 28 5.122 100 24 1.000 100 10 1.000 101 35 2.468 101 33 2.468 101 21 1.000 101 34 4.409 101 37 4.796 101 51 4.796 101 9 1.000 101 11 1.000 101 14 6.873 101 26 4.796 101 39 4.796 101 41 4.409 101 45 3.327 101 24 4.796 101 47 4.409 101 27 5.878 102 6 1.000 102 49 4.796 102 29 1.000 102 67 5.655 102 23 1.000 102 66 1.000 102 26 1.000 102 38 1.000 102 53 1.000 102 33 1.000 102 36 1.000 103 5 1.000 103 1 2.468 103 32 1.000 103 19 1.000 103 33 1.000 103 27 6.080 103 7 1.000 103 2 1.000 103 22 1.000 103 36 3.937 103 4 1.000 103 24 5.878 103 8 5.122 103 12 6.434 103 25 5.122 103 10 1.000 103 52 1.000 103 38 1.000 103 15 2.468 103 42 5.122 103 29 5.122 103 18 1.000 104 63 5.405 104 61 5.405 104 60 5.122 104 30 5.405 104 17 4.796 104 37 5.655 104 3 5.405 104 14 6.080 104 47 5.655 104 46 5.878 104 64 5.405 104 29 5.655 104 65 5.405 104 27 5.405 105 5 1.000 105 32 5.405 105 19 1.000 105 33 4.796 105 6 1.000 105 62 3.327 105 34 1.000 105 2 1.000 105 22 1.000 105 37 5.122 105 4 1.000 105 17 1.000 105 8 1.000 105 51 1.000 105 23 1.000 105 9 1.000 105 26 3.937 105 44 1.000 105 38 1.000 105 39 3.937 105 40 1.000 105 52 5.122 105 53 2.468 105 28 1.000 105 45 1.000 105 16 1.000 105 35 1.000 105 24 4.409 105 42 2.468 105 29 5.122 105 10 1.000 105 18 4.409 105 12 4.796 106 22 5.405 106 20 4.409 106 26 6.264 106 4 5.405 106 7 6.737 106 8 5.405 106 23 1.000 106 1 3.327 106 11 6.434 106 13 5.405 106 14 8.532 106 18 1.000 106 28 6.264 106 24 7.548 106 33 4.409 106 10 2.468 106 12 5.655 107 17 1.000 107 20 3.937 107 34 3.937 107 35 5.405 107 37 5.122 107 3 1.000 107 62 1.000 107 9 2.468 107 44 1.000 107 43 5.122 107 25 5.405 107 14 2.468 107 27 3.327 107 40 6.264 107 4 5.122 107 41 5.655 107 15 2.468 107 12 3.937 108 32 5.405 108 33 6.737 108 19 1.000 108 20 5.122 108 49 4.796 108 2 1.000 108 35 5.122 108 4 5.405 108 5 6.434 108 7 5.405 108 8 5.122 108 9 5.405 108 12 6.080 108 25 5.122 108 13 5.405 108 14 6.080 108 26 5.122 108 38 1.000 108 18 2.468 108 15 5.405 108 27 7.237 108 52 5.122 108 53 4.796 108 22 2.468 108 24 6.264 108 42 5.122 109 32 3.327 109 33 4.409 109 19 2.468 109 34 1.000 109 2 3.327 109 22 2.468 109 17 1.000 109 5 2.468 109 23 2.468 109 7 3.937 109 9 3.327 109 10 1.000 109 11 2.468 109 12 5.122 109 25 5.405 109 15 3.327 109 28 3.327 109 16 2.468 109 24 7.346 109 27 7.237 110 32 5.878 110 33 2.468 110 19 1.000 110 20 3.327 110 28 1.000 110 35 1.000 110 4 6.737 110 5 4.796 110 8 3.937 110 25 6.434 110 13 6.434 110 14 4.409 110 15 5.878 110 27 5.655 110 40 4.409 110 16 2.468 110 24 7.123 111 1 4.796 111 53 2.468 111 34 3.937 111 37 5.122 111 49 4.409 111 12 5.122 111 44 1.000 111 38 2.468 111 39 3.327 111 45 2.468 111 42 5.122 111 29 4.796 111 36 1.000 112 34 2.468 112 17 4.409 112 35 5.405 112 4 5.655 112 51 5.122 112 11 1.000 112 14 5.655 112 27 5.655 112 16 5.655 112 46 3.937 112 24 6.080 112 10 3.937 113 21 1.000 113 31 3.327 113 50 5.655 113 62 1.000 113 22 4.409 113 17 4.409 113 6 1.000 113 57 2.468 113 12 1.000 113 26 4.796 113 44 1.000 113 39 3.937 113 36 1.000 113 41 4.409 113 45 4.409 113 16 2.468 113 29 4.409 114 25 1.000 114 50 3.327 114 33 6.264 114 19 2.468 114 62 2.468 114 2 1.000 114 22 3.937 114 17 1.000 114 58 5.122 114 37 3.327 114 4 3.937 114 51 2.468 114 23 1.000 114 69 3.937 114 57 5.405 114 48 5.655 114 9 2.468 114 11 2.468 114 12 4.796 114 66 3.937 114 13 1.000 114 14 2.468 114 26 4.796 114 18 3.937 114 15 1.000 114 27 3.327 114 28 3.327 114 24 4.409 114 29 3.937 114 10 1.000 115 26 1.000 115 63 4.409 115 61 4.409 115 62 5.405 115 30 4.409 115 34 3.937 115 17 4.409 115 35 4.796 115 37 3.937 115 51 4.796 115 9 2.468 115 43 4.409 115 29 4.409 115 52 4.409 115 65 4.796 115 18 3.937 115 46 4.796 115 8 1.000 115 22 3.937 115 64 4.409 115 10 1.000 115 60 4.409 116 32 5.405 116 53 4.409 116 50 6.080 116 34 1.000 116 2 4.409 116 62 3.937 116 49 1.000 116 7 4.796 116 51 1.000 116 48 5.122 116 9 3.937 116 12 5.405 116 38 4.796 116 36 4.409 116 52 5.122 116 58 1.000 116 22 5.405 116 65 3.937 116 18 4.409 117 35 1.000 117 53 1.000 117 22 2.468 117 34 7.902 117 55 5.405 117 56 5.655 117 37 1.000 117 32 2.468 117 23 1.000 117 49 5.878 117 8 1.000 117 54 5.405 117 57 6.264 117 48 5.655 117 43 5.122 117 38 1.000 117 39 3.937 117 52 5.878 117 41 1.000 117 58 5.122 117 68 4.796 117 42 8.133 117 59 5.122 118 1 2.468 118 31 5.122 118 32 5.655 118 33 3.937 118 34 1.000 118 22 5.122 118 17 5.122 118 37 6.264 118 5 5.405 118 25 4.796 118 13 5.405 118 38 1.000 118 39 5.405 118 52 5.122 118 53 5.405 118 28 4.409 118 42 5.655 118 29 5.655 118 10 1.000 118 60 5.122 118 12 1.000 119 40 1.000 119 30 1.000 119 63 1.000 119 1 1.000 119 33 1.000 119 62 1.000 119 21 1.000 119 55 1.000 119 56 2.468 119 37 1.000 119 6 1.000 119 51 1.000 119 23 2.468 119 69 2.468 119 9 1.000 119 64 1.000 119 66 1.000 119 13 2.468 119 26 1.000 119 47 1.000 119 39 1.000 119 61 1.000 119 41 1.000 119 28 1.000 119 16 1.000 119 68 1.000 119 29 1.000 119 65 1.000 119 70 1.000 119 59 1.000 120 1 5.655 120 32 6.591 120 33 6.873 120 46 1.000 120 22 3.327 120 17 4.409 120 51 1.000 120 6 3.327 120 24 3.937 120 8 5.405 120 11 5.405 120 12 5.878 120 25 5.405 120 13 1.000 120 14 1.000 120 10 2.468 120 27 3.327 120 28 1.000 120 29 5.405 120 36 3.327 121 35 1.000 121 1 3.327 121 32 1.000 121 50 1.000 121 17 4.409 121 23 1.000 121 49 1.000 121 7 3.327 121 8 1.000 121 29 3.327 121 18 1.000 121 46 3.327 121 39 2.468 121 36 1.000 121 52 3.327 121 41 1.000 121 53 3.327 121 33 6.080 122 34 1.000 122 2 1.000 122 22 1.000 122 37 1.000 122 15 1.000 122 36 1.000 122 23 1.000 122 49 1.000 122 29 1.000 122 52 1.000 122 45 1.000 122 16 1.000 122 42 1.000 122 60 2.468 122 62 3.937 122 21 1.000 122 17 3.937 122 7 1.000 122 51 1.000 122 39 1.000 122 41 1.000 122 47 1.000 122 18 1.000 122 9 1.000 122 38 1.000 123 1 1.000 123 32 1.000 123 50 1.000 123 20 1.000 123 8 1.000 123 62 1.000 123 2 1.000 123 22 2.468 123 26 2.468 123 35 5.122 123 37 4.409 123 7 2.468 123 51 5.122 123 57 5.122 123 9 1.000 123 12 5.878 123 38 1.000 123 39 5.122 123 36 5.122 123 27 7.123 123 52 4.796 123 53 3.327 123 41 5.122 123 42 5.122 123 29 4.796 123 47 5.122 123 18 1.000 124 30 6.737 124 63 6.737 124 61 7.123 124 35 6.591 124 37 6.591 124 7 3.327 124 43 6.264 124 39 5.405 124 52 6.737 124 45 6.591 124 16 3.937 124 64 7.123 124 29 6.264 124 60 5.655 125 34 3.327 125 41 1.000 125 55 4.409 125 56 4.409 125 49 4.796 125 54 3.327 125 69 4.409 125 48 4.796 125 21 1.000 125 39 5.405 125 36 3.327 125 52 4.409 125 53 3.937 125 45 4.796 125 58 4.796 125 68 4.409 125 42 4.409 125 29 3.327 125 70 4.409 125 59 4.409 126 32 5.655 126 20 2.468 126 2 5.405 126 22 5.655 126 5 4.409 126 1 5.655 126 49 6.264 126 7 5.878 126 8 5.405 126 12 5.878 126 13 4.796 126 52 4.796 126 19 4.796 126 38 5.122 126 18 6.591 126 53 4.796 126 28 5.122 126 42 6.264 127 30 5.122 127 22 1.000 127 33 1.000 127 2 5.122 127 35 4.409 127 37 6.080 127 49 1.000 127 8 3.327 127 23 1.000 127 26 5.878 127 58 4.409 127 64 1.000 128 35 4.409 128 32 5.405 128 33 6.873 128 6 4.796 128 20 5.122 128 62 3.937 128 21 5.405 128 34 1.000 128 41 3.937 128 26 5.878 128 18 6.873 128 4 5.122 128 5 5.655 128 31 5.122 128 7 4.409 128 23 5.122 128 13 5.122 128 14 3.937 128 10 3.327 128 15 4.796 128 39 5.122 128 27 5.655 128 40 5.122 128 16 3.327 128 24 3.937 128 29 5.405 129 40 6.873 129 30 3.937 129 63 4.796 129 61 4.796 129 1 1.000 129 19 2.468 129 34 4.796 129 37 3.937 129 5 1.000 129 49 3.327 129 9 2.468 129 14 2.468 129 38 5.122 129 29 1.000 129 46 4.409 129 39 3.937 129 27 3.937 129 24 4.796 129 64 4.796 129 42 3.937 130 30 5.122 130 63 5.122 130 61 5.122 130 31 3.327 130 34 3.327 130 55 4.409 130 56 4.796 130 37 5.405 130 67 4.796 130 69 5.122 130 66 1.000 130 50 1.000 130 36 4.409 130 52 4.796 130 53 3.327 130 41 4.409 130 68 4.409 130 64 4.796 130 29 5.122 130 70 5.122 130 59 3.937 131 32 5.878 131 33 3.327 131 17 2.468 131 7 1.000 131 12 5.655 131 25 2.468 131 24 3.327 131 42 5.655 131 10 2.468 132 1 1.000 132 6 3.937 132 22 2.468 132 26 3.327 132 16 2.468 132 7 2.468 132 8 1.000 132 67 1.000 132 23 3.937 132 21 1.000 132 12 4.409 132 25 1.000 132 14 1.000 132 39 3.937 132 52 1.000 132 53 2.468 132 24 4.796 132 42 1.000 132 33 1.000 132 29 1.000 132 18 3.937 133 63 3.937 133 1 5.655 133 50 1.000 133 19 3.937 133 34 3.937 133 36 1.000 133 4 4.796 133 49 5.122 133 8 3.327 133 23 1.000 133 57 4.796 133 25 5.405 133 26 5.655 133 60 2.468 133 11 1.000 133 52 5.122 133 42 4.796 133 33 1.000 134 35 1.000 134 30 3.937 134 4 3.937 134 50 1.000 134 27 1.000 134 20 3.937 134 33 1.000 134 54 1.000 134 6 3.327 134 7 2.468 134 51 2.468 134 23 1.000 134 11 2.468 134 26 5.122 134 10 1.000 134 18 1.000 134 28 3.327 134 16 4.409 134 24 5.122 134 39 3.327 134 29 2.468 134 12 1.000 135 25 3.937 135 26 5.405 135 1 3.327 135 31 3.937 135 32 5.655 135 50 7.450 135 34 2.468 135 2 4.796 135 22 5.655 135 17 4.796 135 37 5.655 135 5 3.937 135 49 5.405 135 7 5.122 135 8 5.405 135 9 3.327 135 12 4.796 135 38 1.000 135 18 7.237 135 36 5.405 135 40 1.000 135 52 5.405 135 53 5.405 135 60 4.409 135 41 5.405 135 28 4.796 135 45 5.405 135 16 2.468 135 42 5.655 135 29 5.878 136 28 3.327 136 62 1.000 136 22 5.122 136 35 4.409 136 37 5.122 136 4 2.468 136 51 2.468 136 46 4.796 136 27 1.000 136 41 4.796 136 29 5.122 136 60 5.122 137 20 4.796 137 31 1.000 137 34 3.327 137 51 5.122 137 49 4.796 137 23 4.796 137 11 3.937 137 26 5.655 137 44 2.468 137 39 5.122 137 36 6.591 137 52 6.434 137 53 5.405 137 41 5.405 137 45 5.122 137 24 5.655 137 42 6.080 137 60 5.878 138 1 1.000 138 32 4.796 138 33 6.591 138 34 3.937 138 22 3.937 138 26 5.122 138 17 5.122 138 35 2.468 138 37 6.737 138 6 5.878 138 8 4.796 138 51 3.327 138 9 3.937 138 12 5.122 138 44 1.000 138 39 5.122 138 42 2.468 138 18 4.409 139 20 6.264 139 26 6.264 139 4 5.405 139 8 5.405 139 15 6.591 139 10 1.000 139 23 3.937 139 14 6.264 139 16 3.937 139 37 7.450 139 12 2.468 139 27 6.737 139 40 9.156 139 3 3.327 139 17 4.796 139 11 3.327 140 33 6.591 140 19 4.796 140 20 5.122 140 62 5.122 140 17 4.796 140 35 4.796 140 51 1.000 140 4 4.796 140 3 5.122 140 7 4.796 140 9 4.796 140 11 2.468 140 12 4.796 140 25 5.405 140 13 5.122 140 14 5.122 140 26 5.122 140 18 5.405 140 27 5.122 140 40 6.737 140 28 5.122 140 16 5.122 140 29 4.796 140 10 1.000 141 1 1.000 141 33 6.264 141 19 3.937 141 20 4.409 141 8 6.080 141 7 5.655 141 26 3.327 141 23 5.405 141 9 4.409 141 11 5.122 141 12 3.327 141 15 3.327 141 28 4.796 141 16 3.327 141 22 5.405 141 24 6.080 141 10 1.000 141 17 5.878 142 30 3.937 142 63 3.937 142 61 3.937 142 1 3.937 142 31 5.405 142 32 5.405 142 33 6.434 142 62 5.122 142 34 3.937 142 22 5.122 142 35 4.796 142 37 5.878 142 51 5.122 142 3 5.122 142 5 5.405 142 49 5.122 142 8 5.878 142 54 5.122 142 11 4.409 142 26 5.405 142 10 1.000 142 19 3.327 142 38 2.468 142 18 5.878 142 39 5.122 142 40 6.080 142 52 5.405 142 28 5.405 142 29 5.405 142 53 4.409 142 64 3.937 142 42 5.122 142 65 3.937 142 27 3.937 143 30 2.468 143 1 5.122 143 31 2.468 143 32 6.873 143 50 6.591 143 38 5.655 143 33 6.737 143 20 2.468 143 21 6.873 143 34 2.468 143 22 5.405 143 35 5.122 143 49 5.878 143 11 3.937 143 8 6.264 143 23 6.080 143 25 6.080 143 26 7.237 143 18 7.819 143 2 6.264 143 36 6.873 143 40 6.737 143 52 6.434 143 53 6.264 143 41 5.655 143 45 5.655 143 16 6.264 143 42 5.655 143 29 6.080 144 33 1.000 144 62 1.000 144 34 1.000 144 17 5.405 144 35 5.122 144 37 3.937 144 44 1.000 144 46 1.000 144 39 2.468 144 27 4.796 144 40 2.468 144 43 4.409 144 10 2.468 144 60 3.937 144 18 1.000 144 12 2.468 145 1 5.405 145 33 1.000 145 45 2.468 145 37 3.937 145 18 5.122 145 44 2.468 145 6 5.655 145 49 5.878 145 8 5.655 145 11 1.000 145 26 8.275 145 38 6.080 145 39 3.937 145 52 5.655 145 53 5.878 145 42 5.878 145 36 6.080 146 1 4.409 146 31 4.409 146 32 1.000 146 2 1.000 146 49 5.405 146 7 3.937 146 23 3.327 146 67 1.000 146 44 1.000 146 38 5.405 146 39 1.000 146 41 5.122 146 16 1.000 146 22 1.000 146 42 6.264 146 29 5.405 147 32 5.405 147 2 3.327 147 22 6.591 147 35 2.468 147 1 4.796 147 49 5.878 147 7 4.409 147 8 6.434 147 11 3.327 147 12 5.878 147 26 5.655 147 44 1.000 147 38 5.878 147 15 3.327 147 52 6.080 147 53 3.327 147 24 1.000 147 42 6.591 147 29 1.000 147 18 6.737 147 36 3.937 148 19 2.468 148 33 6.080 148 49 2.468 148 34 1.000 148 22 1.000 148 55 2.468 148 56 2.468 148 37 3.327 148 32 1.000 148 3 2.468 148 8 2.468 148 23 2.468 148 9 2.468 148 10 1.000 148 11 1.000 148 26 1.000 148 29 3.327 148 38 1.000 148 18 3.327 148 40 2.468 148 52 5.655 148 41 3.327 148 28 3.327 148 16 3.327 148 68 3.327 148 42 2.468 148 60 2.468 148 36 3.327 148 59 2.468 149 2 4.409 149 17 4.409 149 8 3.937 149 12 1.000 149 25 4.409 149 14 3.327 149 26 4.409 149 9 4.796 149 18 5.122 149 27 5.878 149 40 6.434 149 28 2.468 149 16 3.937 149 29 5.655 150 5 1.000 150 30 4.409 150 63 5.122 150 1 4.409 150 31 4.409 150 32 1.000 150 33 6.434 150 19 1.000 150 46 4.409 150 34 1.000 150 22 1.000 150 17 5.122 150 35 3.327 150 3 1.000 150 7 1.000 150 18 1.000 150 8 1.000 150 54 1.000 150 9 3.327 150 43 5.122 150 25 4.409 150 13 3.327 150 44 1.000 150 65 5.122 150 38 1.000 150 15 3.327 150 27 2.468 150 40 5.655 150 53 5.122 150 16 2.468 150 24 5.122 150 39 3.937 150 64 5.122 150 42 4.796 150 29 5.122 150 10 1.000 150 60 5.122 151 40 6.434 151 50 1.000 151 41 1.000 151 34 2.468 151 17 4.796 151 37 3.327 151 3 1.000 151 8 2.468 151 14 2.468 151 26 3.937 151 16 4.409 151 27 3.327 152 30 5.122 152 63 5.122 152 61 5.122 152 1 5.122 152 32 1.000 152 33 1.000 152 7 2.468 152 2 1.000 152 22 1.000 152 17 4.796 152 35 5.405 152 47 3.327 152 37 5.122 152 4 2.468 152 5 1.000 152 18 1.000 152 8 1.000 152 43 4.796 152 12 6.080 152 25 4.409 152 26 5.122 152 9 1.000 152 65 5.122 152 38 1.000 152 46 5.122 152 39 5.122 152 27 6.264 152 52 4.796 152 53 4.796 152 16 3.327 152 24 5.122 152 64 5.405 152 42 6.080 152 29 5.405 152 60 5.122 152 36 4.409 153 1 3.327 153 32 1.000 153 21 1.000 153 22 2.468 153 8 1.000 153 4 1.000 153 5 1.000 153 7 2.468 153 23 2.468 153 57 4.796 153 9 1.000 153 10 1.000 153 12 5.878 153 25 4.796 153 38 1.000 153 18 1.000 153 15 1.000 153 24 5.122 153 42 7.548 153 29 5.122 153 60 4.409 154 5 2.468 154 1 3.327 154 32 3.327 154 7 3.327 154 34 3.327 154 2 2.468 154 6 1.000 154 22 6.264 154 8 2.468 154 4 2.468 154 9 2.468 154 11 1.000 154 25 8.205 154 15 3.327 154 36 7.819 154 27 8.059 154 40 7.548 154 52 7.732 154 28 6.080 154 16 4.796 154 24 7.732 154 42 7.902 154 18 3.327 155 33 6.434 155 2 4.796 155 22 5.122 155 7 5.655 155 8 3.327 155 11 1.000 155 12 5.122 155 25 1.000 155 14 3.327 155 26 5.878 155 18 6.264 156 19 5.405 156 33 6.264 156 26 5.655 156 62 1.000 156 21 3.327 156 4 1.000 156 5 5.655 156 23 5.655 156 11 5.122 156 12 3.937 156 13 6.080 156 44 2.468 156 15 7.002 156 40 3.327 156 10 2.468 157 63 6.737 157 61 6.737 157 20 1.000 157 62 3.327 157 30 4.796 157 17 1.000 157 37 7.902 157 21 2.468 157 5 2.468 157 7 7.237 157 8 5.878 157 9 1.000 157 11 3.327 157 14 3.937 157 26 4.796 157 29 7.002 157 2 1.000 157 46 5.655 157 15 6.873 157 39 3.937 157 27 5.122 157 52 6.873 157 16 3.937 157 24 3.937 157 64 4.409 157 42 7.450 157 33 3.327 157 10 2.468 158 30 3.937 158 63 3.937 158 61 3.937 158 34 3.327 158 37 6.737 158 29 3.937 158 32 3.937 158 35 5.122 158 6 1.000 158 45 5.122 158 60 1.000 158 62 1.000 158 51 1.000 158 43 5.122 158 39 3.937 158 40 5.878 158 41 1.000 158 64 4.409 158 47 1.000 159 32 5.405 159 8 1.000 159 62 4.796 159 34 2.468 159 35 1.000 159 37 4.796 159 43 2.468 159 26 5.405 159 44 1.000 159 39 4.409 159 16 3.937 159 65 2.468 159 18 1.000 160 1 2.468 160 15 2.468 160 36 3.937 160 67 1.000 160 42 4.796 160 60 2.468 160 23 3.937 160 7 3.937 160 18 4.409 160 55 2.468 160 56 3.937 160 17 4.796 160 33 6.591 160 20 2.468 160 22 4.796 160 37 5.405 160 70 3.327 160 59 2.468 160 50 4.796 160 21 3.327 160 49 2.468 160 54 3.327 160 68 2.468 160 32 4.409 160 12 6.080 160 46 4.409 160 39 4.796 160 25 3.327 160 31 1.000 160 34 2.468 160 2 2.468 160 8 4.409 160 19 2.468 160 35 3.327 160 5 3.937 160 69 1.000 160 48 4.409 160 45 3.937 160 57 3.327 160 43 2.468 160 41 3.327 160 3 1.000 160 9 3.327 160 4 2.468 160 26 4.796 160 6 4.409 160 66 3.937 160 52 3.937 160 53 4.409 160 58 4.409 160 16 1.000 160 51 1.000 160 28 2.468 160 24 5.655 160 11 3.937 160 38 2.468 161 30 2.468 161 63 2.468 161 61 2.468 161 19 2.468 161 20 2.468 161 22 4.796 161 26 4.409 161 37 5.878 161 49 3.327 161 51 2.468 161 9 2.468 161 43 4.796 161 25 2.468 161 38 1.000 161 11 2.468 161 16 3.327 161 39 5.655 161 64 2.468 161 42 4.409 161 60 2.468 161 17 4.796 162 30 3.937 162 63 3.937 162 50 1.000 162 33 1.000 162 62 4.796 162 2 2.468 162 22 5.655 162 17 4.409 162 37 2.468 162 51 4.409 162 8 5.122 162 64 4.409 162 46 4.796 162 40 3.327 162 41 3.937 162 35 1.000 162 29 4.409 162 10 1.000 162 18 6.434 162 12 4.796 163 1 1.000 163 32 6.434 163 50 9.450 163 34 3.327 163 2 3.327 163 36 7.237 163 33 1.000 163 5 3.327 163 8 6.264 163 48 7.642 163 12 7.732 163 25 8.275 163 38 3.937 163 18 6.264 163 15 3.327 163 27 7.819 163 52 6.591 163 53 7.237 163 28 7.819 163 22 4.796 163 24 7.346 163 42 8.133 163 29 7.819 163 60 7.123 164 1 2.468 164 32 5.122 164 50 5.655 164 19 4.409 164 28 1.000 164 22 4.409 164 24 4.409 164 7 5.122 164 8 5.122 164 57 5.122 164 48 5.405 164 9 1.000 164 12 4.409 164 13 4.796 164 14 3.327 164 38 2.468 164 2 1.000 164 15 1.000 164 27 5.405 164 53 5.122 164 58 5.122 164 42 3.937 164 29 1.000 164 18 5.122 165 63 3.327 165 34 3.937 165 35 4.409 165 49 2.468 165 26 4.796 165 40 6.264 165 39 4.796 165 64 3.937 165 43 1.000 165 29 4.409 165 60 4.409 166 32 3.937 166 33 6.873 166 19 5.405 166 20 5.405 166 62 5.405 166 37 3.937 166 51 5.122 166 23 5.122 166 9 5.405 166 11 5.122 166 43 4.409 166 25 5.122 166 26 6.434 166 46 4.796 166 15 5.878 166 27 7.123 166 28 5.122 166 16 3.937 166 24 5.878 166 39 3.937 166 10 1.000 167 5 3.327 167 4 5.122 167 32 4.409 167 33 6.737 167 20 4.409 167 34 4.796 167 17 4.409 167 62 1.000 167 23 6.080 167 10 1.000 167 11 5.122 167 25 1.000 167 26 5.405 167 22 4.409 167 24 4.796 168 1 5.122 168 32 5.405 168 33 6.264 168 19 3.327 168 34 4.796 168 2 3.327 168 22 2.468 168 17 4.409 168 35 2.468 168 44 1.000 168 49 3.937 168 8 2.468 168 23 3.327 168 28 2.468 168 12 5.655 168 25 3.937 168 13 2.468 168 10 2.468 168 38 2.468 168 24 3.937 168 18 5.122 168 36 2.468 169 1 3.937 169 32 5.878 169 33 3.937 169 21 4.409 169 7 4.409 169 2 2.468 169 6 1.000 169 22 2.468 169 17 3.937 169 62 5.122 169 4 4.409 169 11 3.937 169 8 2.468 169 23 3.937 169 37 1.000 169 42 3.937 169 12 5.405 169 25 3.327 169 34 3.937 169 26 5.655 169 38 1.000 169 18 2.468 169 39 3.937 169 24 3.937 170 1 4.796 170 32 3.937 170 50 4.409 170 19 4.796 170 34 4.796 170 22 1.000 170 35 1.000 170 21 5.878 170 49 5.655 170 23 4.796 170 57 4.796 170 48 5.122 170 11 2.468 170 26 6.264 170 29 3.327 170 44 1.000 170 38 5.655 170 36 5.122 170 53 4.409 170 58 4.409 170 42 2.468 170 18 5.878 171 25 4.796 171 35 5.405 171 1 5.405 171 32 3.327 171 33 5.122 171 20 6.080 171 19 2.468 171 8 1.000 171 7 3.327 171 2 4.796 171 22 4.409 171 4 2.468 171 15 2.468 171 49 8.133 171 18 1.000 171 9 2.468 171 27 6.591 171 26 5.655 171 29 5.405 171 38 1.000 171 40 8.761 171 36 5.405 171 24 6.873 171 42 6.080 171 12 5.405 172 25 5.122 172 17 4.409 172 35 4.796 172 37 5.655 172 43 4.409 172 29 3.937 172 60 5.405 172 46 4.409 172 28 4.796 173 25 1.000 173 50 3.327 173 8 3.327 173 62 2.468 173 21 2.468 173 22 3.327 173 26 5.878 173 35 3.937 173 56 3.327 173 54 3.327 173 37 5.878 173 51 2.468 173 4 3.327 173 6 3.327 173 49 2.468 173 18 3.327 173 23 2.468 173 69 3.327 173 57 2.468 173 9 2.468 173 68 2.468 173 14 2.468 173 38 2.468 173 15 2.468 173 39 4.796 173 53 2.468 173 28 2.468 173 16 3.327 173 42 2.468 173 29 3.327 174 1 3.937 174 31 4.409 174 38 2.468 174 33 6.737 174 19 2.468 174 28 2.468 174 7 3.327 174 34 3.937 174 22 2.468 174 35 1.000 174 16 1.000 174 49 1.000 174 32 1.000 174 21 2.468 174 4 3.327 174 5 2.468 174 8 2.468 174 23 2.468 174 9 3.327 174 24 4.796 174 43 4.409 174 12 4.796 174 26 4.409 174 18 2.468 174 2 2.468 174 15 2.468 174 39 3.937 174 52 4.409 174 53 4.409 174 41 4.409 174 3 2.468 174 46 4.409 174 42 4.409 174 17 3.937 175 5 1.000 175 31 1.000 175 32 1.000 175 53 1.000 175 20 2.468 175 21 1.000 175 45 1.000 175 34 5.122 175 22 1.000 175 35 1.000 175 37 1.000 175 4 1.000 175 3 1.000 175 6 1.000 175 49 5.122 175 18 1.000 175 8 1.000 175 54 1.000 175 9 1.000 175 11 2.468 175 13 3.327 175 14 2.468 175 26 1.000 175 68 5.122 175 60 4.796 175 38 4.796 175 2 1.000 175 52 1.000 175 16 1.000 175 27 7.123 176 19 4.409 176 20 5.405 176 4 5.122 176 7 6.264 176 9 5.405 176 11 4.796 176 25 5.122 176 13 5.405 176 14 5.878 176 15 5.655 176 27 5.655 176 28 5.122 176 24 5.655 177 30 4.796 177 63 5.122 177 61 5.122 177 31 5.122 177 38 1.000 177 7 1.000 177 19 5.122 177 21 1.000 177 32 1.000 177 2 1.000 177 22 5.122 177 26 3.327 177 35 4.796 177 37 1.000 177 4 1.000 177 3 1.000 177 5 1.000 177 49 5.405 177 8 1.000 177 9 5.122 177 43 5.122 177 12 5.878 177 25 5.122 177 39 4.796 177 27 4.796 177 52 5.122 177 16 2.468 177 46 5.122 177 24 5.878 177 64 5.405 177 29 4.796 177 65 5.122 178 40 6.080 178 30 2.468 178 63 2.468 178 61 2.468 178 41 3.937 178 34 1.000 178 65 2.468 178 31 3.327 178 17 4.409 178 35 5.122 178 37 5.655 178 3 1.000 178 6 5.122 178 49 2.468 178 14 5.122 178 26 4.409 178 29 4.796 178 44 1.000 178 60 4.796 178 39 4.409 178 52 4.409 178 53 4.796 178 28 4.409 178 45 4.796 178 64 2.468 178 42 1.000 178 33 1.000 178 47 4.796 179 5 2.468 179 40 6.873 179 66 6.434 179 1 4.796 179 15 3.937 179 32 3.327 179 19 2.468 179 7 3.937 179 34 2.468 179 26 6.434 179 17 5.878 179 35 6.434 179 36 6.591 179 56 6.873 179 4 2.468 179 3 2.468 179 23 4.409 179 18 2.468 179 69 6.873 179 68 7.002 179 25 6.264 179 13 6.873 179 12 6.873 179 14 7.002 179 8 1.000 179 52 1.000 179 38 2.468 179 2 3.327 179 39 6.873 179 27 7.123 179 28 6.591 179 42 5.878 179 45 2.468 179 22 3.327 179 24 6.591 179 60 7.002 179 59 6.737 180 5 4.409 180 62 3.327 180 35 5.405 180 66 1.000 180 44 1.000 180 39 5.655 180 45 4.796 180 46 5.122 180 43 3.937 180 29 5.655 180 60 5.655 181 35 4.409 181 32 1.000 181 33 6.591 181 2 1.000 181 22 1.000 181 17 4.409 181 51 1.000 181 4 1.000 181 8 1.000 181 23 3.937 181 9 2.468 181 43 3.937 181 12 5.405 181 25 3.937 181 26 4.409 181 29 2.468 181 18 1.000 181 46 4.409 181 39 4.409 181 40 3.327 181 15 4.409 181 24 5.405 181 10 1.000 182 30 3.327 182 61 2.468 182 33 1.000 182 20 1.000 182 63 3.327 182 35 3.327 182 62 4.796 182 37 4.796 182 51 4.409 182 11 2.468 182 14 3.327 182 44 1.000 182 27 2.468 182 16 2.468 182 24 4.409 182 64 3.327 183 52 1.000 183 1 2.468 183 31 5.405 183 32 1.000 183 33 6.873 183 19 3.327 183 20 2.468 183 34 1.000 183 2 3.327 183 22 1.000 183 17 5.122 183 35 3.327 183 5 2.468 183 7 1.000 183 8 1.000 183 9 1.000 183 11 1.000 183 14 6.737 183 44 1.000 183 38 1.000 183 15 2.468 183 36 3.937 183 40 5.655 183 41 3.327 183 28 3.937 183 45 3.327 183 16 5.122 183 24 5.878 183 42 5.405 183 29 5.122 183 60 6.080 183 47 5.405 183 18 1.000 183 12 6.264 184 40 4.796 184 1 1.000 184 31 4.796 184 32 1.000 184 2 1.000 184 7 1.000 184 12 6.080 184 25 1.000 184 44 1.000 184 47 4.409 184 38 1.000 184 39 4.796 184 16 3.327 184 42 5.122 185 5 5.122 185 32 2.468 185 52 2.468 185 19 3.937 185 62 1.000 185 2 2.468 185 22 2.468 185 17 3.937 185 35 5.122 185 7 1.000 185 37 5.655 185 49 4.409 185 8 5.405 185 12 5.122 185 25 3.937 185 47 2.468 185 38 1.000 185 53 5.878 185 28 6.080 185 42 5.655 185 60 5.655 185 18 1.000 185 36 5.122 186 25 2.468 186 63 3.327 186 61 3.327 186 15 1.000 186 32 1.000 186 19 1.000 186 62 3.327 186 30 3.327 186 2 1.000 186 22 1.000 186 26 5.655 186 37 2.468 186 4 2.468 186 24 5.122 186 8 3.937 186 51 3.937 186 9 1.000 186 13 1.000 186 14 2.468 186 64 3.327 186 29 3.327 186 10 1.000 186 65 3.327 186 47 3.327 186 18 1.000 186 27 5.878 187 30 6.737 187 63 7.002 187 61 7.002 187 33 1.000 187 54 3.327 187 35 3.327 187 62 3.327 187 37 6.873 187 7 3.937 187 45 2.468 187 64 7.642 187 29 3.327 187 65 7.237 187 47 6.591 188 19 1.000 188 21 1.000 188 34 3.937 188 17 5.122 188 35 1.000 188 37 4.409 188 4 3.327 188 9 2.468 188 11 1.000 188 43 1.000 188 25 1.000 188 14 3.937 188 26 3.327 188 46 3.327 188 39 2.468 188 41 1.000 188 28 1.000 188 24 3.937 188 60 2.468 188 27 6.434 189 31 4.796 189 34 3.937 189 55 5.122 189 17 3.937 189 35 4.409 189 56 3.937 189 37 2.468 189 3 1.000 189 43 3.937 189 39 3.327 189 41 5.122 189 29 4.409 189 47 1.000 189 59 2.468 190 18 1.000 190 1 2.468 190 32 3.937 190 50 6.737 190 33 6.080 190 19 3.937 190 2 1.000 190 22 1.000 190 37 3.327 190 5 1.000 190 15 1.000 190 8 5.405 190 9 3.937 190 25 3.327 190 34 3.327 190 43 3.937 190 27 5.122 190 28 3.937 190 24 5.122 190 29 3.937 190 17 4.409 191 1 5.122 191 32 5.405 191 33 6.873 191 22 4.409 191 17 1.000 191 8 5.405 191 4 1.000 191 5 1.000 191 49 2.468 191 7 5.405 191 10 2.468 191 11 1.000 191 12 6.080 191 29 2.468 191 38 1.000 191 2 4.796 191 39 3.327 191 27 6.080 191 52 1.000 191 53 4.409 191 15 2.468 191 24 5.878 191 42 5.405 191 18 5.655 191 36 4.409 192 26 1.000 192 1 4.796 192 31 1.000 192 32 2.468 192 20 2.468 192 62 2.468 192 21 1.000 192 22 1.000 192 60 1.000 192 4 1.000 192 5 1.000 192 6 2.468 192 49 2.468 192 18 2.468 192 8 2.468 192 23 1.000 192 12 3.937 192 25 1.000 192 14 2.468 192 38 2.468 192 2 2.468 192 15 3.937 192 52 4.796 192 53 1.000 192 16 1.000 192 24 4.409 192 42 3.327 192 29 4.409 193 63 5.405 193 61 5.122 193 1 2.468 193 32 5.655 193 30 5.122 193 41 1.000 193 35 5.405 193 37 5.405 193 17 4.409 193 62 3.327 193 69 5.122 193 48 5.405 193 44 1.000 193 50 5.405 193 60 5.122 193 46 5.655 193 39 5.405 193 45 5.405 193 42 5.122 193 43 5.405 193 18 6.264 193 70 5.405 194 33 2.468 194 34 2.468 194 22 4.796 194 17 4.796 194 51 5.122 194 11 3.937 194 43 5.122 194 29 3.937 194 39 5.122 194 24 4.796 195 5 4.796 195 1 2.468 195 31 5.122 195 32 5.405 195 53 4.796 195 33 6.264 195 62 3.937 195 7 5.405 195 34 1.000 195 2 4.796 195 22 5.405 195 26 5.122 195 17 5.122 195 4 3.327 195 8 5.405 195 12 6.080 195 18 6.264 195 52 5.122 195 24 4.409 195 36 4.796 196 52 3.327 196 1 5.655 196 31 4.409 196 32 6.080 196 33 7.450 196 2 5.122 196 22 4.796 196 17 1.000 196 35 4.409 196 5 5.122 196 6 4.409 196 49 4.796 196 8 4.409 196 10 1.000 196 12 8.407 196 18 4.409 196 15 1.000 196 39 5.655 196 36 5.405 196 53 3.937 196 28 5.405 196 42 4.409 197 50 4.409 197 22 4.409 197 33 1.000 197 7 5.405 197 8 5.122 197 51 5.405 197 9 5.122 197 11 5.122 197 12 5.655 197 13 5.122 197 14 5.878 197 15 5.405 197 27 5.405 197 52 5.405 197 53 3.327 197 28 5.405 197 16 5.122 197 65 3.937 197 18 6.873 198 30 6.434 198 1 7.123 198 32 6.873 198 2 4.409 198 22 5.655 198 37 5.655 198 5 4.796 198 6 6.434 198 7 4.796 198 8 7.450 198 12 5.655 198 26 4.796 198 44 1.000 198 38 6.591 198 39 6.737 198 36 6.737 198 52 7.819 198 53 6.737 198 41 5.655 198 42 5.878 198 18 6.737 198 17 4.409 199 61 3.937 199 32 2.468 199 38 6.080 199 21 2.468 199 2 5.405 199 22 6.434 199 4 6.080 199 49 6.080 199 7 5.655 199 8 6.737 199 51 1.000 199 25 6.080 199 16 1.000 199 35 4.409 199 42 5.405 199 18 7.450 199 17 5.878 200 1 3.937 200 20 3.327 200 22 2.468 200 5 4.409 200 6 3.327 200 49 5.655 200 7 3.937 200 8 6.080 200 10 1.000 200 11 5.405 200 12 3.937 200 25 2.468 200 13 3.327 200 26 5.878 200 15 4.409 200 39 3.937 200 27 3.327 201 35 5.405 201 50 4.409 201 20 5.405 201 2 4.796 201 65 3.937 201 22 8.342 201 4 6.264 201 7 8.649 201 8 6.737 201 32 7.642 201 9 5.122 201 10 1.000 201 11 6.591 201 25 3.937 201 14 7.346 201 52 5.122 201 53 3.937 201 18 3.327 201 27 5.655 201 12 6.591 202 32 4.796 202 34 3.327 202 2 1.000 202 7 4.796 202 8 4.796 202 12 5.878 202 26 8.205 202 38 5.122 202 52 5.878 202 22 1.000 202 18 4.409 203 30 5.878 203 63 5.122 203 61 5.405 203 1 6.737 203 31 6.873 203 34 3.327 203 37 4.409 203 4 2.468 203 3 1.000 203 36 4.796 203 33 3.937 203 29 5.655 203 70 7.123 203 40 2.468 203 35 5.405 203 5 2.468 203 23 1.000 203 54 1.000 203 67 6.080 203 48 1.000 203 52 1.000 203 58 2.468 203 16 3.327 203 68 6.080 203 42 6.434 203 57 1.000 203 12 4.409 203 38 2.468 203 27 6.264 203 41 6.264 203 28 6.591 203 24 3.327 203 64 5.655 203 65 6.080 203 47 5.655 203 17 6.264 203 55 6.264 203 56 6.264 203 25 5.122 204 25 2.468 204 30 1.000 204 63 2.468 204 61 1.000 204 31 2.468 204 19 3.327 204 17 4.796 204 35 3.937 204 4 1.000 204 49 1.000 204 62 1.000 204 8 2.468 204 51 2.468 204 66 1.000 204 13 3.327 204 65 1.000 204 47 3.327 204 11 1.000 204 46 5.405 204 41 3.327 204 28 3.937 204 33 5.405 204 24 3.937 204 64 1.000 204 43 2.468 204 29 3.327 204 60 1.000 205 63 3.327 205 61 3.327 205 33 6.264 205 19 2.468 205 20 2.468 205 62 2.468 205 21 2.468 205 22 3.327 205 17 4.409 205 8 3.327 205 32 3.327 205 4 2.468 205 6 2.468 205 49 3.327 205 7 3.327 205 18 3.327 205 51 3.327 205 23 2.468 205 9 3.327 205 10 1.000 205 25 2.468 205 13 2.468 205 14 1.000 205 26 2.468 205 65 3.327 205 39 3.327 205 16 3.327 205 64 3.327 206 1 1.000 206 32 5.405 206 19 1.000 206 20 3.327 206 34 5.122 206 2 5.405 206 22 5.405 206 35 2.468 206 37 5.405 206 5 1.000 206 7 3.327 206 18 1.000 206 8 5.405 206 23 3.327 206 12 5.878 206 25 4.409 206 13 4.796 206 10 1.000 206 38 3.327 206 15 3.937 206 27 3.327 206 24 5.122 206 36 1.000 206 17 4.409 207 20 2.468 207 62 4.796 207 40 3.327 207 34 3.327 207 37 5.405 207 3 4.796 207 5 3.327 207 7 3.327 207 51 3.327 207 43 4.409 207 14 2.468 207 26 5.122 207 44 1.000 207 39 4.796 207 27 4.409 207 16 2.468 207 29 2.468 208 26 3.937 208 30 5.405 208 63 5.405 208 61 5.405 208 33 6.591 208 28 5.122 208 34 4.409 208 22 5.655 208 17 5.122 208 35 5.405 208 62 5.655 208 37 1.000 208 3 3.327 208 7 4.409 208 8 5.405 208 54 3.327 208 67 5.405 208 14 4.409 208 29 5.122 208 60 4.796 208 18 4.796 208 46 5.405 208 43 5.655 208 27 6.434 208 41 5.655 208 39 5.655 208 64 5.405 208 65 5.405 209 61 4.796 209 1 2.468 209 31 4.796 209 32 4.409 209 62 3.937 209 30 5.122 209 34 3.327 209 35 4.796 209 33 1.000 209 37 4.796 209 3 1.000 209 49 4.796 209 8 4.796 209 60 4.796 209 40 6.591 209 52 4.796 209 41 2.468 209 28 4.409 209 22 4.409 209 39 4.796 209 64 4.796 209 65 4.796 209 47 4.796 210 63 3.327 210 61 3.327 210 1 4.796 210 31 1.000 210 50 1.000 210 55 3.937 210 56 3.937 210 37 4.409 210 6 4.409 210 54 1.000 210 67 3.937 210 57 1.000 210 64 3.327 210 66 1.000 210 47 1.000 210 38 1.000 210 39 4.409 210 52 4.796 210 53 4.409 210 41 1.000 210 68 3.327 210 42 4.409 210 29 3.937 210 59 1.000 211 1 1.000 211 33 6.873 211 62 5.122 211 21 1.000 211 7 1.000 211 22 5.405 211 35 1.000 211 37 2.468 211 8 1.000 211 11 1.000 211 12 6.080 211 14 3.937 211 26 3.327 211 38 3.327 211 27 1.000 211 16 3.327 211 24 4.796 211 29 3.937 211 18 1.000 211 70 3.937 212 1 8.059 212 36 8.059 212 49 4.796 212 7 6.264 212 29 4.409 212 11 2.468 212 25 6.591 212 13 6.264 212 18 9.565 212 52 2.468 212 28 6.434 212 24 6.873 212 42 8.133 212 10 2.468 212 60 6.080 213 31 3.937 213 33 6.591 213 19 2.468 213 20 1.000 213 34 1.000 213 35 4.409 213 62 1.000 213 17 3.937 213 23 1.000 213 11 1.000 213 12 3.937 213 13 3.937 213 10 1.000 213 39 2.468 213 41 4.409 213 24 5.405 213 47 3.327 213 27 1.000 214 33 1.000 214 62 5.405 214 35 3.937 214 37 3.937 214 54 5.405 214 51 5.122 214 14 6.080 214 46 4.409 214 40 3.937 214 28 1.000 215 30 3.937 215 63 3.937 215 61 4.796 215 62 4.796 215 17 4.409 215 37 5.655 215 3 2.468 215 8 1.000 215 43 3.937 215 27 1.000 215 58 2.468 215 64 5.122 215 65 3.937 215 18 2.468 216 30 5.405 216 63 5.122 216 61 5.122 216 31 5.405 216 19 2.468 216 34 1.000 216 55 5.122 216 17 4.409 216 56 5.122 216 37 5.655 216 40 5.405 216 44 1.000 216 60 3.937 216 46 5.122 216 43 5.405 216 45 5.122 216 16 2.468 216 39 5.122 216 68 5.122 216 64 5.405 216 65 5.405 216 47 5.122 216 59 5.122 217 33 2.468 217 27 3.937 217 19 5.122 217 62 1.000 217 35 4.796 217 5 4.409 217 23 6.080 217 10 1.000 217 12 5.878 217 25 2.468 217 13 3.327 217 26 5.122 217 15 8.133 217 24 3.937 218 31 5.655 218 32 5.405 218 50 6.434 218 2 1.000 218 22 1.000 218 5 8.133 218 7 5.405 218 8 5.655 218 12 6.264 218 38 1.000 218 15 5.878 218 18 5.122 219 30 5.405 219 63 5.878 219 61 5.655 219 31 2.468 219 50 5.655 219 35 2.468 219 37 10.000 219 3 2.468 219 49 1.000 219 69 6.080 219 9 2.468 219 43 5.655 219 14 3.937 219 26 6.434 219 46 6.080 219 39 6.873 219 40 7.450 219 64 5.122 219 29 6.737 219 65 5.655 219 47 5.122 219 70 5.878 220 40 6.080 220 18 2.468 220 30 2.468 220 63 2.468 220 61 2.468 220 53 2.468 220 17 3.327 220 2 2.468 220 22 2.468 220 37 4.409 220 1 4.409 220 24 4.409 220 49 3.937 220 8 2.468 220 10 1.000 220 12 5.122 220 14 4.409 220 65 2.468 220 52 1.000 220 28 4.409 220 64 2.468 220 42 1.000 220 29 4.409 220 36 3.937 220 27 6.873 221 1 5.122 221 53 4.409 221 33 1.000 221 20 4.409 221 41 5.122 221 2 1.000 221 22 1.000 221 8 4.409 221 6 5.655 221 7 3.327 221 18 1.000 221 11 4.796 221 13 5.122 221 60 5.878 221 38 1.000 221 39 4.796 221 52 5.878 221 28 5.405 221 42 5.878 221 47 5.405 221 36 5.122 222 52 5.122 222 54 2.468 222 1 4.409 222 32 1.000 222 53 1.000 222 20 1.000 222 8 1.000 222 2 4.409 222 22 4.409 222 35 3.327 222 37 8.275 222 6 4.409 222 49 4.796 222 7 5.405 222 12 3.327 222 26 5.878 222 44 2.468 222 38 7.346 222 18 6.591 222 11 1.000 222 39 5.122 222 42 3.937 222 29 1.000 223 18 6.434 223 30 5.122 223 63 5.122 223 61 5.122 223 1 4.409 223 32 5.405 223 2 5.655 223 22 5.655 223 17 4.796 223 37 5.405 223 3 5.405 223 49 3.937 223 43 5.122 223 26 5.122 223 29 5.405 223 60 5.122 223 38 2.468 223 52 5.405 223 53 5.405 223 46 4.796 223 64 5.655 223 42 5.405 223 65 5.405 223 36 5.405 224 32 3.327 224 33 6.080 224 2 4.409 224 22 2.468 224 54 2.468 224 4 1.000 224 49 3.327 224 8 3.937 224 12 5.122 224 10 1.000 224 38 3.327 224 39 1.000 224 36 3.327 224 52 5.122 224 42 2.468 224 18 3.937 224 17 1.000 225 25 2.468 225 21 2.468 225 62 1.000 225 4 5.878 225 7 5.655 225 51 3.937 225 12 6.080 225 14 2.468 225 9 5.122 225 2 4.409 225 27 6.737 225 28 6.737 225 24 7.346 225 29 6.434 225 10 4.409 225 18 5.405 226 1 2.468 226 53 4.796 226 50 4.796 226 20 4.409 226 23 4.409 226 62 4.409 226 21 4.796 226 26 4.409 226 35 4.409 226 58 4.409 226 37 6.434 226 49 4.409 226 51 4.409 226 11 4.409 226 25 4.409 226 13 4.409 226 60 4.409 226 38 4.409 226 39 4.409 226 40 5.655 226 52 4.796 226 16 5.122 226 42 4.409 226 29 4.796 226 65 4.409 227 1 3.327 227 32 5.122 227 50 5.122 227 33 1.000 227 20 2.468 227 2 4.796 227 22 5.122 227 35 2.468 227 5 4.409 227 11 2.468 227 12 3.937 227 25 3.327 227 26 5.655 227 38 1.000 227 29 4.409 227 15 1.000 227 24 3.937 227 42 1.000 227 18 2.468 228 1 4.796 228 31 6.264 228 32 8.532 228 50 5.878 228 34 2.468 228 2 7.450 228 22 7.346 228 35 4.409 228 36 3.937 228 37 6.434 228 4 1.000 228 5 3.327 228 7 5.878 228 8 1.000 228 9 4.409 228 12 6.264 228 38 3.937 228 27 3.327 228 52 6.434 228 53 6.264 228 42 6.264 228 29 6.434 228 65 3.937 228 18 9.939 228 17 3.327 229 25 7.002 229 1 6.873 229 32 8.275 229 50 4.409 229 2 7.002 229 22 7.902 229 17 5.655 229 65 3.937 229 5 6.434 229 49 6.873 229 7 6.434 229 8 6.873 229 23 1.000 229 69 5.405 229 9 3.937 229 10 1.000 229 12 7.123 229 66 7.002 229 14 7.732 229 26 5.405 229 38 4.409 229 18 7.982 229 6 2.468 229 52 5.878 229 53 7.642 229 42 6.873 229 36 6.873 230 32 5.655 230 20 4.409 230 62 2.468 230 34 5.122 230 2 5.878 230 22 6.434 230 8 4.409 230 11 4.409 230 12 5.122 230 13 4.409 230 10 1.000 230 28 5.405 230 24 4.796 230 18 7.548 231 40 5.122 231 35 1.000 231 26 1.000 231 1 2.468 231 31 1.000 231 32 1.000 231 33 6.080 231 19 1.000 231 2 1.000 231 17 4.409 231 37 1.000 231 51 2.468 231 4 1.000 231 3 1.000 231 5 1.000 231 49 1.000 231 7 2.468 231 18 1.000 231 23 1.000 231 22 1.000 231 9 1.000 231 10 1.000 231 12 4.409 231 25 1.000 231 14 1.000 231 38 1.000 231 8 1.000 231 44 1.000 231 15 2.468 231 36 2.468 231 27 5.878 231 52 2.468 231 53 2.468 231 41 2.468 231 28 1.000 231 45 1.000 231 16 1.000 231 24 3.937 231 39 2.468 231 42 2.468 231 43 1.000 231 29 1.000 231 60 2.468 232 32 4.409 232 33 6.264 232 20 3.327 232 21 3.327 232 7 1.000 232 26 7.237 232 51 3.937 232 23 4.409 232 9 3.937 232 11 2.468 232 34 1.000 232 27 3.937 232 16 3.937 232 22 2.468 232 24 3.327 232 42 3.327 232 18 1.000 232 70 3.937 233 40 1.000 233 30 5.122 233 63 5.122 233 4 5.405 233 31 4.796 233 32 1.000 233 61 4.796 233 34 1.000 233 35 5.122 233 3 1.000 233 17 4.409 233 9 2.468 233 25 4.409 233 26 5.405 233 44 1.000 233 46 5.122 233 43 5.122 233 27 5.405 233 39 5.122 233 24 5.878 233 64 5.655 233 29 5.405 233 65 5.122 234 61 1.000 234 33 6.080 234 19 1.000 234 30 1.000 234 63 1.000 234 34 2.468 234 17 3.937 234 35 1.000 234 37 1.000 234 51 1.000 234 26 1.000 234 9 1.000 234 25 1.000 234 65 1.000 234 29 1.000 234 46 1.000 234 40 1.000 234 41 1.000 234 28 1.000 234 45 1.000 234 16 1.000 234 24 4.409 234 39 1.000 234 64 1.000 234 43 1.000 234 60 1.000 234 27 2.468 235 1 1.000 235 33 3.327 235 46 1.000 235 22 5.122 235 17 3.937 235 35 2.468 235 55 1.000 235 56 1.000 235 5 2.468 235 49 3.937 235 7 1.000 235 8 2.468 235 10 1.000 235 12 5.122 235 26 1.000 235 44 2.468 235 38 1.000 235 15 2.468 235 39 1.000 235 36 3.327 235 52 3.327 235 53 2.468 235 41 1.000 235 45 1.000 235 16 1.000 235 68 1.000 235 42 4.796 235 18 1.000 236 30 1.000 236 63 1.000 236 61 1.000 236 31 1.000 236 34 1.000 236 37 1.000 236 3 1.000 236 8 1.000 236 35 1.000 236 6 1.000 236 69 1.000 236 14 5.122 236 29 1.000 236 45 1.000 236 62 4.796 236 21 1.000 236 51 1.000 236 43 1.000 236 41 1.000 236 64 1.000 236 47 1.000 236 56 1.000 237 40 6.737 237 30 3.937 237 63 4.409 237 61 3.937 237 1 4.796 237 59 3.327 237 49 2.468 237 34 4.409 237 62 2.468 237 55 2.468 237 56 3.327 237 37 4.796 237 42 3.937 237 26 5.122 237 44 1.000 237 38 1.000 237 36 4.409 237 53 4.409 237 68 3.937 237 64 3.937 237 65 3.937 238 35 2.468 238 32 5.878 238 33 1.000 238 7 5.405 238 34 5.122 238 22 6.591 238 37 6.080 238 49 1.000 238 5 5.405 238 8 5.122 238 51 1.000 238 12 6.080 238 25 1.000 238 13 1.000 238 39 5.405 238 24 1.000 239 40 6.434 239 30 4.796 239 63 4.796 239 61 4.796 239 1 3.937 239 33 6.737 239 21 1.000 239 34 1.000 239 35 3.327 239 58 3.327 239 44 1.000 239 6 5.122 239 49 5.405 239 54 4.409 239 23 2.468 239 69 2.468 239 57 3.327 239 48 3.937 239 43 4.409 239 42 4.409 239 66 3.937 239 13 1.000 239 26 4.796 239 65 4.796 239 38 1.000 239 36 5.405 239 53 4.796 239 45 1.000 239 16 4.796 239 64 4.796 239 70 5.122 240 1 3.327 240 31 5.405 240 32 1.000 240 27 5.122 240 21 1.000 240 7 1.000 240 34 1.000 240 2 1.000 240 22 1.000 240 26 4.409 240 17 5.122 240 35 5.122 240 37 1.000 240 4 1.000 240 3 1.000 240 5 1.000 240 23 2.468 240 18 1.000 240 8 1.000 240 54 2.468 240 67 4.409 240 69 3.327 240 48 2.468 240 9 1.000 240 43 5.122 240 12 5.405 240 66 4.409 240 38 1.000 240 39 5.405 240 40 5.878 240 52 1.000 240 45 1.000 240 58 3.937 240 16 2.468 240 42 5.405 240 33 6.591 240 29 5.405 240 60 5.405 240 47 4.796 240 36 5.122 241 33 6.591 241 1 4.796 241 20 4.409 241 7 4.796 241 17 4.796 241 4 4.796 241 5 5.122 241 18 4.409 241 8 4.796 241 12 3.327 241 25 4.796 241 13 4.796 241 14 3.327 241 15 5.122 241 28 4.796 241 24 5.122 242 30 3.327 242 63 3.327 242 61 3.327 242 1 5.122 242 33 1.000 242 34 2.468 242 6 4.409 242 17 5.122 242 37 5.122 242 49 2.468 242 8 2.468 242 43 4.796 242 26 2.468 242 29 1.000 242 44 2.468 242 46 4.796 242 40 6.434 242 53 3.327 242 60 2.468 242 41 2.468 242 45 4.796 242 39 4.409 242 64 3.327 242 65 3.327 242 47 4.796 243 1 5.122 243 33 7.548 243 34 5.122 243 22 5.655 243 4 5.878 243 26 3.327 243 15 5.878 243 36 5.878 243 29 5.878 243 27 6.591 243 19 5.405 243 35 5.878 243 6 6.434 243 14 4.796 243 52 1.000 243 53 3.327 243 16 5.405 243 21 3.937 243 7 6.434 243 43 6.080 243 12 7.002 243 28 5.405 243 3 5.122 243 24 7.123 243 9 6.080 243 42 6.080 243 25 6.264 243 13 5.122 243 38 5.405 244 35 3.327 244 32 6.264 244 50 2.468 244 33 1.000 244 20 1.000 244 21 5.655 244 7 4.796 244 2 5.878 244 37 3.937 244 8 6.737 244 51 3.937 244 23 5.122 244 11 4.796 244 12 5.878 244 26 6.264 244 36 5.405 244 27 3.937 244 16 4.796 244 22 6.080 244 24 5.878 244 18 6.873 245 5 5.122 245 1 3.327 245 38 1.000 245 19 1.000 245 2 5.122 245 22 5.122 245 36 4.409 245 4 5.405 245 7 4.409 245 27 5.122 245 52 5.122 245 53 1.000 245 15 2.468 245 42 5.405 245 60 5.122 245 12 5.405 246 66 2.468 246 52 5.405 246 1 3.937 246 33 1.000 246 62 1.000 246 21 4.409 246 44 1.000 246 54 1.000 246 50 1.000 246 57 2.468 246 48 3.327 246 38 1.000 246 36 4.796 246 53 4.796 246 58 2.468 246 42 5.405 247 30 2.468 247 63 2.468 247 61 2.468 247 1 2.468 247 19 1.000 247 2 1.000 247 22 1.000 247 26 4.409 247 4 2.468 247 15 1.000 247 36 3.327 247 10 1.000 247 70 3.327 247 32 1.000 247 49 3.327 247 35 3.937 247 5 2.468 247 6 3.327 247 67 3.327 247 69 4.409 247 66 3.937 247 34 4.409 247 14 2.468 247 18 5.655 247 52 3.327 247 53 2.468 247 42 3.327 247 60 3.327 247 23 1.000 247 21 1.000 247 7 2.468 247 29 2.468 247 12 1.000 247 27 6.080 247 28 1.000 247 3 1.000 247 24 4.796 247 64 2.468 247 65 1.000 247 47 1.000 247 17 4.409 247 8 3.327 247 13 2.468 247 38 1.000 248 32 5.405 248 20 1.000 248 62 1.000 248 21 1.000 248 34 1.000 248 2 1.000 248 22 1.000 248 26 5.655 248 17 5.122 248 47 1.000 248 56 1.000 248 4 1.000 248 3 1.000 248 6 5.405 248 8 1.000 248 51 3.327 248 23 1.000 248 69 1.000 248 57 1.000 248 9 2.468 248 11 1.000 248 25 1.000 248 14 4.409 248 38 1.000 248 18 1.000 248 39 5.122 248 53 1.000 248 15 1.000 248 42 1.000 249 31 5.655 249 32 1.000 249 56 1.000 249 55 1.000 249 22 6.591 249 17 5.655 249 35 5.405 249 37 5.878 249 4 7.002 249 30 4.409 249 34 1.000 249 29 1.000 249 60 3.327 249 46 5.878 249 43 6.591 249 40 6.264 249 28 6.080 249 16 2.468 249 64 4.409 249 42 5.405 249 10 1.000 249 65 4.409 249 27 7.902 249 59 1.000 250 35 3.327 250 30 4.409 250 63 4.409 250 61 4.409 250 33 1.000 250 44 1.000 250 28 4.796 250 34 2.468 250 41 1.000 250 17 4.409 250 37 4.409 250 49 3.937 250 23 1.000 250 66 5.122 250 36 2.468 250 40 5.655 250 53 3.327 250 64 4.409 250 42 4.409 250 29 4.796 250 65 4.409 250 47 5.405 251 35 2.468 251 30 4.409 251 63 4.409 251 61 4.409 251 17 3.937 251 34 1.000 251 2 1.000 251 22 2.468 251 21 1.000 251 4 1.000 251 24 5.122 251 7 4.409 251 8 1.000 251 12 5.878 251 25 1.000 251 18 1.000 251 46 4.796 251 28 1.000 251 16 3.327 251 39 4.409 251 64 4.409 251 29 1.000 251 65 4.409 252 25 3.937 252 30 4.796 252 63 5.405 252 61 5.122 252 33 1.000 252 22 1.000 252 62 3.937 252 34 2.468 252 17 4.409 252 8 1.000 252 37 3.937 252 18 5.122 252 4 4.409 252 3 4.409 252 5 3.327 252 6 2.468 252 7 2.468 252 43 5.405 252 26 4.796 252 46 5.405 252 39 5.122 252 16 3.937 252 64 5.122 252 29 4.409 252 12 3.937 253 18 1.000 253 1 2.468 253 31 4.796 253 32 2.468 253 33 1.000 253 62 1.000 253 17 2.468 253 37 1.000 253 7 1.000 253 43 3.937 253 26 5.122 253 44 1.000 253 38 1.000 253 39 3.937 253 53 3.327 253 22 3.327 253 42 5.655 253 29 2.468 253 60 3.937 253 12 2.468 254 61 3.327 254 32 4.796 254 33 3.327 254 19 3.937 254 2 1.000 254 22 2.468 254 17 4.796 254 5 1.000 254 7 5.122 254 8 4.796 254 12 4.796 254 25 1.000 254 29 4.796 254 44 1.000 254 28 4.796 254 10 1.000 254 18 1.000 254 36 4.796 254 27 1.000 255 25 2.468 255 1 5.122 255 2 4.409 255 35 4.796 255 47 5.405 255 37 5.655 255 32 5.405 255 3 1.000 255 7 4.409 255 18 3.327 255 8 3.937 255 43 5.405 255 12 2.468 255 52 1.000 255 60 1.000 255 15 4.796 255 22 3.327 255 42 5.405 255 36 1.000 256 40 2.468 256 17 1.000 256 11 1.000 256 12 1.000 256 26 3.937 256 29 1.000 256 27 1.000 256 28 4.409 256 16 1.000 256 24 4.409 256 10 1.000 256 60 1.000 257 35 3.327 257 17 3.937 257 20 1.000 257 62 1.000 257 34 1.000 257 51 3.327 257 7 2.468 257 44 1.000 257 43 3.327 257 12 4.409 257 14 2.468 257 26 4.409 257 46 4.409 257 39 1.000 257 27 3.327 257 40 3.937 257 41 2.468 257 22 4.409 257 29 3.327 257 18 3.327 258 50 1.000 258 54 2.468 258 21 1.000 258 26 4.796 258 37 5.655 258 4 5.122 258 31 2.468 258 9 1.000 258 11 4.409 258 13 1.000 258 14 6.080 258 46 4.796 258 15 3.327 258 27 5.122 258 16 5.655 258 24 5.122 258 29 5.122 258 60 5.405 259 32 5.405 259 2 5.878 259 22 5.655 259 8 4.796 259 5 5.122 259 7 5.122 259 11 3.937 259 12 5.878 259 38 2.468 259 15 4.796 259 53 3.937 259 36 3.327 259 42 5.405 259 18 6.737 260 36 3.327 260 32 3.327 260 53 4.796 260 33 6.264 260 19 5.122 260 20 5.405 260 34 3.937 260 25 5.122 260 2 4.409 260 22 5.122 260 37 5.122 260 4 5.122 260 5 5.122 260 49 4.796 260 7 3.937 260 8 4.796 260 67 4.796 260 23 3.937 260 11 4.409 260 13 4.409 260 52 4.409 260 38 2.468 260 18 3.327 260 15 5.405 260 28 5.122 260 42 4.796 260 29 5.655 260 60 3.937 261 30 1.000 261 62 1.000 261 63 1.000 261 61 1.000 261 45 3.327 261 2 1.000 261 35 1.000 261 16 1.000 261 21 3.937 261 6 3.937 261 54 1.000 261 26 3.937 261 44 1.000 261 46 3.937 261 39 3.327 261 24 3.937 261 64 1.000 261 29 3.327 261 10 1.000 261 14 1.000 261 12 1.000 262 35 5.122 262 30 4.796 262 63 4.796 262 61 4.796 262 62 2.468 262 34 4.409 262 37 5.878 262 49 4.409 262 44 2.468 262 60 5.122 262 39 4.796 262 27 4.409 262 40 4.409 262 53 3.327 262 45 5.122 262 16 1.000 262 46 5.122 262 64 4.796 262 65 4.409 263 1 5.405 263 32 5.122 263 50 4.796 263 9 1.000 263 21 4.796 263 44 1.000 263 23 5.122 263 49 5.655 263 7 4.796 263 8 6.591 263 65 3.937 263 48 5.122 263 34 5.122 263 38 5.405 263 39 4.796 263 52 6.080 263 53 4.796 263 16 1.000 263 22 5.655 263 18 5.655 263 36 1.000 264 32 6.080 264 53 4.796 264 50 4.409 264 33 6.737 264 34 3.937 264 2 6.080 264 22 6.264 264 26 6.434 264 65 3.937 264 23 3.327 264 49 5.655 264 8 3.937 264 9 3.937 264 12 5.655 264 25 3.937 264 44 1.000 264 38 2.468 264 18 7.819 264 52 5.122 264 42 5.878 264 36 6.080 265 32 6.873 265 33 1.000 265 20 1.000 265 25 2.468 265 2 5.405 265 22 5.405 265 8 6.080 265 5 5.405 265 7 4.409 265 23 2.468 265 10 2.468 265 11 1.000 265 12 5.405 265 13 3.327 265 14 3.327 265 26 1.000 265 38 3.327 265 15 4.409 265 28 3.937 265 42 2.468 265 18 5.878 266 30 5.405 266 63 5.405 266 61 5.405 266 33 2.468 266 62 1.000 266 40 5.122 266 34 1.000 266 35 4.409 266 37 5.122 266 21 1.000 266 4 1.000 266 3 1.000 266 69 1.000 266 26 3.327 266 44 1.000 266 60 1.000 266 46 5.122 266 39 5.405 266 27 3.937 266 64 5.655 266 43 4.409 266 29 4.796 266 65 5.405 266 47 4.796 266 70 1.000 267 33 1.000 267 35 5.405 267 37 7.237 267 51 6.434 267 11 3.937 267 43 5.655 267 46 5.655 267 27 7.002 267 16 1.000 267 24 5.878 267 17 3.937 268 69 1.000 268 32 3.327 268 21 3.327 268 45 1.000 268 2 1.000 268 22 1.000 268 35 4.409 268 47 3.937 268 8 1.000 268 37 8.275 268 4 2.468 268 3 2.468 268 49 4.409 268 7 2.468 268 54 1.000 268 51 4.409 268 9 2.468 268 42 3.327 268 12 5.122 268 25 4.409 268 13 3.937 268 26 4.409 268 38 2.468 268 18 3.327 268 5 1.000 268 15 1.000 268 52 4.409 268 53 4.409 268 28 1.000 268 16 2.468 268 24 5.405 268 64 4.796 268 29 4.409 268 65 4.409 269 66 5.122 269 63 4.796 269 61 3.937 269 1 4.796 269 44 1.000 269 26 5.655 269 17 4.409 269 56 5.405 269 37 5.878 269 67 5.122 269 69 5.122 269 60 3.327 269 43 4.796 269 52 5.122 269 53 4.409 269 45 1.000 269 39 2.468 269 68 5.405 269 64 3.937 269 29 5.122 269 65 5.405 269 59 5.122 270 30 1.000 270 63 1.000 270 61 1.000 270 20 1.000 270 22 1.000 270 37 1.000 270 3 1.000 270 8 1.000 270 26 1.000 270 29 1.000 270 32 1.000 270 50 1.000 270 35 1.000 270 6 1.000 270 49 1.000 270 14 1.000 270 52 1.000 270 53 1.000 270 45 1.000 270 16 1.000 270 62 1.000 270 7 1.000 270 51 1.000 270 43 1.000 270 46 1.000 270 39 1.000 270 40 1.000 270 41 1.000 270 64 1.000 270 65 1.000 270 11 1.000 270 25 1.000 270 38 1.000 271 1 2.468 271 31 5.405 271 9 1.000 271 40 7.450 271 34 1.000 271 2 1.000 271 22 1.000 271 17 4.796 271 35 5.878 271 37 5.405 271 5 1.000 271 44 1.000 271 7 2.468 271 18 1.000 271 32 1.000 271 69 4.796 271 12 5.878 271 4 1.000 271 38 1.000 271 36 3.937 271 52 1.000 271 39 5.122 271 42 5.122 271 29 4.796 271 60 5.655 271 70 4.796 272 63 6.080 272 61 5.655 272 1 1.000 272 31 6.434 272 32 5.655 272 19 1.000 272 23 3.327 272 28 5.405 272 30 5.405 272 34 1.000 272 2 1.000 272 17 4.796 272 37 1.000 272 4 4.796 272 25 6.080 272 38 1.000 272 65 5.655 272 39 5.405 272 40 6.434 272 52 1.000 272 41 6.080 272 22 2.468 272 64 5.655 272 42 6.264 272 29 5.878 272 60 5.878 272 47 5.405 272 36 4.796 273 5 1.000 273 31 4.796 273 33 6.591 273 19 1.000 273 20 3.937 273 21 4.409 273 22 2.468 273 26 1.000 273 17 3.937 273 35 1.000 273 37 3.327 273 4 1.000 273 3 1.000 273 18 3.937 273 8 2.468 273 51 2.468 273 23 1.000 273 9 1.000 273 25 5.122 273 13 1.000 273 34 1.000 273 14 1.000 273 60 1.000 273 38 2.468 273 15 1.000 273 52 1.000 273 53 1.000 273 24 4.796 273 29 3.327 273 12 3.937 274 32 5.405 274 33 2.468 274 54 2.468 274 19 1.000 274 21 1.000 274 7 1.000 274 2 5.405 274 22 3.327 274 35 1.000 274 37 2.468 274 4 1.000 274 3 1.000 274 5 1.000 274 8 5.655 274 23 2.468 274 9 1.000 274 11 1.000 274 12 5.122 274 25 5.405 274 13 9.370 274 29 5.405 274 65 3.937 274 38 1.000 274 15 2.468 274 27 5.405 274 53 4.409 274 41 5.122 274 28 3.937 274 45 1.000 274 16 4.409 274 24 5.122 274 42 5.405 274 60 5.405 274 47 5.122 274 18 5.878 274 36 4.796 275 31 3.937 275 32 1.000 275 53 3.327 275 46 1.000 275 34 3.327 275 41 3.327 275 22 1.000 275 17 4.409 275 35 5.122 275 6 5.122 275 49 3.327 275 8 3.327 275 26 1.000 275 29 4.796 275 52 2.468 275 39 4.796 275 40 5.655 275 28 4.796 275 16 3.937 275 42 3.327 275 43 1.000 275 47 3.327 276 61 1.000 276 31 3.937 276 32 4.796 276 50 5.878 276 30 1.000 276 7 1.000 276 34 5.405 276 2 4.409 276 65 1.000 276 22 5.405 276 37 5.122 276 63 1.000 276 5 4.409 276 1 1.000 276 49 4.796 276 8 4.796 276 12 5.405 276 29 1.000 276 38 1.000 276 39 1.000 276 36 4.409 276 52 3.937 276 45 1.000 276 16 1.000 276 64 1.000 276 42 4.409 276 18 4.796 276 53 1.000 277 15 4.796 277 19 2.468 277 20 1.000 277 4 3.327 277 3 3.327 277 11 1.000 277 25 6.080 277 13 1.000 277 14 1.000 277 10 1.000 277 28 5.405 277 16 4.409 278 32 5.655 278 19 1.000 278 20 2.468 278 2 1.000 278 22 1.000 278 4 1.000 278 5 4.796 278 49 4.409 278 8 5.122 278 24 5.405 278 12 5.655 278 25 5.122 278 13 1.000 278 14 5.655 278 26 3.327 278 38 1.000 278 60 1.000 278 15 2.468 278 27 6.080 278 52 2.468 278 42 5.122 278 18 1.000 279 66 5.122 279 1 2.468 279 34 1.000 279 22 5.122 279 37 6.737 279 49 4.409 279 25 4.796 279 38 5.122 279 36 5.122 279 52 4.796 279 53 4.796 279 45 1.000 279 42 4.796 279 29 5.122 280 31 4.409 280 19 3.327 280 35 3.937 280 37 5.122 280 49 5.122 280 23 4.409 280 26 4.796 280 44 2.468 280 47 1.000 280 18 3.937 280 39 3.937 280 40 3.937 280 45 3.937 280 17 3.937 281 32 7.450 281 33 5.122 281 19 4.796 281 15 3.327 281 2 2.468 281 22 5.122 281 35 5.405 281 4 7.982 281 5 6.591 281 8 7.450 281 23 4.796 281 12 5.405 281 25 7.902 281 13 7.346 281 14 7.548 281 38 2.468 281 18 2.468 281 28 5.655 281 24 7.982 281 42 7.237 282 1 3.937 282 32 5.878 282 7 5.655 282 2 5.405 282 8 5.655 282 12 5.878 282 26 1.000 282 39 1.000 282 42 4.409 282 18 5.405 283 5 3.327 283 33 6.080 283 2 5.122 283 22 5.122 283 7 2.468 283 32 5.122 283 12 6.264 283 25 4.796 283 38 1.000 283 15 4.796 283 39 5.122 283 28 5.122 283 42 5.122 283 18 5.405 284 61 3.327 284 1 1.000 284 50 6.434 284 20 5.122 284 62 5.122 284 17 4.796 284 35 4.409 284 37 5.655 284 5 4.796 284 66 5.655 284 26 5.122 284 2 4.796 284 15 4.796 284 27 5.122 284 40 3.937 284 41 4.409 284 28 4.409 284 45 4.796 284 29 4.796 284 70 4.796 284 59 5.122 285 52 2.468 285 41 1.000 285 35 3.937 285 37 3.327 285 18 2.468 285 49 2.468 285 36 1.000 285 44 1.000 285 38 3.327 285 39 3.937 285 53 1.000 285 42 2.468 285 29 2.468 286 35 1.000 286 10 1.000 286 33 2.468 286 20 7.002 286 34 5.405 286 5 1.000 286 11 6.080 286 25 5.878 286 14 8.591 286 26 2.468 286 29 3.937 286 27 6.873 286 15 1.000 286 24 7.819 287 33 1.000 287 6 1.000 287 28 1.000 287 62 2.468 287 34 1.000 287 17 4.796 287 35 4.796 287 37 4.409 287 51 5.405 287 9 1.000 287 14 3.937 287 26 6.434 287 27 2.468 287 42 5.405 287 60 4.409 288 25 3.327 288 32 4.409 288 33 6.264 288 21 4.796 288 2 3.937 288 22 3.327 288 17 4.796 288 35 3.327 288 5 3.937 288 8 4.409 288 11 3.937 288 12 4.796 288 14 6.434 288 26 1.000 288 4 3.937 288 15 3.327 288 39 1.000 288 27 6.080 288 24 5.122 288 18 3.327 289 32 4.409 289 17 2.468 289 26 5.655 289 15 1.000 290 1 5.122 290 50 1.000 290 33 6.264 290 19 1.000 290 20 1.000 290 34 1.000 290 2 2.468 290 22 1.000 290 35 3.937 290 5 5.122 290 49 4.796 290 7 4.409 290 23 4.409 290 9 1.000 290 11 2.468 290 37 3.937 290 12 3.937 290 25 3.937 290 26 6.591 290 15 3.937 290 39 4.409 290 24 3.327 290 42 3.937 290 29 4.409 290 10 1.000 290 18 4.409 290 36 3.937 290 17 3.937 291 32 6.080 291 26 2.468 291 19 4.796 291 20 5.655 291 34 4.796 291 2 6.080 291 22 6.264 291 17 4.409 291 36 3.937 291 5 5.122 291 7 6.080 291 8 6.264 291 51 6.591 291 11 5.878 291 13 5.878 291 12 6.264 291 14 2.468 291 38 6.264 291 18 8.815 291 27 7.123 291 53 4.409 291 24 6.080 292 31 1.000 292 34 2.468 292 2 2.468 292 22 2.468 292 8 1.000 292 37 1.000 292 32 2.468 292 7 2.468 292 12 5.655 292 60 3.937 292 38 1.000 292 46 3.937 292 43 3.937 292 52 1.000 292 53 2.468 292 42 4.409 292 18 2.468 292 36 3.937 293 66 1.000 293 30 1.000 293 63 1.000 293 61 1.000 293 21 1.000 293 34 1.000 293 41 1.000 293 55 1.000 293 56 1.000 293 54 1.000 293 70 1.000 293 6 1.000 293 29 1.000 293 67 1.000 293 69 1.000 293 57 2.468 293 48 2.468 293 9 1.000 293 68 2.468 293 39 1.000 293 40 1.000 293 45 1.000 293 58 2.468 293 16 1.000 293 64 1.000 293 60 1.000 293 47 1.000 293 59 1.000 294 1 3.327 294 31 4.796 294 34 2.468 294 26 2.468 294 17 4.409 294 35 2.468 294 62 3.937 294 37 6.080 294 3 1.000 294 51 4.409 294 43 5.122 294 25 3.937 294 13 3.327 294 39 4.409 294 27 6.434 294 40 5.405 294 41 3.937 294 28 4.796 294 29 4.409 294 60 3.327 294 47 3.327 295 18 1.000 295 31 1.000 295 6 1.000 295 62 1.000 295 2 1.000 295 17 3.937 295 37 1.000 295 32 1.000 295 3 1.000 295 49 1.000 295 7 1.000 295 23 1.000 295 69 1.000 295 9 1.000 295 11 1.000 295 26 4.409 295 38 4.796 295 36 1.000 295 52 1.000 295 53 1.000 295 42 1.000 295 43 1.000 296 1 2.468 296 32 1.000 296 33 6.591 296 62 3.327 296 21 1.000 296 34 1.000 296 2 1.000 296 22 1.000 296 35 3.937 296 37 5.122 296 51 5.655 296 5 2.468 296 7 1.000 296 18 1.000 296 23 2.468 296 9 1.000 296 12 5.122 296 25 5.122 296 13 1.000 296 26 3.937 296 38 1.000 296 60 3.937 296 15 1.000 296 52 1.000 296 28 4.796 296 16 3.327 296 24 5.122 296 42 5.122 296 29 5.405 296 36 5.122 297 7 1.000 297 32 2.468 297 38 2.468 297 1 2.468 297 33 5.122 297 2 2.468 297 22 2.468 297 8 8.059 297 37 6.873 297 4 2.468 297 49 7.002 297 36 6.873 297 52 6.873 297 53 6.873 297 24 6.737 297 42 7.002 297 29 6.737 297 18 1.000 298 30 4.796 298 63 4.796 298 61 4.409 298 20 1.000 298 34 3.327 298 26 2.468 298 17 3.937 298 35 3.327 298 55 4.796 298 56 4.796 298 6 2.468 298 49 3.327 298 51 2.468 298 9 1.000 298 14 3.327 298 44 1.000 298 47 2.468 298 46 3.327 298 27 3.937 298 40 2.468 298 41 2.468 298 45 1.000 298 39 3.327 298 3 1.000 298 64 4.796 298 43 3.937 298 65 4.796 299 25 1.000 299 30 5.122 299 63 5.122 299 61 5.122 299 33 6.264 299 20 1.000 299 4 5.405 299 49 1.000 299 8 1.000 299 12 6.080 299 14 1.000 299 24 7.237 299 64 5.122 299 29 5.122 299 10 1.000 299 65 5.122 299 27 5.655 300 66 3.937 300 63 4.796 300 61 4.796 300 33 6.737 300 20 3.327 300 30 4.796 300 34 1.000 300 26 1.000 300 17 4.796 300 35 4.796 300 37 5.405 300 31 4.409 300 7 1.000 300 62 1.000 300 8 1.000 300 54 2.468 300 11 3.327 300 14 1.000 300 29 5.405 300 65 4.796 300 46 5.122 300 27 5.405 300 40 6.264 300 41 4.796 300 28 3.327 300 22 1.000 300 64 4.796 300 60 5.122 300 70 5.405 30 201 202 203 204 205 206 207 208 209 210 211 212 213 214 215 216 217 218 219 220 221 222 223 224 225 226 227 228 229 230 ================================================ FILE: programming_assignments/mini_reco/testcase/output/output000.txt ================================================ 3 6 1 6 ================================================ FILE: programming_assignments/mini_reco/testcase/output/output001.txt ================================================ 50 49 35 6 48 25 21 30 15 42 26 41 28 3 30 42 28 20 3 26 31 15 30 35 41 19 28 31 35 40 25 21 29 28 41 15 30 25 14 41 45 1 35 20 25 41 11 40 3 30 15 41 29 47 44 45 35 20 11 14 24 6 12 35 50 25 20 11 6 15 20 15 33 31 28 24 30 25 35 41 14 24 40 46 20 25 35 11 38 15 50 50 25 35 6 20 15 28 20 33 6 28 30 29 50 25 11 33 20 29 30 38 25 49 48 35 1 20 28 25 42 30 1 44 15 45 20 35 3 25 24 28 41 30 42 14 44 41 1 45 30 25 1 42 28 26 41 50 35 6 24 1 46 45 25 28 30 26 46 41 29 28 20 31 26 29 36 44 6 15 25 20 28 50 31 50 25 35 28 33 30 6 28 25 3 41 14 24 4 35 25 20 28 3 14 21 35 15 28 19 26 21 42 14 11 20 28 35 12 21 ================================================ FILE: programming_assignments/mini_reco/testcase/output/output002.txt ================================================ 25 26 15 8 28 3 38 9 14 24 39 48 16 12 31 32 26 35 8 1 15 3 38 9 34 24 33 29 16 48 30 23 19 41 33 26 35 28 11 6 16 42 50 46 44 25 35 20 21 48 50 15 38 1 9 19 31 10 45 33 38 11 50 1 44 26 29 45 28 14 46 7 2 30 42 20 21 35 11 48 46 29 50 32 19 37 6 41 47 43 43 15 30 1 41 12 21 47 36 3 38 49 44 26 45 42 20 35 30 29 26 15 38 36 24 31 32 3 27 9 50 38 49 40 37 2 31 26 32 13 3 8 35 4 45 15 32 23 44 33 21 28 38 14 29 35 6 25 31 20 41 46 1 44 50 45 28 3 14 48 35 25 28 29 14 26 24 12 1 38 15 44 33 2 19 30 42 31 28 26 29 48 6 25 20 4 44 1 19 5 40 20 25 3 21 35 6 33 41 50 38 11 36 48 19 20 35 31 25 1 44 45 29 3 28 14 11 36 21 47 35 21 50 6 47 25 34 12 3 41 8 40 39 37 49 41 48 25 3 1 44 15 14 46 26 45 42 24 2 31 35 6 49 29 20 38 31 16 33 32 26 41 34 14 18 20 40 25 35 14 33 3 21 41 38 11 6 36 2 48 30 20 28 42 3 25 24 36 1 2 8 43 38 26 45 30 20 3 42 24 48 33 41 14 38 21 36 47 12 2 35 6 24 21 29 45 12 44 38 3 49 36 16 27 4 25 35 26 15 24 21 3 31 34 14 38 46 39 17 13 49 46 6 11 30 41 48 14 20 1 28 29 26 38 8 3 26 29 15 28 46 25 32 31 38 24 9 5 11 27 30 35 19 21 29 26 15 6 5 42 48 1 31 9 24 15 1 35 32 6 21 14 38 16 34 25 9 48 29 33 14 35 33 41 11 46 19 42 38 40 49 12 4 21 5 40 30 48 25 41 50 29 3 44 1 35 15 46 16 33 30 26 6 1 41 44 28 47 50 29 45 15 32 42 39 ================================================ FILE: programming_assignments/mini_reco/testcase/output/output003.txt ================================================ 42 30 28 25 15 26 48 14 50 36 20 35 25 50 14 6 3 29 44 1 25 45 44 1 46 30 3 41 24 36 20 35 14 28 3 41 6 40 38 49 11 3 50 41 48 30 40 2 37 32 30 25 28 42 15 21 11 14 26 24 50 25 41 21 44 11 24 45 46 30 35 50 20 25 6 11 21 36 12 40 50 25 46 15 11 21 48 41 43 36 25 35 28 6 29 14 33 41 11 40 50 35 6 49 48 25 28 24 20 21 30 25 26 15 28 42 41 29 3 14 30 20 28 25 42 26 31 41 3 15 15 30 35 41 49 28 19 29 31 42 35 25 46 28 6 40 20 24 49 14 30 15 45 42 44 25 14 41 3 1 25 35 20 41 40 11 28 50 3 14 30 15 29 41 50 11 48 44 47 33 20 35 6 11 24 1 14 44 45 29 35 50 20 25 15 3 40 11 46 6 20 30 6 33 31 15 28 35 24 19 25 35 14 28 46 20 24 29 3 12 20 25 35 11 50 15 38 3 41 40 40 25 15 35 20 28 44 6 11 45 20 6 33 29 30 49 50 25 28 1 11 25 20 33 29 50 38 4 1 28 25 20 35 15 28 11 1 30 33 44 25 30 42 1 44 15 45 41 24 38 25 20 35 50 3 24 28 12 33 41 30 14 1 44 41 21 42 3 45 36 ================================================ FILE: programming_assignments/mini_reco/testcase/output/output004.txt ================================================ 40 24 47 45 66 32 41 69 27 42 40 46 42 30 49 47 61 63 64 43 24 70 64 56 63 65 60 66 47 61 24 48 12 42 50 63 30 64 67 52 24 63 46 30 61 42 64 47 17 65 55 56 67 12 42 36 53 58 37 63 40 66 33 46 53 60 30 13 57 64 50 24 12 66 48 36 53 57 14 40 37 64 27 56 47 46 29 66 39 48 47 48 58 50 66 56 52 39 14 40 27 40 24 17 52 12 65 60 37 46 14 26 24 27 48 70 29 66 33 40 24 37 27 69 47 48 50 70 35 36 48 57 40 58 42 47 69 32 7 29 12 24 67 39 56 43 17 29 28 25 48 31 57 27 58 6 37 66 46 69 40 47 66 41 42 43 37 67 31 53 47 66 41 69 30 24 37 27 52 28 69 66 68 56 59 50 24 55 48 42 33 12 17 27 24 60 63 64 47 61 66 50 21 14 48 33 67 26 47 24 27 40 12 70 24 25 67 29 30 28 30 46 17 36 63 61 64 37 70 42 15 12 70 24 47 17 28 43 25 65 56 70 66 31 69 47 30 50 63 64 57 27 43 24 50 48 12 30 63 66 50 53 70 47 68 6 55 41 26 1 69 24 32 64 67 40 63 28 60 52 24 40 27 26 12 33 63 30 61 42 50 24 42 40 6 63 64 36 30 70 ================================================ FILE: programming_assignments/mini_reco/testcase/output/output005.txt ================================================ 55 66 17 40 52 12 48 46 36 70 60 57 53 42 30 27 40 12 60 42 17 63 70 30 43 24 61 56 69 64 40 50 57 69 48 30 37 47 64 63 60 28 61 35 65 12 24 40 66 39 42 43 67 70 56 28 31 53 35 51 58 47 48 50 27 66 36 64 56 70 30 25 31 46 60 48 57 58 30 32 70 66 69 43 27 29 31 40 39 42 24 69 42 30 63 70 65 64 66 46 31 33 61 36 67 40 37 46 66 48 58 64 29 56 70 41 17 36 50 43 40 42 47 29 46 50 41 13 36 14 43 8 60 31 65 68 56 69 59 66 42 47 12 41 29 30 61 63 64 36 70 27 40 24 52 25 31 60 35 6 47 26 30 57 69 69 42 40 37 12 26 67 70 36 29 63 30 43 33 64 24 27 33 40 66 48 58 42 46 14 53 60 43 63 28 40 30 42 46 47 61 63 64 65 36 56 31 60 70 43 12 24 42 40 53 39 36 31 66 25 27 67 70 69 47 37 27 66 24 8 42 56 26 13 57 60 25 14 21 41 12 27 40 33 24 17 26 30 63 60 36 61 46 1 70 24 50 48 40 27 58 70 36 66 26 6 56 47 64 30 27 12 17 46 24 36 42 43 67 25 53 60 11 58 31 40 50 30 48 47 42 60 31 37 26 61 43 65 20 41 12 24 42 40 27 47 63 58 37 64 43 26 60 48 61 27 24 12 33 40 50 70 14 66 26 35 53 32 43 58 24 40 63 30 64 33 61 66 65 70 60 31 25 13 14 12 24 40 46 65 56 36 42 27 67 47 17 69 55 53 12 27 40 24 17 30 33 63 65 61 26 60 64 43 25 37 66 33 50 27 48 57 69 24 25 67 14 36 41 31 48 12 40 52 39 66 24 29 61 63 65 42 32 46 7 12 46 66 58 36 17 42 37 56 70 43 25 48 47 60 12 66 65 56 36 43 17 47 67 31 53 35 52 26 55 12 42 27 24 40 65 17 25 46 39 43 28 35 13 47 ================================================ FILE: programming_assignments/mini_reco/testcase/output/output006.txt ================================================ 48 57 37 66 24 30 42 26 41 13 63 64 37 66 48 69 24 41 50 30 33 42 5 14 46 43 39 60 53 69 6 66 26 49 51 13 70 55 68 56 12 42 69 27 67 40 39 53 12 24 27 46 40 66 31 30 43 36 42 52 47 56 66 48 58 41 33 29 42 68 14 50 46 52 24 42 63 30 17 59 67 61 64 12 24 12 42 31 40 36 70 52 53 56 69 47 12 27 66 25 24 36 17 63 42 70 67 46 12 27 40 24 70 36 13 15 30 65 43 46 48 40 58 47 57 42 66 36 56 17 46 63 27 68 56 59 40 57 69 46 48 12 66 37 42 40 70 29 56 46 55 63 30 6 53 26 36 24 66 27 43 26 39 70 29 17 67 12 12 24 42 40 66 46 67 39 52 29 70 69 12 24 27 70 42 28 36 25 67 29 35 66 46 40 56 66 48 58 42 37 17 47 29 68 47 37 48 66 57 14 24 21 56 42 27 28 12 24 52 56 27 67 17 25 42 28 66 55 70 50 69 60 66 46 13 47 33 25 31 35 27 24 40 12 25 29 63 14 61 37 64 50 47 33 24 66 13 48 58 56 50 57 27 36 40 24 12 66 50 31 39 35 25 67 47 27 37 50 24 66 48 27 14 26 7 41 53 25 40 57 58 48 42 33 47 36 66 69 60 46 24 12 17 27 66 36 64 46 47 33 70 63 48 37 58 27 66 56 52 14 8 43 49 39 47 48 24 66 57 33 56 13 26 25 14 49 27 37 48 24 33 70 28 29 41 60 57 13 48 58 37 50 66 26 47 14 42 27 60 57 ================================================ FILE: publications/sigir2023-update-period/README.md ================================================ ## Summary We publish these real industry data sets across various domains from one of the largest web services companies in Korea. The dataset is crawled from the user-item interaction log at specific intervals. Each dataset is a sequence of matrices based on a specific period. The matrix is formed in [Matrix Market](https://math.nist.gov/MatrixMarket/formats.html) format. Training data and evaluation data are designed to form cycles, which is described as follows. If it is explained based on one interval, matrix data was created as logs for various periods of training data, and matrix data was created as evaluation data from data after the training data period. In the next section, training data includes the past evaluation data period, and in the current section, new evaluation data is generated with data after the training data period. In this way, a data set was generated as a matrix sequence of training and evaluation data at 8 intervals per cycle. ``` {A Service} ├── train-matrix │ ├── 0 │ ├── 1 │ ├── 2 ... │ └── 8 └── validation-matrix ├── 0 ├── 1 ├── 2 ... └── 8 ``` > Note that Each time period denotes one days other than Article domain. In Article domain, each time period denotes 4 hours. An interval contains a matrix with [Matrix Market](https://math.nist.gov/MatrixMarket/formats.html) format, and files containing user ID and item ID information. The actual pseudonymized id values in the `uid` and `iid` files are written to the lines corresponding to the id values of users and entries used in the Matrix Martix format. ``` {A Service/[train|validation]-matrix} └── {interval-index} ├── iid ├── main.mtx └── uid ``` > Please note that datasets are item click logs, not purchase information. Additionally, users/products are pseudonymized with random numbers to avoid restoration. ## Download Link Datasets are publicly available for download at [link: https://kko.to/data-sigir2023](https://kko.to/data-sigir2023) ## Citation To acknowledge use of the dataset in publications, please cite the following paper: Hyunsung Lee*, Sungwook Yoo*, Dongjun Lee, and Jaekwang Kim. **How Important is Periodic Model Update in Recommender Systems?** In Proceedings of the 46th International ACM SIGIR Conference on Research and Development in Information Retrieval (SIGIR ’23), July 23–27, 2023, Taipei, Tai-wan. https://doi.org/10.1145/3539618.3591934 ## Article ### Description This dataset consists of click logs collected from the home feed of articles such as news and other kinds of web pages in South Korea. Please note that the time period for each interval in Article is 4 hours. This is because, in Article domain, old items become obsolete fast. ## Blog ### Description This dataset consists of click logs from a blog service. The logs contain click logs of recommended blog postings from users presented on the main page of the web page of the service. ## Comics ### Description This dataset consists of click logs from a comics service. New episodes of comics are uploaded mostly once a week. Different comics are updated on different weekdays. ## Commerce ### Description This domain is to buy gifts for other people in a social network service. Logs contain view logs of users to items. ## Statistics of Datasets The Average Data statistics of different domains over different time periods are as follows. We only include statistics of average values over training datasets and validation datasets. Dataset characteristics do not show abrupt changes in different time periods. |domain|log_type|users|items|interactions|sparsity| |---|-------|------|-----|------------|--------| |article|train|493.9K|14.2K|117.8M|0.2544| |article|validation| 193.2K |3.9K | 2.39M |0.3150| |blog| train| 54.5K| 164.5K | 515K | 0.0057| |blog|validation| 6.3K| 32.6K| 52K |0.0262| |comics|train| 279.2K| 1.65K| 2819K |0.6120| |comics|validation|77.6K| 1.6K| 471K |0.3796| |commerce |train| 779.1K| 278.9K |5560K| 0.0026| |commerce|validation|58.3K| 93.1K| 329K |0.0061| ## License This is a statement regarding the license to release the dataset. The following bullet points outline the terms and conditions of use: * Ownership: Kakao Corporation is the rightful owner of the dataset. Availability: The dataset is available for non-commercial use only. * User's responsibilities: The user is responsible for following all copyright and legal regulations when using the dataset. * Prior approval: If the dataset is being used for commercial purposes or being cited or redistributed, it requires approval from Kakao Corporation. * Accuracy: Kakao Corporation does not guarantee the accuracy, suitability, or validity of the dataset for any other purpose. * No warranties: Kakao Corporation provides no warranties or representations regarding the dataset, and the user may not indicate any endorsement from the company. * Limitation of liability: The user assumes all responsibility for using the dataset and is solely responsible for any consequences arising from its use. Kakao Corporation is exempted from liability for use. * The user must acknowledge the use of the data set in publications resulting from the use of the data set (see the citation information above).